№1. Яка кількість
теплоти необхідна, щоб
розплавити 200 г заліза,
узятого за температури
плавлення?
Дано :
  m = 200 г = 0,2кг
               Дж
  λ = 270000
               кг
  Q −?

Q = λ ⋅m
           Дж
Q = 270000    ⋅ 0,2кг = 54000 Дж
           кг
№2. Яка кількість теплоти
необхідна, щоб розплавити
200 г заліза, узятого за
температури 35 ºС?
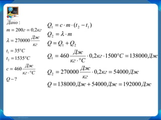
Дано :
                    Q1 = c ⋅ m ⋅ (t 2 − t1 )
m = 200 г = 0,2кг
                    Q2 = λ ⋅ m
            Дж
λ = 270000
             кг     Q = Q1 + Q2
t1 = 35°C                     Дж
t2 = 1535°C         Q1 = 460         ⋅ 0,2кг ⋅ 1500°С = 138000 Дж
                             кг ⋅ °С
         Дж
c = 460                            Дж
        кг ⋅ °С     Q2 = 270000         ⋅ 0,2кг = 54000 Дж
Q−?                                кг
                    Q = 138000 Дж + 54000 Дж = 192000 Дж
№3. Яка кількість теплоти
потрібна для перетворення
20 г льоду, узятого при
температурі -20 ºС, на воду
при температурі 40 ºС?
Дано :
m = 20 г = 0,02кг
t1 = −20°C          Q1 = c л ⋅ m ⋅ (t2 − t1 )
t2 = 0°C
t3 = 40°C
                    Q2 = λ ⋅ m
cл = 2100
           Дж       Q3 = cв ⋅ m ⋅ (t3 − t2 )
          кг ⋅ °С
cв = 4200
           Дж       Q = Q1 + Q2 + Q3
          кг ⋅ °С
            Дж
λ = 332000
              кг
Q−?
Дж
Q1 = 2100         ⋅ 0,02кг ⋅ 20°С = 840 Дж
          кг ⋅ °С
              Дж
Q2 = 332000         ⋅ 0,02кг = 6640 Дж
               кг
           Дж
Q3 = 4200         ⋅ 0,02кг ⋅ 40°С = 3360 Дж
          кг ⋅ °С
Q = 840 Дж + 6640 Дж + 3360 Дж = 10840 Дж
№4. У гарячу воду поклали лід,
маса якого дорівнює масі води.
Після того як весь лід
розтанув, температура води
зменшилась до 0 ºС. Якою була
початкова температура води,
якщо початкова температура
льоду дорівнювала 0 ºС?
Лід розплавився:

                       Q1 = λ ⋅ m
Дано :
m1 = m2 = m
t1 = 0°C              Вода охолола:
             Дж
λ = 332000

          Дж
              кг
                   Q2 = c ⋅ m ⋅ (t2 − t1 )
c = 4200
         кг ⋅ °С
t2 − ?
λ ⋅ m = c ⋅ m ⋅ (t2 − t1 )
   λ = c ⋅ (t 2 −t1 )
   λ
      = t2 − t1
    c
        λ
   t2 = + t1
        c
             Дж
     332000
t2 =          кг = 79°С
           Дж
     4200
          кг ⋅ °С

теплові явища. питома теплота плавлення

  • 2.
    №1. Яка кількість теплотинеобхідна, щоб розплавити 200 г заліза, узятого за температури плавлення?
  • 3.
    Дано : m = 200 г = 0,2кг Дж λ = 270000 кг Q −? Q = λ ⋅m Дж Q = 270000 ⋅ 0,2кг = 54000 Дж кг
  • 4.
    №2. Яка кількістьтеплоти необхідна, щоб розплавити 200 г заліза, узятого за температури 35 ºС?
  • 5.
    Дано : Q1 = c ⋅ m ⋅ (t 2 − t1 ) m = 200 г = 0,2кг Q2 = λ ⋅ m Дж λ = 270000 кг Q = Q1 + Q2 t1 = 35°C Дж t2 = 1535°C Q1 = 460 ⋅ 0,2кг ⋅ 1500°С = 138000 Дж кг ⋅ °С Дж c = 460 Дж кг ⋅ °С Q2 = 270000 ⋅ 0,2кг = 54000 Дж Q−? кг Q = 138000 Дж + 54000 Дж = 192000 Дж
  • 6.
    №3. Яка кількістьтеплоти потрібна для перетворення 20 г льоду, узятого при температурі -20 ºС, на воду при температурі 40 ºС?
  • 7.
    Дано : m =20 г = 0,02кг t1 = −20°C Q1 = c л ⋅ m ⋅ (t2 − t1 ) t2 = 0°C t3 = 40°C Q2 = λ ⋅ m cл = 2100 Дж Q3 = cв ⋅ m ⋅ (t3 − t2 ) кг ⋅ °С cв = 4200 Дж Q = Q1 + Q2 + Q3 кг ⋅ °С Дж λ = 332000 кг Q−?
  • 8.
    Дж Q1 = 2100 ⋅ 0,02кг ⋅ 20°С = 840 Дж кг ⋅ °С Дж Q2 = 332000 ⋅ 0,02кг = 6640 Дж кг Дж Q3 = 4200 ⋅ 0,02кг ⋅ 40°С = 3360 Дж кг ⋅ °С Q = 840 Дж + 6640 Дж + 3360 Дж = 10840 Дж
  • 9.
    №4. У гарячуводу поклали лід, маса якого дорівнює масі води. Після того як весь лід розтанув, температура води зменшилась до 0 ºС. Якою була початкова температура води, якщо початкова температура льоду дорівнювала 0 ºС?
  • 10.
    Лід розплавився: Q1 = λ ⋅ m Дано : m1 = m2 = m t1 = 0°C Вода охолола: Дж λ = 332000 Дж кг Q2 = c ⋅ m ⋅ (t2 − t1 ) c = 4200 кг ⋅ °С t2 − ?
  • 11.
    λ ⋅ m= c ⋅ m ⋅ (t2 − t1 ) λ = c ⋅ (t 2 −t1 ) λ = t2 − t1 c λ t2 = + t1 c Дж 332000 t2 = кг = 79°С Дж 4200 кг ⋅ °С