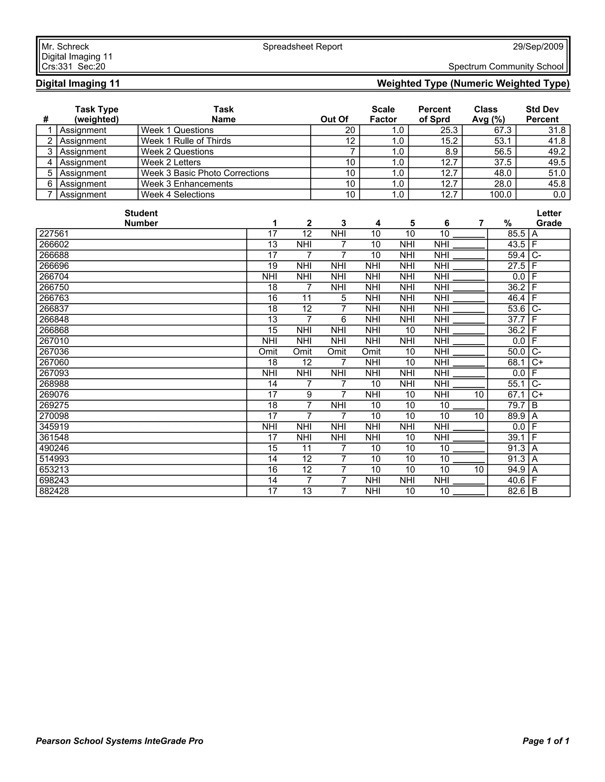
Mr. Schreck                                         Spreadsheet Report                                           29/Sep/2009
 Digital Imaging 11
 Crs:331 Sec:20                                                                                 Spectrum Community School
Digital Imaging 11                                                              Weighted Type (Numeric Weighted Type)

         Task Type                        Task                                Scale       Percent     Class          Std Dev
 #       (weighted)                       Name                    Out Of      Factor      of Sprd     Avg (%)        Percent
  1   Assignment         Week 1 Questions                              20          1.0         25.3        67.3           31.8
  2   Assignment         Week 1 Rulle of Thirds                        12          1.0         15.2        53.1           41.8
  3   Assignment         Week 2 Questions                                7         1.0          8.9        56.5           49.2
  4   Assignment         Week 2 Letters                                10          1.0         12.7        37.5           49.5
  5   Assignment         Week 3 Basic Photo Corrections                10          1.0         12.7        48.0           51.0
  6   Assignment         Week 3 Enhancements                           10          1.0         12.7        28.0           45.8
  7   Assignment         Week 4 Selections                             10          1.0         12.7      100.0             0.0

                      Student                                                                                          Letter
                      Number                           1      2       3         4     5        6       7     %         Grade
227561                                                17     12     NHI        10    10       10             85.5     A
266602                                                13    NHI       7        10   NHI      NHI             43.5     F
266688                                                17      7       7        10   NHI      NHI             59.4     C-
266696                                                19    NHI     NHI       NHI   NHI      NHI             27.5     F
266704                                               NHI    NHI     NHI       NHI   NHI      NHI               0.0    F
266750                                                18      7     NHI       NHI   NHI      NHI             36.2     F
266763                                                16     11       5       NHI   NHI      NHI             46.4     F
266837                                                18     12       7       NHI   NHI      NHI             53.6     C-
266848                                                13      7       6       NHI   NHI      NHI             37.7     F
266868                                                15    NHI     NHI       NHI    10      NHI             36.2     F
267010                                               NHI    NHI     NHI       NHI   NHI      NHI               0.0    F
267036                                              Omit   Omit    Omit      Omit    10      NHI             50.0     C-
267060                                                18     12       7       NHI    10      NHI             68.1     C+
267093                                               NHI    NHI     NHI       NHI   NHI      NHI               0.0    F
268988                                                14      7       7        10   NHI      NHI             55.1     C-
269076                                                17      9       7       NHI    10      NHI      10     67.1     C+
269275                                                18      7     NHI        10    10       10             79.7     B
270098                                                17      7       7        10    10       10      10     89.9     A
345919                                               NHI    NHI     NHI       NHI   NHI      NHI               0.0    F
361548                                                17    NHI     NHI       NHI    10      NHI             39.1     F
490246                                                15     11       7        10    10       10             91.3     A
514993                                                14     12       7        10    10       10             91.3     A
653213                                                16     12       7        10    10       10      10     94.9     A
698243                                                14      7       7       NHI   NHI      NHI             40.6     F
882428                                                17     13       7       NHI    10       10             82.6     B




Pearson School Systems InteGrade Pro                                                                                Page 1 of 1

Spreadsheet Report

  • 1.
    Mr. Schreck Spreadsheet Report 29/Sep/2009 Digital Imaging 11 Crs:331 Sec:20 Spectrum Community School Digital Imaging 11 Weighted Type (Numeric Weighted Type) Task Type Task Scale Percent Class Std Dev # (weighted) Name Out Of Factor of Sprd Avg (%) Percent 1 Assignment Week 1 Questions 20 1.0 25.3 67.3 31.8 2 Assignment Week 1 Rulle of Thirds 12 1.0 15.2 53.1 41.8 3 Assignment Week 2 Questions 7 1.0 8.9 56.5 49.2 4 Assignment Week 2 Letters 10 1.0 12.7 37.5 49.5 5 Assignment Week 3 Basic Photo Corrections 10 1.0 12.7 48.0 51.0 6 Assignment Week 3 Enhancements 10 1.0 12.7 28.0 45.8 7 Assignment Week 4 Selections 10 1.0 12.7 100.0 0.0 Student Letter Number 1 2 3 4 5 6 7 % Grade 227561 17 12 NHI 10 10 10 85.5 A 266602 13 NHI 7 10 NHI NHI 43.5 F 266688 17 7 7 10 NHI NHI 59.4 C- 266696 19 NHI NHI NHI NHI NHI 27.5 F 266704 NHI NHI NHI NHI NHI NHI 0.0 F 266750 18 7 NHI NHI NHI NHI 36.2 F 266763 16 11 5 NHI NHI NHI 46.4 F 266837 18 12 7 NHI NHI NHI 53.6 C- 266848 13 7 6 NHI NHI NHI 37.7 F 266868 15 NHI NHI NHI 10 NHI 36.2 F 267010 NHI NHI NHI NHI NHI NHI 0.0 F 267036 Omit Omit Omit Omit 10 NHI 50.0 C- 267060 18 12 7 NHI 10 NHI 68.1 C+ 267093 NHI NHI NHI NHI NHI NHI 0.0 F 268988 14 7 7 10 NHI NHI 55.1 C- 269076 17 9 7 NHI 10 NHI 10 67.1 C+ 269275 18 7 NHI 10 10 10 79.7 B 270098 17 7 7 10 10 10 10 89.9 A 345919 NHI NHI NHI NHI NHI NHI 0.0 F 361548 17 NHI NHI NHI 10 NHI 39.1 F 490246 15 11 7 10 10 10 91.3 A 514993 14 12 7 10 10 10 91.3 A 653213 16 12 7 10 10 10 10 94.9 A 698243 14 7 7 NHI NHI NHI 40.6 F 882428 17 13 7 NHI 10 10 82.6 B Pearson School Systems InteGrade Pro Page 1 of 1