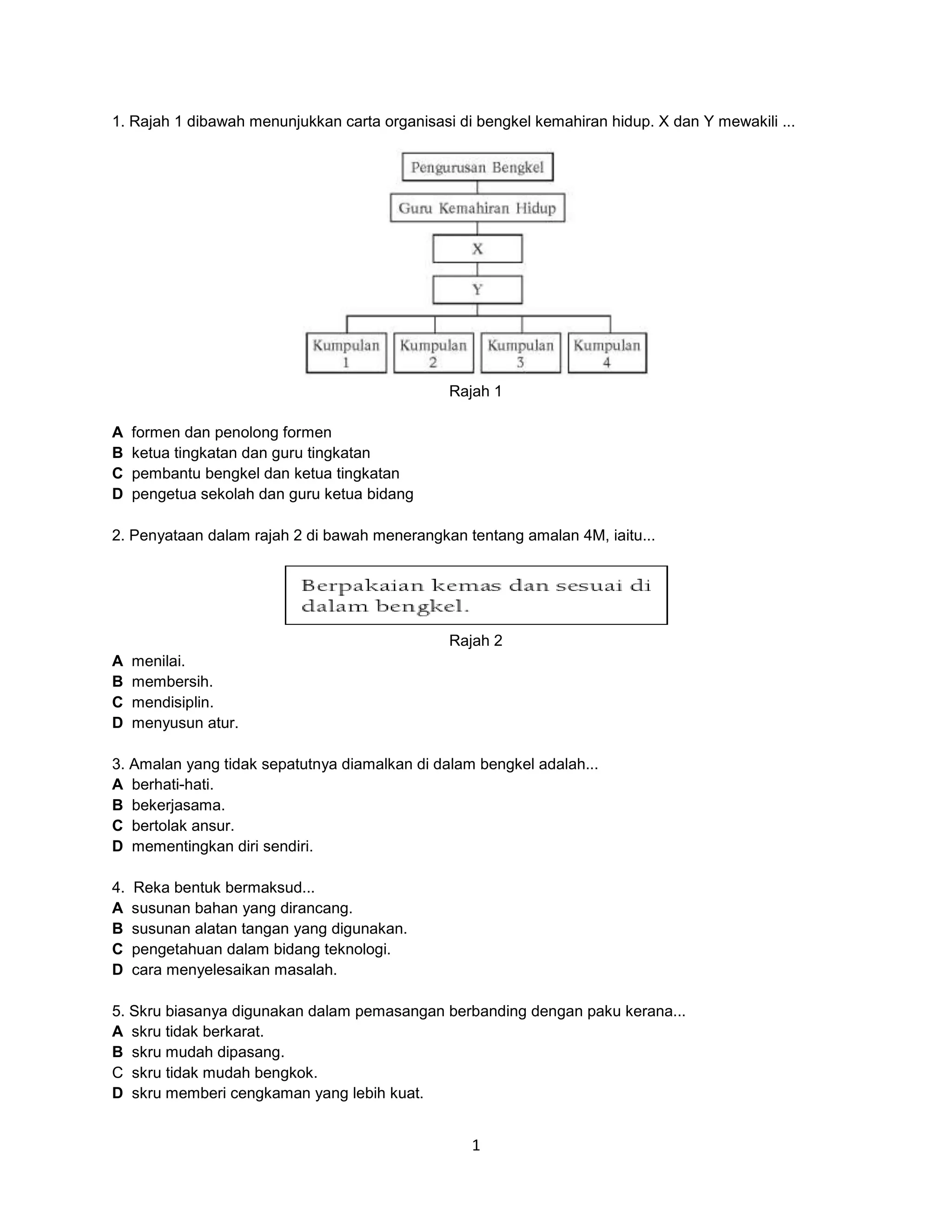
1. Rajah 1 dibawah menunjukkan carta organisasi di bengkel kemahiran hidup. X dan Y mewakili ...

Rajah 1
A
B
C
D

formen dan penolong formen
ketua tingkatan dan guru tingkatan
pembantu bengkel dan ketua tingkatan
pengetua sekolah dan guru ketua bidang

2. Penyataan dalam rajah 2 di bawah menerangkan tentang amalan 4M, iaitu...

Rajah 2
A
B
C
D

menilai.
membersih.
mendisiplin.
menyusun atur.

3. Amalan yang tidak sepatutnya diamalkan di dalam bengkel adalah...
A berhati-hati.
B bekerjasama.
C bertolak ansur.
D mementingkan diri sendiri.
4.
A
B
C
D

Reka bentuk bermaksud...
susunan bahan yang dirancang.
susunan alatan tangan yang digunakan.
pengetahuan dalam bidang teknologi.
cara menyelesaikan masalah.

5. Skru biasanya digunakan dalam pemasangan berbanding dengan paku kerana...
A skru tidak berkarat.
B skru mudah dipasang.
C skru tidak mudah bengkok.
D skru memberi cengkaman yang lebih kuat.

1
6. Rajah 3 di bawah menunjukkan...

Rajah 3
A
B
C
D

gerudi tangan.
gerudi engkol.
mesin gerudi lantai.
mesin gerudi mudah alih.

7. Kos pengeluaran seunit meliputi yang berikut kecuali..
A. kos upah.
B. kos overhed.
C. kos bahan mentah.
D.keuntungan yang dikehendaki.
8. Antara yang berikut, yang manakah menukarkan tenaga elektrik ke tenaga kinetik?
A. Seterika
B. kipas angin
C. radio
D. cerek elektrik
9. Berdasarkan kepada rajah 4 di bawah, apakah yang akan berlaku apabila bahagian X pada lampu

pendarfluor yang sedang bernyala dikeluarkan?

Rajah 4

A
B
C
D

Lampu akan padam.
Lampu akan berkelip-kelip
Lampu akan terus menyala.
Lampu tidak menyala tetapi berwarna merah
pada kedua-dua hujungnya.
2
10. Apakah warna wayar yang bersambung dengan tamatan Y pada plag 3 pin 13 ampere dalam rajah 5
di bawah ini?

Rajah 5
A
B
C
D

biru
perang
hijau berjalur kuning
biru berjalur perang

11. Paip manakah yang mengeluarkan bekalan air dari paip utama ke meter air?
A paip cuci
B paip limpah
C paip agihan
D paip perhubungan

12. Penyambung paip di dalam rajah 6 digunakan untuk...

Rajah 6
A menyambung paip yang sama diameter tanpa
memusingkan paip yang sedia ada.
B menyambung dua alat perpaipan yang
berdekatan dan sama diameternya.
C menyambung dua alat perpaipan yang
berdekatan dan berlainan diameternya.
D menyambung dua jenis paip yang berlainan
jenis.

3
13. Apakah kegunaan alatan tangan dalam rajah di atas?

Jadual 7
A membuat ulir luar pada paip besi bergalvani
B memegang atau mencengkam batang besi
bergalvani
C membuang gerigis luar pada paip besi selepas
dipotong
D memotong batang paip besi bergalvani dengan
tepat dan cepat.

14. Berdasarkan kepada rajah 8 dibawah, yang manakah punca air masih menitis dari perangkap selepas

kerja-kerja pengeluaran kotoran dilakukan?

Jadual 8

A
B
C
D

tekanan air terlalu tinggi
tidak menggunakan pita PTFE
simen pelarut tidak digunakan
bebenang pada plag barangan telah haus

4
15. Merujuk mesin jahit dalam rajah 9 di bawah, bahagian yang bertanda Y adalah....

Rajah 9
A
B
C
D

pemusing gelendung.
gigi penolak
roda imbang
ceper pemegang benang.

16. Jahitan hiasan yang ditunjukkan dalam rajah 10 di bawah adalah...

Rajah 10
A
B
C
D

jelujur
insang pari
silang pangkah
suji bilang

17. Apakah faktor utama yang menentukan hasil jahitan yang baik?
A kemahiran orang yang menggunakan mesin jahit
B had laju pergerakan mesin
C fungsi mesin yang canggih
D harga mesin yang mahal
18. Penyataan di dalam rajah 11 merujuk kepada penyediaan jenis keratan...

Rajah 11
A
B
C
D

kayu lembut.
kayu keras.
kayu sederhana keras.
kayu sederhana lembut.

5
19. Penyataan dalam rajah 12 dibawah berkaitan dengan aktiviti...

Rajah 12
A
B
C
D

merumput.
menggembur.
menyiram.
membaja.

20. Rajah 13 di bawah menunjukkan sejenis bahan pemasangan pada projek.

Rajah 13
Bahan pemasangan tersebut ialah...
A glu.
B engsel.
C braket.
D penyangkut.
21. Apakah tujuan utama pendokumentasian?
A supaya mudah membuat pengubahsuaian projek
B supaya dapat menyediakan jadual kerja
dengan terancang
C supaya kerja pembinaan menjadi lebih mudah
D supaya dapat dijadikan bukti perlindungan
paten bagi produk tersebut

6
22. Jalur P pada perintang tetap dalam rajah 14 di bawah ini mewakili...

Rajah 14
A
B
C
D

had terima.
bilangan sifar.
nilai angka kedua.
nilai angka pertama.

23. Alat pemateri elektrik dikelaskan mengikut...
A jenis bitnya.
B kadaran kuasanya.
C jenis bahan pemegangnya.
D jenis bahan pemanasnya.
24. Sesiku set dan sesiku T dapat digunakan untuk melukis sudut-sudut yang berikut, kecuali...
A 15°.
B 46°.
C 60°.
D 75°.
25. Garisan yang bertanda Y dalam lukisan di dalam rajah 15 di bawah merupakan...

Rajah 15
A
B
C
D

garisan penunjuk.
garisn objek.
garisan dimensi.
garisan unjuran.

7
26. Berdasarkan pada rajah 16 dibawah, yang manakah pandangan sisi objek dari X?

Rajah 16

27. Antara yang berikut merupakan tujuan membuat perancangan menu kecuali...
A menyediakan diet seimbang
B menjimatkan masa dan tenaga
C mengelakkan pembaziran makanan
D menyediakan hidangan yang banyak
28. Penyataan yang paling tepat menerangkan hidangan sepinggan lengkap ialah...
A mengandungi nutrien yang lengkap dalam
satu hidangan
B disaji secara berpek.
C disediakan sebagai hidangan utama.
D mudah disediakan..

8
29. Maksud etika makan ialah...
A sikap berjimat cermat semasa merancang
sajian.
B perancangan menu yang seimbang.
C adab dan sopan ketika makan
D kawalan mutu kebersihan makanan yang
disediakan.
30. Langkah pertama dalam proses reka cipta ialah...
A mengenal pasti masalah.
B mengumpulkan data.
C menganalisis maklumat.
D membuat perancangan.
31. Yang berikut merupakan faktor utama dalam pemilihan reka bentuk, kecuali...
A kaedah binaan.
B keselamatan produk.
C fungsi dan kegunaan projek.
D keuntungan daripada jualan.
32. Pada perancangan pembinaan, jadual kerja mesti disediakan untuk...
A mengurus projek dengan betul.
B menjimatkan masa pembinaan projek.
C memastikan tiada pembaziran berlaku.
D memastikan projek disiapkan dalam masa
yang ditetapkan.
33. Antara yang berikut, litar manakah yang menunjukkan litar siri-selari?

9
34. Kira jumlah rintangan dalam litar yang berikut.

35. Rajah 17 di bawah menunjukkan meter pelbagai. Apakah fungsi bahagian X?

Rajah 17
A memilih julat meter
B menguji keterusan litar
C melaraskan petunjuk meter pada bacaan
sifar semasa menguji rintangan
D melaraskan penunjuk meter pada bacaan
sifar untuk menguji arus dan voltan

10
36. Apakah fungsi fius perkhidmatan dalam unit kawalan utama bekalan elektrik domestik?
A menyambungkan dan memutuskan bekalan
elektrik ke rumah.
B berfungsi sebagai pengagih litar dan
pelindung lebihan arus
C menyukat dan merekodkan jumlah tenaga
elektrik yang digunakan
D memutuskan bekalan secara automatik jika
terdapat bekalan arus elektrik yang berlebihan
37. Kuasa yang terhasil dalam litar pada rajah 18 di bawah ini ialah...

Rajah 18
A
B
C
D

6 watt.
18 watt.
54 watt.
162 watt

38. Antara yang berikut, yang manakah adalah jenis pergerakan mekanikal?
A lurus dan bersudut
B serong dan lengkok
C lurus dan putaran
D lurus dan lengkok
39. Dalam rajah 19 di bawah, takal dipacu ditunjukkan oleh bahagian yang bertanda...

Rajah 19
A P.
B Q.

C R.
D S.

11
40. Antara gear yang berikut, yang manakah ditunjukkan dalam rajah 20 di bawah?

Rajah 20
A
B
C
D

gear taji
gear heliks
gear belitan
gear rak dan pinan

41. Antara penyataan yang berikut, yang manakah dapat menerangkan konsep pergerakan
elektromekanikal dengan paling tepat?
A jenis pergerakan secara putaran atau pusingan
B jenis pergerakan secara menegak dari atas ke
bawah atau sebaliknya
C pergerakan yang dihasilkan dengan menggunakan
takal dan gear
D pergerakan yang dihasilkan dengan menggunakan
sumber tenaga elektrik
42. Antara berikut yang manakah benar?
Sistem Mekanikal
A Menggunakan tenaga manual atau enjin
B Binaannya kompleks
C Tidak mempunyai komponen elektronik
D Sistem yang membolehkan suatu
peralatan bergerak

Sistem elektromekanikal
Menggunakan tenaga elektrik
Binaannya mudah
Menggunakan motor dan komponen elektronik
Produk yang dihasilkan lebih kecil dan mudah
dikendalikan

43. Yang berikut merupakan keperluan asas, kecuali...
A pakaian.
B makanan.
C pendidikan.
D tempat kediaman.
44. Apakah kepentingan perniagaan kepada individu, masyarakat, dan negara?
A meninggikan taraf hidup
B menyediakan peluang kerjaya
C memenuhi keperluan dan kehendak
D menggalakkan sifat materialistik dan individualistik

12
45. Apakah yang dimaksudkan dengan sistem barter dalam perniagaan?
A Perniagaan sewa beli
B Perniagaan menukar barang dengan barang
C Perniagaan yang memberi kemudahan kredit
kepada pelanggan
D Perniagaan yang menggunakan kemudahan
kad kredit
46. Antara peniaga yang berikut, siapakah yang membeli dan menjual dalam kuantiti yang kecil?
A peruncit
B pengeluar
C pengilang
D pemborong
47. Antara yang berikut, yang manakah kebaikan milikan tunggal berbanding dengan perkongsian?
A liabiliti yang terhad
B modal yang dikongsikan
C risiko perniagaan dapat diagihkan
D bebas mengurus perniagaan dan membuat
keputusan
48. Rajah 20 di bawah menunjukkan paksi simetri lukisan isometrik.

Rajah 20
Berapakah sudut X?
A 30°
B 60°
C 90°
D 120°

13
49. Berdasarkan rajah 21 di bawah, bilangan garisan yang bukan isometri ialah...

Rajah 21
A 2.
B 4.

C 5.
D 6.

50. Lukisan hamparan di rajah 22 di bawah ini sesuai untuk objek...

Rajah 22

14
51. Rajah 23 di bawah ini menunjukkan cara melukis hamparan kon dengan kaedah...

Rajah 23
A
B
C
D

jejari.
lurus.
selari.
unjuran.

52. Antara yang berikut, keadaan pada X - X manakah yang betul bagi objek di rajah 24 di bawah?

Rajah 24

15
53. Diod yang menukarkan arus ulang-alik kepada arus terus ialah...
A diod zener.
B diod isyarat.
C diod kuasa.
D diod pemancar cahaya.
54. Nilai rintangan L.D.R akan bertambah apabila L.D.R...
A ditutup kepada cahaya.
B didedahkan kepada cahaya.
C digunakan bersama perintang.
D digunakan bersama kapasitor.
55. Bandingkan kedua-dua litar bergambar dan litar skematik di rajah 25 di bawah. Komponen manakah
yang tidak ditunjukkan dalam litar bergambar?

Rajah 25
A
B
C
D

transistor
kapasitor
perintang
diod pemancar cahaya

16
56. Antara yang berikut, manakah yang menunjukkan bilangan komponen yang digunakan dalam lukisan
skematik dalam rajah 26 di bawah?

Rajah 26

57. Penyataan pada rajah 27 di bawah menunjukkan Encik Long seorang ...

Rajah 27
A
B
C
D

usahawan.
industralis.
tauke burger.
peniaga yang pandai mengambil peluang

17
58. Berdasarkan pernyataan dalam rajah 28 di bawah, apakah ciri usahawan yang dimiliki oleh Azizul?

Azizul menjalankan perniagaan menjual
kristal yang dieksport ke Jepun. Apabila
sampai di Jepun, kebanyakan kristal
tersebut telah rosak.
Rajah 28
A bijak mengambil peluang
B sanggup menghadapi risiko
C daya usaha yang berterusan
D sentiasa berusaha untuk berjaya
59. Apakah yang dimaksudkan dengan bidang ekstraktif?
A kegiatan perniagaan yang berasaskan
perkhidmatan
B kegiatan menghasilkan barang-barang
perantaraan
C kegiatan memproses bahan mentah ke bahan
separa siap
D kegiatan mengeluarkan bahan mentah
60. Antara yang berikut, yang manakah adalah peranan SIRIM?
A membantu kaum bumiputera dalam kegiatan
perniagaan.
B menjalankan kajian dan penyelidikan
terhadap pengeluaran tanaman.
C memajukan dan menyelaraskan kegiatan
pembangunan perindustrian.
D memastikan barang keluaran tempatan
mencapai tahap mutu yang ditetapkan.

18

Soalan Kemahiran teknikal mac 2013

  • 1.
    1. Rajah 1dibawah menunjukkan carta organisasi di bengkel kemahiran hidup. X dan Y mewakili ... Rajah 1 A B C D formen dan penolong formen ketua tingkatan dan guru tingkatan pembantu bengkel dan ketua tingkatan pengetua sekolah dan guru ketua bidang 2. Penyataan dalam rajah 2 di bawah menerangkan tentang amalan 4M, iaitu... Rajah 2 A B C D menilai. membersih. mendisiplin. menyusun atur. 3. Amalan yang tidak sepatutnya diamalkan di dalam bengkel adalah... A berhati-hati. B bekerjasama. C bertolak ansur. D mementingkan diri sendiri. 4. A B C D Reka bentuk bermaksud... susunan bahan yang dirancang. susunan alatan tangan yang digunakan. pengetahuan dalam bidang teknologi. cara menyelesaikan masalah. 5. Skru biasanya digunakan dalam pemasangan berbanding dengan paku kerana... A skru tidak berkarat. B skru mudah dipasang. C skru tidak mudah bengkok. D skru memberi cengkaman yang lebih kuat. 1
  • 2.
    6. Rajah 3di bawah menunjukkan... Rajah 3 A B C D gerudi tangan. gerudi engkol. mesin gerudi lantai. mesin gerudi mudah alih. 7. Kos pengeluaran seunit meliputi yang berikut kecuali.. A. kos upah. B. kos overhed. C. kos bahan mentah. D.keuntungan yang dikehendaki. 8. Antara yang berikut, yang manakah menukarkan tenaga elektrik ke tenaga kinetik? A. Seterika B. kipas angin C. radio D. cerek elektrik 9. Berdasarkan kepada rajah 4 di bawah, apakah yang akan berlaku apabila bahagian X pada lampu pendarfluor yang sedang bernyala dikeluarkan? Rajah 4 A B C D Lampu akan padam. Lampu akan berkelip-kelip Lampu akan terus menyala. Lampu tidak menyala tetapi berwarna merah pada kedua-dua hujungnya. 2
  • 3.
    10. Apakah warnawayar yang bersambung dengan tamatan Y pada plag 3 pin 13 ampere dalam rajah 5 di bawah ini? Rajah 5 A B C D biru perang hijau berjalur kuning biru berjalur perang 11. Paip manakah yang mengeluarkan bekalan air dari paip utama ke meter air? A paip cuci B paip limpah C paip agihan D paip perhubungan 12. Penyambung paip di dalam rajah 6 digunakan untuk... Rajah 6 A menyambung paip yang sama diameter tanpa memusingkan paip yang sedia ada. B menyambung dua alat perpaipan yang berdekatan dan sama diameternya. C menyambung dua alat perpaipan yang berdekatan dan berlainan diameternya. D menyambung dua jenis paip yang berlainan jenis. 3
  • 4.
    13. Apakah kegunaanalatan tangan dalam rajah di atas? Jadual 7 A membuat ulir luar pada paip besi bergalvani B memegang atau mencengkam batang besi bergalvani C membuang gerigis luar pada paip besi selepas dipotong D memotong batang paip besi bergalvani dengan tepat dan cepat. 14. Berdasarkan kepada rajah 8 dibawah, yang manakah punca air masih menitis dari perangkap selepas kerja-kerja pengeluaran kotoran dilakukan? Jadual 8 A B C D tekanan air terlalu tinggi tidak menggunakan pita PTFE simen pelarut tidak digunakan bebenang pada plag barangan telah haus 4
  • 5.
    15. Merujuk mesinjahit dalam rajah 9 di bawah, bahagian yang bertanda Y adalah.... Rajah 9 A B C D pemusing gelendung. gigi penolak roda imbang ceper pemegang benang. 16. Jahitan hiasan yang ditunjukkan dalam rajah 10 di bawah adalah... Rajah 10 A B C D jelujur insang pari silang pangkah suji bilang 17. Apakah faktor utama yang menentukan hasil jahitan yang baik? A kemahiran orang yang menggunakan mesin jahit B had laju pergerakan mesin C fungsi mesin yang canggih D harga mesin yang mahal 18. Penyataan di dalam rajah 11 merujuk kepada penyediaan jenis keratan... Rajah 11 A B C D kayu lembut. kayu keras. kayu sederhana keras. kayu sederhana lembut. 5
  • 6.
    19. Penyataan dalamrajah 12 dibawah berkaitan dengan aktiviti... Rajah 12 A B C D merumput. menggembur. menyiram. membaja. 20. Rajah 13 di bawah menunjukkan sejenis bahan pemasangan pada projek. Rajah 13 Bahan pemasangan tersebut ialah... A glu. B engsel. C braket. D penyangkut. 21. Apakah tujuan utama pendokumentasian? A supaya mudah membuat pengubahsuaian projek B supaya dapat menyediakan jadual kerja dengan terancang C supaya kerja pembinaan menjadi lebih mudah D supaya dapat dijadikan bukti perlindungan paten bagi produk tersebut 6
  • 7.
    22. Jalur Ppada perintang tetap dalam rajah 14 di bawah ini mewakili... Rajah 14 A B C D had terima. bilangan sifar. nilai angka kedua. nilai angka pertama. 23. Alat pemateri elektrik dikelaskan mengikut... A jenis bitnya. B kadaran kuasanya. C jenis bahan pemegangnya. D jenis bahan pemanasnya. 24. Sesiku set dan sesiku T dapat digunakan untuk melukis sudut-sudut yang berikut, kecuali... A 15°. B 46°. C 60°. D 75°. 25. Garisan yang bertanda Y dalam lukisan di dalam rajah 15 di bawah merupakan... Rajah 15 A B C D garisan penunjuk. garisn objek. garisan dimensi. garisan unjuran. 7
  • 8.
    26. Berdasarkan padarajah 16 dibawah, yang manakah pandangan sisi objek dari X? Rajah 16 27. Antara yang berikut merupakan tujuan membuat perancangan menu kecuali... A menyediakan diet seimbang B menjimatkan masa dan tenaga C mengelakkan pembaziran makanan D menyediakan hidangan yang banyak 28. Penyataan yang paling tepat menerangkan hidangan sepinggan lengkap ialah... A mengandungi nutrien yang lengkap dalam satu hidangan B disaji secara berpek. C disediakan sebagai hidangan utama. D mudah disediakan.. 8
  • 9.
    29. Maksud etikamakan ialah... A sikap berjimat cermat semasa merancang sajian. B perancangan menu yang seimbang. C adab dan sopan ketika makan D kawalan mutu kebersihan makanan yang disediakan. 30. Langkah pertama dalam proses reka cipta ialah... A mengenal pasti masalah. B mengumpulkan data. C menganalisis maklumat. D membuat perancangan. 31. Yang berikut merupakan faktor utama dalam pemilihan reka bentuk, kecuali... A kaedah binaan. B keselamatan produk. C fungsi dan kegunaan projek. D keuntungan daripada jualan. 32. Pada perancangan pembinaan, jadual kerja mesti disediakan untuk... A mengurus projek dengan betul. B menjimatkan masa pembinaan projek. C memastikan tiada pembaziran berlaku. D memastikan projek disiapkan dalam masa yang ditetapkan. 33. Antara yang berikut, litar manakah yang menunjukkan litar siri-selari? 9
  • 10.
    34. Kira jumlahrintangan dalam litar yang berikut. 35. Rajah 17 di bawah menunjukkan meter pelbagai. Apakah fungsi bahagian X? Rajah 17 A memilih julat meter B menguji keterusan litar C melaraskan petunjuk meter pada bacaan sifar semasa menguji rintangan D melaraskan penunjuk meter pada bacaan sifar untuk menguji arus dan voltan 10
  • 11.
    36. Apakah fungsifius perkhidmatan dalam unit kawalan utama bekalan elektrik domestik? A menyambungkan dan memutuskan bekalan elektrik ke rumah. B berfungsi sebagai pengagih litar dan pelindung lebihan arus C menyukat dan merekodkan jumlah tenaga elektrik yang digunakan D memutuskan bekalan secara automatik jika terdapat bekalan arus elektrik yang berlebihan 37. Kuasa yang terhasil dalam litar pada rajah 18 di bawah ini ialah... Rajah 18 A B C D 6 watt. 18 watt. 54 watt. 162 watt 38. Antara yang berikut, yang manakah adalah jenis pergerakan mekanikal? A lurus dan bersudut B serong dan lengkok C lurus dan putaran D lurus dan lengkok 39. Dalam rajah 19 di bawah, takal dipacu ditunjukkan oleh bahagian yang bertanda... Rajah 19 A P. B Q. C R. D S. 11
  • 12.
    40. Antara gearyang berikut, yang manakah ditunjukkan dalam rajah 20 di bawah? Rajah 20 A B C D gear taji gear heliks gear belitan gear rak dan pinan 41. Antara penyataan yang berikut, yang manakah dapat menerangkan konsep pergerakan elektromekanikal dengan paling tepat? A jenis pergerakan secara putaran atau pusingan B jenis pergerakan secara menegak dari atas ke bawah atau sebaliknya C pergerakan yang dihasilkan dengan menggunakan takal dan gear D pergerakan yang dihasilkan dengan menggunakan sumber tenaga elektrik 42. Antara berikut yang manakah benar? Sistem Mekanikal A Menggunakan tenaga manual atau enjin B Binaannya kompleks C Tidak mempunyai komponen elektronik D Sistem yang membolehkan suatu peralatan bergerak Sistem elektromekanikal Menggunakan tenaga elektrik Binaannya mudah Menggunakan motor dan komponen elektronik Produk yang dihasilkan lebih kecil dan mudah dikendalikan 43. Yang berikut merupakan keperluan asas, kecuali... A pakaian. B makanan. C pendidikan. D tempat kediaman. 44. Apakah kepentingan perniagaan kepada individu, masyarakat, dan negara? A meninggikan taraf hidup B menyediakan peluang kerjaya C memenuhi keperluan dan kehendak D menggalakkan sifat materialistik dan individualistik 12
  • 13.
    45. Apakah yangdimaksudkan dengan sistem barter dalam perniagaan? A Perniagaan sewa beli B Perniagaan menukar barang dengan barang C Perniagaan yang memberi kemudahan kredit kepada pelanggan D Perniagaan yang menggunakan kemudahan kad kredit 46. Antara peniaga yang berikut, siapakah yang membeli dan menjual dalam kuantiti yang kecil? A peruncit B pengeluar C pengilang D pemborong 47. Antara yang berikut, yang manakah kebaikan milikan tunggal berbanding dengan perkongsian? A liabiliti yang terhad B modal yang dikongsikan C risiko perniagaan dapat diagihkan D bebas mengurus perniagaan dan membuat keputusan 48. Rajah 20 di bawah menunjukkan paksi simetri lukisan isometrik. Rajah 20 Berapakah sudut X? A 30° B 60° C 90° D 120° 13
  • 14.
    49. Berdasarkan rajah21 di bawah, bilangan garisan yang bukan isometri ialah... Rajah 21 A 2. B 4. C 5. D 6. 50. Lukisan hamparan di rajah 22 di bawah ini sesuai untuk objek... Rajah 22 14
  • 15.
    51. Rajah 23di bawah ini menunjukkan cara melukis hamparan kon dengan kaedah... Rajah 23 A B C D jejari. lurus. selari. unjuran. 52. Antara yang berikut, keadaan pada X - X manakah yang betul bagi objek di rajah 24 di bawah? Rajah 24 15
  • 16.
    53. Diod yangmenukarkan arus ulang-alik kepada arus terus ialah... A diod zener. B diod isyarat. C diod kuasa. D diod pemancar cahaya. 54. Nilai rintangan L.D.R akan bertambah apabila L.D.R... A ditutup kepada cahaya. B didedahkan kepada cahaya. C digunakan bersama perintang. D digunakan bersama kapasitor. 55. Bandingkan kedua-dua litar bergambar dan litar skematik di rajah 25 di bawah. Komponen manakah yang tidak ditunjukkan dalam litar bergambar? Rajah 25 A B C D transistor kapasitor perintang diod pemancar cahaya 16
  • 17.
    56. Antara yangberikut, manakah yang menunjukkan bilangan komponen yang digunakan dalam lukisan skematik dalam rajah 26 di bawah? Rajah 26 57. Penyataan pada rajah 27 di bawah menunjukkan Encik Long seorang ... Rajah 27 A B C D usahawan. industralis. tauke burger. peniaga yang pandai mengambil peluang 17
  • 18.
    58. Berdasarkan pernyataandalam rajah 28 di bawah, apakah ciri usahawan yang dimiliki oleh Azizul? Azizul menjalankan perniagaan menjual kristal yang dieksport ke Jepun. Apabila sampai di Jepun, kebanyakan kristal tersebut telah rosak. Rajah 28 A bijak mengambil peluang B sanggup menghadapi risiko C daya usaha yang berterusan D sentiasa berusaha untuk berjaya 59. Apakah yang dimaksudkan dengan bidang ekstraktif? A kegiatan perniagaan yang berasaskan perkhidmatan B kegiatan menghasilkan barang-barang perantaraan C kegiatan memproses bahan mentah ke bahan separa siap D kegiatan mengeluarkan bahan mentah 60. Antara yang berikut, yang manakah adalah peranan SIRIM? A membantu kaum bumiputera dalam kegiatan perniagaan. B menjalankan kajian dan penyelidikan terhadap pengeluaran tanaman. C memajukan dan menyelaraskan kegiatan pembangunan perindustrian. D memastikan barang keluaran tempatan mencapai tahap mutu yang ditetapkan. 18