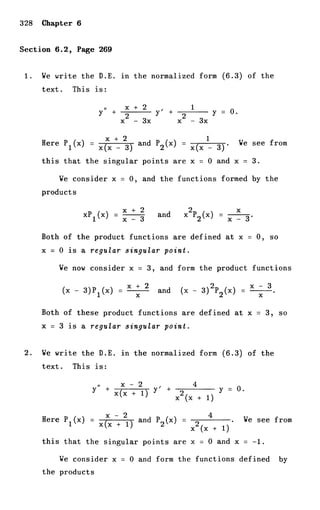
Embed presentation
Downloaded 10 times














































































































































































































































































































































































































































































































































































































































































































































































































































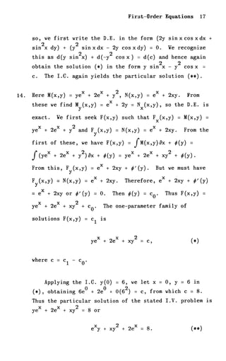
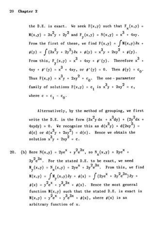
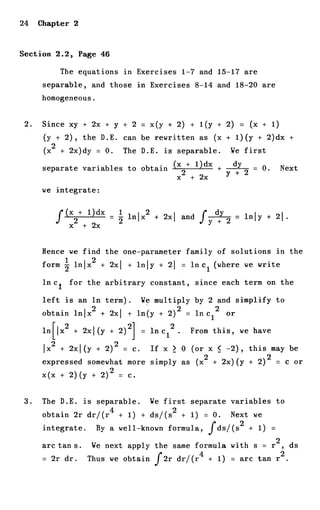
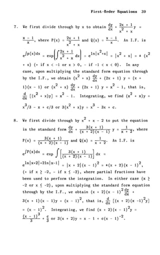
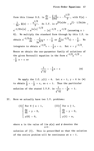
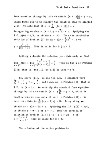
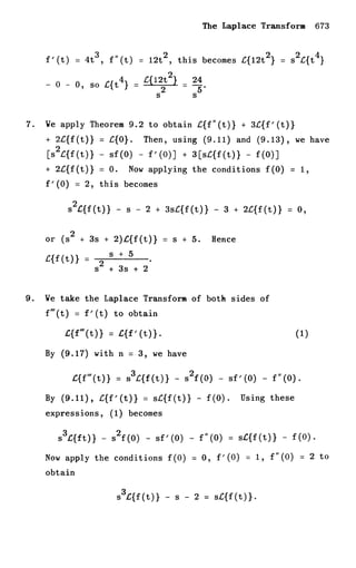
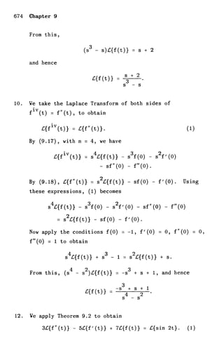
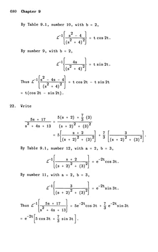
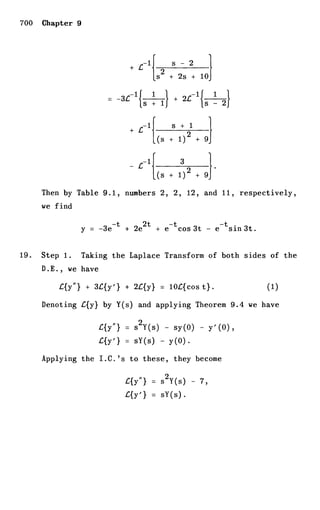
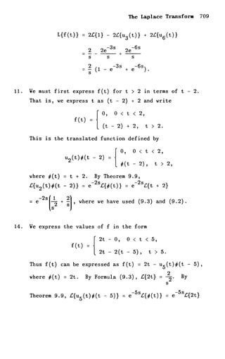
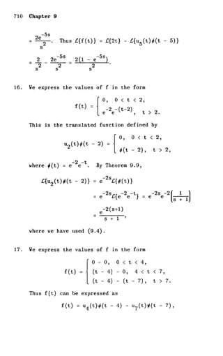
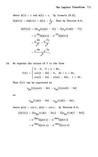
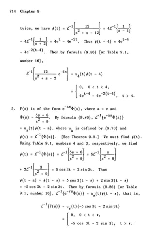
This document describes a new type of battery that is safer and longer-lasting than current lithium-ion batteries. It works by using sodium ions rather than lithium ions and two different solid materials for the anode and cathode. Sodium-ion batteries could provide cities and homes with safe, affordable and sustainable energy storage to power electronics and store energy from solar and wind power.












































































































































































































































































































































































































































































































































































































































































































































































































































