Productos              Unidades en existencia
Bebidas                                    559
Carnes                                     165
Condimentos                                507
Frutas/Verduras                            100
Granos/Cereales                            308
Lácteos                                    393
Pescado/Marisco                            701
Repostería                                 386




                                            Chart Title
                             Repostería
                                12%
                                                        Bebidas
                                                         18%                Carnes
         Pescado/Marisco                                                      5%
               23%
                                                                  Condimentos
                                                                     16%
                                      Lácteos
                                        13%



                                                        Granos/Cereales Frutas/Verduras
                                                             10%              3%




                                 Unidades en existencia
                                            Unidades en existencia


            Repostería                    386

    Pescado/Marisco                                     701

              Lácteos                     393

     Granos/Cereales                308

     Frutas/Verduras       100

          Condimentos                           507

               Carnes        165

              Bebidas                             559
PAIS             CLIENTES
ALEMANIA                    11
ARGENTINA                   3
AUSTRIA                     2
BELGICA                     2
BRASIL                      9
CANADA                      3
DINAMARCA                   2
ESPAÑA                      5
ESTADOS UNIDOS              13
FINLANDIA                   2
FRANCIA                     11
IRLANDA                     1
ITALIA                      3
MEXICO                      5
NORUEGA                     1
POLONIA                     1
PORTUGAL                    2
REINO UNIDO                 7
SUECIA                      2
SUIZA                       2
VENEZUELA                   4
14   CLIENTES
12

10

8

6
                CLIENTES

4

2

0
PAIS             CLIENTES
ALEMANIA                    11
ARGENTINA                   3
AUSTRIA                     2
BELGICA                     2
BRASIL                      9
CANADA                      3
DINAMARCA                   2
ESPAÑA                      5
ESTADOS UNIDOS              13
FINLANDIA                   2
FRANCIA                     11
IRLANDA                     1
ITALIA                      3
MEXICO                      5
NORUEGA                     1
POLONIA                     1
PORTUGAL                    2
REINO UNIDO                 7
SUECIA                      2
SUIZA                       2
VENEZUELA                   4
SUECIA
                        2% SUIZA
                                   CLIENTES
PORTUGAL                      2%   VENEZUELA      ALEMANIA          ARGENTINA
   2%                                 4%             12%                3%
              REINO UNIDO                                    AUSTRIA
     POLONIA      8%                                           2%
       1% NORUEGA                                               BELGICA
                                                                   2%
      MEXICO 1%
       5%                                                           BRASIL
           ITALIA                                                    10%
             3%        FRANCIA
                         12%                                        CANADA
           IRLANDA                                                    3%
              1%
                                                                DINAMARCA
                                                             ESPAÑA 2%
                            FINLANDIA   ESTADOS UNIDOS         5%
                                2%           14%
Empleado    Abril          Mayo         Junio
Buchanan, Steven       $3,918.71    $4,937.57    $6,418.85
Callahan, Laura        $7,487.88    $9,434.73   $12,265.15
Davolio, Nancy         $8,836.64   $11,134.17   $14,474.42
Dodsworth, Anne        $3,326.26    $3,958.25    $5,145.72
Fuller, Andrew         $8,696.41   $10,348.73   $13,453.35
King, Robert           $6,665.44    $7,931.87   $10,311.44
Leverling, Janet      $10,884.74   $12,299.76   $15,989.68
Peacock, Margaret     $11,346.14   $12,821.14   $16,667.48
Suyama, Michael        $3,780.47    $4,271.93    $5,553.51




   14
   12
   10
    8
    6
    4
    2                                                        CLIENTES
    0




               14

               12

               10

                 8

                 6                                           CLIENTES

                 4

                 2

                 0
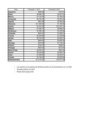
País             Trimestre 1 2011          Trimestre 2 2011
Argentina                               $598.58                   $742.24
Brasil                                 $4,880.19                 $6,051.44
México                                 $1,122.78                 $1,392.25
Venezuela                              $2,735.18                 $3,391.62
España                                  $861.89                  $3,583.09
Alemania                              $11,283.28                 $1,129.08
Austria                                $7,391.50                $14,781.10
Bélgica                                $1,280.14                 $9,682.87
Dinamarca                              $1,396.19                 $1,676.98
Finlandia                               $943.27                  $1,829.01
Francia                                $4,205.46                 $1,235.68
Irlanda                                $2,755.24                 $5,509.15
Italia                                  $864.44                  $3,609.36
Noruega                                 $275.50                  $1,132.42
Polonia                                 $163.70                   $360.91
Portugal                                $643.53                   $214.45
Reino Unido                            $2,943.31                  $843.02
Suecia                                 $3,248.56                 $3,855.74
Suiza                                  $1,368.53                 $4,255.61
Canadá                                 $2,198.09                 $2,659.69
EstadosUnidos                         $13,783.33                $16,677.83



          -   Las ventas en los países de América Latina se incrementaron en un 24%
          -   Canadá y EEUU un 31%
          -   Países de Europa 21%
10
                                              12
                                                   14




                  2
                        4
                                 6
                                     8




              0
  ALEMANIA
 ARGENTINA
   AUSTRIA
    BELGICA
     BRASIL
    CANADA
DINAMARCA
    ESPAÑA
   ESTADOS…
  FINLANDIA
   FRANCIA
   IRLANDA
     ITALIA
    MEXICO
  NORUEGA
   POLONIA
  PORTUGAL
REINO UNIDO
     SUECIA
      SUIZA
 VENEZUELA
                      CLIENTES
País   Trimestre 1 2011Trimestre 2
                                      2011
Argentina                 $598.58      $742.24
Brasil                  $4,880.19    $6,051.44
México                  $1,122.78    $1,392.25
Venezuela               $2,735.18    $3,391.62
España                   $861.89     $3,583.09
Alemania              $11,283.28     $1,129.08
Austria                 $7,391.50   $14,781.10
Bélgica                 $1,280.14    $9,682.87
Dinamarca               $1,396.19    $1,676.98
Finlandia                $943.27     $1,829.01
Francia                 $4,205.46    $1,235.68
Irlanda                 $2,755.24    $5,509.15
Italia                   $864.44     $3,609.36
Noruega                  $275.50     $1,132.42
Polonia                  $163.70      $360.91
Portugal                 $643.53      $214.45
Reino Unido             $2,943.31     $843.02
Suecia                  $3,248.56    $3,855.74
Suiza                   $1,368.53    $4,255.61
Canadá                  $2,198.09    $2,659.69
EstadosUnidos         $13,783.33    $16,677.83
$20,000.00



                                       $0.00




                           Argentina
                             México
                             España
Trimestre 1 2011             Austria
                         Dinamarca
                           Francia
                             Italia
                                                            Chart Title




                          Polonia
                      Reino Unido
Trimestre 2 2011




                           Suiza
                   EstadosUnidos

Segunda a

  • 1.
    Productos Unidades en existencia Bebidas 559 Carnes 165 Condimentos 507 Frutas/Verduras 100 Granos/Cereales 308 Lácteos 393 Pescado/Marisco 701 Repostería 386 Chart Title Repostería 12% Bebidas 18% Carnes Pescado/Marisco 5% 23% Condimentos 16% Lácteos 13% Granos/Cereales Frutas/Verduras 10% 3% Unidades en existencia Unidades en existencia Repostería 386 Pescado/Marisco 701 Lácteos 393 Granos/Cereales 308 Frutas/Verduras 100 Condimentos 507 Carnes 165 Bebidas 559
  • 3.
    PAIS CLIENTES ALEMANIA 11 ARGENTINA 3 AUSTRIA 2 BELGICA 2 BRASIL 9 CANADA 3 DINAMARCA 2 ESPAÑA 5 ESTADOS UNIDOS 13 FINLANDIA 2 FRANCIA 11 IRLANDA 1 ITALIA 3 MEXICO 5 NORUEGA 1 POLONIA 1 PORTUGAL 2 REINO UNIDO 7 SUECIA 2 SUIZA 2 VENEZUELA 4
  • 4.
    14 CLIENTES 12 10 8 6 CLIENTES 4 2 0
  • 5.
    PAIS CLIENTES ALEMANIA 11 ARGENTINA 3 AUSTRIA 2 BELGICA 2 BRASIL 9 CANADA 3 DINAMARCA 2 ESPAÑA 5 ESTADOS UNIDOS 13 FINLANDIA 2 FRANCIA 11 IRLANDA 1 ITALIA 3 MEXICO 5 NORUEGA 1 POLONIA 1 PORTUGAL 2 REINO UNIDO 7 SUECIA 2 SUIZA 2 VENEZUELA 4
  • 6.
    SUECIA 2% SUIZA CLIENTES PORTUGAL 2% VENEZUELA ALEMANIA ARGENTINA 2% 4% 12% 3% REINO UNIDO AUSTRIA POLONIA 8% 2% 1% NORUEGA BELGICA 2% MEXICO 1% 5% BRASIL ITALIA 10% 3% FRANCIA 12% CANADA IRLANDA 3% 1% DINAMARCA ESPAÑA 2% FINLANDIA ESTADOS UNIDOS 5% 2% 14%
  • 7.
    Empleado Abril Mayo Junio Buchanan, Steven $3,918.71 $4,937.57 $6,418.85 Callahan, Laura $7,487.88 $9,434.73 $12,265.15 Davolio, Nancy $8,836.64 $11,134.17 $14,474.42 Dodsworth, Anne $3,326.26 $3,958.25 $5,145.72 Fuller, Andrew $8,696.41 $10,348.73 $13,453.35 King, Robert $6,665.44 $7,931.87 $10,311.44 Leverling, Janet $10,884.74 $12,299.76 $15,989.68 Peacock, Margaret $11,346.14 $12,821.14 $16,667.48 Suyama, Michael $3,780.47 $4,271.93 $5,553.51 14 12 10 8 6 4 2 CLIENTES 0 14 12 10 8 6 CLIENTES 4 2 0
  • 9.
    País Trimestre 1 2011 Trimestre 2 2011 Argentina $598.58 $742.24 Brasil $4,880.19 $6,051.44 México $1,122.78 $1,392.25 Venezuela $2,735.18 $3,391.62 España $861.89 $3,583.09 Alemania $11,283.28 $1,129.08 Austria $7,391.50 $14,781.10 Bélgica $1,280.14 $9,682.87 Dinamarca $1,396.19 $1,676.98 Finlandia $943.27 $1,829.01 Francia $4,205.46 $1,235.68 Irlanda $2,755.24 $5,509.15 Italia $864.44 $3,609.36 Noruega $275.50 $1,132.42 Polonia $163.70 $360.91 Portugal $643.53 $214.45 Reino Unido $2,943.31 $843.02 Suecia $3,248.56 $3,855.74 Suiza $1,368.53 $4,255.61 Canadá $2,198.09 $2,659.69 EstadosUnidos $13,783.33 $16,677.83 - Las ventas en los países de América Latina se incrementaron en un 24% - Canadá y EEUU un 31% - Países de Europa 21%
  • 10.
    10 12 14 2 4 6 8 0 ALEMANIA ARGENTINA AUSTRIA BELGICA BRASIL CANADA DINAMARCA ESPAÑA ESTADOS… FINLANDIA FRANCIA IRLANDA ITALIA MEXICO NORUEGA POLONIA PORTUGAL REINO UNIDO SUECIA SUIZA VENEZUELA CLIENTES
  • 11.
    País Trimestre 1 2011Trimestre 2 2011 Argentina $598.58 $742.24 Brasil $4,880.19 $6,051.44 México $1,122.78 $1,392.25 Venezuela $2,735.18 $3,391.62 España $861.89 $3,583.09 Alemania $11,283.28 $1,129.08 Austria $7,391.50 $14,781.10 Bélgica $1,280.14 $9,682.87 Dinamarca $1,396.19 $1,676.98 Finlandia $943.27 $1,829.01 Francia $4,205.46 $1,235.68 Irlanda $2,755.24 $5,509.15 Italia $864.44 $3,609.36 Noruega $275.50 $1,132.42 Polonia $163.70 $360.91 Portugal $643.53 $214.45 Reino Unido $2,943.31 $843.02 Suecia $3,248.56 $3,855.74 Suiza $1,368.53 $4,255.61 Canadá $2,198.09 $2,659.69 EstadosUnidos $13,783.33 $16,677.83
  • 12.
    $20,000.00 $0.00 Argentina México España Trimestre 1 2011 Austria Dinamarca Francia Italia Chart Title Polonia Reino Unido Trimestre 2 2011 Suiza EstadosUnidos