School Bus Alerting System
Contents
• Introduction
• Literature Survey
• Problem Statement
• Motivation
• Objectives
• System Requirements
• System Architecture
• Proposed System
• Algorithm
• Flow Diagram
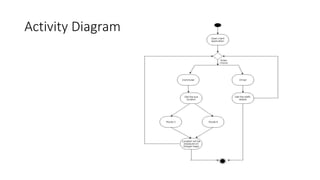
• Activity Diagram
• Class Diagram
• Advantages
• Applications
• Conclusion
• References
Introduction
• Many city faces severe problems of road congestion and associated issues of commuters,
which include delays in the arrival of buses at bus stops, lack of information about
different bus routes and stops and time.
• School students/staffs will miss their bus by a fraction of second.
• This will lead to many problems like being late for the classes and sometimes late for the
exams also.
• To overcome this, we have implemented a Smart Bus Tracking System. This system is
used to track the school buses.
• The proposed system uses a Smartphone application.
• Buses carry Global Positioning System (GPS) devices to track their positions and Google
Maps API is used to display the vehicle on the map in the Smartphone application.
• It shows where exactly the bus is there on the map and provides updated information to
the user at different time intervals. This also displays the estimated arrival time, which
helps the user to know when exactly the bus is going to reach his/her stop.
Literature Survey
[1] Sridevi, K., Jeevitha, A., Kavitha, K., Sathya, K. and Narmada, K., 2017.
Smart bus tracking and management system using IoT. Asian Journal of Applied Science and
Technology (AJAST) Volume, 1. In this paper the Bus tracking application is used that tracks a bus
and gathers the distance to each station along its route. Based on IoT this project is implemented as
Android application. It uses RTC to show where buses are on a map and provide students and staffs
the updated information at different time interval. Simple mode of communication is the key feature
of the proposed system.
[2] Jemilda, G., Krishnan, R.B., Johnson, B. and Sangeeth, G.L., 2015.
Mobile application for college bus tracking. International journal of computer science and mobile
computing, 4(3), pp.500-507. This paper proposes an Android mobile phone application that gives
information about buses, bus numbers as well as bus routes both online and offline. It uses GPS and
Client-Server Technology to give the precise location of the bus as well as the estimate remaining
time for the bus to reach the destination. In this system Two Android applications are designed one
for the driver to update the location to the server and one for the user.
Literature Survey
[3] Gull, H., Aljohar, D., Alutaibi, R., Alqahtani, D., Alarfaj, M. and Alqahtani, R., 2021, June.
Smart School Bus Tracking: Requirements and Design of an IoT based School Bus Tracking System.
In 2021 5th International Conference on Trends in Electronics and Informatics (ICOEI) (pp. 388-
394). IEEE. 2 This paper proposes a system that will track the vehicle location using driver’s mobile
phone. It introduces a tracking website and an android application for the school admin, drivers of the
bus and the parents. Also provide the admin with the charge of adding new bus driver and new
student to the driver list. The application will also generate a fixed QR code for each student that will
be placed on a card that contain the student personal information.
Literature Survey
[4] Raj, J.T. and Sankar, J., 2017, December. IoT based smart school bus monitoring and notification
system. In 2017 IEEE Region 10 Humanitarian Technology Conference (R10-HTC) (pp. 89-92).
IEEE.
In the proposed system RFID and GPS technologies are connected to a remote server over WIFI
using an ESP8266 microcontroller to give the real time information about various parameters of the
vehicle like the location, the route, the speed, the list of passengers, the commitments of drivers to the
schedule. An Ublox 6M GPS module is used to find the geographic coordinates also the MFRC522
RFID reader identifies each student as they board. This system uses ESP8266 microcontroller to
upload the information, which can be accessed by the parents through a mobile application and this
helps them track their wards effectively.
Problem Statement
• The main drawback of traveling with bus is the inconsistent arrival time which may due to
unforeseen circumstances. Even when we know the bus schedule well, there are number of reasons
that bus as may not arrive as expected.
• Traffic congestions
• Heavy downpour
• Bus breakdowns
• It is particularly annoying when a person has urgent appointment, but we are late due to the time-
consuming of bus trip.
Motivation
• Many cities have found that GPS tracking system not only improve the efficiency of city bus
operation, but also encourage commuters to take the advantage of city bus system.
• Many city bus systems have discovered that GPS tracking system allows monitoring the location
and arrival time of their bus actually increase the number of people using city buses for routine
communing. The application is a user friendly one that anyone can access for free of cost.
• The basic idea for this project was to guide the bus travelers with the routes, all the possible stops
that come on their way to the destination and moreover, display maps and track their locations and
show the estimate remaining time required to reach.
• The aim is to overcome all the drawbacks faced in all the previous applications and generate fast
and accurate results.
Objectives
The objective of bus tracking system is,
• The main goal of the proposed work is to improve the Bus system by adding the necessary
additional features into the application, like accurate bus timings, correct bus numbers and
moreover adding a GPS tracker into it.
• This study accepts input in the form of selection of the bus, to track the location of the respective
bus and give the map for the same. It can also show the expected time required for the bus to reach
the user.
• To inform drivers/user regarding diversion of route in case of heavy traffic or congestion.
• Emergency situations can also be informed to the transport in charger.
System Requirements
• Software Requirements:
• Operating system : Windows 7 onwards
• Coding Language : Java
• IDE : Android Studio
• Database : MySQL
• Hardware Requirements:
• System : Pentium IV 2.4 GHz.
• Hard Disk : 40 GB
• Monitor : 15 VGA Colour.
• Mouse : Two or Three key/point mouse.
• RAM : MIN 8GB.
System Architecture
Proposed System
• The real time tracking of bus can be done and this information is then given to remote user who
wants to know the real time bus information. Our system provides the relevant information
regarding
• Real time location: Here the current location of the bus will be displayed.
• Route details: The system will display the route details with stops name.
• Driver’s Contact Number: The system will display the driver’s name with contact details.
• Average waiting time and expected time to reach: The system will display the ETA(estimated time
of arrival) on the Google maps between two stops.
• Real time traffic to diverse route in case of heavy congestion: The system will display the traffic
details for the driver in case of congestion.
• Emergency module: The system will send the notifications to the management in case of
emergency.
Algorithm
The following steps describe the algorithm
• Step1. There are three different option’s commuter, driver and emergency. The students/staff can
click on the commuter option to get the bus location.
• Step2. In step 2, the respective students/staff can click on their routes. By clicking on their routes
they get the information of where exactly there bus is located on the Google maps.
• Step3. In the same way, the driver can click on the driver option to get congestion details. When
the bus 1 driver clicks on his route he gets the traffic details. In the same way Bus 2 driver can
click on his route.
• Step4. The last option is emergency, the students/staff and driver can click on emergency button if
there is any bus break down or accident and so on. By clicking on that option an SMS will be sent
to transport in charge along with the location.
• Step5. Click on end option to terminate.
Flow Diagram
Activity Diagram
Class Diagram
Advantages
• reduces the waiting time of remote users for bus
• more user friendly for users to get information
• provide interactive interface environment
• provides high practical value in the modern fast era.
• we can track the location of bus at any point of time
Applications
• By using this application, we can get bus details and driver details
easily
• By using application, we can track bus location easily
• This application notify about emergency situation.
Conclusion
• This proposed work is successfully designed, implemented and tested. Our system reduces the
waiting time of remote users for bus. With the mobile application we can track the location of bus
at any point of time. All the current information is stored to the cloud and it is retrieved to remote
users via mobile application.
• This system is more user friendly for users to get information visually shown on Google Map. User
can freely get this mobile application for real-time tracking of bus which provide interactive
interface environment. So, by using this application remote user can just wait or they may
reschedule their journey according to the availability of bus. So, this, paper presents a system
which provides high practical value in the modern fast era.
References
[1]. T. Prasanth1, Shravya K2, Bharath M S3, Radhika M4. “College Bus Tracker Android
Application”. IN: International Research Journal of Engineering and Technology (IRJET)
[2]. G. Jemilda, R. Bala Krishnan, B. Johnson, G. Linga Sangeeth, “Mobile Application for College
Bus Tracking” International Journal of Computer Science and Mobile Computing.
[3]. J. Navya Sree, C. Mounika1, T. Mamatha, B. Sreekanth, N. Diwakar1, Noor Mohammed,
"Integrated College Bus Tracking System", International Journal of Scientific Research in Science
and Technology (IJSRST),
[4]. S. Priya, B. Prabhavathi, P. Shanmuga Priya, B. Shanthini, “An Android Application for Tracking
College Bus Using Google Map” International Journal of Computer Science and Engineering
Communications
[5]. B. Caulfield and M. O’Mahony, “An examination of the public transport information
requirements of users,” IEEE Trans. Intel. Transp. Syst., vol. 8, no. 1, pp. 21–30, Mar. 2007

School Bus Alerting System for parents .pptx

  • 1.
  • 2.
    Contents • Introduction • LiteratureSurvey • Problem Statement • Motivation • Objectives • System Requirements • System Architecture • Proposed System • Algorithm • Flow Diagram • Activity Diagram • Class Diagram • Advantages • Applications • Conclusion • References
  • 3.
    Introduction • Many cityfaces severe problems of road congestion and associated issues of commuters, which include delays in the arrival of buses at bus stops, lack of information about different bus routes and stops and time. • School students/staffs will miss their bus by a fraction of second. • This will lead to many problems like being late for the classes and sometimes late for the exams also. • To overcome this, we have implemented a Smart Bus Tracking System. This system is used to track the school buses. • The proposed system uses a Smartphone application. • Buses carry Global Positioning System (GPS) devices to track their positions and Google Maps API is used to display the vehicle on the map in the Smartphone application. • It shows where exactly the bus is there on the map and provides updated information to the user at different time intervals. This also displays the estimated arrival time, which helps the user to know when exactly the bus is going to reach his/her stop.
  • 4.
    Literature Survey [1] Sridevi,K., Jeevitha, A., Kavitha, K., Sathya, K. and Narmada, K., 2017. Smart bus tracking and management system using IoT. Asian Journal of Applied Science and Technology (AJAST) Volume, 1. In this paper the Bus tracking application is used that tracks a bus and gathers the distance to each station along its route. Based on IoT this project is implemented as Android application. It uses RTC to show where buses are on a map and provide students and staffs the updated information at different time interval. Simple mode of communication is the key feature of the proposed system. [2] Jemilda, G., Krishnan, R.B., Johnson, B. and Sangeeth, G.L., 2015. Mobile application for college bus tracking. International journal of computer science and mobile computing, 4(3), pp.500-507. This paper proposes an Android mobile phone application that gives information about buses, bus numbers as well as bus routes both online and offline. It uses GPS and Client-Server Technology to give the precise location of the bus as well as the estimate remaining time for the bus to reach the destination. In this system Two Android applications are designed one for the driver to update the location to the server and one for the user.
  • 5.
    Literature Survey [3] Gull,H., Aljohar, D., Alutaibi, R., Alqahtani, D., Alarfaj, M. and Alqahtani, R., 2021, June. Smart School Bus Tracking: Requirements and Design of an IoT based School Bus Tracking System. In 2021 5th International Conference on Trends in Electronics and Informatics (ICOEI) (pp. 388- 394). IEEE. 2 This paper proposes a system that will track the vehicle location using driver’s mobile phone. It introduces a tracking website and an android application for the school admin, drivers of the bus and the parents. Also provide the admin with the charge of adding new bus driver and new student to the driver list. The application will also generate a fixed QR code for each student that will be placed on a card that contain the student personal information.
  • 6.
    Literature Survey [4] Raj,J.T. and Sankar, J., 2017, December. IoT based smart school bus monitoring and notification system. In 2017 IEEE Region 10 Humanitarian Technology Conference (R10-HTC) (pp. 89-92). IEEE. In the proposed system RFID and GPS technologies are connected to a remote server over WIFI using an ESP8266 microcontroller to give the real time information about various parameters of the vehicle like the location, the route, the speed, the list of passengers, the commitments of drivers to the schedule. An Ublox 6M GPS module is used to find the geographic coordinates also the MFRC522 RFID reader identifies each student as they board. This system uses ESP8266 microcontroller to upload the information, which can be accessed by the parents through a mobile application and this helps them track their wards effectively.
  • 7.
    Problem Statement • Themain drawback of traveling with bus is the inconsistent arrival time which may due to unforeseen circumstances. Even when we know the bus schedule well, there are number of reasons that bus as may not arrive as expected. • Traffic congestions • Heavy downpour • Bus breakdowns • It is particularly annoying when a person has urgent appointment, but we are late due to the time- consuming of bus trip.
  • 8.
    Motivation • Many citieshave found that GPS tracking system not only improve the efficiency of city bus operation, but also encourage commuters to take the advantage of city bus system. • Many city bus systems have discovered that GPS tracking system allows monitoring the location and arrival time of their bus actually increase the number of people using city buses for routine communing. The application is a user friendly one that anyone can access for free of cost. • The basic idea for this project was to guide the bus travelers with the routes, all the possible stops that come on their way to the destination and moreover, display maps and track their locations and show the estimate remaining time required to reach. • The aim is to overcome all the drawbacks faced in all the previous applications and generate fast and accurate results.
  • 9.
    Objectives The objective ofbus tracking system is, • The main goal of the proposed work is to improve the Bus system by adding the necessary additional features into the application, like accurate bus timings, correct bus numbers and moreover adding a GPS tracker into it. • This study accepts input in the form of selection of the bus, to track the location of the respective bus and give the map for the same. It can also show the expected time required for the bus to reach the user. • To inform drivers/user regarding diversion of route in case of heavy traffic or congestion. • Emergency situations can also be informed to the transport in charger.
  • 10.
    System Requirements • SoftwareRequirements: • Operating system : Windows 7 onwards • Coding Language : Java • IDE : Android Studio • Database : MySQL • Hardware Requirements: • System : Pentium IV 2.4 GHz. • Hard Disk : 40 GB • Monitor : 15 VGA Colour. • Mouse : Two or Three key/point mouse. • RAM : MIN 8GB.
  • 11.
  • 12.
    Proposed System • Thereal time tracking of bus can be done and this information is then given to remote user who wants to know the real time bus information. Our system provides the relevant information regarding • Real time location: Here the current location of the bus will be displayed. • Route details: The system will display the route details with stops name. • Driver’s Contact Number: The system will display the driver’s name with contact details. • Average waiting time and expected time to reach: The system will display the ETA(estimated time of arrival) on the Google maps between two stops. • Real time traffic to diverse route in case of heavy congestion: The system will display the traffic details for the driver in case of congestion. • Emergency module: The system will send the notifications to the management in case of emergency.
  • 13.
    Algorithm The following stepsdescribe the algorithm • Step1. There are three different option’s commuter, driver and emergency. The students/staff can click on the commuter option to get the bus location. • Step2. In step 2, the respective students/staff can click on their routes. By clicking on their routes they get the information of where exactly there bus is located on the Google maps. • Step3. In the same way, the driver can click on the driver option to get congestion details. When the bus 1 driver clicks on his route he gets the traffic details. In the same way Bus 2 driver can click on his route. • Step4. The last option is emergency, the students/staff and driver can click on emergency button if there is any bus break down or accident and so on. By clicking on that option an SMS will be sent to transport in charge along with the location. • Step5. Click on end option to terminate.
  • 14.
  • 15.
  • 16.
  • 17.
    Advantages • reduces thewaiting time of remote users for bus • more user friendly for users to get information • provide interactive interface environment • provides high practical value in the modern fast era. • we can track the location of bus at any point of time
  • 18.
    Applications • By usingthis application, we can get bus details and driver details easily • By using application, we can track bus location easily • This application notify about emergency situation.
  • 19.
    Conclusion • This proposedwork is successfully designed, implemented and tested. Our system reduces the waiting time of remote users for bus. With the mobile application we can track the location of bus at any point of time. All the current information is stored to the cloud and it is retrieved to remote users via mobile application. • This system is more user friendly for users to get information visually shown on Google Map. User can freely get this mobile application for real-time tracking of bus which provide interactive interface environment. So, by using this application remote user can just wait or they may reschedule their journey according to the availability of bus. So, this, paper presents a system which provides high practical value in the modern fast era.
  • 20.
    References [1]. T. Prasanth1,Shravya K2, Bharath M S3, Radhika M4. “College Bus Tracker Android Application”. IN: International Research Journal of Engineering and Technology (IRJET) [2]. G. Jemilda, R. Bala Krishnan, B. Johnson, G. Linga Sangeeth, “Mobile Application for College Bus Tracking” International Journal of Computer Science and Mobile Computing. [3]. J. Navya Sree, C. Mounika1, T. Mamatha, B. Sreekanth, N. Diwakar1, Noor Mohammed, "Integrated College Bus Tracking System", International Journal of Scientific Research in Science and Technology (IJSRST), [4]. S. Priya, B. Prabhavathi, P. Shanmuga Priya, B. Shanthini, “An Android Application for Tracking College Bus Using Google Map” International Journal of Computer Science and Engineering Communications [5]. B. Caulfield and M. O’Mahony, “An examination of the public transport information requirements of users,” IEEE Trans. Intel. Transp. Syst., vol. 8, no. 1, pp. 21–30, Mar. 2007