UNIVERSIDAD FERMIN TORO
DEPARTAMENTO DE INGENIERIA
CABUDARE- EDO LARA
EJERCICIOS PROPUESTOS
SERIE DE FOURIER Y TRANSFORMADA DE LAPLACE
ALUMNO AMOROCHO SARAHI
CEDULA 22275166
BARQUISIMETO 10 DE JULIO DE 216
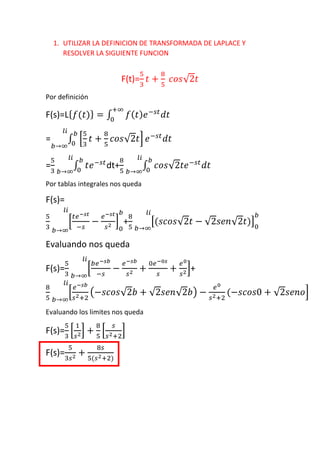
1. UTILIZAR LA DEFINICION DE TRANSFORMADA DE LAPLACE Y
RESOLVER LA SIGUIENTE FUNCION
F(t)=
5
3
๐‘ก +
8
5
๐‘๐‘œ๐‘ โˆš2๐‘ก
Por definiciรณn
F(s)=L{ ๐‘“(๐‘ก)} = โˆซ ๐‘“( ๐‘ก) ๐‘’โˆ’๐‘ ๐‘ก
๐‘‘๐‘ก
+โˆž
0
= โˆซ [
5
3
๐‘ก +
8
5
๐‘๐‘œ๐‘ โˆš2๐‘ก] ๐‘’โˆ’๐‘ ๐‘ก
๐‘‘๐‘ก
๐‘
0๐‘โ†’โˆž
๐‘™๐‘–
=
5
3
โˆซ ๐‘ก๐‘’โˆ’๐‘ ๐‘ก๐‘
0๐‘โ†’โˆž
๐‘™๐‘–
dt+
8
5
โˆซ ๐‘๐‘œ๐‘ โˆš2๐‘ก๐‘’โˆ’๐‘ ๐‘ก
๐‘‘๐‘ก
๐‘
0๐‘โ†’โˆž
๐‘™๐‘–
Por tablas integrales nos queda
F(s)=
5
3
[
๐‘ก๐‘’โˆ’๐‘ ๐‘ก
โˆ’๐‘ 
โˆ’
๐‘’โˆ’๐‘ ๐‘ก
๐‘ 2 ]
0
๐‘
๐‘โ†’โˆž
๐‘™๐‘–
+
8
5
[(๐‘ ๐‘๐‘œ๐‘ โˆš2๐‘ก โˆ’ โˆš2๐‘ ๐‘’๐‘›โˆš2๐‘ก)]0
๐‘
๐‘โ†’โˆž
๐‘™๐‘–
Evaluando nos queda
F(s)=
5
3
[
๐‘๐‘’โˆ’๐‘ ๐‘
โˆ’๐‘ 
โˆ’
๐‘’โˆ’๐‘ ๐‘
๐‘ 2 +
0๐‘’โˆ’0๐‘ 
๐‘ 
+
๐‘’0
๐‘ 2]
๐‘โ†’โˆž
๐‘™๐‘–
+
8
5
[
๐‘’โˆ’๐‘ ๐‘
๐‘ 2+2
(โˆ’๐‘ ๐‘๐‘œ๐‘ โˆš2๐‘ + โˆš2๐‘ ๐‘’๐‘›โˆš2๐‘) โˆ’
๐‘’0
๐‘ 2+2
(โˆ’๐‘ ๐‘๐‘œ๐‘ 0 + โˆš2๐‘ ๐‘’๐‘›๐‘œ]
๐‘โ†’โˆž
๐‘™๐‘–
Evaluando los limites nos queda
F(s)=
5
3
[
1
๐‘ 2] +
8
5
[
๐‘ 
๐‘ 2+2
]
F(s)=
5
3๐‘ 2 +
8๐‘ 
5(๐‘ 2+2)
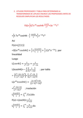
2. UTILIZAR PROPIEDADES Y TABLA PARA DETERMINAR LA
TRANSFORMADA DE LAPLACE ENUNCIE LAS PROPIEDADES ANTES DE
RESOLVER SIMPLIFICAR LOS RESULTADOS
F(t)=
3
7
t(7๐‘’4๐‘ก
cosh4t-
๐‘๐‘œ๐‘ 5๐‘ก
๐‘ก2 +3๐‘’โˆ’3๐‘ก
๐‘ก5
=
3
7
t 7๐‘’4๐‘ก
cosh4t -
3
7
๐‘๐‘œ๐‘ 5๐‘ก
๐‘ก
+
9
7
๐‘’โˆ’3๐‘ก
๐‘ก6
Asi
F(s)=L{ ๐‘“(๐‘ก)}
=3{ ๐‘ก๐‘’4๐‘ก
๐‘๐‘œ๐‘ โ„Ž4๐‘ก} +
3
7
๐ฟ {
๐‘๐‘œ๐‘ 5๐‘ก
๐‘ก
} +
9
7
๐ฟ{ ๐‘ก6
๐‘’โˆ’3๐‘ก} ; por
linealidad
Luego
L{ ๐‘๐‘œ๐‘ 4๐‘ก} =
๐‘ 
๐‘ 2โˆ’42 =
๐‘ 
๐‘ 2โˆ’16
L{tcosh4t}=โˆ’
๐‘‘
๐‘‘๐‘ 
[
๐‘ 
๐‘ 2โˆ’16
] ; por tabla
= -[
๐‘ 2โˆ’16โˆ’2๐‘ 2
(๐‘ 2โˆ’16)2 ]= [
๐‘ 2โˆ’16
(๐‘ 2โˆ’16)2]
L{๐‘’4๐‘ก
๐‘ก๐‘๐‘œ๐‘ โ„Ž4๐‘ก} =
(๐‘ โˆ’4)2+16
[(๐‘ โˆ’4)2โˆ’16]2
=
๐‘ 2โˆ’8๐‘ +32
(๐‘ 2โˆ’8๐‘ )2 ; traslaciรณn
L{
๐‘๐‘œ๐‘ 5๐‘ก
๐‘ก
} = โˆซ ๐‘“( ๐‘ข) ๐‘‘๐‘ข
โˆž
๐‘ 
F(s)= L{cos5t}=
๐‘ 
๐‘ 2+25
L{
๐‘๐‘œ๐‘ 5๐‘ก
๐‘ก
} = โˆซ
๐‘ข
๐‘ข2+25
๐‘‘๐‘ข
โˆž
๐‘ 
โˆซ
๐‘ข๐‘‘๐‘ข
๐‘ข2 + 25
๐‘
๐‘ ๐‘โ†’โˆž
๐‘™๐‘–
=
1
2
[ln| ๐‘ข2
+ 25|] ๐‘ 
๐‘
๐‘โ†’โˆž
๐‘™๐‘–
=
1
2
[ln( ๐‘2
+ 25) โˆ’ ln( ๐‘ 2
+ 25)]๐‘โ†’โˆž
๐‘™๐‘–
=+โˆž
Como la integral diverge
L{
๐‘๐‘œ๐‘ 5๐‘ก
๐‘ก
} ๐‘›๐‘œ ๐‘’๐‘ฅ๐‘–๐‘ ๐‘ก๐‘’
Por lo tanto
L{
3
7
๐‘ก(7๐‘’4๐‘ก
๐‘๐‘œ๐‘ โ„Ž4๐‘ก โˆ’
๐‘๐‘œ๐‘ 5๐‘ก
๐‘ก2 + 3๐‘’โˆ’3๐‘ก
๐‘ก5
}
No existe
3. APLICAR TABLA SIMPLIFICACION Y METODO CORRESPONDIENTE
PARA DETERMINAR
๐ฟโˆ’1{ ๐‘“( ๐‘ )} = ๐‘“( ๐‘ก)
๐ฟโˆ’1
{
2๐‘ 3
โˆ’ 7โˆš2
7๐‘ 8
+
โˆš2 + 2(๐‘  +
3
5
)3
4(๐‘  +
3
9
)9
โˆ’
5๐‘  โˆ’ 3
๐‘ 2 โˆ’
2
5
๐‘  + 7
}
=๐ฟโˆ’1
{
2๐‘ 3
7๐‘ 4 โˆ’
7โˆš2
7๐‘ 4 +
โˆš2
4(๐‘ +
3
5
)
9 +
2(๐‘ +
3
5
)
2
4(๐‘ +
3
5
)
9 โˆ’
5๐‘ โˆ’3
๐‘ 2โˆ’
2
5
๐‘ +7
}
Por linealidad nos queda
F(t)=
2
7
๐ฟโˆ’1
{
1
๐‘ 
} โˆ’ โˆš2๐ฟโˆ’1
{
1
๐‘ 4} +
โˆš2
4
๐ฟโˆ’1
{
1
( ๐‘ +3)9} +
1
2
๐ฟโˆ’1
{
1
(๐‘ +
3
5
)7
}-๐ฟโˆ’1
{
5(๐‘ โˆ’
1
5
+
1
5
)โˆ’3
(๐‘ โˆ’
1
5
)2+7โˆ’
1
25
}
completando cuadrados en denominador
Por tablas
=
2
7
(1) โˆ’ โˆš2
๐‘ก3
3!
+
โˆš2
4
๐‘ก8 ๐‘’
โˆ’3
5๐‘กโ„
8!
+
1
2
๐‘’
โˆ’3
5๐‘กโ„
๐‘ก6
6!
-
5๐ฟโˆ’1
{
(๐‘ โˆ’1
5โ„
(๐‘ โˆ’1
5โ„ )
2
+
174
25
} + 2๐ฟโˆ’1
{
1
(๐‘ โˆ’1
5โ„ )2+
174
25
}
=F(t)=
2
7
โˆ’
โˆš2๐‘ก3
3!
+
โˆš2
4(8!)
๐‘ก8
๐‘’โˆ’3
5๐‘กโ„
+
1
2(6!)
๐‘ก6
๐‘’โˆ’3
5๐‘กโ„
-
5๐‘’
1
5โ„ ๐‘ก
๐‘๐‘œ๐‘ 
โˆš174
5
๐‘ก +
2
โˆš174
5
๐‘’
1
5โ„ ๐‘ก
sen
โˆš174๐‘ก
5
Tablas
๐ฟโˆ’1
{1
๐‘ โ„ } = 1
๐ฟโˆ’1
{1
๐‘  ๐‘›โ„ } =
๐‘ก ๐‘›โˆ’1
( ๐‘›โˆ’1)!
๐ฟโˆ’1
{1
( ๐‘  + ๐‘Ž) ๐‘›โ„ } =
๐‘ก ๐‘›โˆ’1
( ๐‘› โˆ’ 1)!
๐‘’โˆ’๐‘Ž๐‘ 
๐ฟโˆ’1
{
1
( ๐‘ +๐‘Ž)2+๐‘2}=
1
๐‘
๐‘’โˆ’๐‘Ž๐‘ก
๐‘ ๐‘’๐‘›๐‘๐‘ก
4. UTILIZAR EL TEOREMA DE CONVOLUCION Y DETERMINE
๐ฟโˆ’1
{
2โˆš5 ๐‘ 
๐‘ 3(๐‘  + 9)
}
Por convolucion
F(t)= ๐ฟโˆ’1{ ๐‘“( ๐‘ )6( ๐‘ )}
= ๐ฟโˆ’1{ ๐‘“( ๐‘ )} โˆ— ๐ฟโˆ’1{6( ๐‘ )}
=f(t)*g(t)
=โˆซ ๐‘“( ๐‘ก โˆ’ ๐‘ฅ) ๐‘”( ๐‘ฅ) ๐‘‘๐‘ฅ
๐‘ก
0
Asi
๐ฟโˆ’1
{
2โˆš5 ๐‘ 
๐‘ 3(๐‘ +9)
}=2โˆš5๐ฟโˆ’1
{
๐‘ 
๐‘ 3} โˆ— ๐ฟโˆ’1
{
1
๐‘ +9
}
=2โˆš5๐ฟโˆ’1
{
1
๐‘ 2} โˆ— ๐ฟโˆ’1
{
1
๐‘ +9
}
=2โˆš5๐‘ก โˆ— ๐‘’โˆ’9๐‘ก
F(t)= 2โˆš5 โˆซ ( ๐‘ก โˆ’ ๐‘ฅ) ๐‘’โˆ’9๐‘ฅ
๐‘‘๐‘ฅ
๐‘ก
0
=2โˆš5 โˆซ ๐‘ก๐‘’โˆ’9๐‘ฅ
๐‘‘๐‘ฅ โˆ’
๐‘ก
0
2โˆš5 โˆซ ๐‘ฅ๐‘’โˆ’9๐‘ฅ
๐‘‘๐‘ฅ
๐‘ก
0
Integrando por tablas
F(t)= 2โˆš5 [
๐‘ก๐‘’โˆ’9๐‘ฅ
โˆ’9
]
0
๐‘ก
โˆ’ 2โˆš5 [
๐‘ฅ๐‘’โˆ’9๐‘ฅ
โˆ’9
โˆ’
๐‘’โˆ’9๐‘ฅ
81
]
0
๐‘ก
Evaluando resulta
F(t)= 2โˆš5 [
๐‘ก๐‘’โˆ’9๐‘ก
โˆ’9
+
๐‘ก๐‘’0
9
+
๐‘ก๐‘’โˆ’9๐‘ก
9
+
๐‘’โˆ’9๐‘ก
81
โˆ’
0๐‘’0
9
โˆ’
๐‘’0
81
]
=2โˆš5 [
๐‘ก
9
+
๐‘’โˆ’9๐‘ก
81
โˆ’
1
81
]=
2โˆš5
81
[9๐‘ก + ๐‘’โˆ’9๐‘ก
โˆ’ 1]
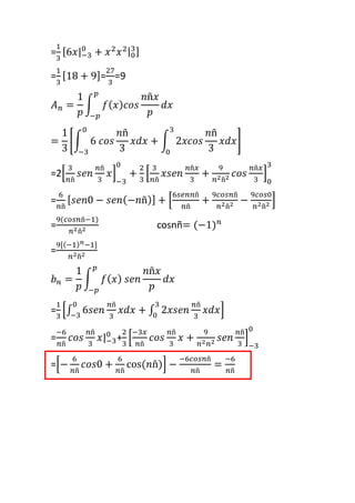
5. DESARROLLE LA EXPANSION DE FOURIER EN TERMINOS DEL SEMI
PERIODO DE FOURIER Y REALICE EL ESPECTRO DE LA FUNCION
F(X)={
2๐‘ฅ ๐‘ ๐‘–0 โ‰ค ๐‘ฅ โ‰ค 3
6 ๐‘ ๐‘– โˆ’ 3 โ‰ค ๐‘ฅ โ‰ค 0
} T=6
Aplicando f(x)
Sea p= ๐‘ก
2โ„ =3
Asi ola serie de Fourier es
F(x)=
๐ด ๐‘œ
2
+ โˆ‘ ๐ด ๐‘› ๐‘๐‘œ๐‘ 
๐‘›รฑ๐‘ฅ
๐‘
โˆž
๐‘›=1 +โˆ‘ ๐‘ ๐‘› ๐‘ ๐‘’๐‘›
๐‘›รฑ ๐‘ฅ
๐‘
โˆž
๐‘›=1
Donde
๐ด ๐‘œ =
1
๐‘
โˆซ ๐‘“( ๐‘ฅ) ๐‘‘๐‘ฅ
๐‘
โˆ’๐‘
=
1
3
[โˆซ 6๐‘‘๐‘ฅ
0
โˆ’3
+ โˆซ 2๐‘ฅ๐‘‘๐‘ฅ
3
0
]
=
1
3
[6๐‘ฅ|โˆ’3
0
+ ๐‘ฅ2
๐‘ฅ2|0
3]
=
1
3
[18 + 9]=
27
3
=9
๐ด ๐‘› =
1
๐‘
โˆซ ๐‘“( ๐‘ฅ) ๐‘๐‘œ๐‘ 
๐‘›รฑ๐‘ฅ
๐‘
๐‘‘๐‘ฅ
๐‘
โˆ’๐‘
=
1
3
[โˆซ 6 ๐‘๐‘œ๐‘ 
๐‘›รฑ
3
๐‘ฅ๐‘‘๐‘ฅ
0
โˆ’3
+ โˆซ 2๐‘ฅ๐‘๐‘œ๐‘ 
๐‘›รฑ
3
๐‘ฅ๐‘‘๐‘ฅ
3
0
]
=2[
3
๐‘›รฑ
๐‘ ๐‘’๐‘›
๐‘›รฑ
3
๐‘ฅ]
โˆ’3
0
+
2
3
[
3
๐‘›รฑ
๐‘ฅ๐‘ ๐‘’๐‘›
๐‘›รฑ๐‘ฅ
3
+
9
๐‘›2รฑ2 ๐‘๐‘œ๐‘ 
๐‘›รฑ๐‘ฅ
3
]
0
3
=
6
๐‘›รฑ
[ ๐‘ ๐‘’๐‘›0 โˆ’ ๐‘ ๐‘’๐‘›(โˆ’๐‘›รฑ)] + [
6๐‘ ๐‘’๐‘›๐‘›รฑ
๐‘›รฑ
+
9๐‘๐‘œ๐‘ ๐‘›รฑ
๐‘›2รฑ2 โˆ’
9๐‘๐‘œ๐‘ 0
๐‘›2รฑ2 ]
=
9(๐‘๐‘œ๐‘ ๐‘›รฑโˆ’1)
๐‘›2รฑ2 cosnรฑ= (โˆ’1) ๐‘›
=
9[(โˆ’1) ๐‘›โˆ’1]
๐‘›2รฑ2
๐‘ ๐‘› =
1
๐‘
โˆซ ๐‘“( ๐‘ฅ) ๐‘ ๐‘’๐‘›
๐‘›รฑ๐‘ฅ
๐‘
๐‘‘๐‘ฅ
๐‘
โˆ’๐‘
=
1
3
[โˆซ 6๐‘ ๐‘’๐‘›
๐‘›รฑ
3
๐‘ฅ๐‘‘๐‘ฅ
0
โˆ’3
+ โˆซ 2๐‘ฅ๐‘ ๐‘’๐‘›
๐‘›รฑ
3
๐‘ฅ๐‘‘๐‘ฅ
3
0
]
=
โˆ’6
๐‘›รฑ
๐‘๐‘œ๐‘ 
๐‘›รฑ
3
๐‘ฅ|โˆ’3
0
+
2
3
[
โˆ’3๐‘ฅ
๐‘›รฑ
๐‘๐‘œ๐‘ 
๐‘›รฑ
3
๐‘ฅ +
9
๐‘›2 ๐‘›2 ๐‘ ๐‘’๐‘›
๐‘›รฑ
3
]
โˆ’3
0
=[โˆ’
6
๐‘›รฑ
๐‘๐‘œ๐‘ 0 +
6
๐‘›รฑ
cos(๐‘›รฑ)] โˆ’
โˆ’6๐‘๐‘œ๐‘ ๐‘›รฑ
๐‘›รฑ
=
โˆ’6
๐‘›รฑ

Sarahiamorocho

  • 1.
    UNIVERSIDAD FERMIN TORO DEPARTAMENTODE INGENIERIA CABUDARE- EDO LARA EJERCICIOS PROPUESTOS SERIE DE FOURIER Y TRANSFORMADA DE LAPLACE ALUMNO AMOROCHO SARAHI CEDULA 22275166 BARQUISIMETO 10 DE JULIO DE 216
  • 2.
    1. UTILIZAR LADEFINICION DE TRANSFORMADA DE LAPLACE Y RESOLVER LA SIGUIENTE FUNCION F(t)= 5 3 ๐‘ก + 8 5 ๐‘๐‘œ๐‘ โˆš2๐‘ก Por definiciรณn F(s)=L{ ๐‘“(๐‘ก)} = โˆซ ๐‘“( ๐‘ก) ๐‘’โˆ’๐‘ ๐‘ก ๐‘‘๐‘ก +โˆž 0 = โˆซ [ 5 3 ๐‘ก + 8 5 ๐‘๐‘œ๐‘ โˆš2๐‘ก] ๐‘’โˆ’๐‘ ๐‘ก ๐‘‘๐‘ก ๐‘ 0๐‘โ†’โˆž ๐‘™๐‘– = 5 3 โˆซ ๐‘ก๐‘’โˆ’๐‘ ๐‘ก๐‘ 0๐‘โ†’โˆž ๐‘™๐‘– dt+ 8 5 โˆซ ๐‘๐‘œ๐‘ โˆš2๐‘ก๐‘’โˆ’๐‘ ๐‘ก ๐‘‘๐‘ก ๐‘ 0๐‘โ†’โˆž ๐‘™๐‘– Por tablas integrales nos queda F(s)= 5 3 [ ๐‘ก๐‘’โˆ’๐‘ ๐‘ก โˆ’๐‘  โˆ’ ๐‘’โˆ’๐‘ ๐‘ก ๐‘ 2 ] 0 ๐‘ ๐‘โ†’โˆž ๐‘™๐‘– + 8 5 [(๐‘ ๐‘๐‘œ๐‘ โˆš2๐‘ก โˆ’ โˆš2๐‘ ๐‘’๐‘›โˆš2๐‘ก)]0 ๐‘ ๐‘โ†’โˆž ๐‘™๐‘– Evaluando nos queda F(s)= 5 3 [ ๐‘๐‘’โˆ’๐‘ ๐‘ โˆ’๐‘  โˆ’ ๐‘’โˆ’๐‘ ๐‘ ๐‘ 2 + 0๐‘’โˆ’0๐‘  ๐‘  + ๐‘’0 ๐‘ 2] ๐‘โ†’โˆž ๐‘™๐‘– + 8 5 [ ๐‘’โˆ’๐‘ ๐‘ ๐‘ 2+2 (โˆ’๐‘ ๐‘๐‘œ๐‘ โˆš2๐‘ + โˆš2๐‘ ๐‘’๐‘›โˆš2๐‘) โˆ’ ๐‘’0 ๐‘ 2+2 (โˆ’๐‘ ๐‘๐‘œ๐‘ 0 + โˆš2๐‘ ๐‘’๐‘›๐‘œ] ๐‘โ†’โˆž ๐‘™๐‘– Evaluando los limites nos queda F(s)= 5 3 [ 1 ๐‘ 2] + 8 5 [ ๐‘  ๐‘ 2+2 ] F(s)= 5 3๐‘ 2 + 8๐‘  5(๐‘ 2+2)
  • 3.
    2. UTILIZAR PROPIEDADESY TABLA PARA DETERMINAR LA TRANSFORMADA DE LAPLACE ENUNCIE LAS PROPIEDADES ANTES DE RESOLVER SIMPLIFICAR LOS RESULTADOS F(t)= 3 7 t(7๐‘’4๐‘ก cosh4t- ๐‘๐‘œ๐‘ 5๐‘ก ๐‘ก2 +3๐‘’โˆ’3๐‘ก ๐‘ก5 = 3 7 t 7๐‘’4๐‘ก cosh4t - 3 7 ๐‘๐‘œ๐‘ 5๐‘ก ๐‘ก + 9 7 ๐‘’โˆ’3๐‘ก ๐‘ก6 Asi F(s)=L{ ๐‘“(๐‘ก)} =3{ ๐‘ก๐‘’4๐‘ก ๐‘๐‘œ๐‘ โ„Ž4๐‘ก} + 3 7 ๐ฟ { ๐‘๐‘œ๐‘ 5๐‘ก ๐‘ก } + 9 7 ๐ฟ{ ๐‘ก6 ๐‘’โˆ’3๐‘ก} ; por linealidad Luego L{ ๐‘๐‘œ๐‘ 4๐‘ก} = ๐‘  ๐‘ 2โˆ’42 = ๐‘  ๐‘ 2โˆ’16 L{tcosh4t}=โˆ’ ๐‘‘ ๐‘‘๐‘  [ ๐‘  ๐‘ 2โˆ’16 ] ; por tabla = -[ ๐‘ 2โˆ’16โˆ’2๐‘ 2 (๐‘ 2โˆ’16)2 ]= [ ๐‘ 2โˆ’16 (๐‘ 2โˆ’16)2] L{๐‘’4๐‘ก ๐‘ก๐‘๐‘œ๐‘ โ„Ž4๐‘ก} = (๐‘ โˆ’4)2+16 [(๐‘ โˆ’4)2โˆ’16]2 = ๐‘ 2โˆ’8๐‘ +32 (๐‘ 2โˆ’8๐‘ )2 ; traslaciรณn L{ ๐‘๐‘œ๐‘ 5๐‘ก ๐‘ก } = โˆซ ๐‘“( ๐‘ข) ๐‘‘๐‘ข โˆž ๐‘  F(s)= L{cos5t}= ๐‘  ๐‘ 2+25 L{ ๐‘๐‘œ๐‘ 5๐‘ก ๐‘ก } = โˆซ ๐‘ข ๐‘ข2+25 ๐‘‘๐‘ข โˆž ๐‘ 
  • 4.
    โˆซ ๐‘ข๐‘‘๐‘ข ๐‘ข2 + 25 ๐‘ ๐‘ ๐‘โ†’โˆž ๐‘™๐‘– = 1 2 [ln|๐‘ข2 + 25|] ๐‘  ๐‘ ๐‘โ†’โˆž ๐‘™๐‘– = 1 2 [ln( ๐‘2 + 25) โˆ’ ln( ๐‘ 2 + 25)]๐‘โ†’โˆž ๐‘™๐‘– =+โˆž Como la integral diverge L{ ๐‘๐‘œ๐‘ 5๐‘ก ๐‘ก } ๐‘›๐‘œ ๐‘’๐‘ฅ๐‘–๐‘ ๐‘ก๐‘’ Por lo tanto L{ 3 7 ๐‘ก(7๐‘’4๐‘ก ๐‘๐‘œ๐‘ โ„Ž4๐‘ก โˆ’ ๐‘๐‘œ๐‘ 5๐‘ก ๐‘ก2 + 3๐‘’โˆ’3๐‘ก ๐‘ก5 } No existe
  • 5.
    3. APLICAR TABLASIMPLIFICACION Y METODO CORRESPONDIENTE PARA DETERMINAR ๐ฟโˆ’1{ ๐‘“( ๐‘ )} = ๐‘“( ๐‘ก) ๐ฟโˆ’1 { 2๐‘ 3 โˆ’ 7โˆš2 7๐‘ 8 + โˆš2 + 2(๐‘  + 3 5 )3 4(๐‘  + 3 9 )9 โˆ’ 5๐‘  โˆ’ 3 ๐‘ 2 โˆ’ 2 5 ๐‘  + 7 } =๐ฟโˆ’1 { 2๐‘ 3 7๐‘ 4 โˆ’ 7โˆš2 7๐‘ 4 + โˆš2 4(๐‘ + 3 5 ) 9 + 2(๐‘ + 3 5 ) 2 4(๐‘ + 3 5 ) 9 โˆ’ 5๐‘ โˆ’3 ๐‘ 2โˆ’ 2 5 ๐‘ +7 } Por linealidad nos queda F(t)= 2 7 ๐ฟโˆ’1 { 1 ๐‘  } โˆ’ โˆš2๐ฟโˆ’1 { 1 ๐‘ 4} + โˆš2 4 ๐ฟโˆ’1 { 1 ( ๐‘ +3)9} + 1 2 ๐ฟโˆ’1 { 1 (๐‘ + 3 5 )7 }-๐ฟโˆ’1 { 5(๐‘ โˆ’ 1 5 + 1 5 )โˆ’3 (๐‘ โˆ’ 1 5 )2+7โˆ’ 1 25 } completando cuadrados en denominador Por tablas = 2 7 (1) โˆ’ โˆš2 ๐‘ก3 3! + โˆš2 4 ๐‘ก8 ๐‘’ โˆ’3 5๐‘กโ„ 8! + 1 2 ๐‘’ โˆ’3 5๐‘กโ„ ๐‘ก6 6! - 5๐ฟโˆ’1 { (๐‘ โˆ’1 5โ„ (๐‘ โˆ’1 5โ„ ) 2 + 174 25 } + 2๐ฟโˆ’1 { 1 (๐‘ โˆ’1 5โ„ )2+ 174 25 } =F(t)= 2 7 โˆ’ โˆš2๐‘ก3 3! + โˆš2 4(8!) ๐‘ก8 ๐‘’โˆ’3 5๐‘กโ„ + 1 2(6!) ๐‘ก6 ๐‘’โˆ’3 5๐‘กโ„ - 5๐‘’ 1 5โ„ ๐‘ก ๐‘๐‘œ๐‘  โˆš174 5 ๐‘ก + 2 โˆš174 5 ๐‘’ 1 5โ„ ๐‘ก sen โˆš174๐‘ก 5 Tablas ๐ฟโˆ’1 {1 ๐‘ โ„ } = 1 ๐ฟโˆ’1 {1 ๐‘  ๐‘›โ„ } = ๐‘ก ๐‘›โˆ’1 ( ๐‘›โˆ’1)! ๐ฟโˆ’1 {1 ( ๐‘  + ๐‘Ž) ๐‘›โ„ } = ๐‘ก ๐‘›โˆ’1 ( ๐‘› โˆ’ 1)! ๐‘’โˆ’๐‘Ž๐‘  ๐ฟโˆ’1 { 1 ( ๐‘ +๐‘Ž)2+๐‘2}= 1 ๐‘ ๐‘’โˆ’๐‘Ž๐‘ก ๐‘ ๐‘’๐‘›๐‘๐‘ก
  • 6.
    4. UTILIZAR ELTEOREMA DE CONVOLUCION Y DETERMINE ๐ฟโˆ’1 { 2โˆš5 ๐‘  ๐‘ 3(๐‘  + 9) } Por convolucion F(t)= ๐ฟโˆ’1{ ๐‘“( ๐‘ )6( ๐‘ )} = ๐ฟโˆ’1{ ๐‘“( ๐‘ )} โˆ— ๐ฟโˆ’1{6( ๐‘ )} =f(t)*g(t) =โˆซ ๐‘“( ๐‘ก โˆ’ ๐‘ฅ) ๐‘”( ๐‘ฅ) ๐‘‘๐‘ฅ ๐‘ก 0 Asi ๐ฟโˆ’1 { 2โˆš5 ๐‘  ๐‘ 3(๐‘ +9) }=2โˆš5๐ฟโˆ’1 { ๐‘  ๐‘ 3} โˆ— ๐ฟโˆ’1 { 1 ๐‘ +9 } =2โˆš5๐ฟโˆ’1 { 1 ๐‘ 2} โˆ— ๐ฟโˆ’1 { 1 ๐‘ +9 } =2โˆš5๐‘ก โˆ— ๐‘’โˆ’9๐‘ก F(t)= 2โˆš5 โˆซ ( ๐‘ก โˆ’ ๐‘ฅ) ๐‘’โˆ’9๐‘ฅ ๐‘‘๐‘ฅ ๐‘ก 0 =2โˆš5 โˆซ ๐‘ก๐‘’โˆ’9๐‘ฅ ๐‘‘๐‘ฅ โˆ’ ๐‘ก 0 2โˆš5 โˆซ ๐‘ฅ๐‘’โˆ’9๐‘ฅ ๐‘‘๐‘ฅ ๐‘ก 0 Integrando por tablas F(t)= 2โˆš5 [ ๐‘ก๐‘’โˆ’9๐‘ฅ โˆ’9 ] 0 ๐‘ก โˆ’ 2โˆš5 [ ๐‘ฅ๐‘’โˆ’9๐‘ฅ โˆ’9 โˆ’ ๐‘’โˆ’9๐‘ฅ 81 ] 0 ๐‘ก Evaluando resulta F(t)= 2โˆš5 [ ๐‘ก๐‘’โˆ’9๐‘ก โˆ’9 + ๐‘ก๐‘’0 9 + ๐‘ก๐‘’โˆ’9๐‘ก 9 + ๐‘’โˆ’9๐‘ก 81 โˆ’ 0๐‘’0 9 โˆ’ ๐‘’0 81 ] =2โˆš5 [ ๐‘ก 9 + ๐‘’โˆ’9๐‘ก 81 โˆ’ 1 81 ]= 2โˆš5 81 [9๐‘ก + ๐‘’โˆ’9๐‘ก โˆ’ 1]
  • 7.
    5. DESARROLLE LAEXPANSION DE FOURIER EN TERMINOS DEL SEMI PERIODO DE FOURIER Y REALICE EL ESPECTRO DE LA FUNCION F(X)={ 2๐‘ฅ ๐‘ ๐‘–0 โ‰ค ๐‘ฅ โ‰ค 3 6 ๐‘ ๐‘– โˆ’ 3 โ‰ค ๐‘ฅ โ‰ค 0 } T=6 Aplicando f(x) Sea p= ๐‘ก 2โ„ =3 Asi ola serie de Fourier es F(x)= ๐ด ๐‘œ 2 + โˆ‘ ๐ด ๐‘› ๐‘๐‘œ๐‘  ๐‘›รฑ๐‘ฅ ๐‘ โˆž ๐‘›=1 +โˆ‘ ๐‘ ๐‘› ๐‘ ๐‘’๐‘› ๐‘›รฑ ๐‘ฅ ๐‘ โˆž ๐‘›=1 Donde ๐ด ๐‘œ = 1 ๐‘ โˆซ ๐‘“( ๐‘ฅ) ๐‘‘๐‘ฅ ๐‘ โˆ’๐‘ = 1 3 [โˆซ 6๐‘‘๐‘ฅ 0 โˆ’3 + โˆซ 2๐‘ฅ๐‘‘๐‘ฅ 3 0 ]
  • 8.
    = 1 3 [6๐‘ฅ|โˆ’3 0 + ๐‘ฅ2 ๐‘ฅ2|0 3] = 1 3 [18 +9]= 27 3 =9 ๐ด ๐‘› = 1 ๐‘ โˆซ ๐‘“( ๐‘ฅ) ๐‘๐‘œ๐‘  ๐‘›รฑ๐‘ฅ ๐‘ ๐‘‘๐‘ฅ ๐‘ โˆ’๐‘ = 1 3 [โˆซ 6 ๐‘๐‘œ๐‘  ๐‘›รฑ 3 ๐‘ฅ๐‘‘๐‘ฅ 0 โˆ’3 + โˆซ 2๐‘ฅ๐‘๐‘œ๐‘  ๐‘›รฑ 3 ๐‘ฅ๐‘‘๐‘ฅ 3 0 ] =2[ 3 ๐‘›รฑ ๐‘ ๐‘’๐‘› ๐‘›รฑ 3 ๐‘ฅ] โˆ’3 0 + 2 3 [ 3 ๐‘›รฑ ๐‘ฅ๐‘ ๐‘’๐‘› ๐‘›รฑ๐‘ฅ 3 + 9 ๐‘›2รฑ2 ๐‘๐‘œ๐‘  ๐‘›รฑ๐‘ฅ 3 ] 0 3 = 6 ๐‘›รฑ [ ๐‘ ๐‘’๐‘›0 โˆ’ ๐‘ ๐‘’๐‘›(โˆ’๐‘›รฑ)] + [ 6๐‘ ๐‘’๐‘›๐‘›รฑ ๐‘›รฑ + 9๐‘๐‘œ๐‘ ๐‘›รฑ ๐‘›2รฑ2 โˆ’ 9๐‘๐‘œ๐‘ 0 ๐‘›2รฑ2 ] = 9(๐‘๐‘œ๐‘ ๐‘›รฑโˆ’1) ๐‘›2รฑ2 cosnรฑ= (โˆ’1) ๐‘› = 9[(โˆ’1) ๐‘›โˆ’1] ๐‘›2รฑ2 ๐‘ ๐‘› = 1 ๐‘ โˆซ ๐‘“( ๐‘ฅ) ๐‘ ๐‘’๐‘› ๐‘›รฑ๐‘ฅ ๐‘ ๐‘‘๐‘ฅ ๐‘ โˆ’๐‘ = 1 3 [โˆซ 6๐‘ ๐‘’๐‘› ๐‘›รฑ 3 ๐‘ฅ๐‘‘๐‘ฅ 0 โˆ’3 + โˆซ 2๐‘ฅ๐‘ ๐‘’๐‘› ๐‘›รฑ 3 ๐‘ฅ๐‘‘๐‘ฅ 3 0 ] = โˆ’6 ๐‘›รฑ ๐‘๐‘œ๐‘  ๐‘›รฑ 3 ๐‘ฅ|โˆ’3 0 + 2 3 [ โˆ’3๐‘ฅ ๐‘›รฑ ๐‘๐‘œ๐‘  ๐‘›รฑ 3 ๐‘ฅ + 9 ๐‘›2 ๐‘›2 ๐‘ ๐‘’๐‘› ๐‘›รฑ 3 ] โˆ’3 0 =[โˆ’ 6 ๐‘›รฑ ๐‘๐‘œ๐‘ 0 + 6 ๐‘›รฑ cos(๐‘›รฑ)] โˆ’ โˆ’6๐‘๐‘œ๐‘ ๐‘›รฑ ๐‘›รฑ = โˆ’6 ๐‘›รฑ