SAP NETWEAVER GATEWAY 2.0
SAP NetWeaver Gateway Configuration Guide
PUBLIC
Document Version: GW2.0 SPS08
SAP NetWeaver Gateway Configuration Guide
(C) SAP AG SAP NetWeaver Gateway 2.0 SPS08 2
Copyright
© Copyright 2013 SAP AG. All rights reserved.
SAP Library document classification: PUBLIC
No part of this publication may be reproduced or transmitted in any form or for any purpose
without the express permission of SAP AG. The information contained herein may be changed
without prior notice.
Some software products marketed by SAP AG and its distributors contain proprietary software
components of other software vendors. National product specifications may vary.
These materials are provided by SAP AG and its affiliated companies (“SAP Group”) for
informational purposes only, without representation or warranty of any kind, and SAP Group
shall not be liable for errors or omissions with respect to the materials. The only warranties for
SAP Group products and services are those that are set forth in the express warranty statements
accompanying such products and services, if any. Nothing herein should be construed as
constituting an additional warranty.
SAP and other SAP products and services mentioned herein as well as their respective logos are
trademarks or registered trademarks of SAP AG in Germany and other countries.
Please see http://www.sap.com/corporate-en/legal/copyright/index.epx#trademark for
additional trademark information and notices.
SAP NetWeaver Gateway Configuration Guide
(C) SAP AG SAP NetWeaver Gateway 2.0 SPS08 3
Icons in Body Text
Icon Meaning
Caution
Example
Note
Recommendation
Syntax
Additional icons are used in SAP Library documentation to help you identify different types of
information at a glance. For more information, see Help on Help General Information
Classes and Information Classes for Business Information Warehouse on the first page of any
version of SAP Library.
Typographic Conventions
Type Style Description
Example text Words or characters quoted from the screen. These include field names, screen
titles, pushbuttons labels, menu names, menu paths, and menu options.
Cross-references to other documentation.
Example text Emphasized words or phrases in body text, graphic titles, and table titles.
EXAMPLE TEXT Technical names of system objects. These include report names, program
names, transaction codes, table names, and key concepts of a programming
language when they are surrounded by body text, for example, SELECT and
INCLUDE.
Example text Output on the screen. This includes file and directory names and their paths,
messages, names of variables and parameters, source text, and names of
installation, upgrade and database tools.
Example text Exact user entry. These are words or characters that you enter in the system
exactly as they appear in the documentation.
<Example text> Variable user entry. Angle brackets indicate that you replace these words and
characters with appropriate entries to make entries in the system.
EXAMPLE TEXT Keys on the keyboard, for example, F2 or ENTER.
SAP NetWeaver Gateway Configuration Guide
(C) SAP AG SAP NetWeaver Gateway 2.0 SPS08 4
Table of Contents
SAP NetWeaver Gateway Configuration Guide......................................................................7
Basic Configuration Settings ..............................................................................................9
Profile Parameters........................................................................................................ 10
ICF Services.................................................................................................................11
Changing Password for Initial Logon.............................................................................16
Language Settings .......................................................................................................19
OData Channel Configuration ..........................................................................................20
User, Developer, and Administrator Authorizations .......................................................23
Creating and Assigning Roles...................................................................................28
Connection Settings on the SAP NetWeaver Gateway Hub System..............................29
Connection Settings: SAP NetWeaver Gateway to Consumer...................................30
Creating a bgRFC Destination for Outbound Queues.............................................31
Registering the bgRFC Destination for the Outbound Queue .................................32
Creating the bgRFC Supervisor Destination...........................................................33
Connection Settings: SAP NetWeaver Gateway to SAP Systems..............................34
Creating a Type 3 RFC Destination on SAP NetWeaver Gateway Host to SAP
System..................................................................................................................35
Defining Trust between the SAP NetWeaver Gateway Host and Your SAP Systems
for Type 3 Connections .........................................................................................36
Configuring SAP System to Accept Assertion Tickets from SAP NetWeaver Gateway
.............................................................................................................................37
Configuring the SAP NetWeaver Gateway Host to Accept Assertion Tickets from
SAP Business Suite Systems ................................................................................38
Creating the SAP System Alias for Applications.....................................................39
Activating SAP NetWeaver Gateway ............................................................................ 41
Settings for OData Channel Service Development on Backend System ........................ 42
Displaying Models and Services................................................................................44
Define Parallelization of Batch Queries .....................................................................45
Settings for OData Channel Service Development on the Hub System ......................... 46
Assigning SAP System Alias to OData Service .........................................................47
Multiple Origin Composition ......................................................................................48
Dynamic System Alias Calculation Via /IWFND/ES_MGW_DEST_FINDER ..............51
Connection Settings on the Backend System................................................................53
Settings for Idempotent Services...............................................................................54
Defining a Remote Function Call to SAP NetWeaver Gateway .................................. 56
Connection Settings to SAP NetWeaver Gateway.....................................................57
Configure the bgRFC Supervisor Destination ............................................................58
Monitoring bgRFC Queues........................................................................................60
Business Enablement Provisioning (IW_BEP) Configuration ............................................61
Configuration Settings for SAP NetWeaver Gateway Supported Scenarios ...................... 62
Configuration Settings for OData Channel Scenarios....................................................63
Configuring Workflow for SAP NetWeaver Gateway..................................................64
Creating an Administrator Role for Workflow..........................................................65
Customizing SAP NetWeaver Gateway Workflow..................................................67
Configuring Workflow Notifications.....................................................................68
Creating a Type G RFC Destination................................................................69
Configuring User Authorizations for Push Notifications....................................70
Running Scheduled Reports...........................................................................71
Workflow Settings ..............................................................................................74
Configuring Business Process Content Services.......................................................78
Configuring Services for Deployment Scenario 1 ...................................................79
Connecting Business Process Content and Business Suite Systems..................80
Creating a Software Version for Provider System............................................82
Mapping the Software Version and Technical Model.......................................83
Creating a System Alias.....................................................................................84
Activating the Process Service...........................................................................85
Registering Process Context Service for Deployment Scenario 1 .......................86
Activating the Process Context Service..............................................................87
SAP NetWeaver Gateway Configuration Guide
(C) SAP AG SAP NetWeaver Gateway 2.0 SPS08 5
Configuring Services for Deployment Scenario 2 ...................................................88
Connecting Business Process Content and Business Suite Systems..................89
Creating a Software Version for Provider System............................................91
Mapping the Software Version and Technical Model.......................................92
Creating a System Alias for SAP Business Suite System ...................................93
Connecting SAP NetWeaver Gateway and Business Process Content ............... 94
Creating a System Alias for Business Process Content System.......................... 95
Activating the Process Service...........................................................................96
Registering Process Context Service for Deployment Scenario 2 .......................97
Activating the Process Context Service..............................................................98
User Authorizations for SAP Business Workflow Systems......................................99
Configuring the Task Gateway Service....................................................................100
Former Development .....................................................................................................105
Configurations for ERP on SAP NetWeaver Gateway .................................................106
Role Templates for ERP Scenarios.........................................................................109
Configurations on SAP NetWeaver Gateway for SAP ERP......................................114
Settings for Time Management Application - OData Channel .................................. 116
Configurations on the SAP NetWeaver Gateway for Time Management - OData
Channel ..............................................................................................................117
Configurations on the SAP ERP System (Provider System) for Time Management -
OData Channel ...................................................................................................119
Configurations on the SAP NetWeaver Gateway System (Consumer System) for
Leave Management.............................................................................................121
Configurations for ERP Customer- OData Channel .................................................123
Configurations for ERP Customer on the SAP NetWeaver Gateway System— OData
Channel ..............................................................................................................124
Configurations for ERP Customer on the SAP ERP System (Provider System) —
OData Channel ...................................................................................................126
Configurations for ERP Customer on the SAP NetWeaver Gateway System
(Consumer System)— OData Channel ................................................................127
Configurations for ERP Sales Documents on the SAP NetWeaver Gateway System—
OData Channel.......................................................................................................128
SOA Management Configurations on SAP ERP System .............................................130
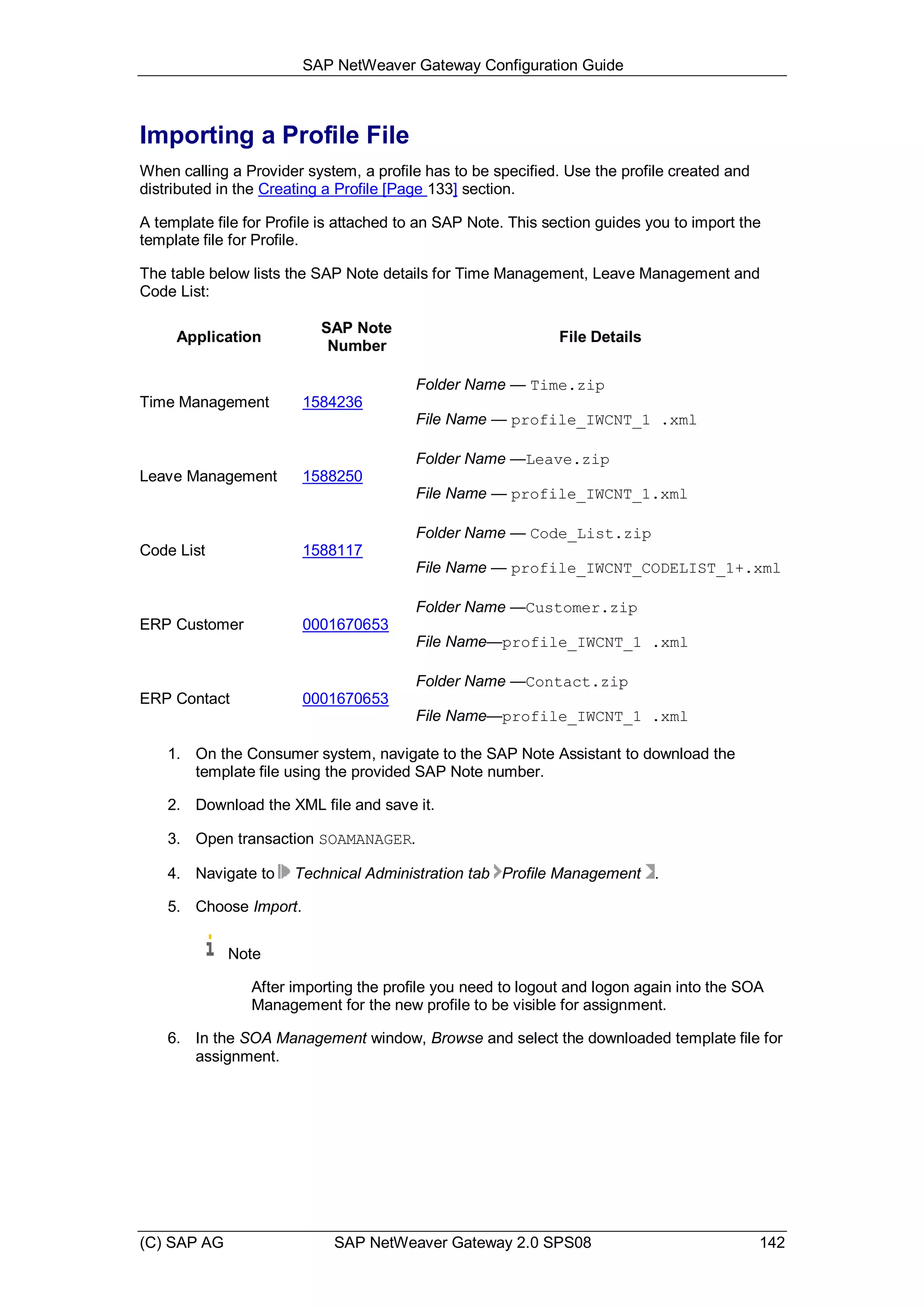
Importing a Profile using a XML Template...............................................................131
Profile Management................................................................................................133
Importing Endpoints Template using Business Scenario Configuration.................... 135
Creating Endpoints using a Business Scenario .......................................................137
Verifying the Endpoints Created..............................................................................139
Obtaining the External Key of the Provider System .................................................140
SOA Management Configurations on the SAP NetWeaver Gateway System ..............141
Importing a Profile File............................................................................................142
Creating a System Connection to Provider System .................................................144
User Account Management.....................................................................................145
Importing a Business Scenario Configuration XML..................................................147
Configuring Service Groups using a Business Scenario ..........................................149
Verifying Logical Ports ............................................................................................151
Generic Channel Configuration...................................................................................152
Defining Settings for Idempotent Services...............................................................156
Creating an RFC Destination for the WSIL Service..................................................157
Assigning the System Alias Pointing to the SAP System .........................................158
Checking SAP System Aliases................................................................................159
Subscription Settings ..............................................................................................160
Code List....................................................................................................................161
Code List Usage .....................................................................................................162
Customizing the SAP NetWeaver Gateway System for Code List............................ 168
Code List Cache Cleanup .......................................................................................169
Configuration Settings for Generic Channel Scenarios................................................170
Settings for Customer Relationship Management on SAP NetWeaver Gateway ...... 171
Configuring GSDO to Connect to the SAP CRM System......................................176
SOA Management Configurations on SAP CRM System..................................177
SAP NetWeaver Gateway Configuration Guide
(C) SAP AG SAP NetWeaver Gateway 2.0 SPS08 6
Creating a New Profile in the Provider System..............................................178
Configuring Provider Systems.......................................................................179
SOA Management Configurations on SAP NetWeaver Gateway System.......... 181
Creating a Provider System in the Consumer System................................... 182
User Account Management ..........................................................................184
Settings for Reporting Management........................................................................187
Settings for Reporting Management on SAP NetWeaver Gateway....................... 188
Configuring Subscriptions for Report Results.......................................................192
Settings for Reporting Administration...................................................................193
Managing Source Systems, Report Types and Formats ...................................194
Managing Reports and their Properties ............................................................196
Configuring a New Report.............................................................................197
Configuring Report Parameters ....................................................................199
Configuring Multiple Values for a Parameter.................................................201
Configuring Delivery Formats for a Report ....................................................202
Specifying Roles for a Report .......................................................................203
Report Scheduling........................................................................................204
Managing Categories.......................................................................................205
Managing Context Variables ............................................................................206
Configuring System Time Points ......................................................................208
Managing System Time points and Data Change Events .................................209
Settings for Human Capital Management for SAP NetWeaver Gateway .................. 211
Settings for Time Management............................................................................212
Settings for Time Management on SAP NetWeaver Gateway........................... 215
Configurations on the SAP ERP System (Provider System) for Time Management
........................................................................................................................216
Configurations on the SAP NetWeaver Gateway System (Consumer System) for
Time Management...........................................................................................218
Settings for Leave Management ..........................................................................220
Configuring SAP NetWeaver Gateway System for Leave Management ............ 223
Configurations on the SAP ERP System (Provider System) for Leave
Management....................................................................................................225
Configurations on the SAP NetWeaver Gateway System (Consumer System) for
Leave Management .........................................................................................227
Settings for User Profile.......................................................................................229
Settings for Code List in the SAP NetWeaver Gateway System...............................230
Creating a GSDO Type ....................................................................................... 232
Creating a GSDO Group......................................................................................234
Assigning System Alias .......................................................................................235
Maintaining Code Type........................................................................................236
Code List Usage..................................................................................................239
Code List Cache Cleanup....................................................................................241
Configuring SAP NetWeaver Gateway System and SAP ERP System-ESA Service
...........................................................................................................................242
Configurations on the SAP ERP System (Provider System) for Code List......... 243
Configurations on the SAP NetWeaver Gateway System (Consumer System) for
Code List .........................................................................................................245
SAP NetWeaver Gateway Configuration Guide
(C) SAP AG SAP NetWeaver Gateway 2.0 SPS08 7
SAP NetWeaver Gateway Configuration Guide
Once you have installed [External] the SAP NetWeaver Gateway components, you must
configure your system to allow the consumer servers’ applications to retrieve the data
requested by users.
The SAP NetWeaver Gateway Configuration Guide contains the steps for customizing
settings for SAP NetWeaver Gateway and describes system configuration activities.
The sequence of mandatory and optional configuration tasks is as follows and depends on
your use case.
1. Basic configuration [Page 9] (mandatory)
2. OData Channel Configuration [Page 20]
3. Configuration Settings for content scenarios [Page 62] (optional)
Implementation Guide
The SAP NetWeaver Gateway specific configuration tasks are included in the
SAP NetWeaver Gateway Implementation Guide (IMG) which is available in the system: In
your SAP NetWeaver Gateway hub system (IW_FND) go to transaction SPRO, open the SAP
Reference IMG and navigate to: SAP NetWeaver Gateway . In your backend system
(IW_BEP) go to transaction SPRO, open the SAP Reference IMG and navigate to: SAP
NetWeaver Gateway Service Enablement .
For all steps in the IMG there is always consumer-independent documentation available. If
you want to see more information, select the Display icon before executing each step.
Note
If you have software components GW_CORE 190 and IW_FND 240 installed in your
system, the IMG tree will only offer the activities for OData Channel.
The same applies if you use SAP NetWeaver Gateway in SAP NetWeaver 7.40
(software component SAP_GWFND).
For more information, see Deployment Options [External].
Recommendation
We strongly recommend using the OData Channel (ODC) programming paradigm for
all SAP NetWeaver Gateway development.
As of SAP NetWeaver Gateway 2.0 Support Package 05, you are strongly
recommended to use the Service Builder (transaction SEGW) for your OData design-
time development . For more information, see SAP NetWeaver Gateway Service
Builder [External].
Depending on whether you want to develop SAP NetWeaver Gateway content in an
SAP Business Suite backend system or in an SAP NetWeaver Gateway hub system,
you can choose between embedded deployment or central hub deployment. For
more information, see Embedded Versus Hub Deployment [External] and
Deployment Options [External].
SAP NetWeaver Gateway Configuration Guide
(C) SAP AG SAP NetWeaver Gateway 2.0 SPS08 8
As such, several sections in the Implementation Guide (IMG) are merely available for
reference and maintenance purposes.
In the backend system this is the section in the SAP Reference IMG under SAP
NetWeaver Gateway Service Enablement Generic Channel .
In the SAP NetWeaver Gateway hub system these are the sections in the SAP
Reference IMG under SAP NetWeaver Gateway Former Development .
Additional Software Components
Depending on the additional SAP NetWeaver Gateway components you implement, further
component-specific configuration steps are required:
Business
Enablement
Provisioning
(IW_BEP)
See Connection Settings for OData Channel and BEP [Page 53] and
Backend Event Publisher (BEP) Configuration [Page 61].
The IW_BEP specific configuration tasks are included in the Gateway
Service Enablement Implementation Guide (IMG) which is available in the
system: In transaction SPRO open the SAP Reference IMG and navigate
to: SAP NetWeaver Gateway Service Enablement Backend OData
Channel Connection Settings to SAP NetWeaver Gateway and
Backend Event Publisher Administration.
Screen Scraping
(IW_SCS)
For Screen Scraping you only need to configure roles based on certain
authorization templates. The templates specify the authorizations for
content that can be accessed by the users and activities for developers.
For more information, see Setting Up User and Administrator
Authorizations [Page 23].
SAP NetWeaver
Gateway with
HANA (IW_HDB)
If you want to install the SAP NetWeaver Gateway with HANA component
(IW_HDB), this requires SAP NetWeaver 7.02 SPS09 comprising an ABAP
Database Connectivity (ADBC) installation. ADBC is an object-based
ABAP API for programming relational database accesses. It follows the
Java Database Connectivity (JDBC) diction in its class and model
structure.
Workflow
You can find more information about the Workflow-related configuration
activities in Configuring Workflow for SAP NetWeaver Gateway [Page 64].
In addition, the relevant IMG activities are available in the Implementation
Guide in the backend system: In transaction SPRO open the SAP
Reference IMG and navigate to: SAP NetWeaver Gateway Service
Enablement Content Workflow Settings .
Business Process
Enablement
For the special services provided within Business Process Enablement
[External], such as Process Service and Process Context Service, the
relevant IMG activities are available in the Implementation Guide in the
backend system. In transaction SPRO open the SAP Reference IMG and
navigate to: SAP NetWeaver Gateway Service Enablement Content
Business Process Enablement .
Consumer Settings
For information on configuration settings which need to be carried out for the different
consumer scenarios and applications, see Configuration Settings for SAP NetWeaver
Gateway Supported Scenarios [Page 62].
SAP NetWeaver Gateway Configuration Guide
(C) SAP AG SAP NetWeaver Gateway 2.0 SPS08 9
Basic Configuration Settings
After having installed [External] the SAP NetWeaver Gateway software components you need
to carry out several configuration steps.
Before starting with the configuration for SAP NetWeaver Gateway itself, you need to collect
some information about the SAP NetWeaver Gateway host.
Required
Information
Description Example
Fully Qualified
Domain Name
(FQDN)
Name of the SAP NetWeaver Application
Server ABAP (AS ABAP) system or the load
balancing device.
server.domain.com
Administrator
credentials
Login information of the administrator of the
SAP NetWeaver AS ABAP to install and
maintain the system
SAP administrator
HTTP/HTTPS
ports
HTTP and HTTPS port numbers of the central
instance of the AS ABAP
80000 for HTTP and
80001 for HTTPS
SAP system
For each SAP system to which you want to
connect the SAP NetWeaver Gateway server,
you need the following information:
System ID, system number
Server name
HTTP / HTTPS port
Administrator credentials
In addition, several settings are important for smooth operations:
Profile Parameters [Page 10]
ICF Services [Page 11]
Initial Logon [Page 16]
Language Settings [Page 19]
SAP NetWeaver Gateway Configuration Guide
(C) SAP AG SAP NetWeaver Gateway 2.0 SPS08 10
Profile Parameters
In both your SAP system and in the SAP NetWeaver Gateway system you need to set the
following profile parameters to certain values:
Profile Parameter Value
login/accept_sso2_ticket 1
login/create_sso2_ticket 2
You maintain these profile parameters via transaction RZ10.
More Information
For information on profile parameters and profile parameter maintenance, see Profile
Parameters for Logon and Password (Login Parameters) [External] and Changing and
Switching Profile Parameters [External].
SAP NetWeaver Gateway Configuration Guide
(C) SAP AG SAP NetWeaver Gateway 2.0 SPS08 11
ICF Services
Once you have installed the Application Server ABAP (AS ABAP) all Internet Communication
Framework (ICF) services are available in an inactive state for security reasons. After the
installation you have to decide which services must be activated for the applications you want
to use.
Caution
Activated ICF services represent a security risk because they can be accessed
directly by the HTTP protocol from the Internet. You therefore need to use suitable
methods for restricting access, for example, only permitting access to the ICF service
for users with the appropriate authorizations.
Since multiple services can be executed when you call a URL, all service nodes must be
activated in the SICF tree. The URL path is mapped in ICF subnodes (services). For
example, if you want to activate the services for URL /sap/public/icman, you have to
activate the service tree default_host in transaction SICF. Then you have to activate
services sap, public and icman separately.
You activate an ICF service as follows:
1. Select the required ICF service in the ICF tree in transaction SICF.
2. Activate the ICF service in one of the following ways:
o Using menu option Service/Host Activate .
o Using the context menu and choosing Activate Service.
You can either activate only a selected service node (Yes), or the selected service node
including all the subservices maintained for it in SICF (Yes with tree icon):
(Example)
For SAP NetWeaver Gateway you need to activate the following services:
/sap/public/opu
Note that /sap/public/opu/resources is needed for loading resources, such as
images in the MIME repository. For example, the generic player gets a service
document which contains links to images which the player should display for a Sales
Order. Then the generic player downloads the image via URL from the MIME
Repository; for example, http://.../sap/opu/resources/pic1.png.
SAP NetWeaver Gateway Configuration Guide
(C) SAP AG SAP NetWeaver Gateway 2.0 SPS08 12
/sap/opu/odata with its sub-nodes.
This is the standard mode for all new applications. When creating a service a new
node is created automatically.
/sap/opu/sdata with the following sub-nodes:
o /sap/opu/sdata/iwcnt
o /sap/opu/sdata/iwfnd
o /sap/opu/sdata/sap
This is the node used for existing applications, it is called Compatibility Mode for
SP02.
If you use Web service based scenarios, that is, if content is consumed which is provided via
Web services, then you also need to activate the following nodes on your target system:
/sap/bc/srt/xip/sap
/sap/bc/webdynpro/sap/saml2
/sap/public/bc
/sap/public/bc/ur
/sap/public/mysssocnt
Note
If the default_host node is inactive in transaction SICF, the HTTP requests could
result in an ABAP runtime error RAISE_EXCEPTION with the following short text:
Exception condition "HOST_INACTIVE" triggered.
If a service is inactive in transaction SICF, an error text appears when you try to
access the service.
You can also activate services from the SAP Implementation Guide (IMG). In transaction
SPRO, choose Display SAP Reference IMG. The path in the Implementation Guide for SAP
NetWeaver is: Application Server Internet Communication Framework Activate HTTP
Services or Activate Services in Installation.
Note that the system performs a check against the authorization object S_ICF_ADM
[External] when an ICF node is created.
Standard Mode
This standard mode refers to the ICF node /sap/opu/odata. This node is available for
OData Channel based applications. When creating a service a new node is created
automatically.
Note
The standard mode is the default for all new applications. All new development will be
done on this mode. New functions and features will be available for this mode.
SAP NetWeaver Gateway Configuration Guide
(C) SAP AG SAP NetWeaver Gateway 2.0 SPS08 13
The request handler for this node is /IWFND/CL_SODATA_HTTP_HANDLER.
The following list consists of the differences of the standard mode as opposed to the
compatibility mode for SP02:
XSRF protection
See also Cross-Site Request Forgery Protection [External]
Content-Type required for Put/Post request
An unsupported media type error is thrown if Content-Type is not set for Put/Post
requests. Set parameter:
Content-Type=application/xml
XSRF Security Token
Security Session Id
$format parameter
$format=xml leads to an error except for service document. Do not use it for all
requests except for those to get service document .
Null values in Put/Post Request
Empty property elements (for example, <name/>) are not allowed anymore. Nullable
needs to be set properly, and besides that, if an entry with a null string is to be
created set m:null="true", for example, <name m:null="true" />.
Null values in the response of a Get/Put request
Intial values for date time fields in combination with nullable properties are rendered
as <...m:null="true" />.
Values of keys in Post request in case of server generated keys
If the keys are generated on the server the values need to be filled in the post request
anyway. m:null is not allowed.
Rendering of key predicates
See http://www.odata.org/developers/protocols/overview#AbstractTypeSystem.
Key properties
Sending properties that are not key fields in an URI is not longer possible.
String parameters
Quotation marks enclosing string parameters (for example, search string) are now
required and removed.
Parameters for function imports
Parametrize with literals, for example, datetime.... See also
http://www.odata.org/developers/protocols/overview#AbstractTypeSystem.
SAP NetWeaver Gateway Configuration Guide
(C) SAP AG SAP NetWeaver Gateway 2.0 SPS08 14
Inverted commas in URI
Inverted commas in URI, for example, $filter=name eq 'Jame''s shop' can
now be properly escaped by an inverted comma.
OData error response
The OData error response has been enhanced. See
http://www.odata.org/media/6655/%5Bmc-
apdsu%5D%5B1%5D.htm#_Toc246716641.
The code field is now either build from the leading error message of the message
container [External] or build from the text id of the exception [External].
The structured inner error section is available showing Extended Passport (EPP)
transaction ID. All messages of the message container and the additionally provided
error details are shown in a special format (micro format).
Things
The workspace for Things, element <app:workspace
sap:semantics="things">, is no longer available.
Service maintenance
The service maintenance transaction distinguishes between services of the Standard
Mode and of the Compatibility Mode for SP02.
Compatibility Mode for SP02
This compatibility mode for SAP NetWeaver Gateway 2.0 SP02 refers to the ICF node
/sap/opu/sdata. This node is available for existing applications which might be based
either on OData Channel or Generic Channel.
Caution
This node is in maintenance mode.
The request handler for this node is /IWFND/CL_SDATA_ODATA_APP.
Alias Handling in ICF
The ICF standard function of external aliases [External] is also available for SAP NetWeaver
Gateway for the Standard Mode, that is, for ICF node /sap/opu/odata. Thus you can
define an external alias for your service if you have registered class
/IWFND/CL_SODATA_HTTP_HANDLER as handler in the Handler List for your service node.
Note
Note that external aliases are not supported for namespaces in SICF.
If the handler /IWFND/CL_SODATA_HTTP_HANDLER is not yet registered for your service
node, enter the handler name on tab Handler List and activate your service. After the handler
has been set, you can define the external alias.
SAP NetWeaver Gateway Configuration Guide
(C) SAP AG SAP NetWeaver Gateway 2.0 SPS08 15
More Information
Administration of ICF server functions (authorization assignment): Server Function
Administration [External]
Administration of ICF client functions (creation of RFC destinations, and so on): Client
Function Administration [External]
ICF services: Creating and Configuring an ICF Service [External]
Authentication: Defining the Logon Procedure [External]
SAP NetWeaver Gateway Configuration Guide
(C) SAP AG SAP NetWeaver Gateway 2.0 SPS08 16
Changing Password for Initial Logon
Note
This section is only relevant if you want to change the password for the initial logon
procedure.
The logon configurations for SAP NetWeaver Gateway are handled via the ICF layer. For
more information, see Defining the Logon Procedure [External].
SAP systems may require some additional (browser) features if the password needs to be
changed because of being initial or outdated. Therefore, the ICF nodes can be configured to
permit the initial password change and the direct logon. An additional ICF node is offered to
allow the change of passwords with a browser.
Using an ICF Node for Changing Passwords
SAP NetWeaver Gateway offers a special ICF node which can be accessed to change the
password, for example for the initial logon sequence. This node is used to change the
password and to redirect to any other custom web page.
You can find this special ICF node in the service tree under
/default_host/sap/opu/utils under the name initial_logon.
You can access this node as soon as it has been activated via the URL
<host>:<port>/sap/opu/utils/initial_logon.
The call of the service requires authentication and does allow to change an initial password
via a browser application. If the URL is extended by ?redirectURL=/X then the browser is
redirected to the URL wherever X points to. A typical use case for such a redirect URL would
be to display additional information, so that the new password data could be used in the
settings of a mobile application. If needed, a redirect URL can be configured and will take
precedence over all basic settings.
(initial_logon)
Changing the Password for ICF Nodes Accessed by Mobile Devices
1. In transaction SICF choose Execute (F8) to display the service tree hierarchy.
2. Expand the default host and navigate to the ICF parent node of the initial logon
/default_host/sap/opu/utils/initial_logon. This node shall be the root
SAP NetWeaver Gateway Configuration Guide
(C) SAP AG SAP NetWeaver Gateway 2.0 SPS08 17
node which is accessed by your mobile devices and where you want to deny the
direct access via mobile device.
3. Double-click on the node and change to edit mode.
4. On tab Error Pages choose sub-tab Logon Errors.
5. Choose System Logon.
(System logon)
6. Choose Configuration.
7. Choose Define Service-Specific Settings.
8. Under Logon Layout and Procedure choose Custom Implementation and enter ABAP
Class /IWFND/CL_COC_SYSTEM_LOGIN.
SAP NetWeaver Gateway Configuration Guide
(C) SAP AG SAP NetWeaver Gateway 2.0 SPS08 18
(Custom implementation example)
9. Choose Input (Enter) to save your settings.
Caution
If you have administrator rights you have the additional option to save your settings
as global settings. Do not use Save as Global Settings.
10. Activate your ICF node.
Logoff URL
The Internet Communication Framework also offers a default logoff URL on each system.
You can define your own logoff pages via Error Pages Logoff Page .
More Information
For more information on the generic system logon functionality in ICF, see System Logon
[External].
SAP NetWeaver Gateway Configuration Guide
(C) SAP AG SAP NetWeaver Gateway 2.0 SPS08 19
Language Settings
The language which is displayed to the user depends on a variety of factors. For more
information see Determining the Logon Language [External].
As to languages, the SAP NetWeaver Gateway system supports only the intersecting set of
the languages of the connected SAP Business Suite backend systems.
SAP NetWeaver Gateway Configuration Guide
(C) SAP AG SAP NetWeaver Gateway 2.0 SPS08 20
OData Channel Configuration
Depending on your underlying SAP NetWeaver release the configuration settings for OData
Channel and the structure in the Implementation Guide (IMG) may differ.
SAP NetWeaver 7.00 and 7.01
The OData Channel configuration settings are available in the Implementation Guide (IMG) in
the system where software component IW_FND is deployed. In the SAP Reference IMG
navigate to SAP NetWeaver Gateway .
(OData Channel IMG for IW_FND in 7.00 and 7.01)
SAP NetWeaver 7.02 and 7.31
The OData Channel configuration activities are listed in the Implementation Guide (IMG) in
the system where software component IW_FND is deployed. In the SAP Reference IMG
navigate to SAP NetWeaver Gateway OData Channel .
(OData Channel IMG in IW_FND)
SAP NetWeaver Gateway Configuration Guide
(C) SAP AG SAP NetWeaver Gateway 2.0 SPS08 21
Recommendation
We strongly recommend using the OData Channel (ODC) programming paradigm for
all SAP NetWeaver Gateway development.
As of SAP NetWeaver Gateway 2.0 Support Package 05, you are strongly
recommended to use the Service Builder (transaction SEGW) for your OData design-
time development . For more information, see SAP NetWeaver Gateway Service
Builder [External].
Depending on whether you want to develop SAP NetWeaver Gateway content in an
SAP Business Suite backend system or in an SAP NetWeaver Gateway hub system,
you can choose between embedded deployment or central hub deployment. For
more information, see Embedded Versus Hub Deployment [External] and
Deployment Options [External].
Apart from basic configuration settings the OData Channel configuration activities for the
SAP Business Suite backend system are listed in the Implementation Guide (IMG) in the
backend system where software component IW_BEP is deployed. In the SAP Reference IMG
navigate to SAP NetWeaver Gateway Service Enablement Backend OData Channel .
(OData Channel IMG in IW_BEP)
SAP NetWeaver 7.40
If you use software component SAP_GWFND in SAP NetWeaver 7.40, IMG activities for
SAP NetWeaver Gateway Foundation 7.40 are available. In the SAP Reference IMG navigate
to SAP NetWeaver Gateway and SAP NetWeaver Gateway Service Enablement .
There you find all the relevant OData Channel IMG activities.
SAP NetWeaver Gateway Configuration Guide
(C) SAP AG SAP NetWeaver Gateway 2.0 SPS08 22
Settings
User, Developer and Administrator Authorizations [Page 23]
Connection Settings on the SAP NetWeaver Gateway Hub System [Page 29]
Activating SAP NetWeaver Gateway [Page 41]
Settings for OData Channel Service Development on Backend System [Page 42]
Settings for OData Channel Service Development on the Hub System [Page 46]
Connection Settings on the Backend System [Page 53]
More Information
Basic Configuration Settings [Page 9]
OData Channel [External]
SAP NetWeaver Gateway Configuration Guide
(C) SAP AG SAP NetWeaver Gateway 2.0 SPS08 23
User, Developer, and Administrator Authorizations
After you have installed the SAP NetWeaver Gateway components you require, you need to
set up an administrator role for SAP NetWeaver Gateway components and assign users to it.
Then you set up one or several user roles and assign users to it as well. As you cannot
change existing SAP roles, you create your own roles or copy existing roles to your new
custom roles.
The SAP system includes templates as opposed to actual users, so you must use the
available role templates to create the users you require in the SAP NetWeaver Gateway
system. If the users you require exist in your SAP Business Suite backend system, you can
replicate these users in the SAP NetWeaver Gateway system by connecting the SAP
NetWeaver Gateway system to Central User Administration or to SAP Identity Management
and synchronize the users in this way. If this is not possible, you must create the users
manually.
SAP NetWeaver Gateway provides predefined roles as templates for:
Developers
Administrators
End users of the different content scenarios
These templates follow the naming convention /IWCNT/RT_USER_<application
name>.
Support colleagues
These templates provide display authorizations only and are intended to be used by
support colleagues who need to view applications logs.
Use the predefined templates to create administrator, developer, user, and support roles for
SAP NetWeaver Gateway components. The template names begin with a namespace ID that
corresponds to the software components you use.
SAP NetWeaver Gateway Developer Role
Create a developer role based on the available templates for all users that are to carry out
development tasks such as creating services. Use the developer role /IWBEP/RT_MGW_DSP
for accessing a remote system from the Service Builder (transaction SEGW) at design time.
The following templates are available for developers:
Template Type Template Name Template for
Framework /IWFND/RT_BOR_DEV SAP NetWeaver Gateway BOR Developer
Framework /IWFND/RT_DEVELOPER SAP NetWeaver Gateway Developer
OData Channel /IWBEP/RT_MGW_DEV OData Channel Developer
Screen Scraping /IWSCS/RT_SCR_DEV
SAP NetWeaver Gateway Screen Scraping
Developer
For more information, see Assigning
Authorization to Transaction and Search Help
[External]
SAP NetWeaver Gateway Configuration Guide
(C) SAP AG SAP NetWeaver Gateway 2.0 SPS08 24
SAP NetWeaver Gateway Administrator Role
Create a role for an administrator user with permissions and privileges for several tasks,
including the following:
Create services.
Analyze logs and identify potential issues with the SAP NetWeaver Gateway
landscape.
Install, configure, and maintain SAP NetWeaver Gateway components and
applications that run on SAP NetWeaver Gateway.
Configure and maintain users’ data including roles and user mapping.
In the SAP Reference Implementation Guide (IMG) (transaction SPRO), navigate to SAP
NetWeaver Gateway OData Channel Configuration User Settings Define Role for SAP
NetWeaver Gateway Administrator and click on the Activity icon. The Role Maintenance
page displays.
To check that the role was properly created and assigned, log onto the SAP NetWeaver
Gateway system as the user you just assigned. You should be able to access transaction
SPRO and find the SAP NetWeaver Gateway Implementation Guide there. You can now log
onto the SAP NetWeaver Gateway host as the administrator user you have just created to
configure SAP NetWeaver Gateway components and content, and to install consumer
applications.
For more information about SAP user administrator types, see Setting Up User and
Authorization Administrators [External].
The following templates are available for administrators:
Template Type Template Name Template for
Framework /IWFND/RT_ADMIN
SAP NetWeaver Gateway Framework
Administrator
Content Scenario /IWCNT/RT_ADMIN_REP
SAP NetWeaver Gateway Reporting
Management Administrator.
See Settings for Reporting
Management [Page 188] for details on
authorizations required.
OData Channel /IWBEP/RT_MGW_ADM OData Channel Administrator
Business Enablement
Provisioning (IW_BEP
component)
/IWBEP/RT_BEP_ADM Business Enablement Provisioning
Administrator
Workflow /IWWRK/RT_WF_ADM SAP NetWeaver Gateway Workflow
Administrator
SAP NetWeaver Gateway Configuration Guide
(C) SAP AG SAP NetWeaver Gateway 2.0 SPS08 25
SAP NetWeaver Gateway User Role
Create a role for a user with permissions and privileges for user-specific tasks. Depending on
your application, you can either specify different authorizations for different user roles or have
all authorizations bundled together in one user role.
Note
You must be a SAP NetWeaver Gateway administrator or have a SAP user
administrator to create user roles.
In the SAP Reference Implementation Guide (IMG) (transaction SPRO), navigate to SAP
NetWeaver Gateway OData Channel Configuration User Settings Define Role for SAP
NetWeaver Gateway User and click on the Activity icon. The Role Maintenance page
displays. Proceed as described below.
Once you have assigned users to the relevant roles, you can log on as one of these users
and work as them.
If you use Web service based scenarios, copy the SAP_BC_WEBSERVICE_CONSUMER role to
a customer role for end users. Then assign this customer role to your end users. To do this,
proceed as follows:
1. Click on the Activity icon of the IMG activity Define Role for SAP NetWeaver Gateway
User mentioned above.
The Role Maintenance page displays.
2. In the Role field, enter your customer role for Web services and choose Change.
3. On the User tab enter the names of the users to whom you want assign this role and
save your settings.
4. Choose User Comparison.
5. Choose Complete Comparison.
6. Save your settings.
To check that you have successfully assigned roles to users, take some of the users assigned
to the different roles and make sure that you can log on successfully. If these steps have not
been performed successfully, an HTTP request of an authenticated user returns an HTTP 500
error.
The following templates are available for end users:
Template Type Template Name Template for
Framework /IWFND/RT_GW_USER SAP NetWeaver Gateway User
Framework /IWFND/RT_TU_NOTIF SAP NetWeaver Gateway Technical User
for Notifications
Content Scenario /IWCNT/RT_USER_LEMA
SAP NetWeaver Gateway Leave
Management User.
See Settings for Leave Management
Application [Page 220] for details on
authorizations required.
SAP NetWeaver Gateway Configuration Guide
(C) SAP AG SAP NetWeaver Gateway 2.0 SPS08 26
Template Type Template Name Template for
Content Scenario /IWCNT/RT_USER_REP
SAP NetWeaver Gateway Reporting
Management User
See Settings for Reporting Management
[Page 188] for details on authorizations
required.
Content Scenario /IWCNT/RT_USER_SS SAP NetWeaver Gateway Sample
Services User
Content Scenario /IWCNT/RT_USER_TRVL SAP NetWeaver Gateway Travel User
Content Scenario /IWCNT/RT_USER_TIMA
SAP NetWeaver Gateway Time
Management User.
See Settings for Time Management
Application [Page 212] for details on
authorizations required.
Content Scenario /IWCNT/RT_USER_WF SAP NetWeaver Gateway Workflow User
Content Scenario /IWCNT/RT_USER_ACT
SAP NetWeaver Gateway Activity
Management User
See Settings for Customer Relationship
Management on SAP NetWeaver
Gateway [Page 171] for details on
authorizations required.
Content Scenario /IWCNT/RT_USER_ACCNT
SAP NetWeaver Gateway User for
Account Management
See Settings for Customer Relationship
Management on SAP NetWeaver
Gateway [Page 171] for details on
authorizations required.
Content Scenario /IWCNT/RT_USER_CONT
SAP NetWeaver Gateway User for
Contact Management
See Settings for Customer Relationship
Management on SAP NetWeaver
Gateway [Page 171] for details on
authorizations required.
OData Channel /IWBEP/RT_MGW_USR OData Channel User
OData Channel /IWHDB/RT_USER OData Channel HANA Integration User
OData Channel /IWBEP/RT_SUB_USR On-behalf Subscription User
Business Enablement
Provisioning (IW_BEP
component)
/IWBEP/RT_BEP_USR Business Enablement Provisioning User
Workflow /IWWRK/RT_WF_GW_USR SAP NetWeaver Gateway Workflow User
SAP NetWeaver Gateway Configuration Guide
(C) SAP AG SAP NetWeaver Gateway 2.0 SPS08 27
Template Type Template Name Template for
Workflow /IWWRK/RT_WF_SUB_USR
On-Behalf Subscription for
SAP NetWeaver Gateway Workflow
Services
Screen Scraping /IWSCS/RT_SCR_USR
SAP NetWeaver Gateway Screen
Scraping User
For more information, see Assigning
Authorization to Transaction and Search
Help [External]
SAP NetWeaver Gateway Support User Role
The following templates are available for support users (display authorization only). The
support templates are available in the SAP NetWeaver Gateway hub system and the
SAP Business Suite backend systems respectively. These templates contain read-only
authorizations to access SLG1, the application log viewer [External] and the corresponding log
objects and sub-objects.
Template
Type
Template Name Template for
Support /IWFND/GW_SUPPORT_RO Read-only supportability role for SAP NetWeaver
Gateway system
Support /IWBEP/GW_SUPPORT_RO Read-only supportability role for SAP Business
Suite backend system
More Information
Creating and Assigning Roles [Page 28]
Roles in the SAP NetWeaver Gateway Landscape [External]
SAP NetWeaver Gateway Configuration Guide
(C) SAP AG SAP NetWeaver Gateway 2.0 SPS08 28
Creating and Assigning Roles
To create a role and assign it to users (user roles, administrator roles or developer roles),
proceed as follows:
1. On the Role Maintenance page enter an existing SAP_BC* role : For an administrator
role choose a listed standard administrator role, for example SAP_BC_BASIS_ADMIN,
and for a user role, enter an existing generic user role, for example
SAP_BC_ENDUSER.
2. Select Copy Role to create a copy of the standard role.
3. In the Query dialog box, enter a name for the new role and then select Copy all.
The new role is created.
4. On the Role Maintenance page, select Change.
5. On the Authorizations tab select Change Authorization Data under the Maintain
Authorization Data and Generate Profiles section.
6. Select Edit Insert authorization(s) From template... .
The Choose Template page displays.
7. Select the appropriate template from the list (see User and Administrator
Authorizations [Page 23]) and choose Continue (Enter).
8. Choose Generate.
9. On the Generate Profile window choose Generate.
10. In the Assign Profile Name for Generated Authorization Profile dialog box, maintain
the profile name according to your requirements and choose Execute (Enter).
11. The Change role: Authorizations page displays, with the Status of the profile showing
as generated.
12. Go back to the Change Roles page and select the User tab.
13. Under User Assignments enter the names of the users to whom you want to assign
this role and save your settings.
14. Choose User Comparison.
15. Choose Complete Comparison.
16. Save your settings.
For more information about role maintenance, see Changing Standard Roles [External].
SAP NetWeaver Gateway Configuration Guide
(C) SAP AG SAP NetWeaver Gateway 2.0 SPS08 29
Connection Settings on the SAP NetWeaver Gateway Hub
System
Connection Settings: SAP NetWeaver Gateway to Consumer [Page 30]
Connection Settings: SAP NetWeaver Gateway to SAP Systems [Page 34]
SAP NetWeaver Gateway Configuration Guide
(C) SAP AG SAP NetWeaver Gateway 2.0 SPS08 30
Connection Settings: SAP NetWeaver Gateway to
Consumer
When using Push flow and also Web services, you have to specify settings from your
SAP NetWeaver Gateway system to consumers.
In the following sections only the basic configuration activities to set up the connection
between the SAP NetWeaver Gateway host and the consumer system are listed. You can
find the complete set of configuration activities in the SAP NetWeaver Gateway Configuration
implementation guide (IMG) in the system. In Transaction SPRO open the SAP Reference
IMG and navigate to SAP NetWeaver Gateway OData Channel Configuration
Connection Settings SAP NetWeaver Gateway to Consumer .
Creating a bgRFC Destination for Outbound Queues [Page 31]
Registering the bgRFC Destination for the Outbound Queue [Page 32]
Creating the bgRFC Supervisor Destination [Page 33]
SAP NetWeaver Gateway Configuration Guide
(C) SAP AG SAP NetWeaver Gateway 2.0 SPS08 31
Creating a bgRFC Destination for Outbound Queues
You must create a Background Remote Function Call (bgRFC) destination for
communications in an outbound queue or an inbound queue respectively.
To create a bgRFC destination for the outbound queue, proceed as follows:
1. In transaction SPRO open the SAP Reference IMG and navigate to: SAP
NetWeaver Gateway OData Channel Configuration Connection Settings SAP
NetWeaver Gateway to Consumer Create RFC Destination for Outbound Queues
and click on the Activity icon.
2. Choose Create.
3. In RFC Destination, enter IWFND_BGRFC_DEST.
4. In Connection Type, enter 3.
5. In Description 1, enter RFC Destination for Outbound Queues.
6. Choose Enter and then select the Special Options tab.
7. In the Select Transfer Protocol section, select the option Classic with bgRFC from the
list and save your settings.
8. Accept the warning message with Yes.
9. Choose Connection test.
Information about the connection type displays.
SAP NetWeaver Gateway Configuration Guide
(C) SAP AG SAP NetWeaver Gateway 2.0 SPS08 32
Registering the bgRFC Destination for the Outbound
Queue
Register the bgRFC destination for the outbound queue to handle communications efficiently.
Proceed as follows:
1. In transaction SPRO open the SAP Reference IMG and navigate to: SAP
NetWeaver Gateway OData Channel Configuration Connection Settings SAP
NetWeaver Gateway to Consumer Register RFC Destination for Outbound Queues
and click on the Activity icon.
2. Select the Define Inbound Dest. tab.
3. Choose Create.
4. In the Inb. Dest. Name field, enter IWFND_BGRFC_DEST.
5. Choose Enter and Save.
6. In the New Prefix field, enter IWFND_CNP for example and choose Create. Repeat the
step using IWCNT_WF, for example.
7. Save your settings.
8. On the Scheduler: Destination tab choose Create.
A message displays, asking if you want an outbound or inbound destination.
9. Choose Inbound.
10. In the Destination field, enter IWFND_BGRFC_DEST and choose Save.
11. Save your settings.
SAP NetWeaver Gateway Configuration Guide
(C) SAP AG SAP NetWeaver Gateway 2.0 SPS08 33
Creating the bgRFC Supervisor Destination
The supervisor destination for bgRFC receives the configuration settings for the bgRFC
scheduler and also starts or stops the schedulers as required.
Note
The bgRFC supervisor user you specify must have authorizations from authorization
object S_RFC. These are defined in role SAP_BC_BGRFC_SUPERVISOR.
To create the bgRFC supervisor destination, proceed as follows:
1. In transaction SPRO open the SAP Reference IMG and navigate to: SAP
NetWeaver Gateway OData Channel Configuration Connection Settings SAP
NetWeaver Gateway to Consumer Create bgRFC Supervisor Destination and click
on the Activity icon.
2. On tab Define Supervisor Dest. choose Create.
3. In the Destination Name field, enter BGRFC_SUPERVISOR.
4. In the User Name field, enter a user name, for example, BgRFC_user.
5. Select Create User and choose Enter.
6. Choose Save.
7. Select Generate Password and choose Save.
8. On the bgRFC Destination page, select Save.
SAP NetWeaver Gateway Configuration Guide
(C) SAP AG SAP NetWeaver Gateway 2.0 SPS08 34
Connection Settings: SAP NetWeaver Gateway to SAP
Systems
You must configure settings for SAP NetWeaver Gateway components and define how these
settings interface with your existing SAP Business Suite system (backend system).
In the following sections only the basic configuration activities are listed. You can find the
complete set of configuration activities in the SAP NetWeaver Gateway Configuration
Implementation Guide (IMG) in the system. In transaction SPRO open the SAP Reference IMG
and navigate to SAP NetWeaver Gateway OData Channel Configuration Connection
Settings SAP NetWeaver Gateway to SAP System .
Defining Trust between the SAP NetWeaver Gateway Host and Your SAP System
[Page 36]
Creating a Type 3 RFC Destination on SAP NetWeaver Gateway Host to SAP [Page
35]
Configuring SAP System to Accept Assertion Tickets from SAP NetWeaver Gateway
[Page 37]
Configuring the SAP NetWeaver Gateway Host to Accept Assertion Tickets [Page 38]
Creating the System Alias for Applications [Page 39]
SAP NetWeaver Gateway Configuration Guide
(C) SAP AG SAP NetWeaver Gateway 2.0 SPS08 35
Creating a Type 3 RFC Destination on SAP NetWeaver
Gateway Host to SAP System
A Type 3 connection from the SAP NetWeaver Gateway host to the SAP Business Suite
system is required for all scenarios. Create this as follows
1. In transaction SPRO open the SAP Reference IMG and navigate to: SAP
NetWeaver Gateway OData Channel Configuration Connection Settings SAP
NetWeaver Gateway to SAP System Manage RFC Destinations and click on the
Activity icon.
2. Choose Create.
3. In the RFC Destination field, enter the RFC destination name in the following format:
<system id >CLNT<Client>.
4. In the Connection Type field, enter 3.
5. In the Description 1 field, enter an explanatory text, for example, RFC Destination
to SAP Server.
6. Save your settings.
7. On tab Technical Settings and Load Balancing select the relevant option according to
your system’s settings.
8. In the Target Host field, enter the (message) server name of the of the SAP system.
9. In the System Number field, enter the SAP NetWeaver Gateway system number, for
example, 00.
10. On tab Logon & Security enter the SAP system’s client number.
11. Activate Current User.
12. For Trust Relationship activate Yes.
Note
Ensure that you have previously created the trusted relationship, as outlined in
Defining Trust between the SAP NetWeaver Gateway Host and Your SAP System
[Page 36].
13. Save your settings.
To check that you have successfully created the type 3 connection, choose Connection Test.
The connect test should pass.
If the user ID with which you are logged on to SAP NetWeaver Gateway and your user ID for
the SAP system is the same, and this user ID has the object S_RFCACL assigned to it on the
SAP system, select Remote Logon. You should not see any error messages in the status. If
you have any problems, check SAP Note 128447 for troubleshooting tips.
SAP NetWeaver Gateway Configuration Guide
(C) SAP AG SAP NetWeaver Gateway 2.0 SPS08 36
Defining Trust between the SAP NetWeaver Gateway
Host and Your SAP Systems for Type 3 Connections
You define the trust relationship between your SAP Business Suite system and the SAP
NetWeaver Gateway host by configuring the SAP Business Suite system (backend system) to
be the trusting system, and the SAP NetWeaver Gateway host to be the trusted system.
Note
This is simply a technical RFC destination used to establish the trust. It is not used
during runtime.
To configure trust, proceed as follows:
1. On the SAP business system, open transaction SM59 and choose Create.
2. In the RFC Destination field, enter the RFC destination name in the following format:
<system id >CLNT<Client>..
3. In the Connection Type field, enter 3.
4. In the Description 1 field, enter an explanatory text, for example, RFC Destination
to SAP NetWeaver Gateway Server.
5. Save your settings.
6. On tab Technical Settings and Load Balancing select the relevant option according to
your system’s settings.
7. In the Target Host field, enter the (message) server name of the SAP NetWeaver
Gateway system.
8. In the System Number field, enter the SAP NetWeaver Gateway system number, for
example, 00.
9. Save your settings.
10. In transaction SMT1 choose Create.
The wizard for creating trusting relationships displays.
11. Proceed with the steps outlined in the wizard.
In the RFC Destination field, enter the RFC destination you created.
An RFC logon to the SAP NetWeaver Gateway host takes place and the necessary
information is exchanged between the systems.
12. Log on to the SAP NetWeaver Gateway host using your administrator user and
password.
The trusted entry for the SAP NetWeaver Gateway host displays.
13. Save your settings.
Note
End users must have authorization object S_RFCACL assigned to them before they
can use a trusted connection. For more information, see RFC Trusted/Trusting
Systems [External].
SAP NetWeaver Gateway Configuration Guide
(C) SAP AG SAP NetWeaver Gateway 2.0 SPS08 37
Configuring SAP System to Accept Assertion Tickets
from SAP NetWeaver Gateway
You must configure your SAP Business Suite (backend) system to accept SAP assertion
tickets from the SAP NetWeaver Gateway host for message-based Web service
communication.
To accept SAP assertion tickets, proceed as follows:
1. Make sure that the profile parameters are set as outlined in Profile Parameters [Page
10].
2. In your backend system go to transaction SSO2 to run the SSO2 administration
wizard.
Note
If transaction SSO2 does not work, use STRUSTSSO2 to import the certificates
from the SAP NetWeaver Gateway server; you must import them manually.
For further information, see Using Transaction STRUSTSSO2 in SAP System
>= 4.6C [External].
3. Enter the Type 3 RFC destination created above (for your SAP NetWeaver Gateway
system) or the Host Name and Instance Number for the SAP NetWeaver Gateway
system in the appropriate fields.
4. Choose Execute.
On the Logon page enter your password.
The SSO2 administration report for the designated SAP system displays.
5. Choose Activate (Enter Certificate in ACL and, if Necessary, Certificate List) to
configure the SAP system.
SAP NetWeaver Gateway Configuration Guide
(C) SAP AG SAP NetWeaver Gateway 2.0 SPS08 38
Configuring the SAP NetWeaver Gateway Host to
Accept Assertion Tickets from SAP Business Suite
Systems
You must configure your SAP NetWeaver Gateway host to accept SAP assertion tickets from
the SAP Business Suite (backend) system for message-based Web service communication.
Proceed as follows:
1. In your SAP NetWeaver Gateway system make sure that the profile parameters are
set as outlined in Profile Parameters [Page 10].
2. In your SAP NetWeaver Gateway system go to transaction SSO2 to run the SSO2
administration wizard.
Note
If transaction SSO2 does not work, use STRUSTSSO2 to import the certificates
from the SAP NetWeaver Gateway server; you must import them manually.
For further information, see Using Transaction STRUSTSSO2 in SAP System
>= 4.6C [External].
3. Enter the Type 3 RFC destination created above (from your backend system) or the
Host Name and Instance Number for the backend system in the appropriate fields.
4. Choose Execute.
Note
You may be asked to provide a user name and password.
The SSO administration report for the designated SAP system displays.
5. Choose Activate (Enter Certificate in ACL and, if Necessary, Certificate List) to
configure the SAP NetWeaver Gateway system.
If everything has been configured correctly the traffic lights are green.
SAP NetWeaver Gateway Configuration Guide
(C) SAP AG SAP NetWeaver Gateway 2.0 SPS08 39
Creating the SAP System Alias for Applications
You need to specify where the SAP system alias should point to. Depending on the
SAP NetWeaver Gateway content scenario and your system landscape you thus set up the
system alias. The system alias is the result of the routing for an inbound request on SAP
NetWeaver Gateway. It can be a remote or a local system. If that system alias is flagged as a
Local GW instance, it means that the system that is responsible for processing (managing
and storing) the data of an inbound request is the local SAP NetWeaver Gateway instance
itself.
1. In transaction SPRO open the SAP Reference IMG and navigate to: SAP
NetWeaver Gateway OData Channel Configuration Connection Settings SAP
NetWeaver Gateway to SAP System Manage SAP System Aliases and click on the
Activity icon.
2. Choose New Entries.
3. Enter the following details for the SAP system alias:
Field Description
SAP System
Alias
Name of the system alias.
Description Descriptive text for the system alias.
Local GW
The system that is responsible for processing (managing and storing) the data
of an inbound request is the local SAP NetWeaver Gateway instance itself.
This option is typically used for testing scenarios, for example when using the
BOR Generator locally.
If you activate Local GW for a SAP System Alias called LOCAL the RFC
Destination is usually NONE.
For Local
App
The system alias is to be used by BEP. For more information, see the F1 help in
the system and Hub OData Channel with IW_BEP Installation [External].
RFC
Destination
Specify the RFC destination defined for your SAP system.
Software
Version
This setting is specified by the content scenario you are using. Typically it is
DEFAULT.
In the context of Generic Channel development, check the following to
determine the value to set for your GSDOs:
In transaction SPRO open the SAP Reference IMG and navigate to: SAP
NetWeaver Gateway Former Development Former Generic Channel
Development Generic Service Data Object (GSDO) GSDO Types & GSDO
Contexts & GSI Implementations and click on the Activity icon. Select your
GSDO type and choose GSI Implementation.
System ID
Name of the SAP target system.
Note
When specifying SAP system aliases we recommend always to enter the
SAP NetWeaver Gateway Configuration Guide
(C) SAP AG SAP NetWeaver Gateway 2.0 SPS08 40
Field Description
system ID. The SAP target system, together with the target client, determines
the system alias for a remote call to a backend system.
Client Target client.
WS Provider
System
Name of the Web service provider business system. Here you only need to
enter a setting if you use content scenarios which are configured via Web
services.
4. Save your settings.
Note
We recommend that you check the system alias configurations using Check SAP
System Aliases [Page 159].
SAP NetWeaver Gateway Configuration Guide
(C) SAP AG SAP NetWeaver Gateway 2.0 SPS08 41
Activating SAP NetWeaver Gateway
Before you can use SAP NetWeaver Gateway functionality and theyou have to activate it
globally in your system.
You can activate and deactivate SAP NetWeaver Gateway. When you deactivate it, all
SAP NetWeaver Gateway services stop running, no consumer servers can communicate with
it, and an error message is sent to any system that calls for the services.
When you have completed the installation and post-installation configuration described in the
sections above, you must activate SAP NetWeaver Gateway.
Note
Before activating SAP NetWeaver Gateway, ensure that you have first installed and
configured the consumer server.
Proceed as follows:
1. In transaction SPRO open the SAP Reference IMG and navigate to: SAP
NetWeaver Gateway OData Channel Configuration Activate or Deactivate
SAP NetWeaver Gateway and click on the Activity icon.
A message displays.
2. Choose Activate.
A message displays informing you of the current status.
SAP NetWeaver Gateway Configuration Guide
(C) SAP AG SAP NetWeaver Gateway 2.0 SPS08 42
Settings for OData Channel Service Development on Backend
System
OData Channel implementations retrieve the data from an SAP Business Suite (backend)
system. Both application logic and metadata are hosted on the SAP Business Suite system.
After the ABAP development activities, that is developing the runtime service and the model
provider class, the services need to be activated.
For this the following registration process is done on the SAP Business Suite system:
Maintain models
Maintain services
You can maintain these settings in IMG activities in the SAP Business Suite system. In
transaction SPRO open the SAP Reference IMG and navigate to SAP NetWeaver Gateway
Service Enablement Backend OData Channel Service Development for Backend OData
Channel Maintain Models and Maintain Services. For more information see Maintaining
Models and Services [External].
To get an overview of the settings the IMG activity SAP NetWeaver Gateway Service
Enablement Backend OData Channel Service Development for Backend OData Channel
Display Models and Services is provided. Note that this activity is read-only. For more
information see Display Models and Services [Page 44].
After this registration SAP NetWeaver Gateway can expose the corresponding OData
services.
Once a service has been defined in the SAP Business Suite system it can be activated on the
SAP NetWeaver Gateway system. See Maintain Services [External].
Under the IMG path SAP NetWeaver Gateway Service Enablement Backend OData
Channel Service Development for Backend OData Channel an additional activity OData
Channel Generation Tool is provided. For more information, see OData Channel Generation
Tool [External]. In addition, an activity is provided to define parallelization of batch queries.
For more information, see Define Parallelization of Batch Queries [Page 45].
Repository Objects
The registration process of OData Channel models and services is unique: In order to allow
collecting authorizations per data provider class (DPC) a repository object type is available.
This is integrated into transaction SU22. Thus two additional repository object types exist in
SAP NetWeaver Gateway. For more information see Roles in the SAP NetWeaver Gateway
Landscape [External].
These repository objects have the following impact:
Models and services shall only be transported via the transport objects.
The external name of a service is derived from the technical name and cannot be
freely defined to ensure a GTADIR connection to guarantee unique services. You
create service /MYNAMESPACE/MYSERVICE with version 0001 which then results in
http://<host>:<port>/sap/opu/odata/mynamespace/MYSERVICE.
SAP NetWeaver Gateway Configuration Guide
(C) SAP AG SAP NetWeaver Gateway 2.0 SPS08 43
Prerequisites
The following entities must exist:
The data provider class for the service
The model provider class for all models
More Information
OData Channel [External]
SAP NetWeaver Gateway Configuration Guide
(C) SAP AG SAP NetWeaver Gateway 2.0 SPS08 44
Displaying Models and Services
In the SAP Business Suite backend system you can find this activity in the Implementation
Guide (IMG): In transaction SPRO open the SAP Reference IMG and navigate to SAP
NetWeaver Gateway Service Enablement Backend OData Channel Service Development
for Backend OData Channel Display Models and Services .
In this activity you can display the models and the assignment of models to services. Thus
you get an overview on the existing models and services.
This is a read-only activity which simply provides an overview on existing configuration
settings. The view cluster can still be used to display all registered services and models. The
maintenance activities are done via Maintaining Models and Services [External].
SAP NetWeaver Gateway Configuration Guide
(C) SAP AG SAP NetWeaver Gateway 2.0 SPS08 45
Define Parallelization of Batch Queries
The transaction for defining parallelization of batch queries allows you to optimize the
performance of batch request processing. For this an IMG activity is available: In transaction
SPRO open the SAP NetWeaver reference IMG and navigate to Gateway Service
Enablement Backend OData Channel Service Development for Backend OData Channel
Define Parallelization of Batch Queries .
In case of serialization the duration of the consecutive queries is the sum of all query
processing times. Contrary to this, the total duration in parallel mode is just the maximum
duration of these query processing times and a minimal overhead for parallelization.
The following parameters are valid for the current SAP client:
Activate Parallelization for Batch Queries
Mark or unmark this option to enable or disable the parallelization.
Maximum Number of Parallel Queries
Specify the maximum number to limit the amount of parallel processing queries to
save system resources. This number will be ignored if it is greater than the maximum
number of dialog work processes available at parallelization time which is based on
system settings (transaction RZ11, profile parameters rdisp/rfc*) . Zero (0)
means it only depends on current system resources. Default value: 0.
SAP NetWeaver Gateway Configuration Guide
(C) SAP AG SAP NetWeaver Gateway 2.0 SPS08 46
Settings for OData Channel Service Development on the Hub
System
After you have made the relevant configuration settings in the SAP Business Suite system in
which component IW_BEP is installed (SAP NetWeaver releases lower than 7.40) or in which
core component SAP_GWFND is installed (SAP NetWeaver 7.40 or higher), you need to make
some additional configuration settings in the SAP NetWeaver Gateway hub system in which
you intend to develop OData services.
Note
If your SAP NetWeaver Gateway hub system is based on an SAP NetWeaver release
lower than 7.40, you will need to install the core component IW_FND in your hub
system. If your SAP NetWeaver Gateway hub system is based on SAP NetWever
7.40 or higher, the core component SAP_GWFND is installed as standard. For more
information, see Deployment Options [External].
Assigning SAP System Alias to OData Service [Page 47]
Activate and Maintain Services [External]
Multiple Origin Composition [Page 48]
Dynamic System Alias Calculation Via /IWFND/ES_MGW_DEST_FINDER [Page 51]
SAP NetWeaver Gateway Configuration Guide
(C) SAP AG SAP NetWeaver Gateway 2.0 SPS08 47
Assigning SAP System Alias to OData Service
You can assign SAP system aliases to a service. With this assignment, an OData request
from an SAP NetWeaver Gateway consumer can be routed to the corresponding backend
system. The system can correctly identify the SAP system that is responsible for processing
(managing and storing) the data of an inbound request. Thus, OData Channel based content
which is developed either on the SAP NetWeaver Gateway hub system or on a SAP Business
Suite backend system is based on the service.
The SAP system alias can have a specific role or a specific host name associated to itself, so
that you can specify different roles or host names for the same system alias for a service. If
you leave the User Role or the Host Name field empty, the setting is valid for all roles/host
names. Different backend systems are supported, if you specify corresponding roles/host
names and system aliases. The roles are only for user grouping and do not need to have any
special authorization.
Example
It is possible to separate the development, the quality and the production landscape
via dedicated clients on the SAP NetWeaver Gateway hub system.
The user will be directed as follows if he has not special roles: If there is a system
alias maintained without any role assignment then it is used for all users.
The user will be directed as follows if he has two or several roles relative to different
system aliases: If a user is assigned to more than one system alias the system alias
which is marked as default wins. If more than one system alias is found and either
none of the system aliases or more than one of these aliases are flagged as default
an error is raised.
Ideally you have a system alias without any role assignment for all users without a role
assignment and disjunct roles for the system aliases for all other users to the different
backend systems (development, quality, productive). The system aliases with role assignment
should be marked as default in this case.
For this an IMG activity is available in the SAP NetWeaver Gateway Implementation Guide
(IMG): in transaction SPRO open the SAP Reference IMG and navigate to SAP NetWeaver
Gateway :
For applications based on backend OData Channel system navigate to OData
Channel Administration General Settings Assign SAP System Aliases to OData
Service .
For applications based on OData Channel with IW_BEP on the hub navigate to
OData Channel Development with IW_BEP Registration Assign SAP System
Aliases to OData Service .
Note
In previous support packages OData Channel based content was routed via GSDO
groups which are no longer relevant in SAP NetWeaver Gateway 2.0 SP03.
SAP NetWeaver Gateway Configuration Guide
(C) SAP AG SAP NetWeaver Gateway 2.0 SPS08 48
Multiple Origin Composition
Multiple origin composition (MOC) is the ability to collect data from different backend systems,
aggregate them in one single service and updating different backend systems while using the
same user. Thus a service can be made available for several system aliases. For example,
you could have two identical systems, one located in America and one in Europe, and
combine them. MOC is also used for CREATE calls and the metadata. At present, CREATE
calls cannot be done in all configured backend systems, but only in the default system.
Note
This feature is only supported in Standard Mode.
This feature is relevant only for entity sets with an annotation of
addressable=true.
Implementing this feature creates a different version of the service (The
SAP__Origin field is added).
Proceed as follows to use the MOC:
1. Customize your service to support MOC.
1. From the SAP NetWeaver Gateway system, activate the desired service. For
information on how to activate your service, see Register your Service in the
SAP NetWeaver Gateway System [External].
2. Open transaction SPRO and choose SAP Reference IMG.
3. Navigate to SAP NetWeaver Gateway OData Channel Administration
General Settings Activate and Maintain Services to add the system
aliases for the relevant backend systems and define the desired default
system.
1. In the Service Catalog list, select the desired service. The service
appears in the ICF Nodes section on the lower left corner of the
screen.
2. In the ICF Nodes section, select the Standard Mode ICF Node.
3. In the System Aliases section, choose System Alias to add the
system alias.
4. Choose New Entries or select an existing entry and choose Copy.
5. In the Service Doc. Identifier field, enter the ID of the service
document followed by an underscore and the 4–digit version number
(for example, _0001).
6. In the SAP System Alias field, enter the relevant system alias. Only
one system is to be defined as the default.
7. Repeat as necessary to add the desired backend systems.
Note
The default system is used whenever the service is not called as
MOC. If you have defined more than one default system alias, the
first system is used as the default.
SAP NetWeaver Gateway Configuration Guide
(C) SAP AG SAP NetWeaver Gateway 2.0 SPS08 49
2. Test the service.
1. On the SAP NetWeaver Gateway system, open the SAP Reference IMG in
transaction SPRO and navigate to SAP NetWeaver Gateway OData
Channel Administration General Settings Activate and Maintain Services
.
2. Search for the desired service with the Filter icon.
3. Select the desired service and choose Call Browser under ICF Nodes.
An example URL for RMTSAMPLEFLIGHT looks as follows:
http://<host name>:<port>/sap/opu/odata/iwfnd/RMTSAMPLEFL
IGHT;mo/
4. Make sure that the SAP__Origin field appears in the service's metadata.
Parallelization of Multiple Origin Composition
When using multiple origin composition you can determine both the minimum number of
backend systems and the maximum number of parallel backend calls. For this a new IMG
activity has been added: On the SAP NetWeaver Gateway system, open the SAP Reference
IMG in transaction SPRO and navigate to SAP NetWeaver Gateway OData Channel
Administration General Settings Define Parallelization for Multiple Origin Composition .
You can use this parallelization of READ_ENTITYSET to several backend systems to achieve
optimized performance. In the In the IMG activity you can set the following configuration
parameters:
Minimum Number of Backend Systems can have following values:
o 0: No parallelization
o n: Parallelization will only be done from n backend systems onwards
The maximum number of parallel backend calls is always based on current resources
of the SAP NetWeaver Gateway hub system. Additionally, you can use parameter
Maximum Number of Parallel Backend Calls to limit the use of current system
resources. The default value zero (0) means it only depends on current system
resources.
Performance Improvement
In case of serialization the duration of a READ_ENTITYSET within a hub system is the sum of
all backend calls. Contrary to this, the duration in parallel mode is just the maximum duration
of all backend calls and means a minimal overhead for parallelization.
Parallelization and Skiptoken
If server paging is realized in any backend data providers, then the OData consumer will only
receive results up to this backend including a skiptoken. The next call with this skiptoken or
any other call with skiptoken will not be parallelized because the result has to be continued by
the backend system which returned this skiptoken before.
SAP NetWeaver Gateway Configuration Guide
(C) SAP AG SAP NetWeaver Gateway 2.0 SPS08 50
Changesets
In the context of multiple origin composition, changesets are also supported. All changeset
operations for one backend are collected and sent to this backend via one RFC. You can find
an example in SAP Note 1890049.
More Information
Error Log [External]
SAP NetWeaver Gateway Configuration Guide
(C) SAP AG SAP NetWeaver Gateway 2.0 SPS08 51
Dynamic System Alias Calculation Via
/IWFND/ES_MGW_DEST_FINDER
Enhancement spot /IWFND/ES_MGW_DEST_FINDER is provided to help you in dynamically
calculating which system alias should be used. You can therefore use this enhancement spot
to overwrite or enhance the standard routing for a service. Alternatively, you can use this
enhancement spot to control the traffic from the SAP NetWeaver Gateway system to a
backend system, so as to limit the load on that backend system.
The enhancement spot needs the following input:
OData service ID
User ID
Result of the standard routing in the form of a list of system aliases
List of HTTP request parameters which is only provided for data requests and not for
metadata requests.
The enhancement sport returns a list of system aliases with the following fields:
system_alias of TYPE /iwfnd/defi_system_alias.
This has to be defined with the standard implementation guide activity for system
aliases.
user_role of TYPE /iwfnd/defi_role_name.
This field is filled according to the standard routing in the implementation guide which
has the role as an optional “filer”. Note that this field can be empty.
is_default of TYPE /iwfnd/mgw_inma_default_alias.
If the table contains only one entry this can be empty. If the table contains more than
one entry exactly one entry must be flagged as default.
o That system alias is used for all normal (non multi destination composition)
requests.
o That system alias is used for multi destination composition requests in case
of CREATE, metadata or function imports of multiplicity 1.
Example
The service created in the backend system is as follows:
Technical Service Name: /IWBEP/TEA_TEST_APPLICATION
External Service Name: TEA_TEST_APPLICATION
Version: 0001
SAP NetWeaver Gateway Configuration Guide
(C) SAP AG SAP NetWeaver Gateway 2.0 SPS08 52
The service registered on the SAP NetWeaver Gateway system is as follows:
Namespace: /IWBEP/
External Service Name: TEA_TEST_APPLICATION
Version: 0001
Technical Service Name:
ZTEA_TEST_APPLICATION (provided during
registration)
Service Document Identifier:
ZTEA_TEST_APPLICATION_0001 (technical service
name plus version)
The URI would be as follows: URI =
/sap/opu/odata/iwbep/TEA_TEST_APPLICATION/TeamCollection
The BAdI input would be as follows:
IV_USER =MRMEYER
IV_SERVICE_ID = ZTEA_TEST_APPLICATION_0001
Table of system aliases containing the result of the standard routing
The BAdI output would then be a table of system aliases which were changed by the BADI (or
not changed) as a result of the standard routing.
Syntax
Sample coding throwing an exception in case of too much load on the backend system:
1. …
2. RAISE EXCEPTION TYPE /iwfnd/cx_mgw_dest_finder
3. EXPORTING
4. textid =
/iwfnd/cx_mgw_dest_finder=>backend_load_too_high
5. http_status_code =
/iwfnd/cx_mgw_dest_finder=>gc_status_service_unavailable
6. system_alias = lv_system_alias.
SAP NetWeaver Gateway Configuration Guide
(C) SAP AG SAP NetWeaver Gateway 2.0 SPS08 53
Connection Settings on the Backend System
The following activities can be used by OData Channel to set up the connection settings to
SAP NetWeaver Gateway.
Settings for Idempotent Services [Page 54]
Defining a Remote Function Call to SAP NetWeaver Gateway [Page 56]
Connection Settings to SAP NetWeaver Gateway [Page 57]
Configure the bgRFC Supervisor Destination [Page 58]
Monitoring bgRFC Queues [Page 60]
SAP NetWeaver Gateway Configuration Guide
(C) SAP AG SAP NetWeaver Gateway 2.0 SPS08 54
Settings for Idempotent Services
HTTP is an inherently unreliable protocol. If connection or other issues prevent the client from
receiving a response the client is left in doubt if the request was processed by the server.
Idempotency guarantees delivery of synchronous messages exactly once. For idempotent
requests (for example GET) the client can simply re-try the request. But for operations that
change the server state (for example, creating a new item or invoking a side-effecting service
operation such as “Reject Workflow”) re-issuing the request may result in an undesired state,
as for example two items instead of one item are created.
Two optional request header attributes and one response header attribute facilitate the ability
to retry requests without incurring unintended side-effects:
Request Headers
o RequestID
A 32 character GUID string representing a client-generated, globally unique
for all time, identifier for the request.
o RepeatabilityCreation
The date and time at which the request was first created. If specified, the
client directs that the request must be repeatable. The client can make the
request multiple times with the same RequestID and
RepeatabilityCreation header values and get back an appropriate
response without the server executing the request multiple times.
Response Header: RepeatabilityResult
A string describing how the server has handled the requested repeatability. The
following values are possible.
o accepted
The request was accepted and the server guarantees that the server state
reflects a single execution of the operation. The response returns the
success or failure state of the operation as first executed by the server, and
reflects either the current state of the system or the state as it existed when
the request was first received.
o unsupported
The request was rejected because the server does not support repeatable
execution of the request. The server returns 412 (Precondition Failed)
without attempting to execute the request. The server state is the same as if
the request had never been received.
o rejected
The request was rejected because the combination of
RepeatabilityCreation and RequestID was invalid or because the
RepeatabilityCreation time was outside the range of values held by the
server. The server returns 412 (Precondition Failed) without attempting
to execute the request. The server state is the same as if the request had
never been received.
SAP NetWeaver Gateway Configuration Guide
(C) SAP AG SAP NetWeaver Gateway 2.0 SPS08 55
The request header attributes are passed on to the SAP Business Suite backend system. In
the backend system the idempotent utility (provided by the underlying SAP NetWeaver)
handles the idempotent support generically. When the backend system receives a request it
delegates the handling of the RepeatabilityCreation header to the idempotent utility
class.
Defining Settings for Idempotent Services
You configure idempotent services by scheduling a background job that ensures that request
messages in SAP NetWeaver Gateway only occur once.
For this the SAP NetWeaver Gateway Implementation Guide (MG) has been enhanced. In
transaction SPRO open the SAP Reference IMG and navigate to SAP NetWeaver Gateway
Service Enablement Backend OData Channel Connection Settings to SAP NetWeaver
Gateway Define Settings for Idempotent Services .
To define settings for idempotent services, proceed as follows:
1. Click on the Activity icon of the above mentioned IMG activity.
2. Enter the following default values:
o For Period Hours in Document the typical value is 6.
o For Period Hours in Document ID the typical value is 12.
3. Choose Schedule.
A message displays confirming that the job has been scheduled.
4. Choose Continue.
SAP NetWeaver Gateway Configuration Guide
(C) SAP AG SAP NetWeaver Gateway 2.0 SPS08 56
Defining a Remote Function Call to SAP NetWeaver
Gateway
You create or define a background remote function call (bgRFC) destination, which is used for
communications in an outbound queue, and an inbound queue among SAP systems. This is
an activity that is done in the SAP Business Suite backend system, that is, the system where
software component IW_BEP is installed.
If you are using push from an SAP Business Suite backend system to an SAP NetWeaver
Gateway hub system, it is important not to have a trusted RFC connection. This is because
the WF-BATCH user which is the current user in the case of Workflow is not a dialog user and
therefore cannot be used for RFC. Instead a dedicated technical user like ALEREMOTE has to
be maintained in the RFC destination in the backend system.
Note
You can also use an existing bgRFC destination in your SAP system to the host of
SAP NetWeaver Gateway.
You can define this remote function call by using the implementation guide (IMG). In
transaction SPRO open the SAP Reference IMG and navigate to SAP NetWeaver Gateway
Service Enablement Backend OData Channel Connection Settings to SAP NetWeaver
Gateway Create RFC Destination for Outbound Queues .
Proceed as follows to create the bgRFC destination:
1. Click on the Activity icon.
2. Choose Create. The RFC Destination Window displays.
3. In RFC Destination specify a name for the RFC destination to be created. For
example, BEP_BGRFC_DEST.
4. In Connection Type enter 3, for ABAP connections.
5. In Description 1, enter an explanatory text.
6. Choose Enter, and select tab Technical Settings.
7. Enter the SAP NetWeaver Gateway host name in Target Host, and enter its
corresponding system number.
8. On tab Logon & Security enter the technical user and make sure that Current User is
not selected.
9. Choose Enter and select the Special Options tab.
10. Depending on the SAP NetWeaver version, do the following:
o For SAP NetWeaver 7.02, go to section Select Transfer Protocol and select 1
Classic with bgRFC from the list.
o For SAP NetWeaver 7.0, go to section Select qRFC Version and select
bgRFC from the list in qRFC Version.
11. Choose Save and Yes to close the warning message that displays.
12. Choose Remote Connection to test the connection. Information about the connection
type displays.
SAP NetWeaver Gateway Configuration Guide
(C) SAP AG SAP NetWeaver Gateway 2.0 SPS08 57
Connection Settings to SAP NetWeaver Gateway
The Business Enablement Provisioning (BEP) functionality can publish events to one or more
hosts running SAP NetWeaver Gateway. However, you must first identify the SAP NetWeaver
Gateway landscape to use with it. For OData Channel you also specify the SAP NetWeaver
Gateway landscape.
Prerequisites
Make sure that you have:
Defined an RFC destination to SAP NetWeaver Gateway to broadcast the events.
The system name, client ID, and a system alias of the host of the SAP NetWeaver
Gateway landscape to which you want to connect.
Specifying Connection Settings
You can specify settings for connecting to a SAP NetWeaver Gateway landscape by using
the implementation guide (IMG). In transaction SPRO open the SAP Reference IMG and
navigate to SAP NetWeaver Gateway Service Enablement Backend OData Channel
Connection Settings to SAP NetWeaver Gateway SAP NetWeaver Gateway Settings .
1. Click on the Activity icon.
2. Choose New Entries and enter the following:
o Destination System
Specify the system name of the host of SAP NetWeaver Gateway.
o Client
Specify the system client ID of the host of SAP NetWeaver Gateway. The
client ID you specify should be in the specified system.
o System Alias
Enter a unique name for the host of SAP NetWeaver Gateway.
o RFC Destination
Specify the name of the RFC destination to the host of SAP NetWeaver
Gateway. For example BEP_BRFC_DEST.
3. Save your settings.
SAP NetWeaver Gateway Configuration Guide
(C) SAP AG SAP NetWeaver Gateway 2.0 SPS08 58
Configure the bgRFC Supervisor Destination
You configure a supervisor destination for the bgRFC to receive the configuration settings for
the bgRFC scheduler. In addition, the supervisor starts or stops the schedulers as required.
Prerequisites
You have created a system user of type B called BGRFCSUPER. Use transaction SU01
to create the system user. This user is used for the bgRFC communication using the
destination you will create. For example, BGRFC_SUPERVISOR.
You have assigned role SAP_BC_BGRFC_SUPERVISOR to user BGRFCSUPER. Use
transaction SU01 to assign role to the user BGRFCSUPER.
For SAP NetWeaver 7.0, you have created a bgRFC destination as an ABAP
connection, using the RFC destination name BGRFC_SUPERVISOR, without load
balancing, target host, SAP NetWeaver Gateway host and service.
Specify the user, language and password. This ensures that the scheduler is
activated on the same application server as the specified user.
Later, you configure the supervisor destination for the bgRFC to receive the
configuration settings for the bgRFC scheduler.
Note
The bgRFC supervisor user you specify must have authorizations from authorization
object S_RFC. These are defined in role SAP_BC_BGRFC_SUPERVISOR. The
procedure you employ depends on the version of SAP NetWeaver in your system.
Configuring the bgRFC Supervisor Destination
You can configure this bgRFC supervisor destination by using the implementation guide
(IMG). In transaction SPRO open the SAP Reference IMG and navigate to SAP NetWeaver
Gateway Service Enablement Backend OData Channel Connection Settings to SAP
NetWeaver Gateway Create bgRFC Supervisor Destination .
Proceed as follows:
1. Click on the Activity icon.
2. Select tab Define Supervisor Dest.
3. Depending on the version of SAP NetWeaver, do the following:
o For SAP NetWeaver 7.02, choose Create. The Create bgRFC Destination for
Supervisor window is displayed.
1. Choose Create User. For example, BGRFCSUPER.
2. Save your settings.
o For SAP NetWeaver 7.0, make sure you have already created a separate
bgRFC destination for the supervisor using the name BGRFC_SUPERVISOR.
1. Enter the bgRFC supervisor destination name BGRFC_SUPERVISOR,
in Destination under New Supervisor Destination.
SAP NetWeaver Gateway Configuration Guide
(C) SAP AG SAP NetWeaver Gateway 2.0 SPS08 59
2. Choose Enter. The supervisor destination and the user details
display.
4. In the bgRFC Configuration window choose Save.
More Information
bgRFC (Background Remote Function Call) [External]
SAP NetWeaver Gateway Configuration Guide
(C) SAP AG SAP NetWeaver Gateway 2.0 SPS08 60
Monitoring bgRFC Queues
You can monitor and display items in the Background Remote Function Call (bgRFC) queue
to check for messages which the system failed to send.
All the messages are written in unit queues, which consist of function modules to be
processed as an indivisible unit. Find all the messages that failed to be transported from the
host of the Backend Event Publisher (BEP) or OData Channel to the consumer environment,
because of system fault exceptions.
System faults are all standard REST errors, for example: communication error, or other errors
that occurred during the activation and operations of Web services.
Note
Application fault exceptions are displayed in the application itself.
Prerequisites
Make sure that you have the authorization object S_BGRFC for monitoring or customizing
activities assigned to your user role.
Analyzing the Results of the Monitor
You analyze each error message and decide how best to correct the error.
If the error can be fixed, make the necessary corrections and then send it to the unit again,
otherwise delete the unit.
You can manually restart the unit even if the retry limit has been exceeded. You can go into
the code to debug the unit (this requires the appropriate authorization role), or delete all the
units inside the inbound destination.
You can monitor the bgRFC queues by using the implementation guide (IMG). In transaction
SPRO open the SAP Reference IMG and navigate to SAP NetWeaver Gateway Service
Enablement Backend OData Channel Connection Settings to SAP NetWeaver Gateway
Monitor bgRFC Queues .
Proceed as follows to monitor bgRFC queues:
1. Click on the Activity icon to open the bgRFC monitor.
Alternatively you can use transaction SBGRFCMON.
2. Select the option for the Outbound scenario and the Queued unit type. Select other
parameters of the monitor as required.
3. Choose Execute to run the monitor. The status of the queues is displayed.
4. Monitor the Queue with the Event ID and instance number for the messages which
were not sent.
SAP NetWeaver Gateway Configuration Guide
(C) SAP AG SAP NetWeaver Gateway 2.0 SPS08 61
Business Enablement Provisioning (IW_BEP)
Configuration
After you have installed the Business Enablement Provisioning (IW_BEP) component, you
need to complete the following tasks to help you verify the installation and configuration.
The following is an overview of the sequence of the configuration tasks:
1. Configure the role templates for Business Enablement Provisioning.
Component IW_BEP provides templates on which you base roles for administrators
and end users. You configure the roles based on the provided templates and assign
the roles to users. Using roles, you can designate a user or a group of users as a unit
that has access to specific content and resources within IW_BEP. The templates
specify the authorizations for content that can be accessed by the users. The IW_BEP
specific templates are available when you install IW_BEP in your SAP system. For
more information on the role templates for IW_BEP, see User, Developer and
Administrator Authorizations [Page 23].
2. Define an event [External].
3. Event Subscription and Notification [External]
4. Specify Connection Settings [Page 53] to the SAP NetWeaver Gateway landscape.
These settings are available both for theIW_BEP component and for OData Channel.
More Information
For more information, see Business Enablement Provisioning (IW_BEP) [External].
SAP NetWeaver Gateway Configuration Guide
(C) SAP AG SAP NetWeaver Gateway 2.0 SPS08 62
Configuration Settings for SAP NetWeaver Gateway
Supported Scenarios
The Gateway system should be configured to start using the SAP NetWeaver Gateway
services for different supported channels. This section provides the configuration information
for all the SAP NetWeaver Gateway supported scenarios.
SAP NetWeaver Gateway supports services on these channels:
OData Channel — See OData Channel Scenarios [Page 63] for information on
configuration settings for OData Channel supported scenarios.
Generic Channel — See Generic Channel Scenarios [Page 170] for information on
configuration settings for Generic Channel supported scenarios.
Prerequisites
Following are the different components (along with their releases) required for SAP
NetWeaver Gateway. You can download the packages and patches from the SAP Service
Marketplace at: service.sap.com/swdc.
Component Release
SAP ERP ERP 2004 with NW 7.0 SPS 18 (validated stack)
SAP ECC add-on ECC-SE 602 or higher
SAP BI (optional) BI 3.5 – SP 22 or BI 7.0 - SP 17
SAP CRM CRM 6.0 or higher
SAP NetWeaver Gateway Configuration Guide
(C) SAP AG SAP NetWeaver Gateway 2.0 SPS08 63
Configuration Settings for OData Channel Scenarios
In the following you can find information on the configuration of the SAP NetWeaver Gateway
OData Channel supported scenarios.
OData Channel Scenarios Configuration Settings
SAP Enterprise Resource Planning (SAP
ERP) [External]
Settings for SAP ERP on SAP NetWeaver
Gateway [Page 106]
Workflow Services [External]
Configuring Workflow for SAP NetWeaver
Gateway [Page 64]
Business Process Content Powered by
SAP NetWeaver Gateway [External]
Configuring Business Process Content Powered
by SAP NetWeaver Gateway [Page 78]
SAP NetWeaver Gateway Configuration Guide
(C) SAP AG SAP NetWeaver Gateway 2.0 SPS08 64
Configuring Workflow for SAP NetWeaver Gateway
This section explains how to configure Workflow for use with SAP NetWeaver Gateway
scenarios.
You can configure Workflow in the following ways:
Configuring Workflow Notifications [Page 68]
Note
If you want to obtain notifications, you first need to configure the Business
Enablement Provisioning (IW_BEP) component before configuring Workflow. This is
because Workflow for SAP NetWeaver Gateway is reliant on the BEP functionality.
For more information about configuring IW_BEP, see Business Enablement
Provisioning (IW_BEP) [External].
If you do not configure the IW_BEP component, you can still use the Workflow
functionality, but you will not be able to use Push notifications.
Workflow Settings [Page 74]
SAP NetWeaver Gateway Configuration Guide
(C) SAP AG SAP NetWeaver Gateway 2.0 SPS08 65
Creating an Administrator Role for Workflow
Procedure
Note
To perform Workflow configuration steps, you must have an Administrator Role.
You create a role for an administrator user with permissions and privileges for several tasks
including the following:
Analyze logs and identify potential issues with the ERP landscape.
Configure and maintain Workflow-specific ERP components and applications.
For more information about SAP user administrator types, see Setting Up User and
Authorization Administrators [External] in the SAP Help Portal.
Note
For all steps in the IMG there is always consumer independent documentation
available.
To create the administrator role and assign it to users:
1. On the ERP system, open transaction PFCG. The Role Maintenance page is
displayed.
2. In the Role field, enter any of the basis roles, for example:
o SAP_BC_BASIS_ADMIN
o SAP_BC_CTS_ADMIN
o SAP_BC_BASIS_MONITORING
o SAP_BC_BATCH_ADMIN
o SAP_BC_BDC_ADMIN
o SAP_BC_WEBSERVICE
You can choose any of the listed standard administrator roles, or enter an existing
one.
3. Choose the (Copy Role) icon to create a copy of the standard role.
4. In the Query dialog box, enter a name for the new role in the to role field, for example,
Z_SAP_BC_BASIS_ADMIN.
5. Choose Copy all. The Change Roles dialog box is displayed and the role is created.
6. In the Role Maintenance page, choose the Edit icon.
7. Select the Authorizations tab.
8. Choose Change Authorization Data under the Maintain Authorization Data and
Generate Profiles section.
SAP NetWeaver Gateway Configuration Guide
(C) SAP AG SAP NetWeaver Gateway 2.0 SPS08 66
9. Select Edit > Insert Authorization(s) > From template. The Choose Template page is
displayed.
10. Select /IWWRK/RT_WF_ADM from the list.
11. Choose the checkmark.
12. Choose Generate. The Generate profile dialog box is displayed.
13. Select the Generate option.
14. In the Assign Profile name for Generated Authorization Profile dialog, maintain the
profile name according to your requirements. For example T-SCL550003.
15. Choose the checkmark. The Change role: Authorizations page is displayed. The
status of the profile is displayed as “Generated”.
16. Go back to the Change Roles page, and select the Users tab in the User Assignment
section.
17. Enter the names of the users you want to assign to this role.
18. Choose Save.
19. Choose User comparison. The Complete Role Master Record page is displayed.
20. Choose Complete comparison.
21. Choose Save.
22. Check that the role was properly created and assigned.
Recommendation
Log on to the ERP system using the user you just assigned. You should be able to
access transaction SIMGH and search for the entry Workflow Pattern Customization.
You can logon to the ERP host with the administrator user you have created to
configure the ERP components and content, and install consumer applications.
SAP NetWeaver Gateway Configuration Guide
(C) SAP AG SAP NetWeaver Gateway 2.0 SPS08 67
Customizing SAP NetWeaver Gateway Workflow
Activities
This section explains how to customize Workflow for use with SAP NetWeaver Gateway
scenarios.
Prerequisites
Before sending notifications, you must configure the SAP NetWeaver Gateway Workflow
process as described in the Configuring Workflow Notifications [Page 68] topic.
SAP NetWeaver Gateway Configuration Guide
(C) SAP AG SAP NetWeaver Gateway 2.0 SPS08 68
Configuring Workflow Notifications
This section describes the basic flow for sending notifications.
The flow is composed of the following steps:
1. Creating a type G RFC destination [Page 69].
2. Configuring User Authorizations for Push Notifications [Page 70].
3. Running scheduled reports [Page 71].
Prerequisites
The following prerequisite must be complied with before you can send notifications:
Workflows containing User Decisions or Activity Steps, are configured in the system
and can be triggered in the SAP Business Suite system.
After the notifications have been configured, you must subscribe to the relevant Workflow
service as described in the Subscribing to Notification Types [External] topic.
SAP NetWeaver Gateway Configuration Guide
(C) SAP AG SAP NetWeaver Gateway 2.0 SPS08 69
Creating a Type G RFC Destination
You must create a type G RFC destination with the delivery address given in the subscription
request body to allow the notification to be delivered to the user.
Note
The delivery address is that of the SAP connectivity service.
The SAP connectivity service on-demand component resides in the customer's on
premise environment. It is responsible for enabling the connectivity from the SAP
connectivity service servers, located in SAP's on-demand environment, to the
customer's SAP NetWeaver Gateway instance, located in customer's on-premise
environment.
To create a type G RFC destination:
1. In the SAP NetWeaver Gateway system, open transaction SPRO.
2. Choose SAP Reference IMG.
3. Select SAP Customizing Implementation Guide SAP NetWeaver Gateway
OData Channel Configuration Connection Settings SAP NetWeaver Gateway to
Consumer Create RFC Destination for Outbound Queues .
4. Choose Execute. The Configuration of RFC Connections page is displayed.
5. Choose Create.
6. In the RFC Destination field, enter the desired name, for example GW_RFC.
7. In the Connection Type field, press F4 and select G HTTP Connection to External
Server.
8. Under the Technical Settings tab, in the Description field, enter the desired
description.
9. Press Enter.
10. An Information dialog box is displayed. Choose the checkmark to continue.
11. In the Target Host field, enter the host IP.
12. In the Service No. field, enter the port number.
13. In the Path Prefix field, enter any additional directories, if relevant.
14. If relevant, select the Logon & Security tab.
15. Enter the security settings as required.
16. Choose Save.
To continue with the flow, go to Configuring User Authorizations for Push Notifications [Page
70].
SAP NetWeaver Gateway Configuration Guide
(C) SAP AG SAP NetWeaver Gateway 2.0 SPS08 70
Configuring User Authorizations for Push
Notifications
All users who are allowed to receive full payload need to be assigned a specific role in the
SAP Business Suite system. To create a user role to be used in the SAP Business Suite
system:
Note
When creating a role in the SAP Business Suite system, make sure you use the Role
Template.
1. In the SAP Business Suite system, open transaction PFCG.
2. In the Role field, enter name of role you want to create.
3. Choose Single Role.
4. Choose Save.
5. Select the Authorizations tab and choose the Edit icon.
6. Choose Change Authorization Data under the Maintain Authorization Data and
Generate Profiles section.
7. Select Edit > Insert Authorization(s) > From template. The Choose Template page is
displayed.
8. Select /IWWRK/TR_WF_GW_USR from the list.
9. Choose the Adopt reference.
10. Choose Generate. The Generate profile dialog box is displayed.
11. Choose the Generate option.
12. In the Assign Profile name for Generated Authorization Profile dialog, maintain the
profile name according to your requirements. For example T-SCL550.
13. Choose the checkmark. The Change role: Authorizations page is displayed. The
status of the profile is displayed as “Generated”.
14. Go back to the Change Roles page, and select the Users tab in the User Assignment
section.
15. Enter the names of the users you want to assign to this role.
16. Choose Save.
17. Choose User comparison. The Complete Role Master Record page is displayed.
18. Choose Complete comparison.
19. Choose Save.
20. Check that the role was properly created and assigned.
To continue with the flow, go to Running Scheduled Reports [Page 71].
SAP NetWeaver Gateway Configuration Guide
(C) SAP AG SAP NetWeaver Gateway 2.0 SPS08 71
Running Scheduled Reports
To send notifications tasks between the ECC SAP system and consumer applications, the
following 2 reports must be scheduled in the ECC SAP system:
RSWNSEL
/IWWRK/R_WF_ITEM_SELECTION_GW
The logon user used to schedule the reports should be a valid administrator user. Schedule
the reports as per the following sequence:
1. Schedule the NetWeaver report RSWNSEL (or run the report when required). The
necessary variant of the report is Scenario OSP, filter OSP_DELTA.
We recommend that you run the reports at a frequency of 15 minutes. This report
retrieves the workflow items created in the ECC SAP ERP system and sends it for
processing by Workflow SAP NetWeaver Gateway. Refer to the next section
Procedure to Schedule Running of Reports to run the reports.
2. Schedule the Workflow SAP NetWeaver Gateway pattern report
/IWWRK/R_WF_ITEM_SELECTION_GW (or run the report when required). This
report should run after the successful execution of the NetWeaver report RSWNSEL.
This report processes the workflow items retrieved by the report RSWNSEL and
sends task notifications. The necessary variant of the report is a Default variant.
We recommend that you run this report at a frequency of 15 minutes. Refer to the
next section Procedure to Schedule Running of Reports to run the reports.
Procedure to Schedule Running of Reports
You can schedule the running of reports using your administrator user.
To schedule running of various reports, you need to know the following parameters:
Program field – Name of the report you want to run
Variant field – Name of the variant you want to create
Meaning field – Description of the variant you want to create
Scheduling running of reports involves:
Creating variants
Scheduling background job for the variant
Creating Variants for Report RSWNSEL
To create variants for the RSWNSEL report:
1. On the SAP system, open transaction SE38 The ABAP Editor: Initial Screen page is
displayed.
2. In the Program field, enter RSWNSEL.
3. Select the Variants radio button.
4. Choose Display. The ABAP: Variants – Initial Screen page is displayed.
SAP NetWeaver Gateway Configuration Guide
(C) SAP AG SAP NetWeaver Gateway 2.0 SPS08 72
5. In the Variant field, enter the name of the variant. For example, GW_VAR1
6. Choose Create. The Maintain Variant: Report page is displayed.
7. In the Scenario field, enter OSP.
8. In the Filter field, enter OSP_DELTA.
9. Choose Attributes. The Variant Attributes page is displayed.
10. In the Description field, enter the variant’s description.
11. Choose Save. The Maintain Variant: Report page is displayed.
12. Choose Save to save the value of the variants.
Creating Variants for Report /IWWRK/R_WF_ITEM_SELECTION_GW
To create variants for the /IWWRK/R_WF_ITEM_SELECTION_GW report:
1. On the SAP system, open transaction SE38 The ABAP Editor: Initial Screen page is
displayed.
2. In the Program field, enter /IWWRK/R_WF_ITEM_SELECTION_GW.
3. Select the Variants radio button.
4. Choose Display. The ABAP: Variants – Initial Screen page is displayed.
5. In the Variant field, enter the name of the variant. For example, GW_VAR1
6. Choose Create. The Maintain Variant: Report page is displayed.
7. Choose Attributes. The Variant Attributes page is displayed.
8. In the Description field, enter the variant’s description.
9. Choose Save. The Maintain Variant: Report page is displayed.
10. Choose Save to save the value of the variants.
Scheduling Background Jobs
To schedule background jobs:
1. On to the SAP system, open transaction SM36. The Define Background Job page is
displayed.
2. Choose Job wizard to create a new job.
3. In the wizard’s opening page, choose Continue.
4. In the Job Name field enter a name and choose Continue.
5. Select the ABAP program step radio button and choose Continue.
6. In the ABAP Program Name field enter the report name (RSWNSEL).
SAP NetWeaver Gateway Configuration Guide
(C) SAP AG SAP NetWeaver Gateway 2.0 SPS08 73
7. In the Variant field, enter the variant name, for example GW_VAR1 and choose
Continue.
8. Check the Add additional steps (optional) checkbox, and choose Continue.
9. Select the ABAP program step radio button and choose Continue.
10. In the ABAP Program Name field enter the report name
(/IWWRK/R_WF_ITEM_SELECTION_GW)
11. In the Variant field, enter the variant name, for example GW_VAR1 and choose
Continue twice.
12. Select the Immediately radio button and choose Continue.
13. In the Periodic jobs section, select the Period checkbox and choose Continue.
14. Select None of the above and choose Other periods.
15. In the Minute(s) field, enter 15.
16. Choose Create.
17. Choose Continue.
18. Choose Complete.
Updating Background Jobs
To update background jobs:
For help on updating a job, refer to the topic Background Job Monitoring Monitor [External] on
the SAP Library at
http://help.sap.com/saphelp_nw70ehp1/helpdata/en/1d/ab3207b610e3408fff44d6b1de15e6/fr
ameset.htm and to the topic Managing Jobs from the Job Overview [External] on the SAP
Library at
http://help.sap.com/saphelp_wp/helpdata/en/c4/3a8009505211d189550000e829fbbd/framese
t.htm
This is the last step in the configuration flow, go to Subscribing to Notification Types [External]
to subscribe to the relevant Workflow service.
SAP NetWeaver Gateway Configuration Guide
(C) SAP AG SAP NetWeaver Gateway 2.0 SPS08 74
Workflow Settings
This section describes how to configure the Workflow process. Depending on whether you
use the Business Enablement Provisioning (BEP) functionality in an SAP Business Suite
backend system or an SAP NetWeaver Gateway hub system, choose the appropriate service
for your system landscape.
Workflow Task Service: Central Hub Deployment with IW_BEP Backend Installation
[External]
Workflow Task Service: Central Hub Deployment with IW_BEP Hub Installation
[External]
For more information about installing SAP NetWeaver Gateway in your system landscape,
see Deployment Options [External].
Note
If your system landscape is based on SAP NetWeaver 7.40 or higher, you do not
need to install the IW_BEP component in your system since the BEP functionality is
included in the core Gateway component SAP_GWFND, which is installed as standard.
Activating the Service
By default, the service is deactivated. To consume it, you must first activate it.
To activate the service on the SAP NetWeaver Gateway system:
1. Set the system alias as described in the Creating the SAP System Alias for
Applications [Page 39] section.
2. If you are using the central hub deployment option, set the For Local App flag.
3. Activate the /iwwrk/WFSERVICE service for backend deployment or the
/IWWRK/WFHUBSERVICE service for embedded deployment using the system alias
created above as described in the Register your Service in the SAP NetWeaver
Gateway System [External] section.
Workflow Configurations
You can perform the following configurations on the Workflow process:
Task Provider Customizing
Maintain Workflow Filter Settings
Maintain Task Names and Decision Options
Enable Task Filter
To reach these activities:
1. From your SAP system, open transaction SPRO.
2. Choose SAP Reference IMG.
3. Navigate to SAP NetWeaver Gateway Service Enablement Content Workflow
Settings .
SAP NetWeaver Gateway Configuration Guide
(C) SAP AG SAP NetWeaver Gateway 2.0 SPS08 75
Task Provider Customizing
This activity allows you to maintain Workflow task providers in the Task Provider Framework.
The Task Provider Framework consists of twocomponents:
Push Framework
Generic Worklist
The Push Framework collects notifications from all customized active task providers and
sends them to the SAP NetWeaver Gateway system.
The Generic Worklist collects the user items from all customized active task providers to
create a unified inbox view.
Activating an Existing Provider
To activate an existing provider:
1. In the Dialog Structure section, double-click Providers.
2. From the Providers table, select the BWF checkbox to activate the
/IWWRK/WFSERVICE subscription notification.
3. Choose Save.
Adding a New Provider
To add a new provider, you must register an entry in the Providers section, add its details in
the Provider Details section and define its adapter classes for the Task Provider Framework
in the Adapter Classes section.
You can also maintain additional services for the provider.
1. In the Dialog Structure section, double-click Providers.
2. Choose New Entries.
3. In the Providers section, enter the provider ID and select the Active checkbox.
4. Choose Save.
5. In the Dialog Structure section, select Provider Details.
6. Choose New Entries.
7. In the Provider Details table, enter the provider ID, the default internal service name,
the version number, and the provider's description.
Note
If no specific service can be found for an item, the default service and version
number is used instead.
8. Choose Save.
Defining the Provider Adapter Classes
1. In the Dialog Structure section, select Task Providers.
2. In the Task Providers table, select the relevant provider.
SAP NetWeaver Gateway Configuration Guide
(C) SAP AG SAP NetWeaver Gateway 2.0 SPS08 76
3. In the Dialog Structure section, double-click Adapter Classes.
4. Choose New Entries.
5. In the first line of the Adapter Classes table, under Adapter Type, select Generic
Worklist from the drop-down list.
6. In the Class/Interface field, enter the class you implemented for retrieving all the user
items from the provider (inherited from /IWWRK/CL_GWL_ABS_DATA).
7. In the second line of the Adapter Classes table, under Adapter Type, select Push
Framework from the drop-down list.
8. In the Class/Interface field, enter the class you implemented for retrieving all the
notifications that need to be sent from the provider to the SAP NetWeaver Gateway
system (inherited from /IWWRK/CL_PFW_ABSTR).
9. Choose Save.
Defining the Provider Specific Services
1. In the Dialog Structure section, select Task Providers.
2. In the Task Providers section, select the relevant provider.
3. In the Dialog Structure section, double-click Services.
4. Choose New Entries.
5. In the Services table, enter the internal service name, the version number, the main
and secondary unique IDs (values used to identify the service), and the service
description.
6. Choose Save.
Maintain Task Names and Decision Options
This activity allows you to maintain Workflow tasks that need to be included in the task filter
together with their names and decision keys.
Note
For user decision steps, these customizing settings are required only when the filter is
active. When the filter is not active, all user decision items are read and all
notifications are sent.
Adding a new Workflow Task with its Corresponding ID to the Workflow Task Filter
You can add Workflow tasks and their corresponding IDs to the Workflow task filter. If the
filter is active, only the Workflow items maintained in this list are included in the query results.
Notifications are sent to the SAP NetWeaver Gateway only for these items.
You can define a name to be displayed when reading a specific task. Names can be
maintained in several languages. You can add names only in the language in which you
logged on to the system. If a task is read in a specific language in which no name is
maintained, the name is read according to the system kernel language. If no name is
maintained for the system kernel language, the name consists of the Workflow and step ID.
SAP NetWeaver Gateway Configuration Guide
(C) SAP AG SAP NetWeaver Gateway 2.0 SPS08 77
To add the new Workflow task:
1. In the Dialog Structure section, select Step Name.
2. Choose New Entries.
3. In the Step Name section, enter the Workflow ID and step ID, and step description in
the relevant columns.
Defining Decision Keys
You can use decision keys to help include steps in the user decision service. A decision can
be applied to the task using these keys. The functionality is carried out using the following
enhancement spot customer implementation: /IWWRK/ES_WF_WI_BEFORE_UPD_IB.
The descriptions for the decision keys can be maintained in several languages. You can only
enter text in the language in which you logged on to the system. If a task is read in a specific
language and no text is maintained for the decision key in this language, the text is read
according to the system kernel language.
To define decision keys:
1. In the Step Name section, select the relevant Workflow.
2. In the Dialog Structure section, double-click Decision keys.
3. Choose New Entries.
4. In the Decision Key section, add a new decision key and its description in the relevant
columns.
Enable Task Filter
This activity allows you to activate or deactivate the task filter.
By default, the filter is deactivated.
When the task filter is set to Active:
Sending Notifications: Only notifications of items that were configured using the
Maintain Task Names and Decision Options IMG activity or the Workflow Pattern
Customization IMG activity are sent.
The SAP NetWeaver Gateway Workflow service only receives items that were
configured using the Maintain Task Names and Decision Options IMG activity or the
Workflow Pattern Customization IMG activity.
When the task filter is not set to active:
All notifications are sent.
All items are read.
SAP NetWeaver Gateway Configuration Guide
(C) SAP AG SAP NetWeaver Gateway 2.0 SPS08 78
Configuring Business Process Content Services
Business Process Content Powered by SAP NetWeaver Gateway allows users to consume
process data from SAP Business Suite systems in a standards-based fashion. It consists of
the following services:
Process Service – Allows users to consume process definition and instance
information.
Process Context Service – Allows users to consume context related information
associated with a process.
There are two types of deployment scenarios for Business Process Content Powered by SAP
NetWeaver Gateway. The actions required to configure the services depend on the
deployment scenario:
Scenario 1: Business Process Content Powered by SAP NetWeaver Gateway is
deployed as an addon for SAP NetWeaver Gateway
For more information, see Configuring Services for Deployment Scenario 1 [Page 79].
Scenario 2: Business Process Content Powered by SAP NetWeaver Gateway and
SAP NetWeaver Gateway are deployed on separate systems
For more information, see Configuring Services for Deployment Scenario 2 [Page 88].
SAP NetWeaver Gateway Configuration Guide
(C) SAP AG SAP NetWeaver Gateway 2.0 SPS08 79
Configuring Services for Deployment Scenario 1
You use this procedure to configure the services for the deployment scenario where Business
Process Content Powered by SAP NetWeaver Gateway and SAP NetWeaver Gateway are
available on the same system. In this case, you perform all the configuration steps on one
system.
Procedure
1. Create a connection from the Business Process Content Powered by SAP
NetWeaver Gateway system to the SAP Business Suite provider system.
For more information, see Connecting Business Process Content and Business Suite
Systems [Page 89].
2. Create a system alias for the SAP Business Suite system.
For more information, see Creating a System Alias [Page 84].
3. Activate the process service for the SAP Business Suite system.
For more information, see Activating the Process Service [Page 96].
4. If you want to enable a user to consume process context information, perform the
following substeps:
1. Register the process context service for the SAP Business Suite system.
For more information, see Registering Process Context Service for
Deployment Scenario 1 [Page 86].
2. Activate the process context service for the SAP Business Suite system.
For more information, see Activating the Process Context Service [Page 98].
SAP NetWeaver Gateway Configuration Guide
(C) SAP AG SAP NetWeaver Gateway 2.0 SPS08 80
Connecting Business Process Content and Business
Suite Systems
You use this procedure to create a connection between the Business Process Content
Powered by SAP NetWeaver Gateway and SAP Business Suite systems.
Prerequisites
A software version for the provider system (SAP Business Suite system) is created
and a mapping to the technical model of the Business Process Content system is
defined.
For more information, see:
Creating a Software Version for Provider System [Page 91]
Mapping the Software Version and Technical Model [Page 92]
Trusted RFC connection is enabled in the SAP Business Suite system.
Procedure
1. Log on to the Business Process Content Powered by SAP NetWeaver Gateway
system.
2. Call transaction SIMGH.
3. In the IMG structure field, select Business Process Enablement.
4. Choose the Display IMG Structure icon.
5. Expand the Process Service node.
6. Expand the required node.
7. Click the Create RFC Destination activity icon.
8. Choose Create.
9. In the RFC Destination field, enter a name for the RFC destination that you want to
create.
10. In the Connection Type field, enter 3.
11. In the Description 1 field, enter a description for the RFC destination.
12. Press Enter.
13. Choose the Technical Settings tab page.
14. Check that the Load Balancing option is set to No.
15. In the Target Host field, enter the server name of the business suite system.
16. In the System Number field, enter the instance number of the business suite system.
17. Choose the Logon & Security tab page.
18. Select the Current User checkbox.
SAP NetWeaver Gateway Configuration Guide
(C) SAP AG SAP NetWeaver Gateway 2.0 SPS08 81
19. Check that the Trust Relationship or Trusted System option is set to Yes.
20. Save the changes.
21. To check if the connection is working, choose Connection Test.
SAP NetWeaver Gateway Configuration Guide
(C) SAP AG SAP NetWeaver Gateway 2.0 SPS08 82
Creating a Software Version for Provider System
Procedure
1. Log on to the SAP NetWeaver Gateway system.
2. Call transaction SM30.
3. In the Table/View field, enter /IWFND/V_COCCOL.
4. Choose Display.
5. Choose Display > Change.
6. Choose New Entries.
7. In the Type field, select Software Version for Instance Manager.
8. In the Identifier field, enter a name for the software version.
9. In the Description field, enter a long text for the software version.
10. Save the changes.
SAP NetWeaver Gateway Configuration Guide
(C) SAP AG SAP NetWeaver Gateway 2.0 SPS08 83
Mapping the Software Version and Technical Model
You use this procedure to create a mapping for each of the software version created for your
Business Process Content system.
Procedure
1. Log on to the SAP NetWeaver Gateway system.
2. Call transaction SPRO.
3. Choose SAP Reference IMG.
4. Choose SAP Customizing Implementation Guide SAP NetWeaver Gateway
OData Channel Development with IW_BEP Registration .
5. Click the Assign Data Provider to Data Model activity icon.
6. Choose Display > Change.
7. Choose New Entries.
8. In the Model Identifier field, enter a name for your model.
9. In the Type field, select (Adaptation) Data Provider.
10. In the Software Version field, enter the software version you created for your provider
system.
11. In the Class/Interface field, select /IWFND/CL_MGW_RUNT_RCLNT_PRXY.
12. In the Description field, enter a long text.
13. Save the changes.
SAP NetWeaver Gateway Configuration Guide
(C) SAP AG SAP NetWeaver Gateway 2.0 SPS08 84
Creating a System Alias
You use this procedure to create a system alias for an SAP Business Suite system.
Prerequisites
You have configured a connection to the SAP Business Suite system.
Procedure
1. Create System Alias in SAP NetWeaver Gateway
1. Log on to the SAP NetWeaver Gateway system where Business Process Content
Powered by SAP NetWeaver Gateway is deployed.
2. Call transaction SIMGH.
3. In the IMG structure field, select Business Process Enablement.
4. Choose Display IMG Structure.
5. Expand the Process Service node.
6. Click the Maintain System Alias activity icon.
7. Choose New Entries.
8. In the SAP System Alias field, enter a name for the alias.
9. In the Process Platform field, select Business Suite Process Observer Provider.
10. In the RFC Destination field, enter the RFC destination of the business suite system.
11. Choose Save.
2. Create System Alias in Business Process Content
1. Call transaction SIMGH.
2. In the IMG structure field, select Project Gateway 1.0.
3. Choose Display IMG Structure.
4. Choose Gateway OData Channel Configuration Connection Settings SAP
NetWeaver Gateway to SAP System .
5. Click the Manage SAP System Aliases activity icon.
6. Choose New Entries.
7. In the SAP System Alias field, enter the name of the alias that you created.
8. In the Description field, enter a long text.
9. Select the For Local App checkbox.
10. In the RFC Destination field, enter NONE.
11. In the Software Version field, enter /IWPGW/PO.
12. Save the changes.
SAP NetWeaver Gateway Configuration Guide
(C) SAP AG SAP NetWeaver Gateway 2.0 SPS08 85
Activating the Process Service
You use this procedure to activate the process service for an SAP Business Suite system.
This enables a user to retrieve and use process definition and instance information.
Prerequisites
You have created a system alias for the SAP Business Suite system.
Procedure
1. Log on to the SAP NetWeaver Gateway system.
2. Call transaction SIMGH.
3. In the IMG structure field, select Project Gateway 1.0.
4. Choose the Display IMG Structure icon.
5. Choose Gateway OData Channel Administration General Settings .
6. Click the Activate and Maintain Services activity icon.
7. In the Service Catalog section, check if the ZPGW technical service name exists.
8. If ZPGW exists, perform the following substeps:
1. Select the ZPGW service.
2. Choose System Alias.
3. Choose New Entries.
4. In the Service Doc. Identifier field, enter ZPGW_0001.
5. In the SAP System Alias field, select the alias of the provider system.
9. If ZPGW does not exist, perform the following substeps:
1. Choose Add Service.
2. In the System Alias field, select the alias of your provider system.
3. Press Enter.
4. Select the entry with technical service name /IWPGW/PGW.
5. In the Package field, enter $TMP.
6. Choose Continue.
10. Save the changes.
SAP NetWeaver Gateway Configuration Guide
(C) SAP AG SAP NetWeaver Gateway 2.0 SPS08 86
Registering Process Context Service for Deployment
Scenario 1
You use this procedure to register the process context service for an SAP Business Suite
system. This enables a user to retrieve and use process context information in addition to
process definition and instance information.
Procedure
1. Log on to the SAP NetWeaver Gateway system where Business Process Content
Powered by SAP NetWeaver is deployed.
2. Call transaction SIMGH.
3. In the IMG structure field, select Business Process Enablement.
4. Choose the Display IMG Structure icon.
5. Expand the Process Context Service node.
6. Click the Register Context Service for Process Definition activity icon.
7. Choose Add Service.
8. In the System Alias field, select the alias of the required provider system.
9. Press Enter.
10. Select the process definition entry for which you want the system to retrieve the
context details.
11. Choose Select.
12. Make a note of the value in the Technical Model Name field.
13. Press Enter.
14. Choose Yes for the confirmation message.
15. Choose Continue.
SAP NetWeaver Gateway Configuration Guide
(C) SAP AG SAP NetWeaver Gateway 2.0 SPS08 87
Activating the Process Context Service
You use this procedure to activate the process context service for an SAP Business Suite
system. This enables a user to retrieve and use process context information in addition to
process definition and instance information.
Prerequisites
You have created the system alias for the SAP Business Suite system.
Procedure
1. Log on to the SAP NetWeaver Gateway system.
2. Call transaction SIMGH.
3. In the IMG structure field, select Project Gateway 1.0.
4. Choose the Display IMG Structure icon.
5. Choose Gateway OData Channel Administration General Settings .
6. Click the Activate and Maintain Services activity icon.
7. Choose Add Service.
8. In the System Alias field, select the alias of the provider system.
9. In the Technical Service Name field, enter the service name you made a note of
when registering the context service.
10. Press Enter.
11. In the Add Service section, select the technical service name entry.
12. In the Package field, enter $TMP.
13. Choose Continue.
SAP NetWeaver Gateway Configuration Guide
(C) SAP AG SAP NetWeaver Gateway 2.0 SPS08 88
Configuring Services for Deployment Scenario 2
You use this procedure to configure the services for the deployment scenario where Business
Process Content Powered by SAP NetWeaver Gateway and SAP NetWeaver Gateway are
available on separate systems. In this case, you perform the configuration steps on two
different systems.
Procedure
1. Create a connection from Business Process Content Powered by SAP NetWeaver
Gateway system to SAP Business Suite system.
For more information, see Connecting Business Process Content and Business Suite
Systems [Page 89].
2. Create a system alias for the SAP Business Suite system in Business Process
Content Powered by SAP NetWeaver Gateway system.
For more information, see Creating a System Alias for SAP Business Suite System
[Page 93].
3. Create a connection from SAP NetWeaver Gateway system to Business Process
Content Powered by SAP NetWeaver Gateway system.
For more information, see Connecting SAP NetWeaver Gateway and Business
Process Content [Page 94].
4. Create a system alias for the Business Process Content Powered by SAP NetWeaver
Gateway system in the SAP NetWeaver Gateway system.
For more information, see Creating a System Alias for Business Process Content
System [Page 95].
5. Activate the process service for the SAP Business Suite system.
For more information, see Activating the Process Service [Page 96].
6. If you want to enable a user to consume process context information, perform the
following substeps:
1. Register the process context service for the SAP Business Suite system.
For more information, see Registering Process Context Service for
Deployment Scenario 2 [Page 97].
2. Activate the process context service for the SAP Business Suite system.
For more information, see Activating the Process Context Service [Page 98].
SAP NetWeaver Gateway Configuration Guide
(C) SAP AG SAP NetWeaver Gateway 2.0 SPS08 89
Connecting Business Process Content and Business
Suite Systems
You use this procedure to create a connection between the Business Process Content
Powered by SAP NetWeaver Gateway and SAP Business Suite systems.
Prerequisites
A software version for the provider system (SAP Business Suite system) is created
and a mapping to the technical model of the Business Process Content system is
defined.
For more information, see:
Creating a Software Version for Provider System [Page 91]
Mapping the Software Version and Technical Model [Page 92]
Trusted RFC connection is enabled in the SAP Business Suite system.
Procedure
1. Log on to the Business Process Content Powered by SAP NetWeaver Gateway
system.
2. Call transaction SIMGH.
3. In the IMG structure field, select Business Process Enablement.
4. Choose the Display IMG Structure icon.
5. Expand the Process Service node.
6. Expand the required node.
7. Click the Create RFC Destination activity icon.
8. Choose Create.
9. In the RFC Destination field, enter a name for the RFC destination that you want to
create.
10. In the Connection Type field, enter 3.
11. In the Description 1 field, enter a description for the RFC destination.
12. Press Enter.
13. Choose the Technical Settings tab page.
14. Check that the Load Balancing option is set to No.
15. In the Target Host field, enter the server name of the business suite system.
16. In the System Number field, enter the instance number of the business suite system.
17. Choose the Logon & Security tab page.
18. Select the Current User checkbox.
SAP NetWeaver Gateway Configuration Guide
(C) SAP AG SAP NetWeaver Gateway 2.0 SPS08 90
19. Check that the Trust Relationship or Trusted System option is set to Yes.
20. Save the changes.
21. To check if the connection is working, choose Connection Test.
SAP NetWeaver Gateway Configuration Guide
(C) SAP AG SAP NetWeaver Gateway 2.0 SPS08 91
Creating a Software Version for Provider System
Procedure
1. Log on to the SAP NetWeaver Gateway system.
2. Call transaction SM30.
3. In the Table/View field, enter /IWFND/V_COCCOL.
4. Choose Display.
5. Choose Display > Change.
6. Choose New Entries.
7. In the Type field, select Software Version for Instance Manager.
8. In the Identifier field, enter a name for the software version.
9. In the Description field, enter a long text for the software version.
10. Save the changes.
SAP NetWeaver Gateway Configuration Guide
(C) SAP AG SAP NetWeaver Gateway 2.0 SPS08 92
Mapping the Software Version and Technical Model
You use this procedure to create a mapping for each of the software version created for your
Business Process Content system.
Procedure
1. Log on to the SAP NetWeaver Gateway system.
2. Call transaction SPRO.
3. Choose SAP Reference IMG.
4. Choose SAP Customizing Implementation Guide SAP NetWeaver Gateway
OData Channel Development with IW_BEP Registration .
5. Click the Assign Data Provider to Data Model activity icon.
6. Choose Display > Change.
7. Choose New Entries.
8. In the Model Identifier field, enter a name for your model.
9. In the Type field, select (Adaptation) Data Provider.
10. In the Software Version field, enter the software version you created for your provider
system.
11. In the Class/Interface field, select /IWFND/CL_MGW_RUNT_RCLNT_PRXY.
12. In the Description field, enter a long text.
13. Save the changes.
SAP NetWeaver Gateway Configuration Guide
(C) SAP AG SAP NetWeaver Gateway 2.0 SPS08 93
Creating a System Alias for SAP Business Suite
System
Prerequisites
You have configured a connection to the SAP Business Suite system.
Procedure
1. Log on to the Business Process Content Powered by SAP NetWeaver Gateway
system.
2. Call transaction SIMGH.
3. In the IMG structure field, select Business Process Enablement.
4. Choose Display IMG Structure.
5. Expand the Process Service node.
6. Click the Maintain System Alias activity icon.
7. Choose New Entries.
8. In the SAP System Alias field, enter a name for the alias.
9. In the Process Platform field, select Business Suite Process Observer Provider.
10. In the RFC Destination field, enter the RFC destination of the business suite system.
11. Choose Save.
SAP NetWeaver Gateway Configuration Guide
(C) SAP AG SAP NetWeaver Gateway 2.0 SPS08 94
Connecting SAP NetWeaver Gateway and Business
Process Content
You use this procedure to create a connection between the SAP NetWeaver Gateway and
Business Process Content Powered by SAP NetWeaver Gateway systems.
Prerequisites
You have enabled a trusted RFC connection in the Business Process Content Powered by
SAP NetWeaver Gateway system.
Procedure
1. Log on to the SAP NetWeaver Gateway system.
2. Call transaction SIMGH.
3. In the IMG structure field, select Project Gateway 1.0.
4. Choose the Display IMG Structure icon.
5. Choose Gateway OData Channel Configuration Connection Settings SAP
NetWeaver Gateway to SAP System .
6. Choose the Manage RFC Destinations activity icon.
7. Choose Create.
8. In the RFC Destination field, enter a name for the RFC destination you want to
create.
9. In the Connection Type field, enter 3.
10. In the Description 1 field, enter a description for the RFC destination.
11. Press Enter.
12. Choose the Technical Settings tab page.
13. Check that the Load Balancing option is set to No.
14. In the Target Host field, enter the server name of the Business Process Content
system.
15. In the System Number field, enter the instance number of the Business Process
Content system.
16. Choose the Logon & Security tab page.
17. Select the Current User checkbox.
18. Check that the Trust Relationship option is set to Yes.
19. Save the changes.
20. To check if the connection is working, choose Connection Test.
SAP NetWeaver Gateway Configuration Guide
(C) SAP AG SAP NetWeaver Gateway 2.0 SPS08 95
Creating a System Alias for Business Process Content
System
Prerequisites
You have created a system alias in the Business Process Content Powered by SAP
NetWeaver Gateway system.
Procedure
1. Log on to the SAP NetWeaver Gateway system.
2. Call transaction SIMGH.
3. In the IMG structure field, select Project Gateway 1.0.
4. Choose the Display IMG Structure icon.
5. Choose Gateway OData Channel Configuration Connection Settings SAP
NetWeaver Gateway to SAP System .
6. Click the Manage SAP System Aliases activity icon.
7. Choose New Entries.
8. In the SAP System Alias field, enter the name of the alias that you created in the
Business Process Content system.
9. In the Description field, enter a long text.
10. In the RFC Destination field, enter the RFC destination of Business Process Content
system.
11. In the Software Version field, enter /IWPGW/PO.
12. Save the changes.
SAP NetWeaver Gateway Configuration Guide
(C) SAP AG SAP NetWeaver Gateway 2.0 SPS08 96
Activating the Process Service
You use this procedure to activate the process service for an SAP Business Suite system.
This enables a user to retrieve and use process definition and instance information.
Prerequisites
You have created a system alias for the SAP Business Suite system.
Procedure
1. Log on to the SAP NetWeaver Gateway system.
2. Call transaction SIMGH.
3. In the IMG structure field, select Project Gateway 1.0.
4. Choose the Display IMG Structure icon.
5. Choose Gateway OData Channel Administration General Settings .
6. Click the Activate and Maintain Services activity icon.
7. In the Service Catalog section, check if the ZPGW technical service name exists.
8. If ZPGW exists, perform the following substeps:
1. Select the ZPGW service.
2. Choose System Alias.
3. Choose New Entries.
4. In the Service Doc. Identifier field, enter ZPGW_0001.
5. In the SAP System Alias field, select the alias of the provider system.
9. If ZPGW does not exist, perform the following substeps:
1. Choose Add Service.
2. In the System Alias field, select the alias of your provider system.
3. Press Enter.
4. Select the entry with technical service name /IWPGW/PGW.
5. In the Package field, enter $TMP.
6. Choose Continue.
10. Save the changes.
SAP NetWeaver Gateway Configuration Guide
(C) SAP AG SAP NetWeaver Gateway 2.0 SPS08 97
Registering Process Context Service for Deployment
Scenario 2
You use this procedure to register the process context service for an SAP Business Suite
system, which enables a user to retrieve and use process context information in addition to
process definition and instance information.
Prerequisites
You have created the system alias for the SAP Business Suite system.
Procedure
1. Log on to the Business Process Content Powered by SAP NetWeaver Gateway
system.
2. Call transaction SIMGH.
3. In the IMG structure field, select Business Process Enablement.
4. Choose the Display IMG Structure icon.
5. Expand the Process Context Service node.
6. Click the Register Context Service for Process Definition activity icon.
7. Choose Add Service.
8. In the System Alias field, select the alias of the required business suite provider
system.
9. Press Enter.
10. In the Add Context Service section, select the process definition for which you want to
register the context service.
11. Press Enter.
12. Make a note of the value in the Technical Model Name field.
13. Press Enter.
14. Choose Yes for the confirmation message.
SAP NetWeaver Gateway Configuration Guide
(C) SAP AG SAP NetWeaver Gateway 2.0 SPS08 98
Activating the Process Context Service
You use this procedure to activate the process context service for an SAP Business Suite
system. This enables a user to retrieve and use process context information in addition to
process definition and instance information.
Prerequisites
You have created the system alias for the SAP Business Suite system.
Procedure
1. Log on to the SAP NetWeaver Gateway system.
2. Call transaction SIMGH.
3. In the IMG structure field, select Project Gateway 1.0.
4. Choose the Display IMG Structure icon.
5. Choose Gateway OData Channel Administration General Settings .
6. Click the Activate and Maintain Services activity icon.
7. Choose Add Service.
8. In the System Alias field, select the alias of the provider system.
9. In the Technical Service Name field, enter the service name you made a note of
when registering the context service.
10. Press Enter.
11. In the Add Service section, select the technical service name entry.
12. In the Package field, enter $TMP.
13. Choose Continue.
SAP NetWeaver Gateway Configuration Guide
(C) SAP AG SAP NetWeaver Gateway 2.0 SPS08 99
User Authorizations for SAP Business Workflow
Systems
To access the process details from an SAP Business Workflow system, a user must have the
authorizations listed below.
Authorization Object: PLOG
Authorization Field Value
PPFCODE DISP
PLVAR dummy
OTYPE WS
INFOTYP 1000
SUBTYP dummy
ISTAT 1
SAP NetWeaver Gateway Configuration Guide
(C) SAP AG SAP NetWeaver Gateway 2.0 SPS08 100
Configuring the Task Gateway Service
The Task Gateway service provides an access point for consumer applications to different
tasks using SAP NetWeaver Gateway. This OData service allows different task providers to
expose tasks within one harmonized view.
Prerequisites
If you have an SAP NetWeaver Business Process Management (BPM) system, you
must create a logical port to it before installing the Task Gateway service.
To integrate BPM, you require SAP NetWeaver 7.31 SP05 or higher.
To create a logical port:
1. In your SAP NetWeaver Gateway system, open transaction SOAMANAGER.
2. Select the Service Administration tab.
3. Choose Single Service Configuration.
4. From the Search by: by drop-down list, select Consumer Proxy.
5. In the Search Pattern: field, enter TaskFacade.
6. From the Field: by drop-down list, select External Name.
7. Choose Go.
8. In the Search Results table, select the consumer proxy.
9. Choose Apply Selection.
10. In the Details of Proxy Definition section, select the Configurations tab.
11. Choose Create Logical Port. The SOA Management popup is displayed.
12. In the Logical Port Name field, enter the port name.
13. In the Description field, enter a description providing additional information about the
connection.
14. Under Configuration Type, select the Manual Configuration radio button.
15. Choose Apply Settings.
16. In the Configuration for Logical Port section, select the Transport Settings tab.
17. In the URL Access Path field, enter TaskFacadeService/TaskFacade.
18. In the Computer Name of Access URL field, enter the computer's name.
19. In the Port Number of Access URL field, enter the relevant port number.
20. Select the Consumer Security tab.
21. Under the Authentication Settings section, select the SAP Authentication Assertion
Ticket radio button.
SAP NetWeaver Gateway Configuration Guide
(C) SAP AG SAP NetWeaver Gateway 2.0 SPS08 101
Note
For more information about SSO (Single Sign On), see the Administration for User.
22. Save the changes.
Installing the Service
To use the Task Gateway service:
If your system landscape is based on SAP NetWeaver 7.0, 7.01, 7.02, 7.03 or 7.31,
you must first install the components IW_PGW and IW_BEP in your SAP NetWeaver
Gateway system. To support the Business Workflow, you must also install the
component IW_BEP in your SAP Business Suite system.
If your system landscape is based on SAP NetWeaver 7.40 or higher, it contains the
core SAP NetWeaver Gateway component SAP_GWFND as standard and as such you
do not need to install IW_BEP in your SAP NetWeaver Gateway system. However,
you must install the component IW_PGW.
For more information, see Deployment Options [External].
Activating the Service
Activating the service consists of two main steps:
1. Setting up the service in the SAP NetWeaver Gateway system:
o Create a system alias.
o Activate the service.
o Assign the software version to the service.
2. Connecting the service to the SAP Business Suite backend system where you want
to have the Gateway information displayed:
o Add additional system aliases.
The service uses the multi-origin composition (MOC) component. For more information, see
the Multiple Origin Composition [Page 48] section.
To create a system alias:
1. In the SAP NetWeaver Gateway system, open transaction SPRO.
2. Choose SAP Reference IMG .
3. Select SAP Customizing Implementation Guide SAP NetWeaver Gateway
OData Channel Configuration Connection Settings SAP NetWeaver Gateway to
SAP System .
4. Open the Manage SAP System Aliases activity. TheChange View “Manage SAP
System Aliases”: Overview page is displayed.
5. Choose New Entries.
SAP NetWeaver Gateway Configuration Guide
(C) SAP AG SAP NetWeaver Gateway 2.0 SPS08 102
6. In the Manage SAP System Aliases table, enter the following:
o Under SAP System Alias, enter the new system alias. For example,
GWQ_800_BEP.
o Under Description, enter a description for the system alias.
o Under Local GW, make sure the checkbox is not selected.
o Under For Local App, select the checkbox.
o Under RFC Destination, enter the trusted RFC destination to the SAP
system.
Note
If you have an SAP NetWeaver BPM system, set WS Provider
System as the RFC Destination.
o Under Software Version, press F4 and select the relevant data provider
(software version), for example, /IWPGW/BWF or/IWPGW/BPM (for a BPM
system).
7. Choose Save.
8. To create additional system aliases for other providers like BPM repeat steps 5 to 7.
To activate the service:
1. In the SAP NetWeaver Gateway system, open transaction SPRO.
2. Choose SAP Reference IMG .
3. Select SAP Customizing Implementation Guide SAP NetWeaver Gateway
OData Channel Development with IW_BEP Registration .
4. Open the Activate and Maintain Services activity.
5. Choose Add New Service. (Add New Service). The Add Service page is
displayed.
6. In the System Alias field, press F4 and select the system alias you created in the
procedure above.
7. Press Enter. The Add Service table is populated.
8. From the Technical Service Name column, double-click /IWPGW/TASKPROCESSING.
The Add Service page is displayed.
9. Copy the name that appears in the Technical Model Name field, you will need it to
assign the software version to the service.
10. In the Package field, enter the package to which you want to assign the service.
11. Choose the checkmark. The Activate and Maintain Services page is displayed.
12. Under the ICF Nodes section, make sure the ODATA node status is set to Active.
13. Under the System Aliases section, make sure the system alias we activated is
displayed.
SAP NetWeaver Gateway Configuration Guide
(C) SAP AG SAP NetWeaver Gateway 2.0 SPS08 103
To assign the software version to the service:
1. In the SAP NetWeaver Gateway system, open transaction SPRO.
2. Choose SAP Reference IMG .
3. Select SAP Customizing Implementation Guide SAP NetWeaver Gateway
OData Channel Development with IW_BEP Registration .
4. Open the Assign Data Provider to Data Model activity. TheChange View “Assign Data
Provider to Data Model”: Overview page is displayed.
5. Choose New Entries.
6. In the Assign Data Provider to Data Model table, enter the following:
o Under Model Identifier, enter the technical name you obtained in the previous
step (To activate the service) followed by _0001_BE. For example, <model
identifier name>_0001_BE.
o Under Type, select (Adaptation) Data Provider from the drop-down list.
o Under Software Version, press F4 and select the relevant software version
for example /IWPGW/BPM or /IWPGW/BWF.
o Under Class/Interface, enter /IWFND/CL_MGW_RUNT_RCLNT_PRXY.
o Under Description, enter a description of the data model.
o Under Model Name, enter enter the technical name you obtained in the
previous step (To activate the service).
7. Choose Save.
8. To create additional software versions, repeat steps 5 to 7.
To add additional system aliases:
1. Create a new system alias as described in the procedure above.
2. In the SAP NetWeaver Gateway system, open transaction SPRO.
3. Choose SAP Reference IMG .
4. Select SAP Customizing Implementation Guide SAP NetWeaver Gateway
OData Channel OData Channel Development with IW_BEP Registration .
5. Open the Activate and Maintain Services activity. The Activate and Maintain Services
page is displayed.
6. In the Service Catalog table, search for TASKPROCESSING in the External Service
Name column and select the entire line.
7. In the System Aliases section, choose (Add System Alias). The
Change View “Assign SAP System Aliases to OData Service”: Overview page is
displayed.
8. Select an existing SAP system alias and choose Copy.
9. In the SAP System Alias field, press F4 and select the System Alias you have
created.
SAP NetWeaver Gateway Configuration Guide
(C) SAP AG SAP NetWeaver Gateway 2.0 SPS08 104
10. In the Default System field, the checkbox does not need to be selected. If the
checkbox is selected, the corresponding SAP system will be called by default.
11. Choose (Copy).
12. Choose Save.
Once your service is activated you can navigate to the Task collection to get all your inbox
tasks from the implemented providers, such as Business Workflow and BPM. For example:
http://<Server>:<Port>/sap/opu/odata/IWPGW/TASKPROCESSING;mo/TaskColl
ection
Adding New Providers
Task Gateway service has two providers out-of-the-box: a provider for SAP Business
Workflow, and one for BPM.
If you require an additional provider, you must add it manually.
To add a new provider:
1. In your SAP NetWeaver Gateway system, open transaction SPRO.
2. Choose SAP Reference IMG.
3. Select SAP NetWeaver Gateway Service Enablement Content Task Gateway
Service Registration .
4. Open the Provider Implementation activity and follow the instructions described in the
activity's documentation.
SAP NetWeaver Gateway Configuration Guide
(C) SAP AG SAP NetWeaver Gateway 2.0 SPS08 105
Former Development
In this section, you can find information about former development and programming
paradigms.
Recommendation
We strongly recommend using the OData Channel (ODC) programming paradigm for
all SAP NetWeaver Gateway development.
As of SAP NetWeaver Gateway 2.0 Support Package 05, you are strongly
recommended to use the Service Builder (transaction SEGW) for your OData design-
time development . For more information, see SAP NetWeaver Gateway Service
Builder [External].
Depending on whether you want to develop SAP NetWeaver Gateway content in an
SAP Business Suite backend system or in an SAP NetWeaver Gateway hub system,
you can choose between embedded deployment or central hub deployment. For
more information, see Embedded Versus Hub Deployment [External] and
Deployment Options [External].
This section comprises the following information:
OData Channel without IW_BEP
Configurations for ERP on SAP NetWeaver Gateway [Page 106]
Code List [Page 161]
SOA Management Configurations on SAP ERP System [Page 130]
SOA Management Configurations on the SAP NetWeaver Gateway Syste [Page 141]
Generic Channel
Generic Channel Configuration [Page 152]
Code List [Page 161]
Configuration Settings for Generic Channel Scenarios [Page 170]
SAP NetWeaver Gateway Configuration Guide
(C) SAP AG SAP NetWeaver Gateway 2.0 SPS08 106
Configurations for ERP on SAP NetWeaver Gateway
This section provides an overview of the SAP ERP scenarios with the services used and the
supported releases.
SAP ERP
Scenarios
Configuration
Settings
Types of Services used Supported Releases
Employee
Configurations on
SAP NetWeaver
Gateway for SAP
ERP [Page 114]
Following BAPIs are used:
BAPI_EMPLOYEE_GETDATA
BAPI_HELPVALUES_GET
BAPI_ADDRESSEMPGETDETAILEDLIST
SAP ERP 2004 and
higher
Note
The software
requirements for few
of the Employee
functions supported
differ. See Employee
[External] for more
information.
Material
Configurations on
SAP NetWeaver
Gateway for SAP
ERP [Page 114]
Following BAPIs are used:
BAPI_MATERIAL_GETLIST
BAPI_MATERIAL_GET_ALL
BAPI_HELPVALUES_GET
SAP ERP 2004 and
higher
Bill Of
Material
(BOM)
Configurations on
SAP NetWeaver
Gateway for SAP
ERP [Page 114]
Following BAPIs are used:
CSEP_MAT_BOM_SELECT
BAPI_MATERIAL_GETLIST
C1L3_READ_T416
BAPI_HELPVALUES_GET
CSEP_MAT_BOM_READ
SAP ERP 2004 and
higher
ERP
Document
Configurations on
SAP NetWeaver
Gateway for SAP
ERP [Page 114]
Following BAPIs are used:
BAPI_DOCUMENT_GETLIST
BAPI_HELPVALUES_GET
BAPI_DOCUMENT_GETDETAIL2
CVAPI_DOC_CHECKIN
SAP ERP 2004 and
higher
Sales
Documents
(Inquiry and
Quotation)
Configurations on
SAP NetWeaver
Gateway for SAP
ERP [Page 114]
The following BAPIs are used:
BAPI_SALESORDER_GETLIST
BAPISDORDER_GETDETAILEDLIST
SAP ERP 2004 and
higher
Note
See ERP Sales
Document [External]
SAP NetWeaver Gateway Configuration Guide
(C) SAP AG SAP NetWeaver Gateway 2.0 SPS08 107
for supported
operations and the
versions
ERP
Customer
Configurations on
SAP NetWeaver
Gateway for SAP
ERP [Page 114]
The following BAPIs are used
BAPI_CUSTOMER_FIND
BAPI_CUSTOMER_GETLIST
BAPI_ADDRESSORG_GETDETAIL
BAPI_ADDRESSORG_CHANGE
BAPI_CUSTOMER_GETDETAIL2
BAPI_BUSPARTNEREMPLOYE_GETLIST
The following ESA Services are used:
CustomerERPBasicDataByIDQueryRes
ponse_In_V2
CustomerBasicDataChangeRequestCo
nfirmation_In
CustomerERPBankDetailsByIDQueryR
esponse_In
CustomerERPBankDetailsUpdateRequ
estConfirmation_In
CustomerERPRelationshipContactPe
rsonByIDAndContactPersonInternal
IDQueryResponse_In)
CustomerERPRelationshipContactPe
rsonCreateRequestConfirmation_In
CustomerERPRelationshipContactPe
rsonUpdateRequestConfirmation_In
_V1
CustomerERPRelationshipContactPe
rsonCancelRequestConfirmation_In
SAP ERP 2004 and
higher
Note
See ERP Customer
[External] for
supported
operations and the
versions
Time
Management
Configurations for
Time Management
[Page 116]
The following ESA services are used:
EmployeeTimeForEmployeeTimeSheet
ByElementsQueryResponse_In
EmployeeTimeSheetChangeRequestCo
nfirmation_In
EmployeeTimeSheetAllowedWorkBrea
kDownStructureElementByEmployeeQ
ueryResponse_In
EmployeeTimeSheetAllowedReceivin
SAP ERP 2004 and
higher
SAP NetWeaver Gateway Configuration Guide
(C) SAP AG SAP NetWeaver Gateway 2.0 SPS08 108
gCostCentreByEmployeeQueryRespon
se_In
EmployeeTimeSheetAllowedOrderByE
mployeeQueryResponse_In
EmployeeTimeSheetAllowedResource
ClassByEmployeeQueryResponse_In
WorkAgreementSimpleByElementsQue
ryResponse_In
SAP NetWeaver Gateway Configuration Guide
(C) SAP AG SAP NetWeaver Gateway 2.0 SPS08 109
Role Templates for ERP Scenarios
Creating Role Templates
You must create roles for SAP ERP scenarios and assign these roles to the ERP GSDO
group. The SAP NetWeaver Gateway ERP users should be assigned to these roles so that
they can use SAP NetWeaver Gateway services. For this:
1. Identify the list of SAP ERP systems on which the functionality should be accessible
by SAP NetWeaver Gateway.
2. Create system alias for each of these systems.
3. For each of these systems, define a role for which the administrator should assign the
list of users (who has access to execute the functionality)
Note
1. You must be an SAP NetWeaver Gateway administrator or have an SAP
user administrator to create the roles.
2. The roles must be defined/created on the SAP NetWeaver Gateway server.
3. If there is only one SAP ERP system and all the users on SAP NetWeaver
Gateway should be able to access ERP functionality on this SAP ERP
system then role creation and assigning of roles to GSDO groups is optional
but this is not recommended.
To create roles, proceed as follows:
1. Open transaction pfcg in the SAP NetWeaver Gateway system.
2. Enter a name for the role in the Role field.
3. Choose Single Role.
4. Save the Role.
5. Choose the Authorization tab.
6. Choose Change Authorization.
7. Choose the template mentioned in the Role Templates section.
8. Choose Generate to create a new role.
For information on changing roles, see Changing Standard Roles [External].
SAP NetWeaver Gateway Configuration Guide
(C) SAP AG SAP NetWeaver Gateway 2.0 SPS08 110
Role Templates
Use the predefined role templates mentioned in the table below to create user roles for SAP
ERP scenarios:
Template Name Template For
/IWCNT/RT_USER_EMP Employee
/IWCNT/RT_USER_MTL Material
/IWCNT/RT_USER_BOM Bill of Material
/IWCNT/RT_USER_DOC ERP Document
/IWCNT/RT_USER_QUOT Sales Document (Inquiry and Quotation)
/IWCNT/RT_USER_CUST ERP Customer
/IWCNT/RT_USER_TIMA Time Management
Authorizations
The user must have the following authorizations to access SAP NetWeaver Gateway system
for SAP ERP scenarios:
SAP ERP
Scenario
Service
Authorization
Object
Authorization Values
Employee /IWCNT/SG_EMPLOYEE_0001
S_SERVICE
SRV_NAME—
754650500996EDE0D42ED48806D730
SRV_TYPE — HT
S_CODE TCD — SICF
Material /IWCNT/SG_MATERIAL_0001
S_SERVICE
SRV_NAME-
DB44022B5B569F5B9219500599D4E7
SRV_TYPE-HT
S_CODE TCD-SICF
Bill of
Material
(BOM)
/IWCNT/SG_BOM_0001
S_SERVICE
SRV_NAME-
F235FE5EF7ED50DAE3B3F23CC1CA0E
SRV_TYPE-HT
S_CODE TCD-SICF
SAP NetWeaver Gateway Configuration Guide
(C) SAP AG SAP NetWeaver Gateway 2.0 SPS08 111
ERP
Document
/IWCNT/SG_DOCUMENT_0001
S_SERVICE
SRV_NAME-
C2A96D9A6E6802A945D6E8904E190A
SRV_TYPE-HT
S_CODE TCD-SICF
Sales
Document
(Inquiry and
Quotation)
/IWCNT/SG_ERPSALES_0001
S_SERVICE
SRV NAME —
E216D44A584CA3D8B8A6313AD0A6B0
SRV_TYPE-HT
S_CODE TCD-SICF
ERP
Customer
/IWCNT/SG_CUSTOMER_0001
S_SERVICE
SRV NAME--
0C3ED4D55DD9C87D1290E95581DA8D
SRV_TYPE-HT
S_CODE TCD-SICF
Time
Management
/IWCNT/EMPLOYEETIMESHEET_0001
S_SERVICE
SRV_NAME–
15DA80503D25C5D856CB6072DC9598,
56B1795EE40F0F7302DE059E7586FA
SRV_TYPE-HT
S_CODE TCD-SICF
While creating role template in the SAP ERP system, include the authorizations provided in
the table below. The user must have these authorizations to access SAP ERP system for
SAP ERP scenarios:
SAP ERP
Scenario
Service
Auth.
Object
Authorization Values
Employee S_RFC
RFC_TYPE=FUGR/RFC_NAME=RH65/
ACTVT=16
RFC_TYPE=FUGR/RFC_NAME=BFHV/
ACTVT=16
RFC_TYPE=FUGR/RFC_NAME=PAD_
ESA_SERVICES/ ACTVT=16
RFC_TYPE=FUGR/RFC_NAME=H
RWPC_EMPLOYEEPROFILE_45FF/
ACTVT=16
Material S_RFC
RFC_TYPE=FUGR/RFC_NAME=BFHV,
BUS1001 and BUS1001006/
ACTVT=16
Bill of
Material
(BOM)
S_RFC
RFC_TYPE=FUGR/RFC_NAME=SU_
USER,CSEP,BUS1001 and C1L6/
ACTVT=16
SAP NetWeaver Gateway Configuration Guide
(C) SAP AG SAP NetWeaver Gateway 2.0 SPS08 112
SAP ERP
Scenario
Service
Auth.
Object
Authorization Values
ERP
Document
S_RFC
RFC_TYPE=FUGR/RFC_NAME=
CVBAPI and CVAPI01/ACTVT=16
RFC_TYPE=FUGR/RFC_NAME=
CVBAPI and BAPT/ACTVT=16
RFC_TYPE=FUGR/RFC_NAME=
CVBAPI,CVAPI01 and BAPT/
ACTVT=16
S_TCODE
TCD = CV02N and CV03N
TCD = CV01N and CV02N
Sales
Documents
(Inquiry and
Quotation)
S_RFC RFC_TYPE=FUGR/RFC_NAME=
2032/ACTVT=16
ERP
Customer
S_RFC
RFC_TYPE=FUGR/RFC_NAME=
LC01/ACTVT=16
RFC_TYPE=FUGR/RFC_NAME=
SZAK/ACTVT=16
RFC_TYPE=FUGR/RFC_NAME=
BAPT/ACTVT=16
RFC_TYPE=FUGR/RFC_NAME=
1011/ACTVT=16
RFC_TYPE=FUGR/RFC_NAME=
SZAM/ACTVT=16
RFC_TYPE=FUGR/RFC_NAME=
SZAL/ACTVT=16
ESA (EhP4
and above)
RFC_TYPE=FUGR/RFC_NAME=
2032/ACTVT=16
ECC_CUSTBASICDATABYIDQR_V2 S_SERVICE
SRV Name —
228A5E185E0CFF7B36C96C854BD1C7
SRV Type — HS
S_TCODE TCD=XD03
Time
Management
ECC_WORKAGSIMPLERELEMENTSQR S_SERVICE
SRV Name–
583824D652C5AF040CDB5E6A3938C8
SRV Type — HS
ECC_EMPTIMFEMPTIMSHEETELEQR S_SERVICE
SRV Name —
C0972E83D4383710F9FD8B8FB78280
SAP NetWeaver Gateway Configuration Guide
(C) SAP AG SAP NetWeaver Gateway 2.0 SPS08 113
SAP ERP
Scenario
Service
Auth.
Object
Authorization Values
SRV Type – HS
ECC_EMPTIMSHEETCHGRC S_SERVICE
SRV Name —
E564B11456D8E712E179A6EF4CBFC4
SRV Type — HS
Continue with Managing RFC Destinations [Page 114]
SAP NetWeaver Gateway Configuration Guide
(C) SAP AG SAP NetWeaver Gateway 2.0 SPS08 114
Configurations on SAP NetWeaver Gateway for SAP
ERP
This section provides information on the general configurations to be carried out on the SAP
NetWeaver Gateway system.
Creating Role Templates
See the section Role Templates for ERP Scenarios [Page 109] for information on creating
role templates for all the SAP ERP scenarios supported by SAP NetWeaver Gateway.
Manage RFC Destinations
1. In transaction SPRO open the SAP Reference IMG and navigate to: SAP
NetWeaver Gateway OData Channel Configuration Connection Settings SAP
NetWeaver Gateway to SAP System Manage RFC Destinations and click the
Activity icon.
2. Choose Create and enter the following values:
Field Description
RFC Destination Enter a name for the RFC destination. Example, BKDCNT200
Connection type Choose the option, 3 (Connection to ABAP System)
Description RFC destination for SAP system
Manage SAP System Aliases
1. In transaction SPRO open the SAP Reference IMG and navigate to: SAP
NetWeaver Gateway OData Channel Configuration Connection Settings SAP
NetWeaver Gateway to SAP System Manage SAP System Aliases and click the
Activity icon.
2. Choose New Entries.
3. Enter the following details for the system alias:
Field Description
SAP System
Alias
Name of the system alias.
Description Descriptive text for the system alias.
Local GW
Leave unchecked if the SAP ERP system is not on the same system as the
SAP NetWeaver Gateway system.
RFC
Destination
Specify the RFC destination defined for your SAP system, for example,
BKDCNT200.
WS Provider Leave it blank.
Software
Version
Enter Default.
4. Save your settings.
SAP NetWeaver Gateway Configuration Guide
(C) SAP AG SAP NetWeaver Gateway 2.0 SPS08 115
Assign SAP System Aliases to OData Service
1. In transaction SPRO open the SAP Reference IMG and navigate to: SAP
NetWeaver Gateway Former Development OData Channel Development without
IW_BEP Registration Assign SAP System Aliases to OData Service and click the
Activity icon.
2. Choose the option with service document identifier (check the table below) and select
Copy as:
SAP ERP Element Service Document Identifier
Employee /IWCNT/SG_EMPLOYEE_0001
Material /IWCNT/SG_MATERIAL_0001
Bill of Material (BOM) /IWCNT/SG_BOM_0001
ERP Document /IWCNT/SG_DOCUMENT_0001
Sales Documents /IWCNT/SG_ERPSALES_0001
Customer /IWCNT/SG_CUSTOMER_0001
Activating the Service
1. Go to transaction SICF.
2. In the Service Name field, enter:
SAP ERP Element Service Name
Employee Employee
Material Material
Bill of Material (BOM) Billofmaterial
ERP Document Document
Sales Documents ERPSALES
Customer CUSTOMER
3. Choose Execute.
4. In the Maintain service window, under Virtual Host/Services section, select the last
node and right click.
5. Choose the option Activate Service.
SAP NetWeaver Gateway Configuration Guide
(C) SAP AG SAP NetWeaver Gateway 2.0 SPS08 116
Settings for Time Management Application - OData
Channel
Time Management application enables you to perform time recording functions while away
from your desk in any device or platform.
Prerequisites
Configurations for Time Management
Configurations on SAP NetWeaver Gateway - OData Channel [Page 117]
Configurations on the SAP ERP System (Provider System) for Time Management -
OData Channel [Page 119]
Configurations on the SAP NetWeaver Gateway System (Consumer System) for
Time Management - OData Channel [External]
Reference
For more information, see SAP Library for SAP ERP on SAP Help Portal at
http://help.sap.com/erp.
In SAP Portal, SAP ERP SAP ERP Central Component (Open the documentation)
Expand SAP ERP Central Component Expand Human Resources Choose
Personnel Time Management .
SAP NetWeaver Gateway Configuration Guide
(C) SAP AG SAP NetWeaver Gateway 2.0 SPS08 117
Configurations on the SAP NetWeaver Gateway for
Time Management - OData Channel
Manage RFC Destinations
1. In transaction SPRO open the SAP Reference IMG and navigate to: SAP
NetWeaver Gateway OData Channel Configuration Connection Settings SAP
NetWeaver Gateway to SAP System Manage RFC Destinations and click the
Activity icon.
2. Choose Create and enter the following values:
Field Description
RFC Destination Enter a name for the RFC destination. Example, CONNECT_ TO_BACKEND
Connection type G (HTTP Connection to Ext. Server)
Description RFC destination for SAP system
Manage SAP System Aliases
1. In transaction SPRO open the SAP Reference IMG and navigate to: SAP
NetWeaver Gateway OData Channel Configuration Connection Settings SAP
NetWeaver Gateway to SAP System Manage SAP System Aliases and click the
Activity icon.
2. Choose New Entries.
3. Enter the following details for the system alias:
Field Description
SAP System
Alias
Name of the system alias.
Description Descriptive text for the system alias.
Local GW
Leave unchecked if the SAP ERP system is not on the same system as the
SAP NetWeaver Gateway system.
RFC
Destination
Specify the RFC destination defined for your SAP system, for example,
BKDCNT200.
WS Provider Leave it blank.
Software
Version
Enter Default.
4. Save your settings.
Assign SAP System Aliases to OData Service
1. In transaction SPRO open the SAP Reference IMG and navigate to: SAP
NetWeaver Gateway Former Development OData Channel Development without
SAP NetWeaver Gateway Configuration Guide
(C) SAP AG SAP NetWeaver Gateway 2.0 SPS08 118
IW_BEP Registration Assign SAP System Aliases to OData Service and click the
Activity icon.
2. Choose the option with service document identifier
/IWCNT/SG_TIME_RECORDING_ODC_0001 and select Copy as...
Activating the Service
1. Go to transaction SICF.
2. In the Service Name field, enter EMPLOYEETIME.
3. Choose Execute.
4. In the Maintain service window, under Virtuelle Hosts/Services section, select the last
node and right click.
5. Choose the option Activate Service.
Continue with, Configurations on the SAP ERP System (Provider System) for Time
Management - OData Channel [Page 119]
SAP NetWeaver Gateway Configuration Guide
(C) SAP AG SAP NetWeaver Gateway 2.0 SPS08 119
Configurations on the SAP ERP System (Provider
System) for Time Management - OData Channel
Note
SAP ERP system is also called as Provider system in this section.
To configure the provider system:
1. You can either import a profile using an XML template or create a profile.
Importing a profile using an XML template [Page 131]
or Creating a profile [Page 133]
2. Import endpoints using a Business Scenario Configuration XML [Page 135]
or Creating endpoints using a Business Scenario [Page 137]
3. Verifying the endpoints created [Page 139]
4. Assigning personnel number for an employee:
To assign an SAP User ID to a Personnel Number proceed as follows:
1. Logon to the provider system.
2. Open transaction PA30.
3. Choose the Personnel number.
4. In the Direct selection section, choose Communication (0105) in the
Infotype field, and System user name (0001) in the STy (Subtype)
field.
5. Click the Change icon or press F6 from the key board to view the
Change Communication page.
6. In the Communication section, enter the SAP user ID in the
ID/number field.
You have now assigned the SAP User ID to a Personnel number.
5. Obtaining WSIL URL
1. On the Provider system, open transaction sicf.
2. Enter SERVICE for the Hierarchy Type.
3. Enter WSIL for the Service Name.
4. Choose Execute.
Note
The WSIL (Web Service Inspection Language) service lists
the configuration of all web services exposed by the system.
5. Choose WSIL folder and right click and select Test Service.
SAP NetWeaver Gateway Configuration Guide
(C) SAP AG SAP NetWeaver Gateway 2.0 SPS08 120
6. A browser window opens, copy the URL from this browser. This is
the WSIL URL.
6. Obtaining the external key of the provider system [Page 140].
Continue with, Configurations on the SAP NetWeaver Gateway System (Consumer
System) for Time Management - OData Channel [External]
SAP NetWeaver Gateway Configuration Guide
(C) SAP AG SAP NetWeaver Gateway 2.0 SPS08 121
Configurations on the SAP NetWeaver Gateway
System (Consumer System) for Leave Management
Note
SAP NetWeaver Gateway system is also called as Consumer system in this section.
When you are configuring the Consumer system for the first time (either for Leave
Management, Time Management or Codelist) you must perform all the steps provided
in the procedure below. But, once you configure the Consumer system for any one of
the applications (either Leave Management, Time Management, or Codelist) you can
ignore the following steps when configuring the system for the rest of the applications:
o Importing a profile file
o Creating a system connection to the Provider system
o User account management
o Assigning system aliases
o Configuring destination finder
Configurations on the consumer system include:
1. Importing a Profile file [Page 142] — Import the Profile created in the Provider [Page
130] system.
Note
You must import the same profile created in the provider system, else mass
configuration of web service proxies in the service groups is not possible.
2. Creating a system connection to the Provider system [Page 144]
3. User account management [Page 145]
4. Importing a business scenario Configuration XML [Page 147] or Configuring service
groups using business scenarios [Page 149]/ — You can either manually configure
service groups using a business scenario or import a business scenario configuration
XML.
5. Verifying logical ports [Page 151]
6. Assigning system aliases:
1. In transaction SPRO open the SAP Reference IMG and navigate to: SAP
NetWeaver Gateway Former Development Generic Channel
Administration General Settings Manage GSDO Groups and click the
Activity icon.
2. Choose Assign GSDOs, the added GSDO will be present in the list.
3. Select the GSDO Type and click Assign SAP System Alias:
User Role: A specific User Role can be maintained which is checked
to link to the designated system.
SAP System Alias: Add the Provider System's name.
SAP NetWeaver Gateway Configuration Guide
(C) SAP AG SAP NetWeaver Gateway 2.0 SPS08 122
4. Select the System Alias and click Assign User Roles: User Roles can be
defined here.
Blank: Refers to All Roles.
7. Configuring Destination Finder:
The Provider systems configured from SOA Manager have to be entered in the
configuration of the Destination Finder so that during runtime, SAP NetWeaver
Gateway can select the right provider system for a given system alias. This activity
allows you to define RFC destinations that point to relevant SAP business systems. If
an RFC destination points to an SAP system alias that system alias points to the
corresponding SAP business system.
Note
Only RFC destinations of connection type 3 (Connection to ABAP System)
can be used.
1. In transaction SPRO open the SAP Reference IMG and navigate to: SAP
NetWeaver Gateway Former Development Generic Channel
Configuration Connection Settings SAP NetWeaver Gateway to SAP
System Manage RFC Destinations and click the Activity icon.
2. Create a New RFC connection by specifying the RFC Destination and
Connection Type.
3. Save the new RFC connection.
4. Go back to the SAP NetWeaver Gateway to SAP System activity.
5. Execute the Manage System Aliases IMG Activity.
6. Create a new System Alias by selecting the New Entries button.
7. Provide the created RFC connection.
8. Enter the Provider system's name for the system alias.
9. Save the settings.
SAP NetWeaver Gateway Configuration Guide
(C) SAP AG SAP NetWeaver Gateway 2.0 SPS08 123
Configurations for ERP Customer- OData Channel
The ERP Customer service assists you to view the details of the Customer, like the address
of the customer and their communication and bank details.
Prerequisites
Before using the Customer service, the following configurations should be completed:
Configurations for ERP Customer on the SAP NetWeaver Gateway Sys [Page 127]
Configurations for ERP Customer on the SAP ERP System (Provider [Page 126]
Configurations for ERP Customer on the SAP NetWeaver Gateway Sys [Page 127]
SAP NetWeaver Gateway Configuration Guide
(C) SAP AG SAP NetWeaver Gateway 2.0 SPS08 124
Configurations for ERP Customer on the SAP
NetWeaver Gateway System— OData Channel
This section provides the configuration steps to be completed in the SAP NetWeaver
Gateway system before using the Customer service.
Managing RFC Destinations
1. In transaction SPRO, open the SAP Reference IMG and navigate to: SAP
NetWeaver Gateway OData Channel Configuration Connection Settings SAP
NetWeaver Gateway to SAP System Manage RFC Destinations and click the
Activity icon.
2. Choose Create and enter the following values:
Field Description
RFC Destination Enter a name for the RFC destination. Example, CONNECT_ TO_BACKEND
Connection type G (HTTP Connection to Ext. Server)
Description RFC destination for SAP system
Managing SAP System Aliases
1. In transaction SPRO, open the SAP Reference IMG and navigate to: SAP
NetWeaver Gateway OData Channel Configuration Connection Settings SAP
NetWeaver Gateway to SAP System Manage SAP System Aliases and click the
Activity icon.
2. Choose New Entries.
3. Enter the following details for the System Alias:
Fields Description
SAP
System
Alias
Name of the system alias.
Description Descriptive text for the system alias.
Local GW
Leave unchecked if the SAP ERP system is not on the same system as the SAP
NetWeaver Gateway system.
RFC
Destination
Specify the RFC destination defined for your SAP system, for example,
BKDCNT200.
WS
Provider
Give the Provider system name that is created in the SAP NetWeaver Gateway
SOA Manager configurations. Refer the SOA Manager Configurations
documentation at http://help.sap.com.
Navigate to: SAP NetWeaver SAP NetWeaver Gateway SAP NetWeaver
Gateway 2.0 Library SAP NetWeaver Gateway Configuration Guide
Configuration Settings for SAP NetWeaver Gateway Supported Applications
SAP NetWeaver Gateway Configuration Guide
(C) SAP AG SAP NetWeaver Gateway 2.0 SPS08 125
SOA Management Configurations on the SAP NetWeaver Gateway System
Creating a System Connection to Provider System .
Software
Version
Verify the Software Version to set for your Data Model in the following path: In
transaction SPRO, open the SAP Reference IMG and navigate to SAP
NetWeaver Gateway OData Channel OData Channel Development without
IW_BEP Registration Assign Data Provider to Data Model : and click the
Activity icon. Select your Data Model and verify the Software Version:
o DEFAULT is for ERP version between ECC 5.0 to ECC6.0
EhP2
o ECC_604 for ERP versions from ECC6.0 EhP3
4. Save your settings.
Assigning SAP System Aliases to OData Service
To assign SAP System Aliases to OData Service, proceed as follows:
1. In transaction SPRO, open the SAP Reference IMG and navigate to: SAP
NetWeaver Gateway Former Development OData Channel Development without
IW_BEP Registration Assign SAP System Aliases to OData Service and click the
Activity icon.
2. Choose New Entries
3. Select the SAP NetWeaver Gateway OData Group /IWCNT/SG_CUSTOMER_0001
from the Service Doc Identifier list.
4. Enter the role name created above ZBUSIPARTROLE in the User Role column.
5. Press F4 to select a system alias in the SAP System Alias column.
6. Save your settings.
Activating the Service
1. Go to transaction SICF.
2. In the Service Name field, enter CUSTOMER.
3. Choose Execute.
4. In the Maintain service window, under Virtual Hosts/Services section, select the last
node and right click it.
5. Choose the option Activate Service.
Continue with instructions provided in the Configurations for ERP Customer on the SAP ERP
System (Provider) [Page 126]section.
SAP NetWeaver Gateway Configuration Guide
(C) SAP AG SAP NetWeaver Gateway 2.0 SPS08 126
Configurations for ERP Customer on the SAP ERP
System (Provider System) — OData Channel
To configure the provider system:
1. You can either import a profile using an XML template or create a profile.
Importing a profile using a XML template [Page 131]
or Creating a profile [Page 133]
2. Import endpoints using a Business Scenario Configuration XML [Page 135] or
Creating endpoints using a Business Scenario [Page 137]
3. Verifying the endpoints created [Page 139]
4. Assigning personnel number for an employee:
To assign an SAP User ID to a Personnel Number proceed as follows:
1. Logon to the provider system.
2. Open transaction PA30.
3. Choose the Personnel number.
4. In the Direct selection section, choose Communication (0105) in the Infotype
field, and System user name (0001) in the STy (Subtype) field.
5. Click the Change icon or press F6 from the key board to view the Change
Communication page.
6. In the Communication section, enter the SAP user ID in the ID/number field.
You have now assigned the SAP User ID to a Personnel number.
5. Obtaining WSIL URL
1. On the Provider system, open transaction sicf.
2. Enter SERVICE for the Hierarchy Type .
3. Enter WSIL for the Service Name.
4. Choose Execute.
Note
The WSIL (Web Service Inspection Language) service lists the
configuration of all web services exposed by the system.
5. Choose WSIL folder and right click and select Test Service.
6. A browser window opens, copy the URL from this browser. This is the WSIL
URL.
6. Obtaining the external key of the provider system [Page 140].
Continue with, Configurations for ERP Customer on the SAP NetWeaver Gateway Sys [Page
127]
SAP NetWeaver Gateway Configuration Guide
(C) SAP AG SAP NetWeaver Gateway 2.0 SPS08 127
Configurations for ERP Customer on the SAP
NetWeaver Gateway System (Consumer System)—
OData Channel
Configurations on the consumer system include:
1. Importing a Profile file [Page 142] — Import the Profile created in the Provider [Page
130] system.
Note
You must import the same profile created in the provider system, else mass
configuration of web service proxies in the service groups is not possible.
2. Creating a system connection to the Provider system [Page 144]
3. User account management [Page 145]
4. Importing a business scenario Configuration XML [Page 147] or Configuring service
groups using business scenarios [Page 149]/ — You can either manually configure
service groups using a business scenario or import a business scenario configuration
XML.
5. Verifying logical ports [Page 151]
6. Configuring Destination Finder:
The Provider systems configured from SOA Manager have to be entered in the
configuration of the Destination Finder so that during runtime, SAP NetWeaver
Gateway can select the right provider system for a given system alias. This activity
allows you to define RFC destinations that point to relevant SAP business systems. If
an RFC destination points to an SAP system alias, that system alias will point to the
corresponding SAP business system. Only RFC destinations of connection type 3
(Connection to ABAP System) can be used.
1. In transaction SPRO open the SAP Reference IMG and navigate to: SAP
NetWeaver Gateway OData Channel Configuration Connection Settings
SAP NetWeaver Gateway to SAP System Manage RFC Destinations and
click the Activity icon.
2. Create a New RFC connection by specifying the RFC Destination and
Connection Type.
3. Save the new RFC connection.
4. Go back to the SAP NetWeaver Gateway to SAP System activity.
5. Execute the Manage System Aliases IMG Activity.
6. Create a new System Alias by selecting the New Entries button.
7. Provide the created RFC connection.
8. Enter the Provider system's name for the system alias.
9. Save the settings.
SAP NetWeaver Gateway Configuration Guide
(C) SAP AG SAP NetWeaver Gateway 2.0 SPS08 128
Configurations for ERP Sales Documents on the SAP
NetWeaver Gateway System— OData Channel
This section provides the configuration steps to be completed in the SAP NetWeaver
Gateway system before using the Customer service.
Managing RFC Destinations
1. In transaction SPRO open the SAP Reference IMG and navigate to: SAP
NetWeaver Gateway OData Channel Configuration Connection Settings SAP
NetWeaver Gateway to SAP System Manage RFC Destinations and click on the
Activity icon.
2. Choose Create and enter the following values:
Field Description
RFC Destination Enter a name for the RFC destination. Example, CONNECT_ TO_BACKEND
Connection type G (HTTP Connection to Ext. Server)
Description RFC destination for SAP system
Managing SAP System Aliases
1. In transaction SPRO open the SAP Reference IMG and navigate to: SAP
NetWeaver Gateway OData Channel Configuration Connection Settings SAP
NetWeaver Gateway to SAP System Manage SAP System Aliases and click on the
Activity icon.
2. Choose New Entries.
3. Enter the following details for the System Alias:
Fields Description
SAP
System
Alias
Name of the system alias.
Description
Descriptive text for the system alias. For example, System alias for ERP Sales
Document
Local GW
Leave unchecked if the SAP ERP system is not on the same system as the SAP
NetWeaver Gateway system.
RFC
Destination
Specify the RFC destination defined for your SAP system, for example,
BKDCNT200.
WS
Provider
Give the Provider system name that is created in the SAP NetWeaver Gateway
SOA Manager configurations. Refer the SOA Manager Configurations
documentation at http://help.sap.com.
Navigate to: SAP NetWeaver SAP NetWeaver Gateway SAP NetWeaver
Gateway 2.0 Library SAP NetWeaver Gateway Configuration Guide
Configuration Settings for SAP NetWeaver Gateway Supported Applications
SAP NetWeaver Gateway Configuration Guide
(C) SAP AG SAP NetWeaver Gateway 2.0 SPS08 129
SOA Management Configurations on the SAP NetWeaver Gateway System
Creating a System Connection to Provider System .
Software
Version
Verify the Software Version to set for your Data Model in the following path: In
transaction SPRO open the SAP Reference IMG and navigate to SAP
NetWeaver Gateway OData Channel OData Channel Development without
IW_BEP Registration Assign Data Provider to Data Model : and click on the
Activity icon. Select your Data Model and verify the Software Version:
o DEFAULT is for ERP version between ECC 5.0 to ECC6.0
EhP2
o ECC_604 for ERP versions from ECC6.0 EhP3
4. Save your settings.
Assigning SAP System Aliases to OData Service
To assign SAP System Aliases to OData Service proceed as follows:
1. In transaction SPRO open the SAP Reference IMG and navigate to: SAP
NetWeaver Gateway Former Development OData Channel Development without
IW_BEP Registration Assign SAP System Aliases to OData Service and click on
the Activity icon.
2. Choose New Entries
3. Select the SAP NetWeaver Gateway OData Group /IWCNT/SG_INQUIRY_0001 for
ERP Inquiry and /IWCNT/SG_QUOTATION_0001 for ERP Quotation from the Service
Doc Identifier list.
4. Enter the role name created above ZBUSIPARTROLE in the User Role column.
5. Press F4 to select a system alias in the SAP System Alias column.
6. Save you settings.
Activating the Service
1. Go to transaction SICF.
2. In the Service Name field, enter CUSTOMER.
3. Choose Execute.
4. In the Maintain service window, under Virtual Hosts/Services section, select the last
node and right click on it.
5. Choose the option Activate Service.
Continue with instructions provided in the Configurations for ERP Customer on the SAP ERP
System (Provider [Page 126]section.
SAP NetWeaver Gateway Configuration Guide
(C) SAP AG SAP NetWeaver Gateway 2.0 SPS08 130
SOA Management Configurations on SAP ERP System
Note
SAP ERP System is also called as the Provider System in this section.
SOA Management configurations mentioned in this section have to performed in the Provider
system.
More Information
Working with the SOA Manager [External]
SAP NetWeaver Gateway Configuration Guide
(C) SAP AG SAP NetWeaver Gateway 2.0 SPS08 131
Importing a Profile using a XML Template
A template file for a Profile is attached to a SAP Note. This section guides you to import the
template file for a Profile.
The table below lists the SAP Note details for Time Management, Leave Management and
Code List:
Application
SAP Note
Number
File Details
Time Management 1584236
Folder Name — Time.zip
File Name — profile_IWCNT_1 .xml
Leave Management 1588250
Folder Name — Leave.zip
File Name — profile_IWCNT_1.xml
Code List 1588117
Folder Name — Code_List.zip
File Name — profile_IWCNT_CODELIST_1+.xml
ERP Customer 0001670653
Folder Name —Customer.zip
File Name—profile_IWCNT_1 .xml
ERP Contact 0001670653
Folder Name —Contact.zip
File Name—profile_IWCNT_1 .xml
1. On the Provider system, navigate to the SAP Note Assistant to download the
template file using the SAP note number provided above.
2. Download the XML file and save it.
3. Open transaction SOAMANAGER.
4. Navigate to Technical Administration tab Profile Management .
5. Choose Import.
6. In the SOA Management window, Browse and select the downloaded template file.
7. Choose Import to complete the import process.
8. Browse for the file in the SOA Management window and Import.
9. Activate the Profile.
More Information
Configurations on the SAP NetWeaver Gateway system (Provider system) for:
OData Channel Scenarios:
Time Management [Page 119]
ERP Customer [Page 126]
SAP NetWeaver Gateway Configuration Guide
(C) SAP AG SAP NetWeaver Gateway 2.0 SPS08 132
Generic Channel Scenarios:
Time Management [Page 216]
Leave Management [Page 225]
Code List [Page 243]
Configurations for ERP Customer- OData Channel [Page 123]
SAP NetWeaver Gateway Configuration Guide
(C) SAP AG SAP NetWeaver Gateway 2.0 SPS08 133
Profile Management
Profiles are created as part of the general configuration for security and transport aspects. For
web service communications, the provider and the consumer uses the same profile so that
the consumer system uses the exact authentication, encryption and other settings that are
offered by the provider system. A profile is created once and distributed to all relevant servers
in a landscape, and then used to configure each web service on the provider and consumer
system.
Creating and Distributing a Profile in SAP NetWeaver 701 (SAP
NetWeaver 700 EHP1), SAP NetWeaver 711 (SAP NetWeaver 710 EHP1)
and Higher Releases
To create and distribute a new profile proceed as follows:
1. On the Provider system, open transaction SOAMANAGER.
2. Navigate to Technical Configuration tab Profile Management .
3. Choose Create to create a new profile.
4. Enter a Name and Version for the Profile.
5. Specify settings for Messaging,Transport Settings as needed for your company and
the landscape.
6. Configure the Security details as follows:
o Select the SAP Logon Ticket check box
o Select the Secure Communication Only check box to enable SSL.
Note
The selected authentication method must support single sign-on. This may
also require trust to be configured between the SAP NetWeaver Gateway
and the SAP systems.
7. Click Save to save the profile.
The Profile Activate confirmation window displays.
8. Click Yes to activate the profile.
Note
After creation of profile you need to logout and logon again into the SOA
Management for the new profile to be visible for assignment.
9. Exit SOA Management and logon again.
10. Select the new profile you have created, and choose Export to export it as an XML
file.
11. Specify a location to save the file in the Save As window.
12. Log on to all SAP ERP systems in the landscape, go to transaction soamanager,
and import this XML file using the Import function. See Importing a Profile using an
XML Template [Page 131] section for more information.
SAP NetWeaver Gateway Configuration Guide
(C) SAP AG SAP NetWeaver Gateway 2.0 SPS08 134
Creating and Distributing a Profile in SAP NetWeaver 700 and 710
To create and distribute a new profile proceed as follows:
1. On the Provider system, open transaction SOAMANAGER.
2. Navigate to Technical Administration tab Profile Management .
3. Choose New Profile to create a new profile.
4. Enter a Name and Description for the Profile.
5. Ensure that the Transport binding properties has the following values:
Property Value
ProxyHost proxy
ProxyPort 8080
Note
If you want to change a profile, you must create a new version of it. By activating a
new version, the provider systems and all other pieces of configuration that use the
profile still use an old version. You must go to the configuration of each provider
system and configure it to use the new version of the profile. You must also activate
all dependent objects if required. This has to be done in all systems in the landscape
after the distribution of the new profile version
More Information
Configurations on the SAP NetWeaver Gateway system (Provider system) for:
OData Channel Scenarios:
Time Management [Page 119]
ERP Customer [Page 126]
Generic Channel Scenarios:
Time Management [Page 216]
Leave Management [Page 225]
Code List [Page 243]
Configurations for ERP Customer- OData Channel [Page 123]
SAP NetWeaver Gateway Configuration Guide
(C) SAP AG SAP NetWeaver Gateway 2.0 SPS08 135
Importing Endpoints Template using Business
Scenario Configuration
This section guides you to import the template file for endpoints using the Business Scenario
Configuration function in the SOA Management:
1. On the Provider system, navigate to the SAP Note Assistant to download the
template file using the provided SAP Note number.
The table below lists the SAP Note details for Time Management, Leave
Management, Code List and ERP Customer:
Applications SAP Note Number File Name
Time Management 1584236
Folder Name — Time.zip
File Name — scenario_IWCNT_TIMA_BSC.xml
Leave Management 1588250
Folder Name — Leave.zip
File Name — scenario_IWCNT_LEMA_BSC.xml
Code List 1588117
Folder Name — Code_List.zip
File Name — scenario_CodeList.xml
ERP Customer 0001670653
Folder Name — Customer.zip
File Name — scenario_IWCNT_KNA1.xml
ERP Contact 0001670653
Folder Name — Contact.zip
File Name — scenario_IWCNT_KNA1.xml
2. Download the XML file and save it.
3. Open transaction SOAMANAGER.
4. Navigate to Service Administration tab Business Scenario Configuration .
5. Choose Import.
6. In the SOA Management window, Browse and select the downloaded template file.
7. Choose Import to complete the import process.
The Configuration Scenario Details screen displays at the bottom of the screen.
8. Choose the Provider tab and select all the services.
9. Choose Assign.
The list of Profiles in your system is displayed below.
10. Select the profile that you have created already, and click Assign to Service.
11. Choose Save.
The Profile Activate confirmation window displays.
SAP NetWeaver Gateway Configuration Guide
(C) SAP AG SAP NetWeaver Gateway 2.0 SPS08 136
12. Click Yes to activate the profile.
13. You are redirected to SOA Configuration Request Queue Management screen.
14. Choose Start request Queue processing to start endpoint creation.
More Information
Configurations on the SAP NetWeaver Gateway system (Provider system) for:
OData Channel Scenarios:
Time Management [Page 119]
ERP Customer [Page 126]
Generic Channel Scenarios:
Time Management [Page 216]
Leave Management [Page 225]
Code List [Page 243]
Configurations for ERP Customer- OData Channel [Page 123]
SAP NetWeaver Gateway Configuration Guide
(C) SAP AG SAP NetWeaver Gateway 2.0 SPS08 137
Creating Endpoints using a Business Scenario
The web services called by Consumer system have to be connected using the profile created
in the Profile Management [Page 133] section. These web services are exposed to the
Consumer system by Endpoints. To configure a service provider, you need to create and
configure an endpoint. The endpoint contains a runtime configuration, which is needed to
implement the service. To enable mass configuration on the Consumer system, the endpoints
have to be created using a Business Scenario Configuration.
To expose the service for consumption by Consumer system proceed as follows:
1. On the Provider system, open transaction SOAMANAGER.
2. Navigate to Service Administration tab Business Scenario Configuration .
3. Choose New .
4. Enter a Name and Description for the Business Scenario.
5. Click Next to configure the Provider side.
6. Click Add to search for each service that is consumed by SAP NetWeaver Gateway.
The following services should be added:
Time Management Leave M
EmployeeTimeForEmployeeTimeSheetByElementsQueryResponse_In Employe
WorkAgreementSimpleByElementsQueryResponse_In Employe
EmployeeTimeSheetChangeRequestConfirmation_In WorkAgr
EmployeeTimeSheetAllowedOrderByEmployeeQueryResponse_In Employe
EmployeeTimeSheetAllowedWorkBreakDownStructureElementByEmployeeQuery
Response_In
Employe
EmployeeTimeSheetAllowedResourceClassByEmployeeQueryResponse_In Employe
EmployeeTimeSheetAllowedReceivingCostCentreByEmployeeQueryResponse_In Employe
The Consumer side has to be configured in the second step.
7. Click Save.
8. Activate the Business Scenario.
9. Click Back.
10. Select Activation Requests Management link
11. Choose Check for Updates button.
12. Click Start Activation to activate endpoints.
13. Choose Check Processing State to trigger and monitor the creation and activation of
endpoints. If required, you can log on to other SAP systems and click Export to export
the business scenario.
SAP NetWeaver Gateway Configuration Guide
(C) SAP AG SAP NetWeaver Gateway 2.0 SPS08 138
More Information
Configurations on the SAP NetWeaver Gateway system (Provider system) for:
OData Channel Scenarios:
Time Management [Page 119]
ERP Customer [Page 126]
Generic Channel Scenarios:
Time Management [Page 216]
Leave Management [Page 225]
Code List [Page 243]
Configurations for ERP Customer- OData Channel [Page 123]
SAP NetWeaver Gateway Configuration Guide
(C) SAP AG SAP NetWeaver Gateway 2.0 SPS08 139
Verifying the Endpoints Created
To check the endpoints created proceed as follows:
1. On the Provider system, open transaction SOAMANAGER.
2. Navigate to Service Administration tab Single Service Configuration .
3. Search for a service that has been previously added to the Business Scenario.
4. Select the service from the list and click Apply Selection.
The Details of the Service Definition displays at the bottom of the screen.
5. Navigate to the Configurations tab.
All endpoints and services are listed here. Endpoints are displayed here with a GUID
as ID, and the Creation Type field is set to Created based on profile.
6. Choose Display to view the configurations.
To see the WSDL for the endpoint:
1. Choose Overview.
2. Select a binding.
3. Choose Show WSDL Options for the selected binding.
More Information
Configurations on the SAP NetWeaver Gateway system (Provider system) for:
OData Channel Scenarios:
Time Management [Page 119]
ERP Customer [Page 126]
Generic Channel Scenarios:
Time Management [Page 216]
Leave Management [Page 225]
Code List [Page 243]
Configurations for ERP Customer- OData Channel [Page 123]
SAP NetWeaver Gateway Configuration Guide
(C) SAP AG SAP NetWeaver Gateway 2.0 SPS08 140
Obtaining the External Key of the Provider System
While creating the Provider system in the Consumer system, you have to provide/select the
SLD Identifier of the SAP system. Follow the steps listed in this section to obtain the SLD
Identifier of the SAP system and make a note of this to provide it when required:
1. On the Provider system, open transaction SOAMANAGER.
2. Navigate to Technical Administration tab Global System Settings .
3. If no external identifier is displayed, enter an organization name and business
system, and choose Save.
An external identifier is now generated.
In previous systems this GUID was not available. If this is the case, you cannot use
mass configuration on the consumer side for the services of that system. Proceed as
follows:
1. Enter any unique ID.
2. Proceed with the configuration of the business scenario. The activation of the
scenario fails.
3. Create the logical ports manually. See section Verifying the logical ports
[Page 151].
More Information
Configurations on the SAP NetWeaver Gateway system (Provider system) for:
OData Channel Scenarios:
Time Management [Page 119]
ERP Customer [Page 126]
Generic Channel Scenarios:
Time Management [Page 216]
Leave Management [Page 225]
Code List [Page 243]
Configurations for ERP Customer- OData Channel [Page 123]
SAP NetWeaver Gateway Configuration Guide
(C) SAP AG SAP NetWeaver Gateway 2.0 SPS08 141
SOA Management Configurations on the SAP NetWeaver
Gateway System
Note
SAP NetWeaver Gateway system is also called as consumer system in this section.
Applications running on the consumer system use web services to call the provider systems.
Therefore, the applications have proxies that are shipped with the provider system. These
proxies are grouped into service groups. Each service group can be configured to point to one
or many SAP systems. The actual system that will be used is determined at run time through
the destination finder.
This chapter outlines the following SOA Management configuration steps to be performed in
the consumer system.
More Information
Working with the SOA Manager [External]
SAP NetWeaver Gateway Configuration Guide
(C) SAP AG SAP NetWeaver Gateway 2.0 SPS08 142
Importing a Profile File
When calling a Provider system, a profile has to be specified. Use the profile created and
distributed in the Creating a Profile [Page 133] section.
A template file for Profile is attached to an SAP Note. This section guides you to import the
template file for Profile.
The table below lists the SAP Note details for Time Management, Leave Management and
Code List:
Application
SAP Note
Number
File Details
Time Management 1584236
Folder Name — Time.zip
File Name — profile_IWCNT_1 .xml
Leave Management 1588250
Folder Name —Leave.zip
File Name — profile_IWCNT_1.xml
Code List 1588117
Folder Name — Code_List.zip
File Name — profile_IWCNT_CODELIST_1+.xml
ERP Customer 0001670653
Folder Name —Customer.zip
File Name—profile_IWCNT_1 .xml
ERP Contact 0001670653
Folder Name —Contact.zip
File Name—profile_IWCNT_1 .xml
1. On the Consumer system, navigate to the SAP Note Assistant to download the
template file using the provided SAP Note number.
2. Download the XML file and save it.
3. Open transaction SOAMANAGER.
4. Navigate to Technical Administration tab Profile Management .
5. Choose Import.
Note
After importing the profile you need to logout and logon again into the SOA
Management for the new profile to be visible for assignment.
6. In the SOA Management window, Browse and select the downloaded template file for
assignment.
SAP NetWeaver Gateway Configuration Guide
(C) SAP AG SAP NetWeaver Gateway 2.0 SPS08 143
More Information
Configurations on the SAP NetWeaver Gateway system (Consumer system) for:
OData Channel Scenarios:
Time Management [External]
ERP Consumer [Page 127]
Generic Channel Scenarios:
Time Management [Page 218]
Leave Management [Page 227]
Code List [Page 245]
Configurations for ERP Customer- OData Channel [Page 123]
SAP NetWeaver Gateway Configuration Guide
(C) SAP AG SAP NetWeaver Gateway 2.0 SPS08 144
Creating a System Connection to Provider System
When calling a provider system, a profile has to be specified. Use the profile created and
distributed in the Creating a Profile [Page 133] section. If the profile used in SAP NetWeaver
Gateway system is not present in an SAP ERP system, mass configuration of the Web
service proxies in service group is not possible. In this case, each Web service proxy can be
configured one by one. You can create logical ports manually (see section Checking the
Logical Ports you have created below).
To create a System Connection to the Provider system in the Consumer system proceed as
follows:
1. On the Consumer system, open transaction SOAMANAGER.
2. Navigate to Technical Administration tab System Connections .
3. Choose New to create a new Provider system.
4. Enter a name and description for the Provider system, and choose the right profile
name.
5. Choose Next.
6. Select your Provider system listed in the SLD Identifierfield.
If your Provider system is not in the list, enter a name for your Provider system that
uniquely identifies it.
7. Enter the name of the WSIL URL of your SAP ERP system. See section Obtaining
WSIL URL of the Provider System in Configurations on the SAP ERP System
(Provider System) [Page 225] to obtain WSIL URL of the Provider System
8. Enter all required credentials. Choose Next.
9. Create a business application named Default. An external key is required that
identifies the Provider system.
To get the external key of the Provider system, perform the steps described in the
section Obtaining the external key of the Provider system [Page 140].
10. In the next steps, choose a configuration that suits your company's requirements and
landscape setup.
More Information
Configurations on the SAP NetWeaver Gateway system (Consumer system) for:
OData Channel Scenarios:
Time Management [External]
ERP Consumer [Page 127]
Generic Channel Scenarios:
Time Management [Page 218]
Leave Management [Page 227]
Code List [Page 245]
Configurations for ERP Customer- OData Channel [Page 123]
SAP NetWeaver Gateway Configuration Guide
(C) SAP AG SAP NetWeaver Gateway 2.0 SPS08 145
User Account Management
User accounts have to be configured with the type of user authentication that takes place
when the Consumer system calls the web services on the Provider system. The following
three options are offered.
Business User: The user logged on to the SAP NetWeaver Gateway also logs on the
SAP system using their own user and credentials.
Anonymous user: The SAP system is called with an anonymous user.
Service User: The SAP system is called with a predefined service user.
For setting up the communication from the Consumer systems to the Provider systems, only
the Business User option is required.
Configuring User Accounts
Proceed as follows to configure User accounts:
1. Log on to the SAP system where the SAP NetWeaver Gateway is installed.
2. Open transaction SOAMANAGER.
3. Navigate to Service Administration User Account Management
4. To create a new user account, choose New.
5. Enter a name for the user account.
6. In the next step, select Business User.
7. Activate the account.
8. Go to the Account Assignment tab.
9. Click New to create a new interface assignment.
10. In the Business Application field, press F4 and select the Provider system you
created in the Creating a System Connection to Provider System [Page 144].
11. Select Assign to all services within this business application.
12. Choose Next.
13. From the Account drop-down list, select the account you have just created.
14. ClickFinish.
More Information
Configurations on the SAP NetWeaver Gateway system (Consumer system) for:
OData Channel Scenarios:
Time Management [External]
ERP Consumer [Page 127]
Generic Channel Scenarios:
SAP NetWeaver Gateway Configuration Guide
(C) SAP AG SAP NetWeaver Gateway 2.0 SPS08 146
Time Management [Page 218]
Leave Management [Page 227]
Code List [Page 245]
Configurations for ERP Customer- OData Channel [Page 123]
SAP NetWeaver Gateway Configuration Guide
(C) SAP AG SAP NetWeaver Gateway 2.0 SPS08 147
Importing a Business Scenario Configuration XML
To Import a Business Scenario Configuration XML proceed as follows:
1. On the Consumer system, navigate to the SAP Note Assistant to download the
template file using the provided SAP Note number.
The table below lists the SAP Note details for Time Management, Leave
Management and Code List:
Application SAP Note Number File Name
Time Management 1584236
Folder Name — Time.zip
File Name — scenario_IWCNT_TIMA_BS.xml
Leave Management 1588250
Folder Name — Leave.zip
File Name — scenario_IWCNT_LEMA_BS.xml
Code List 1588117
Folder Name — Code_List.zip
File Name — scenario_IWCNT_CODELIST.xml
ERP Customer 0001670653
Folder Name — Customer.zip
File Name — scenario_IWCNT_C_KNA1.xml
ERP Contact 0001670653
Folder Name — Contact.zip
File Name — scenario_IWCNT_C_KNA1.xml
2. Download the XML file and save it.
3. Open transaction SOAMANAGER.
4. Navigate to Service Administration tab Business Scenario Configuration .
5. Choose Import.
6. In the SOA Management window, Browse and select the downloaded template file.
7. Choose Import to complete the import process.
8. Click Save.
Note
A dialogue box appears prompting you to activate the business scenario. You
are then redirected to SOA Configuration Request Queue Management
screen where you need to click Start request Queue processing to start
logical port creation.
SAP NetWeaver Gateway Configuration Guide
(C) SAP AG SAP NetWeaver Gateway 2.0 SPS08 148
More Information
Configurations on the SAP NetWeaver Gateway system (Consumer system) for:
OData Channel Scenarios:
Time Management [External]
ERP Consumer [Page 127]
Generic Channel Scenarios:
Time Management [Page 218]
Leave Management [Page 227]
Code List [Page 245]
Configurations for ERP Customer- OData Channel [Page 123]
SAP NetWeaver Gateway Configuration Guide
(C) SAP AG SAP NetWeaver Gateway 2.0 SPS08 149
Configuring Service Groups using a Business
Scenario
Service groups allow you to configure multiple consumer proxies at the same time. For
example, they allow multiple consumer proxies to be used to access different services offered
by the same Provider system.
To configure Service Groups using Business Scenario proceed as follows:
1. Logon to the Consumer system.
2. Open transaction SOAMANAGER.
3. Navigate to Service Administration tab Business Scenario Configuration .
4. Choose New .
5. Enter a Name and Description for the Business Scenario.
6. Choose Next and skip the Provider side configuration.
7. Choose Add to add the service groups for the following applications:
o /IWCNT/SG_TIME_MGMT service group to the work list for Time
Management
o /IWCNT/SG_LEAVE_MANAGEMENT for Leave Management
o /IWCNT/CODELIST_SERVICE_GROUP for Code List
8. One service group (that is, one set of Web service consumer proxies) may point to
many Provider systems. Perform the following steps for each provider system.
1. Add the service group.
2. Choose Assign Business Application. Select the Business scenario that was
created when creating the provider system.
9. Activate the Business Scenario.
10. Choose Check Processing State to monitor pending activities.
11. Choose Start request Queue processing to trigger the creation of Logical Ports for
each Web service consumer proxy and provider system
More Information
Configurations on the SAP NetWeaver Gateway system (Consumer system) for:
OData Channel Scenarios:
Time Management [External]
ERP Consumer [Page 127]
SAP NetWeaver Gateway Configuration Guide
(C) SAP AG SAP NetWeaver Gateway 2.0 SPS08 150
Generic Channel Scenarios:
Time Management [Page 218]
Leave Management [Page 227]
Code List [Page 245]
Configurations for ERP Customer- OData Channel [Page 123]
SAP NetWeaver Gateway Configuration Guide
(C) SAP AG SAP NetWeaver Gateway 2.0 SPS08 151
Verifying Logical Ports
A logical port is a reference to runtime configuration on the consumer system to access the
provider's endpoint. This section guides you to verify the logical ports created while
Configuring Service Groups [Page 149].
1. Logon to the Consumer system.
2. Open transaction SOAMANAGER.
3. Navigate to Service Administration tab Single Service Configuration .
4. Search for the service group that has been configured previously.
5. To see the details for a service group, click the arrow next to the label to open up the
tree. On the first hierarchy level, all configured provider systems are listed. On the
second hierarchy level, the proxies are listed
6. Go to the Configurations tab. A logical port that has the Creation Type value set to
Created based on profile is listed.
7. Choose Ping web service to check the configuration.
8. To see the details of a proxy, select it and click Apply Selection.
If no logical port is listed, or it is not possible to create logical ports via the business
scenario, you can manually create a logical port.
o Choose Create Logical Port.
o Chose a Name and Description.
o Enter the URL to a WSDL or select a file.
To obtain the URL of a WSDL, see section Verifying the Endpoints Created [Page
139].
More Information
Configurations on the SAP NetWeaver Gateway system (Consumer system) for:
OData Channel Scenarios:
Time Management [External]
ERP Consumer [Page 127]
Generic Channel Scenarios:
Time Management [Page 218]
Leave Management [Page 227]
Code List [Page 245]
Configurations for ERP Customer- OData Channel [Page 123]
SAP NetWeaver Gateway Configuration Guide
(C) SAP AG SAP NetWeaver Gateway 2.0 SPS08 152
Generic Channel Configuration
Recommendation
We strongly recommend using the OData Channel (ODC) programming paradigm for
all SAP NetWeaver Gateway development.
As of SAP NetWeaver Gateway 2.0 Support Package 05, you are strongly
recommended to use the Service Builder (transaction SEGW) for your OData design-
time development . For more information, see SAP NetWeaver Gateway Service
Builder [External].
Depending on whether you want to develop SAP NetWeaver Gateway content in an
SAP Business Suite backend system or in an SAP NetWeaver Gateway hub system,
you can choose between embedded deployment or central hub deployment. For
more information, see Embedded Versus Hub Deployment [External] and
Deployment Options [External].
Apart from basic configuration settings the Generic Channel configuration activities are listed
in the Implementation Guide (IMG) in the system where software component IW_FND is
deployed. In the SAP Reference IMG navigate to SAP NetWeaver Gateway Former
Development Generic Channel .
(Generic Channel IMG for IW_FND)
The structure is as follows:
Configuration
User Settings
Define Role for SAP NetWeaver Gateway User
Define Role for SAP NetWeaver Gateway Administrator
Enhance Role for SAP NetWeaver Gateway SAP System
User
Connection
Settings
Connect SAP NetWeaver Gateway to SLD
SAP NetWeaver Gateway to Consumer (includes
SAP NetWeaver Gateway Configuration Guide
(C) SAP AG SAP NetWeaver Gateway 2.0 SPS08 153
additional activities)
SAP NetWeaver Gateway to SAP System (includes
additional activities)
Activate or Deactivate SAP NetWeaver Gateway
Consumer
Settings
Assign Roles to Consumers
Synchronize Roles to Consumers
Specify File for Mapping Users
Configure LDAP Server for Mapping Users
Select User Mapping Type
Map SAP User Names to Consumer
Activate or Deactivate Consumers
Subscription
Settings
Maintain Subscription Settings for GSDO
Maintain Subscription Routing
Maintain RFC Destination to Connectivity Provider
Configure Guaranteed Delivery of Notifications (includes
additional activities)
Administration
General Settings
Manage GSDO Groups
Check GSDO Groups
Assign SAP System Aliases to OData Service
Define Virus Scan Profiles
Logging Settings
Set Log Level for All Users
Set Log Level for Specific Users
Set Display of Sensitive Information
Cache Settings
Clean Up Cache and Persistency
Create Cleanup Jobs
Manage Cleanup Jobs
Define QRC Caching Behavior
Metadata (includes additional activities)
Notification Store (includes additional activities)
Support Utilities
Error Log
Traces
Application Log
SAP NetWeaver Gateway Configuration Guide
(C) SAP AG SAP NetWeaver Gateway 2.0 SPS08 154
Apart from basic configuration settings the Generic Channel configuration activities for the
SAP Business Suite backend system are listed in the Implementation Guide (IMG) in the
backend system where software component IW_BEP is deployed. In the SAP Reference IMG
navigate to SAP NetWeaver Gateway Service Enablement Generic Channel .
(Generic Channel IMG for IW_BEP)
The structure is as follows:
Connection Settings to SAP NetWeaver
Gateway
Create RFC Destination for Outbound Queues
SAP NetWeaver Gateway Settings
Create bgRFC Supervisor Destination
Monitor bcRFC Queues
Backend Event Publisher Administration
Event Definition
Event Type Linkages
Logging Settings
Set Log Level for All Users
Set Log Level for Specific Users
Clear Application Log
Customizing of the SAP NetWeaver Gateway
CCMS Context
Support Utilities
Application Log
Clear Cache
SAP NetWeaver Gateway Configuration Guide
(C) SAP AG SAP NetWeaver Gateway 2.0 SPS08 155
More Information
Basic Configuration Settings [Page 9]
OData Channel Configuration [Page 20]
SAP NetWeaver Gateway Configuration Guide
(C) SAP AG SAP NetWeaver Gateway 2.0 SPS08 156
Defining Settings for Idempotent Services
Idempotency guarantees delivery of synchronous messages exactly once. You configure
idempotent services by scheduling a background job that ensures that request messages in
SAP NetWeaver Gateway only occur once.
To define settings for idempotent services, proceed as follows:
1. In transaction SPRO open the SAP Reference IMG and navigate to: SAP
NetWeaver Gateway Former Development Generic Channel Configuration
Connection Settings SAP NetWeaver Gateway to Consumer Define Settings for
Idempotent Services and click on the Activity icon.
2. Enter the following default values:
o For Period Hours in Document the value is 6.
o For Period Hours in Document ID the value is 12.
3. Choose Schedule.
A message displays confirming that the job has been scheduled.
4. Choose Continue.
To check that you have successfully defined the idempotent services settings, carry out the
following steps:
1. In transaction SM37 enter SAP_BC_IDP_WS_SWITCH* as the Job name and * as the
User name.
2. Choose Execute.
A list with all scheduled jobs SAP_BC_IDP_WS_SWITCH_BD and
SAP_BC_IDP_WS_SWITCH_BDID is displayed.
SAP NetWeaver Gateway Configuration Guide
(C) SAP AG SAP NetWeaver Gateway 2.0 SPS08 157
Creating an RFC Destination for the WSIL Service
You create an RFC destination for the Web Service Inspection Language (WSIL) service on
the SAP NetWeaver Gateway server. Proceed as follows:
1. In transaction SPRO open the SAP Reference IMG and navigate to: SAP
NetWeaver Gateway Former Development Generic Channel Configuration
Connection Settings SAP NetWeaver Gateway to Consumer Create RFC
Destination for WSIL Service. and click on the Activity icon.
2. On the Configuration of RFC Connections page choose Create.
3. In the RFC Destination field, enter IWFND_WSIL_LOCAL_DEST.
4. In the Connection Type field, enter H.
5. In the Description 1 field, enter RFC Destination for WSIL Service.
6. Choose Enter.
7. On tab Technical Settings enter the SAP NetWeaver Gateway host in the Target Host
field.
8. In the Service No. field, enter the HTTP port.
9. In the Path Prefix field, enter the path of the local WSIL service, for example,
/sap/bc/srt/wsil.
Note
The WSIL service lists the configuration of all Web Services exposed by the
system.
The /SAP/BC/SRT/WSIL service must have been activated in transaction
SICF.
To obtain the WSIL URL, carry out the following steps:
1. Log on to the SAP system you specified as a provider, and enter transaction
SICF.
2. Enter WSIL for the Service Name and choose Execute.
The WSIL service is now displayed in the HTTP service tree.
3. Double-click on the WSIL entry to obtain its URL.
The path for the WSIL service is displayed: /default_host/sap/bc/srt/
The default value for the URL is: http://<host
name:port>/sap/bc/srt/wsil
10. Save your settings.
To check that you have successfully created an RFC destination for the WSIL, select
Connection Test. The test result displayed on the Test Result tab should contain Status
HTTP Response 200.
SAP NetWeaver Gateway Configuration Guide
(C) SAP AG SAP NetWeaver Gateway 2.0 SPS08 158
Assigning the System Alias Pointing to the SAP
System
You have to specify which content is being enabled by assigning a SAP system alias. You
can also activate framework services such as metadata.
1. In transaction SPRO open the SAP Reference IMG and navigate to: SAP
NetWeaver Gateway Former Development Generic Channel Administration
General Settings Manage GSDO Groups and click on the Activity icon.
2. From the Manage SAP NetWeaver Gateway GSDO Groups table, select the entry for
your scenario.
3. In the Dialog Structure section, double-click Assign SAP System Aliases.
4. Choose New Entries.
5. In the SAP System Alias column, use the value help to select the system alias that
points to the SAP system on which the service is to be executed.
6. In the User Role column, enter a role that contains users who need to use the content
scenario in the system of the SAP system alias.
Leave this column empty if all user roles need access.
7. Save your settings.
8. Double-click Manage SAP System Aliases and ensure that the Active checkbox is
selected for the SAP NetWeaver Gateway GSDO group you created for your content
scenario.
If you want to consume metadata information, proceed as follows:
1. Create an RFC destination and an Alias for LOCAL which points to the
SAP NetWeaver Gateway system itself.
2. Use built-in Gateway services: the GSDO group is called IWF_FW_SERVICES and it
already contains the required GSDO. Therefore, you only need to maintain the SAP
system alias. In this case assign LOCAL.
As a result you can fetch a list of all Service Documents, for example,
http://<server>:<port>/sap/opu/odata/IWFND/MetaDataProcessing/S
ervicedocumentCollection/?$format=xml
SAP NetWeaver Gateway Configuration Guide
(C) SAP AG SAP NetWeaver Gateway 2.0 SPS08 159
Checking SAP System Aliases
The Check SAP System Aliases activity verifies the various connections you have configured,
including the following:
Activity Check
Assigned RFC
Checks if a system alias has an RFC destination assigned to
it.
Assigned Web Service provider
system
Checks if a system alias has a Web Service provider system
assigned to it.
RFC test Checks if the assigned RFC destinations are functional.
To check the configuration for aliases for a SAP system, proceed as follows:
In transaction SPRO open the SAP Reference IMG and navigate to: SAP NetWeaver
Gateway Former Development Generic Channel Configuration Connection Settings
SAP NetWeaver Gateway to SAP System Check SAP System Aliases and click on the
Activity icon.
A status report of the listed checked items displays.
More Information
Creating the System Alias for Applications [Page 39]
SAP NetWeaver Gateway Configuration Guide
(C) SAP AG SAP NetWeaver Gateway 2.0 SPS08 160
Subscription Settings
To enable the push scenario [External] you need to carry out the following configuration
settings:
Maintain Subscription Settings for GSDO
Maintain Subscription Routing
Maintain RFC Destination to Connectivity Provider
Configure Guaranteed Delivery of Notifications
You can find all these activities in the SAP NetWeaver Gateway Implementation Guide (IMG)
which is available in the system: In transaction SPRO open the SAP Reference IMG and
navigate to: SAP NetWeaver Gateway Former Development Generic Channel
Configuration Subscription Settings .
SAP NetWeaver Gateway Configuration Guide
(C) SAP AG SAP NetWeaver Gateway 2.0 SPS08 161
Code List
Overview
Code List feature enables the content developers to easily create value helps for various
fields. Code Values can come from different backend systems or from a single backend
system. Code values can also come from different sources like fixed values associated with
domain from the QueryCodeList ESA service, or from the value helps defined for BAPI
parameters.
Currently the code list functionality supports value helps fetched from domains with fixed
values, value helps for BAPI parameters as well as value helps fetched from the QueryCode
List ESA service.
Why do you need this Function
In real time business scenarios, it is possible for field, to have a different set of valid values
based on the context. For example, while creating a document in CRM, the list of possible
values for DocumentType is different from the list of valid DocumentTypes while creating a
document in ERP.
In addition to this, it is also possible for the source of the possible DocumentTypes to be
different in each of these scenarios. For example, the list of valid document types for an ERP
document may come from an ESA service, while the list of valid DocumentTypes for a CRM
document may come from a domain, i.e. the source of valid values is different depending on
the software version. Code List has been developed to cater to these scenarios.
What does this function do?
For a user to enter a partner role and wants to fetch the list of valid partner roles, the content
developer needs to do the following: .
Create a User-Centric Gateway Data Model for Partner Roles. See Creating a
Gateway Data Model based on the Code List PS model [Page 162] for more
information.
Create the associated Gateway Consumption Model and then fetch the list of Partner
Roles using this Service. See Creating a Gateway Consumption Model based on the
Gateway Data Model [Page 239] for more information.
The content developer needs to create an Entity Provider class to specify the
technical details of the source of the value helps. See Creating Entity Data Provider
Class [Page 162] for more information.
By using Code List function the target system can be determined based on the configuration
entries maintained while registering the OData service for a specific code. See Creating a
Gateway Data Model based on the Code List PS model [Page 162] and Creating a Gateway
Consumption Model based on the Gateway Data Model [Page 162] for more information
SAP NetWeaver Gateway Configuration Guide
(C) SAP AG SAP NetWeaver Gateway 2.0 SPS08 162
Code List Usage
Using the Code List feature, the content developers can easily create value helps for various
fields. For example, to fetch the list of valid partner roles for a consumer when they want to
enter a partner role. For this, the content developer needs to first identify the source of the list
of valid partner roles, and then by using the Code List feature fetch them for the consumer.
Currently the Code List feature supports:
Value helps fetched from Domains with fixed values
Value helps for BAPI parameters
Value helps for fetched from the QueryCodeList ESA service for codes modeled in
ESR
Creating Entity Data Provider Class
Once the source of the value help is identified the content developer should create an Entity
Data Provider Class that inherits the abstract Code List Entity Provider class:
/IWCNT/CL_CLST_EPRRQ_ABS
This class registers the appropriate BOPs based on the source of the value help. The content
developer need to override the SET_VALUE_HELP_SOURCE method of the Entity Provider
class in order to specify the technical details of the source of the value help.
If the value help is fetched from the fixed values of a domain then the following two
public static variables need to be set:
o MV_SOURCE_NAME = ‘DOMAIN’
o MV_DOMAIN_NAME = Name of the domain
If the value help is fetched for a BAPI Parameter then the following eight public static
variable of the class need to be set:
o MV_SOURCE_NAME = BAPI
o MV_BAPI_OBJ_TYPE = BAPI Object Type
o MV_BAPI_OBJ_NAME = BAPI Object Name
o MV_BAPI_METHOD_NAME = BAPI Method Name
o MV_BAPI_PARAM_NAME = BAPI Parameter Name
o MV_BAPI_FIELD_NAME = BAPI Field Name
o MV_BAPI_CODE_DESC_TABLE = BAPI Code description table
o MV_BAPI_CODE_DESC_FIELD = BAPI Code description table
field
If the value help is fetched from QueryCodeList ESA service, then the following four
public static variables need to be set:
o MV_SOURCE_NAME = 'ESA'
o MV_ESA_CODE_NAME = ESA Code Name
o MV_ESA_CODE_TYPE = ESA Code Type
SAP NetWeaver Gateway Configuration Guide
(C) SAP AG SAP NetWeaver Gateway 2.0 SPS08 163
o MV_ESA_URI_NAMESPACE = ESA URI Namespace
Example
For Partner Roles, the Entity Provider Class can be named as:
IWCNT/CL_CLST_EPRRQ_PROLES
The mv_domain_name variable of this class can be set to:
/SAPTRX/EV_PARROL
And the mv_value_help_source_category variable can be set to:
02
This indicates that the domain with fixed values will be used to fetch the code list in the:
SET_VALUE_HELP_SOURCE method of the class
This domain name would be used in order to fetch the value help for Partner Roles.
Example
Value Help Source is Domain
In order to fetch the list of valid values for Partner Roles, the following values need to
be set in the SET_VALUE_HELP_SOURCE method of the class.
MV_VALUE_HELP_SOURCE_CATEGORY = '02'
MV_DOMAIN_NAME = ‘/SAPTRX/EV_PARROL’
Example
Value Help Source is BAPI Parameter
In order to fetch the list of values for title codes from the value help defined for a BAPI
Parameter, the following values need to be set in the SET_VALUE_HELP_SOURCE
method of the class.
MV_VALUE_HELP_SOURCE_CATEGORY = '01'
MV_BAPI_OBJTYP = 'BUS1006'
MV_BAPI_OBJECT_NAME = 'GETCENTRALDETAIL'
MV_BAPI_METHOD = 'GETADDRESSDETAIL'
MV_BAPI_PARAM = 'CENTRALDATA'
MV_BAPI_FIELD = 'TITLE_KEY'
MV_CODE_DESC_TABLE = 'TSAD3T'
MV_CODE_DESC_FIELD = 'TITLE_MEDI'
SAP NetWeaver Gateway Configuration Guide
(C) SAP AG SAP NetWeaver Gateway 2.0 SPS08 164
Example
Value Help Source is from QueryCodeList- ESA service
MV_VALUE_HELP_SOURCE_CATEGORY = '03'
MV_ESA_NAME = 'CountryCode'
MV_ESA_TYPE = 'CountryCode'
MV_ESA_NAMESPACE = 'http://sap.com/xi/APPL'
Registering Code List Backend Connectivity Custom BOP
Code List offers two backend connectivity APIs in order to fetch Code List from a domain with
fixed values and from a BAPI parameter respectively:
/iwcnt/cl_clst_bec_dom
/iwcnt/cl_clst_bec_bapi
The content developer needs to register instances of these APIs as customer BOPs in the
REGISTER_MAPPING_SPECIALISTS method of the Entity Provider Class of the entity for
which the Code List needs to be fetched. Once registered, the Code List fetched by the
backend connectivity API will be available in IT_PROCESSED_BE_DATA parameter of the
mapping specialist classes.
Example
1. Registering Backend Connectivity API for fetching Code List for Gender from a
Domain with fixed values
Implement the following code in the Entity Provider Class:
Syntax
1. DATA: ls_mapping_specialist_attr TYPE LINE OF
gtyt_map_specialist_attributes.
2. DATA: lo_clst_bec_dom TYPE REF TO
/iwcnt/cl_clst_bec_dom.
3.
4. ls_mapping_specialist_attr-execution_mode =
/iwcnt/if_common_c=>gc_execution_mode_q.
5. ls_mapping_specialist_attr-bop_type =
/iwfnd/if_mgw_bec_bop=>gc_bop_type_custom.
6.
7. CREATE OBJECT lo_clst_bec_dom
8. EXPORTING
9. iv_code_name = 'Gender'
10. iv_domain_name = 'AD_SEX'.
11.
12. ls_mapping_specialist_attr-be_api_ref ?=
lo_clst_bec_dom.
13. APPEND ls_mapping_specialist_attr TO
et_mapping_specialist_attr.
14.
SAP NetWeaver Gateway Configuration Guide
(C) SAP AG SAP NetWeaver Gateway 2.0 SPS08 165
Once the backend API has been registered, the Code List can be accessed via the
IT_PROCESSED_BE_DATA parameter in the respective mapping specialists.
Syntax
15. DATA: ls_processed_be_data LIKE LINE OF
it_processed_be_data,
16. lt_gender_codes TYPE
/iwcnt/t_clst_attr.
17. FIELD-SYMBOLS:<ls_processed_be_value> Type any.
18.
19. READ TABLE it_processed_be_data INTO
ls_processed_be_data
20. WITH KEY name = 'Gender'.
21. IF sy-subrc = 0.
22. ASSIGN ls_processed_be_data-value->* TO
<ls_processed_be_value>.
23. lt_gender_codes[] = <ls_processed_be_value>
24. ENDIF.
The internal tablelt_gender_codes [][] will now contain the gender codes fetched
from the fixed values associated with the domain AD_SEX.
2. Registering Backend Connectivity API for fetching Code List from a BAPI Parameter.
Implement the following code to register the Backend Connectivity API for fetching
Code List from a BAPI parameter in the REGISTER_MAPPING_SPECIALISTS
method of the entity provider class.
Syntax
1. DATA: ls_mapping_specialist_attr TYPE LINE OF
gtyt_map_specialist_attributes.
2. DATA: lo_clst_bec_bapi TYPE REF TO
/iwcnt/cl_clst_bec_bapi.
3. ls_mapping_specialist_attr-execution_mode =
/iwcnt/if_common_c=>gc_execution_mode_q
4. ls_mapping_specialist_attr-bop_type =
/iwfnd/if_mgw_bec_bop=>gc_bop_type_custom.
5.
6. CREATE OBJECT lo_clst_bec_bapi
7. EXPORTING
8. iv_code_name = 'TitleCode'
9. iv_bapi_obj_type = 'BUS4001'
10. iv_bapi_obj_name ='ADDRESSORG'
11. iv_bapi_method = 'FindDetail'
12. iv_bapi_param = 'BAPIAD1VL'
13. iv_code_desc_field = 'TITLE_MEDI'
14. iv_code_desc_table = 'TSAD3T'
15. iv_bapi_field = 'TITLE'
16. ls_mapping_specialist_attr-be_api_ref ?=
lo_clst_bec_bapi.
17. APPEND ls_mapping_specialist_attr TO
et_mapping_specialist_attr.
18.
Once the backend API are registered, Code List can be accessed via the
IT_PROCESSED_BE_DATA parameter in the respective mapping specialists.
SAP NetWeaver Gateway Configuration Guide
(C) SAP AG SAP NetWeaver Gateway 2.0 SPS08 166
Syntax
19. DATA: ls_processed_be_data LIKE LINE OF
it_processed_be_data,
20. lt_gender_codes TYPE
/iwcnt/t_clst_attr.
21. FIELD-SYMBOLS:<ls_processed_be_value> Type any.
22.
23. READ TABLE it_processed_be_data INTO
ls_processed_be_data
24. WITH KEY name = 'TitleCode'.
25. IF sy-subrc = 0.
26. ASSIGN ls_processed_be_data-value->* TO
<ls_processed_be_value>.
27. lt_title_codes[] = <ls_processed_be_value>
28. ENDIF.
The internal table lt_title_codes[] will now contain the Title codes fetched from
the value help associated with the BAPI parameter.
Creating Code List Model
The Code List PS model is a very simple model that has two properties namely Code and
Text. The property Code is marked as the key of the model and is also the only filterable
property of the model. The PS model created for Code List is:
/IWCNT/MGW_CODE LIST _0001_PS
Once the source of the value help has been specified in the Entity Provider class, the content
developer should create a Gateway UC data model based on /IWCNT/MGW_CODE LIST
_0001_PS
Example
A UC model for Partner roles can be named /IWCNT/PARTNER_ROLES_0001_UC
and this model would be created with reference to /IWCNT/MGW_CODE LIST
_0001_PS.
Registration
The Entity Provider Class /IWCNT/CL_CLST_EPRRQ_PROLES and the Gateway
Consumption model /IWCNT/PARTNER_ROLES_0001_UC is then registered in the
transaction:
SPRO SAP Customizing Implementation Guide SAP NetWeaver Gateway
OData Channel Development without IW_BEP Registration Assign Data Provider
to the Data Model .
Additional customizing in order to assign the system alias and the GSDO group would also
need to be done. See Customizing the SAP NetWeaver Gateway System for more
information.
Creating Gateway Data Model based on the Code List PS Model
To create a Data Model based on the Code List PS Model proceed as follows:
1. Logon to the Gateway system.
SAP NetWeaver Gateway Configuration Guide
(C) SAP AG SAP NetWeaver Gateway 2.0 SPS08 167
2. Open Object Navigator (transaction se80).
3. Choose GW Data Model from the drop-down list.
4. Enter a name for the GW Data Model.
The GW Data Model name should follow the convention
“<namespace><name>_<version>_UC”
The version must be 4 characters long with leading zeros.
Example
/IWCNT/PARTNER_ROLES_0001_UC
5. Click Display and choose Yes in the Create Data Model window.
6. Choose Existing Data Model in the Create From pane.
7. Enter the following information for the model:
o Name as/IWCNT/MGW_CODE LIST
o Type as PS
o Version as 0001
8. Set labels, external names, descriptions for the fields in the Gateway Data Model.
Adding the Code List Gateway Data Model to an existing Gateway
Consumption Model
To create Gateway Consumption Model based on the Gateway Data Model:
1. Logon to the Gateway system.
2. Open Object Navigator (transaction se80).
3. Choose GW Consumption Model from the drop down list.
4. Enter the name of an existing Gateway Consumption Model.
5. Right click the Gateway Consumption Model and choose Add GW Data Model.
6. Specify the Gateway Data Model created in the Creating Gateway Data Model based
on the Code List PS model.
Now the Code List collection for the specific code will be added to the existing
Gateway Consumption model
Note
The above steps should be performed for each code.
SAP NetWeaver Gateway Configuration Guide
(C) SAP AG SAP NetWeaver Gateway 2.0 SPS08 168
Customizing the SAP NetWeaver Gateway System for
Code List
In order to maintain the configuration entries for Code List the Entity Provider class, the
Gateway Data Model and the Gateway Consumption model should be created. Refer to
Usage of Code List for more details.
Note
All the screenshots shown below are samples only. The actual customizing entries
will depend on the Gateway Data Model, the Gateway Consumption Model and the
GSDO group that will be created by the content developer for a Code List
implementation. The screenshots below are based on the examples mentioned in the
Usage of Code List section.
To configure the SAP NetWeaver Gateway systems for Code List:
1. In the SPRO transaction SAP Customizing Implementation Guide SAP
NetWeaver Gateway Former Development OData Channel Development without
IW_BEP Registration Assign Data Provider to the Data Model .
Example
For Partner Roles Code List, the Model Identifier should be set
to/IWCNT/PARTNER_ROLES_0001_UC and the Class/Interface should be
set to /IWCNT/CL_CLST_EPRRQ_PROLES.
2. In the SPRO transaction SAP Customizing Implementation Guide SAP
NetWeaver Gateway Former Development OData Channel Development without
IW_BEP Registration Assign SAP System Aliases to OData Service .
Note
The above image is just a sample. Configure the existing Gateway
Consumption model (as explained under Adding the Code List Gateway Data
Model to an existing Gateway Consumption Modelin the Code List Usage
[Page 162]chapter.
SAP NetWeaver Gateway Configuration Guide
(C) SAP AG SAP NetWeaver Gateway 2.0 SPS08 169
Code List Cache Cleanup
Functional Overview
The cache cleanup functionality cleans the code list cache tables for the OData channel
which are maintained in the Gateway system. This functionality can be used by the
administrator to clear the cache data either periodically or whenever required by refreshing
the cache data. The cached data can be deleted based on the created by user(s) and time
restrictions.
To delete the code list cache for the OData Channel proceed as follows:
1. In the SPRO transaction, expand SAP Customizing Implementation Guide SAP
NetWeaver Gateway OData Channel Administration Cache Settings Cleanup
Cache and Persistency
2. Specify User(s) if you want to delete the entries cached by a specific user or users.
3. Specify the cleanup scenario as /IWCNT/CL_CODELIST_CLEANUP_MGW.
4. Specify the time restriction if needed.
5. Execute.
Note
Uncheck the Execute in Test Mode checkbox in order to delete the cached value
helps from the Codelist Cache tables.
SAP NetWeaver Gateway Configuration Guide
(C) SAP AG SAP NetWeaver Gateway 2.0 SPS08 170
Configuration Settings for Generic Channel Scenarios
Recommendation
We strongly recommend using the OData Channel (ODC) programming paradigm for
all SAP NetWeaver Gateway development.
Depending on your use case, either use embedded deployment or central hub
deployment. For more information, see Deployment Options [External].
If you want to use OData Channel, either use backend OData Channel or hub OData
Channel with software component IW_BEP.
Following are the SAP NetWeaver Gateway Generic Channel supported scenarios:
Generic Channel Scenarios Configuration Settings
Customer Relationship
Management (CRM) [External]
Settings for Customer Relationship Management on
SAP NetWeaver Gateway [Page 171]
Reporting Management [External]
Settings for Reporting Management on SAP NetWeaver
Gateway [Page 188]
Human Capital Management
[External]
Settings for Human Capital Management on SAP
NetWeaver Gateway [Page 211]
Code List [External]
Settings for Code List on the SAP NetWeaver Gateway
System [Page 230]
SAP NetWeaver Gateway Configuration Guide
(C) SAP AG SAP NetWeaver Gateway 2.0 SPS08 171
Settings for Customer Relationship Management on
SAP NetWeaver Gateway
SAP NetWeaver Gateway Customer Relationship Management (CRM) application is a
comprehensive solution for managing your customer relationships from any device or
platform.
Creating Roles
You must create roles for SAP CRM and assign these roles to the CRM GSDO group. The
CRM SAP NetWeaver Gateway users should be assigned to these roles so that they can use
SAP NetWeaver Gateway services. For this:
1. Identify the list of SAP CRM systems on which the functionality should be accessible
by SAP NetWeaver Gateway.
2. Create system alias for each of these systems.
3. For each of these systems, define a role for which the administrator should assign the
list of users (who has access to execute the functionality)
Note
1. You must be an SAP NetWeaver Gateway administrator or have an SAP
user administrator to create the roles.
2. The roles must be defined/created on the SAP NetWeaver Gateway server.
3. If there is only one SAP CRM system and all the users on SAP NetWeaver
Gateway should be able to access CRM functionality on this SAP CRM
system, then role creation and assigning of roles to GSDO groups is optional
but this is not recommended.
To create roles, proceed as follows:
1. Open transaction pfcg in the SAP NetWeaver Gateway system.
2. Enter a name for the role in the Role field.
3. Choose Single Role.
4. Save the Role.
5. Choose the Authorization tab.
6. Choose Change Authorization.
7. Choose the template mentioned in the Role Templates section.
8. Choose Generate to create a new role.
For information on changing roles, see Changing Standard Roles [External].
SAP NetWeaver Gateway Configuration Guide
(C) SAP AG SAP NetWeaver Gateway 2.0 SPS08 172
Role Template
Use the predefined role templates mentioned in the table below to create user roles for SAP
NetWeaver Gateway CRM:
Template Name Template For
/IWCNT/RT_USER_ACT SAP NetWeaver Gateway CRM Activity Management
/IWCNT/RT_USER_ACCNT SAP NetWeaver Gateway CRM Accounts
/IWCNT/RT_USER_CONT SAP NetWeaver Gateway CRM Contacts
Authorization
The user must have the following authorizations to access SAP NetWeaver Gateway system
to use the CRM Scenarios:
Service
Authorization
Object
Authorization Values
/IWCNT/SG_ACTIVITY_0001
S_SERVICE
SRV Name –
A3CB8ED503F16F11D97BEA06BB41E0
SRV Type – HT
S_TCODE TCD – SICF
/IWCNT/BP_ACCOUNT_0001
S_SERVICE
SRV
NameA8172704E2C058CDF94DD331FDB141
SRV Type-HT
S_TCODE TCD – SICF
/IWCNT/BP_CONTACT_0001
S_SERVICE
SRV
NameF3B52FB30DB35EC0A377ADD15084C9
SRV Type-HT
S_TCODE TCD – SICF
While creating role templates in the SAP CRM system, include the following authorization
objects:
CRM Service
Authorization
Object
Field Field Value
CRM Activity S_RFC
RFC_TYPE FUGR
RFC_NAME
BAPT
CRM_ACTIVITYCRM_BAPI
CRM_BUSPROCESSND_BAPI
SAP NetWeaver Gateway Configuration Guide
(C) SAP AG SAP NetWeaver Gateway 2.0 SPS08 173
CRM_OSP_HELPER_TOOLS
COM_BUPA_USER_REGISTRATION
ACTVT 16(Execute)
CRM Business
Partner (Accounts
and Contacts)
S_RFC
RFC_TYPE FUGR
RFC_NAME
CRM_BSP_BP_PRINT
COM_BUPA_USER_REGISTRATION
BUPA_TAX_BAPI
BUPA_INTERFACE_LONGTEXTS
BUPA_HOURS_BAPI
BUBA_3
BFHV
BAPT
ACTVT 16
S_SERVICE
SRV_NAME CF56155FF3F9AEB85ED804FEEFE180
SRV_TYPE HS
CRM Attachments
S_RFC
RFC_TYPE FUGR
RFC_NAME
SKWF_UTIL
CRM_KW_DOCUMENTS
SKWF_IO
ACTVT 16
The user must have the following authorizations in the SAP NetWeaver Gateway system to
access SAP NetWeaver Gateway services for CRM:
CRM Service Authorization Object Field Field Value
CRM Activity S_SERVICE
SRV_NAME A3CB8ED503F16F11D97BEA06BB41E0
SRV_TYPE HT
CRM Accounts S_SERVICE
SRV_NAME A8172704E2C058CDF94DD331FDB141
SRV_TYPE HT
SAP NetWeaver Gateway Configuration Guide
(C) SAP AG SAP NetWeaver Gateway 2.0 SPS08 174
CRM Contacts S_SERVICE
SRV_NAME F3B52FB30DB35EC0A377ADD15084C9
SRV_TYPE HT
Settings in the SAP NetWeaver Gateway System
You need to perform the following customizing settings in the SAP NetWeaver Gateway
system:
Creating SAP system aliases
Assigning roles to a GSDO group
Assigning SAP system aliases to a GSDO group
Note
The configurations mentioned below must be carried out for CRM activity, accounts
and contacts.
Creating System Alias for Applications
Proceed as follows:
1. In transaction SPRO open the SAP Reference IMG and navigate to: SAP
NetWeaver Gateway Former Development Generic Channel Configuration
Connection Settings SAP NetWeaver Gateway to SAP System Manage SAP
System Aliases and click the Activity icon.
2. Choose New Entries.
3. Enter the following details for the system alias:
Field Description
SAP System
Alias
Name of the system alias.
Description Descriptive text for the system alias.
Local GW
Leave unchecked if the CRM system is not on the same system as the SAP
NetWeaver Gateway system.
Check it if the CRM system is on the same system as the SAP NetWeaver
Gateway system.
RFC
Destination
Specify the RFC destination defined for your SAP system, for example,
BKDCNT200.
WS Provider
System
o If you are using SAP CRM 7.0, leave the field blank.
o If you are using SAP CRM 6.0, you can:
1. Leave the field blank if you are using BAPI based
connection (We recommend you to use BAPI based
connection).
SAP NetWeaver Gateway Configuration Guide
(C) SAP AG SAP NetWeaver Gateway 2.0 SPS08 175
Field Description
2. Choose a provider system if you are using ESA
services. For information on configuring a provider system, see
Configuring a GSDO to Connect to the SAP CRM system
[Page 176].
Software
Version
Enter CRM_6.0 or CRM_7.0 according to the CRM version you are using.
4. Save your settings.
Assigning Roles to a GSDO Group
Proceed as follows:
1. In transaction SPRO open the SAP Reference IMG and navigate to: SAP
NetWeaver Gateway Former Development Generic Channel Administration
General Settings Manage GSDO Groups and click the Activity icon.
2. Select the GSDO Group (IWACT for CRM Activity and IWBPC for CRM Accounts and
Contacts), from the Manage GSDO Groups list.
3. Choose Assign User Roles on the dialog structure.
4. Choose New Entries.
5. Enter the role name in the Assign User Roles column. For example, ZRole.
6. Save your settings.
Assigning SAP System Aliases to a GSDO Group
Proceed as follows:
1. In transaction SPRO open the SAP Reference IMG and navigate to: SAP
NetWeaver Gateway Former Development Generic Channel Administration
General Settings Manage GSDO Groups and click the Activity icon.
2. Select the GSDO Group (IWACT for CRM Activity and IWBPC for CRM Accounts and
Contacts), from the Manage GSDO Groups list.
3. Choose Assign SAP System Aliases on the dialog structure.
4. Choose New Entries.
5. Enter the role name created above ZRole in the User Role column.
6. Press F4 to select a system alias in the SAP System Alias column.
7. Save your settings.
SAP NetWeaver Gateway Configuration Guide
(C) SAP AG SAP NetWeaver Gateway 2.0 SPS08 176
Configuring GSDO to Connect to the SAP CRM
System
This section provides the basic configurations required to connect the SAP NetWeaver
Gateway to the SAP CRM 6.0 system.
Applications running on the GSDO use web services to call the SAP systems. Therefore, the
applications have proxies that are shipped with the GSDO. These proxies are grouped in
service groups. Each service group can be configured to point to one or many SAP systems.
The actual system that is used is determined at runtime via the destination finder.
Applications bundle proxies to service groups in a granularity that matches the way the web
services are offered by the SAP systems. For example, if an SAP system offers the web
service Get Employee, it also offers the web service Create Employee, as they belong to the
same deployment unit. A granularity of the service groups has been chosen that matches the
entities offered by the GSDO and the deployment units of web services of the SAP systems.
This way it is possible to easily configure all web services that belong to the entity Employee
as a unit (mass configuration) instead of configuring each proxy one by one.
The following configurations have to be done on SAP CRM system and SAP NetWeaver
Gateway system:
SOA Management configurations on the SAP CRM system [Page 177]
SOA Management configurations on the SAP NetWeaver Gateway system [Page
181]
SAP NetWeaver Gateway Configuration Guide
(C) SAP AG SAP NetWeaver Gateway 2.0 SPS08 177
SOA Management Configurations on SAP CRM
System
The configurations to be carried out in the SAP CRM system via the transaction SOAMANAGER
is detailed in this section.
Note
SAP CRM system is also referred to as provider system here.
SOA Management configurations on the provider system include:
Creating a New Profile in the Provider System [Page 178] — A profile that contains
general configuration on security and transport systems for the entire landscape.
Configuring Provider Systems [Page 179] — Provider systems, to indicate which SAP
systems are called. This can be compared with RFC destinations.
SAP NetWeaver Gateway Configuration Guide
(C) SAP AG SAP NetWeaver Gateway 2.0 SPS08 178
Creating a New Profile in the Provider System
A profile is general configuration of security and transport aspects. For web service
communications, the provider and the consumer have to use the same profile so that the
calling system uses the exact authentication, encryption, and other settings that are offered
by the provider system. A profile is created once, distributed to all relevant servers in a
landscape, and then used for the configuration of each web service on the provider and
consumer side.
Note
If you are using SAP Basis release 700, it is not possible to use Mass Configuration
for the services of that system. In such case, you need to manually create logical
ports.
Creating and Distributing a New Profile
1. In the SAP CRM system go to transaction SOAMANAGER, choose Technical
Configuration Profile Management .
2. Choose Create.
3. Enter a profile name in the Profile Name field under the Profile Properties section.
4. Check for the settings for reliable messaging, transport binding and authentication
that fulfill the needs of your company and landscape. The selected authentication
method must support single sign-on. This may also require trust to be configured
between the GSDO and the SAP systems.
5. Save and activate the profile.
6. Select the new profile you have created, and choose Export to export it to a file.
Note
If you do not have the option to export the files, you need to create logical
ports manually on the consumer system.
7. Log on to all relevant systems in the landscape, go to transaction SOAMANAGER, and
import the profile.
Note
If you want to change a profile, you must create a new version of it. By activating a
new version, the provider system [Page 179] and all other pieces of configuration that
use the profile still use an old version. You must go to the configuration of each
provider system and configure it to use the new version of the profile. You must also
reactivate all dependent objects as required. This has to be done in all systems in the
landscape after the distribution of the new profile version.
SAP NetWeaver Gateway Configuration Guide
(C) SAP AG SAP NetWeaver Gateway 2.0 SPS08 179
Configuring Provider Systems
A provider system is the SAP CRM system being used. Web services called by the GSDO
have to be exposed using the profile created. Web services are exposed via endpoints. To
enable mass configuration on the consumer side, the endpoints have to be created using a
Business Scenario.
Creating Endpoints using a Business Scenario
For creating endpoints using a business scenario, proceed as follows:
1. In the SAP CRM system go to transaction SOAMANAGER, choose Business
Administration Mass Configuration .
2. Choose Create, enter configuration scenario name and description.
3. Choose the Provide tab and choose Add
4. Enter CRM_BPBASICDATABYNAMEADDRQR in the Search Pattern field, choose Both
Names from the Field and click Go.
5. Choose the service from the list and click Add to Worklist.
Note
If you have the option to import the Mass Configuration/Business Scenario
XML file, see SAP Note 1585723 for the procedure to import the XML files.
6. Choose the provider added and click Assign.
7. Choose a profile from the Profiles sections and click Assign to Service.
8. Save and activate the configuration scenario.
9. Click Back and go to Activation Request Management.
10. Choose Check for Updates.
11. Choose Start Activation for creating end points.
Checking the Endpoints Created
For checking the endpoints created, proceed as follows:
1. In the SAP CRM system go to transaction SOAMANAGER, choose Business
Administration Web Service Administration .
2. Search for the service that has been previously added to the business scenario.
3. Select the service from the list and choose Apply Selection.
4. Choose the Configurations tab. All endpoints and services are listed here. Endpoints
are displayed here with a GUID as ID, and the Creation Type field is set to Created
based on the profile.
5. Choose Display to see its configuration.
SAP NetWeaver Gateway Configuration Guide
(C) SAP AG SAP NetWeaver Gateway 2.0 SPS08 180
WSDL for the Endpoints
To see the WSDL for the endpoint, proceed as follows:
1. Choose Overview tab.
2. Select a binding from the drop-down box.
3. Choose Open WSDL document for selected binding.
SAP NetWeaver Gateway Configuration Guide
(C) SAP AG SAP NetWeaver Gateway 2.0 SPS08 181
SOA Management Configurations on SAP NetWeaver
Gateway System
This section provides the configurations to be carried out in the SAP NetWeaver Gateway
system via the transaction SOAMANAGER.
Note
SAP NetWeaver Gateway system is also referred to as consumer system here.
SOA Management configurations on the consumer system include:
Creating a Provider System in the Consumer System [Page 182] — The service
groups, to determine which SAP systems may be called per service group from the
GSDO (acting as the consumer).
User Account Management [Page 184] — User Account Management, for
authentication settings when calling an SAP system.
SAP NetWeaver Gateway Configuration Guide
(C) SAP AG SAP NetWeaver Gateway 2.0 SPS08 182
Creating a Provider System in the Consumer System
When calling a provider system, a profile has to be specified. Use the profile created and
distributed in the Creating a New Profile in the Provider System [Page 178] section.
If the profile used in the GSDO is not present in a provider system, mass configuration of the
web service proxies in service groups is not possible. In this case, each web service proxy
can be configured one by one. You can create logical ports manually, see Creating a Fallback
Configuration [External].
Creating a Provider System
1. In the SAP NetWeaver Gateway system go to transaction SOAMANAGER choose
Technical Administration System Connections .
2. Choose New. Enter a name and description for the provider system.
Note
The name of the Provider system and the name of the WS Provider System
(mentioned in section Creating System Alias for Applications [Page 171])
should be same.
3. Choose the profile you created as mentioned in the section Creating a New Profile in
the Provider System [Page 178].
4. Choose Next.
5. If your SAP system is listed in the SLD Identifier field, select it, else enter a name for
your SAP system that uniquely identifies it.
6. Enter the URL for WSIL (Web Service Inspection Language) of your SAP system.
The default value for the URL is http://<host:port>/sap/bc/srt/wsil?sap-client=<client>.
You can also obtain a URL, follow the procedure below.
For obtaining a URL to configure WSIL, proceed as follows:
1. Log on to the provider SAP system you created.
2. Go to transaction SICF.
3. Enter SERVICE for the Type Hierarchy.
4. Enter WSIL for Service Name.
5. Choose Execute.
Note
The WSIL service lists the configuration of all web services exposed by the
system.
Logical ports can be created using SOAMANAGER automatic configuration,
which either uses Service registry (If configured) or WSIL to retrieve WSDL
and corresponding endpoints. If you do not have Service registry in your
landscape you must provide WSIL details while configuring the provider
system in consumer system SOAMANAGER (in System Connection).
7. Enter the user, password for WSIL and choose Next.
SAP NetWeaver Gateway Configuration Guide
(C) SAP AG SAP NetWeaver Gateway 2.0 SPS08 183
8. Choose New, in the Systems Connections Wizard.
9. Enter a name in the Application Name field and provide a description.
10. An external key is required that identifies the provider system. Perform the steps
given below to get an external key.
To obtain the external key of a provider system, proceed as follows:
1. In the provider system go to transaction SOAMANAGER choose Technical
Administration Global System Settings .
2. If no external identifier is displayed, enter an organization name and business
system.
3. Save your settings. An external identifier is now generated.
Note
For releases lower than SAP Basis 701 this GUID is not available. If this is the
case, you cannot use mass configuration on the consumer side for the services of
that system. Proceed as follows:
Enter any unique ID in the External Key field.
Proceed with the configuration of the business scenario. The activation of the
scenario fails.
Create the logical ports manually (see section Check the logical ports you
have created below).
11. Choose a configuration that suits your requirements and landscape setup like,
authentication method and secure communication.
SAP NetWeaver Gateway Configuration Guide
(C) SAP AG SAP NetWeaver Gateway 2.0 SPS08 184
User Account Management
User accounts have to be configured with the kind of user authentication that takes place
when the GSDO calls web services on the SAP system. The following three options are
offered:
Business User: The user logged on to the SAP NetWeaver Gateway logs on the SAP
system using their own user and credentials.
Anonymous user: SAP system is called with an anonymous user.
Service User: SAP system is called with a predefined service user.
For setting up the communication from the SAP NetWeaver Gateway to the provider systems,
only the Business User option is required.
Configuring User Accounts
To configure user accounts, proceed as follows:
1. In the SAP NetWeaver Gateway system go to transaction SOAMANAGER, choose
Service Administration User Account Management .
2. Choose New, enter a name and description for the user account.
3. Choose Next, select Business User for Account Type.
4. Choose Finish and activate the account.
5. Choose Account Assignment tab.
6. Choose New to create a new interface assignment.
7. Choose the business application that was created when creating the Provider
Systems [Page 179].
8. Choose the check box Assign to all services within this business application.
9. Choose Next.
10. Choose the account you created.
11. Choose Finish.
Configuring the Consumption Model using the Business Scenario
1. In the SAP NetWeaver Gateway system go to transaction SOAMANAGER choose
Service Administration Business Scenario Configuration .
2. Choose New to create a new configuration scenario.
3. Enter a name and description for the business scenario.
4. Choose Next. This skips the step to configure the provider side.
5. Choose Add to add a service group to the work list.
SAP NetWeaver Gateway Configuration Guide
(C) SAP AG SAP NetWeaver Gateway 2.0 SPS08 185
6. Enter /IWCNT/SG_BUSINESS_PARTNER in the Search Pattern field, choose Both
Names from the Field and click Go.
7. Choose the service group from the list and click Add To Worklist.
8. One service group (one set of web service consumer proxies) may point to many
provider systems. Perform the following steps for each provider system.
1. Select the service group.
2. Choose Assign Business Application.
3. Choose the business application that was created when creating the Provider
Systems [Page 179], click Assign To Service Group.
9. Choose Finish and activate the configuration scenario.
10. Choose Check for Updates to monitor or trigger the creation of logical ports for each
web service consumer proxy and provider system.
Note
For the procedure on creating logical ports manually, see Creating a Fallback
Configuration [External].
Checking the Logical Ports Created
1. In the SAP NetWeaver Gateway system go to transaction SOAMANAGER choose
Service Administration Single Service Configuration .
2. Choose ServiceGroup in the Search by field, enter
/IWCNT/SG_BUSINESS_PARTNER in the Search Pattern field, choose Both Names
from the Field and click Go.
3. Search for the service group that has been configured previously.
4. To see the details for a service group, click the arrow next to the label to open up the
tree. On the first hierarchy level, all configured provider systems are listed. On the
second hierarchy level, the proxies are listed.
5. To see the details of a proxy, select it and click Apply Selection.
6. Go to the Configurations tab. A logical port is listed that has the Creation Type value
set to Created based on profile
7. Choose Ping web service to check the configuration.
If no logical port is listed, or it is not possible to create logical ports via the business scenario,
you can manually create a logical port as mentioned below:
Choose Create Logical Port.
Choose a name and description.
Enter the URL to a WSDL or select a file.
To obtain the URL of a WSDL, see Checking the created endpoints section in Creating a New
Profile in the Provider System [Page 179].
SAP NetWeaver Gateway Configuration Guide
(C) SAP AG SAP NetWeaver Gateway 2.0 SPS08 186
Configuring the Destination Finder
The provider systems configured from the transaction SOAMANAGER have to be entered in the
configuration of the Destination Finder so that during runtime, the GSDO can select the right
provider system for a given system alias.
1. In the transaction SPRO open the SAP Reference IMG and navigate to: SAP
NetWeaver Gateway Former Development Generic Channel Configuration
Connection Settings SAP NetWeaver Gateway to SAP System Manage SAP
System Aliases
2. Enter a WS provider system in the WS Provider System field, which should be the
same as Provider System [Page 179] created in the consumer system.
SAP NetWeaver Gateway Configuration Guide
(C) SAP AG SAP NetWeaver Gateway 2.0 SPS08 187
Settings for Reporting Management
The following settings must be performed for Reporting Management:
Settings for Reporting on SAP NetWeaver Gateway [Page 188]
Configuring Subscriptions for Report Results [Page 192]
Settings for Reporting Administration [Page 193]
SAP NetWeaver Gateway Configuration Guide
(C) SAP AG SAP NetWeaver Gateway 2.0 SPS08 188
Settings for Reporting Management on SAP
NetWeaver Gateway
SAP NetWeaver Gateway Reporting Management application is a comprehensive solution for
accessing SAP NetWeaver BI (Business Intelligence) and SAP ERP reports from any device
or platform.
Creating Roles
You must create roles for Reporting Management and assign these roles to the Reporting
Management GSDO group. The Reporting Management users should be assigned to these
roles so that they can receive report templates and can execute the reports. For this:
1. Identify the list of SAP ERP and BI systems (for Reporting Management) on which
the functionality should be accessible by SAP NetWeaver Gateway.
2. Creating system alias for each of these systems.
3. For each of these systems, define a role for which the administrator should assign the
list of users (who has access to execute the functionality).
Note
1. You must be an SAP NetWeaver Gateway administrator or have an SAP
user administrator to create the roles.
2. The roles must be defined/created on the SAP NetWeaver Gateway server.
3. If there is only one SAP ERP or BI system and all the users on SAP
NetWeaver Gateway should be able to access Reporting Management
functionality on this system then role creation and assigning of roles to GSDO
groups is optional but this is not recommended.
To create roles, proceed as follows:
1. Open transaction pfcg in the SAP NetWeaver Gateway system.
2. Enter a name for the role in the Role field.
3. Choose Single Role.
4. Save the Role.
5. Choose the Authorization tab.
6. Choose Change Authorization.
7. Choose the template mentioned in the Role Templates section.
8. Choose Generate to create a new role.
For information on changing roles, see Changing Standard Roles [External].
SAP NetWeaver Gateway Configuration Guide
(C) SAP AG SAP NetWeaver Gateway 2.0 SPS08 189
Role Templates
Use the predefined role templates mentioned below to create user roles for SAP NetWeaver
Gateway Reporting Management.
/IWCNT/RT_ADMIN_REP
/IWCNT/RT_USER_REP
Authorization
The user must have the following authorizations in the SAP NetWeaver Gateway system to
access SAP NetWeaver Gateway services for Reporting Management:
Authorization Object Field Field Values
S_SERVICE
SRV_NAME 4268DA7530FAD3798A64BA7232FC0D
SRV_TYPE HT
S_RFC
RFC Name /IWCNT/RFC_REPORT_RESULT_SET
RFC Type- FUGR, FUNC
ACTVT 16
S_TCODE TCD-SICF
While creating role template in the SAP ERP/BW system, include the authorizations provided
in the table below. The user must have these authorizations in the SAP Reporting
Management systems (ERP/BW) to access SAP NetWeaver Gateway services for Reporting
Management:
Reporting Management System Authorization Object Field Field Value
SAP ERP system S_RFC
RFC_TYPE FUGR
RFC_NAME /OSP/R3_REPORT
ACTVT 16
SAP BI system S_RFC
RFC_TYPE FUGR
RFC_NAME /OSP/BW_REPORT
ACTVT 16
Settings in the SAP NetWeaver Gateway System
You need to perform the following customizing settings in the SAP NetWeaver Gateway
system:
Creating SAP system aliases
Assigning roles to a GSDO group
Assigning SAP system aliases to a GSDO group
SAP NetWeaver Gateway Configuration Guide
(C) SAP AG SAP NetWeaver Gateway 2.0 SPS08 190
Creating SAP System Aliases
1. In transaction SPRO open the SAP Reference IMG and navigate to: SAP
NetWeaver Gateway Former Development Generic Channel Configuration
Connection Settings SAP NetWeaver Gateway to SAP System Manage SAP
System Aliases and click the Activity icon.
2. Choose New Entries.
3. Enter the following details for the system alias:
Field Description
SAP System
Alias
Name of the system alias.
Description Descriptive text for the system alias. For example, .
Local GW
Leave unchecked if the Reporting Management system is not on the same
system as the SAP NetWeaver Gateway system. Leave it checked it if the
Reporting Management system is on the same system as the SAP NetWeaver
Gateway system.
RFC
Destination
Specify the RFC destination defined for your SAP system, for example,
BKDCNT200.
WS Provider
System
Leave it blank.
Software
Version
ERP, BW or DEFAULT depending on the Reporting system you are using.
4. Save your settings.
Assigning Roles to a GSDO Group
Proceed as follows:
1. In transaction SPRO open the SAP Reference IMG and navigate to: SAP
NetWeaver Gateway Former Development Generic Channel Administration
General Settings Manage GSDO Groups and click the Activity icon.
2. Select the GSDO Group (IWREPT, IW_SD_REPT or IWRPMD), from the Manage
GSDO Groups list.
3. Choose Assign User Roles on the dialog structure.
4. Choose New Entries.
5. Enter the role name in the Assign User Roles column. For example, ZMANAGER.
6. Save your settings.
SAP NetWeaver Gateway Configuration Guide
(C) SAP AG SAP NetWeaver Gateway 2.0 SPS08 191
Assigning SAP System Aliases to a GSDO Group
Proceed as follows:
1. In transaction SPRO open the SAP Reference IMG and navigate to: SAP
NetWeaver Gateway Former Development Generic Channel Administration
General Settings Manage GSDO Groups and click the Activity icon.
2. Select the GSDO Group (IWREPT, IW_SD_REPT or IWRPMD), from the Manage
GSDO Groups list.
3. Choose Assign SAP System Aliases on the dialog structure.
4. Choose New Entries.
5. Enter the role name created above ZMANAGER in the User Role column.
6. Press F4 to select a system alias in the SAP System Alias column.
7. Save your settings.
SAP NetWeaver Gateway Configuration Guide
(C) SAP AG SAP NetWeaver Gateway 2.0 SPS08 192
Configuring Subscriptions for Report Results
Subscription is required to get the report results upon execution of a Report. You need to
configure subscription settings for GSDO.
Proceed as follows:
1. In transaction SPRO open the SAP Reference IMG and navigate to: SAP
NetWeaver Gateway Former Development Generic Channel Configuration
Subscription Settings Maintain Subscription Settings for GSDO and click the
Activity icon.
2. Choose New Entries.
3. Enter the following details in the Maintain Subscription Settings for GSDO screen:
Field Description
GSDO Type IWCNT~OM_REPORT_RESULT_SET
SAP System Alias Name of the SAP NetWeaver Gateway system alias.
Event Group ID REPORT_RESULT_NOTIF
Description Event for Report Result Set
XNotification Type IWCNT~OM_REPORT_PUSH_NOTIF
No Backend Check this option.
4. Save your settings.
SAP NetWeaver Gateway Configuration Guide
(C) SAP AG SAP NetWeaver Gateway 2.0 SPS08 193
Settings for Reporting Administration
The following configurations must be performed on the Reporting Administrator IMG to
retrieve the data requested by the users:
Manage Source Systems, Report Types and Formats [Page 194]
Manage Reports and their Properties [Page 196]
Manage Categories [Page 205]
Manage Context Variables [Page 206]
Configure System Time points [Page 208]
Manage System Time points and Data Change Events [Page 209]
SAP NetWeaver Gateway Configuration Guide
(C) SAP AG SAP NetWeaver Gateway 2.0 SPS08 194
Managing Source Systems, Report Types and Formats
Manage Source Systems, Report Types and Formats activity allows you to maintain report
source systems, types, and delivery formats. The source systems, report types and formats
you maintain here are displayed in the customizing activity Manage Reports and their
Properties.
Maintaining Report Delivery Formats
To maintain report delivery formats, proceed as follows:
1. In transaction SPRO open the SAP Reference IMG and navigate to: SAP
NetWeaver Gateway Content Reporting Administration Peripheral Settings
Manage Source Systems, Report Types and Formats and click the Activity icon.
2. Choose New Entries to define a new format.
Field Description
Report Delivery Format Enter the format in which the report should be delivered.
File Type
Delivery Format Description Enter a description for the delivery format.
3. Save your settings.
Maintaining Source Systems, Report Types and Report Formats
To maintain source systems, report types and report formats, proceed as follows:
1. In transaction SPRO open the SAP Reference IMG and navigate to: SAP
NetWeaver Gateway Content Reporting Administration Peripheral Settings
Manage Source Systems, Report Types and Formats and click the Activity icon.
2. Select a report delivery format from the Delivery Formats section and double-click
Manage Source Systems. The page displays the source systems for reports that
have been defined.
3. Select a report source type and double-click Manage Report Types. The page
displays the report types that have been configured for the source system.
4. Choose New Entries to define a new report type. Enter a name and description for
the report type.
5. Save your settings.
6. In the Manage Report Types view, select a row and double-click Manage Formats.
The page lists all report formats that have been defined for the report type.
7. Choose New Entries to specify a new format.
Field Description
Report Delivery
Format
Select a delivery format here. The formats you have configured in the
Delivery Formats view is displayed here.
Delivery Format
Description
Enter a description for the delivery format.
SAP NetWeaver Gateway Configuration Guide
(C) SAP AG SAP NetWeaver Gateway 2.0 SPS08 195
Field Description
Default
Select this checkbox to specify the format as the default format for the
report type.
8. Save your settings.
SAP NetWeaver Gateway Configuration Guide
(C) SAP AG SAP NetWeaver Gateway 2.0 SPS08 196
Managing Reports and their Properties
You can manage a report assigned to the SAP NetWeaver Gateway. You can also configure
a new report, edit its properties.
Requirements
Other important configurations like system alias, source system, categories, and context
variables must be defined. The reports configured here must already exist in the RFC
destination.
Configuring a New Report [Page 197]
Configuring Report Parameters [Page 199]
Configuring Multiple Values for a Parameter [Page 201]
Configuring Delivery Formats for a Report [Page 202]
Specifying Roles for a Report [Page 203]
Report Scheduling [Page 204]
SAP NetWeaver Gateway Configuration Guide
(C) SAP AG SAP NetWeaver Gateway 2.0 SPS08 197
Configuring a New Report
To configure a new report, proceed as follows:
1. In transaction SPRO open the SAP Reference IMG and navigate to: SAP
NetWeaver Gateway Content Reporting Administration Report Settings Manage
Reports and their Properties and click the Activity icon. All reports that have been
configured are listed.
2. Choose New Entries to create a new report.
3. In the Report Source and Type section, enter the following values:
Field Description
SAP System Alias
Select the source system from which the report is derived.
Note
Choose the source system based on the type of report (ERP or BW).
End of the note.
Report Type Choose the report type.
Work Area, User
Group, Query Name
Press F4 in one of these fields and select a value. The other two fields
are automatically populated with their corresponding values.
Note
This is specific to SAP ERP query.
End of the note.
4. In the Report Properties section, specify the following values:
Field Description
Technical Name Enter the technical name of the report.
ALV Layout
Variant
Select a layout for the report.
Report Title Enter a title for the report.
Report
Description
Enter a description for the report.
Category Select the category of the report.
Active
Select the checkbox to make the report available to the users. This
checkbox is available only if at least one role is maintained for the report.
Forward Report
Template
Not applicable.
5. In the Allow Users to Run the Report section, specify the following values:
SAP NetWeaver Gateway Configuration Guide
(C) SAP AG SAP NetWeaver Gateway 2.0 SPS08 198
Field Description
Immediately
If this checkbox is selected, the user can run the report any time. It is
executed immediately and is delivered to the user’s client when ready.
Based on user-
defined
scheduling
If this checkbox is selected, the user is allowed to schedule when the report
should be run.
If this checkbox is not selected, then If there are report settings created with
free scheduling for the master template, those along with the corresponding
jobs on the backend gets deleted.
Based on time
points
If this checkbox is selected, the user is allowed to run the report based on
time points. (Time points are specified in the Report Scheduling view.)
If this checkbox is selected, the Based on user-defined scheduling checkbox
is also selected.
Note
This checkbox is enabled only if at least one time point is maintained.
Based on data
change events
If this checkbox is selected, the user is allowed to run the report based on
data change events. (Data change events refer to events that can trigger a
report run when certain conditions are met and data in the SAP system are
changed. Data change events are configured in the Report Scheduling
view.)
Note
This option is available only for BW reports. This checkbox is enabled only if
at least one data change event is configured.
If this checkbox is selected, the Based on user-defined scheduling checkbox
is also selected.
6. In the Display Documentation to End users section, select one of the following
options:
Field Description
Existing
documentation
Select this option to display the existing report documentation to users.
Custom
documentation
Select this option if you would like to create a new documentation for
the report.
None Select this option to not display any report documentation to users.
7. Save your settings.
After you have configured the report, click the Check icon (or press CTRL+F7) to check if all
configurations for the report are correct. This runs the report
/IWCNT/R_REPORT_CONFIG_CHECKS. If you run this report from the main Manage
Reports and their Properties view where all the reports are listed, the checks are carried out
for all displayed reports.
SAP NetWeaver Gateway Configuration Guide
(C) SAP AG SAP NetWeaver Gateway 2.0 SPS08 199
Configuring Report Parameters
To configure report parameters, proceed as follows:
1. In transaction SPRO open the SAP Reference IMG and navigate to: SAP
NetWeaver Gateway Content Reporting Administration Report Settings Manage
Reports and their Properties and click the Activity icon. All reports that have been
configured are listed.
2. Choose a report from the Manage Reports and their Properties view list. Double-click
Report Parameters and Values in the dialog structure on the left. The parameters of
the report are listed.
3. Enter the following values for the editable fields:
Field Description
Order
For each parameter, enter a number to represent the order in which it
should be displayed to the user.
Mandatory
Select the checkbox if it is mandatory for the users to enter a value for the
parameter.
Display
Specify whether the parameter should be displayed to users or not, and
whether it should be editable if displayed.
Parameter
Name
Change the name of the parameter.
Radio Buttons
Group Name
If you want to group certain parameters together and display them as a
series of radio buttons, enter group names for each set of radio buttons.
For example, you could enter the group name Date for parameters Today,
Tomorrow and Specify Date; and the group name Country for parameters
One country and Several countries.
F4 Availability
If this option is enabled, it indicates that the F4 option is available. You
cannot edit this option.
Context Group Specify the context group for the parameter.
Context Variable Enter the context variable for the parameter.
Sign
Select Inclusive here to query reports that are within the values specified in
the parameter.
For example, if the parameter dates specify August 01 to August 30, the
report considers these dates when run.
Default
Condition
Select the default condition to be displayed for the parameter. This option
only specifies the default display. The user can still select other conditions
for the value.
Default
Low/From Value
Enter the default starting value to be displayed for parameters that require a
range of values.
Default High/To
Value
Enter the default ending value to be displayed for parameters that require.
SAP NetWeaver Gateway Configuration Guide
(C) SAP AG SAP NetWeaver Gateway 2.0 SPS08 200
Note
In case a particular parameter has multiple parameter values then the value, which
has the lowest parameter order is displayed and this cannot be modified.
4. Save your settings.
SAP NetWeaver Gateway Configuration Guide
(C) SAP AG SAP NetWeaver Gateway 2.0 SPS08 201
Configuring Multiple Values for a Parameter
To configure multiple values for a parameter, proceed as follows:
1. In transaction SPRO open the SAP Reference IMG and navigate to: SAP
NetWeaver Gateway Content Reporting Administration Report Settings Manage
Reports and their Properties and click the Activity icon. All reports that have been
configured are listed.
2. Choose a report from the Manage Reports and their Properties view list. Double-click
Report Parameters and Values in the dialog structure on the left. The parameters of
the report are listed.
3. Choose a parameter for which multiple values can be configured, in the Report
Parameters and Values view. Double-click Define Multiple Values in the dialog
structure on the left. The page lists all values that have been configured for the
parameter.
4. Choose New Entries to define a new value.
5. Enter the default conditions for the new parameter value.
6. Save your settings.
SAP NetWeaver Gateway Configuration Guide
(C) SAP AG SAP NetWeaver Gateway 2.0 SPS08 202
Configuring Delivery Formats for a Report
To configure delivery formats for reports, proceed as follows:
1. In transaction SPRO open the SAP Reference IMG and navigate to: SAP
NetWeaver Gateway Content Reporting Administration Report Settings Manage
Reports and their Properties and click the Activity icon. All reports that have been
configured are listed.
2. Choose a report from the Manage Reports and their Properties view list. Double-click
Report Formats in the dialog structure on the left. The parameters of the report are
listed.
3. In the Manage Reports and their Properties view, select a report and double-click
Report Formats for Report Type in the dialog structure on the left. The page lists all
delivery formats that have been specified for the report.
4. Configure the following values for a format:
Field Description
Format Select the report format.
Display
Select whether the format should be allowed or not allowed. You can also specify
whether the format should be the default format if allowed.
5. Save your settings.
SAP NetWeaver Gateway Configuration Guide
(C) SAP AG SAP NetWeaver Gateway 2.0 SPS08 203
Specifying Roles for a Report
To specify roles for a report, proceed as follows:
1. In transaction SPRO open the SAP Reference IMG and navigate to: SAP
NetWeaver Gateway Content Reporting Administration Report Settings Manage
Reports and their Properties and click the Activity icon. All reports that have been
configured are listed.
2. Choose a report from the Manage Reports and their Properties view list. Double-click
Report Roles in the dialog structure on the left. The page lists all roles that can
access the report.
3. Choose New Entries.
4. In the Role field, press F4 and choose a role.
5. Save your settings.
SAP NetWeaver Gateway Configuration Guide
(C) SAP AG SAP NetWeaver Gateway 2.0 SPS08 204
Report Scheduling
To define scheduling for a report, proceed as follows:
1. In transaction SPRO open the SAP Reference IMG and navigate to: SAP
NetWeaver Gateway Content Reporting Administration Report Settings Manage
Reports and their Properties and click the Activity icon. All reports that have been
configured are listed.
2. Choose a report from the Manage Reports and their Properties view list. Double-click
Report Scheduling in the dialog structure on the left. The page lists all scheduling
options that have been defined for the report.
3. Configure the following values for a scheduling option:
Field Description
Type
Choose if the report should be run based on a time point or a data change
event.
Event Name Enter the name of the time point or data change event.
Event
Description
Enter a description for the time point or data change event.
Display
Choose whether running a report based on this schedule should be allowed or
not allowed. You can also specify whether the schedule should be the default
schedule if allowed.
4. Save your settings.
SAP NetWeaver Gateway Configuration Guide
(C) SAP AG SAP NetWeaver Gateway 2.0 SPS08 205
Managing Categories
Each report configured can have a category assigned to it. You can add, modify and delete
report categories. Only categories that are defined here are displayed in the activity Manage
Reports and their Properties.
Deletion of a category is not allowed unless all the report templates under the category are
moved to a different category or deleted.
To create a new category, proceed as follows:
1. In transaction SPRO open the SAP Reference IMG and navigate to: SAP
NetWeaver Gateway Content Report Administration Report Settings Manage
Categories and click on the Activity icon.
2. Choose New Entries to define a new category. Enter a name and description for the
category.
3. Save your settings.
SAP NetWeaver Gateway Configuration Guide
(C) SAP AG SAP NetWeaver Gateway 2.0 SPS08 206
Managing Context Variables
You can define context variables for various tasks. Context variables make entering
parameter values easy for users. For example, you can create context variables for dates
such as today, tomorrow and this year. Users can select such relative values when running a
report, instead of having to select exact dates from a displayed calendar.
Context variables can be assigned to a context group and a data type can be specified for
each group.
Standard Settings
Five context variables are predelivered in the system. You can modify these and also create
new ones.
Maintaining Context Groups
Proceed as follows:
1. In transaction SPRO open the SAP Reference IMG and navigate to: SAP
NetWeaver Gateway Content Reporting Administration Report Settings Manage
Context Variables and click the Activity icon.
2. Choose New Entries to define a new context group
Field Description
Context Group Enter a name for the context group.
Context Group Description Enter the name of the time point or data change event.
Value Type Select the data type for the context group.
3. Save your settings.
Maintaining Context Variables
Proceed as follows
1. In transaction SPRO open the SAP Reference IMG and navigate to: SAP
NetWeaver Gateway Content Reporting Administration Report Settings Manage
Context Variables and click the Activity icon.
2. In the Manage Context Groups view, select a context group and double-click Manage
Context Variables on the dialog structure in the left menu. The page lists all context
variables that have been defined for the group.
3. Choose New Entries to create a new variable.
Field Description
Context Variable
Specify the technical name for the context variable to map it to an
RFC destination.
Context Variable
Description
Enter a description for the context variable.
Control Type Select Parameter if the variable refers to specific values (for
SAP NetWeaver Gateway Configuration Guide
(C) SAP AG SAP NetWeaver Gateway 2.0 SPS08 207
Field Description
example, a date).
Select Select-Options if the variable refers to relative values (for
example, a date range).
4. Save your settings.
Maintaining Context Variables Mappings
Proceed as follows
1. In transaction SPRO open the SAP Reference IMG and navigate to: SAP
NetWeaver Gateway Content Reporting Administration Report Settings Manage
Context Variables and click the Activity icon.
2. In the Manage Context Variables view, select a context variable and double-click
Enable Context Variables on the dialog structure in the left menu. The page lists the
SAP System Alias that the context variable has been mapped to.
3. Choose New Entries to define a new system.
Field Description
SAP System Alias Select the SAP System Alias of the system to locate the class.
Class Select the class name.
4. Save your settings.
SAP NetWeaver Gateway Configuration Guide
(C) SAP AG SAP NetWeaver Gateway 2.0 SPS08 208
Configuring System Time Points
You must configure a system time point for a report. Before you define the system time points
for a report, you must define a schedule for them. You define scheduling for the system time
points by creating a background job for it.
Create a background job and define a schedule for it.
Define and subscribe the system time points for a report.
To define the schedule using background jobs, proceed as follows:
1. Go to transaction SM36.
2. Enter a name for the new background job in the Job Name field. For example,
TP_BROADCASTING_ERPReport001.
Note
Do not change the default values for Job class, Status, and Exec. Target.
3. Choose Start condition. The Start Time dialog box displays.
4. Choose Date/Time, and enter the values.
5. Check Periodic Job.
6. Choose Periodic Values.
7. Choose the schedule you want, and save your settings.
8. Choose Step from Define Background Job screen. The Create Step 1 dialog box
displays.
9. In Program name under ABAP program, enter the following names to create two
steps for the job with the following:
o RSRD_BROADCAST_FOR_TIMEPOINT
o /OSP/IW_TIMEPOINT_PROCESS
10. Choose Save, and from Job in the Define Background Job menu bar, choose Save.
SAP NetWeaver Gateway Configuration Guide
(C) SAP AG SAP NetWeaver Gateway 2.0 SPS08 209
Managing System Time points and Data Change
Events
Note
You must manage events data change only for Business Intelligence (BI) reports.
Time points refer to frequencies (for example, every hour, every 2 days, every Saturday) that
are defined and used by various jobs and schedulers. You can create time points there, so
that they can be used by reports and run at such frequencies.
An event signals that a particular situation has occurred in the system and specific
background processing that is waiting for this event must be activated accordingly. Events
data changes are associated with a process chain, which is a sequence of processes waiting
in the background for an event. You configure events data change by creating a variant of
process chain, defining a schedule, and activating it.
Creating Variant for a Process Chain and Define Schedule
To create a variant for a process chain, and define the schedule, proceed as follows:
1. Go to transaction RSPC.
2. Choose Create to create a new process chain.
3. Enter a name for the process chain and choose Continue. The Insert a Start Process
dialog is displayed. Create a process variant as the start process of the chain.
4. Choose Create and enter a name and description for the variant.
5. Choose Change Selections.
6. Choose Date/Time to schedule date and time.
7. Choose Periodic Job.
8. Choose Period Values. Select the schedule you want to use (hourly, daily, weekly,
monthly, other periods).
9. Save your settings.
10. Click the Process Types icon to load all available process types.
11. Under Load Process and Post Processing, select Trigger Event Data change (for
broadcaster) to insert the variant of the process chain.
12. Click the Create icon to create a new event and give it a name and a description. The
Info cube (Info provider) for which you created the event data change is displayed.
13. Press F4 to select the Info cube (Info provider).
14. Save your settings. This inserts the newly created event data change in the process
chain.
15. Choose Start Process and move the pointer over the event data change.
16. Click the Activate icon, and then the Activate and Schedule icon. Select the relevant
application server to activate and schedule.
You can test whether the event data change is functional. Testing involves modifying data
from an Info cube.
SAP NetWeaver Gateway Configuration Guide
(C) SAP AG SAP NetWeaver Gateway 2.0 SPS08 210
Defining Time Points and Data Change Events
To check whether the event data change is functional, proceed as follows:
1. Go to transaction RSRD_START.
2. Select the name of the Info cube for which you have defined the event data change.
3. Click the Execute icon with ‘P_ONLINE’ checked.
To define time points and data change events, proceed as follows:
1. In transaction SPRO open the SAP Reference IMG and navigate to: SAP
NetWeaver Gateway Content Reporting Administration Report Settings Manage
System Time Points and Data Change Events and click the Activity icon.
2. Click Refresh to retrieve the latest list of system time points and data change events.
The Status column shows the status of items that have been updated or deleted.
3. Check the Active checkbox for time points and data change events that should be
used to configure reports. These time points and events are now available in the
activity Manage Reports and their Properties.
SAP NetWeaver Gateway Configuration Guide
(C) SAP AG SAP NetWeaver Gateway 2.0 SPS08 211
Settings for Human Capital Management for SAP
NetWeaver Gateway
Overview
The SAP Human Capital Management (HCM) facilitates use of time management in SAP
ERP HCM for leave management processes, recording working time processes, and clocking
in and out processes. It enables customers and partners to create their own user interfaces
for time data maintenance by employees on top of the core business process. SAP
NetWeaver Gateway provides Time Management and Leave Management as part of HCM
services.
The SAP ERP system and the SAP NetWeaver Gateway system should be configured to use
the Time Management and Leave Management services.
Preface
The chapter Settings for Time Management [Page 212] lists the basic settings for
Time Management.
o The section Configuring SAP ERP System and SAP NetWeaver Gateway
System-Time [Page 215] guides you through the configurations that should
be performed in the SAP ERP system and SAP NetWeaver Gateway system
to use Time Management application.
The chapter Settings for Leave Management [Page 220] lists the basic settings for
Leave Management.
o The section Configuring SAP ERP System and SAP NetWeaver Gateway
System-Leave [Page 223] guides you through the configurations that should
be performed in the SAP ERP system and SAP NetWeaver Gateway system
to use Leave Management application.
Reference
For more information, see SAP Library for SAP ERP on SAP Help Portal at
http://help.sap.com/erp.
In SAP Portal, SAP ERP SAP ERP Central Component (Open the documentation)
Expand SAP ERP Central Component Expand Human Resources Choose
Personnel Time Management .
In SAP Portal, SAP ERP SAP ERP Central Component (Open the documentation)
Expand SAP ERP Central Component Expand Business Packages (Portal
Content) Choose Business Package for Employee Self-Service (SAP ERP) 1.0
Expand Working Time Expand Leave Request .
SAP NetWeaver Gateway Configuration Guide
(C) SAP AG SAP NetWeaver Gateway 2.0 SPS08 212
Settings for Time Management
Introduction
The Time Management application enables you to perform time recording functions while
away from your desk in any device or platform.
Example
For example, Mobile, Collaboration, Social Networks, Groupware Integration and
Portals.
This chapter provides the basic settings which have to done before using the Time
Management application.
Prerequisites
The consumer must have a personnel number in the SAP system.
The SAP ERP system must be configured for this consumer to use Time
Management.
Creating Roles
In the SAP NetWeaver Gateway system, roles should be created and these roles must be
assigned to the GSDO group. The SAP NetWeaver Gateway users should be assigned to
these roles so that they will be able to use SAP NetWeaver Gateway services.
For assigning the roles, the following steps should be performed:
Identify the list of SAP ERP systems that needs to be accessed by the SAP
NetWeaver Gateway.
Create system alias for all the identified SAP ERP systems.
For all the identified SAP ERP systems, define a role to be assigned for the users to
access Time Management.
Note
1. You must be a SAP NetWeaver Gateway administrator to create the roles.
2. The roles must be defined/created in the SAP NetWeaver Gateway system.
To create roles proceed as follows:
1. Open transaction pfcg in the SAP NetWeaver Gateway system.
2. Enter a name for the role in the Role field.
3. Choose Single Role.
4. Save the Role.
5. Choose the Authorization tab.
6. Choose Change Authorization.
7. Choose the template mentioned in the Role Templates section.
SAP NetWeaver Gateway Configuration Guide
(C) SAP AG SAP NetWeaver Gateway 2.0 SPS08 213
8. Choose Generate to create a new role.
For more information on creating and changing roles, see Changing Standard Roles
[External].
Role Templates
Use the predefined role templates mentioned in the table below to create user roles for Time
Management:
Template Name Template For
/IWCNT/RT_USER_TIMA Time Management
Authorizations
The user must have the following authorizations to access SAP NetWeaver Gateway system
for Time Management:
Service
Authorization
Object
Authorization Values
/IWCNT/SG_TIME_RECORDING_0001 S_SERVICE
SRV Name –
15DA80503D25C5D856CB6072DC9598
,56B1795EE40F0F7302DE059E7586FA
SRV Type – HT
/IWCNT/SG_TIME_RECORDING_0001 S_TCODE TCD – SICF
While creating role template in the SAP ERP system, include the authorizations provided in
the table below. The user must have these authorizations to access SAP ERP system for
Time Management:
Service
Authorization
Object
Authorization Values
ECC_WORKAGSIMPLERELEMENTSQR S_SERVICE
SRV Name —
583824D652C5AF040CDB5E6A3938C8
SRV Type — HS
ECC_EMPTIMFEMPTIMSHEETELEQR S_SERVICE
SRV Name —
C0972E83D4383710F9FD8B8FB78280
SRV Type – HS
ECC_EMPTIMSHEETCHGRC S_SERVICE
SRV Name —
E564B11456D8E712E179A6EF4CBFC4
SRV Type — HS
SAP NetWeaver Gateway Configuration Guide
(C) SAP AG SAP NetWeaver Gateway 2.0 SPS08 214
Configurations for Time Management — Generic Channel
Settings on SAP NetWeaver Gaterway System for Time Management [Page 215]
SOA Management Configurations on the SAP NetWeaver Gateway for Time
Management — Generic Channel [Page 216]
SOA Management Configurations on the SAP ERP System for Time Management —
Generic Channel [Page 218]
Reference
For more information, see SAP Library for SAP ERP on SAP Help Portal at
http://help.sap.com/erp.
In SAP Portal, SAP ERP SAP ERP Central Component (Open the documentation)
Expand SAP ERP Central Component Expand Human Resources Choose
Personnel Time Management .
SAP NetWeaver Gateway Configuration Guide
(C) SAP AG SAP NetWeaver Gateway 2.0 SPS08 215
Settings for Time Management on SAP NetWeaver
Gateway
The basic configurations required to connect the SAP NetWeaver Gateway system (also
referred as Consumer System) with the SAP ERP system (also referred as Provider System)
are provided here.
See SOA Management Configurations on the SAP ERP System [Page 130] and SOA
Management Configurations on the SAP NetWeaver Gateway [Page 141].
Assigning Roles to a GSDO Group
To assign roles to the GSDO Group proceed as follows:
1. In transaction SPRO open the SAP Reference IMG and navigate to: SAP
NetWeaver Gateway Former Development Generic Channel Administration
General Settings Manage GSDO Groups and click on the Activity icon.
2. Select the GSDO Group IW_TIMA for Time Management, from the Manage GSDO
Groups list.
3. Choose Assign User Roles on the dialog structure.
4. Choose New Entries.
5. Choose the role name from the view cluster. For example, Z_Role.
6. Save your settings.
Assigning GSDO Group to SAP System Aliases
GSDO groups can be assigned to SAP system aliases. With this assignment, an inbound
request from a SAP NetWeaver Gateway consumer can be routed to the corresponding SAP
system. That is, the system can identify the backend system which is responsible for
processing (managing and storing) the data of an inbound request.
To assign GSDO Group to SAP System Aliases proceed as follows:
1. In transaction SPRO open the SAP Reference IMG and navigate to: SAP
NetWeaver Gateway Former Development Generic Channel Administration
General Settings Manage GSDO Groups and click on the Activity icon.
2. Select the GSDO Group IW_TIMA for Time from the Manage GSDO Groups list.
3. Choose Assign SAP System Aliases on the dialog structure.
4. Choose New Entries.
5. Enter the role name created above Z_Role in the User Role column.
6. Press F4 to select a system alias in the SAP System Alias column.
7. Save your settings.
Continue with SOA Management Configurations on the SAP NetWeaver Gateway for Time
Management [Page 141] and SOA Management Configurations on the SAP ERP System for
Time Management [Page 130]
SAP NetWeaver Gateway Configuration Guide
(C) SAP AG SAP NetWeaver Gateway 2.0 SPS08 216
Configurations on the SAP ERP System (Provider
System) for Time Management
Note
SAP ERP system is also called as Provider system in this section.
When you are configuring the Provider system for the first time (either for Leave
Management, Time Management or Code List) you must perform all the steps
provided in the procedure below. But, once you configure the provider system for any
one of the applications (either Leave Management, Time Management, or Code List)
you can ignore the following steps when configuring the system for the rest of the
applications:
o Importing a profile using an XML Template or creating a profile
o Assigning personnel number for an employee
o Obtaining WSIL URL
o Obtaining the external key of the provider system.
End of the note.
To configure the provider system:
1. You can either import a profile using an XML template or create a profile.
Importing a profile using an XML template [Page 131]
or Creating a profile [Page 133]
2. Import endpoints using a Business Scenario Configuration XML [Page 135] or
Creating endpoints using a Business Scenario [Page 137]
3. Verifying the endpoints created [Page 139]
4. Assigning personnel number for an employee:
To assign an SAP User ID to a Personnel Number proceed as follows:
1. Logon to the provider system.
2. Open transaction PA30.
3. Choose the Personnel number.
4. In the Direct selection section, choose Communication (0105) in the Infotype
field, and System user name (0001) in the STy (Subtype) field.
5. Click the Change icon or press F6 from the key board to view the Change
Communication page.
6. In the Communication section, enter the SAP user ID in the ID/number field.
You have now assigned the SAP User ID to a Personnel number.
5. Obtaining WSIL URL
1. On the Provider system, open transaction sicf.
2. Enter SERVICE for the Hierarchy Type.
SAP NetWeaver Gateway Configuration Guide
(C) SAP AG SAP NetWeaver Gateway 2.0 SPS08 217
3. Enter WSIL for the Service Name.
4. Choose Execute.
Note
The WSIL (Web Service Inspection Language) service lists the configuration
of all web services exposed by the system.
5. Choose WSIL folder and right click and select Test Service.
6. A browser window opens, copy the URL from this browser. This is the WSIL
URL.
6. Obtaining the external key of the provider system [Page 140].
Continue with, SOA Management Configurations on the SAP NetWeaver Gateway for Time
Management [Page 141]
SAP NetWeaver Gateway Configuration Guide
(C) SAP AG SAP NetWeaver Gateway 2.0 SPS08 218
Configurations on the SAP NetWeaver Gateway
System (Consumer System) for Time Management
Note
SAP NetWeaver Gateway system is also called as Consumer system in this section.
When you are configuring the Consumer system for the first time (either for Leave
Management, Time Management or Codelist) you must perform all the steps provided
in the procedure below. But, once you configure the Consumer system for any one of
the applications (either Leave Management, Time Management, or Codelist) you can
ignore the following steps when configuring the system for the rest of the applications:
o Importing a profile file
o Creating a system connection to the Provider system
o User account management
o Assigning system aliases
o Configuring destination finder
Configurations on the consumer system include:
1. Importing a Profile file [Page 142] — Import the Profile created in the Provider [Page
130] system.
Note
You must import the same profile created in the provider system, else mass
configuration of web service proxies in the service groups is not possible.
2. Creating a system connection to the Provider system [Page 144]
3. User account management [Page 145]
4. Importing a business scenario Configuration XML [Page 147] or Configuring service
groups using business scenarios [Page 149]/ — You can either manually configure
service groups using a business scenario or import a business scenario configuration
XML.
5. Verifying logical ports [Page 151]
6. Assigning system aliases:
1. In transaction SPRO open the SAP Reference IMG and navigate to: SAP
NetWeaver Gateway Former Development Generic Channel
Administration General Settings Manage GSDO Groups and click the
Activity icon.
2. Choose Assign GSDOs, the added GSDO is present in the list.
3. Select the GSDO Type and click Assign SAP System Alias:
User Role: A specific User Role can be maintained which is checked
to link to the designated system.
SAP System Alias: Add the Provider System's name.
SAP NetWeaver Gateway Configuration Guide
(C) SAP AG SAP NetWeaver Gateway 2.0 SPS08 219
4. Select the System Alias and click Assign User Roles: User Roles can be
defined here.
Blank: Refers to All Roles.
7. Configuring Destination Finder:
The Provider systems configured from SOA Manager have to be entered in the
configuration of the Destination Finder so that during runtime, SAP NetWeaver
Gateway can select the right provider system for a given system alias. This activity
allows you to define RFC destinations that point to relevant SAP business systems. If
an RFC destination points to an SAP system alias that system alias points to the
corresponding SAP business system.
Note
Only RFC destinations of connection type 3 (Connection to ABAP System) can be
used.
1. In transaction SPRO open the SAP Reference IMG and navigate to: SAP
NetWeaver Gateway Former Development Generic Channel
Configuration Connection Settings SAP NetWeaver Gateway to SAP
System Manage RFC Destinations and click the Activity icon.
2. Create a New RFC connection by specifying the RFC Destination and
Connection Type.
3. Save the new RFC connection.
4. Go back to the SAP NetWeaver Gateway to SAP System activity.
5. Execute the Manage System Aliases IMG Activity.
6. Create a new System Alias by selecting the New Entries button.
7. Provide the created RFC connection.
8. Enter the Provider system's name for the system alias.
9. Save the settings.
SAP NetWeaver Gateway Configuration Guide
(C) SAP AG SAP NetWeaver Gateway 2.0 SPS08 220
Settings for Leave Management
Introduction
By using Leave Management application, you can perform leave request functions while away
from your desk in any device or platform, like Mobile, Collaboration, Social Networks,
Groupware Integration and Portals.
This section provides the basic settings that have to be done before using the Leave
Management application.
Prerequisites
The consumer must have a personnel number in the SAP system
SAP ERP system must be configured for the consumer to use Leave Management
Creating Roles
Roles should be created in SAP NetWeaver Gateway system to use Leave Management, and
these roles must be assigned to the GSDO group. The SAP NetWeaver Gateway users
should be assigned to these roles so that they will be able to use SAP NetWeaver Gateway
service. For this:
Identify the list of SAP ERP systems that needs to be accessed by the SAP
NetWeaver Gateway.
Create system aliases for all the identified SAP ERP systems.
For all the identified SAP ERP systems, define roles to be assigned for the users to
access Leave Management.
Note
1. You must be a SAP NetWeaver Gateway administrator to create the roles.
2. The roles must be defined/created in the SAP NetWeaver Gateway system.
To create roles proceed as follows:
1. Open transaction pfcg in the SAP NetWeaver Gateway system.
2. Enter a name for the role in the Role field.
3. Choose Single Role.
4. Save the Role.
5. Choose the Authorization tab.
6. Choose Change Authorization.
7. Choose the template mentioned in the Role Templates section.
8. Choose Generate to create a new role.
For more information on creating and changing roles, see Changing Standard Roles
[External].
SAP NetWeaver Gateway Configuration Guide
(C) SAP AG SAP NetWeaver Gateway 2.0 SPS08 221
Role Templates
Use the predefined role templates mentioned in the table below to create user roles for Leave
Management:
Template Name Template For
/IWCNT/RT_USER_LEMA Leave Management
Authorizations
The user must have the following authorizations to access SAP NetWeaver Gateway services
for Leave Management:
Service
Authorization
Object
Authorization Values
/IWCNT/SG_LEMA_0001 S_SERVICE
SRV Name –
178B5CF583803F4D41D776D1835180
SRV Type – HT
/IWCNT/RFC_LEMA_HANDLE_MESSAGE,
/IWCNT/RFC_WF_HANDLE_MESSAGE
S_RFC
RFC Name-
/IWCNT/RFC_LEMA_HANDLE_MESSAGE,
/IWCNT/RFC_WF_HANDLE_MESSAGE
RFC Type-FUGR, FUNC
ACTVT-16
S_TCODE TCD-SICF
While creating role template in the SAP ERP system, include the authorizations provided in
the table below. The user must have these authorizations in the SAP ERP to access SAP
NetWeaver Gateway services for Leave Management:
Service
Authorization
Object
Service
Type
Authorizatio
ECC_EMPLEAVEREQPARCTQR/EXECUTE_SYNCHRONOUS S_SERVICE WS
SRV Name —
381C9B6096E63BEF
SRV Type — HS
ECC_EMPLEAVEREQCNCRC/EXECUTE_SYNCHRONOUS S_SERVICE WS
SRV Name —
79F2B3B8266788FD
SRV Type – HS
ECC_EMPLEAVEREQCRTRC/EXECUTE_SYNCHRONOUS S_SERVICE WS
SRV Name —
3A150DD75DE83DFC
SRV Type — HS
ECC_EMPLEAVEREQCHGRC/EXECUTE_SYNCHRONOUS S_SERVICE WS
SRV Name —
89BD2B92F60F7D79
SAP NetWeaver Gateway Configuration Guide
(C) SAP AG SAP NetWeaver Gateway 2.0 SPS08 222
Service
Authorization
Object
Service
Type
Authorizatio
SRV Type — HS
ECC_WORKAGSIMPLERELEMENTSQR/EXECUTE_SYNCHRONOUS S_SERVICE WS
SRV Name —
583824D652C5AF04
SRV Type — HS
ECC_EMPLEAVEREQIDQR/EXECUTE_SYNCHRONOUS S_SERVICE WS
SRV Name —
08A104454076EC3E
SRV Type — HS
ECC_EMPLEAVEREQCONFEMPQR/EXECUTE_SYNCHRONOUS S_SERVICE WS
SRV Name —
528739D078812D40
SRV Type — HS
BAPI_TIMEQUOTA_GETDETAILEDLIST S_RFC
RFC_TYPE FUGR
RFC_NAME TIQU
ACTVT 16
Reference
For more information, see SAP Library for SAP ERP and SAP R/3 and R/3 Enterprise on SAP
Help Portal at http://help.sap.com/erp.
In SAP Portal, SAP ERP SAP ERP Central Component (Open the documentation)
Expand SAP ERP Central Component Expand Business Packages (Portal
Content) Choose Business Package for Employee Self-Service (SAP ERP) 1.0
Expand Working Time Expand Leave Request .
SAP NetWeaver Gateway Configuration Guide
(C) SAP AG SAP NetWeaver Gateway 2.0 SPS08 223
Configuring SAP NetWeaver Gateway System for
Leave Management
Creating System Aliases for Applications
System Alias is the name defined for each system, so that the other systems can reference
this system. This section provides the steps to create system alias for the SAP NetWeaver
Gateway system.
To create System Alias for applications proceed as follows:
1. In transaction SPRO open the SAP Reference IMG and navigate to: SAP
NetWeaver Gateway Former Development Generic Channel Configuration
Connection Settings SAP NetWeaver Gateway to SAP System Manage SAP
System Aliases and click on the Activity icon.
2. Choose New Entries.
3. Enter the following details for the system alias:
Field Description
SAP System
Alias
Name of the system alias.
Description Descriptive text for the system alias.
Local GW
Should be unchecked if the ERP system is not on the same system as the
SAP NetWeaver Gateway system.
Check it if the ERP system is on the same system as the SAP NetWeaver
Gateway system.
RFC
Destination
Specify the RFC destination defined for your SAP system.
WS Provider
System
Note
Select a provider system if you are using SAP.
End of the note.
Choose the provider system. For information on configuring a provider
system, see Configuring the Consumer System [Page 144].
Software
Version
ERP 6.0 or higher
4. Save your settings.
SAP NetWeaver Gateway Configuration Guide
(C) SAP AG SAP NetWeaver Gateway 2.0 SPS08 224
Assigning Roles to a GSDO Group
By assigning a role to a GSDO group it will inherit the properties of the role.
To assign roles to the GSDO Group proceed as follows:
1. In transaction SPRO open the SAP Reference IMG and navigate to: SAP
NetWeaver Gateway Former Development Generic Channel Administration
General Settings Manage GSDO Groups and click on the Activity icon.
2. Select the GSDO Group (IWCNT_GW_LEMA) for Leave Management, from the
Manage GSDO Groups list.
3. Choose Assign User Roles on the dialog structure.
4. Choose New Entries.
5. Choose the role name from the view cluster. For example, Role_1.
6. Save your settings.
Assigning SAP System Aliases to a GSDO Group
GSDO groups can be assigned to SAP system aliases. With this assignment, an inbound
request from a SAP NetWeaver Gateway consumer can be routed to the corresponding SAP
system. That is, the system can identify the backend system which is responsible for
processing (managing and storing) the data of an inbound request.
To assign GSDO Group to SAP System Aliases proceed as follows:
1. In transaction SPRO open the SAP Reference IMG and navigate to: SAP
NetWeaver Gateway Former Development Generic Channel Administration
General Settings Manage GSDO Groups and click on the Activity icon.
2. Select the GSDO Group IWCNT_GW_LEMA for Leave Management from the Manage
GSDO Groups list.
3. Choose Assign SAP System Aliases on the dialog structure.
4. Choose New Entries.
5. Enter the role name created above Role_1 in the User Role column.
6. Press F4 to select a system alias in the SAP System Alias column.
7. Save your settings.
Continue with,
Configurations on SAP ERP System (Provider System) for Leave Management [Page
225]
Configurations on SAP NetWeaver Gateway System (Consumer System) for Leave
Management [Page 227]
SAP NetWeaver Gateway Configuration Guide
(C) SAP AG SAP NetWeaver Gateway 2.0 SPS08 225
Configurations on the SAP ERP System (Provider
System) for Leave Management
Note
SAP ERP system is also called as Provider system in this section.
When you are configuring the Provider system for the first time (either for Leave
Management, Time Management or Code List) you must perform all the steps
provided in the procedure below. But, once you configure the provider system for any
one of the applications (either Leave Management, Time Management, or Code List)
you can ignore the following steps when configuring the system for the rest of the
applications:
o Importing a profile using an XML Template or creating a profile
o Assigning personnel number for an employee
o Obtaining WSIL URL
o Obtaining the external key of the provider system.
To configure the provider system:
1. You can either import a profile using an XML template or create a profile.
Importing a profile using an XML template [Page 131]
or Creating a profile [Page 133]
2. Import endpoints using a Business Scenario Configuration XML [Page 135] or
Creating endpoints using a Business Scenario [Page 137]
3. Verifying the endpoints created [Page 139]
4. Assigning personnel number for an employee:
To assign an SAP User ID to a Personnel Number proceed as follows:
1. Logon to the provider system.
2. Open transaction PA30.
3. Choose the Personnel number.
4. In the Direct selection section, choose Communication (0105) in the Infotype
field, and System user name (0001) in the STy (Subtype) field.
5. Click the Change icon or press F6 from the key board to view the Change
Communication page.
6. In the Communication section, enter the SAP user ID in the ID/number field.
You have now assigned the SAP User ID to a Personnel number.
5. Obtaining WSIL URL
1. On the Provider system, open transaction sicf.
2. Enter SERVICE for the Hierarchy Type.
SAP NetWeaver Gateway Configuration Guide
(C) SAP AG SAP NetWeaver Gateway 2.0 SPS08 226
3. Enter WSIL for the Service Name.
4. Choose Execute.
Note
The WSIL (Web Service Inspection Language) service lists the configuration
of all web services exposed by the system.
5. Choose WSIL folder and right click and select Test Service.
6. A browser window opens, copy the URL from this browser. This is the WSIL
URL.
6. Obtaining the external key of the provider system [Page 140].
Continue with, Configurations on SAP NetWeaver Gateway System (Consumer System) for
Leave Management [Page 227]
SAP NetWeaver Gateway Configuration Guide
(C) SAP AG SAP NetWeaver Gateway 2.0 SPS08 227
Configurations on the SAP NetWeaver Gateway
System (Consumer System) for Leave Management
Note
SAP NetWeaver Gateway system is also called as Consumer system in this section.
When you are configuring the Consumer system for the first time (either for Leave
Management, Time Management or Codelist) you must perform all the steps provided
in the procedure below. But, once you configure the Consumer system for any one of
the applications (either Leave Management, Time Management, or Codelist) you can
ignore the following steps when configuring the system for the rest of the applications:
o Importing a profile file
o Creating a system connection to the Provider system
o User account management
o Assigning system aliases
o Configuring destination finder
Configurations on the consumer system include:
1. Importing a Profile file [Page 142] — Import the Profile created in the Provider [Page
130] system.
Note
You must import the same profile created in the provider system, else mass
configuration of web service proxies in the service groups is not possible.
2. Creating a system connection to the Provider system [Page 144]
3. User account management [Page 145]
4. Importing a business scenario Configuration XML [Page 147] or Configuring service
groups using business scenarios [Page 149]/ — You can either manually configure
service groups using a business scenario or import a business scenario configuration
XML.
5. Verifying logical ports [Page 151]
6. Assigning system aliases:
1. In transaction SPRO open the SAP Reference IMG and navigate to: SAP
NetWeaver Gateway Former Development Generic Channel
Administration General Settings Manage GSDO Groups and click the
Activity icon.
2. Choose Assign GSDOs, the added GSDO will be present in the list.
3. Select the GSDO Type and click Assign SAP System Alias:
User Role: A specific User Role can be maintained which is checked
to link to the designated system.
SAP NetWeaver Gateway Configuration Guide
(C) SAP AG SAP NetWeaver Gateway 2.0 SPS08 228
SAP System Alias: Add the Provider System's name.
4. Select the System Alias and click Assign User Roles: User Roles can be
defined here.
Blank: Refers to All Roles.
7. Configuring Destination Finder:
The Provider systems configured from SOA Manager have to be entered in the
configuration of the Destination Finder so that during runtime, SAP NetWeaver
Gateway can select the right provider system for a given system alias. This activity
allows you to define RFC destinations that point to relevant SAP business systems. If
an RFC destination points to an SAP system alias that system alias points to the
corresponding SAP business system.
Note
Only RFC destinations of connection type 3 (Connection to ABAP System) can be
used.
1. In transaction SPRO open the SAP Reference IMG and navigate to: SAP
NetWeaver Gateway Former Development Generic Channel
Configuration Connection Settings SAP NetWeaver Gateway to SAP
System Manage RFC Destinations and click the Activity icon.
2. Create a New RFC connection by specifying the RFC Destination and
Connection Type.
3. Save the new RFC connection.
4. Go back to the SAP NetWeaver Gateway to SAP System activity.
5. Execute the Manage System Aliases IMG Activity.
6. Create a new System Alias by selecting the New Entries button.
7. Provide the created RFC connection.
8. Enter the Provider system's name for the system alias.
9. Save the settings.
SAP NetWeaver Gateway Configuration Guide
(C) SAP AG SAP NetWeaver Gateway 2.0 SPS08 229
Settings for User Profile
The User Profile is a component that is used to fetch the parameter Ids, their values and the
corresponding descriptions for a user from the SAP system. The System Alias should be
configured for the User Profile feature.
To Configure System Alias for a User Profile proceed as follows:
1. Logon to the system where SAP NetWeaver Gateway 2.0 is installed.
2. In transaction SPRO open the SAP Reference IMG and navigate to: SAP
NetWeaver Gateway Former Development Generic Channel Administration
General Settings Manage GSDO Groups and click on the Activity icon.
3. SelectUSRPRF in the Manage GSDO Groups region.
4. Choose and double-click Assign System Aliases in the Dialog Structure.
5. Assign the appropriate system alias for the Provider system.
6. Choose Save.
SAP NetWeaver Gateway Configuration Guide
(C) SAP AG SAP NetWeaver Gateway 2.0 SPS08 230
Settings for Code List in the SAP NetWeaver Gateway
System
Introduction
The Code List feature provides assistance to the content developers to easily create value
helps for various fields.
Example
If the consumer wants to enter a partner role and fetch the list of valid partner roles, the
content developer should create a GW Data Model for partner roles, and then create the
associated GW Consumption Model. Using the created GW Consumption Model, the
consumer can fetch the list of partner roles. For more information, see Code List Usage [Page
239].
The content developer would also need to maintain some customizing entries to indicate the
source of the value help. Currently the Code List functionality supports:
Value helps fetched from domains with fixed values
Value helps for BAPI parameters
Value helps fetched from the QueryCodeList ESA service
For more information, see Maintaining Code Type [Page 236].
Following are steps to be performed for configuring GSDO type for Code List:
Create a GSDO Type [Page 232]
Create Business Object Groups [Page 234]
Assigning System Alias [Page 235]
Maintaining Code Type [Page 236]
Authorizations
The user must have the following authorizations to access SAP ERP system for Code List:
ERP Service Authorization Object Field Field Value
Code List
S_RFC
RFC_TYPE FUGR
RFC_NAME BFHV
ACTVT 16
S_RFC
RFC_TYPE FUGR
RFC_NAME SDIFRUNTIME
ACTVT 16
S_SERVICE SRV Name 72FBBF9D2B861B7D5FD5CB226459E8
SAP NetWeaver Gateway Configuration Guide
(C) SAP AG SAP NetWeaver Gateway 2.0 SPS08 231
ERP Service Authorization Object Field Field Value
SRV Type HS
SAP NetWeaver Gateway Configuration Guide
(C) SAP AG SAP NetWeaver Gateway 2.0 SPS08 232
Creating a GSDO Type
In order to fetch Code List from the fixed values of a Domain, a GSDO Type should be
created for Code List.
To create a GSDO Type proceed as follows:
1. In transaction SPRO open the SAP Reference IMG and navigate to: SAP
NetWeaver Gateway Former Development Former Generic Channel Development
Generic Service Data Object (GSDO) Generic Service Data Object GSDO Types
& GSDO Contexts & GSI Implementations activity and click on the Activity icon.
2. Create a GSDO Type by choosing the New Entries button.
3. Follow the example given below to create a new GSDO Type:
Example
o GSDO Type: DOCUMENTTYPE
o CompName: IWCLST (GenIL model Name)
o GSDO Data Object Name: CODELIST (Root Object of GeniL)
o Save the created GSDO Type
4. Select the GSDO type created above and choose GSI implementation from the
Dialog Structure in the left pane.
The Generic Groupware Service Interface (GSI) defines the contract between the
Generic Service Provider and all GSI implementations. Consequently all GSI
implementation must implement this interface. For more information, see IMG activity
documentation for GSDO Types & GSDO Contexts & GSI Implementations.
5. Configure anyone of the following Adaptation BSO's as the Class/Interface in the GSI
Implementation:
o Adaptation BSO to fetch code list from a domain :
/IWCNT/CL_CLST_ABSO_DOMAIN
o Adaptation BSO to fetch code list from the QueryCodeList ESA service:
/IWCNT/CL_CLST_ABSO_ESA
o Adaptation BSO to fetch code list from a BAPI :
/IWCNT/CL_CLST_ABSO_BAPI
Multi Destination BSO
For every GSDO Type, the concept of multi destination BSO can be implemented using GSI
Implementation i.e. data can come from different software versions. Mapping to each
designated system is identified here.
Note
In case of Multi Destination BSO, at least two system aliases need to be maintained in the
GSDO group associated with the GSDO type.
SAP NetWeaver Gateway Configuration Guide
(C) SAP AG SAP NetWeaver Gateway 2.0 SPS08 233
As shown in the image below the Multi destination BSO implements Interface:
/IWCNT/CL_BSO_MD_CLST_DFL, and the GSI entry corresponds to MSDO (Multi
Destination BSO) which incorporates two other (at least) Adaptation BSO’s ABSO_DOMAIN
and ABSO_ESA. Also, for different Software Versions different Interface Implementation can
be mapped.
Example
For the given software version, if the code list needs to be fetched from the
QueryCodeList ESA service, then the Adaptation BSO configured should be
/IWCNT/CL_CLST_ABSO_ESA. In addition to this, the ESA relevant parameters need
to be maintained in the customizing view. For more information, see the IMG
documentation for Maintain Code Type.
For the given software version, if the code list needs to be fetched from a domain,
then the Adaptation BSO configured should be /IWCNT/CL_CLST_ABSO_DOMAIN. In
addition to this the domain name need to be maintained in the customizing view. For
more information, see the IMG documentation for Maintain Code Type.
For the given software version, if the code list needs to be fetched for a BAPI
parameter then Adaptation BSO configured should be
/IWCNT/CL_CLST_ABSO_BAPI. In addition to this, the BAPI relevant parameters
need to be maintained in the customizing view. For more information, see the IMG
documentation for Maintain Code Type.
Note
Default Software Version is generally implemented when no other system is
designated to fetch the code list.
SAP NetWeaver Gateway Configuration Guide
(C) SAP AG SAP NetWeaver Gateway 2.0 SPS08 234
Creating a GSDO Group
The GSDO Groups basically hold GSDOs' of the same type, with similar System Connectivity
Information (system Alias). In case of Multi destination BSOs', GSDOs' can be grouped
together only if all the GSDOs' are connected to the same system. It avoids redundant linking
configuration to the same system alias.
To create a GSDO Group follow these steps:
1. In transaction SPRO open the SAP Reference IMG and navigate to: SAP
NetWeaver Gateway Former Development Former Generic Channel Development
Generic Service Data Object (GSDO) GSDO Groups and click on the Activity icon
2. Create a new GSDO Group In case of different system connectivity by clicking the
New Entries button.
3. Select Active.
4. Select the new GSDO group, and double-click Assign GSDOs in the Dialog Structure
to assign the GSDO Type to a GSDO Group.
SAP NetWeaver Gateway Configuration Guide
(C) SAP AG SAP NetWeaver Gateway 2.0 SPS08 235
Assigning System Alias
To assign System Alias proceed as follows:
1. In transaction SPRO open the SAP Reference IMG and navigate to: SAP
NetWeaver Gateway Former Development Generic Channel Administration
General Settings Manage GSDO Groups and click on the Activity icon.
2. Select the GSDO Group created in the Creating GSDO Groups [Page 234] section.
3. Choose and double-click Assign GSDOs, the added GSDO will be present in the list.
4. Select the GSDO Group, and click Assign SAP System Alias:
o User Role: A specific User Role can be maintained which will be checked to
link to the designated system.
o SAP System Alias: Add entries for system aliases to be added.
5. Select the System Alias and click Assign User Roles: User Roles can be defined
here.
o Blank: Refers to All Roles.
SAP NetWeaver Gateway Configuration Guide
(C) SAP AG SAP NetWeaver Gateway 2.0 SPS08 236
Maintaining Code Type
To maintain the Code Type proceed as follows:
1. In transaction SPRO open the SAP Reference IMG and navigate to: SAP
NetWeaver Gateway Content Services Administration Code List Settings
Maintain Code Type and click on the Activity icon.
2. Click the New Entries button to create a Code Type.
3. Select the GSDO Type from the view cluster.
4. Using the view cluster in the Version field, select the software version corresponding
to the Category and the specified GSDO type. Example: Software Component
Version: Default/ERP/CRM.
5. Click in the Category field to display the F4 help source as shown below:
6. Select a GSDO Type Category from the source list.
7. Save the selections.
Note
In case of selecting ESA in the Category field, the ESA Code Type, ESA Code Name
and ESA URI Namespace needs to be specified.
In case of selecting Domain, the Domain Name needs to be specified.
Example: Domain Name: /SAPTRX/EV_PARROL
In case of selecting BAPI the following values should be mentioned:
o Bapi Object Type
o Bapi Object Name
o Bapi Method Name
o Bapi Parameter Name
o Bapi Field Name
o Bapi Code Desc Table: This is the table name returned in the
DESCRIPTION_FOR_HELPVALUES-FIELDNAME field by
BAPI_HELPVALUES_GET rfc that stores the description of the code.
o Bapi Code Desc Field
Example
Refer Creating a GSDO Type [Page 232] for more information on the values maintained in
this example.
To define the F4 help for the list of countries fetched from the QueryCodeList ESA service,
enter the following data in the view cluster /IWCNT/VC_CTY:
SAP NetWeaver Gateway Configuration Guide
(C) SAP AG SAP NetWeaver Gateway 2.0 SPS08 237
1. In transaction SPRO open the SAP Reference IMG and navigate to: SAP
NetWeaver Gateway Content Services Administration Code List Settings
Maintain Code Type activity and click on the Activity icon.
2. Choose the New Entries button to create a new entry in the view cluster.
3. Maintain the following values:
o GSDO Type= COUNTRY
o Version = DEFAULT
o Code Category = Code Type Category default ESA(QueryCodeList)
o Code Description= The description for the code in 30 characteres
o ESA Code Name = CountryCode
o ESA Code Type = Country Code
o ESA URI Namespace= http://sap.com/xi/APPL/SE/Global
To define F4 help for the list of Partner Roles fetched from a domain, enter the following data
in the view cluster /IWCNT/VC_CTY:
1. In transaction SPRO open the SAP Reference IMG and navigate to: SAP
NetWeaver Gateway Content Services Administration Code List Settings
Maintain Code Type activity and click on the Activity icon.
2. Choose the New Entries button to create a new entry in the view cluster.
3. Maintain the following values:
o GSDO Type = PARTNERROLES
o Version = DEFAULT
o Code Category = Code Type Category default Domain
(DDIF_FIELDINFO_GET)
o Domain Name = /SAPTRX/EV_PARROL
To define F4 help for the list of possible values for Contact Allowance BAPI parameter, enter
the following data in the view cluster /IWCNT/VC_CTY:
1. In transaction SPRO open the SAP Reference IMG and navigate to: SAP
NetWeaver Gateway Content Services Administration Code List Settings
Maintain Code Type activity and click on the Activity icon.
2. Choose the New Entries button to create a new entry in the view cluster.
3. Maintain the following values:
o GSDO Type = CONTACTALLOW
o Category = Code Type Category default BAPI
(BAPI_HELPVALUES_GET)
o Software Version = DEFAULT
o BAPI Object Type= BUS1006
SAP NetWeaver Gateway Configuration Guide
(C) SAP AG SAP NetWeaver Gateway 2.0 SPS08 238
o BAPI Object Name = BUSINESSPARTNER
o BAPI Method Name = GETCENTRALDETAIL
o BAPI Parameter = CENTRALDATA
o BAPI Field Name = CONTACTALLOWANCE
o BAPI Code Description Table =
o BAPI Code Description Field = _TEXT
SAP NetWeaver Gateway Configuration Guide
(C) SAP AG SAP NetWeaver Gateway 2.0 SPS08 239
Code List Usage
The Code List GenIL model IWCLST can be used to create a GSDO type corresponding to
the code for which code list needs to be fetched.
Example
In order to fetch code list for document types, a GSDO type (e.g. DOCTYPE) needs to be
created. The corresponding GSI implementation must be maintained against the appropriate
software versions. Additionally, the customizing entries should be maintained for the Code
Type. Refer to the Creating a GSDO Type [Page 232], Creating GSDO Groups [Page 234],
Assigning System Alias [Page 235]and Maintaining Code Type [Page 236] sections for more
details.
Since the Code List model is generic model, a GW Data Model and GW Consumption Model
should be created for each code list.
Example
The GW Data Model DOCTYPE_0001_UC can be created for document types,
referring to the GSDO type DOCTYPE. Once the GW Data Model is generated, the
corresponding GW Consumption Model needs to be generated. An example of GW
Consumption Model for Document types would be DOCTYPE_0001.
Creating a GW Data Model based on the GSDO type
1. Logon to the Gateway system.
2. Open transaction se80 to view the Object Navigator.
3. Choose GW Data Model in the Data Object Hierarchy drop-down list.
4. Enter a Name for the GW Data Model.
The GW Data Model name should follow the "<name>_<version>_UC" convention.
The version must be 4 characters long with leading zeros.
Example
<namespace>DOCTYPE_0001_UC
5. Click Display and choose Yes in the Create Object window.
6. Specify the GSDO Type in the Create Data Model window using the view cluster.
This indicates the GSDO type on which the GW Data Model is based.
7. Click Continue.
8. Enter the Name in the Create Model Entry window and Save.
9. Expand the new GW Data Model Object Structure in the Object Name region.
10. Set Labels and External Names for all the elements under the Object Structure.
SAP NetWeaver Gateway Configuration Guide
(C) SAP AG SAP NetWeaver Gateway 2.0 SPS08 240
Creating a GW Consumption Model for the GW Data Model
1. Logon to the Gateway system.
2. Open transaction se80 to view the Object Navigator.
3. Choose GW Consumption Model in the Data Object Hierarchy drop-down list.
4. In the Create Consumption Model enter a Service Technical Name for the GW
Consumption Model.
The name should follow the "<name>_<version>" convention. The version must
be 4 characters long with leading zeros.
Example
DOCTYPE_0001
5. Specify the Service External name, Version and the Description for the GW
Consumption Model.
6. Save the GW Consumption Model.
7. Right click the GW Consumption Model and choose Add GW Data Model.
8. Specify the GW Data Model created in the Creating a GW Data Model based on the
GSDO type section above.
The GW Consumption Model is created.
9. Double click on the GW Consumption Model in the left hand side pane. The
properties of the GW Consumption Model will be displayed on the right hand side
pane.
The property URL of the GW Consumption Model displayed in the URL field can be
used to invoke the service and fetch the code list.
The above steps should be performed for each code.
SAP NetWeaver Gateway Configuration Guide
(C) SAP AG SAP NetWeaver Gateway 2.0 SPS08 241
Code List Cache Cleanup
The cache cleanup functionality cleans the Code List cache which is maintained in the SAP
NetWeaver Gateway system. This functionality can be used by the administrator to clear the
cache data either periodically or whenever required by refreshing the cache data. The
administrator can select the objects types for which the items are to be deleted. The data can
also be deleted based on users and time restrictions.
To delete the code list cache proceed as follows:
1. On the SAP NetWeaver Gateway 2.0 system, open transaction SPRO.
2. In transaction SPRO open the SAP Reference IMG and navigate to: SAP
NetWeaver Gateway Former Development Generic Channel Administration
Cache Settings Clean up cache and Persistency and click on the Activity icon.
3. Select parameter for User if required.
4. Select parameter for Cleanup scenario as /IWCNT/CODELIST_CACHE_CLEANUP.
5. Choose Select object types to select specific objects to be deleted.
6. In the Select object types window, choose the objects to be deleted.
7. Click OK to confirm.
8. In the Time restriction region, provide time restrictions if required or choose No time
restriction.
9. Choose Execute.
Note
Whenever the Code List cached values (Gateway system) are changed in the
backend system the Gateway Code List cache should be cleared.
SAP NetWeaver Gateway Configuration Guide
(C) SAP AG SAP NetWeaver Gateway 2.0 SPS08 242
Configuring SAP NetWeaver Gateway System and
SAP ERP System-ESA Service
This section provides the basic configurations required to connect the SAP NetWeaver
Gateway system (also referred as Consumer System) with the SAP ERP system (also
referred as Provider System).
The following important SOA Manager configurations have to performed in the Provider and
Consumer Systems. For more information, see SOA Manager Configurations-SAP ERP
System [Page 130] and SOA Manager Configurations-SAP NetWeaver Gateway System.
[Page 141]
Profiles that contains general configuration on security and transport settings for the
entire landscape should be created on the Provider system and then imported to the
Consumer system. For more information, see Creating a Profile. [Page 133]
End Points to be created in the Provider systems using Business Scenario to indicate
which SAP systems are called. This can be compared with RFC destinations.
Provider systems to be configured in the Consumer system. For more information,
see Configuring Provider System in the Consumer System. [Page 144]
Service Group to be configured by creating a Business Scenario. For more
information, see Configuring Service Groups using a Business Scenario. [Page 149]
User Account to be configured for authentication when calling a Provider system. For
more information, see User Account Management. [Page 145]
SAP NetWeaver Gateway Configuration Guide
(C) SAP AG SAP NetWeaver Gateway 2.0 SPS08 243
Configurations on the SAP ERP System (Provider
System) for Code List
Note
SAP ERP system is also called as Provider system in this section.
When you are configuring the Provider system for the first time (either for Leave
Management, Time Management or Code List) you must perform all the steps
provided in this section. But, once you configure the provider system for any one of
the applications (either Leave Management, Time Management, or Code List) you
can ignore the following steps when configuring the system for the rest of the
applications:
o Importing a profile using a XML Template or creating a profile
o Assigning personnel number for an employee
o Obtaining WSIL URL
o Obtaining the external key of the provider system.
To configure the provider system:
1. You can either import a profile using a XML template or create a profile.
Importing a profile using a XML template [Page 131]
or Creating a profile [Page 133]
2. Import endpoints using a Business Scenario Configuration XML [Page 135] or
Creating endpoints using a Business Scenario [Page 137]
3. Verifying the endpoints created [Page 139]
4. Assigning personnel number for an employee:
To assign a SAP User ID to a Personnel Number proceed as follows:
1. Logon to the provider system.
2. Open transaction PA30.
3. Choose the Personnel number.
4. In the Direct selection section, choose Communication (0105) in the Infotype
field, and System user name (0001) in the STy (Subtype) field.
5. Click the Change icon or press F6 from the key board to view the Change
Communication page.
6. In the Communication section, enter the SAP user ID in the ID/number field.
You have now assigned the SAP User ID to a Personnel number.
5. Obtaining WSIL URL
1. On the Provider system, open transaction sicf.
2. Enter SERVICE for the Hierarchy Type .
SAP NetWeaver Gateway Configuration Guide
(C) SAP AG SAP NetWeaver Gateway 2.0 SPS08 244
3. Enter WSIL for the Service Name.
4. Choose Execute.
Note
The WSIL (Web Service Inspection Language) service lists the configuration
of all web services exposed by the system.
5. Choose WSIL folder and right click and select Test Service.
6. A browser window opens, copy the URL from this browser. This is the WSIL
URL.
6. Obtaining the external key of the provider system [Page 140].
SAP NetWeaver Gateway Configuration Guide
(C) SAP AG SAP NetWeaver Gateway 2.0 SPS08 245
Configurations on the SAP NetWeaver Gateway
System (Consumer System) for Code List
Note
SAP NetWeaver Gateway system is also called as Consumer system in this section.
When you are configuring the Consumer system for the first time (either for Leave
Management, Time Management or Codelist) you must perform all the steps provided
in the procedure below. But, once you configure the Consumer system for any one of
the applications (either Leave Management, Time Management, or Codelist) you can
ignore the following steps when configuring the system for the rest of the applications:
o Importing a profile file
o Creating a system connection to the Provider system
o User account management
o Assigning system aliases
o Configuring destination finder
Configurations on the consumer system include:
1. Importing a Profile file [Page 142] — Import the Profile created in the Provider [Page
130] system.
Note
You must import the same profile created in the provider system, else mass
configuration of web service proxies in the service groups is not possible.
2. Creating a system connection to the Provider system [Page 144]
3. User account management [Page 145]
4. Importing a business scenario Configuration XML [Page 147] or Configuring service
groups using business scenarios [Page 149]/ — You can either manually configure
service groups using a business scenario or import a business scenario configuration
XML.
5. Verifying logical ports [Page 151]
6. Assigning system aliases:
1. In transaction SPRO open the SAP Reference IMG and navigate to: SAP
NetWeaver Gateway Former Development Generic Channel
Administration General Settings Manage GSDO Groups and click on the
Activity icon.
2. Choose Assign GSDOs, the added GSDO will be present in the list.
3. Select the GSDO Type and click Assign SAP System Alias:
User Role: A specific User Role can be maintained which will be
checked to link to the designated system.
SAP NetWeaver Gateway Configuration Guide
(C) SAP AG SAP NetWeaver Gateway 2.0 SPS08 246
SAP System Alias: Add the Provider System's name.
4. Select the System Alias and click Assign User Roles: User Roles can be
defined here.
Blank: Refers to All Roles.
7. Configuring Destination Finder:
The Provider systems configured from SOA Manager have to be entered in the
configuration of the Destination Finder so that during runtime, SAP NetWeaver
Gateway can select the right provider system for a given system alias. This activity
allows you to define RFC destinations that point to relevant SAP business systems. If
a RFC destination points to an SAP system alias, that system alias will point to the
corresponding SAP business system.
Note
Only RFC destinations of connection type 3 (Connection to ABAP System) can be
used.
1. In transaction SPRO open the SAP Reference IMG and navigate to: SAP
NetWeaver Gateway Generic Channel Configuration Connection
Settings SAP NetWeaver Gateway to SAP System Manage RFC
Destinations and click on the Activity icon.
2. Create a New RFC connection by specifying the RFC Destination and
Connection Type.
3. Save the new RFC connection.
4. Go back to the SAP NetWeaver Gateway to SAP System activity.
5. Execute the Manage System Aliases IMG Activity.
6. Create a new System Alias by selecting the New Entries button.
7. Provide the created RFC connection.
8. Enter the Provider system's name for the system alias.
9. Save the settings.

Sap netweaver gateway_2.0_sap_net_weaver

  • 1.
    SAP NETWEAVER GATEWAY2.0 SAP NetWeaver Gateway Configuration Guide PUBLIC Document Version: GW2.0 SPS08
  • 2.
    SAP NetWeaver GatewayConfiguration Guide (C) SAP AG SAP NetWeaver Gateway 2.0 SPS08 2 Copyright © Copyright 2013 SAP AG. All rights reserved. SAP Library document classification: PUBLIC No part of this publication may be reproduced or transmitted in any form or for any purpose without the express permission of SAP AG. The information contained herein may be changed without prior notice. Some software products marketed by SAP AG and its distributors contain proprietary software components of other software vendors. National product specifications may vary. These materials are provided by SAP AG and its affiliated companies (“SAP Group”) for informational purposes only, without representation or warranty of any kind, and SAP Group shall not be liable for errors or omissions with respect to the materials. The only warranties for SAP Group products and services are those that are set forth in the express warranty statements accompanying such products and services, if any. Nothing herein should be construed as constituting an additional warranty. SAP and other SAP products and services mentioned herein as well as their respective logos are trademarks or registered trademarks of SAP AG in Germany and other countries. Please see http://www.sap.com/corporate-en/legal/copyright/index.epx#trademark for additional trademark information and notices.
  • 3.
    SAP NetWeaver GatewayConfiguration Guide (C) SAP AG SAP NetWeaver Gateway 2.0 SPS08 3 Icons in Body Text Icon Meaning Caution Example Note Recommendation Syntax Additional icons are used in SAP Library documentation to help you identify different types of information at a glance. For more information, see Help on Help General Information Classes and Information Classes for Business Information Warehouse on the first page of any version of SAP Library. Typographic Conventions Type Style Description Example text Words or characters quoted from the screen. These include field names, screen titles, pushbuttons labels, menu names, menu paths, and menu options. Cross-references to other documentation. Example text Emphasized words or phrases in body text, graphic titles, and table titles. EXAMPLE TEXT Technical names of system objects. These include report names, program names, transaction codes, table names, and key concepts of a programming language when they are surrounded by body text, for example, SELECT and INCLUDE. Example text Output on the screen. This includes file and directory names and their paths, messages, names of variables and parameters, source text, and names of installation, upgrade and database tools. Example text Exact user entry. These are words or characters that you enter in the system exactly as they appear in the documentation. <Example text> Variable user entry. Angle brackets indicate that you replace these words and characters with appropriate entries to make entries in the system. EXAMPLE TEXT Keys on the keyboard, for example, F2 or ENTER.
  • 4.
    SAP NetWeaver GatewayConfiguration Guide (C) SAP AG SAP NetWeaver Gateway 2.0 SPS08 4 Table of Contents SAP NetWeaver Gateway Configuration Guide......................................................................7 Basic Configuration Settings ..............................................................................................9 Profile Parameters........................................................................................................ 10 ICF Services.................................................................................................................11 Changing Password for Initial Logon.............................................................................16 Language Settings .......................................................................................................19 OData Channel Configuration ..........................................................................................20 User, Developer, and Administrator Authorizations .......................................................23 Creating and Assigning Roles...................................................................................28 Connection Settings on the SAP NetWeaver Gateway Hub System..............................29 Connection Settings: SAP NetWeaver Gateway to Consumer...................................30 Creating a bgRFC Destination for Outbound Queues.............................................31 Registering the bgRFC Destination for the Outbound Queue .................................32 Creating the bgRFC Supervisor Destination...........................................................33 Connection Settings: SAP NetWeaver Gateway to SAP Systems..............................34 Creating a Type 3 RFC Destination on SAP NetWeaver Gateway Host to SAP System..................................................................................................................35 Defining Trust between the SAP NetWeaver Gateway Host and Your SAP Systems for Type 3 Connections .........................................................................................36 Configuring SAP System to Accept Assertion Tickets from SAP NetWeaver Gateway .............................................................................................................................37 Configuring the SAP NetWeaver Gateway Host to Accept Assertion Tickets from SAP Business Suite Systems ................................................................................38 Creating the SAP System Alias for Applications.....................................................39 Activating SAP NetWeaver Gateway ............................................................................ 41 Settings for OData Channel Service Development on Backend System ........................ 42 Displaying Models and Services................................................................................44 Define Parallelization of Batch Queries .....................................................................45 Settings for OData Channel Service Development on the Hub System ......................... 46 Assigning SAP System Alias to OData Service .........................................................47 Multiple Origin Composition ......................................................................................48 Dynamic System Alias Calculation Via /IWFND/ES_MGW_DEST_FINDER ..............51 Connection Settings on the Backend System................................................................53 Settings for Idempotent Services...............................................................................54 Defining a Remote Function Call to SAP NetWeaver Gateway .................................. 56 Connection Settings to SAP NetWeaver Gateway.....................................................57 Configure the bgRFC Supervisor Destination ............................................................58 Monitoring bgRFC Queues........................................................................................60 Business Enablement Provisioning (IW_BEP) Configuration ............................................61 Configuration Settings for SAP NetWeaver Gateway Supported Scenarios ...................... 62 Configuration Settings for OData Channel Scenarios....................................................63 Configuring Workflow for SAP NetWeaver Gateway..................................................64 Creating an Administrator Role for Workflow..........................................................65 Customizing SAP NetWeaver Gateway Workflow..................................................67 Configuring Workflow Notifications.....................................................................68 Creating a Type G RFC Destination................................................................69 Configuring User Authorizations for Push Notifications....................................70 Running Scheduled Reports...........................................................................71 Workflow Settings ..............................................................................................74 Configuring Business Process Content Services.......................................................78 Configuring Services for Deployment Scenario 1 ...................................................79 Connecting Business Process Content and Business Suite Systems..................80 Creating a Software Version for Provider System............................................82 Mapping the Software Version and Technical Model.......................................83 Creating a System Alias.....................................................................................84 Activating the Process Service...........................................................................85 Registering Process Context Service for Deployment Scenario 1 .......................86 Activating the Process Context Service..............................................................87
  • 5.
    SAP NetWeaver GatewayConfiguration Guide (C) SAP AG SAP NetWeaver Gateway 2.0 SPS08 5 Configuring Services for Deployment Scenario 2 ...................................................88 Connecting Business Process Content and Business Suite Systems..................89 Creating a Software Version for Provider System............................................91 Mapping the Software Version and Technical Model.......................................92 Creating a System Alias for SAP Business Suite System ...................................93 Connecting SAP NetWeaver Gateway and Business Process Content ............... 94 Creating a System Alias for Business Process Content System.......................... 95 Activating the Process Service...........................................................................96 Registering Process Context Service for Deployment Scenario 2 .......................97 Activating the Process Context Service..............................................................98 User Authorizations for SAP Business Workflow Systems......................................99 Configuring the Task Gateway Service....................................................................100 Former Development .....................................................................................................105 Configurations for ERP on SAP NetWeaver Gateway .................................................106 Role Templates for ERP Scenarios.........................................................................109 Configurations on SAP NetWeaver Gateway for SAP ERP......................................114 Settings for Time Management Application - OData Channel .................................. 116 Configurations on the SAP NetWeaver Gateway for Time Management - OData Channel ..............................................................................................................117 Configurations on the SAP ERP System (Provider System) for Time Management - OData Channel ...................................................................................................119 Configurations on the SAP NetWeaver Gateway System (Consumer System) for Leave Management.............................................................................................121 Configurations for ERP Customer- OData Channel .................................................123 Configurations for ERP Customer on the SAP NetWeaver Gateway System— OData Channel ..............................................................................................................124 Configurations for ERP Customer on the SAP ERP System (Provider System) — OData Channel ...................................................................................................126 Configurations for ERP Customer on the SAP NetWeaver Gateway System (Consumer System)— OData Channel ................................................................127 Configurations for ERP Sales Documents on the SAP NetWeaver Gateway System— OData Channel.......................................................................................................128 SOA Management Configurations on SAP ERP System .............................................130 Importing a Profile using a XML Template...............................................................131 Profile Management................................................................................................133 Importing Endpoints Template using Business Scenario Configuration.................... 135 Creating Endpoints using a Business Scenario .......................................................137 Verifying the Endpoints Created..............................................................................139 Obtaining the External Key of the Provider System .................................................140 SOA Management Configurations on the SAP NetWeaver Gateway System ..............141 Importing a Profile File............................................................................................142 Creating a System Connection to Provider System .................................................144 User Account Management.....................................................................................145 Importing a Business Scenario Configuration XML..................................................147 Configuring Service Groups using a Business Scenario ..........................................149 Verifying Logical Ports ............................................................................................151 Generic Channel Configuration...................................................................................152 Defining Settings for Idempotent Services...............................................................156 Creating an RFC Destination for the WSIL Service..................................................157 Assigning the System Alias Pointing to the SAP System .........................................158 Checking SAP System Aliases................................................................................159 Subscription Settings ..............................................................................................160 Code List....................................................................................................................161 Code List Usage .....................................................................................................162 Customizing the SAP NetWeaver Gateway System for Code List............................ 168 Code List Cache Cleanup .......................................................................................169 Configuration Settings for Generic Channel Scenarios................................................170 Settings for Customer Relationship Management on SAP NetWeaver Gateway ...... 171 Configuring GSDO to Connect to the SAP CRM System......................................176 SOA Management Configurations on SAP CRM System..................................177
  • 6.
    SAP NetWeaver GatewayConfiguration Guide (C) SAP AG SAP NetWeaver Gateway 2.0 SPS08 6 Creating a New Profile in the Provider System..............................................178 Configuring Provider Systems.......................................................................179 SOA Management Configurations on SAP NetWeaver Gateway System.......... 181 Creating a Provider System in the Consumer System................................... 182 User Account Management ..........................................................................184 Settings for Reporting Management........................................................................187 Settings for Reporting Management on SAP NetWeaver Gateway....................... 188 Configuring Subscriptions for Report Results.......................................................192 Settings for Reporting Administration...................................................................193 Managing Source Systems, Report Types and Formats ...................................194 Managing Reports and their Properties ............................................................196 Configuring a New Report.............................................................................197 Configuring Report Parameters ....................................................................199 Configuring Multiple Values for a Parameter.................................................201 Configuring Delivery Formats for a Report ....................................................202 Specifying Roles for a Report .......................................................................203 Report Scheduling........................................................................................204 Managing Categories.......................................................................................205 Managing Context Variables ............................................................................206 Configuring System Time Points ......................................................................208 Managing System Time points and Data Change Events .................................209 Settings for Human Capital Management for SAP NetWeaver Gateway .................. 211 Settings for Time Management............................................................................212 Settings for Time Management on SAP NetWeaver Gateway........................... 215 Configurations on the SAP ERP System (Provider System) for Time Management ........................................................................................................................216 Configurations on the SAP NetWeaver Gateway System (Consumer System) for Time Management...........................................................................................218 Settings for Leave Management ..........................................................................220 Configuring SAP NetWeaver Gateway System for Leave Management ............ 223 Configurations on the SAP ERP System (Provider System) for Leave Management....................................................................................................225 Configurations on the SAP NetWeaver Gateway System (Consumer System) for Leave Management .........................................................................................227 Settings for User Profile.......................................................................................229 Settings for Code List in the SAP NetWeaver Gateway System...............................230 Creating a GSDO Type ....................................................................................... 232 Creating a GSDO Group......................................................................................234 Assigning System Alias .......................................................................................235 Maintaining Code Type........................................................................................236 Code List Usage..................................................................................................239 Code List Cache Cleanup....................................................................................241 Configuring SAP NetWeaver Gateway System and SAP ERP System-ESA Service ...........................................................................................................................242 Configurations on the SAP ERP System (Provider System) for Code List......... 243 Configurations on the SAP NetWeaver Gateway System (Consumer System) for Code List .........................................................................................................245
  • 7.
    SAP NetWeaver GatewayConfiguration Guide (C) SAP AG SAP NetWeaver Gateway 2.0 SPS08 7 SAP NetWeaver Gateway Configuration Guide Once you have installed [External] the SAP NetWeaver Gateway components, you must configure your system to allow the consumer servers’ applications to retrieve the data requested by users. The SAP NetWeaver Gateway Configuration Guide contains the steps for customizing settings for SAP NetWeaver Gateway and describes system configuration activities. The sequence of mandatory and optional configuration tasks is as follows and depends on your use case. 1. Basic configuration [Page 9] (mandatory) 2. OData Channel Configuration [Page 20] 3. Configuration Settings for content scenarios [Page 62] (optional) Implementation Guide The SAP NetWeaver Gateway specific configuration tasks are included in the SAP NetWeaver Gateway Implementation Guide (IMG) which is available in the system: In your SAP NetWeaver Gateway hub system (IW_FND) go to transaction SPRO, open the SAP Reference IMG and navigate to: SAP NetWeaver Gateway . In your backend system (IW_BEP) go to transaction SPRO, open the SAP Reference IMG and navigate to: SAP NetWeaver Gateway Service Enablement . For all steps in the IMG there is always consumer-independent documentation available. If you want to see more information, select the Display icon before executing each step. Note If you have software components GW_CORE 190 and IW_FND 240 installed in your system, the IMG tree will only offer the activities for OData Channel. The same applies if you use SAP NetWeaver Gateway in SAP NetWeaver 7.40 (software component SAP_GWFND). For more information, see Deployment Options [External]. Recommendation We strongly recommend using the OData Channel (ODC) programming paradigm for all SAP NetWeaver Gateway development. As of SAP NetWeaver Gateway 2.0 Support Package 05, you are strongly recommended to use the Service Builder (transaction SEGW) for your OData design- time development . For more information, see SAP NetWeaver Gateway Service Builder [External]. Depending on whether you want to develop SAP NetWeaver Gateway content in an SAP Business Suite backend system or in an SAP NetWeaver Gateway hub system, you can choose between embedded deployment or central hub deployment. For more information, see Embedded Versus Hub Deployment [External] and Deployment Options [External].
  • 8.
    SAP NetWeaver GatewayConfiguration Guide (C) SAP AG SAP NetWeaver Gateway 2.0 SPS08 8 As such, several sections in the Implementation Guide (IMG) are merely available for reference and maintenance purposes. In the backend system this is the section in the SAP Reference IMG under SAP NetWeaver Gateway Service Enablement Generic Channel . In the SAP NetWeaver Gateway hub system these are the sections in the SAP Reference IMG under SAP NetWeaver Gateway Former Development . Additional Software Components Depending on the additional SAP NetWeaver Gateway components you implement, further component-specific configuration steps are required: Business Enablement Provisioning (IW_BEP) See Connection Settings for OData Channel and BEP [Page 53] and Backend Event Publisher (BEP) Configuration [Page 61]. The IW_BEP specific configuration tasks are included in the Gateway Service Enablement Implementation Guide (IMG) which is available in the system: In transaction SPRO open the SAP Reference IMG and navigate to: SAP NetWeaver Gateway Service Enablement Backend OData Channel Connection Settings to SAP NetWeaver Gateway and Backend Event Publisher Administration. Screen Scraping (IW_SCS) For Screen Scraping you only need to configure roles based on certain authorization templates. The templates specify the authorizations for content that can be accessed by the users and activities for developers. For more information, see Setting Up User and Administrator Authorizations [Page 23]. SAP NetWeaver Gateway with HANA (IW_HDB) If you want to install the SAP NetWeaver Gateway with HANA component (IW_HDB), this requires SAP NetWeaver 7.02 SPS09 comprising an ABAP Database Connectivity (ADBC) installation. ADBC is an object-based ABAP API for programming relational database accesses. It follows the Java Database Connectivity (JDBC) diction in its class and model structure. Workflow You can find more information about the Workflow-related configuration activities in Configuring Workflow for SAP NetWeaver Gateway [Page 64]. In addition, the relevant IMG activities are available in the Implementation Guide in the backend system: In transaction SPRO open the SAP Reference IMG and navigate to: SAP NetWeaver Gateway Service Enablement Content Workflow Settings . Business Process Enablement For the special services provided within Business Process Enablement [External], such as Process Service and Process Context Service, the relevant IMG activities are available in the Implementation Guide in the backend system. In transaction SPRO open the SAP Reference IMG and navigate to: SAP NetWeaver Gateway Service Enablement Content Business Process Enablement . Consumer Settings For information on configuration settings which need to be carried out for the different consumer scenarios and applications, see Configuration Settings for SAP NetWeaver Gateway Supported Scenarios [Page 62].
  • 9.
    SAP NetWeaver GatewayConfiguration Guide (C) SAP AG SAP NetWeaver Gateway 2.0 SPS08 9 Basic Configuration Settings After having installed [External] the SAP NetWeaver Gateway software components you need to carry out several configuration steps. Before starting with the configuration for SAP NetWeaver Gateway itself, you need to collect some information about the SAP NetWeaver Gateway host. Required Information Description Example Fully Qualified Domain Name (FQDN) Name of the SAP NetWeaver Application Server ABAP (AS ABAP) system or the load balancing device. server.domain.com Administrator credentials Login information of the administrator of the SAP NetWeaver AS ABAP to install and maintain the system SAP administrator HTTP/HTTPS ports HTTP and HTTPS port numbers of the central instance of the AS ABAP 80000 for HTTP and 80001 for HTTPS SAP system For each SAP system to which you want to connect the SAP NetWeaver Gateway server, you need the following information: System ID, system number Server name HTTP / HTTPS port Administrator credentials In addition, several settings are important for smooth operations: Profile Parameters [Page 10] ICF Services [Page 11] Initial Logon [Page 16] Language Settings [Page 19]
  • 10.
    SAP NetWeaver GatewayConfiguration Guide (C) SAP AG SAP NetWeaver Gateway 2.0 SPS08 10 Profile Parameters In both your SAP system and in the SAP NetWeaver Gateway system you need to set the following profile parameters to certain values: Profile Parameter Value login/accept_sso2_ticket 1 login/create_sso2_ticket 2 You maintain these profile parameters via transaction RZ10. More Information For information on profile parameters and profile parameter maintenance, see Profile Parameters for Logon and Password (Login Parameters) [External] and Changing and Switching Profile Parameters [External].
  • 11.
    SAP NetWeaver GatewayConfiguration Guide (C) SAP AG SAP NetWeaver Gateway 2.0 SPS08 11 ICF Services Once you have installed the Application Server ABAP (AS ABAP) all Internet Communication Framework (ICF) services are available in an inactive state for security reasons. After the installation you have to decide which services must be activated for the applications you want to use. Caution Activated ICF services represent a security risk because they can be accessed directly by the HTTP protocol from the Internet. You therefore need to use suitable methods for restricting access, for example, only permitting access to the ICF service for users with the appropriate authorizations. Since multiple services can be executed when you call a URL, all service nodes must be activated in the SICF tree. The URL path is mapped in ICF subnodes (services). For example, if you want to activate the services for URL /sap/public/icman, you have to activate the service tree default_host in transaction SICF. Then you have to activate services sap, public and icman separately. You activate an ICF service as follows: 1. Select the required ICF service in the ICF tree in transaction SICF. 2. Activate the ICF service in one of the following ways: o Using menu option Service/Host Activate . o Using the context menu and choosing Activate Service. You can either activate only a selected service node (Yes), or the selected service node including all the subservices maintained for it in SICF (Yes with tree icon): (Example) For SAP NetWeaver Gateway you need to activate the following services: /sap/public/opu Note that /sap/public/opu/resources is needed for loading resources, such as images in the MIME repository. For example, the generic player gets a service document which contains links to images which the player should display for a Sales Order. Then the generic player downloads the image via URL from the MIME Repository; for example, http://.../sap/opu/resources/pic1.png.
  • 12.
    SAP NetWeaver GatewayConfiguration Guide (C) SAP AG SAP NetWeaver Gateway 2.0 SPS08 12 /sap/opu/odata with its sub-nodes. This is the standard mode for all new applications. When creating a service a new node is created automatically. /sap/opu/sdata with the following sub-nodes: o /sap/opu/sdata/iwcnt o /sap/opu/sdata/iwfnd o /sap/opu/sdata/sap This is the node used for existing applications, it is called Compatibility Mode for SP02. If you use Web service based scenarios, that is, if content is consumed which is provided via Web services, then you also need to activate the following nodes on your target system: /sap/bc/srt/xip/sap /sap/bc/webdynpro/sap/saml2 /sap/public/bc /sap/public/bc/ur /sap/public/mysssocnt Note If the default_host node is inactive in transaction SICF, the HTTP requests could result in an ABAP runtime error RAISE_EXCEPTION with the following short text: Exception condition "HOST_INACTIVE" triggered. If a service is inactive in transaction SICF, an error text appears when you try to access the service. You can also activate services from the SAP Implementation Guide (IMG). In transaction SPRO, choose Display SAP Reference IMG. The path in the Implementation Guide for SAP NetWeaver is: Application Server Internet Communication Framework Activate HTTP Services or Activate Services in Installation. Note that the system performs a check against the authorization object S_ICF_ADM [External] when an ICF node is created. Standard Mode This standard mode refers to the ICF node /sap/opu/odata. This node is available for OData Channel based applications. When creating a service a new node is created automatically. Note The standard mode is the default for all new applications. All new development will be done on this mode. New functions and features will be available for this mode.
  • 13.
    SAP NetWeaver GatewayConfiguration Guide (C) SAP AG SAP NetWeaver Gateway 2.0 SPS08 13 The request handler for this node is /IWFND/CL_SODATA_HTTP_HANDLER. The following list consists of the differences of the standard mode as opposed to the compatibility mode for SP02: XSRF protection See also Cross-Site Request Forgery Protection [External] Content-Type required for Put/Post request An unsupported media type error is thrown if Content-Type is not set for Put/Post requests. Set parameter: Content-Type=application/xml XSRF Security Token Security Session Id $format parameter $format=xml leads to an error except for service document. Do not use it for all requests except for those to get service document . Null values in Put/Post Request Empty property elements (for example, <name/>) are not allowed anymore. Nullable needs to be set properly, and besides that, if an entry with a null string is to be created set m:null="true", for example, <name m:null="true" />. Null values in the response of a Get/Put request Intial values for date time fields in combination with nullable properties are rendered as <...m:null="true" />. Values of keys in Post request in case of server generated keys If the keys are generated on the server the values need to be filled in the post request anyway. m:null is not allowed. Rendering of key predicates See http://www.odata.org/developers/protocols/overview#AbstractTypeSystem. Key properties Sending properties that are not key fields in an URI is not longer possible. String parameters Quotation marks enclosing string parameters (for example, search string) are now required and removed. Parameters for function imports Parametrize with literals, for example, datetime.... See also http://www.odata.org/developers/protocols/overview#AbstractTypeSystem.
  • 14.
    SAP NetWeaver GatewayConfiguration Guide (C) SAP AG SAP NetWeaver Gateway 2.0 SPS08 14 Inverted commas in URI Inverted commas in URI, for example, $filter=name eq 'Jame''s shop' can now be properly escaped by an inverted comma. OData error response The OData error response has been enhanced. See http://www.odata.org/media/6655/%5Bmc- apdsu%5D%5B1%5D.htm#_Toc246716641. The code field is now either build from the leading error message of the message container [External] or build from the text id of the exception [External]. The structured inner error section is available showing Extended Passport (EPP) transaction ID. All messages of the message container and the additionally provided error details are shown in a special format (micro format). Things The workspace for Things, element <app:workspace sap:semantics="things">, is no longer available. Service maintenance The service maintenance transaction distinguishes between services of the Standard Mode and of the Compatibility Mode for SP02. Compatibility Mode for SP02 This compatibility mode for SAP NetWeaver Gateway 2.0 SP02 refers to the ICF node /sap/opu/sdata. This node is available for existing applications which might be based either on OData Channel or Generic Channel. Caution This node is in maintenance mode. The request handler for this node is /IWFND/CL_SDATA_ODATA_APP. Alias Handling in ICF The ICF standard function of external aliases [External] is also available for SAP NetWeaver Gateway for the Standard Mode, that is, for ICF node /sap/opu/odata. Thus you can define an external alias for your service if you have registered class /IWFND/CL_SODATA_HTTP_HANDLER as handler in the Handler List for your service node. Note Note that external aliases are not supported for namespaces in SICF. If the handler /IWFND/CL_SODATA_HTTP_HANDLER is not yet registered for your service node, enter the handler name on tab Handler List and activate your service. After the handler has been set, you can define the external alias.
  • 15.
    SAP NetWeaver GatewayConfiguration Guide (C) SAP AG SAP NetWeaver Gateway 2.0 SPS08 15 More Information Administration of ICF server functions (authorization assignment): Server Function Administration [External] Administration of ICF client functions (creation of RFC destinations, and so on): Client Function Administration [External] ICF services: Creating and Configuring an ICF Service [External] Authentication: Defining the Logon Procedure [External]
  • 16.
    SAP NetWeaver GatewayConfiguration Guide (C) SAP AG SAP NetWeaver Gateway 2.0 SPS08 16 Changing Password for Initial Logon Note This section is only relevant if you want to change the password for the initial logon procedure. The logon configurations for SAP NetWeaver Gateway are handled via the ICF layer. For more information, see Defining the Logon Procedure [External]. SAP systems may require some additional (browser) features if the password needs to be changed because of being initial or outdated. Therefore, the ICF nodes can be configured to permit the initial password change and the direct logon. An additional ICF node is offered to allow the change of passwords with a browser. Using an ICF Node for Changing Passwords SAP NetWeaver Gateway offers a special ICF node which can be accessed to change the password, for example for the initial logon sequence. This node is used to change the password and to redirect to any other custom web page. You can find this special ICF node in the service tree under /default_host/sap/opu/utils under the name initial_logon. You can access this node as soon as it has been activated via the URL <host>:<port>/sap/opu/utils/initial_logon. The call of the service requires authentication and does allow to change an initial password via a browser application. If the URL is extended by ?redirectURL=/X then the browser is redirected to the URL wherever X points to. A typical use case for such a redirect URL would be to display additional information, so that the new password data could be used in the settings of a mobile application. If needed, a redirect URL can be configured and will take precedence over all basic settings. (initial_logon) Changing the Password for ICF Nodes Accessed by Mobile Devices 1. In transaction SICF choose Execute (F8) to display the service tree hierarchy. 2. Expand the default host and navigate to the ICF parent node of the initial logon /default_host/sap/opu/utils/initial_logon. This node shall be the root
  • 17.
    SAP NetWeaver GatewayConfiguration Guide (C) SAP AG SAP NetWeaver Gateway 2.0 SPS08 17 node which is accessed by your mobile devices and where you want to deny the direct access via mobile device. 3. Double-click on the node and change to edit mode. 4. On tab Error Pages choose sub-tab Logon Errors. 5. Choose System Logon. (System logon) 6. Choose Configuration. 7. Choose Define Service-Specific Settings. 8. Under Logon Layout and Procedure choose Custom Implementation and enter ABAP Class /IWFND/CL_COC_SYSTEM_LOGIN.
  • 18.
    SAP NetWeaver GatewayConfiguration Guide (C) SAP AG SAP NetWeaver Gateway 2.0 SPS08 18 (Custom implementation example) 9. Choose Input (Enter) to save your settings. Caution If you have administrator rights you have the additional option to save your settings as global settings. Do not use Save as Global Settings. 10. Activate your ICF node. Logoff URL The Internet Communication Framework also offers a default logoff URL on each system. You can define your own logoff pages via Error Pages Logoff Page . More Information For more information on the generic system logon functionality in ICF, see System Logon [External].
  • 19.
    SAP NetWeaver GatewayConfiguration Guide (C) SAP AG SAP NetWeaver Gateway 2.0 SPS08 19 Language Settings The language which is displayed to the user depends on a variety of factors. For more information see Determining the Logon Language [External]. As to languages, the SAP NetWeaver Gateway system supports only the intersecting set of the languages of the connected SAP Business Suite backend systems.
  • 20.
    SAP NetWeaver GatewayConfiguration Guide (C) SAP AG SAP NetWeaver Gateway 2.0 SPS08 20 OData Channel Configuration Depending on your underlying SAP NetWeaver release the configuration settings for OData Channel and the structure in the Implementation Guide (IMG) may differ. SAP NetWeaver 7.00 and 7.01 The OData Channel configuration settings are available in the Implementation Guide (IMG) in the system where software component IW_FND is deployed. In the SAP Reference IMG navigate to SAP NetWeaver Gateway . (OData Channel IMG for IW_FND in 7.00 and 7.01) SAP NetWeaver 7.02 and 7.31 The OData Channel configuration activities are listed in the Implementation Guide (IMG) in the system where software component IW_FND is deployed. In the SAP Reference IMG navigate to SAP NetWeaver Gateway OData Channel . (OData Channel IMG in IW_FND)
  • 21.
    SAP NetWeaver GatewayConfiguration Guide (C) SAP AG SAP NetWeaver Gateway 2.0 SPS08 21 Recommendation We strongly recommend using the OData Channel (ODC) programming paradigm for all SAP NetWeaver Gateway development. As of SAP NetWeaver Gateway 2.0 Support Package 05, you are strongly recommended to use the Service Builder (transaction SEGW) for your OData design- time development . For more information, see SAP NetWeaver Gateway Service Builder [External]. Depending on whether you want to develop SAP NetWeaver Gateway content in an SAP Business Suite backend system or in an SAP NetWeaver Gateway hub system, you can choose between embedded deployment or central hub deployment. For more information, see Embedded Versus Hub Deployment [External] and Deployment Options [External]. Apart from basic configuration settings the OData Channel configuration activities for the SAP Business Suite backend system are listed in the Implementation Guide (IMG) in the backend system where software component IW_BEP is deployed. In the SAP Reference IMG navigate to SAP NetWeaver Gateway Service Enablement Backend OData Channel . (OData Channel IMG in IW_BEP) SAP NetWeaver 7.40 If you use software component SAP_GWFND in SAP NetWeaver 7.40, IMG activities for SAP NetWeaver Gateway Foundation 7.40 are available. In the SAP Reference IMG navigate to SAP NetWeaver Gateway and SAP NetWeaver Gateway Service Enablement . There you find all the relevant OData Channel IMG activities.
  • 22.
    SAP NetWeaver GatewayConfiguration Guide (C) SAP AG SAP NetWeaver Gateway 2.0 SPS08 22 Settings User, Developer and Administrator Authorizations [Page 23] Connection Settings on the SAP NetWeaver Gateway Hub System [Page 29] Activating SAP NetWeaver Gateway [Page 41] Settings for OData Channel Service Development on Backend System [Page 42] Settings for OData Channel Service Development on the Hub System [Page 46] Connection Settings on the Backend System [Page 53] More Information Basic Configuration Settings [Page 9] OData Channel [External]
  • 23.
    SAP NetWeaver GatewayConfiguration Guide (C) SAP AG SAP NetWeaver Gateway 2.0 SPS08 23 User, Developer, and Administrator Authorizations After you have installed the SAP NetWeaver Gateway components you require, you need to set up an administrator role for SAP NetWeaver Gateway components and assign users to it. Then you set up one or several user roles and assign users to it as well. As you cannot change existing SAP roles, you create your own roles or copy existing roles to your new custom roles. The SAP system includes templates as opposed to actual users, so you must use the available role templates to create the users you require in the SAP NetWeaver Gateway system. If the users you require exist in your SAP Business Suite backend system, you can replicate these users in the SAP NetWeaver Gateway system by connecting the SAP NetWeaver Gateway system to Central User Administration or to SAP Identity Management and synchronize the users in this way. If this is not possible, you must create the users manually. SAP NetWeaver Gateway provides predefined roles as templates for: Developers Administrators End users of the different content scenarios These templates follow the naming convention /IWCNT/RT_USER_<application name>. Support colleagues These templates provide display authorizations only and are intended to be used by support colleagues who need to view applications logs. Use the predefined templates to create administrator, developer, user, and support roles for SAP NetWeaver Gateway components. The template names begin with a namespace ID that corresponds to the software components you use. SAP NetWeaver Gateway Developer Role Create a developer role based on the available templates for all users that are to carry out development tasks such as creating services. Use the developer role /IWBEP/RT_MGW_DSP for accessing a remote system from the Service Builder (transaction SEGW) at design time. The following templates are available for developers: Template Type Template Name Template for Framework /IWFND/RT_BOR_DEV SAP NetWeaver Gateway BOR Developer Framework /IWFND/RT_DEVELOPER SAP NetWeaver Gateway Developer OData Channel /IWBEP/RT_MGW_DEV OData Channel Developer Screen Scraping /IWSCS/RT_SCR_DEV SAP NetWeaver Gateway Screen Scraping Developer For more information, see Assigning Authorization to Transaction and Search Help [External]
  • 24.
    SAP NetWeaver GatewayConfiguration Guide (C) SAP AG SAP NetWeaver Gateway 2.0 SPS08 24 SAP NetWeaver Gateway Administrator Role Create a role for an administrator user with permissions and privileges for several tasks, including the following: Create services. Analyze logs and identify potential issues with the SAP NetWeaver Gateway landscape. Install, configure, and maintain SAP NetWeaver Gateway components and applications that run on SAP NetWeaver Gateway. Configure and maintain users’ data including roles and user mapping. In the SAP Reference Implementation Guide (IMG) (transaction SPRO), navigate to SAP NetWeaver Gateway OData Channel Configuration User Settings Define Role for SAP NetWeaver Gateway Administrator and click on the Activity icon. The Role Maintenance page displays. To check that the role was properly created and assigned, log onto the SAP NetWeaver Gateway system as the user you just assigned. You should be able to access transaction SPRO and find the SAP NetWeaver Gateway Implementation Guide there. You can now log onto the SAP NetWeaver Gateway host as the administrator user you have just created to configure SAP NetWeaver Gateway components and content, and to install consumer applications. For more information about SAP user administrator types, see Setting Up User and Authorization Administrators [External]. The following templates are available for administrators: Template Type Template Name Template for Framework /IWFND/RT_ADMIN SAP NetWeaver Gateway Framework Administrator Content Scenario /IWCNT/RT_ADMIN_REP SAP NetWeaver Gateway Reporting Management Administrator. See Settings for Reporting Management [Page 188] for details on authorizations required. OData Channel /IWBEP/RT_MGW_ADM OData Channel Administrator Business Enablement Provisioning (IW_BEP component) /IWBEP/RT_BEP_ADM Business Enablement Provisioning Administrator Workflow /IWWRK/RT_WF_ADM SAP NetWeaver Gateway Workflow Administrator
  • 25.
    SAP NetWeaver GatewayConfiguration Guide (C) SAP AG SAP NetWeaver Gateway 2.0 SPS08 25 SAP NetWeaver Gateway User Role Create a role for a user with permissions and privileges for user-specific tasks. Depending on your application, you can either specify different authorizations for different user roles or have all authorizations bundled together in one user role. Note You must be a SAP NetWeaver Gateway administrator or have a SAP user administrator to create user roles. In the SAP Reference Implementation Guide (IMG) (transaction SPRO), navigate to SAP NetWeaver Gateway OData Channel Configuration User Settings Define Role for SAP NetWeaver Gateway User and click on the Activity icon. The Role Maintenance page displays. Proceed as described below. Once you have assigned users to the relevant roles, you can log on as one of these users and work as them. If you use Web service based scenarios, copy the SAP_BC_WEBSERVICE_CONSUMER role to a customer role for end users. Then assign this customer role to your end users. To do this, proceed as follows: 1. Click on the Activity icon of the IMG activity Define Role for SAP NetWeaver Gateway User mentioned above. The Role Maintenance page displays. 2. In the Role field, enter your customer role for Web services and choose Change. 3. On the User tab enter the names of the users to whom you want assign this role and save your settings. 4. Choose User Comparison. 5. Choose Complete Comparison. 6. Save your settings. To check that you have successfully assigned roles to users, take some of the users assigned to the different roles and make sure that you can log on successfully. If these steps have not been performed successfully, an HTTP request of an authenticated user returns an HTTP 500 error. The following templates are available for end users: Template Type Template Name Template for Framework /IWFND/RT_GW_USER SAP NetWeaver Gateway User Framework /IWFND/RT_TU_NOTIF SAP NetWeaver Gateway Technical User for Notifications Content Scenario /IWCNT/RT_USER_LEMA SAP NetWeaver Gateway Leave Management User. See Settings for Leave Management Application [Page 220] for details on authorizations required.
  • 26.
    SAP NetWeaver GatewayConfiguration Guide (C) SAP AG SAP NetWeaver Gateway 2.0 SPS08 26 Template Type Template Name Template for Content Scenario /IWCNT/RT_USER_REP SAP NetWeaver Gateway Reporting Management User See Settings for Reporting Management [Page 188] for details on authorizations required. Content Scenario /IWCNT/RT_USER_SS SAP NetWeaver Gateway Sample Services User Content Scenario /IWCNT/RT_USER_TRVL SAP NetWeaver Gateway Travel User Content Scenario /IWCNT/RT_USER_TIMA SAP NetWeaver Gateway Time Management User. See Settings for Time Management Application [Page 212] for details on authorizations required. Content Scenario /IWCNT/RT_USER_WF SAP NetWeaver Gateway Workflow User Content Scenario /IWCNT/RT_USER_ACT SAP NetWeaver Gateway Activity Management User See Settings for Customer Relationship Management on SAP NetWeaver Gateway [Page 171] for details on authorizations required. Content Scenario /IWCNT/RT_USER_ACCNT SAP NetWeaver Gateway User for Account Management See Settings for Customer Relationship Management on SAP NetWeaver Gateway [Page 171] for details on authorizations required. Content Scenario /IWCNT/RT_USER_CONT SAP NetWeaver Gateway User for Contact Management See Settings for Customer Relationship Management on SAP NetWeaver Gateway [Page 171] for details on authorizations required. OData Channel /IWBEP/RT_MGW_USR OData Channel User OData Channel /IWHDB/RT_USER OData Channel HANA Integration User OData Channel /IWBEP/RT_SUB_USR On-behalf Subscription User Business Enablement Provisioning (IW_BEP component) /IWBEP/RT_BEP_USR Business Enablement Provisioning User Workflow /IWWRK/RT_WF_GW_USR SAP NetWeaver Gateway Workflow User
  • 27.
    SAP NetWeaver GatewayConfiguration Guide (C) SAP AG SAP NetWeaver Gateway 2.0 SPS08 27 Template Type Template Name Template for Workflow /IWWRK/RT_WF_SUB_USR On-Behalf Subscription for SAP NetWeaver Gateway Workflow Services Screen Scraping /IWSCS/RT_SCR_USR SAP NetWeaver Gateway Screen Scraping User For more information, see Assigning Authorization to Transaction and Search Help [External] SAP NetWeaver Gateway Support User Role The following templates are available for support users (display authorization only). The support templates are available in the SAP NetWeaver Gateway hub system and the SAP Business Suite backend systems respectively. These templates contain read-only authorizations to access SLG1, the application log viewer [External] and the corresponding log objects and sub-objects. Template Type Template Name Template for Support /IWFND/GW_SUPPORT_RO Read-only supportability role for SAP NetWeaver Gateway system Support /IWBEP/GW_SUPPORT_RO Read-only supportability role for SAP Business Suite backend system More Information Creating and Assigning Roles [Page 28] Roles in the SAP NetWeaver Gateway Landscape [External]
  • 28.
    SAP NetWeaver GatewayConfiguration Guide (C) SAP AG SAP NetWeaver Gateway 2.0 SPS08 28 Creating and Assigning Roles To create a role and assign it to users (user roles, administrator roles or developer roles), proceed as follows: 1. On the Role Maintenance page enter an existing SAP_BC* role : For an administrator role choose a listed standard administrator role, for example SAP_BC_BASIS_ADMIN, and for a user role, enter an existing generic user role, for example SAP_BC_ENDUSER. 2. Select Copy Role to create a copy of the standard role. 3. In the Query dialog box, enter a name for the new role and then select Copy all. The new role is created. 4. On the Role Maintenance page, select Change. 5. On the Authorizations tab select Change Authorization Data under the Maintain Authorization Data and Generate Profiles section. 6. Select Edit Insert authorization(s) From template... . The Choose Template page displays. 7. Select the appropriate template from the list (see User and Administrator Authorizations [Page 23]) and choose Continue (Enter). 8. Choose Generate. 9. On the Generate Profile window choose Generate. 10. In the Assign Profile Name for Generated Authorization Profile dialog box, maintain the profile name according to your requirements and choose Execute (Enter). 11. The Change role: Authorizations page displays, with the Status of the profile showing as generated. 12. Go back to the Change Roles page and select the User tab. 13. Under User Assignments enter the names of the users to whom you want to assign this role and save your settings. 14. Choose User Comparison. 15. Choose Complete Comparison. 16. Save your settings. For more information about role maintenance, see Changing Standard Roles [External].
  • 29.
    SAP NetWeaver GatewayConfiguration Guide (C) SAP AG SAP NetWeaver Gateway 2.0 SPS08 29 Connection Settings on the SAP NetWeaver Gateway Hub System Connection Settings: SAP NetWeaver Gateway to Consumer [Page 30] Connection Settings: SAP NetWeaver Gateway to SAP Systems [Page 34]
  • 30.
    SAP NetWeaver GatewayConfiguration Guide (C) SAP AG SAP NetWeaver Gateway 2.0 SPS08 30 Connection Settings: SAP NetWeaver Gateway to Consumer When using Push flow and also Web services, you have to specify settings from your SAP NetWeaver Gateway system to consumers. In the following sections only the basic configuration activities to set up the connection between the SAP NetWeaver Gateway host and the consumer system are listed. You can find the complete set of configuration activities in the SAP NetWeaver Gateway Configuration implementation guide (IMG) in the system. In Transaction SPRO open the SAP Reference IMG and navigate to SAP NetWeaver Gateway OData Channel Configuration Connection Settings SAP NetWeaver Gateway to Consumer . Creating a bgRFC Destination for Outbound Queues [Page 31] Registering the bgRFC Destination for the Outbound Queue [Page 32] Creating the bgRFC Supervisor Destination [Page 33]
  • 31.
    SAP NetWeaver GatewayConfiguration Guide (C) SAP AG SAP NetWeaver Gateway 2.0 SPS08 31 Creating a bgRFC Destination for Outbound Queues You must create a Background Remote Function Call (bgRFC) destination for communications in an outbound queue or an inbound queue respectively. To create a bgRFC destination for the outbound queue, proceed as follows: 1. In transaction SPRO open the SAP Reference IMG and navigate to: SAP NetWeaver Gateway OData Channel Configuration Connection Settings SAP NetWeaver Gateway to Consumer Create RFC Destination for Outbound Queues and click on the Activity icon. 2. Choose Create. 3. In RFC Destination, enter IWFND_BGRFC_DEST. 4. In Connection Type, enter 3. 5. In Description 1, enter RFC Destination for Outbound Queues. 6. Choose Enter and then select the Special Options tab. 7. In the Select Transfer Protocol section, select the option Classic with bgRFC from the list and save your settings. 8. Accept the warning message with Yes. 9. Choose Connection test. Information about the connection type displays.
  • 32.
    SAP NetWeaver GatewayConfiguration Guide (C) SAP AG SAP NetWeaver Gateway 2.0 SPS08 32 Registering the bgRFC Destination for the Outbound Queue Register the bgRFC destination for the outbound queue to handle communications efficiently. Proceed as follows: 1. In transaction SPRO open the SAP Reference IMG and navigate to: SAP NetWeaver Gateway OData Channel Configuration Connection Settings SAP NetWeaver Gateway to Consumer Register RFC Destination for Outbound Queues and click on the Activity icon. 2. Select the Define Inbound Dest. tab. 3. Choose Create. 4. In the Inb. Dest. Name field, enter IWFND_BGRFC_DEST. 5. Choose Enter and Save. 6. In the New Prefix field, enter IWFND_CNP for example and choose Create. Repeat the step using IWCNT_WF, for example. 7. Save your settings. 8. On the Scheduler: Destination tab choose Create. A message displays, asking if you want an outbound or inbound destination. 9. Choose Inbound. 10. In the Destination field, enter IWFND_BGRFC_DEST and choose Save. 11. Save your settings.
  • 33.
    SAP NetWeaver GatewayConfiguration Guide (C) SAP AG SAP NetWeaver Gateway 2.0 SPS08 33 Creating the bgRFC Supervisor Destination The supervisor destination for bgRFC receives the configuration settings for the bgRFC scheduler and also starts or stops the schedulers as required. Note The bgRFC supervisor user you specify must have authorizations from authorization object S_RFC. These are defined in role SAP_BC_BGRFC_SUPERVISOR. To create the bgRFC supervisor destination, proceed as follows: 1. In transaction SPRO open the SAP Reference IMG and navigate to: SAP NetWeaver Gateway OData Channel Configuration Connection Settings SAP NetWeaver Gateway to Consumer Create bgRFC Supervisor Destination and click on the Activity icon. 2. On tab Define Supervisor Dest. choose Create. 3. In the Destination Name field, enter BGRFC_SUPERVISOR. 4. In the User Name field, enter a user name, for example, BgRFC_user. 5. Select Create User and choose Enter. 6. Choose Save. 7. Select Generate Password and choose Save. 8. On the bgRFC Destination page, select Save.
  • 34.
    SAP NetWeaver GatewayConfiguration Guide (C) SAP AG SAP NetWeaver Gateway 2.0 SPS08 34 Connection Settings: SAP NetWeaver Gateway to SAP Systems You must configure settings for SAP NetWeaver Gateway components and define how these settings interface with your existing SAP Business Suite system (backend system). In the following sections only the basic configuration activities are listed. You can find the complete set of configuration activities in the SAP NetWeaver Gateway Configuration Implementation Guide (IMG) in the system. In transaction SPRO open the SAP Reference IMG and navigate to SAP NetWeaver Gateway OData Channel Configuration Connection Settings SAP NetWeaver Gateway to SAP System . Defining Trust between the SAP NetWeaver Gateway Host and Your SAP System [Page 36] Creating a Type 3 RFC Destination on SAP NetWeaver Gateway Host to SAP [Page 35] Configuring SAP System to Accept Assertion Tickets from SAP NetWeaver Gateway [Page 37] Configuring the SAP NetWeaver Gateway Host to Accept Assertion Tickets [Page 38] Creating the System Alias for Applications [Page 39]
  • 35.
    SAP NetWeaver GatewayConfiguration Guide (C) SAP AG SAP NetWeaver Gateway 2.0 SPS08 35 Creating a Type 3 RFC Destination on SAP NetWeaver Gateway Host to SAP System A Type 3 connection from the SAP NetWeaver Gateway host to the SAP Business Suite system is required for all scenarios. Create this as follows 1. In transaction SPRO open the SAP Reference IMG and navigate to: SAP NetWeaver Gateway OData Channel Configuration Connection Settings SAP NetWeaver Gateway to SAP System Manage RFC Destinations and click on the Activity icon. 2. Choose Create. 3. In the RFC Destination field, enter the RFC destination name in the following format: <system id >CLNT<Client>. 4. In the Connection Type field, enter 3. 5. In the Description 1 field, enter an explanatory text, for example, RFC Destination to SAP Server. 6. Save your settings. 7. On tab Technical Settings and Load Balancing select the relevant option according to your system’s settings. 8. In the Target Host field, enter the (message) server name of the of the SAP system. 9. In the System Number field, enter the SAP NetWeaver Gateway system number, for example, 00. 10. On tab Logon & Security enter the SAP system’s client number. 11. Activate Current User. 12. For Trust Relationship activate Yes. Note Ensure that you have previously created the trusted relationship, as outlined in Defining Trust between the SAP NetWeaver Gateway Host and Your SAP System [Page 36]. 13. Save your settings. To check that you have successfully created the type 3 connection, choose Connection Test. The connect test should pass. If the user ID with which you are logged on to SAP NetWeaver Gateway and your user ID for the SAP system is the same, and this user ID has the object S_RFCACL assigned to it on the SAP system, select Remote Logon. You should not see any error messages in the status. If you have any problems, check SAP Note 128447 for troubleshooting tips.
  • 36.
    SAP NetWeaver GatewayConfiguration Guide (C) SAP AG SAP NetWeaver Gateway 2.0 SPS08 36 Defining Trust between the SAP NetWeaver Gateway Host and Your SAP Systems for Type 3 Connections You define the trust relationship between your SAP Business Suite system and the SAP NetWeaver Gateway host by configuring the SAP Business Suite system (backend system) to be the trusting system, and the SAP NetWeaver Gateway host to be the trusted system. Note This is simply a technical RFC destination used to establish the trust. It is not used during runtime. To configure trust, proceed as follows: 1. On the SAP business system, open transaction SM59 and choose Create. 2. In the RFC Destination field, enter the RFC destination name in the following format: <system id >CLNT<Client>.. 3. In the Connection Type field, enter 3. 4. In the Description 1 field, enter an explanatory text, for example, RFC Destination to SAP NetWeaver Gateway Server. 5. Save your settings. 6. On tab Technical Settings and Load Balancing select the relevant option according to your system’s settings. 7. In the Target Host field, enter the (message) server name of the SAP NetWeaver Gateway system. 8. In the System Number field, enter the SAP NetWeaver Gateway system number, for example, 00. 9. Save your settings. 10. In transaction SMT1 choose Create. The wizard for creating trusting relationships displays. 11. Proceed with the steps outlined in the wizard. In the RFC Destination field, enter the RFC destination you created. An RFC logon to the SAP NetWeaver Gateway host takes place and the necessary information is exchanged between the systems. 12. Log on to the SAP NetWeaver Gateway host using your administrator user and password. The trusted entry for the SAP NetWeaver Gateway host displays. 13. Save your settings. Note End users must have authorization object S_RFCACL assigned to them before they can use a trusted connection. For more information, see RFC Trusted/Trusting Systems [External].
  • 37.
    SAP NetWeaver GatewayConfiguration Guide (C) SAP AG SAP NetWeaver Gateway 2.0 SPS08 37 Configuring SAP System to Accept Assertion Tickets from SAP NetWeaver Gateway You must configure your SAP Business Suite (backend) system to accept SAP assertion tickets from the SAP NetWeaver Gateway host for message-based Web service communication. To accept SAP assertion tickets, proceed as follows: 1. Make sure that the profile parameters are set as outlined in Profile Parameters [Page 10]. 2. In your backend system go to transaction SSO2 to run the SSO2 administration wizard. Note If transaction SSO2 does not work, use STRUSTSSO2 to import the certificates from the SAP NetWeaver Gateway server; you must import them manually. For further information, see Using Transaction STRUSTSSO2 in SAP System >= 4.6C [External]. 3. Enter the Type 3 RFC destination created above (for your SAP NetWeaver Gateway system) or the Host Name and Instance Number for the SAP NetWeaver Gateway system in the appropriate fields. 4. Choose Execute. On the Logon page enter your password. The SSO2 administration report for the designated SAP system displays. 5. Choose Activate (Enter Certificate in ACL and, if Necessary, Certificate List) to configure the SAP system.
  • 38.
    SAP NetWeaver GatewayConfiguration Guide (C) SAP AG SAP NetWeaver Gateway 2.0 SPS08 38 Configuring the SAP NetWeaver Gateway Host to Accept Assertion Tickets from SAP Business Suite Systems You must configure your SAP NetWeaver Gateway host to accept SAP assertion tickets from the SAP Business Suite (backend) system for message-based Web service communication. Proceed as follows: 1. In your SAP NetWeaver Gateway system make sure that the profile parameters are set as outlined in Profile Parameters [Page 10]. 2. In your SAP NetWeaver Gateway system go to transaction SSO2 to run the SSO2 administration wizard. Note If transaction SSO2 does not work, use STRUSTSSO2 to import the certificates from the SAP NetWeaver Gateway server; you must import them manually. For further information, see Using Transaction STRUSTSSO2 in SAP System >= 4.6C [External]. 3. Enter the Type 3 RFC destination created above (from your backend system) or the Host Name and Instance Number for the backend system in the appropriate fields. 4. Choose Execute. Note You may be asked to provide a user name and password. The SSO administration report for the designated SAP system displays. 5. Choose Activate (Enter Certificate in ACL and, if Necessary, Certificate List) to configure the SAP NetWeaver Gateway system. If everything has been configured correctly the traffic lights are green.
  • 39.
    SAP NetWeaver GatewayConfiguration Guide (C) SAP AG SAP NetWeaver Gateway 2.0 SPS08 39 Creating the SAP System Alias for Applications You need to specify where the SAP system alias should point to. Depending on the SAP NetWeaver Gateway content scenario and your system landscape you thus set up the system alias. The system alias is the result of the routing for an inbound request on SAP NetWeaver Gateway. It can be a remote or a local system. If that system alias is flagged as a Local GW instance, it means that the system that is responsible for processing (managing and storing) the data of an inbound request is the local SAP NetWeaver Gateway instance itself. 1. In transaction SPRO open the SAP Reference IMG and navigate to: SAP NetWeaver Gateway OData Channel Configuration Connection Settings SAP NetWeaver Gateway to SAP System Manage SAP System Aliases and click on the Activity icon. 2. Choose New Entries. 3. Enter the following details for the SAP system alias: Field Description SAP System Alias Name of the system alias. Description Descriptive text for the system alias. Local GW The system that is responsible for processing (managing and storing) the data of an inbound request is the local SAP NetWeaver Gateway instance itself. This option is typically used for testing scenarios, for example when using the BOR Generator locally. If you activate Local GW for a SAP System Alias called LOCAL the RFC Destination is usually NONE. For Local App The system alias is to be used by BEP. For more information, see the F1 help in the system and Hub OData Channel with IW_BEP Installation [External]. RFC Destination Specify the RFC destination defined for your SAP system. Software Version This setting is specified by the content scenario you are using. Typically it is DEFAULT. In the context of Generic Channel development, check the following to determine the value to set for your GSDOs: In transaction SPRO open the SAP Reference IMG and navigate to: SAP NetWeaver Gateway Former Development Former Generic Channel Development Generic Service Data Object (GSDO) GSDO Types & GSDO Contexts & GSI Implementations and click on the Activity icon. Select your GSDO type and choose GSI Implementation. System ID Name of the SAP target system. Note When specifying SAP system aliases we recommend always to enter the
  • 40.
    SAP NetWeaver GatewayConfiguration Guide (C) SAP AG SAP NetWeaver Gateway 2.0 SPS08 40 Field Description system ID. The SAP target system, together with the target client, determines the system alias for a remote call to a backend system. Client Target client. WS Provider System Name of the Web service provider business system. Here you only need to enter a setting if you use content scenarios which are configured via Web services. 4. Save your settings. Note We recommend that you check the system alias configurations using Check SAP System Aliases [Page 159].
  • 41.
    SAP NetWeaver GatewayConfiguration Guide (C) SAP AG SAP NetWeaver Gateway 2.0 SPS08 41 Activating SAP NetWeaver Gateway Before you can use SAP NetWeaver Gateway functionality and theyou have to activate it globally in your system. You can activate and deactivate SAP NetWeaver Gateway. When you deactivate it, all SAP NetWeaver Gateway services stop running, no consumer servers can communicate with it, and an error message is sent to any system that calls for the services. When you have completed the installation and post-installation configuration described in the sections above, you must activate SAP NetWeaver Gateway. Note Before activating SAP NetWeaver Gateway, ensure that you have first installed and configured the consumer server. Proceed as follows: 1. In transaction SPRO open the SAP Reference IMG and navigate to: SAP NetWeaver Gateway OData Channel Configuration Activate or Deactivate SAP NetWeaver Gateway and click on the Activity icon. A message displays. 2. Choose Activate. A message displays informing you of the current status.
  • 42.
    SAP NetWeaver GatewayConfiguration Guide (C) SAP AG SAP NetWeaver Gateway 2.0 SPS08 42 Settings for OData Channel Service Development on Backend System OData Channel implementations retrieve the data from an SAP Business Suite (backend) system. Both application logic and metadata are hosted on the SAP Business Suite system. After the ABAP development activities, that is developing the runtime service and the model provider class, the services need to be activated. For this the following registration process is done on the SAP Business Suite system: Maintain models Maintain services You can maintain these settings in IMG activities in the SAP Business Suite system. In transaction SPRO open the SAP Reference IMG and navigate to SAP NetWeaver Gateway Service Enablement Backend OData Channel Service Development for Backend OData Channel Maintain Models and Maintain Services. For more information see Maintaining Models and Services [External]. To get an overview of the settings the IMG activity SAP NetWeaver Gateway Service Enablement Backend OData Channel Service Development for Backend OData Channel Display Models and Services is provided. Note that this activity is read-only. For more information see Display Models and Services [Page 44]. After this registration SAP NetWeaver Gateway can expose the corresponding OData services. Once a service has been defined in the SAP Business Suite system it can be activated on the SAP NetWeaver Gateway system. See Maintain Services [External]. Under the IMG path SAP NetWeaver Gateway Service Enablement Backend OData Channel Service Development for Backend OData Channel an additional activity OData Channel Generation Tool is provided. For more information, see OData Channel Generation Tool [External]. In addition, an activity is provided to define parallelization of batch queries. For more information, see Define Parallelization of Batch Queries [Page 45]. Repository Objects The registration process of OData Channel models and services is unique: In order to allow collecting authorizations per data provider class (DPC) a repository object type is available. This is integrated into transaction SU22. Thus two additional repository object types exist in SAP NetWeaver Gateway. For more information see Roles in the SAP NetWeaver Gateway Landscape [External]. These repository objects have the following impact: Models and services shall only be transported via the transport objects. The external name of a service is derived from the technical name and cannot be freely defined to ensure a GTADIR connection to guarantee unique services. You create service /MYNAMESPACE/MYSERVICE with version 0001 which then results in http://<host>:<port>/sap/opu/odata/mynamespace/MYSERVICE.
  • 43.
    SAP NetWeaver GatewayConfiguration Guide (C) SAP AG SAP NetWeaver Gateway 2.0 SPS08 43 Prerequisites The following entities must exist: The data provider class for the service The model provider class for all models More Information OData Channel [External]
  • 44.
    SAP NetWeaver GatewayConfiguration Guide (C) SAP AG SAP NetWeaver Gateway 2.0 SPS08 44 Displaying Models and Services In the SAP Business Suite backend system you can find this activity in the Implementation Guide (IMG): In transaction SPRO open the SAP Reference IMG and navigate to SAP NetWeaver Gateway Service Enablement Backend OData Channel Service Development for Backend OData Channel Display Models and Services . In this activity you can display the models and the assignment of models to services. Thus you get an overview on the existing models and services. This is a read-only activity which simply provides an overview on existing configuration settings. The view cluster can still be used to display all registered services and models. The maintenance activities are done via Maintaining Models and Services [External].
  • 45.
    SAP NetWeaver GatewayConfiguration Guide (C) SAP AG SAP NetWeaver Gateway 2.0 SPS08 45 Define Parallelization of Batch Queries The transaction for defining parallelization of batch queries allows you to optimize the performance of batch request processing. For this an IMG activity is available: In transaction SPRO open the SAP NetWeaver reference IMG and navigate to Gateway Service Enablement Backend OData Channel Service Development for Backend OData Channel Define Parallelization of Batch Queries . In case of serialization the duration of the consecutive queries is the sum of all query processing times. Contrary to this, the total duration in parallel mode is just the maximum duration of these query processing times and a minimal overhead for parallelization. The following parameters are valid for the current SAP client: Activate Parallelization for Batch Queries Mark or unmark this option to enable or disable the parallelization. Maximum Number of Parallel Queries Specify the maximum number to limit the amount of parallel processing queries to save system resources. This number will be ignored if it is greater than the maximum number of dialog work processes available at parallelization time which is based on system settings (transaction RZ11, profile parameters rdisp/rfc*) . Zero (0) means it only depends on current system resources. Default value: 0.
  • 46.
    SAP NetWeaver GatewayConfiguration Guide (C) SAP AG SAP NetWeaver Gateway 2.0 SPS08 46 Settings for OData Channel Service Development on the Hub System After you have made the relevant configuration settings in the SAP Business Suite system in which component IW_BEP is installed (SAP NetWeaver releases lower than 7.40) or in which core component SAP_GWFND is installed (SAP NetWeaver 7.40 or higher), you need to make some additional configuration settings in the SAP NetWeaver Gateway hub system in which you intend to develop OData services. Note If your SAP NetWeaver Gateway hub system is based on an SAP NetWeaver release lower than 7.40, you will need to install the core component IW_FND in your hub system. If your SAP NetWeaver Gateway hub system is based on SAP NetWever 7.40 or higher, the core component SAP_GWFND is installed as standard. For more information, see Deployment Options [External]. Assigning SAP System Alias to OData Service [Page 47] Activate and Maintain Services [External] Multiple Origin Composition [Page 48] Dynamic System Alias Calculation Via /IWFND/ES_MGW_DEST_FINDER [Page 51]
  • 47.
    SAP NetWeaver GatewayConfiguration Guide (C) SAP AG SAP NetWeaver Gateway 2.0 SPS08 47 Assigning SAP System Alias to OData Service You can assign SAP system aliases to a service. With this assignment, an OData request from an SAP NetWeaver Gateway consumer can be routed to the corresponding backend system. The system can correctly identify the SAP system that is responsible for processing (managing and storing) the data of an inbound request. Thus, OData Channel based content which is developed either on the SAP NetWeaver Gateway hub system or on a SAP Business Suite backend system is based on the service. The SAP system alias can have a specific role or a specific host name associated to itself, so that you can specify different roles or host names for the same system alias for a service. If you leave the User Role or the Host Name field empty, the setting is valid for all roles/host names. Different backend systems are supported, if you specify corresponding roles/host names and system aliases. The roles are only for user grouping and do not need to have any special authorization. Example It is possible to separate the development, the quality and the production landscape via dedicated clients on the SAP NetWeaver Gateway hub system. The user will be directed as follows if he has not special roles: If there is a system alias maintained without any role assignment then it is used for all users. The user will be directed as follows if he has two or several roles relative to different system aliases: If a user is assigned to more than one system alias the system alias which is marked as default wins. If more than one system alias is found and either none of the system aliases or more than one of these aliases are flagged as default an error is raised. Ideally you have a system alias without any role assignment for all users without a role assignment and disjunct roles for the system aliases for all other users to the different backend systems (development, quality, productive). The system aliases with role assignment should be marked as default in this case. For this an IMG activity is available in the SAP NetWeaver Gateway Implementation Guide (IMG): in transaction SPRO open the SAP Reference IMG and navigate to SAP NetWeaver Gateway : For applications based on backend OData Channel system navigate to OData Channel Administration General Settings Assign SAP System Aliases to OData Service . For applications based on OData Channel with IW_BEP on the hub navigate to OData Channel Development with IW_BEP Registration Assign SAP System Aliases to OData Service . Note In previous support packages OData Channel based content was routed via GSDO groups which are no longer relevant in SAP NetWeaver Gateway 2.0 SP03.
  • 48.
    SAP NetWeaver GatewayConfiguration Guide (C) SAP AG SAP NetWeaver Gateway 2.0 SPS08 48 Multiple Origin Composition Multiple origin composition (MOC) is the ability to collect data from different backend systems, aggregate them in one single service and updating different backend systems while using the same user. Thus a service can be made available for several system aliases. For example, you could have two identical systems, one located in America and one in Europe, and combine them. MOC is also used for CREATE calls and the metadata. At present, CREATE calls cannot be done in all configured backend systems, but only in the default system. Note This feature is only supported in Standard Mode. This feature is relevant only for entity sets with an annotation of addressable=true. Implementing this feature creates a different version of the service (The SAP__Origin field is added). Proceed as follows to use the MOC: 1. Customize your service to support MOC. 1. From the SAP NetWeaver Gateway system, activate the desired service. For information on how to activate your service, see Register your Service in the SAP NetWeaver Gateway System [External]. 2. Open transaction SPRO and choose SAP Reference IMG. 3. Navigate to SAP NetWeaver Gateway OData Channel Administration General Settings Activate and Maintain Services to add the system aliases for the relevant backend systems and define the desired default system. 1. In the Service Catalog list, select the desired service. The service appears in the ICF Nodes section on the lower left corner of the screen. 2. In the ICF Nodes section, select the Standard Mode ICF Node. 3. In the System Aliases section, choose System Alias to add the system alias. 4. Choose New Entries or select an existing entry and choose Copy. 5. In the Service Doc. Identifier field, enter the ID of the service document followed by an underscore and the 4–digit version number (for example, _0001). 6. In the SAP System Alias field, enter the relevant system alias. Only one system is to be defined as the default. 7. Repeat as necessary to add the desired backend systems. Note The default system is used whenever the service is not called as MOC. If you have defined more than one default system alias, the first system is used as the default.
  • 49.
    SAP NetWeaver GatewayConfiguration Guide (C) SAP AG SAP NetWeaver Gateway 2.0 SPS08 49 2. Test the service. 1. On the SAP NetWeaver Gateway system, open the SAP Reference IMG in transaction SPRO and navigate to SAP NetWeaver Gateway OData Channel Administration General Settings Activate and Maintain Services . 2. Search for the desired service with the Filter icon. 3. Select the desired service and choose Call Browser under ICF Nodes. An example URL for RMTSAMPLEFLIGHT looks as follows: http://<host name>:<port>/sap/opu/odata/iwfnd/RMTSAMPLEFL IGHT;mo/ 4. Make sure that the SAP__Origin field appears in the service's metadata. Parallelization of Multiple Origin Composition When using multiple origin composition you can determine both the minimum number of backend systems and the maximum number of parallel backend calls. For this a new IMG activity has been added: On the SAP NetWeaver Gateway system, open the SAP Reference IMG in transaction SPRO and navigate to SAP NetWeaver Gateway OData Channel Administration General Settings Define Parallelization for Multiple Origin Composition . You can use this parallelization of READ_ENTITYSET to several backend systems to achieve optimized performance. In the In the IMG activity you can set the following configuration parameters: Minimum Number of Backend Systems can have following values: o 0: No parallelization o n: Parallelization will only be done from n backend systems onwards The maximum number of parallel backend calls is always based on current resources of the SAP NetWeaver Gateway hub system. Additionally, you can use parameter Maximum Number of Parallel Backend Calls to limit the use of current system resources. The default value zero (0) means it only depends on current system resources. Performance Improvement In case of serialization the duration of a READ_ENTITYSET within a hub system is the sum of all backend calls. Contrary to this, the duration in parallel mode is just the maximum duration of all backend calls and means a minimal overhead for parallelization. Parallelization and Skiptoken If server paging is realized in any backend data providers, then the OData consumer will only receive results up to this backend including a skiptoken. The next call with this skiptoken or any other call with skiptoken will not be parallelized because the result has to be continued by the backend system which returned this skiptoken before.
  • 50.
    SAP NetWeaver GatewayConfiguration Guide (C) SAP AG SAP NetWeaver Gateway 2.0 SPS08 50 Changesets In the context of multiple origin composition, changesets are also supported. All changeset operations for one backend are collected and sent to this backend via one RFC. You can find an example in SAP Note 1890049. More Information Error Log [External]
  • 51.
    SAP NetWeaver GatewayConfiguration Guide (C) SAP AG SAP NetWeaver Gateway 2.0 SPS08 51 Dynamic System Alias Calculation Via /IWFND/ES_MGW_DEST_FINDER Enhancement spot /IWFND/ES_MGW_DEST_FINDER is provided to help you in dynamically calculating which system alias should be used. You can therefore use this enhancement spot to overwrite or enhance the standard routing for a service. Alternatively, you can use this enhancement spot to control the traffic from the SAP NetWeaver Gateway system to a backend system, so as to limit the load on that backend system. The enhancement spot needs the following input: OData service ID User ID Result of the standard routing in the form of a list of system aliases List of HTTP request parameters which is only provided for data requests and not for metadata requests. The enhancement sport returns a list of system aliases with the following fields: system_alias of TYPE /iwfnd/defi_system_alias. This has to be defined with the standard implementation guide activity for system aliases. user_role of TYPE /iwfnd/defi_role_name. This field is filled according to the standard routing in the implementation guide which has the role as an optional “filer”. Note that this field can be empty. is_default of TYPE /iwfnd/mgw_inma_default_alias. If the table contains only one entry this can be empty. If the table contains more than one entry exactly one entry must be flagged as default. o That system alias is used for all normal (non multi destination composition) requests. o That system alias is used for multi destination composition requests in case of CREATE, metadata or function imports of multiplicity 1. Example The service created in the backend system is as follows: Technical Service Name: /IWBEP/TEA_TEST_APPLICATION External Service Name: TEA_TEST_APPLICATION Version: 0001
  • 52.
    SAP NetWeaver GatewayConfiguration Guide (C) SAP AG SAP NetWeaver Gateway 2.0 SPS08 52 The service registered on the SAP NetWeaver Gateway system is as follows: Namespace: /IWBEP/ External Service Name: TEA_TEST_APPLICATION Version: 0001 Technical Service Name: ZTEA_TEST_APPLICATION (provided during registration) Service Document Identifier: ZTEA_TEST_APPLICATION_0001 (technical service name plus version) The URI would be as follows: URI = /sap/opu/odata/iwbep/TEA_TEST_APPLICATION/TeamCollection The BAdI input would be as follows: IV_USER =MRMEYER IV_SERVICE_ID = ZTEA_TEST_APPLICATION_0001 Table of system aliases containing the result of the standard routing The BAdI output would then be a table of system aliases which were changed by the BADI (or not changed) as a result of the standard routing. Syntax Sample coding throwing an exception in case of too much load on the backend system: 1. … 2. RAISE EXCEPTION TYPE /iwfnd/cx_mgw_dest_finder 3. EXPORTING 4. textid = /iwfnd/cx_mgw_dest_finder=>backend_load_too_high 5. http_status_code = /iwfnd/cx_mgw_dest_finder=>gc_status_service_unavailable 6. system_alias = lv_system_alias.
  • 53.
    SAP NetWeaver GatewayConfiguration Guide (C) SAP AG SAP NetWeaver Gateway 2.0 SPS08 53 Connection Settings on the Backend System The following activities can be used by OData Channel to set up the connection settings to SAP NetWeaver Gateway. Settings for Idempotent Services [Page 54] Defining a Remote Function Call to SAP NetWeaver Gateway [Page 56] Connection Settings to SAP NetWeaver Gateway [Page 57] Configure the bgRFC Supervisor Destination [Page 58] Monitoring bgRFC Queues [Page 60]
  • 54.
    SAP NetWeaver GatewayConfiguration Guide (C) SAP AG SAP NetWeaver Gateway 2.0 SPS08 54 Settings for Idempotent Services HTTP is an inherently unreliable protocol. If connection or other issues prevent the client from receiving a response the client is left in doubt if the request was processed by the server. Idempotency guarantees delivery of synchronous messages exactly once. For idempotent requests (for example GET) the client can simply re-try the request. But for operations that change the server state (for example, creating a new item or invoking a side-effecting service operation such as “Reject Workflow”) re-issuing the request may result in an undesired state, as for example two items instead of one item are created. Two optional request header attributes and one response header attribute facilitate the ability to retry requests without incurring unintended side-effects: Request Headers o RequestID A 32 character GUID string representing a client-generated, globally unique for all time, identifier for the request. o RepeatabilityCreation The date and time at which the request was first created. If specified, the client directs that the request must be repeatable. The client can make the request multiple times with the same RequestID and RepeatabilityCreation header values and get back an appropriate response without the server executing the request multiple times. Response Header: RepeatabilityResult A string describing how the server has handled the requested repeatability. The following values are possible. o accepted The request was accepted and the server guarantees that the server state reflects a single execution of the operation. The response returns the success or failure state of the operation as first executed by the server, and reflects either the current state of the system or the state as it existed when the request was first received. o unsupported The request was rejected because the server does not support repeatable execution of the request. The server returns 412 (Precondition Failed) without attempting to execute the request. The server state is the same as if the request had never been received. o rejected The request was rejected because the combination of RepeatabilityCreation and RequestID was invalid or because the RepeatabilityCreation time was outside the range of values held by the server. The server returns 412 (Precondition Failed) without attempting to execute the request. The server state is the same as if the request had never been received.
  • 55.
    SAP NetWeaver GatewayConfiguration Guide (C) SAP AG SAP NetWeaver Gateway 2.0 SPS08 55 The request header attributes are passed on to the SAP Business Suite backend system. In the backend system the idempotent utility (provided by the underlying SAP NetWeaver) handles the idempotent support generically. When the backend system receives a request it delegates the handling of the RepeatabilityCreation header to the idempotent utility class. Defining Settings for Idempotent Services You configure idempotent services by scheduling a background job that ensures that request messages in SAP NetWeaver Gateway only occur once. For this the SAP NetWeaver Gateway Implementation Guide (MG) has been enhanced. In transaction SPRO open the SAP Reference IMG and navigate to SAP NetWeaver Gateway Service Enablement Backend OData Channel Connection Settings to SAP NetWeaver Gateway Define Settings for Idempotent Services . To define settings for idempotent services, proceed as follows: 1. Click on the Activity icon of the above mentioned IMG activity. 2. Enter the following default values: o For Period Hours in Document the typical value is 6. o For Period Hours in Document ID the typical value is 12. 3. Choose Schedule. A message displays confirming that the job has been scheduled. 4. Choose Continue.
  • 56.
    SAP NetWeaver GatewayConfiguration Guide (C) SAP AG SAP NetWeaver Gateway 2.0 SPS08 56 Defining a Remote Function Call to SAP NetWeaver Gateway You create or define a background remote function call (bgRFC) destination, which is used for communications in an outbound queue, and an inbound queue among SAP systems. This is an activity that is done in the SAP Business Suite backend system, that is, the system where software component IW_BEP is installed. If you are using push from an SAP Business Suite backend system to an SAP NetWeaver Gateway hub system, it is important not to have a trusted RFC connection. This is because the WF-BATCH user which is the current user in the case of Workflow is not a dialog user and therefore cannot be used for RFC. Instead a dedicated technical user like ALEREMOTE has to be maintained in the RFC destination in the backend system. Note You can also use an existing bgRFC destination in your SAP system to the host of SAP NetWeaver Gateway. You can define this remote function call by using the implementation guide (IMG). In transaction SPRO open the SAP Reference IMG and navigate to SAP NetWeaver Gateway Service Enablement Backend OData Channel Connection Settings to SAP NetWeaver Gateway Create RFC Destination for Outbound Queues . Proceed as follows to create the bgRFC destination: 1. Click on the Activity icon. 2. Choose Create. The RFC Destination Window displays. 3. In RFC Destination specify a name for the RFC destination to be created. For example, BEP_BGRFC_DEST. 4. In Connection Type enter 3, for ABAP connections. 5. In Description 1, enter an explanatory text. 6. Choose Enter, and select tab Technical Settings. 7. Enter the SAP NetWeaver Gateway host name in Target Host, and enter its corresponding system number. 8. On tab Logon & Security enter the technical user and make sure that Current User is not selected. 9. Choose Enter and select the Special Options tab. 10. Depending on the SAP NetWeaver version, do the following: o For SAP NetWeaver 7.02, go to section Select Transfer Protocol and select 1 Classic with bgRFC from the list. o For SAP NetWeaver 7.0, go to section Select qRFC Version and select bgRFC from the list in qRFC Version. 11. Choose Save and Yes to close the warning message that displays. 12. Choose Remote Connection to test the connection. Information about the connection type displays.
  • 57.
    SAP NetWeaver GatewayConfiguration Guide (C) SAP AG SAP NetWeaver Gateway 2.0 SPS08 57 Connection Settings to SAP NetWeaver Gateway The Business Enablement Provisioning (BEP) functionality can publish events to one or more hosts running SAP NetWeaver Gateway. However, you must first identify the SAP NetWeaver Gateway landscape to use with it. For OData Channel you also specify the SAP NetWeaver Gateway landscape. Prerequisites Make sure that you have: Defined an RFC destination to SAP NetWeaver Gateway to broadcast the events. The system name, client ID, and a system alias of the host of the SAP NetWeaver Gateway landscape to which you want to connect. Specifying Connection Settings You can specify settings for connecting to a SAP NetWeaver Gateway landscape by using the implementation guide (IMG). In transaction SPRO open the SAP Reference IMG and navigate to SAP NetWeaver Gateway Service Enablement Backend OData Channel Connection Settings to SAP NetWeaver Gateway SAP NetWeaver Gateway Settings . 1. Click on the Activity icon. 2. Choose New Entries and enter the following: o Destination System Specify the system name of the host of SAP NetWeaver Gateway. o Client Specify the system client ID of the host of SAP NetWeaver Gateway. The client ID you specify should be in the specified system. o System Alias Enter a unique name for the host of SAP NetWeaver Gateway. o RFC Destination Specify the name of the RFC destination to the host of SAP NetWeaver Gateway. For example BEP_BRFC_DEST. 3. Save your settings.
  • 58.
    SAP NetWeaver GatewayConfiguration Guide (C) SAP AG SAP NetWeaver Gateway 2.0 SPS08 58 Configure the bgRFC Supervisor Destination You configure a supervisor destination for the bgRFC to receive the configuration settings for the bgRFC scheduler. In addition, the supervisor starts or stops the schedulers as required. Prerequisites You have created a system user of type B called BGRFCSUPER. Use transaction SU01 to create the system user. This user is used for the bgRFC communication using the destination you will create. For example, BGRFC_SUPERVISOR. You have assigned role SAP_BC_BGRFC_SUPERVISOR to user BGRFCSUPER. Use transaction SU01 to assign role to the user BGRFCSUPER. For SAP NetWeaver 7.0, you have created a bgRFC destination as an ABAP connection, using the RFC destination name BGRFC_SUPERVISOR, without load balancing, target host, SAP NetWeaver Gateway host and service. Specify the user, language and password. This ensures that the scheduler is activated on the same application server as the specified user. Later, you configure the supervisor destination for the bgRFC to receive the configuration settings for the bgRFC scheduler. Note The bgRFC supervisor user you specify must have authorizations from authorization object S_RFC. These are defined in role SAP_BC_BGRFC_SUPERVISOR. The procedure you employ depends on the version of SAP NetWeaver in your system. Configuring the bgRFC Supervisor Destination You can configure this bgRFC supervisor destination by using the implementation guide (IMG). In transaction SPRO open the SAP Reference IMG and navigate to SAP NetWeaver Gateway Service Enablement Backend OData Channel Connection Settings to SAP NetWeaver Gateway Create bgRFC Supervisor Destination . Proceed as follows: 1. Click on the Activity icon. 2. Select tab Define Supervisor Dest. 3. Depending on the version of SAP NetWeaver, do the following: o For SAP NetWeaver 7.02, choose Create. The Create bgRFC Destination for Supervisor window is displayed. 1. Choose Create User. For example, BGRFCSUPER. 2. Save your settings. o For SAP NetWeaver 7.0, make sure you have already created a separate bgRFC destination for the supervisor using the name BGRFC_SUPERVISOR. 1. Enter the bgRFC supervisor destination name BGRFC_SUPERVISOR, in Destination under New Supervisor Destination.
  • 59.
    SAP NetWeaver GatewayConfiguration Guide (C) SAP AG SAP NetWeaver Gateway 2.0 SPS08 59 2. Choose Enter. The supervisor destination and the user details display. 4. In the bgRFC Configuration window choose Save. More Information bgRFC (Background Remote Function Call) [External]
  • 60.
    SAP NetWeaver GatewayConfiguration Guide (C) SAP AG SAP NetWeaver Gateway 2.0 SPS08 60 Monitoring bgRFC Queues You can monitor and display items in the Background Remote Function Call (bgRFC) queue to check for messages which the system failed to send. All the messages are written in unit queues, which consist of function modules to be processed as an indivisible unit. Find all the messages that failed to be transported from the host of the Backend Event Publisher (BEP) or OData Channel to the consumer environment, because of system fault exceptions. System faults are all standard REST errors, for example: communication error, or other errors that occurred during the activation and operations of Web services. Note Application fault exceptions are displayed in the application itself. Prerequisites Make sure that you have the authorization object S_BGRFC for monitoring or customizing activities assigned to your user role. Analyzing the Results of the Monitor You analyze each error message and decide how best to correct the error. If the error can be fixed, make the necessary corrections and then send it to the unit again, otherwise delete the unit. You can manually restart the unit even if the retry limit has been exceeded. You can go into the code to debug the unit (this requires the appropriate authorization role), or delete all the units inside the inbound destination. You can monitor the bgRFC queues by using the implementation guide (IMG). In transaction SPRO open the SAP Reference IMG and navigate to SAP NetWeaver Gateway Service Enablement Backend OData Channel Connection Settings to SAP NetWeaver Gateway Monitor bgRFC Queues . Proceed as follows to monitor bgRFC queues: 1. Click on the Activity icon to open the bgRFC monitor. Alternatively you can use transaction SBGRFCMON. 2. Select the option for the Outbound scenario and the Queued unit type. Select other parameters of the monitor as required. 3. Choose Execute to run the monitor. The status of the queues is displayed. 4. Monitor the Queue with the Event ID and instance number for the messages which were not sent.
  • 61.
    SAP NetWeaver GatewayConfiguration Guide (C) SAP AG SAP NetWeaver Gateway 2.0 SPS08 61 Business Enablement Provisioning (IW_BEP) Configuration After you have installed the Business Enablement Provisioning (IW_BEP) component, you need to complete the following tasks to help you verify the installation and configuration. The following is an overview of the sequence of the configuration tasks: 1. Configure the role templates for Business Enablement Provisioning. Component IW_BEP provides templates on which you base roles for administrators and end users. You configure the roles based on the provided templates and assign the roles to users. Using roles, you can designate a user or a group of users as a unit that has access to specific content and resources within IW_BEP. The templates specify the authorizations for content that can be accessed by the users. The IW_BEP specific templates are available when you install IW_BEP in your SAP system. For more information on the role templates for IW_BEP, see User, Developer and Administrator Authorizations [Page 23]. 2. Define an event [External]. 3. Event Subscription and Notification [External] 4. Specify Connection Settings [Page 53] to the SAP NetWeaver Gateway landscape. These settings are available both for theIW_BEP component and for OData Channel. More Information For more information, see Business Enablement Provisioning (IW_BEP) [External].
  • 62.
    SAP NetWeaver GatewayConfiguration Guide (C) SAP AG SAP NetWeaver Gateway 2.0 SPS08 62 Configuration Settings for SAP NetWeaver Gateway Supported Scenarios The Gateway system should be configured to start using the SAP NetWeaver Gateway services for different supported channels. This section provides the configuration information for all the SAP NetWeaver Gateway supported scenarios. SAP NetWeaver Gateway supports services on these channels: OData Channel — See OData Channel Scenarios [Page 63] for information on configuration settings for OData Channel supported scenarios. Generic Channel — See Generic Channel Scenarios [Page 170] for information on configuration settings for Generic Channel supported scenarios. Prerequisites Following are the different components (along with their releases) required for SAP NetWeaver Gateway. You can download the packages and patches from the SAP Service Marketplace at: service.sap.com/swdc. Component Release SAP ERP ERP 2004 with NW 7.0 SPS 18 (validated stack) SAP ECC add-on ECC-SE 602 or higher SAP BI (optional) BI 3.5 – SP 22 or BI 7.0 - SP 17 SAP CRM CRM 6.0 or higher
  • 63.
    SAP NetWeaver GatewayConfiguration Guide (C) SAP AG SAP NetWeaver Gateway 2.0 SPS08 63 Configuration Settings for OData Channel Scenarios In the following you can find information on the configuration of the SAP NetWeaver Gateway OData Channel supported scenarios. OData Channel Scenarios Configuration Settings SAP Enterprise Resource Planning (SAP ERP) [External] Settings for SAP ERP on SAP NetWeaver Gateway [Page 106] Workflow Services [External] Configuring Workflow for SAP NetWeaver Gateway [Page 64] Business Process Content Powered by SAP NetWeaver Gateway [External] Configuring Business Process Content Powered by SAP NetWeaver Gateway [Page 78]
  • 64.
    SAP NetWeaver GatewayConfiguration Guide (C) SAP AG SAP NetWeaver Gateway 2.0 SPS08 64 Configuring Workflow for SAP NetWeaver Gateway This section explains how to configure Workflow for use with SAP NetWeaver Gateway scenarios. You can configure Workflow in the following ways: Configuring Workflow Notifications [Page 68] Note If you want to obtain notifications, you first need to configure the Business Enablement Provisioning (IW_BEP) component before configuring Workflow. This is because Workflow for SAP NetWeaver Gateway is reliant on the BEP functionality. For more information about configuring IW_BEP, see Business Enablement Provisioning (IW_BEP) [External]. If you do not configure the IW_BEP component, you can still use the Workflow functionality, but you will not be able to use Push notifications. Workflow Settings [Page 74]
  • 65.
    SAP NetWeaver GatewayConfiguration Guide (C) SAP AG SAP NetWeaver Gateway 2.0 SPS08 65 Creating an Administrator Role for Workflow Procedure Note To perform Workflow configuration steps, you must have an Administrator Role. You create a role for an administrator user with permissions and privileges for several tasks including the following: Analyze logs and identify potential issues with the ERP landscape. Configure and maintain Workflow-specific ERP components and applications. For more information about SAP user administrator types, see Setting Up User and Authorization Administrators [External] in the SAP Help Portal. Note For all steps in the IMG there is always consumer independent documentation available. To create the administrator role and assign it to users: 1. On the ERP system, open transaction PFCG. The Role Maintenance page is displayed. 2. In the Role field, enter any of the basis roles, for example: o SAP_BC_BASIS_ADMIN o SAP_BC_CTS_ADMIN o SAP_BC_BASIS_MONITORING o SAP_BC_BATCH_ADMIN o SAP_BC_BDC_ADMIN o SAP_BC_WEBSERVICE You can choose any of the listed standard administrator roles, or enter an existing one. 3. Choose the (Copy Role) icon to create a copy of the standard role. 4. In the Query dialog box, enter a name for the new role in the to role field, for example, Z_SAP_BC_BASIS_ADMIN. 5. Choose Copy all. The Change Roles dialog box is displayed and the role is created. 6. In the Role Maintenance page, choose the Edit icon. 7. Select the Authorizations tab. 8. Choose Change Authorization Data under the Maintain Authorization Data and Generate Profiles section.
  • 66.
    SAP NetWeaver GatewayConfiguration Guide (C) SAP AG SAP NetWeaver Gateway 2.0 SPS08 66 9. Select Edit > Insert Authorization(s) > From template. The Choose Template page is displayed. 10. Select /IWWRK/RT_WF_ADM from the list. 11. Choose the checkmark. 12. Choose Generate. The Generate profile dialog box is displayed. 13. Select the Generate option. 14. In the Assign Profile name for Generated Authorization Profile dialog, maintain the profile name according to your requirements. For example T-SCL550003. 15. Choose the checkmark. The Change role: Authorizations page is displayed. The status of the profile is displayed as “Generated”. 16. Go back to the Change Roles page, and select the Users tab in the User Assignment section. 17. Enter the names of the users you want to assign to this role. 18. Choose Save. 19. Choose User comparison. The Complete Role Master Record page is displayed. 20. Choose Complete comparison. 21. Choose Save. 22. Check that the role was properly created and assigned. Recommendation Log on to the ERP system using the user you just assigned. You should be able to access transaction SIMGH and search for the entry Workflow Pattern Customization. You can logon to the ERP host with the administrator user you have created to configure the ERP components and content, and install consumer applications.
  • 67.
    SAP NetWeaver GatewayConfiguration Guide (C) SAP AG SAP NetWeaver Gateway 2.0 SPS08 67 Customizing SAP NetWeaver Gateway Workflow Activities This section explains how to customize Workflow for use with SAP NetWeaver Gateway scenarios. Prerequisites Before sending notifications, you must configure the SAP NetWeaver Gateway Workflow process as described in the Configuring Workflow Notifications [Page 68] topic.
  • 68.
    SAP NetWeaver GatewayConfiguration Guide (C) SAP AG SAP NetWeaver Gateway 2.0 SPS08 68 Configuring Workflow Notifications This section describes the basic flow for sending notifications. The flow is composed of the following steps: 1. Creating a type G RFC destination [Page 69]. 2. Configuring User Authorizations for Push Notifications [Page 70]. 3. Running scheduled reports [Page 71]. Prerequisites The following prerequisite must be complied with before you can send notifications: Workflows containing User Decisions or Activity Steps, are configured in the system and can be triggered in the SAP Business Suite system. After the notifications have been configured, you must subscribe to the relevant Workflow service as described in the Subscribing to Notification Types [External] topic.
  • 69.
    SAP NetWeaver GatewayConfiguration Guide (C) SAP AG SAP NetWeaver Gateway 2.0 SPS08 69 Creating a Type G RFC Destination You must create a type G RFC destination with the delivery address given in the subscription request body to allow the notification to be delivered to the user. Note The delivery address is that of the SAP connectivity service. The SAP connectivity service on-demand component resides in the customer's on premise environment. It is responsible for enabling the connectivity from the SAP connectivity service servers, located in SAP's on-demand environment, to the customer's SAP NetWeaver Gateway instance, located in customer's on-premise environment. To create a type G RFC destination: 1. In the SAP NetWeaver Gateway system, open transaction SPRO. 2. Choose SAP Reference IMG. 3. Select SAP Customizing Implementation Guide SAP NetWeaver Gateway OData Channel Configuration Connection Settings SAP NetWeaver Gateway to Consumer Create RFC Destination for Outbound Queues . 4. Choose Execute. The Configuration of RFC Connections page is displayed. 5. Choose Create. 6. In the RFC Destination field, enter the desired name, for example GW_RFC. 7. In the Connection Type field, press F4 and select G HTTP Connection to External Server. 8. Under the Technical Settings tab, in the Description field, enter the desired description. 9. Press Enter. 10. An Information dialog box is displayed. Choose the checkmark to continue. 11. In the Target Host field, enter the host IP. 12. In the Service No. field, enter the port number. 13. In the Path Prefix field, enter any additional directories, if relevant. 14. If relevant, select the Logon & Security tab. 15. Enter the security settings as required. 16. Choose Save. To continue with the flow, go to Configuring User Authorizations for Push Notifications [Page 70].
  • 70.
    SAP NetWeaver GatewayConfiguration Guide (C) SAP AG SAP NetWeaver Gateway 2.0 SPS08 70 Configuring User Authorizations for Push Notifications All users who are allowed to receive full payload need to be assigned a specific role in the SAP Business Suite system. To create a user role to be used in the SAP Business Suite system: Note When creating a role in the SAP Business Suite system, make sure you use the Role Template. 1. In the SAP Business Suite system, open transaction PFCG. 2. In the Role field, enter name of role you want to create. 3. Choose Single Role. 4. Choose Save. 5. Select the Authorizations tab and choose the Edit icon. 6. Choose Change Authorization Data under the Maintain Authorization Data and Generate Profiles section. 7. Select Edit > Insert Authorization(s) > From template. The Choose Template page is displayed. 8. Select /IWWRK/TR_WF_GW_USR from the list. 9. Choose the Adopt reference. 10. Choose Generate. The Generate profile dialog box is displayed. 11. Choose the Generate option. 12. In the Assign Profile name for Generated Authorization Profile dialog, maintain the profile name according to your requirements. For example T-SCL550. 13. Choose the checkmark. The Change role: Authorizations page is displayed. The status of the profile is displayed as “Generated”. 14. Go back to the Change Roles page, and select the Users tab in the User Assignment section. 15. Enter the names of the users you want to assign to this role. 16. Choose Save. 17. Choose User comparison. The Complete Role Master Record page is displayed. 18. Choose Complete comparison. 19. Choose Save. 20. Check that the role was properly created and assigned. To continue with the flow, go to Running Scheduled Reports [Page 71].
  • 71.
    SAP NetWeaver GatewayConfiguration Guide (C) SAP AG SAP NetWeaver Gateway 2.0 SPS08 71 Running Scheduled Reports To send notifications tasks between the ECC SAP system and consumer applications, the following 2 reports must be scheduled in the ECC SAP system: RSWNSEL /IWWRK/R_WF_ITEM_SELECTION_GW The logon user used to schedule the reports should be a valid administrator user. Schedule the reports as per the following sequence: 1. Schedule the NetWeaver report RSWNSEL (or run the report when required). The necessary variant of the report is Scenario OSP, filter OSP_DELTA. We recommend that you run the reports at a frequency of 15 minutes. This report retrieves the workflow items created in the ECC SAP ERP system and sends it for processing by Workflow SAP NetWeaver Gateway. Refer to the next section Procedure to Schedule Running of Reports to run the reports. 2. Schedule the Workflow SAP NetWeaver Gateway pattern report /IWWRK/R_WF_ITEM_SELECTION_GW (or run the report when required). This report should run after the successful execution of the NetWeaver report RSWNSEL. This report processes the workflow items retrieved by the report RSWNSEL and sends task notifications. The necessary variant of the report is a Default variant. We recommend that you run this report at a frequency of 15 minutes. Refer to the next section Procedure to Schedule Running of Reports to run the reports. Procedure to Schedule Running of Reports You can schedule the running of reports using your administrator user. To schedule running of various reports, you need to know the following parameters: Program field – Name of the report you want to run Variant field – Name of the variant you want to create Meaning field – Description of the variant you want to create Scheduling running of reports involves: Creating variants Scheduling background job for the variant Creating Variants for Report RSWNSEL To create variants for the RSWNSEL report: 1. On the SAP system, open transaction SE38 The ABAP Editor: Initial Screen page is displayed. 2. In the Program field, enter RSWNSEL. 3. Select the Variants radio button. 4. Choose Display. The ABAP: Variants – Initial Screen page is displayed.
  • 72.
    SAP NetWeaver GatewayConfiguration Guide (C) SAP AG SAP NetWeaver Gateway 2.0 SPS08 72 5. In the Variant field, enter the name of the variant. For example, GW_VAR1 6. Choose Create. The Maintain Variant: Report page is displayed. 7. In the Scenario field, enter OSP. 8. In the Filter field, enter OSP_DELTA. 9. Choose Attributes. The Variant Attributes page is displayed. 10. In the Description field, enter the variant’s description. 11. Choose Save. The Maintain Variant: Report page is displayed. 12. Choose Save to save the value of the variants. Creating Variants for Report /IWWRK/R_WF_ITEM_SELECTION_GW To create variants for the /IWWRK/R_WF_ITEM_SELECTION_GW report: 1. On the SAP system, open transaction SE38 The ABAP Editor: Initial Screen page is displayed. 2. In the Program field, enter /IWWRK/R_WF_ITEM_SELECTION_GW. 3. Select the Variants radio button. 4. Choose Display. The ABAP: Variants – Initial Screen page is displayed. 5. In the Variant field, enter the name of the variant. For example, GW_VAR1 6. Choose Create. The Maintain Variant: Report page is displayed. 7. Choose Attributes. The Variant Attributes page is displayed. 8. In the Description field, enter the variant’s description. 9. Choose Save. The Maintain Variant: Report page is displayed. 10. Choose Save to save the value of the variants. Scheduling Background Jobs To schedule background jobs: 1. On to the SAP system, open transaction SM36. The Define Background Job page is displayed. 2. Choose Job wizard to create a new job. 3. In the wizard’s opening page, choose Continue. 4. In the Job Name field enter a name and choose Continue. 5. Select the ABAP program step radio button and choose Continue. 6. In the ABAP Program Name field enter the report name (RSWNSEL).
  • 73.
    SAP NetWeaver GatewayConfiguration Guide (C) SAP AG SAP NetWeaver Gateway 2.0 SPS08 73 7. In the Variant field, enter the variant name, for example GW_VAR1 and choose Continue. 8. Check the Add additional steps (optional) checkbox, and choose Continue. 9. Select the ABAP program step radio button and choose Continue. 10. In the ABAP Program Name field enter the report name (/IWWRK/R_WF_ITEM_SELECTION_GW) 11. In the Variant field, enter the variant name, for example GW_VAR1 and choose Continue twice. 12. Select the Immediately radio button and choose Continue. 13. In the Periodic jobs section, select the Period checkbox and choose Continue. 14. Select None of the above and choose Other periods. 15. In the Minute(s) field, enter 15. 16. Choose Create. 17. Choose Continue. 18. Choose Complete. Updating Background Jobs To update background jobs: For help on updating a job, refer to the topic Background Job Monitoring Monitor [External] on the SAP Library at http://help.sap.com/saphelp_nw70ehp1/helpdata/en/1d/ab3207b610e3408fff44d6b1de15e6/fr ameset.htm and to the topic Managing Jobs from the Job Overview [External] on the SAP Library at http://help.sap.com/saphelp_wp/helpdata/en/c4/3a8009505211d189550000e829fbbd/framese t.htm This is the last step in the configuration flow, go to Subscribing to Notification Types [External] to subscribe to the relevant Workflow service.
  • 74.
    SAP NetWeaver GatewayConfiguration Guide (C) SAP AG SAP NetWeaver Gateway 2.0 SPS08 74 Workflow Settings This section describes how to configure the Workflow process. Depending on whether you use the Business Enablement Provisioning (BEP) functionality in an SAP Business Suite backend system or an SAP NetWeaver Gateway hub system, choose the appropriate service for your system landscape. Workflow Task Service: Central Hub Deployment with IW_BEP Backend Installation [External] Workflow Task Service: Central Hub Deployment with IW_BEP Hub Installation [External] For more information about installing SAP NetWeaver Gateway in your system landscape, see Deployment Options [External]. Note If your system landscape is based on SAP NetWeaver 7.40 or higher, you do not need to install the IW_BEP component in your system since the BEP functionality is included in the core Gateway component SAP_GWFND, which is installed as standard. Activating the Service By default, the service is deactivated. To consume it, you must first activate it. To activate the service on the SAP NetWeaver Gateway system: 1. Set the system alias as described in the Creating the SAP System Alias for Applications [Page 39] section. 2. If you are using the central hub deployment option, set the For Local App flag. 3. Activate the /iwwrk/WFSERVICE service for backend deployment or the /IWWRK/WFHUBSERVICE service for embedded deployment using the system alias created above as described in the Register your Service in the SAP NetWeaver Gateway System [External] section. Workflow Configurations You can perform the following configurations on the Workflow process: Task Provider Customizing Maintain Workflow Filter Settings Maintain Task Names and Decision Options Enable Task Filter To reach these activities: 1. From your SAP system, open transaction SPRO. 2. Choose SAP Reference IMG. 3. Navigate to SAP NetWeaver Gateway Service Enablement Content Workflow Settings .
  • 75.
    SAP NetWeaver GatewayConfiguration Guide (C) SAP AG SAP NetWeaver Gateway 2.0 SPS08 75 Task Provider Customizing This activity allows you to maintain Workflow task providers in the Task Provider Framework. The Task Provider Framework consists of twocomponents: Push Framework Generic Worklist The Push Framework collects notifications from all customized active task providers and sends them to the SAP NetWeaver Gateway system. The Generic Worklist collects the user items from all customized active task providers to create a unified inbox view. Activating an Existing Provider To activate an existing provider: 1. In the Dialog Structure section, double-click Providers. 2. From the Providers table, select the BWF checkbox to activate the /IWWRK/WFSERVICE subscription notification. 3. Choose Save. Adding a New Provider To add a new provider, you must register an entry in the Providers section, add its details in the Provider Details section and define its adapter classes for the Task Provider Framework in the Adapter Classes section. You can also maintain additional services for the provider. 1. In the Dialog Structure section, double-click Providers. 2. Choose New Entries. 3. In the Providers section, enter the provider ID and select the Active checkbox. 4. Choose Save. 5. In the Dialog Structure section, select Provider Details. 6. Choose New Entries. 7. In the Provider Details table, enter the provider ID, the default internal service name, the version number, and the provider's description. Note If no specific service can be found for an item, the default service and version number is used instead. 8. Choose Save. Defining the Provider Adapter Classes 1. In the Dialog Structure section, select Task Providers. 2. In the Task Providers table, select the relevant provider.
  • 76.
    SAP NetWeaver GatewayConfiguration Guide (C) SAP AG SAP NetWeaver Gateway 2.0 SPS08 76 3. In the Dialog Structure section, double-click Adapter Classes. 4. Choose New Entries. 5. In the first line of the Adapter Classes table, under Adapter Type, select Generic Worklist from the drop-down list. 6. In the Class/Interface field, enter the class you implemented for retrieving all the user items from the provider (inherited from /IWWRK/CL_GWL_ABS_DATA). 7. In the second line of the Adapter Classes table, under Adapter Type, select Push Framework from the drop-down list. 8. In the Class/Interface field, enter the class you implemented for retrieving all the notifications that need to be sent from the provider to the SAP NetWeaver Gateway system (inherited from /IWWRK/CL_PFW_ABSTR). 9. Choose Save. Defining the Provider Specific Services 1. In the Dialog Structure section, select Task Providers. 2. In the Task Providers section, select the relevant provider. 3. In the Dialog Structure section, double-click Services. 4. Choose New Entries. 5. In the Services table, enter the internal service name, the version number, the main and secondary unique IDs (values used to identify the service), and the service description. 6. Choose Save. Maintain Task Names and Decision Options This activity allows you to maintain Workflow tasks that need to be included in the task filter together with their names and decision keys. Note For user decision steps, these customizing settings are required only when the filter is active. When the filter is not active, all user decision items are read and all notifications are sent. Adding a new Workflow Task with its Corresponding ID to the Workflow Task Filter You can add Workflow tasks and their corresponding IDs to the Workflow task filter. If the filter is active, only the Workflow items maintained in this list are included in the query results. Notifications are sent to the SAP NetWeaver Gateway only for these items. You can define a name to be displayed when reading a specific task. Names can be maintained in several languages. You can add names only in the language in which you logged on to the system. If a task is read in a specific language in which no name is maintained, the name is read according to the system kernel language. If no name is maintained for the system kernel language, the name consists of the Workflow and step ID.
  • 77.
    SAP NetWeaver GatewayConfiguration Guide (C) SAP AG SAP NetWeaver Gateway 2.0 SPS08 77 To add the new Workflow task: 1. In the Dialog Structure section, select Step Name. 2. Choose New Entries. 3. In the Step Name section, enter the Workflow ID and step ID, and step description in the relevant columns. Defining Decision Keys You can use decision keys to help include steps in the user decision service. A decision can be applied to the task using these keys. The functionality is carried out using the following enhancement spot customer implementation: /IWWRK/ES_WF_WI_BEFORE_UPD_IB. The descriptions for the decision keys can be maintained in several languages. You can only enter text in the language in which you logged on to the system. If a task is read in a specific language and no text is maintained for the decision key in this language, the text is read according to the system kernel language. To define decision keys: 1. In the Step Name section, select the relevant Workflow. 2. In the Dialog Structure section, double-click Decision keys. 3. Choose New Entries. 4. In the Decision Key section, add a new decision key and its description in the relevant columns. Enable Task Filter This activity allows you to activate or deactivate the task filter. By default, the filter is deactivated. When the task filter is set to Active: Sending Notifications: Only notifications of items that were configured using the Maintain Task Names and Decision Options IMG activity or the Workflow Pattern Customization IMG activity are sent. The SAP NetWeaver Gateway Workflow service only receives items that were configured using the Maintain Task Names and Decision Options IMG activity or the Workflow Pattern Customization IMG activity. When the task filter is not set to active: All notifications are sent. All items are read.
  • 78.
    SAP NetWeaver GatewayConfiguration Guide (C) SAP AG SAP NetWeaver Gateway 2.0 SPS08 78 Configuring Business Process Content Services Business Process Content Powered by SAP NetWeaver Gateway allows users to consume process data from SAP Business Suite systems in a standards-based fashion. It consists of the following services: Process Service – Allows users to consume process definition and instance information. Process Context Service – Allows users to consume context related information associated with a process. There are two types of deployment scenarios for Business Process Content Powered by SAP NetWeaver Gateway. The actions required to configure the services depend on the deployment scenario: Scenario 1: Business Process Content Powered by SAP NetWeaver Gateway is deployed as an addon for SAP NetWeaver Gateway For more information, see Configuring Services for Deployment Scenario 1 [Page 79]. Scenario 2: Business Process Content Powered by SAP NetWeaver Gateway and SAP NetWeaver Gateway are deployed on separate systems For more information, see Configuring Services for Deployment Scenario 2 [Page 88].
  • 79.
    SAP NetWeaver GatewayConfiguration Guide (C) SAP AG SAP NetWeaver Gateway 2.0 SPS08 79 Configuring Services for Deployment Scenario 1 You use this procedure to configure the services for the deployment scenario where Business Process Content Powered by SAP NetWeaver Gateway and SAP NetWeaver Gateway are available on the same system. In this case, you perform all the configuration steps on one system. Procedure 1. Create a connection from the Business Process Content Powered by SAP NetWeaver Gateway system to the SAP Business Suite provider system. For more information, see Connecting Business Process Content and Business Suite Systems [Page 89]. 2. Create a system alias for the SAP Business Suite system. For more information, see Creating a System Alias [Page 84]. 3. Activate the process service for the SAP Business Suite system. For more information, see Activating the Process Service [Page 96]. 4. If you want to enable a user to consume process context information, perform the following substeps: 1. Register the process context service for the SAP Business Suite system. For more information, see Registering Process Context Service for Deployment Scenario 1 [Page 86]. 2. Activate the process context service for the SAP Business Suite system. For more information, see Activating the Process Context Service [Page 98].
  • 80.
    SAP NetWeaver GatewayConfiguration Guide (C) SAP AG SAP NetWeaver Gateway 2.0 SPS08 80 Connecting Business Process Content and Business Suite Systems You use this procedure to create a connection between the Business Process Content Powered by SAP NetWeaver Gateway and SAP Business Suite systems. Prerequisites A software version for the provider system (SAP Business Suite system) is created and a mapping to the technical model of the Business Process Content system is defined. For more information, see: Creating a Software Version for Provider System [Page 91] Mapping the Software Version and Technical Model [Page 92] Trusted RFC connection is enabled in the SAP Business Suite system. Procedure 1. Log on to the Business Process Content Powered by SAP NetWeaver Gateway system. 2. Call transaction SIMGH. 3. In the IMG structure field, select Business Process Enablement. 4. Choose the Display IMG Structure icon. 5. Expand the Process Service node. 6. Expand the required node. 7. Click the Create RFC Destination activity icon. 8. Choose Create. 9. In the RFC Destination field, enter a name for the RFC destination that you want to create. 10. In the Connection Type field, enter 3. 11. In the Description 1 field, enter a description for the RFC destination. 12. Press Enter. 13. Choose the Technical Settings tab page. 14. Check that the Load Balancing option is set to No. 15. In the Target Host field, enter the server name of the business suite system. 16. In the System Number field, enter the instance number of the business suite system. 17. Choose the Logon & Security tab page. 18. Select the Current User checkbox.
  • 81.
    SAP NetWeaver GatewayConfiguration Guide (C) SAP AG SAP NetWeaver Gateway 2.0 SPS08 81 19. Check that the Trust Relationship or Trusted System option is set to Yes. 20. Save the changes. 21. To check if the connection is working, choose Connection Test.
  • 82.
    SAP NetWeaver GatewayConfiguration Guide (C) SAP AG SAP NetWeaver Gateway 2.0 SPS08 82 Creating a Software Version for Provider System Procedure 1. Log on to the SAP NetWeaver Gateway system. 2. Call transaction SM30. 3. In the Table/View field, enter /IWFND/V_COCCOL. 4. Choose Display. 5. Choose Display > Change. 6. Choose New Entries. 7. In the Type field, select Software Version for Instance Manager. 8. In the Identifier field, enter a name for the software version. 9. In the Description field, enter a long text for the software version. 10. Save the changes.
  • 83.
    SAP NetWeaver GatewayConfiguration Guide (C) SAP AG SAP NetWeaver Gateway 2.0 SPS08 83 Mapping the Software Version and Technical Model You use this procedure to create a mapping for each of the software version created for your Business Process Content system. Procedure 1. Log on to the SAP NetWeaver Gateway system. 2. Call transaction SPRO. 3. Choose SAP Reference IMG. 4. Choose SAP Customizing Implementation Guide SAP NetWeaver Gateway OData Channel Development with IW_BEP Registration . 5. Click the Assign Data Provider to Data Model activity icon. 6. Choose Display > Change. 7. Choose New Entries. 8. In the Model Identifier field, enter a name for your model. 9. In the Type field, select (Adaptation) Data Provider. 10. In the Software Version field, enter the software version you created for your provider system. 11. In the Class/Interface field, select /IWFND/CL_MGW_RUNT_RCLNT_PRXY. 12. In the Description field, enter a long text. 13. Save the changes.
  • 84.
    SAP NetWeaver GatewayConfiguration Guide (C) SAP AG SAP NetWeaver Gateway 2.0 SPS08 84 Creating a System Alias You use this procedure to create a system alias for an SAP Business Suite system. Prerequisites You have configured a connection to the SAP Business Suite system. Procedure 1. Create System Alias in SAP NetWeaver Gateway 1. Log on to the SAP NetWeaver Gateway system where Business Process Content Powered by SAP NetWeaver Gateway is deployed. 2. Call transaction SIMGH. 3. In the IMG structure field, select Business Process Enablement. 4. Choose Display IMG Structure. 5. Expand the Process Service node. 6. Click the Maintain System Alias activity icon. 7. Choose New Entries. 8. In the SAP System Alias field, enter a name for the alias. 9. In the Process Platform field, select Business Suite Process Observer Provider. 10. In the RFC Destination field, enter the RFC destination of the business suite system. 11. Choose Save. 2. Create System Alias in Business Process Content 1. Call transaction SIMGH. 2. In the IMG structure field, select Project Gateway 1.0. 3. Choose Display IMG Structure. 4. Choose Gateway OData Channel Configuration Connection Settings SAP NetWeaver Gateway to SAP System . 5. Click the Manage SAP System Aliases activity icon. 6. Choose New Entries. 7. In the SAP System Alias field, enter the name of the alias that you created. 8. In the Description field, enter a long text. 9. Select the For Local App checkbox. 10. In the RFC Destination field, enter NONE. 11. In the Software Version field, enter /IWPGW/PO. 12. Save the changes.
  • 85.
    SAP NetWeaver GatewayConfiguration Guide (C) SAP AG SAP NetWeaver Gateway 2.0 SPS08 85 Activating the Process Service You use this procedure to activate the process service for an SAP Business Suite system. This enables a user to retrieve and use process definition and instance information. Prerequisites You have created a system alias for the SAP Business Suite system. Procedure 1. Log on to the SAP NetWeaver Gateway system. 2. Call transaction SIMGH. 3. In the IMG structure field, select Project Gateway 1.0. 4. Choose the Display IMG Structure icon. 5. Choose Gateway OData Channel Administration General Settings . 6. Click the Activate and Maintain Services activity icon. 7. In the Service Catalog section, check if the ZPGW technical service name exists. 8. If ZPGW exists, perform the following substeps: 1. Select the ZPGW service. 2. Choose System Alias. 3. Choose New Entries. 4. In the Service Doc. Identifier field, enter ZPGW_0001. 5. In the SAP System Alias field, select the alias of the provider system. 9. If ZPGW does not exist, perform the following substeps: 1. Choose Add Service. 2. In the System Alias field, select the alias of your provider system. 3. Press Enter. 4. Select the entry with technical service name /IWPGW/PGW. 5. In the Package field, enter $TMP. 6. Choose Continue. 10. Save the changes.
  • 86.
    SAP NetWeaver GatewayConfiguration Guide (C) SAP AG SAP NetWeaver Gateway 2.0 SPS08 86 Registering Process Context Service for Deployment Scenario 1 You use this procedure to register the process context service for an SAP Business Suite system. This enables a user to retrieve and use process context information in addition to process definition and instance information. Procedure 1. Log on to the SAP NetWeaver Gateway system where Business Process Content Powered by SAP NetWeaver is deployed. 2. Call transaction SIMGH. 3. In the IMG structure field, select Business Process Enablement. 4. Choose the Display IMG Structure icon. 5. Expand the Process Context Service node. 6. Click the Register Context Service for Process Definition activity icon. 7. Choose Add Service. 8. In the System Alias field, select the alias of the required provider system. 9. Press Enter. 10. Select the process definition entry for which you want the system to retrieve the context details. 11. Choose Select. 12. Make a note of the value in the Technical Model Name field. 13. Press Enter. 14. Choose Yes for the confirmation message. 15. Choose Continue.
  • 87.
    SAP NetWeaver GatewayConfiguration Guide (C) SAP AG SAP NetWeaver Gateway 2.0 SPS08 87 Activating the Process Context Service You use this procedure to activate the process context service for an SAP Business Suite system. This enables a user to retrieve and use process context information in addition to process definition and instance information. Prerequisites You have created the system alias for the SAP Business Suite system. Procedure 1. Log on to the SAP NetWeaver Gateway system. 2. Call transaction SIMGH. 3. In the IMG structure field, select Project Gateway 1.0. 4. Choose the Display IMG Structure icon. 5. Choose Gateway OData Channel Administration General Settings . 6. Click the Activate and Maintain Services activity icon. 7. Choose Add Service. 8. In the System Alias field, select the alias of the provider system. 9. In the Technical Service Name field, enter the service name you made a note of when registering the context service. 10. Press Enter. 11. In the Add Service section, select the technical service name entry. 12. In the Package field, enter $TMP. 13. Choose Continue.
  • 88.
    SAP NetWeaver GatewayConfiguration Guide (C) SAP AG SAP NetWeaver Gateway 2.0 SPS08 88 Configuring Services for Deployment Scenario 2 You use this procedure to configure the services for the deployment scenario where Business Process Content Powered by SAP NetWeaver Gateway and SAP NetWeaver Gateway are available on separate systems. In this case, you perform the configuration steps on two different systems. Procedure 1. Create a connection from Business Process Content Powered by SAP NetWeaver Gateway system to SAP Business Suite system. For more information, see Connecting Business Process Content and Business Suite Systems [Page 89]. 2. Create a system alias for the SAP Business Suite system in Business Process Content Powered by SAP NetWeaver Gateway system. For more information, see Creating a System Alias for SAP Business Suite System [Page 93]. 3. Create a connection from SAP NetWeaver Gateway system to Business Process Content Powered by SAP NetWeaver Gateway system. For more information, see Connecting SAP NetWeaver Gateway and Business Process Content [Page 94]. 4. Create a system alias for the Business Process Content Powered by SAP NetWeaver Gateway system in the SAP NetWeaver Gateway system. For more information, see Creating a System Alias for Business Process Content System [Page 95]. 5. Activate the process service for the SAP Business Suite system. For more information, see Activating the Process Service [Page 96]. 6. If you want to enable a user to consume process context information, perform the following substeps: 1. Register the process context service for the SAP Business Suite system. For more information, see Registering Process Context Service for Deployment Scenario 2 [Page 97]. 2. Activate the process context service for the SAP Business Suite system. For more information, see Activating the Process Context Service [Page 98].
  • 89.
    SAP NetWeaver GatewayConfiguration Guide (C) SAP AG SAP NetWeaver Gateway 2.0 SPS08 89 Connecting Business Process Content and Business Suite Systems You use this procedure to create a connection between the Business Process Content Powered by SAP NetWeaver Gateway and SAP Business Suite systems. Prerequisites A software version for the provider system (SAP Business Suite system) is created and a mapping to the technical model of the Business Process Content system is defined. For more information, see: Creating a Software Version for Provider System [Page 91] Mapping the Software Version and Technical Model [Page 92] Trusted RFC connection is enabled in the SAP Business Suite system. Procedure 1. Log on to the Business Process Content Powered by SAP NetWeaver Gateway system. 2. Call transaction SIMGH. 3. In the IMG structure field, select Business Process Enablement. 4. Choose the Display IMG Structure icon. 5. Expand the Process Service node. 6. Expand the required node. 7. Click the Create RFC Destination activity icon. 8. Choose Create. 9. In the RFC Destination field, enter a name for the RFC destination that you want to create. 10. In the Connection Type field, enter 3. 11. In the Description 1 field, enter a description for the RFC destination. 12. Press Enter. 13. Choose the Technical Settings tab page. 14. Check that the Load Balancing option is set to No. 15. In the Target Host field, enter the server name of the business suite system. 16. In the System Number field, enter the instance number of the business suite system. 17. Choose the Logon & Security tab page. 18. Select the Current User checkbox.
  • 90.
    SAP NetWeaver GatewayConfiguration Guide (C) SAP AG SAP NetWeaver Gateway 2.0 SPS08 90 19. Check that the Trust Relationship or Trusted System option is set to Yes. 20. Save the changes. 21. To check if the connection is working, choose Connection Test.
  • 91.
    SAP NetWeaver GatewayConfiguration Guide (C) SAP AG SAP NetWeaver Gateway 2.0 SPS08 91 Creating a Software Version for Provider System Procedure 1. Log on to the SAP NetWeaver Gateway system. 2. Call transaction SM30. 3. In the Table/View field, enter /IWFND/V_COCCOL. 4. Choose Display. 5. Choose Display > Change. 6. Choose New Entries. 7. In the Type field, select Software Version for Instance Manager. 8. In the Identifier field, enter a name for the software version. 9. In the Description field, enter a long text for the software version. 10. Save the changes.
  • 92.
    SAP NetWeaver GatewayConfiguration Guide (C) SAP AG SAP NetWeaver Gateway 2.0 SPS08 92 Mapping the Software Version and Technical Model You use this procedure to create a mapping for each of the software version created for your Business Process Content system. Procedure 1. Log on to the SAP NetWeaver Gateway system. 2. Call transaction SPRO. 3. Choose SAP Reference IMG. 4. Choose SAP Customizing Implementation Guide SAP NetWeaver Gateway OData Channel Development with IW_BEP Registration . 5. Click the Assign Data Provider to Data Model activity icon. 6. Choose Display > Change. 7. Choose New Entries. 8. In the Model Identifier field, enter a name for your model. 9. In the Type field, select (Adaptation) Data Provider. 10. In the Software Version field, enter the software version you created for your provider system. 11. In the Class/Interface field, select /IWFND/CL_MGW_RUNT_RCLNT_PRXY. 12. In the Description field, enter a long text. 13. Save the changes.
  • 93.
    SAP NetWeaver GatewayConfiguration Guide (C) SAP AG SAP NetWeaver Gateway 2.0 SPS08 93 Creating a System Alias for SAP Business Suite System Prerequisites You have configured a connection to the SAP Business Suite system. Procedure 1. Log on to the Business Process Content Powered by SAP NetWeaver Gateway system. 2. Call transaction SIMGH. 3. In the IMG structure field, select Business Process Enablement. 4. Choose Display IMG Structure. 5. Expand the Process Service node. 6. Click the Maintain System Alias activity icon. 7. Choose New Entries. 8. In the SAP System Alias field, enter a name for the alias. 9. In the Process Platform field, select Business Suite Process Observer Provider. 10. In the RFC Destination field, enter the RFC destination of the business suite system. 11. Choose Save.
  • 94.
    SAP NetWeaver GatewayConfiguration Guide (C) SAP AG SAP NetWeaver Gateway 2.0 SPS08 94 Connecting SAP NetWeaver Gateway and Business Process Content You use this procedure to create a connection between the SAP NetWeaver Gateway and Business Process Content Powered by SAP NetWeaver Gateway systems. Prerequisites You have enabled a trusted RFC connection in the Business Process Content Powered by SAP NetWeaver Gateway system. Procedure 1. Log on to the SAP NetWeaver Gateway system. 2. Call transaction SIMGH. 3. In the IMG structure field, select Project Gateway 1.0. 4. Choose the Display IMG Structure icon. 5. Choose Gateway OData Channel Configuration Connection Settings SAP NetWeaver Gateway to SAP System . 6. Choose the Manage RFC Destinations activity icon. 7. Choose Create. 8. In the RFC Destination field, enter a name for the RFC destination you want to create. 9. In the Connection Type field, enter 3. 10. In the Description 1 field, enter a description for the RFC destination. 11. Press Enter. 12. Choose the Technical Settings tab page. 13. Check that the Load Balancing option is set to No. 14. In the Target Host field, enter the server name of the Business Process Content system. 15. In the System Number field, enter the instance number of the Business Process Content system. 16. Choose the Logon & Security tab page. 17. Select the Current User checkbox. 18. Check that the Trust Relationship option is set to Yes. 19. Save the changes. 20. To check if the connection is working, choose Connection Test.
  • 95.
    SAP NetWeaver GatewayConfiguration Guide (C) SAP AG SAP NetWeaver Gateway 2.0 SPS08 95 Creating a System Alias for Business Process Content System Prerequisites You have created a system alias in the Business Process Content Powered by SAP NetWeaver Gateway system. Procedure 1. Log on to the SAP NetWeaver Gateway system. 2. Call transaction SIMGH. 3. In the IMG structure field, select Project Gateway 1.0. 4. Choose the Display IMG Structure icon. 5. Choose Gateway OData Channel Configuration Connection Settings SAP NetWeaver Gateway to SAP System . 6. Click the Manage SAP System Aliases activity icon. 7. Choose New Entries. 8. In the SAP System Alias field, enter the name of the alias that you created in the Business Process Content system. 9. In the Description field, enter a long text. 10. In the RFC Destination field, enter the RFC destination of Business Process Content system. 11. In the Software Version field, enter /IWPGW/PO. 12. Save the changes.
  • 96.
    SAP NetWeaver GatewayConfiguration Guide (C) SAP AG SAP NetWeaver Gateway 2.0 SPS08 96 Activating the Process Service You use this procedure to activate the process service for an SAP Business Suite system. This enables a user to retrieve and use process definition and instance information. Prerequisites You have created a system alias for the SAP Business Suite system. Procedure 1. Log on to the SAP NetWeaver Gateway system. 2. Call transaction SIMGH. 3. In the IMG structure field, select Project Gateway 1.0. 4. Choose the Display IMG Structure icon. 5. Choose Gateway OData Channel Administration General Settings . 6. Click the Activate and Maintain Services activity icon. 7. In the Service Catalog section, check if the ZPGW technical service name exists. 8. If ZPGW exists, perform the following substeps: 1. Select the ZPGW service. 2. Choose System Alias. 3. Choose New Entries. 4. In the Service Doc. Identifier field, enter ZPGW_0001. 5. In the SAP System Alias field, select the alias of the provider system. 9. If ZPGW does not exist, perform the following substeps: 1. Choose Add Service. 2. In the System Alias field, select the alias of your provider system. 3. Press Enter. 4. Select the entry with technical service name /IWPGW/PGW. 5. In the Package field, enter $TMP. 6. Choose Continue. 10. Save the changes.
  • 97.
    SAP NetWeaver GatewayConfiguration Guide (C) SAP AG SAP NetWeaver Gateway 2.0 SPS08 97 Registering Process Context Service for Deployment Scenario 2 You use this procedure to register the process context service for an SAP Business Suite system, which enables a user to retrieve and use process context information in addition to process definition and instance information. Prerequisites You have created the system alias for the SAP Business Suite system. Procedure 1. Log on to the Business Process Content Powered by SAP NetWeaver Gateway system. 2. Call transaction SIMGH. 3. In the IMG structure field, select Business Process Enablement. 4. Choose the Display IMG Structure icon. 5. Expand the Process Context Service node. 6. Click the Register Context Service for Process Definition activity icon. 7. Choose Add Service. 8. In the System Alias field, select the alias of the required business suite provider system. 9. Press Enter. 10. In the Add Context Service section, select the process definition for which you want to register the context service. 11. Press Enter. 12. Make a note of the value in the Technical Model Name field. 13. Press Enter. 14. Choose Yes for the confirmation message.
  • 98.
    SAP NetWeaver GatewayConfiguration Guide (C) SAP AG SAP NetWeaver Gateway 2.0 SPS08 98 Activating the Process Context Service You use this procedure to activate the process context service for an SAP Business Suite system. This enables a user to retrieve and use process context information in addition to process definition and instance information. Prerequisites You have created the system alias for the SAP Business Suite system. Procedure 1. Log on to the SAP NetWeaver Gateway system. 2. Call transaction SIMGH. 3. In the IMG structure field, select Project Gateway 1.0. 4. Choose the Display IMG Structure icon. 5. Choose Gateway OData Channel Administration General Settings . 6. Click the Activate and Maintain Services activity icon. 7. Choose Add Service. 8. In the System Alias field, select the alias of the provider system. 9. In the Technical Service Name field, enter the service name you made a note of when registering the context service. 10. Press Enter. 11. In the Add Service section, select the technical service name entry. 12. In the Package field, enter $TMP. 13. Choose Continue.
  • 99.
    SAP NetWeaver GatewayConfiguration Guide (C) SAP AG SAP NetWeaver Gateway 2.0 SPS08 99 User Authorizations for SAP Business Workflow Systems To access the process details from an SAP Business Workflow system, a user must have the authorizations listed below. Authorization Object: PLOG Authorization Field Value PPFCODE DISP PLVAR dummy OTYPE WS INFOTYP 1000 SUBTYP dummy ISTAT 1
  • 100.
    SAP NetWeaver GatewayConfiguration Guide (C) SAP AG SAP NetWeaver Gateway 2.0 SPS08 100 Configuring the Task Gateway Service The Task Gateway service provides an access point for consumer applications to different tasks using SAP NetWeaver Gateway. This OData service allows different task providers to expose tasks within one harmonized view. Prerequisites If you have an SAP NetWeaver Business Process Management (BPM) system, you must create a logical port to it before installing the Task Gateway service. To integrate BPM, you require SAP NetWeaver 7.31 SP05 or higher. To create a logical port: 1. In your SAP NetWeaver Gateway system, open transaction SOAMANAGER. 2. Select the Service Administration tab. 3. Choose Single Service Configuration. 4. From the Search by: by drop-down list, select Consumer Proxy. 5. In the Search Pattern: field, enter TaskFacade. 6. From the Field: by drop-down list, select External Name. 7. Choose Go. 8. In the Search Results table, select the consumer proxy. 9. Choose Apply Selection. 10. In the Details of Proxy Definition section, select the Configurations tab. 11. Choose Create Logical Port. The SOA Management popup is displayed. 12. In the Logical Port Name field, enter the port name. 13. In the Description field, enter a description providing additional information about the connection. 14. Under Configuration Type, select the Manual Configuration radio button. 15. Choose Apply Settings. 16. In the Configuration for Logical Port section, select the Transport Settings tab. 17. In the URL Access Path field, enter TaskFacadeService/TaskFacade. 18. In the Computer Name of Access URL field, enter the computer's name. 19. In the Port Number of Access URL field, enter the relevant port number. 20. Select the Consumer Security tab. 21. Under the Authentication Settings section, select the SAP Authentication Assertion Ticket radio button.
  • 101.
    SAP NetWeaver GatewayConfiguration Guide (C) SAP AG SAP NetWeaver Gateway 2.0 SPS08 101 Note For more information about SSO (Single Sign On), see the Administration for User. 22. Save the changes. Installing the Service To use the Task Gateway service: If your system landscape is based on SAP NetWeaver 7.0, 7.01, 7.02, 7.03 or 7.31, you must first install the components IW_PGW and IW_BEP in your SAP NetWeaver Gateway system. To support the Business Workflow, you must also install the component IW_BEP in your SAP Business Suite system. If your system landscape is based on SAP NetWeaver 7.40 or higher, it contains the core SAP NetWeaver Gateway component SAP_GWFND as standard and as such you do not need to install IW_BEP in your SAP NetWeaver Gateway system. However, you must install the component IW_PGW. For more information, see Deployment Options [External]. Activating the Service Activating the service consists of two main steps: 1. Setting up the service in the SAP NetWeaver Gateway system: o Create a system alias. o Activate the service. o Assign the software version to the service. 2. Connecting the service to the SAP Business Suite backend system where you want to have the Gateway information displayed: o Add additional system aliases. The service uses the multi-origin composition (MOC) component. For more information, see the Multiple Origin Composition [Page 48] section. To create a system alias: 1. In the SAP NetWeaver Gateway system, open transaction SPRO. 2. Choose SAP Reference IMG . 3. Select SAP Customizing Implementation Guide SAP NetWeaver Gateway OData Channel Configuration Connection Settings SAP NetWeaver Gateway to SAP System . 4. Open the Manage SAP System Aliases activity. TheChange View “Manage SAP System Aliases”: Overview page is displayed. 5. Choose New Entries.
  • 102.
    SAP NetWeaver GatewayConfiguration Guide (C) SAP AG SAP NetWeaver Gateway 2.0 SPS08 102 6. In the Manage SAP System Aliases table, enter the following: o Under SAP System Alias, enter the new system alias. For example, GWQ_800_BEP. o Under Description, enter a description for the system alias. o Under Local GW, make sure the checkbox is not selected. o Under For Local App, select the checkbox. o Under RFC Destination, enter the trusted RFC destination to the SAP system. Note If you have an SAP NetWeaver BPM system, set WS Provider System as the RFC Destination. o Under Software Version, press F4 and select the relevant data provider (software version), for example, /IWPGW/BWF or/IWPGW/BPM (for a BPM system). 7. Choose Save. 8. To create additional system aliases for other providers like BPM repeat steps 5 to 7. To activate the service: 1. In the SAP NetWeaver Gateway system, open transaction SPRO. 2. Choose SAP Reference IMG . 3. Select SAP Customizing Implementation Guide SAP NetWeaver Gateway OData Channel Development with IW_BEP Registration . 4. Open the Activate and Maintain Services activity. 5. Choose Add New Service. (Add New Service). The Add Service page is displayed. 6. In the System Alias field, press F4 and select the system alias you created in the procedure above. 7. Press Enter. The Add Service table is populated. 8. From the Technical Service Name column, double-click /IWPGW/TASKPROCESSING. The Add Service page is displayed. 9. Copy the name that appears in the Technical Model Name field, you will need it to assign the software version to the service. 10. In the Package field, enter the package to which you want to assign the service. 11. Choose the checkmark. The Activate and Maintain Services page is displayed. 12. Under the ICF Nodes section, make sure the ODATA node status is set to Active. 13. Under the System Aliases section, make sure the system alias we activated is displayed.
  • 103.
    SAP NetWeaver GatewayConfiguration Guide (C) SAP AG SAP NetWeaver Gateway 2.0 SPS08 103 To assign the software version to the service: 1. In the SAP NetWeaver Gateway system, open transaction SPRO. 2. Choose SAP Reference IMG . 3. Select SAP Customizing Implementation Guide SAP NetWeaver Gateway OData Channel Development with IW_BEP Registration . 4. Open the Assign Data Provider to Data Model activity. TheChange View “Assign Data Provider to Data Model”: Overview page is displayed. 5. Choose New Entries. 6. In the Assign Data Provider to Data Model table, enter the following: o Under Model Identifier, enter the technical name you obtained in the previous step (To activate the service) followed by _0001_BE. For example, <model identifier name>_0001_BE. o Under Type, select (Adaptation) Data Provider from the drop-down list. o Under Software Version, press F4 and select the relevant software version for example /IWPGW/BPM or /IWPGW/BWF. o Under Class/Interface, enter /IWFND/CL_MGW_RUNT_RCLNT_PRXY. o Under Description, enter a description of the data model. o Under Model Name, enter enter the technical name you obtained in the previous step (To activate the service). 7. Choose Save. 8. To create additional software versions, repeat steps 5 to 7. To add additional system aliases: 1. Create a new system alias as described in the procedure above. 2. In the SAP NetWeaver Gateway system, open transaction SPRO. 3. Choose SAP Reference IMG . 4. Select SAP Customizing Implementation Guide SAP NetWeaver Gateway OData Channel OData Channel Development with IW_BEP Registration . 5. Open the Activate and Maintain Services activity. The Activate and Maintain Services page is displayed. 6. In the Service Catalog table, search for TASKPROCESSING in the External Service Name column and select the entire line. 7. In the System Aliases section, choose (Add System Alias). The Change View “Assign SAP System Aliases to OData Service”: Overview page is displayed. 8. Select an existing SAP system alias and choose Copy. 9. In the SAP System Alias field, press F4 and select the System Alias you have created.
  • 104.
    SAP NetWeaver GatewayConfiguration Guide (C) SAP AG SAP NetWeaver Gateway 2.0 SPS08 104 10. In the Default System field, the checkbox does not need to be selected. If the checkbox is selected, the corresponding SAP system will be called by default. 11. Choose (Copy). 12. Choose Save. Once your service is activated you can navigate to the Task collection to get all your inbox tasks from the implemented providers, such as Business Workflow and BPM. For example: http://<Server>:<Port>/sap/opu/odata/IWPGW/TASKPROCESSING;mo/TaskColl ection Adding New Providers Task Gateway service has two providers out-of-the-box: a provider for SAP Business Workflow, and one for BPM. If you require an additional provider, you must add it manually. To add a new provider: 1. In your SAP NetWeaver Gateway system, open transaction SPRO. 2. Choose SAP Reference IMG. 3. Select SAP NetWeaver Gateway Service Enablement Content Task Gateway Service Registration . 4. Open the Provider Implementation activity and follow the instructions described in the activity's documentation.
  • 105.
    SAP NetWeaver GatewayConfiguration Guide (C) SAP AG SAP NetWeaver Gateway 2.0 SPS08 105 Former Development In this section, you can find information about former development and programming paradigms. Recommendation We strongly recommend using the OData Channel (ODC) programming paradigm for all SAP NetWeaver Gateway development. As of SAP NetWeaver Gateway 2.0 Support Package 05, you are strongly recommended to use the Service Builder (transaction SEGW) for your OData design- time development . For more information, see SAP NetWeaver Gateway Service Builder [External]. Depending on whether you want to develop SAP NetWeaver Gateway content in an SAP Business Suite backend system or in an SAP NetWeaver Gateway hub system, you can choose between embedded deployment or central hub deployment. For more information, see Embedded Versus Hub Deployment [External] and Deployment Options [External]. This section comprises the following information: OData Channel without IW_BEP Configurations for ERP on SAP NetWeaver Gateway [Page 106] Code List [Page 161] SOA Management Configurations on SAP ERP System [Page 130] SOA Management Configurations on the SAP NetWeaver Gateway Syste [Page 141] Generic Channel Generic Channel Configuration [Page 152] Code List [Page 161] Configuration Settings for Generic Channel Scenarios [Page 170]
  • 106.
    SAP NetWeaver GatewayConfiguration Guide (C) SAP AG SAP NetWeaver Gateway 2.0 SPS08 106 Configurations for ERP on SAP NetWeaver Gateway This section provides an overview of the SAP ERP scenarios with the services used and the supported releases. SAP ERP Scenarios Configuration Settings Types of Services used Supported Releases Employee Configurations on SAP NetWeaver Gateway for SAP ERP [Page 114] Following BAPIs are used: BAPI_EMPLOYEE_GETDATA BAPI_HELPVALUES_GET BAPI_ADDRESSEMPGETDETAILEDLIST SAP ERP 2004 and higher Note The software requirements for few of the Employee functions supported differ. See Employee [External] for more information. Material Configurations on SAP NetWeaver Gateway for SAP ERP [Page 114] Following BAPIs are used: BAPI_MATERIAL_GETLIST BAPI_MATERIAL_GET_ALL BAPI_HELPVALUES_GET SAP ERP 2004 and higher Bill Of Material (BOM) Configurations on SAP NetWeaver Gateway for SAP ERP [Page 114] Following BAPIs are used: CSEP_MAT_BOM_SELECT BAPI_MATERIAL_GETLIST C1L3_READ_T416 BAPI_HELPVALUES_GET CSEP_MAT_BOM_READ SAP ERP 2004 and higher ERP Document Configurations on SAP NetWeaver Gateway for SAP ERP [Page 114] Following BAPIs are used: BAPI_DOCUMENT_GETLIST BAPI_HELPVALUES_GET BAPI_DOCUMENT_GETDETAIL2 CVAPI_DOC_CHECKIN SAP ERP 2004 and higher Sales Documents (Inquiry and Quotation) Configurations on SAP NetWeaver Gateway for SAP ERP [Page 114] The following BAPIs are used: BAPI_SALESORDER_GETLIST BAPISDORDER_GETDETAILEDLIST SAP ERP 2004 and higher Note See ERP Sales Document [External]
  • 107.
    SAP NetWeaver GatewayConfiguration Guide (C) SAP AG SAP NetWeaver Gateway 2.0 SPS08 107 for supported operations and the versions ERP Customer Configurations on SAP NetWeaver Gateway for SAP ERP [Page 114] The following BAPIs are used BAPI_CUSTOMER_FIND BAPI_CUSTOMER_GETLIST BAPI_ADDRESSORG_GETDETAIL BAPI_ADDRESSORG_CHANGE BAPI_CUSTOMER_GETDETAIL2 BAPI_BUSPARTNEREMPLOYE_GETLIST The following ESA Services are used: CustomerERPBasicDataByIDQueryRes ponse_In_V2 CustomerBasicDataChangeRequestCo nfirmation_In CustomerERPBankDetailsByIDQueryR esponse_In CustomerERPBankDetailsUpdateRequ estConfirmation_In CustomerERPRelationshipContactPe rsonByIDAndContactPersonInternal IDQueryResponse_In) CustomerERPRelationshipContactPe rsonCreateRequestConfirmation_In CustomerERPRelationshipContactPe rsonUpdateRequestConfirmation_In _V1 CustomerERPRelationshipContactPe rsonCancelRequestConfirmation_In SAP ERP 2004 and higher Note See ERP Customer [External] for supported operations and the versions Time Management Configurations for Time Management [Page 116] The following ESA services are used: EmployeeTimeForEmployeeTimeSheet ByElementsQueryResponse_In EmployeeTimeSheetChangeRequestCo nfirmation_In EmployeeTimeSheetAllowedWorkBrea kDownStructureElementByEmployeeQ ueryResponse_In EmployeeTimeSheetAllowedReceivin SAP ERP 2004 and higher
  • 108.
    SAP NetWeaver GatewayConfiguration Guide (C) SAP AG SAP NetWeaver Gateway 2.0 SPS08 108 gCostCentreByEmployeeQueryRespon se_In EmployeeTimeSheetAllowedOrderByE mployeeQueryResponse_In EmployeeTimeSheetAllowedResource ClassByEmployeeQueryResponse_In WorkAgreementSimpleByElementsQue ryResponse_In
  • 109.
    SAP NetWeaver GatewayConfiguration Guide (C) SAP AG SAP NetWeaver Gateway 2.0 SPS08 109 Role Templates for ERP Scenarios Creating Role Templates You must create roles for SAP ERP scenarios and assign these roles to the ERP GSDO group. The SAP NetWeaver Gateway ERP users should be assigned to these roles so that they can use SAP NetWeaver Gateway services. For this: 1. Identify the list of SAP ERP systems on which the functionality should be accessible by SAP NetWeaver Gateway. 2. Create system alias for each of these systems. 3. For each of these systems, define a role for which the administrator should assign the list of users (who has access to execute the functionality) Note 1. You must be an SAP NetWeaver Gateway administrator or have an SAP user administrator to create the roles. 2. The roles must be defined/created on the SAP NetWeaver Gateway server. 3. If there is only one SAP ERP system and all the users on SAP NetWeaver Gateway should be able to access ERP functionality on this SAP ERP system then role creation and assigning of roles to GSDO groups is optional but this is not recommended. To create roles, proceed as follows: 1. Open transaction pfcg in the SAP NetWeaver Gateway system. 2. Enter a name for the role in the Role field. 3. Choose Single Role. 4. Save the Role. 5. Choose the Authorization tab. 6. Choose Change Authorization. 7. Choose the template mentioned in the Role Templates section. 8. Choose Generate to create a new role. For information on changing roles, see Changing Standard Roles [External].
  • 110.
    SAP NetWeaver GatewayConfiguration Guide (C) SAP AG SAP NetWeaver Gateway 2.0 SPS08 110 Role Templates Use the predefined role templates mentioned in the table below to create user roles for SAP ERP scenarios: Template Name Template For /IWCNT/RT_USER_EMP Employee /IWCNT/RT_USER_MTL Material /IWCNT/RT_USER_BOM Bill of Material /IWCNT/RT_USER_DOC ERP Document /IWCNT/RT_USER_QUOT Sales Document (Inquiry and Quotation) /IWCNT/RT_USER_CUST ERP Customer /IWCNT/RT_USER_TIMA Time Management Authorizations The user must have the following authorizations to access SAP NetWeaver Gateway system for SAP ERP scenarios: SAP ERP Scenario Service Authorization Object Authorization Values Employee /IWCNT/SG_EMPLOYEE_0001 S_SERVICE SRV_NAME— 754650500996EDE0D42ED48806D730 SRV_TYPE — HT S_CODE TCD — SICF Material /IWCNT/SG_MATERIAL_0001 S_SERVICE SRV_NAME- DB44022B5B569F5B9219500599D4E7 SRV_TYPE-HT S_CODE TCD-SICF Bill of Material (BOM) /IWCNT/SG_BOM_0001 S_SERVICE SRV_NAME- F235FE5EF7ED50DAE3B3F23CC1CA0E SRV_TYPE-HT S_CODE TCD-SICF
  • 111.
    SAP NetWeaver GatewayConfiguration Guide (C) SAP AG SAP NetWeaver Gateway 2.0 SPS08 111 ERP Document /IWCNT/SG_DOCUMENT_0001 S_SERVICE SRV_NAME- C2A96D9A6E6802A945D6E8904E190A SRV_TYPE-HT S_CODE TCD-SICF Sales Document (Inquiry and Quotation) /IWCNT/SG_ERPSALES_0001 S_SERVICE SRV NAME — E216D44A584CA3D8B8A6313AD0A6B0 SRV_TYPE-HT S_CODE TCD-SICF ERP Customer /IWCNT/SG_CUSTOMER_0001 S_SERVICE SRV NAME-- 0C3ED4D55DD9C87D1290E95581DA8D SRV_TYPE-HT S_CODE TCD-SICF Time Management /IWCNT/EMPLOYEETIMESHEET_0001 S_SERVICE SRV_NAME– 15DA80503D25C5D856CB6072DC9598, 56B1795EE40F0F7302DE059E7586FA SRV_TYPE-HT S_CODE TCD-SICF While creating role template in the SAP ERP system, include the authorizations provided in the table below. The user must have these authorizations to access SAP ERP system for SAP ERP scenarios: SAP ERP Scenario Service Auth. Object Authorization Values Employee S_RFC RFC_TYPE=FUGR/RFC_NAME=RH65/ ACTVT=16 RFC_TYPE=FUGR/RFC_NAME=BFHV/ ACTVT=16 RFC_TYPE=FUGR/RFC_NAME=PAD_ ESA_SERVICES/ ACTVT=16 RFC_TYPE=FUGR/RFC_NAME=H RWPC_EMPLOYEEPROFILE_45FF/ ACTVT=16 Material S_RFC RFC_TYPE=FUGR/RFC_NAME=BFHV, BUS1001 and BUS1001006/ ACTVT=16 Bill of Material (BOM) S_RFC RFC_TYPE=FUGR/RFC_NAME=SU_ USER,CSEP,BUS1001 and C1L6/ ACTVT=16
  • 112.
    SAP NetWeaver GatewayConfiguration Guide (C) SAP AG SAP NetWeaver Gateway 2.0 SPS08 112 SAP ERP Scenario Service Auth. Object Authorization Values ERP Document S_RFC RFC_TYPE=FUGR/RFC_NAME= CVBAPI and CVAPI01/ACTVT=16 RFC_TYPE=FUGR/RFC_NAME= CVBAPI and BAPT/ACTVT=16 RFC_TYPE=FUGR/RFC_NAME= CVBAPI,CVAPI01 and BAPT/ ACTVT=16 S_TCODE TCD = CV02N and CV03N TCD = CV01N and CV02N Sales Documents (Inquiry and Quotation) S_RFC RFC_TYPE=FUGR/RFC_NAME= 2032/ACTVT=16 ERP Customer S_RFC RFC_TYPE=FUGR/RFC_NAME= LC01/ACTVT=16 RFC_TYPE=FUGR/RFC_NAME= SZAK/ACTVT=16 RFC_TYPE=FUGR/RFC_NAME= BAPT/ACTVT=16 RFC_TYPE=FUGR/RFC_NAME= 1011/ACTVT=16 RFC_TYPE=FUGR/RFC_NAME= SZAM/ACTVT=16 RFC_TYPE=FUGR/RFC_NAME= SZAL/ACTVT=16 ESA (EhP4 and above) RFC_TYPE=FUGR/RFC_NAME= 2032/ACTVT=16 ECC_CUSTBASICDATABYIDQR_V2 S_SERVICE SRV Name — 228A5E185E0CFF7B36C96C854BD1C7 SRV Type — HS S_TCODE TCD=XD03 Time Management ECC_WORKAGSIMPLERELEMENTSQR S_SERVICE SRV Name– 583824D652C5AF040CDB5E6A3938C8 SRV Type — HS ECC_EMPTIMFEMPTIMSHEETELEQR S_SERVICE SRV Name — C0972E83D4383710F9FD8B8FB78280
  • 113.
    SAP NetWeaver GatewayConfiguration Guide (C) SAP AG SAP NetWeaver Gateway 2.0 SPS08 113 SAP ERP Scenario Service Auth. Object Authorization Values SRV Type – HS ECC_EMPTIMSHEETCHGRC S_SERVICE SRV Name — E564B11456D8E712E179A6EF4CBFC4 SRV Type — HS Continue with Managing RFC Destinations [Page 114]
  • 114.
    SAP NetWeaver GatewayConfiguration Guide (C) SAP AG SAP NetWeaver Gateway 2.0 SPS08 114 Configurations on SAP NetWeaver Gateway for SAP ERP This section provides information on the general configurations to be carried out on the SAP NetWeaver Gateway system. Creating Role Templates See the section Role Templates for ERP Scenarios [Page 109] for information on creating role templates for all the SAP ERP scenarios supported by SAP NetWeaver Gateway. Manage RFC Destinations 1. In transaction SPRO open the SAP Reference IMG and navigate to: SAP NetWeaver Gateway OData Channel Configuration Connection Settings SAP NetWeaver Gateway to SAP System Manage RFC Destinations and click the Activity icon. 2. Choose Create and enter the following values: Field Description RFC Destination Enter a name for the RFC destination. Example, BKDCNT200 Connection type Choose the option, 3 (Connection to ABAP System) Description RFC destination for SAP system Manage SAP System Aliases 1. In transaction SPRO open the SAP Reference IMG and navigate to: SAP NetWeaver Gateway OData Channel Configuration Connection Settings SAP NetWeaver Gateway to SAP System Manage SAP System Aliases and click the Activity icon. 2. Choose New Entries. 3. Enter the following details for the system alias: Field Description SAP System Alias Name of the system alias. Description Descriptive text for the system alias. Local GW Leave unchecked if the SAP ERP system is not on the same system as the SAP NetWeaver Gateway system. RFC Destination Specify the RFC destination defined for your SAP system, for example, BKDCNT200. WS Provider Leave it blank. Software Version Enter Default. 4. Save your settings.
  • 115.
    SAP NetWeaver GatewayConfiguration Guide (C) SAP AG SAP NetWeaver Gateway 2.0 SPS08 115 Assign SAP System Aliases to OData Service 1. In transaction SPRO open the SAP Reference IMG and navigate to: SAP NetWeaver Gateway Former Development OData Channel Development without IW_BEP Registration Assign SAP System Aliases to OData Service and click the Activity icon. 2. Choose the option with service document identifier (check the table below) and select Copy as: SAP ERP Element Service Document Identifier Employee /IWCNT/SG_EMPLOYEE_0001 Material /IWCNT/SG_MATERIAL_0001 Bill of Material (BOM) /IWCNT/SG_BOM_0001 ERP Document /IWCNT/SG_DOCUMENT_0001 Sales Documents /IWCNT/SG_ERPSALES_0001 Customer /IWCNT/SG_CUSTOMER_0001 Activating the Service 1. Go to transaction SICF. 2. In the Service Name field, enter: SAP ERP Element Service Name Employee Employee Material Material Bill of Material (BOM) Billofmaterial ERP Document Document Sales Documents ERPSALES Customer CUSTOMER 3. Choose Execute. 4. In the Maintain service window, under Virtual Host/Services section, select the last node and right click. 5. Choose the option Activate Service.
  • 116.
    SAP NetWeaver GatewayConfiguration Guide (C) SAP AG SAP NetWeaver Gateway 2.0 SPS08 116 Settings for Time Management Application - OData Channel Time Management application enables you to perform time recording functions while away from your desk in any device or platform. Prerequisites Configurations for Time Management Configurations on SAP NetWeaver Gateway - OData Channel [Page 117] Configurations on the SAP ERP System (Provider System) for Time Management - OData Channel [Page 119] Configurations on the SAP NetWeaver Gateway System (Consumer System) for Time Management - OData Channel [External] Reference For more information, see SAP Library for SAP ERP on SAP Help Portal at http://help.sap.com/erp. In SAP Portal, SAP ERP SAP ERP Central Component (Open the documentation) Expand SAP ERP Central Component Expand Human Resources Choose Personnel Time Management .
  • 117.
    SAP NetWeaver GatewayConfiguration Guide (C) SAP AG SAP NetWeaver Gateway 2.0 SPS08 117 Configurations on the SAP NetWeaver Gateway for Time Management - OData Channel Manage RFC Destinations 1. In transaction SPRO open the SAP Reference IMG and navigate to: SAP NetWeaver Gateway OData Channel Configuration Connection Settings SAP NetWeaver Gateway to SAP System Manage RFC Destinations and click the Activity icon. 2. Choose Create and enter the following values: Field Description RFC Destination Enter a name for the RFC destination. Example, CONNECT_ TO_BACKEND Connection type G (HTTP Connection to Ext. Server) Description RFC destination for SAP system Manage SAP System Aliases 1. In transaction SPRO open the SAP Reference IMG and navigate to: SAP NetWeaver Gateway OData Channel Configuration Connection Settings SAP NetWeaver Gateway to SAP System Manage SAP System Aliases and click the Activity icon. 2. Choose New Entries. 3. Enter the following details for the system alias: Field Description SAP System Alias Name of the system alias. Description Descriptive text for the system alias. Local GW Leave unchecked if the SAP ERP system is not on the same system as the SAP NetWeaver Gateway system. RFC Destination Specify the RFC destination defined for your SAP system, for example, BKDCNT200. WS Provider Leave it blank. Software Version Enter Default. 4. Save your settings. Assign SAP System Aliases to OData Service 1. In transaction SPRO open the SAP Reference IMG and navigate to: SAP NetWeaver Gateway Former Development OData Channel Development without
  • 118.
    SAP NetWeaver GatewayConfiguration Guide (C) SAP AG SAP NetWeaver Gateway 2.0 SPS08 118 IW_BEP Registration Assign SAP System Aliases to OData Service and click the Activity icon. 2. Choose the option with service document identifier /IWCNT/SG_TIME_RECORDING_ODC_0001 and select Copy as... Activating the Service 1. Go to transaction SICF. 2. In the Service Name field, enter EMPLOYEETIME. 3. Choose Execute. 4. In the Maintain service window, under Virtuelle Hosts/Services section, select the last node and right click. 5. Choose the option Activate Service. Continue with, Configurations on the SAP ERP System (Provider System) for Time Management - OData Channel [Page 119]
  • 119.
    SAP NetWeaver GatewayConfiguration Guide (C) SAP AG SAP NetWeaver Gateway 2.0 SPS08 119 Configurations on the SAP ERP System (Provider System) for Time Management - OData Channel Note SAP ERP system is also called as Provider system in this section. To configure the provider system: 1. You can either import a profile using an XML template or create a profile. Importing a profile using an XML template [Page 131] or Creating a profile [Page 133] 2. Import endpoints using a Business Scenario Configuration XML [Page 135] or Creating endpoints using a Business Scenario [Page 137] 3. Verifying the endpoints created [Page 139] 4. Assigning personnel number for an employee: To assign an SAP User ID to a Personnel Number proceed as follows: 1. Logon to the provider system. 2. Open transaction PA30. 3. Choose the Personnel number. 4. In the Direct selection section, choose Communication (0105) in the Infotype field, and System user name (0001) in the STy (Subtype) field. 5. Click the Change icon or press F6 from the key board to view the Change Communication page. 6. In the Communication section, enter the SAP user ID in the ID/number field. You have now assigned the SAP User ID to a Personnel number. 5. Obtaining WSIL URL 1. On the Provider system, open transaction sicf. 2. Enter SERVICE for the Hierarchy Type. 3. Enter WSIL for the Service Name. 4. Choose Execute. Note The WSIL (Web Service Inspection Language) service lists the configuration of all web services exposed by the system. 5. Choose WSIL folder and right click and select Test Service.
  • 120.
    SAP NetWeaver GatewayConfiguration Guide (C) SAP AG SAP NetWeaver Gateway 2.0 SPS08 120 6. A browser window opens, copy the URL from this browser. This is the WSIL URL. 6. Obtaining the external key of the provider system [Page 140]. Continue with, Configurations on the SAP NetWeaver Gateway System (Consumer System) for Time Management - OData Channel [External]
  • 121.
    SAP NetWeaver GatewayConfiguration Guide (C) SAP AG SAP NetWeaver Gateway 2.0 SPS08 121 Configurations on the SAP NetWeaver Gateway System (Consumer System) for Leave Management Note SAP NetWeaver Gateway system is also called as Consumer system in this section. When you are configuring the Consumer system for the first time (either for Leave Management, Time Management or Codelist) you must perform all the steps provided in the procedure below. But, once you configure the Consumer system for any one of the applications (either Leave Management, Time Management, or Codelist) you can ignore the following steps when configuring the system for the rest of the applications: o Importing a profile file o Creating a system connection to the Provider system o User account management o Assigning system aliases o Configuring destination finder Configurations on the consumer system include: 1. Importing a Profile file [Page 142] — Import the Profile created in the Provider [Page 130] system. Note You must import the same profile created in the provider system, else mass configuration of web service proxies in the service groups is not possible. 2. Creating a system connection to the Provider system [Page 144] 3. User account management [Page 145] 4. Importing a business scenario Configuration XML [Page 147] or Configuring service groups using business scenarios [Page 149]/ — You can either manually configure service groups using a business scenario or import a business scenario configuration XML. 5. Verifying logical ports [Page 151] 6. Assigning system aliases: 1. In transaction SPRO open the SAP Reference IMG and navigate to: SAP NetWeaver Gateway Former Development Generic Channel Administration General Settings Manage GSDO Groups and click the Activity icon. 2. Choose Assign GSDOs, the added GSDO will be present in the list. 3. Select the GSDO Type and click Assign SAP System Alias: User Role: A specific User Role can be maintained which is checked to link to the designated system. SAP System Alias: Add the Provider System's name.
  • 122.
    SAP NetWeaver GatewayConfiguration Guide (C) SAP AG SAP NetWeaver Gateway 2.0 SPS08 122 4. Select the System Alias and click Assign User Roles: User Roles can be defined here. Blank: Refers to All Roles. 7. Configuring Destination Finder: The Provider systems configured from SOA Manager have to be entered in the configuration of the Destination Finder so that during runtime, SAP NetWeaver Gateway can select the right provider system for a given system alias. This activity allows you to define RFC destinations that point to relevant SAP business systems. If an RFC destination points to an SAP system alias that system alias points to the corresponding SAP business system. Note Only RFC destinations of connection type 3 (Connection to ABAP System) can be used. 1. In transaction SPRO open the SAP Reference IMG and navigate to: SAP NetWeaver Gateway Former Development Generic Channel Configuration Connection Settings SAP NetWeaver Gateway to SAP System Manage RFC Destinations and click the Activity icon. 2. Create a New RFC connection by specifying the RFC Destination and Connection Type. 3. Save the new RFC connection. 4. Go back to the SAP NetWeaver Gateway to SAP System activity. 5. Execute the Manage System Aliases IMG Activity. 6. Create a new System Alias by selecting the New Entries button. 7. Provide the created RFC connection. 8. Enter the Provider system's name for the system alias. 9. Save the settings.
  • 123.
    SAP NetWeaver GatewayConfiguration Guide (C) SAP AG SAP NetWeaver Gateway 2.0 SPS08 123 Configurations for ERP Customer- OData Channel The ERP Customer service assists you to view the details of the Customer, like the address of the customer and their communication and bank details. Prerequisites Before using the Customer service, the following configurations should be completed: Configurations for ERP Customer on the SAP NetWeaver Gateway Sys [Page 127] Configurations for ERP Customer on the SAP ERP System (Provider [Page 126] Configurations for ERP Customer on the SAP NetWeaver Gateway Sys [Page 127]
  • 124.
    SAP NetWeaver GatewayConfiguration Guide (C) SAP AG SAP NetWeaver Gateway 2.0 SPS08 124 Configurations for ERP Customer on the SAP NetWeaver Gateway System— OData Channel This section provides the configuration steps to be completed in the SAP NetWeaver Gateway system before using the Customer service. Managing RFC Destinations 1. In transaction SPRO, open the SAP Reference IMG and navigate to: SAP NetWeaver Gateway OData Channel Configuration Connection Settings SAP NetWeaver Gateway to SAP System Manage RFC Destinations and click the Activity icon. 2. Choose Create and enter the following values: Field Description RFC Destination Enter a name for the RFC destination. Example, CONNECT_ TO_BACKEND Connection type G (HTTP Connection to Ext. Server) Description RFC destination for SAP system Managing SAP System Aliases 1. In transaction SPRO, open the SAP Reference IMG and navigate to: SAP NetWeaver Gateway OData Channel Configuration Connection Settings SAP NetWeaver Gateway to SAP System Manage SAP System Aliases and click the Activity icon. 2. Choose New Entries. 3. Enter the following details for the System Alias: Fields Description SAP System Alias Name of the system alias. Description Descriptive text for the system alias. Local GW Leave unchecked if the SAP ERP system is not on the same system as the SAP NetWeaver Gateway system. RFC Destination Specify the RFC destination defined for your SAP system, for example, BKDCNT200. WS Provider Give the Provider system name that is created in the SAP NetWeaver Gateway SOA Manager configurations. Refer the SOA Manager Configurations documentation at http://help.sap.com. Navigate to: SAP NetWeaver SAP NetWeaver Gateway SAP NetWeaver Gateway 2.0 Library SAP NetWeaver Gateway Configuration Guide Configuration Settings for SAP NetWeaver Gateway Supported Applications
  • 125.
    SAP NetWeaver GatewayConfiguration Guide (C) SAP AG SAP NetWeaver Gateway 2.0 SPS08 125 SOA Management Configurations on the SAP NetWeaver Gateway System Creating a System Connection to Provider System . Software Version Verify the Software Version to set for your Data Model in the following path: In transaction SPRO, open the SAP Reference IMG and navigate to SAP NetWeaver Gateway OData Channel OData Channel Development without IW_BEP Registration Assign Data Provider to Data Model : and click the Activity icon. Select your Data Model and verify the Software Version: o DEFAULT is for ERP version between ECC 5.0 to ECC6.0 EhP2 o ECC_604 for ERP versions from ECC6.0 EhP3 4. Save your settings. Assigning SAP System Aliases to OData Service To assign SAP System Aliases to OData Service, proceed as follows: 1. In transaction SPRO, open the SAP Reference IMG and navigate to: SAP NetWeaver Gateway Former Development OData Channel Development without IW_BEP Registration Assign SAP System Aliases to OData Service and click the Activity icon. 2. Choose New Entries 3. Select the SAP NetWeaver Gateway OData Group /IWCNT/SG_CUSTOMER_0001 from the Service Doc Identifier list. 4. Enter the role name created above ZBUSIPARTROLE in the User Role column. 5. Press F4 to select a system alias in the SAP System Alias column. 6. Save your settings. Activating the Service 1. Go to transaction SICF. 2. In the Service Name field, enter CUSTOMER. 3. Choose Execute. 4. In the Maintain service window, under Virtual Hosts/Services section, select the last node and right click it. 5. Choose the option Activate Service. Continue with instructions provided in the Configurations for ERP Customer on the SAP ERP System (Provider) [Page 126]section.
  • 126.
    SAP NetWeaver GatewayConfiguration Guide (C) SAP AG SAP NetWeaver Gateway 2.0 SPS08 126 Configurations for ERP Customer on the SAP ERP System (Provider System) — OData Channel To configure the provider system: 1. You can either import a profile using an XML template or create a profile. Importing a profile using a XML template [Page 131] or Creating a profile [Page 133] 2. Import endpoints using a Business Scenario Configuration XML [Page 135] or Creating endpoints using a Business Scenario [Page 137] 3. Verifying the endpoints created [Page 139] 4. Assigning personnel number for an employee: To assign an SAP User ID to a Personnel Number proceed as follows: 1. Logon to the provider system. 2. Open transaction PA30. 3. Choose the Personnel number. 4. In the Direct selection section, choose Communication (0105) in the Infotype field, and System user name (0001) in the STy (Subtype) field. 5. Click the Change icon or press F6 from the key board to view the Change Communication page. 6. In the Communication section, enter the SAP user ID in the ID/number field. You have now assigned the SAP User ID to a Personnel number. 5. Obtaining WSIL URL 1. On the Provider system, open transaction sicf. 2. Enter SERVICE for the Hierarchy Type . 3. Enter WSIL for the Service Name. 4. Choose Execute. Note The WSIL (Web Service Inspection Language) service lists the configuration of all web services exposed by the system. 5. Choose WSIL folder and right click and select Test Service. 6. A browser window opens, copy the URL from this browser. This is the WSIL URL. 6. Obtaining the external key of the provider system [Page 140]. Continue with, Configurations for ERP Customer on the SAP NetWeaver Gateway Sys [Page 127]
  • 127.
    SAP NetWeaver GatewayConfiguration Guide (C) SAP AG SAP NetWeaver Gateway 2.0 SPS08 127 Configurations for ERP Customer on the SAP NetWeaver Gateway System (Consumer System)— OData Channel Configurations on the consumer system include: 1. Importing a Profile file [Page 142] — Import the Profile created in the Provider [Page 130] system. Note You must import the same profile created in the provider system, else mass configuration of web service proxies in the service groups is not possible. 2. Creating a system connection to the Provider system [Page 144] 3. User account management [Page 145] 4. Importing a business scenario Configuration XML [Page 147] or Configuring service groups using business scenarios [Page 149]/ — You can either manually configure service groups using a business scenario or import a business scenario configuration XML. 5. Verifying logical ports [Page 151] 6. Configuring Destination Finder: The Provider systems configured from SOA Manager have to be entered in the configuration of the Destination Finder so that during runtime, SAP NetWeaver Gateway can select the right provider system for a given system alias. This activity allows you to define RFC destinations that point to relevant SAP business systems. If an RFC destination points to an SAP system alias, that system alias will point to the corresponding SAP business system. Only RFC destinations of connection type 3 (Connection to ABAP System) can be used. 1. In transaction SPRO open the SAP Reference IMG and navigate to: SAP NetWeaver Gateway OData Channel Configuration Connection Settings SAP NetWeaver Gateway to SAP System Manage RFC Destinations and click the Activity icon. 2. Create a New RFC connection by specifying the RFC Destination and Connection Type. 3. Save the new RFC connection. 4. Go back to the SAP NetWeaver Gateway to SAP System activity. 5. Execute the Manage System Aliases IMG Activity. 6. Create a new System Alias by selecting the New Entries button. 7. Provide the created RFC connection. 8. Enter the Provider system's name for the system alias. 9. Save the settings.
  • 128.
    SAP NetWeaver GatewayConfiguration Guide (C) SAP AG SAP NetWeaver Gateway 2.0 SPS08 128 Configurations for ERP Sales Documents on the SAP NetWeaver Gateway System— OData Channel This section provides the configuration steps to be completed in the SAP NetWeaver Gateway system before using the Customer service. Managing RFC Destinations 1. In transaction SPRO open the SAP Reference IMG and navigate to: SAP NetWeaver Gateway OData Channel Configuration Connection Settings SAP NetWeaver Gateway to SAP System Manage RFC Destinations and click on the Activity icon. 2. Choose Create and enter the following values: Field Description RFC Destination Enter a name for the RFC destination. Example, CONNECT_ TO_BACKEND Connection type G (HTTP Connection to Ext. Server) Description RFC destination for SAP system Managing SAP System Aliases 1. In transaction SPRO open the SAP Reference IMG and navigate to: SAP NetWeaver Gateway OData Channel Configuration Connection Settings SAP NetWeaver Gateway to SAP System Manage SAP System Aliases and click on the Activity icon. 2. Choose New Entries. 3. Enter the following details for the System Alias: Fields Description SAP System Alias Name of the system alias. Description Descriptive text for the system alias. For example, System alias for ERP Sales Document Local GW Leave unchecked if the SAP ERP system is not on the same system as the SAP NetWeaver Gateway system. RFC Destination Specify the RFC destination defined for your SAP system, for example, BKDCNT200. WS Provider Give the Provider system name that is created in the SAP NetWeaver Gateway SOA Manager configurations. Refer the SOA Manager Configurations documentation at http://help.sap.com. Navigate to: SAP NetWeaver SAP NetWeaver Gateway SAP NetWeaver Gateway 2.0 Library SAP NetWeaver Gateway Configuration Guide Configuration Settings for SAP NetWeaver Gateway Supported Applications
  • 129.
    SAP NetWeaver GatewayConfiguration Guide (C) SAP AG SAP NetWeaver Gateway 2.0 SPS08 129 SOA Management Configurations on the SAP NetWeaver Gateway System Creating a System Connection to Provider System . Software Version Verify the Software Version to set for your Data Model in the following path: In transaction SPRO open the SAP Reference IMG and navigate to SAP NetWeaver Gateway OData Channel OData Channel Development without IW_BEP Registration Assign Data Provider to Data Model : and click on the Activity icon. Select your Data Model and verify the Software Version: o DEFAULT is for ERP version between ECC 5.0 to ECC6.0 EhP2 o ECC_604 for ERP versions from ECC6.0 EhP3 4. Save your settings. Assigning SAP System Aliases to OData Service To assign SAP System Aliases to OData Service proceed as follows: 1. In transaction SPRO open the SAP Reference IMG and navigate to: SAP NetWeaver Gateway Former Development OData Channel Development without IW_BEP Registration Assign SAP System Aliases to OData Service and click on the Activity icon. 2. Choose New Entries 3. Select the SAP NetWeaver Gateway OData Group /IWCNT/SG_INQUIRY_0001 for ERP Inquiry and /IWCNT/SG_QUOTATION_0001 for ERP Quotation from the Service Doc Identifier list. 4. Enter the role name created above ZBUSIPARTROLE in the User Role column. 5. Press F4 to select a system alias in the SAP System Alias column. 6. Save you settings. Activating the Service 1. Go to transaction SICF. 2. In the Service Name field, enter CUSTOMER. 3. Choose Execute. 4. In the Maintain service window, under Virtual Hosts/Services section, select the last node and right click on it. 5. Choose the option Activate Service. Continue with instructions provided in the Configurations for ERP Customer on the SAP ERP System (Provider [Page 126]section.
  • 130.
    SAP NetWeaver GatewayConfiguration Guide (C) SAP AG SAP NetWeaver Gateway 2.0 SPS08 130 SOA Management Configurations on SAP ERP System Note SAP ERP System is also called as the Provider System in this section. SOA Management configurations mentioned in this section have to performed in the Provider system. More Information Working with the SOA Manager [External]
  • 131.
    SAP NetWeaver GatewayConfiguration Guide (C) SAP AG SAP NetWeaver Gateway 2.0 SPS08 131 Importing a Profile using a XML Template A template file for a Profile is attached to a SAP Note. This section guides you to import the template file for a Profile. The table below lists the SAP Note details for Time Management, Leave Management and Code List: Application SAP Note Number File Details Time Management 1584236 Folder Name — Time.zip File Name — profile_IWCNT_1 .xml Leave Management 1588250 Folder Name — Leave.zip File Name — profile_IWCNT_1.xml Code List 1588117 Folder Name — Code_List.zip File Name — profile_IWCNT_CODELIST_1+.xml ERP Customer 0001670653 Folder Name —Customer.zip File Name—profile_IWCNT_1 .xml ERP Contact 0001670653 Folder Name —Contact.zip File Name—profile_IWCNT_1 .xml 1. On the Provider system, navigate to the SAP Note Assistant to download the template file using the SAP note number provided above. 2. Download the XML file and save it. 3. Open transaction SOAMANAGER. 4. Navigate to Technical Administration tab Profile Management . 5. Choose Import. 6. In the SOA Management window, Browse and select the downloaded template file. 7. Choose Import to complete the import process. 8. Browse for the file in the SOA Management window and Import. 9. Activate the Profile. More Information Configurations on the SAP NetWeaver Gateway system (Provider system) for: OData Channel Scenarios: Time Management [Page 119] ERP Customer [Page 126]
  • 132.
    SAP NetWeaver GatewayConfiguration Guide (C) SAP AG SAP NetWeaver Gateway 2.0 SPS08 132 Generic Channel Scenarios: Time Management [Page 216] Leave Management [Page 225] Code List [Page 243] Configurations for ERP Customer- OData Channel [Page 123]
  • 133.
    SAP NetWeaver GatewayConfiguration Guide (C) SAP AG SAP NetWeaver Gateway 2.0 SPS08 133 Profile Management Profiles are created as part of the general configuration for security and transport aspects. For web service communications, the provider and the consumer uses the same profile so that the consumer system uses the exact authentication, encryption and other settings that are offered by the provider system. A profile is created once and distributed to all relevant servers in a landscape, and then used to configure each web service on the provider and consumer system. Creating and Distributing a Profile in SAP NetWeaver 701 (SAP NetWeaver 700 EHP1), SAP NetWeaver 711 (SAP NetWeaver 710 EHP1) and Higher Releases To create and distribute a new profile proceed as follows: 1. On the Provider system, open transaction SOAMANAGER. 2. Navigate to Technical Configuration tab Profile Management . 3. Choose Create to create a new profile. 4. Enter a Name and Version for the Profile. 5. Specify settings for Messaging,Transport Settings as needed for your company and the landscape. 6. Configure the Security details as follows: o Select the SAP Logon Ticket check box o Select the Secure Communication Only check box to enable SSL. Note The selected authentication method must support single sign-on. This may also require trust to be configured between the SAP NetWeaver Gateway and the SAP systems. 7. Click Save to save the profile. The Profile Activate confirmation window displays. 8. Click Yes to activate the profile. Note After creation of profile you need to logout and logon again into the SOA Management for the new profile to be visible for assignment. 9. Exit SOA Management and logon again. 10. Select the new profile you have created, and choose Export to export it as an XML file. 11. Specify a location to save the file in the Save As window. 12. Log on to all SAP ERP systems in the landscape, go to transaction soamanager, and import this XML file using the Import function. See Importing a Profile using an XML Template [Page 131] section for more information.
  • 134.
    SAP NetWeaver GatewayConfiguration Guide (C) SAP AG SAP NetWeaver Gateway 2.0 SPS08 134 Creating and Distributing a Profile in SAP NetWeaver 700 and 710 To create and distribute a new profile proceed as follows: 1. On the Provider system, open transaction SOAMANAGER. 2. Navigate to Technical Administration tab Profile Management . 3. Choose New Profile to create a new profile. 4. Enter a Name and Description for the Profile. 5. Ensure that the Transport binding properties has the following values: Property Value ProxyHost proxy ProxyPort 8080 Note If you want to change a profile, you must create a new version of it. By activating a new version, the provider systems and all other pieces of configuration that use the profile still use an old version. You must go to the configuration of each provider system and configure it to use the new version of the profile. You must also activate all dependent objects if required. This has to be done in all systems in the landscape after the distribution of the new profile version More Information Configurations on the SAP NetWeaver Gateway system (Provider system) for: OData Channel Scenarios: Time Management [Page 119] ERP Customer [Page 126] Generic Channel Scenarios: Time Management [Page 216] Leave Management [Page 225] Code List [Page 243] Configurations for ERP Customer- OData Channel [Page 123]
  • 135.
    SAP NetWeaver GatewayConfiguration Guide (C) SAP AG SAP NetWeaver Gateway 2.0 SPS08 135 Importing Endpoints Template using Business Scenario Configuration This section guides you to import the template file for endpoints using the Business Scenario Configuration function in the SOA Management: 1. On the Provider system, navigate to the SAP Note Assistant to download the template file using the provided SAP Note number. The table below lists the SAP Note details for Time Management, Leave Management, Code List and ERP Customer: Applications SAP Note Number File Name Time Management 1584236 Folder Name — Time.zip File Name — scenario_IWCNT_TIMA_BSC.xml Leave Management 1588250 Folder Name — Leave.zip File Name — scenario_IWCNT_LEMA_BSC.xml Code List 1588117 Folder Name — Code_List.zip File Name — scenario_CodeList.xml ERP Customer 0001670653 Folder Name — Customer.zip File Name — scenario_IWCNT_KNA1.xml ERP Contact 0001670653 Folder Name — Contact.zip File Name — scenario_IWCNT_KNA1.xml 2. Download the XML file and save it. 3. Open transaction SOAMANAGER. 4. Navigate to Service Administration tab Business Scenario Configuration . 5. Choose Import. 6. In the SOA Management window, Browse and select the downloaded template file. 7. Choose Import to complete the import process. The Configuration Scenario Details screen displays at the bottom of the screen. 8. Choose the Provider tab and select all the services. 9. Choose Assign. The list of Profiles in your system is displayed below. 10. Select the profile that you have created already, and click Assign to Service. 11. Choose Save. The Profile Activate confirmation window displays.
  • 136.
    SAP NetWeaver GatewayConfiguration Guide (C) SAP AG SAP NetWeaver Gateway 2.0 SPS08 136 12. Click Yes to activate the profile. 13. You are redirected to SOA Configuration Request Queue Management screen. 14. Choose Start request Queue processing to start endpoint creation. More Information Configurations on the SAP NetWeaver Gateway system (Provider system) for: OData Channel Scenarios: Time Management [Page 119] ERP Customer [Page 126] Generic Channel Scenarios: Time Management [Page 216] Leave Management [Page 225] Code List [Page 243] Configurations for ERP Customer- OData Channel [Page 123]
  • 137.
    SAP NetWeaver GatewayConfiguration Guide (C) SAP AG SAP NetWeaver Gateway 2.0 SPS08 137 Creating Endpoints using a Business Scenario The web services called by Consumer system have to be connected using the profile created in the Profile Management [Page 133] section. These web services are exposed to the Consumer system by Endpoints. To configure a service provider, you need to create and configure an endpoint. The endpoint contains a runtime configuration, which is needed to implement the service. To enable mass configuration on the Consumer system, the endpoints have to be created using a Business Scenario Configuration. To expose the service for consumption by Consumer system proceed as follows: 1. On the Provider system, open transaction SOAMANAGER. 2. Navigate to Service Administration tab Business Scenario Configuration . 3. Choose New . 4. Enter a Name and Description for the Business Scenario. 5. Click Next to configure the Provider side. 6. Click Add to search for each service that is consumed by SAP NetWeaver Gateway. The following services should be added: Time Management Leave M EmployeeTimeForEmployeeTimeSheetByElementsQueryResponse_In Employe WorkAgreementSimpleByElementsQueryResponse_In Employe EmployeeTimeSheetChangeRequestConfirmation_In WorkAgr EmployeeTimeSheetAllowedOrderByEmployeeQueryResponse_In Employe EmployeeTimeSheetAllowedWorkBreakDownStructureElementByEmployeeQuery Response_In Employe EmployeeTimeSheetAllowedResourceClassByEmployeeQueryResponse_In Employe EmployeeTimeSheetAllowedReceivingCostCentreByEmployeeQueryResponse_In Employe The Consumer side has to be configured in the second step. 7. Click Save. 8. Activate the Business Scenario. 9. Click Back. 10. Select Activation Requests Management link 11. Choose Check for Updates button. 12. Click Start Activation to activate endpoints. 13. Choose Check Processing State to trigger and monitor the creation and activation of endpoints. If required, you can log on to other SAP systems and click Export to export the business scenario.
  • 138.
    SAP NetWeaver GatewayConfiguration Guide (C) SAP AG SAP NetWeaver Gateway 2.0 SPS08 138 More Information Configurations on the SAP NetWeaver Gateway system (Provider system) for: OData Channel Scenarios: Time Management [Page 119] ERP Customer [Page 126] Generic Channel Scenarios: Time Management [Page 216] Leave Management [Page 225] Code List [Page 243] Configurations for ERP Customer- OData Channel [Page 123]
  • 139.
    SAP NetWeaver GatewayConfiguration Guide (C) SAP AG SAP NetWeaver Gateway 2.0 SPS08 139 Verifying the Endpoints Created To check the endpoints created proceed as follows: 1. On the Provider system, open transaction SOAMANAGER. 2. Navigate to Service Administration tab Single Service Configuration . 3. Search for a service that has been previously added to the Business Scenario. 4. Select the service from the list and click Apply Selection. The Details of the Service Definition displays at the bottom of the screen. 5. Navigate to the Configurations tab. All endpoints and services are listed here. Endpoints are displayed here with a GUID as ID, and the Creation Type field is set to Created based on profile. 6. Choose Display to view the configurations. To see the WSDL for the endpoint: 1. Choose Overview. 2. Select a binding. 3. Choose Show WSDL Options for the selected binding. More Information Configurations on the SAP NetWeaver Gateway system (Provider system) for: OData Channel Scenarios: Time Management [Page 119] ERP Customer [Page 126] Generic Channel Scenarios: Time Management [Page 216] Leave Management [Page 225] Code List [Page 243] Configurations for ERP Customer- OData Channel [Page 123]
  • 140.
    SAP NetWeaver GatewayConfiguration Guide (C) SAP AG SAP NetWeaver Gateway 2.0 SPS08 140 Obtaining the External Key of the Provider System While creating the Provider system in the Consumer system, you have to provide/select the SLD Identifier of the SAP system. Follow the steps listed in this section to obtain the SLD Identifier of the SAP system and make a note of this to provide it when required: 1. On the Provider system, open transaction SOAMANAGER. 2. Navigate to Technical Administration tab Global System Settings . 3. If no external identifier is displayed, enter an organization name and business system, and choose Save. An external identifier is now generated. In previous systems this GUID was not available. If this is the case, you cannot use mass configuration on the consumer side for the services of that system. Proceed as follows: 1. Enter any unique ID. 2. Proceed with the configuration of the business scenario. The activation of the scenario fails. 3. Create the logical ports manually. See section Verifying the logical ports [Page 151]. More Information Configurations on the SAP NetWeaver Gateway system (Provider system) for: OData Channel Scenarios: Time Management [Page 119] ERP Customer [Page 126] Generic Channel Scenarios: Time Management [Page 216] Leave Management [Page 225] Code List [Page 243] Configurations for ERP Customer- OData Channel [Page 123]
  • 141.
    SAP NetWeaver GatewayConfiguration Guide (C) SAP AG SAP NetWeaver Gateway 2.0 SPS08 141 SOA Management Configurations on the SAP NetWeaver Gateway System Note SAP NetWeaver Gateway system is also called as consumer system in this section. Applications running on the consumer system use web services to call the provider systems. Therefore, the applications have proxies that are shipped with the provider system. These proxies are grouped into service groups. Each service group can be configured to point to one or many SAP systems. The actual system that will be used is determined at run time through the destination finder. This chapter outlines the following SOA Management configuration steps to be performed in the consumer system. More Information Working with the SOA Manager [External]
  • 142.
    SAP NetWeaver GatewayConfiguration Guide (C) SAP AG SAP NetWeaver Gateway 2.0 SPS08 142 Importing a Profile File When calling a Provider system, a profile has to be specified. Use the profile created and distributed in the Creating a Profile [Page 133] section. A template file for Profile is attached to an SAP Note. This section guides you to import the template file for Profile. The table below lists the SAP Note details for Time Management, Leave Management and Code List: Application SAP Note Number File Details Time Management 1584236 Folder Name — Time.zip File Name — profile_IWCNT_1 .xml Leave Management 1588250 Folder Name —Leave.zip File Name — profile_IWCNT_1.xml Code List 1588117 Folder Name — Code_List.zip File Name — profile_IWCNT_CODELIST_1+.xml ERP Customer 0001670653 Folder Name —Customer.zip File Name—profile_IWCNT_1 .xml ERP Contact 0001670653 Folder Name —Contact.zip File Name—profile_IWCNT_1 .xml 1. On the Consumer system, navigate to the SAP Note Assistant to download the template file using the provided SAP Note number. 2. Download the XML file and save it. 3. Open transaction SOAMANAGER. 4. Navigate to Technical Administration tab Profile Management . 5. Choose Import. Note After importing the profile you need to logout and logon again into the SOA Management for the new profile to be visible for assignment. 6. In the SOA Management window, Browse and select the downloaded template file for assignment.
  • 143.
    SAP NetWeaver GatewayConfiguration Guide (C) SAP AG SAP NetWeaver Gateway 2.0 SPS08 143 More Information Configurations on the SAP NetWeaver Gateway system (Consumer system) for: OData Channel Scenarios: Time Management [External] ERP Consumer [Page 127] Generic Channel Scenarios: Time Management [Page 218] Leave Management [Page 227] Code List [Page 245] Configurations for ERP Customer- OData Channel [Page 123]
  • 144.
    SAP NetWeaver GatewayConfiguration Guide (C) SAP AG SAP NetWeaver Gateway 2.0 SPS08 144 Creating a System Connection to Provider System When calling a provider system, a profile has to be specified. Use the profile created and distributed in the Creating a Profile [Page 133] section. If the profile used in SAP NetWeaver Gateway system is not present in an SAP ERP system, mass configuration of the Web service proxies in service group is not possible. In this case, each Web service proxy can be configured one by one. You can create logical ports manually (see section Checking the Logical Ports you have created below). To create a System Connection to the Provider system in the Consumer system proceed as follows: 1. On the Consumer system, open transaction SOAMANAGER. 2. Navigate to Technical Administration tab System Connections . 3. Choose New to create a new Provider system. 4. Enter a name and description for the Provider system, and choose the right profile name. 5. Choose Next. 6. Select your Provider system listed in the SLD Identifierfield. If your Provider system is not in the list, enter a name for your Provider system that uniquely identifies it. 7. Enter the name of the WSIL URL of your SAP ERP system. See section Obtaining WSIL URL of the Provider System in Configurations on the SAP ERP System (Provider System) [Page 225] to obtain WSIL URL of the Provider System 8. Enter all required credentials. Choose Next. 9. Create a business application named Default. An external key is required that identifies the Provider system. To get the external key of the Provider system, perform the steps described in the section Obtaining the external key of the Provider system [Page 140]. 10. In the next steps, choose a configuration that suits your company's requirements and landscape setup. More Information Configurations on the SAP NetWeaver Gateway system (Consumer system) for: OData Channel Scenarios: Time Management [External] ERP Consumer [Page 127] Generic Channel Scenarios: Time Management [Page 218] Leave Management [Page 227] Code List [Page 245] Configurations for ERP Customer- OData Channel [Page 123]
  • 145.
    SAP NetWeaver GatewayConfiguration Guide (C) SAP AG SAP NetWeaver Gateway 2.0 SPS08 145 User Account Management User accounts have to be configured with the type of user authentication that takes place when the Consumer system calls the web services on the Provider system. The following three options are offered. Business User: The user logged on to the SAP NetWeaver Gateway also logs on the SAP system using their own user and credentials. Anonymous user: The SAP system is called with an anonymous user. Service User: The SAP system is called with a predefined service user. For setting up the communication from the Consumer systems to the Provider systems, only the Business User option is required. Configuring User Accounts Proceed as follows to configure User accounts: 1. Log on to the SAP system where the SAP NetWeaver Gateway is installed. 2. Open transaction SOAMANAGER. 3. Navigate to Service Administration User Account Management 4. To create a new user account, choose New. 5. Enter a name for the user account. 6. In the next step, select Business User. 7. Activate the account. 8. Go to the Account Assignment tab. 9. Click New to create a new interface assignment. 10. In the Business Application field, press F4 and select the Provider system you created in the Creating a System Connection to Provider System [Page 144]. 11. Select Assign to all services within this business application. 12. Choose Next. 13. From the Account drop-down list, select the account you have just created. 14. ClickFinish. More Information Configurations on the SAP NetWeaver Gateway system (Consumer system) for: OData Channel Scenarios: Time Management [External] ERP Consumer [Page 127] Generic Channel Scenarios:
  • 146.
    SAP NetWeaver GatewayConfiguration Guide (C) SAP AG SAP NetWeaver Gateway 2.0 SPS08 146 Time Management [Page 218] Leave Management [Page 227] Code List [Page 245] Configurations for ERP Customer- OData Channel [Page 123]
  • 147.
    SAP NetWeaver GatewayConfiguration Guide (C) SAP AG SAP NetWeaver Gateway 2.0 SPS08 147 Importing a Business Scenario Configuration XML To Import a Business Scenario Configuration XML proceed as follows: 1. On the Consumer system, navigate to the SAP Note Assistant to download the template file using the provided SAP Note number. The table below lists the SAP Note details for Time Management, Leave Management and Code List: Application SAP Note Number File Name Time Management 1584236 Folder Name — Time.zip File Name — scenario_IWCNT_TIMA_BS.xml Leave Management 1588250 Folder Name — Leave.zip File Name — scenario_IWCNT_LEMA_BS.xml Code List 1588117 Folder Name — Code_List.zip File Name — scenario_IWCNT_CODELIST.xml ERP Customer 0001670653 Folder Name — Customer.zip File Name — scenario_IWCNT_C_KNA1.xml ERP Contact 0001670653 Folder Name — Contact.zip File Name — scenario_IWCNT_C_KNA1.xml 2. Download the XML file and save it. 3. Open transaction SOAMANAGER. 4. Navigate to Service Administration tab Business Scenario Configuration . 5. Choose Import. 6. In the SOA Management window, Browse and select the downloaded template file. 7. Choose Import to complete the import process. 8. Click Save. Note A dialogue box appears prompting you to activate the business scenario. You are then redirected to SOA Configuration Request Queue Management screen where you need to click Start request Queue processing to start logical port creation.
  • 148.
    SAP NetWeaver GatewayConfiguration Guide (C) SAP AG SAP NetWeaver Gateway 2.0 SPS08 148 More Information Configurations on the SAP NetWeaver Gateway system (Consumer system) for: OData Channel Scenarios: Time Management [External] ERP Consumer [Page 127] Generic Channel Scenarios: Time Management [Page 218] Leave Management [Page 227] Code List [Page 245] Configurations for ERP Customer- OData Channel [Page 123]
  • 149.
    SAP NetWeaver GatewayConfiguration Guide (C) SAP AG SAP NetWeaver Gateway 2.0 SPS08 149 Configuring Service Groups using a Business Scenario Service groups allow you to configure multiple consumer proxies at the same time. For example, they allow multiple consumer proxies to be used to access different services offered by the same Provider system. To configure Service Groups using Business Scenario proceed as follows: 1. Logon to the Consumer system. 2. Open transaction SOAMANAGER. 3. Navigate to Service Administration tab Business Scenario Configuration . 4. Choose New . 5. Enter a Name and Description for the Business Scenario. 6. Choose Next and skip the Provider side configuration. 7. Choose Add to add the service groups for the following applications: o /IWCNT/SG_TIME_MGMT service group to the work list for Time Management o /IWCNT/SG_LEAVE_MANAGEMENT for Leave Management o /IWCNT/CODELIST_SERVICE_GROUP for Code List 8. One service group (that is, one set of Web service consumer proxies) may point to many Provider systems. Perform the following steps for each provider system. 1. Add the service group. 2. Choose Assign Business Application. Select the Business scenario that was created when creating the provider system. 9. Activate the Business Scenario. 10. Choose Check Processing State to monitor pending activities. 11. Choose Start request Queue processing to trigger the creation of Logical Ports for each Web service consumer proxy and provider system More Information Configurations on the SAP NetWeaver Gateway system (Consumer system) for: OData Channel Scenarios: Time Management [External] ERP Consumer [Page 127]
  • 150.
    SAP NetWeaver GatewayConfiguration Guide (C) SAP AG SAP NetWeaver Gateway 2.0 SPS08 150 Generic Channel Scenarios: Time Management [Page 218] Leave Management [Page 227] Code List [Page 245] Configurations for ERP Customer- OData Channel [Page 123]
  • 151.
    SAP NetWeaver GatewayConfiguration Guide (C) SAP AG SAP NetWeaver Gateway 2.0 SPS08 151 Verifying Logical Ports A logical port is a reference to runtime configuration on the consumer system to access the provider's endpoint. This section guides you to verify the logical ports created while Configuring Service Groups [Page 149]. 1. Logon to the Consumer system. 2. Open transaction SOAMANAGER. 3. Navigate to Service Administration tab Single Service Configuration . 4. Search for the service group that has been configured previously. 5. To see the details for a service group, click the arrow next to the label to open up the tree. On the first hierarchy level, all configured provider systems are listed. On the second hierarchy level, the proxies are listed 6. Go to the Configurations tab. A logical port that has the Creation Type value set to Created based on profile is listed. 7. Choose Ping web service to check the configuration. 8. To see the details of a proxy, select it and click Apply Selection. If no logical port is listed, or it is not possible to create logical ports via the business scenario, you can manually create a logical port. o Choose Create Logical Port. o Chose a Name and Description. o Enter the URL to a WSDL or select a file. To obtain the URL of a WSDL, see section Verifying the Endpoints Created [Page 139]. More Information Configurations on the SAP NetWeaver Gateway system (Consumer system) for: OData Channel Scenarios: Time Management [External] ERP Consumer [Page 127] Generic Channel Scenarios: Time Management [Page 218] Leave Management [Page 227] Code List [Page 245] Configurations for ERP Customer- OData Channel [Page 123]
  • 152.
    SAP NetWeaver GatewayConfiguration Guide (C) SAP AG SAP NetWeaver Gateway 2.0 SPS08 152 Generic Channel Configuration Recommendation We strongly recommend using the OData Channel (ODC) programming paradigm for all SAP NetWeaver Gateway development. As of SAP NetWeaver Gateway 2.0 Support Package 05, you are strongly recommended to use the Service Builder (transaction SEGW) for your OData design- time development . For more information, see SAP NetWeaver Gateway Service Builder [External]. Depending on whether you want to develop SAP NetWeaver Gateway content in an SAP Business Suite backend system or in an SAP NetWeaver Gateway hub system, you can choose between embedded deployment or central hub deployment. For more information, see Embedded Versus Hub Deployment [External] and Deployment Options [External]. Apart from basic configuration settings the Generic Channel configuration activities are listed in the Implementation Guide (IMG) in the system where software component IW_FND is deployed. In the SAP Reference IMG navigate to SAP NetWeaver Gateway Former Development Generic Channel . (Generic Channel IMG for IW_FND) The structure is as follows: Configuration User Settings Define Role for SAP NetWeaver Gateway User Define Role for SAP NetWeaver Gateway Administrator Enhance Role for SAP NetWeaver Gateway SAP System User Connection Settings Connect SAP NetWeaver Gateway to SLD SAP NetWeaver Gateway to Consumer (includes
  • 153.
    SAP NetWeaver GatewayConfiguration Guide (C) SAP AG SAP NetWeaver Gateway 2.0 SPS08 153 additional activities) SAP NetWeaver Gateway to SAP System (includes additional activities) Activate or Deactivate SAP NetWeaver Gateway Consumer Settings Assign Roles to Consumers Synchronize Roles to Consumers Specify File for Mapping Users Configure LDAP Server for Mapping Users Select User Mapping Type Map SAP User Names to Consumer Activate or Deactivate Consumers Subscription Settings Maintain Subscription Settings for GSDO Maintain Subscription Routing Maintain RFC Destination to Connectivity Provider Configure Guaranteed Delivery of Notifications (includes additional activities) Administration General Settings Manage GSDO Groups Check GSDO Groups Assign SAP System Aliases to OData Service Define Virus Scan Profiles Logging Settings Set Log Level for All Users Set Log Level for Specific Users Set Display of Sensitive Information Cache Settings Clean Up Cache and Persistency Create Cleanup Jobs Manage Cleanup Jobs Define QRC Caching Behavior Metadata (includes additional activities) Notification Store (includes additional activities) Support Utilities Error Log Traces Application Log
  • 154.
    SAP NetWeaver GatewayConfiguration Guide (C) SAP AG SAP NetWeaver Gateway 2.0 SPS08 154 Apart from basic configuration settings the Generic Channel configuration activities for the SAP Business Suite backend system are listed in the Implementation Guide (IMG) in the backend system where software component IW_BEP is deployed. In the SAP Reference IMG navigate to SAP NetWeaver Gateway Service Enablement Generic Channel . (Generic Channel IMG for IW_BEP) The structure is as follows: Connection Settings to SAP NetWeaver Gateway Create RFC Destination for Outbound Queues SAP NetWeaver Gateway Settings Create bgRFC Supervisor Destination Monitor bcRFC Queues Backend Event Publisher Administration Event Definition Event Type Linkages Logging Settings Set Log Level for All Users Set Log Level for Specific Users Clear Application Log Customizing of the SAP NetWeaver Gateway CCMS Context Support Utilities Application Log Clear Cache
  • 155.
    SAP NetWeaver GatewayConfiguration Guide (C) SAP AG SAP NetWeaver Gateway 2.0 SPS08 155 More Information Basic Configuration Settings [Page 9] OData Channel Configuration [Page 20]
  • 156.
    SAP NetWeaver GatewayConfiguration Guide (C) SAP AG SAP NetWeaver Gateway 2.0 SPS08 156 Defining Settings for Idempotent Services Idempotency guarantees delivery of synchronous messages exactly once. You configure idempotent services by scheduling a background job that ensures that request messages in SAP NetWeaver Gateway only occur once. To define settings for idempotent services, proceed as follows: 1. In transaction SPRO open the SAP Reference IMG and navigate to: SAP NetWeaver Gateway Former Development Generic Channel Configuration Connection Settings SAP NetWeaver Gateway to Consumer Define Settings for Idempotent Services and click on the Activity icon. 2. Enter the following default values: o For Period Hours in Document the value is 6. o For Period Hours in Document ID the value is 12. 3. Choose Schedule. A message displays confirming that the job has been scheduled. 4. Choose Continue. To check that you have successfully defined the idempotent services settings, carry out the following steps: 1. In transaction SM37 enter SAP_BC_IDP_WS_SWITCH* as the Job name and * as the User name. 2. Choose Execute. A list with all scheduled jobs SAP_BC_IDP_WS_SWITCH_BD and SAP_BC_IDP_WS_SWITCH_BDID is displayed.
  • 157.
    SAP NetWeaver GatewayConfiguration Guide (C) SAP AG SAP NetWeaver Gateway 2.0 SPS08 157 Creating an RFC Destination for the WSIL Service You create an RFC destination for the Web Service Inspection Language (WSIL) service on the SAP NetWeaver Gateway server. Proceed as follows: 1. In transaction SPRO open the SAP Reference IMG and navigate to: SAP NetWeaver Gateway Former Development Generic Channel Configuration Connection Settings SAP NetWeaver Gateway to Consumer Create RFC Destination for WSIL Service. and click on the Activity icon. 2. On the Configuration of RFC Connections page choose Create. 3. In the RFC Destination field, enter IWFND_WSIL_LOCAL_DEST. 4. In the Connection Type field, enter H. 5. In the Description 1 field, enter RFC Destination for WSIL Service. 6. Choose Enter. 7. On tab Technical Settings enter the SAP NetWeaver Gateway host in the Target Host field. 8. In the Service No. field, enter the HTTP port. 9. In the Path Prefix field, enter the path of the local WSIL service, for example, /sap/bc/srt/wsil. Note The WSIL service lists the configuration of all Web Services exposed by the system. The /SAP/BC/SRT/WSIL service must have been activated in transaction SICF. To obtain the WSIL URL, carry out the following steps: 1. Log on to the SAP system you specified as a provider, and enter transaction SICF. 2. Enter WSIL for the Service Name and choose Execute. The WSIL service is now displayed in the HTTP service tree. 3. Double-click on the WSIL entry to obtain its URL. The path for the WSIL service is displayed: /default_host/sap/bc/srt/ The default value for the URL is: http://<host name:port>/sap/bc/srt/wsil 10. Save your settings. To check that you have successfully created an RFC destination for the WSIL, select Connection Test. The test result displayed on the Test Result tab should contain Status HTTP Response 200.
  • 158.
    SAP NetWeaver GatewayConfiguration Guide (C) SAP AG SAP NetWeaver Gateway 2.0 SPS08 158 Assigning the System Alias Pointing to the SAP System You have to specify which content is being enabled by assigning a SAP system alias. You can also activate framework services such as metadata. 1. In transaction SPRO open the SAP Reference IMG and navigate to: SAP NetWeaver Gateway Former Development Generic Channel Administration General Settings Manage GSDO Groups and click on the Activity icon. 2. From the Manage SAP NetWeaver Gateway GSDO Groups table, select the entry for your scenario. 3. In the Dialog Structure section, double-click Assign SAP System Aliases. 4. Choose New Entries. 5. In the SAP System Alias column, use the value help to select the system alias that points to the SAP system on which the service is to be executed. 6. In the User Role column, enter a role that contains users who need to use the content scenario in the system of the SAP system alias. Leave this column empty if all user roles need access. 7. Save your settings. 8. Double-click Manage SAP System Aliases and ensure that the Active checkbox is selected for the SAP NetWeaver Gateway GSDO group you created for your content scenario. If you want to consume metadata information, proceed as follows: 1. Create an RFC destination and an Alias for LOCAL which points to the SAP NetWeaver Gateway system itself. 2. Use built-in Gateway services: the GSDO group is called IWF_FW_SERVICES and it already contains the required GSDO. Therefore, you only need to maintain the SAP system alias. In this case assign LOCAL. As a result you can fetch a list of all Service Documents, for example, http://<server>:<port>/sap/opu/odata/IWFND/MetaDataProcessing/S ervicedocumentCollection/?$format=xml
  • 159.
    SAP NetWeaver GatewayConfiguration Guide (C) SAP AG SAP NetWeaver Gateway 2.0 SPS08 159 Checking SAP System Aliases The Check SAP System Aliases activity verifies the various connections you have configured, including the following: Activity Check Assigned RFC Checks if a system alias has an RFC destination assigned to it. Assigned Web Service provider system Checks if a system alias has a Web Service provider system assigned to it. RFC test Checks if the assigned RFC destinations are functional. To check the configuration for aliases for a SAP system, proceed as follows: In transaction SPRO open the SAP Reference IMG and navigate to: SAP NetWeaver Gateway Former Development Generic Channel Configuration Connection Settings SAP NetWeaver Gateway to SAP System Check SAP System Aliases and click on the Activity icon. A status report of the listed checked items displays. More Information Creating the System Alias for Applications [Page 39]
  • 160.
    SAP NetWeaver GatewayConfiguration Guide (C) SAP AG SAP NetWeaver Gateway 2.0 SPS08 160 Subscription Settings To enable the push scenario [External] you need to carry out the following configuration settings: Maintain Subscription Settings for GSDO Maintain Subscription Routing Maintain RFC Destination to Connectivity Provider Configure Guaranteed Delivery of Notifications You can find all these activities in the SAP NetWeaver Gateway Implementation Guide (IMG) which is available in the system: In transaction SPRO open the SAP Reference IMG and navigate to: SAP NetWeaver Gateway Former Development Generic Channel Configuration Subscription Settings .
  • 161.
    SAP NetWeaver GatewayConfiguration Guide (C) SAP AG SAP NetWeaver Gateway 2.0 SPS08 161 Code List Overview Code List feature enables the content developers to easily create value helps for various fields. Code Values can come from different backend systems or from a single backend system. Code values can also come from different sources like fixed values associated with domain from the QueryCodeList ESA service, or from the value helps defined for BAPI parameters. Currently the code list functionality supports value helps fetched from domains with fixed values, value helps for BAPI parameters as well as value helps fetched from the QueryCode List ESA service. Why do you need this Function In real time business scenarios, it is possible for field, to have a different set of valid values based on the context. For example, while creating a document in CRM, the list of possible values for DocumentType is different from the list of valid DocumentTypes while creating a document in ERP. In addition to this, it is also possible for the source of the possible DocumentTypes to be different in each of these scenarios. For example, the list of valid document types for an ERP document may come from an ESA service, while the list of valid DocumentTypes for a CRM document may come from a domain, i.e. the source of valid values is different depending on the software version. Code List has been developed to cater to these scenarios. What does this function do? For a user to enter a partner role and wants to fetch the list of valid partner roles, the content developer needs to do the following: . Create a User-Centric Gateway Data Model for Partner Roles. See Creating a Gateway Data Model based on the Code List PS model [Page 162] for more information. Create the associated Gateway Consumption Model and then fetch the list of Partner Roles using this Service. See Creating a Gateway Consumption Model based on the Gateway Data Model [Page 239] for more information. The content developer needs to create an Entity Provider class to specify the technical details of the source of the value helps. See Creating Entity Data Provider Class [Page 162] for more information. By using Code List function the target system can be determined based on the configuration entries maintained while registering the OData service for a specific code. See Creating a Gateway Data Model based on the Code List PS model [Page 162] and Creating a Gateway Consumption Model based on the Gateway Data Model [Page 162] for more information
  • 162.
    SAP NetWeaver GatewayConfiguration Guide (C) SAP AG SAP NetWeaver Gateway 2.0 SPS08 162 Code List Usage Using the Code List feature, the content developers can easily create value helps for various fields. For example, to fetch the list of valid partner roles for a consumer when they want to enter a partner role. For this, the content developer needs to first identify the source of the list of valid partner roles, and then by using the Code List feature fetch them for the consumer. Currently the Code List feature supports: Value helps fetched from Domains with fixed values Value helps for BAPI parameters Value helps for fetched from the QueryCodeList ESA service for codes modeled in ESR Creating Entity Data Provider Class Once the source of the value help is identified the content developer should create an Entity Data Provider Class that inherits the abstract Code List Entity Provider class: /IWCNT/CL_CLST_EPRRQ_ABS This class registers the appropriate BOPs based on the source of the value help. The content developer need to override the SET_VALUE_HELP_SOURCE method of the Entity Provider class in order to specify the technical details of the source of the value help. If the value help is fetched from the fixed values of a domain then the following two public static variables need to be set: o MV_SOURCE_NAME = ‘DOMAIN’ o MV_DOMAIN_NAME = Name of the domain If the value help is fetched for a BAPI Parameter then the following eight public static variable of the class need to be set: o MV_SOURCE_NAME = BAPI o MV_BAPI_OBJ_TYPE = BAPI Object Type o MV_BAPI_OBJ_NAME = BAPI Object Name o MV_BAPI_METHOD_NAME = BAPI Method Name o MV_BAPI_PARAM_NAME = BAPI Parameter Name o MV_BAPI_FIELD_NAME = BAPI Field Name o MV_BAPI_CODE_DESC_TABLE = BAPI Code description table o MV_BAPI_CODE_DESC_FIELD = BAPI Code description table field If the value help is fetched from QueryCodeList ESA service, then the following four public static variables need to be set: o MV_SOURCE_NAME = 'ESA' o MV_ESA_CODE_NAME = ESA Code Name o MV_ESA_CODE_TYPE = ESA Code Type
  • 163.
    SAP NetWeaver GatewayConfiguration Guide (C) SAP AG SAP NetWeaver Gateway 2.0 SPS08 163 o MV_ESA_URI_NAMESPACE = ESA URI Namespace Example For Partner Roles, the Entity Provider Class can be named as: IWCNT/CL_CLST_EPRRQ_PROLES The mv_domain_name variable of this class can be set to: /SAPTRX/EV_PARROL And the mv_value_help_source_category variable can be set to: 02 This indicates that the domain with fixed values will be used to fetch the code list in the: SET_VALUE_HELP_SOURCE method of the class This domain name would be used in order to fetch the value help for Partner Roles. Example Value Help Source is Domain In order to fetch the list of valid values for Partner Roles, the following values need to be set in the SET_VALUE_HELP_SOURCE method of the class. MV_VALUE_HELP_SOURCE_CATEGORY = '02' MV_DOMAIN_NAME = ‘/SAPTRX/EV_PARROL’ Example Value Help Source is BAPI Parameter In order to fetch the list of values for title codes from the value help defined for a BAPI Parameter, the following values need to be set in the SET_VALUE_HELP_SOURCE method of the class. MV_VALUE_HELP_SOURCE_CATEGORY = '01' MV_BAPI_OBJTYP = 'BUS1006' MV_BAPI_OBJECT_NAME = 'GETCENTRALDETAIL' MV_BAPI_METHOD = 'GETADDRESSDETAIL' MV_BAPI_PARAM = 'CENTRALDATA' MV_BAPI_FIELD = 'TITLE_KEY' MV_CODE_DESC_TABLE = 'TSAD3T' MV_CODE_DESC_FIELD = 'TITLE_MEDI'
  • 164.
    SAP NetWeaver GatewayConfiguration Guide (C) SAP AG SAP NetWeaver Gateway 2.0 SPS08 164 Example Value Help Source is from QueryCodeList- ESA service MV_VALUE_HELP_SOURCE_CATEGORY = '03' MV_ESA_NAME = 'CountryCode' MV_ESA_TYPE = 'CountryCode' MV_ESA_NAMESPACE = 'http://sap.com/xi/APPL' Registering Code List Backend Connectivity Custom BOP Code List offers two backend connectivity APIs in order to fetch Code List from a domain with fixed values and from a BAPI parameter respectively: /iwcnt/cl_clst_bec_dom /iwcnt/cl_clst_bec_bapi The content developer needs to register instances of these APIs as customer BOPs in the REGISTER_MAPPING_SPECIALISTS method of the Entity Provider Class of the entity for which the Code List needs to be fetched. Once registered, the Code List fetched by the backend connectivity API will be available in IT_PROCESSED_BE_DATA parameter of the mapping specialist classes. Example 1. Registering Backend Connectivity API for fetching Code List for Gender from a Domain with fixed values Implement the following code in the Entity Provider Class: Syntax 1. DATA: ls_mapping_specialist_attr TYPE LINE OF gtyt_map_specialist_attributes. 2. DATA: lo_clst_bec_dom TYPE REF TO /iwcnt/cl_clst_bec_dom. 3. 4. ls_mapping_specialist_attr-execution_mode = /iwcnt/if_common_c=>gc_execution_mode_q. 5. ls_mapping_specialist_attr-bop_type = /iwfnd/if_mgw_bec_bop=>gc_bop_type_custom. 6. 7. CREATE OBJECT lo_clst_bec_dom 8. EXPORTING 9. iv_code_name = 'Gender' 10. iv_domain_name = 'AD_SEX'. 11. 12. ls_mapping_specialist_attr-be_api_ref ?= lo_clst_bec_dom. 13. APPEND ls_mapping_specialist_attr TO et_mapping_specialist_attr. 14.
  • 165.
    SAP NetWeaver GatewayConfiguration Guide (C) SAP AG SAP NetWeaver Gateway 2.0 SPS08 165 Once the backend API has been registered, the Code List can be accessed via the IT_PROCESSED_BE_DATA parameter in the respective mapping specialists. Syntax 15. DATA: ls_processed_be_data LIKE LINE OF it_processed_be_data, 16. lt_gender_codes TYPE /iwcnt/t_clst_attr. 17. FIELD-SYMBOLS:<ls_processed_be_value> Type any. 18. 19. READ TABLE it_processed_be_data INTO ls_processed_be_data 20. WITH KEY name = 'Gender'. 21. IF sy-subrc = 0. 22. ASSIGN ls_processed_be_data-value->* TO <ls_processed_be_value>. 23. lt_gender_codes[] = <ls_processed_be_value> 24. ENDIF. The internal tablelt_gender_codes [][] will now contain the gender codes fetched from the fixed values associated with the domain AD_SEX. 2. Registering Backend Connectivity API for fetching Code List from a BAPI Parameter. Implement the following code to register the Backend Connectivity API for fetching Code List from a BAPI parameter in the REGISTER_MAPPING_SPECIALISTS method of the entity provider class. Syntax 1. DATA: ls_mapping_specialist_attr TYPE LINE OF gtyt_map_specialist_attributes. 2. DATA: lo_clst_bec_bapi TYPE REF TO /iwcnt/cl_clst_bec_bapi. 3. ls_mapping_specialist_attr-execution_mode = /iwcnt/if_common_c=>gc_execution_mode_q 4. ls_mapping_specialist_attr-bop_type = /iwfnd/if_mgw_bec_bop=>gc_bop_type_custom. 5. 6. CREATE OBJECT lo_clst_bec_bapi 7. EXPORTING 8. iv_code_name = 'TitleCode' 9. iv_bapi_obj_type = 'BUS4001' 10. iv_bapi_obj_name ='ADDRESSORG' 11. iv_bapi_method = 'FindDetail' 12. iv_bapi_param = 'BAPIAD1VL' 13. iv_code_desc_field = 'TITLE_MEDI' 14. iv_code_desc_table = 'TSAD3T' 15. iv_bapi_field = 'TITLE' 16. ls_mapping_specialist_attr-be_api_ref ?= lo_clst_bec_bapi. 17. APPEND ls_mapping_specialist_attr TO et_mapping_specialist_attr. 18. Once the backend API are registered, Code List can be accessed via the IT_PROCESSED_BE_DATA parameter in the respective mapping specialists.
  • 166.
    SAP NetWeaver GatewayConfiguration Guide (C) SAP AG SAP NetWeaver Gateway 2.0 SPS08 166 Syntax 19. DATA: ls_processed_be_data LIKE LINE OF it_processed_be_data, 20. lt_gender_codes TYPE /iwcnt/t_clst_attr. 21. FIELD-SYMBOLS:<ls_processed_be_value> Type any. 22. 23. READ TABLE it_processed_be_data INTO ls_processed_be_data 24. WITH KEY name = 'TitleCode'. 25. IF sy-subrc = 0. 26. ASSIGN ls_processed_be_data-value->* TO <ls_processed_be_value>. 27. lt_title_codes[] = <ls_processed_be_value> 28. ENDIF. The internal table lt_title_codes[] will now contain the Title codes fetched from the value help associated with the BAPI parameter. Creating Code List Model The Code List PS model is a very simple model that has two properties namely Code and Text. The property Code is marked as the key of the model and is also the only filterable property of the model. The PS model created for Code List is: /IWCNT/MGW_CODE LIST _0001_PS Once the source of the value help has been specified in the Entity Provider class, the content developer should create a Gateway UC data model based on /IWCNT/MGW_CODE LIST _0001_PS Example A UC model for Partner roles can be named /IWCNT/PARTNER_ROLES_0001_UC and this model would be created with reference to /IWCNT/MGW_CODE LIST _0001_PS. Registration The Entity Provider Class /IWCNT/CL_CLST_EPRRQ_PROLES and the Gateway Consumption model /IWCNT/PARTNER_ROLES_0001_UC is then registered in the transaction: SPRO SAP Customizing Implementation Guide SAP NetWeaver Gateway OData Channel Development without IW_BEP Registration Assign Data Provider to the Data Model . Additional customizing in order to assign the system alias and the GSDO group would also need to be done. See Customizing the SAP NetWeaver Gateway System for more information. Creating Gateway Data Model based on the Code List PS Model To create a Data Model based on the Code List PS Model proceed as follows: 1. Logon to the Gateway system.
  • 167.
    SAP NetWeaver GatewayConfiguration Guide (C) SAP AG SAP NetWeaver Gateway 2.0 SPS08 167 2. Open Object Navigator (transaction se80). 3. Choose GW Data Model from the drop-down list. 4. Enter a name for the GW Data Model. The GW Data Model name should follow the convention “<namespace><name>_<version>_UC” The version must be 4 characters long with leading zeros. Example /IWCNT/PARTNER_ROLES_0001_UC 5. Click Display and choose Yes in the Create Data Model window. 6. Choose Existing Data Model in the Create From pane. 7. Enter the following information for the model: o Name as/IWCNT/MGW_CODE LIST o Type as PS o Version as 0001 8. Set labels, external names, descriptions for the fields in the Gateway Data Model. Adding the Code List Gateway Data Model to an existing Gateway Consumption Model To create Gateway Consumption Model based on the Gateway Data Model: 1. Logon to the Gateway system. 2. Open Object Navigator (transaction se80). 3. Choose GW Consumption Model from the drop down list. 4. Enter the name of an existing Gateway Consumption Model. 5. Right click the Gateway Consumption Model and choose Add GW Data Model. 6. Specify the Gateway Data Model created in the Creating Gateway Data Model based on the Code List PS model. Now the Code List collection for the specific code will be added to the existing Gateway Consumption model Note The above steps should be performed for each code.
  • 168.
    SAP NetWeaver GatewayConfiguration Guide (C) SAP AG SAP NetWeaver Gateway 2.0 SPS08 168 Customizing the SAP NetWeaver Gateway System for Code List In order to maintain the configuration entries for Code List the Entity Provider class, the Gateway Data Model and the Gateway Consumption model should be created. Refer to Usage of Code List for more details. Note All the screenshots shown below are samples only. The actual customizing entries will depend on the Gateway Data Model, the Gateway Consumption Model and the GSDO group that will be created by the content developer for a Code List implementation. The screenshots below are based on the examples mentioned in the Usage of Code List section. To configure the SAP NetWeaver Gateway systems for Code List: 1. In the SPRO transaction SAP Customizing Implementation Guide SAP NetWeaver Gateway Former Development OData Channel Development without IW_BEP Registration Assign Data Provider to the Data Model . Example For Partner Roles Code List, the Model Identifier should be set to/IWCNT/PARTNER_ROLES_0001_UC and the Class/Interface should be set to /IWCNT/CL_CLST_EPRRQ_PROLES. 2. In the SPRO transaction SAP Customizing Implementation Guide SAP NetWeaver Gateway Former Development OData Channel Development without IW_BEP Registration Assign SAP System Aliases to OData Service . Note The above image is just a sample. Configure the existing Gateway Consumption model (as explained under Adding the Code List Gateway Data Model to an existing Gateway Consumption Modelin the Code List Usage [Page 162]chapter.
  • 169.
    SAP NetWeaver GatewayConfiguration Guide (C) SAP AG SAP NetWeaver Gateway 2.0 SPS08 169 Code List Cache Cleanup Functional Overview The cache cleanup functionality cleans the code list cache tables for the OData channel which are maintained in the Gateway system. This functionality can be used by the administrator to clear the cache data either periodically or whenever required by refreshing the cache data. The cached data can be deleted based on the created by user(s) and time restrictions. To delete the code list cache for the OData Channel proceed as follows: 1. In the SPRO transaction, expand SAP Customizing Implementation Guide SAP NetWeaver Gateway OData Channel Administration Cache Settings Cleanup Cache and Persistency 2. Specify User(s) if you want to delete the entries cached by a specific user or users. 3. Specify the cleanup scenario as /IWCNT/CL_CODELIST_CLEANUP_MGW. 4. Specify the time restriction if needed. 5. Execute. Note Uncheck the Execute in Test Mode checkbox in order to delete the cached value helps from the Codelist Cache tables.
  • 170.
    SAP NetWeaver GatewayConfiguration Guide (C) SAP AG SAP NetWeaver Gateway 2.0 SPS08 170 Configuration Settings for Generic Channel Scenarios Recommendation We strongly recommend using the OData Channel (ODC) programming paradigm for all SAP NetWeaver Gateway development. Depending on your use case, either use embedded deployment or central hub deployment. For more information, see Deployment Options [External]. If you want to use OData Channel, either use backend OData Channel or hub OData Channel with software component IW_BEP. Following are the SAP NetWeaver Gateway Generic Channel supported scenarios: Generic Channel Scenarios Configuration Settings Customer Relationship Management (CRM) [External] Settings for Customer Relationship Management on SAP NetWeaver Gateway [Page 171] Reporting Management [External] Settings for Reporting Management on SAP NetWeaver Gateway [Page 188] Human Capital Management [External] Settings for Human Capital Management on SAP NetWeaver Gateway [Page 211] Code List [External] Settings for Code List on the SAP NetWeaver Gateway System [Page 230]
  • 171.
    SAP NetWeaver GatewayConfiguration Guide (C) SAP AG SAP NetWeaver Gateway 2.0 SPS08 171 Settings for Customer Relationship Management on SAP NetWeaver Gateway SAP NetWeaver Gateway Customer Relationship Management (CRM) application is a comprehensive solution for managing your customer relationships from any device or platform. Creating Roles You must create roles for SAP CRM and assign these roles to the CRM GSDO group. The CRM SAP NetWeaver Gateway users should be assigned to these roles so that they can use SAP NetWeaver Gateway services. For this: 1. Identify the list of SAP CRM systems on which the functionality should be accessible by SAP NetWeaver Gateway. 2. Create system alias for each of these systems. 3. For each of these systems, define a role for which the administrator should assign the list of users (who has access to execute the functionality) Note 1. You must be an SAP NetWeaver Gateway administrator or have an SAP user administrator to create the roles. 2. The roles must be defined/created on the SAP NetWeaver Gateway server. 3. If there is only one SAP CRM system and all the users on SAP NetWeaver Gateway should be able to access CRM functionality on this SAP CRM system, then role creation and assigning of roles to GSDO groups is optional but this is not recommended. To create roles, proceed as follows: 1. Open transaction pfcg in the SAP NetWeaver Gateway system. 2. Enter a name for the role in the Role field. 3. Choose Single Role. 4. Save the Role. 5. Choose the Authorization tab. 6. Choose Change Authorization. 7. Choose the template mentioned in the Role Templates section. 8. Choose Generate to create a new role. For information on changing roles, see Changing Standard Roles [External].
  • 172.
    SAP NetWeaver GatewayConfiguration Guide (C) SAP AG SAP NetWeaver Gateway 2.0 SPS08 172 Role Template Use the predefined role templates mentioned in the table below to create user roles for SAP NetWeaver Gateway CRM: Template Name Template For /IWCNT/RT_USER_ACT SAP NetWeaver Gateway CRM Activity Management /IWCNT/RT_USER_ACCNT SAP NetWeaver Gateway CRM Accounts /IWCNT/RT_USER_CONT SAP NetWeaver Gateway CRM Contacts Authorization The user must have the following authorizations to access SAP NetWeaver Gateway system to use the CRM Scenarios: Service Authorization Object Authorization Values /IWCNT/SG_ACTIVITY_0001 S_SERVICE SRV Name – A3CB8ED503F16F11D97BEA06BB41E0 SRV Type – HT S_TCODE TCD – SICF /IWCNT/BP_ACCOUNT_0001 S_SERVICE SRV NameA8172704E2C058CDF94DD331FDB141 SRV Type-HT S_TCODE TCD – SICF /IWCNT/BP_CONTACT_0001 S_SERVICE SRV NameF3B52FB30DB35EC0A377ADD15084C9 SRV Type-HT S_TCODE TCD – SICF While creating role templates in the SAP CRM system, include the following authorization objects: CRM Service Authorization Object Field Field Value CRM Activity S_RFC RFC_TYPE FUGR RFC_NAME BAPT CRM_ACTIVITYCRM_BAPI CRM_BUSPROCESSND_BAPI
  • 173.
    SAP NetWeaver GatewayConfiguration Guide (C) SAP AG SAP NetWeaver Gateway 2.0 SPS08 173 CRM_OSP_HELPER_TOOLS COM_BUPA_USER_REGISTRATION ACTVT 16(Execute) CRM Business Partner (Accounts and Contacts) S_RFC RFC_TYPE FUGR RFC_NAME CRM_BSP_BP_PRINT COM_BUPA_USER_REGISTRATION BUPA_TAX_BAPI BUPA_INTERFACE_LONGTEXTS BUPA_HOURS_BAPI BUBA_3 BFHV BAPT ACTVT 16 S_SERVICE SRV_NAME CF56155FF3F9AEB85ED804FEEFE180 SRV_TYPE HS CRM Attachments S_RFC RFC_TYPE FUGR RFC_NAME SKWF_UTIL CRM_KW_DOCUMENTS SKWF_IO ACTVT 16 The user must have the following authorizations in the SAP NetWeaver Gateway system to access SAP NetWeaver Gateway services for CRM: CRM Service Authorization Object Field Field Value CRM Activity S_SERVICE SRV_NAME A3CB8ED503F16F11D97BEA06BB41E0 SRV_TYPE HT CRM Accounts S_SERVICE SRV_NAME A8172704E2C058CDF94DD331FDB141 SRV_TYPE HT
  • 174.
    SAP NetWeaver GatewayConfiguration Guide (C) SAP AG SAP NetWeaver Gateway 2.0 SPS08 174 CRM Contacts S_SERVICE SRV_NAME F3B52FB30DB35EC0A377ADD15084C9 SRV_TYPE HT Settings in the SAP NetWeaver Gateway System You need to perform the following customizing settings in the SAP NetWeaver Gateway system: Creating SAP system aliases Assigning roles to a GSDO group Assigning SAP system aliases to a GSDO group Note The configurations mentioned below must be carried out for CRM activity, accounts and contacts. Creating System Alias for Applications Proceed as follows: 1. In transaction SPRO open the SAP Reference IMG and navigate to: SAP NetWeaver Gateway Former Development Generic Channel Configuration Connection Settings SAP NetWeaver Gateway to SAP System Manage SAP System Aliases and click the Activity icon. 2. Choose New Entries. 3. Enter the following details for the system alias: Field Description SAP System Alias Name of the system alias. Description Descriptive text for the system alias. Local GW Leave unchecked if the CRM system is not on the same system as the SAP NetWeaver Gateway system. Check it if the CRM system is on the same system as the SAP NetWeaver Gateway system. RFC Destination Specify the RFC destination defined for your SAP system, for example, BKDCNT200. WS Provider System o If you are using SAP CRM 7.0, leave the field blank. o If you are using SAP CRM 6.0, you can: 1. Leave the field blank if you are using BAPI based connection (We recommend you to use BAPI based connection).
  • 175.
    SAP NetWeaver GatewayConfiguration Guide (C) SAP AG SAP NetWeaver Gateway 2.0 SPS08 175 Field Description 2. Choose a provider system if you are using ESA services. For information on configuring a provider system, see Configuring a GSDO to Connect to the SAP CRM system [Page 176]. Software Version Enter CRM_6.0 or CRM_7.0 according to the CRM version you are using. 4. Save your settings. Assigning Roles to a GSDO Group Proceed as follows: 1. In transaction SPRO open the SAP Reference IMG and navigate to: SAP NetWeaver Gateway Former Development Generic Channel Administration General Settings Manage GSDO Groups and click the Activity icon. 2. Select the GSDO Group (IWACT for CRM Activity and IWBPC for CRM Accounts and Contacts), from the Manage GSDO Groups list. 3. Choose Assign User Roles on the dialog structure. 4. Choose New Entries. 5. Enter the role name in the Assign User Roles column. For example, ZRole. 6. Save your settings. Assigning SAP System Aliases to a GSDO Group Proceed as follows: 1. In transaction SPRO open the SAP Reference IMG and navigate to: SAP NetWeaver Gateway Former Development Generic Channel Administration General Settings Manage GSDO Groups and click the Activity icon. 2. Select the GSDO Group (IWACT for CRM Activity and IWBPC for CRM Accounts and Contacts), from the Manage GSDO Groups list. 3. Choose Assign SAP System Aliases on the dialog structure. 4. Choose New Entries. 5. Enter the role name created above ZRole in the User Role column. 6. Press F4 to select a system alias in the SAP System Alias column. 7. Save your settings.
  • 176.
    SAP NetWeaver GatewayConfiguration Guide (C) SAP AG SAP NetWeaver Gateway 2.0 SPS08 176 Configuring GSDO to Connect to the SAP CRM System This section provides the basic configurations required to connect the SAP NetWeaver Gateway to the SAP CRM 6.0 system. Applications running on the GSDO use web services to call the SAP systems. Therefore, the applications have proxies that are shipped with the GSDO. These proxies are grouped in service groups. Each service group can be configured to point to one or many SAP systems. The actual system that is used is determined at runtime via the destination finder. Applications bundle proxies to service groups in a granularity that matches the way the web services are offered by the SAP systems. For example, if an SAP system offers the web service Get Employee, it also offers the web service Create Employee, as they belong to the same deployment unit. A granularity of the service groups has been chosen that matches the entities offered by the GSDO and the deployment units of web services of the SAP systems. This way it is possible to easily configure all web services that belong to the entity Employee as a unit (mass configuration) instead of configuring each proxy one by one. The following configurations have to be done on SAP CRM system and SAP NetWeaver Gateway system: SOA Management configurations on the SAP CRM system [Page 177] SOA Management configurations on the SAP NetWeaver Gateway system [Page 181]
  • 177.
    SAP NetWeaver GatewayConfiguration Guide (C) SAP AG SAP NetWeaver Gateway 2.0 SPS08 177 SOA Management Configurations on SAP CRM System The configurations to be carried out in the SAP CRM system via the transaction SOAMANAGER is detailed in this section. Note SAP CRM system is also referred to as provider system here. SOA Management configurations on the provider system include: Creating a New Profile in the Provider System [Page 178] — A profile that contains general configuration on security and transport systems for the entire landscape. Configuring Provider Systems [Page 179] — Provider systems, to indicate which SAP systems are called. This can be compared with RFC destinations.
  • 178.
    SAP NetWeaver GatewayConfiguration Guide (C) SAP AG SAP NetWeaver Gateway 2.0 SPS08 178 Creating a New Profile in the Provider System A profile is general configuration of security and transport aspects. For web service communications, the provider and the consumer have to use the same profile so that the calling system uses the exact authentication, encryption, and other settings that are offered by the provider system. A profile is created once, distributed to all relevant servers in a landscape, and then used for the configuration of each web service on the provider and consumer side. Note If you are using SAP Basis release 700, it is not possible to use Mass Configuration for the services of that system. In such case, you need to manually create logical ports. Creating and Distributing a New Profile 1. In the SAP CRM system go to transaction SOAMANAGER, choose Technical Configuration Profile Management . 2. Choose Create. 3. Enter a profile name in the Profile Name field under the Profile Properties section. 4. Check for the settings for reliable messaging, transport binding and authentication that fulfill the needs of your company and landscape. The selected authentication method must support single sign-on. This may also require trust to be configured between the GSDO and the SAP systems. 5. Save and activate the profile. 6. Select the new profile you have created, and choose Export to export it to a file. Note If you do not have the option to export the files, you need to create logical ports manually on the consumer system. 7. Log on to all relevant systems in the landscape, go to transaction SOAMANAGER, and import the profile. Note If you want to change a profile, you must create a new version of it. By activating a new version, the provider system [Page 179] and all other pieces of configuration that use the profile still use an old version. You must go to the configuration of each provider system and configure it to use the new version of the profile. You must also reactivate all dependent objects as required. This has to be done in all systems in the landscape after the distribution of the new profile version.
  • 179.
    SAP NetWeaver GatewayConfiguration Guide (C) SAP AG SAP NetWeaver Gateway 2.0 SPS08 179 Configuring Provider Systems A provider system is the SAP CRM system being used. Web services called by the GSDO have to be exposed using the profile created. Web services are exposed via endpoints. To enable mass configuration on the consumer side, the endpoints have to be created using a Business Scenario. Creating Endpoints using a Business Scenario For creating endpoints using a business scenario, proceed as follows: 1. In the SAP CRM system go to transaction SOAMANAGER, choose Business Administration Mass Configuration . 2. Choose Create, enter configuration scenario name and description. 3. Choose the Provide tab and choose Add 4. Enter CRM_BPBASICDATABYNAMEADDRQR in the Search Pattern field, choose Both Names from the Field and click Go. 5. Choose the service from the list and click Add to Worklist. Note If you have the option to import the Mass Configuration/Business Scenario XML file, see SAP Note 1585723 for the procedure to import the XML files. 6. Choose the provider added and click Assign. 7. Choose a profile from the Profiles sections and click Assign to Service. 8. Save and activate the configuration scenario. 9. Click Back and go to Activation Request Management. 10. Choose Check for Updates. 11. Choose Start Activation for creating end points. Checking the Endpoints Created For checking the endpoints created, proceed as follows: 1. In the SAP CRM system go to transaction SOAMANAGER, choose Business Administration Web Service Administration . 2. Search for the service that has been previously added to the business scenario. 3. Select the service from the list and choose Apply Selection. 4. Choose the Configurations tab. All endpoints and services are listed here. Endpoints are displayed here with a GUID as ID, and the Creation Type field is set to Created based on the profile. 5. Choose Display to see its configuration.
  • 180.
    SAP NetWeaver GatewayConfiguration Guide (C) SAP AG SAP NetWeaver Gateway 2.0 SPS08 180 WSDL for the Endpoints To see the WSDL for the endpoint, proceed as follows: 1. Choose Overview tab. 2. Select a binding from the drop-down box. 3. Choose Open WSDL document for selected binding.
  • 181.
    SAP NetWeaver GatewayConfiguration Guide (C) SAP AG SAP NetWeaver Gateway 2.0 SPS08 181 SOA Management Configurations on SAP NetWeaver Gateway System This section provides the configurations to be carried out in the SAP NetWeaver Gateway system via the transaction SOAMANAGER. Note SAP NetWeaver Gateway system is also referred to as consumer system here. SOA Management configurations on the consumer system include: Creating a Provider System in the Consumer System [Page 182] — The service groups, to determine which SAP systems may be called per service group from the GSDO (acting as the consumer). User Account Management [Page 184] — User Account Management, for authentication settings when calling an SAP system.
  • 182.
    SAP NetWeaver GatewayConfiguration Guide (C) SAP AG SAP NetWeaver Gateway 2.0 SPS08 182 Creating a Provider System in the Consumer System When calling a provider system, a profile has to be specified. Use the profile created and distributed in the Creating a New Profile in the Provider System [Page 178] section. If the profile used in the GSDO is not present in a provider system, mass configuration of the web service proxies in service groups is not possible. In this case, each web service proxy can be configured one by one. You can create logical ports manually, see Creating a Fallback Configuration [External]. Creating a Provider System 1. In the SAP NetWeaver Gateway system go to transaction SOAMANAGER choose Technical Administration System Connections . 2. Choose New. Enter a name and description for the provider system. Note The name of the Provider system and the name of the WS Provider System (mentioned in section Creating System Alias for Applications [Page 171]) should be same. 3. Choose the profile you created as mentioned in the section Creating a New Profile in the Provider System [Page 178]. 4. Choose Next. 5. If your SAP system is listed in the SLD Identifier field, select it, else enter a name for your SAP system that uniquely identifies it. 6. Enter the URL for WSIL (Web Service Inspection Language) of your SAP system. The default value for the URL is http://<host:port>/sap/bc/srt/wsil?sap-client=<client>. You can also obtain a URL, follow the procedure below. For obtaining a URL to configure WSIL, proceed as follows: 1. Log on to the provider SAP system you created. 2. Go to transaction SICF. 3. Enter SERVICE for the Type Hierarchy. 4. Enter WSIL for Service Name. 5. Choose Execute. Note The WSIL service lists the configuration of all web services exposed by the system. Logical ports can be created using SOAMANAGER automatic configuration, which either uses Service registry (If configured) or WSIL to retrieve WSDL and corresponding endpoints. If you do not have Service registry in your landscape you must provide WSIL details while configuring the provider system in consumer system SOAMANAGER (in System Connection). 7. Enter the user, password for WSIL and choose Next.
  • 183.
    SAP NetWeaver GatewayConfiguration Guide (C) SAP AG SAP NetWeaver Gateway 2.0 SPS08 183 8. Choose New, in the Systems Connections Wizard. 9. Enter a name in the Application Name field and provide a description. 10. An external key is required that identifies the provider system. Perform the steps given below to get an external key. To obtain the external key of a provider system, proceed as follows: 1. In the provider system go to transaction SOAMANAGER choose Technical Administration Global System Settings . 2. If no external identifier is displayed, enter an organization name and business system. 3. Save your settings. An external identifier is now generated. Note For releases lower than SAP Basis 701 this GUID is not available. If this is the case, you cannot use mass configuration on the consumer side for the services of that system. Proceed as follows: Enter any unique ID in the External Key field. Proceed with the configuration of the business scenario. The activation of the scenario fails. Create the logical ports manually (see section Check the logical ports you have created below). 11. Choose a configuration that suits your requirements and landscape setup like, authentication method and secure communication.
  • 184.
    SAP NetWeaver GatewayConfiguration Guide (C) SAP AG SAP NetWeaver Gateway 2.0 SPS08 184 User Account Management User accounts have to be configured with the kind of user authentication that takes place when the GSDO calls web services on the SAP system. The following three options are offered: Business User: The user logged on to the SAP NetWeaver Gateway logs on the SAP system using their own user and credentials. Anonymous user: SAP system is called with an anonymous user. Service User: SAP system is called with a predefined service user. For setting up the communication from the SAP NetWeaver Gateway to the provider systems, only the Business User option is required. Configuring User Accounts To configure user accounts, proceed as follows: 1. In the SAP NetWeaver Gateway system go to transaction SOAMANAGER, choose Service Administration User Account Management . 2. Choose New, enter a name and description for the user account. 3. Choose Next, select Business User for Account Type. 4. Choose Finish and activate the account. 5. Choose Account Assignment tab. 6. Choose New to create a new interface assignment. 7. Choose the business application that was created when creating the Provider Systems [Page 179]. 8. Choose the check box Assign to all services within this business application. 9. Choose Next. 10. Choose the account you created. 11. Choose Finish. Configuring the Consumption Model using the Business Scenario 1. In the SAP NetWeaver Gateway system go to transaction SOAMANAGER choose Service Administration Business Scenario Configuration . 2. Choose New to create a new configuration scenario. 3. Enter a name and description for the business scenario. 4. Choose Next. This skips the step to configure the provider side. 5. Choose Add to add a service group to the work list.
  • 185.
    SAP NetWeaver GatewayConfiguration Guide (C) SAP AG SAP NetWeaver Gateway 2.0 SPS08 185 6. Enter /IWCNT/SG_BUSINESS_PARTNER in the Search Pattern field, choose Both Names from the Field and click Go. 7. Choose the service group from the list and click Add To Worklist. 8. One service group (one set of web service consumer proxies) may point to many provider systems. Perform the following steps for each provider system. 1. Select the service group. 2. Choose Assign Business Application. 3. Choose the business application that was created when creating the Provider Systems [Page 179], click Assign To Service Group. 9. Choose Finish and activate the configuration scenario. 10. Choose Check for Updates to monitor or trigger the creation of logical ports for each web service consumer proxy and provider system. Note For the procedure on creating logical ports manually, see Creating a Fallback Configuration [External]. Checking the Logical Ports Created 1. In the SAP NetWeaver Gateway system go to transaction SOAMANAGER choose Service Administration Single Service Configuration . 2. Choose ServiceGroup in the Search by field, enter /IWCNT/SG_BUSINESS_PARTNER in the Search Pattern field, choose Both Names from the Field and click Go. 3. Search for the service group that has been configured previously. 4. To see the details for a service group, click the arrow next to the label to open up the tree. On the first hierarchy level, all configured provider systems are listed. On the second hierarchy level, the proxies are listed. 5. To see the details of a proxy, select it and click Apply Selection. 6. Go to the Configurations tab. A logical port is listed that has the Creation Type value set to Created based on profile 7. Choose Ping web service to check the configuration. If no logical port is listed, or it is not possible to create logical ports via the business scenario, you can manually create a logical port as mentioned below: Choose Create Logical Port. Choose a name and description. Enter the URL to a WSDL or select a file. To obtain the URL of a WSDL, see Checking the created endpoints section in Creating a New Profile in the Provider System [Page 179].
  • 186.
    SAP NetWeaver GatewayConfiguration Guide (C) SAP AG SAP NetWeaver Gateway 2.0 SPS08 186 Configuring the Destination Finder The provider systems configured from the transaction SOAMANAGER have to be entered in the configuration of the Destination Finder so that during runtime, the GSDO can select the right provider system for a given system alias. 1. In the transaction SPRO open the SAP Reference IMG and navigate to: SAP NetWeaver Gateway Former Development Generic Channel Configuration Connection Settings SAP NetWeaver Gateway to SAP System Manage SAP System Aliases 2. Enter a WS provider system in the WS Provider System field, which should be the same as Provider System [Page 179] created in the consumer system.
  • 187.
    SAP NetWeaver GatewayConfiguration Guide (C) SAP AG SAP NetWeaver Gateway 2.0 SPS08 187 Settings for Reporting Management The following settings must be performed for Reporting Management: Settings for Reporting on SAP NetWeaver Gateway [Page 188] Configuring Subscriptions for Report Results [Page 192] Settings for Reporting Administration [Page 193]
  • 188.
    SAP NetWeaver GatewayConfiguration Guide (C) SAP AG SAP NetWeaver Gateway 2.0 SPS08 188 Settings for Reporting Management on SAP NetWeaver Gateway SAP NetWeaver Gateway Reporting Management application is a comprehensive solution for accessing SAP NetWeaver BI (Business Intelligence) and SAP ERP reports from any device or platform. Creating Roles You must create roles for Reporting Management and assign these roles to the Reporting Management GSDO group. The Reporting Management users should be assigned to these roles so that they can receive report templates and can execute the reports. For this: 1. Identify the list of SAP ERP and BI systems (for Reporting Management) on which the functionality should be accessible by SAP NetWeaver Gateway. 2. Creating system alias for each of these systems. 3. For each of these systems, define a role for which the administrator should assign the list of users (who has access to execute the functionality). Note 1. You must be an SAP NetWeaver Gateway administrator or have an SAP user administrator to create the roles. 2. The roles must be defined/created on the SAP NetWeaver Gateway server. 3. If there is only one SAP ERP or BI system and all the users on SAP NetWeaver Gateway should be able to access Reporting Management functionality on this system then role creation and assigning of roles to GSDO groups is optional but this is not recommended. To create roles, proceed as follows: 1. Open transaction pfcg in the SAP NetWeaver Gateway system. 2. Enter a name for the role in the Role field. 3. Choose Single Role. 4. Save the Role. 5. Choose the Authorization tab. 6. Choose Change Authorization. 7. Choose the template mentioned in the Role Templates section. 8. Choose Generate to create a new role. For information on changing roles, see Changing Standard Roles [External].
  • 189.
    SAP NetWeaver GatewayConfiguration Guide (C) SAP AG SAP NetWeaver Gateway 2.0 SPS08 189 Role Templates Use the predefined role templates mentioned below to create user roles for SAP NetWeaver Gateway Reporting Management. /IWCNT/RT_ADMIN_REP /IWCNT/RT_USER_REP Authorization The user must have the following authorizations in the SAP NetWeaver Gateway system to access SAP NetWeaver Gateway services for Reporting Management: Authorization Object Field Field Values S_SERVICE SRV_NAME 4268DA7530FAD3798A64BA7232FC0D SRV_TYPE HT S_RFC RFC Name /IWCNT/RFC_REPORT_RESULT_SET RFC Type- FUGR, FUNC ACTVT 16 S_TCODE TCD-SICF While creating role template in the SAP ERP/BW system, include the authorizations provided in the table below. The user must have these authorizations in the SAP Reporting Management systems (ERP/BW) to access SAP NetWeaver Gateway services for Reporting Management: Reporting Management System Authorization Object Field Field Value SAP ERP system S_RFC RFC_TYPE FUGR RFC_NAME /OSP/R3_REPORT ACTVT 16 SAP BI system S_RFC RFC_TYPE FUGR RFC_NAME /OSP/BW_REPORT ACTVT 16 Settings in the SAP NetWeaver Gateway System You need to perform the following customizing settings in the SAP NetWeaver Gateway system: Creating SAP system aliases Assigning roles to a GSDO group Assigning SAP system aliases to a GSDO group
  • 190.
    SAP NetWeaver GatewayConfiguration Guide (C) SAP AG SAP NetWeaver Gateway 2.0 SPS08 190 Creating SAP System Aliases 1. In transaction SPRO open the SAP Reference IMG and navigate to: SAP NetWeaver Gateway Former Development Generic Channel Configuration Connection Settings SAP NetWeaver Gateway to SAP System Manage SAP System Aliases and click the Activity icon. 2. Choose New Entries. 3. Enter the following details for the system alias: Field Description SAP System Alias Name of the system alias. Description Descriptive text for the system alias. For example, . Local GW Leave unchecked if the Reporting Management system is not on the same system as the SAP NetWeaver Gateway system. Leave it checked it if the Reporting Management system is on the same system as the SAP NetWeaver Gateway system. RFC Destination Specify the RFC destination defined for your SAP system, for example, BKDCNT200. WS Provider System Leave it blank. Software Version ERP, BW or DEFAULT depending on the Reporting system you are using. 4. Save your settings. Assigning Roles to a GSDO Group Proceed as follows: 1. In transaction SPRO open the SAP Reference IMG and navigate to: SAP NetWeaver Gateway Former Development Generic Channel Administration General Settings Manage GSDO Groups and click the Activity icon. 2. Select the GSDO Group (IWREPT, IW_SD_REPT or IWRPMD), from the Manage GSDO Groups list. 3. Choose Assign User Roles on the dialog structure. 4. Choose New Entries. 5. Enter the role name in the Assign User Roles column. For example, ZMANAGER. 6. Save your settings.
  • 191.
    SAP NetWeaver GatewayConfiguration Guide (C) SAP AG SAP NetWeaver Gateway 2.0 SPS08 191 Assigning SAP System Aliases to a GSDO Group Proceed as follows: 1. In transaction SPRO open the SAP Reference IMG and navigate to: SAP NetWeaver Gateway Former Development Generic Channel Administration General Settings Manage GSDO Groups and click the Activity icon. 2. Select the GSDO Group (IWREPT, IW_SD_REPT or IWRPMD), from the Manage GSDO Groups list. 3. Choose Assign SAP System Aliases on the dialog structure. 4. Choose New Entries. 5. Enter the role name created above ZMANAGER in the User Role column. 6. Press F4 to select a system alias in the SAP System Alias column. 7. Save your settings.
  • 192.
    SAP NetWeaver GatewayConfiguration Guide (C) SAP AG SAP NetWeaver Gateway 2.0 SPS08 192 Configuring Subscriptions for Report Results Subscription is required to get the report results upon execution of a Report. You need to configure subscription settings for GSDO. Proceed as follows: 1. In transaction SPRO open the SAP Reference IMG and navigate to: SAP NetWeaver Gateway Former Development Generic Channel Configuration Subscription Settings Maintain Subscription Settings for GSDO and click the Activity icon. 2. Choose New Entries. 3. Enter the following details in the Maintain Subscription Settings for GSDO screen: Field Description GSDO Type IWCNT~OM_REPORT_RESULT_SET SAP System Alias Name of the SAP NetWeaver Gateway system alias. Event Group ID REPORT_RESULT_NOTIF Description Event for Report Result Set XNotification Type IWCNT~OM_REPORT_PUSH_NOTIF No Backend Check this option. 4. Save your settings.
  • 193.
    SAP NetWeaver GatewayConfiguration Guide (C) SAP AG SAP NetWeaver Gateway 2.0 SPS08 193 Settings for Reporting Administration The following configurations must be performed on the Reporting Administrator IMG to retrieve the data requested by the users: Manage Source Systems, Report Types and Formats [Page 194] Manage Reports and their Properties [Page 196] Manage Categories [Page 205] Manage Context Variables [Page 206] Configure System Time points [Page 208] Manage System Time points and Data Change Events [Page 209]
  • 194.
    SAP NetWeaver GatewayConfiguration Guide (C) SAP AG SAP NetWeaver Gateway 2.0 SPS08 194 Managing Source Systems, Report Types and Formats Manage Source Systems, Report Types and Formats activity allows you to maintain report source systems, types, and delivery formats. The source systems, report types and formats you maintain here are displayed in the customizing activity Manage Reports and their Properties. Maintaining Report Delivery Formats To maintain report delivery formats, proceed as follows: 1. In transaction SPRO open the SAP Reference IMG and navigate to: SAP NetWeaver Gateway Content Reporting Administration Peripheral Settings Manage Source Systems, Report Types and Formats and click the Activity icon. 2. Choose New Entries to define a new format. Field Description Report Delivery Format Enter the format in which the report should be delivered. File Type Delivery Format Description Enter a description for the delivery format. 3. Save your settings. Maintaining Source Systems, Report Types and Report Formats To maintain source systems, report types and report formats, proceed as follows: 1. In transaction SPRO open the SAP Reference IMG and navigate to: SAP NetWeaver Gateway Content Reporting Administration Peripheral Settings Manage Source Systems, Report Types and Formats and click the Activity icon. 2. Select a report delivery format from the Delivery Formats section and double-click Manage Source Systems. The page displays the source systems for reports that have been defined. 3. Select a report source type and double-click Manage Report Types. The page displays the report types that have been configured for the source system. 4. Choose New Entries to define a new report type. Enter a name and description for the report type. 5. Save your settings. 6. In the Manage Report Types view, select a row and double-click Manage Formats. The page lists all report formats that have been defined for the report type. 7. Choose New Entries to specify a new format. Field Description Report Delivery Format Select a delivery format here. The formats you have configured in the Delivery Formats view is displayed here. Delivery Format Description Enter a description for the delivery format.
  • 195.
    SAP NetWeaver GatewayConfiguration Guide (C) SAP AG SAP NetWeaver Gateway 2.0 SPS08 195 Field Description Default Select this checkbox to specify the format as the default format for the report type. 8. Save your settings.
  • 196.
    SAP NetWeaver GatewayConfiguration Guide (C) SAP AG SAP NetWeaver Gateway 2.0 SPS08 196 Managing Reports and their Properties You can manage a report assigned to the SAP NetWeaver Gateway. You can also configure a new report, edit its properties. Requirements Other important configurations like system alias, source system, categories, and context variables must be defined. The reports configured here must already exist in the RFC destination. Configuring a New Report [Page 197] Configuring Report Parameters [Page 199] Configuring Multiple Values for a Parameter [Page 201] Configuring Delivery Formats for a Report [Page 202] Specifying Roles for a Report [Page 203] Report Scheduling [Page 204]
  • 197.
    SAP NetWeaver GatewayConfiguration Guide (C) SAP AG SAP NetWeaver Gateway 2.0 SPS08 197 Configuring a New Report To configure a new report, proceed as follows: 1. In transaction SPRO open the SAP Reference IMG and navigate to: SAP NetWeaver Gateway Content Reporting Administration Report Settings Manage Reports and their Properties and click the Activity icon. All reports that have been configured are listed. 2. Choose New Entries to create a new report. 3. In the Report Source and Type section, enter the following values: Field Description SAP System Alias Select the source system from which the report is derived. Note Choose the source system based on the type of report (ERP or BW). End of the note. Report Type Choose the report type. Work Area, User Group, Query Name Press F4 in one of these fields and select a value. The other two fields are automatically populated with their corresponding values. Note This is specific to SAP ERP query. End of the note. 4. In the Report Properties section, specify the following values: Field Description Technical Name Enter the technical name of the report. ALV Layout Variant Select a layout for the report. Report Title Enter a title for the report. Report Description Enter a description for the report. Category Select the category of the report. Active Select the checkbox to make the report available to the users. This checkbox is available only if at least one role is maintained for the report. Forward Report Template Not applicable. 5. In the Allow Users to Run the Report section, specify the following values:
  • 198.
    SAP NetWeaver GatewayConfiguration Guide (C) SAP AG SAP NetWeaver Gateway 2.0 SPS08 198 Field Description Immediately If this checkbox is selected, the user can run the report any time. It is executed immediately and is delivered to the user’s client when ready. Based on user- defined scheduling If this checkbox is selected, the user is allowed to schedule when the report should be run. If this checkbox is not selected, then If there are report settings created with free scheduling for the master template, those along with the corresponding jobs on the backend gets deleted. Based on time points If this checkbox is selected, the user is allowed to run the report based on time points. (Time points are specified in the Report Scheduling view.) If this checkbox is selected, the Based on user-defined scheduling checkbox is also selected. Note This checkbox is enabled only if at least one time point is maintained. Based on data change events If this checkbox is selected, the user is allowed to run the report based on data change events. (Data change events refer to events that can trigger a report run when certain conditions are met and data in the SAP system are changed. Data change events are configured in the Report Scheduling view.) Note This option is available only for BW reports. This checkbox is enabled only if at least one data change event is configured. If this checkbox is selected, the Based on user-defined scheduling checkbox is also selected. 6. In the Display Documentation to End users section, select one of the following options: Field Description Existing documentation Select this option to display the existing report documentation to users. Custom documentation Select this option if you would like to create a new documentation for the report. None Select this option to not display any report documentation to users. 7. Save your settings. After you have configured the report, click the Check icon (or press CTRL+F7) to check if all configurations for the report are correct. This runs the report /IWCNT/R_REPORT_CONFIG_CHECKS. If you run this report from the main Manage Reports and their Properties view where all the reports are listed, the checks are carried out for all displayed reports.
  • 199.
    SAP NetWeaver GatewayConfiguration Guide (C) SAP AG SAP NetWeaver Gateway 2.0 SPS08 199 Configuring Report Parameters To configure report parameters, proceed as follows: 1. In transaction SPRO open the SAP Reference IMG and navigate to: SAP NetWeaver Gateway Content Reporting Administration Report Settings Manage Reports and their Properties and click the Activity icon. All reports that have been configured are listed. 2. Choose a report from the Manage Reports and their Properties view list. Double-click Report Parameters and Values in the dialog structure on the left. The parameters of the report are listed. 3. Enter the following values for the editable fields: Field Description Order For each parameter, enter a number to represent the order in which it should be displayed to the user. Mandatory Select the checkbox if it is mandatory for the users to enter a value for the parameter. Display Specify whether the parameter should be displayed to users or not, and whether it should be editable if displayed. Parameter Name Change the name of the parameter. Radio Buttons Group Name If you want to group certain parameters together and display them as a series of radio buttons, enter group names for each set of radio buttons. For example, you could enter the group name Date for parameters Today, Tomorrow and Specify Date; and the group name Country for parameters One country and Several countries. F4 Availability If this option is enabled, it indicates that the F4 option is available. You cannot edit this option. Context Group Specify the context group for the parameter. Context Variable Enter the context variable for the parameter. Sign Select Inclusive here to query reports that are within the values specified in the parameter. For example, if the parameter dates specify August 01 to August 30, the report considers these dates when run. Default Condition Select the default condition to be displayed for the parameter. This option only specifies the default display. The user can still select other conditions for the value. Default Low/From Value Enter the default starting value to be displayed for parameters that require a range of values. Default High/To Value Enter the default ending value to be displayed for parameters that require.
  • 200.
    SAP NetWeaver GatewayConfiguration Guide (C) SAP AG SAP NetWeaver Gateway 2.0 SPS08 200 Note In case a particular parameter has multiple parameter values then the value, which has the lowest parameter order is displayed and this cannot be modified. 4. Save your settings.
  • 201.
    SAP NetWeaver GatewayConfiguration Guide (C) SAP AG SAP NetWeaver Gateway 2.0 SPS08 201 Configuring Multiple Values for a Parameter To configure multiple values for a parameter, proceed as follows: 1. In transaction SPRO open the SAP Reference IMG and navigate to: SAP NetWeaver Gateway Content Reporting Administration Report Settings Manage Reports and their Properties and click the Activity icon. All reports that have been configured are listed. 2. Choose a report from the Manage Reports and their Properties view list. Double-click Report Parameters and Values in the dialog structure on the left. The parameters of the report are listed. 3. Choose a parameter for which multiple values can be configured, in the Report Parameters and Values view. Double-click Define Multiple Values in the dialog structure on the left. The page lists all values that have been configured for the parameter. 4. Choose New Entries to define a new value. 5. Enter the default conditions for the new parameter value. 6. Save your settings.
  • 202.
    SAP NetWeaver GatewayConfiguration Guide (C) SAP AG SAP NetWeaver Gateway 2.0 SPS08 202 Configuring Delivery Formats for a Report To configure delivery formats for reports, proceed as follows: 1. In transaction SPRO open the SAP Reference IMG and navigate to: SAP NetWeaver Gateway Content Reporting Administration Report Settings Manage Reports and their Properties and click the Activity icon. All reports that have been configured are listed. 2. Choose a report from the Manage Reports and their Properties view list. Double-click Report Formats in the dialog structure on the left. The parameters of the report are listed. 3. In the Manage Reports and their Properties view, select a report and double-click Report Formats for Report Type in the dialog structure on the left. The page lists all delivery formats that have been specified for the report. 4. Configure the following values for a format: Field Description Format Select the report format. Display Select whether the format should be allowed or not allowed. You can also specify whether the format should be the default format if allowed. 5. Save your settings.
  • 203.
    SAP NetWeaver GatewayConfiguration Guide (C) SAP AG SAP NetWeaver Gateway 2.0 SPS08 203 Specifying Roles for a Report To specify roles for a report, proceed as follows: 1. In transaction SPRO open the SAP Reference IMG and navigate to: SAP NetWeaver Gateway Content Reporting Administration Report Settings Manage Reports and their Properties and click the Activity icon. All reports that have been configured are listed. 2. Choose a report from the Manage Reports and their Properties view list. Double-click Report Roles in the dialog structure on the left. The page lists all roles that can access the report. 3. Choose New Entries. 4. In the Role field, press F4 and choose a role. 5. Save your settings.
  • 204.
    SAP NetWeaver GatewayConfiguration Guide (C) SAP AG SAP NetWeaver Gateway 2.0 SPS08 204 Report Scheduling To define scheduling for a report, proceed as follows: 1. In transaction SPRO open the SAP Reference IMG and navigate to: SAP NetWeaver Gateway Content Reporting Administration Report Settings Manage Reports and their Properties and click the Activity icon. All reports that have been configured are listed. 2. Choose a report from the Manage Reports and their Properties view list. Double-click Report Scheduling in the dialog structure on the left. The page lists all scheduling options that have been defined for the report. 3. Configure the following values for a scheduling option: Field Description Type Choose if the report should be run based on a time point or a data change event. Event Name Enter the name of the time point or data change event. Event Description Enter a description for the time point or data change event. Display Choose whether running a report based on this schedule should be allowed or not allowed. You can also specify whether the schedule should be the default schedule if allowed. 4. Save your settings.
  • 205.
    SAP NetWeaver GatewayConfiguration Guide (C) SAP AG SAP NetWeaver Gateway 2.0 SPS08 205 Managing Categories Each report configured can have a category assigned to it. You can add, modify and delete report categories. Only categories that are defined here are displayed in the activity Manage Reports and their Properties. Deletion of a category is not allowed unless all the report templates under the category are moved to a different category or deleted. To create a new category, proceed as follows: 1. In transaction SPRO open the SAP Reference IMG and navigate to: SAP NetWeaver Gateway Content Report Administration Report Settings Manage Categories and click on the Activity icon. 2. Choose New Entries to define a new category. Enter a name and description for the category. 3. Save your settings.
  • 206.
    SAP NetWeaver GatewayConfiguration Guide (C) SAP AG SAP NetWeaver Gateway 2.0 SPS08 206 Managing Context Variables You can define context variables for various tasks. Context variables make entering parameter values easy for users. For example, you can create context variables for dates such as today, tomorrow and this year. Users can select such relative values when running a report, instead of having to select exact dates from a displayed calendar. Context variables can be assigned to a context group and a data type can be specified for each group. Standard Settings Five context variables are predelivered in the system. You can modify these and also create new ones. Maintaining Context Groups Proceed as follows: 1. In transaction SPRO open the SAP Reference IMG and navigate to: SAP NetWeaver Gateway Content Reporting Administration Report Settings Manage Context Variables and click the Activity icon. 2. Choose New Entries to define a new context group Field Description Context Group Enter a name for the context group. Context Group Description Enter the name of the time point or data change event. Value Type Select the data type for the context group. 3. Save your settings. Maintaining Context Variables Proceed as follows 1. In transaction SPRO open the SAP Reference IMG and navigate to: SAP NetWeaver Gateway Content Reporting Administration Report Settings Manage Context Variables and click the Activity icon. 2. In the Manage Context Groups view, select a context group and double-click Manage Context Variables on the dialog structure in the left menu. The page lists all context variables that have been defined for the group. 3. Choose New Entries to create a new variable. Field Description Context Variable Specify the technical name for the context variable to map it to an RFC destination. Context Variable Description Enter a description for the context variable. Control Type Select Parameter if the variable refers to specific values (for
  • 207.
    SAP NetWeaver GatewayConfiguration Guide (C) SAP AG SAP NetWeaver Gateway 2.0 SPS08 207 Field Description example, a date). Select Select-Options if the variable refers to relative values (for example, a date range). 4. Save your settings. Maintaining Context Variables Mappings Proceed as follows 1. In transaction SPRO open the SAP Reference IMG and navigate to: SAP NetWeaver Gateway Content Reporting Administration Report Settings Manage Context Variables and click the Activity icon. 2. In the Manage Context Variables view, select a context variable and double-click Enable Context Variables on the dialog structure in the left menu. The page lists the SAP System Alias that the context variable has been mapped to. 3. Choose New Entries to define a new system. Field Description SAP System Alias Select the SAP System Alias of the system to locate the class. Class Select the class name. 4. Save your settings.
  • 208.
    SAP NetWeaver GatewayConfiguration Guide (C) SAP AG SAP NetWeaver Gateway 2.0 SPS08 208 Configuring System Time Points You must configure a system time point for a report. Before you define the system time points for a report, you must define a schedule for them. You define scheduling for the system time points by creating a background job for it. Create a background job and define a schedule for it. Define and subscribe the system time points for a report. To define the schedule using background jobs, proceed as follows: 1. Go to transaction SM36. 2. Enter a name for the new background job in the Job Name field. For example, TP_BROADCASTING_ERPReport001. Note Do not change the default values for Job class, Status, and Exec. Target. 3. Choose Start condition. The Start Time dialog box displays. 4. Choose Date/Time, and enter the values. 5. Check Periodic Job. 6. Choose Periodic Values. 7. Choose the schedule you want, and save your settings. 8. Choose Step from Define Background Job screen. The Create Step 1 dialog box displays. 9. In Program name under ABAP program, enter the following names to create two steps for the job with the following: o RSRD_BROADCAST_FOR_TIMEPOINT o /OSP/IW_TIMEPOINT_PROCESS 10. Choose Save, and from Job in the Define Background Job menu bar, choose Save.
  • 209.
    SAP NetWeaver GatewayConfiguration Guide (C) SAP AG SAP NetWeaver Gateway 2.0 SPS08 209 Managing System Time points and Data Change Events Note You must manage events data change only for Business Intelligence (BI) reports. Time points refer to frequencies (for example, every hour, every 2 days, every Saturday) that are defined and used by various jobs and schedulers. You can create time points there, so that they can be used by reports and run at such frequencies. An event signals that a particular situation has occurred in the system and specific background processing that is waiting for this event must be activated accordingly. Events data changes are associated with a process chain, which is a sequence of processes waiting in the background for an event. You configure events data change by creating a variant of process chain, defining a schedule, and activating it. Creating Variant for a Process Chain and Define Schedule To create a variant for a process chain, and define the schedule, proceed as follows: 1. Go to transaction RSPC. 2. Choose Create to create a new process chain. 3. Enter a name for the process chain and choose Continue. The Insert a Start Process dialog is displayed. Create a process variant as the start process of the chain. 4. Choose Create and enter a name and description for the variant. 5. Choose Change Selections. 6. Choose Date/Time to schedule date and time. 7. Choose Periodic Job. 8. Choose Period Values. Select the schedule you want to use (hourly, daily, weekly, monthly, other periods). 9. Save your settings. 10. Click the Process Types icon to load all available process types. 11. Under Load Process and Post Processing, select Trigger Event Data change (for broadcaster) to insert the variant of the process chain. 12. Click the Create icon to create a new event and give it a name and a description. The Info cube (Info provider) for which you created the event data change is displayed. 13. Press F4 to select the Info cube (Info provider). 14. Save your settings. This inserts the newly created event data change in the process chain. 15. Choose Start Process and move the pointer over the event data change. 16. Click the Activate icon, and then the Activate and Schedule icon. Select the relevant application server to activate and schedule. You can test whether the event data change is functional. Testing involves modifying data from an Info cube.
  • 210.
    SAP NetWeaver GatewayConfiguration Guide (C) SAP AG SAP NetWeaver Gateway 2.0 SPS08 210 Defining Time Points and Data Change Events To check whether the event data change is functional, proceed as follows: 1. Go to transaction RSRD_START. 2. Select the name of the Info cube for which you have defined the event data change. 3. Click the Execute icon with ‘P_ONLINE’ checked. To define time points and data change events, proceed as follows: 1. In transaction SPRO open the SAP Reference IMG and navigate to: SAP NetWeaver Gateway Content Reporting Administration Report Settings Manage System Time Points and Data Change Events and click the Activity icon. 2. Click Refresh to retrieve the latest list of system time points and data change events. The Status column shows the status of items that have been updated or deleted. 3. Check the Active checkbox for time points and data change events that should be used to configure reports. These time points and events are now available in the activity Manage Reports and their Properties.
  • 211.
    SAP NetWeaver GatewayConfiguration Guide (C) SAP AG SAP NetWeaver Gateway 2.0 SPS08 211 Settings for Human Capital Management for SAP NetWeaver Gateway Overview The SAP Human Capital Management (HCM) facilitates use of time management in SAP ERP HCM for leave management processes, recording working time processes, and clocking in and out processes. It enables customers and partners to create their own user interfaces for time data maintenance by employees on top of the core business process. SAP NetWeaver Gateway provides Time Management and Leave Management as part of HCM services. The SAP ERP system and the SAP NetWeaver Gateway system should be configured to use the Time Management and Leave Management services. Preface The chapter Settings for Time Management [Page 212] lists the basic settings for Time Management. o The section Configuring SAP ERP System and SAP NetWeaver Gateway System-Time [Page 215] guides you through the configurations that should be performed in the SAP ERP system and SAP NetWeaver Gateway system to use Time Management application. The chapter Settings for Leave Management [Page 220] lists the basic settings for Leave Management. o The section Configuring SAP ERP System and SAP NetWeaver Gateway System-Leave [Page 223] guides you through the configurations that should be performed in the SAP ERP system and SAP NetWeaver Gateway system to use Leave Management application. Reference For more information, see SAP Library for SAP ERP on SAP Help Portal at http://help.sap.com/erp. In SAP Portal, SAP ERP SAP ERP Central Component (Open the documentation) Expand SAP ERP Central Component Expand Human Resources Choose Personnel Time Management . In SAP Portal, SAP ERP SAP ERP Central Component (Open the documentation) Expand SAP ERP Central Component Expand Business Packages (Portal Content) Choose Business Package for Employee Self-Service (SAP ERP) 1.0 Expand Working Time Expand Leave Request .
  • 212.
    SAP NetWeaver GatewayConfiguration Guide (C) SAP AG SAP NetWeaver Gateway 2.0 SPS08 212 Settings for Time Management Introduction The Time Management application enables you to perform time recording functions while away from your desk in any device or platform. Example For example, Mobile, Collaboration, Social Networks, Groupware Integration and Portals. This chapter provides the basic settings which have to done before using the Time Management application. Prerequisites The consumer must have a personnel number in the SAP system. The SAP ERP system must be configured for this consumer to use Time Management. Creating Roles In the SAP NetWeaver Gateway system, roles should be created and these roles must be assigned to the GSDO group. The SAP NetWeaver Gateway users should be assigned to these roles so that they will be able to use SAP NetWeaver Gateway services. For assigning the roles, the following steps should be performed: Identify the list of SAP ERP systems that needs to be accessed by the SAP NetWeaver Gateway. Create system alias for all the identified SAP ERP systems. For all the identified SAP ERP systems, define a role to be assigned for the users to access Time Management. Note 1. You must be a SAP NetWeaver Gateway administrator to create the roles. 2. The roles must be defined/created in the SAP NetWeaver Gateway system. To create roles proceed as follows: 1. Open transaction pfcg in the SAP NetWeaver Gateway system. 2. Enter a name for the role in the Role field. 3. Choose Single Role. 4. Save the Role. 5. Choose the Authorization tab. 6. Choose Change Authorization. 7. Choose the template mentioned in the Role Templates section.
  • 213.
    SAP NetWeaver GatewayConfiguration Guide (C) SAP AG SAP NetWeaver Gateway 2.0 SPS08 213 8. Choose Generate to create a new role. For more information on creating and changing roles, see Changing Standard Roles [External]. Role Templates Use the predefined role templates mentioned in the table below to create user roles for Time Management: Template Name Template For /IWCNT/RT_USER_TIMA Time Management Authorizations The user must have the following authorizations to access SAP NetWeaver Gateway system for Time Management: Service Authorization Object Authorization Values /IWCNT/SG_TIME_RECORDING_0001 S_SERVICE SRV Name – 15DA80503D25C5D856CB6072DC9598 ,56B1795EE40F0F7302DE059E7586FA SRV Type – HT /IWCNT/SG_TIME_RECORDING_0001 S_TCODE TCD – SICF While creating role template in the SAP ERP system, include the authorizations provided in the table below. The user must have these authorizations to access SAP ERP system for Time Management: Service Authorization Object Authorization Values ECC_WORKAGSIMPLERELEMENTSQR S_SERVICE SRV Name — 583824D652C5AF040CDB5E6A3938C8 SRV Type — HS ECC_EMPTIMFEMPTIMSHEETELEQR S_SERVICE SRV Name — C0972E83D4383710F9FD8B8FB78280 SRV Type – HS ECC_EMPTIMSHEETCHGRC S_SERVICE SRV Name — E564B11456D8E712E179A6EF4CBFC4 SRV Type — HS
  • 214.
    SAP NetWeaver GatewayConfiguration Guide (C) SAP AG SAP NetWeaver Gateway 2.0 SPS08 214 Configurations for Time Management — Generic Channel Settings on SAP NetWeaver Gaterway System for Time Management [Page 215] SOA Management Configurations on the SAP NetWeaver Gateway for Time Management — Generic Channel [Page 216] SOA Management Configurations on the SAP ERP System for Time Management — Generic Channel [Page 218] Reference For more information, see SAP Library for SAP ERP on SAP Help Portal at http://help.sap.com/erp. In SAP Portal, SAP ERP SAP ERP Central Component (Open the documentation) Expand SAP ERP Central Component Expand Human Resources Choose Personnel Time Management .
  • 215.
    SAP NetWeaver GatewayConfiguration Guide (C) SAP AG SAP NetWeaver Gateway 2.0 SPS08 215 Settings for Time Management on SAP NetWeaver Gateway The basic configurations required to connect the SAP NetWeaver Gateway system (also referred as Consumer System) with the SAP ERP system (also referred as Provider System) are provided here. See SOA Management Configurations on the SAP ERP System [Page 130] and SOA Management Configurations on the SAP NetWeaver Gateway [Page 141]. Assigning Roles to a GSDO Group To assign roles to the GSDO Group proceed as follows: 1. In transaction SPRO open the SAP Reference IMG and navigate to: SAP NetWeaver Gateway Former Development Generic Channel Administration General Settings Manage GSDO Groups and click on the Activity icon. 2. Select the GSDO Group IW_TIMA for Time Management, from the Manage GSDO Groups list. 3. Choose Assign User Roles on the dialog structure. 4. Choose New Entries. 5. Choose the role name from the view cluster. For example, Z_Role. 6. Save your settings. Assigning GSDO Group to SAP System Aliases GSDO groups can be assigned to SAP system aliases. With this assignment, an inbound request from a SAP NetWeaver Gateway consumer can be routed to the corresponding SAP system. That is, the system can identify the backend system which is responsible for processing (managing and storing) the data of an inbound request. To assign GSDO Group to SAP System Aliases proceed as follows: 1. In transaction SPRO open the SAP Reference IMG and navigate to: SAP NetWeaver Gateway Former Development Generic Channel Administration General Settings Manage GSDO Groups and click on the Activity icon. 2. Select the GSDO Group IW_TIMA for Time from the Manage GSDO Groups list. 3. Choose Assign SAP System Aliases on the dialog structure. 4. Choose New Entries. 5. Enter the role name created above Z_Role in the User Role column. 6. Press F4 to select a system alias in the SAP System Alias column. 7. Save your settings. Continue with SOA Management Configurations on the SAP NetWeaver Gateway for Time Management [Page 141] and SOA Management Configurations on the SAP ERP System for Time Management [Page 130]
  • 216.
    SAP NetWeaver GatewayConfiguration Guide (C) SAP AG SAP NetWeaver Gateway 2.0 SPS08 216 Configurations on the SAP ERP System (Provider System) for Time Management Note SAP ERP system is also called as Provider system in this section. When you are configuring the Provider system for the first time (either for Leave Management, Time Management or Code List) you must perform all the steps provided in the procedure below. But, once you configure the provider system for any one of the applications (either Leave Management, Time Management, or Code List) you can ignore the following steps when configuring the system for the rest of the applications: o Importing a profile using an XML Template or creating a profile o Assigning personnel number for an employee o Obtaining WSIL URL o Obtaining the external key of the provider system. End of the note. To configure the provider system: 1. You can either import a profile using an XML template or create a profile. Importing a profile using an XML template [Page 131] or Creating a profile [Page 133] 2. Import endpoints using a Business Scenario Configuration XML [Page 135] or Creating endpoints using a Business Scenario [Page 137] 3. Verifying the endpoints created [Page 139] 4. Assigning personnel number for an employee: To assign an SAP User ID to a Personnel Number proceed as follows: 1. Logon to the provider system. 2. Open transaction PA30. 3. Choose the Personnel number. 4. In the Direct selection section, choose Communication (0105) in the Infotype field, and System user name (0001) in the STy (Subtype) field. 5. Click the Change icon or press F6 from the key board to view the Change Communication page. 6. In the Communication section, enter the SAP user ID in the ID/number field. You have now assigned the SAP User ID to a Personnel number. 5. Obtaining WSIL URL 1. On the Provider system, open transaction sicf. 2. Enter SERVICE for the Hierarchy Type.
  • 217.
    SAP NetWeaver GatewayConfiguration Guide (C) SAP AG SAP NetWeaver Gateway 2.0 SPS08 217 3. Enter WSIL for the Service Name. 4. Choose Execute. Note The WSIL (Web Service Inspection Language) service lists the configuration of all web services exposed by the system. 5. Choose WSIL folder and right click and select Test Service. 6. A browser window opens, copy the URL from this browser. This is the WSIL URL. 6. Obtaining the external key of the provider system [Page 140]. Continue with, SOA Management Configurations on the SAP NetWeaver Gateway for Time Management [Page 141]
  • 218.
    SAP NetWeaver GatewayConfiguration Guide (C) SAP AG SAP NetWeaver Gateway 2.0 SPS08 218 Configurations on the SAP NetWeaver Gateway System (Consumer System) for Time Management Note SAP NetWeaver Gateway system is also called as Consumer system in this section. When you are configuring the Consumer system for the first time (either for Leave Management, Time Management or Codelist) you must perform all the steps provided in the procedure below. But, once you configure the Consumer system for any one of the applications (either Leave Management, Time Management, or Codelist) you can ignore the following steps when configuring the system for the rest of the applications: o Importing a profile file o Creating a system connection to the Provider system o User account management o Assigning system aliases o Configuring destination finder Configurations on the consumer system include: 1. Importing a Profile file [Page 142] — Import the Profile created in the Provider [Page 130] system. Note You must import the same profile created in the provider system, else mass configuration of web service proxies in the service groups is not possible. 2. Creating a system connection to the Provider system [Page 144] 3. User account management [Page 145] 4. Importing a business scenario Configuration XML [Page 147] or Configuring service groups using business scenarios [Page 149]/ — You can either manually configure service groups using a business scenario or import a business scenario configuration XML. 5. Verifying logical ports [Page 151] 6. Assigning system aliases: 1. In transaction SPRO open the SAP Reference IMG and navigate to: SAP NetWeaver Gateway Former Development Generic Channel Administration General Settings Manage GSDO Groups and click the Activity icon. 2. Choose Assign GSDOs, the added GSDO is present in the list. 3. Select the GSDO Type and click Assign SAP System Alias: User Role: A specific User Role can be maintained which is checked to link to the designated system. SAP System Alias: Add the Provider System's name.
  • 219.
    SAP NetWeaver GatewayConfiguration Guide (C) SAP AG SAP NetWeaver Gateway 2.0 SPS08 219 4. Select the System Alias and click Assign User Roles: User Roles can be defined here. Blank: Refers to All Roles. 7. Configuring Destination Finder: The Provider systems configured from SOA Manager have to be entered in the configuration of the Destination Finder so that during runtime, SAP NetWeaver Gateway can select the right provider system for a given system alias. This activity allows you to define RFC destinations that point to relevant SAP business systems. If an RFC destination points to an SAP system alias that system alias points to the corresponding SAP business system. Note Only RFC destinations of connection type 3 (Connection to ABAP System) can be used. 1. In transaction SPRO open the SAP Reference IMG and navigate to: SAP NetWeaver Gateway Former Development Generic Channel Configuration Connection Settings SAP NetWeaver Gateway to SAP System Manage RFC Destinations and click the Activity icon. 2. Create a New RFC connection by specifying the RFC Destination and Connection Type. 3. Save the new RFC connection. 4. Go back to the SAP NetWeaver Gateway to SAP System activity. 5. Execute the Manage System Aliases IMG Activity. 6. Create a new System Alias by selecting the New Entries button. 7. Provide the created RFC connection. 8. Enter the Provider system's name for the system alias. 9. Save the settings.
  • 220.
    SAP NetWeaver GatewayConfiguration Guide (C) SAP AG SAP NetWeaver Gateway 2.0 SPS08 220 Settings for Leave Management Introduction By using Leave Management application, you can perform leave request functions while away from your desk in any device or platform, like Mobile, Collaboration, Social Networks, Groupware Integration and Portals. This section provides the basic settings that have to be done before using the Leave Management application. Prerequisites The consumer must have a personnel number in the SAP system SAP ERP system must be configured for the consumer to use Leave Management Creating Roles Roles should be created in SAP NetWeaver Gateway system to use Leave Management, and these roles must be assigned to the GSDO group. The SAP NetWeaver Gateway users should be assigned to these roles so that they will be able to use SAP NetWeaver Gateway service. For this: Identify the list of SAP ERP systems that needs to be accessed by the SAP NetWeaver Gateway. Create system aliases for all the identified SAP ERP systems. For all the identified SAP ERP systems, define roles to be assigned for the users to access Leave Management. Note 1. You must be a SAP NetWeaver Gateway administrator to create the roles. 2. The roles must be defined/created in the SAP NetWeaver Gateway system. To create roles proceed as follows: 1. Open transaction pfcg in the SAP NetWeaver Gateway system. 2. Enter a name for the role in the Role field. 3. Choose Single Role. 4. Save the Role. 5. Choose the Authorization tab. 6. Choose Change Authorization. 7. Choose the template mentioned in the Role Templates section. 8. Choose Generate to create a new role. For more information on creating and changing roles, see Changing Standard Roles [External].
  • 221.
    SAP NetWeaver GatewayConfiguration Guide (C) SAP AG SAP NetWeaver Gateway 2.0 SPS08 221 Role Templates Use the predefined role templates mentioned in the table below to create user roles for Leave Management: Template Name Template For /IWCNT/RT_USER_LEMA Leave Management Authorizations The user must have the following authorizations to access SAP NetWeaver Gateway services for Leave Management: Service Authorization Object Authorization Values /IWCNT/SG_LEMA_0001 S_SERVICE SRV Name – 178B5CF583803F4D41D776D1835180 SRV Type – HT /IWCNT/RFC_LEMA_HANDLE_MESSAGE, /IWCNT/RFC_WF_HANDLE_MESSAGE S_RFC RFC Name- /IWCNT/RFC_LEMA_HANDLE_MESSAGE, /IWCNT/RFC_WF_HANDLE_MESSAGE RFC Type-FUGR, FUNC ACTVT-16 S_TCODE TCD-SICF While creating role template in the SAP ERP system, include the authorizations provided in the table below. The user must have these authorizations in the SAP ERP to access SAP NetWeaver Gateway services for Leave Management: Service Authorization Object Service Type Authorizatio ECC_EMPLEAVEREQPARCTQR/EXECUTE_SYNCHRONOUS S_SERVICE WS SRV Name — 381C9B6096E63BEF SRV Type — HS ECC_EMPLEAVEREQCNCRC/EXECUTE_SYNCHRONOUS S_SERVICE WS SRV Name — 79F2B3B8266788FD SRV Type – HS ECC_EMPLEAVEREQCRTRC/EXECUTE_SYNCHRONOUS S_SERVICE WS SRV Name — 3A150DD75DE83DFC SRV Type — HS ECC_EMPLEAVEREQCHGRC/EXECUTE_SYNCHRONOUS S_SERVICE WS SRV Name — 89BD2B92F60F7D79
  • 222.
    SAP NetWeaver GatewayConfiguration Guide (C) SAP AG SAP NetWeaver Gateway 2.0 SPS08 222 Service Authorization Object Service Type Authorizatio SRV Type — HS ECC_WORKAGSIMPLERELEMENTSQR/EXECUTE_SYNCHRONOUS S_SERVICE WS SRV Name — 583824D652C5AF04 SRV Type — HS ECC_EMPLEAVEREQIDQR/EXECUTE_SYNCHRONOUS S_SERVICE WS SRV Name — 08A104454076EC3E SRV Type — HS ECC_EMPLEAVEREQCONFEMPQR/EXECUTE_SYNCHRONOUS S_SERVICE WS SRV Name — 528739D078812D40 SRV Type — HS BAPI_TIMEQUOTA_GETDETAILEDLIST S_RFC RFC_TYPE FUGR RFC_NAME TIQU ACTVT 16 Reference For more information, see SAP Library for SAP ERP and SAP R/3 and R/3 Enterprise on SAP Help Portal at http://help.sap.com/erp. In SAP Portal, SAP ERP SAP ERP Central Component (Open the documentation) Expand SAP ERP Central Component Expand Business Packages (Portal Content) Choose Business Package for Employee Self-Service (SAP ERP) 1.0 Expand Working Time Expand Leave Request .
  • 223.
    SAP NetWeaver GatewayConfiguration Guide (C) SAP AG SAP NetWeaver Gateway 2.0 SPS08 223 Configuring SAP NetWeaver Gateway System for Leave Management Creating System Aliases for Applications System Alias is the name defined for each system, so that the other systems can reference this system. This section provides the steps to create system alias for the SAP NetWeaver Gateway system. To create System Alias for applications proceed as follows: 1. In transaction SPRO open the SAP Reference IMG and navigate to: SAP NetWeaver Gateway Former Development Generic Channel Configuration Connection Settings SAP NetWeaver Gateway to SAP System Manage SAP System Aliases and click on the Activity icon. 2. Choose New Entries. 3. Enter the following details for the system alias: Field Description SAP System Alias Name of the system alias. Description Descriptive text for the system alias. Local GW Should be unchecked if the ERP system is not on the same system as the SAP NetWeaver Gateway system. Check it if the ERP system is on the same system as the SAP NetWeaver Gateway system. RFC Destination Specify the RFC destination defined for your SAP system. WS Provider System Note Select a provider system if you are using SAP. End of the note. Choose the provider system. For information on configuring a provider system, see Configuring the Consumer System [Page 144]. Software Version ERP 6.0 or higher 4. Save your settings.
  • 224.
    SAP NetWeaver GatewayConfiguration Guide (C) SAP AG SAP NetWeaver Gateway 2.0 SPS08 224 Assigning Roles to a GSDO Group By assigning a role to a GSDO group it will inherit the properties of the role. To assign roles to the GSDO Group proceed as follows: 1. In transaction SPRO open the SAP Reference IMG and navigate to: SAP NetWeaver Gateway Former Development Generic Channel Administration General Settings Manage GSDO Groups and click on the Activity icon. 2. Select the GSDO Group (IWCNT_GW_LEMA) for Leave Management, from the Manage GSDO Groups list. 3. Choose Assign User Roles on the dialog structure. 4. Choose New Entries. 5. Choose the role name from the view cluster. For example, Role_1. 6. Save your settings. Assigning SAP System Aliases to a GSDO Group GSDO groups can be assigned to SAP system aliases. With this assignment, an inbound request from a SAP NetWeaver Gateway consumer can be routed to the corresponding SAP system. That is, the system can identify the backend system which is responsible for processing (managing and storing) the data of an inbound request. To assign GSDO Group to SAP System Aliases proceed as follows: 1. In transaction SPRO open the SAP Reference IMG and navigate to: SAP NetWeaver Gateway Former Development Generic Channel Administration General Settings Manage GSDO Groups and click on the Activity icon. 2. Select the GSDO Group IWCNT_GW_LEMA for Leave Management from the Manage GSDO Groups list. 3. Choose Assign SAP System Aliases on the dialog structure. 4. Choose New Entries. 5. Enter the role name created above Role_1 in the User Role column. 6. Press F4 to select a system alias in the SAP System Alias column. 7. Save your settings. Continue with, Configurations on SAP ERP System (Provider System) for Leave Management [Page 225] Configurations on SAP NetWeaver Gateway System (Consumer System) for Leave Management [Page 227]
  • 225.
    SAP NetWeaver GatewayConfiguration Guide (C) SAP AG SAP NetWeaver Gateway 2.0 SPS08 225 Configurations on the SAP ERP System (Provider System) for Leave Management Note SAP ERP system is also called as Provider system in this section. When you are configuring the Provider system for the first time (either for Leave Management, Time Management or Code List) you must perform all the steps provided in the procedure below. But, once you configure the provider system for any one of the applications (either Leave Management, Time Management, or Code List) you can ignore the following steps when configuring the system for the rest of the applications: o Importing a profile using an XML Template or creating a profile o Assigning personnel number for an employee o Obtaining WSIL URL o Obtaining the external key of the provider system. To configure the provider system: 1. You can either import a profile using an XML template or create a profile. Importing a profile using an XML template [Page 131] or Creating a profile [Page 133] 2. Import endpoints using a Business Scenario Configuration XML [Page 135] or Creating endpoints using a Business Scenario [Page 137] 3. Verifying the endpoints created [Page 139] 4. Assigning personnel number for an employee: To assign an SAP User ID to a Personnel Number proceed as follows: 1. Logon to the provider system. 2. Open transaction PA30. 3. Choose the Personnel number. 4. In the Direct selection section, choose Communication (0105) in the Infotype field, and System user name (0001) in the STy (Subtype) field. 5. Click the Change icon or press F6 from the key board to view the Change Communication page. 6. In the Communication section, enter the SAP user ID in the ID/number field. You have now assigned the SAP User ID to a Personnel number. 5. Obtaining WSIL URL 1. On the Provider system, open transaction sicf. 2. Enter SERVICE for the Hierarchy Type.
  • 226.
    SAP NetWeaver GatewayConfiguration Guide (C) SAP AG SAP NetWeaver Gateway 2.0 SPS08 226 3. Enter WSIL for the Service Name. 4. Choose Execute. Note The WSIL (Web Service Inspection Language) service lists the configuration of all web services exposed by the system. 5. Choose WSIL folder and right click and select Test Service. 6. A browser window opens, copy the URL from this browser. This is the WSIL URL. 6. Obtaining the external key of the provider system [Page 140]. Continue with, Configurations on SAP NetWeaver Gateway System (Consumer System) for Leave Management [Page 227]
  • 227.
    SAP NetWeaver GatewayConfiguration Guide (C) SAP AG SAP NetWeaver Gateway 2.0 SPS08 227 Configurations on the SAP NetWeaver Gateway System (Consumer System) for Leave Management Note SAP NetWeaver Gateway system is also called as Consumer system in this section. When you are configuring the Consumer system for the first time (either for Leave Management, Time Management or Codelist) you must perform all the steps provided in the procedure below. But, once you configure the Consumer system for any one of the applications (either Leave Management, Time Management, or Codelist) you can ignore the following steps when configuring the system for the rest of the applications: o Importing a profile file o Creating a system connection to the Provider system o User account management o Assigning system aliases o Configuring destination finder Configurations on the consumer system include: 1. Importing a Profile file [Page 142] — Import the Profile created in the Provider [Page 130] system. Note You must import the same profile created in the provider system, else mass configuration of web service proxies in the service groups is not possible. 2. Creating a system connection to the Provider system [Page 144] 3. User account management [Page 145] 4. Importing a business scenario Configuration XML [Page 147] or Configuring service groups using business scenarios [Page 149]/ — You can either manually configure service groups using a business scenario or import a business scenario configuration XML. 5. Verifying logical ports [Page 151] 6. Assigning system aliases: 1. In transaction SPRO open the SAP Reference IMG and navigate to: SAP NetWeaver Gateway Former Development Generic Channel Administration General Settings Manage GSDO Groups and click the Activity icon. 2. Choose Assign GSDOs, the added GSDO will be present in the list. 3. Select the GSDO Type and click Assign SAP System Alias: User Role: A specific User Role can be maintained which is checked to link to the designated system.
  • 228.
    SAP NetWeaver GatewayConfiguration Guide (C) SAP AG SAP NetWeaver Gateway 2.0 SPS08 228 SAP System Alias: Add the Provider System's name. 4. Select the System Alias and click Assign User Roles: User Roles can be defined here. Blank: Refers to All Roles. 7. Configuring Destination Finder: The Provider systems configured from SOA Manager have to be entered in the configuration of the Destination Finder so that during runtime, SAP NetWeaver Gateway can select the right provider system for a given system alias. This activity allows you to define RFC destinations that point to relevant SAP business systems. If an RFC destination points to an SAP system alias that system alias points to the corresponding SAP business system. Note Only RFC destinations of connection type 3 (Connection to ABAP System) can be used. 1. In transaction SPRO open the SAP Reference IMG and navigate to: SAP NetWeaver Gateway Former Development Generic Channel Configuration Connection Settings SAP NetWeaver Gateway to SAP System Manage RFC Destinations and click the Activity icon. 2. Create a New RFC connection by specifying the RFC Destination and Connection Type. 3. Save the new RFC connection. 4. Go back to the SAP NetWeaver Gateway to SAP System activity. 5. Execute the Manage System Aliases IMG Activity. 6. Create a new System Alias by selecting the New Entries button. 7. Provide the created RFC connection. 8. Enter the Provider system's name for the system alias. 9. Save the settings.
  • 229.
    SAP NetWeaver GatewayConfiguration Guide (C) SAP AG SAP NetWeaver Gateway 2.0 SPS08 229 Settings for User Profile The User Profile is a component that is used to fetch the parameter Ids, their values and the corresponding descriptions for a user from the SAP system. The System Alias should be configured for the User Profile feature. To Configure System Alias for a User Profile proceed as follows: 1. Logon to the system where SAP NetWeaver Gateway 2.0 is installed. 2. In transaction SPRO open the SAP Reference IMG and navigate to: SAP NetWeaver Gateway Former Development Generic Channel Administration General Settings Manage GSDO Groups and click on the Activity icon. 3. SelectUSRPRF in the Manage GSDO Groups region. 4. Choose and double-click Assign System Aliases in the Dialog Structure. 5. Assign the appropriate system alias for the Provider system. 6. Choose Save.
  • 230.
    SAP NetWeaver GatewayConfiguration Guide (C) SAP AG SAP NetWeaver Gateway 2.0 SPS08 230 Settings for Code List in the SAP NetWeaver Gateway System Introduction The Code List feature provides assistance to the content developers to easily create value helps for various fields. Example If the consumer wants to enter a partner role and fetch the list of valid partner roles, the content developer should create a GW Data Model for partner roles, and then create the associated GW Consumption Model. Using the created GW Consumption Model, the consumer can fetch the list of partner roles. For more information, see Code List Usage [Page 239]. The content developer would also need to maintain some customizing entries to indicate the source of the value help. Currently the Code List functionality supports: Value helps fetched from domains with fixed values Value helps for BAPI parameters Value helps fetched from the QueryCodeList ESA service For more information, see Maintaining Code Type [Page 236]. Following are steps to be performed for configuring GSDO type for Code List: Create a GSDO Type [Page 232] Create Business Object Groups [Page 234] Assigning System Alias [Page 235] Maintaining Code Type [Page 236] Authorizations The user must have the following authorizations to access SAP ERP system for Code List: ERP Service Authorization Object Field Field Value Code List S_RFC RFC_TYPE FUGR RFC_NAME BFHV ACTVT 16 S_RFC RFC_TYPE FUGR RFC_NAME SDIFRUNTIME ACTVT 16 S_SERVICE SRV Name 72FBBF9D2B861B7D5FD5CB226459E8
  • 231.
    SAP NetWeaver GatewayConfiguration Guide (C) SAP AG SAP NetWeaver Gateway 2.0 SPS08 231 ERP Service Authorization Object Field Field Value SRV Type HS
  • 232.
    SAP NetWeaver GatewayConfiguration Guide (C) SAP AG SAP NetWeaver Gateway 2.0 SPS08 232 Creating a GSDO Type In order to fetch Code List from the fixed values of a Domain, a GSDO Type should be created for Code List. To create a GSDO Type proceed as follows: 1. In transaction SPRO open the SAP Reference IMG and navigate to: SAP NetWeaver Gateway Former Development Former Generic Channel Development Generic Service Data Object (GSDO) Generic Service Data Object GSDO Types & GSDO Contexts & GSI Implementations activity and click on the Activity icon. 2. Create a GSDO Type by choosing the New Entries button. 3. Follow the example given below to create a new GSDO Type: Example o GSDO Type: DOCUMENTTYPE o CompName: IWCLST (GenIL model Name) o GSDO Data Object Name: CODELIST (Root Object of GeniL) o Save the created GSDO Type 4. Select the GSDO type created above and choose GSI implementation from the Dialog Structure in the left pane. The Generic Groupware Service Interface (GSI) defines the contract between the Generic Service Provider and all GSI implementations. Consequently all GSI implementation must implement this interface. For more information, see IMG activity documentation for GSDO Types & GSDO Contexts & GSI Implementations. 5. Configure anyone of the following Adaptation BSO's as the Class/Interface in the GSI Implementation: o Adaptation BSO to fetch code list from a domain : /IWCNT/CL_CLST_ABSO_DOMAIN o Adaptation BSO to fetch code list from the QueryCodeList ESA service: /IWCNT/CL_CLST_ABSO_ESA o Adaptation BSO to fetch code list from a BAPI : /IWCNT/CL_CLST_ABSO_BAPI Multi Destination BSO For every GSDO Type, the concept of multi destination BSO can be implemented using GSI Implementation i.e. data can come from different software versions. Mapping to each designated system is identified here. Note In case of Multi Destination BSO, at least two system aliases need to be maintained in the GSDO group associated with the GSDO type.
  • 233.
    SAP NetWeaver GatewayConfiguration Guide (C) SAP AG SAP NetWeaver Gateway 2.0 SPS08 233 As shown in the image below the Multi destination BSO implements Interface: /IWCNT/CL_BSO_MD_CLST_DFL, and the GSI entry corresponds to MSDO (Multi Destination BSO) which incorporates two other (at least) Adaptation BSO’s ABSO_DOMAIN and ABSO_ESA. Also, for different Software Versions different Interface Implementation can be mapped. Example For the given software version, if the code list needs to be fetched from the QueryCodeList ESA service, then the Adaptation BSO configured should be /IWCNT/CL_CLST_ABSO_ESA. In addition to this, the ESA relevant parameters need to be maintained in the customizing view. For more information, see the IMG documentation for Maintain Code Type. For the given software version, if the code list needs to be fetched from a domain, then the Adaptation BSO configured should be /IWCNT/CL_CLST_ABSO_DOMAIN. In addition to this the domain name need to be maintained in the customizing view. For more information, see the IMG documentation for Maintain Code Type. For the given software version, if the code list needs to be fetched for a BAPI parameter then Adaptation BSO configured should be /IWCNT/CL_CLST_ABSO_BAPI. In addition to this, the BAPI relevant parameters need to be maintained in the customizing view. For more information, see the IMG documentation for Maintain Code Type. Note Default Software Version is generally implemented when no other system is designated to fetch the code list.
  • 234.
    SAP NetWeaver GatewayConfiguration Guide (C) SAP AG SAP NetWeaver Gateway 2.0 SPS08 234 Creating a GSDO Group The GSDO Groups basically hold GSDOs' of the same type, with similar System Connectivity Information (system Alias). In case of Multi destination BSOs', GSDOs' can be grouped together only if all the GSDOs' are connected to the same system. It avoids redundant linking configuration to the same system alias. To create a GSDO Group follow these steps: 1. In transaction SPRO open the SAP Reference IMG and navigate to: SAP NetWeaver Gateway Former Development Former Generic Channel Development Generic Service Data Object (GSDO) GSDO Groups and click on the Activity icon 2. Create a new GSDO Group In case of different system connectivity by clicking the New Entries button. 3. Select Active. 4. Select the new GSDO group, and double-click Assign GSDOs in the Dialog Structure to assign the GSDO Type to a GSDO Group.
  • 235.
    SAP NetWeaver GatewayConfiguration Guide (C) SAP AG SAP NetWeaver Gateway 2.0 SPS08 235 Assigning System Alias To assign System Alias proceed as follows: 1. In transaction SPRO open the SAP Reference IMG and navigate to: SAP NetWeaver Gateway Former Development Generic Channel Administration General Settings Manage GSDO Groups and click on the Activity icon. 2. Select the GSDO Group created in the Creating GSDO Groups [Page 234] section. 3. Choose and double-click Assign GSDOs, the added GSDO will be present in the list. 4. Select the GSDO Group, and click Assign SAP System Alias: o User Role: A specific User Role can be maintained which will be checked to link to the designated system. o SAP System Alias: Add entries for system aliases to be added. 5. Select the System Alias and click Assign User Roles: User Roles can be defined here. o Blank: Refers to All Roles.
  • 236.
    SAP NetWeaver GatewayConfiguration Guide (C) SAP AG SAP NetWeaver Gateway 2.0 SPS08 236 Maintaining Code Type To maintain the Code Type proceed as follows: 1. In transaction SPRO open the SAP Reference IMG and navigate to: SAP NetWeaver Gateway Content Services Administration Code List Settings Maintain Code Type and click on the Activity icon. 2. Click the New Entries button to create a Code Type. 3. Select the GSDO Type from the view cluster. 4. Using the view cluster in the Version field, select the software version corresponding to the Category and the specified GSDO type. Example: Software Component Version: Default/ERP/CRM. 5. Click in the Category field to display the F4 help source as shown below: 6. Select a GSDO Type Category from the source list. 7. Save the selections. Note In case of selecting ESA in the Category field, the ESA Code Type, ESA Code Name and ESA URI Namespace needs to be specified. In case of selecting Domain, the Domain Name needs to be specified. Example: Domain Name: /SAPTRX/EV_PARROL In case of selecting BAPI the following values should be mentioned: o Bapi Object Type o Bapi Object Name o Bapi Method Name o Bapi Parameter Name o Bapi Field Name o Bapi Code Desc Table: This is the table name returned in the DESCRIPTION_FOR_HELPVALUES-FIELDNAME field by BAPI_HELPVALUES_GET rfc that stores the description of the code. o Bapi Code Desc Field Example Refer Creating a GSDO Type [Page 232] for more information on the values maintained in this example. To define the F4 help for the list of countries fetched from the QueryCodeList ESA service, enter the following data in the view cluster /IWCNT/VC_CTY:
  • 237.
    SAP NetWeaver GatewayConfiguration Guide (C) SAP AG SAP NetWeaver Gateway 2.0 SPS08 237 1. In transaction SPRO open the SAP Reference IMG and navigate to: SAP NetWeaver Gateway Content Services Administration Code List Settings Maintain Code Type activity and click on the Activity icon. 2. Choose the New Entries button to create a new entry in the view cluster. 3. Maintain the following values: o GSDO Type= COUNTRY o Version = DEFAULT o Code Category = Code Type Category default ESA(QueryCodeList) o Code Description= The description for the code in 30 characteres o ESA Code Name = CountryCode o ESA Code Type = Country Code o ESA URI Namespace= http://sap.com/xi/APPL/SE/Global To define F4 help for the list of Partner Roles fetched from a domain, enter the following data in the view cluster /IWCNT/VC_CTY: 1. In transaction SPRO open the SAP Reference IMG and navigate to: SAP NetWeaver Gateway Content Services Administration Code List Settings Maintain Code Type activity and click on the Activity icon. 2. Choose the New Entries button to create a new entry in the view cluster. 3. Maintain the following values: o GSDO Type = PARTNERROLES o Version = DEFAULT o Code Category = Code Type Category default Domain (DDIF_FIELDINFO_GET) o Domain Name = /SAPTRX/EV_PARROL To define F4 help for the list of possible values for Contact Allowance BAPI parameter, enter the following data in the view cluster /IWCNT/VC_CTY: 1. In transaction SPRO open the SAP Reference IMG and navigate to: SAP NetWeaver Gateway Content Services Administration Code List Settings Maintain Code Type activity and click on the Activity icon. 2. Choose the New Entries button to create a new entry in the view cluster. 3. Maintain the following values: o GSDO Type = CONTACTALLOW o Category = Code Type Category default BAPI (BAPI_HELPVALUES_GET) o Software Version = DEFAULT o BAPI Object Type= BUS1006
  • 238.
    SAP NetWeaver GatewayConfiguration Guide (C) SAP AG SAP NetWeaver Gateway 2.0 SPS08 238 o BAPI Object Name = BUSINESSPARTNER o BAPI Method Name = GETCENTRALDETAIL o BAPI Parameter = CENTRALDATA o BAPI Field Name = CONTACTALLOWANCE o BAPI Code Description Table = o BAPI Code Description Field = _TEXT
  • 239.
    SAP NetWeaver GatewayConfiguration Guide (C) SAP AG SAP NetWeaver Gateway 2.0 SPS08 239 Code List Usage The Code List GenIL model IWCLST can be used to create a GSDO type corresponding to the code for which code list needs to be fetched. Example In order to fetch code list for document types, a GSDO type (e.g. DOCTYPE) needs to be created. The corresponding GSI implementation must be maintained against the appropriate software versions. Additionally, the customizing entries should be maintained for the Code Type. Refer to the Creating a GSDO Type [Page 232], Creating GSDO Groups [Page 234], Assigning System Alias [Page 235]and Maintaining Code Type [Page 236] sections for more details. Since the Code List model is generic model, a GW Data Model and GW Consumption Model should be created for each code list. Example The GW Data Model DOCTYPE_0001_UC can be created for document types, referring to the GSDO type DOCTYPE. Once the GW Data Model is generated, the corresponding GW Consumption Model needs to be generated. An example of GW Consumption Model for Document types would be DOCTYPE_0001. Creating a GW Data Model based on the GSDO type 1. Logon to the Gateway system. 2. Open transaction se80 to view the Object Navigator. 3. Choose GW Data Model in the Data Object Hierarchy drop-down list. 4. Enter a Name for the GW Data Model. The GW Data Model name should follow the "<name>_<version>_UC" convention. The version must be 4 characters long with leading zeros. Example <namespace>DOCTYPE_0001_UC 5. Click Display and choose Yes in the Create Object window. 6. Specify the GSDO Type in the Create Data Model window using the view cluster. This indicates the GSDO type on which the GW Data Model is based. 7. Click Continue. 8. Enter the Name in the Create Model Entry window and Save. 9. Expand the new GW Data Model Object Structure in the Object Name region. 10. Set Labels and External Names for all the elements under the Object Structure.
  • 240.
    SAP NetWeaver GatewayConfiguration Guide (C) SAP AG SAP NetWeaver Gateway 2.0 SPS08 240 Creating a GW Consumption Model for the GW Data Model 1. Logon to the Gateway system. 2. Open transaction se80 to view the Object Navigator. 3. Choose GW Consumption Model in the Data Object Hierarchy drop-down list. 4. In the Create Consumption Model enter a Service Technical Name for the GW Consumption Model. The name should follow the "<name>_<version>" convention. The version must be 4 characters long with leading zeros. Example DOCTYPE_0001 5. Specify the Service External name, Version and the Description for the GW Consumption Model. 6. Save the GW Consumption Model. 7. Right click the GW Consumption Model and choose Add GW Data Model. 8. Specify the GW Data Model created in the Creating a GW Data Model based on the GSDO type section above. The GW Consumption Model is created. 9. Double click on the GW Consumption Model in the left hand side pane. The properties of the GW Consumption Model will be displayed on the right hand side pane. The property URL of the GW Consumption Model displayed in the URL field can be used to invoke the service and fetch the code list. The above steps should be performed for each code.
  • 241.
    SAP NetWeaver GatewayConfiguration Guide (C) SAP AG SAP NetWeaver Gateway 2.0 SPS08 241 Code List Cache Cleanup The cache cleanup functionality cleans the Code List cache which is maintained in the SAP NetWeaver Gateway system. This functionality can be used by the administrator to clear the cache data either periodically or whenever required by refreshing the cache data. The administrator can select the objects types for which the items are to be deleted. The data can also be deleted based on users and time restrictions. To delete the code list cache proceed as follows: 1. On the SAP NetWeaver Gateway 2.0 system, open transaction SPRO. 2. In transaction SPRO open the SAP Reference IMG and navigate to: SAP NetWeaver Gateway Former Development Generic Channel Administration Cache Settings Clean up cache and Persistency and click on the Activity icon. 3. Select parameter for User if required. 4. Select parameter for Cleanup scenario as /IWCNT/CODELIST_CACHE_CLEANUP. 5. Choose Select object types to select specific objects to be deleted. 6. In the Select object types window, choose the objects to be deleted. 7. Click OK to confirm. 8. In the Time restriction region, provide time restrictions if required or choose No time restriction. 9. Choose Execute. Note Whenever the Code List cached values (Gateway system) are changed in the backend system the Gateway Code List cache should be cleared.
  • 242.
    SAP NetWeaver GatewayConfiguration Guide (C) SAP AG SAP NetWeaver Gateway 2.0 SPS08 242 Configuring SAP NetWeaver Gateway System and SAP ERP System-ESA Service This section provides the basic configurations required to connect the SAP NetWeaver Gateway system (also referred as Consumer System) with the SAP ERP system (also referred as Provider System). The following important SOA Manager configurations have to performed in the Provider and Consumer Systems. For more information, see SOA Manager Configurations-SAP ERP System [Page 130] and SOA Manager Configurations-SAP NetWeaver Gateway System. [Page 141] Profiles that contains general configuration on security and transport settings for the entire landscape should be created on the Provider system and then imported to the Consumer system. For more information, see Creating a Profile. [Page 133] End Points to be created in the Provider systems using Business Scenario to indicate which SAP systems are called. This can be compared with RFC destinations. Provider systems to be configured in the Consumer system. For more information, see Configuring Provider System in the Consumer System. [Page 144] Service Group to be configured by creating a Business Scenario. For more information, see Configuring Service Groups using a Business Scenario. [Page 149] User Account to be configured for authentication when calling a Provider system. For more information, see User Account Management. [Page 145]
  • 243.
    SAP NetWeaver GatewayConfiguration Guide (C) SAP AG SAP NetWeaver Gateway 2.0 SPS08 243 Configurations on the SAP ERP System (Provider System) for Code List Note SAP ERP system is also called as Provider system in this section. When you are configuring the Provider system for the first time (either for Leave Management, Time Management or Code List) you must perform all the steps provided in this section. But, once you configure the provider system for any one of the applications (either Leave Management, Time Management, or Code List) you can ignore the following steps when configuring the system for the rest of the applications: o Importing a profile using a XML Template or creating a profile o Assigning personnel number for an employee o Obtaining WSIL URL o Obtaining the external key of the provider system. To configure the provider system: 1. You can either import a profile using a XML template or create a profile. Importing a profile using a XML template [Page 131] or Creating a profile [Page 133] 2. Import endpoints using a Business Scenario Configuration XML [Page 135] or Creating endpoints using a Business Scenario [Page 137] 3. Verifying the endpoints created [Page 139] 4. Assigning personnel number for an employee: To assign a SAP User ID to a Personnel Number proceed as follows: 1. Logon to the provider system. 2. Open transaction PA30. 3. Choose the Personnel number. 4. In the Direct selection section, choose Communication (0105) in the Infotype field, and System user name (0001) in the STy (Subtype) field. 5. Click the Change icon or press F6 from the key board to view the Change Communication page. 6. In the Communication section, enter the SAP user ID in the ID/number field. You have now assigned the SAP User ID to a Personnel number. 5. Obtaining WSIL URL 1. On the Provider system, open transaction sicf. 2. Enter SERVICE for the Hierarchy Type .
  • 244.
    SAP NetWeaver GatewayConfiguration Guide (C) SAP AG SAP NetWeaver Gateway 2.0 SPS08 244 3. Enter WSIL for the Service Name. 4. Choose Execute. Note The WSIL (Web Service Inspection Language) service lists the configuration of all web services exposed by the system. 5. Choose WSIL folder and right click and select Test Service. 6. A browser window opens, copy the URL from this browser. This is the WSIL URL. 6. Obtaining the external key of the provider system [Page 140].
  • 245.
    SAP NetWeaver GatewayConfiguration Guide (C) SAP AG SAP NetWeaver Gateway 2.0 SPS08 245 Configurations on the SAP NetWeaver Gateway System (Consumer System) for Code List Note SAP NetWeaver Gateway system is also called as Consumer system in this section. When you are configuring the Consumer system for the first time (either for Leave Management, Time Management or Codelist) you must perform all the steps provided in the procedure below. But, once you configure the Consumer system for any one of the applications (either Leave Management, Time Management, or Codelist) you can ignore the following steps when configuring the system for the rest of the applications: o Importing a profile file o Creating a system connection to the Provider system o User account management o Assigning system aliases o Configuring destination finder Configurations on the consumer system include: 1. Importing a Profile file [Page 142] — Import the Profile created in the Provider [Page 130] system. Note You must import the same profile created in the provider system, else mass configuration of web service proxies in the service groups is not possible. 2. Creating a system connection to the Provider system [Page 144] 3. User account management [Page 145] 4. Importing a business scenario Configuration XML [Page 147] or Configuring service groups using business scenarios [Page 149]/ — You can either manually configure service groups using a business scenario or import a business scenario configuration XML. 5. Verifying logical ports [Page 151] 6. Assigning system aliases: 1. In transaction SPRO open the SAP Reference IMG and navigate to: SAP NetWeaver Gateway Former Development Generic Channel Administration General Settings Manage GSDO Groups and click on the Activity icon. 2. Choose Assign GSDOs, the added GSDO will be present in the list. 3. Select the GSDO Type and click Assign SAP System Alias: User Role: A specific User Role can be maintained which will be checked to link to the designated system.
  • 246.
    SAP NetWeaver GatewayConfiguration Guide (C) SAP AG SAP NetWeaver Gateway 2.0 SPS08 246 SAP System Alias: Add the Provider System's name. 4. Select the System Alias and click Assign User Roles: User Roles can be defined here. Blank: Refers to All Roles. 7. Configuring Destination Finder: The Provider systems configured from SOA Manager have to be entered in the configuration of the Destination Finder so that during runtime, SAP NetWeaver Gateway can select the right provider system for a given system alias. This activity allows you to define RFC destinations that point to relevant SAP business systems. If a RFC destination points to an SAP system alias, that system alias will point to the corresponding SAP business system. Note Only RFC destinations of connection type 3 (Connection to ABAP System) can be used. 1. In transaction SPRO open the SAP Reference IMG and navigate to: SAP NetWeaver Gateway Generic Channel Configuration Connection Settings SAP NetWeaver Gateway to SAP System Manage RFC Destinations and click on the Activity icon. 2. Create a New RFC connection by specifying the RFC Destination and Connection Type. 3. Save the new RFC connection. 4. Go back to the SAP NetWeaver Gateway to SAP System activity. 5. Execute the Manage System Aliases IMG Activity. 6. Create a new System Alias by selecting the New Entries button. 7. Provide the created RFC connection. 8. Enter the Provider system's name for the system alias. 9. Save the settings.