CORE Report No. 2005-04




SAFETY OF OFFSHORE
STRUCTURES
by

TORGEIR MOAN

Professor
Norwegian University of Science and Technology

and

Keppel Professor
National University of Singapore



Centre for Offshore Research & Engineering

      National University of Singapore
Keppel Offshore and Marine Lecture
                 November 26. 2004




Safety of Offshore Structures
                         By




        Professor Torgeir Moan
  Director, Centre for Ships and Ocean Structures,
  Norwegian University of Science and Technology
 Keppel Professor, National University of Singapore
Foreword

The Second Keppel Offshore & Marine Lecture was delivered by Professor Torgeir
Moan at the National University of Singapore (NUS) on 26 November 2004. This report
is the written version of the lecture.   The Lecture was supported by many professional
societies, including American Society of Mechanical Engineers (Singapore Section), The
Institution of Engineers Singapore, The Institute of Structural Engineers, The Joint
Branch of Royal Institution of Naval Architects and Institute of Marine Engineering
Science & Technology, Society of Naval Architects and Marine Engineers Singapore,
Singapore Shipping Association and Singapore Structural Steel Society.

The Keppel Professorship in Ocean, Offshore and Marine Technology in NUS was
launched officially by His Excellency, President S.R. Nathan of Singapore and
Chancellor of NUS on 19 September 2002.           The Professorship has been established
under the Department of Civil Engineering, and is part of the bigger umbrella of the
Centre for Offshore Research & Engineering (CORE) in NUS. CORE has received seed
funding from Keppel Offshore & Marine Ltd and Economic Development Board
(Singapore). The Centre aims to be a focal point for industry participation and activities
in Singapore, and promotes multi-disciplinary research by drawing on the expertise of
various universities, research institutes, and centres for integrated R&D.

Professor Moan, the first Keppel Professor, is an academic of international stature
through his 30 years of close involvement in the international offshore oil and gas and
marine fraternity. He brings a global perspective to promote R&D in Singapore, with a
particular emphasis on the technological interests of Keppel Offshore & Marine. He will
serve as the beacon of guidance and inspiration for academics as well as industry.

CORE acknowledges the significant support of everyone in Keppel Offshore & Marine,
especially Mr Choo Chiau Beng, Mr Tong Chong Heong and Mr Charles Foo, for their
immense contributions. CORE is working closely in partnership with Keppel on R&D,
Education and Training to draw young talents into the offshore and marine industry.
Safety of Offshore Structures

                        Torgeir Moan
            Centre for Ships and Ocean Structures
        Norwegian University of Science and Technology



Summary


An overview of important developments regarding safety management of offshore
structures is given. Based on relevant experiences with accidents, the hazards and the
means to control the associated risk are categorized from a technical-physical as well
as human and organizational point of view. This includes considerations of the risk
associated with fatigue, corrosion and other degrading phenomena. The risk can be
controlled by use of adequate design criteria, inspection, repair and maintenance of
the structures as well as quality assurance and control of the engineering processes.
Such measures are briefly outlined, while the emphasis is placed upon a quantitative
design approach for dealing with structural robustness. In this connection the inherent
differences in the robustness of various structural concepts are pointed out. The appli-
cation of reliability methodology to obtain quantitative measures of structural safety
relating to ultimate failure as well as handle the combined effect of design, inspec-
tion and repair strategy on fatigue failure is highlighted. The application of risk
analysis to establish robustness criteria corresponding to a certain risk acceptance
level is briefly mentioned. The challenges of Quality Assurance and Control to new
structures are briefly outlined, with particular reference to recent examples of new
loading phenomena such as ringing and springing of platforms.




                                           i
1. Introduction
Oil and gas are the dominant sources of energy in our society. Twenty percent of
these hydrocarbons are recovered from reservoirs beneath the seabed. Various kinds
of platforms are used to support exploratory drilling equipment, and the chemical
(production) plants required to process the hydrocarbons. Large production platforms,
such as some of those in the North Sea, represent investment of billions of U.S. dol-
lars and significant operational costs. Pipelines or tankers are used to transport the
hydrocarbons to shore. This paper is limited to deal with offshore structures, see Fig.
1.




a) Offshore oil and gas            b) Platform for exploratory   c) Platform for oil and gas
   exploitation                      drilling operation             production (chemical processing)


Fig. 1 Subsea oil and gas exploitation


The continuous innovations to deal with new serviceability requirements and demand-
ing environments as well the inherent potential of risk of fires and explosions have
lead to an industry which has been in the forefront of development of design and
analysis methodology. Fig. 2 shows phases in the life cycle of offshore structures. The
life cycle of marine systems is similar to that of other systems. In view of the ecologi-
cal issue removal or clean-up need to be considered. In this aspect the recycling of the
material is an important issue. In the life cycle phases of structures the design phase is
particularly important. Offshore structures need to fulfil serviceability and safety re-
quirements. Serviceability requirements depend upon the function of the structure,
which is to provide a platform and support of equipment for drilling or for the produc-
tion of hydrocarbons. Drilling units need to be mobile while production platforms are
generally permanent. Production platforms are commonly designed to carry large
chemical factories together with large hydrocarbon inventories (Fig. 1c). Safety re-


                                               1
quirements are introduced to limit fatalities as well as environmental and property
damages.

The focus here is on the structural safety during the life cycle of the platforms. A ra-
tional safety approach should be based on:
    -   Goal-setting; not prescriptive
    -   Probabilistic; not deterministic
    -   First principles; not purely experimental
    -   Integrated total; not separately
    -   Balance of safety elements; not hardware
                                              Design                 Data, methods,
                                              for                    criteria
                                              - serviceability &
                                              - producability
                                              - safety               Layout/
                                                                     Scantlings


                                              Fabrication
                                              - Fabrication plan -
                                                                     Fabrication &
                                              - Inspection/repair
                                                                     Operation
                                                                       data
                                              Operation
                                              - Operation plan
                                                Inspection/
                                                monitoring/
                                                repair /
                                                maintenance
                         Reassessment
                                              Removal and reuse



Fig. 2: Life cycle phases of offshore structures

The safety management of structures is different for different industries depending on
the organisation as well as regulatory contents. For instance the safety management of
offshore structures differs from that for trading ships. One reason for this difference is
the fact that safety management of trading vessels emerged for centuries through em-
piricism while off-shore structures have primarily come about in the last 50 years
when first principles of engineering science had been adequately developed to serve
as basis for design. Similarly the regulatory regime differs between ships and offshore
structures in that offshore operation take place on continental shelves under the juris-
diction of the local government. Typically authorities in the continental shelf states
have to issue regulations. Examples of these are MMS/API in USA, HSE in UK and
NPD in Norway. However the provisions for stability and other maritime issues are
based on those of IMO and their corresponding national organizations. Classification
societies primarily provide rules for drilling units and services for production facili-
ties, which primarily are handled by national authorities. Since early 1990s ISO has
been developing a harmonized set of codes for offshore structures with contribution
from all countries with major offshore operations.

Over the time safety management of offshore structures has been developed, in paral-
lel with the evolvement of the technology and the competence to deal with it. Initially
civil engineering was the driving force for structural safety management. Later the


                                             2
aeronautical and nuclear industries also played an important role. However in the last
20-30 years the developments in the offshore industry has had a significant impact on
the development of safety approaches. This is partly because the offshore industry
plays a key role in the “world’s economy”. Moreover the oil and gas represent energy
with large potential accident consequences. Companies involved in structures and/or
facilities that experience accidents may suffer loss of reputation and this may damage
the public’s trust on the companies.

The rationalisation of safety management of offshore structures began in early 70’s.
Among the milestones is the introduction of Risk Analysis in 1981 and Accidental
Collapse Design criterion in 1984 by the Norwegian Petroleum Directorate and the
HSE Safety case approach in 1992, when the ALARP principle - as large as reasona-
bly practicable – was introduced for determining the target safety level.

To limit the likelihood of fatalities and environmental and property damages, offshore
structures should be designed, fabricated and operated in such a manner that the prob-
ability of the following failure modes is adequately small:
   - overall, rigid body instability (capsizing) under permanent, variable and envi-
     ronmental loads
   - failure of (parts of) the structure foundation or mooring systems, considering
     permanent, variable, and environmental as well as accidental loads
Stability requirements for floating platforms affect the layout and the internal struc-
ture – subdivision in compartments. Criteria to prevent progressive structural failure
after fatigue failure or accidental damage would have implications on overall layout
of all types of platforms. Otherwise a structural strength criterion affects the scant-
lings of the stiffened, flat, and cylindrical panels that typically constitute floating off-
shore structures.
If the location is far off shore then evacuation and rescue will be difficult. On the
other hand, this implies that accidents on offshore facilities affect the general public to
a lesser extent than accidents on similar facilities on land.
In the following sections accident experiences on offshore structures will be briefly
explained. Then, an outline of various measures to manage the safety or ensure that
the risk is within acceptable limits, is given. This includes: Design and inspection
criteria as well as reliability methodology to calibrate the partial safety factors to cor-
respond to a defined acceptable safety level. In particular it is explained how fatigue
failures can be avoided by design as well as inspections and regular monitoring of the
structure. Emphasis is placed on how structural robustness can be ensured by using
so-called Accidental Collapse Limit State (ALS) criteria. Such criteria are exempli-
fied in relation to fires, explosions and other accidental loads. Finally, Quality Assur-
ance and/or Quality Control of the engineering process will be described with particu-
lar reference to dealing with unknown wave loading and response phenomena.

2. Accident Experiences
2.1 Accident experiences at large
Safety may be regarded as the absence of accidents or failures. Hence the insight
about safety features can be gained from detailed information about accidents and
failures. To learn about the intrinsic nature of accidents, it is mandatory to study the
detailed accounts provided from investigations of catastrophic accidents since the


                                             3
necessary resources are then spent to investigate such accidents. Such studies include
those of the platforms Alexander Kielland in 1980 (ALK, 1981, Moan and Holand,
1981b), Ocean Ranger in 1982 (OR, 1984), Piper Alpha in 1988 (PA, 1990), and P-36
in 2001 (P-36, 2003). See also Bea (2000a, 2000b). In addition, the statistics about
offshore accidents, such as ones given in WOAD (1996), provide an overview.
Global failure modes of concern are
   - capsizing/sinking
   - structural failure
   - positioning system failure
the former two modes represent catastrophic events while the latter one is only critical
for Tension-leg platforms. Global failures normally develop in a sequence of technical
and physical events. However, to fully understand accidents it is necessary to interpret
them in the view of human and organizational factors (HOF). This includes possible
deficiencies in relevant codes, possible unknown phenomena that have materialized as
well as possible errors and omissions made in engineering processes, fabrication
processes or in the operation itself.




                                b) Model of Ocean           c) Piper Alpha fire     d) P - 36 accident in 2001
                                Ranger, which capsized in   and explosion in 1988
a) Alexander L. Kielland
                                1982, during survival
   before and after capsizing
                                testing
   in 1980


Fig. 3: Examples of accidents which resulted in a total loss.


Let us consider an example: The platform shown in Figure 4a in the Gulf of Mexico.
This is one of many platforms that were damaged during the passage of the hurricane
Lilli. Physically there is no doubt that this accident was due to extreme wave forces.
To explain from a human and organizational point of view why the platform was not
strong enough to resist the wave forces, we have to look at the decisions that were
made during the design phase regarding loads, load effects, resistance and safety fac-
tors. The explanation might be that design was based on an inadequate wave condi-
tions or load calculation. The damage could also be due to the occurrence of a particu-
lar a wave phenomenon, such as an abnormal wave crest (see Fig. 4b) or another “un-
known” wave phenomenon. In the case of the exceptional wave in Fig. 4b, the ques-
tion is whether the extreme crest height of 18.5 m should be considered as the so-
called “freak” wave or simply a rare wave. Alternatively, the reason could be inade-
quate air-gap provided in the design. Yet another explanation might be that an im-
proper strength formulation was used (as was the case in design of early generation
platforms). Finally, the safety factors might not have been sufficient to cover the in-
herent uncertainties. For each of these possible causes, two explanations need to be


                                                      4
considered, namely 1) The state of art in offshore engineering was inadequate at the
time of design ; 2) Errors and omission were made during design or fabrication! Ob-
viously, these two explanations have different implications on the risk reducing ac-
tions.

In this connection it is noted that several types of environmental load phenomena,
such as green water on deck and slamming (Fig. 4 c-d) are subjected to large uncer-
tainties. In general, if the phenomenon is known but subject to significant uncertain-
ties, the design approach taken is normally conservative.

                                                                                                     18



                                                                                                       5




                                                    b) Wave record from a platform site in the
                                                       North Sea on January 1. 1995.




 a)Severe damage caused on a jacket
   platform in the Gulf of Mexico by
   Hurricane Lilli
                                       c) Green water and deck slamming           d) Deck slamming on semi-
                                          on FPSO                                    submersible platform


Fig. 4 Structural damage due to environmental loads


The technical-physical sequence of events for the Alexander Kielland platform was:
fatigue failure of one brace, overload failure of 5 other braces, loss of column, flood-
ing into deck, and capsizing. For Ocean Ranger the accident sequence was: flooding
through broken window in ballast control room, closed electrical circuit, disabled bal-
last pumps, erroneous ballast operation, flooding through chain lockers and capsizing.
Piper Alpha suffered total loss after: a sequence of accidental release of hydrocarbons,
as well as escalating explosion and fire events. P-36 was lost after: an accidental re-
lease of explosive gas, burst of emergency tank, accidental explosion in a column,
progressive flooding, capsizing and sinking after 6 days.
Table 1 shows accident rates for mobile (drilling) and fixed (production) platforms
according to the initiating event of the accident WOAD (1996). Table 1 is primarily
based upon technical-physical causes. Severe weather conditions would normally af-
fect capsizing/ foundering as well as structural damage. In most cases there existed
human errors or omissions by designers, fabricators or operators of the given installa-
tion was a major contributor to the accident. The most notable in this connection is,
of course accidents caused by loads such as ship impacts, fires and explosions which
should not occur but do so because of errors and omissions during operation.
In general, accidents take place in sequences. For floating platforms, the loss of buoy-
ancy and stability is commonly an important aspect of total loss scenarios. Structural
damage can cause progressive structural failure or flooding. Progressive flooding at-


                                              5
tributes to a greater probability of total loss of floating structures than progressive
structural failure.
Degradation due to corrosion and fatigue crack growth are gradual phenomena. How-
ever, if the fatigue life is insufficient to make Inspection, Monitoring, Maintenance
and Repair (IMMR) effective or if there is lack of robustness, fatigue can cause catas-
trophic accidents, see Fig. 5. Both cases shown in Fig.5 occurred for statically deter-
minate platforms. In other situations through-the-thickness cracks were detected by
inspections before they caused catastrophic failures (Moan, 2004). Corrosion is not
known to have caused accidents with floating offshore structures of significance. On
the other hand, maintenance related events for floating structures is limited. We need
to be aware of this problem, especially for structures with a low fatigue life.

Table 1: Number of accidents per 1000 platform-years. Adapted after WOAD
         (1996).
                    World wide                            Gulf of Mexico   North Sea
Type of
                    Mobile         Fixed                  Fixed            Fixed
accident
                    1970-79 /80-95 1970-79 /80-95 1970-79 /80-95           1970-79 /80-95
Blowout             18.8/ 11.4     2.5/0.9                2.2/1.0          2.6/1.6
Capsizing/          24.0/ 19.5     0.5/0.8                0.3/1.1          2.6/0.5
foundering
Collision / contact 24.6/ 14.6     1.6/1.0                1.3/0.7          5.1/6.3
Dropped object      4.2/ 6.1       0.5/0.8                0.1/0.4          10.3/10.6
Explosion           7.4/3.3        0.7/1.6                0.3/0.4          2.6/8.3
Fire                12.3/          2.0/7.5                1.0/7.8          18.0/42.5
                    11.9
Grounding           6.1/3.3        -                      -                -
Spill/release       4.9/5.9        1.8/8.7                1.0/5.8          23.1/98.3
Structural damage 25.6/ 18.4        0.5/0.6               0.4/0.5          10.3/6.0



                                       Column D




                                       ”Missing braces”
                                        – that cause no
                                          redundancy




                 Ranger I, 1979               Alexander Kielland, 1980


Fig. 5: The total losses of Ranger I in 1979 and Alexander Kielland in 1981 were
        initiated by fatigue failure


                                              6
An overall picture of the accident rate in an industry may be displayed by the so-
called Frequency-Consequence diagram as shown in Figure 6. The horizontal axis is
plotted the consequence, in this case in terms of fatalities, N. The vertical axis is
shown the frequency of N or more fatalities per accident. We see that the accident rate
for mobile drilling units is much higher than for fixed production platforms. Fixed
platforms are mainly used as production facilities. Moan and Holand (1981b) ex-
plained the main reasons for the differences in safety levels between mobile and fixed
platforms. Floating production platforms are not included because of the limited ex-
perience with such platforms. The risk is similar that that of passenger vessels and
tankers.
                                                100
                                                                     Marginally acceptable

                                                                       Acceptable
                  Annual frquency of an event




                                                10-1
                    with N or more fatalities




                                                                                     Oil platforms
                                                                                         Mobile
                                                10-2                                     Fixed


                                                10-3
                                                       Passenger
                                                       ferries
                                                10-4
                                                       (not ro-ro)

                                                       Tankers
                                                10-5
                                                       Merchant
                                                       vessels

                                                                 1        10     100     1000     10000
                                                                             Number of lives lost, N

Fig. 6: Comparison of experienced overall accident rates with respect to fatalities
        in the offshore and shipping industries

2.2 Human and organizational factors
Basically, structural failure occurs when the resistance, R is less than the load effect,
S as indicated in Fig. 7. From a Human and Organizational Factor (HOF) point of
view this can be due to too small safety factors to account for the normal uncertainty
and variability in R and S relating to design criteria. But the main causes of actual
structural failures are the abnormal resistance and accidental loads due to human er-
rors and omissions.
Design errors materialise as a deficient (or excessive) resistance, which cannot be
derived from the parameters affecting the “normal” variability of resistance. Fabrica-
tion imperfections (such as cracks, plate misalignment, etc.), which also affect the
resistance, are influenced by human actions. The “normal” variability of welders per-
formance, environmental conditions, and soon lead to a “normal” variability in the
imperfection size. This is characterised by a smooth variation of the relevant imper-
fection parameter. Occasionally a deviation from “normal practice” does occur, for
instance as an abnormality caused by using a wet electrode, or another gross fabrica-
tion error. The Alexander L. accident in 1980 was caused by a fatigue failure of a
brace and design checks had not been carried out. The implied fatigue life was further
reduced – to 3.5 years - by a fabrication error (70 mm weld defect) as well as inade-
quate inspections (ALK, 1981). Although the fatigue failures that had been experi-
enced in semi-submersibles in the period 1965-70 resulted in fatigue standards, these


                                                                      7
standards were not properly implemented even for platforms built in the 1970’s.
Many platforms built in the 1970’s had joints with design fatigue lives as low as 2-5
years. This fact was evidenced in the extraordinary surveys undertaken after Alexan-
der Kielland accident. The same happened to the first purpose built FPSO and shuttle
tankers put into service in the mid-1980’s. However, ships are obviously more robust
or damage-tolerant than mobile semi-submersible platforms.
Man-made live loads also have a “normal” and an “abnormal” component. While
some loads, notably fires and explosions, ship collisions, etc. do not have a normal
counterpart, they are simply caused by operational errors or technical faults. The mo-
bile platform Ocean Ranger capsized in the offshore of Newfoundland in 1982. The
accident was initiated by control room window breaking due to wave slamming. The
water entering the control room lead to the short circuit of the ballast valve system,
thereby leading to a spurious operation of ballast valves. The resulting accidental bal-
last condition could not be controlled partly because of lack of crew training and
partly because of inadequate ballast pumps, and open chain lockers (OR, 1984).
The catastrophic explosion and fire on the Piper Alpha platform in 1988 was initiated
by a gas leak from a blind flange of a condensation pump that was under maintenance
but not adequately shut down (PA, 1990). The main issue that caused the initiation of
this accident was the lack of communication between the maintenance team and the
control room operators. The gas ignited and the initial explosion lead to damage of an
oil pipe and subsequent oil fires and explosions.
In 2001 the platform P-36 in Brazil experienced a collapse of the emergency drainage
tank, accidental explosion and subsequent flooding capsizing and sinking. A series of
operational errors were identified as the main cause of the first event and also the
sinking (P-36, 2001).
It is a well known fact that the gross errors dominate as the cause of accidents, and
therefore appropriate control measures should be implemented. It is found that the
gross errors cause 80-90% of the failure of buildings and bridges and other civil engi-
neering structures (Matousek and Schneider, 1976). The same applies to offshore
structures.


                                                  R&D

                            Risk
                            reduction
              Do the job                  Unknown material or                     Do the job
              properly in                 load phenomenon                         properly in
                                                                                  the first place
              the first place       Causes
              QA/QC        Design                                                      QA/QC of
                                       Abnormally               Design error           design
              of design    error
                                       low        Failure       - oversight of load
                                                                                       QA/QC of
              QA/QC        Fabrication resistance  R<S          …
                                                                                       operation
                           error                                Operational error
              of the as-                                                               Event
                                                                - accidental load
              fabricated                                                               control
              structure                ULS: RC/γR > γS1SC1 + γS2SC2                    (leak, etc)
                                       FLS: D=Σni/Ni ≤ Dallowable                      ALS
                                       Inadequate safety factors for                   design
                                       normal variability of R and S                   check


                                     Apply adequate safety factors
                                     in ULS/FLS design check




Fig. 7 Interpretation of causes of structural failure and risk reduction measures.


                                                         8
It has been observed that errors and omissions occur especially in dealing with novel
materials and concepts as well as during periods with economic and time pressures.
In some cases, accidents have been caused by inadequate engineering practice such as
the lack of knowledge regarding new phenomena. Recently new phenomena such as
ringing and spinning of TLPs, degradation failure mechanism of flexible risers, have
been discovered. Nevertheless they were observed in time before any catastrophic
accident could occur.


3. Safety Management

3.1 General
Offshore drilling, production or transport facilities are systems consisting of struc-
tures, equipments and other hardware’s, as well as specified operational procedures
and operational personnel. Ideally these systems should be designed and operated to
comply with a certain acceptable risk levels as specified for example by the probabil-
ity of undesirable consequences and their implications. The safety management needs
to be synchronised with the life cycle of the structure. Structural failures are mainly
attributed to errors and omissions in design, fabrication and, especially, during opera-
tion. Therefore, Quality Assurance and Control (QA/QC) of procedures and the struc-
ture during fabrication and use (operation) is crucial.

To do a truly risk based design, by carrying out the design iteration on the basis of a
risk acceptance criterion, and to achieve a design that satisfies the acceptable safety
level, is not feasible. In reality, different subsystems, like:
-   loads-carrying structure & mooring system
-   process equipment
-   evacuation and escape system
are designed according to criteria given for that particular subsystems. For instance, to
achieve a certain target level, which implies a certain residual risk level, safety criteria
for structural design are given in terms of Ultimate Limit State (ULS) and Fatigue
Limit State (FLS) criteria. Using appropriate probabilistic definitions of loads and
resistance together with safety factors, the desired safety level is achieved. The im-
plicit risk associated with these common structural design criteria is generally small!
The philosophy behind the Accidental Collapse Limit (ALS) criteria is discussed be-
low.
The nature of human errors differs from that of natural phenomena and “normal”
man-made variability and uncertainty. Different safety measures are required to con-
trol error-induced risks. A number of people maintain that gross errors are “Acts of
God” and cannot be dealt with.
However,
-   weld defects and fatigue failures due to gross errors had occurred before the Kiel-
    land accident
-   ballast errors had occurred before the Ocean Ranger accident
-   fires and explosions had occurred before the Piper Alpha accident
and so on




                                             9
The occurrence of gross errors have been avoided by adequate competence, skills,
attitude and self-checking of those who do the design, fabrication or operation in the
first place; and by exercising “self-checking” in their work.
In addition, quality assurance and control should be implemented in all stages of de-
sign, fabrication and operation. While the QA/QC in the design phase is concerned
with scrutinizing the analysis, design checks and the final scantlings arrived at, the
QA/QC during fabrication and operation phases refers to inspection of the structure
itself.
As mentioned above, operational errors typically result in fires or explosions or other
accidental loads. Such events may be controlled by appropriate measures such as de-
tecting the gas/oil leakage and activating shut down valve; extinguishing of a fire by
an automatically-activated deluge system. These actions are often denoted as “Event
Control”.

Finally, Accidental Collapse Limit State criteria are implemented to achieve robust
offshore structures, that is to prevent that the “structural damage” occurring as fabri-
cation defects or due to accidental loads, escalate into total losses (Moan 1994).
Table 2 summarises the causes of structural failure from a risk management point of
view, and how the associated risk may be ameliorated.

Adequate evacuation and escape systems and associated procedures are crucial for
controlling failure consequences in terms of fatalities.

Table 2: Causes of structural failures and risk reduction measures
Cause                                   Risk Reduction Measure
• Less than adequate safety margin to   - Increased safety factor or margin in ULS, FLS;
   cover “normal” inherent uncertain-   - Improve inspection of the structure(FLS)
   ties.
• Gross error or omission               - Improve skills, competence, self- checking (for
  during                                  d, f, o)
   - design (d)                         - QA/QC of engineering process (for d)
   - fabrication (f)                    - Direct design for damage tolerance (ALS) – and
   - operation (o)                        provide adequate damage condition (for f, o)
                                        - Inspection/repair of the structure (for f, o)
• Unknown phenomena                     - Research & Development


3.2 Design and inspection criteria
Adequate performance of offshore structures is ensured by designing them to comply
with serviceability and safety requirements for a service life of 20 years or more, as
well as carrying out load or response monitoring, or inspection and taking the neces-
sary actions to reduce loads directly or indirectly, by, e.g., removal of marine growth,
or to repair, when necessary.
Serviceability criteria are introduced to make the structure comply with the functions
required. These criteria are commonly specified by the owner. Production platforms
are usually made to be site- specific, while drilling units are commonly intended for
operation in specific regions or world wide.



                                          10
Safety requirements are imposed to avoid ultimate consequences such as fatalities and
environmental or property damages. Depending upon the regulatory regime, separate
acceptance criteria for these consequences are established. Property damage is meas-
ured in economic terms. Fatalities and pollution obviously also have economic impli-
cations. In particular, the increasing concern about environmental well-being can
cause small damages to have severe economic implications. While fatalities caused by
structural failures would be related to global failure, i.e. capsizing or total failure of
deck support, smaller structural damages may result in pollution; or property damage
which is costly to repair such as the damages of an underwater structure.
The current practice which is implemented in new offshore codes, issued e.g. by API
(1993/97), ISO 19900 (1994-) and NORSOK (1998a, 1998b, 1999, 2002) as well as
by many classification societies, and the most advanced codes are characterized by

   -   design criteria formulated in terms of limit states (ISO 19900, 1994)
       – see Table 3

   - semi-probabilistic methods for ultimate strength design which have been cali-
     brated by reliability or risk analysis methodology

   - fatigue design checks depending upon consequences of failure (damage-
     tolerance) and access for inspection

   - explicit accidental collapse design criteria to achieve damage-tolerance for the
     system

   - considerations of loads that include payload; wave, current and wind loads, ice
     (for arctic structures), earthquake loads (for bottom supported structures), as
     well as accidental loads such as e.g. fires, explosions and ship impacts

   - global and local structural analysis by finite element methods for ultimate
     strength and fatigue design checks

   - nonlinear analyses to demonstrate damage tolerance in view of inspection plan-
     ning and progressive failure due to accidental damage

Fatigue crack growth is primarily a local phenomenon. It requires stresses to be calcu-
lated with due account of the long-term wave conditions, global behaviour as well as
the geometric stress concentrations at all potential hot spot locations, and suitable
fatigue criteria (e.g. Miner’s rule). Fatigue strength is commonly described by SN-
curves, which have been obtained by laboratory experiments. Fracture mechanics
analysis of fatigue strength have been adopted to assess more accurately the different
stages of crack growth including calculation of residual fatigue life beyond through-
thickness crack, which is normally defined as fatigue failure. Detailed information
about crack propagation is also required to plan inspections and repair.




                                           11
Table 3 Limit State Criteria for safety – with focus on structural integrity
 L im it s ta te s                                     P h y s ic a l a p p e a r a n c e   R e m a rk s
                                                       o f fa ilu r e m o d e

 U ltim a te                           (U L S )                                             D if f e r e n t f o r b o t t o m –
 - O v e r a l l “ r ig i d b o d y ”                                                       s u p p o rte d , o r b u o y a n t
   s t a b i lit y                                     C o lla p s e d                      s tru c tu re s .
 - U lt im a t e s t r e n g t h o f                   c y lin d e r                        C o m p o n e n t d e s ig n c h e c k
   s t r u c t u r e , m o o r in g o r
   p o s s ib le f o u n d a t io n


 F a tig u e                         (F L S )                                               C o m p o n e n t d e s ig n c h e c k
 - F a ilu r e o f w e ld e d jo in t s                F a t ig u e -                       d e p e n d in g o n r e s i d u a l
   d u e t o r e p e t it iv e lo a d s                fra c tu re                          s y s te m s tre n g th a n d
                                                                                            a c c e s s f o r in s p e c t io n




 A c c id e n ta l c o lla p s e ( A L S )                                                  S y s t e m d e s ig n c h e c k
 - U lt im a t e c a p a c it y 1 ) o f
                                                        J a c k -u p
   d a m a g e d s t r u c t u r e w it h               c o lla p s e d
   “ c r e d i b le ” d a m a g e




An adequate safety against fatigue failure is ensured by design as well as by inspec-
tions and repairs. Fatigue design requirements depends upon inspect ability and fail-
ure consequences. Current requirements for fatigue design check in NORSOK are
shown in Table 4. These values were established by the NPD code committee in 1984
by judgement.

Table 4 Fatigue design factor, FDF to multiply with the planned service life to
        obtain the required design fatigue life (NORSOK N-001, 2002).
                                       Access for inspection and repair
                                                                   Accessible (inspection according to generic scheme
                                      No access or                 is carried out)
                                      in the splash zone                                               Above splash zone
                                                                   Below splash zone
                                                                                                       or internal
Substantial
                                                  10                                  3                                  2
consequences
Without substantial
                                                  3                                   2                                  1
consequences
1)
  The consequences are substantial if the Accidental Collapse Limit State (ALS) criterion is
not satisfied in case of a failure of the relevant welded joint considered in the fatigue check.


Traditionally we design for dead-loads, payloads as well as environmental loads. But,
loads can also be induced by human errors or omissions during operation – and
cause accidental loads. They commonly develop though a complex chain of events.
For instance hydrocarbon fires and explosions result as a consequence of an acciden-
tal leak, spreading, ignition and combustion process. Accidental Collapse Limit State
(ALS) requirements are motivated by the design philosophy that “small damages,
which inevitably occur, e.g. due to ship impacts, explosions and other accidental
loads, should not cause disproportionate consequences”.



                                                                       12
The first explicit requirements were established in Britain following the Ronan Point
apartment building progressive failure in 1968. In 1984 such criteria were extended
by NPD, to include such robustness criteria for the structure and mooring system.
While robustness requirements to the mooring are generally applied today, explicit
ALS criteria are not yet widespread. The World Trade Centre and other recent catas-
trophes have lead to further developments of robustness criteria for civil engineering
structures. See Figure 8.

ALS checks should apply to all relevant failure modes as shown in Figure 9. It is in-
teresting in this connection to note that ALS-type criteria were introduced for sinking/
instability of ships long before such criteria were established for structural integrity as
such. Thus, ALS were introduced in the first mobile platform rules (as described e.g.
by Beckwith and Skillman, 1976). The damage stability check has typically been
specified with damage limited to be one or two compartments flooded. According to
NPD this damage should be estimated by risk analysis, as discussed subsequently.
The criterion was formally introduced for all failure modes of offshore structures in
Norway in 1984 (NPD, 1984).

                                                                                                                           Applied
                 •   Ronan point                                                                                           since
                                                Motivation:                                                                early
                     appartment building                                                                                   codes
                                                 ”small damages,                                Flooded
                     accident, 1968              which inevitably occur,                        volume
                 •   Flixborough explosion,      should not cause           a) Capsizing/sinking due to (progressive) flooding
                     1974                        disproportionate
                 •   ECCS model codes,           consequences!”                                                            Gaining
                                                                                                     Explosion damage      acceptance
                     1978
                 •   Alexander L. Kielland
                     accident, 1980
                 •   NPD Regulations for
                     Risk analysis, 1981                                   b) Structural failure e.g. due to impact damage,....
                 •   NPD’s ALS criterion,
                     1984
                 •   HSE Safety Case, 1992
                                                Failure of Dynamic              One                        One              Generally
                 •   WTC, September 11., 2001   Positioning System              tether                     mooring          applied
                                                is handled in a similar         failed                     line failed
                                                manner
                                                                          c) Failure of mooring system due to "premature" failure




Fig. 8: Historical development of ALS                  Fig. 9: Accidental Collapse Limit State
        assessment of structures                               (ALS) requirements



The assessment of structures during operation is necessary in connection with a
planned change of platform function, extension of service life, occurrence of overload
damage due to hurricanes (Dunlap and Ibbs, 1994), subsidence of North Sea jackets
(Broughton, 1997), explosions, fires and ship impact, updating of inspection plans etc
(ISO 19900). Basically, the reassessment involves the same analyses and design
checks as carried out during initial design. However, depending upon the inherent
damage tolerance ensured by the initial design, the measures that have to be imple-
mented to improve the strength of an existing structure may be much more expensive
than ones for a new structure. This fact commonly justifies more advanced analyses of
loads, responses, resistances as well as use of reliability analysis and risk-based ap-
proaches than in the initial design (Moan, 2000a).



                                                        13
3.3 Inspection, Monitoring, Maintenance and Repair
Inspection, Monitoring, Maintenance and Repair (IMMR) are important measures for
maintaining safety, especially with respect to fatigue, corrosion and other deteriora-
tion phenomena. To ensure structural integrity within the offshore sector in the North
Sea, the regulatory body defines the general framework while the audit of the oil
companies or rig owners defines: inspection and maintenance needs, reports planned
activity, findings and evaluates conditions annually and every fourth or fifth year.
Hence, the inspection history of a given structure is actively incorporated in the plan-
ning of future activities. The inspection and repair history is important for a rational
condition assessment procedure of the relevant structure and other, especially for “sis-
ter” structures.
The objective of inspections is to detect cracks, buckling, corrosion and other dam-
ages. Overload phenomena are often associated with a warning for which the inspec-
tion can be targeted, while degradation needs continuous surveillance. However, nor-
mally ample time for repair will be available in the latter cases.
An inspection plan involves:
- prioritizing which locations are to be inspected
- selecting inspection method (visual inspection, Magnet Particle Inspection, Eddy
  Current) depending upon the damage of concern
- scheduling inspections
- establishing a repair strategy (size of damage to be repaired, repair method and
  time aspects of repair)
Whether the inspection should be chosen to aim at detecting cracks by non-destructive
examination (NDE), close visual inspection, detect through-thickness cracks e.g. by
leak detection, or member failures would depend on how much resources are spent to
make the structure damage tolerant. The choice again would have implication on the
inspection method. The main inspection methods being the NDE methods consist of
detection of through-thickness crack by e.g. leak detection, and visual inspection by
failed members. The quality of visual inspection of NDE methods depends very much
upon the conditions during inspection. A large volume offshore structure is normally
accessible from the inside, while members with a small diameter such as TLP tethers
and joints in jacket braces, are not.
Permanent repairs are made by cutting out the old component and butt welding a new
component, re-welding, adding or removing scantlings, brackets, stiffeners, lugs or
collar plates.
Typically major inspections of offshore structures (special surveys, renewal surveys)
are carried every 4 - 5th year, while intermediate and annual inspections are normally
less extensive. Further refinement of the inspection planning has been made by intro-
ducing probabilistic methods as described below.
Inspection, monitoring and repair measures can contribute to the safety only when
there is a certain damage tolerance. This implies that there is an interrelation between
design criteria (fatigue life, damage tolerance) and the inspection and the repair crite-
ria. Fatigue design criteria, hence, depend upon inspection and failure consequences
as shown e.g. by Table 4.
However, during the operation, the situation is different. The strengthening of the
structure by increased scantlings is very expensive. The most relevant measure to in-
fluence safety relating to fatigue and other degradation phenomena is by using an im-


                                           14
proved inspection method or increased frequency of inspections. The following sec-
tion briefly describes how fatigue design and inspection plans (based on an assumed
inspection method) can be established by reliability analysis to ensure an acceptable
safety level.

3.4 Quantitative Measures of Safety
Ideally the structural safety should be measured in a quantitative manner. Structural
reliability methods are applied to determine the failure probability, Pf which is asso-
ciated with normal uncertainties and variability in loads and resistance. Quantitative
risk assessment can be used to deal with the probability of undesirable events and
their consequences in general terms. This includes events induced by errors and omis-
sions, see Fig. 10.

                    Structural reliability analysis

                                                                                                  Deck
                                                                                                                Column
                         Prob. density function




                                                  Load effect
                                                  fS(s)
                                                                                                R,S               Wave
                                                                                                                  pressure
                                                                Resistance fR(r)

                                                                                             PF=P[R≤S]
                                                                                       Uncertainty in R and S can be
                                                                             r,s       modelled by probability density


                    Quantitative risk analysis
                                                                                   End
                                                                                   events

                                                    Critical
                                                     event
                     Fault
                     tree                                                Event
                                                                         tree
                                                                              Consequences


Fig. 10: Methods for quantifying the risk or safety level


The quantitative safety approach is based on estimating the implied failure probability
and comparing it with an acceptance level. This target safety level should depend
upon the following factors (e.g. Moan, 1998):
- type of initiating events (hazards) such as environmental loads, various accidental
  loads, .. which may lead to different consequences
- type of SRA method or structural risk analysis, especially which uncertainties are
  included
- failure cause and mode
- the possible consequences of failure in terms of risk to life, injury, economic losses
  and the level of social inconvenience.
- the expense and effort required to reduce the risk.
In principle a target level which reflects all hazards (e.g. loads) and failure modes
(collapse, fatigue, ... ) as well as the different phases (in-place operation and tempo-
rary phases associated with fabrication, installation and repair) is defined with respect
to each of the three categories of ultimate consequences. The most severe of them
governs the decisions to be made. If all consequences are measured in economic
terms, then a single target safety level could be established. However, in practice it is
convenient to treat different hazards, failure modes, and phases separately, with sepa-
rate target levels. This may be reasonable because it is rare that all hazard scenarios


                                                                          15
and failure modes contribute equally to the total failure probability. The principle of
establishing target levels for each hazard separately was adopted by NPD for acciden-
tal loads; see e.g. Moan et al. (1993b). It was also advocated by Cornell (1995). In
general it is recommended to calibrate the target level to correspond to that inherent in
structures which are considered to have an acceptable safety.


3.5 Structural reliability analysis
General
Structural reliability methods for calculating the failure probability are readily avail-
able. If the uncertainty in the resistance R and load effect S are described by probabil-
ity density functions. The failure probability can be calculated as P (R<S). It is impor-
tant to recognize that there are different types of uncertainties used to determine the
resultant uncertainties associated with loads and resistances. One type of uncertainty
(Type 1) is natural or inherent; this type of uncertainty is ‘information insensitive’ and
random. A second type of uncertainty (Type 2) is associated with modelling, paramet-
ric, and state uncertainties; this type of uncertainty is ‘information sensitive’ and sys-
tematic. Type 2 model uncertainties may be defined as the ratio of the actual or true
value of the variable to the predicted or nominal (design) value of the variable. A va-
riety of methods can be used to characterize the model uncertainty, including field test
data, laboratory test data, numerical data, and ‘expert’ judgment. Often it is not possi-
ble to develop explicit separations of Type 1 and Type 2 uncertainties and it is impor-
tant not to include them twice.

SRA is applied to determine the failure probability considering fundamental
variability, as well as uncertainties due to the lack of knowledge in loads, load effects
and resistance. The state of the art methods for calculating the failure probability are
the numerical First Order and Second Order Reliability as well as Monte Carlo
simulation methods (e.g. Melchers, 1999). However, analytical solutions exists for a
few cases, for instance, when failure is expressed by g( ) =R – S ≤ 0 and both the
resistance R and the load effect S are lognormal random variables.

The failure probability is expressed by:
Pf = P( g () ≤ 0) = Φ ( −β) or β = −Φ −1 ( Pf )                                       (1)
where Φ(-β) is the standard cumulative normal distribution, with numerical values as
shown in Table 5, and the reliability index, β = βLN can be exactly written as follows,
see e.g. Melchers (1999):


            ⎡µ    1+V 2 ⎤
         ln ⎢ R         S⎥
            ⎢ µS 1+V 2 ⎥
            ⎣           R⎦      ln ( µR /µS )
β LN =                        ≈               = β' LN                                 (2)
                 2 )(1 + 2 )]
       ln[(1 + V R      VS        V 2 +V 2
                                     R     S




This simple expression has turned out to be useful and was applied in the API reliabil-
ity based code calibration (Moses, 1987). The analytical formulation can also conven-
iently be used to express the relationship between Pf and safety factors.




                                                        16
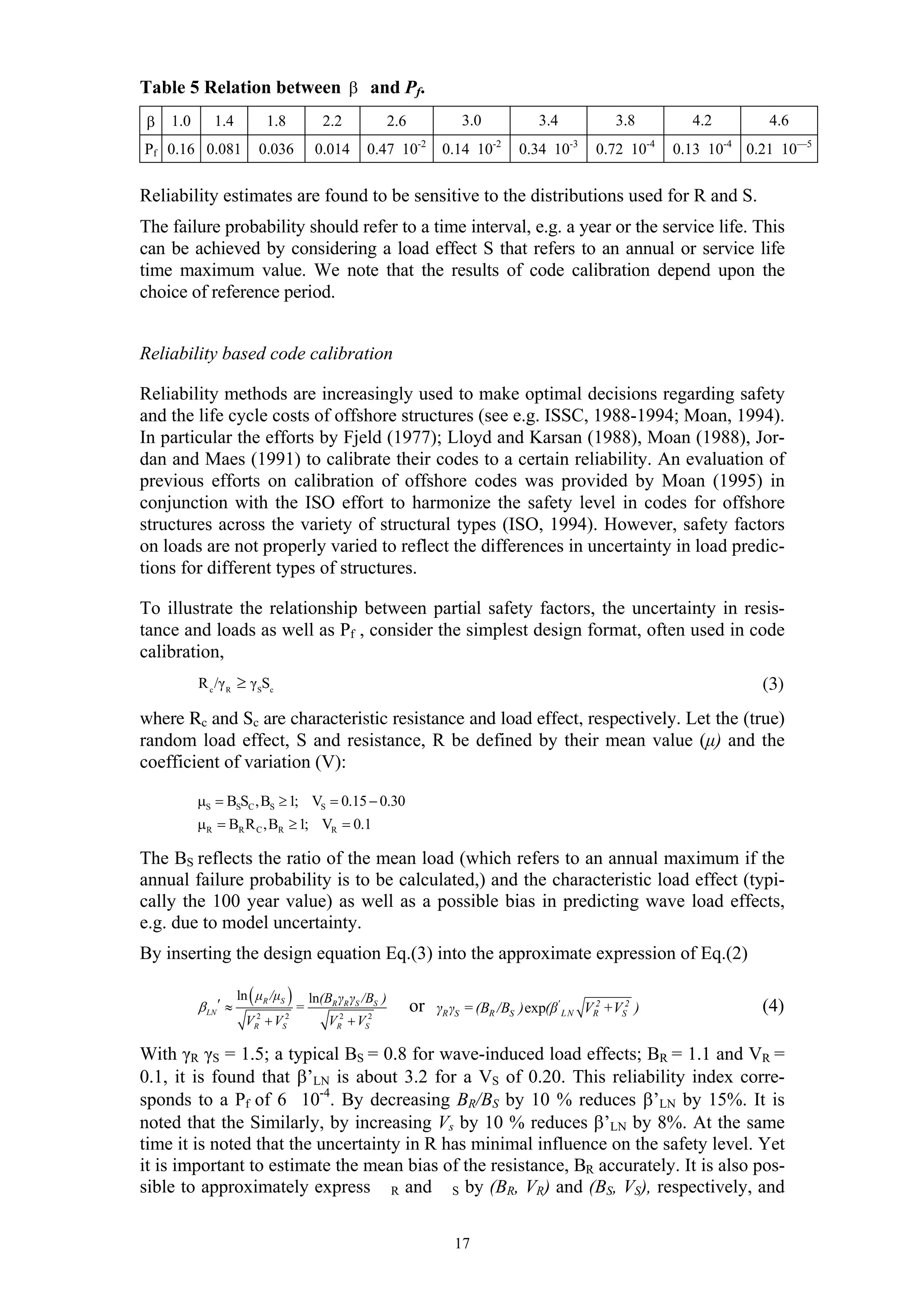
Table 5 Relation between β and Pf.
β   1.0      1.4           1.8              2.2              2.6            3.0           3.4            3.8            4.2             4.6
                                                                    -2             -2             -3             -4             -4
Pf 0.16 0.081             0.036           0.014      0.47 10             0.14 10        0.34 10        0.72 10        0.13 10        0.21 10—5


Reliability estimates are found to be sensitive to the distributions used for R and S.
The failure probability should refer to a time interval, e.g. a year or the service life. This
can be achieved by considering a load effect S that refers to an annual or service life
time maximum value. We note that the results of code calibration depend upon the
choice of reference period.


Reliability based code calibration

Reliability methods are increasingly used to make optimal decisions regarding safety
and the life cycle costs of offshore structures (see e.g. ISSC, 1988-1994; Moan, 1994).
In particular the efforts by Fjeld (1977); Lloyd and Karsan (1988), Moan (1988), Jor-
dan and Maes (1991) to calibrate their codes to a certain reliability. An evaluation of
previous efforts on calibration of offshore codes was provided by Moan (1995) in
conjunction with the ISO effort to harmonize the safety level in codes for offshore
structures across the variety of structural types (ISO, 1994). However, safety factors
on loads are not properly varied to reflect the differences in uncertainty in load predic-
tions for different types of structures.

To illustrate the relationship between partial safety factors, the uncertainty in resis-
tance and loads as well as Pf , consider the simplest design format, often used in code
calibration,
          R c /γ R ≥ γ SSc                                                                                                             (3)
where Rc and Sc are characteristic resistance and load effect, respectively. Let the (true)
random load effect, S and resistance, R be defined by their mean value (µ) and the
coefficient of variation (V):

          µS = BSSC ,BS ≥ 1; VS = 0.15 − 0.30
          µR = BR R C ,BR ≥ 1; VR = 0.1

The BS reflects the ratio of the mean load (which refers to an annual maximum if the
annual failure probability is to be calculated,) and the characteristic load effect (typi-
cally the 100 year value) as well as a possible bias in predicting wave load effects,
e.g. due to model uncertainty.
By inserting the design equation Eq.(3) into the approximate expression of Eq.(2)

                     ln ( µR /µS )       ln(BR γR γS /BS )
          β LN ′ ≈                   =                             or γR γS = (BR /BS ) exp(β' L N VR2 +VS2 )                          (4)
                       VR2 + VS2             VR2 + VS2

With γR γS = 1.5; a typical BS = 0.8 for wave-induced load effects; BR = 1.1 and VR =
0.1, it is found that β’LN is about 3.2 for a VS of 0.20. This reliability index corre-
sponds to a Pf of 6 10-4. By decreasing BR/BS by 10 % reduces β’LN by 15%. It is
noted that the Similarly, by increasing Vs by 10 % reduces β’LN by 8%. At the same
time it is noted that the uncertainty in R has minimal influence on the safety level. Yet
it is important to estimate the mean bias of the resistance, BR accurately. It is also pos-
sible to approximately express R and S by (BR, VR) and (BS, VS), respectively, and

                                                                           17
hence to express partial factors by the relevant uncertainties. (e.g. Melchers, 1999).
It is important to recognize that variables used in designing offshore structures are
often ‘conservative.’ Thus, there exists sources of ‘bias’ that must be recognized
quantitatively by the Bi's.

                                                             WSD:                              Goal: Implied Pf ≅ Pft
                                                             RC/γ > DC + LC + EC

                                   Target                                                  R         — resistance
                                   Pf or β                                                 D, L, E — load effects due to
                                                     LRFD:                                       • permanent
                                                                                                 • live             load
                                                     RC/γR > γDDC + γLLC + γEEC
                                                                                                 • environmental    effects
                                               Load ratio, Ec/(Lc+Ec)



Fig. 11: Schematic illustration on how the implied safety level in a design code
         for ultimate strength can be calibrated to be close to a given target level.

Fatigue Reliability Analysis
Structural reliability methods can also be used to calculate the probability of fatigue
failure. In Figure 12 the solid line with diamond symbol shows the fatigue failure
probability in the service life as a function of the design criterion – the fatigue design
factor, FDF. It is shown that the cumulative failure probability in the service life var-
ies from 10-1 to 10-4 when FDF varies from 1 to 10.
                                 1.0E+00



                                                                                           Cumulative f ailure probability

                                 1.0E-01                                                   Cumulative, stdv (lnA )=0.15
                                                                                           Cumulative, stdv (lnA )=0.3
                                                                                           A nnual f ailure probability
                                                                                           A nnual, stdv (lnA )=0.15
                                 1.0E-02                                                   A nnual, stdv (lnA )=0.3
           Failure probability




                                 1.0E-03




                                 1.0E-04




                                 1.0E-05




                                 1.0E-06
                                           1     2       3       4         5        6          7         8            9      10
                                                                     Fatigue de s ign factor



Fig. 12: Fatigue failure probabilities in the 20 year service period, as a function of the
         fatigue design factor and the uncertainty level. A is an equivalent constant stress
         range that represents the long term stress level (Moan, 2004).

A consistent fatigue safety level can be achieved, by varying the FDF versus the ef-
fect of an inspection program as well as the consequences of failure.



                                                                            18
Reliability estimates by account of inspection
The effect of the inspection on the reliability level can be illustrated by representing
the crack depth using a random variable, A(t) which is a function of time t. The qual-
ity of the inspection in terms of the detectable crack size is also represented by a ran-
dom variable, Ad. The distribution of Ad corresponds to the Probability of Detection
(POD) curve for the inspection method in question.
The failure probability at the time, t (N-cycles) can be formulated

           Pf ( t ) = P(a f - a N ≤ 0 ) = P [ F ( 0, t )]                                                                                              (5)

where af and aN are the crack size at failure and after N cycles, respectively.
The outcomes of inspections are assumed to be no crack detection (ND) or crack de-
tection (D) at time t after N cycles, which are described by:

            I ND ( t ) : a N -a d ≤ 0                                                                                                                 (6a)

           I D ( t ):a N -a d ≥ 0                                                                                                                     (6b)

In general, it is difficult to determine the distribution of the crack size (A) explicitly
when taking into account all uncertainties that affect the distribution as well as the
effect of inspections. Based on the Paris’ crack propagation law, Eqs. (5-6) can be
recasted into a convenient form for analysis as shown e.g. by Madsen and Sørensen
(1990).
The effect of inspection may be viewed in two different ways depending upon
whether it is assessed before inspections are done, e. g. during the design phase, or
afterwards during operation. If the effect of inspections is estimated before they are
carried out, two outcomes: D and ND are possible. The exact outcome is not known
but the probability of the outcomes can be estimated based on the reliability method.
At the design stage, the outcomes (e.g., crack detection or no detection) are not
known. When a single inspection is assumed to be made at time tI and possible cracks
detected are repaired, the failure probability in the period t ≥ tI can be determined by:

Pf (t) = P [ F(0, t I )] + P [S(0, t I ) and F(t I , t) | ID (t I )] ⋅ P [ ID (t I )] + P [S(0, t I )and F(t1 , t) | I ND (t I )]⋅ P [ I ND (t I )]    (7)

where F(t1,t2) and S(t1,t2) are, respectively, mean failure and survival in time period
(t1,t2). Equation (7) can be generalised to cover cases with several inspections with
two alternative outcomes. Moan et al. (1993a) showed, based on reliability analysis,
how the allowable cumulative damage (D) at the design stage can be relaxed when
inspections are carried out. Such analyses served as basis for Table 4.
On the other hand if no failure has occurred before time tI and it is known that no
crack is detected at time tI, then the failure probability in the period t ≥ tI is

           Pf (t) = P [ F(t I , t) | I ND (t I )]                                                                                                      (8)

The knowledge of survival up to time tI and no crack detection at time tI reduces the
uncertainty and makes the failure probability drop. The reliability index β increases at
the time of inspection as illustrated by the example shown in Fig. 13.



                                                                                   19
7
                                                                            Event tree analysis

                                                                            Basic case, No inspection
                                      6                          Upd, full inspection history

                                                                 Upd, ONLY last inspection

                                      5
                                                                                     Inspection
                                                                                     during
                  Reliability Index
                                                                                     operation with
                                      4                                              No crack detection


                                      3
                                              No inspection                                                      10-3
                                                                                                               3×10-3
                                      2
                                                                 Effect of Inspection                          3.5×10-2
                                                                 predicted at design stage
                                      1                                                                          Pf
                                          0            5                  10                    15        20
                                                                   Time (years)

Fig. 13: Reliability index as a function of time and inspection strategy. Inspection
         Event Tree analysis is based on predictions at the design stage. The other
         curves are based on inspections with known outcome during the service
         life (Ayala-Uraga and Moan, 2002)


The updating methodology is useful in connection with extension of service life for
structures with joints governed by the fatigue criterion (Vårdal et al, 2000). In such
cases, the design fatigue life is in principle exhausted at the end of the planned service
life. Nevertheless, if no cracks have been detected during inspections, then a remain-
ing fatigue life can be demonstrated. However, it is not possible to bring the structure
back to its initial condition by inspection only. This is because the mean detectable
crack depth by NDE methods typically is 1.0 – 2.0 mm, while the initial crack depth
is 0.1 – 0.4 mm.
The calculation of the system failure probability after inspection may be approxi-
mated by independent system failure modes (Moan et al., 1999, 2002, 2004)
                                                           n
   PFSYS|up = P [ FSYS | I]≈P [ FSYS(U)] + ∑ P ⎡ Fj | I ⎤ ⋅ P ⎡ FSYS(U) | Fj ⎤ +....
                                               ⎣        ⎦ ⎣
                                                           j=1
                                                                             ⎦                                            (9)
           .
This formulation is based on modeling the ultimate failure of the system by a single
mode. Moreover, the formulation is limited to failure modes initiated by a single fa-
tigue failure and followed by ultimate global failure. The failure probability in Eq. (9)
is applicable when the inspection event I aims at detecting cracks before the failure of
individual members, (i.e. before they have caused rupture of the member). Another
inspection strategy would be to apply visual inspection to detect members failure and
repair failed members after the winter season in which those particular members
failed. In this case the Eq. (9) will have to be modified as follows: the individual fa-
tigue failures of components (Fj ) does not depend on the inspection event, and, rather
such an inspection and repair strategy will have implication on the time period, for
which the failure probability P[FSYS(U)|Fj] should be calculated.
A further simplification is to update the failure probability of each joint based on the
inspection result for that joint. This is conservative if no cracks are detected, but non-
conservative if cracks are detected.
Inspections may be prioritized by using Eq. (9) for each joint separately by allowing a


                                                                               20
certain target probability level, PfSYS(T) to each term in the sum of Eq. (9). The target
fatigue failure probability for joint i, PFfT(i) is then obtained from
      PfSYS(i) = P[FSYS | Fi ] ⋅ PFfT(i) ≤ PfSYS(T)                                                           (10)
 where the system failure probability, PfSYS(i) is associated with a fatigue failure of
member (i) followed by an ultimate system failure. PfSYS(T) is obtained by generalizing
the acceptance criteria implied by Table 4. This approach has been implemented for
template-space frame structures (Moan et al., 1999).
Given the target level for a given joint, inspections and repairs by grinding or other
modifications are scheduled to maintain the reliability level at the target level as
shown in Fig. 14.          Reliability level, β



                                                      No             Inspection at time t=8
                                                      inspection     with no crack detection



                                                                                          Target level
                                                                                          for a given joint




                                                  0    4        8      12        16     20     Time (years)
                                                           1st inspection   2nd inspection


Fig. 14: Scheduling of inspections to achieve a target safety level of PFfT(i).


This methodology is used to calibrate fatigue design requirements. It is then found
that the criteria in Table 4 are slightly “non-conservative”.


3.6 Safety implications of Ultimate and Fatigue Limit State criteria and Inspection,
Monitoring, Maintenace and Repair

The failure probability estimated by structural reliability analysis (SRA) normally
does not represent the experienced Pf for structures. This is because the safety factors
or margins normally applied to ensure safety are so large that Pf calculated by SRA
becomes much smaller than that related to other causes. For instance when proper
fatigue design checks and inspections have not been carried out, the likelihood of fa-
tigue failures (through-thickness cracks) for platforms (e.g. in the North Sea), is large
and cracks have occurred. However, with the exception of the Ranger I (1979) and
Alexander Kielland failure (1980) such cracks have been detected before they caused
total losses. As discussed above, errors and omissions in design, fabrication and op-
eration represent the main causes of the accidents experienced.
On the other hand, frequent occurrences of cracks provide a basis for correlating ac-
tual crack occurrences with state of art predictions for various offshore structures.
Hence, the current predictions for jackets are found to be conservative (Vårdal and
Moan, 1997), while for semi-submersibles and ships, the predictions seem to be rea-
sonable, as summarized by Moan (2004). This agreement is achieved when the SN
approach (or a calibrated fracture mechanics approach) is applied to predict the occur-
rence of fatigue failure (e.g. through thickness crack). Yet, if ULS and FLS design
checks are properly carried out, Pf will be “negligible” within the current safety re-
gime. This reserve capacity, implied by ULS and FLS requirements, provides some


                                                                            21
resistance against other hazards like fires, explosions etc. However providing safety
for the mentioned hazards in this indirect manner is not an optimal risk-based design.
If more efforts were directed towards risk reduction actions by implementing ALS
criteria, then current safety factors for ULS and FLS could be reduced without in-
creasing the failure rate noticeably.
As explained above, SRA does not provide a measure of the actual total risk level
associated with offshore facilities. Yet, it is useful in ensuring that the ultimate
strength and fatigue design criteria are consistent by calibrating safety factors. More-
over, SRA provides a measure of the influence of various parameters on the reliability
and, hence, the effect of reducing the uncertainty on the failure probability.
Finally, it is noted that the random uncertainties in the ultimate strength commonly
have limited effect on the reliability compared to that inherent in load effects. On the
other hand, the systematic uncertainty (bias) in strength and load effects has the same
effect on the reliability measure.

3.7 Risk assessment
Risk assessment (Qualitative Risk assessment or Formal Safety Analysis etc.) is a tool
to support decision making regarding the safety of systems. The application of risk
assessment has evolved over 25 years in the offshore industry (Moan and Holand,
1981b, NPD (1981)). The Piper Alpha disaster (PA, 1990), was the direct reason for
introducing PRA, (or QRA), in the UK in 1992 (HSE, 1992). In the last 5 years such
methods have been applied in the maritime industry, albeit in different directions
(Moore et al. 2003). The offshore industry has focused on the application of risk as-
sessment to evaluate the safety of individual offshore facilities. The maritime industry
has primarily focused on the application of risk assessment to further enhance and
bring greater clarity to the process of making new ship rules or regulations.
The risk assessment methods is used because they provide a reliable direct determina-
tion of events probabilities e.g. probabilities as low as 10-4 per year. Up to now the
accumulated number of platform years world wide is about 120 000, 15 000 and 1 200
for fixed, mobile structures and FPSOs, respectively. However, to determine prob-
abilities as low as 10-4 per year requires about 23000 years of experiences to have a
90% chance of one occurrence. A further complexity is that the available data refer to
various types of platforms and, not least, different technologies over the years. Appli-
cation of a systems risk assessment is therefore attractive. The basis for this approach
is the facts that : a)almost every major accidental events have originated from a small
fault and gradually developed through long sequences or several parallel sequences
of increasingly more serious events, and culminates in the final event b) it is often
reasonably well known how a system responds to a certain event.
By combining the knowledge about system build-up with the knowledge about failure
rates for the elements of the system, it is possible to achieve an indication of the risks
in the system (Vinnem, 1999; Moan, 2000b).
The risk analysis process normally consists in the following steps (Fig 15):
-   definition and description of the system
-   identification of hazards
-   analysis of possible causal event of hazards
-   determination of the influence of the environmental conditions
-   determination of the influence of active/passive safety systems (capacity; reliabil-
    ity, accident action integrity, maintenance system …..)


                                           22
-     estimation of event probabilities/event magnitudes
-     estimation of risk

                                         Risk Analysis Planning
                                          Risk Analysis Planning


                                           System Definition
                                            System Definition
                Risk
                 Risk
             Acceptance
              Acceptance                                                             Risk
               Criteria                   Hazard Identification                       Risk
                Criteria                   Hazard Identification                   Reducing
                                                                                    Reducing
                                                                                   Measures
                                                                                   Measures


                                Frequency                  Consequence
                                 Analysis                    Analysis
                           RISK ESTIMATION
                            RISK ESTIMATION


                                               Risk Picture
                                                Risk Picture

                           RISK ANALYSIS
                            RISK ANALYSIS
                                         Risk Evaluation
                                          Risk Evaluation           Unacceptable
                                  Tolerable


                                               Acceptable
                                                Acceptable



Fig. 15: General approach for risk based decision making

In most cases an Event-Fault Tree technique (Figure 16) is the most appropriate tool
for systematizing and documenting the analyses made. Although the Event-Fault tree
methodology is straightforward, there are many problems. An important challenge is
to determine the dominant of the (infinitely) many sequences. Events are not uniquely
defined in a single sequence but appear in many combinations. Moreover, human fac-
tors are difficult to account for in the risk assessment. However, operational errors
that result in accidental loads are implicitly dealt with by using data on experienced
releases of hydrocarbons, probability of ignition etc. Explicit prediction of design and
fabrication errors and omissions for a given structure is impossible. However, it is
possible to rate the likelihood of accidents as compared to gross errors (Bea, 2000a-b,
Lotsberg et al., to appear).
The risk analysis methodology currently applied in offshore engineering is reviewed
in detail by Vinnem (1999). In connection with accidental loads, the purpose of the
risk analysis is to determine the accidental events which annually are exceeded by a
probability of 10-4.
                                                 End
                                                 event


              Critical
              event
Fault tree                  Event tree
                                            Consequences




Fig.16 Schematic sketch of the event – fault tree method.




                                                     23
3.8 Failure probability implied by Accidental Collapse Limit State Criteria
The initial damage in the ALS criterion, (e.g. due to fires explosions, ship impacts, or,
fabrication defects causing abnormal fatigue crack growth), corresponds to a charac-
teristic event for each of the types of accidental loads which is exceeded by an annual
probability of 10-4, as identified by risk analyses. The (local) damage, or permanent
deformations or rupture of components need to be estimated by accounting for
nonlinear effects.
The structure is required to survive in the various damage conditions without global
failure when subjected to expected still-water and characteristic sea loads which are
exceeded by an annual probability of 10-2. In some cases compliance with this re-
quirement can be demonstrated by removing the damaged parts and then accomplish-
ing a conventional ULS design check based on a global linear analysis and component
design checks using truly ultimate strength formulations. However, such methods may
be very conservative and more accurate nonlinear analysis methods should be applied,
as described subsequently.
The conditional probability of failure in a year, for the damaged structure, can be es-
timated by Eqs. (1-2), assuming that the system failure can be modelled by one failure
mode and that the design criterion is fully utilized. The design checks in the ALS cri-
terion is based on a characteristic value of the resistance corresponding to a 95% or
5% fractile, implying a BR = 1.1. The characteristic load effect due to functional and
sea loads are 1.0-1.2 and 1.2-1.3 of the corresponding mean annual values, respec-
tively. The safety (load and resistance) factors are generally equal to 1.0 for both
checks. For environmental loads, this conditional failure probability will be of the
order of 0.1.
The intended probability of total loss implied by the ALS criterion for each category
of abnormal strength and accidental load would then be of the order of 10-5 (Moan,
1983). Obviously, such estimates are not possible to substantiate by experiences.


3.9 Design for damage tolerance
Introduction
The current regulations for offshore structures in Norway are based on the following
principles:
-   Design the structure to withstand environmental and operational loading through-
    out its lifecycle.
-   Prevent accidents and protect against their effects
-   Tolerate at least one failure or operational error without resulting in a major haz-
    ard or damage to structure
-   Provide measures to detect, control, and mitigate hazards at an early time acciden-
    tal escalation.
Accidental Collapse Limit State criteria can be viewed as a means to reduce the con-
sequences of accidental events (Fig. 17). The NORSOK N-001 code specifies quanti-
tative ALS criteria based on an estimated damage condition and a survival check. The
robustness criteria in most other codes, however, do not refer to any specific hazard
but rather require that progressive failure of the structure with one element removed at
a time, is prevented. Hence, no performance objective for a “real threat” is created.


                                           24
The weakness with such a criterion is that it does not distinguish between the differ-
ences in vulnerability
In a risk analysis perspective the ALS check of offshore structures is aimed at pre-
venting progressive failure and hence reduce the consequences due to accidental
loads, as indicated in Figure 17. Beside progressive structural failure, such events
may induce progressive flooding and hence the capsizing of floating structures.


                                                                              P, F   •    Estimate the damage due to accidental loads (A)
             Risk control of accidental events                                            at an annual probability of 10 -4
                                                                          A               - apply risk analysis to establish
                                                                          A                 design accidental loads

    Reduce probability                 Reduce consequences

                                                       "unknown
                                    "known             events"                                           Critical
                                    events"                                                               event
                                                 Indirect design                         Fault                         Event tree
Reduce                   Direct ALS design       - robustness                            tree
errors &                 - Abnormal resistance                                P, F                                                End events:
            Event                                - redundancy                                                                    Accidental loads
omissions   Control      - Accidental loads      - ductility                         •    Survival check of the damaged structure as a whole,
                                                                                          considering P, F and
                                                                                          environmental loads ( E ) at a probability of 10 -2

                         Risk Analysis, or,                                          Target annual probability of total loss:
                  Prescriptive code requirements                                     10 -5 for each type of hazard
                                                                      E



Fig. 17: The role of ALS in risk control                            Fig. 18: Accidental Collapse Limit State
                                                                             (NPD, 1984)


The relevant accidental loads and abnormal conditions of structural strength are
drawn from the risk analysis, see e.g. Vinnem (1999) and Moan (2000b), where the
relevant factors that affect the accidental loads are accounted for. In particular, the
risk reduction can be achieved by minimizing the probability of initiating events:
leakage and ignition (that can cause fire or explosion), ship impact, etc. or by mini-
mizing the consequences of hazards. The passive or active measures can be used to
control the magnitude of an accidental event and, thereby, its consequences. For in-
stance, fire loads are partly controlled by sprinkler/inert gas system or firewalls.
Fenders are commonly used to reduce the damage due to collisions.
ALS checks apply to all relevant failure modes as indicated in Table 6. An account of
accidental loads in conjunction with the design of the structure, equipment, and safety
systems is a crucial safety measure to prevent escalating accidents. Typical situations
where direct design may affect the layout and scantlings are indicated by Table 7 for
different subsystems:
   - loads-carrying structure & mooring system
   - process equipment
   - evacuation and escape system




                                                               25
Table 6 Examples of accidental loads for relevant failure modes of platforms.
Structural            Failure mode                  Relevant accidental load or condition
concept
Fixed platforms       Structural failure            All
                      Structural failure            All
Floating              Instability                   •     Collision, dropped object, unintended
platforms
                                                          pressure…, unintended ballast that
                                                          initiate flooding
                      Mooring system strength •           Collision on platform
                                              •           Abnormal strength
Tension-leg plat-     Structural failure            All
forms                 Mooring - slack               •     Accidental actions that initiate flooding
                      system - strength             •     Collision on platform
                                                    •     Dropped object on tether
                                                    •     (Abnormal strength)



Table 7 Design implications of accidental loads for hull structure
                                                                              Passive protection
   Load                Structure                        Equipment
                                                                                    system
             Columns /deck (if not pro-      Exposed equipment (if not
Fire                                                                          Fire barriers
             tected)                         protected)
                                             Exposed equipment (if not        Blast / Fire
Explosion Topside (if not protected)
                                             protected)                       barriers
Ship         Waterline structure (subdivi-   Possibly exposed risers, (if     Possible fender
impact       sion) (if not protected)        not protected)                   systems
                                             Equipment on deck, risers
Dropped                                                                       Impact
             Deck Buoyancy elements          and subsea (if not pro-
object                                                                        protection
                                             tected)


Design accidental loads
The characteristic value of accidental loads is defined as the load which annually is
exceeded by a probability of 10-4 and should be determined by risk analysis. For each
physical phenomenon (fire, explosions, collisions, ..) there is normally a continuous
spectrum of accidental events. A finite number of events have to be selected by
judgement. These events represent different load intensity at different probabilities.
The characteristic accidental load on different components of a given installation can
be determined as follows (Moan, 2000b):
  -      establish exceedance diagram for the load on each component
  -      allocate a certain portion of the reference exceedance probability (10-4) to each
         component
  -      determine the characteristic load for each component from the relevant load
         exceedance diagram and reference probability.
If the accidental load is described by several parameters (e.g. heat flux and duration
for a fire; pressure peak and duration for an explosion) design values may be obtained
from the joint probability distribution by contour curves (NORSOK N-003, 1999).


                                               26
However, in view of the uncertainties associated with the probabilistic analysis, a
more pragmatic approach is sufficient. Yet significant analysis efforts are involved in
identifying the relevant design scenarios for the different types of accidental loads.
For each design accident scenario, the damage imposed on the offshore installation
needs to be estimated followed by an analysis of the residual ultimate strength of the
damaged structure in order to demonstrate survival of the installation. To estimate
damage, (permanent deformation, rupture etc of parts of the structure), the nonlinear
material and the geometrical structural behaviour need to be accounted for. While in
general the nonlinear finite element methods are applied, simplified methods (e.g.
based on plastic mechanisms) are developed and calibrated using more refined meth-
ods, to limit the computational effort required.
The risk analysis of novel structures and systems, is found to be useful, in that they
provide insight which results in systems that have significant increase in safety at the
same expense. This applies in particular to the topside system. However, for mature
systems, the outcomes of risk analyses tend to confirm the results of previous analy-
ses. This fact together with the desire to simplify design practice suggests using spe-
cific, generic values for such cases. Examples of typical values for some accidental
loads are given in subsequent sections.

Analysis tools for estimating the initial damage and survival
Current ultimate strength code checks of marine structures are commonly based on
load effects (member and joint forces) that are obtained by a linear global analysis.
Experiments or theory which accounts for plasticity and large deflections are used to
obtain resistances of the members and joints. Hence, this methodology focuses on the
first failure of a structural component and not the overall collapse of the structure,
which is of main concern. The advent of computer technology and the finite element
method have made it possible to develop analysis tools that account for nonlinear
geometrical and material effects, and, therefore, make it possible to account for redis-
tribution of the forces and subsequent component failures until the system’s collapse.
By using such methods a more realistic measure of the overall strength of structures is
achieved. Recently, Skallerud and Amdahl (2002) prepared a state-of-the-art review
of methods for nonlinear analysis of space frame offshore structures. Paik and Tha-
yamballi (2003) gave an overview of methods for ultimate strength analysis of steel-
plated structures.
Simplified methods for calculating the hull girder strength are based on considerations
of the intact longitudinal elements and beam theory, essentially based on Smith’s
work (1977), and reviewed by e.g. Yao et al. (2000). Such an approach has also been
extended to estimate the ultimate capacity of the damaged hull girder (Smith, 1977).
However, it is necessary to further investigate the implication of an initial damage that
involves rupture and, hence, represent an initial crack type damage which could cause
rupture before reaching the ultimate capacity obtained by calculation models based
upon ductile material behaviour.

Fires and explosions effects
The dominant fire and explosion events are associated with hydrocarbon leak from
flanges, valves, equipment seals, nozzles etc. As indicated in Fig. 19 fire and explo-
sion events are strongly correlated. Commonly the effect of 40 – 60 scenarios needs to
be analyzed. This means that the location and magnitude of relevant hydrocarbon


                                           27
leaks, the likelihood of ignition, as well as the combustion and temperature develop-
ment (in a fire) and the pressure-time development (for an explosion) need to be esti-
mated and followed by a structural assessment of the potential damage.

                                                                      No damage


                    No Ignition


                                                                  Damage to
                                                                  Personnel and
                                                                  Material
               Immediate Ignition         Fire

Release of
Gas and/or
Liquid



               Formation of                                                Fire
               Combustible Fuel-Air
               Cloud (Pre-mixed)
                                      Ignition    Gas Explosion
                                      (delayed)

                                                                    Fire and
                                                                    BLEVE




Fig. 19: Fire and explosion scenarios.


The fire thermal flux may be calculated on the basis of the type of hydrocarbons, its
release rate, combustion, time and location of ignition, ventilation and structural ge-
ometry, using simplified conservative semi-empirical formulae or analyti-
cal/numerical models of the combustion process. The heat flux may be determined by
empirical, phenomenological or numerical method (SCI, 1993; BEFETS, 1998).
Typical thermal loading in hydrocarbon fire scenarios may be 200- 300 kW/m2 for a
15 minutes up to a two hours period. The structural effect is primarily due to the re-
duced strength with increasing temperature. An A-60 fire protection wall may be ap-
plied for a heat load of 100kW/m2 and less, while H-rated protection walls are needed
for higher heat loading.
In the case of explosion scenarios, the analysis of leaks is followed by a gas disper-
sion and possible formation of gas clouds, ignition, combustion and the development
of overpressure. Tools such as FLACS, PROEXP, or AutoReGas are available for this
purpose (Moan, 2000b; Czujko, 2001, Walker et al., 2003). The variability of condi-
tions is accounted for by using a probabilistic approach.

The results from the gas explosion simulations are the pressure – time history. If the
pressure duration is short compared to the natural period, the pressure impulse gov-
erns the structural response. Figure 20 compares the predicted impulse by state of a
state of the art CFD method with measured values in large scale tests for deterministic
explosion scenarios. The vertical axis is a logarithmic plot of the ratio of the predicted
and measured value. The scattering is seen to be significant. The pressure peaks
would obviously be even more uncertain.




                                                    28
10.0




            Ratio of predicted and measured Impulse   1.0




                                                       0.1
                                                                          Experiment No



Fig. 20: Comparison of predicted and measured pressure impulse for “deterministic”
         explosion scenarios, obtained by the computer code FLACS.


The typical overpressures for topsides of North Sea platforms are in the range 0.2-0.6
barg, with duration of 0.1-0.5s., while an explosion in open air at the drill floor typi-
cally implies 0.1 barg with duration of 0.2s. The explosion pressure in a totally en-
closed compartment might be 4 barg.
The damage due to explosions may be determined by simple and conservative single-
degree-of freedom models (NORSOK N-004). In several cases where simplified
methods have not been calibrated, nonlinear time domain analyses based on numerical
methods like the finite element method should be applied. A recent overview of such
methods may be found in Czujko (2001). Fig. 21 shows an explosion panel with de-
formations as determined by an experiment and finite element analysis. The calcu-
lated and measured deflections of the specimen are compared in Figure 21c.

Fire and explosion events that result from the same scenario of released combustibles
and ignition should be assumed to occur at the same time, i.e. to be fully dependent.
The fire and blast analyses should be performed by taking into account the effects of
one on the other. The damage done to the fire protection by an explosion preceding
the fire should be considered.

                                                                                                         0.7


                                                                                                         0.6


                                                                                                         0.5


                                                                                                         0.4


                                                                                                         0.3
                                                                                          PRESSURE [N/




                                                                                                         0.2


                                                                                                         0.1                   Experiment   Analysis


                                                                                                          0
                                                                                                               0        20    40        60             80   100
                                                                                          2]




                                                                                                                              DISPLACEMENT [mm]


a) Experiment                                                b) FE analysis                                        c) Load–response histories

Fig. 21: Explosion response of an explosion wall (Czujko, 2001).



                                                                                29
Pmax > 5bar




Fig. 22: “Survival analysis” of a deck suffering explosion damage (Amdahl, 2003).
         Deformations in the lower figure are not to scale.

Fig. 22 shows results from an analysis of a deck structure in a floating platform (Am-
dahl, 2003). The upper left figure in this slide illustrates the deck structure of a float-
ing production platform. The design pressure on the East Wall is also indicated. In
this case it is assumed that the panels are badly damaged that they can be removed.
The lower figure shows the deformation pattern of the damaged deck.

Ship impacts
Significant efforts have been devoted to ship-ship collisions, as reviewed by the ISSC
Committee on Collision and Grounding (Paik et al., 2003). The analysis of ship im-
pacts on offshore structures follows the same principles but the collision scenarios and
consequences are different; see e.g. NORSOK N-003 and -004 as well as Amdahl
(1999).
All ship traffic in the relevant area of the offshore installation should be mapped and
should account for possible future changes in the operational pattern of vessels. The
impact velocity can be determined based on the assumption of a drifting ship or on the
assumption of erroneous operation of the ship. Ship traffic may therefore for this pur-
pose be divided into categories: trading vessels and other ships outside the offshore
activity, offshore tankers, and supply or other service vessels. Merchant vessels are
often found to be the greatest platform collision hazard which depends upon the loca-
tion of the structure relative to shipping lanes. Fig. 23a indicates situations where off-
shore structures are operating in close proximity. For the scenario in Fig. 23b the stern
impact on the FPSO by the shuttle tanker is a challenge (Chen and Moan, 2004 )




                                            30
a) Semi- submersible and jacket b) FPSO and shuttle tanker
Fig. 23: Special offshore collision scenarios.

Impact scenarios are established by considering bow, stern, and side impacts on the
structure as appropriate.
While historical data provides information about supply vessel impacts, risk analysis
models are necessary to predict other types of impacts, such as incidents caused by
trading vessels (see e.g. NORSOK N-003(1999) and Moan (2000b)). A minimum
accidental load corresponding to 14 MJ and 11 MJ sideways and head-on impact, re-
spectively, is required to be considered.
The impact damage can normally be determined by splitting the problem into two
uncoupled analyses. They are the external collision mechanics dealing with global
inertia forces and hydrodynamic effects and internal mechanics dealing with the en-
ergy dissipation and distribution of damage in the two structures (Fig. 24).
The external mechanics analysis is carried out by assuming a central impact and ap-
plying the principle of conservation of momentum and conservation of energy.
The next step is to estimate how the energy is shared among the offshore structure and
the ship. Methods for assessing the impact damage are described by Amdahl (1999),
based on simplified load-indentation curves or direct finite element analysis. For the
general case where both structures absorb energy, the analysis has to be carried out
incrementally on the basis of the current deformation field, contact area and force
distribution over the contact area.

                                                     External mechanics
                                                           The fraction of the kinetic energy
                                                           to be absorbed as deformation
                                                           energy (structural damage) is
                                                           determined by means of:
                                                               Conservation of momentum
                                                               Conservation of energy



               External mechanics

                             Rs   Ri                 Internal mechanics
                                                           Energy dissipated by vessel
                                                           and offshore structure
                      Es,s             Es,i
                                                               Equal force level
                      Ship
                                                               Area under force-def. curve
               dws                FPSO        dwi


               Internal mechanics


Fig. 24: Simplified methods for calculating impact damage (NORSOK N- 004)


                                                    31
The recent advances in computer hardware and software have made nonlinear finite
element analysis (NLFEM) a viable tool for assessing collisions. A careful choice of
element type and mesh is required. It is found that a particularly fine mesh is required
in order to obtain accurate results for components deformed by axial crushing. A ma-
jor challenge in NLFEM analysis is the prediction of ductile crack initiation and
propagation. This problem is yet to be solved. The crack initiation and propagation
should be based on fracture mechanics analysis using the J-integral or Crack Tip
Opening Displacement method rather than simple strain considerations.
While the main concern about ship impacts on fixed platforms is the reduction of
structural strength and possible progressive structural failure, the main effect for
buoyant structures is damage that can lead to flooding and, hence, loss of buoyancy.
The measure of such damages is the maximum indentation implying loss of water
tightness. However, in the case of large damage, reduction of structural strength, as
expressed by the indentation, is also a concern for floating structures.
A ship impact involving the minimum energy of 14 MJ will normally imply an inden-
tation of 0.4 – 1.2 m in a semi-submersible column. A 75-100 MJ impact may be re-
quired to cause an indentation equal to the column radius (Moan and Amdahl, 1989).
The effect is highly dependent upon the location of impact contact area relative to
decks and bulkheads in the column.
Moan and Amdahl (2001) considered supply or merchant vessels with a displacement
of 2000- 5000 tons which caused bow impacts on a typical side structure of an FPSO
with displacement of about 100 000 t. For this case the limiting energy for rupture of
the outer ship side was found to be ~10 MJ (700mm bow displacement). The energy
at 1500mm bow indentation was estimated to be ~43 MJ while the limiting energy for
rupture of the inner side is ~230 MJ, at 3700 mm bow displacement. This corresponds
to a critical speed of 18.5 knots for a 5000 tons displacement vessel. We recall that
rupture of plate material is very uncertain such that the quoted energy level should be
used with cautiously. If the FPSO side structure is assumed to be sufficiently rigid to
ensure that all energy is absorbed by the bow, then the maximum collision force (peak
force) is 30 MN. However most of the time the force oscillates between 15-25 MN.
Another situation dealt with by Moan and Amdahl was stern impact on the FPSO
caused by a shuttle tanker, see Fig. 23b and 25. A 70 kdwt shuttle tanker was found
to penetrate the machine room of a 140 kdwt FPSO after an energy dissipation of 38
MJ. On the other hand, it was demonstrated that it was feasible to strengthen the stern
of the FPSO corresponding to ice-strengthening dimensions so that all dissipation
could occur in the shuttle tanker bow.
  F o r ca s tle d ec k
 Shuttle
 tanker d ec k
  U p p er




                                  FPSO




Fig. 25: Shuttle tanker in ballast condition impacting FPSO stern (Moan and Amdahl,
         2001).


                                          32
Environmental events
The ALS criterion is supposed to be applicable to any “abnormal” wave loading as
well. Obviously, the two-step ALS procedure then becomes a survival check based on
a load event which annually is exceeded by a probability of 10-4. Consider a wave
loading, F, which for simplicity is characterised only by the wave height, H. Assume
that F is a smooth function of wave height. H i.e. F=c⋅Hα and that the wave height
follows a Weibull distribution with a shape parameter B. If it is assumed that there are
5·108 waves in 100 years, the ratio between the loads at a 10-4 and 10-2 annual prob-
ability level, respectively, becomes Fc(-4)/Fc(-2) = (H(-4)/H(-2))α = (1.23)α/B. The ratio of
the required strength would then be Rc(-4)/Rc(-2) = Fc(-4)/ (γT Fc(-2) ) = 1.23α/B/γT where γT
is the total ULS safety factor while the safety factor for ALS is 1.0. This implies that
ULS will be governing for North Sea and other conditions (B=0.9-1.0) if α< 1.8-2.0.
In benign conditions (e.g.with B=0.6) ULS will be governing if α< 1.2.




                        Courtesy:
                        Statoil, Marintek




Fig. 26: Wave in deck load for a fixed platform


However, there are two issues that need to be observed in this connection. The first
issue is the occurrence of possible “abnormal” waves, with high crest or other unusual
shape – which is not a simple “extrapolation” of the 10-2 event (Haver, 2000, Prevost
and Forristall, 2002). The second issue is the possible sudden change in force, F, at a
certain wave height. The most interesting case is when the wave reaches the platform
deck, implying that the wave force will increase very fast with the wave height. By
ensuring a deck clearance such that the 10-4 crest does not reach the deck, the ULS
criterion would normally be governing. Otherwise, the ALS criterion based on the 10-
4
  wave event may govern the dimensions.

Abnormal resistance
It is not possible to determine the abnormal resistance (e. g. due to fabrication de-
fects), using risk analyses. Up to now, abnormal resistance has been explicitly speci-
fied by generic values for specific types of structures based on some considerations of
the vulnerability of the structural components. For instance, the ALS check is carried
out for platforms with slender braces by considering the damage in terms of severed
individual braces. This condition was established in the aftermath of the Alexander
Kielland accident and was initially aimed to cover the effects of frequently occurring
ship impacts relating to supply vessels as well as abnormal fatigue cracks. This dam-
age condition is also applicable to the tether and other mooring systems.


                                             33
Crack control
Most degradations of the structure are due to corrosion and crack growth. The effect
of corrosion is ameliorated by corrosion allowance or a protection system, which
makes the corrosion development gradual and, hence, be easy to control. The crack
growth is more critical because cracks can result is a sudden rupture. Moreover,
cracks are hard to detect because they are small for a significant part of the time ser-
vice life.
Abnormal defects, i.e. defects much larger than those implicit in fatigue design curves,
are also of concern. As mentioned by Moan (2004), observations with jackets show
that 2-3 % of cracks found in inspections can be attributed to abnormal defects. This
also occurs in other offshore structures.
Therefore, the crack control strategy, in general needs to include a combination of the
following safety measures:
-   design for adequate fatigue life and critical crack size
-   design for robustness in relation to member failure
-   plan inspection of the as-fabricated structure as well as during the service life, pos-
    sibly using the Leak Before Break principle
An adequate design fatigue life gives ample time to detect cracks. For instance, if the
fatigue life from the occurrence of a through thickness cracks to rupture is 25 % of the
fatigue life determined by SN-curves, a 20-year characteristic life implies a character-
istic value of the time to failure of 5 years and a mean time to failure of 15 years after
a possible leak.
The implementation of the Accidental Collapse Limit State criteria obviously pro-
vides a safety barrier with respect to the system failure given the fatigue failure of a
member in a framed structure.
When inspections are prioritised, the potential of gross fabrication defects (e.g. be-
cause of difficult access), should also be considered. Since inspections after fabrica-
tion on shore can be carried at less costs and with higher reliability than during opera-
tion offshore, it is worthwhile to emphasise such inspections, at least for critical com-
ponents.
Different strategies may be relevant for different types of offshore structures. This is
because the existing structures possess different robustness and because inspection,
repair and failure costs vary significantly.
As an example of structural components with particular safety focus, consider tethers
in TLPs. They are designed with a Fatigue Design Factor of 10 and the ALS criterion
is implemented by requiring survival of any tether failed. Moreover, the tethers in the
Heidrun platform in the North Sea, are tubular members which were joined by butt
welds ground flush and were inspected twice with respect to surface defects on the
outside and the inside of the tubular wall. Furthermore a 60-70 % X-ray examination
for internal defects after fabrication was carried out in the yard. The first service in-
spection is now taking place after 10 years in service.
The crack control in semi-submersibles with slender braces is based on a balanced
fatigue design criterion and ALS according to Table 4 as well as leak detection during
operation.
A major difference between a trading tanker and an FPSO is that the routing, the
speed reduction and the heading angle toward wave can be used for the tanker to re-


                                            34
duce wave loads, but not for the FPSO. Also, a dry-docking for inspections is more
complicated for FPSOs because it needs to be stationary at the offshore site. The fa-
tigue criteria for FPSOs were established before they became common practice for
tankers (Bach-Gansmo et al., 1987). Normally, the required cumulative damage is D
= 1.0 for a 20-year service life for production ships. The thousands of welded joints of
similar type and location encountered in the ships imply a high probability of fatigue
cracking which suggests application of a more restrictive fatigue criterion. On the
other hand, the significant residual strength of damaged ships makes it possible to
detect cracks using the leak-before-break detection and a close visual inspection.
However, it is desirable to clarify the crack propagation and critical crack length of
large cracks. The critical crack length estimated by current methods, (e.g. BS 7910,
1999) is found to be much smaller than crack lengths experienced in ship hulls. The
treatment of residual stresses and constraint seems to be important factors in this con-
nection (Bjørheim et al., 2004). However, this issue is still open for debate.
However, for economical reasons, it may be advantageous to apply more restrictive
fatigue criteria when the consequences are high. This may be the case when the crack
causes a leak from the cargo tank into the ballast tank, leading to an explosion hazard.
For that matter, the number of potential crack sites in FPSOs and tankers emphasises
such a consideration.
Novel structures, for which there is no or limited service experiences, need a more
rigorous monitoring and inspection, until adequate confidence is gained. This is be-
cause new structures involve a high utilisation of static strength, new structural de-
tails, possibly with high stress concentration, as well as large uncertainty in the re-
sponse.


3.10 Quality assurance and control of the design process
The quality assurance and control of the engineering process have to address two dif-
ferent situations, which require different type of attention, namely:
-   detect, control and mitigate errors made in connection with technology that is
    known in the engineering community as such
-   identify possible unknown phenomena, e.g. associated with load, response and
    resistance, and clarify the basis for accounting for such phenomena in design
Offshore structures are developed in several stages: conceptual, engineering and de-
tailed engineering phases. QA/QC needs to be hierarchical, too, with an emphasis of
the latter QA/QC process in the conceptual and early design phases.
Errors can occur due to individual errors and omissions, inadequate procedures, soft-
ware and lack of robustness of the organizations. Errors of omission and commission,
violations (circumventions), mistakes, rejection of information, and incorrect trans-
mission of information (communication errors) have been the dominant causes of
failures. The lack of adequate training, time, and teamwork or back-up (insufficient
redundancy) have been responsible for not detecting and correcting many of these
errors (Bea, 2000b).
With the advent of computers and their integration into many aspects of the design,
construction, and operation of oil and gas structures, software errors are also a con-
cern. Newly developed, advanced, and frequently very complex design technology
applied in the development of design procedures and the design of the offshore struc-
tures has not been sufficiently debugged and failures have resulted.


                                          35
Software errors, in which incorrect and inaccurate algorithms were coded into com-
puter programs, have been at the root-cause of several recent failures of offshore
structures. Guidelines have been developed to address the quality of the computer
software for the performance of finite element analyses. An extensive benchmark test-
ing is required to assure that the software performs as it should and that the documen-
tation is sufficient. One particular importance is the provision of independent check-
ing procedures that can be used to validate the results from analyses.
It is found that errors are often made by individuals in organizations with a culture
that does not promote quality and reliability in the design process. The culture and the
organizations do not provide the incentives, values, standards, goals, resources, and
controls that are required to achieve adequate quality.
The loss of corporate memory in companies responsible for structural safety also has
been a factor contributing to many cases of structural failures. Knowledge of the pain-
ful lessons in the past was lost and the lessons were repeated with generally even
more painful results. Such loss of corporate memory is particularly probable in times
of down-sizing, outsourcing and mergers (Bea, 2000a-b).


QA/QC of the engineering process
QA is the proactive process in which the planning is developed to help preserve desir-
able quality. QC is the interactive element in which the planning is implemented and
carried out. QA/QC measures are focused both on error prevention and error detection
and correction (Harris and Chaney, 1969). There can be a real danger in excessively
formalized QA/QC processes. If not properly managed, they can lead to generation of
paperwork, a waste of scarce resources that can be devoted to QA/QC, and a mini-
mum compliance mentality.
It is important that the QA/QC is hierarchical, in other words it should be performed
by designers and others doing the work, their colleagues, and third parties. While self-
checking is very important, Matousek and Schneider (1976) found that 87% of the
errors causing accidents in the construction industry, could have been detected either
by the person next in line or by properly organized additional checks. Therefore, an
additional QA/QC is necessary. A good support in organization by experienced man-
agers, who have daily responsibilities for the quality of the project organizations and
processes, is crucial. In the same way as the structure should be damage tolerant, the
design organizations also need to be robust. It is when the organization or the operat-
ing team encounters defects and damage – and is under serious stress, that the benefits
of robustness become evident. Robust organizations have extensive auditing proce-
dures to help spot safety problems and they have reward systems that encourage risk
mitigating behaviours.
Nevertheless, knowledgeable, trained, experienced, and sensitive third parties can
help, encourage, and assist the owners of the concept to improve. The third-party QA
and QC checking measures which are an integral part of the offshore structure design
process provide an independent review. This checking should start with the basic
tools (guidelines, codes, computer programs) of the structure design process to assure
that ‘standardized errors’ have not been embedded in the design tools. The checking
should continue through the major phases of the design process, with a particular at-
tention given to the loading analysis. Moreover the plans for fabrication and operation
(manuals) also constitute an important part of the QA and QC process. The provision
of adequate resources and motivations is also necessary, particularly the willingness


                                          36
of management and engineering to provide integrity to the process and to be prepared
                to deal adequately with ‘bad news’.
                The true value of QA and QC lies in the disciplined process. The main objective of
                QA/QC is detection of errors and omissions and not their prediction. Yet the attempt
                made by Lotsberg et al. (to appear) is an interesting effort to assess the risk associated
                with gross errors and omissions. Unfortunately, sometimes the results of formal risk
                analysis approaches are only used to justify a compliance with regulatory targets and,
                in some cases the implementation is not clearly justified and       needs improvements
                in the reliability of an engineered system.
                The intensity and the extent of the design checking process need to be matched to the
                particular design situation. Repetitive designs that have been adequately tested in op-
                erations to demonstrate that they have the required quality do not need to be verified
                and checked as closely as those that are ‘first-offs’ and ‘new designs’ that may push
                the boundaries of the current technology. New technologies compound the problems
                of latent system flaws (Reason, 1997).


                Identification of new phenomena
                The early phases of design are particularly important for the QA and QC of novel
                concepts. Novel concepts that could imply new physical phenomena relating for in-
                stance to loads and response need particular attention. Examples of phenomena “dis-
                covered” in the recent two decades include the ringing experienced in connection with
                the Draugen mono-tower shown in Fig. 27. In this case the extreme loading increased
                by about 30% due to a particular combination of hydrodynamic excitation on large
                diameter columns and a natural structural period in the range of 2-8s. The phenome-
                non was discovered when most of the manufacturing process had been completed. So,
                the safety was ensured by operational restrictions. Another example is the high fre-
                quency springing and ringing response of TLPs. It is noted that these phenomena, like
                many others in the history of offshore structures, became important due to a combina-
                tion of nonlinear wave load excitation at certain natural structural frequencies. Model
                testing is crucial in this connection. Another recent, but more obvious, issue is the
                possible ship impact scenario associated with the tandem off-loading.

                                                           • Offshore structural engineeringtoday
                                                      Ø
                                                             - partlymature
                                                      16.4m    (m  anyaspectsof
                                                                fixedplatformtechnology)
                                             267m
                                                                - partlyinnovative technologyem     erging
                                                                  (e.g. in relatingto floatingplatforms/
                                                                  risers/offloadingof gas)
                                                       Ø
                                                       44.5m
                                                           • QA/QC of novel conceptsrepresent
               30
                                                              particular challenges
                                                             - requiresrobust control, i.e. indepent reviews
               20
                                                             - InnovationdependsuponR&D
               10
Moment (kNm)




                0

               -10

               -20

               -30
                   Linear analysis
                       Lineæ beregning
                              r                             e.g. Ringing in the Draugen platform
                       Ikkelineæ beregning
                                r
               -40 Nonlinear analysis
                 1860 1865 1870 1875 1880 1885 1890 1895 1900
                                                      Tim (s)
                                                         e

                Fig. 27: Ringing in Draugen monotower                                                          Fig. 28: Springing and ringing
                                                                                                                        in TLP


                                                                                                     37
From a safety point of view, the most important issue is to identify a new phenome-
non that represents a new or altered hazard. When it is identified, the uncertainties
associated with the hazard are commonly accounted for by conservative design ap-
proach. However, there is a strong incentive to reduce the uncertainties to limit the
design conservatism for economical reasons.
To a large extent the offshore industry has matured. Yet, the development of new off-
shore facilities are still expected in the future, for instance in connection with new
environmental conditions- i.e. involving new combinations of wind waves and swell
or ice or use of novel concepts in connection with production and transport of lique-
fied natural gas. Then sloshing in FPSOs with several “slack tanks” as well as possi-
ble interaction between fluid in tanks and rigid body motions of the vessels, need at-
tention. In general, the aging of the existing offshore structures, especially due to
crack growth, needs attention in the years to come.

                                                                S afe ty issu es
                                                                  C o m plex and com pact
                                                                  p rocess facility
                                                                  (fire/e xplosion hazards)
                                                                  C o nsequence of LN G leakage

                                                                 P rocess near sto rage facility
                                                                 (m ight im ply e scalation of
                                                                 fire..)

                                                                 C a rgo transfe r in open sea s
                F loa ting production of LN G
                                                                 S loshing of LN G in partly
                                                                 filled tanks (m ight im pair
                                                                 ta nk integrity)

                                                                 O p e ration of vessels close
                                                                 to p roduction/term inal
                                                                 fa cilities (collision hazard)
                 O ffsho re off-loa ding term ina ls
                 (a w a y from den sly populate d a rea s and
                 busy ports)



Fig. 29: Safety assessment of transport system for Liquefied Natural Gas

4. Concluding remarks

Various measures to ensure an adequate safety in offshore structures have been re-
viewed based upon relevant accidents. A design criteria as well as load and structural
analysis methods have been briefly presented. It is demonstrated how structural reli-
ability analysis can be used to establish consistent design criteria for ultimate resis-
tance and fatigue, and especially how refinement of analysis methods and additional
information reduce uncertainty and hence the necessary safety factors. On the other
hand, it is shown that the failure probability implied by current ultimate and fatigue
limit state criteria is small and does not show up in the accident statistics. The main
cause of accidents is human and organizational errors and omissions. Therefore, to
achieve an acceptable safety level, QA and QC of the engineering process are re-
quired. This includes inspection, monitoring and repair of the structure, as well as
design for structural robustness. The QA and QC tasks, to possibly identify new phe-
nomena, especially associated with the loading and dynamic response, are particularly
challenging in connection with novel concepts for new environmental conditions or
new functions. In this paper, a particular emphasis is placed on the Accidental Col-
lapse Limit State design check related to accidental loads and abnormal strength. The



                                                       38
philosophy behind this robustness criterion is described and it is shown how informa-
tion has been established for a proper implementation of the criterion. In the view of
the aging of offshore structures, crack growth and rupture are particularly addressed.
It is shown how fatigue and robustness design criteria, as well as inspection strategy
can be combined for different types of offshore structures, to yield an acceptable
safety level.


Acknowledgement

I would like to acknowledge the invitation to serve a Keppel Professor at the National
University of Singapore as well as the cooperation with its Department of Civil Engi-
neering and the Centre for Offshore Research and Enginneering. I would also like to
thank the many people I have been working with in carrying out the research as well
as code development for the Norwegian Petroleum Directorate, ISO and other regula-
tory bodies that are reported in this paper. They particularly include J. Amdahl, S.
Fjeld, S. Haver, I. Holand (deceased), D. Karsan, J. Lloyd and J.E.Vinnem. The opin-
ions expressed, however, are those of the author.


References

ALK (1981) “The Alexander L. Kielland Accident”, (in Norwegian – English translation
   available), NOU 1981:11, Oslo.
Almar-Næss, A. (ed.) (1985). ‘Fatigue Handbook for Offshore Steel Structures’, Tapir Publ.,
   Trondheim.
Amdahl, J. (1999) ‘Structural Response to Accidental Loads’, Lecture Notes, Dept. of Marine
   Technology, Norwegian University of Science and Technology, Trondheim.
Amdahl, J. (2003) FABIG
API (1993/1997) ‘Recommended Practice for Planning, Designing and Constructing Fixed
   Offshore Platforms”, API RP2A-WSD July 1993 with Supplement 1 with Sect., 17.0, ‘As-
   sessment of Existing Platform’, February 1997. American Petroleum Institute, Dallas.
Ayala-Uraga, E. and Moan, T. (2002) “System Reliability issues of Offshore Structures con-
   sidering Fatigue Failure and Updating based on Inspection”, First Int. ASRANet Collo-
   quium, Glasgow, Scottland.
Bach-Gansmo, O., Carlsen, C.A. and Moan, T. (1987) “Fatigue Assessment of Hull Girder for
   Ship Type Floating Production Vessels,” Proc. Conf. on Mobile Offshore Units, London:
   City University.
Bea, RG (2000a) Achieving step change in Risk Assessment & Management (RAM), Centre
   for Oil & Gas Engineering, http://www.oil-gas.uwa.edu.au, University of Western Austra-
   lia, Nedlands, WA.
Bea RG (2000b) Performance Shaping Factors in Reliability Analysis of Design of Offshore
   Structures, J. OMAE, Vol. 122, ASME, New York, NY.
Beckwith, I. and Skillman, M. (1975) “Assessment of the Stability of Floating Platforms”,
   North East Coast Inst. of Naval Architects.
BEFETS (1998) ‘Blast and Fire Engineering for Topside Systems’, Phase 2, SCI Publication
   No. 253, Ascot, UK.
Bjørheim, L., Berge, S. and Skaret, H. (2004) “Damage Tolerance of FPSOs with Fatigue
   Cracks”, Proc. ISOPE Conference.
Broughton, P. (1997) "Engineering Challenges of Ekofisk, the First North Sea Oil Field’,
   Proc. 8th BOSS Conf., Pergamon Press, New York, Vol. I, pp 41-70.
BS 7910 (1999) “Guidance on Methods for Assessing the Acceptability of Flaws in Fusion
   Welded Structures”, BS 7910:1999, British Standard, London, UK.
Chen, H. and Moan, T. (2004) “Probabilistic Modeling and Evaluation of Collision between



                                           39
Shuttle Tanker and FPSO in Tandem Offloading”, J. Reliability Engineering and System
   Safety, 84, 2, 169-186.
Cornell, C.A. (1995) “Structural Reliability- Some contributions to Offshore Technology“,
   Paper No. OTC 7753, Proc. 27th Offshore Technology Conference, Houston.
Czujko, J., ed. (2001) ‘Design of Offshore Facilities to Resist Gas Explosion Hazard’', Engi-
   neering Handbook, Offshore Design, Oslo.
Dunlap, W.A., and Ibbs, C.W. (eds) (1994) Proc. Int. Workshop on Assessment and Requali-
   fication of Offshore Production Structures, New Orleans, Offshore Technology Research
   Center, Texas A&M University and University of California, Berkeley, CA.
Fjeld, S. (1977) “Reliability of Offshore Structures”, Paper No. OTC 3027, Proc. 9th Offshore
   Technology Conf., Houston, Vol. 4, 459-472.
Harris, D. and Chaney, F. (1969) “Human Factors in Quality Assurance”, John Wiley &
   Sons, London, UK.
Haver, S., ( 2000) “Evidences of the Existence of Freak Waves”, Proc. Rogue Waves 2000,
   Brest, France, 129-140.
HSE (1992) “Safety Case Regulations”, Health and Safety Executive, HMSO, London.
ISO 19900 (1994) ‘Petroleum and Natural Gas Industries – Offshore Structures – Part 1:
   General Requirements’, (1994), ‘Part 2: Fixed Steel Structures’, (2001), Draft,. Int. Stan-
   dardization Organization, London.
ISO 2394 (1998) “General Principles on Reliability for Structures”, International Standards
   Organisation, London., Draft for approval.
ISSC (1988-1994) Proceedings of the International Ship and Offshore Structures Congress in
   1988 (Lyngby, Denmark); 1991 (Wuxi, China); 1994 (St.Johns, Canada).
Jordaan, I.J. and Maes, M.A. (1991) “Rational for Load Specifications and Load Factors in
   the New CSA Code for Fixed Offshore Structures”. C.J. Civil Engng. 18, 3, 454-464.
Lloyd, J.R. and Karsan, D.I. (1988) “Development of a Reliability-based Alternative to API
   RP2A”, Paper No. OTC 5882, Proc. 20th . Offshore Technology Conf., Vol. 4, Houston,
   593-600.
Lotsberg, I. et al. (to appear) “Risk Assessment of Loss of Structural Integrity of a Floating
   Production Platform due to Gross Errors”, J. Marine Structures.
Madsen, H.O. & S.D. Sørensen (1990). “Probability-Based Optimization of Fatigue Design
Inspection
   and Maintenance”. Presented at Int. Symp. on Offshore Structures, University of Glas-
gow.
Matousek, M. and Schneider, J. (1976) “Untersuchungen Zur Struktur des Zicherheitproblems
   bei Bauwerken”, Institut für Baustatik und Konstruktion der ETH Zürich, Bericht No. 59,
   ETH, Zürich.
Melchers, R.E. (1999) “Structural Reliability Analysis and Prediction”, John Wiley & Sons,
   Chichester, UK.
Moan, T.(1983) “Safety of Offshore Structures”, Proc. 4th ICASP Conference, Firenze, Pita-
   gora Editrice.
Moan, T. (1985) “The Progressive Structural Failure of the Alexander L. Kielland Platform”
   in “Case Histories in Offshore Engineering”, G. Maier (ed.) Springer-Verlag: Berlin.
Moan, T. (1988) “The Inherent Safety of Structures Designed According to the NPD Regula-
   tions”. Report No. F88043 , SINTEF, Trondheim.
Moan, T. (1994) “Reliability and Risk Analysis for Design and Operations Planning of Off-
   shore Structures”. Keynote lecture, Proc. 6th ICOSSAR, Structural Safety and Reliability,
   Vol. I, Balkema, Rotterdam, 21-43.
Moan, T. (1995) “Safety Level Across Different Types of Structural Forms and Material –
   Implicit in Codes for Offshore Structures”, SINTEF Report STF70 A95210, Trondheim,
   Prepared for ISO/TC250/SC7.
Moan, T. (1998) “Target levels for structural reliability and risk analysis of offshore struc-
tures”, in Risk
   Reliability in Marine Technology, Guedes Soares, C. (ed), A.A. Balkema publishers, 351-
368.
Moan,T. (2000a) “Recent Research and Development Relating to Platform Requalification” J.
   OMAE, ASME, Vol. 122, New York, 20-32.


                                             40
Moan,T. (2000b) “Accidental Actions. Background to NORSOK N-003”, Dept. of Marine
   Technology, Norwegian University of Science and Technology, Trondheim.
Moan, T. (2004) “Reliability-based Management of Inspection, Maintenance and Repair of
   Offshore Structures”, J. Structure and Infrastructure Engineering,
Moan, T., Berge, S. and Holthe, K., (1981a) “Analysis of the Fatigue Failure of the Alexander
   L. Kielland”, ASME Winter Annual Meeting, Washington D.C.
Moan, T. and Holand, I. (1981b) “Risk Assessment of Offshore Structures Experiences and
   Principles”. Proc. 3rd ICOSSAR, Elsevier, Amsterdam, 803-820.
Moan, T and Amdahl, J. (1989) “Catastrophic Failure Modes of Marine Structures” in Struc-
   tural Failure, T.Wierzbicki and N. Jones (eds), John Wiley & Sons, Inc, New York.
Moan, T. et al. (1993a) ”Reliability-Based Fatigue Design Criteria for Offshore Structures
   Considering the Effect of Inspection and Repair”, Paper No. OTC 7189, Proc. 25th Off-
   shore Technology Conference, Vol. 2, Houston, 591-599.
Moan, T., Karsan, D. and Wilson, T (1993b) “Analytical Risk Assessment and Risk Control
   of Floating Platforms Subjected to Ship Collisions and Dropped Objects”. Paper No. OTC
   7123, Proc. 25th Offshore Technology Conf., Vol. 1, Houston, 407-418.
Moan, T., Vårdal, O.T. and Johannesen, J.M. (1999) “Probabilistic Inspection Planning of
   Fixed Offshore Structures,” Proc.8th ICASP, Applications of Statistics and Probability,
   A.A. Balkema, Rotterdam, 191-200.
Moan, T. and Amdahl, J. (2001) “Risk Analysis of FPSOs, with Emphasis on Collision Risk”,
   Report RD 2001-12, American Bureau of Shipping, Houston.
Moan, T. Amdahl, J. Wang, X. and Spencer, J. (2002) “Risk Analysis of FPSO, with particu-
   lar emphasis on collisions”, Trans SNAME., Vol. 110, 307-339.
Moore, W. et al (2003) “Report of Specialist Committee V.1 Risk Assessment” Proc. 15th
   ISSC Congress, Vol. 2, Elsevier, Amsterdam.
Moses, F. (1987). “Load and Resistance Factor Design-Recalibration LFRD” Report API
   PRAC 87-22. API, Dallas, Texas.
NORSOK N-001 (2002) “Structural Design”, Norwegian Technology Standards, Oslo.
NORSOK N-003 (1999) “Actions and Action Effects”, Norwegian Technology Standards,
   Oslo.
NORSOK N-004 (1998b) “Steel Structures”, Norwegian Technology Standards, Oslo.
NORSOK Z-013 (1998a) “Risk and Emergency Preparedness Analysis”, NORSOK Standard
   Z-013, NTS, Oslo, Rev. 1.
NPD (1977) “Regulation for the Design of Fixed Structures on the Norwegian Continental
   Shelf”. Norwegian Petroleum Directorate, Stavanger.
NPD (1981) “Guidelines for Safety Evaluation of Platform Conceptual Design.” Norwegian
   Petroleum Directorate, Stavanger.
NPD (1984) “Regulations for load-carrying structures for extraction or exploitation of petro-
   leum”, The Norwegian Petroleum Directorate, Stavanger.
NPD (1991) “Regulations Relating to Implementation and Use of Risk Analysis in the Petro-
   leum Activities”, Norwegian Petroleum Directorate, Stavanger.
OR (1984) Royal Commission on the Ocean Ranger Marine Disaster: “Report One: The
   Loss of the Semi-submersible Drill Rig Ocean Ranger and its Crew”, Edifice Fort Wil-
   liam, St. Johns Newfoundland.
Paik, J.K. et al (2003) “Report of Committee V.2 Collision and Grounding”, Proc. 15th ISSC,
   Vol. 2, Elsevier, Amsterdam.
Paik, J.K. and Thayamballi, A.K. (2003) “Ultimate Limit State Design of Steel-Plated Struc-
   tures”, John Wiley & Sons, Chichester.
P-36 (2001) “Workshop on the Accident with the P-36 Platform”, Petrobas and Coppe (eds),
   Rio de Janeiro, Brazil.
PA (1990) “The Public Inquiry in the Pipe Alpha Disaster”, Inquiry Commission HMSO,
   London.
Prevosto, M. and Forristall, G.Z. (2002) “Statistics of wave crests from models vs. measure-
   ments”, Paper No. 28443, Proc. 21st OMAE Conference, Oslo.
Reason, J. (1997) “Managing the Risks of Organizational Accidents”, Ashgate Publishers,
   Aldershot, UK.



                                             41
Sarpkaya, T. and Isaacson, M. (1981) “Mechanics of Wave Forces on Offshore Structures”,
   Van Nostrand Reinholdt, New York.
SCI(1993) “Interim Guideance Notes for the Design and Protection of Topside Structures
   against Explosion and Fire”, Steel Construction Institute, Document SCI-P-112/503, Lon-
   don.
Sigurdsson, G., Lotsberg, I., Myhre, T. and Ørbeck-Nilssen, K. (2000) “Fatigue Reliability of
   Old Semi-submersibles,” OTC Paper no 11950, Proc. Offshore Technology Conference,
   Houston.
Skallerud, B. and Amdahl, J. (2002) “Nonlinear Analysis of Offshore Structures”, Research
   Studies Press.
Smith, C.S. (1977) “Influence of Local Compressive Failure on Ultimate Longitudinal Strength
   of Ships hull” Proc. PRADS, Tokyo, 73-79.
Vårdal, O.T. and Moan, T. (1997) "Predicted versus Observed Fatigue Crack Growth. Valida-
   tion of Probabilistic Fracture Mechanics Analysis of Fatigue in North Sea Jackets", Paper
   No. 1334, Proc. 16th OMAE Conference, Yokohama, Japan.
Vårdal. O.T. , Moan, T. and Bjørheim, L.G. (2000) "Applications of Probabilistic Fracture
   Mechanics Analysis for Reassessment of Fatigue Life of a Floating Production Unit-
   Philosophy and Target Levels", Paper No. 00-2078, Proc. 19th OMAE Conference, New
   Orleans.
Vinnem, J.E. (1999) “Offshore Risk Assessment”, Kluwer Academic Publishers, Doordrecht.
Walker, S. et al. (2003) “New Guidance on the Design of Offshore Structures to Resist the
   ExplosionHazard” Paper No. 203-37120, Proc. 22nd OMAE Conference, Cancun, Mexico.
Wirsching, P.H. (1983) “Probability-based Fatigue Design Criteria for Offshore Structures”
   Report API-PRAC Project No. 81-15, Dept. of Aerospace and Mechanical Engng. Univer-
   sity of Arizona, Tucson.
WOAD: “Worldwide Offshore Accident Databank”, Det Norske Veritas, Oslo, 1996.
Yao, T, et al. (2000) “Report of ISSC Committee VI.2. Ultimate Hull Girder Strength”, Proc.
   14th ISSC Congress, Nagasaki.


Acronyms

ALS - Accidental Collapse Limit State
API - American Petroleum Institute
FDF – Fatigue Design Factor
       (to multiply with the service life to get desired characteristic value of fatigue
  life)
FLS - Fatigue Limit State
HOF - Human and Organizational Factors
HSE - Health and Safety Executive, UK
IMO - International Maritime Organization
ISO - International Standardization Organization
MMS-Mineral Management Services, USA
NPD - Norwegian Petroleum Directorate (now: Petroleum Safety Authority, Norway)
TLP - Tension Leg Platform
WOAD – World Accident Data Bank, issued by Det Norske Veritas




                                            42

Safety for offshore structure

  • 1.
    CORE Report No.2005-04 SAFETY OF OFFSHORE STRUCTURES by TORGEIR MOAN Professor Norwegian University of Science and Technology and Keppel Professor National University of Singapore Centre for Offshore Research & Engineering National University of Singapore
  • 2.
    Keppel Offshore andMarine Lecture November 26. 2004 Safety of Offshore Structures By Professor Torgeir Moan Director, Centre for Ships and Ocean Structures, Norwegian University of Science and Technology Keppel Professor, National University of Singapore
  • 3.
    Foreword The Second KeppelOffshore & Marine Lecture was delivered by Professor Torgeir Moan at the National University of Singapore (NUS) on 26 November 2004. This report is the written version of the lecture. The Lecture was supported by many professional societies, including American Society of Mechanical Engineers (Singapore Section), The Institution of Engineers Singapore, The Institute of Structural Engineers, The Joint Branch of Royal Institution of Naval Architects and Institute of Marine Engineering Science & Technology, Society of Naval Architects and Marine Engineers Singapore, Singapore Shipping Association and Singapore Structural Steel Society. The Keppel Professorship in Ocean, Offshore and Marine Technology in NUS was launched officially by His Excellency, President S.R. Nathan of Singapore and Chancellor of NUS on 19 September 2002. The Professorship has been established under the Department of Civil Engineering, and is part of the bigger umbrella of the Centre for Offshore Research & Engineering (CORE) in NUS. CORE has received seed funding from Keppel Offshore & Marine Ltd and Economic Development Board (Singapore). The Centre aims to be a focal point for industry participation and activities in Singapore, and promotes multi-disciplinary research by drawing on the expertise of various universities, research institutes, and centres for integrated R&D. Professor Moan, the first Keppel Professor, is an academic of international stature through his 30 years of close involvement in the international offshore oil and gas and marine fraternity. He brings a global perspective to promote R&D in Singapore, with a particular emphasis on the technological interests of Keppel Offshore & Marine. He will serve as the beacon of guidance and inspiration for academics as well as industry. CORE acknowledges the significant support of everyone in Keppel Offshore & Marine, especially Mr Choo Chiau Beng, Mr Tong Chong Heong and Mr Charles Foo, for their immense contributions. CORE is working closely in partnership with Keppel on R&D, Education and Training to draw young talents into the offshore and marine industry.
  • 4.
    Safety of OffshoreStructures Torgeir Moan Centre for Ships and Ocean Structures Norwegian University of Science and Technology Summary An overview of important developments regarding safety management of offshore structures is given. Based on relevant experiences with accidents, the hazards and the means to control the associated risk are categorized from a technical-physical as well as human and organizational point of view. This includes considerations of the risk associated with fatigue, corrosion and other degrading phenomena. The risk can be controlled by use of adequate design criteria, inspection, repair and maintenance of the structures as well as quality assurance and control of the engineering processes. Such measures are briefly outlined, while the emphasis is placed upon a quantitative design approach for dealing with structural robustness. In this connection the inherent differences in the robustness of various structural concepts are pointed out. The appli- cation of reliability methodology to obtain quantitative measures of structural safety relating to ultimate failure as well as handle the combined effect of design, inspec- tion and repair strategy on fatigue failure is highlighted. The application of risk analysis to establish robustness criteria corresponding to a certain risk acceptance level is briefly mentioned. The challenges of Quality Assurance and Control to new structures are briefly outlined, with particular reference to recent examples of new loading phenomena such as ringing and springing of platforms. i
  • 5.
    1. Introduction Oil andgas are the dominant sources of energy in our society. Twenty percent of these hydrocarbons are recovered from reservoirs beneath the seabed. Various kinds of platforms are used to support exploratory drilling equipment, and the chemical (production) plants required to process the hydrocarbons. Large production platforms, such as some of those in the North Sea, represent investment of billions of U.S. dol- lars and significant operational costs. Pipelines or tankers are used to transport the hydrocarbons to shore. This paper is limited to deal with offshore structures, see Fig. 1. a) Offshore oil and gas b) Platform for exploratory c) Platform for oil and gas exploitation drilling operation production (chemical processing) Fig. 1 Subsea oil and gas exploitation The continuous innovations to deal with new serviceability requirements and demand- ing environments as well the inherent potential of risk of fires and explosions have lead to an industry which has been in the forefront of development of design and analysis methodology. Fig. 2 shows phases in the life cycle of offshore structures. The life cycle of marine systems is similar to that of other systems. In view of the ecologi- cal issue removal or clean-up need to be considered. In this aspect the recycling of the material is an important issue. In the life cycle phases of structures the design phase is particularly important. Offshore structures need to fulfil serviceability and safety re- quirements. Serviceability requirements depend upon the function of the structure, which is to provide a platform and support of equipment for drilling or for the produc- tion of hydrocarbons. Drilling units need to be mobile while production platforms are generally permanent. Production platforms are commonly designed to carry large chemical factories together with large hydrocarbon inventories (Fig. 1c). Safety re- 1
  • 6.
    quirements are introducedto limit fatalities as well as environmental and property damages. The focus here is on the structural safety during the life cycle of the platforms. A ra- tional safety approach should be based on: - Goal-setting; not prescriptive - Probabilistic; not deterministic - First principles; not purely experimental - Integrated total; not separately - Balance of safety elements; not hardware Design Data, methods, for criteria - serviceability & - producability - safety Layout/ Scantlings Fabrication - Fabrication plan - Fabrication & - Inspection/repair Operation data Operation - Operation plan Inspection/ monitoring/ repair / maintenance Reassessment Removal and reuse Fig. 2: Life cycle phases of offshore structures The safety management of structures is different for different industries depending on the organisation as well as regulatory contents. For instance the safety management of offshore structures differs from that for trading ships. One reason for this difference is the fact that safety management of trading vessels emerged for centuries through em- piricism while off-shore structures have primarily come about in the last 50 years when first principles of engineering science had been adequately developed to serve as basis for design. Similarly the regulatory regime differs between ships and offshore structures in that offshore operation take place on continental shelves under the juris- diction of the local government. Typically authorities in the continental shelf states have to issue regulations. Examples of these are MMS/API in USA, HSE in UK and NPD in Norway. However the provisions for stability and other maritime issues are based on those of IMO and their corresponding national organizations. Classification societies primarily provide rules for drilling units and services for production facili- ties, which primarily are handled by national authorities. Since early 1990s ISO has been developing a harmonized set of codes for offshore structures with contribution from all countries with major offshore operations. Over the time safety management of offshore structures has been developed, in paral- lel with the evolvement of the technology and the competence to deal with it. Initially civil engineering was the driving force for structural safety management. Later the 2
  • 7.
    aeronautical and nuclearindustries also played an important role. However in the last 20-30 years the developments in the offshore industry has had a significant impact on the development of safety approaches. This is partly because the offshore industry plays a key role in the “world’s economy”. Moreover the oil and gas represent energy with large potential accident consequences. Companies involved in structures and/or facilities that experience accidents may suffer loss of reputation and this may damage the public’s trust on the companies. The rationalisation of safety management of offshore structures began in early 70’s. Among the milestones is the introduction of Risk Analysis in 1981 and Accidental Collapse Design criterion in 1984 by the Norwegian Petroleum Directorate and the HSE Safety case approach in 1992, when the ALARP principle - as large as reasona- bly practicable – was introduced for determining the target safety level. To limit the likelihood of fatalities and environmental and property damages, offshore structures should be designed, fabricated and operated in such a manner that the prob- ability of the following failure modes is adequately small: - overall, rigid body instability (capsizing) under permanent, variable and envi- ronmental loads - failure of (parts of) the structure foundation or mooring systems, considering permanent, variable, and environmental as well as accidental loads Stability requirements for floating platforms affect the layout and the internal struc- ture – subdivision in compartments. Criteria to prevent progressive structural failure after fatigue failure or accidental damage would have implications on overall layout of all types of platforms. Otherwise a structural strength criterion affects the scant- lings of the stiffened, flat, and cylindrical panels that typically constitute floating off- shore structures. If the location is far off shore then evacuation and rescue will be difficult. On the other hand, this implies that accidents on offshore facilities affect the general public to a lesser extent than accidents on similar facilities on land. In the following sections accident experiences on offshore structures will be briefly explained. Then, an outline of various measures to manage the safety or ensure that the risk is within acceptable limits, is given. This includes: Design and inspection criteria as well as reliability methodology to calibrate the partial safety factors to cor- respond to a defined acceptable safety level. In particular it is explained how fatigue failures can be avoided by design as well as inspections and regular monitoring of the structure. Emphasis is placed on how structural robustness can be ensured by using so-called Accidental Collapse Limit State (ALS) criteria. Such criteria are exempli- fied in relation to fires, explosions and other accidental loads. Finally, Quality Assur- ance and/or Quality Control of the engineering process will be described with particu- lar reference to dealing with unknown wave loading and response phenomena. 2. Accident Experiences 2.1 Accident experiences at large Safety may be regarded as the absence of accidents or failures. Hence the insight about safety features can be gained from detailed information about accidents and failures. To learn about the intrinsic nature of accidents, it is mandatory to study the detailed accounts provided from investigations of catastrophic accidents since the 3
  • 8.
    necessary resources arethen spent to investigate such accidents. Such studies include those of the platforms Alexander Kielland in 1980 (ALK, 1981, Moan and Holand, 1981b), Ocean Ranger in 1982 (OR, 1984), Piper Alpha in 1988 (PA, 1990), and P-36 in 2001 (P-36, 2003). See also Bea (2000a, 2000b). In addition, the statistics about offshore accidents, such as ones given in WOAD (1996), provide an overview. Global failure modes of concern are - capsizing/sinking - structural failure - positioning system failure the former two modes represent catastrophic events while the latter one is only critical for Tension-leg platforms. Global failures normally develop in a sequence of technical and physical events. However, to fully understand accidents it is necessary to interpret them in the view of human and organizational factors (HOF). This includes possible deficiencies in relevant codes, possible unknown phenomena that have materialized as well as possible errors and omissions made in engineering processes, fabrication processes or in the operation itself. b) Model of Ocean c) Piper Alpha fire d) P - 36 accident in 2001 Ranger, which capsized in and explosion in 1988 a) Alexander L. Kielland 1982, during survival before and after capsizing testing in 1980 Fig. 3: Examples of accidents which resulted in a total loss. Let us consider an example: The platform shown in Figure 4a in the Gulf of Mexico. This is one of many platforms that were damaged during the passage of the hurricane Lilli. Physically there is no doubt that this accident was due to extreme wave forces. To explain from a human and organizational point of view why the platform was not strong enough to resist the wave forces, we have to look at the decisions that were made during the design phase regarding loads, load effects, resistance and safety fac- tors. The explanation might be that design was based on an inadequate wave condi- tions or load calculation. The damage could also be due to the occurrence of a particu- lar a wave phenomenon, such as an abnormal wave crest (see Fig. 4b) or another “un- known” wave phenomenon. In the case of the exceptional wave in Fig. 4b, the ques- tion is whether the extreme crest height of 18.5 m should be considered as the so- called “freak” wave or simply a rare wave. Alternatively, the reason could be inade- quate air-gap provided in the design. Yet another explanation might be that an im- proper strength formulation was used (as was the case in design of early generation platforms). Finally, the safety factors might not have been sufficient to cover the in- herent uncertainties. For each of these possible causes, two explanations need to be 4
  • 9.
    considered, namely 1)The state of art in offshore engineering was inadequate at the time of design ; 2) Errors and omission were made during design or fabrication! Ob- viously, these two explanations have different implications on the risk reducing ac- tions. In this connection it is noted that several types of environmental load phenomena, such as green water on deck and slamming (Fig. 4 c-d) are subjected to large uncer- tainties. In general, if the phenomenon is known but subject to significant uncertain- ties, the design approach taken is normally conservative. 18 5 b) Wave record from a platform site in the North Sea on January 1. 1995. a)Severe damage caused on a jacket platform in the Gulf of Mexico by Hurricane Lilli c) Green water and deck slamming d) Deck slamming on semi- on FPSO submersible platform Fig. 4 Structural damage due to environmental loads The technical-physical sequence of events for the Alexander Kielland platform was: fatigue failure of one brace, overload failure of 5 other braces, loss of column, flood- ing into deck, and capsizing. For Ocean Ranger the accident sequence was: flooding through broken window in ballast control room, closed electrical circuit, disabled bal- last pumps, erroneous ballast operation, flooding through chain lockers and capsizing. Piper Alpha suffered total loss after: a sequence of accidental release of hydrocarbons, as well as escalating explosion and fire events. P-36 was lost after: an accidental re- lease of explosive gas, burst of emergency tank, accidental explosion in a column, progressive flooding, capsizing and sinking after 6 days. Table 1 shows accident rates for mobile (drilling) and fixed (production) platforms according to the initiating event of the accident WOAD (1996). Table 1 is primarily based upon technical-physical causes. Severe weather conditions would normally af- fect capsizing/ foundering as well as structural damage. In most cases there existed human errors or omissions by designers, fabricators or operators of the given installa- tion was a major contributor to the accident. The most notable in this connection is, of course accidents caused by loads such as ship impacts, fires and explosions which should not occur but do so because of errors and omissions during operation. In general, accidents take place in sequences. For floating platforms, the loss of buoy- ancy and stability is commonly an important aspect of total loss scenarios. Structural damage can cause progressive structural failure or flooding. Progressive flooding at- 5
  • 10.
    tributes to agreater probability of total loss of floating structures than progressive structural failure. Degradation due to corrosion and fatigue crack growth are gradual phenomena. How- ever, if the fatigue life is insufficient to make Inspection, Monitoring, Maintenance and Repair (IMMR) effective or if there is lack of robustness, fatigue can cause catas- trophic accidents, see Fig. 5. Both cases shown in Fig.5 occurred for statically deter- minate platforms. In other situations through-the-thickness cracks were detected by inspections before they caused catastrophic failures (Moan, 2004). Corrosion is not known to have caused accidents with floating offshore structures of significance. On the other hand, maintenance related events for floating structures is limited. We need to be aware of this problem, especially for structures with a low fatigue life. Table 1: Number of accidents per 1000 platform-years. Adapted after WOAD (1996). World wide Gulf of Mexico North Sea Type of Mobile Fixed Fixed Fixed accident 1970-79 /80-95 1970-79 /80-95 1970-79 /80-95 1970-79 /80-95 Blowout 18.8/ 11.4 2.5/0.9 2.2/1.0 2.6/1.6 Capsizing/ 24.0/ 19.5 0.5/0.8 0.3/1.1 2.6/0.5 foundering Collision / contact 24.6/ 14.6 1.6/1.0 1.3/0.7 5.1/6.3 Dropped object 4.2/ 6.1 0.5/0.8 0.1/0.4 10.3/10.6 Explosion 7.4/3.3 0.7/1.6 0.3/0.4 2.6/8.3 Fire 12.3/ 2.0/7.5 1.0/7.8 18.0/42.5 11.9 Grounding 6.1/3.3 - - - Spill/release 4.9/5.9 1.8/8.7 1.0/5.8 23.1/98.3 Structural damage 25.6/ 18.4 0.5/0.6 0.4/0.5 10.3/6.0 Column D ”Missing braces” – that cause no redundancy Ranger I, 1979 Alexander Kielland, 1980 Fig. 5: The total losses of Ranger I in 1979 and Alexander Kielland in 1981 were initiated by fatigue failure 6
  • 11.
    An overall pictureof the accident rate in an industry may be displayed by the so- called Frequency-Consequence diagram as shown in Figure 6. The horizontal axis is plotted the consequence, in this case in terms of fatalities, N. The vertical axis is shown the frequency of N or more fatalities per accident. We see that the accident rate for mobile drilling units is much higher than for fixed production platforms. Fixed platforms are mainly used as production facilities. Moan and Holand (1981b) ex- plained the main reasons for the differences in safety levels between mobile and fixed platforms. Floating production platforms are not included because of the limited ex- perience with such platforms. The risk is similar that that of passenger vessels and tankers. 100 Marginally acceptable Acceptable Annual frquency of an event 10-1 with N or more fatalities Oil platforms Mobile 10-2 Fixed 10-3 Passenger ferries 10-4 (not ro-ro) Tankers 10-5 Merchant vessels 1 10 100 1000 10000 Number of lives lost, N Fig. 6: Comparison of experienced overall accident rates with respect to fatalities in the offshore and shipping industries 2.2 Human and organizational factors Basically, structural failure occurs when the resistance, R is less than the load effect, S as indicated in Fig. 7. From a Human and Organizational Factor (HOF) point of view this can be due to too small safety factors to account for the normal uncertainty and variability in R and S relating to design criteria. But the main causes of actual structural failures are the abnormal resistance and accidental loads due to human er- rors and omissions. Design errors materialise as a deficient (or excessive) resistance, which cannot be derived from the parameters affecting the “normal” variability of resistance. Fabrica- tion imperfections (such as cracks, plate misalignment, etc.), which also affect the resistance, are influenced by human actions. The “normal” variability of welders per- formance, environmental conditions, and soon lead to a “normal” variability in the imperfection size. This is characterised by a smooth variation of the relevant imper- fection parameter. Occasionally a deviation from “normal practice” does occur, for instance as an abnormality caused by using a wet electrode, or another gross fabrica- tion error. The Alexander L. accident in 1980 was caused by a fatigue failure of a brace and design checks had not been carried out. The implied fatigue life was further reduced – to 3.5 years - by a fabrication error (70 mm weld defect) as well as inade- quate inspections (ALK, 1981). Although the fatigue failures that had been experi- enced in semi-submersibles in the period 1965-70 resulted in fatigue standards, these 7
  • 12.
    standards were notproperly implemented even for platforms built in the 1970’s. Many platforms built in the 1970’s had joints with design fatigue lives as low as 2-5 years. This fact was evidenced in the extraordinary surveys undertaken after Alexan- der Kielland accident. The same happened to the first purpose built FPSO and shuttle tankers put into service in the mid-1980’s. However, ships are obviously more robust or damage-tolerant than mobile semi-submersible platforms. Man-made live loads also have a “normal” and an “abnormal” component. While some loads, notably fires and explosions, ship collisions, etc. do not have a normal counterpart, they are simply caused by operational errors or technical faults. The mo- bile platform Ocean Ranger capsized in the offshore of Newfoundland in 1982. The accident was initiated by control room window breaking due to wave slamming. The water entering the control room lead to the short circuit of the ballast valve system, thereby leading to a spurious operation of ballast valves. The resulting accidental bal- last condition could not be controlled partly because of lack of crew training and partly because of inadequate ballast pumps, and open chain lockers (OR, 1984). The catastrophic explosion and fire on the Piper Alpha platform in 1988 was initiated by a gas leak from a blind flange of a condensation pump that was under maintenance but not adequately shut down (PA, 1990). The main issue that caused the initiation of this accident was the lack of communication between the maintenance team and the control room operators. The gas ignited and the initial explosion lead to damage of an oil pipe and subsequent oil fires and explosions. In 2001 the platform P-36 in Brazil experienced a collapse of the emergency drainage tank, accidental explosion and subsequent flooding capsizing and sinking. A series of operational errors were identified as the main cause of the first event and also the sinking (P-36, 2001). It is a well known fact that the gross errors dominate as the cause of accidents, and therefore appropriate control measures should be implemented. It is found that the gross errors cause 80-90% of the failure of buildings and bridges and other civil engi- neering structures (Matousek and Schneider, 1976). The same applies to offshore structures. R&D Risk reduction Do the job Unknown material or Do the job properly in load phenomenon properly in the first place the first place Causes QA/QC Design QA/QC of Abnormally Design error design of design error low Failure - oversight of load QA/QC of QA/QC Fabrication resistance R<S … operation error Operational error of the as- Event - accidental load fabricated control structure ULS: RC/γR > γS1SC1 + γS2SC2 (leak, etc) FLS: D=Σni/Ni ≤ Dallowable ALS Inadequate safety factors for design normal variability of R and S check Apply adequate safety factors in ULS/FLS design check Fig. 7 Interpretation of causes of structural failure and risk reduction measures. 8
  • 13.
    It has beenobserved that errors and omissions occur especially in dealing with novel materials and concepts as well as during periods with economic and time pressures. In some cases, accidents have been caused by inadequate engineering practice such as the lack of knowledge regarding new phenomena. Recently new phenomena such as ringing and spinning of TLPs, degradation failure mechanism of flexible risers, have been discovered. Nevertheless they were observed in time before any catastrophic accident could occur. 3. Safety Management 3.1 General Offshore drilling, production or transport facilities are systems consisting of struc- tures, equipments and other hardware’s, as well as specified operational procedures and operational personnel. Ideally these systems should be designed and operated to comply with a certain acceptable risk levels as specified for example by the probabil- ity of undesirable consequences and their implications. The safety management needs to be synchronised with the life cycle of the structure. Structural failures are mainly attributed to errors and omissions in design, fabrication and, especially, during opera- tion. Therefore, Quality Assurance and Control (QA/QC) of procedures and the struc- ture during fabrication and use (operation) is crucial. To do a truly risk based design, by carrying out the design iteration on the basis of a risk acceptance criterion, and to achieve a design that satisfies the acceptable safety level, is not feasible. In reality, different subsystems, like: - loads-carrying structure & mooring system - process equipment - evacuation and escape system are designed according to criteria given for that particular subsystems. For instance, to achieve a certain target level, which implies a certain residual risk level, safety criteria for structural design are given in terms of Ultimate Limit State (ULS) and Fatigue Limit State (FLS) criteria. Using appropriate probabilistic definitions of loads and resistance together with safety factors, the desired safety level is achieved. The im- plicit risk associated with these common structural design criteria is generally small! The philosophy behind the Accidental Collapse Limit (ALS) criteria is discussed be- low. The nature of human errors differs from that of natural phenomena and “normal” man-made variability and uncertainty. Different safety measures are required to con- trol error-induced risks. A number of people maintain that gross errors are “Acts of God” and cannot be dealt with. However, - weld defects and fatigue failures due to gross errors had occurred before the Kiel- land accident - ballast errors had occurred before the Ocean Ranger accident - fires and explosions had occurred before the Piper Alpha accident and so on 9
  • 14.
    The occurrence ofgross errors have been avoided by adequate competence, skills, attitude and self-checking of those who do the design, fabrication or operation in the first place; and by exercising “self-checking” in their work. In addition, quality assurance and control should be implemented in all stages of de- sign, fabrication and operation. While the QA/QC in the design phase is concerned with scrutinizing the analysis, design checks and the final scantlings arrived at, the QA/QC during fabrication and operation phases refers to inspection of the structure itself. As mentioned above, operational errors typically result in fires or explosions or other accidental loads. Such events may be controlled by appropriate measures such as de- tecting the gas/oil leakage and activating shut down valve; extinguishing of a fire by an automatically-activated deluge system. These actions are often denoted as “Event Control”. Finally, Accidental Collapse Limit State criteria are implemented to achieve robust offshore structures, that is to prevent that the “structural damage” occurring as fabri- cation defects or due to accidental loads, escalate into total losses (Moan 1994). Table 2 summarises the causes of structural failure from a risk management point of view, and how the associated risk may be ameliorated. Adequate evacuation and escape systems and associated procedures are crucial for controlling failure consequences in terms of fatalities. Table 2: Causes of structural failures and risk reduction measures Cause Risk Reduction Measure • Less than adequate safety margin to - Increased safety factor or margin in ULS, FLS; cover “normal” inherent uncertain- - Improve inspection of the structure(FLS) ties. • Gross error or omission - Improve skills, competence, self- checking (for during d, f, o) - design (d) - QA/QC of engineering process (for d) - fabrication (f) - Direct design for damage tolerance (ALS) – and - operation (o) provide adequate damage condition (for f, o) - Inspection/repair of the structure (for f, o) • Unknown phenomena - Research & Development 3.2 Design and inspection criteria Adequate performance of offshore structures is ensured by designing them to comply with serviceability and safety requirements for a service life of 20 years or more, as well as carrying out load or response monitoring, or inspection and taking the neces- sary actions to reduce loads directly or indirectly, by, e.g., removal of marine growth, or to repair, when necessary. Serviceability criteria are introduced to make the structure comply with the functions required. These criteria are commonly specified by the owner. Production platforms are usually made to be site- specific, while drilling units are commonly intended for operation in specific regions or world wide. 10
  • 15.
    Safety requirements areimposed to avoid ultimate consequences such as fatalities and environmental or property damages. Depending upon the regulatory regime, separate acceptance criteria for these consequences are established. Property damage is meas- ured in economic terms. Fatalities and pollution obviously also have economic impli- cations. In particular, the increasing concern about environmental well-being can cause small damages to have severe economic implications. While fatalities caused by structural failures would be related to global failure, i.e. capsizing or total failure of deck support, smaller structural damages may result in pollution; or property damage which is costly to repair such as the damages of an underwater structure. The current practice which is implemented in new offshore codes, issued e.g. by API (1993/97), ISO 19900 (1994-) and NORSOK (1998a, 1998b, 1999, 2002) as well as by many classification societies, and the most advanced codes are characterized by - design criteria formulated in terms of limit states (ISO 19900, 1994) – see Table 3 - semi-probabilistic methods for ultimate strength design which have been cali- brated by reliability or risk analysis methodology - fatigue design checks depending upon consequences of failure (damage- tolerance) and access for inspection - explicit accidental collapse design criteria to achieve damage-tolerance for the system - considerations of loads that include payload; wave, current and wind loads, ice (for arctic structures), earthquake loads (for bottom supported structures), as well as accidental loads such as e.g. fires, explosions and ship impacts - global and local structural analysis by finite element methods for ultimate strength and fatigue design checks - nonlinear analyses to demonstrate damage tolerance in view of inspection plan- ning and progressive failure due to accidental damage Fatigue crack growth is primarily a local phenomenon. It requires stresses to be calcu- lated with due account of the long-term wave conditions, global behaviour as well as the geometric stress concentrations at all potential hot spot locations, and suitable fatigue criteria (e.g. Miner’s rule). Fatigue strength is commonly described by SN- curves, which have been obtained by laboratory experiments. Fracture mechanics analysis of fatigue strength have been adopted to assess more accurately the different stages of crack growth including calculation of residual fatigue life beyond through- thickness crack, which is normally defined as fatigue failure. Detailed information about crack propagation is also required to plan inspections and repair. 11
  • 16.
    Table 3 LimitState Criteria for safety – with focus on structural integrity L im it s ta te s P h y s ic a l a p p e a r a n c e R e m a rk s o f fa ilu r e m o d e U ltim a te (U L S ) D if f e r e n t f o r b o t t o m – - O v e r a l l “ r ig i d b o d y ” s u p p o rte d , o r b u o y a n t s t a b i lit y C o lla p s e d s tru c tu re s . - U lt im a t e s t r e n g t h o f c y lin d e r C o m p o n e n t d e s ig n c h e c k s t r u c t u r e , m o o r in g o r p o s s ib le f o u n d a t io n F a tig u e (F L S ) C o m p o n e n t d e s ig n c h e c k - F a ilu r e o f w e ld e d jo in t s F a t ig u e - d e p e n d in g o n r e s i d u a l d u e t o r e p e t it iv e lo a d s fra c tu re s y s te m s tre n g th a n d a c c e s s f o r in s p e c t io n A c c id e n ta l c o lla p s e ( A L S ) S y s t e m d e s ig n c h e c k - U lt im a t e c a p a c it y 1 ) o f J a c k -u p d a m a g e d s t r u c t u r e w it h c o lla p s e d “ c r e d i b le ” d a m a g e An adequate safety against fatigue failure is ensured by design as well as by inspec- tions and repairs. Fatigue design requirements depends upon inspect ability and fail- ure consequences. Current requirements for fatigue design check in NORSOK are shown in Table 4. These values were established by the NPD code committee in 1984 by judgement. Table 4 Fatigue design factor, FDF to multiply with the planned service life to obtain the required design fatigue life (NORSOK N-001, 2002). Access for inspection and repair Accessible (inspection according to generic scheme No access or is carried out) in the splash zone Above splash zone Below splash zone or internal Substantial 10 3 2 consequences Without substantial 3 2 1 consequences 1) The consequences are substantial if the Accidental Collapse Limit State (ALS) criterion is not satisfied in case of a failure of the relevant welded joint considered in the fatigue check. Traditionally we design for dead-loads, payloads as well as environmental loads. But, loads can also be induced by human errors or omissions during operation – and cause accidental loads. They commonly develop though a complex chain of events. For instance hydrocarbon fires and explosions result as a consequence of an acciden- tal leak, spreading, ignition and combustion process. Accidental Collapse Limit State (ALS) requirements are motivated by the design philosophy that “small damages, which inevitably occur, e.g. due to ship impacts, explosions and other accidental loads, should not cause disproportionate consequences”. 12
  • 17.
    The first explicitrequirements were established in Britain following the Ronan Point apartment building progressive failure in 1968. In 1984 such criteria were extended by NPD, to include such robustness criteria for the structure and mooring system. While robustness requirements to the mooring are generally applied today, explicit ALS criteria are not yet widespread. The World Trade Centre and other recent catas- trophes have lead to further developments of robustness criteria for civil engineering structures. See Figure 8. ALS checks should apply to all relevant failure modes as shown in Figure 9. It is in- teresting in this connection to note that ALS-type criteria were introduced for sinking/ instability of ships long before such criteria were established for structural integrity as such. Thus, ALS were introduced in the first mobile platform rules (as described e.g. by Beckwith and Skillman, 1976). The damage stability check has typically been specified with damage limited to be one or two compartments flooded. According to NPD this damage should be estimated by risk analysis, as discussed subsequently. The criterion was formally introduced for all failure modes of offshore structures in Norway in 1984 (NPD, 1984). Applied • Ronan point since Motivation: early appartment building codes ”small damages, Flooded accident, 1968 which inevitably occur, volume • Flixborough explosion, should not cause a) Capsizing/sinking due to (progressive) flooding 1974 disproportionate • ECCS model codes, consequences!” Gaining Explosion damage acceptance 1978 • Alexander L. Kielland accident, 1980 • NPD Regulations for Risk analysis, 1981 b) Structural failure e.g. due to impact damage,.... • NPD’s ALS criterion, 1984 • HSE Safety Case, 1992 Failure of Dynamic One One Generally • WTC, September 11., 2001 Positioning System tether mooring applied is handled in a similar failed line failed manner c) Failure of mooring system due to "premature" failure Fig. 8: Historical development of ALS Fig. 9: Accidental Collapse Limit State assessment of structures (ALS) requirements The assessment of structures during operation is necessary in connection with a planned change of platform function, extension of service life, occurrence of overload damage due to hurricanes (Dunlap and Ibbs, 1994), subsidence of North Sea jackets (Broughton, 1997), explosions, fires and ship impact, updating of inspection plans etc (ISO 19900). Basically, the reassessment involves the same analyses and design checks as carried out during initial design. However, depending upon the inherent damage tolerance ensured by the initial design, the measures that have to be imple- mented to improve the strength of an existing structure may be much more expensive than ones for a new structure. This fact commonly justifies more advanced analyses of loads, responses, resistances as well as use of reliability analysis and risk-based ap- proaches than in the initial design (Moan, 2000a). 13
  • 18.
    3.3 Inspection, Monitoring,Maintenance and Repair Inspection, Monitoring, Maintenance and Repair (IMMR) are important measures for maintaining safety, especially with respect to fatigue, corrosion and other deteriora- tion phenomena. To ensure structural integrity within the offshore sector in the North Sea, the regulatory body defines the general framework while the audit of the oil companies or rig owners defines: inspection and maintenance needs, reports planned activity, findings and evaluates conditions annually and every fourth or fifth year. Hence, the inspection history of a given structure is actively incorporated in the plan- ning of future activities. The inspection and repair history is important for a rational condition assessment procedure of the relevant structure and other, especially for “sis- ter” structures. The objective of inspections is to detect cracks, buckling, corrosion and other dam- ages. Overload phenomena are often associated with a warning for which the inspec- tion can be targeted, while degradation needs continuous surveillance. However, nor- mally ample time for repair will be available in the latter cases. An inspection plan involves: - prioritizing which locations are to be inspected - selecting inspection method (visual inspection, Magnet Particle Inspection, Eddy Current) depending upon the damage of concern - scheduling inspections - establishing a repair strategy (size of damage to be repaired, repair method and time aspects of repair) Whether the inspection should be chosen to aim at detecting cracks by non-destructive examination (NDE), close visual inspection, detect through-thickness cracks e.g. by leak detection, or member failures would depend on how much resources are spent to make the structure damage tolerant. The choice again would have implication on the inspection method. The main inspection methods being the NDE methods consist of detection of through-thickness crack by e.g. leak detection, and visual inspection by failed members. The quality of visual inspection of NDE methods depends very much upon the conditions during inspection. A large volume offshore structure is normally accessible from the inside, while members with a small diameter such as TLP tethers and joints in jacket braces, are not. Permanent repairs are made by cutting out the old component and butt welding a new component, re-welding, adding or removing scantlings, brackets, stiffeners, lugs or collar plates. Typically major inspections of offshore structures (special surveys, renewal surveys) are carried every 4 - 5th year, while intermediate and annual inspections are normally less extensive. Further refinement of the inspection planning has been made by intro- ducing probabilistic methods as described below. Inspection, monitoring and repair measures can contribute to the safety only when there is a certain damage tolerance. This implies that there is an interrelation between design criteria (fatigue life, damage tolerance) and the inspection and the repair crite- ria. Fatigue design criteria, hence, depend upon inspection and failure consequences as shown e.g. by Table 4. However, during the operation, the situation is different. The strengthening of the structure by increased scantlings is very expensive. The most relevant measure to in- fluence safety relating to fatigue and other degradation phenomena is by using an im- 14
  • 19.
    proved inspection methodor increased frequency of inspections. The following sec- tion briefly describes how fatigue design and inspection plans (based on an assumed inspection method) can be established by reliability analysis to ensure an acceptable safety level. 3.4 Quantitative Measures of Safety Ideally the structural safety should be measured in a quantitative manner. Structural reliability methods are applied to determine the failure probability, Pf which is asso- ciated with normal uncertainties and variability in loads and resistance. Quantitative risk assessment can be used to deal with the probability of undesirable events and their consequences in general terms. This includes events induced by errors and omis- sions, see Fig. 10. Structural reliability analysis Deck Column Prob. density function Load effect fS(s) R,S Wave pressure Resistance fR(r) PF=P[R≤S] Uncertainty in R and S can be r,s modelled by probability density Quantitative risk analysis End events Critical event Fault tree Event tree Consequences Fig. 10: Methods for quantifying the risk or safety level The quantitative safety approach is based on estimating the implied failure probability and comparing it with an acceptance level. This target safety level should depend upon the following factors (e.g. Moan, 1998): - type of initiating events (hazards) such as environmental loads, various accidental loads, .. which may lead to different consequences - type of SRA method or structural risk analysis, especially which uncertainties are included - failure cause and mode - the possible consequences of failure in terms of risk to life, injury, economic losses and the level of social inconvenience. - the expense and effort required to reduce the risk. In principle a target level which reflects all hazards (e.g. loads) and failure modes (collapse, fatigue, ... ) as well as the different phases (in-place operation and tempo- rary phases associated with fabrication, installation and repair) is defined with respect to each of the three categories of ultimate consequences. The most severe of them governs the decisions to be made. If all consequences are measured in economic terms, then a single target safety level could be established. However, in practice it is convenient to treat different hazards, failure modes, and phases separately, with sepa- rate target levels. This may be reasonable because it is rare that all hazard scenarios 15
  • 20.
    and failure modescontribute equally to the total failure probability. The principle of establishing target levels for each hazard separately was adopted by NPD for acciden- tal loads; see e.g. Moan et al. (1993b). It was also advocated by Cornell (1995). In general it is recommended to calibrate the target level to correspond to that inherent in structures which are considered to have an acceptable safety. 3.5 Structural reliability analysis General Structural reliability methods for calculating the failure probability are readily avail- able. If the uncertainty in the resistance R and load effect S are described by probabil- ity density functions. The failure probability can be calculated as P (R<S). It is impor- tant to recognize that there are different types of uncertainties used to determine the resultant uncertainties associated with loads and resistances. One type of uncertainty (Type 1) is natural or inherent; this type of uncertainty is ‘information insensitive’ and random. A second type of uncertainty (Type 2) is associated with modelling, paramet- ric, and state uncertainties; this type of uncertainty is ‘information sensitive’ and sys- tematic. Type 2 model uncertainties may be defined as the ratio of the actual or true value of the variable to the predicted or nominal (design) value of the variable. A va- riety of methods can be used to characterize the model uncertainty, including field test data, laboratory test data, numerical data, and ‘expert’ judgment. Often it is not possi- ble to develop explicit separations of Type 1 and Type 2 uncertainties and it is impor- tant not to include them twice. SRA is applied to determine the failure probability considering fundamental variability, as well as uncertainties due to the lack of knowledge in loads, load effects and resistance. The state of the art methods for calculating the failure probability are the numerical First Order and Second Order Reliability as well as Monte Carlo simulation methods (e.g. Melchers, 1999). However, analytical solutions exists for a few cases, for instance, when failure is expressed by g( ) =R – S ≤ 0 and both the resistance R and the load effect S are lognormal random variables. The failure probability is expressed by: Pf = P( g () ≤ 0) = Φ ( −β) or β = −Φ −1 ( Pf ) (1) where Φ(-β) is the standard cumulative normal distribution, with numerical values as shown in Table 5, and the reliability index, β = βLN can be exactly written as follows, see e.g. Melchers (1999): ⎡µ 1+V 2 ⎤ ln ⎢ R S⎥ ⎢ µS 1+V 2 ⎥ ⎣ R⎦ ln ( µR /µS ) β LN = ≈ = β' LN (2) 2 )(1 + 2 )] ln[(1 + V R VS V 2 +V 2 R S This simple expression has turned out to be useful and was applied in the API reliabil- ity based code calibration (Moses, 1987). The analytical formulation can also conven- iently be used to express the relationship between Pf and safety factors. 16
  • 21.
    Table 5 Relationbetween β and Pf. β 1.0 1.4 1.8 2.2 2.6 3.0 3.4 3.8 4.2 4.6 -2 -2 -3 -4 -4 Pf 0.16 0.081 0.036 0.014 0.47 10 0.14 10 0.34 10 0.72 10 0.13 10 0.21 10—5 Reliability estimates are found to be sensitive to the distributions used for R and S. The failure probability should refer to a time interval, e.g. a year or the service life. This can be achieved by considering a load effect S that refers to an annual or service life time maximum value. We note that the results of code calibration depend upon the choice of reference period. Reliability based code calibration Reliability methods are increasingly used to make optimal decisions regarding safety and the life cycle costs of offshore structures (see e.g. ISSC, 1988-1994; Moan, 1994). In particular the efforts by Fjeld (1977); Lloyd and Karsan (1988), Moan (1988), Jor- dan and Maes (1991) to calibrate their codes to a certain reliability. An evaluation of previous efforts on calibration of offshore codes was provided by Moan (1995) in conjunction with the ISO effort to harmonize the safety level in codes for offshore structures across the variety of structural types (ISO, 1994). However, safety factors on loads are not properly varied to reflect the differences in uncertainty in load predic- tions for different types of structures. To illustrate the relationship between partial safety factors, the uncertainty in resis- tance and loads as well as Pf , consider the simplest design format, often used in code calibration, R c /γ R ≥ γ SSc (3) where Rc and Sc are characteristic resistance and load effect, respectively. Let the (true) random load effect, S and resistance, R be defined by their mean value (µ) and the coefficient of variation (V): µS = BSSC ,BS ≥ 1; VS = 0.15 − 0.30 µR = BR R C ,BR ≥ 1; VR = 0.1 The BS reflects the ratio of the mean load (which refers to an annual maximum if the annual failure probability is to be calculated,) and the characteristic load effect (typi- cally the 100 year value) as well as a possible bias in predicting wave load effects, e.g. due to model uncertainty. By inserting the design equation Eq.(3) into the approximate expression of Eq.(2) ln ( µR /µS ) ln(BR γR γS /BS ) β LN ′ ≈ = or γR γS = (BR /BS ) exp(β' L N VR2 +VS2 ) (4) VR2 + VS2 VR2 + VS2 With γR γS = 1.5; a typical BS = 0.8 for wave-induced load effects; BR = 1.1 and VR = 0.1, it is found that β’LN is about 3.2 for a VS of 0.20. This reliability index corre- sponds to a Pf of 6 10-4. By decreasing BR/BS by 10 % reduces β’LN by 15%. It is noted that the Similarly, by increasing Vs by 10 % reduces β’LN by 8%. At the same time it is noted that the uncertainty in R has minimal influence on the safety level. Yet it is important to estimate the mean bias of the resistance, BR accurately. It is also pos- sible to approximately express R and S by (BR, VR) and (BS, VS), respectively, and 17
  • 22.
    hence to expresspartial factors by the relevant uncertainties. (e.g. Melchers, 1999). It is important to recognize that variables used in designing offshore structures are often ‘conservative.’ Thus, there exists sources of ‘bias’ that must be recognized quantitatively by the Bi's. WSD: Goal: Implied Pf ≅ Pft RC/γ > DC + LC + EC Target R — resistance Pf or β D, L, E — load effects due to LRFD: • permanent • live load RC/γR > γDDC + γLLC + γEEC • environmental effects Load ratio, Ec/(Lc+Ec) Fig. 11: Schematic illustration on how the implied safety level in a design code for ultimate strength can be calibrated to be close to a given target level. Fatigue Reliability Analysis Structural reliability methods can also be used to calculate the probability of fatigue failure. In Figure 12 the solid line with diamond symbol shows the fatigue failure probability in the service life as a function of the design criterion – the fatigue design factor, FDF. It is shown that the cumulative failure probability in the service life var- ies from 10-1 to 10-4 when FDF varies from 1 to 10. 1.0E+00 Cumulative f ailure probability 1.0E-01 Cumulative, stdv (lnA )=0.15 Cumulative, stdv (lnA )=0.3 A nnual f ailure probability A nnual, stdv (lnA )=0.15 1.0E-02 A nnual, stdv (lnA )=0.3 Failure probability 1.0E-03 1.0E-04 1.0E-05 1.0E-06 1 2 3 4 5 6 7 8 9 10 Fatigue de s ign factor Fig. 12: Fatigue failure probabilities in the 20 year service period, as a function of the fatigue design factor and the uncertainty level. A is an equivalent constant stress range that represents the long term stress level (Moan, 2004). A consistent fatigue safety level can be achieved, by varying the FDF versus the ef- fect of an inspection program as well as the consequences of failure. 18
  • 23.
    Reliability estimates byaccount of inspection The effect of the inspection on the reliability level can be illustrated by representing the crack depth using a random variable, A(t) which is a function of time t. The qual- ity of the inspection in terms of the detectable crack size is also represented by a ran- dom variable, Ad. The distribution of Ad corresponds to the Probability of Detection (POD) curve for the inspection method in question. The failure probability at the time, t (N-cycles) can be formulated Pf ( t ) = P(a f - a N ≤ 0 ) = P [ F ( 0, t )] (5) where af and aN are the crack size at failure and after N cycles, respectively. The outcomes of inspections are assumed to be no crack detection (ND) or crack de- tection (D) at time t after N cycles, which are described by: I ND ( t ) : a N -a d ≤ 0 (6a) I D ( t ):a N -a d ≥ 0 (6b) In general, it is difficult to determine the distribution of the crack size (A) explicitly when taking into account all uncertainties that affect the distribution as well as the effect of inspections. Based on the Paris’ crack propagation law, Eqs. (5-6) can be recasted into a convenient form for analysis as shown e.g. by Madsen and Sørensen (1990). The effect of inspection may be viewed in two different ways depending upon whether it is assessed before inspections are done, e. g. during the design phase, or afterwards during operation. If the effect of inspections is estimated before they are carried out, two outcomes: D and ND are possible. The exact outcome is not known but the probability of the outcomes can be estimated based on the reliability method. At the design stage, the outcomes (e.g., crack detection or no detection) are not known. When a single inspection is assumed to be made at time tI and possible cracks detected are repaired, the failure probability in the period t ≥ tI can be determined by: Pf (t) = P [ F(0, t I )] + P [S(0, t I ) and F(t I , t) | ID (t I )] ⋅ P [ ID (t I )] + P [S(0, t I )and F(t1 , t) | I ND (t I )]⋅ P [ I ND (t I )] (7) where F(t1,t2) and S(t1,t2) are, respectively, mean failure and survival in time period (t1,t2). Equation (7) can be generalised to cover cases with several inspections with two alternative outcomes. Moan et al. (1993a) showed, based on reliability analysis, how the allowable cumulative damage (D) at the design stage can be relaxed when inspections are carried out. Such analyses served as basis for Table 4. On the other hand if no failure has occurred before time tI and it is known that no crack is detected at time tI, then the failure probability in the period t ≥ tI is Pf (t) = P [ F(t I , t) | I ND (t I )] (8) The knowledge of survival up to time tI and no crack detection at time tI reduces the uncertainty and makes the failure probability drop. The reliability index β increases at the time of inspection as illustrated by the example shown in Fig. 13. 19
  • 24.
    7 Event tree analysis Basic case, No inspection 6 Upd, full inspection history Upd, ONLY last inspection 5 Inspection during Reliability Index operation with 4 No crack detection 3 No inspection 10-3 3×10-3 2 Effect of Inspection 3.5×10-2 predicted at design stage 1 Pf 0 5 10 15 20 Time (years) Fig. 13: Reliability index as a function of time and inspection strategy. Inspection Event Tree analysis is based on predictions at the design stage. The other curves are based on inspections with known outcome during the service life (Ayala-Uraga and Moan, 2002) The updating methodology is useful in connection with extension of service life for structures with joints governed by the fatigue criterion (Vårdal et al, 2000). In such cases, the design fatigue life is in principle exhausted at the end of the planned service life. Nevertheless, if no cracks have been detected during inspections, then a remain- ing fatigue life can be demonstrated. However, it is not possible to bring the structure back to its initial condition by inspection only. This is because the mean detectable crack depth by NDE methods typically is 1.0 – 2.0 mm, while the initial crack depth is 0.1 – 0.4 mm. The calculation of the system failure probability after inspection may be approxi- mated by independent system failure modes (Moan et al., 1999, 2002, 2004) n PFSYS|up = P [ FSYS | I]≈P [ FSYS(U)] + ∑ P ⎡ Fj | I ⎤ ⋅ P ⎡ FSYS(U) | Fj ⎤ +.... ⎣ ⎦ ⎣ j=1 ⎦ (9) . This formulation is based on modeling the ultimate failure of the system by a single mode. Moreover, the formulation is limited to failure modes initiated by a single fa- tigue failure and followed by ultimate global failure. The failure probability in Eq. (9) is applicable when the inspection event I aims at detecting cracks before the failure of individual members, (i.e. before they have caused rupture of the member). Another inspection strategy would be to apply visual inspection to detect members failure and repair failed members after the winter season in which those particular members failed. In this case the Eq. (9) will have to be modified as follows: the individual fa- tigue failures of components (Fj ) does not depend on the inspection event, and, rather such an inspection and repair strategy will have implication on the time period, for which the failure probability P[FSYS(U)|Fj] should be calculated. A further simplification is to update the failure probability of each joint based on the inspection result for that joint. This is conservative if no cracks are detected, but non- conservative if cracks are detected. Inspections may be prioritized by using Eq. (9) for each joint separately by allowing a 20
  • 25.
    certain target probabilitylevel, PfSYS(T) to each term in the sum of Eq. (9). The target fatigue failure probability for joint i, PFfT(i) is then obtained from PfSYS(i) = P[FSYS | Fi ] ⋅ PFfT(i) ≤ PfSYS(T) (10) where the system failure probability, PfSYS(i) is associated with a fatigue failure of member (i) followed by an ultimate system failure. PfSYS(T) is obtained by generalizing the acceptance criteria implied by Table 4. This approach has been implemented for template-space frame structures (Moan et al., 1999). Given the target level for a given joint, inspections and repairs by grinding or other modifications are scheduled to maintain the reliability level at the target level as shown in Fig. 14. Reliability level, β No Inspection at time t=8 inspection with no crack detection Target level for a given joint 0 4 8 12 16 20 Time (years) 1st inspection 2nd inspection Fig. 14: Scheduling of inspections to achieve a target safety level of PFfT(i). This methodology is used to calibrate fatigue design requirements. It is then found that the criteria in Table 4 are slightly “non-conservative”. 3.6 Safety implications of Ultimate and Fatigue Limit State criteria and Inspection, Monitoring, Maintenace and Repair The failure probability estimated by structural reliability analysis (SRA) normally does not represent the experienced Pf for structures. This is because the safety factors or margins normally applied to ensure safety are so large that Pf calculated by SRA becomes much smaller than that related to other causes. For instance when proper fatigue design checks and inspections have not been carried out, the likelihood of fa- tigue failures (through-thickness cracks) for platforms (e.g. in the North Sea), is large and cracks have occurred. However, with the exception of the Ranger I (1979) and Alexander Kielland failure (1980) such cracks have been detected before they caused total losses. As discussed above, errors and omissions in design, fabrication and op- eration represent the main causes of the accidents experienced. On the other hand, frequent occurrences of cracks provide a basis for correlating ac- tual crack occurrences with state of art predictions for various offshore structures. Hence, the current predictions for jackets are found to be conservative (Vårdal and Moan, 1997), while for semi-submersibles and ships, the predictions seem to be rea- sonable, as summarized by Moan (2004). This agreement is achieved when the SN approach (or a calibrated fracture mechanics approach) is applied to predict the occur- rence of fatigue failure (e.g. through thickness crack). Yet, if ULS and FLS design checks are properly carried out, Pf will be “negligible” within the current safety re- gime. This reserve capacity, implied by ULS and FLS requirements, provides some 21
  • 26.
    resistance against otherhazards like fires, explosions etc. However providing safety for the mentioned hazards in this indirect manner is not an optimal risk-based design. If more efforts were directed towards risk reduction actions by implementing ALS criteria, then current safety factors for ULS and FLS could be reduced without in- creasing the failure rate noticeably. As explained above, SRA does not provide a measure of the actual total risk level associated with offshore facilities. Yet, it is useful in ensuring that the ultimate strength and fatigue design criteria are consistent by calibrating safety factors. More- over, SRA provides a measure of the influence of various parameters on the reliability and, hence, the effect of reducing the uncertainty on the failure probability. Finally, it is noted that the random uncertainties in the ultimate strength commonly have limited effect on the reliability compared to that inherent in load effects. On the other hand, the systematic uncertainty (bias) in strength and load effects has the same effect on the reliability measure. 3.7 Risk assessment Risk assessment (Qualitative Risk assessment or Formal Safety Analysis etc.) is a tool to support decision making regarding the safety of systems. The application of risk assessment has evolved over 25 years in the offshore industry (Moan and Holand, 1981b, NPD (1981)). The Piper Alpha disaster (PA, 1990), was the direct reason for introducing PRA, (or QRA), in the UK in 1992 (HSE, 1992). In the last 5 years such methods have been applied in the maritime industry, albeit in different directions (Moore et al. 2003). The offshore industry has focused on the application of risk as- sessment to evaluate the safety of individual offshore facilities. The maritime industry has primarily focused on the application of risk assessment to further enhance and bring greater clarity to the process of making new ship rules or regulations. The risk assessment methods is used because they provide a reliable direct determina- tion of events probabilities e.g. probabilities as low as 10-4 per year. Up to now the accumulated number of platform years world wide is about 120 000, 15 000 and 1 200 for fixed, mobile structures and FPSOs, respectively. However, to determine prob- abilities as low as 10-4 per year requires about 23000 years of experiences to have a 90% chance of one occurrence. A further complexity is that the available data refer to various types of platforms and, not least, different technologies over the years. Appli- cation of a systems risk assessment is therefore attractive. The basis for this approach is the facts that : a)almost every major accidental events have originated from a small fault and gradually developed through long sequences or several parallel sequences of increasingly more serious events, and culminates in the final event b) it is often reasonably well known how a system responds to a certain event. By combining the knowledge about system build-up with the knowledge about failure rates for the elements of the system, it is possible to achieve an indication of the risks in the system (Vinnem, 1999; Moan, 2000b). The risk analysis process normally consists in the following steps (Fig 15): - definition and description of the system - identification of hazards - analysis of possible causal event of hazards - determination of the influence of the environmental conditions - determination of the influence of active/passive safety systems (capacity; reliabil- ity, accident action integrity, maintenance system …..) 22
  • 27.
    - estimation of event probabilities/event magnitudes - estimation of risk Risk Analysis Planning Risk Analysis Planning System Definition System Definition Risk Risk Acceptance Acceptance Risk Criteria Hazard Identification Risk Criteria Hazard Identification Reducing Reducing Measures Measures Frequency Consequence Analysis Analysis RISK ESTIMATION RISK ESTIMATION Risk Picture Risk Picture RISK ANALYSIS RISK ANALYSIS Risk Evaluation Risk Evaluation Unacceptable Tolerable Acceptable Acceptable Fig. 15: General approach for risk based decision making In most cases an Event-Fault Tree technique (Figure 16) is the most appropriate tool for systematizing and documenting the analyses made. Although the Event-Fault tree methodology is straightforward, there are many problems. An important challenge is to determine the dominant of the (infinitely) many sequences. Events are not uniquely defined in a single sequence but appear in many combinations. Moreover, human fac- tors are difficult to account for in the risk assessment. However, operational errors that result in accidental loads are implicitly dealt with by using data on experienced releases of hydrocarbons, probability of ignition etc. Explicit prediction of design and fabrication errors and omissions for a given structure is impossible. However, it is possible to rate the likelihood of accidents as compared to gross errors (Bea, 2000a-b, Lotsberg et al., to appear). The risk analysis methodology currently applied in offshore engineering is reviewed in detail by Vinnem (1999). In connection with accidental loads, the purpose of the risk analysis is to determine the accidental events which annually are exceeded by a probability of 10-4. End event Critical event Fault tree Event tree Consequences Fig.16 Schematic sketch of the event – fault tree method. 23
  • 28.
    3.8 Failure probabilityimplied by Accidental Collapse Limit State Criteria The initial damage in the ALS criterion, (e.g. due to fires explosions, ship impacts, or, fabrication defects causing abnormal fatigue crack growth), corresponds to a charac- teristic event for each of the types of accidental loads which is exceeded by an annual probability of 10-4, as identified by risk analyses. The (local) damage, or permanent deformations or rupture of components need to be estimated by accounting for nonlinear effects. The structure is required to survive in the various damage conditions without global failure when subjected to expected still-water and characteristic sea loads which are exceeded by an annual probability of 10-2. In some cases compliance with this re- quirement can be demonstrated by removing the damaged parts and then accomplish- ing a conventional ULS design check based on a global linear analysis and component design checks using truly ultimate strength formulations. However, such methods may be very conservative and more accurate nonlinear analysis methods should be applied, as described subsequently. The conditional probability of failure in a year, for the damaged structure, can be es- timated by Eqs. (1-2), assuming that the system failure can be modelled by one failure mode and that the design criterion is fully utilized. The design checks in the ALS cri- terion is based on a characteristic value of the resistance corresponding to a 95% or 5% fractile, implying a BR = 1.1. The characteristic load effect due to functional and sea loads are 1.0-1.2 and 1.2-1.3 of the corresponding mean annual values, respec- tively. The safety (load and resistance) factors are generally equal to 1.0 for both checks. For environmental loads, this conditional failure probability will be of the order of 0.1. The intended probability of total loss implied by the ALS criterion for each category of abnormal strength and accidental load would then be of the order of 10-5 (Moan, 1983). Obviously, such estimates are not possible to substantiate by experiences. 3.9 Design for damage tolerance Introduction The current regulations for offshore structures in Norway are based on the following principles: - Design the structure to withstand environmental and operational loading through- out its lifecycle. - Prevent accidents and protect against their effects - Tolerate at least one failure or operational error without resulting in a major haz- ard or damage to structure - Provide measures to detect, control, and mitigate hazards at an early time acciden- tal escalation. Accidental Collapse Limit State criteria can be viewed as a means to reduce the con- sequences of accidental events (Fig. 17). The NORSOK N-001 code specifies quanti- tative ALS criteria based on an estimated damage condition and a survival check. The robustness criteria in most other codes, however, do not refer to any specific hazard but rather require that progressive failure of the structure with one element removed at a time, is prevented. Hence, no performance objective for a “real threat” is created. 24
  • 29.
    The weakness withsuch a criterion is that it does not distinguish between the differ- ences in vulnerability In a risk analysis perspective the ALS check of offshore structures is aimed at pre- venting progressive failure and hence reduce the consequences due to accidental loads, as indicated in Figure 17. Beside progressive structural failure, such events may induce progressive flooding and hence the capsizing of floating structures. P, F • Estimate the damage due to accidental loads (A) Risk control of accidental events at an annual probability of 10 -4 A - apply risk analysis to establish A design accidental loads Reduce probability Reduce consequences "unknown "known events" Critical events" event Indirect design Fault Event tree Reduce Direct ALS design - robustness tree errors & - Abnormal resistance P, F End events: Event - redundancy Accidental loads omissions Control - Accidental loads - ductility • Survival check of the damaged structure as a whole, considering P, F and environmental loads ( E ) at a probability of 10 -2 Risk Analysis, or, Target annual probability of total loss: Prescriptive code requirements 10 -5 for each type of hazard E Fig. 17: The role of ALS in risk control Fig. 18: Accidental Collapse Limit State (NPD, 1984) The relevant accidental loads and abnormal conditions of structural strength are drawn from the risk analysis, see e.g. Vinnem (1999) and Moan (2000b), where the relevant factors that affect the accidental loads are accounted for. In particular, the risk reduction can be achieved by minimizing the probability of initiating events: leakage and ignition (that can cause fire or explosion), ship impact, etc. or by mini- mizing the consequences of hazards. The passive or active measures can be used to control the magnitude of an accidental event and, thereby, its consequences. For in- stance, fire loads are partly controlled by sprinkler/inert gas system or firewalls. Fenders are commonly used to reduce the damage due to collisions. ALS checks apply to all relevant failure modes as indicated in Table 6. An account of accidental loads in conjunction with the design of the structure, equipment, and safety systems is a crucial safety measure to prevent escalating accidents. Typical situations where direct design may affect the layout and scantlings are indicated by Table 7 for different subsystems: - loads-carrying structure & mooring system - process equipment - evacuation and escape system 25
  • 30.
    Table 6 Examplesof accidental loads for relevant failure modes of platforms. Structural Failure mode Relevant accidental load or condition concept Fixed platforms Structural failure All Structural failure All Floating Instability • Collision, dropped object, unintended platforms pressure…, unintended ballast that initiate flooding Mooring system strength • Collision on platform • Abnormal strength Tension-leg plat- Structural failure All forms Mooring - slack • Accidental actions that initiate flooding system - strength • Collision on platform • Dropped object on tether • (Abnormal strength) Table 7 Design implications of accidental loads for hull structure Passive protection Load Structure Equipment system Columns /deck (if not pro- Exposed equipment (if not Fire Fire barriers tected) protected) Exposed equipment (if not Blast / Fire Explosion Topside (if not protected) protected) barriers Ship Waterline structure (subdivi- Possibly exposed risers, (if Possible fender impact sion) (if not protected) not protected) systems Equipment on deck, risers Dropped Impact Deck Buoyancy elements and subsea (if not pro- object protection tected) Design accidental loads The characteristic value of accidental loads is defined as the load which annually is exceeded by a probability of 10-4 and should be determined by risk analysis. For each physical phenomenon (fire, explosions, collisions, ..) there is normally a continuous spectrum of accidental events. A finite number of events have to be selected by judgement. These events represent different load intensity at different probabilities. The characteristic accidental load on different components of a given installation can be determined as follows (Moan, 2000b): - establish exceedance diagram for the load on each component - allocate a certain portion of the reference exceedance probability (10-4) to each component - determine the characteristic load for each component from the relevant load exceedance diagram and reference probability. If the accidental load is described by several parameters (e.g. heat flux and duration for a fire; pressure peak and duration for an explosion) design values may be obtained from the joint probability distribution by contour curves (NORSOK N-003, 1999). 26
  • 31.
    However, in viewof the uncertainties associated with the probabilistic analysis, a more pragmatic approach is sufficient. Yet significant analysis efforts are involved in identifying the relevant design scenarios for the different types of accidental loads. For each design accident scenario, the damage imposed on the offshore installation needs to be estimated followed by an analysis of the residual ultimate strength of the damaged structure in order to demonstrate survival of the installation. To estimate damage, (permanent deformation, rupture etc of parts of the structure), the nonlinear material and the geometrical structural behaviour need to be accounted for. While in general the nonlinear finite element methods are applied, simplified methods (e.g. based on plastic mechanisms) are developed and calibrated using more refined meth- ods, to limit the computational effort required. The risk analysis of novel structures and systems, is found to be useful, in that they provide insight which results in systems that have significant increase in safety at the same expense. This applies in particular to the topside system. However, for mature systems, the outcomes of risk analyses tend to confirm the results of previous analy- ses. This fact together with the desire to simplify design practice suggests using spe- cific, generic values for such cases. Examples of typical values for some accidental loads are given in subsequent sections. Analysis tools for estimating the initial damage and survival Current ultimate strength code checks of marine structures are commonly based on load effects (member and joint forces) that are obtained by a linear global analysis. Experiments or theory which accounts for plasticity and large deflections are used to obtain resistances of the members and joints. Hence, this methodology focuses on the first failure of a structural component and not the overall collapse of the structure, which is of main concern. The advent of computer technology and the finite element method have made it possible to develop analysis tools that account for nonlinear geometrical and material effects, and, therefore, make it possible to account for redis- tribution of the forces and subsequent component failures until the system’s collapse. By using such methods a more realistic measure of the overall strength of structures is achieved. Recently, Skallerud and Amdahl (2002) prepared a state-of-the-art review of methods for nonlinear analysis of space frame offshore structures. Paik and Tha- yamballi (2003) gave an overview of methods for ultimate strength analysis of steel- plated structures. Simplified methods for calculating the hull girder strength are based on considerations of the intact longitudinal elements and beam theory, essentially based on Smith’s work (1977), and reviewed by e.g. Yao et al. (2000). Such an approach has also been extended to estimate the ultimate capacity of the damaged hull girder (Smith, 1977). However, it is necessary to further investigate the implication of an initial damage that involves rupture and, hence, represent an initial crack type damage which could cause rupture before reaching the ultimate capacity obtained by calculation models based upon ductile material behaviour. Fires and explosions effects The dominant fire and explosion events are associated with hydrocarbon leak from flanges, valves, equipment seals, nozzles etc. As indicated in Fig. 19 fire and explo- sion events are strongly correlated. Commonly the effect of 40 – 60 scenarios needs to be analyzed. This means that the location and magnitude of relevant hydrocarbon 27
  • 32.
    leaks, the likelihoodof ignition, as well as the combustion and temperature develop- ment (in a fire) and the pressure-time development (for an explosion) need to be esti- mated and followed by a structural assessment of the potential damage. No damage No Ignition Damage to Personnel and Material Immediate Ignition Fire Release of Gas and/or Liquid Formation of Fire Combustible Fuel-Air Cloud (Pre-mixed) Ignition Gas Explosion (delayed) Fire and BLEVE Fig. 19: Fire and explosion scenarios. The fire thermal flux may be calculated on the basis of the type of hydrocarbons, its release rate, combustion, time and location of ignition, ventilation and structural ge- ometry, using simplified conservative semi-empirical formulae or analyti- cal/numerical models of the combustion process. The heat flux may be determined by empirical, phenomenological or numerical method (SCI, 1993; BEFETS, 1998). Typical thermal loading in hydrocarbon fire scenarios may be 200- 300 kW/m2 for a 15 minutes up to a two hours period. The structural effect is primarily due to the re- duced strength with increasing temperature. An A-60 fire protection wall may be ap- plied for a heat load of 100kW/m2 and less, while H-rated protection walls are needed for higher heat loading. In the case of explosion scenarios, the analysis of leaks is followed by a gas disper- sion and possible formation of gas clouds, ignition, combustion and the development of overpressure. Tools such as FLACS, PROEXP, or AutoReGas are available for this purpose (Moan, 2000b; Czujko, 2001, Walker et al., 2003). The variability of condi- tions is accounted for by using a probabilistic approach. The results from the gas explosion simulations are the pressure – time history. If the pressure duration is short compared to the natural period, the pressure impulse gov- erns the structural response. Figure 20 compares the predicted impulse by state of a state of the art CFD method with measured values in large scale tests for deterministic explosion scenarios. The vertical axis is a logarithmic plot of the ratio of the predicted and measured value. The scattering is seen to be significant. The pressure peaks would obviously be even more uncertain. 28
  • 33.
    10.0 Ratio of predicted and measured Impulse 1.0 0.1 Experiment No Fig. 20: Comparison of predicted and measured pressure impulse for “deterministic” explosion scenarios, obtained by the computer code FLACS. The typical overpressures for topsides of North Sea platforms are in the range 0.2-0.6 barg, with duration of 0.1-0.5s., while an explosion in open air at the drill floor typi- cally implies 0.1 barg with duration of 0.2s. The explosion pressure in a totally en- closed compartment might be 4 barg. The damage due to explosions may be determined by simple and conservative single- degree-of freedom models (NORSOK N-004). In several cases where simplified methods have not been calibrated, nonlinear time domain analyses based on numerical methods like the finite element method should be applied. A recent overview of such methods may be found in Czujko (2001). Fig. 21 shows an explosion panel with de- formations as determined by an experiment and finite element analysis. The calcu- lated and measured deflections of the specimen are compared in Figure 21c. Fire and explosion events that result from the same scenario of released combustibles and ignition should be assumed to occur at the same time, i.e. to be fully dependent. The fire and blast analyses should be performed by taking into account the effects of one on the other. The damage done to the fire protection by an explosion preceding the fire should be considered. 0.7 0.6 0.5 0.4 0.3 PRESSURE [N/ 0.2 0.1 Experiment Analysis 0 0 20 40 60 80 100 2] DISPLACEMENT [mm] a) Experiment b) FE analysis c) Load–response histories Fig. 21: Explosion response of an explosion wall (Czujko, 2001). 29
  • 34.
    Pmax > 5bar Fig.22: “Survival analysis” of a deck suffering explosion damage (Amdahl, 2003). Deformations in the lower figure are not to scale. Fig. 22 shows results from an analysis of a deck structure in a floating platform (Am- dahl, 2003). The upper left figure in this slide illustrates the deck structure of a float- ing production platform. The design pressure on the East Wall is also indicated. In this case it is assumed that the panels are badly damaged that they can be removed. The lower figure shows the deformation pattern of the damaged deck. Ship impacts Significant efforts have been devoted to ship-ship collisions, as reviewed by the ISSC Committee on Collision and Grounding (Paik et al., 2003). The analysis of ship im- pacts on offshore structures follows the same principles but the collision scenarios and consequences are different; see e.g. NORSOK N-003 and -004 as well as Amdahl (1999). All ship traffic in the relevant area of the offshore installation should be mapped and should account for possible future changes in the operational pattern of vessels. The impact velocity can be determined based on the assumption of a drifting ship or on the assumption of erroneous operation of the ship. Ship traffic may therefore for this pur- pose be divided into categories: trading vessels and other ships outside the offshore activity, offshore tankers, and supply or other service vessels. Merchant vessels are often found to be the greatest platform collision hazard which depends upon the loca- tion of the structure relative to shipping lanes. Fig. 23a indicates situations where off- shore structures are operating in close proximity. For the scenario in Fig. 23b the stern impact on the FPSO by the shuttle tanker is a challenge (Chen and Moan, 2004 ) 30
  • 35.
    a) Semi- submersibleand jacket b) FPSO and shuttle tanker Fig. 23: Special offshore collision scenarios. Impact scenarios are established by considering bow, stern, and side impacts on the structure as appropriate. While historical data provides information about supply vessel impacts, risk analysis models are necessary to predict other types of impacts, such as incidents caused by trading vessels (see e.g. NORSOK N-003(1999) and Moan (2000b)). A minimum accidental load corresponding to 14 MJ and 11 MJ sideways and head-on impact, re- spectively, is required to be considered. The impact damage can normally be determined by splitting the problem into two uncoupled analyses. They are the external collision mechanics dealing with global inertia forces and hydrodynamic effects and internal mechanics dealing with the en- ergy dissipation and distribution of damage in the two structures (Fig. 24). The external mechanics analysis is carried out by assuming a central impact and ap- plying the principle of conservation of momentum and conservation of energy. The next step is to estimate how the energy is shared among the offshore structure and the ship. Methods for assessing the impact damage are described by Amdahl (1999), based on simplified load-indentation curves or direct finite element analysis. For the general case where both structures absorb energy, the analysis has to be carried out incrementally on the basis of the current deformation field, contact area and force distribution over the contact area. External mechanics The fraction of the kinetic energy to be absorbed as deformation energy (structural damage) is determined by means of: Conservation of momentum Conservation of energy External mechanics Rs Ri Internal mechanics Energy dissipated by vessel and offshore structure Es,s Es,i Equal force level Ship Area under force-def. curve dws FPSO dwi Internal mechanics Fig. 24: Simplified methods for calculating impact damage (NORSOK N- 004) 31
  • 36.
    The recent advancesin computer hardware and software have made nonlinear finite element analysis (NLFEM) a viable tool for assessing collisions. A careful choice of element type and mesh is required. It is found that a particularly fine mesh is required in order to obtain accurate results for components deformed by axial crushing. A ma- jor challenge in NLFEM analysis is the prediction of ductile crack initiation and propagation. This problem is yet to be solved. The crack initiation and propagation should be based on fracture mechanics analysis using the J-integral or Crack Tip Opening Displacement method rather than simple strain considerations. While the main concern about ship impacts on fixed platforms is the reduction of structural strength and possible progressive structural failure, the main effect for buoyant structures is damage that can lead to flooding and, hence, loss of buoyancy. The measure of such damages is the maximum indentation implying loss of water tightness. However, in the case of large damage, reduction of structural strength, as expressed by the indentation, is also a concern for floating structures. A ship impact involving the minimum energy of 14 MJ will normally imply an inden- tation of 0.4 – 1.2 m in a semi-submersible column. A 75-100 MJ impact may be re- quired to cause an indentation equal to the column radius (Moan and Amdahl, 1989). The effect is highly dependent upon the location of impact contact area relative to decks and bulkheads in the column. Moan and Amdahl (2001) considered supply or merchant vessels with a displacement of 2000- 5000 tons which caused bow impacts on a typical side structure of an FPSO with displacement of about 100 000 t. For this case the limiting energy for rupture of the outer ship side was found to be ~10 MJ (700mm bow displacement). The energy at 1500mm bow indentation was estimated to be ~43 MJ while the limiting energy for rupture of the inner side is ~230 MJ, at 3700 mm bow displacement. This corresponds to a critical speed of 18.5 knots for a 5000 tons displacement vessel. We recall that rupture of plate material is very uncertain such that the quoted energy level should be used with cautiously. If the FPSO side structure is assumed to be sufficiently rigid to ensure that all energy is absorbed by the bow, then the maximum collision force (peak force) is 30 MN. However most of the time the force oscillates between 15-25 MN. Another situation dealt with by Moan and Amdahl was stern impact on the FPSO caused by a shuttle tanker, see Fig. 23b and 25. A 70 kdwt shuttle tanker was found to penetrate the machine room of a 140 kdwt FPSO after an energy dissipation of 38 MJ. On the other hand, it was demonstrated that it was feasible to strengthen the stern of the FPSO corresponding to ice-strengthening dimensions so that all dissipation could occur in the shuttle tanker bow. F o r ca s tle d ec k Shuttle tanker d ec k U p p er FPSO Fig. 25: Shuttle tanker in ballast condition impacting FPSO stern (Moan and Amdahl, 2001). 32
  • 37.
    Environmental events The ALScriterion is supposed to be applicable to any “abnormal” wave loading as well. Obviously, the two-step ALS procedure then becomes a survival check based on a load event which annually is exceeded by a probability of 10-4. Consider a wave loading, F, which for simplicity is characterised only by the wave height, H. Assume that F is a smooth function of wave height. H i.e. F=c⋅Hα and that the wave height follows a Weibull distribution with a shape parameter B. If it is assumed that there are 5·108 waves in 100 years, the ratio between the loads at a 10-4 and 10-2 annual prob- ability level, respectively, becomes Fc(-4)/Fc(-2) = (H(-4)/H(-2))α = (1.23)α/B. The ratio of the required strength would then be Rc(-4)/Rc(-2) = Fc(-4)/ (γT Fc(-2) ) = 1.23α/B/γT where γT is the total ULS safety factor while the safety factor for ALS is 1.0. This implies that ULS will be governing for North Sea and other conditions (B=0.9-1.0) if α< 1.8-2.0. In benign conditions (e.g.with B=0.6) ULS will be governing if α< 1.2. Courtesy: Statoil, Marintek Fig. 26: Wave in deck load for a fixed platform However, there are two issues that need to be observed in this connection. The first issue is the occurrence of possible “abnormal” waves, with high crest or other unusual shape – which is not a simple “extrapolation” of the 10-2 event (Haver, 2000, Prevost and Forristall, 2002). The second issue is the possible sudden change in force, F, at a certain wave height. The most interesting case is when the wave reaches the platform deck, implying that the wave force will increase very fast with the wave height. By ensuring a deck clearance such that the 10-4 crest does not reach the deck, the ULS criterion would normally be governing. Otherwise, the ALS criterion based on the 10- 4 wave event may govern the dimensions. Abnormal resistance It is not possible to determine the abnormal resistance (e. g. due to fabrication de- fects), using risk analyses. Up to now, abnormal resistance has been explicitly speci- fied by generic values for specific types of structures based on some considerations of the vulnerability of the structural components. For instance, the ALS check is carried out for platforms with slender braces by considering the damage in terms of severed individual braces. This condition was established in the aftermath of the Alexander Kielland accident and was initially aimed to cover the effects of frequently occurring ship impacts relating to supply vessels as well as abnormal fatigue cracks. This dam- age condition is also applicable to the tether and other mooring systems. 33
  • 38.
    Crack control Most degradationsof the structure are due to corrosion and crack growth. The effect of corrosion is ameliorated by corrosion allowance or a protection system, which makes the corrosion development gradual and, hence, be easy to control. The crack growth is more critical because cracks can result is a sudden rupture. Moreover, cracks are hard to detect because they are small for a significant part of the time ser- vice life. Abnormal defects, i.e. defects much larger than those implicit in fatigue design curves, are also of concern. As mentioned by Moan (2004), observations with jackets show that 2-3 % of cracks found in inspections can be attributed to abnormal defects. This also occurs in other offshore structures. Therefore, the crack control strategy, in general needs to include a combination of the following safety measures: - design for adequate fatigue life and critical crack size - design for robustness in relation to member failure - plan inspection of the as-fabricated structure as well as during the service life, pos- sibly using the Leak Before Break principle An adequate design fatigue life gives ample time to detect cracks. For instance, if the fatigue life from the occurrence of a through thickness cracks to rupture is 25 % of the fatigue life determined by SN-curves, a 20-year characteristic life implies a character- istic value of the time to failure of 5 years and a mean time to failure of 15 years after a possible leak. The implementation of the Accidental Collapse Limit State criteria obviously pro- vides a safety barrier with respect to the system failure given the fatigue failure of a member in a framed structure. When inspections are prioritised, the potential of gross fabrication defects (e.g. be- cause of difficult access), should also be considered. Since inspections after fabrica- tion on shore can be carried at less costs and with higher reliability than during opera- tion offshore, it is worthwhile to emphasise such inspections, at least for critical com- ponents. Different strategies may be relevant for different types of offshore structures. This is because the existing structures possess different robustness and because inspection, repair and failure costs vary significantly. As an example of structural components with particular safety focus, consider tethers in TLPs. They are designed with a Fatigue Design Factor of 10 and the ALS criterion is implemented by requiring survival of any tether failed. Moreover, the tethers in the Heidrun platform in the North Sea, are tubular members which were joined by butt welds ground flush and were inspected twice with respect to surface defects on the outside and the inside of the tubular wall. Furthermore a 60-70 % X-ray examination for internal defects after fabrication was carried out in the yard. The first service in- spection is now taking place after 10 years in service. The crack control in semi-submersibles with slender braces is based on a balanced fatigue design criterion and ALS according to Table 4 as well as leak detection during operation. A major difference between a trading tanker and an FPSO is that the routing, the speed reduction and the heading angle toward wave can be used for the tanker to re- 34
  • 39.
    duce wave loads,but not for the FPSO. Also, a dry-docking for inspections is more complicated for FPSOs because it needs to be stationary at the offshore site. The fa- tigue criteria for FPSOs were established before they became common practice for tankers (Bach-Gansmo et al., 1987). Normally, the required cumulative damage is D = 1.0 for a 20-year service life for production ships. The thousands of welded joints of similar type and location encountered in the ships imply a high probability of fatigue cracking which suggests application of a more restrictive fatigue criterion. On the other hand, the significant residual strength of damaged ships makes it possible to detect cracks using the leak-before-break detection and a close visual inspection. However, it is desirable to clarify the crack propagation and critical crack length of large cracks. The critical crack length estimated by current methods, (e.g. BS 7910, 1999) is found to be much smaller than crack lengths experienced in ship hulls. The treatment of residual stresses and constraint seems to be important factors in this con- nection (Bjørheim et al., 2004). However, this issue is still open for debate. However, for economical reasons, it may be advantageous to apply more restrictive fatigue criteria when the consequences are high. This may be the case when the crack causes a leak from the cargo tank into the ballast tank, leading to an explosion hazard. For that matter, the number of potential crack sites in FPSOs and tankers emphasises such a consideration. Novel structures, for which there is no or limited service experiences, need a more rigorous monitoring and inspection, until adequate confidence is gained. This is be- cause new structures involve a high utilisation of static strength, new structural de- tails, possibly with high stress concentration, as well as large uncertainty in the re- sponse. 3.10 Quality assurance and control of the design process The quality assurance and control of the engineering process have to address two dif- ferent situations, which require different type of attention, namely: - detect, control and mitigate errors made in connection with technology that is known in the engineering community as such - identify possible unknown phenomena, e.g. associated with load, response and resistance, and clarify the basis for accounting for such phenomena in design Offshore structures are developed in several stages: conceptual, engineering and de- tailed engineering phases. QA/QC needs to be hierarchical, too, with an emphasis of the latter QA/QC process in the conceptual and early design phases. Errors can occur due to individual errors and omissions, inadequate procedures, soft- ware and lack of robustness of the organizations. Errors of omission and commission, violations (circumventions), mistakes, rejection of information, and incorrect trans- mission of information (communication errors) have been the dominant causes of failures. The lack of adequate training, time, and teamwork or back-up (insufficient redundancy) have been responsible for not detecting and correcting many of these errors (Bea, 2000b). With the advent of computers and their integration into many aspects of the design, construction, and operation of oil and gas structures, software errors are also a con- cern. Newly developed, advanced, and frequently very complex design technology applied in the development of design procedures and the design of the offshore struc- tures has not been sufficiently debugged and failures have resulted. 35
  • 40.
    Software errors, inwhich incorrect and inaccurate algorithms were coded into com- puter programs, have been at the root-cause of several recent failures of offshore structures. Guidelines have been developed to address the quality of the computer software for the performance of finite element analyses. An extensive benchmark test- ing is required to assure that the software performs as it should and that the documen- tation is sufficient. One particular importance is the provision of independent check- ing procedures that can be used to validate the results from analyses. It is found that errors are often made by individuals in organizations with a culture that does not promote quality and reliability in the design process. The culture and the organizations do not provide the incentives, values, standards, goals, resources, and controls that are required to achieve adequate quality. The loss of corporate memory in companies responsible for structural safety also has been a factor contributing to many cases of structural failures. Knowledge of the pain- ful lessons in the past was lost and the lessons were repeated with generally even more painful results. Such loss of corporate memory is particularly probable in times of down-sizing, outsourcing and mergers (Bea, 2000a-b). QA/QC of the engineering process QA is the proactive process in which the planning is developed to help preserve desir- able quality. QC is the interactive element in which the planning is implemented and carried out. QA/QC measures are focused both on error prevention and error detection and correction (Harris and Chaney, 1969). There can be a real danger in excessively formalized QA/QC processes. If not properly managed, they can lead to generation of paperwork, a waste of scarce resources that can be devoted to QA/QC, and a mini- mum compliance mentality. It is important that the QA/QC is hierarchical, in other words it should be performed by designers and others doing the work, their colleagues, and third parties. While self- checking is very important, Matousek and Schneider (1976) found that 87% of the errors causing accidents in the construction industry, could have been detected either by the person next in line or by properly organized additional checks. Therefore, an additional QA/QC is necessary. A good support in organization by experienced man- agers, who have daily responsibilities for the quality of the project organizations and processes, is crucial. In the same way as the structure should be damage tolerant, the design organizations also need to be robust. It is when the organization or the operat- ing team encounters defects and damage – and is under serious stress, that the benefits of robustness become evident. Robust organizations have extensive auditing proce- dures to help spot safety problems and they have reward systems that encourage risk mitigating behaviours. Nevertheless, knowledgeable, trained, experienced, and sensitive third parties can help, encourage, and assist the owners of the concept to improve. The third-party QA and QC checking measures which are an integral part of the offshore structure design process provide an independent review. This checking should start with the basic tools (guidelines, codes, computer programs) of the structure design process to assure that ‘standardized errors’ have not been embedded in the design tools. The checking should continue through the major phases of the design process, with a particular at- tention given to the loading analysis. Moreover the plans for fabrication and operation (manuals) also constitute an important part of the QA and QC process. The provision of adequate resources and motivations is also necessary, particularly the willingness 36
  • 41.
    of management andengineering to provide integrity to the process and to be prepared to deal adequately with ‘bad news’. The true value of QA and QC lies in the disciplined process. The main objective of QA/QC is detection of errors and omissions and not their prediction. Yet the attempt made by Lotsberg et al. (to appear) is an interesting effort to assess the risk associated with gross errors and omissions. Unfortunately, sometimes the results of formal risk analysis approaches are only used to justify a compliance with regulatory targets and, in some cases the implementation is not clearly justified and needs improvements in the reliability of an engineered system. The intensity and the extent of the design checking process need to be matched to the particular design situation. Repetitive designs that have been adequately tested in op- erations to demonstrate that they have the required quality do not need to be verified and checked as closely as those that are ‘first-offs’ and ‘new designs’ that may push the boundaries of the current technology. New technologies compound the problems of latent system flaws (Reason, 1997). Identification of new phenomena The early phases of design are particularly important for the QA and QC of novel concepts. Novel concepts that could imply new physical phenomena relating for in- stance to loads and response need particular attention. Examples of phenomena “dis- covered” in the recent two decades include the ringing experienced in connection with the Draugen mono-tower shown in Fig. 27. In this case the extreme loading increased by about 30% due to a particular combination of hydrodynamic excitation on large diameter columns and a natural structural period in the range of 2-8s. The phenome- non was discovered when most of the manufacturing process had been completed. So, the safety was ensured by operational restrictions. Another example is the high fre- quency springing and ringing response of TLPs. It is noted that these phenomena, like many others in the history of offshore structures, became important due to a combina- tion of nonlinear wave load excitation at certain natural structural frequencies. Model testing is crucial in this connection. Another recent, but more obvious, issue is the possible ship impact scenario associated with the tandem off-loading. • Offshore structural engineeringtoday Ø - partlymature 16.4m (m anyaspectsof fixedplatformtechnology) 267m - partlyinnovative technologyem erging (e.g. in relatingto floatingplatforms/ risers/offloadingof gas) Ø 44.5m • QA/QC of novel conceptsrepresent 30 particular challenges - requiresrobust control, i.e. indepent reviews 20 - InnovationdependsuponR&D 10 Moment (kNm) 0 -10 -20 -30 Linear analysis Lineæ beregning r e.g. Ringing in the Draugen platform Ikkelineæ beregning r -40 Nonlinear analysis 1860 1865 1870 1875 1880 1885 1890 1895 1900 Tim (s) e Fig. 27: Ringing in Draugen monotower Fig. 28: Springing and ringing in TLP 37
  • 42.
    From a safetypoint of view, the most important issue is to identify a new phenome- non that represents a new or altered hazard. When it is identified, the uncertainties associated with the hazard are commonly accounted for by conservative design ap- proach. However, there is a strong incentive to reduce the uncertainties to limit the design conservatism for economical reasons. To a large extent the offshore industry has matured. Yet, the development of new off- shore facilities are still expected in the future, for instance in connection with new environmental conditions- i.e. involving new combinations of wind waves and swell or ice or use of novel concepts in connection with production and transport of lique- fied natural gas. Then sloshing in FPSOs with several “slack tanks” as well as possi- ble interaction between fluid in tanks and rigid body motions of the vessels, need at- tention. In general, the aging of the existing offshore structures, especially due to crack growth, needs attention in the years to come. S afe ty issu es C o m plex and com pact p rocess facility (fire/e xplosion hazards) C o nsequence of LN G leakage P rocess near sto rage facility (m ight im ply e scalation of fire..) C a rgo transfe r in open sea s F loa ting production of LN G S loshing of LN G in partly filled tanks (m ight im pair ta nk integrity) O p e ration of vessels close to p roduction/term inal fa cilities (collision hazard) O ffsho re off-loa ding term ina ls (a w a y from den sly populate d a rea s and busy ports) Fig. 29: Safety assessment of transport system for Liquefied Natural Gas 4. Concluding remarks Various measures to ensure an adequate safety in offshore structures have been re- viewed based upon relevant accidents. A design criteria as well as load and structural analysis methods have been briefly presented. It is demonstrated how structural reli- ability analysis can be used to establish consistent design criteria for ultimate resis- tance and fatigue, and especially how refinement of analysis methods and additional information reduce uncertainty and hence the necessary safety factors. On the other hand, it is shown that the failure probability implied by current ultimate and fatigue limit state criteria is small and does not show up in the accident statistics. The main cause of accidents is human and organizational errors and omissions. Therefore, to achieve an acceptable safety level, QA and QC of the engineering process are re- quired. This includes inspection, monitoring and repair of the structure, as well as design for structural robustness. The QA and QC tasks, to possibly identify new phe- nomena, especially associated with the loading and dynamic response, are particularly challenging in connection with novel concepts for new environmental conditions or new functions. In this paper, a particular emphasis is placed on the Accidental Col- lapse Limit State design check related to accidental loads and abnormal strength. The 38
  • 43.
    philosophy behind thisrobustness criterion is described and it is shown how informa- tion has been established for a proper implementation of the criterion. In the view of the aging of offshore structures, crack growth and rupture are particularly addressed. It is shown how fatigue and robustness design criteria, as well as inspection strategy can be combined for different types of offshore structures, to yield an acceptable safety level. Acknowledgement I would like to acknowledge the invitation to serve a Keppel Professor at the National University of Singapore as well as the cooperation with its Department of Civil Engi- neering and the Centre for Offshore Research and Enginneering. I would also like to thank the many people I have been working with in carrying out the research as well as code development for the Norwegian Petroleum Directorate, ISO and other regula- tory bodies that are reported in this paper. They particularly include J. Amdahl, S. Fjeld, S. Haver, I. Holand (deceased), D. Karsan, J. Lloyd and J.E.Vinnem. The opin- ions expressed, however, are those of the author. References ALK (1981) “The Alexander L. Kielland Accident”, (in Norwegian – English translation available), NOU 1981:11, Oslo. Almar-Næss, A. (ed.) (1985). ‘Fatigue Handbook for Offshore Steel Structures’, Tapir Publ., Trondheim. Amdahl, J. (1999) ‘Structural Response to Accidental Loads’, Lecture Notes, Dept. of Marine Technology, Norwegian University of Science and Technology, Trondheim. Amdahl, J. (2003) FABIG API (1993/1997) ‘Recommended Practice for Planning, Designing and Constructing Fixed Offshore Platforms”, API RP2A-WSD July 1993 with Supplement 1 with Sect., 17.0, ‘As- sessment of Existing Platform’, February 1997. American Petroleum Institute, Dallas. Ayala-Uraga, E. and Moan, T. (2002) “System Reliability issues of Offshore Structures con- sidering Fatigue Failure and Updating based on Inspection”, First Int. ASRANet Collo- quium, Glasgow, Scottland. Bach-Gansmo, O., Carlsen, C.A. and Moan, T. (1987) “Fatigue Assessment of Hull Girder for Ship Type Floating Production Vessels,” Proc. Conf. on Mobile Offshore Units, London: City University. Bea, RG (2000a) Achieving step change in Risk Assessment & Management (RAM), Centre for Oil & Gas Engineering, http://www.oil-gas.uwa.edu.au, University of Western Austra- lia, Nedlands, WA. Bea RG (2000b) Performance Shaping Factors in Reliability Analysis of Design of Offshore Structures, J. OMAE, Vol. 122, ASME, New York, NY. Beckwith, I. and Skillman, M. (1975) “Assessment of the Stability of Floating Platforms”, North East Coast Inst. of Naval Architects. BEFETS (1998) ‘Blast and Fire Engineering for Topside Systems’, Phase 2, SCI Publication No. 253, Ascot, UK. Bjørheim, L., Berge, S. and Skaret, H. (2004) “Damage Tolerance of FPSOs with Fatigue Cracks”, Proc. ISOPE Conference. Broughton, P. (1997) "Engineering Challenges of Ekofisk, the First North Sea Oil Field’, Proc. 8th BOSS Conf., Pergamon Press, New York, Vol. I, pp 41-70. BS 7910 (1999) “Guidance on Methods for Assessing the Acceptability of Flaws in Fusion Welded Structures”, BS 7910:1999, British Standard, London, UK. Chen, H. and Moan, T. (2004) “Probabilistic Modeling and Evaluation of Collision between 39
  • 44.
    Shuttle Tanker andFPSO in Tandem Offloading”, J. Reliability Engineering and System Safety, 84, 2, 169-186. Cornell, C.A. (1995) “Structural Reliability- Some contributions to Offshore Technology“, Paper No. OTC 7753, Proc. 27th Offshore Technology Conference, Houston. Czujko, J., ed. (2001) ‘Design of Offshore Facilities to Resist Gas Explosion Hazard’', Engi- neering Handbook, Offshore Design, Oslo. Dunlap, W.A., and Ibbs, C.W. (eds) (1994) Proc. Int. Workshop on Assessment and Requali- fication of Offshore Production Structures, New Orleans, Offshore Technology Research Center, Texas A&M University and University of California, Berkeley, CA. Fjeld, S. (1977) “Reliability of Offshore Structures”, Paper No. OTC 3027, Proc. 9th Offshore Technology Conf., Houston, Vol. 4, 459-472. Harris, D. and Chaney, F. (1969) “Human Factors in Quality Assurance”, John Wiley & Sons, London, UK. Haver, S., ( 2000) “Evidences of the Existence of Freak Waves”, Proc. Rogue Waves 2000, Brest, France, 129-140. HSE (1992) “Safety Case Regulations”, Health and Safety Executive, HMSO, London. ISO 19900 (1994) ‘Petroleum and Natural Gas Industries – Offshore Structures – Part 1: General Requirements’, (1994), ‘Part 2: Fixed Steel Structures’, (2001), Draft,. Int. Stan- dardization Organization, London. ISO 2394 (1998) “General Principles on Reliability for Structures”, International Standards Organisation, London., Draft for approval. ISSC (1988-1994) Proceedings of the International Ship and Offshore Structures Congress in 1988 (Lyngby, Denmark); 1991 (Wuxi, China); 1994 (St.Johns, Canada). Jordaan, I.J. and Maes, M.A. (1991) “Rational for Load Specifications and Load Factors in the New CSA Code for Fixed Offshore Structures”. C.J. Civil Engng. 18, 3, 454-464. Lloyd, J.R. and Karsan, D.I. (1988) “Development of a Reliability-based Alternative to API RP2A”, Paper No. OTC 5882, Proc. 20th . Offshore Technology Conf., Vol. 4, Houston, 593-600. Lotsberg, I. et al. (to appear) “Risk Assessment of Loss of Structural Integrity of a Floating Production Platform due to Gross Errors”, J. Marine Structures. Madsen, H.O. & S.D. Sørensen (1990). “Probability-Based Optimization of Fatigue Design Inspection and Maintenance”. Presented at Int. Symp. on Offshore Structures, University of Glas- gow. Matousek, M. and Schneider, J. (1976) “Untersuchungen Zur Struktur des Zicherheitproblems bei Bauwerken”, Institut für Baustatik und Konstruktion der ETH Zürich, Bericht No. 59, ETH, Zürich. Melchers, R.E. (1999) “Structural Reliability Analysis and Prediction”, John Wiley & Sons, Chichester, UK. Moan, T.(1983) “Safety of Offshore Structures”, Proc. 4th ICASP Conference, Firenze, Pita- gora Editrice. Moan, T. (1985) “The Progressive Structural Failure of the Alexander L. Kielland Platform” in “Case Histories in Offshore Engineering”, G. Maier (ed.) Springer-Verlag: Berlin. Moan, T. (1988) “The Inherent Safety of Structures Designed According to the NPD Regula- tions”. Report No. F88043 , SINTEF, Trondheim. Moan, T. (1994) “Reliability and Risk Analysis for Design and Operations Planning of Off- shore Structures”. Keynote lecture, Proc. 6th ICOSSAR, Structural Safety and Reliability, Vol. I, Balkema, Rotterdam, 21-43. Moan, T. (1995) “Safety Level Across Different Types of Structural Forms and Material – Implicit in Codes for Offshore Structures”, SINTEF Report STF70 A95210, Trondheim, Prepared for ISO/TC250/SC7. Moan, T. (1998) “Target levels for structural reliability and risk analysis of offshore struc- tures”, in Risk Reliability in Marine Technology, Guedes Soares, C. (ed), A.A. Balkema publishers, 351- 368. Moan,T. (2000a) “Recent Research and Development Relating to Platform Requalification” J. OMAE, ASME, Vol. 122, New York, 20-32. 40
  • 45.
    Moan,T. (2000b) “AccidentalActions. Background to NORSOK N-003”, Dept. of Marine Technology, Norwegian University of Science and Technology, Trondheim. Moan, T. (2004) “Reliability-based Management of Inspection, Maintenance and Repair of Offshore Structures”, J. Structure and Infrastructure Engineering, Moan, T., Berge, S. and Holthe, K., (1981a) “Analysis of the Fatigue Failure of the Alexander L. Kielland”, ASME Winter Annual Meeting, Washington D.C. Moan, T. and Holand, I. (1981b) “Risk Assessment of Offshore Structures Experiences and Principles”. Proc. 3rd ICOSSAR, Elsevier, Amsterdam, 803-820. Moan, T and Amdahl, J. (1989) “Catastrophic Failure Modes of Marine Structures” in Struc- tural Failure, T.Wierzbicki and N. Jones (eds), John Wiley & Sons, Inc, New York. Moan, T. et al. (1993a) ”Reliability-Based Fatigue Design Criteria for Offshore Structures Considering the Effect of Inspection and Repair”, Paper No. OTC 7189, Proc. 25th Off- shore Technology Conference, Vol. 2, Houston, 591-599. Moan, T., Karsan, D. and Wilson, T (1993b) “Analytical Risk Assessment and Risk Control of Floating Platforms Subjected to Ship Collisions and Dropped Objects”. Paper No. OTC 7123, Proc. 25th Offshore Technology Conf., Vol. 1, Houston, 407-418. Moan, T., Vårdal, O.T. and Johannesen, J.M. (1999) “Probabilistic Inspection Planning of Fixed Offshore Structures,” Proc.8th ICASP, Applications of Statistics and Probability, A.A. Balkema, Rotterdam, 191-200. Moan, T. and Amdahl, J. (2001) “Risk Analysis of FPSOs, with Emphasis on Collision Risk”, Report RD 2001-12, American Bureau of Shipping, Houston. Moan, T. Amdahl, J. Wang, X. and Spencer, J. (2002) “Risk Analysis of FPSO, with particu- lar emphasis on collisions”, Trans SNAME., Vol. 110, 307-339. Moore, W. et al (2003) “Report of Specialist Committee V.1 Risk Assessment” Proc. 15th ISSC Congress, Vol. 2, Elsevier, Amsterdam. Moses, F. (1987). “Load and Resistance Factor Design-Recalibration LFRD” Report API PRAC 87-22. API, Dallas, Texas. NORSOK N-001 (2002) “Structural Design”, Norwegian Technology Standards, Oslo. NORSOK N-003 (1999) “Actions and Action Effects”, Norwegian Technology Standards, Oslo. NORSOK N-004 (1998b) “Steel Structures”, Norwegian Technology Standards, Oslo. NORSOK Z-013 (1998a) “Risk and Emergency Preparedness Analysis”, NORSOK Standard Z-013, NTS, Oslo, Rev. 1. NPD (1977) “Regulation for the Design of Fixed Structures on the Norwegian Continental Shelf”. Norwegian Petroleum Directorate, Stavanger. NPD (1981) “Guidelines for Safety Evaluation of Platform Conceptual Design.” Norwegian Petroleum Directorate, Stavanger. NPD (1984) “Regulations for load-carrying structures for extraction or exploitation of petro- leum”, The Norwegian Petroleum Directorate, Stavanger. NPD (1991) “Regulations Relating to Implementation and Use of Risk Analysis in the Petro- leum Activities”, Norwegian Petroleum Directorate, Stavanger. OR (1984) Royal Commission on the Ocean Ranger Marine Disaster: “Report One: The Loss of the Semi-submersible Drill Rig Ocean Ranger and its Crew”, Edifice Fort Wil- liam, St. Johns Newfoundland. Paik, J.K. et al (2003) “Report of Committee V.2 Collision and Grounding”, Proc. 15th ISSC, Vol. 2, Elsevier, Amsterdam. Paik, J.K. and Thayamballi, A.K. (2003) “Ultimate Limit State Design of Steel-Plated Struc- tures”, John Wiley & Sons, Chichester. P-36 (2001) “Workshop on the Accident with the P-36 Platform”, Petrobas and Coppe (eds), Rio de Janeiro, Brazil. PA (1990) “The Public Inquiry in the Pipe Alpha Disaster”, Inquiry Commission HMSO, London. Prevosto, M. and Forristall, G.Z. (2002) “Statistics of wave crests from models vs. measure- ments”, Paper No. 28443, Proc. 21st OMAE Conference, Oslo. Reason, J. (1997) “Managing the Risks of Organizational Accidents”, Ashgate Publishers, Aldershot, UK. 41
  • 46.
    Sarpkaya, T. andIsaacson, M. (1981) “Mechanics of Wave Forces on Offshore Structures”, Van Nostrand Reinholdt, New York. SCI(1993) “Interim Guideance Notes for the Design and Protection of Topside Structures against Explosion and Fire”, Steel Construction Institute, Document SCI-P-112/503, Lon- don. Sigurdsson, G., Lotsberg, I., Myhre, T. and Ørbeck-Nilssen, K. (2000) “Fatigue Reliability of Old Semi-submersibles,” OTC Paper no 11950, Proc. Offshore Technology Conference, Houston. Skallerud, B. and Amdahl, J. (2002) “Nonlinear Analysis of Offshore Structures”, Research Studies Press. Smith, C.S. (1977) “Influence of Local Compressive Failure on Ultimate Longitudinal Strength of Ships hull” Proc. PRADS, Tokyo, 73-79. Vårdal, O.T. and Moan, T. (1997) "Predicted versus Observed Fatigue Crack Growth. Valida- tion of Probabilistic Fracture Mechanics Analysis of Fatigue in North Sea Jackets", Paper No. 1334, Proc. 16th OMAE Conference, Yokohama, Japan. Vårdal. O.T. , Moan, T. and Bjørheim, L.G. (2000) "Applications of Probabilistic Fracture Mechanics Analysis for Reassessment of Fatigue Life of a Floating Production Unit- Philosophy and Target Levels", Paper No. 00-2078, Proc. 19th OMAE Conference, New Orleans. Vinnem, J.E. (1999) “Offshore Risk Assessment”, Kluwer Academic Publishers, Doordrecht. Walker, S. et al. (2003) “New Guidance on the Design of Offshore Structures to Resist the ExplosionHazard” Paper No. 203-37120, Proc. 22nd OMAE Conference, Cancun, Mexico. Wirsching, P.H. (1983) “Probability-based Fatigue Design Criteria for Offshore Structures” Report API-PRAC Project No. 81-15, Dept. of Aerospace and Mechanical Engng. Univer- sity of Arizona, Tucson. WOAD: “Worldwide Offshore Accident Databank”, Det Norske Veritas, Oslo, 1996. Yao, T, et al. (2000) “Report of ISSC Committee VI.2. Ultimate Hull Girder Strength”, Proc. 14th ISSC Congress, Nagasaki. Acronyms ALS - Accidental Collapse Limit State API - American Petroleum Institute FDF – Fatigue Design Factor (to multiply with the service life to get desired characteristic value of fatigue life) FLS - Fatigue Limit State HOF - Human and Organizational Factors HSE - Health and Safety Executive, UK IMO - International Maritime Organization ISO - International Standardization Organization MMS-Mineral Management Services, USA NPD - Norwegian Petroleum Directorate (now: Petroleum Safety Authority, Norway) TLP - Tension Leg Platform WOAD – World Accident Data Bank, issued by Det Norske Veritas 42