i
DAFTAR ISI
Halaman
DAFTAR ISI ............................................................................................................................... i
BAB I PENDAHULUAN
1.1 Latar Belakang.................................................................................................... 1
1.2 Landasan Hukum................................................................................................ 5
1.3 Hubungan antar Dokumen.................................................................................. 6
1.4 Sistematika Dokumen RKPD Tahun 2015............................................................ 7
1.5 Maksud dan Tujuan…………………………………………………………………………….......... 8
BAB II EVALUASI HASIL PELAKSANAAN RKPD TAHUN LALU DAN CAPAIAN KINERJA
PENYELENGGARAAN PEMERINTAHAN
2.1 Gambaran Umum Kondisi Daerah .................................................................. 10
2.1.1 Aspek Geografi Dan Demografi ...................................................................... 10
2.1.1.1 Luas dan batas wilayah administrasi............................................................... 10
2.1.1.2 Letak dan Kondisi Geografis........................................................................... 11
2.1.1.3 Aspek Demografi ........................................................................................... 11
a. Jumlah Penduduk ................................................................................... 11
b. Laju Pertumbuhan Penduduk.................................................................. 12
c. Sebaran Penduduk.................................................................................. 13
2.1.2 Aspek Kesejahteraan Masyarakat ................................................................... 14
2.1.2.1 Fokus Kesejahteraan dan Pemerataan Ekonomi ............................................. 14
a. PDRB ADH Berlaku.................................................................................. 14
b. Laju Inflasi.............................................................................................. 15
c. Pertumbuhan Ekonomi............................................................................ 16
d. PDRB Per Kapita ..................................................................................... 18
e. Persentase Penduduk Miskin................................................................... 19
2.1.2.2 Fokus Kesejahteraan Sosial............................................................................ 20
a. Pendidikan.............................................................................................. 20
b. Kesehatan .............................................................................................. 21
c. Kemiskinan............................................................................................. 23
2.1.3 Aspek Pelayanan Umum ................................................................................ 24
2.1.3.1 Fokus Layanan Urusan Wajib ......................................................................... 24
2.1.3.2 Fokus Layanan Urusan Pilihan........................................................................ 31
2.1.4 Aspek Daya Saing Daerah.............................................................................. 32
2.1.4.1 Fokus Iklim Berinvestasi................................................................................. 32
2.1.4.2 Fokus Sumber Daya Manusia ......................................................................... 33
2.1.5 Ekonomi dan Keuangan Daerah ..................................................................... 33
2.2 Evaluasi Pelaksanaan Program dan Kegiatan RKPD sampai Tahun 2013
dan Realisasi RPJMD........................................................................................ 34
2.2.1. Evaluasi Pelaksanaan Program dan Kegiatan RKPD sampai Tahun 2013 ......... 35
2.2.2. Penelaahan terhadap RPJMN dan RKPD Kota Padangsidimpuan ..................... 35
BAB III RANCANGAN KERANGKA EKONOMI DAERAH BESERTA KERANGKA PENDANAAN
3.1 Arah Kebijakan Ekonomi Daerah .................................................................... 41
3.1.1 Kondisi Ekonomi Daerah Tahun 2012 dan Perkiraan Tahun 2014.................... 41
3.1.2 Tantangan dan Prospek Perekonomian Daerah Tahun 2014........................... 44
3.2 Arah Kebijakan Keuangan Daerah.................................................................. 49
3.2.1 Arah Kebijakan Pendapatan Daerah ............................................................... 50
3.2.2 Arah Kebijakan Belanja Daerah ...................................................................... 52
ii
3.2.3 Arah Kebijakan Pembiayaan Daerah............................................................... 54
BAB IV PRIORITAS DAN SASARAN PEMBANGUNAN DAERAH TAHUN 2015
- Arah Prioritas Program ........................................................................................... 55
BAB V RENCANA PROGRAM DAN KEGIATAN PRIORITAS DAERAH
- Rencana Program dan Kegiatan Prioritas Daerah Kota Padangsidimpuan untuk Tahun
2015 menurut Bidang Urusan Pemerintahan. ........................................................
BAB .VI PENUTUP................................................................................................................... 95
LAMPIRAN I EVALUASI HASIL PELAKSANAAN RKPD TAHUN 2013
LAMPIRAN II REKAPITULASI RENCANA PROGRAM DAN KEGIATAN PRIORITAS KOTA
PADANGSIDIMPUAN TAHUN 2015
1
BAB I
PENDAHULUAN
1.1 Latar Belakang
Undang-Undang Nomor 25 Tahun 2004 tentang Sistem Perencanaan
Pembangunan Nasional yang dijabarkan ke dalam Peraturan Pemerintah
Nomor 8 Tahun 2008 tentang Tahapan, tata cara Penyusunan,
Pengendalian dan Evaluasi Pelaksanaan Rencana Pembangunan Daerah
dan Peraturan Menteri Dalam Negeri Nomor 54 Tahun 2010 tentang
Pelaksanaan Peraturan Pemerintah Nomor 8 Tahun 2008 tentang
Tahapan, Tatacara Penyusunan, Pengendalian, dan Evaluasi Pelaksanaan
Rencana Pembangunan Daerah telah mengamanatkan bahwa dalam rangka
penyelenggaraan pemerintahan, setiap Pemerintah Daerah diwajibkan untuk menyusun
perencanaan pembangunan daerah sebagai satu kesatuan sistem perencanaan
pembangunan nasional. Perencanaan pembangunan daerah tersebut meliputi
Rencana Pembangunan Jangka Panjang Daerah (RPJPD) yang disusun untuk jangka
waktu 20 (dua puluh) tahun, Rencana Pembangunan Jangka Menengah (RPJMD)
untuk jangka 5 (lima) tahun, dan Rencana Kerja Pembangunan Daerah (RKPD) untuk
jangka1 (satu)tahun.
Dalam melaksanakan amanat undang-undang, peraturan
pemerintah, serta Peraturan Menteri Dalam Negeri tersebut di atas,
Pemerintah Kota Padangsidimpuan telah menyusun dokumen RPJPD Kota
Padangsidimpuan Tahun 2005-2025 yang ditetapkan dengan Peraturan
Daerah Nomor 25 Tahun 2008. Untuk dokumen RPJMD Tahap I (2008-
2013) telah ditetapkan dengan Peraturan Daerah nomor 26 Tahun 2008,
sedang RPJMD Tahap II (2013-2017) telah ditetapkan dengan Peraturan
Daerah nomor 02 Tahun 2013 tentang Rencana Pembangunan Jangka
Menengah Daerah Kota Padangsidimpuan Tahun 2013-2017.
Penyusunan RPJMD mengacu kepada RPJPD 2005-2025, yang
memuat : visi, misi dan program prioritas Kepala Daerah terpilih; dan
rancangan rencana teknokratik. RPJMD merupakan visi, misi dan
program prioritas dari Kepala Daerah terpilih yang akan dilaksanakan
oleh Satuan Kerja Perangkat daerah melalui program dan kegiatan yang
Lampiran 1 : LAMPIRAN PERATURAN WALIKOTA PADANGSIDIMPUAN
NOMOR : 24 TAHUN 2014
TANGGAL : 05 JUNI 2014
2
dituangkan dalam Rencana Strategis dari Satuan Kerja Perangkat Daerah
(Renstra-SKPD). RPJMD akan dijabarkan dengan rencana pembangunan
tahunan/Rencana Kerja Pembangunan Daerah (RKPD). RKPD Kota
Padangsidimpuan Tahun 2015 merupakan tahun kedua dari pelaksanaan
RPJMD 2013-2017.
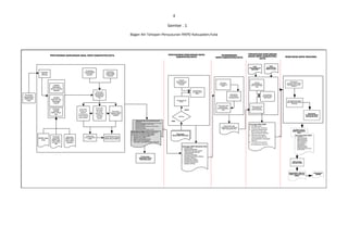
RKPD sebagaimana diatur dalam Peraturan Menteri Dalam Negeri
Nomor 54 Tahun 2010, disusun dengan tahapan sebagai berikut:
a. persiapan penyusunan RKPD;
b. penyusunan rancangan awal RKPD;
c. penyusunan rancangan RKPD;
d. pelaksanaan musrenbang RKPD;
e. perumusan rancangan akhir RKPD; dan
f. penetapan RKPD.
Tahapan persiapan penyusunan RKPD meliputi: pembentukan Tim
Penyusun RKPD, orientasi mengenai RKPD, penyusunan agenda kerja,
serta penyiapan data dan informasi perencanaan pembangunan daerah.
Perumusan rancangan awal RKPD merupakan awal dari seluruh
proses penyusunan rancangan RKPD untuk memberikan panduan kepada
seluruh SKPD untuk menyusun rancangan Renja SKPD dan berfungsi
sebagai koridor perencanaan pembangunan daerah dalam kurun waktu 1
(satu) tahun yang disusun menggunakan pendekatan teknokratis dan
partisipatif.
Setelah rancangan awal RKPD dibuat, tahap selanjutnya adalah
merumuskan dokumen tersebut menjadi rancangan RKPD. Perumusan
Rancangan RKPD pada dasarnya adalah memadukan materi pokok yang
telah disusun dalam rancangan awal RKPD provinsi dengan rancangan
Renja SKPD dan mensinkronkannya dengan kebijakan nasional/provinsi
tahun rencana. Dengan demikian, penyusunan rancangan RKPD bertujuan
untuk menyempurnakan rancangan awal melalui proses pengintegrasian
dan harmonisasi program dan kegiatan prioritas yang tercantum dalam
rancangan Renja SKPD serta untuk mengharmoniskan dan
menyinergikannya terhadap prioritas dan sasaran pembangunan nasional
dan provinsi.
RKPD Kota Padangsidimpuan sebagai dokumen perencanaan
pembangunan tahunan yang disusun untuk menjamin keterkaitan dan
3
konsistensi antara perencanaan, penganggaran, pelaksanaan dan
pegawasan serta merupakan pedoman bagi Pemerintah Daerah, seluruh
Satuan Kerja Perangkat Daerah (SKPD) dalam menyusun Renja-SKPD,
dan sebagai dasar utama dalam penyusunan Kebijakan Umum APBD,
Prioritas dan Plafon Anggaran Sementara APBD, serta Rancangan
Anggaran Pendapatan dan Belanja Daerah (R-APBD) Tahun Anggaran
2015.
Proses perumusan RKPD Kota Padangsidimpuan Tahun 2015 dapat
dilihat sebagaimana gambar bagan sebagai berikut:
4
Gambar . 1
Bagan Alir Tahapan Penyusunan RKPD Kabupaten/kota
Persiapan
Penyusunan
RKPD Kab/
Kota
Pengolahan
data dan
informasi
Perumusan
permasalahan
Pembangunan
Daerah kab/
kota
Penelaahan
terhadap RPJMN
dan RPJMD
provinsi
Perumusan
program prioritas
beserta pagu
indikatif
Penyelarasan rencana
program prioritas daerah
beserta Pagu Indikatif
Pelaksanaan
Forum Konsultasi
Publik
Perumusan
Rancangan
Kerangka
Ekonomi dan
Kebijakan
Keuangan
Daerah
Perumusan
Prioritas dan
Sasaran
Pembangunan
Daerah beserta
pagu indikatif
PENYUSUNAN RANCANGAN RKPD
KABUPATEN/KOTA
MUSRENBANG
RKPD KABUPATEN/KOTA
PERUMUSAN RANCANGAN
AKHIR RKPD KABUPATEN/
KOTA
PENETAPAN RKPD PROVINSI
Berita Acara Hasil
Kesepakatan Musrenbang
RKPD Kabupaten/Kota
Verifikasi
sesuai
tidak
Rancangan
Renja-SKPD Kab/Kota
Evaluasi
Rancangan Awal
RKP & RKPD
Provinsi
Integrasi Renja
SKPD
Penyelarasan
Penyajian Ranc
RKPD
Rancangan RKPD Kabupaten/Kota
· pendahuluan;
· evaluasi pelaksanaan
RKPD tahun lalu dan capaian
kinerja penyelenggaraan
pemerintahan;
· rancangan kerangka
ekonomi daerah Dan kebijakan
keuangan daerah;
· prioritas dan sasaran
pembangunan daerah;
· rencana program dan
kegiatan prioritas.
Hasil
Musrenbangnas
RKP/RKP
Evaluasi
Musrenbangnas
RKP & RKPD Kab/
Kota
Sinkronisasi hasil
Musrenbang
RKPD Kecamatan
Penyelarasan
Penyajian Ranc
Akhir RKPD
Rancangan Akhir RKPD
· pendahuluan;
· Analisis dan evaluasi ;
· Evaluasi pelaksanaan
RKPD tahun lalu dan
capaian kinerja RPJMD;
· Rencana kerangka
ekonomi daerah dan
arah kebijakan keuangan
daerah;
· Prioritas dan sasaran
pembangunan daerah
Konsultasi Rancangan
akhir RKPD Kab/Kota ke
PemProv.
Konsultasi Rancangan
akhir RKPD Kab/Kota ke
PemProv.
Penyusunan
KUA dan PPAS
Kesepakatan KUA dan
PPAS antara KDH dan
DPRD
Kesepakatan KUA dan
PPAS antara KDH dan
DPRD
Persiapan
Musrenbang
RKPD
Perumusan hasil
Musrenbang
RKPD Kabupaten/
Kota
Pelaksanaan
Musrenbang
Kabupaten/Kota
PENYUSUNAN RANCANGAN AWAL RKPD KABUPATEN/KOTA
dokumen
RKPD Kab/
Kota tahun
berjalan
RANCANGAN AWAL RKPD KABUPATEN/KOTA
· pendahuluan;
· evaluasi Hasil pelaksanaan RKPD tahun lalu dan capaian
kinerja penyelenggaraan pemerintahan;
· rancangan kerangka
ekonomi daerah Dan kebijakan keuangan daerah;
· prioritas dan sasaran
pembangunan daerah;
· rencana program dan kegiatan prioritas
Surat Edaran KDH (perihal penyampaian
rancangan awal RKPD sebagai bahan
penyusunan rancangan renja-SKPD)
· agenda penyusunan RKPD,
· agenda forum SKPD,
· agenda musrenbang RKPD,
· batas waktu penyampaian
rancangan renja-SKPD kepada Bappeda
PerKDH tentang
RKPD Kabupaten/
Kota
Persetujuan
rancangan akhir RKPD
Kab/Kota oleh Bupati/
Walikota
Penetapan
PerKDH ttg RKPD
Kabupaten/Kota
Penyusunan
Rancangan Renja
SKPD Kab/Kota
Analisis
Ekonomi dan
Keuangan
Daerah
Analisis
Gambaran
Umum Kondisi
Daerah
Rancangan Akhir RKPD
· pendahuluan;
· analisis dan evaluasi;
· evaluasi pelaksanaan
RKPD tahun lalu dan
capain kinerja RPJMD;
· rencana kerangka
ekonomi daerah dan
arah kebijakan
keuangan daerah;
· prioritas dan sasaran
pembangunan Daerah
· rencana program dan kegiatan
prioritas daerah
Evaluasi
kinerja
RKPD Tahun
lalu
RPJMD Kab/
Kota
Evaluasi
dokumen
RKPD kab/
kota tahun
lalu
Penelaahan
pokok-pokok
pikiran DPRD
Kab/Kota
Hasil
Musrenbang
RKPD Provinsi
Penyusunan
RAPBD
Penyusunan
RAPBD
5
1.2 Landasan Hukum
Dasar hukum yangdigunakan dalam Penyusunan RencanaKerjaPembangunan
Daerah adalah:
1. Pasal 18 ayat (6) Undang - Undang Dasar Negara Republik Indonesia Tahun
1945;
2. Undang-Undang Nomor 4 Tahun 2001 tentang Pembentukan Kota
Padangsidimpuan (Lembaran Negara Republik Indonesia Tahun 2001 Nomor
84, Tambahan Lembaran Negara Republik Indonesia Nomor 4111);
3. Undang-Undang Nomor 17 Tahun 2003 tentang Keuangan Negara
(Lembaran Negara Republik Indonesia Tahun 2003 Nomor 47, Tambahan
Lembaran Negara Republik Indonesia Nomor 4286);
4. Undang-Undang Nomor 15 Tahun 2004 tentang Pemeriksaan Pengelolaan
dan Tanggungjawab Keuangan Negara (Lembaran Negara Republik Indonesia
Tahun 2004 Nomor 66, Tambahan Lembaran Negara Republik Indonesia
Nomor 4400);
5. Undang-Undang Nomor 25 Tahun 2004 tentang Sistem Perencanaan
Pembangunan Nasional (Lembaran Negara Republik Indonesia Tahun 2004
Nomor 104, Tambahan Lembaran Negara Republik Indonesia Nomor 4421);
6. Undang-Undang Nomor 32 Tahun 2004 tentang Pemerintahan Daerah
(Lernbaran Negara Republik Indonesia Tahun 2004 Nomor 125, Tambahan
Lembaran Negara Republik Indonesia Nomor 4437) sebagaimana telah
diubah beberapa kali, terakhir dengan Undang-Undang Nomor 12 Tahun
2008 tentang Perubahan Kedua Atas Undang-Undang Nomor 32 Tahun
2004 tentang Pemerintahan Daerah (Lembaran Negara Republik Indonesia
Tahun 2008 Nomor 59, Tambahan Lembaran Negara Republik Indonesia
Nomor 4844);
7. Undang-Undang Nomor 33 Tahun 2004 tentang Perimbangan Keuangan
Antara Pemerintah Pusat dan Pemerintahan Daerah (Lembaran Negara
Republik Indonesia Tahun 2004 Nomor 126, Tambahan Lembaran Negara
Republik Indonesia Nomor 4438);
8. Peraturan Pemerintah Nomor 58 Tahun 2005 tentang Pengelolaan Keuangan
Daerah (Lembaran Negara Republik Indonesia Tahun 2005 Nomor 140,
Tambahan Lembaran Negara Republik Indonesia Nomor 4578);
9. Peraturan Pemerintah Nomor 79 Tahun 2005 tentang Pedoman Pembinaan
dan Pengawasan Atas Penyelenggaraan Pemerintahan Daerah (Lembaran
Negara Republik Indonesia Tahun 2005 Nomor 165, Tambahan Lembaran
Negara Republik Indonesia Nomor 4593);
10. Peraturan Pemerintah Nomor 38 Tahun 2007 tentang Pembagian Urusan
Pemerintahan Antara Pemerintah, Pemerintahan Daerah Provinsi dan
Pemerintahan Daerah Kabupaten/Kota (Lembaran Negara Republik
Indonesia Tahun 2007 Nomor 82, Tambahan Lembaran Negara Republik
Indonesia Nomor 4737);
11. Peraturan Pemerintah Nomor 8 Tahun 2008 tentang Tahapan Tata Cara
Penyusunan, Pengendalian dan Evaluasi Pelaksanaan Rencana
Pembangunan Daerah (Lembaran Negara Republik Indonesia Tahun 2008
Nomor 21, Tambahan Lembaran Negara Republik Indonesia Nomor 4817);
12. Peraturan Presiden Nomor 5 Tahun 20010 tentang Rencana Pembangunan
Jangka Menengah Nasional Tahun 2010-2014;
13. Peraturan Menteri Dalam Negeri Nomor 54 Tahun 2010 tentang Pelaksanaan
Peraturan Pemerintah Nomor 8 Tahun 2008 tentang Tahapan Tata Cara
Penyusunan, Pengendalian dan Evaluasi Rencana Kerja Pembangunan
Daerah;
14. Peraturan Menteri Dalam Negeri Nomor 32 Tahun 2013 tentang Pedoman
Penyusunan, Pengendalian dan Evaluasi Pelaksanaan Rencana
6
Pembangunan Daerah Tahun 2013;
15. Peraturan Daerah Kota Padangsidimpuan Nomor 01 Tahun 2008 tentang
Urusan Pemerintahan Daerah Kota Padangsidimpuan (Lembaran Daerah
Kota Padangsidimpuan Tahun 2008 Nomor 01);
16. Peraturan Daerah Kota Padangsidimpuan Nomor 04 Tahun 2008 tentang
Organisasi dan Tatakerja Lembaga Teknis Daerah Kota Padangsidimpuan
(Lembaran Daerah Kota Padangsidimpuan Tahun 2008 Nomor 04);
17. Peraturan Daerah Kota Padangsidimpuan Nomor 06 Tahun 2008 tentang
Pokok-Pokok Pengelolaan Keuangan Daerah (Lembaran Daerah Kota
Padangsidimpuan Tahun 2008, Nomor 06);
18. Peraturan Daerah Kota Padangsidimpuan Nomor 25 Tahun 2008 tentang
Rencana Pembangunan Jangka Panjang Daerah Kota Padangsidimpuan
Tahun 2005-2025 (Lernbaran Daerah Kota Padangsidimpuan Tahun 2008
Nomor 25);
19. Peraturan Daerah Kota Padangsidimpuan Nomor 02 Tahun 2013 tentang
Rencana Pembangunan Jangka Menengah Daerah Kota Padangsidimpuan
Tahun 2013-2017.
1.3 Hubungan antar Dokumen
Rencana Kerja Pembangunan Daerah (RKPD) Kota Padangsidimpuan Tahun
2015 adalah dokumen perencanaan teknis operasional untuk periode satu tahun. RKPD
merupakan penjabaran dari RPJM Daerah dengan mengacu pada Peraturan Presiden
Nomor 5 Tahun 2010 tentang Rencana Pembangunan Jangka Menengah Nasional
Tahun 2010 – 2014 danRencanaKerja Pemerintah Tahun2015 sertaberpedoman pada
Undang-Undang Nomor 17 Tahun 2007 tentang Rencana Pembangunan Jangka
Panjang (RPJP) Nasional Tahun 2005-2025, dan Peraturan Daerah Nomor 02 Tahun
2013 tentang Rencana Pembangunan Jangka Menengah Daerah Kota
Padangsidimpuan Tahun 2013-2017.
RKPD yang telah ditetapkan melalui Peraturan Walikota merupakan rencana
kerja yang menjadi pedoman utama dalam proses penganggaran penyusunan
Rancangan APBD, dan juga digunakan oleh SKPD untuk menyesuaikan Rancangan
Renja SKPD menjadi Renja SKPD. Renja SKPD yang telah disahkan akan dijadikan
pedoman bagi SKPD dalam menyusun RKA-SKPD, yang nantinya akan dijabarkan
dalam R-APBD.
Dalam penyusunan Rancangan Renja SKPD berpedoman pada Renstra SKPD
yang merupakan dokumen rencana pembangunan masing-masing SKPD dalam jangka
waktu 5 (lima) tahun. Renja SKPD merupakan operasionalisasi RKPD oleh SKPD sesuai
tugas pokok dan fungsi SKPD dalam bidang urusan yang menjadi kewenangan daerah
dalam rangkamencapaisasaran pembangunanjangkamenengahdaerah.
Dengan memperhatikan hubungan keterkaitan sebagaimana dijelaskan diatas,
maka dalam penyusunan RKPD Kota harus memperhatikan RKP Nasional, RPJM
Nasional, RKP, RPJP Daerah, RPJM Daerah, Renstra SKPD dan Renja SKPD. Selain itu,
7
jika dilihat hubungan dari dokumen perencanaan lainnya yaitu Rencana Tata Ruang
Wilayah (RTRW), baik RTRW Nasional, RTRW Provinsi maupun RTRW Kota. RKPD Kota
tidak terpisahkan dengan dokumenperencanaan tataruangwilayah.
Dengan adanya keterkaitan hubungan antar dokumen perencanaan
pembangunan tersebut merupakan sebagai suatu upaya untuk mewujudkan
perencanaan pembangnan daerah yang selaras dan sinergis antara dokumen
perencanaan tingkat nasional, provinsi Kabupaten, sehingga capaian sasaran
pembangunan nasionaldandaerahdapattercapai.
1.4 Sistematika Dokumen RKPD
Dokumen RKPD Kota Padangsidimpuan Tahun 2015 disusun dengan
sistematika sebagaiberikut:
BAB I. PENDAHULUAN
Pada Bab ini akan diuraikan mengenai Latar Belakang, Landasan Hukum,
Sistematika Dokumen RKPD Tahun2015 sertaMaksud, dan Tujuan.
BAB II. EVALUASI HASIL PELAKSANAAN RKPD TAHUN LALU DAN CAPAIAN
KINERJA PENYELENGGARAAN PEMERINTAHAN
Bab ini memaparkan pencapaian kinerja pembangunan daerah berdasarkan
indikator – indikator makro pembangunan dan hasil evaluasi pelaksanaan
program dan kegiatan RKPD tahun lalu, selain itu juga memperhatikan
dokumen RPJMD dan dokumen RKPD tahun berjalan sebagai
bahan acuan.
Capaian kinerja penyelenggaraan pemerintahan menguraikan
tentang kondisi geografi demografi, pencapaian kinerja
penyelenggaraan pemerintahan, dan permasalahan
pembangunan.
BAB III. RANCANGAN KERANGKA EKONOMI DAERAH BESERTA KERANGKA
PENDANAAN
Memuat penjelasan tentang kondisi ekonomi tahun 2013 dan
perkiraan tahun 2014, yang antara lain mencakup indikator
pertumbuhan ekonomi daerah, sumber-sumber pendapatan dan
kebijakan pemerintah daerah yang diperlukan dalam
pembangunan perekonomian daerah meliputi pendapatan
daerah, belanja daerah dan pembiayaan daerah.
BAB IV. PRIORITAS DAN SASARAN PEMBANGUNAN DAERAH TAHUN 2014
Pada Bab ini diuraikan Prioritas dan sasaran Pembangunan Daerah Kota
Padangsidimpuan untuk Tahun 2015 berdasarkan hasil evaluasi
8
pelaksanaan RKPD tahun lalu, capaian kinerja yang direncanakan dalam
RPJMD, Isu Strategis dan masalah mendesak, kerangka ekonomi daerah
besertakerangkapendanaannya.
Perumusan prioritas dan sasaran pembangunan daerah serta
indikasi prioitas kegiatannya, juga memperhatikan apa yang
diusulkan oleh SKPD berdasarkan prakiraan maju pada RKPD
tahun 2014.
BAB V. RENCANA PROGRAM DAN KEGIATAN PRIORITAS DAERAH
Mengemukakan secara eksplisit rencana program dan kegiatan
prioritas daerah yang disusun berdasarkan evaluasi
pembangunan tahunan, kedudukan tahun rencana (RKPD) dan
capaian kinerja yang direncanakan dalam RPJMD. Rencana
program dan kegiatan prioritas harus mewakili aspirasi dan
kepentingan masyarakat. Diuraikan dari program dan kegiatan
yang paling bermanfaat atau memiliki nilai kegunaan tinggi bagi
masyarakat.
BAB VI. PENUTUP
Berisi penegasan bahwa RKPD Tahun 2015 merupakan pedoman dalam
penyusunan Renja SKPD Tahun 2015, penyusunan KUA dan PPAS Tahun
Anggaran 2015 serta penyusunan Rancangan Anggaran Pendapatan dan
Belanja Daerah (R-APBD) Kota Padangsidimpuan Tahun Anggaran 2015 dan
dalam pelaksanaannya diperlukan sinergisitas yang mantap di
jajaran Pemerintah Kota Padangsidimpuan, DPRD, pihak swasta
dan seluruh lapisan masyarakat.
1.5 Maksud dan Tujuan
Maksud dari penyusunan Rencana Kerja Pembangunan Daerah
(RKPD) Kota Padangsidimpuan Tahun 2015 adalah sebagai berikut:
a. Menyediakan acuan resmi bagi Pemerintah Daerah dan Dewan
Perwakilan Rakyat Daerah dalam rangka menyusun Rancangan
Anggaran Pendapatan dan Belanja Daerah (RAPBD) yang didahului
dengan penyusunan Kebijakan Umum APBD (KUA), serta penentuan
Prioritas dan Pagu Anggaran Sementara (PPAS) Tahun 2015.
b. Sebagai pedoman Penyusunan Rencana Kerja Satuan Kerja
Perangkat Daerah (Renja SKPD) Tahun 2015.
Sedangkan tujuan dari penyusunan RKPD Kota Padangsidimpuan
adalah untuk menciptakan sinergisitas dalam pelaksanaan pembangunan
9
daerah antar wilayah, antar sektor pembangunan dan antar tingkat
pemerintahan serta menciptakan efisiensi alokasi sumber daya dalam
pembangunan daerah.
10
BAB II
EVALUASI HASIL PELAKSANAAN RKPD TAHUN LALU
DAN CAPAIAN KINERJA PENYELENGGARAAN PEMERINTAHAN
2.1. Gambaran Umum Kondisi Daerah
Gambaran umum kondisi daerah terhadap Capaian Kinerja Penyelenggaraan Urusan
Pemerintahan mencakup aspek geografi dan demografi, aspek kesejahteraan, aspek
pelayananumum,danaspek dayasaingdaerah, dapatdiuraikan sebagai berikut:
2.1.1. Aspek Geografi Dan Demografi
2.1.1.1. Luas dan batas wilayah administrasi
Sesuai dengan data BPS Kota Padangsidimpuan luas total Kota Padangsidimpuan
adalah sebesar 14.684,680 Ha (146,85 Km2), sedangkan sesuai RTRW Kota
Padangsidimpuan adalah seluas 15,930,82 Ha. Secara administratif Kota
Padangsidimpuan terdiri dari 6 Kecamatan, 42 Desa dan 37 Kelurahan, dengan
batas wilayahAdministrasisebagai berikut:
 Utara : KecamatanAngkola Barat (Kabupaten TapanuliSelatan);
 Selatan : KecamatanBatangAngkola(Kabupaten TapanuliSelatan);
 Timur : KecamatanAngkola Timur (KabupatenTapanuliSelatan)
 Barat : KecamatanAngkola Siais (Kabupaten TapanuliSelatan).
Gambar 2.1
Peta Wilayah Administrasi Kota Padangsidimpuan
11
Tabel 2.1
Jumlah Kelurahan/Desa dan Luas Wilayah Kota Padangsidimpuan
Menurut Kecamatan Tahun 2013
NO KECAMATAN
DESA/KELURAHAN LUAS
WILAYAH
(KM2)
KELURAHAN DESA JUMLAH
[1] [2] [4] [5] [6] [7]
1 Padangsidimpuan Tenggara 2 16 18 27,69
2 Padangsidimpuan Selatan 12 - 12 15,81
3 PadangsidimpuanBatunadua 2 13 15 38,74
4 PadangsidimpuanUtara 16 - 16 14,09
5 PadangsidimpuanHutaimbaru 5 5 10 22,34
6 Padangsidimpuan AngkolaJulu - 8 8 28,18
JUMLAH 37 42 79 146,865
Sumber: BadanPusatStatistikKotaPadangsidimpuan
2.1.1.2. Letak dan Kondisi Geografis
Kota Padangsidimpuan terletak pada garis lintang 01˚28΄19΄΄ LU s/d 01˚18΄07΄΄
LS dan 99˚18΄53΄΄ BT s/d 99˚20΄35΄΄ BT dengan ketinggian 260 – 1.100 M di atas
permukaan laut, daerah ini beriklim tropis dengan suhu udara rata-rata 22,5 -
24˚C. Kota Padangsidimpuan dikelilingi oleh beberapa bukit serta dilalui oleh
beberapa sungai dan anak sungai. Sebagaimana Kabupaten/Kota lainnya, Kota
Padangsidimpuan mempunyai dua musim, yaitu musim kemarau dan musim
penghujan. Musim Kemarau biasanya terjadi pada bulan Maret sampai dengan
bulan Agustus, sedangkan musim penghujan terjadi pada bulan September
sampai dengan bulan Februari, diantara musim itu diselingi oleh musim
pancaroba.
Daerah ini di sebelah Utara berbatasan dengan Kabupaten Tapanuli Selatan
(Kecamatan Angkola Timur ), sebelah Selatan berbatasan dengan Kabupaten
Tapanuli Selatan (Kecamatan Batang Angkola, Kecamatan Angkola
Selatan),sebelah Barat berbatasan dengan Kabupaten Tapanuli Selatan
(Kecamatan Angkola Barat dan Angkola Selatan) dan disebelah Timur berbatasan
denganKabupaten TapanuliSelatan (KecamatanAngkola Timur).
2.1.1.3. Aspek Demografi
a. Jumlah Penduduk
Sesuai data dari Badan Pusat Statistik Kota Padangsidimpuan, pada tahun 2012
diperkirakan memiliki jumlah penduduk sebesar 198.809 jiwa dengan tingkat
kepadatan penduduk 1.354Jiwa/Km2. Jumlah Rumah Tangga di Kota
Padangsidimpuan adalah 45.148 Rumah Tangga dengan rata-rata jumlah anggota
rumah tangga 4,40 orang. Untuk tahun 2013, sesuai dengan data Dinas
Kependudukan dan Pencatatan Sipil Kota Padangsidimpuan jumlah penduduk adalah
sebesar252.065jiwa.
12
Tabel 2.2
Jumlah Penduduk, Jumlah Rumah Tangga, Rata-Rata Anggota Rumah Tangga
dan Kepadatan Penduduk Kota Padangsidimpuan Menurut Kecamatan
Tahun 2012
NO KECAMATAN
Jlh
Penduduk
(Jiwa)
Jlh
Rumah
Tangga
Rata-Rata
banyaknya
Anggota
Rumah Tangga
Kepadatan
Penduduk
[1] [2] [3] [4] [6] [7]
1 PadangsidimpuanTenggara 31.526 6.853 4,60 1.139
2 PadangsidimpuanSelatan 63.029 14.284 4,41 3.987
3 PadangsidimpuanBatunadua 19.660 4.558 4,31 521
4 PadangsidimpuanUtara 61.140 14.077 4,34 4.339
5 PadangsidimpuanHutaimbaru 15.713 3.610 4,35 703
6 PadangsidimpuanAngkolaJulu 7.741 1.766 4,38 275
JUMLAHTahun2012 198.809 45.148 4,40 1.354
Sumber:BadanPusatStatistikKotaPadangsidimpuan
b. Laju Pertumbuhan Penduduk
Dalam pelaksanaan pembangunan, penduduk merupakan faktor yang sangat
dominan karena penduduk tidak saja menjadi pelaku pembangunan tetapi juga
menjadi sasaran atau tujuan dari pembangunan itu sendiri. Oleh sebab itu, guna
menunjang keberhasilan pembangunan maka perkembangan penduduk perlu
diarahkan sehingga mempunyai ciri-ciri atau karakteristik yang menguntungkan
pembangunan.Pembangunan kependudukan diarahkan pada pengendalian kuantitas
penduduk, pengembangan kualitas penduduk dan pengarahan mobilitas penduduk
sebagai potensi sumber daya manusia agar menjadi kekuatan pembangunan bangsa
danketahanannasional.
Sumber:BadanPusatStatistikKotaPadangsidimpuan
Jumlah Penduduk Kota Padangsidimpuan selama periode 2008-2012cenderung
mengalami peningkatan dan hanya pada tahun 2010 terjadi penurunan dari 191.912
jiwa pada tahun 2009 menjadi 191.531 jiwa pada tahun 2010 dan hal ini disebabkan
13
karena pada tahun tersebut Badan Pusat Statistik melaksanakan sensus penduduk
sehingga diperoleh angka yang riil dan bukan angka perkiraan seperti tahun-tahun
sebelumnya. Pada tahun 2011 dan 2012 jumlah penduduk Kota Padangsidimpuan
terus mengalami peningkatan dimana pada tahun 2011 sebanyak 193.322 jiwa
bertambah menjadi 198.809 jiwa pada tahun 2012. Untuk laju pertumbuhan
penduduk, selama periode 2008-2010cenderung mengalami penurunan dan hal ini
dapat terlihat melalui trend laju pertumbuhan penduduk di atas. Pada tahun 2008 laju
pertumbuhan penduduk sebesar 1,82% pertahun, namun pada tahun 2009menurun
menjadi 1,81% pertahun, dan menurun lagi menjadi menjadi-0,20% pada tahun 2010.
Pada tahun 2011 sampai dengan tahun 2012 laju pertumbuhan penduduk cenderung
mengalami peningkatandimana pada tahun 2011 meningkat menjadi 0.94%pertahun
dan pada tahun 2012 meningkat lagi menjadi 2,84% pertahun. Adapun faktor alami
yang dapat mempengaruhi peningkatan laju pertambahan penduduk Kota
Padangsidimpuan adalah tingkat kelahiran, tingkat kematian dan arus
urbanisasi.Adapun upaya-upaya yangdilakukan untukpengendaliantingkat kelahiran
adalah melalui program Keluarga Berencana (KB), dan peningkatan derajat pendidikan
dan kesehatan masyarakat, terutama pembangunan sosial ekonomi secara
menyeluruh.
c. Sebaran Penduduk
Penyebaran penduduk terbesar masih terkonsentrasi pada pusat perkotaan yaitu di
Kecamatan Padangsidimpuan Selatan, distribusi penduduk terbesar tahun 2012
tercatat pada Kec. Padangsidimpuan Selatan (32%),Kec. Padangsidimpuan Utara(31%)
dan Kec. Padangsidimpuan Tenggara (16%) dari total penduduk Kota
Padangsidimpuan.
Tabel 2.3
Jumlah Penduduk, Kepadatan, dan Distribusi Penduduk
Kota Padangsidimpuan Menurut Kecamatan
NO KECAMATAN
Luas
Wilayah
Jumlah
Penduduk
Kepadatan
Penduduk
Distribusi
Penduduk
(KM2) (Jiwa) (Jiwa/KM2) (%)
[1] [2] [3] [4] [5] [6]
1 PadangsidimpuanTenggara 27,69 31.526 1.139 16
2 PadangsidimpuanSelatan 15,81 63.029 3.987 32
3 PadangsidimpuanBatunadua 38,74 19.660 521 10
4 PadangsidimpuanUtara 14,09 61.140 4.339 31
5 PadangsidimpuanHutaimbaru 22,34 15.713 703 8
6 PadangsidimpuanAngkolaJulu 28,19 7.741 275 4
PADANGSIDIMPUAN 146,86 198.809 1.354 100
Sumber:BadanPusatStatistikKotaPadangsidimpuan
14
2.1.2. Aspek Kesejahteraan Masyarakat
2.1.2.1. Fokus Kesejahteraan dan Pemerataan Ekonomi
Aspek kesejahteraan masyarakat berdasarkan fokus kesejahteraan antara lain
dapat dilihat dari angka pertumbuhan Product Domestic Regional Bruto (PDRB),
Inflasi, PDRB perkapita, disparitas pendapatan masyarakat dan persentase
penduduk yang berada diatas garis kemiskinan. Secara umum dapat diungkapkan
sebagaiberikut:
a. Product Domestic Regional Bruto Atas Dasar Harga (PDRB ADH) Berlaku
Besaran PDRBsering digunakan sebagai indikator untuk menilai kinerja perekonomian
suatu daerah, terutama yang dikaitkan dengan kemampuan suatu daerah dalam
mengelola sumber daya yang dimilikinya. Besaran nilai PDRB ini secara nyata mampu
memberikan gambaran mengenai nilai tambah bruto yang dihasilkan unit-unit
produksi pada suatu daerah dalam periode tertentu. Di samping itu, perkembangan
besaran nilai PDRB merupakan salah satu indikator yang dapat dijadikan ukuran
untuk menilai keberhasilan pembangunan daerah atau dengan kata lain
pertumbuhan ekonomi suatu daerah dapat tercermin melalui pertumbuhan nilai
PDRB.
Sumber:BadanPusatStatistikKotaPadangsidimpuan
Tabel 2.4
PDRB ADH Berlaku Kota Padangsidimpuan
Menurut Lapangan Usaha
Tahun 2008 – 2012
NO LapanganUsaha/Sektor 2008 2009 2010r) 2011r) 2012*)
1 Pertanian 281.705,96 305.882,97 339.218,12 364.438,90 406.579,26
2
PertambanganDan
Penggalian
5.477,46 6.329,45 7.257,95 7.892,75 8.699,21
15
NO LapanganUsaha/Sektor 2008 2009 2010r) 2011r) 2012*)
3 IndustriPengolahan 208.257,28 225.558,22 247.368,52 271.400,82 302.331,39
4 Listrik,Gas,DanAirBersih 11.994,52 12.476,89 13.266,68 14.110,17 15.010,23
5 Bangunan 84.710,73 94.685,80 105.907,04 118.406,66 133.780,95
6
Perdagangan,Hotel&
Restoran
409.136,81 438.648,43 478.787,35 525.964,20 582.684,20
7
PengangkutanDan
Komunikasi
230.194,89 239.127,31 256.335,40 274.525,59 305.650,93
8
Keuangan,Persew.&Jasa
Perush.
199.652,19 221.827,67 248.706,28 281.445,07 319.891,19
9 Jasa-Jasa 313.129,52 355.502,22 403.143,38 445.858,97 487.216,79
PRODUCTDOMESTICREGIONAL
BRUTO
1.744.259,36 1.900.038,96 2.099.990,72 2.304.043,13 2.561.844,14
r)=AngkaPerbaikan
*)=AngkaSementara
Sumber:BadanPusatStatistikKotaPadangsidimpuan
PDRB Kota Padangsidimpuan menunjukkan bahwa perkembangan ekonomi Kota
Padangsidimpuan selama periode 2008 - 2012 ditandai oleh peningkatan PDRB atas
dasar harga berlaku dari tahun ke tahun.Dimulai dari tahun 2008sebesar 1,74 trilyun
rupiah kemudian menjadi 1,9 trilyun rupiah pada tahun 2009 dan 2,10 trilyun rupiah
pada tahun 2010, tahun 2011 ini menjadi 2,30 trilyun rupiah, serta tahun 2012
sebesar 2,56 trilyun rupiah.Sehingga dapat dikatakan bahwa perekonomian Kota
Padangsidimpuan secara keseluruhan digerakkan oleh seluruh kelompok sektor
ekonomi yaitu sektor primer, sekunder dan tersier secara simultan. Sektor tersier dan
sekunder memberikan kontribusi terbesar terhadap PDRBKota Padangsidimpuan.
b. Laju Inflasi
Salah satu faktor makro ekonomi yang berada di luar kemampuan Pemerintah adalah
menyangkut tingkat kestabilan harga-harga atau inflasi.Tingkat inflasi di Kota
Padangsidimpuanselama periode2008- 2012mengalamifluktuasi(turun naik).
Sumber:BadanPusatStatistikKotaPadangsidimpuan
Perkembangan inflasi di Kota Padangsidimpuan selama periode tahun 2008—2012
mengalami fluktasi naik turun karena dipengaruhi berbagai faktor, baik yang bersifat
16
ekonomi maupun non ekonomi, mekanisme pasar dan kebijakan Pemerintah Pusat.
Tingkat inflasi pada tahun tahun 2008 adalah sebesar 12,34%, kemudian menurun
secara drastis pada tahun 2009 menjadi 1,87%, pada tahun 2010 terjadi peningkatan
lagi menjadi 7,42% dan pada tahun 2011kembali turun menjadi 4,66 dan pada tahun
2012 menurun lagi menjadi 3,54%. Inflasi tertinggi terjadi tahun 2008 mencapai
12,34%.
c. Pertumbuhan Ekonomi
Pertumbuhan ekonomi merupakan salah satu indikator yang digunakan untuk
menilai tingkat keberhasilan pembangunan yang dilaksanakan suatu daerah
khususnya dalam bidang ekonomi.Pertumbuhan tersebutmerupakanrangkuman laju
pertumbuhan dari berbagai sektor ekonomi yang menggambarkan tingkat perubahan
ekonomiyangterjadi.
Grafik2.3
LajuPertumbuhanEkonomi KotaPadangsidimpuan
Tahun2008–2012
Sumber:BadanPusatStatistikKotaPadangsidimpuan
Selama periode 2008 - 2012, pertumbuhan ekonomi Kota Padangsidimpuan
menunjukkan trend yang cenderung meningkat atau pertumbuhan kearah positif.Hal
ini terlihat dari laju pertumbuhan ekonomi selama periode tersebut yang tumbuh di
atas rata-rata 5% per tahun yaitu sebesar 5,97%. Pertumbuhan ekonomi tertinggi
terjadi pada tahun 2012 sebesar 6,23% dan terendah terjadi pada tahun 2010 sebesar
5,81%. Selama kurun waktu lima tahun terakhir ini, yaitu 2008 – 2012, pertumbuhan
ekonomi Kota Padangsidimpuan mengalami perkembangan yang baik dan tren yang
cenderung positif dimana setelah pada tahun 2010 pertumbuhan ekonomi Kota
Padangsidimpuan sedikit menurun menjadi 5,81% dari 5,83 pada tahun2009, namun
padatahun2011hingga tahun2012terusmengalamipeningkatan.
6,09
5,83 5,81
5,88
6,23
5,6
5,7
5,8
5,9
6
6,1
6,2
6,3
2008 2009 2010 2011 2012
TingkatPertumbuhan
(Persen)
TAHUN
Trend Laju Pertumbuhan Ekonomi Kota Padangsidimpuan
Tahun 2008 - 2012
(Persen)
17
Adanya pertumbuhan ekonomi kearah positif di wilayah Kota Padangsidimpuan
mengindikasikan adanya peningkatan kegiatan perekonomian di Kota
Padangsidimpuan selama kurun waktu tahun 2008 – 2012, dan sebagai kota yang
sedangmembangunkondisi tersebut yangsangat diharapkan.
Tabel 2.5
Laju Pertumbuhan Riil Product Domestic Regional Bruto
Menurut Lapangan Usaha
Tahun 2009– 2012
NO Lapangan Usaha/Sektor 2009 2010r) 2011r) 2012*)
1 Pertanian 4,07 5,03 4,37 4,63
2 PertambanganDanPenggalian 2,30 1,90 2,19 3,10
3 IndustriPengolahan 3,97 1,83 2,31 3,35
4 Listrik,Gas,DanAirBersih 2,53 3,47 3,50 3,52
5 Bangunan 9,08 9,19 8,73 9,72
6 Perdagangan,Hotel&Restoran 4,34 4,25 4,15 4,66
7 PengangkutanDanKomunikasi 7,22 4,84 4,50 6,89
8 Keuangan,Persew.&JasaPerush. 9,93 10,14 11,27 11,62
9 Jasa-Jasa 6,16 7,46 7,35 5,76
PRODUCTDOMESTICREGIONAL
BRUTO
5,83 5,81 5,88 6,23
Sumber:BadanPusatStatistikKotaPadangsidimpuan
Sumber:BadanPusatStatistikKotaPadangsidimpuan
Dari Trend di atas dapat dilihat bahwasebagian besar sektor - sektor ekonomi
mengalami peningkatan pada tahun 2012, dimana dari 9 sektor ekonomi terdapat
delapan sektor ekonomi yang mengalami peningkatan pertumbuhan dan hanya satu
sektor yang mengalami penurunan yaitu sektorJasa-jasa yang mana pada tahun 2011
sebesar7,35% turun menjadi5,76%pada tahun 2012.
Sektor-sektor yang mengalami pertumbuhan cukup besar yaitu diatas rata rata
pertumbuhan secara umum pada tahun 2012terdapat 3 (tiga) sektor yaitu sektor
18
keuangan persewaan dan jasa perusahaan sebesar 11,62%, sektor bangunan sebesar
9,72%, dan sektor pengangkutan & komunikasi sebesar 6,89%. Sedangkan sektor-
sektor yang mengalami pertumbuhan dibawah rata-rata pertumbuhan secara umum
yaitu sektor jasa-jasa sebesar 5,76%,sektor pertanian sebesar 3,98%,sektor
perdagangan, hotel, dan restoran sebesar 4,66 %, sektor listrik gas dan air bersih
sebesar 3,52%, sektor industri pengolahan sebesar 3,35%, dan yang terendah yaitu
sektorpertambangandan penggaliansebesar 3,10%.
Selama kurun waktu lima tahun ini, fluktuasi perubahan besarnya peranan sektor
ekonomi untuk tiap sektor ekonomi masih relatif kecil. Perubahan tersebut tidak
merubahstrukturperekonomiandiPadangsidimpuan.
d. PDRB Per Kapita
PDRB per kapita merupakan gambaran rata-rata pendapatan yang diterima oleh setiap
penduduk sebagai keikutsertaannya dalam proses produksi selama satu tahun.
Indikator ini dapat digunakan sebagai salah satu parameter untuk melihat tingkat
kesejahteraan masyarakat walaupun parameter ini belum sepenuhnya dapat
digunakansebagai ukuran tingkatkesejahteraandisuatudaerah.
Tabel 2.6
PDRB Perkapita Kota Padangsidimpuan
Tahun 2008 – 2012 (Rupiah)
NO URAIAN 2008r) 2009r) 2010r) 2011r) 2012*)
1 PDRBperKapita(Rp.) 9.775.497 10.261.473 10.964.234 11.918.163 12.885.957
2
PertumbuhanPDRB
Perkapita(%)
11,17 4,97 6,85 8,70 8,12
Sumber:BadanPusatStatistikKotaPadangsidimpuan
Sumber:BadanPusatStatistikKotaPadangsidimpuan
Selama kurun waktu 2008-2012 ini, PDRB Perkapita atas dasar harga berlaku
maupun PDRB atas dasar harga konstan 2000 Kota Padangsidimpuan selalu
mengalami peningkatan. Pada tahun 2008PDRB per kapita atas dasar harga berlaku
19
hanya sebesar 9,78 juta rupiah per kapita atau 814 ribu rupiah per bulan tiap orang,
meningkat menjadi 12,89 juta rupiah per kapita atau 1,073 juta rupiah per bulan tiap
orang pada tahun 2012. Jadi, PDRB per kapita atas dasar harga berlaku pada kurun
waktu lima tahun ini (2008-2012) telah mengalami pertumbuhan rata-rata per tahun
sebesar7,96%.
Peningkatan PDRB per kapita pada kurun waktu lima tahun tersebut mengalami
pertumbuhan rata-rata sebesar 2,76% per tahun atau tumbuh sebesar 11,98 %
selama kurun waktu lima tahun (2007-2011), yaitu dari 4,58 juta rupiah per kapita
atau 382 ribu rupiah per bulan tiap orang pada tahun 2007 menjadi 5,13 juta rupiah
per kapita atau 728 ribu rupiah per bulan tiap orang pada tahun 2011. Berarti, selama
kurun waktu lima tahun ini, menurut perkiraan kasar, sudah ada perbaikan taraf
hidup masyarakat Kota Padangsidimpuan yang ditunjukkan dengan meningkatnya
PDRBperkapita atasdasarkonstan 2000tersebut.
e. Persentase Penduduk Miskin
Kemiskinan sering dianggap sebagai musuh utama pembangunan dan kemiskinan ini
terjadi salah satunya disebabkan tingkat pengangguran terbuka yang tinggi di tengah
masyarakat.Penanganan masalah ini diupayakan oleh pemerintah dengan
menyalurkan berbagai bantuan dan subsidi serta membuka lapangan kerja dengan
meningkatkan inisiatif dan kreatifitas masyarakat di samping memperluas kesempatan
investasilangsungbagi semuapihak.
Sumber:BadanPusatStatistikKotaPadangsidimpuan
Berdasarkan trend persentase penduduk miskin Kota Padangsidimpuan di atas
selama periode 2008 - 2012, diketahui secara umum upaya menurunkan angka
kemiskinan, terutama yang disebabkan oleh dampak krisis ekonomi pada dasarnya
telah menunjukkan hasil, walaupun masih bersifat fluktuatif.
11,61
9,77 10,53 10,53 9,5
0
2
4
6
8
10
12
14
2008 2009 2010 2011 2012
(Persen)
Persentase Tingkat Kemiskinan di Kota Padangsidimpuan
Tahun 2008 – 2012
20
Hal itu dapat diketahui dari persentase jumlah penduduk miskin Kota
Padangsidimpuan yang pada tahun 2008 sebesar 11,61% dari 188.499 jiwa menurun
menjadi 9,77%dari 191.912jiwa pada tahun 2009, mengalami kenaikan menjadi
10,53% dari 191.531 jiwa pada tahun 2010 dan pada tahun 2011 persentasenya tetap
sebesar 10,53% dengan penduduk sebesar 193.322 jiwa. Pada tahun 2012 persentase
ini menurun menjadi 9,50% dari 198.809 jiwa. Besarnya jumlah penduduk miskin
pada tahun 2008 disebabkan kenaikan BBM, juga disebabkan kriteria-kriteria yang
digunakanuntukmemperkirakanjumlah pendudukmiskin.
2.1.2.2. Fokus Kesejahteraan Sosial
1. Pendidikan
a. Angka Melek Huruf
Dari total penduduk Kota Padangsidimpuan yang berusia 15 tahun ke atas
dibandingkan jumlah penduduk yang masih buta aksara pada tahun 2009
sampai dengan tahun 2013 angka melek huruf terus mengalami peningkatan.
Dari angka 99,56% pada tahun 2009 meningkat menjadi 99,67% pada tahun
2010 dan pada tahun 2011 telah mencapai lebih dari 100% yaitu pada angka
102,26%. Pada tahun 2012 meningkat menjadi103,20% dan pada tahun 2013
kembalimengalami peningkatanmenjadi105,20%.
Tabel 2.7
Perkembangan Angka Melek Huruf Tahun 2009 – 2013
Kota Padangsidimpuan
NO URAIAN 2009 2010 2011 2012 2013
[1] [2] [3] [4] [5] [6] [7]
1 JumlahPendudukUsia15TahunKeatas 126.810 142.693 143.847 144.931 146.040
2 AngkaMelekHuruf 99,56% 99,67% 102,26% 103,20% 105,20%
Sumber:DinasPendidikanKotaPadangsidimpuan
b. Angka Rata-RataLamaSekolah
Capaian Angka Lama Sekolah rata-rata Kota Padangsidimpuan, mengalami
peningkatan dari sebelumnya tahun 2008, sebesar 9,80 tahun menjadi 10,10
tahun pada tahun 2009, dan meningkat menjadi 10,19 pada tahun 2010.
Melihat pola positif ini maka tidak mustahil bagi Kota Padangsidimpuan
menaikkan target rata-rata lama sekolah menjadi 12 tahun untuk beberapa
tahun ke depan.
21
c. Angka Partisipasi Sekolah (APS)
Tabel 2.8
Perkembangan Angka Partisipasi Sekolah Tahun 2009 – 2013
Menurut Kelompok Usia (Tahun)
Kota Padangsidimpuan
URAIAN 2009 2010 2011 2012 2013
[1] [2] [3] [4] [5] [6]
- 7 -12 Tahun 99,04 99,52 98,15 98,84 98,80
- 13 -15 Tahun 94,48 95,31 93,58 94,59 93,85
- 16 -18 Tahun 80,78 81,14 75,83 84,79 76,15
- 19 -24 Tahun 28,18 28,14 32,17 31,03 32,67
Sumber: -DinasPendidikanKotaPadangsidimpuan
- BadanStatistikKotaPadangsidimpuan
2. Kesehatan
CapaianIndikator utama bidang kesehatanadalah sebagaiberikut:
a. Angka Kelangsungan HidupBayi
Angka kelangsungan hidup bayi dilihat dari data kematian/1000 kelahiran.
Angka kematian bayi di Kota Padangsidimpuandari tahun2009 sampai dengan
tahun 2010mengalami trend penurunan. Pada tahun 2009 sebesar 4 bayi per
1000 kelahiran hidup.Angka ini mengalamipenurunan menjadi 3 bayi per
1000 kelahiran hidup pada tahun 2010. Angka kematian bayi ini bisa
dipertahankan pada tahun 2011tetap sebesar 3 bayi per 1000 kelahiran hidup.
Pada tahun 2012 angka kematian bayi di kota Padangsidimpuan mengalami
kenaikan yang cukup signifikan yaitu sekitar 11 bayi per 1000 kelahiran hidup.
Tingginya kenaikan angka kematian bayi ini tentunya harus menjadi perhatian
yang serius dari pemerintah kota Padangsidimpuan dalam meningkatkan
pelayanan di bidang kesehatan khususnya dalam menekan angka kematian
bayi meskipun angka ini masih di bawah target nasional yang sebesar 35 bayi
per 1000 kelahiran hidup. Pelayanan di bidang kesehatan harus lebih
ditingkatkan baik dari segipengadaan serta perbaikan sarana dan prasarana
kesehatan termasuk peningkatan kuantitas maupun kualitas tenaga
kesehatan.Melalui berbagai program pembangunan disektor kesehatan
diharapkan angka kematian bayi bisa ditekan pada tahun-tahun
mendatangterutama dalam upaya-upaya peningkatan cakupan imunisasi bayi
dancakupan persalinanoleh tenagakesehatan terlatih.
22
Sumber:DinasKesehatanDaerahKotaPadangsidimpuanTahun2013
b. Angka UsiaHarapanHidup
Angka Usia Harapan Hidup adalah rata-rata lamanya hidup yang akan dicapai
oleh penduduk. Dengan diketahuinya angka kematian pada setiap kelompok
umurpenduduk, makadapat diketahuirata-rata umurharapanhidup.
Sumber:DinasKesehatan DaerahKotaPadangsidimpuanTahun2013
Untuk umur harapan hidup Kota Padangsidimpuan selama periode 2009—2012
menunjukkan trend yang cenderung meningkat.Pada tahun 2009 sebesar 66,8
tahun meningkat menjadi 69,35 tahun pada tahun 2010, dan pada tahun
2011umur harapan hidup tetap sebesar 69,35 tahun. Untuk tahun 2012
kembali terjadi peningkatan menjadi 69,72 tahun. Makin tinggi kualitas
kesehatan masyarakatKota Padangsidimpuanmenyebabkan makin rendahnya
angka kematian danberakibatkepadameningkatnya harapanuntukhidup.
23
3. Kemiskinan
a. PersentasePenduduk Miskin
Persentasependudukmiskin di KotaPadangsidimpuan diukurdari pendapatan
perkapita/bulan. Pada Tahun2008 persentase penduduk miskin Kota
Padangsidimpuan tercatat sebesar 11,61% atau berjumlah 21.885 jiwa dengan
standargaris kemiskinan Rp. 228.382,-,pada tahun 2009 turun menjadi 9,77%
atau berjumlah 18.750 jiwa dengan standar garis kemiskinan Rp. 229.921,-,
namun pada tahun 2010 meningkat menjadi 10,53% atau berjumlah 20.168
jiwa dengan standar garis kemiskinan Rp. 250.989,-. Pada tahun 2011
persentase penduduk miskin Kota Padangsidimpuan sesuai dengan data BPS
Kota Padangsidimpuan sebesar 10,53% atau berjumlah 20.357 jiwa dengan
standar garis kemiskinan Rp. 282.565,- dan mengalami penurunan pada tahun
2012 menjadi 9,50% atau sebesar 18.877 jiwa dengan standar garis kemiskinan
Rp.318.113,-
Tabel 2.9
Jumlah Penduduk Miskin Tahun 2008 - 2012
Kota Padangsidimpuan
NO. INDIKATOR SATUAN 2008 2009 2010 2011 2012
1 JumlahPenduduk Jiwa 188.499 191.912 191.531 193.322 198.809
2 AngkaKemiskinan % 11,61 9,77 10,53 10,53 9,50
3 GarisKemiskinan Rupiah 228.382 229.921 250.989 282.565 318.113
Sumber:BadanPusatStatistikKotaPadangsidimpuan
b. KesempatanKerja(Rasio PendudukYangBekerja)
Kesempatan kerja dilihat berdasarkan rasio penduduk yang bekerja dapat
dilihatpadatabelberikut ini:
Tabel 2.10
Rasio Penduduk yang Bekerja dengan Angkatan Kerja
Tahun 2008-2012
TAHUN
AngkatanKerja
JUMLAH RASIO
BEKERJA
MENCARI
PEKERJAAN
[1] [2] [3] [4] [5]
2008 76.482 9.513 85.995 0,89
2009 74.844 8.801 83.645 0,89
2010 87.880 8.250 96.130 0,91
2011 80.830 7.806 88.636 0,91
2012 85.837 8.588 94.425 0,91
Sumber:BadanPusatStatistikKotaPadangsidimpuan
Dari Tabel diatas dapat dilihat bahwa dari dari tahun 2010 sampai dengan
tahun 2012 rasio penduduk yang bekerja dengan angkatan kerja Kota
Padangsidimpuan memiliki tren yang cenderung tetap sebesar 91%. Hal ini
24
menggambarkan bahwa dari total jumlah angkatan kerja yang ada yang
memperoleh kesempatan kerja adalah sebesar 91% sedangkan yang masih
mencarikerjaataupengangguran hanya sebesar9%.
2.1.3. Aspek Pelayanan Umum
Pencapaian kinerja pada aspek layanan umum baik dalam bentuk barang publik
maupun jasa publik yang menjadi tanggung jawab pemerintah Kota Padangsidimpuan
dalam upaya pemenuhan kebutuhan masyarakat terdiridari:
2.13.1. Fokus Layanan Urusan Wajib
Hasil capaiankinerjalayananurusan wajib pemerintahdaerah terdiridari:
2.1.3.1.1. Pendidikan
Pendidikan merupakan hak dasar setiap penduduk dan pemenuhan atas hak ini
menjadi kewajiban pemerintah. Tantangan yang dihadapi dalam pengembangan
pendidikan adalah relatif besarnya disparitas ketersediaan sarana pendidikan. Di
satu pihak, di wilayah perkotaan umumnya memiliki sekolah yang berkualitas
dengan biaya pendidikan yang relatif mahal dan dikelola secara mandiri.
Dipihak lain, beberapa daerah masih terfokus pada peningkatan cakupan, atau
masih berkutat padapeningkatankualitas.
a. Angka Partisipasi Sekolah (APS)
Secara umum dari data APS pada jenjang Pendidikan Dasar 9 tahun (SD dan
SLTP) yang diperoleh dari Dinas Pendidikan Kota Padangsidimpuan tahun 2013
terungkap bahwa APS siswa SD/MI sebesar 98,80%, APS siswa SLTP
(SMP/MTs) sebesar 93,85%, APS siswa SLTA (SMA/MA) sebesar 76,15% dan
APS Perguruan Tinggi (D-3/S-1) sebesar 32,67%, yang berarti terjadi penurunan
APS dari jenjang sekolah dasar hingga ke sekolah lanjutan atas. Terjadinya
penurunan APS ini perlu untuk dicermati dalam rangka mendukung
pencapaian misi Wajib Belajar 12 tahun (siswa dapat menamatkan jenjang
pendidikandarimulaiSD sampai SLTA).
Tabel 2.11
Perkembangan Angka Partisipasi Sekolah Tahun 2009 – 2013
Menurut Kelompok Usia (Tahun)
Kota Padangsidimpuan
URAIAN 2009 2010 2011 2012 2013
[1] [2] [3] [4] [5] [6]
- 7 -12 Tahun 99,04 99,52 98,15 98,84 98,80
- 13 -15 Tahun 94,48 95,31 93,58 94,59 93,85
- 16 -18 Tahun 80,78 81,14 75,83 84,79 76,15
- 19 -24 Tahun 29,87 28,14 32,17 31,03 32,67
Sumber:DinasPendidikan DaerahKotaPadangsidimpuan
25
b. Ratio KetersediaanSekolah dan RuangKelaspada berbagaijenjangpendidikan.
Tabel 2.12
Ratio Ketersediaan Sekolah dan Ruang Kelas
Pada berbagai jenjang pendidikan tahun 2009-2013
NO JENJANGSEKOLAH
TAHUN
2009 2010 2011 2012 2013
A. JumlahGedungSekolah
1 SD 94 94 94 94 94
2 SMP 25 25 24 24 24
3 SMA 18 18 18 18 18
4 SMK 14 15 16 16 16
B. JumlahRuangKelas
1 SD 677 678 681 727 715
2 SMP 615 615 615 332 349
3 SMA 231 238 244 220 218
4 SMK 258 261 268 257 246
C. RatioKelas/Sekolah
1 SD 7,20 7,21 7,24 7,73 7,61
2 SMP 24,60 24,60 25,63 13,83 14,54
3 SMA 12,83 13,22 13,56 12,22 12,11
3 SMK 18,43 17,40 16,75 16,10 15,38
Sumber:DinasPendidikan DaerahKotaPadangsidimpuan
c. Jumlah Guru dan murid dan Rasio Guru/Murid pada berbagai Jenjang
Pendidikan
Tabel 2.13
Jumlah Guru dan Murid Menurut Jenjang Pendidikan
Tahun 2009-2013Kota Padangsidimpuan
NO JENJANGPENDIDIKAN 2009 2010 2011 2012 2013
1. SD
1.1. JumlahGuru 1.476 1.488 1.568 1.768 1.839
1.2. JumlahMurid 26.886 26.878 26.899 26.926 26.464
1.3. Rasio 18,22 18,06 17,15 15,22 14,39
2. SMP
2.1. JumlahGuru 911 921 930 932 974
2.2. JumlahMurid 10.811 10.821 10.767 10.616 11.163
2.3. Rasio 11,87 11,75 11,58 11,39 11,46
3. SMA
3.1. JumlahGuru 682 689 695 669 741
3.2. JumlahMurid 7.978 7.998 8.008 7.484 7.436
3.3. Rasio 11,70 11,61 11,52 11,19 10,03
4. SMK
4.1. JumlahGuru 588 598 622 619 659
4.2. JumlahMurid 8.020 8.121 8.229 8.749 8.370
4.3. Rasio 13,64 13,58 13,23 14,13 12,70
Sumber: DinasPendidikanDaerahKotaPadangsidimpuan
Dari data diatas terlihat bahwa perkembangan Rasio Siswa/Guru menurut
jenjang pendidikan Kota Padangsidimpuan pada tahun 2013 tidak mengalami
perubahan yang signifikan dan memilki tren yang cukup bagus dimana hampir
seluruh jenjang pendidikan mengalami penurunan dan hanya pada jenjang
SMP yang naik dan rasio ini juga masih sangat ideal jika ditinjau dari Peraturan
Pemerintah No. 74 Tahun 2008 pasal 17 dan Permendiknas tahun 2007 nomor
26
41 dimana untuk jenjang pendidikan SMP Rasio Siswa/Guru adalah 1 orang
guru untuk minimal 20 siswa dan maksimal 32 siswa.Dari tabel diatas dapat
dilihat bahwa rasio Siswa/Guru di Kota Padangsidimpuan diseluruh jenjang
pendidikan sudah sangat ideal, namun rasio ini belum sepenuhnya
menggambarkan keadaan yang sebenarnya karena terbentur masalah
penempatangurudisekolah-sekolahyang belum merata.
d. Rasio Pendidikan
Dilihat dari perbandingan jumlah siswa terhadap sekolah, perbandingan siswa
terhadap jumlah kelas, perbandingan siswa terhadap jumlah guru,
perbandingan jumlah kelas terhadap jumlah sekolah, perbandingan jumlah
kelas terhadap guru dan perbandingan jumlah guru terhadap sekolah pada
berbagai jenjangpendidikan di Kota Padangsidimpuan dapat dilihat pada tabel
dibawahini:
Tabel 2.14
Ratio Jenjang Pendidikan/Ratio Pendidikan
Tahun 2009-2013
NO
JENJANGPENDIDIKAN/
RASIOPENDIDIKAN
TAHUN
2009 2010 2011 2012 2013
1. SD
Siswa/Sekolah 286 286 286 286 282
Siswa/Kelas 40 40 40 37 37
Siswa/Guru 18 18 17 15 14
Kelas/Sekolah 7,20 7,21 7,24 7,73 7,61
Kelas/Guru 2 2 2 2 2
Guru/Sekolah 15 15 15 19 20
2. SMP
Siswa/Sekolah 432 432 448 442 465
Siswa/Kelas 35 35 32 32 32
Siswa/Guru 12 12 12 11 11
Kelas/Sekolah 24,60 24,60 25,63 11,39 11,46
Kelas/Guru 2 2 2 3 3
Guru/Sekolah 35 35 33 39 39
3. SMA
Siswa/Sekolah 442 442 445 416 413
Siswa/Kelas 34 34 35 34 34
Siswa/Guru 12 12 12 11 10
Kelas/Sekolah 12,83 13,22 13,56 11,19 10,03
Kelas/Guru 2 2 2 3 3
Guru/Sekolah 38 38 38 37 41
4. SMK
Siswa/Sekolah 579 579 514 547 523
Siswa/Kelas 32 32 30 34 34
Siswa/Guru 14 14 13 14 13
Kelas/Sekolah 18,43 17,40 16,75 14,13 12,7
Kelas/Guru 2 2 2 2 3
Guru/Sekolah 31 31 30 38 41
Sumber:DinasPendidikan DaerahKota Padangsidimpuan
Dari data diatas terlihat bahwa Ratio Siswa/Guru di Kota Padangsidimpuan
sudah cukup ideal antara 11-14 orang siswa untuk setiap orang guru.Dengan
tercapainya ratio ideal ini diharapkan dapat lebih meningkatkan mutu
27
pendidikan di Kota Padangsidimpuan yang dalam hal ini tentunya harus
dibarengidenganpemerataan guruditiap-tiap sekolah.
f. Angka Putus Sekolah
Perkembangan Angka Putus Sekolah pada berbagai jenjang pendidikan dapat
dilihatpadatabeldibawah ini:
Tabel 2.15
Perkembangan Angka Putus Sekolah pada berbagai
jenjang pendidikan dasar
No
JENJANG
PENDIDIKAN
TAHUN
2009 2010 2011 2012 2013
Jlh % Jlh % Jlh % Jlh % Jlh %
1 SD 0 0 0 0 0 0 0 94,44 0 94,69
2 SMP 0 0 0 0 0 0 0 88,08 0 88,33
3 SMA 0 0 0 0 0 0 0 0,07 0 0,68
4 SMK 0 0 0 0 0 0 0 0,07 0 0,68
Sumber: DinasPendidikanDaerahKotaPadangsidimpuan
g. Angka Kelulusan
PerkembanganAngka Kelulusan
Tabel 2.16
Perkembangan Angka Kelulusan Pada Berbagai Jenjang
Pendidikan Dasar
NO
JENJANG
PENDIDIKAN
2009 2010 2011 2012 2013
1 SD 4.643 4.658 4.664 4.504 4.604
2 SMP 3.612 3.643 3.676 3.315 3.540
3 SMA 2.428 2.439 2.442 2.605 2.570
4 SMK 1.189 1.193 1.201 2.636 2.905
Sumber: DinasPendidikanDaerahKotaPadangsidimpuan
Dari tabel diatas terlihat adanya peningkatan jumlah kelulusan siswa pada
berbagai tingkatan selama tahun 2009-2013, hal ini menunjukkan adanya
peningkatan prestasi peserta didik dalam menjalani pendidikannya
disekolah.Halini perlu terusditingkatkanuntukmasa- masayangakandatang.
h. Kualifikasi Guru
Tabel 2.17
Jumlah Guru Menurut Ijazah Tertinggi
NO
JENJANG
PENDIDIKAN
GURUSEKOLAH
TAHUN
2009 2010 2011 2012 2013
S-1 S-2 S-1 S-2 S-1 S-2 S-1 S-2 S-1 S-2
1 SD 412 0 423 0 455 0 475 4 475 4
2 SMP 556 12 580 14 592 15 863 21 863 21
3 SMA 598 3 618 4 624 6 525 1 525 1
4 SMK 458 3 466 3 471 5 294 3 294 3
JUMLAH 2.024 18 2.087 21 2.142 26 2.157 29 2.157 29
Sumber : Dinas PendidikanDaerahKotaPadangsidimpuan
28
Pemerintah Kota Padangsidimpuan secara terus menerus berusaha untuk
meningkatkan kualitas guru melalui program sertifikasi dan pemberian beasiswa
untuk peningkatan jenjang pendidikan guru dari S0 ke S1 dan dari S1 ke jenjang
S2.
2.1.3.1.2. Kesehatan
Pada bidang kesehatan capaian yang telah diperoleh sampai dengan tahun 2013,
dapat dilihatpadatabeldibawahini:
Tabel 2.18
Capaian Indikator Bidang Kesehatan
Sampai Dengan Tahun 2013
NO INDIKATOR CAPAIAN
1. Rasioposyandupersatuanbalita 6,89
2. Rasiopuskesmas,poliklinik,pustupersatuanpenduduk 0,18
3. RasioRumahSakitpersatuanpenduduk 0,015
5. Rasiodokterper100.000penduduk 59,93
6. Rasiotenagamedisper100.000penduduk 100,52
7. Cakupankomplikasikebidananyangditangani 17
8. Cakupanpertolonganpersalinanolehtenagakesehatanyang
memilikikompetensikebidanan
83
9. CakupanDesa/kelurahanUniversalChildImmunization(UCI) 26,6
10. CakupanBalitaGiziBurukmendapatperawatan 100
11. CakupanpenemuandanpenangananpenderitapenyakitTBCBTA 110
12. CakupanpenemuandanpenangananpenderitapenyakitDBD 100
13. Cakupankunjunganbayi 84
14. CakupanPuskesmas 150
15. Cakupanpembantupuskesmas/jumlahpenduduk 35,4
Sumber:DinasKesehatan DaerahKotaPadangsidimpuan
2.1.3.1.3. Pekerjaan Umum
Beberapa capaian indikator bidang Pekerjaan Umum sampai dengan tahun 2010
adalahsebagai berikut:
- Proporsi Jaringan jalandalam kondisibaikadalah 52,01%(276,835km)
- Rasio Tempat Tempat Pembuangan Sampah per Satuan Penduduk adalah
1Lokasi
2.1.3.1.4. Perencanaan Pembangunan
Hasil capaiandibidangPerencanaan Pembangunanadalahsebagaiberikut:
- Peraturan Daerah Kota Padangsidimpuan Nomor 25 Tahun 2008 tentang
Rencana Pembangunan Jangka Panjang Daerah Kota Padangsidimpuan Tahun
2005 – 2025.
- Peraturan Daerah Kota Padangsidimpuan Nomor 26 Tahun 2008 tentang
Rencana Pembangunan Jangka Menengah Daerah Kota Padangsidimpuan
Tahun 2008 –2013.
- Peraturan Daerah Kota Padangsidimpuan Nomor 02 Tahun 2013 tentang
Rencana Pembangunan Jangka Menengah Daerah Kota Padangsidimpuan
Tahun 2013 –2017.
- Tersedianya Dokumen Perencanaan RKPD yg telah ditetapkan dengan
PeraturanKepalaDaerah.
29
2.1.3.1.5. Perhubungan
Capaian di bidang Perhubungan pada tahun 2013 antara lain adalah sebagai
berikut:
- Terminal Kota Padangsidimpuan : 3 Buah
- Angkutan Darat : - Mobil Penumpang = 1.705 Unit
- Mobil Bus = 337Unit
- Mobil Barang = 1.190 Unit
2.1.3.1.6. Keluarga Berencana dan Keluarga Sejahtera
Indikator terkait dengan keluarga berencana dilihat jumlah Kelompok Bina
Keluarga Balita(BKB)dan BinaKeluargaRemaja(BKR)pada table berikut:
Tabel 2.19
Jumlah Kelompok Bina Keluarga Balita (BKB) dan
Bina Keluarga Remaja (BKR) Kota Padangsidimpuan
Tahun 2009 – 2013
NO URAIAN 2009 2010 2011 2012 2013
1 KelompokBinaKeluarga 35 41 31 75 82
2 KelompokBinaRemaja 14 13 17 20 27
Sumber: - Badan KB, Pemberdayaan Perempuan dan Perlindungan Anak Kota
Padangsidimpuan
2.1.3.1.7. Sosial
Sarana sosial seperti panti asuhan, panti jompo dan panti rehabilitasi yang
terdapat di Kota Padangsidimpuan, yang menampung anak-anak terlantar,
gelandangan,cacatfisik,pengemisdanlanjut usia.
- PMKSygmemperolehbantuan sosal
Tabel 2.20
PMKS Yang Memperoleh Bantuan Sosial
Tahun 2013
No JENIS PMKS
JUMLAH
PENERIMA
KET
1 KeluargaMisikin(PemberianBantuanPaketSeragam
sekolahuntukanakkeluargamiskin)
300anak -
2 PenghuniPantiJompo 65Orang 2Panti
3 PenghuniPantiAnak 125Anak 1Panti
Sumber:DinasSosialdanTenagaKerjaKotaPadangsidimpuan
2.1.3.1.8. Tenaga Kerja
Tabel 2.21
Rasio Ketergantungan Tahun 2012
Kota Padangsidimpuan (%)
No URAIAN 2010 2011 2012
1. JumlahPendudukUsia≤14tahun 32,83 32,33 31,94
2. JumlahPendudukusia≥65tahun 3,15 3,17 3,12
3. JumlahPendudukUsiaTidakProduktif(1)&(2) 35,98 35,50 35,06
4. JumlahPendudukUsia15-64tahun 64,02 64,50 64,94
5. Rasioketergantungan(3)/(4) 0,56 0,55 0,54
Sumber :BadanPusatStatistik KotaPadangsidimpuan
30
Dari data di atas, terlihat adanya penurunan Rasio Ketergantungan penduduk
Kota Padangsidimpuan mulai dari tahun 2010 s.d tahun 2012, dimana pada
tahun 2010 sebesar 0,56% menjadi 0,55% pada tahun 2011. Pada tahun 2012
rasio ini kembali mengalami penurunan menjadi sebesar 0,54%. Hal ini
menunjukkan adanya perbaikan dalam struktur ketenagakerjaan di Kota
Padangsidimpuan,dimana jumlahpendudukusia produktifsemakin bertambah.
2.1.3.1.9. Koperasi dan Usaha Kecil Menengah
Pada tahun 2013 jumlah Koperasi Unit Desa (KUD) di Kota Padangsidimpuan
tercatat sebanyak 4 unit.Sedangkan jumlah koperasi menurut sektor ada
sebanyak 196 unit, dengan jumlah anggota koperasi tersebut sebanyak 8.320
orang danjumlahsimpanankoperasisebesar 94,2 jutarupiah.
2.1.3.1.10. Ketahanan Pangan
Ketersediaan bahan pangan utama (Beras, Jagung, Ubi, Kedelai dan Kacang
Hijau)
Tabel 2.22
NO JENISPANGAN
TON/TAHUN
2009 2010 2011 2012 2013
1 Padi 58.098 62.023 46.146 53.429 49.066
2 Jagung 341 477 830 1.173 1.451
3 UbiKayu 3.452 4.454 5.076 5.991 7.240
4 UbiJalar 808 672 974 949 1.633
5 Kedelai 34 13 90 34 26
6 KacangHijau 108 89 43 104 180
Sumber :- Badan Ketahanan Pangan dan Penyuluhan Pertanian Kota
Padangsidimpuan
2.1.3.1.11. Komunikasi dan Informatika
Pembangunan pos dan telekomunikasi mencakup jangkauan baik pelayanan
dan peningkatan kerjasama internasional maupun peningkatan jasa
telekomunikasi dan informasi, sehingga arus berita,informasi dan data berjalan
lancar.Berbagai usaha telah dilakukan pemerintah untuk memperlancar
pelayanan berkenaan semakin meningkat permintaan akan jasa pos. Salah satu
di antaranya dengan memperbanyak jumlah kantor pelayanan pos. Pengiriman
surat dari Kota Padangsidimpuan tahun 2013 mencapai 12.055 surat tercatat,
53.524 suratkilat, 54.713 suratwesel, 1.193 pospaket.
Lembaga Penyiaran Swasta terdapat 3 stasion radio yang terdiriRAU FM,KISS
FM,dan ROXYFM.
31
2.1.3.2. Fokus Layanan Urusan Pilihan
2.1.3.2.1. Pertanian
ProduktivitasPadiatauBahanPanganUtamaLainnya.
Tabel 2.23
NO JENISPANGAN
TON/TAHUN
2009 2010 2011 2012 2013
1 Padi 58.098 62.023 46.146 53.429 49.066
2 Jagung 341 477 830 1.173 1.451
3 UbiKayu 3.452 4.454 5.076 5.991 7.240
4 UbiJalar 808 672 974 949 1.633
5 Kedelai 34 13 90 34 26
6 KacangHijau 108 89 43 104 180
Sumber : - Badan Ketahanan Pangan dan Penyuluhan Pertanian Kota
Padangsidimpuan
2.1.3.2.2. Pariwisata
Sesuai dengan data BPS Kota Padangsidimpuan, jumlah hotel dan akomodasi
lainnya yang ada di Kota Padangsidimpuan tahun 2012 adalah 27 hotel, dengan
jumlah kamar sebanyak 663 kamar dan tempat tidur sebanyak 1.160. Untuk
jumlah hotel yang berbintang 2 hanya sebanyak 2 buah dengan kapasitas kamar
sebanyak 110 buah dan tempat tidur sebanyak 178 buah. Untuk jenis hotel melati
(non berbintang) ada 25 buah dengan kapasitas kamar sebanyak 553 buah dan
tempat tidur sebanyak 982 buah. Selain jenis tersebut, sesuai dengan data Dinas
Pemuda Olahraga, Sosial Budaya dan Pariwisata Kota Padngsidimpuan ada jenis
penginapan lain sebanyak 3 penginapan dengan jumlah kamar 35 kamar dengan
52 tempattidur.
Jumlah wisatawan yang datang ke Kota Padangsidimpuan tahun 2011 berkisar
86.607 orang, dengan rincian wisatawan asing sebanyak 1.238 orang dan
wisatawan nusantara sebanyak 85.369 orang. Untuk tahun 2012 jumlah
wisatawan yang datang ke Kota Padangsidimpuan berkisar 96.137 orang, dengan
rincian wisatawan asing sebanyak 1.238 orang dan wisatawan nusantara sebanyak
94.899 orang, sementara untuk tahun 2013 berkisar 87.498 orang, dengan rincian
wisatawan asing sebanyak 1.120 orang dan wisatawan nusantara sebanyak 86.478
orang.
2.1.3.2.3. Perdagangan
KontribusiSektor Perdagangan TerhadapPDRB.
Kontribusisektor perdagangan terhadap PDRBadalah perbandinganantarajumlah
kontribusi sektor perdagangan terhadap jumlah PDRB dalam bentuk persentase.
Nilai ini menggambarkan seberapa besar peran sektor perdagangan dalam PDRB
padatahun tertentu.Tabel berikut menjelaskan kontribusi sektor perdagangan
terhadap PDRBuntuktahun2007-2010di KotaPadangsidimpuan.
32
Tabel 2.24
Kontribusi Sektor Perdagangan Terhadap PDRB ADHK
(Product Domestic Regional Bruto Atas Dasar Harga Konstan)
Tahun 2009 s/d 2012 (%)
Lapangan Usaha/Sektor
%/Pertahun
2009 2010r) 2011r) 2012*)
Perdagangan,Hotel&Restoran 24,89 24,53 24,13 23,77
Sumber:BadanPusatStatistik KotaPadangsidimpuan
2.1.3.2.4. Perindustrian
Otonomi daerah memberi kebebasan kepada daerah untuk merencanakan dan
mengelola kegiatan ekonomi sendiri tanpa menunggu campur tangan dari
pusat.Karenanya setiap daerah harus mampu mengembangkan ekonomi sesuai
potensi yang dimilikinya.Potensi ekonomi tersebut tergambar dari kontribusi dari
setiaplapanganusahaatausektor.
Tabel 2.25
Kontribusi Sektor Industri Terhadap PDRB ADHK
(Product Domestic Regional Bruto Atas Dasar Harga Konstan)
Tahun 2007 s/d 2010 (%)
Lapangan Usaha/Sektor
%/Pertahun
2007 2008 2009r) 2010*)
IndustriPengolahan 11,23 10,81 10,44 10,16
Sumber :BadanPusat Statistik KotaPadangsidimpuanTahun2012
2.1.4. Aspek Daya Saing Daerah
Daya saing daerah dilihat capaian indikator kemampuan ekonomi daerah, fasilitas
wilayahatauinfrastruktur,iklimberinvestasidan sumber dayamanusia:
2.1.4.1.Fokus Iklim Berinvestasi
Fokus Kemampuan Daerah dapat dilihat dari pengeluaran konsumsi rumah tangga
per-kapita (persentase konsumsi RT untuk non pangan). Untuk Kota
Padangsidimpuan rata-rata pengeluaran per kapita per bulan masih didominasi oleh
pengeluaran untuk makanan54,27persen dan45,73 persenuntuknon-makanan.
Tabel 2.26
Angka Konsumsi RT perkapitaTahun 2011 - 2012
NO Uraian Satuan
TAHUN
2011 2012
TotalPengeluaranRT % 100 100
1 a.Pangan % 53,45 54,27
b.NonPangan % 46,55 45,73
2 JumlahRT 43.592 45.148
Sumber: - BadanPusat Statistik KotaPadangsidimpuan
33
Salah satu Indikator yang mendukung Iklim Berinvestasi adalah faktor keamanan
daerah(angkakriminalitas)yang dapat dijelaskan sebagaiberikut:
Tabel 2.27
Angka Kriminalitas Kota Padangsidimpuan 2009-2013
No Jenis Kriminal 2009 2010 2011 2012 2013
1 Jumlah kasus Narkoba 36 19 41 37 58
2 Jumlah kasus Pembunuhan - 1 1 3 1
3 Jumlah Kejahatan Seksual 21 20 29 29 48
4 Jumlah kasus Penganiayaan 195 214 157 166 178
5 Jumlah kasus Pencurian 132 161 187 231 272
6 Jumlah kasus Penipuan 62 92 63 50 63
7
Jumlah kasus Pemalsuan
uang
- - - - -
8 Jumlah Tindak Kriminal
Selama 1 Tahun
596 658 651 674 781
9 Jumlah Penduduk 191.912 191.531 193.332 195.150*) 196.985*)
10 Angka Kriminalitas (8)/(9) 31,06 34,35 33,67 34,54 39,65
Sumber:-KepolisianResort KotaPadangsidimpuanTahun2013
2.1.4.2.Fokus Sumber Daya Manusia
Jika dilihat dari rasio ketergantungan terlihat bahwa terjadi penurunan angka rasio
ketergantungan usia tidak produktif,yang menunjukkan semakin baiknya struktur
angkatan kerja di KotaPadangsidimpuan.
Tabel ini memperlihatkan data rasio ketergantungan penduduk di Kota
Padangsidimpuan.
Tabel 2.28
Rasio Ketergantungan Tahun 2012
Kota Padangsidimpuan (%)
No URAIAN 2010 2011 2012
1. JumlahPendudukUsia≤14tahun 32,83 32,33 31,94
2. JumlahPendudukusia≥65tahun 3,15 3,17 3,12
3. JumlahPendudukUsiaTidakProduktif(1)&(2) 35,98 35,50 35,06
4. JumlahPendudukUsia15-64tahun 64,02 64,50 64,94
5. Rasioketergantungan(3)/(4) 0,56 0,55 0,54
Sumber : BadanPusatStatistik KotaPadangsidimpuan
2.1.5. Ekonomi dan Keuangan Daerah
Secara umum gambaran hasil Analisis Ekonomi dan Keuangan Daerah dapat dilihat
padatabelberikut:
34
Tabel 2.29
Perkembangan Indikator Makro Ekonomi
Kota Padangsidimpuan
No IndikatorMakro Satuan
Realisasi Bertambah/
Berkurang2011 2012
1 2 3 4 5 6
1 PDRB(HargaBerlaku) TriliunRp 2,30 2,56 0,19
2 PDRB(HargaKonstan) TriliunRp 0,99 1,05 0,06
3 TingkatPertumbuhanEkonomi/
PDRBHargaBerlakuTahunTertentu
% 5,88 6,23 0,35
4 TingkatInflasi % 4,66 3,54 (1,12)
5 StrukturPDRBPendekatanProduksiAtauSektoral: 100,00 100,00
- Pertanian % 15,82 15,87 0,05
- Pertambangan&Penggalian % 0,34 0,34 0,00
- IndustriPengolahan % 11,78 11,80 0,02
- Listrik,GasdanAirBersih % 0,61 0,59 (0,02)
- Bangunan % 5,14 5,22 0,08
- Perdagangan,Hotel&Restoran % 22,83 22,74 (0,09)
- Pengangkutandankomunikasi % 11,91 11,93 0,02
- Keuangan,persewaan&jasaperusahaan % 12,22 12,49 0,27
- Jasa jasa % 19,35 19,02 (0,33)
6 ProduktivitasSektoralyangmerupakanRasio
antaraNilaiTambahBruto(NTB)setiapSektor
terhadapjumlahTenagaKerjadisektoryang
bersangkutan
- Pertanian % 4,37 4,63 0,26
- Pertambangan&Penggalian % 2,19 3,10 0,91
- IndustriPengolahan % 2,31 3,35 1,04
- Listrik,GasdanAirBersih % 3,50 3,52 0,02
- Bangunan % 8,73 9,72 0,99
- Perdagangan,Hotel&Restoran % 4,15 4,68 0,53
- Pengangkutandankomunikasi % 4,50 6,89 2,39
- Keuangan,persewaan&jasaperusahaan % 11,27 11,62 0,35
- Jasa jasa % 7,35 5,76 (1,59)
7 JumlahPendudukMiskin Jiwa 20.357 18.887 (1.470)
8 GarisKemiskinan Rp 282.570 318.110 35.540
9 TingkatPengangguran % 8,81 9,10 (1,94)
10 PartisipasiAngkatanKerja(TPAK) % 69,45 73,41 (7,30)
11 DisparitasPendapatanRegionalyangdilihatdari
perbedaan:
- PendapatanPerkapita RpJuta 11,92 12,89 0,97
- KemampuanInvestasi RpMilyar 128,24 96,86 (31,38)
- BesaranIPM(indeksPembangunanManusia) 75,58 76,04 0,44
- dansebagainya
12 BerbagaiMacamBesaranRasiodanPerbandingan
perbandingan
- PajakDaerahterhadapPDRB % 0,31 0,30 (0,01)
- PerbandinganPenerimaanPemerintahDaerah
(PAD,DanaPerimbangandanLain-lainPendapatan
DaerahYangSahterhadapPDRB)
% 20,75 21,11 (0,00)
Sumber:BadanPusat Statistik KotaPadangsidimpuanTahun2013
2.2. Evaluasi Pelaksanaan Program dan Kegiatan RKPD sampai Tahun 2013 dan
Realisasi RPJMD
Evaluasi pelaksanaan RKPD Tahun 2013 didasarkan pada pencapaian target yang
telah ditetapkan serta berpedoman pada Rencana Pembangunan RPJMD 2013 – 2017
35
yang merupakan penjabaran tahun pertama dari masa bhakti Walikota dan Wakil
Walikota Padangsidimpuan.
Tujuan evaluasi adalah untuk melihat Kinerja RKPD tahun lalu antara lain untuk
menilai/mengidentifikasi program dan kegiatan yang belum terealisasikan atau belum
terlaksana 100% (seratus %), untuk diusulkan lagi pada penyusunan RKPD tahun
2015. Selain itu untuk mereview RPJMD dan RKPD, dengan memperhatikan
dokumenRKPDtahun2014.
2.2.1 Evaluasi Pelaksanaan Program dan Kegiatan RKPD sampai Tahun 2013
Keberhasilan kinerja pelaksanaan pembangunan daerah salah satunya dapat dilihat
dari capaian Indikator makro pembangunan, baik indikator makro pembangunan
sosial, maupun indikator makro pembangunan ekonomi. Salah satu indikator makro
pembangunan sosial yang dapat dijadikan ukuran dalam melihat gambaran
keberhasilanpelaksanaan pembangunanyaituIndeksPembangunanManusia(IPM).
Pembangunan manusia merupakan paradigma pembangunan yang menempatkan
manusia sebagai fokus dan sasaran akhir dari seluruh kegiatan pembangunan,
yaitu: meningkatnya derajat pendidikan, meningkatnya derajat kesehatan masyarakat
dantercapainyakehidupanyang layak.
Selanjutnya, salah satu indikator makro pembangunan ekonomi yang dapat dijadikan
ukuran dalam melihat gambaran keberhasilan pelaksanaan pembangunan,
khususnya kemampuan suatu daerah dalam menghasilkan pendapatan yaitu: PDRB,
Laju Pertumbuhan Ekonomi (atas dasar harga Konstan), Pendapatan per Kapita dan
TingkatInflasi.
2.2.2. Penelaahan terhadap RPJMN dan RKPD Kota Padangsidimpuan
Identifikasi permasalahan terkait dengan Penyelenggaraan Urusan Pemerintahan
Daerah, dapat disimpulkan berdasarkan bidang urusan dan indikator kinerja
penyelenggaraanpemerintahdaerah,sebagaimana diuraikanpada tabeldibawahini:
Tabel 2.30
Identifikasi Kebijakan Nasional dan Provinsi Sumatera Utara
Pemerintah Kota Padangsidimpuan
No KETERKAITANISUDANMASALAHMENDESAK
NASIONAL
PROVINSI
SUMATERAUTARA
KOTA
PADANGSIDIMPUAN
1 2 3 4
1. ReformasiBirokrasidanTata
kelola
Peningkatankualitas
kehidupanberagama, tata
pemerintahanyangbaikdan
partisipasimasyarakat
dalampembangunan
Optimalisasi reformasi
birokrasi
2. Pendidikan PeningkatanAksesibilitas
danKualitasPendidikan
TerutamaProgramWajib
Belajar12 Tahun.
Peningkatan kualitas
pendidikan
36
3. Kesehatan PeningkatanAksesibilitas
danPelayananKesehatan
terutamapenurunanangka
kematianbayidanibu
melahirkan.
Peningkatankualitas
kesehatanmasyarakat
4. PenanggulanganKemiskinan Perluasankesempatankerja
danpeningkatan
kesejahteraanrakyatmiskin
Pengentasankemiskinan
danperluasan
kesempatankerja
5. KetahananPangan Peningkatanproduksi,
produktivitasdandayasaing
produk pertanian,kelautan
danperikanan
Penguatanketahanan
pangan
6. Infrastruktur Peningkataninfrastruktur
danpengembanganwilayah
untuk mendukungdaya
saingperekonomian
Pembenahan
infrastrukturdaerah
terutamajalan,terminal,
danpusatperdagangan
(pasar)
7. IklimInvestasidanIklimUsaha Peningkatandan
perbaikanikliminvestasi
8. Perekonomian PeningkatanEkonomi
kerakyatan
Peningkatankemampuan
ekonomidaerah
9. Kebudayaan,kreativitas,dan
inovasi teknologi
Peningkatanpenguasaan
ilmupengetahuandan
penerapan teknologi
Peningkatandayasaing
daerah
2.3. Isu Strategis dan Masalah Mendesak
Beberapa isu strategis dan masalah mendesak sebagaimana termuat didalam RPJMD
Kota Padangsidimpuan yang harus menjadi perhatian utama selama 5 (lima) tahun
pelaksanaan RPJMD diantaranyasebagaimanaberikut ini.
2.3.1 Peningkatan Kualitas Kesehatan Masyarakat
Peningkatan kualitas pembangunan kesehatan merupakan salah satu
pilar utama dalam mewujudkan kesejahteraan masyarakat. Pelaksanaan
pembangunan kesehatan dilakukan melalui peningkatan kualitas
kelembagaan, sumber daya manusia, dan tata kelola meliputi:
peningkatan kualitas prasarana sarana kesehatan, kualitas tenaga medis
dan paramedis, perbaikan sistem pelayanan dengan memperhatikan
keterjangkauan dan ketersediaan pelayanan untuk seluruh masyarakat
Kota Padangsidimpuan termasuk masyarakat miskin dan kelompok
masyarakat berkebutuhan khusus.
Mengingat keadaan kemampuan Kota Padangsidimpuan terutama dari
aspek sosial ekonomi, maka perlu dibangun sinergitas antara
pemerintah, dunia usaha, dan masyarakat dalam penyediaan pelayanan
37
kesehatan yang berkualitas bagi seluruh masyarakat Kota
Padangsidimpuan.
2.3.2 Peningkatan Kualitas Pendidikan
Pembangunan sektor pendidikan mempunyai peran penting dalam
peningkatan kesejahteraan masyarakat. Untuk mewujudkan hal ini,
dilakukan melalui peningkatan kelembagaan sumber daya manusia dan
tata laksana yang meliputi penyediaan prasarana dan sarana,
peningkatan kualitas tenaga pendidik, pengelolaan sistem pendidikan
yang berkualitas dan pembiayaan pendidikan. Dalam pelaksanaannya,
diperlukan pertimbangan kebutuhan pasar tenaga kerja.
Mengingat pentingnya pengembangan kualitas pendidikan, maka perlu
dibangun sinergitas antara pemerintah, dunia usaha, dan masyarakat
guna terselenggaranya pelayanan pendidikan yang merata dan
berkualitas bagi masyarakat.
2.3.3 Optimalisasi Reformasi Birokrasi
Reformasi birokrasi mempunyai peran yang penting dalam
pembangunan daerah, ia tidak saja akan berkontribusi pada lahirnya
pemerintahan yang efektif, efiesien, bersih, dan berwibawa, tetapi juga
akan berkontribusi pada peningkatan pelayanan publik, yang pada
akhirnya juga akan berkontribusi pada percepatan laju pembangunan
daerah. Untuk mewujudkan hal ini, maka akan dilakukan peningkatan
kelembagaan sumber daya manusia dan tata laksana yang meliputi
penyediaan prasarana dan sarana, peningkatan kualitas aparatur,
peningkatan sistem pengawasan dan pengendalian internal, peningkatan
manajemen kepegawaian, sistem seleksi Calon Pegawai Negeri Sipil
(CPNS) dan promosi PNS secara terbuka, pengembangan Sistem
Elektronik Pemerintah (e-Government), penyederhanaan sistem perizinan
dan non perizinan, serta peningkatan remunerasi berdasarkan "merit
system".
2.3.4 Peningkatan Kemampuan Ekonomi Daerah.
Laju Pertumbuhan Ekonomi (LPE) maupun Pendapatan Asli Daerah
(PAD) Kota Padangsidimpuan dalam 5 tahun terakhir menunjukkan
perkembangan yang terus meningkat demikian halnya dengan nilai
pendapatan perkapita penduduknya. Investasi di bidang ekonomi
khususnya jasa dan perdagangan juga menunjukkan perkembangan
38
yang meningkat, ditandai semakin besarnya kontribusi sektor ini pada
PDRB Kota Padangsidimpuan.
Kendati demikian berbagai persoalan menyangkut kemampuan ekonomi
Kota Padangsidimpuan masih sangat terasa. Nilai PAD Kota
Padangsidimpuan masih sangat kecil dibanding total APBD, sehingga
pembiayaan pembangunan Kota padangsidimpuan masih sangat
tergantung pada sumber dana dari luar. Peningkatan kemampuan
ekonomi daerah Kota Padangsidimpuan dapat dilakukan dengan upaya
intensifikasi, esktensifikasi dan diversifikasi pemungutan pajak atau
retribusi, peningkatan kemampuan BUMD, serta bagi hasil daerah dari
Pajak Daerah dan Retribusi Daerah (berdasarkan undang-undang pajak
daerah dan retribusi daerah).
2.3.5 Pengentasan Kemiskinan Dan Perluasan Kesempatan Kerja
Kesejahteraan masyarakat merupakan tujuan utama pembangunan
daerah. Untuk mewujudkan kesejahteraan masyarakat maka
pembangunan ekonomi diarahkan pada peningkatan pertumbuhan
ekonomi, perluasan kesempatan kerja, pemerataan pendapatan dan
pengendalian stabilitas harga kebutuhan pokok. Dalam pelaksanaan
pembangunan ekonomi dilakukan melalui prinsip pengembangan
ekonomi yang seimbang dengan menerapkan konsep pro poor, pro job, pro
growth, dan pro environment dengan memperhatikan pemberdayaan
masyarakat. Pembangunan ekonomi ini juga disinergikan dengan
kebijakan Pemerintah Pusat yang tertuang dalam Masterplan Percepatan
Perluasan Pembangungan Ekonomi Indonesia (MP3EI) dan Millenium
Development Goals (MDGs).
Dalam upaya mengurangi jumlah penduduk miskin di Kota
Padangsidimpuan, diperlukan keberpihakan pada Usaha Mikro Kecil dan
Menengah termasuk pedagang informal baik melalui kebijakan maupun
penyediaan fasilitas dan modal kerja.
2.3.6 Pembenahan Infrastruktur Daerah Terutama Jalan, Terminal, Dan
Pusat Perdagangan (Pasar)
Dalam mewujudkan Kota Padangsidimpuan sebagai kota jasa dan
perdagangan serta pusat kegiatan wilayah Tapanuli Bagian Selatan,
maka diperlukan pembenahan infrastruktur daerah terutama
menyangkut jalan, terminal dan pusat perdagangan (pasar). Pembenahan
39
ini diharapkan akan mampu memperlancar kegiatan produksi, distribusi
barang dan jasa serta peningkatan aksesibilitas bagi manusia ataupun
barang dan jasa. Selain itu pembenahan infrastruktur ini juga
diharapkan dapat meningkatkan pendapatan asli daerah Kota
Padangsidimpuan dengan memanfaatkan posisi strategis Kota
Padangsidimpuan sebagai kota tujuan dari daerah –daerah lain seperti :
Madina, Tapanuli Selatan, Tapanuli Tengah, Sibolga, Palas, dan Paluta.
Khusus pada soal pembenahan infrastruktur jalan terutama dari dan ke
Kota Pasangsidimpuan diperlukan kerja sama antar wilayah : Tapanuli
Tengah, Sibolga, Tapanuli Utara, Tapanuli Selatan, Palas, Paluta Dan
Madina.
2.3.7 Penguatan Ketahanan Pangan
Ketahanan pangan merupakan salah satu fokus dalam peningkatan
kesejahteraan masyarakat. Pengelolaan ketahanan pangan diharapkan
dapat mendukung ketahanan sosial, stabilitas ekonomi, stabilitas politik,
dan keamanan serta ketahanan nasional. Dalam mewujudkan ketahanan
pangan, diperlukan penguatan kelembagaan, peningkatan kualitas
sumber daya manusia, dan pengembangan tata laksana dengan
mengedepankan aspek ilmu pengetahuan dan teknologi, ketersediaan
ketahanan pangan, akses atau keterjangkauan pangan, serta distribusi
dan diversifikasi pangan. Untuk itu diperlukan sinergitas pemerintah,
dunia usaha, dan masyarakat dengan mengedepankan kerjasama antar
daerah, antar lembaga penelitian, serta penegakan hukum.
2.3.8 Peningkatan dan Perbaikan Iklim Investasi
Iklim investasi yang kondusif merupakan faktor penting untuk
meningkatkan investasi di Kota Padangsidimpuan. Untuk mewujudkan
hal tersebut perlu pembenahan kelembagaan, sumber daya manusia,
dan tata laksana yang meliputi : penyempurnaan sistem dan prosedur
berinvestasi, transparansi informasi bisnis, peningkatan pelayanan,
persaingan usaha yang sehat, pemberian insentif, stabilitas ketentraman
dan ketertiban, ketersediaan tenaga kerja, kepastian hukum dan
infrastruktur pendukung. Dalam pelaksanaannya perlu dilakukan
dengan melibatkan seluruh pemangku kepentingan dalam skala
nasional, regional, dan lokal yang meliputi pemerintah, dunia usaha dan
masyarakat dengan prinsip kemitraan. Untuk memastikan bahwa
investasi yang dikelola memberikan manfaat yang sebesar-besarnya bagi
kehidupan ekonomi, sosial dan lingkungan masyarakat, perlu dilakukan
40
integrasi serta kajian mendalam pada investasi yang telah dan akan
dilakukan, baik investasi yang bersifat fisik maupun non fisik.
2.3.9 Peningkatan Daya Saing Daerah
Daya saing daerah adalah kemampuan perekonomian daerah dalam
mencapai pertumbuhan tingkat kesejahteraan yang tinggi dan
berkelanjutan dengan tetap terbuka pada persaingan dengan
kabupaten/kota lainnya yang berdekatan. Aspek daya saing daerah
terdiri dari kemampuan ekonomi daerah, fasilitas wilayah atau
infrastruktur, iklim berinvestasi dan sumber daya manusia.
41
BAB III
RANCANGAN KERANGKA EKONOMI DAERAH
BESERTA KERANGKA PENDANAAN
3.1 Arah Kebijakan Ekonomi Daerah
3.1.1 Kondisi Ekonomi Daerah Tahun 2013 dan Perkiraan Tahun 2014
Kerangka Ekonomi Daerah dan Pembiayaan Pembangunan pada Rencana Kerja
Pembangunan Daerah (RKPD) Tahun 2015 akan dapat tergambar dan terencana
dengan baik berdasarkan kondisi ekonomi daerah di Tahun 2013 dan perkiraan Tahun
2014.
Kondisi ekonomi makro tahun 2013 dan perkiraan tahun 2014 dapat
disimpulkan sebagaiberikut:
a. Indikator makro ekonomi Kota Padangsidimpuan di Tahun 2012 mengalami
peningkatan, hal ini terlihat dari laju pertumbuhan ekonomi Tahun 2012 sebesar
6,23 % dibandingkan tahun 2011 sebesar 5,99 % (Grafik 3.1). Adanya trend
pertumbuhan ekonomi kearah positif di wilayah Kota Padangsidimpuan selama
beberapa tahun terakhir mengindikasikan terjadinya peningkatan kegiatan
perekonomian di Padangsidimpuan dan diperkirakan akan meningkat lagi pada
tahun 2014. Untuk Kota Padangsidimpuan sebagai kota yang sedang membangun,
kondisitersebutsangatdiharapkan.
Grafik 3.1
Laju Pertumbuhan EkonomiKotaPadangsidimpuan
Tahun 2008 – 2012
Sumber:BPSKotaPadangsidimpuaan-PadangsidimpuanDalamAngkaTahun2013
6,09
5,83 5,81
5,88
6,23
5,6
5,7
5,8
5,9
6
6,1
6,2
6,3
2008 2009 2010 2011 2012
TingkatPertumbuhan
(Persen)
TAHUN
Trend Laju Pertumbuhan Ekonomi Kota Padangsidimpuan
Tahun 2008 - 2012
(Persen)
42
b. Disamping pertumbuhan ekonomi, PDRB Kota Padangsidimpuan Atas Dasar Harga
Berlaku Tahun 2012 juga mengalami peningkatan mencapai Rp 2,56 Triliun
dibandingkan tahun 2011 sebesar Rp. 2,30 Triliun (Grafik 3.2). Sejalan dengan
PDRB ADH, pada tahun 2012 pendapatan per kapita masyarakat Kota
Padangsidimpuan juga mengalami peningkatan dari Tahun 2011 sebesar Rp 11,92
juta naikmenjadi Rp.12,88juta padaTahun2012 (Grafik3.3).
Grafik 3.2
PDRB ADHBerlaku KotaPadangsidimpuan
Tahun 2008 – 2012 (Trilyun Rp)
Sumber:BPSKotaPadangsidimpuaan-PadangsidimpuanDalamAngkaTahun2013
Grafik 3.3
Pendapatan PerKapitaKotaPadangsidimpuan
Tahun 2007 – 2011 (Trilyun Rp)
Sumber:BPSKotaPadangsidimpuaan-PadangsidimpuanDalamAngkaTahun2013
c. Tingkat inflasi Kota Padangsidimpuan pada tahun 2012 mengalami penurunan, hal
ini terlihat dari tingkat inflasi Kota Padangsidimpuan Tahun 2012 yatu sebesar 3,54
% bandingkandenganTahun2011 sebesar 4,66% (Grafik3.4).
9,78 10,26 10,96
11,92
12,88
0
2
4
6
8
10
12
14
2008 2009 2010 2011 2012
(JutaRp)
TAHUN
Pendapatan Per Kapita Kota Padangsidimpuan
Tahun 2008 – 2012 (Juta Rp)
43
Grafik 3.4
TingkatInflasiKotaPadangsidimpuan
Tahun 2008 – 2012 (%)
Sumber: BPSKotaPadangsidimpuaanDalamAngkaTahun2013
d. Pada tahun 2012 sektor perdagangan, hotel dan restoran merupakan leading sector
dalam perekonomian di Padangsidimpuan. Sektor tersebut berperan sebesar 22,74
%. Sektor kedua yang cukup besar peranannya adalah sektor jasa-jasa sebesar
19,02 % serta pertanian yaitu sebesar 15,87 %. Kemudian diikuti oleh sektor
keuangan persewaan dan jasa perusahaan sebesar 12,49 %; sektor pengangkutan
dan komunikasi sebesar 11,93 %; sektor industri pengolahan sebesar 11,80 %.
Beberapa sektor tersebut merupakan sektor-sektor yang berperan lebih dari 10 %
dalam perekonomian Padangsidimpuan. Sedangkan sektor-sektor yang
peranannya di bawah 10 % adalah sektor bangunan sebesar 5,22 %; sektor listrik,
gas dan air bersih sebesar 0,59 %; serta yang paling kecil adalah sektor
pertambangandanpenggalianyaitusebesar 0,34 %.
Tabel3.1
Struktur Ekonomi KotaPadangsidimpuan Tahun2012 (%)
N0 Lapangan Usaha/Sektor Utama
Tahun
2008 2009 2010 2011*) 2012*)
(1) (2) (3) (4) (5) (6) (7)
1. Pertanian 16,15 16,10 16,15 15,82 15,87
2. Pertambangan & Penggalian 0,31 0,33 0,35 0,34 0,34
3. Industri Pengolahan 11,94 11,87 11,78 11,78 11,80
4. Listrik, Gas dan Air Bersih 0,69 0,66 0,63 0,61 0,59
5. Bangunan 4,86 4,98 5,04 5,14 5,22
6. Perdagangan, Hotel & Restoran 23,46 23,09 22,8 22,83 22,74
7. Pengangkutan dan komunikasi 13,20 12,59 12,21 11,91 11,93
44
N0 Lapangan Usaha/Sektor Utama
Tahun
2008 2009 2010 2011*) 2012*)
8. Keuangan, persewaan & jasa
perusahaan
11,45 11,67 11,84 12,22 12,49
9. Jasa jasa 17,95 18,71 19,19 19,35 19,02
Jumlah 100 100 100 100 100
Sumber:BPSKotaPadangsidimpuaan-PadangsidimpuanDalamAngkaTahun2013
Grafik 3.5
Struktur Ekonomi KotaPadangsidimpuan Tahun2012 (%)
Sumber:BPSKotaPadangsidimpuaan-PadangsidimpuanDalamAngkaTahun2013
3.1.2 Tantangan dan Prospek Perekonomian Daerah Tahun 2014.
Pemerintah Kota Padangsidimpuan dengan segala kekuatan dan peluang yang
ada serta tantangan dan kelemahannya, berusaha mewujudkan visi dan misi nya yaitu
“Sehat, Maju dan Sejahtera (SMS)”.
Beberapa hal yang menjadi tantangan dalam mewujudkan visi dan misi Kota
Padangsidimpuan, antara lain:
1. DanaTerbatas;
2. Masih Tingginyaangkakemiskinan;
3. Kualitas SDMmasihrendah;
4. SaranadanPrasaranabelummemadai;
5. Partisipasi masyarakatmasih perlu ditingkatkan; dan
6. Efektivitas manajemenPemerintahan belum optimal.
Pertanian; 15,87
Pertambangan &
Penggalian; 0,34
Industri Pengolahan;
11,8
LGA; 0,59
Bangunan; 5,22
Perdagangan, Hotel &
Restoran; 22,74
Pengangkutan &
Komunikasi; 11,93
Keuangan, Persew.&
Jasa Perus; 12,49
Jasa-Jasa; 19,02
45
Selanjutnya yangmenjadi prospekdan peluang,antaralain:
1. Letak yangstrategis;
2. Komitmen PemerintahDaerah;
3. TingginyaPeluangInvestasi;
4. Lahan yangsubur; dan
5. Pusat Kegiatan Wilayah(PKW) Provinsi.
46
Tabel 3.2. Analisis KondisiInternaldanKondisi EksternalKotaPadangsidimpuan
NO
KONDISI INTERNAL KONDISIEKSTERNAL
Kekuatan Kelemahan Peluang Ancaman
Adanyakomitmen
pemerintahdaerah
dalammembangunnilai
religidanbudayaluhur
masyarakatmelalui
berbagaikebijakan
Tersedianyaberbagai
lembagadaninstitusi
masyarakatdalam
kerangka
pengembangannilai
religidanbudayaluhur
masyarakat
Mempunyaikekayaan
sumberdayaalamyang
potensial
Komitmenpemerintah
daerahterhadap
pembangunanekonomi
Tersedianyaberbagai
infrastrukturpenunjang
bagipertumbuhan
ekonomi
Komitmenpemerintah
daerahterhadap
pengembangan
pendidikan,
pengembanganbidang
kesehatandan
pelestariansumberdaya
alam
Adanyahubunganyang
harmonisantara
pemerintahdaerah,
propinsi,danpusat
sertaantarapihak
eksekutifdanlegislatif
Adanyakomitmen
pemerintahdaerah
untukmereformasi
birokrasi
Lemahnyaperan
lembagakeagamaan
danbudaya,tokoh
agamadanbudaya
sebagaipanutan
masyarakat.
Belumoptimalnya
koordinasiantar
instansiterkaitdengan
lembagakeagamaan
danbudayadalam
melakukan
pembangunandi
bidangreligidan
budayaluhur.
Penyebaranpenduduk
tidakmerata
Tingkatkesejahteraan
masyarakatyang
masihrendah
Belumoptimalnya
upayapengembangan
danpemerataan
pusat-pusat
pertumbuhan
ekonomidanupaya
pengembanganjiwa
dankemampuan
wirausahamasyarakat
Belumoptimalnya
programpengentasan
kemiskinan
Ketersediaanlapangan
kerjayangbelum
mencukupi
Masihkurangnya
keterampilan
masyarakatuntuk
memasukilapangan
pekerjaan.
Belumoptimalnya
program
pengembangan
agribisnis,Usaha
Mikro, Kecil,
Menengahdan
Koperasisertainvestasi
daerah
Belumadanyapusat
pengembanganhasil
pertanianyangideal
Secarahistoris,
masyarakatdikenal
sangatreligius,
mengutamakannilai-
nilaikeagamaandan
toleransidalam
kehidupan
bermasyarakat
Adanyakomitmen
pemerintahdaerah
dalammembangunnilai
religidanbudayaluhur
masyarakatmelalui
berbagaikebijakan
Adanyainisiatif
masyarakatuntuk
mengembalikannilai
religidanbudayaluhur
masyarakatdalam
tatanankehidupan
Terbukanyapasarbebas
ASEAN,globalisasidan
Lokal
Pertumbuhantingkat
konsumsimasyarakat
menujukesejahteraan
masyarakat
Adanyakerjasama
antarapemerintah
daerahdenganinvestor
dalampengelolaandan
pemanfaatanpotensi
daerah
Partisipasiyangtinggi
darimasyarakatdaerah
danperantaudalam
pembangunandaerah
Adanyakomitmen
pemerintahpusatdalam
pengembangansektor
ekonomimelalui
berbagaikebijakan
Tingginyakesadaran
danpartisipasi
masyarakat,pihak
swastaterhadap
pengembangan
pembangunan
Masihbelumoptimalnya
penerapandanpelestarian
nilai-nilaibudayadanadat
dalamkehidupan
masyarakat
Adanyakemungkinan
provokasidanhasutan
daripihakyangtidak
bertanggungjawab
terhadapmasyarakat
dalammenjalankanfungsi
religinya
Belummeratanyatingkat
distribusidanpemerataan
pendapatanmasyarakat
Belumberkembangnya
lembagakeuangan
syariah
Belumterkoordinirnya
secaraoptimallembaga-
lembagadonaturbagi
UsahaMikro,Kecil,
Menengah(UMKM)dan
Koperasi
Masihrendahnyaposisi
tawarmasyarakat
terhadapakseske
sumber-sumber
kemajuanekonomi
Belumseimbangnya
antarakebutuhanbiaya
pendidikandengantingkat
perekonomian
masyarakat
Pihakswastayang
cenderungmementingkan
sisibisnisdan
mengabaikankualitas
dalamupaya
pembangunanbidang
ekonomi
47
NO
KONDISI INTERNAL KONDISIEKSTERNAL
Kekuatan Kelemahan Peluang Ancaman
Belumadanya
pengembangan
manajemen
kepariwisataanyang
kompetitif
Belumoptimalnya
upayaidentifikasidan
pengembangan
produkunggulanKota
Padangsidimpuan
Keterbatasansarana
danprasarana
penunjangbagi
pengembangan
ekonomi
Masihrendahnya
tingkatpenguasaan
danpenerapan
teknologidan
informatika
Terbatasnyaakses
daerahkekawasan
perdagangandengan
propinsitetanggadan
belumberkembangnya
lokaldanregional
marketing
Belumoptimalnya
upayapenggalian
sumber-sumber
potensiekonomi.
Masihterbatasnya
keberadaandan
eksistensiproduk
hukum
Keterbatasansarana
danprasaranayang
belummencukupi
kebutuhan
masyarakat
Sistempembinaan
kepegawaianyang
belumoptimal
menunjang
pembangunan
Kurangmemadainya
kualitasdankuantitas
sumberdayamanusia
Pengelolaansumber
dayaalamyangbelum
terencanadenganbaik
Lemahnyasistem
koordinasiantar
lembaga/unitkerjadi
pemerintahandaerah
Tersedianyalembaga
pendidikanyangsudah
dikenalluas
Sudahdicanangkannya
VisiIndonesiaSehat
2010
Adanyakebijakan
pemerintahpusatdan
pemerintahdaerahyang
memberikansanksi
yangtegasterhadap
pelanggaranhukum
Masihkurangnya
partisipasimasyarakat
terhadappeningkatan
pembangunan
Masihrendahnyatingkat
kesadaranmasyarakat
terhadappenerapanpola
hidupsehatdan
pelestariansumberdaya
alam
Belum optimalnyaperan
danposisimasyarakat
danorganisasi
masyarakatsipilsebagai
salahsatupelaku
pembangunanmenuju
goodgovernance
48
NO
KONDISI INTERNAL KONDISIEKSTERNAL
Kekuatan Kelemahan Peluang Ancaman
Belumoptimalnya
perubahanparadigma
aparatur
pemerintahansesuai
dengantuntutanera
otonomidaerah
Lemahnyasistem
koordinasiantar
lembaga/unitkerjadi
pemerintahandaerah
Lemahnyamanajemen
pemerintahandalam
mendukung
penyelenggaraan
pemerintahandan
pembinaan
kemasyarakatan
Keterbatasansarana
danprasarana
pendidikanyang
belummencukupi
kebutuhan
masyarakat
Pengembangan
pendidikanyang
belumoptimal
menjawabkebutuhan
masyarakat
Sistempembinaan
kepegawaianyang
belumoptimal
menunjang
pembangunan
pendidikan
Tingkatpendidikan
masyarakatyang
masihrelatifrendah
Pemerataan
kesempatan
memperoleh
pendidikanyanglayak
masihrendah
Peranpendidikan
untukmeningkatkan
kualitashidup
masyarakatmasih
rendah
Belumoptimalnya
upayaintegrasinilai-
nilailokaldalam
kurikulumpendidikan
49
3.2. Arah Kebijakan Keuangan Daerah
Berdasarkan Peraturan Pemerintah Nomor 58 Tahun 2005 tentang Pengelolaan
Keuangan Daerah dan Peraturan Menteri Dalam Negeri Nomor 13 Tahun 2006 Tentang
Pedoman Pengelolaan Keuangan Daerah sebagaimana telah diubah dengan Peraturan
Menteri Dalam Negeri Nomor 59 Tahun 2007 dan Peraturan Menteri Dalam Negeri
Nomor 21 Tahun2011,makadalampengelolaan keuangandaerahharus sesuai dengan
prosedur, dilaksanakan secara tertib, taat pada peraturan perundang-undangan,
efisiensi, ekonomis, efektif, transparan dan bertanggungjawab dengan memperhatikan
azas keadilan, kepatutan dan manfaat untuk masyarakat. Pengelolaan Keuangan
Daerah dilaksanakan dalam suatu sistem yang terintegrasi yang salah satunya
diwujudkandalambentuk Anggaran Pendapatan dan BelanjaDaerah (APBD).
Penyusunan APBD sesuai dengan peraturan perundangan diawali dengan proses
Musyawarah Perencanaan Pembangunan (Musrenbang) yang hasilnya dituangkan
dalam dokumen Rencana Kerja Pembangunan Daerah (RKPD), selanjutnya
dipergunakan sebagai dasar penyusunan Kebijakan Umum Anggaran (KUA) dan
Prioritas Plafon Anggaran Sementara (PPAS). Anggaran Pendapatan Belanja dan Belanja
Daerah adalah salah satu wujud dari pengelolaan keuangan negara yang dilaksanakan
secara terbuka dan bertanggungjawab untuk sebesar besarnya kemakmuran rakyat
sebagaimana diamanatkan oleh Undang-undang Nomor 17 Tahun 2003 tentang
Keuangan Negara. Penyusunan APBD harus disesuaikan dengan kebutuhan
pembangunan daerah yang dinamis diseimbangkan dengan prioritas pembangunan
yang relevan berdasarkan kemampuan keuangan daerah, sinkronisasi dan integrasi
kebijakan pemerintah pusat, provinsi dan pemerintah kabupaten/kota sesuai dengan
kondisiriildilapangan.
Kebijakan dalam pengelolaan APBD memegang peranan yang sangat strategis dalam
mencapai sasaran pembangunan daerah karena APBD merupakan salah satu
instrument penting kebijakan fiskal daerah. Kebijakan desentralisasi fiskal daerah
mengandung tiga misi utama yaitu menciptakan efisiensi dan efektivitas pengelolaan
sumberdaya, meningkatkan kualitas pelayanan umum dan kesejahteraan masyarakat
dan memberdayakan dan menciptakan ruang bagi masyarakat untuk ikut serta
(berpartisipasi)dalamprosespembangunan.
50
3.2.1. Arah Kebijakan Pendapatan Daerah
Sumber Pendapatan Daerah terdiri dari Pendapatan Asli Daerah, Dana
Perimbangan, dan Lain-Lain Pendapatan Daerah Yang Sah. Dalam
perencanaan APBD terdapat target pendapatan daerah yang merupakan
capaian yang harus diperoleh, sedangkan pada akhir tahun anggaran,
diketahui realisasi penerimaan atas pendapatan daerah. Berdasarkan
data realisasi tahun 2013, Pendapatan Asli Daerah (PAD) Kota
Padangsidimpuan dalam realisasinya mampu menyumbangkan sebesar
5,60 % (35,02 Milyar) dari total realisasi pendapatan daerah. Sementara
porsi terbesar berasal dari Dana Perimbangan sebesar 78,14 % (489,06
Milyar) dari total pendapatan daerah, sedangkan sisanya sebesar 16,26
% (101,75 milyar) yang berasal dari lain-lain pendapatan daerah yang
sah.
Proyeksi Pendapatan Daerah untuk tahun 2015 diasumsikan naik
sebesar 7,92% dari tahun 2014 yaitu kenaikan dari komponen Dana
Alokasi Umum. Dana Perimbangan berupa Bagi Hasil Pajak/Bagi Hasil
Bukan Pajak dihitung dengan memperhatikan potensi masing-masing
jenis pajak. Dana Alokasi Umum diasumsikan naik 10% sedangkan
untuk Dana Alokasi Khusus diasumsikan sama dengan lokasi dana pada
tahun 2013. Untuk Lain-lain Pendapatan Yang Sah sementara
diperhitungkan pada sumber-sumber pendapatan yang dapat dipastikan.
Dalam upaya peningkatan Pendapatan Daerah Kota Padangsidimpuan,
beberapa hal yang perlu dilakukan antara lain:
1) Intensifikasi dan ekstensifikasi Pajak Daerah dan Retribusi Daerah
secara optimal;
2) Meningkatkan manajemen tata-kelola pemungutan dan penerimaan
Pendapatan Daerah sesuai dengan mekanisme dan standar baku;
3) Pendayagunaan asset daerah;
4) Optimalisasi hasil usaha Badan Umum Milik Daerah (BUMD) agar
memberikan kontribusi yang optimal kepada Pendapatan Asli
Daerah (PAD) pada khususnya dan Penerimaan Daerah pada
umumnya; dan
5) Evaluasi dan peninjauan kembali (annual-review) atas berbagai
Peraturan Daerah yang sudah tidak sesuai lagi dengan
perkembangan zaman.
51
Berikut disajikan Realisasi dan Proyeksi/Target Pendapatan daerah Kota
Padangsidimpuan tahun 2012 sampai dengan tahun 2016.
Tabel. 3.3
Realisasi dan Proyeksi/Target Pendapatan Daerah
Tahun 2012-2016
NO Uraian
Realisasi Tahun
2012
Realisasi Tahun
2013
Anggaran Tahun
2014
Proyeksi Tahun
2015
Proyeksi Tahun
2016
1 2 4 5 6 7 3
1.1 Pendapatan Asli Daerah 23.622.308.246 35.018.175.219,15 42.456.400.000 42.456.400.000 42.456.400.000
1.1.1 Pajak Daerah 7.606.694.290 7.207.947.238 11.885.000.000 11.885.000.000 11.885.000.000
1.1.2 Retribusi Daerah 7.217.324.749 16.939.932.609,98 20.895.400.000 20.895.400.000 20.895.400.000
1.1.3 Hasil Pengelolaan Kekayaan
Daerah
6.043.579.177 7.178.785.082 6.326.000.000 6.326.000.000 6.326.000.000
1.1.4 Lain2 Pendapatan Asli
Daerah yang Sah
2.814.710.031 3.691.510.289,17 3.350.000.000 3.350.000.000 3.350.000.000
1.2 Dana Perimbangan 421.732.103.830 489.005.615.529 528.031.798.974 575.067.135.774 626.806.006.254
1.2.1 Dana Bagi hasil pajak /
bagi hasil bukan pajak
32.822.219.830 25.797.109.529 19.349.170.974 19.349.170.974 19.349.170.974
1.2.2 Dana Alokasi Umum 364.923.284.000 423.251.346.000 470.353.368.000 517.388.704.800 569.127.575.280
1.2.3 Dana Alokasi Khusus 23.986.600.000 39.957.160.000 38.329.260.000 38.329.260.000 38.329.260.000
1.3
Lain-lain Pendapatan
Daerah Yang Sah
95.053.955.795 101.754.741.738 23.374.597.771 23.374.597.771 23.374.597.771
1.3.1 Hibah 1.656.508.777 - 5.412.945.000 5.412.945.000 5.412.945.000
1.3.2 Dana Darurat - -
1.3.3 Dana bagi hasil Pajak dari
Propinsi dan Pemerintah
daerah lainnya
5.377.228.018 5.089.423.738 7.174.776.171 7.174.776.171 7.174.776.171
1.3.4 Dana Penyesuaian &
otonomi khusus
48.972.403.000 68.806.870.000
1.3.5 Bantuan Keuangan dari
Prop/ Pemda Lainya
39.047.816.000 27.858.448.000 10.786.876.600 10.786.876.600 10.786.876.600
Pendapatan Daerah 540.468.367.871 625.778.532.486,15 593.862.796.745 640.898.133.545 692.637.004.025
52
3.2.2. Arah Kebijakan Belanja Daerah
Struktur belanja dalam APBD mengalami perubahan dari kelompok
belanja aparatur dan belanja pelayanan publik berdasarkan
Kepmendagri Nomor 29 Tahun 2002 menjadi kelompok belanja tidak
langsung dan belanja langsung berdasarkan Permendagri Nomor 37
Tahun 2012 tentang Pedoman Penyusunan Anggaran Pendapatan Dan
Belanja Daerah. Belanja daerah terdiri dari:
• Belanja Tidak Langsung merupakan belanja yang dianggarkan tidak
terkait secara langsung dengan pelaksanaan program dan kegiatan,
yang terdiri dari jenis belanja (a) Belanja Pegawai, (b) Belanja bunga,
(c) Belanja Subsidi, (d) Belanja Hibah, (e) Belanja Bantuan Sosial, (f)
Belanja Bagi Hasil, (g) Belanja Bantuan Keuangan, dan (h) Belanja
Tidak Terduga.
• Belanja Langsung merupakan belanja yang dianggarkan terkait
secara langsung dengan pelaksanaan program dan kegiatan, yang
terdiri dari jenis belanja (a) Belanja pegawai, (b) Belanja barang dan
jasa, dan (c) Belanja modal.
Arah Kebijakan belanja daerah Kota Padangsidimpuan ditujukan untuk
peningkatan pelayanan publik dan kualitas kehidupan masyarakat yang
diwujudkan dalam bentuk peningkatan pelayanan dasar pendidikan,
kesehatan, fasilitas sosial dan fasilitas umum yang layak, melalui
langkah langkah efisiensi pada belanja aparatur dan pengalokasian
belanja langsung urusan wajib dan pilihan sesuai tugas pokok dan
fungsi yang melekat pada SKPD secara efisien, ekonomis, efektif, transparan
dan bertanggungjawab, sesuai dengan skala prioritas pembangunan dan
kemampuan keuangan daerah.
Berikut ini Realisasi dan Proyeksi/Target Belanja daerah Kota
Padangsidimpuan tahun 2012 sampai dengan tahun 2016.
53
Tabel.3.4
Realisasi dan Proyeksi Belanja Daerah
Tahun 2012-2016
NO Uraian
Realisasi Tahun
2012
Realisasi Tahun
2013
Anggaran Tahun
2014
Proyeksi Tahun
2015
Proyeksi Tahun
2016
2.1 Belanja Tidak Langsung 329.784.082.676 353.555.957.949 320.932.666.274 351.909.958.295 385.984.979.518
2.1.1 Belanja Pegawai 314.113.990.004 342.953.467.277 309.772.920.212 340.750.212.233 374.825.233.456
2.1.2 Belanja Bunga - -
2.1.3 Belanja Subsidi - -
2.1.4 Belanja Hibah 10.452.510.900 4.670.361.700 5.412.945.000 5.412.945.000 5.412.945.000
2.1.5 Belanja Bantuan Sosial 4.707.581.772 5.022.128.972 3.836.607.662 3.836.607.662 3.836.607.662
2.1.6
Belanja Bagi Hasil kepada
Provinsi/Kabupaten/Kota
dan Pemerintahan Desa - -
2.1.7 Belanja Bantuan Keuangan
Kepada
Provinsi/Kabupaten/Kota
dan Pemerintahan Desa
510.000.000 910.000.000 910.193.400 910.193.400 910.193.400
2.1.8 Belanja Tidak Terduga - - 1.000.000.000 1.000.000.000 1.000.000.000
2.2 Belanja Langsung 197.461.987.354 261.343.540.150 288.176.029.555 288.176.029.555 288.176.029.555
2.2.1 Belanja Pegawai 24.661.046.040 33.768.677.946 36.156.663.800 36.156.663.800 36.156.663.800
2.2.2 Belanja Barang Dan Jasa 74.042.175.975 110.357.943.406 152.631.585.071 152.631.585.071 152.631.585.071
2.2.3 Belanja Modal 98.758.765.339 117.216.918.798 99.387.780.684 99.387.780.684 99.387.780.684
Jumlah Belanja 527.246.070.030 614.899.498.099 609.108.695.829 640.085.987.850 674.161.009.073
54
3.2.3. Arah Kebijakan Pembiayaan Daerah
Kebijakan anggaran untuk pembiayaan daerah dibagi atas dua bagian
yaitu penerimaan pembiayaan dan pengeluaran pembiayaan.
Pembiayaan daerah merupakan transaksi keuangan yang dimaksudkan
untuk menutupi selisih antara Pendapatan dan Belanja Daerah.
Penerimaan Pembiayaan dapat bersumber dari Sisa Lebih Perhitungan
Anggaran Tahun Lalu (SiLPA) tahun sebelumnya, pencairan dana
cadangan, hasil penjualan kekayaan daerah yang dipisahkan,
penerimaan pinjaman daerah, penerimaan kembali pemberian pinjaman
dan penerimaan piutang daerah. Pengeluaran pembiayaan diarahkan
untuk penyertaan modal (investasi) pada perusahaan daerah serta
pembayaran pokok utang.
Adapun Realisasi dan Target/Proyeksi Pembiayaan daerah tahun 2012-
2016 sebagai berikut :
Tabel 3.5
Realisasi dan Target/Proyeksi Pembiayaan Daerah
Tahun 2012-2016
N0.
Jenis Penerimaan dan
REALISASI 2012 REALISASI 2013 ANGGARAN 2014 PROYEKSI 2015
PROYEKSI
2016Pengeluaran Pembiayaan
Daerah
3 PEMBIAYAAN
3.1 Penerimaan Pembiayaan 28.827.869.132,89 33.652.819.685,13 27.727.059.440 27.727.059.440 27.727.059.440
3.1.1
Sisa Lebih Perhitungan
Anggaran Tahun Sebelumnya
(SiLPA) 28.827.869.132,89 33.652.819.685,13 27.727.059.440 27.727.059.440 27.727.059.440
3.2
Pengeluaran Pembiayaan
Daerah 8.397.347.289,00 6.281.242.965,00 7.128.215.356 7.128.215.356 7.128.215.356
3.2.1
Penyertaan Modal (Investasi)
Pemerintah Daerah 3.943.821.319,00 4.932.246.465,00 5.897.018.106 5.897.018.106 5.897.018.106
Pembayaran Pokok Utang 4.453.525.970,00 1.348.996.500,00 1.231.197.250 1.231.197.250 1.231.197.2503.2.2
55
BAB IV
PRIORITAS DAN SASARAN PEMBANGUNAN
KOTA PADANGSIDIMPUAN
Prioritas Pembangunan Daerah yaitu tema atau agenda pembangunan
pemerintah daerah tahunan yang menjadi benang merah/tonggak capaian
antara (milestones) menuju sasaran 5 (lima) tahunan dalam RPJMD melalui
rencana program pembangunan daerah tahunan. Suatu prioritas
pembangunan merupakan jawaban atas sasaran pembangunan daerah dalam
suatu pernyataan yang mengandung komponen program prioritas atau
gabungan program prioritas.
Suatu prioritas pembangunan daerah pada dasarnya (berisi) program-
program unggulan SKPD (terpilih) yang paling tinggi relasinya (leading
indicators) bagi tercapainya target sasaran pembangunan daerah tahun
rencana. Dalam menentukan prioritas pembangunan, terlebih dahulu
dilakukan identifikasi permasalahan pembangunan daerah yang bersifat
internal maupun eksternal. Setelah diketahui faktor penyebab atau pemicu
secara internal maupun eksternal kemudian dapat disusun prioritas dan
sasaran pembangunan beserta program prioritas.
Dengan demikian, suatu program pembangunan daerah merupakan
program atau sekumpulan program unggulan kepala daerah yang
berhubungan dengan janji politik kepala daerah pada saat pilkada dan hasil
perumusan teknokratis terkait.
Tidak semua program prioritas dapat menjadi prioritas pembangunan
daerah, menyangkut keterbatasan anggaran dan identifikasi masalah. Suatu
prioritas pembangunan dimasa lalu yang telah berhasil dicapai, tidak lagi
diprioritaskan dimasa berikutnya, walau tetap harus dijaga
kesinambungannya (performance maintenance).
Suatu prioritas pembangunan daerah juga dapat dikategorikan sebagai
operasionalisasi dari tujuan strategik daerah mengingat urgensi daya ungkit
pada kesejahteraan dan cakupan pembangunannya. Sebagai suatu strategic,
pengelolaan kinerja menjadi faktor utama bagi kepemimpinan daerah.
Perumusan prioritas dan sasaran pembangunan daerah serta indikasi
prioitas kegiatannya, juga memperhatikan apa yang diusulkan oleh SKPD
berdasarkan prakiraan maju pada RKPD tahun sebelumnya.
56
Metodologi penyusunan prioritas, dengan memperhatikan beberapa
kriteria, antara lain:
a) Korelasinya terhadap pencapaian prioritas dan sasaran pembangunan
nasional, seperti terhadap MDGs, Standar Pelayanan Minimal, pengentasan
kemiskinan, penciptaan lapangan kerja.
b) Korelasinya terhadap pencapaian visi dan misi Kepala Daerah yang
dituangkan dalam RPJMD.
c) Korelasinya terhadap pengembangan sektor/bidang yang terkait
keunggulan kompetitif daerah.
d) Korelasinya terhadap isu strategis daerah.
4.1. Tujuan dan Sasaran Pembangunan RPJM
RKPD Kota Padangsidimpuan Tahun 2015 merupakan penjabaran dari
pelaksanaan RPJMD Kota Padangsidimpuan Tahun 2013-2017 Tahun ke 2,
yaitu tahun perencanaan 2014 untuk dilaksanakan di tahun 2015. Sesuai
Peraturan Daerah Nomor 25 Tahun 2008 tentang Rencana Pembangunan
Jangka Panjang Daerah Kota Padangsidimpuan Tahun 2005-2025, visi
pembangunan jangka panjang tahun 2005-2025 adalah Padangsidimpuan
Yang Sejahtera, Agamais, Berdaya Saing, Berbudaya sebagai Kota Pusat
Pendidikan, Perdagangan Barang dan Jasa Terdepan di Pantai Barat
Sumatera Utara.
Memperhatikan situasi, kondisi, kekuatan, kelemahan, peluang,
tantangan, dan memperhitungan kontinuitas dan sinergitas pelaksanaan
pembangunan, serta memperhatikan motto Kota Padangsidimpuan “Salumpat
Saindege” maka dirumuskan dan ditetapkan Visi Pembangunan Kota
Padangsidimpuan Tahun 2013-2018, adalah:
“Terwujudnya Kota Padangsidimpuan Sebagai Kota
Yang Sehat, Maju Dan Sejahtera”
Untuk mewujudkan visi pembangunan daerah Kota Padangsidimpuan
tersebut di atas selanjutnya dirumuskan misi pembangunan daerah Kota
Padangsidimpuan Tahun 2013 – 2018 sebagai berikut:
57
1. Memperkuat Daya Jangkau Masyarakat Untuk Memperoleh
Pelayanan Kesehatan Yang Berkualitas dan Terpadu
o Terwujudnya sistem pelayanan kesehatan masyarakat yang
bermutu, berkualitas, terpadu, dan dapat dijangkau oleh
masyarakat.
o Terwujudnya kesadaran masyarakat tentang pola hidup sehat
Pelaksanaan dari misi pertama pembangunan daerah Kota
Padangsidimpuan Tahun 2013-2018 ini akan ditekankan pada empat
urusan pemerintahan yaitu: (1) Kesehatan; (2) Kepemudaan dan
Olahraga; (3) Keluarga Berencana dan Keluarga Sejahtera; (4)
Pemberdayaan Perempuan dan Perlindungan Anak.
2. Menciptakan Tata Pemerintahan Yang Bersih Dan Berwibawa
o Terwujudnya kelembagaan dan ketatalaksanaan pemerintah daerah
yang berkualitas, bersih, dan berwibawa.
o Terwujudnya pendayagunaan aparatur pemerintah daerah.
Pelaksanaan dari misi kedua pembangunan daerah Kota
Padangsidimpuan Tahun 2013-2018 ini akan ditekankan pada tiga
urusan pemerintahan yaitu: (1) Otonomi daerah, pemerintahan umum,
administrasi keuangan daerah, perangkat daerah, kepegawaian dan
persandian; (2) Perencanaan Pembangunan; (3) Pemberdayaan
Masyarakat dan Desa.
3. Mengoptimalisasi sumber-sumber Pendapatan Asli Daerah
o Terwujudnya sistem dan kelembagaan yang dapat mengoptimalisasi
sumber – sumber pendapatan Asli daerah.
Pelaksanaan dari misi ketiga pembangunan daerah Kota
Padangsidimpuan Tahun 2013-2018 ini akan ditekankan pada tiga
urusan pemerintahan yaitu: (1) Otonomi daerah, pemerintahan umum,
administrasi keuangan daerah, perangkat daerah, kepegawaian dan
persandian; (2) Penanaman Modal; (3) Pekerjaan Umum.
4. Meningkatkan kuantitas dan kualitas infrastruktur
o Meningkatnya kuantitas infrastruktur daerah.
o Terwujudnya infrastruktur daerah yang berkualitas.
58
Pelaksanaan dari misi keempat pembangunan daerah Kota
Padangsidimpuan Tahun 2013-2018 ini akan ditekankan pada tujuh
urusan pemerintahan yaitu: (1) Pekerjaan umum; (2) Lingkungan
hidup; (3) Perdagangan; (4) Perhubungan; (5) Pertanian; (6) Perumahan,
(7) Komunikasi dan Informatika.
5. Memajukan sektor pendidikan
o Terwujudnya sistem birokrasi pendidikan yang baik dan bermutu.
o Terwujudnya pendayagunaan dan pemberdayaan tenaga pendidikan
yang berkualitas.
Pelaksanaan dari misi kelima pembangunan daerah Kota
Padangsidimpuan Tahun 2013-2018 ini akan ditekankan pada satu
urusan pemerintahan yaitu: Pendidikan;
6. Pembenahan tata ruang kota
o Terwujudnya tata ruang kota yang berbasis potensi sumberdaya
lokal, geostrategis, dan lingkungan.
Pelaksanaan dari misi keenam pembangunan daerah Kota
Padangsidimpuan Tahun 2013-2018 ini akan ditekankan pada dua
urusan pemerintahan yaitu: (1) Penataan Ruang; (2) Lingkungan Hidup.
7. Menekan angka pengangguran, dan mengurangi jumlah dan
pesebaran penduduk miskin
o Terwujudnya situasi ekonomi yang kondusif, yang mampu
mendorong terciptanya lapangan pekerjaan baru baik formal maupun
informal
o Terwujudnya jaringan infrastruktur yang mampu menunjang
kegiatan produksi, distribusi dan pemasaran sektor primer dan
agribisnis.
Pelaksanaan dari misi ketujuh pembangunan daerah Kota
Padangsidimpuan Tahun 2013-2018 ini akan ditekankan pada tujuh
urusan pemerintahan yaitu: (1) Penanaman Modal; (2) Ketenagakerjaan;
(3) Koperasi dan Usaha Kecil dan Menengah; (4) Sosial; (5) Pekerjaan
Umum; (6) Perumahan; (7) Keluarga Berencana dan Keluarga Sejahtera.
59
8. Meningkatkan daya saing Daerah
o Terwujudnya peningkatan kualitas sumber daya manusia yang
unggul
o Terwujudnya perekonomian daerah yang kuat.
o Terwujudnya daya dukung pengembangan usaha.
Pelaksanaan dari misi kedelapan pembangunan daerah Kota
Padangsidimpuan Tahun 2013-2018 ini akan ditekankan pada
sembilan urusan pemerintahan yaitu: (1) Ketahanan Pangan; (2)
Ketenagakerjaan; (3) Koperasi dan Usaha Kecil Menengah; (4)
Perdagangan; (5) Kepemudaan dan Olahraga; (6) Industri; (7) Pertanian;
(8) Pariwisata; (9) Otonomi daerah, pemerintahan umum, administrasi
keuangan daerah, perangkat daerah, kepegawaian dan persandian;
Untuk melaksanakan misi-misi tersebut di atas maka ditetapkan
tujuan dan sasaran pembangunan daerah Kota Padangsidimpuan selama 5
(lima) tahun (2013-2018) dengan uraian sebagai berikut:
Misi Tujuan Sasaran
Memperkuat daya
jangkau masyarakat
untuk memperoleh
pelayanan kesehatan
yang berkualitas dan
terpadu.
Mewujudkan Daya
Jangkau Masyarakat
Untuk Memperoleh
Pelayanan Kesehatan
Yang Berkualitas Dan
Terpadu.
Terwujudnya sistem
pelayan kesehatan
masyarakat yang
bermutu, berkualitas,
terpadu, dan dapat
dijangkau oleh
masyarakat.
Terwujudnya kesadaran
masyarakat tentang pola
hidup sehat.
Menciptakan tata
pemerintahan yang
bersih dan berwibawa.
Mewujudkan Tata
Kelola Pemerintahan
Yang bersih Dan
Berwibawa
Terwujudnya
kelembagaan dan
ketatalaksanaan
pemerintah daerah yang
berkualitas, sehat, dan
berwibawa
Terwujudnya
pendayagunaan aparatur
pemerintah daerah
60
Mengoptimalisasi
sumber-sumber
pendapatan asli daerah.
Adanya optimalisasi
sumber-sumber
pendapatan asli
daerah
Terwujudnya sistem dan
kelembagaan yang dapat
mengoptimalisasi sumber
– sumber pendapatan Asli
daerah.
Meningkatkan kuantitas
dan kualitas
infrastruktur.
Mewujudkan
infrastruktur daerah
baik, baik dari sisi
kuantitas maupun
kualitas
Meningkatkan kuantitas
infrastruktur daerah.
Terwujudnya
infrastruktur daerah yang
berkualitas
Memajukan sektor
pendidikan
Mewujudkan sektor
pendidikan yang maju
Terwujudnya sistem
birokrasi pendidikan yang
baik dan bermutu.
Terwujudnya
pendayagunaan dan
pemberdayaan tenaga
pendidikan yang
berkualitas.
Pembenahan tata ruang
kota
Mewujudkan tata
ruang kota yang baik
dan terpadu
Terwujudnya tata ruang
kota yang berbasis
potensi sumberdaya
lokal, geostrategis, dan
lingkungan
Menekan angka
pengangguran,
mengurangi jumlah dan
persebaran penduduk
miskin
Menekan angka
pengangguran, dan
mengurangi jumlah
dan pesebaran
penduduk miskin
Terwujudnya situasi
ekonomi yang kondusif,
yang mampu mendorong
terciptanya lapangan
pekerjaan baru baik
formal maupun informal
Terwujudnya jaringan
infrastruktur yang
mampu menunjang
kegiatan produksi,
distribusi dan pemasaran
sektor primer dan
agribisnis
Meningkatkan daya Menguatkan daya Terwujudnya peningkatan
61
saing daerah saing untuk
memajukan daerah
Padangsidimpuan
kualitas sumber daya
manusia yang unggul
Terwujudnya
perekonomian daerah
yang kuat
Terwujudnya daya
dukung pengembangan
usaha.
4.2 Tema Pembangunan Tahun 2013
RKPD Kota Padangsidimpuan Tahun 2015 merupakan tahun kedua
pelaksanaan RPJMD Kota Padangsidimpuan 2013-2017. Fokus prioritas
dalam pentahapan pelaksanaan RPJMD Kota Padangsidimpuan
dinyatakan sebagai tema pembangunan tahunan, di mana Tema
Pembangunan untuk Tahun 2015 adalah “Lingkungan Sehat Maju
Sejahtera Berbasis Perencanaan Wilayah”.
Lingkungan maksudnya disini adalah Segala sesuatu yang ada
disekitar manusia yang mempengaruhi perkembangan kehidupan
manusia baik langsung maupun tidak langsung.
Sehat Maksudnya disini adalah sehat manusianya dan juga sehat
lingkungannya. Sehat manusianya adalah suatu kondisi dimana SDM
dan masyarakat Kota Padangsidimpuan sehat secara Jasmani dan juga
sehat secara Rohani. Sehat lingkungan yaitu bermakna sehatnya
lingkungan pergaulan yang tumbuh secara kondusif antara lembaga dan
antar kelompok masyarakat sehingga semakin memupuk dan
mempertinggi rasa kekeluargaan sesama warga kota. Sehat lingkungan
juga bermakna pengelolaan pemerintahan Kota Padangsidimpuan
berlangsung secara good and clean government.
Maju mempunyai makna melangkah kedepan untuk menciptakan
kondisi yang lebih baik dari sebelumnya, baik pelayanan publik, sosial
ekomomi masyarakat Kota Padangsidimpuan, maupun dalam arti
tatakelola pemerintahan.
Sejahtera mempunyai makna Suatu keadaan atau kondisi
kehidupan manusia yang tercipta ketika berbagai permasalahan sosial
dapat dikelola dengan baik, kebutuhan dasar dapat terpenuhi serta
kesempatan sosial bisa dimaksimalisasi.
Perencanaan wilayah mempunyai makna Perencanaan
penggunaan ruang wilayah dan perencanaan aktifitas pada ruang
62
wilayah tersebut dengan mempertimbangkan potensi dan sumber daya
yang tersedia.
Lingkungan Sehat Maju Sejahtera Berbasis Perencanaan Wilayah
mempunyai makna suatu kondisi dimana terpenuhinya berbagai
kebutuhan masyarakat baik dibidang Infrastruktur lingkungan, ekonomi
dan sosial budaya yang layak untuk kehidupan masyarakat dan
makhluk lainnya menjadi suatu kawasan yang aman dan nyaman yang
mengacu kepada penggunaan ruang wilayah.
4.3 Prioritas Rencana Pembangunan Kota Padangsidimpuan Tahun 2015
Berdasarkan isu-isu strategis dan permasalahan-permasalahan
pembangunan yang ada di Kota Padangsidimpuan ditetapkan Prioritas
Rencana Pembangunan Kota Padangsidimpuan Tahun 2015 sebagai
berikut:
1. Peningkatan Infrastruktur Permukiman
2. Peningkatan Kualitas Pendidikan dan Sumberdaya Manusia
3. Peningkatan Pertumbuhan Ekonomi
4. Penanggulangan Kemiskinan
5. Peningkatan Kualitas Aparatur Pemerintahan
4.3.1 Arah Kebijakan Pembangunan Kota Padangsidimpuan Tahun 2015
Dalam rangka pencapaian prioritas pembangunan Kota
Padangsidimpuan Tahun 2015 ditetapkan arah kebijakan
pembangunan Kota Padangsidimpuan yang menjadi acuan bagi SKPD
dalam penyusunan program dan kegiatan pada Tahun 2015 yang akan
termuat dalam Renja SKPD masing-masing.
No. Prioritas Arah Kebijakan
1. PENINGKATAN INFRASTRUKTUR
PERMUKIMAN
• Meningkatnya Kualitas dan
Kuantitas pelayanan Air Bersih
• Membangun infrastruktur yang
memadai, yang dapat
mendorong pengembangan
potensi ekonomi
• Meningkatkan kualitas system
jaringan Drainase
• Meningkatkan kualitas sarana
dan prasarana persampahan
• Menciptakan Ruang Terbuka
Hijau (RTH)
2. PENINGKATAN KUALITAS
PENDIDIKAN DAN SUMBERDAYA
• Pengoptimalan pelaksanaan
kurikulum pendidikan.
63
MANUSIA • Meningkatkan kualitas dan
kuantitas sarana dan
prasarana pendidikan
• Menuntaskan wajib belajar 9
tahun dengan basis inklusif
• Mengoptimalkan penggunaan
Dana BOS
3. PENINGKATAN PERTUMBUHAN
EKONOMI
• Peningkatan pusat-pusat
perdagangan dan jasa
• Perbaikan sarana – prasana
perdagangan
• Mengembangkan industri
kreatif
• Mendorong lahir dan
berkembangnya ekonomi
kreatif
• Peningkatan nilai tambah
sektor primer (pertanian,
perikanan, dan perternakan)
melalui agribisnis.
• Penguatan Pelaku Usaha Mikro
Kecil Menengah Dalam Rangka
Mendorong Pengembangan
KUKM Berbasis ekonomi
Kerakyatan.
4. PENANGGULANGAN KEMISKINAN • Meningkatkan pelayanan
kesehatan perorangan dan
masyarakat
• Meningkatkan gizi masyarakat
• Menyediakan dan atau
meningkatkan jumlah
Jamkesda sehingga mampu
menampung seluruh
masyarakat tidak mampu di
Kota Padangsidimpuan
• Menyediakan sistem
pengaduan masyarakat, serta
model pengawasan sehingga
program Jamkesda tepat pada
sasaran
• Menyediakan jaminan
pelayanan pendidikan yang
berkualitas dan demokratis
• Menciptakan lapangan
pekerjaan baru baik formal
maupun informal
• Perbaikan Rumah Tidak layak
huni
• Meningkatkan akses
masyarakat miskin kepada
kebutuhan energy listrik
5. PENINGKATAN KUALITAS
APARATUR PEMERINTAHAN
• Meningkatkan kualitas
pengelolaan kegiatan internal
SKPD/unit kerja yang
menyangkut administrasi,
kinerja, SDM, sarana
prasarana dan keuangan
64
• Mengoptimalkan pelaksanaan
analisis jabatan dan
memantapkan kelembagaan
• Menyediakan pedoman etika
penyelenggaraan pemerintahan
dan budaya kerja
• Mengembangkan pelayanan
publik menuju pelayanan
prima
• Memperkuat pelaksanaan tata
pemerintahan dan pelayanan
berbasis kewilayahan
• Mengoptimalkan penyelesaian
persoalan Hukum
• Menyebarluaskan dan
meningkatkan pemahaman
masyarakat terhadap produk
hukum daerah
• Mengoptimalkan Penyusunan,
pengkajian, dan penegakan
produk hukum daerah dan
data hukum
• Mengintensifkan pembinaan
dalam rangka pengendalian
internal
• Mengembangkan Sistem
Pengendalian Internal
Pemerintah (SPIP) di seluruh
SKPD
• Membangun kerjasama dengan
pihak lain dalam upaya
pengawasan eksternal kenirja
pemerintahan
• Meningkatkan konsistensi
perencanaan pembangunan
yang partisipatif
• Menguatkan jejaring penelitian
dan pengembangan
pembangunan
• Mengembangkan data dan
statistic Pembangunan
• Mengefektikan pengendalian
dan evaluasi Pembangunan
• Menyediakan regulasi bagi
pengembangan manajemen
kepegawaian dan
pengembangan pola karir
65
BAB V
RENCANA PROGRAM DAN KEGIATAN PRIORITAS DAERAH
Program Prioritas yaitu program yang diselenggarakan oleh SKPD yang
merupakan program prioritas baik secara langsung maupun tidak langsung
mendukung capaian program pembangunan daerah atau prioritas dan sasaran
pembangunan daerah, serta berhubungan dengan pemenuhan kebutuhan
dasar dan syarat layanan minimal.
Suatu program prioritas pada prinsipnya dibagi menjadi:
Prioritas I
Prioritas I merupakan program pembangunan daerah yang harus dilaksanakan
oleh Walikota Padangsidimpuan, termasuk untuk prioritas bidang pendidikan
20 % (dua puluh persen) dan bidang Kesehatan serta urusan umum sarana
dan prasarana umum.
Program prioritas I harus berhubungan langsung dengan kepentingan publik,
bersifat monumental, berskala besar, dan memiliki kepentingan dan nilai
manfaat yang tinggi, memberikan dampak luas pada masyarakat dengan daya
ungkit yang tinggi pada capaian visi/misi Walikota Padangsidimpuan yaitu
Mewujudkan Padangsidimpuan yang Sehat Maju dan Sejahtera. Di samping
itu, prioritas I juga diperuntukkan bagi prioritas belanja wajib.
Prioritas II
Program Prioritas II merupakan program prioritas ditingkat SKPD yang
merupakan penjabaran dari analisis per urusan. Suatu prioritas II
berhubungan dengan program/kegiatan unggulan SKPD yang paling
berdampak luas pada masing-masing segmentasi masyarakat yang dilayani
sesuai dengan prioritas dan permasalahan yang dihadapi berhubungan dengan
layanan dasar serta tugas dan fungsi SKPD termasuk peningkatan kapasitas
kelembagaan di Kota Padangsidimpuan.
Prioritas III
Prioritas III merupakan prioritas yang dimaksudkan untuk alokasi belanja-
belanja tidak langsung seperti: tambahan penghasilan PNS, belanja hibah,
belanja bantuan sosial organisasi kemasyarakatan, belanja bantuan keuangan
kepada provinsi/kabupaten/kota dan pemerintahan desa serta belanja tidak
66
terduga. Pengalokasian dana pada prioritas III harus memperhatikan
(mendahulukan) pemenuhan dana pada prioritas I dan II terlebih dahulu
untuk menunjukkan urutan prioritas yang benar.
Penetapan persentase tiap tahun sesuai urutan prioritas (I, II, dan III)
bukan menunjukkan urutan besarnya persentase tetapi lebih untuk keperluan
pengurutan pemenuhan kebutuhan pendanaannya. Besar persentase
ditentukan sesuai analisis umum tentang kapasitas pendanaan dari program
prioritas yang dibayangkan akan menunjang prioritas dimaksud. Evaluasi atau
analisis dari penyelenggaraan pembangunan daerah dimasa lalu cukup baik
untuk mendapatkan gambaran yang diinginkan. Penetapan persentase
masing-masing prioritas bersifat indikatif sebagai panduan awal tim perumus
dalam menetapkan pagu program atau pagu SKPD.
Program prioritas yang berhubungan dengan prioritas pembangunan
daerah mengacu pada program prioritas pembangunan RPJMD Kota
Padangsidimpuan Tahun 2013-2017, di mana prioritas program tersebut telah
menggambarkan target indikator capaian kinerja beserta pagu indikatif tahun
2015. Program prioritas pembangunan daerah RPJMD oleh SKPD dalam
Renstra SKPD, masing-masing program dijabarkan kedalam kegiatan disertai
pagunya.
Selanjutnya di RKPD, dalam hal terjadi perhitungan kapasitas keuangan
daerah tahun rencana yang berbeda dengan perhitungan RPJMD maka atas
kelebihan/kekurangan dana pagu tersebut dialokasikan untuk
program/kegiatan alternatif dan program kegiatan baru. Suatu program
kegiatan baru yaitu program dan kegiatan yang tidak tercantum pada renstra
SKPD dengan kriteria sebagai berikut:
1. Tidak bisa ditunda karena dapat menimbulkan kerugian yang lebih besar
bagi pemerintah maupun masyarakat;
2. Dalam rangka mempercepat capaian sasaran SKPD;
3. Adanya kebijakan pemerintah yang menjadi prioritas nasional yang
mendukung percepatan pembangunan daerah;
4. Dilakukan jika kegiatan-kegiatan yang dilaksanakan sebelumnya belum
memberikan keluaran dan hasil yang sesuai dengan sasaran Renstra
SKPD.
Pagu indikatif setiap program pembangunan dihitung berdasarkan
capaian indikator program pembangunan yang dilakukan oleh tim penyusun
RKPD,dengan langkah-langkah sebagai berikut:
67
1. Menentukan rencana penggunaan kapasitas riil anggaran berupa alokasi
belanja langsung dan belanja tidak langsung sebagaimana telah dihitung
dalam perumusan kerangka pendanaan.
2. Menentukan keluaran/output setiap kegiatan.
3. Menghitung alokasi pagu dari setiap output kegiatan untuk setiap program.
4. Menghitung alokasi pagu setiap program setelah output kegiatan pada
setiap program diverifikasi kebenarannya.
5. Menghitung alokasi SKPD berdasarkan program yang menjadi tanggung
jawab SKPD.
Elemen-elemen utama program prioritas memuat kegiatan yang akan
dilaksanakan, kerangka waktu pelaksanaan dan SKPD yang
bertanggungjawab. Program yang disusun harus dapat dilaksanakan dengan
mempertimbangkan keterbatasan waktu, anggaran, kapasitas dan sumberdaya
yang dimiliki daerah.
Setiap program prioritas harus memiliki indikator kinerja yang jelas dan
dapat diukur tingkat capaiannya. Pencapaian kinerja program merupakan
akumulasi dari pencapaian kinerja keluaran masing-masing kegiatan.
Selanjutnya, program prioritas dan pagu indikatif yang telah ditetapkan
untuk rancangan awal RKPD, disampaikan ke SKPD sesuai program terkait
beserta pagu indikatif untuk diproses lebih lanjut untuk mendapatkan
kegiatan prioritas masing-masing program dimaksud. Dalam penyusunan
prioritas kegiatan SKPD juga memperhatikan kegiatan yang telah disusun
dalam dokumen Renstra SKPD sehingga terjadi keselarasan dalam
penyusunan program dan kegiatan yang telah disusun oleh Pemerintah Daerah
dan SKPD.
Program dan capaian kinerja yang mengacu pada RPJMD Kota
Padangsidimpuan 2013-2017 sebagaimana tabel dibawah ini:
68
Tabel V. 1
Indikasi Program Prioritas Pembangunan
Kota Padangsidimpuan 2015
Bidang urusan Pemerintahan dan Program Prioritas
Pembangunan
Indikator Kinerja Program (Outcome)
SKPD Penanggung Jawab
Target
1 2 4 6
URUSAN WAJIB
Program Internal SKPD Meningkatnya Kelancaran Internal SKPD 100 % Semua SKPD/ Unit Kerja
PENDIDIKAN
Program Pendidikan Anak Usia Dini Tercapainya APK PAUD 95 % SKPD Pengampu Pendidikan
Program Wajib Belajar Pendidikan Dasar 9 Tahun 95 % SKPD Pengampu Pendidikan
Tercapainya APM SD/MI 100,61
Tercapainya APM SMP/MTs 97,10
Tercapainya APK SD/MI 119,04
Tercainya APK SMP/MTs 99,92
Mempertahankan rasio ketersediaan sekolah/
penduduk usia SD
84,53
Mempertahankan rasio ketersediaan sekolah/
penduduk usia SMP
87,88
Prosentase angka putus sekolah SD/MI (%) 0,02
Prosentase angka putus sekolah SMP/MTs (%) 0,02
Prosentase angka kelulusan SD/MI (%) 100,75
Prosentase angka kelulusan SMP/MTs (%) 100,63
69
Bidang urusan Pemerintahan dan Program Prioritas
Pembangunan
Indikator Kinerja Program (Outcome)
SKPD Penanggung Jawab
Target
1 2 4 6
Meningkatnya prosentase angka melanjutkan SD/MI
ke SMP/MTs (%)
100,58
Meningkatnya prosentase angka melanjutkan
SMP/MTs ke SMA/SMK/MA (%)
99,92
Prosentase peningkatan pemerataan dan pelayanan
dikdas (%)
100,75
Meningkatnya prosentase sarana dan parasarana
pendidikian dasar kondisi baik (%)
99,56
Program Pendidikan Menengah 95.00% SKPD Pengampu Pendidikan
Tercapainya APM SMA/SMK//MA 85,88
Tercapainya APK SMA/SMK/MA 90,56
Mempertahankan rasio ketersediaan
sekolah/penduduk usia sekolah
87,80
Prosentase angka putuis sekolah SMA/SMK/MA (%) 3,03
Meningkatnya prosentase angka kelulusan
SMA/SMK/MA (%)
100,60
Program Pendidikan Non Formal 95.00% SKPD Pengampu Pendidikan
Meningkatkan lulusan program kesetaraan yang
bermutu (Paket A/B dan C)
100
70
Bidang urusan Pemerintahan dan Program Prioritas
Pembangunan
Indikator Kinerja Program (Outcome)
SKPD Penanggung Jawab
Target
1 2 4 6
Kwalifikasi S1 Pendidik TK 100,60
Kwalifikasi Pendidikan PAUD Non Formal Terlatih 88,11
Meningkatnya lembaga pendidikan luar sekolah
(kursus kelembagaan yang berkwalitas)
76,37
PBM Pendidikan SLB Negeri Terselenggaranya Pendidikan SLB di Kota
Padangsidimpuan
95.00%
SKPD Pengampu Pendidikan
Program Peningkatan Mutu Pendidik Dan Tenaga
Kependidikan
95.00% SKPD Pengampu Pendidikan
Prosentase Guru TK Berkwalifikasi Akademik S1/D4. 99,94
Prosentase Pendidik PAUD Non Formal
Berkwalifikasi S1/D4.
87,21
Prosentase TK Guru Formal Bersertifikat Pendidik. 75,72
Prosentase Guru SD Berkwalifikasi Akademik
S1/D4.
87,67
Prosentase Guru SD Bersertifikat Pendidik. 87,13
Prosentase Guru SMP Berkwalifikasi Akademik
S1/D4.
98,31
Prosentase Guru SMP Bersertifikat Pendidik. 99,16
Prosentase Guru SMA Berkwalifikasi Akademik
S1/D4.
99,96
Prosentase Guru SMA Bersertifikat Pendidik. 99,97
71
Bidang urusan Pemerintahan dan Program Prioritas
Pembangunan
Indikator Kinerja Program (Outcome)
SKPD Penanggung Jawab
Target
1 2 4 6
Prosentase Guru SMK Berkwalifikasi Akademik
S1/D4.
100,05
Prosentase Guru SMK Bersertifikat Pendidik. 89,42
Prosentase Guru SMK Bersertifikat Kompetensi. 77,36
Persentase tenaga kependidikan satuan pendidikan
non formal yang mengikuti diklat kompetensi.
75,71
Persentase pendidik dan tenaga kependidikan yang
memperoleh kesejahteraan
100,09
Program Pengembangan Budaya Baca dan Pembinaan
Perpustakaan
Terselenggaranya Kegiatan Operasional
Perpustakaan Daerah
95.00% SKPD Pengampu Pendidikan
Program Manajemen Pelayanan Pendidikan Prosentase kwalitas pelayanan pendidikan dan
pemerataan jangkauan pelayanan pendidikan
95.00% SKPD Pengampu Pendidikan
KESEHATAN
Upaya Kesehatan
Program Pencegahan dan Pemberantasan Penyakit
Cakupan Desa/Kelurahan Universal Child
immunization
40% Dinkes
Cakupan Penemuan dan Penanganan Penderita
Penyakit
80% Dinkes
Cakupan Desa/Kelurahan mengalami KLB yang
dilakukan Penyelidikan Epidemiologi <24 Jam
100% Dinkes
72
Bidang urusan Pemerintahan dan Program Prioritas
Pembangunan
Indikator Kinerja Program (Outcome)
SKPD Penanggung Jawab
Target
1 2 4 6
Program Lingkungan Sehat
Persentase penduduk yang memiliki akses terhadap
air yang berkualitas
73% Dinkes
Persentase Penduduk yang Menggunakan Jamban
sehat
59% Dinkes
Persentase Cakupan sarana Industri Tempat
Pengolahan Makanan yang memenuhi syarat
67% Dinkes
Persentase Cakupan Tempat-Tempat Umum yang
memenuhi syarat kesehatan
69% Dinkes
Program Perbaikan Gizi Masyarakat
Cakupan Pemberian makanan Pendamping ASI pada
anak 6-24 bulan keluarga miskin
100%
Dinkes
Cakupan balita gizi buruk mendapat perawatan 100% Dinkes
Program Pelayanan Kesehatan Perorangan dan
Masyarakat Cakupan kunjungan ibu hamil K4 77% Dinkes
Cakupan komplikasi kebidanan yang ditangani 44% Dinkes
Cakupan pertolongan persalinan oleh tenaga
kesehatan yang memiliki kompetensi kebidanan
79.3% Dinkes
cakupan pelayanan nifas 77% Dinkes
Cakupan neonatus dengan komplikasi yang
ditangani
67% Dinkes
Cakupan kunjungan bayi 78% Dinkes
73
Bidang urusan Pemerintahan dan Program Prioritas
Pembangunan
Indikator Kinerja Program (Outcome)
SKPD Penanggung Jawab
Target
1 2 4 6
Cakupan Pelayanan Anak Balita 83% Dinkes
Cakupan penjaringan kesehatan siswa SD dan
setingkat
87% Dinkes
Cakupan peserta KB aktif 75% Dinkes
Cakupan pelayanan gawat darurat level 1 yang harus
dirujuk ke sarana kesehatan (RS) di Kabupaten/Kota
100%
Dinkes
Pembiayaan Kesehatan
Program Pembiayaan Kesehatan Masyarakat
Cakupan Pelayanan Kesehatan dasar Masyarakat
Miskin
100%
Dinkes
Cakupan Pelayanan Kesehatan rujukan pasien
Masyarakat Miskin
90% Dinkes
Sumber Daya Manusia Kesehatan
Program Peningkatan Jumlah, Mutu, dan Penyebaran
Tenaga Kesehatan
Persentase ketersediaan dan mutu Sumber Daya
Manusia Kesehatan sesuai dengan standar
kompetensi
80% Dinkes
Obat dan Perbekalan Kesehatan
Program Ketersediaan, Pemerataan, Mutu Obat dan
Keterjangkauan Harga Obat, serta Perbekalan
Kesehatan
Persentase Ketersediaan Obat dan Vaksin 100% Dinkes
Pemberdayaan Masyarakat
Pemberdayaan Individu, Keluarga dan Masyarakat Cakupan Desa Siaga Aktif 80% Dinkes
74
Bidang urusan Pemerintahan dan Program Prioritas
Pembangunan
Indikator Kinerja Program (Outcome)
SKPD Penanggung Jawab
Target
1 2 4 6
Berperilaku Hidup Bersih dan Sehat dan
Pengembangan Upaya Kesehatan Berbasis Masyarakat
(UKBM)
Manajemen Kesehatan
Kebijakan Kesehatan Jumlah Produk Hukum Bidang Kesehatan yang
diselesaikan
7 Dinkes
Peningkatan Pengawasan dan Akuntabilitas Jumlah Kasus yang dilakukan penyidikan 100% Dinkes
Jumlah kasus penyidikan yang di tangani 100% Dinkes
Pengembangan Sistem Informasi Kesehatan Persentase Ketersediaan Laporan Puskesmas 100% Dinkes
Persentase Ketersediaan Laporan KLB 100% Dinkes
Program Pengembangan Sarana dan Prasarana
Kesehatan
Persentase Pengelolaan Sarana dan Prasarana
Kesehatan Sesuai Standar
100% Dinkes
Program Pembiayaan Kesehatan Persentase Pembiayaan Bidang Kesehatan 7% Dinkes
Program Pengadaan Peningkatan Sarana Prasarana
RS, RS Jiwa/RS Paru/RS Mata
Persentase Ketersediaan Sarana dan Prasarana
Rumah Sakit
100% RSUD Padang Sidimpuan
Program Pemeliharaan Sarana dan Prasarana RS Terpenuhinya Kebutuhan Sarana dan Prasarana
Pelayanan di Rumah Sakit Sesuai Standart
70% RSUD Padang Sidimpuan
Program Pengembangan RS dan Standarisasi
Pelayanan Kesehatan Rumah Sakit
- Sertifikat RS Lulus BLUD 75% RSUD Padang Sidimpuan
- Jumlah Kunjungan Pasien Rawat Jalan 20% RSUD Padang Sidimpuan
- Jumlah Kunjungan Pasien Rawat Inap 20% RSUD Padang Sidimpuan
75
Bidang urusan Pemerintahan dan Program Prioritas
Pembangunan
Indikator Kinerja Program (Outcome)
SKPD Penanggung Jawab
Target
1 2 4 6
- Jumlah Kunjungan Pasien IGD 20% RSUD Padang Sidimpuan
- Jumlah Standart Mutu Pelayanan Kesehatan yang
Memenuhi Standart SPM 75% RSUD Padang Sidimpuan
Program Kemitraan Pelayanan Kesehatan Pasien
Miskin/Askes
- Jumlah Pasien Jamkesmas 90% RSUD Padang Sidimpuan
- Jumlah Pasien Jamkesda 89% RSUD Padang Sidimpuan
- Jumlah Pasien ASKES 80% RSUD Padang Sidimpuan
PEKERJAAN UMUM
Program Pembangunan Saluran Drainase/Gorong-
Gorong
Tersedianya Sarana Saluran Drainase/Gorong-
Gorong
100% SKPD Pengampu drainase
Program Pemberdayaan Komunitas Perumahan Tersedianya Sarana Pemberdayaan Komunitas
Perumahan
100%
SKPD Pengampu Sarpras
perumahan
Program Pembangunan Infrastruktur Pedesaan Tersedianya Pembangunan Infrastruktur Pedesaan 100% SKPD Pengampu drainase
Program Pembangunan Jalan dan Jembatan Terlaksananya Pembangunan Jalan dan Jembatan
100%
SKPD Pengampu Jalan dan
Jembatan
Program Peningkatan Jalan dan Jembatan Terlaksananya Peningkatan Jalan dan Jembatan
100%
SKPD Pengampu Jalan dan
Jembatan
Program Rehabilitasi/ Pemelihraan Jalan dan
Jembatan
Terlaksananya Rehabilitas/ Pemeliharaan Jalan dan
Jembatan
100%
SKPD Pengampu Jalan dan
Jembatan
76
Bidang urusan Pemerintahan dan Program Prioritas
Pembangunan
Indikator Kinerja Program (Outcome)
SKPD Penanggung Jawab
Target
1 2 4 6
Program Pengembangan dan Pengelolaan Jaringan
Irigasi,Rawa, dan Jaringan Pengairan Lainnya
Terlaksananya Pembangunan, Peningkatan,
Rehabilitasi/Pemeliharaan Jaringan Irigasi
100% SKPD Pengampu Pengairan
Program Pengendalian Banjir Terlaksananya Pembangunan Pengendalian Banjir 100% SKPD Pengampu Pengairan
Program Pengembangan Kinerja Pengelolaan
Persampahan
Meningkatnya kebersihan lingkungan kota
padangsidimpuan
100% SKPD Pengampu Persampahan
PERENCANAAN PEMBANGUNAN
Program Pemanfaatan Ruang Terlaksananya pembangunan di Kota
Padangsidimpuan
98%
SKPD Pengampu Perencanaan
Pembangunan
Program Kerjasama Pembangunan Bantuan kepada Masyarakat 100 %
Tersedianya Dokumen Data dan Laporan Kemiskinan
di Kota PSP
65%
TerlaksananyaDokumen RKPD 95%
Terjalinnya kerjasama antar daerah 56%
Program Perencanaan Pembangunan Daerah Dokumen RPJMD Kota Padangsidimpuan -
Monitoring, Evaluasi dan Pelaporan Kegiatan Lintas
Sektoral
100 %
Dokumen LKPJ Tahun Anggaran 100 %
Dokumen LKPJ Akhir Masa Jabatan -
Dokumen Laporan Kinerja Pemerintah Daerah (
LAKIP ) Kota P.Sidimpuan tentang tepat waktu
100%
77
Bidang urusan Pemerintahan dan Program Prioritas
Pembangunan
Indikator Kinerja Program (Outcome)
SKPD Penanggung Jawab
Target
1 2 4 6
Terlaksananya Musrenbang Kota 100%
Terlaksananya Musrenbang RKPD 100%
Tersedianya Dokumen RKPD 95%
Termonitornya Kegiatan Pembangunan Daerah -
Program Peningkatan Kapasitas kelembagaan
Perencanaan Pembangunan
Laporan Riset Daerah tentang kemajuan Iptek untuk
mendukung Perencanaan Pembangunan
100 %
SKPD Pengampu Perencanaan
Pembangunan
Dokumen Renstra SKPD 100 %
Tersedianyadokumen RAD MDG’S Kota PSP 55%
Meningkatnya SDM Aparatur Perencana 74%
Terlaksananya Bimtek dan Sosialisasi BAPPEDA 98%
PERHUBUNGAN
Program Pembangunan Prasarana Perhubungan Meningkatkan Pelayanan Masyarakat 100% SKPD Pengampu Perhubungan
Program Rehabilitasi dan Pemeliharaan Prasarana dan
Fasilitas LLAJ
Peningkatan Pemeliharaan Fasilitas Perhubungan
100 % SKPD Pengampu Perhubungan
Program Peningkatan Pelayanan Angkutan Meningkatkan Ketertiban Berlalu Lintas 100 % SKPD Pengampu Perhubungan
LINGKUNGAN HIDUP
Program Peningkatan Kualitas & Akses Informasi SDA
dan Lingkungan Hidup
Meningkatnya Wawasan dan Informasi tentang
lingkungan hidup
100%
SKPD Pengampu Lingkungan
Hidup
Program Peningkatan Pengendalian, pencemaran dan
kerusakan lingkungan hidup
Meningkatnya wawasan pelaku usaha dan atau
kegiatan tentang lingkungan hidup sesuai dengan
100%
SKPD Pengampu Lingkungan
Hidup
78
Bidang urusan Pemerintahan dan Program Prioritas
Pembangunan
Indikator Kinerja Program (Outcome)
SKPD Penanggung Jawab
Target
1 2 4 6
baku mutu
Program Pengelolaan Ruang Terbuka Hijau (RTH) Tercapainya RTH 100% SKPD Pengampu RTH
Program pengembangan kapasitas pengelolaaan
sumber daya alam dan lingkungan hidup
Meningkatkan pengetahuan dan informasi tentang
peraturan pengelolaan sumber daya alam dan
lingkungan hidup
30%
SKPD Pengampu Lingkungan
Hidup
Program perlindungan dan konservasi sumber daya
alam
Meningkatkan jumlah masyarakat yang mengetahui
tentang keanekaragaman hayati dan konservasi
sember daya alam
30%
SKPD Pengampu Lingkungan
Hidup
KEPENDUDUKAN DAN CATATAN SIPIL
ProgramPelayanan Dokumen dan Surat-Surat
Kependudukan
Penerbitan Dokumen dan Surat-surat
Kependudukan
100%
SKPD Pengampu Kependudukan
dan Catatan Sipil
ProgramPelayanan Permohonan Dokumen Pencatatan
Sipil
Penerbitan Dokumen pencatatan sipil 100%
Program Implementasi Sistem Informasi Administrasi
Kependudukan
SIAK berfungsi dengan baik 100%
PEMBERDAYAAN PEREMPUAN DAN
PERLINDUNGAN ANAK
Program keserasian kebijakan peningkatan kualitas
anak dan perempuan
Meningkatnya Kualitas Hidup Perempuan di Bidang
Ilmu Pengetahuan, Politik dan Jabatan Publik
100 %
SKPD Pengampu Perempuan dan
Anak
Program penguatan kelembagaan pengarus-utamaan
gender dan anak
Peningkatan Kesehatan Kaum Perempuan dan Angka
Harapan Hidup Perempuan
100 %
Program peningkatan kualitas hidup dan perlindungan
perempuan
Meningkatnya Pemahaman Perempuan tentang
Reproduksi Sehat dan Hak Reproduksi
100 %
79
Bidang urusan Pemerintahan dan Program Prioritas
Pembangunan
Indikator Kinerja Program (Outcome)
SKPD Penanggung Jawab
Target
1 2 4 6
Program peningkatan peran serta dan kesetaraan
gender dalam pembangunan
Peningkatan Keterampilan dan Kualitas SDM Kaum
Perempuan
100 %
KELUARGA BERENCANA DAN KELUARGA
SEJAHTERA
Program Keluarga Berencana Meningkatnya Pemahaman Pasangan Usia Subur
(PUS) tentang Program Keluarga Berencana
100 % SKPD Pengampu KB/KS
Program Kesehatan Reproduksi Remaja (KRR) Meningkatnya Pemahaman Remaja tentang
Kesehatan Refroduksi Remaja (KRR)
100 % SKPD Pengampu KB/KS
Program Pelayanan Kontrasepsi Meningkatnya Pelayanan terhadap peserta KB Baru
dan KB Aktif
100 % SKPD Pengampu KB/KS
Program Pembinaan Peran Serta Masyarakat Dalam
Pelayanan KB/KR yang Mandiri
Meningkatnya Pelayanan KB dan Pemberdayaan
Ekonomi Keluarga
100 % SKPD Pengampu KB/KS
Program Promosi Kesehatan Ibu Bayi dan Anak melalui
Kegiatan Kelompok di Masyarakat
Meningkatnya Pemaham Masyarakat tentang
Kesehatan ibu, bayi dan anak
100 % SKPD Pengampu KB/KS
Program Pengembangan Pusat Pelayanan Informasi
dan Konseling KRR
Tersebarluaskannya Informasi Kesehatan Reproduksi
Remaja kepada Generasi Muda
100 % SKPD Pengampu KB/KS
Program Peningkatan Penanggulangan Narkoba, PMS
termasuk HIV/AIDS
Meningkatnya Pengetahuan Remaja akan bahaya
Narkoba, PMS termasuk HIV/AIDS
100 % SKPD Pengampu KB/KS
80
Bidang urusan Pemerintahan dan Program Prioritas
Pembangunan
Indikator Kinerja Program (Outcome)
SKPD Penanggung Jawab
Target
1 2 4 6
Program Pengembangan Bahan Informasi tentang
Pengasuhan dan Pembinaan Tumbuh Kembang Anak
Terpenuhinya Sarana Prasarana Kelompok Bina
Keluarga di Kecamatan
100 % SKPD Pengampu KB/KS
Program Penyiapan Tenaga Pendamping Kelompok
Bina Keluarga
Meningkatnya Kapasitas Pengasuhan dan
Pembinaan Tumbuh Kembang Anak
100 % SKPD Pengampu KB/KS
Program pengembangan model operasional bkb-
posyandu-padu
Meningkatnya Koordinasi Lintas Sektor tentang
Peningkatan dan Pembinaan Tumbuh Kembang
Anak
100 % SKPD Pengampu KB/KS
SOSIAL
Program Pemberdayaan Fakir Miskin, Komunikasi
Adat Terpencil (KAT) & Penyandang Masalah
Kesejahteraan Sosial (PMKS) Lainnya
Meningkatnya Pelayanan bagi Fakir Miskin
60 Org SKPD Pengampu Sosial dan
Tenaga Kerja6 Kec
Program Pelayanan dan Rehabilitasi Kesejahteraan
Sosial
Meningkatkan Kesejahteraan PMKS
SKPD Pengampu Sosial dan
Tenaga Kerja
300 Org
300 Org
20 Org
30 Unit
Program Pembinaan Panti Asuhan/Panti Jompo Meningkatkan Keterampilan Penghuni Panti SKPD Pengampu Sosial dan
81
Bidang urusan Pemerintahan dan Program Prioritas
Pembangunan
Indikator Kinerja Program (Outcome)
SKPD Penanggung Jawab
Target
1 2 4 6
Asuhan/Panti Jompo 20 Org Tenaga Kerja
Program Pembinaan Para Penyandang Cacat dan
Trauma
Peningkatan Keterampilan Penyandang Cacat
SKPD Pengampu Sosial dan
Tenaga Kerja
24 Org
Program Pemberdayaan Kelembagaan Kesejahteraan
Sosial
Meningkatnya pelayanan terhadap kelembagaan
Kessos
SKPD Pengampu Sosial dan
Tenaga Kerja
100 Org
50 Org
150 Org
6 KEc
2 unit
KETENAGAKERJAAN
Program Peningkatan Kualitas dan Produktivitas
Tenaga Kerja
Peningkatan Kualitas dan Produktivitas Tenaga Kerja SKPD Pengampu Sosial dan
Tenaga Kerja120 Org
Program Peningkatan Kesempatan Kerja
Terinformasikannya informasi pasar kerja
SKPD Pengampu Sosial dan
Tenaga Kerja
6 Kec
3 Paket
Program Perlindungan dan Pengembangan Lembaga
Ketenagakerjaan
Tercapainya Penegakan Hukum, Keselamatan dan
Kesehatan Kerja
SKPD Pengampu Sosial dan
Tenaga Kerja4 Kasus
82
Bidang urusan Pemerintahan dan Program Prioritas
Pembangunan
Indikator Kinerja Program (Outcome)
SKPD Penanggung Jawab
Target
1 2 4 6
50 Org
94 Prsh
94 Prsh
1 Dok
1 Lemb.
KOPERASI DAN UMKM
Program Peningkatan Kwalitas Kelembagaan Koperasi Koperasi aktif dan berprestasi meningkat dengan
adanya bimbingan teknis dan koordinasi ke propinsi
dan pusat
20 kop
SKPD Pengampu Koperasi dan
UMKM
Program Pendidikan dan Pengembangan SDM Pelaksanaan Pendidikan/Latihan secara sistematis
dan berkelanjutan
4 Paket
SKPD Pengampu Koperasi dan
UMKM
Program Informasi dan Komunikasi Koperasi Membaiknya citra dan kepercayaan masyarakat
kepada koperasi dan meningkatkan keragaman
literatur yang berkaitan dgn koperasi
15 Exp
SKPD Pengampu Koperasi dan
UMKM
Meningkatnya Kesadaran Pengurus dan Anggota
Koperasi terhadap prinsip-prinsip koperasi
95 org
SKPD Pengampu Koperasi dan
UMKM
Program Penyelenggaraan Promosi Produk UMKM Terlaksanya Promosi Produk UMKM
1 Keg
SKPD Pengampu Koperasi dan
UMKM
Program Sosialisasi Dukungan Informasi Penyediaan
Permodalan
Optimalnya Informasi pada Pelaku Usaha
1 Keg
SKPD Pengampu Koperasi dan
UMKM
83
Bidang urusan Pemerintahan dan Program Prioritas
Pembangunan
Indikator Kinerja Program (Outcome)
SKPD Penanggung Jawab
Target
1 2 4 6
Program Pengembangan Sarana Pemasaran Produk
UMKM
Tersalurnya Sarana Pemasaran Produk UMKM 20 ukm SKPD Pengampu Koperasi dan
UMKM
Program Penciptaan Iklim Usaha yang kondusip Berkembangnya usaha mikro kecil menengah
1 keg
SKPD Pengampu Koperasi dan
UMKM
KEBUDAYAAN
Program pengelolaan keragaman budaya Terlestarikannya dan berkembangnya budaya
tradisional
60 % SKPD Pengampu Kebudayaan
Program pengelolaan kekayaan budaya Terlaksanya pengembangan databse dan informasi
sejarah purbakala
70 % SKPD Pengampu Kebudayaan
KEPEMUDAAN DAN OLAH RAGA
Program pengembangan dan keserasian kebijakan
pemuda
Terlaksananya rancangan pola kemitraaan antar
pemuda dengan masyarakat
60 %
SKPD Pengampu Pemuda Olah
Raga
Program peningkatan peran serta kepemudaan Tertanamnya rasa solidaritas dan jiwa
kepemimpinan bagi pemuda serta cinta tanah air
60 %
SKPD Pengampu Pemuda Olah
Raga
Program peningkatan upaya penumbuhan
kewirausahaan dan kecakapan hidup pemuda
Terciptanya pemuda yang mandiri dan berwirausaha
55 %
SKPD Pengampu Pemuda Olah
Raga
Program pengembangan kebijakan dan manajemen
olahraga
Terbinanya manajemen dan organisasi / lembaga
keolahragaan
70 %
SKPD Pengampu Pemuda Olah
Raga
Program pembinaan dan pemasyarakatan olahraga Terlaksananya kegiatan memasyarakatkan olahraga
dan mengolahragakan masyarakat
70 %
SKPD Pengampu Pemuda Olah
Raga
84
Bidang urusan Pemerintahan dan Program Prioritas
Pembangunan
Indikator Kinerja Program (Outcome)
SKPD Penanggung Jawab
Target
1 2 4 6
Program peningkatan sarana dan prasarana olahraga Tersedianya dan terpeliharanya sarana dan
prasarana olahraga
80 %
SKPD Pengampu Pemuda Olah
Raga
KESATUAN BANGSA DAN POLITIK DALAM NEGERI
Program Pemeliharaan Kantrantibmas dan Pecegahan
Tindak Kriminal
Terjaganya keamanan dan kenyamanan Lingkungan
74 % SKPD Pengampu Satpol PP
Program Pengembangan Wawasan Kebangsaan Tingkat Partisipasi Masyarakat dalam kehidupan
Bermasyarakat berbangsa dan bernegara
80 %
SKPD Pengampu Wawasan
Kebangsaan
Program peningkatan pemberantasan penyakit
masyarakat ( Pekat )
Terjaganya keamanan dan kenyamanan Lingkungan
60 % SKPD Pengampu Satpol PP
Program Pendidikan Politik Masyarakat Tingkat Partisipasi Masyarakat dalam bidang Politik
80 %
SKPD Pengampu Wawasan
Kebangsaan
OTONOMI DAERAH, PEMERINTAHAN UMUM,
ADMINISTRASI KEUANGAN DAERAH, PERANGKAT
DAERAH, KEPEGAWAIAN DAN PERSANDIAN
Program Peningkatan Sistem Pengawasan Internal
dan Pengendalian pelaksanaan kebijakan KDH.
Berkurangnya kasus pelanggaran hukum
100%
SKPD Pengampu Hukum
Program Peningkatan pelayanan kedinasan kepala
daerah/wakil kepala daerah
Terwujudnya peningkatan kualitas pelayanan
kedinasan Kepala Daerah/Wakil Kepala Daerah
100%
SKPD Pengampu Humas dan
Arsip
Program Peningkatan Kualitas Pelayanan,
Pemeliharaan dan Sistem Adminitrasi Kearsipan
Tercapainya Kualitas Pelayanan, Pemeliharaan dan
Sistem Adminitrasi Kearsipan
100%
SKPD Pengampu Humas dan
Arsip
85
Bidang urusan Pemerintahan dan Program Prioritas
Pembangunan
Indikator Kinerja Program (Outcome)
SKPD Penanggung Jawab
Target
1 2 4 6
Program Penerapan Kepemerintahan yang baik Meningkatnya
pengelolaan Pemerintahan yang Akuntabel
100 % SKPD Pengampu Organisasi
Program Peningkatan Akuntabilitas Aparatur Meningkatnya persentase SKPD yang menerapkan
SAKIP
100 % SKPD Pengampu Organisasi
Program Perekonomian dan Kesejahteraan Rakyat Terlaksananya Hari-hari Besar Nasional dan
Keagamaan, dan Pelayanan Publik
100 % SKPD Pengampu Kesra
Program Kerjasama Investasi dan Promosi Terpromokasikannya hasil produksi pertanian, Home
Industri, Kerajinan, dan Adat Budaya Kota Psp
100 % SKPD Pengampu Kesra
Program Optimalisasi Pemanfaatan Teknologi
Informasi
Termanfaatkannya Sistem Teknologi dan Informasi
dalam Pelaksanaan Kegiatan Pembangunan
100 % SKPD Pengampu ADPEM
Program Mengintensifkan Penanganan Pengaduan
Masyarakat
Terpantau dan Terevaluasinya Pemanfaatan Dana
APBN dan APBD dalam Bidang Pembangunan
100 % SKPD Pengampu ADPEM
Program Peningkatan Kerjasama antar Pemerintah
Daerah
Tersusun dan Sinkronnya Kegiatan Pembangunan 100 % SKPD Pengampu Kerjasama
Daerah
Program Penataan Daerah Otonomi Baru Adanya Tapal Batas yang jelas antar
Desa/Kelurahan
100 % SKPD Pengampu ADPUM
Program Perencanaan Pembangunan Wilayah Strategis
Dan Cepat Tumbuh
Terlaksananya Penilaian Kecamatan Terbaik Tingkat
Kota dan Provinsi
100 % SKPD Pengampu ADPUM
Program Peningkatan Pelayanan Masyarakat Berbasis
Kewilayahan Kecamatan
Terlaksananya Pelayanan Administrasi Terpadu
Kecamatan (PATEN)
75 % SKPD Pengampu ADPUM
Program Peningkatan Kapasitas
Lembaga Perwakilan Rakyat Daerah
Berjalannya Peningkatan Kapasitas Lembaga
Perwakilan Rakyat Daerah
100 %
SKPD Pengampu Kesekretariatan
DPRD
86
Bidang urusan Pemerintahan dan Program Prioritas
Pembangunan
Indikator Kinerja Program (Outcome)
SKPD Penanggung Jawab
Target
1 2 4 6
Program Peningkatan Sistem Pengawasan Internal dan
Pengendalian Kebijakan
DPRD
Terlaksananya Peningkatan Sistem Pengawasan
Internal dan Pengendalian
Kebijakan DPRD
100 % SKPD Pengampu Kesekretariatan
DPRD
Program Peningkatan kapasitas kesekretariatan Terwujudnya peningkatan kapasitas kesekretariatan
Korpri
90%
SKPD Pengampu Sekretariat
Korpri
Program peningkatan kesejahteraan anggota Korpri
dan Keluarga
Terwujudnya kesejahteraan Korpri dan Keluarga
90%
SKPD Pengampu Sekretariat
Korpri
Program peningkatan dan pengembangan pengelolaan
keuangan daerah
Terjalinnya pola kemitraan pemerintah dan
masyarakat yang akuntabel dan transparan
100 %
SKPD Pengampu Pengelolaan
Keuangan
Program pembinaan dan fasilitasi pengelolaan
keuangan kabupaten / kota
Terpenuhinya laporan hasil evaluasi perda
pengeloaan keuangan
100 %
SKPD Pengampu Pengelolaan
Keuangan
Program Peningkatan Pelayanan Perizinan Ketetpatan Waktu Pemberian Ijin 100 % SKPD Pengampu PErijinan
Program Peningkatan Kapasitas Sumberdaya Aparatur Terpenuhinya SDM Aparatur yang berkualitas 100 % SKPD Pengampu Peningkatan
Kualitas SDM
Program Pembinaan dan Pengembangan Aparatur Terlaksananya Pembinaan dan Pengembangan
Aparatur yang berkualitas
100 %
SKPD Pengampu Peningkatan
Kualitas SDM
Program Peningkatan Kesiagaan dan Pencegahan
Bahaya Kebakaran
Meningkatnya Pelayanan di bidang Pencegahan
Kebakaran
85%
SKPD Pengampu Pencegahan
Kebakaran
Program Peningkatan Profesionalisme Tenaga
Pemeriksa dan Aparatur Pengawasan
Tercapainya profesionalisme Tenaga pemeriksa da
Aparatur Pengawasan melalui pelatihan
pengembangan tenaga pemeriksa dan pelatihan
100%
SKPD Pengampu Pengawasan
Internal
87
Bidang urusan Pemerintahan dan Program Prioritas
Pembangunan
Indikator Kinerja Program (Outcome)
SKPD Penanggung Jawab
Target
1 2 4 6
teknis pengawasan dan penilaian akuntabilitas
kinerja
KECAMATAN PADANGSIDIMPUAN SELATAN
Program Perencanaan Pembangunan Tersusunnya perencanaan Pembangunan Kecamatan
yang berkwalitas
100 %
Kecamatan PSP Selatan
Program Perekonomian dan Kesejahteraan rakyat Terlaksananya program perekonomian dan
kesejahteraan rakyat
100 %
Program Pengembangan Kemasyarakatan Terlaksananya Program Pengembangan
Kemasyarakatan
100 %
KECAMATAN PADANGSIDIMPUAN UTARA
Program Perencanaan Pembangunan Daerah Peningkatan Pengembangan Pembangunan Daerah 100 %
Kecamatan PSP UTARAProgram Perekonomian dan Kesejahteraan Rakyat Peningkatan Kualitas Masyarakat 0 %
Program Pengembangan Kemasyarakatan Peningkatan Pengembangan yang berhubungan
dengan Masyarakat
100 %
KECAMATAN PADANGSIDIMPUAN BATUNADUA
Program Pengembangan Kemasyarakatan Meningkatkan pengembangan kebudayaan
masyarakat
99 %
Kecamatan PSP BatunaduaProgram Perencanaan Pembangunan Tersusunnya perencanaan Pembangunan Kecamatan
yang berkwalitas
100 %
Program Perekonomian dan Kesejahteraan rakyat Terlaksananya program perekonomian dan 100 %
88
Bidang urusan Pemerintahan dan Program Prioritas
Pembangunan
Indikator Kinerja Program (Outcome)
SKPD Penanggung Jawab
Target
1 2 4 6
kesejahteraan rakyat
KECAMATAN PADANGSIDIMPUAN TENGGARA
Program Perencanaan Pembangunan daerah
Terselenggaranya Musrenbang Tk Desa dan
Kecamatan
100 %
Kecamatan PSP Tenggara
Program Peningkatan Semangat Gotong Royong Lestarinya semangat gotong royong di masyarakat 100 %
Program Perekonomian dan Kesejahteraan Rakyat Meningkatnya perekonomian masyarakat 100 %
Program Pengembangan Kemasyarakatan Terselenggaranya MTQ Tk Kecamatan
Padangsidimpuan
100 %
KECAMATAN PADANGSIDIMPUAN HUTAIMBARU
Program Perencanaan Pembangunan Tersusunnya perencanaan Pembangunan Kecamatan
yang berkwalitas
100 %
Kecamatan PSP Hutaimbaru
Program Perekonomian dan Kesejahteraan rakyat Terlaksananya program perekonomian dan
kesejahteraan rakyat
100 %
Program Pengembangan Kemasyarakatan Terlaksananya Program Pengembangan
Kemasyarakatan
100 %
KECAMATAN PADANGSIDIMPUAN ANGKOLA JULU
Program Perencanaan Pembangunan Daerah Tersusunnya Perencanaan Pembangunan Kecamatan
yang Berkwalitas
100 %
Kecamatan PSP Angkola JuluProgram Peningkatan Semangat Gotong Royong Terlaksananya Gotong Royong di Desa 100 %
Program Perekonomian dan Kesejahteraan Rakyat Terlaksananya Program Perekonomian dan
Kesejahteraan Rakyat
100 %
89
Bidang urusan Pemerintahan dan Program Prioritas
Pembangunan
Indikator Kinerja Program (Outcome)
SKPD Penanggung Jawab
Target
1 2 4 6
Program Pengembangan Kemasyarakatan Terlaksananya Program Pengembangan
Kemasyarakatan
100 %
KETAHANAN PANGAN
Program Peningkatan Kesejahteraan Petani Meningkatnya Pengetahuan Petani (Kelompok,
Orang, Paket)
100%
SKPD Pengampu Ketahanan
Pangan
Program Peningkatan Ketahanan Pangan Meningkatnya Ketahanan Pangan Masyarakat
(Satuan Desa, Dokumen, Paket )
100%
Program Pemberdayaan Penyuluh Pertanian /
Perkebunan
Terlaksananya Tugas - tugas Penyuluh Pertanian
Lapangan (Satuan Orang, Paket, Lembar )
100%
PENANGGULANGAN BENCANA DAERAH
Program Pencegahan Dini dan Penanggulangan Korban
Bencana Alam
Meningkatnya kesadaran masyarakat terhadap
pencegahan dini dan penanggulangan korban
bencana alam
50% SKPD Pengampu BPBD
Adanya sistem deteksi dini pada daerah-daerah yang
rawan bencana
50% SKPD Pengampu BPBD
Adanya sistem evakuasi terhadap korban bencana
(Selter, Sarana dan Prasarana, serta Logistik)
50% SKPD Pengampu BPBD
PEMBERDAYAAN MASYARAKAT DAN DESA
ProgramPeningkatan
Keberdayaan
Termotivasinya masyarakat untuk meningkatkan
keberdayaannya
79 desa/
kel
SKPD Pengampu Pemberdayaan
Masyarakat
90
Bidang urusan Pemerintahan dan Program Prioritas
Pembangunan
Indikator Kinerja Program (Outcome)
SKPD Penanggung Jawab
Target
1 2 4 6
Masyarakat Pedesaan Dalam membangun Desa
Program Peningkatan
Partisipasi masyarakat dalam membangun Desa
Termotivasinya masyarakat untuk berperan serta
membangun desa
79 desa/
kel
Program Penyelenggaraan
Disseminasi Informasi bagi Masyarakat
Berfungsinya lembaga pemberdayaan masyarakat di
kecamatan, desa/kel
6 kec, 79
desa/ kel
Program Peningkatan Keberdayaan perempuan Meningkatnya pengetahuan perempuan di desa
dalam memberdayakan keluarga
79 desa/
kel
Program Pengembangan Lembaga Ekonomi Pedesaan Meningkatnya Keterampilan Masyarakat dlm bidang
Usaha.
79 desa/
kel
KOMUNIKASI DAN INFORMATIKA
Program Pengembangan Komunikasi, Informasi dan
Media Massa
Meningkatkan Pelayanan Sumber Informasi Pada
Masyarakat 100 %
SKPD Pengampu Komunikasi
dan Informatika
Program Pengkajian dan Penelitian Bidang Informasi
dan Komunikasi
Meningkatkan Pelayanan Sumber Informasi Pada
Masyarakat
100 %
Program Fasilitas Peningkatan SDM Bidang
Komunikasi dan Informasi
Meningkatkan Pelayanan Sumber Informasi Pada
Masyarakat 100%
URUSAN PILIHAN
PERTANIAN TANAMAN PANGAN DAN
HOLTIKULTURA
91
Bidang urusan Pemerintahan dan Program Prioritas
Pembangunan
Indikator Kinerja Program (Outcome)
SKPD Penanggung Jawab
Target
1 2 4 6
Program Pengembangan Tanaman Hias dan
Hortikultura
Meningkatnya produktivitas tanaman hias dan
hortikultura
65 %
SKPD Pengampu Pertanian
Tanaman Pangan dan
Holtikultura
Program Pengembangan Sarana dan Prasarana
Pertanian
Terpenuhinya kebutuhan sarana dn prasarana
pertanian
65 %
Program Pengembangan Tanaman Pangan Meningktanya produktivitas tanaman pangan 65 %
Program Peningkatan Kesejahteraan Petani Meningkatnya Kesejahteraan Petani 65%
Program Peningkatan Pemasaran Hasil Pertanian Meningkatnya Nilai Produksi Hasil Pertanian 65%
PARIWISATA
Program pengembangan pemasaran pariwisata Terlaksananya promosi pariwisata di dalam dan
diluar negeri
65 %
SKPD Pengampu Periwisata
Program pengembangan destinasi pariwisata Terwujudnya Padangsidimpuan menjadi kota tujuan
wisata
60 %
PERIKANAN DAN PETERNAKAN
Program Pengembangan Sarana dan Prasarana
Produksi Perikanan
Terpenuhinya sarana dan prasarana produksi
perikanan budidaya
65 %
SKPD Pengampu Perikanan dan
Peternakan
Program Pengembangan Sarana dan Prasarana
Pengolahan dan Peningkatan Mutu Pemasaran Hasil
Perikanan
Terpenuhinya sarana dan prasrana pengolahan dan
peningkatan mutu pemasaran hasil perikanan
65 %
Program Peningkatan Produksi Hasil Peternakan Meningkatnya Produksi Hasil Peternakan 65%
Program Pencegahan dan Penanggulangan Penyakit Tetanggulanginya penyakit ternak di masyarakat 65%
92
Bidang urusan Pemerintahan dan Program Prioritas
Pembangunan
Indikator Kinerja Program (Outcome)
SKPD Penanggung Jawab
Target
1 2 4 6
ternak
KEHUTANAN DAN PERKEBUNAN
Program rehabilitasi hutan dan lahan Meningkatnya fungsi hutan dan lahan 65% SKPD Pengampu Kehutanan dan
PerkebunanProgram pengembangan perkebunan lahan sempit Berkembangnya usaha perkebunan lahan sempit 65%
PERDAGANGAN
Program Peningkatan pengawasan peredaran Barang
dan Jasa
Terlaksannya pengawasan peredaran Barang dan
Jasa
12 frek
SKPD Pengampu Perdagangan
Program Pengembangan Kelembagaan Kerjasama
Kemitraan
Tersedianya Peluang Pasar Komoditi Andalan 1 frek
SKPD Pengampu Perdagangan
Program Peningkatan Sistem dan Jaringan Informasi
Perdagangan
Terlaksnanya informasi harga kebutuhan pokok dan
strategis lainnya
114 frek
SKPD Pengampu Perdagangan
Program Penyuluhan Peningkatan Disiplin Pedagang
Kaki lima dan Asongan
Terlaksannya Pembinaan Pedagang Kaki Lima dan
Asongan
30 org
SKPD Pengampu Perdagangan
Program Pengembangan pasar dan Distribusi
Barang/Produk
Terciptanya Pasar Ramah, Segar dan Nyaman 6 SKPD Pengampu Pasar
ProgramPendataan dan penetapan Retribusi Tercapainya Target Retribusi Daerah 6 SKPD Pengampu Pasar
ProgramPemeliharaan Sarana dan Prasarana Pasar Terpeliharanya Sarana dan Prasarana Pasar 6 SKPD Pengampu Pasar
ProgramPeningkatan Pelayanan Pasar/Sarana
Pendukung Pasar Lainnya
Terlaksannya Kegiatan Peningkatan Pelayanan Pasar
6 SKPD Pengampu Pasar
93
Bidang urusan Pemerintahan dan Program Prioritas
Pembangunan
Indikator Kinerja Program (Outcome)
SKPD Penanggung Jawab
Target
1 2 4 6
INDUSTRI
Program Pengembangan dan Pelayanan Teknologi
Industri (GKM)
Terciptanya IKM sesuai Standart Mutu 5
SKPD Pengampu Perindustrian
Program Perluasan Penerapan SNI untuk mendorong
Daya Saing Industri Manufaktur
Terujinya Mutu Air Kemasan
Program Pengembangan Sistem Inovasi Teknologi
Industri
Diterimanya TPL Program Beasiswa
ProgramPenyelenggaraan Promosi IKM Dikenalnya Produk IKM Kota Padangsidimpuan 2
ProgramPembinaan IKM Meningkatkan Mutu IKM 10
ProgramPeningkatan Mutu UKM Tersedinya Bantuan Peralatan 2
64
Usulan Rencana Program dan Kegiatan Prioritas Daerah Kota
Padangsidimpuan untuk Tahun Anggaran 2015 yang memuat program dan
kegiatan beserta pagu indikatif sementara SKPD dikelompokkan menjadi tiga
bidang pembahasan yang terdiri dari:
1. Bidang Pemerintahan
2. Bidang Ekonomi Pembangunan
3. Bidang Kesejahteraan Rakyat
Pembidangan ini sesuai dengan struktur komisi yang ada di Dewan
Perwakilan Rakyat Daerah Kota Padangsidimpuan dengan maksud agar dapat
dihadiri anggota DPRD sesuai komisi masing-masing sehingga nantinya dapat
tercipta keterpaduan dan keseragaman antara usulan kegiatan yang diajukan
DPRD, pemerintah daerah, dan masyarakat dalam perencanaan dan
penganggaran pemerintahan daerah.
Rencana Kerja seluruh SKPD untuk Tahun Anggaran 2015 baik yang
bersifat urusan wajib maupun urusan Pilihan akan disajikan pada Lampiran
Rekapitulasi Rencana Program dan kegiatan Prioritas Daerah.
95
BAB VI
P E N U T U P
Rencana Kerja Pembangunan Daerah (RKPD) Kota Padangsidimpuan
Tahun 2015 ini merupakan acuan dan pedoman dalam rangka menyusun
Rencana Anggaran Pendapatan Dan Belanja Daerah (RAPBD) atau Rencana
Kerja Anggaran (RKA) bagi Satuan Kerja Perangkat Daerah (SKPD) di
lingkungan Pemerintah Kota Padangsidimpuan untuk Tahun Anggaran 2015.
RKPD disusun sebagai pedoman SKPD dalam melaksanakan tugas-
tugas pemerintahan umum, tugas pembangunan dan tugas pelayanan kepada
masyarakat dapat terlaksana secara holistik dan berkelanjutan, dengan
menjalankan fungsi manajemen yang terintegrasi dan selalu mengutamakan
koordinasi demi terlaksananya pembangunan yang menyeluruh,
berkesinambungan dan berkelanjutan serta tepat sasaran. Koordinasi
pembangunan tersebut dilakukan secara lintas sektor dan lintas daerah baik
antar Kabupaten/Kota, Provinsi maupun Pusat dengan berpihak pada
pemangku kepentingan pembangunan serta berlandaskan pada prinsip untuk
mencapai kinerja yang dapat dipertanggungjawabkan kepada masyarakat.
Selain itu perencanaan pembangunan secara hirarki telah disusun
dengan melibatkan berbagai pihak yang berintikan proses komunikasi antar
lembaga perencana dan antar lembaga perencana dengan pemangku
kepentingan pembangunan dilakukan melalui forum regular yang telah
terprogram dari tingkat Kecamatan (Musrenbang Kecamatan) hingga tingkat
Kota (Musrenbang Kota). Apabila dalam pelaksanaan terjadi ketidaksesuaian
terhadap target dan sasaran pembangunan yang telah ditetapkan dalam RKPD
Kota Padangsidimpuan Tahun 2015 dapat dilakukan Perubahan sesuai dengan
ketentuan peraturan yang berlaku.
Rencana Kerja Pembangunan Daerah (RKPD) Kota Padangsidimpuan
Tahun 2015 akan menjadi ukuran kinerja bagi Pemerintah Kota
Padangsidimpuan khususnya SKPD yang selanjutnya akan dijabarkan dalam
Rencana Kerja (Renja) SKPD agar pelaksanaan pembangunan dapat memenuhi
harapan dan aspirasi masyarakat serta dapat memberikan pemecahan
masalah mendesak bagi masyarakat pada tahun yang direncanakan.
WALIKOTA PADANGSIDIMPUAN,
ANDAR AMIN HARAHAP
SKPD Jenis Keg
Tolok Ukur Target Tolok Ukur Target Tolok Ukur Target 1/2/3 1/2/3 1/2/3
2 3 4 5 6 7 8 9 10 11 12 13 14 15 16
01 URUSAN WAJIB
1 01 BIDANG PENDIDIKAN 92.897.504.855 61.602.227.855
59.435.220.855 56.643.227.855
P1
PROGRAM PELAYANAN ADMINISTRASI
PERKANTORAN
Terselenggaranya
Pelayanan Adm.
Disdik
7.915.500.000 8.115.400.000
Penyediaan jasa surat menyurat Padangsidimpuan Terpenuhinya pelayanan jasa
surat menyurat
100% Terpenuhinya pelayanan jasa
surat menyurat
100% - - Dinas
Pendidikan
Penyediaan jasa komunikasi, sumber daya air dan
listrik
Padangsidimpuan Terpenuhinya pelayanan jasa
komunikasi sumber daya air dan
listrik
100% Terpenuhinya pelayanan jasa
komunikasi sumber daya air dan
listrik
100% 35.000.000 40.000.000 Dinas
Pendidikan
Penyediaan jasa pemeliharaan dan perijinan
kendaraan dinas/operasional
Padangsidimpuan Terpenuhinya jasa pemeliharaan
dan perizinan kendaraan
dinas/operasional
100% Terpenuhinya jasa pemeliharaan
dan perizinan kendaraan
dinas/operasional
100% 160.000.000 170.000.000 Dinas
Pendidikan
Penyediaan jasa kebersihan kantor Padangsidimpuan Terpenuhiny jasa kebersihan
kantor
100% Terpenuhiny jasa kebersihan
kantor
100% 82.500.000 90.000.000 Dinas
Pendidikan
Penyediaan alat tulis kantor Padangsidimpuan Terpenuhinya alat tulis kantor 100% Terpenuhinya alat tulis kantor 100% 180.000.000 203.400.000 Dinas
Pendidikan
Penyediaan barang cetakan dan penggandaan Padangsidimpuan Terpenuhinya barang cetakan
dan penggandaan
100% Terpenuhinya barang cetakan
dan penggandaan
100% 147.500.000 150.000.000 Dinas
Pendidikan
Penyediaan komponen instlasi listrik/penerangan
bangunan kantor
Padangsidimpuan Terpenuhinya komponen instlasi
listrik/penerangan bangunan
kantor
100% Terpenuhinya komponen instlasi
listrik/penerangan bangunan
kantor
100% 23.500.000 25.000.000 Dinas
Pendidikan
Penyediaan peralatan rumah tangga Padangsidimpuan Terpenuhinya peralatan rumah
tangga kantor
100% Terpenuhinya peralatan rumah
tangga kantor
100% 25.500.000 30.000.000 Dinas
Pendidikan
Penyediaan bahan bacaan dan peraturan perundang-
undangan
Padangsidimpuan Terpenuhinya bahan bacaan dan
peraturan perundang-undangan
100% Terpenuhinya bahan bacaan dan
peraturan perundang-undangan
100% 40.500.000 45.000.000 Dinas
Pendidikan
Penyediaan Jasa Keamanan Kantor 105.000.000 110.000.000
Perlombaan Dalam Rangka Hardiknas 128.500.000 135.000.000
Penyediaan makanan dan minuman Padangsidimpuan Terpenuhinya makanan dan
minuman
100% Terpenuhiny makanan dan
minuman
100% 6.707.000.000 6.907.000.000 Dinas
Pendidikan
penyediaan jasa administrasi Perkantoran Padangsidimpuan Terpenuhinya pelayanan jasa
administrasi perkantoran
100% Terpenuhinya pelayanan jasa
administrasi perkantoran
100% 105.500.000 110.000.000 Dinas
Pendidikan
Penyelenggaraan Perayaan Hari Pendidikan Nasional
(Hardiknas)
Padangsidimpuan Terpenuhiny kegiatan Hardiknas 100% Terpenuhiny kegiatan Hardiknas 100% 100.000.000 100.000.000 Dinas
Pendidikan
Pengadaan Komputer PC Kantor Dinas Pendidikan Padangsidimpuan Terpenuhinya pengadaan
Komputer
100% Terpenuhinya pengadaan
Komputer
100% 75.000.000 - Dinas
Pendidikan
PROGRAM PENINGKATAN SARANA DAN
PRASARANA APARATUR
Terpenuhinya
Kebutuhan Sarana &
Prasarana Disdik
933.000.000 209.000.000
Pengadaan Peralatan Gedung Kantor Padangsidimpuan Terpenuhinya peralatan gedung
kantor
100% Terpenuhinya peralatan gedung
kantor
100% 60.000.000 65.000.000 Dinas
Pendidikan
Pemeliharaan Rutin/Berkala Peralatan Gedung
Kantor
63.500.000 65.000.000
Pemeliharaan Rutin/Berkala Gedung Kantor Padangsidimpuan Terselenggarakannya
pemeliharaan rutin/berkala
gedung kantor
100% Terselenggarakannya
pemeliharaan rutin/berkala
gedung kantor
100% 15.000.000 20.000.000 Dinas
Pendidikan
1
Rencana Program dan Kegiatan Prioritas Daerah Tahun 2015
Kota Padangsidimpuan
Nomor
Urusan/Bidang Urusan Pemerintahan Daerah
Dan Program/Kegiatan
Prioritas
Daerah
Sasaran
Daerah
Lokasi
Indikator kinerja
Pagu
Indikatif
Prakiraan
Maju
Keterangan
Ket
Hasil Program
Keluaran
Kegiatan
Hasil Kegiatan
Rencana Program dan Kegiatan Prioritas Tahun 2015 Bidang Pendidikan Lembar : 1 dari 87
SKPD Jenis Keg
Tolok Ukur Target Tolok Ukur Target Tolok Ukur Target 1/2/3 1/2/3 1/2/3
2 3 4 5 6 7 8 9 10 11 12 13 14 15 161
Nomor
Urusan/Bidang Urusan Pemerintahan Daerah
Dan Program/Kegiatan
Prioritas
Daerah
Sasaran
Daerah
Lokasi
Indikator kinerja
Pagu
Indikatif
Prakiraan
Maju
Keterangan
Ket
Hasil Program
Keluaran
Kegiatan
Hasil Kegiatan
Pemeliharaan Rutin/Berlaka Mebeleur Padangsidimpuan Terlaksananya pemeliharaan
rutin/berkala mobiler
100% Terlaksananya pemeliharaan
rutin/berkala mobiler
100% 10.000.000 15.000.000 Dinas
Pendidikan
Monitoring/Survey Lapangan Padangsidimpuan Terlaksananya kegiatan
monitoring/survey lapangan
100% Terlaksananya kegiatan
monitoring/survey lapangan
100% 34.500.000 44.000.000 Dinas
Pendidikan
Pengadaan Proyektor Infocus Pendidikan Sekolah
Dasar
Padangsidimpuan Terlaksananya pengadaan
proyektor infocus
100% Terlaksananya pengadaan
proyektor infocus
100% 750.000.000 - Dinas
Pendidikan
PROGRAM PENINGKATAN DISIPLIN APARATUR 73.500.000 75.000.000
Pengadaan Pakaian Khusus Hari-hari Tertentu 73.500.000 75.000.000
PROGRAM PENINGKATAN KAPASITAS SUMBER
DAYA APARATUR
Terselenggaranya
Pelayanan Kapasitas
Sumber Daya
Aparatur
617.000.000 630.000.000
Bimbingan Tekhnis Implementasi Peraturan
Perundang-undangan
327.000.000 335.000.000
Pendidikan dan Pelatihan Formal Terselenggaranya Diklat Formal 100% Terselenggaranya Diklat Formal 100% 290.000.000 295.000.000 Dinas
Pendidikan
PROGRAM PENINGKATAN PENGEMBANGAN
SISTEM PELAPORAN CAPAIAN KINERJA DAN
KEUANGAN
57.000.000 60.000.000
Penyediaan Penyusunan RKA SKPD 28.500.000 30.000.000
Penyediaan Penyusunan Renja 28.500.000 30.000.000
PROGRAM PENDIDIKAN ANAK USIA DINI Tercapainya APK
PAUD
2.880.425.000 1.841.425.000
Pemeliharaan rutin/berkala bangunan sekolah Padangsidimpuan Tersedianya unit Pendidikan
Anak Usia Dini (PAUDNI)
100% Tersedianya unit Pendidikan
Anak Usia Dini (PAUDNI)
100% 30.000.000 30.000.000 Dinas
Pendidikan
Penyelenggaraan Pendidikan Anak Usia Dini Padangsidimpuan Mempermudah jangkauan
layanan pendidikan anak usia
dini
100% Mempermudah jangkauan
layanan pendidikan anak usia
dini
100% 300.000.000 300.000.000 Dinas
Pendidikan
Penyelenggeraan program Desa Vokasi Di Bidang
PLS
185.000.000 190.000.000
Operasional Penyelenggaraan TK Negeri Padangsidimpuan Meningkanya prosentase sarana
dan parasarana PAUD kondisi
baik
100% Meningkanya prosentase sarana
dan parasarana PAUD kondisi
baik
100% 46.000.000 46.000.000 Dinas
Pendidikan
Pemeliharaan rutin/berkala alat rumah tangga
sekolah
Padangsidimpuan Terpeliharanya peralatan rumah
tangga sekolah
100% Terpeliharanya peralatan rumah
tangga sekolah
100% 8.000.000 8.000.000 Dinas
Pendidikan
penyelenggeraan program PAUD binaan PKK 45.500.000 50.000.000
penyelenggeraan kegiatan anak usia Pra TK 50.000.000 55.000.000
Lomba Olah Raga Usia Dini Padangsidimpuan Terselenggaranya lomba olah raga
usia dini
100% Terselenggaranya lomba olah raga
usia dini
100% 109.150.000 109.150.000 Dinas
Pendidikan
Pelaksanaan Magang Dalam Rangka Peningkatan
Mutu PTK-PAUDNI UPTD-SKB
Padangsidimpuan Terselenggaranya magang dalam
rangka peningkatan mutu mutu
PAUDNI
100% Terselenggaranya magang dalam
rangka peningkatan mutu mutu
PAUDNI
100% 23.000.000 23.000.000 Dinas
Pendidikan
Pengadaan Alat Peraga TK Pertiwi 55.000.000 60.000.000
Bantuan Dana Operasional UT S1 Pada Guru PAUD Padangsidimpuan Tersedianya dana operasional UT
S1 Guru PAUD
100% Tersedianya dana operasional UT
S1 Guru PAUD
100% 210.000.000 210.000.000 Dinas
Pendidikan
Penyelenggaraan Pendidikan Anak Usia Dini Satuan
Sejenis
Padangsidimpuan Terselenggaranya pendidikan
anak usia dini satuan sejenis
100% Terselenggaranya pendidikan
anak usia dini satuan sejenis
100% 27.000.000 27.000.000 Dinas
Pendidikan
Rencana Program dan Kegiatan Prioritas Tahun 2015 Bidang Pendidikan Lembar : 2 dari 87
SKPD Jenis Keg
Tolok Ukur Target Tolok Ukur Target Tolok Ukur Target 1/2/3 1/2/3 1/2/3
2 3 4 5 6 7 8 9 10 11 12 13 14 15 161
Nomor
Urusan/Bidang Urusan Pemerintahan Daerah
Dan Program/Kegiatan
Prioritas
Daerah
Sasaran
Daerah
Lokasi
Indikator kinerja
Pagu
Indikatif
Prakiraan
Maju
Keterangan
Ket
Hasil Program
Keluaran
Kegiatan
Hasil Kegiatan
Penyelenggaraan Program Taman kanak-Kanak (TK) Padangsidimpuan Terselenggaranya program taman
kanak-kanak
100% Terselenggaranya program taman
kanak-kanak
100% 299.675.000 299.675.000 Dinas
Pendidikan
Penyelenggaraan Program Desa Vokasi Padangsidimpuan Terselenggaranya program desa
vokasi
100% Terselenggaranya program desa
vokasi
100% 25.000.000 25.000.000 Dinas
Pendidikan
Pengembangan Kurikulum Bahan Ajar Pendidik
Tenaga Kependidikan Guru TK
Padangsidimpuan 100% 100% 22.000.000 22.000.000 Dinas
Pendidikan
Penyelenggaraan Program Taman Penitipan Anak Padangsidimpuan Terselenggaranya program taman
penitipan anak
100% Terselenggaranya program taman
penitipan anak
100% 30.000.000 30.000.000 Dinas
Pendidikan
Pendidikan Satuan PAUD Sejenis di Bidang PLS Padangsidimpuan 100% 100% 50.000.000 50.000.000 Dinas
Pendidikan
Penyelenggeraan Program TK Pertiwi 20.000.000 20.000.000
Implementasi Kurikulum 2013 Tingkat TK 168.500.000 170.000.000
Lomba Kreatifitas Anak PAUD Padangsidimpuan Terselenggaranya lomba
kreatifitas anak PAUD
100% Meningkatnya kreatifitas anak
PAUD
100% 50.000.000 50.000.000 Dinas
Pendidikan
Pelaksanaan magang Pendidik Tenaga Kependidikan
TK
Padangsidimpuan Terlaksananya magang Pendidik
Tenaga Kependidikan TK
100% Terlaksananya magang Pendidik
Tenaga Kependidikan TK
100% 56.550.000 56.550.000 Dinas
Pendidikan
Penyelenggaraan Hari Anak Nasional Padangsidimpuan Terselenggaranya Hari Anak
Nasional
100% Terselenggaranya Hari Anak
Nasional
100% 10.050.000 10.050.000 Dinas
Pendidikan
Pembangunan RKB PAUD Al-Zahra Salambue
Padangsidimpuan Tenggara
Padangsidimpuan Meningkatknya kualitas sarana
prasarana sekolah
100% Meningkatknya kualitas sarana
prasarana sekolah
100% 420.000.000 - Dinas
Pendidikan
Pembangunan RKB PAUD Al-Musharofah
Padangsidimpuan Utara
Padangsidimpuan Meningkatknya kualitas sarana
prasarana sekolah
100% Meningkatknya kualitas sarana
prasarana sekolah
100% 420.000.000 - Dinas
Pendidikan
Pengadaan Meubeleur PAUD Al-Zahra Salambue
Padangsidimpuan Tenggara
Padangsidimpuan Meningkatknya kualitas sarana
prasarana sekolah
100% Meningkatknya kualitas sarana
prasarana sekolah
100% 180.000.000 - Dinas
Pendidikan
Pembangunan MCK PAUD Al-Zahra
Padangaidimpuan Tenggara
Padangsidimpuan Meningkatknya kualitas sarana
prasarana sekolah
100% Meningkatknya kualitas sarana
prasarana sekolah
100% 40.000.000 - Dinas
Pendidikan
PROGRAM WAJIB BELAJAR PENDIDIKAN DASAR
SEMBILAN TAHUN
Tercapainya APM
SD/MI
21.005.526.985 19.829.953.985
Pengadaan Mebeluer Sekolah Padangsidimpuan Tercapainya APM SMP/MTs 100% Tercapainya APM SMP/MTs 100% 600.000.000 600.000.000 Dinas
Pendidikan
Rehabilitasi Sedang/Berat Bangunan Sekolah Padangsidimpuan Tercapainya APK SD/MI 100% Tercapainya APK SD/MI 100% 11.931.154.785 11.931.154.785 Dinas
Pendidikan
Penyediaan Operasional Tim Manajemen Bantuan
Operasional Sekolah (BOS) Jenjang SD/MI/SDLB
dan SMP/MTS Serta Pesantren Salafiyah dan
Satuan Pendidikan Non-Islam Setara SD dan SMP
Padangsidimpuan Tercainya APK SMP/MTs 100% Tercainya APK SMP/MTs 100% 355.000.000 360.000.000 Dinas
Pendidikan
Penyelenggaraan Paket A Setara SD Padangsidimpuan Meningkatnya Kualitas SDM 100% Meningkatnya Kualitas SDM 100% 64.940.000 64.940.000 Dinas
Pendidikan
Penyelenggaraan Paket B Setara SMP Padangsidimpuan Meningkatnya Kualitas SDM 100% Meningkatnya Kualitas SDM 100% 142.500.000 150.000.000 Dinas
Pendidikan
Pemeliharaan Bangunan SMP Padangsidimpuan Meningkatnya Pelayanan
Aksebilitas Sarana & Prasarana
Pendidikan
100% Meningkatnya Pelayanan
Aksebilitas Sarana & Prasarana
Pendidikan
100% 264.000.000 264.000.000 Dinas
Pendidikan
Penyediaan Peralatan UAS pada SDN/Swasta Padangsidimpuan Tersedianya Peralatan UAS
Tingkat SD
100% Tersedianya Peralatan UAS
Tingkat SD
100% 55.500.000 60.000.000 Dinas
Pendidikan
Pemeliharan alat rumah tangga SMP Padangsidimpuan Meningkatnya Kualitas Sarana &
Prasarana SMP
100% Meningkatnya Kualitas Sarana &
Prasarana SMP
100% 79.200.000 79.200.000 Dinas
Pendidikan
Uji Komputerisasi Kelas VI SD Negeri/Swasta Padangsidimpuan Meningkatnya kualitas SDM 100% Meningkatnya kualitas SDM 100% 62.000.000 65.000.000 Dinas
Pendidikan
Olimpiade SD Padangsidimpuan Meningkatnya kualitas SDM Anak
SD
100% Meningkatnya kualitas SDM Anak
SD
100% 85.000.000 85.000.000 Dinas
Pendidikan
Pengiriman Peserta olimpiade SD Padangsidimpuan Meningkatnya kualitas SDM Anak
SD
100% Meningkatnya kualitas SDM Anak
SD
100% 24.548.000 24.548.000 Dinas
Pendidikan
Penyeleenggaraan UAS SD Padangsidimpuan Terlasananya Penyelenggaraan
UAS Tingkat SD/MI
100% Terlasananya Penyelenggaraan
UAS Tingkat SD/MI
100% 490.000.000 500.000.000 Dinas
Pendidikan
Rencana Program dan Kegiatan Prioritas Tahun 2015 Bidang Pendidikan Lembar : 3 dari 87
SKPD Jenis Keg
Tolok Ukur Target Tolok Ukur Target Tolok Ukur Target 1/2/3 1/2/3 1/2/3
2 3 4 5 6 7 8 9 10 11 12 13 14 15 161
Nomor
Urusan/Bidang Urusan Pemerintahan Daerah
Dan Program/Kegiatan
Prioritas
Daerah
Sasaran
Daerah
Lokasi
Indikator kinerja
Pagu
Indikatif
Prakiraan
Maju
Keterangan
Ket
Hasil Program
Keluaran
Kegiatan
Hasil Kegiatan
Pesantren Kilat SMP/MTs Padangsidimpuan Meningkatnya kualitas SDM Anak
SMP/MTs
100% Meningkatnya kualitas SDM Anak
SMP/MTs
100% 106.000.000 106.000.000 Dinas
Pendidikan
Pesantren Kilat SD/MI Padangsidimpuan Meningkatnya kualitas SDM Anak
SD/MI
100% Meningkatnya kualitas SDM Anak
SD/MI
100% 149.877.500 149.877.500 Dinas
Pendidikan
Pelaksanaan try out tingkat SMP/MTs Padangsidimpuan Meningkatnya kualitas SDM Anak
Usia SMP/MTs
100% Meningkatnya kualitas SDM Anak
Usia SMP/MTs
100% 83.500.000 90.000.000 Dinas
Pendidikan
Pelaksanaan UN/US tingkat SMP/MTs di Dinas
Pendidikan
Padangsidimpuan Terselenggaranya UN/US
SMP/Mts di Dinas Pendidikan
100% Terselenggaranya UN/US
SMP/Mts di Dinas Pendidikan
100% 200.000.000 245.400.000 Dinas
Pendidikan
Pelaksanaan UN/US tingkat SMP/MTs Padangsidimpuan Terselenggaranya UN/US
SMP/Mts
100% Terselenggaranya UN/US
SMP/Mts
100% 575.000.000 580.000.000 Dinas
Pendidikan
Pengadaan alat tulis siswa UN/US tingkat SMP/MTs Padangsidimpuan Tersedianya Peralatan UN/US
Tingkat SMP/Mts
100% Tersedianya Peralatan UN/US
Tingkat SMP/Mts
100% 46.749.500 46.749.500 Dinas
Pendidikan
Olimpiade SMP 183.000.000 185.000.000
Pelatihan Kompetensi Kepala Sekolah Tk/SD Padangsidimpuan Meningkatnya kualitas SDM
Kepala Sekolah
100% Meningkatnya kualitas SDM
Kepala Sekolah
100% 75.365.000 75.365.000 Dinas
Pendidikan
Pelaksanaan seleksi dan pengiriman peserta O2SN
SMP/MTs
Padangsidimpuan terselenggaranya Keg Seleksi &
Pengiriman O2SN SMP/MTs
100% terselenggaranya Keg Seleksi &
Pengiriman O2SN SMP/MTs
100% 89.000.000 90.000.000 Dinas
Pendidikan
Pelaksanaan seleksi dan pengiriman peserta OSN
SMP/MTs
Padangsidimpuan terselenggaranya Keg Seleksi &
Pengiriman OSN SMP/MTs
100% terselenggaranya Keg Seleksi &
Pengiriman OSN SMP/MTs
100% 36.500.000 40.000.000 Dinas
Pendidikan
Penyelenggaraan Program S1 PGSD Lanjutan Padangsidimpuan Meningkatnya Kwalifiakasi PTK
Tingkat SD
100% Meningkatnya Kwalifiakasi PTK
Tingkat SD
100% 74.170.000 74.170.000 Dinas
Pendidikan
Lomba Kreatifitas Anak TK Padangsidimpuan Meningkatnya kualitas SDM &
Kreatifitas Anak TK
100% Meningkatnya kualitas SDM &
Kreatifitas Anak TK
100% 46.000.000 46.000.000 Dinas
Pendidikan
Lomba Kreatifitas Anak SD Padangsidimpuan Meningkatnya kualitas SDM &
Kreatifitas Anak SD
100% Meningkatnya kualitas SDM &
Kreatifitas Anak SD
100% 60.000.000 60.000.000 Dinas
Pendidikan
Lomba Kreatifitas Guru TK Padangsidimpuan Meningkatnya kualitas SDM &
Kreatifitas Guru TK
100% Meningkatnya kualitas SDM &
Kreatifitas Guru TK
100% 45.500.000 45.500.000 Dinas
Pendidikan
Sosialisasai alat peraga IPA/Matematika/Bahasa
Indonesia
Padangsidimpuan Meningkatnya SDM guru dlm
pemanfaatan alat praga
100% Meningkatnya SDM guru dlm
pemanfaatan alat praga
100% 42.985.000 42.985.000 Dinas
Pendidikan
Pemberian penghargaan kepada Juara Ujian
Nasional Tingkat Kota
Padangsidimpuan Meningkatnya motivasi belajar
anak tk.SD
100% Meningkatnya motivasi belajar
anak tk.SD
100% 15.905.000 15.905.000 Dinas
Pendidikan
Pemberian penghargaan kepada juara Olimpiade SD
Tingkat Rayon
Padangsidimpuan Meningkatnya motivasi belajar
anak tk.SD
100% Meningkatnya motivasi belajar
anak tk.SD
100% 23.505.000 23.505.000 Dinas
Pendidikan
Pengadaan Buku Raport Tingkat SD/SMP
Negeri/Swasta
Padangsidimpuan Tersedianya Buku Laporan
Pendidikan SD dan SMP
100% Tersedianya Buku Laporan
Pendidikan SD dan SMP
100% 153.500.000 160.000.000 Dinas
Pendidikan
Pemberian Penghargaan (reeword) kepada Pemenang
O2SN
Padangsidimpuan Meningkatnya Motivasi Belajar
Siswa
100% Meningkatnya Motivasi Belajar
Siswa
100% 47.700.000 47.700.000 Dinas
Pendidikan
Ujian Akhir Semester Berstandar Nasional Pend.
Agama Tingkat SMP/MTs
Padangsidimpuan Terlaksananya UAS Berstandar
Nasional Pend. Agama tk.
SMP/MTs
100% Terlaksananya UAS Berstandar
Nasional Pend. Agama tk.
SMP/MTs
100% 82.376.000 82.376.000 Dinas
Pendidikan
Lomba Menulis Cerita Tingkat Sekolah Dasar Padangsidimpuan Meningkatnya SDM dan
Kreativitas Tingkat SD
100% Meningkatnya SDM dan
Kreativitas Tingkat SD
100% 40.000.000 40.000.000 Dinas
Pendidikan
Tes Mutu Pendidikan Padangsidimpuan Meningkatnya kualitas Mutu dan
Layanan Pendidikan
100% Meningkatnya kualitas Mutu dan
Layanan Pendidikan
100% 34.475.600 34.475.600 Dinas
Pendidikan
Tes Kemampuan Dasar Guru Sekolah Dasar Padangsidimpuan Terukurnya Kemampuan Dasar
guru Tingkat SD
100% Terukurnya Kemampuan Dasar
guru Tingkat SD
100% 34.611.600 34.611.600 Dinas
Pendidikan
Pendidikan dan Pelatihan Calon Kepala Sekolah SD
Negeri
Padangsidimpuan Tersedianya Kualitas Calon Kasek
berstandar (Sesuai SPM)
100% Tersedianya Kualitas Calon Kasek
berstandar (Sesuai SPM)
100% 135.600.000 135.600.000 Dinas
Pendidikan
Pemilihan Kepala Sekolah SD/MI Berprestasi
tingkat kota
Padangsidimpuan Meningkatnya Kualitas Kepala
Sekolah
100% Meningkatnya Kualitas Kepala
Sekolah
100% 54.775.000 54.775.000 Dinas
Pendidikan
Pemilihan Guru SD/MI Berprestasi tingkat kota Padangsidimpuan Meningkatnya Kualitas PTK 100% Meningkatnya Kualitas PTK 100% 44.970.000 44.970.000 Dinas
Pendidikan
Pemilihan Pengawas SD/MI Berprestasi Padangsidimpuan Meningkatnya Kualitas Pengawas
Sekolah
100% Meningkatnya Kualitas Pengawas
Sekolah
100% 35.643.000 35.643.000 Dinas
Pendidikan
Peningkatan Mutu Pendidikan dan Tenaga
Kependidikan Kelompok Kerja Guru SD
Padangsidimpuan Meningkatnya Mutu Pendidikan
dan Tenaga Kependidikan pokja
Guru SD
100% Meningkatnya Mutu Pendidikan
dan Tenaga Kependidikan pokja
Guru SD
100% 148.404.000 148.404.000 Dinas
Pendidikan
Rencana Program dan Kegiatan Prioritas Tahun 2015 Bidang Pendidikan Lembar : 4 dari 87
SKPD Jenis Keg
Tolok Ukur Target Tolok Ukur Target Tolok Ukur Target 1/2/3 1/2/3 1/2/3
2 3 4 5 6 7 8 9 10 11 12 13 14 15 161
Nomor
Urusan/Bidang Urusan Pemerintahan Daerah
Dan Program/Kegiatan
Prioritas
Daerah
Sasaran
Daerah
Lokasi
Indikator kinerja
Pagu
Indikatif
Prakiraan
Maju
Keterangan
Ket
Hasil Program
Keluaran
Kegiatan
Hasil Kegiatan
Implementasi Kurikulum Tingkat SD Padangsidimpuan Terlaksananya implementasi
Kurikulum tk. SD
100% Terlaksananya implementasi
Kurikulum tk. SD
100% 266.237.000 266.237.000 Dinas
Pendidikan
Implementasi Kurikulum Tingkat SMP Padangsidimpuan Terlaksananya implementasi
Kurikulum tk. SMP
100% Terlaksananya implementasi
Kurikulum tk. SMP
100% 61.160.000 61.160.000 Dinas
Pendidikan
Bimbingan teknis e-learning Pembelajaran Tingkat
SD
Padangsidimpuan Terlaksananya Bimtek e-learning
Pembelajaran tk. SD
100% Terlaksananya Bimtek e-learning
Pembelajaran tk. SD
100% 75.500.000 106.337.000 Dinas
Pendidikan
Baca Tulis Hitung (Calistung) Tingkat SD Padangsidimpuan Terlaksananya Calistung tk. SD 100% Terlaksananya Calistung tk. SD 100% 63.500.000 65.000.000 Dinas
Pendidikan
Perlombaan Cerdas Cermat Tingkat SD Padangsidimpuan Terlaksananya perlombaan
cerdas cermat tk.SD
100% Terlaksananya perlombaan
cerdas cermat tk.SD
100% 100.000.000 110.000.000 Dinas
Pendidikan
Pelatihan Pemanfaatan IT Bagi Guru SD Padangsidimpuan Terlaksananya Pelatihan
Pemanfaatan IT
100% Terlaksananya Pelatihan
Pemanfaatan IT
100% 92.805.000 92.805.000 Dinas
Pendidikan
Seleksi Pengiriman Peserta FL2SN SMP Padangsidimpuan Terlaksananya seleksi dan
pengiriman peserta FL2SN
100% Terlaksananya seleksi dan
pengiriman peserta FL2SN
100% 54.595.000 54.595.000 Dinas
Pendidikan
Pembinaan Peserta Olimpiade Sains Nasional SMP Padangsidimpuan Terlaksananya pembinaan
peserta olimpiade sains nasional
SMP
100% Terlaksananya pembinaan
peserta olimpiade sains nasional
SMP
100% 176.600.000 176.600.000 Dinas
Pendidikan
Diklat Calon Kepala Sekolah Tingkat SMP Padangsidimpuan Tersedianya Kualitas Calon Kasek
berstandar (Sesuai SPM)
100% Tersedianya Kualitas Calon Kasek
berstandar (Sesuai SPM)
100% 228.365.000 228.365.000 Dinas
Pendidikan
Pembinaan Peserta Olimpiade Sains Nasional
Tingkat Sekolah Dasar
Padangsidimpuan Terlaksananya pembinaan
peserta olimpiade sains nasional
SD
100% Terlaksananya pembinaan
peserta olimpiade sains nasional
SD
100% 250.000.000 250.000.000 Dinas
Pendidikan
Pengadaan Sarana Air Bersih Tingkat Sekolah Dasar Padangsidimpuan Meningkatnya Kualitas Sarana &
Prasarana sekolah
100% Meningkatnya Kualitas Sarana &
Prasarana sekolah
100% 500.000.000 250.000.000 Dinas
Pendidikan
Pembangunan MCK Tingkat Sekolah Dasar Padangsidimpuan Meningkatnya Kualitas Sarana &
Prasarana sekolah
100% Meningkatnya Kualitas Sarana &
Prasarana sekolah
100% 567.810.000 250.000.000 Dinas
Pendidikan
Optimalisasi Kurikulum Pendidikan Dasar Tahun
2013
Padangsidimpuan Terlaksananya Optimalisasi
Kurikulum Dikdas Tahun 2013
100% Terlaksananya Optimalisasi
Kurikulum Dikdas Tahun 2013
100% 250.000.000 250.000.000 Dinas
Pendidikan
Rehabilitasi Gedung MDA Kota Padangsidimpuan Padangsidimpuan Meningkatnya Kualitas Sarana &
Prasarana sekolah
100% Meningkatnya Kualitas Sarana &
Prasarana sekolah
100% 1.500.000.000 750.000.000 Dinas
Pendidikan
PROGRAM PENDIDIKAN MENENGAH Tercapainya APM
SMA/SMK//MA
20.802.049.870 20.836.729.870
Pembangunan Gedung Sekolah Padangsidimpuan Meningkatnya Standar Srana
Prasarana Sekolah
100% Meningkatnya Standar Srana
Prasarana Sekolah
100% 343.550.000 343.550.000 Dinas
Pendidikan
Rehabilitasi Sedang/Berat Bangunan Sekolah 7.140.000.000 7.140.000.000
Pememliharaan rutin/berkala bangunan sekolah Padangsidimpuan Meningkatnya Standar Srana
Prasarana Sekolah
100% Meningkatnya Standar Srana
Prasarana Sekolah
100% 501.000.000 501.000.000 Dinas
Pendidikan
Pememliharaan rutin/berkala alat rumah tangga
sekolah
Padangsidimpuan Meningkatnya Standar Srana
Prasarana Sekolah
100% Meningkatnya Standar Srana
Prasarana Sekolah
100% 199.000.000 199.000.000 Dinas
Pendidikan
Penyelenggaraan Paket C setara SMU Padangsidimpuan Meningkatnya Kualitas SDM 100% Meningkatnya kualitas SDM 100% 125.000.000 130.000.000 Dinas
Pendidikan
Penyelenggaraan Pesantren Kilat SMA dan SMK Padangsidimpuan Meningkatnya Kualitas SDM
Anak SMA/SMK
100% Meningkatnya Kualitas SDM
Anak SMA/SMK
100% 106.000.000 106.000.000 Dinas
Pendidikan
Pelaksanaan UN/US tingkat SMA/SMK/MA Padangsidimpuan Terselenggaranya UN/US
SMA/SMK/MA
100% Terselenggaranya UN/US
SMA/SMK/MA
100% 620.000.000 620.000.000 Dinas
Pendidikan
Pelaksanaan UN/US tingkat SMA/SMK/MA di Dinas
Pendidikan
Padangsidimpuan Terselenggaranya UN/US
SMA/SMK/MA di Dinas
Pendidikan
100% Terselenggaranya UN/US
SMA/SMK/MA di Dinas
Pendidikan
100% 321.800.000 321.800.000 Dinas
Pendidikan
Pengadaan alat tulis siswa UN/US tingkat
SMA/SMK/MA
Padangsidimpuan Tersedianya Peralatan UN/US
Tingkat SMA/SMK/MA
100% Tersedianya Peralatan UN/US
Tingkat SMA/SMK/MA
100% 57.570.000 57.570.000 Dinas
Pendidikan
Pelaksanaan try out tingkat SMA/SMK/MA Padangsidimpuan Meningkatnya kemampuan SDM
Siswa
100% Meningkatnya kemampuan SDM
Siswa
100% 100.000.000 100.000.000 Dinas
Pendidikan
Penerimaan Siswa Baru SMA dan SMK Padangsidimpuan Terselelnggaranya Penerimaan
Siswa Baru SMA dan SMK
100% Terselelnggaranya Penerimaan
Siswa Baru SMA dan SMK
100% 175.000.000 175.000.000 Dinas
Pendidikan
Implementasi Kurikulum Tingkat SMA dan SMK 365.000.000 370.000.000
Penngadaan Alat Tulis Siswa Ujian Nasional/Ujian
Sekolah Tingkat SMA/SMK/MA
60.000.000 60.000.000
Rencana Program dan Kegiatan Prioritas Tahun 2015 Bidang Pendidikan Lembar : 5 dari 87
SKPD Jenis Keg
Tolok Ukur Target Tolok Ukur Target Tolok Ukur Target 1/2/3 1/2/3 1/2/3
2 3 4 5 6 7 8 9 10 11 12 13 14 15 161
Nomor
Urusan/Bidang Urusan Pemerintahan Daerah
Dan Program/Kegiatan
Prioritas
Daerah
Sasaran
Daerah
Lokasi
Indikator kinerja
Pagu
Indikatif
Prakiraan
Maju
Keterangan
Ket
Hasil Program
Keluaran
Kegiatan
Hasil Kegiatan
Jalur Penelusuran Minat dan Prestasi Padangsidimpuan Meningkatnya Presentase
Lulusan di PTN
100% Meningkatnya Presentase
Lulusan di PTN
100% 280.000.000 280.000.000 Dinas
Pendidikan
Operasi Ketertiban Siswa (Ops. Syang) Padangsidimpuan Terlaksananya Operasi Sayang 100% Terlaksananya Operasi Sayang 100% 55.000.000 62.180.000 Dinas
Pendidikan
Pelaksanaan seleksi dan pengiriman peserta O2SN
SMA
Padangsidimpuan Terlaksananya seleksi dan
pengiriman peserta O2SN SMA
100% Terlaksananya seleksi dan
pengiriman peserta O2SN SMA
100% 62.500.000 65.000.000 Dinas
Pendidikan
Pelaksanaan seleksi dan pengiriman peserta OSN
SMA
Padangsidimpuan Terlaksananya seleksi dan
pengiriman peserta OSN SMA
100% Terlaksananya seleksi dan
pengiriman peserta OSN SMA
100% 55.000.000 60.000.000 Dinas
Pendidikan
Bimbingan Test Masuk Perguruan Tinggi Padangsidimpuan Meningkatnya Presentase
Lulusan di PTN
100% Meningkatnya Presentase
Lulusan di PTN
100% 100.790.000 100.790.000 Dinas
Pendidikan
Lomba Ketrampilan Siswa (LKS) Padangsidimpuan Meningkatnya Kemampuan dan
Ketrampilan Siswa
100% Meningkatnya Kemampuan dan
Ketrampilan Siswa
100% 46.505.000 46.505.000 Dinas
Pendidikan
Seleksi dan pengiriman FLS2N Padangsidimpuan Terselenggaranya Keg seleksi dan
pengiriman FLS2N
100% Terselenggaranya Keg seleksi dan
pengiriman FLS2N
100% 54.220.000 54.220.000 Dinas
Pendidikan
Pengadaan Buku Raport Siswa SMA/SMK
Negeri/Swasta
Padangsidimpuan Tersedianya Buku Laporan
Pendidikan Tingkat SMA/SMK
Negeri/Swasta
100% Tersedianya Buku Laporan
Pendidikan Tingkat SMA/SMK
Negeri/Swasta
100% 152.500.000 160.000.000 Dinas
Pendidikan
Gebyar SMK Negeri/Swasta Padangsidimpuan Terlaksananya gebyar SMK 100% Terlaksananya gebyar SMK 100% 83.130.000 83.130.000 Dinas
Pendidikan
Olimpiade Guru Mata Pelajaran Padangsidimpuan Meningkatnya kualitas SDM PTK
SMA/SMK
100% Meningkatnya kualitas SDM PTK
SMA/SMK
100% 51.920.000 51.920.000 Dinas
Pendidikan
Ujian Akhir Semester berstandar nasional Pend.
Agama tingkat SMA/MA dan SMK
Padangsidimpuan Terselenggaranya UAS berstandar
nasional Pend. Agama tk.
SMA/MA dan SMK
100% Terselenggaranya UAS berstandar
nasional Pend. Agama tk.
SMA/MA dan SMK
100% 92.500.000 95.000.000 Dinas
Pendidikan
Rehabilitasi sedang/berat bangunan sekolah Padangsidimpuan Meningkatnya kualitas Sarana
dan Prasarana Sekolah
100% Meningkatnya kualitas Sarana
dan Prasarana Sekolah
100% 5.377.659.870 5.377.659.870 Dinas
Pendidikan
Lomba Debat Bahasa Inggris Tingkat SMA Padangsidimpuan Meningkatnya Kualitas SDM
Anak SMA/SMK
100% Meningkatnya Kualitas SDM
Anak SMA/SMK
100% 40.270.000 40.270.000 Dinas
Pendidikan
Pembinaan Peserta Olimpiade Sains Nasional SMA Padangsidimpuan Terlaksananya pembinaan
peserta olimpiade sains nasional
SMP
100% Terlaksananya pembinaan
peserta olimpiade sains nasional
SMP
100% 367.100.000 367.100.000 Dinas
Pendidikan
Seleksi dan pengiriman Cerdas Cermat Empat Pilar
Kebangsaan
Padangsidimpuan Terlaksananya Seleksi dan
pengiriman Cerdas Cermat Empat
100% Terlaksananya Seleksi dan
pengiriman Cerdas Cermat Empat
100% 30.670.000 30.670.000 Dinas
Pendidikan
Diklat Calon Kepala Sekolah Tingkat SMA dan SMK Padangsidimpuan Tersedianya Kualitas Calon Kasek
berstandar (Sesuai SPM)
100% Tersedianya Kualitas Calon Kasek
berstandar (Sesuai SPM)
100% 228.365.000 228.365.000 Dinas
Pendidikan
Optimalisasi Kurikulum 2013 Tingkat SMA dan SMK Padangsidimpuan Terlaksananya Optimalisasi
Kurikulum 2013 Tingkat SMA
dan SMK
100% Terlaksananya Optimalisasi
Kurikulum 2013 Tingkat SMA
dan SMK
100% 250.000.000 250.000.000 Dinas
Pendidikan
Pembangunan RKB Satuan Sekolah SMA dan SMK Padangsidimpuan Meningkatnya Kualitas Sarana &
Prasarana sekolah
100% Meningkatnya Kualitas Sarana &
Prasarana sekolah
100% 3.360.000.000 3.360.000.000 Dinas
Pendidikan
PROGRAM PENDIDIKAN NON FORMAL Meningkatkan
lulusan program
kesetaraan yang
bermutu (Paket A/B
dan C)
1.884.350.000 1.900.350.000
Pengembangan pendidikan keaksaraan Padangsidimpuan Meningjkatnya Pelayanan
Pendidikan Buta Aksara
100% Meningjkatnya Pelayanan
Pendidikan Buta Aksara
100% 300.000.000 300.000.000 Dinas
Pendidikan
Pengembangan data dan informasi pendidikan non
formal
Padangsidimpuan Kwalifikasi Pendidikan PAUD Non
Formal Terlatih
100% Kwalifikasi Pendidikan PAUD Non
Formal Terlatih
100% 110.000.000 110.000.000 Dinas
Pendidikan
Monitoring, Evaluasi dan Pelaporan 485.000.000 485.000.000
Pengembangan kurikulum , bahan ajar dan model
pembelajaran pendidikan non formal
Padangsidimpuan Meningkatnya lembaga
pendidikan luar sekolah (kursus
kelembagaan yang berkualitas)
100% Terselengaranya Keg Hari Aksara
Internasional
100% 28.000.000 28.000.000 Dinas
Pendidikan
Biaya operasional Sanggar Kegiatan Belajar (SKB) Padangsidimpuan Terselenggaranya Keg Sanggar
Keg Belajar (SKB)
100% Terselenggaranya Keg Sanggar
Keg Belajar (SKB)
100% 142.500.000 145.000.000 Dinas
Pendidikan
Pembinaan Pendidikan Kursus Wira Usaha
Perkotaan
Padangsidimpuan Meningkatnya kualitas dan
Ketrampilan Warga Belajar
100% Meningkatnya kualitas dan
Ketrampilan Warga Belajar
100% 75.000.000 75.000.000 Dinas
Pendidikan
Rencana Program dan Kegiatan Prioritas Tahun 2015 Bidang Pendidikan Lembar : 6 dari 87
SKPD Jenis Keg
Tolok Ukur Target Tolok Ukur Target Tolok Ukur Target 1/2/3 1/2/3 1/2/3
2 3 4 5 6 7 8 9 10 11 12 13 14 15 161
Nomor
Urusan/Bidang Urusan Pemerintahan Daerah
Dan Program/Kegiatan
Prioritas
Daerah
Sasaran
Daerah
Lokasi
Indikator kinerja
Pagu
Indikatif
Prakiraan
Maju
Keterangan
Ket
Hasil Program
Keluaran
Kegiatan
Hasil Kegiatan
Pembinaan Pendidikan Kursus Wira Usaha
Pedesaan
Padangsidimpuan Meningkatnya kualitas dan
Ketrampilan Warga Belajar
100% Meningkatnya kualitas dan
Ketrampilan Warga Belajar
100% 64.500.000 64.500.000 Dinas
Pendidikan
Pengembangan data dan informasi pendidikan non
formal/Jambore
Padangsidimpuan Terselenggaranya Keg Jambore 100% Terselenggaranya Keg Jambore 100% 32.850.000 32.850.000 Dinas
Pendidikan
Hari Aksara Internasional (HAI) Padangsidimpuan Terselenggaranya Keg Hari
Aksara Internasional (HAI)
100% Terselenggaranya Keg Hari
Aksara Internasional (HAI)
100% 35.000.000 35.000.000 Dinas
Pendidikan
Operasional Bunda PAUD 138.500.000 140.000.000
Penyelenggaraan prrogram kewirausahaan
masyarakat
Padangsidimpuan Meningkatnya kualitas dan
Ketrampilan Warga Belajar
100% Meningkatnya kualitas dan
Ketrampilan Warga Belajar
100% 182.500.000 190.000.000 Dinas
Pendidikan
Penyelenggaraan program pendidikan kecakapan
hidup
Padangsidimpuan Meningkatnya kualitas dan
Ketrampilan Warga Belajar
100% Meningkatnya kualitas dan
Ketrampilan Warga Belajar
100% 185.500.000 190.000.000 Dinas
Pendidikan
Sosialisasi dan Penerapan Kurikulum 2013 PTK
PAUDNI UPTD-SKB
25.000.000 25.000.000
Sosialisasi Program Himpunan Penyelenggaraan
Kursus Indonesia (HIPKI)
PSP Angkola Julu Terselenggaranya sosialisasi
program HIPKI
100% Terselenggaranya sosialisasi
program HIPKI
100% 80.000.000 80.000.000 Dinas
Pendidikan
PROGRAM PENDIDIKAN LUAR BIASA 29.500.000 29.500.000
PBM Pendidikan SLB Negeri Padangsidimpuan Terselenggaranya Pendidikan SLB 100% Terselenggaranya Pendidikan SLB 100% 29.500.000 29.500.000 Dinas
Pendidikan
PROGRAM PENINGKATAN MUTU PENDIDIK DAN
TENAGA KEPENDIDIKAN
Prosentase Guru TK
Berkwalifikasi Akademik S1/D4.
1.450.541.000 1.455.541.000
Pelaksanaan sertifikasi pendidik Padangsidimpuan Terselenggaranya Program
Sertifikasi Pendidik
100% Terselenggaranya Program
Sertifikasi Pendidik
100% 163.620.000 163.620.000 Dinas
Pendidikan
Biaya Penyusunan Anggaran Dinas Pendidikan Padangsidimpuan Terselenggaranya Keg Dokumen
Anggaran Pendidikan
100% Terselenggaranya Keg Dokumen
Anggaran Pendidikan
100% 20.000.000 20.000.000 Dinas
Pendidikan
Penyusunan Profil Padangsidimpuan Terselenggaranya Keg Dokumen
Profil Pendidikan
100% Terselenggaranya Keg Dokumen
Profil Pendidikan
100% 20.325.000 20.325.000 Dinas
Pendidikan
Pembinaan Kelompok Kerja APSI Padangsidimpuan Terselenggaranya Keg Kelompok
Kerja APSI
100% Terselenggaranya Keg Kelompok
Kerja APSI
100% 163.620.000 163.620.000 Dinas
Pendidikan
Penyusunan Profil 30.000.000 30.000.000
Musyawarah Kerja Pengawas Sekolah (MKPS) Padangsidimpuan Terselenggaranya Keg Pembuatan
Program Kerja Pengawas Sekolah
100% Terselenggaranya Keg Pembuatan
Program Kerja Pengawas Sekolah
100% 88.500.000 90.000.000 Dinas
Pendidikan
Kelompok Kerja Pengawas Sekolah (KKPS) Padangsidimpuan Terselenggaranya Keg Pembuatan
Program Kerja Pengawas Sekolah
100% Terselenggaranya Keg Pembuatan
Program Kerja Pengawas Sekolah
100% 56.976.000 56.976.000 Dinas
Pendidikan
Operasional Jaringan Pendidikan Nasional
(JARDIKNAS)
Padangsidimpuan Meningkatnya Layanan Jaringan
Pendataan Pendidikan
100% Meningkatnya Layanan Jaringan
Pendataan Pendidikan
100% 156.500.000 160.000.000 Dinas
Pendidikan
Musyawarah Guru Mata Pelajaran Bahasa Indonesia Padangsidimpuan Meningkatnya Kemampuan Guru
Design Perangkat Pembelajaran
100% Terselenggaranya Keg Pembuatan
Program Kerja Pengawas Sekolah
100% 28.000.000 28.000.000 Dinas
Pendidikan
Musyawarah Guru Mata Pelajaran Prodi Bisnis
Manajemen
Padangsidimpuan Meningkatnya Kemampuan Guru
Design Perangkat Pembelajaran
100% Terselenggaranya Keg Pembuatan
Program Kerja Pengawas Guru
Bimbingan Konseling (BK)
100% 28.000.000 28.000.000 Dinas
Pendidikan
Sosialisasi Data Pokok Pendidikan (DAPODIK) 280.000.000 280.000.000
Musyawarah Guru Mata Pelajaran Prodi Teknologi Padangsidimpuan Meningkatnya Kemampuan Guru
Design Perangkat Pembelajaran
100% Terselenggaranya Keg Akreditasi
Sekolah
100% 28.000.000 28.000.000 Dinas
Pendidikan
Musyawarah Guru Mata Pelajaran Fisika Padangsidimpuan Meningkatnya Kemampuan Guru
Design Perangkat Pembelajaran
100% Meningkatnya Layanan Jaringan
Pendataan Pendidikan
100% 28.000.000 28.000.000 Dinas
Pendidikan
Rencana Program dan Kegiatan Prioritas Tahun 2015 Bidang Pendidikan Lembar : 7 dari 87
SKPD Jenis Keg
Tolok Ukur Target Tolok Ukur Target Tolok Ukur Target 1/2/3 1/2/3 1/2/3
2 3 4 5 6 7 8 9 10 11 12 13 14 15 161
Nomor
Urusan/Bidang Urusan Pemerintahan Daerah
Dan Program/Kegiatan
Prioritas
Daerah
Sasaran
Daerah
Lokasi
Indikator kinerja
Pagu
Indikatif
Prakiraan
Maju
Keterangan
Ket
Hasil Program
Keluaran
Kegiatan
Hasil Kegiatan
Musyawarah Guru Mata Pelajaran Kimia Padangsidimpuan Meningkatnya Kemampuan Guru
Design Perangkat Pembelajaran
100% Meningkatnya SDM Guru SMA
Mapel Fisika dan Kimia
100% 28.000.000 28.000.000 Dinas
Pendidikan
Musyawarah Guru Mata Pelajaran Sejarah Padangsidimpuan Meningkatnya Kemampuan Guru
Design Perangkat Pembelajaran
100% Meningkatnya SDM Guru SMK 100% 28.000.000 28.000.000 Dinas
Pendidikan
Musyawarah Guru Mata Pelajaran Bahasa Inggris Padangsidimpuan Meningkatnya Kemampuan Guru
Design Perangkat Pembelajaran
100% Meningkatnya Kemampuan dan
kualitas PTK
100% 28.000.000 28.000.000 Dinas
Pendidikan
Musyawarah Guru Mata Pelajaran Pendidikan
Kewarganegaraan (PKn)
Padangsidimpuan Meningkatnya Kemampuan Guru
Design Perangkat Pembelajaran
100% Terselenggaranya Keg Hari
Pendidikan Nasional
100% 28.000.000 28.000.000 Dinas
Pendidikan
Musyawarah Guru Mata Pelajaran Matematika Padangsidimpuan Meningkatnya Kemampuan Guru
Design Perangkat Pembelajaran
100% Meningkatnya Kemampuan Guru
Design Perangkat Pembelajaran
100% 28.000.000 28.000.000 Dinas
Pendidikan
Musyawarah Guru Mata Pelajaran Pend. Agama Padangsidimpuan Meningkatnya Kemampuan Guru
Design Perangkat Pembelajaran
100% Meningkatnya Kemampuan Guru
Design Perangkat Pembelajaran
100% 28.000.000 28.000.000 Dinas
Pendidikan
Musyawarah Guru Mata Pelajaran Biologi Padangsidimpuan Meningkatnya Kemampuan Guru
Design Perangkat Pembelajaran
100% Meningkatnya Kemampuan Guru
Design Perangkat Pembelajaran
100% 28.000.000 28.000.000 Dinas
Pendidikan
Musyawarah Guru Mata Pelajaran Pendidikan
Jasmani
Padangsidimpuan Meningkatnya Kemampuan Guru
Design Perangkat Pembelajaran
100% Meningkatnya Kemampuan Guru
Design Perangkat Pembelajaran
100% 28.000.000 28.000.000 Dinas
Pendidikan
Operasional Kelompok Kerja Data Pendidikan Padangsidimpuan Terselenggaranya kegiatan pokja
Data Pendidikan
100% Terselenggaranya kegiatan pokja
Data Pendidikan
100% 135.000.000 135.000.000 Dinas
Pendidikan
PROGRAM PENGEMBANGAN BUDAYA BACA DAN
PEMBINAAN PERPUSTAKAAN
Terselenggaranya
Kegiatan Operasional
Perpustakaan Daerah
559.600.000 564.600.000
Penyediaan Bahan Pustaka Perpustakaan Umum
Daerah
Padangsidimpuan Meningkatnya budaya baca
masyarakat
100% Meningkatnya budaya baca
masyarakat
100% 160.000.000 160.000.000 Dinas
Pendidikan
Pengadaan Buku Perpustakaan Daerah Kota
Padangsidimpuan
Padangsidimpuan Meningkatnya budaya baca
masyarakat
100% Meningkatnya budaya baca
masyarakat
100% 250.000.000 250.000.000 Dinas
Pendidikan
Perlombaan Perpustakaan Tingkat
SD,SMP,SMA,SMK dan Kelurahan
55.000.000 60.000.000
Pengadaan Buku Perpustakaan di Kelurahan Padangsidimpuan Meningkatnya budaya baca
masyarakat
100% Meningkatnya budaya baca
masyarakat
100% 75.000.000 75.000.000 Dinas
Pendidikan
Perlombaan Perpustakaan Antar Kelurahan Padangsidimpuan Meningkatnya budaya baca
masyarakat
100% Meningkatnya budaya baca
masyarakat
100% 19.600.000 19.600.000 Dinas
Pendidikan
PROGRAM MANAJEMEN PELAYANAN
PENDIDIKAN
Prosentase kualitas
pelayanan pendidikan
dan pemerataan
jangkauan pelayanan
pendidikan
1.227.228.000 1.230.728.000
Pelakssanaan evaluasi hasil kinerja bidang
pendidikan
Padangsidimpuan Meningkatnya Kinerja Perangkat
Bidang Pendidikan
100% Meningkatnya Kinerja Perangkat
Bidang Pendidikan
100% 49.350.000 49.350.000 Dinas
Pendidikan
Pembinaan Dewan Pendidikan Padangsidimpuan Tersedianya Operasional Dewan
Pendidikan
100% Tersedianya Operasional Dewan
Pendidikan
100% 37.300.000 37.300.000 Dinas
Pendidikan
Pembinaan Komite Sekolah Padangsidimpuan Tersedianya Operasional
Pembinanan Dewan Pendidikan
Terhadap Komite Sekolah
100% Tersedianya Operasional
Pembinanan Dewan Pendidikan
Terhadap Komite Sekolah
100% 71.820.000 71.820.000 Dinas
Pendidikan
Operasional Dewan Pendidikan 82.500.000 82.500.000
Diklat Peningkatan Mutu Komite Sekolah 76.500.000 80.000.000
Monitoring, Evaluasi dan Pelaporan Padangsidimpuan Meningkanta Tata Kelola dan
Manajemen Pendidikan
100% Meningkanta Tata Kelola dan
Manajemen Pendidikan
100% 584.950.000 584.950.000 Dinas
Pendidikan
Rencana Program dan Kegiatan Prioritas Tahun 2015 Bidang Pendidikan Lembar : 8 dari 87
SKPD Jenis Keg
Tolok Ukur Target Tolok Ukur Target Tolok Ukur Target 1/2/3 1/2/3 1/2/3
2 3 4 5 6 7 8 9 10 11 12 13 14 15 161
Nomor
Urusan/Bidang Urusan Pemerintahan Daerah
Dan Program/Kegiatan
Prioritas
Daerah
Sasaran
Daerah
Lokasi
Indikator kinerja
Pagu
Indikatif
Prakiraan
Maju
Keterangan
Ket
Hasil Program
Keluaran
Kegiatan
Hasil Kegiatan
Operasional Kelompok Kerja Pendataan Pendidikan 160.000.000 160.000.000
Penyusunan LAKIP dan Laporan Pendidikan Padangsidimpuan Terlaksananya Penyusunan
LAKIP Bidang Pendidikan
100% Terlaksananya Penyusunan
LAKIP Bidang Pendidikan
100% 9.648.000 9.648.000 Dinas
Pendidikan
Rangkuman Data Pendidikan Padangsidimpuan Terlaksananya Penyusunan
Rekapitulasi Rangkuman Data
Pendidikan
100% Terlaksananya Penyusunan
Rekapitulasi Rangkuman Data
Pendidikan
100% 27.000.000 27.000.000 Dinas
Pendidikan
Pendataan dan Pelaporan Asset Dinas Pendidikan Padangsidimpuan Terselenggarana pendataan asset
dinas pendidikan
100% Terselenggarana pendataan asset
dinas pendidikan
100% 60.000.000 60.000.000 Dinas
Pendidikan
Pendataan Calon Penerima Bantuan Beasiswa dan
Tunjangan Kesejahteraan Guru
Padangsidimpuan Terlaksananya Keg Pendataan
Beasiswa dan Tunjangan
Kesejahteraan Guru
100% Terlaksananya Keg Pendataan
Beasiswa dan Tunjangan
Kesejahteraan Guru
100% 68.160.000 68.160.000 Dinas
Pendidikan
33.462.284.000 4.959.000.000 P2
PROGRAM PELAYANAN ADMINISTRASI
PERKANTORAN
Terselenggaranya
Pelayanan Adm. Disdik
99.000.000 99.000.000
Insentif Guru Sekolah Minggu Padangsidimpuan Terpenuhinya kesejahteraan
Sekolah Minggu
100% Terpenuhinya kesejahteraan
Sekolah Minggu
100% 99.000.000 99.000.000 Dinas
Pendidikan
PROGRAM WAJIB BELAJAR PENDIDIKAN DASAR
SEMBILAN TAHUN
Tercapainya APM
SD/MI
6.260.956.000 500.000.000
Pembangunan MCK Tingkat Sekolah Dasar Padangsidimpuan Meningkatnya Kualitas Sarana &
Prasarana SMP
100% Meningkatnya Kualitas Sarana &
Prasarana SMP
100% 500.000.000 500.000.000 Dinas
Pendidikan
Pengadaan meubeleur SD Negeri/Swasta Kota
Padangsidimpuan
Padangsidimpuan Memajukan sektor pendidikan 500.000.000 Dinas
Pendidikan
Pengadaan meubeleur SMP Negeri/Swasta Kota
Padangsidimpuan
Padangsidimpuan Memajukan sektor pendidikan 500.000.000 Dinas
Pendidikan
Pengadaan meubeleur SMA Negeri/Swasta Kota
Padangsidimpuan
Padangsidimpuan Memajukan sektor pendidikan 500.000.000 Dinas
Pendidikan
Pengadaan meubeleur SMK Negeri/Swasta Kota
Padangsidimpuan
Padangsidimpuan Memajukan sektor pendidikan 500.000.000 Dinas
Pendidikan
Rehabilitasi Sedang/Berat Ruang Kelas SD
Negeri/Swasta Kota Padangsidimpuan
Padangsidimpuan Memajukan pendidikan daerah
1.880.478.000 Dinas
Pendidikan
Pembangunan Ruang Kelas Baru (RKB) SD
Negeri/Swasta Kota Padangsidimpuan
Padangsidimpuan Memajukan pendidikan daerah
1.880.478.000 Dinas
Pendidikan
PROGRAM PENDIDIKAN MENENGAH Tercapainya APM
SMA/SMK//MA
26.502.328.000 4.360.000.000
Pengadaan Meubeleur satuan Sekolan SMA dan
SMK
Padangsidimpuan Peningkatan Sarana dan
Prasarana Sekolah
100% Peningkatan Sarana dan
Prasarana Sekolah
100% 1.000.000.000 1.000.000.000 Dinas
Pendidikan
Pembangunan RKB Satuan Sekolah SMA dan SMK Padangsidimpuan Peningkatan Sarana dan
Prasarana Sekolah
100% Peningkatan Sarana dan
Prasarana Sekolah
100% 3.360.000.000 3.360.000.000 Dinas
Pendidikan
Rehabilitasi Sedang/Berat Ruang Kelas SMP
Negeri/Swasta Kota Padangsidimpuan
Padangsidimpuan Pendidikan menengah
Memajukan pendidikan daerah 1 paket 1.940.748.000
Dinas
Pendidikan
Rehabilitasi Sedang/Berat Ruang Kelas SMA
Negeri/Swasta Kota Padangsidimpuan
Padangsidimpuan Pendidikan menengah
Memajukan pendidikan daerah 1 paket 1.226.046.000
Dinas
Pendidikan
Rehabilitasi Sedang/Berat Ruang Kelas SMK
Negeri/Swasta Kota Padangsidimpuan
Padangsidimpuan Pendidikan menengah
Memajukan pendidikan daerah 1 paket 3.404.370.000
Dinas
Pendidikan
Pembangunan Ruang Kelas Baru (RKB) SMP
Negeri/Swasta Kota Padangsidimpuan
Padangsidimpuan Pendidikan menengah
Memajukan pendidikan daerah 1 paket 1.940.748.000
Dinas
Pendidikan
Pembangunan Ruang Kelas Baru (RKB) SMA
Negeri/Swasta Kota Padangsidimpuan
Padangsidimpuan Pendidikan menengah
Memajukan pendidikan daerah 1 paket 1.226.046.000
Dinas
Pendidikan
Pembangunan Ruang Kelas Baru (RKB) SMK
Negeri/Swasta Kota Padangsidimpuan
Padangsidimpuan Pendidikan menengah
Memajukan pendidikan daerah 1 paket 3.404.370.000
Dinas
Pendidikan
Pengadaan Sarana Peningkatan Mutu Pendidikan
SD Negeri/Swasta Kota Padangsidimpuan
Padangsidimpuan Pendidikan menengah
Memajukan pendidikan daerah 1 paket 3.000.000.000
Dinas
Pendidikan
Pengadaan Sarana Peningkatan Mutu Pendidikan
SMP Negeri/Swasta Kota Padangsidimpuan
Padangsidimpuan Pendidikan menengah
Memajukan pendidikan daerah 1 paket 1.000.000.000
Dinas
Pendidikan
Rencana Program dan Kegiatan Prioritas Tahun 2015 Bidang Pendidikan Lembar : 9 dari 87
SKPD Jenis Keg
Tolok Ukur Target Tolok Ukur Target Tolok Ukur Target 1/2/3 1/2/3 1/2/3
2 3 4 5 6 7 8 9 10 11 12 13 14 15 161
Nomor
Urusan/Bidang Urusan Pemerintahan Daerah
Dan Program/Kegiatan
Prioritas
Daerah
Sasaran
Daerah
Lokasi
Indikator kinerja
Pagu
Indikatif
Prakiraan
Maju
Keterangan
Ket
Hasil Program
Keluaran
Kegiatan
Hasil Kegiatan
Pengadaan Sarana Peningkatan Mutu Pendidikan
SMA Negeri/Swasta Kota Padangsidimpuan
Padangsidimpuan Pendidikan menengah
Memajukan pendidikan daerah 1 paket 2.000.000.000
Dinas
Pendidikan
Pengadaan Sarana Peningkatan Mutu Pendidikan
SMK Negeri/Swasta Kota Padangsidimpuan
Padangsidimpuan Pendidikan menengah
Memajukan pendidikan daerah 1 paket 3.000.000.000
Dinas
Pendidikan
PROGRAM PENINGKATAN MUTU PENDIDIK DAN
TENAGA KEPENDIDIKAN
Prosentase Guru TK
Berkwalifikasi Akademik S1/D4.
600.000.000 -
Pengadaan Laboratorium Bahasa di STKIP Tapanuli
Selatan
Padangsidimpuan Terpenuhinya sarana prasarana 400.000.000 - Dinas
Pendidikan
Pelatihan Kepemimpinan bagi Mahasiswa dan Ketua
Osis SMP dan SMA
Padangsidimpuan Meningkat Kemampuan
mahasiswa untuk pengembangan
diri
50.000.000 - Dinas
Pendidikan
Pelatihan Penggunaan Model-model Pembelajaraan
bagi guru tingkat SMP dan SMA
Padangsidimpuan Meningkat Kemamampuan SDM
Guru
150.000.000 - Dinas
Pendidikan
Rencana Program dan Kegiatan Prioritas Tahun 2015 Bidang Pendidikan Lembar : 10 dari 87
SKPD Jenis Keg
Tolok Ukur Target Tolok Ukur Target Tolok Ukur Target 1/2/3 1/2/3 1/2/3
2 3 4 5 6 7 8 9 10 11 12 13 14 15 16
01 URUSAN WAJIB
1 02 BIDANG KESEHATAN
65.185.292.000 57.986.445.658
14.256.370.500 15.192.507.550 P1
Program Pelayanan Administrasi Perkantoran 3.256.050.000 3.581.655.000
Penyediaan Jasa Komunikasi, Sumber Daya Air
dan Listrik
Padangsidimpuan Terbayarnya Jasa Komunikasi,
Sumber Daya Air dan Listrik
12 Bln Terbayarnya Jasa Komunikasi,
Sumber Daya Air dan Listrik
12 Bln 135.000.000 148.500.000 Dinkes
Penyediaan Jasa Pemeliharaan dan Perizinan
Kendaraan Dinas / Operasional
Padangsidimpuan Tersedianya Jasa Pemeliharaan
dan Perizinan Kendaraan Dinas /
Operasional
20 unit Tersedianya Jasa Pemeliharaan
dan Perizinan Kendaraan Dinas /
Operasional
20 unit 585.000.000 643.500.000 Dinkes
Penyediaan Jasa Administrasi Keuangan Padangsidimpuan Tertatanya administrasi
keuangan yang baik dan benar
12 Bln Tertatanya administrasi
keuangan yang baik dan benar
12 Bln 175.000.000 192.500.000 Dinkes
Penyediaan Jasa Kebersihan Kantor Padangsidimpuan Tersedianya jasa petugas
kebersihan dan keamanan
kantor
12 Bln Tersedianya jasa petugas
kebersihan dan keamanan
kantor
12 Bln 140.000.000 154.000.000 Dinkes
Penyediaan Jasa Perbaikan Peralatan Kerja Padangsidimpuan Berfungsinya peralatan kerja
dengan baik
5 item Berfungsinya peralatan kerja
dengan baik
5 item 44.750.000 49.225.000 Dinkes
Penyediaan Alat Tulis Kantor Padangsidimpuan Tersedianya alat tulis kantor 39 item Tersedianya alat tulis kantor 39 item 115.700.000 127.270.000 Dinkes
Penyediaan Barang Cetakan dan Penggandaan Padangsidimpuan Tersedianya cetakan dan
penggandaan
22 item Tersedianya cetakan dan
penggandaan
22 item 108.000.000 118.800.000 Dinkes
Penyediaan Komponen Instalasi Listrik /
Penerangan Bangunan Kantor
Padangsidimpuan Tersedianya Komponen Instalasi
Listrik / Penerangan Bangunan
Kantor
8 komponen Tersedianya Komponen Instalasi
Listrik / Penerangan Bangunan
Kantor
8
komponen
37.000.000 40.700.000 Dinkes
Penyediaan Peralatan dan Perlengkapan Kantor Padangsidimpuan Tersedianya Peralatan dan
Perlengkapan Kantor
3 item Tersedianya Peralatan dan
Perlengkapan Kantor
3 item 150.000.000 165.000.000 Dinkes
Penyediaan Peralatan Rumah Tangga Padangsidimpuan Tersedianya peralatan
kebersihan
18 item Tersedianya peralatan
kebersihan
18 item 58.000.000 63.800.000 Dinkes
Penyediaan Bahan Bacaan dan Peraturan
Perundang-undangan
Padangsidimpuan Terbayarnya biaya surat kabar
dan buku peraturan perundang-
undangan
40 srt kbr
dan
perundang-
undangn
Terbayarnya biaya surat kabar
dan buku peraturan perundang-
undangan
40 srt kbr
dan
perundang-
undangn
25.000.000 27.500.000 Dinkes
Penyediaan Makanan dan Minuman Padangsidimpuan Tersedianya biya makan dan
minum harian pegawai
12 bln Tersedianya biya makan dan
minum harian pegawai
12 bln 845.000.000 929.500.000 Dinkes
Rapat-rapat Koordinasi dan Konsultasi ke Luar
Daerah
Padangsidimpuan Terlaksananya Rapat-rapat
Koordinasi dan Konsultasi ke
Luar Daerah
1 Tahun Terlaksananya Rapat-rapat
Koordinasi dan Konsultasi ke
Luar Daerah
1 Tahun 578.000.000 635.800.000 Dinkes
Penyediaan Jasa Administrasi Perkantoran Padangsidimpuan 12 bln 12 bln 13.500.000 14.850.000 Dinkes
Penyediaan Jasa Keamanan Kantor Padangsidimpuan 12 bln 12 bln 122.100.000 134.310.000 Dinkes
Penyediaan Jasa Pelayanan Medik, Paramedik
dan Non Medik
Padangsidimpuan Tersedinya Jasa Pelayanan
Medik, Paramedik dan Non
Medik
305
aparatur
Tersedinya Jasa Pelayanan
Medik, Paramedik dan Non
Medik
305
aparatur
60.000.000 66.000.000 Dinkes
Peringatan Hari Kesehatan Nasional Padangsidimpuan Terlaksananya Peringatan Hari
Kesehatan Nasional
1 kali Terlaksananya Peringatan Hari
Kesehatan Nasional
1 kali 64.000.000 70.400.000 Dinkes
Program Peningkatan Sarana dan Prasarana
Aparatur
207.500.000 228.250.000
Pengadaan Mebeleur Padangsidimpuan Tersedianya mebeleur kantor 6 item Tersedianya mebeleur kantor 6 item 207.500.000 228.250.000 Dinkes
1
Rencana Program dan Kegiatan Prioritas Daerah Tahun 2015
Kota Padangsidimpuan
Nomor
Urusan/Bidang Urusan Pemerintahan Daerah
Dan Program/Kegiatan
Prioritas
Daerah
Sasaran
Daerah
Lokasi
Indikator kinerja Pagu
Indikatif
Prakiraan
Maju
Keterangan
Ket
Hasil Program
Keluaran
Kegiatan
Hasil Kegiatan
Rencana Program dan Kegiatan Prioritas Tahun 2015 Bidang Kesehatan Lembar : 11 dari 87
SKPD Jenis Keg
Tolok Ukur Target Tolok Ukur Target Tolok Ukur Target 1/2/3 1/2/3 1/2/3
2 3 4 5 6 7 8 9 10 11 12 13 14 15 161
Nomor
Urusan/Bidang Urusan Pemerintahan Daerah
Dan Program/Kegiatan
Prioritas
Daerah
Sasaran
Daerah
Lokasi
Indikator kinerja Pagu
Indikatif
Prakiraan
Maju
Keterangan
Ket
Hasil Program
Keluaran
Kegiatan
Hasil Kegiatan
Program Peningkatan Disiplin Aparatur 110.100.000 121.110.000
Pengadaan Pakaian Dinas berserta
Perlengkapannya
Padangsidimpuan Tersedianya pakaian dinas
pegawai
75 stel Tersedianya pakaian dinas
pegawai
75 stel 41.000.000 45.100.000 Dinkes
Pengadaan Pakaian Khusus Hari-hari Tertentu Padangsidimpuan Tersedianya pakaian batik
pegawai
75 ptg bhn
baju
Tersedianya pakaian batik
pegawai
75 ptg bhn
baju
69.100.000 76.010.000 Dinkes
Program Peningkatan Kapasitas Sumber Daya
Aparatur
400.000.000 440.000.000
Pendidikan dan Pelatihan Formal Dalam dan Luar
Kota
Padangsidimpuan
Meningkatnya pengetahuan
pegawai
51 org Meningkatnya pengetahuan
pegawai
51 org 400.000.000 440.000.000 Dinkes
Program Peningkatan Pengembangan Sistem
Pelaporan Capaian Kinerja dan keuangan
31.500.000 34.650.000
Penyusunan Laporan Capaian Kinerja dan
Ikhtisar Realisasi Kinerja SKPD
Padangsidimpuan Tersusunnya LAKIP dan LPPD 2 dokumen Tersusunnya LAKIP dan LPPD 2 dokumen 4.000.000 4.400.000 Dinkes
Penyusunan Pelaporan Prognosis Realisasi
Anggaran
Padangsidimpuan Adanya DPA dan Renja 3 dokumen Adanya DPA dan Renja 3 dokumen 27.500.000 30.250.000 Dinkes
Program obat dan perbekalan kesehatan 1.059.700.000 1.159.620.000
Pengadaan Obat dan Perbekalan Kesehatan Padangsidimpuan 58 item 58 item 1.006.200.000 1.106.820.000
Peningkatan mutu pelayanan farmasi komunitas
dan rumah sakit
Padangsidimpuan Jumlah sarana farmakmin yang
terdaftar sesuai dengan
peraturan
58 sarana Jumlah sarana farmakmin yang
terdaftar sesuai dengan
peraturan
58 sarana 18.000.000 19.800.000 Dinkes
Monitoring, evaluasi dan Pelaporan Padangsidimpuan 37 sarana 37 sarana 35.500.000 33.000.000 Dinkes
Program Upaya Kesehatan Masyarakat 1.046.100.000 1.150.710.000
Pelayanan kesehatan penduduk miskin di
puskesmas dan jaringannya
Padangsidimpuan Cakupan pelayanan kesehatan
dasar keluarga miskin
1223 org Cakupan pelayanan kesehatan
dasar keluarga miskin
1223 org 300.000.000 330.000.000 Dinkes
Pemeliharaan dan pemulihan kesehatan Padangsidimpuan Meningkatnya derajat kesehatan
jemaah haji daerah
625 jemaah Meningkatnya derajat kesehatan
jemaah haji daerah
625
jemaah
194.500.000 213.950.000 Dinkes
Peningkatan kesehatan masyarakat Padangsidimpuan Terlaksananya pemantauan dan
penanganan kasus kecelakaan
dan penjaringan anak sekolah
1 tahun Terlaksananya pemantauan dan
penanganan kasus kecelakaan
dan penjaringan anak sekolah
1 tahun 115.000.000 126.500.000 Dinkes
Peningkatan pelayanan kesehatan bagi
pengungsi korban bencana
Padangsidimpuan Tersedianya sarana dan
prasarana pelayanan kesehatan
2 kali Tersedianya sarana dan
prasarana pelayanan kesehatan
2 kali 13.200.000 14.520.000 Dinkes
Penyediaan biaya operasional dan pemeliharaan Padangsidimpuan Terjaminnya pelayanan
kesehatan di puskesmas rawat
inap
2 Pusk Terjaminnya pelayanan
kesehatan di puskesmas rawat
inap
2 Pusk 288.500.000 317.350.000 Dinkes
Pencegahan dan pemberantasan penyakit tidak
menular
Padangsidimpuan Meningkatnya pencegahan dan
penberantasan penyakit tidak
menular
4 kali Meningkatnya pencegahan dan
penberantasan penyakit tidak
menular
4 kali 53.100.000 58.410.000 Dinkes
Monitoring, evaluasi dan pelaporan Padangsidimpuan Terlaksananya monitoring
penyakit tidak menular
4 kali Terlaksananya monitoring
penyakit tidak menular
4 kali 12.200.000 13.420.000 Dinkes
Lomba Pos Yandu Padangsidimpuan Terlaksananya Lomba Pos Yandu 1 kali Terlaksananya Lomba Pos Yandu 1 kali 69.600.000 76.560.000 Dinkes
Program Pengawasan Obat dan Makanan 37.000.000 40.700.000
Peningkatan Pemberdayaan
Konsumen/Masyarakat di bidang obat dan
makanan
Padangsidimpuan 180 org 180 org 37.000.000 40.700.000
Program Promosi Kesehatan dan
Pemberdayaan Masyarakat
1.108.826.000 1.219.708.600
Pengembangan Media Promosi dan informasi
Sadar Hidup Sehat
Padangsidimpuan Terlaksananya promosi
kesehatan di setiap Jenjang
1 kali Terlaksananya promosi
kesehatan di setiap Jenjang
1 kali 450.455.000 495.500.500 Dinkes
Penyuluhan Masyarakat Pola Hidup Sehat Padangsidimpuan Cakupan Desa Siaga Aktif dan
Peningkatan PHBS
1 kali Cakupan Desa Siaga Aktif dan
Peningkatan PHBS
1 kali 375.255.000 412.780.500 Dinkes
Rencana Program dan Kegiatan Prioritas Tahun 2015 Bidang Kesehatan Lembar : 12 dari 87
SKPD Jenis Keg
Tolok Ukur Target Tolok Ukur Target Tolok Ukur Target 1/2/3 1/2/3 1/2/3
2 3 4 5 6 7 8 9 10 11 12 13 14 15 161
Nomor
Urusan/Bidang Urusan Pemerintahan Daerah
Dan Program/Kegiatan
Prioritas
Daerah
Sasaran
Daerah
Lokasi
Indikator kinerja Pagu
Indikatif
Prakiraan
Maju
Keterangan
Ket
Hasil Program
Keluaran
Kegiatan
Hasil Kegiatan
Peningkatan Pemanfaatan Sarana kesehatan Padangsidimpuan Cakupan Desa Siaga Aktif dan
Peningkatan PHBS
137 pos
yandu
Cakupan Desa Siaga Aktif dan
Peningkatan PHBS
137 pos
yandu
133.355.000 146.690.500
Peningkatan Pendidikan tenaga Penyuluh
Kesehatan
Padangsidimpuan Cakupan Desa Siaga Aktif dan
Peningkatan PHBS
41 desa Cakupan Desa Siaga Aktif dan
Peningkatan PHBS
41 desa 149.761.000 164.737.100 Dinkes
Program perbaikan gizi masyarakat 149.410.000 164.351.000
Penyusunan peta informasi masyarakat kurang
gizi
Padangsidimpuan Terlaksananya deteksi dini status
gizi balita melalui pemantauan
pertumbuhan
79 desa/kel Terlaksananya deteksi dini status
gizi balita melalui pemantauan
pertumbuhan
79
desa/kel
40.100.000 44.110.000 Dinkes
Penanggulangan KEP, GAKY, kurang vitamin A
,dan kekurangan zat gizi mikro lainnya
Padangsidimpuan Terlaksananya deteksi dini status
gizi balita melalui pemantauan
pertumbuhan
20446 bayi
dan balita
Terlaksananya deteksi dini status
gizi balita melalui pemantauan
pertumbuhan
20446 bayi
dan balita
109.310.000 120.241.000 Dinkes
Program Pengembangan Lingkungan Sehat 367.000.000 403.700.000
Pengkajian Pengembangan Lingkungan Sehat Padangsidimpuan 1 tahun 1 tahun 269.000.000 295.900.000 Dinkes
Monitoring, Evaluasi dan Pelaporan Padangsidimpuan 75 depot 75 depot 98.000.000 107.800.000 Dinkes
Program Pencegahan dan Penanggulangan
Penyakit Menular
1.164.064.500 1.280.470.950
Penyemprotan / Fogging Sarang Nyamuk Padangsidimpuan Terlaksananya fogging sarang
nyamuk
70 desa/kel Terlaksananya fogging sarang
nyamuk
70
desa/kel
45.000.000 49.500.000 Dinkes
Pengadaan Alat fogging dan bahan-bahan
Fogging
Padangsidimpuan Terpenuhinya Pengadaan Alat-
alat dan Bahan Fogging
70 desa/kel Terpenuhinya Pengadaan Alat-
alat dan Bahan Fogging
70
desa/kel
290.000.000 319.000.000 Dinkes
Pelayanan vaksianasi bagi balita dan anak
sekolah
Padangsidimpuan 14.441
siswa
14.441
siswa
51.600.000 56.760.000 Dinkes
Pelayanan pencegahan dan penanggulangan
penyakit menular
Padangsidimpuan 2 pusk 2 pusk 51.000.000 56.100.000 Dinkes
Peningkatan imunisasi Padangsidimpuan Cakupan UCI desa/kelurahan 3.305 bayi Cakupan UCI desa/kelurahan 3.305 bayi 429.314.500 472.245.950 Dinkes
Peningkatan survellance epidemiologi dan
penanggulangan wabah
Padangsidimpuan Angka Bebas Jentik 7.900 rmh Angka Bebas Jentik 7.900 rmh 205.000.000 225.500.000 Dinkes
Peningkatan komunikasi, informasi dan Edukasi
(ide) pencegahan dan pemberantasan penyakit
Sekolah SMA Terlaksananya penyuluhan pada
anak tingkat SMU
10 sekolah Terlaksananya penyuluhan pada
anak tingkat SMU
10 sekolah 47.100.000 51.810.000 Dinkes
Monitoring, evaluasi dan Pelaporan Puskesmas, RS,
Klinik
cakupan penemuan dan
penanganan penyakit diare ,
pneumonia. TB Paru, AFP, HIV
26 sarana
kes
cakupan penemuan dan
penanganan penyakit diare ,
pneumonia. TB Paru, AFP, HIV
26 sarana
kes
45.050.000 49.555.000 Dinkes
Program Standarisasi Pelayanan Kesehatan 1.237.200.000 1.360.920.000
Penyusunan Standar Pelayanan Kesehatan Padangsidimpuan 1 pusk 1 pusk 261.200.000 287.320.000 Dinkes
Evaluasi dan Pengembangan Standar Pelayanan
Kesehatan
Dinas Kesehatan
dan jaringannya
Tersusunnya profil dinas
kesehatan
10 Dok Tersusunnya profil dinas
kesehatan
10 Dok 98.000.000 107.800.000 Dinkes
Penyusunan Standar Analisis Belanja Pelayanan
Kesehatan
Dinas Kesehatan 1 Dok 1 Dok 30.000.000 33.000.000
Penyusunan Masterplan Dinkes Dinas Kesehatan 254.000.000 279.400.000
Penyelenggaraan Survey Indeks Kepuasan
Mayarakat
Padangsidimpuan 2 Pusk 2 Pusk 594.000.000 653.400.000
Program Pelayanan kesehatan penduduk
miskin
32.800.000 36.080.000
Penanggulangan penyakit cacingan Padangsidimpuan Cakupan pelayanan kesehatan
dasar keluarga miskin
500 sisswa Cakupan pelayanan kesehatan
dasar keluarga miskin
500 sisswa 32.800.000 36.080.000 Dinkes
Program Pengadaan, Peningkatan dan
Perbaikan Sarana dan Prasarana
Puskesmas/Puskesmas Pembantu dan
Jaringannya
3.394.920.000 2.767.512.000
Rencana Program dan Kegiatan Prioritas Tahun 2015 Bidang Kesehatan Lembar : 13 dari 87
SKPD Jenis Keg
Tolok Ukur Target Tolok Ukur Target Tolok Ukur Target 1/2/3 1/2/3 1/2/3
2 3 4 5 6 7 8 9 10 11 12 13 14 15 161
Nomor
Urusan/Bidang Urusan Pemerintahan Daerah
Dan Program/Kegiatan
Prioritas
Daerah
Sasaran
Daerah
Lokasi
Indikator kinerja Pagu
Indikatif
Prakiraan
Maju
Keterangan
Ket
Hasil Program
Keluaran
Kegiatan
Hasil Kegiatan
Pengadaan Puseksmas Keliling P.Matinggi,
Batunadua,
Sidangkal
3 unit 3 unit 1.350.000.000 1.485.000.000 Dinkes
Rehabilitasi sedang/berat Puskesmas Pembantu Pustu 2 unit 2 unit 461.510.000 507.661.000 Dinkes
Rehabilitasi berat/total Puskesmas non
perawatan
Puskesmas 1 unit 1 unit 416.000.000 457.600.000 Dinkes
Rehabilitasi sedang/berat Puskesmas non
perawatan
Puskesmas 2 unit 2 unit 288.410.000 317.251.000 Dinkes
Pembangunan IPAL Puskesmas 3 unit ipal 3 unit ipal 879.000.000 966.900.000 Dinkes
Program peningkatan pelayanan kesehatan
anak balita
421.400.000 463.540.000
Penyuluhan kesehatan anak balita Padangsidimpuan Terlaksananya pelayanan
kesehatan bagi bayi dan balita
675 kader Terlaksananya pelayanan
kesehatan bagi bayi dan balita
675 kader 421.400.000 463.540.000 Dinkes
Program Peningkatan Pelayanan Kesehatan
Lansia
175.000.000 192.500.000
Pelayanan pemeliharaan kesehatan Padangsidimpuan Cakupan pelayanan kesehatan
lansia
272 kader Cakupan pelayanan kesehatan
lansia
272 kader 175.000.000 192.500.000 Dinkes
Program Pengawasan dan Pengendalian
Kesehatan Makanan
45.000.000 49.500.000
Pengawasan Keamanan dan Kesehatan Makanan
Hasil Industri
TPM Cakupan TPM yang sehat dan
aman
50 TPM Cakupan TPM yang sehat dan
aman
50 TPM 25.000.000 27.500.000 Dinkes
Pengawasan dan Pengendalian Keamanan dan
Kesehatan Makanan Hasil Produksi Rumah
Tangga
Sarana IRTP Cakupan IRTP yang sehat dan
aman
50 sarana Cakupan IRTP yang sehat dan
aman
50 sarana 20.000.000 22.000.000 Dinkes
Program Peningkatan Keselamatan Ibu
Melahirkan dan Anak
12.800.000 14.080.000
Pembentukan tim Audit Maternal Perinatal
(AMP)
Padangsidimpuan Menurunnya jumlah kematian
ibu melahirkan
2 kali Menurunnya jumlah kematian
ibu melahirkan
2 kali 12.800.000 14.080.000 Dinkes
11.899.206.100 3.671.363.355 P2
Program Peningkatan Sarana dan Prasarana
Aparatur
3.715.206.100
Pemeliharaan Rutin / Berkala Gedung Kantor Padangsidimpuan Terlaksananya Pemeliharaan
Rutin / Berkala Gedung Kantor
1 Terlaksananya Pemeliharaan
Rutin / Berkala Gedung Kantor
1 1.307.206.100 1.437.926.710 Dinkes
Bantuan Operasional Kesehatan (BOK) Padangsidimpuan Tersedianya BOK 1 Tahun Tersedianya BOK 1 Tahun 888.000.000 - Dinkes
Pengadaan Alat-alat fogging Padangsidimpuan Tersedianya peralatan fogging 10 unit Tersedianya peralatan fogging 10 unit 350.000.000 - Dinkes
Peningkatan Penanggulangan Krisis dan
Bencana
Padangsidimpuan Tersedianya peralatan
penanggulangan krisis dan
bencana
1 paket Tersedianya peralatan
penanggulangan krisis dan
bencana
1 paket 470.000.000 - Dinkes
Pengadaan Sarana dan Prasarana Cuci Tangan
Pakai Sabun
Padangsidimpuan Tersedianya Sarana dan
Prasarana Cuci Tangan Pakai
Sabun
120 unit Tersedianya Sarana dan
Prasarana Cuci Tangan Pakai
Sabun
120 unit 600.000.000 - Dinkes
Pengadaan Jamban di TTU Padangsidimpuan Adanya Jamban di TTU 50 unit Adanya Jamban di TTU 50 unit 100.000.000 - Dinkes
Program upaya kesehatan masyarakat 6.530.000.000 1.133.000.000
Pengadaan, peningkatan, sarana dan prasarana
puskesmas dan jaringannya
Padangsidimpuan Tersedianya sarana dan
prasarana
100% Tersedianya sarana dan
prasarana
100% 50.000.000 55.000.000 Dinkes
Peningkatan pelayanan dan penanggulangan
masalah kesehatan
Padangsidimpuan Penemuan kasus KIPI 100% Penemuan kasus KIPI 100% 30.000.000 33.000.000 Dinkes
Pelayanan Dasar Padangsidimpuan
Peningkatan pelayanan
kesehatan
3.500.000.000
Dinkes
Pelayanan Farmasi Padangsidimpuan
Peningkatan pelayanan
kesehatan
2.000.000.000
Dinkes
Workshop kelas Ibu hamil Padangsidimpuan 20.000.000 22.000.000 Dinkes
Rencana Program dan Kegiatan Prioritas Tahun 2015 Bidang Kesehatan Lembar : 14 dari 87
SKPD Jenis Keg
Tolok Ukur Target Tolok Ukur Target Tolok Ukur Target 1/2/3 1/2/3 1/2/3
2 3 4 5 6 7 8 9 10 11 12 13 14 15 161
Nomor
Urusan/Bidang Urusan Pemerintahan Daerah
Dan Program/Kegiatan
Prioritas
Daerah
Sasaran
Daerah
Lokasi
Indikator kinerja Pagu
Indikatif
Prakiraan
Maju
Keterangan
Ket
Hasil Program
Keluaran
Kegiatan
Hasil Kegiatan
Orientasi PPGDON(Penanganan gawat darurat
obstetri neonatal) Padangsidimpuan
80.000.000 88.000.000 Dinkes
Pertemuan evaluasi P4K (program perencanaan
persalinan dan pencegahan komplikasi) Padangsidimpuan
150.000.000 165.000.000 Dinkes
Pelatihan PONED (penanganan obstetri neonatal
emergensi dasar) Padangsidimpuan
70.000.000 77.000.000 Dinkes
Orientasi pelayanan kesehatan reproduksi
terpadu Padangsidimpuan
40.000.000 44.000.000 Dinkes
Workshop pelayanan neonatus esensial bagi
bidan Padangsidimpuan
50.000.000 55.000.000 Dinkes
Peningkatan kemampuan petugas puskesmas
dalam SDDDTK (stimulasi dan deteksi dini
tumbuh kembang)
Padangsidimpuan
130.000.000 143.000.000 Dinkes
Pertemuan persiapan akreditasi puskesmas
Padangsidimpuan
50.000.000 55.000.000 Dinkes
Pemantapan manajemen puskesmas dalam
meningkatkan pelayanan kesehatan primer di
era JKN
Padangsidimpuan
50.000.000 55.000.000 Dinkes
Pelatihan tata laksana gizi buruk
Padangsidimpuan
50.000.000 55.000.000 Dinkes
PMT Ibu hamil
Padangsidimpuan
200.000.000 220.000.000 Dinkes
Screening Penderita HIV/AIDS dan VCT
Padangsidimpuan
60.000.000 66.000.000 Dinkes
Program Obat dan Perbekalan Kesehatan 50.000.000 55.000.000
Peningkatan pengawasan keamanan pangan dan
bahan berbahaya
Padangsidimpuan Terlaksananya pemeriksaan
makanan dan minuman
35% Terlaksananya pemeriksaan
makanan dan minuman
35% 50.000.000 55.000.000 Dinkes
Program Peningkatan Keselamatan Ibu
Melahirkan dan Anak
485.000.000 533.500.000
Penyuluhan kesehatan bagi ibu hamil dari
keluarga kurang mampu
Padangsidimpuan - Cakupan kunjungan ibu hamil
(K4) - Cakupan
neonatal dengan komlikasi
100% - Cakupan kunjungan ibu hamil
(K4) - Cakupan
neonatal dengan komlikasi
100% 320.000.000 352.000.000 Dinkes
Pertolongan persalinan bagi ibu hamil dari
keluarga kurang mampu
Padangsidimpuan Cakupan pertolongan persalinan
oleh bidan/tenaga kesehatan
yang memiliki kompetensi
kebidanan
100% Cakupan pertolongan persalinan
oleh bidan/tenaga kesehatan
yang memiliki kompetensi
kebidanan
100% 45.000.000 49.500.000 Dinkes
Pengadaan buku KIA Padangsidimpuan 100% 100% 120.000.000 132.000.000 Dinkes
Program Pengembangan Lingkungan Sehat 100.000.000 110.000.000
Pengembangan Kota Sehat Padangsidimpuan Strata Wiwerda Meningkat jadi
Wistara
1 paket Strata Wiwerda Meningkat jadi
Wistara
1 paket 100.000.000 110.000.000 Dinkes
Program Pencegahan dan Penanggulangan
Penyakit Menular
10.000.000 11.000.000
Penyelidikan epidemiologi < 24 jam Padangsidimpuan cakupan Kelurahan mengalami
KLB yang dilakukan penyelidikan
epidemiologi <24 jam
100% cakupan Kelurahan mengalami
KLB yang dilakukan penyelidikan
epidemiologi <24 jam
100% 10.000.000 11.000.000 Dinkes
Program kemitraan dan peningkatan
pelayanan kesehatan
55.000.000 60.500.000
Kemitraan pencegahan dan pemberantasan
penyakit menular
Padangsidimpuan Terlaksananya jejaring kemitraan
kesehatan
100% Terlaksananya jejaring kemitraan
kesehatan
100% 25.000.000 27.500.000 Dinkes
Monitoring, evaluasi dan pelaporan Padangsidimpuan Tersediaya operasional FKK 100% Tersediaya operasional FKK 100% 30.000.000 33.000.000 Dinkes
Program obat dan perbekalan kesehatan 4.000.000 4.400.000
Peningkatan pemerataan obat dan perbekalan
kesehatan
Padangsidimpuan Persentase obat generik yang
digunakan di puskesmas
100% Persentase obat generik yang
digunakan di puskesmas
100% 4.000.000 4.400.000 Dinkes
Rencana Program dan Kegiatan Prioritas Tahun 2015 Bidang Kesehatan Lembar : 15 dari 87
SKPD Jenis Keg
Tolok Ukur Target Tolok Ukur Target Tolok Ukur Target 1/2/3 1/2/3 1/2/3
2 3 4 5 6 7 8 9 10 11 12 13 14 15 161
Nomor
Urusan/Bidang Urusan Pemerintahan Daerah
Dan Program/Kegiatan
Prioritas
Daerah
Sasaran
Daerah
Lokasi
Indikator kinerja Pagu
Indikatif
Prakiraan
Maju
Keterangan
Ket
Hasil Program
Keluaran
Kegiatan
Hasil Kegiatan
Program standarisasi pelayanan kesehatan 900.000.000 990.000.000
Evaluasi dan pengembangan standar pelayanan
kesehatan
Padangsidimpuan Tersusunnya profil dinas
kesehatan
11
dokumen
Tersusunnya profil dinas
kesehatan
11
dokumen
100.000.000 110.000.000 Dinkes
Pembangunan dan pemutakhiran data dasar
standar pelayanan kesehatan
Padangsidimpuan Persentase Puskesmas yang
menyelenggarakan SIK
terintegrasi
9
Puskesmas
Persentase Puskesmas yang
menyelenggarakan SIK
terintegrasi
9
Puskesmas
785.000.000 863.500.000 Dinkes
Monitoring, evaluasi dan pelaporan Padangsidimpuan Terlaksananya monitoring
kegiatan SIK dan SDM
100% Terlaksananya monitoring
kegiatan SIK dan SDM
100% 15.000.000 16.500.000 Dinkes
Program Pelayanan kesehatan penduduk
miskin
25.000.000 27.500.000
Pelayanan sunatan masa Padangsidimpuan Cakupan pelayanan kesehatan
dasar keluarga miskin
100% Cakupan pelayanan kesehatan
dasar keluarga miskin
100% 25.000.000 27.500.000 Dinkes
Program Promosi Kesehatan dan
Pemberdayaan Masyarakat
25.000.000 27.500.000
Monitoring, Evalusi dan Pelaporan Padangsidimpuan Cakupan Desa Siaga Aktif dan
Peningkatan PHBS
100% Cakupan Desa Siaga Aktif dan
Peningkatan PHBS
100% 25.000.000 27.500.000 Dinkes
31.412.515.400 38.997.574.753 P1
Program Pelayanan Administrasi Perkantoran Terlaksananya
pelayanan adm.
perkantoran dengan
lancar
6.042.240.000 7.552.668.003
Penyediaan Jasa Surat-Menyurat RSUD Kota Psp Terlaksananya Pengiriman Surat-
Menyurat
1 Tahun Terkirimnya Surat 1 Tahun 3.640.000 4.368.000 RSUD
Penyediaan Jasa Komunikasi, Sumber Daya Air
dan Listrik
RSUD Kota Psp Terpenuhinya Komunikasi, air
dan listrik
1 Tahun Terbayarnya telepon,air dan
listrik
1 Tahun 400.000.000 500.050.003 RSUD
Penyediaan Jasa Pemeliharaan dan Perizinan
Kenderaan Dinas/Operasional
RSUD Kota Psp Terbayarnya surat-surat
kenderaan
1 Tahun Kenderaan dapat beroperasi 1 Tahun 5.000.000 6.250.000 RSUD
Penyediaan Jasa Administrasi Keuangan RSUD Kota Psp 1 Tahun 1 Tahun 24.000.000 30.000.000 RSUD
Penyediaan Jasa Kebersihan Kantor RSUD Kota Psp Terpeliharanya Kebersihan
kantor
1 Tahun Meningkatnya Pelayanan RS 1 Tahun 306.000.000 382.500.000 RSUD
Penyediaan Alat Tulis Kantor RSUD Kota Psp Terlaksananya tugas2 rutin 1 Tahun Meningkatnya Pelayanan RS 1 Tahun 150.000.000 187.500.000 RSUD
Penyediaan Komponen Instalasi
Listrik/Penerangan Bangunan Kantor
RSUD Kota Psp Pengadaan komponen listrik 1 Tahun Tersedianya peneranagan utk
bangunan kantor
1 Tahun 150.000.000 187.500.000 RSUD
Penyediaan Peralatan dan Perlengkapan Kantor RSUD Kota Psp Pengadaan peralatan dan
perlengkapan kantor
1 Tahun Tersedianya peralatan dan
perlengkapan kantor
1 Tahun 90.000.000 112.500.000 RSUD
Penyediaan Bahan Bacaan dan Peraturan
Perundang-Undangan
RSUD Kota Psp Pengadaan peralatan rumah
tangga
1 Tahun Tersedianya peralatan rumah
tangga
1 Tahun 12.000.000 15.000.000 RSUD
Penyediaan Makanan dan Minuman RSUD Kota Psp Tersedianya makanan dan
minuman
1 Tahun Meningkatnya Pelayanan RS 1 Tahun 865.000.000 1.081.250.000 RSUD
Rapat-Rapat Koordinasi dan Konsultasi Ke Luar
Daerah
RSUD Kota Psp Tersedianya perjalanan dinas 1 Tahun Lancarnya tugas2 perkantoran 1 Tahun 250.000.000 312.500.000 RSUD
Penyediaan Jasa Pelayanan Medik, Paramedik
dan Non Medik
RSUD Kota Psp Terbayarnya Jasa pelayanan
medik,para medik dan non
medik
1 Tahun Meningkatnya Pelayanan RS 1 Tahun 3.786.600.000 4.733.250.000 RSUD
Program Peningkatan Sarana dan Prasarana
Aparatur
Optimalnya
Pelaksanaan Kegiatan
Kantor
183.000.000 233.000.000
Pengadaan Mebeleur 1 Tahun 1 Tahun 53.000.000 72.500.000
Pemeliharaan Rutin/Berkala Mobil Jabatan RSUD Kota Psp Terpeliharanya mobil jabatan 1 Tahun Meningkatnya Pelayanan RS 1 Tahun 50.000.000 60.500.000 RSUD
Pemeliharaan Rutin/Berkala Perlengkapan
Gedung Kantor
RSUD Kota Psp Terpelihara nya perlengkapan
gedung kantor
1 Tahun Meningkatnya Pelayanan RS 1 Tahun 80.000.000 100.000.000 RSUD
Program Peningkatan Kapasitas Sumber Daya
Aparatur
Meningkatnya
Wawasan dan
Pengetahuan
320.000.000 400.000.000
Pendidikan dan Pelatihan Formal RSUD Kota Psp Terlaksananya pendidikan dan
pelatihan formal
1 Tahun Meningkatnya jumlah tenaga
kesehatan di RS
1 Tahun 320.000.000 400.000.000 RSUD
Rencana Program dan Kegiatan Prioritas Tahun 2015 Bidang Kesehatan Lembar : 16 dari 87
SKPD Jenis Keg
Tolok Ukur Target Tolok Ukur Target Tolok Ukur Target 1/2/3 1/2/3 1/2/3
2 3 4 5 6 7 8 9 10 11 12 13 14 15 161
Nomor
Urusan/Bidang Urusan Pemerintahan Daerah
Dan Program/Kegiatan
Prioritas
Daerah
Sasaran
Daerah
Lokasi
Indikator kinerja Pagu
Indikatif
Prakiraan
Maju
Keterangan
Ket
Hasil Program
Keluaran
Kegiatan
Hasil Kegiatan
Program Peningkatan Pengembangan sistem
Pelaporan Capaian Kinerja dan Keuangan
39.000.000 32.062.500
Penyusunan Laporan Capaian Kinerja dan
Ikhtisar Realisasi Kinerja SKPD
RSUD Kota Psp Terlaksananya laporan kinerja 1 Tahun Adanya laporan capaian kinerja 1 Tahun 30.000.000 17.437.500 RSUD
Penyusunan Laporan Prognosis Realisasi
Anggaran
RSUD Kota Psp 1 Tahun 1 Tahun 5.500.000 6.937.500 RSUD
Penyusunan Pelaporan Keuangan Akhir Tahun RSUD Kota Psp 1 Tahun 1 Tahun 3.500.000 7.687.500 RSUD
Program Pengadaan, Peningkatan Sarana dan
Prasarana Rumah Sakit/Rumah Sakit
Jiwa/Rumah Sakit Paru-Paru/rumah Sakit
Mata
Persentase ketersedia
Sarana dan Prasarana
RS
8.650.000.000 10.668.250.000
Pembangunan Rumah Sakit 270.000.000 300.000.000
Penambahan Ruang Rawat Inap Rumah Sakit
(VVIP, Kelas I, II, dan III)
4.200.000.000 5.000.000.000
Pengembangan Ruang Rontgen RSUD Kota Psp 200.000.000 300.000.000
Pengadaan Obat-Obatan Rumah Sakit RSUD Kota Psp Tersedianya obat-obatan RS 1 Tahun Meningkatnya Pelayanan di RS 1 Tahun 1.100.000.000 1.500.000.000 RSUD
Pengadaan Perlengkapan Rumah Tangga Rumah
Sakit (Dapur,Ruang Pasien,Laundry Ruang
Tunggu dan Lain-Lain)
RSUD Kota Psp Tersedianya perlengkapan RT RS 1 Tahun Meningkatnya jumlah tenaga
kesehatan di RS
1 Tahun 600.000.000 700.000.000 RSUD
Pengadaan Bahan-Bahan Logistik Rumah Sakit RSUD Kota Psp Tersedianya bahan mknn dan
mnmn pasien, ptgs jg sore/mlm
1 Tahun Terpenuhinya gizi pasien dan
petugas RS
1 Tahun 2.000.000.000 2.500.000.000 RSUD
Pengadaan Pencetakan Administrasi dan Surat
menyurat Rumah Sakit
RSUD Kota Psp Tersedianya perc adm dan surat
menyurat
1 Tahun Meningkatnya Pelayanan di RS 1 Tahun 225.000.000 300.000.000 RSUD
Pengembangan Tipe Rumah Sakit RSUD Kota Psp Terlaksananya akreditasi RS 1 Tahun Meningkatnya Pelayanan
kesehatan di RS
1 Tahun 55.000.000 68.250.000 RSUD
Program Pemeliharaan Sarana dan Prasarana
Rumah Sakit/Rumah Sakit Jiwa/Rumah Sakit
/Rumah Sakit Paru-Paru/Rumah Sakit Mata
Terpenuhinya
kebutuhan sarana dan
prasarana pelayanan
di RS sesuai standart
1.025.000.000 1.195.000.000
Pemeliharaan Rutin/Berkala Rumah Sakit RSUD Kota Psp Terpeliharanya bangunan RS 100% Terlayaninya masyarakat dgn
baik
100% 600.000.000 700.000.000 RSUD
Pemeliharaan Rutin/Berkala Instalasi
Pengolahan Limbah Rumah Sakit
RSUD Kota Psp Terpeliharanya IPAL 1 Tahun Limbah RS dpt dikelola sesuai
standar
1 Tahun 40.000.000 50.000.000 RSUD
Pemeliharaan Rutin/Berkala Alat-Alat Kesehatan
Rumah Sakit
RSUD Kota Psp Terpeliharanya Alat2 kesehatan
RS
1 Tahun Terlayaninya masyarakat dgn
baik
1 Tahun 75.000.000 85.000.000 RSUD
Pemeliharaan Rutin/Berkala Mobil
Ambulance/Jenazah
RSUD Kota Psp Terpeliharanya Alat2 kesehatan
RS
1 Tahun Terlayaninya masyarakat dgn
baik
1 Tahun 150.000.000 180.000.000 RSUD
Pemeliharaan Rutin/Berkala Perlengkapan RS RSUD Kota Psp Terpeliharanya Perlengkapan RS 1 Tahun Terlayaninya masyarakat dgn
baik
1 Tahun 160.000.000 180.000.000 RSUD
Program Kemitraan Peningkatan Pelayanan
Kesehatan
500.000.000 600.000.000
Kemitraan Pengobatan Bagi Pasien Kurang
Mampu
RSUD Kota Psp Terlayaninya masyarakat kurang
mampu
1 Tahun Meningkatnya pelayanan
kesehatan
1 Tahun 500.000.000 600.000.000 RSUD
Program Pelayanan Jaminan Kesehatan
Nasional (JKN)
14.653.275.400 18.316.594.250
Kegiatan Pelayanan Kesehatan bagi Peserta
Jaminan Kesehatan Nasional (JKN)
RSUD Kota Psp Terlayaninya masyarakat kurang
mampu
1 Tahun Meningkatnya pelayanan
kesehatan
1 Tahun 14.653.275.400 18.316.594.250 RSUD
7.617.200.000 9.465.000.000 P2
Program Pelayanan Administrasi Perkantoran 492.000.000 615.000.000
Penyediaan Jasa Komunikasi, Sumber Daya Air
dan Listrik
Terpenuhinya Komunikasi, air
dan listrik
1 Tahun Terbayarnya telepon,air dan
listrik
1 Tahun 100.000.000 125.000.000 RSUD
Rencana Program dan Kegiatan Prioritas Tahun 2015 Bidang Kesehatan Lembar : 17 dari 87
SKPD Jenis Keg
Tolok Ukur Target Tolok Ukur Target Tolok Ukur Target 1/2/3 1/2/3 1/2/3
2 3 4 5 6 7 8 9 10 11 12 13 14 15 161
Nomor
Urusan/Bidang Urusan Pemerintahan Daerah
Dan Program/Kegiatan
Prioritas
Daerah
Sasaran
Daerah
Lokasi
Indikator kinerja Pagu
Indikatif
Prakiraan
Maju
Keterangan
Ket
Hasil Program
Keluaran
Kegiatan
Hasil Kegiatan
Penyediaan Jasa Kebersihan Kantor Terpeliharanya Kebersihan
kantor
1 Tahun Meningkatnya Pelayanan RS 1 Tahun 18.000.000 22.500.000 RSUD
Penyediaan Peralatan dan Perlengkapan Kantor Pengadaan peralatan dan
perlengkapan kantor
1 Tahun Tersedianya peralatan dan
perlengkapan kantor
1 Tahun 50.000.000 62.500.000 RSUD
Penyediaan Jasa Pelayanan Medik, Paramedik
dan Non Medik
Terbayarnya Jasa pelayanan
medik,para medik dan non
medik
1 Tahun Meningkatnya Pelayanan RS 1 Tahun 324.000.000 405.000.000 RSUD
Program Peningkatan Sarana dan Prasarana
Aparatur
Optimalnya
Pelaksanaan Kegiatan
Kantor
10.350.000 12.937.500
Pemeliharaan Rutin/Berkala Kendaraan
Dinas/Operasional
RSUD Kota Psp Terpeliharanya kenderaan
dinas/operasional
1 Tahun Meningkatnya Pelayanan RS 1 Tahun 10.350.000 12.937.500 RSUD
Program Peningkatan Disiplin Aparatur 150.000.000 187.500.000
Pengadaan Pakaian Kerja Lapangan Tersedianya pakaian kerja
lapangan
1 Tahun Meningkatnya disiplin aparatur 1 Tahun 150.000.000 187.500.000 RSUD
Program Peningkatan Kapasitas Sumber Daya
Aparatur
150.000.000 187.500.000
Pendidikan dan Pelatihan Formal Terlaksananya pendidikan dan
pelatihan formal
1 Tahun Meningkatnya jumlah tenaga
kesehatan di RS
1 Tahun 150.000.000 187.500.000 RSUD
Program Peningkatan Pengembangan sistem
Pelaporan Capaian Kinerja dan Keuangan
14.850.000 18.562.500
Penyusunan Laporan, Rencana Kerja dan
Anggaran
RSUD Kota Psp 1 Tahun 1 Tahun 14.850.000 18.562.500 RSUD
Program Pengadaan, Peningkatan Sarana dan
Prasarana Rumah Sakit/Rumah Sakit
Jiwa/Rumah Sakit Paru-Paru/rumah Sakit
Mata
6.200.000.000 7.725.000.000
Pengadaan Alat-Alat Kesehatan Rumah Sakit Tersedianya alat-alat RS 1 Tahun Meningkatnya Pelayanan di RS 1 Tahun 5.600.000.000 7.000.000.000 RSUD
Pengadaan Ambulance/Mobil Jenazah Tersedianya obat-obatan RS 1 Tahun Meningkatnya Pelayanan di RS 1 Tahun 500.000.000 625.000.000 RSUD
Program Pemeliharaan Sarana dan Prasarana
Rumah Sakit/Rumah Sakit Jiwa/Rumah Sakit
/Rumah Sakit Paru-Paru/Rumah Sakit Mata
- Pembuatan Dokumen UKL-UPL (DPLH) RSUD Kota Psp 1 Dokumen 1 Dokumen 100.000.000 100.000.000 RSUD
Program Kemitraan Peningkatan Pelayanan
Kesehatan
600.000.000 750.000.000
Kemitraan/Kerjasama dengan Pihak Ketiga
(Pengadaan Dokter Spesialis)
RSUD Kota Psp Pertambahan jumlah dokter
spesialis
1 Tahun Meningkatnya pelayanan
kesehatan
1 Tahun 600.000.000 750.000.000 RSUD
Rencana Program dan Kegiatan Prioritas Tahun 2015 Bidang Kesehatan Lembar : 18 dari 87
SKPD
Jenis
Keg
Ket
Tolok Ukur Target Tolok Ukur Target Tolok Ukur Target 1/2/3 1/2/3 1/2/3
2 3 4 5 6 8 10 12 13 14 15 16
01 URUSAN WAJIB
01 03 BIDANG PEKERJAAN UMUM 269.499.181.342 93.381.723.800
104.779.277.340 62.165.223.800 P1
Program Pelayanan Administras Perkantoran
Terlaksananya Program
Pelayanan Administrasi
Perkantoran
1 thn 1 thn 7.439.398.340 7.621.747.800
Penyediaan Jasa Surat menyurat Dinas PUD
Kondisi jasa surat menyurat
menjadi lebih baik
1 thn
Tersedianya Administrasi
menjadi kondisi baik
1 thn
Administrasi surat
menyurat dalam kondisi
baik
1 thn 390.000.000 400.000.000 Dinas PUD
Penyediaan Jasa Komunikasi, Sumber Daya Air
dan Listrik
Dinas PUD
Terpenuhi Pelayanan
Administrasi Perkantoran
Tersedianya Jasa
Komunikasi, sumber daya
air dan listrik
1 thn 1 thn 67.000.000 69.000.000 Dinas PUD
Penyediaan Jasa Peralatan dan Perlengkapan
Kantor
Dinas PUD 97.000.000 99.000.000 Dinas PUD
Penyediaan Jasa Pemeliharaan dan perizinan
Kenderaan Dinas/ Operasional
Dinas PUD
Terpenuhinya kelancaran
pemeliharaan kenderaan
dinas
Tersedianya Pemeliharaan
dan perizinan Kenderaan
Dinas/ Operasional
1 thn 1 thn 506.381.000 508.000.000 Dinas PUD
Terpenuhi Pelayanan Administrasi Dinas PUD
Terpenuhi Pelayanan
Administrasi
Terpenuhi Pelayanan
Administrasi
1 thn 1 thn 950.405.800 970.405.800 Dinas PUD
Penyediaan Jasa Administrasi Keuangan Dinas PUD
Tersedianya Administrasi
Keuangan
Terpenuhinya administrasi
keuangan
1 thn 1 thn 114.760.000 117.760.000 Dinas PUD
Penyediaan Jasa Kebersihan Kantor Dinas PUD
Tersedianya Tenaga
Kebersihan
Terpenuhi Pelayanan
Administrasi Perkantoran
1 thn 1 thn 80.600.000 83.000.000 Dinas PUD
Penyediaan Jasa Perbaikan Peralatan Kerja Dinas PUD
Terlaksananya perbaikan
peralatan kerja
Terpenuhi Pelayanan
Administrasi Perkantoran
1 thn 1 thn 50.710.000 53.500.000 Dinas PUD
Penyediaan Alat Tulis Kantor Dinas PUD
Tersedianya Alat Tulis
Kantor
Terpenuhi Pelayanan
Administrasi Perkantoran
1 thn 1 thn 391.609.436 400.000.000 Dinas PUD
Penyediaan Barang Cetakan Dan Penggandaan Dinas PUD
Penyediaan Barang Cetakan
Dan Penggandaan
Terpenuhi Pelayanan
Administrasi Perkantoran
1 thn 1 thn 300.592.480 335.000.000 Dinas PUD
Penyediaan Komponen Instalasi
Listrik/Penerangan Bangunan Kantor
Dinas PUD
Tersedianya Komponen
instalasi listrik /
Penerangan Bangunan
Kantor
Terpenuhi Pelayanan
Administrasi Perkantoran
1 thn 1 thn 41.316.785 43.500.000 Dinas PUD
Penyediaan Peralatan Rumah Tangga Dinas PUD
Tersedianya Peralatan dan
Perlengkapan Kantor
Terpenuhi Pelayanan
Administrasi Perkantoran
1 thn 1 thn 135.206.097 137.000.000 Dinas PUD
1
Pagu
Indikatif
Prakiraan
Maju
Keterangan
Hasil Program
Keluaran
Kegiatan
Hasil Kegiatan
Rencana Program dan Kegiatan Prioritas Daerah Tahun 2015
Kota Padangsidimpuan
Nomor
Urusan/Bidang Urusan Pemerintahan Daerah
Dan Program/Kegiatan
Prioritas
Daerah
Sasaran
Daerah
Lokasi
Indikator kinerja
Rencana Program dan Kegiatan Prioritas Tahun 2015 Bidang Pekerjaan Umum Lembar : 19 dari 87
SKPD
Jenis
Keg
Ket
Tolok Ukur Target Tolok Ukur Target Tolok Ukur Target 1/2/3 1/2/3 1/2/3
2 3 4 5 6 8 10 12 13 14 15 161
Pagu
Indikatif
Prakiraan
Maju
Keterangan
Hasil Program
Keluaran
Kegiatan
Hasil KegiatanNomor
Urusan/Bidang Urusan Pemerintahan Daerah
Dan Program/Kegiatan
Prioritas
Daerah
Sasaran
Daerah
Lokasi
Indikator kinerja
Penyediaan Bahan Bacaan dan Peraturan
Perundang‑Undangan
Dinas PUD
Tersedianya Sumber
Peraturan Perundang-
Undangan
Terpenuhi Pelayanan
Administrasi Perkantoran
1 thn 1 thn 54.075.000 56.000.000 Dinas PUD
Penyediaan Makanan Dan Minuman Dinas PUD
Adanya penyediaan
makanan dan minuman
Terpenuhi Pelayanan
Administrasi Perkantoran
1 thn 1 thn 157.409.000 159.000.000 Dinas PUD
Rapat ‑ Rapat Koordinasi Dan Konsultasi Ke Luar
Daerah
Luar Daerah
Terlaksananya rapat
koordinasi dan Konsultasi
ke Luar
Terpenuhi Pelayanan
Administrasi Perkantoran
1 thn 1 thn 1.020.000.000 1.040.000.000 Dinas PUD
Penyediaan Jasa Dan Administrasi Kegiatan
Sumber DAK Irigasi
Dinas PUD
Tersedianya jasa dan
Administrasi kegiatan
Sumber DAK Irigasi
Terpenuhi Pelayanan
Administrasi Perkantoran
1 thn 1 thn 69.730.000 71.000.000 Dinas PUD
Penyediaan Jasa Dan Administrasi Kegiatan
Sumber DAK Air Minum
Dinas PUD
Tersedianya jasa dan
Administrasi kegiatan
Sumber DAK Air Minum
Terpenuhi Pelayanan
Administrasi Perkantoran
1 thn 1 thn 60.772.000 62.000.000 Dinas PUD
Penyediaan Jasa Dan Administrasi Kegiatan
Sumber DAK Infrastruktur Jalan
Dinas PUD
Tersedianya jasa dan
Administrasi kegiatan
Sumber DAK Infrastruktur
Jalan
Terpenuhi Pelayanan
Administrasi Perkantoran
1 thn 1 thn 151.000.000 153.000.000 Dinas PUD
Penyediaan Jasa Administrasi Proyek Dana BDB
Dan Situmulus
Dinas PUD
Tersedianya jasa dan
Administrasi Proyek BDB
dan Stimulus
Terpenuhi Pelayanan
Administrasi Perkantoran
1 thn 1 thn 342.032.000 344.000.000 Dinas PUD
Penyediaan Jasa Dan Administrasi Kegiatan
Sumber DAK Sanitasi
Dinas PUD
Tersedianya jasa dan
Administrasi kegiatan
Sumber DAK Sanitasi
Terpenuhi Pelayanan
Administrasi Perkantoran
1 thn 1 thn 66.500.000 68.000.000 Dinas PUD
Penyediaan Administrasi Pengadaan Barang Dan
Jasa
Dinas PUD
Tersedianya Administrasi
Pengadaan Barang dan Jasa
Terpenuhi Pelayanan
Administrasi Perkantoran
1 thn 1 thn 306.685.000 308.000.000 Dinas PUD
Penyediaan Jasa Penyusunan RENJA Dinas PUD
Tersedianya Jasa
Penyusunan RENJA
Terpenuhi Pelayanan
Administrasi Perkantoran
1 thn 1 thn 31.922.000 33.922.000 Dinas PUD
Penyediaan Jasa Penyusunan LAKIP Dinas PUD
Tersedianya Jasa
Penyusunan LAKIP
Terpenuhi Pelayanan
Administrasi Perkantoran
1 thn 1 thn 23.960.000 25.960.000 Dinas PUD
Penyediaan Jasa Penyusunan RENSTRA Dinas PUD
Tersedianya Jasa
Penyusunan RENSTRA
Terpenuhi Pelayanan
Administrasi Perkantoran
1 thn 1 thn 35.580.000 37.580.000 Dinas PUD
Penyediaan Jasa Biaya Pengawasan Kegiatan Dinas PUD
Tersedianya Jasa Biaya
Pengawasan Kegiatan
Terpenuhi Pelayanan
Administrasi Perkantoran
1 thn 1 thn 810.000.000 820.000.000 Dinas PUD
Penyediaan Jasa Administrasi Proyek Dana DAU Dinas PUD
Tersedianya Jasa
administrasi Proyek Dana
DAU
Terpenuhi Pelayanan
Administrasi Perkantoran
1 thn 1 thn 357.031.742 400.000.000 Dinas PUD
Penyediaan Jasa Dan Administrasi Kegiatan
Sumber Dana APBN Pembangunan Infrastruktur
Permukiman Dan DAK Sarana dan Prasarana
Pemerintahan
Dinas PUD
Tersedianya Jasa
administrasi Proyek Dana
APBN
Terpenuhi Pelayanan
Administrasi Perkantoran
1 thn 1 thn 178.830.000 178.830.000 Dinas PUD
Penyusunan RKA SKPD Dinas PUD
Tersedianya RKA PUD Kota
Padangsidimpuan
Terpenuhi Pelayanan
Administrasi Perkantoran
1 thn 1 thn 106.020.000 106.020.000 Dinas PUD
Biaya Operasional Percepatan Pengembangan
Sanitasi Permukiman ( PPSP )
Dinas PUD
Terlaksananya Kegiatan
Percepatan Pengembangan
Sanitasi Pemukiman
Terpenuhi Pelayanan
Administrasi Perkantoran
1 thn 1 thn 193.700.000 191.700.000 Dinas PUD
Tim Verifikasi Panitia Perima Fisik Pekerjaan /
Kegiatan Proyek Dinas Pekerjaan Umum Kota
Padangsidimpuan
Dinas PUD
Terlaksananya Kegiatan
Penerimaan Fisik
Pekerjaan / Kegiatan
Proyek di Dinas Pekerjaan
Umum Kota
Terpenuhi Pelayanan
Administrasi Perkantoran
1 thn 1 thn 198.000.000 200.000.000 Dinas PUD
Rencana Program dan Kegiatan Prioritas Tahun 2015 Bidang Pekerjaan Umum Lembar : 20 dari 87
SKPD
Jenis
Keg
Ket
Tolok Ukur Target Tolok Ukur Target Tolok Ukur Target 1/2/3 1/2/3 1/2/3
2 3 4 5 6 8 10 12 13 14 15 161
Pagu
Indikatif
Prakiraan
Maju
Keterangan
Hasil Program
Keluaran
Kegiatan
Hasil KegiatanNomor
Urusan/Bidang Urusan Pemerintahan Daerah
Dan Program/Kegiatan
Prioritas
Daerah
Sasaran
Daerah
Lokasi
Indikator kinerja
Pemeliharaan Peralatan dan Perlengkapan Kantor Dinas PUD
Terpenuhi Pelayanan
Administrasi
Terpenuhi Pelayanan
Administrasi Perkantoran
1 thn 1 thn 150.570.000 150.570.000 Dinas PUD
Program Peningkatan Kapasitas Sumber Daya
Aparatur
546.400.000 548.000.000
Pendidikan Dan Pelatihan Formal Luar Daerah
Peningkatan SDM pada
Dinas Pekerjaan Umum
Daerah Kota
Padangsidimpuan
Meningkatnya SDM
Aparatur pada Dinas
Pekerjaan Umum Daerah
Kota Padangsidimpuan
546.400.000 548.000.000 Dinas PUD
Program Peningkatan Pengembangan Sistem
Pelaporan Capaian Kinerja dan Keuangan
59.676.000 66.476.000
Penyusunan Laporan Capaian Kinerja Dan
Ikhtisar Realisasi Kinerja SKPD
Dinas PUD
Terpenuhinya Pelayanan
Administrasi Keuangan
11.200.000 14.000.000 Dinas PUD
Penyusunan Laporan Keuangan Semesteran Dinas PUD
Terpenuhinya Pelayanan
Administrasi Keuangan
6.990.000 7.990.000 Dinas PUD
Penyusunan Pelaporan Prognosis Realisasi
Anggaran
Dinas PUD
Terpenuhinya Pelayanan
Administrasi Keuangan
6.640.000 7.640.000 Dinas PUD
Penyusunan Pelaporan Keuangan Akhir Tahun Dinas PUD
Terpenuhinya Pelayanan
Administrasi Keuangan
34.846.000 36.846.000 Dinas PUD
Penyediaan Penyusunan Renja 13.290.000 15.000.000
Penyediaan Penyusunan RKA - SKPD 56.900.000 60.000.000
Program Peningkatan Prasarana dan Sarana
Aparatur
11.118.000.000 12.154.000.000
Pembangunan Kantor Kepala Desa Huta Padang
Desa Huta Padang
Kec. Psp.
Hutaimbaru
Peningkatan daya tampung
ruangan kerja
Meningkatnya daya
tampung ruang kerja
560.000.000 600.000.000 Dinas PUD
Pembangunan Kantor Lurah Tobat
Kel. Tobat Kec Psp
Utara
Peningkatan daya tampung
ruangan kerja
Meningkatnya daya
tampung ruang kerja
560.000.000 600.000.000 Dinas PUD
Pembangunan Kantor Lurah Batang Ayumi Jae
Kel. Batang Ayumi
Jae Kec. Psp Utara
Peningkatan daya tampung
ruangan kerja
Meningkatnya daya
tampung ruang kerja
560.000.000 600.000.000 Dinas PUD
Pembangunan Kantor Dinas Kebersihan,
Pertamanan dan Pencegahan Kebakaran
Kota
Padangsidimpuan
Peningkatan daya tampung
ruangan kerja
Meningkatnya daya
tampung ruang kerja
1.000.000.000 1.200.000.000 Dinas PUD
Perluasan Kantor Dinas Pendapatan, Pengelolaan
Keuangan dan Asset Daerah
Kota
Padangsidimpuan
Peningkatan daya tampung
ruangan kerja
Meningkatnya daya
tampung ruang kerja
1.000.000.000 1.200.000.000 Dinas PUD
Pembangunan Kantor Dinas Pertanian
Kota
Padangsidimpuan
Peningkatan daya tampung
ruangan kerja
Meningkatnya daya
tampung ruang kerja
1.050.000.000 1.200.000.000 Dinas PUD
Pembangunan Kantor Kepala Desa Purwodadi
Kec. Psp
Batunadua
Peningkatan daya tampung
ruangan kerja
Meningkatnya daya
tampung ruang kerja
580.000.000 600.000.000 Dinas PUD
Pembangunan Kantor Lurah Sabungan Jae dan
Pemagarannya
Kelurahan
Sabungan Jae Lk. I
Kec. Psp.
Hutaimbaru
Peningkatan daya tampung
ruangan kerja
Meningkatnya daya
tampung ruang kerja
580.000.000 600.000.000 Dinas PUD
Pembangunan Kantor Kepala Desa Simatohir
Desa Simatohir
Kec. Psp. Angkola
Julu
Peningkatan daya tampung
ruangan kerja
Meningkatnya daya
tampung ruang kerja
580.000.000 600.000.000 Dinas PUD
Rencana Program dan Kegiatan Prioritas Tahun 2015 Bidang Pekerjaan Umum Lembar : 21 dari 87
SKPD
Jenis
Keg
Ket
Tolok Ukur Target Tolok Ukur Target Tolok Ukur Target 1/2/3 1/2/3 1/2/3
2 3 4 5 6 8 10 12 13 14 15 161
Pagu
Indikatif
Prakiraan
Maju
Keterangan
Hasil Program
Keluaran
Kegiatan
Hasil KegiatanNomor
Urusan/Bidang Urusan Pemerintahan Daerah
Dan Program/Kegiatan
Prioritas
Daerah
Sasaran
Daerah
Lokasi
Indikator kinerja
Pembangunan Kantor Kepala Desa Sigulang
Desa Sigulang Kec.
Psp. Tenggara
Peningkatan daya tampung
ruangan kerja
Meningkatnya daya
tampung ruang kerja
580.000.000 600.000.000 Dinas PUD
Pembangunan Kantor lurah bertingkat Wek III
Kel. Wek III Kec.
Psp. Utara
Peningkatan daya tampung
ruangan kerja
Meningkatnya daya
tampung ruang kerja
680.000.000 700.000.000 Dinas PUD
Rehabilitasi Kantor Lurah Batunadua Jae
Kec. Psp
Batunadua
Peningkatan daya tampung
ruangan kerja
Meningkatnya daya
tampung ruang kerja
250.000.000 250.000.000 Dinas PUD
Rehab Kantor Kepala Desa Labuhan Rasoki
Dusun II Desa
Labuhan Rasoki
Kec. Psp. Tenggara
Peningkatan daya tampung
ruangan kerja
Meningkatnya daya
tampung ruang kerja
250.000.000 250.000.000 Dinas PUD
Rehab Kantor Lurah Sadabuan Kec. Psp Utara
Peningkatan daya tampung
ruangan kerja
Meningkatnya daya
tampung ruang kerja
250.000.000 250.000.000 Dinas PUD
Pembangunan Pagar dan Kantor Kelurahan Wek I
Kecamatan Padangsidimpuan Utara
Kel. Wek I Kec.
Psp. Utara
Peningkatan daya tampung
ruangan kerja
Meningkatnya daya
tampung ruang kerja
1.800.000.000 2.002.000.000 Dinas PUD
Pengadaan Kendaraan Dinas/Operasional 258.000.000 302.000.000
Pembangunan Aula Kantor Lurah Kantin
Kel. Kantin Kec.
Psp. Utara
Peningkatan daya tampung
ruangan kerja
Meningkatnya daya
tampung ruang kerja
580.000.000 600.000.000 Dinas PUD
Pengadaan Peralatan Gedung Kantor 100.000.000 104.000.000
Pemeliharaan Rutin/Berkala Peralatan Gedung
Kantor
83.650.000 85.000.000
Pembangunan Lantai, Pengecatan dan Taman
Vaviliun PRSU Kota Padangsidimpuan
200.000.000 220.000.000
Penyusunan/Rencana Tata Bangunan dan
Lingkungan (RPBL) di Kecamatan Psp. Utara dan
Kecamatan Psp. Selatan Kota Padangsidimpuan
500.000.000 502.000.000
Pembangunan Kantor Polsek Padangsidimpuan
Selatan
780.000.000 782.000.000
Rencana Induk (Master Plan) Drainase Kota
Padangsidimpuan
700.000.000 702.000.000
Pemutakhiran Data Base Jalan dan Jembatan
Kota Padangsidimpuan
500.000.000 502.000.000
Program Pembangunan Saluran
Drainase/Gorong-gorong
10.951.000.000 5.360.000.000
Pembangunan Drainase Parit Jalan
Kel. Batunadua
Julu Lk. I Kec. Psp.
Batunadua
Tersedianya Sarana Saluran
Drainase Perkotaan
Meningkatnya kualitas
bangunan Drainase
Perkotaan
100.000.000 100.000.000 Dinas PUD
Pembangunan Drainase Jalan Saidi Rambe dan
Plat beton
Desa Aek Bayur
Kec. Psp.
Batunadua
Tersedianya Sarana Saluran
Drainase Perkotaan
Meningkatnya kualitas
bangunan Drainase
Perkotaan
75.000.000 75.000.000 Dinas PUD
Rencana Program dan Kegiatan Prioritas Tahun 2015 Bidang Pekerjaan Umum Lembar : 22 dari 87
SKPD
Jenis
Keg
Ket
Tolok Ukur Target Tolok Ukur Target Tolok Ukur Target 1/2/3 1/2/3 1/2/3
2 3 4 5 6 8 10 12 13 14 15 161
Pagu
Indikatif
Prakiraan
Maju
Keterangan
Hasil Program
Keluaran
Kegiatan
Hasil KegiatanNomor
Urusan/Bidang Urusan Pemerintahan Daerah
Dan Program/Kegiatan
Prioritas
Daerah
Sasaran
Daerah
Lokasi
Indikator kinerja
Pembangunan Drainase Jalan SMPN 9 dan
pembuatan plat beton
Kel. Hutaimbaru
Lk. VII Kec. Psp.
Hutaimbaru
Tersedianya Sarana Saluran
Drainase Perkotaan
Meningkatnya kualitas
bangunan Drainase
Perkotaan
100.000.000 100.000.000 Dinas PUD
Pembangunan Drainase Paret Jalan Hutaimbaru
Lk. III
Kel. Hutaimbaru
Lk. III Kec. Psp.
Hutaimbaru
Tersedianya Sarana Saluran
Drainase Perkotaan
Meningkatnya kualitas
bangunan Drainase
Perkotaan
180.000.000 120.000.000 Dinas PUD
Pembangunan Paret Dek Jalan Desa Rimba
Soping
Desa Rimba Soping
Kec. Psp. Angkola
Julu
Tersedianya Sarana Saluran
Drainase Perkotaan
Meningkatnya kualitas
bangunan Drainase
Perkotaan
150.000.000 150.000.000 Dinas PUD
Pembangunan Drainase Simolang
Desa Mompang
Kec. Psp. Angkola
Julu
Tersedianya Sarana Saluran
Drainase Perkotaan
Meningkatnya kualitas
bangunan Drainase
Perkotaan
150.000.000 150.000.000 Dinas PUD
Pembangunan Parit Dusun I dan Dusun II Desa
Salambue
Desa Salambue
Kec. Psp. Tenggara
Tersedianya Sarana Saluran
Drainase Perkotaan
Meningkatnya kualitas
bangunan Drainase
Perkotaan
190.000.000 190.000.000 Dinas PUD
Pembangunan Drainase Jalan Raja Imbang Desa
Desa Salambue Lk.
II Kec. Psp.
Tenggara
Tersedianya Sarana Saluran
Drainase Perkotaan
Meningkatnya kualitas
bangunan Drainase
Perkotaan
260.000.000 280.000.000 Dinas PUD
Pembangunan Drainase Jalan Meranti Raya
Desa Salambue Lk.
II Kec. Psp.
Tenggara
Tersedianya Sarana Saluran
Drainase Perkotaan
Meningkatnya kualitas
bangunan Drainase
Perkotaan
50.000.000 50.000.000 Dinas PUD
Pembuatan Paret Jalan Serma Lian Kosong dari
simpang Jalan AKBP Daulat Baginda Oloan
Harahap hingga jalan P. Diponegoro
Kel. Wek. II Kec.
Psp. Utara
Tersedianya Sarana Saluran
Drainase Perkotaan
Meningkatnya kualitas
bangunan Drainase
Perkotaan
88.000.000 90.000.000 Dinas PUD
Dek Parit Aliran Anak Sungai Sangkumpal Bonang
dari POLRES Kota sampai Jalan Gatot Subroto
Kel. Wek. II Kec.
Psp. Utara
Tersedianya Sarana Saluran
Drainase Perkotaan
Meningkatnya kualitas
bangunan Drainase
Perkotaan
48.000.000 50.000.000 Dinas PUD
Pembuatan Dek Saluran Pembuangan Gg. Serasi
1, 5 dan 9
Kel. Tano Bato Kec.
Psp. Utara
Tersedianya Sarana Saluran
Drainase Perkotaan
Meningkatnya kualitas
bangunan Drainase
Perkotaan
120.000.000 130.000.000 Dinas PUD
Pembangunan drainase Kelurahan Sidangkal Lk.
V
Kelurahan
Sidangkal Kec. Psp.
Selatan
Tersedianya Sarana Saluran
Drainase Perkotaan
Meningkatnya kualitas
bangunan Drainase
Perkotaan
1.000.000.000 1.200.000.000 Dinas PUD
Rehabilitasi drainase gg, Maduma I s/d IV Lk. IV
Kel. Sitamiang baru
Kec. Psp. Selatan
Tersedianya Sarana Saluran
Drainase Perkotaan
Meningkatnya kualitas
bangunan Drainase
Perkotaan
480.000.000 500.000.000 Dinas PUD
Pembangunan Drainase Paret Gg. Prada
Kel. Hutaimbaru
Lk. VI Kec. Psp.
Hutaimbaru
Tersedianya Sarana Saluran
Drainase Perkotaan
Meningkatnya kualitas
bangunan Drainase
Perkotaan
± 250m 200.000.000 200.000.000 Dinas PUD
Pembangunan Parit Jalan Raya Desa Batu Layan
Desa Batu Layan
Kec. Psp. Angkola
Julu
Tersedianya Sarana Saluran
Drainase Perkotaan
Meningkatnya kualitas
bangunan Drainase
Perkotaan
± 300m 250.000.000 250.000.000 Dinas PUD
Rencana Program dan Kegiatan Prioritas Tahun 2015 Bidang Pekerjaan Umum Lembar : 23 dari 87
SKPD
Jenis
Keg
Ket
Tolok Ukur Target Tolok Ukur Target Tolok Ukur Target 1/2/3 1/2/3 1/2/3
2 3 4 5 6 8 10 12 13 14 15 161
Pagu
Indikatif
Prakiraan
Maju
Keterangan
Hasil Program
Keluaran
Kegiatan
Hasil KegiatanNomor
Urusan/Bidang Urusan Pemerintahan Daerah
Dan Program/Kegiatan
Prioritas
Daerah
Sasaran
Daerah
Lokasi
Indikator kinerja
Pembangunan Dek dan Paret Desa Manegen
Desa Manegen Kec.
Psp. Tenggara
Tersedianya Sarana Saluran
Drainase Perkotaan
Meningkatnya kualitas
bangunan Drainase
Perkotaan
± 300m 200.000.000 200.000.000 Dinas PUD
Pembangunan Parit kiri kanan jalan Desa Huta
Lombang
Desa Huta
Lombang Kec. Psp.
Tenggara
Tersedianya Sarana Saluran
Drainase Perkotaan
Meningkatnya kualitas
bangunan Drainase
Perkotaan
± 300m 200.000.000 200.000.000 Dinas PUD
Pembangunan Drainase Desa Manunggang jae
Lorong III
Desa Manunggang
Jae Kec. Psp.
Tenggara
Tersedianya Sarana Saluran
Drainase Perkotaan
Meningkatnya kualitas
bangunan Drainase
Perkotaan
± 250m 200.000.000 200.000.000 Dinas PUD
Pembangunan Dek Penahan Tanah Desa
Manunggang Jae Lorong II
Desa Manunggang
Jae Kec. Psp.
Tenggara
Tersedianya Sarana Saluran
Drainase Perkotaan
Meningkatnya kualitas
bangunan Drainase
Perkotaan
± 200m 200.000.000 200.000.000 Dinas PUD
Pengerukan Paret mulai simpang Kampung
Marancar s/d Gereja HKBP
Kel. Wek. II Kec.
Psp. Utara
Tersedianya Sarana Saluran
Drainase Perkotaan
Meningkatnya kualitas
bangunan Drainase
Perkotaan
±4000m 225.000.000 225.000.000 Dinas PUD
Pembuatan Drainase dari Jalan Persatuan Gg.
Pahlawan
Kel. Panyanggar
Kec. Psp. Utara
Tersedianya Sarana Saluran
Drainase Perkotaan
Meningkatnya kualitas
bangunan Drainase
Perkotaan
± 300m 200.000.000 200.000.000 Dinas PUD
Pembangunan paret jalan Alboin Hutabarat
Kelurahan
Sidangkal Kec. Psp.
Selatan
Tersedianya Sarana Saluran
Drainase Perkotaan
Meningkatnya kualitas
bangunan Drainase
Perkotaan
± 400m 280.000.000 300.000.000 Dinas PUD
Pembangunan parit Lk. II Kel. Sitamiang baru
Kel. Sitamiang baru
Kec. Psp. Selatan
Tersedianya Sarana Saluran
Drainase Perkotaan
Meningkatnya kualitas
bangunan Drainase
Perkotaan
± 300m 185.000.000 200.000.000 Dinas PUD
Pembangunan Paret jalan Desa Aek Najaji menuju
Gunung Hasahatan
Desa Aek Najaji
Kec. Psp.
Batunadua
Peningkatan infrastruktur
daerah
Lingkungan permukiman 1 keg 450.000.000 450.000.000
Dinas PUD
Lanjutan Pembangunan Parit Jalan Desa Pudun
Jae Lk. IV
Desa Pudun Jae
Lk. I Kec. Psp.
Batunadua
Peningkatan infrastruktur
daerah
Lingkungan permukiman 1 keg 150.000.000 150.000.000
Dinas PUD
Pembangunan Paret jalan mulai dari desa Simirik
sampai desa Bargot Topong
Desa Bargot
Topong dan Desa
Simirik Kec. Psp.
Batunadua
Peningkatan infrastruktur
daerah
Lingkungan permukiman 1 keg 3.000.000.000 3.000.000.000
Dinas PUD
Pembangunan Drainase Jalan Desa Dusun I ke
Dusun II Desa Simatohir
Desa Simatohir
Kec. Psp. Angkola
Julu
Peningkatan infrastruktur
daerah
Lingkungan permukiman 1 keg 600.000.000 600.000.000
Dinas PUD
Pembangunan Parit Jalan Raya Desa Simasom Desa Simasom Kec.
Psp. Angkola Julu
Peningkatan infrastruktur
daerah
Lingkungan permukiman 1 keg 300.000.000 300.000.000
Dinas PUD
Pembuatan Parit Desa Purbatua Pijorkoling Desa Purbatua
Pijorkoling Kec. Psp.
Tenggara
Peningkatan infrastruktur
daerah
Lingkungan permukiman 1 keg 190.000.000 190.000.000
Dinas PUD
Pembangunan drainase jalan umum/protokol
Dusun I - Dusun IV
Desa Labuhan Labo
Kec. Psp. Tenggara
Peningkatan infrastruktur
daerah
Lingkungan permukiman 1 keg 600.000.000 600.000.000
Dinas PUD
Rencana Program dan Kegiatan Prioritas Tahun 2015 Bidang Pekerjaan Umum Lembar : 24 dari 87
SKPD
Jenis
Keg
Ket
Tolok Ukur Target Tolok Ukur Target Tolok Ukur Target 1/2/3 1/2/3 1/2/3
2 3 4 5 6 8 10 12 13 14 15 161
Pagu
Indikatif
Prakiraan
Maju
Keterangan
Hasil Program
Keluaran
Kegiatan
Hasil KegiatanNomor
Urusan/Bidang Urusan Pemerintahan Daerah
Dan Program/Kegiatan
Prioritas
Daerah
Sasaran
Daerah
Lokasi
Indikator kinerja
Pembangunan paret jalan dari desa Manunggang
jae menuju Desa Labuhan Rasoki
Desa Manunggang
Jae Kec. Psp.
Tenggara
Peningkatan infrastruktur
daerah
Lingkungan permukiman 1 keg 300.000.000 300.000.000
Dinas PUD
Pembangunan Parit di gg. Perjuangan Kel. Panyanggar
Kec. Psp. Utara
Peningkatan infrastruktur
daerah
Lingkungan permukiman 1 keg 80.000.000 80.000.000
Dinas PUD
Pembuatan Drainase jalan Aek Bayur sebelah
kanan
Kel. Silandit Kec.
Psp. Selatan
Peningkatan infrastruktur
daerah
Lingkungan permukiman 1 keg 150.000.000 150.000.000
Dinas PUD
Pemeliharaan Bangunan Infrastruktur Drainase
dan paret pemukiman Kota Padangsidimpuan
300.000.000
302.000.000
Program Sanitasi dan Air Minum 2.190.230.000 2.190.230.000
Pembangunan Sistem Penyediaan Air Minum Lingk.Al Ansor Kec.
Psp Tenggara
312.890.000 312.890.000
Dinas PUD DAK
Lingk. II Sihitang,
Kec. Psp Tenggara
312.890.000 312.890.000
Dinas PUD DAK
Lingk. Asrama
Kodim Sihitang,
Kec. Psp Tenggara
312.890.000 312.890.000
Dinas PUD DAK
Desa Joring
Natobang, Kec. Psp
Angkola Julu
312.890.000 312.890.000
Dinas PUD DAK
Desa Rimba
Soping, Kec. Psp
Batunadua
312.890.000 312.890.000
Dinas PUD DAK
Lapas Kota
Padangsidimpuan,K
ec. Psp Tenggara
312.890.000 312.890.000
Dinas PUD DAK
Desa Borgot
Topong, Kec. Psp
Batunadua
312.890.000 312.890.000
Dinas PUD DAK
Program Prasarana Sanitasi 1.959.573.000 1.959.573.000
Pembuatan Prasarana Sanitasi
Pembangunan Mck Ling IV sihitang
Kec. Psp Tenggara
279.939.000 279.939.000
Dinas PUD DAK
Rencana Program dan Kegiatan Prioritas Tahun 2015 Bidang Pekerjaan Umum Lembar : 25 dari 87
SKPD
Jenis
Keg
Ket
Tolok Ukur Target Tolok Ukur Target Tolok Ukur Target 1/2/3 1/2/3 1/2/3
2 3 4 5 6 8 10 12 13 14 15 161
Pagu
Indikatif
Prakiraan
Maju
Keterangan
Hasil Program
Keluaran
Kegiatan
Hasil KegiatanNomor
Urusan/Bidang Urusan Pemerintahan Daerah
Dan Program/Kegiatan
Prioritas
Daerah
Sasaran
Daerah
Lokasi
Indikator kinerja
Pembangunan Mck Pijorkoling Kec. Psp
tenggara
279.939.000 279.939.000
Dinas PUD DAK
Pembangunan Mck Aek najaji Kec. Psp
batunadua
279.939.000 279.939.000
Dinas PUD DAK
Pembangunan Mck Nusa Indah Kel.
Ujung padang Kec.
Psp selatan
279.939.000 279.939.000
Dinas PUD DAK
Pembangunan Mck Desa Ujung Gurap
Kec. Psp batunadua
279.939.000 279.939.000
Dinas PUD DAK
Pembangunan Mck Wek I , Kec. Psp
Utara
279.939.000 279.939.000
Dinas PUD DAK
Pembangunan Mck Desa singali Kec.
Psp Hutaimbaru
279.939.000 279.939.000
Dinas PUD DAK
Program Pembangunan Infrastruktur pedesaan 6.790.000.000 6.920.000.000
Pengadaan air bersih desa Lembah Lubuk Manik
Desa Palopat Maria
Kec. Psp.
Hutaimbaru
Meningkatkan jumlah
sarana infrastruktur
pedesaan
Meningkatnya Kesehatan
masyarakat pedesaan
185.000.000 250.000.000 Dinas PUD
Pembangunan MCK dan bak air Dusun IV
Desa Joring
Lombang Kec. Psp.
Angkola Julu
Meningkatkan jumlah
sarana infrastruktur
pedesaan
Meningkatnya Kesehatan
masyarakat pedesaan
285.000.000 300.000.000 Dinas PUD
Pembuatan MCK Mesjid Babul Jannah + Keramik
Desa Joring
Lombang Kec. Psp.
Angkola Julu
Meningkatkan jumlah
sarana infrastruktur
pedesaan
Meningkatnya Kesehatan
masyarakat pedesaan
290.000.000 300.000.000 Dinas PUD
Pembangunan MCK Desa PAL IV Pijorkoling
Desa Pijorkoling
Kec. Psp. Tenggara
Meningkatkan jumlah
sarana infrastruktur
pedesaan
Meningkatnya Kesehatan
masyarakat pedesaan
730.000.000 750.000.000 Dinas PUD
Sarana air bersih Desa Labuhan Rasoki
Desa Labuhan
Rasoki Kec. Psp.
Tenggara
Meningkatkan jumlah
sarana infrastruktur
pedesaan
Meningkatnya Kesehatan
masyarakat pedesaan
280.000.000 280.000.000 Dinas PUD
Pembangunan MCK Desa Tarutung Baru
Desa Tarutung
Baru Kec. Psp.
Tenggara
Meningkatkan jumlah
sarana infrastruktur
pedesaan
Meningkatnya Kesehatan
masyarakat pedesaan
300.000.000 300.000.000 Dinas PUD
Pembangunan Tungku dan Pipa Pembagian Air
Desa Aek Bayur
Desa Aek Bayur
Kec. Psp.
Batunadua
Meningkatkan jumlah
sarana infrastruktur
pedesaan
Meningkatnya Kesehatan
masyarakat pedesaan
200.000.000 200.000.000 Dinas PUD
Pembangunan MCK Desa Aek Tuhul
Desa Aek Tuhul
Kec. Psp.
Batunadua
Meningkatkan jumlah
sarana infrastruktur
pedesaan
Meningkatnya Kesehatan
masyarakat pedesaan
300.000.000 300.000.000 Dinas PUD
Rencana Program dan Kegiatan Prioritas Tahun 2015 Bidang Pekerjaan Umum Lembar : 26 dari 87
SKPD
Jenis
Keg
Ket
Tolok Ukur Target Tolok Ukur Target Tolok Ukur Target 1/2/3 1/2/3 1/2/3
2 3 4 5 6 8 10 12 13 14 15 161
Pagu
Indikatif
Prakiraan
Maju
Keterangan
Hasil Program
Keluaran
Kegiatan
Hasil KegiatanNomor
Urusan/Bidang Urusan Pemerintahan Daerah
Dan Program/Kegiatan
Prioritas
Daerah
Sasaran
Daerah
Lokasi
Indikator kinerja
Pengadaan air bersih Desa gunung Hasahatan
Desa gunung
Hasahatan Kec. Psp.
Batunadua
Meningkatkan jumlah
sarana infrastruktur
pedesaan
Meningkatnya Kesehatan
masyarakat pedesaan
250.000.000 250.000.000 Dinas PUD
Pengadaan air bersih desa Singali
Desa Singali Kec.
Psp. Hutaimbaru
Meningkatkan jumlah
sarana infrastruktur
pedesaan
Meningkatnya Kesehatan
masyarakat pedesaan
250.000.000 250.000.000 Dinas PUD
Pengadaan air bersih desa Partihaman Saroha
Desa Partihaman
Saroha Kec. Psp.
Hutaimbaru
Meningkatkan jumlah
sarana infrastruktur
pedesaan
Meningkatnya Kesehatan
masyarakat pedesaan
250.000.000 250.000.000 Dinas PUD
Pembangunan MCK Desa Sabungan Sipabangun
Desa Sabungan
Sipabangun Kec.
Psp. Hutaimbaru
Meningkatkan jumlah
sarana infrastruktur
pedesaan
Meningkatnya Kesehatan
masyarakat pedesaan
300.000.000 300.000.000 Dinas PUD
Pengadaan Sarana Air bersih desa Salambue
Desa Salambue
Kec. Psp Tenggara
Meningkatkan jumlah
sarana infrastruktur
pedesaan
Meningkatnya Kesehatan
masyarakat pedesaan
100.000.000 100.000.000 Dinas PUD
Pembangunan Jalan Setapak dari bendungan ke
Dusun Aek Gambir
Kel. Pijorkoling
Kec. Psp. Tenggara
Meningkatkan jumlah
sarana infrastruktur
pedesaan
Meningkatnya Kesehatan
masyarakat pedesaan
100.000.000 100.000.000 Dinas PUD
Pembuatan MCK Kel. Wek VI Lk. IV
Kel. Wek VI Kec.
Psp. Selatan
Meningkatkan jumlah
sarana infrastruktur
pedesaan
Meningkatnya Kesehatan
masyarakat pedesaan
300.000.000 300.000.000 Dinas PUD
Rehabilitasi gang bahari Lk. I Kel. Losung
Kel.
Padangmatinggi
Kec. Psp. Selatan
Meningkatkan jumlah
sarana infrastruktur
pedesaan
Meningkatnya Kesehatan
masyarakat pedesaan
100.000.000 100.000.000 Dinas PUD
Pembangunan gg. A. Lubis Kel. Hanopan Sibatu
Kel. Hanopan
Sibatu Kec. Psp.
Selatan
Meningkatkan jumlah
sarana infrastruktur
pedesaan
Meningkatnya Kesehatan
masyarakat pedesaan
75.000.000 75.000.000 Dinas PUD
Perbaikan Tali Air Desa Pudun Julu
Desa Pudun Julu
Kec. Psp.
Batunadua
Meningkatkan jumlah
sarana infrastruktur
pedesaan
Meningkatnya Kesehatan
masyarakat pedesaan
135.000.000 135.000.000 Dinas PUD
Rehabilitasi tali air MCK Desa Tinjoman Dusun I
Desa Tinjoman Kec.
Psp. Hutaimbaru
Meningkatkan jumlah
sarana infrastruktur
pedesaan
Meningkatnya Kesehatan
masyarakat pedesaan
150.000.000 150.000.000 Dinas PUD
Pengadaan air bersih Desa Sabungan Sipabangun
Desa Sabungan
Sipabangun Kec.
Psp. Hutaimbaru
Meningkatkan jumlah
sarana infrastruktur
pedesaan
Meningkatnya Kesehatan
masyarakat pedesaan
600.000.000 600.000.000 Dinas PUD
Perbaikan Tungku Air minum/penambahan
tungku dan penambahan pipa air leding
Kel. Sihitang Kec.
Psp. Tenggara
Meningkatkan jumlah
sarana infrastruktur
pedesaan
Meningkatnya Kesehatan
masyarakat pedesaan
250.000.000 250.000.000 Dinas PUD
Pembangunan gedung PKK Desa Huta Padang
Desa Huta Padang
Kec. Psp. Tenggara
Meningkatkan jumlah
sarana infrastruktur
pedesaan
Meningkatnya Kesehatan
masyarakat pedesaan
400.000.000 400.000.000 Dinas PUD
Pengadaan aliran air bersih jalan Sutoyo di gg.
Surau
Kel. Bincar Kec.
Psp. Utara
Meningkatkan jumlah
sarana infrastruktur
pedesaan
Meningkatnya Kesehatan
masyarakat pedesaan
180.000.000 180.000.000 Dinas PUD
Rencana Program dan Kegiatan Prioritas Tahun 2015 Bidang Pekerjaan Umum Lembar : 27 dari 87
SKPD
Jenis
Keg
Ket
Tolok Ukur Target Tolok Ukur Target Tolok Ukur Target 1/2/3 1/2/3 1/2/3
2 3 4 5 6 8 10 12 13 14 15 161
Pagu
Indikatif
Prakiraan
Maju
Keterangan
Hasil Program
Keluaran
Kegiatan
Hasil KegiatanNomor
Urusan/Bidang Urusan Pemerintahan Daerah
Dan Program/Kegiatan
Prioritas
Daerah
Sasaran
Daerah
Lokasi
Indikator kinerja
Pembangunan Instalasi air bersih dari sungai
batang nahar ke Lk. III dan Lk. V
Kel. Sidangkal Kec.
Psp. Selatan
Meningkatkan jumlah
sarana infrastruktur
pedesaan
Meningkatnya Kesehatan
masyarakat pedesaan
400.000.000 400.000.000 Dinas PUD
Pembangunan MCK sekitar mesjid Dusun I
Desa Singali Kec.
Psp. Hutaimbaru
Meningkatkan jumlah
sarana infrastruktur
pedesaan
Meningkatnya Kesehatan
masyarakat pedesaan
380.000.000 400.000.000 Dinas PUD
Program Peningkatan Jalan dan Jembatan 19.280.000.000 15.800.000.000
Pembangunan Jembatan Aek Tuhul Kec. Psp. Selatan
Meningkatnya akses
perkotaan
Meningkatnya akses jalan
dan jembatan di perkotaan
1.500.000.000 1.550.000.000 Dinas PUD
Pembangunan Jembatan Aek Sipogas
Kel. Bonan Dolok
Kec. Psp. Utara
Meningkatnya akses
perkotaan
Meningkatnya akses jalan
dan jembatan di perkotaan
1.200.000.000 1.250.000.000 Dinas PUD
Pembangunan Jembatan Aek Batang Kumal
Kel. Psp.
Batunadua
Meningkatnya akses
perkotaan
Meningkatnya akses jalan
dan jembatan di perkotaan
1.750.000.000 1.800.000.000 Dinas PUD
Pembangunan Jembatan Aek Rukkare kelurahan
Panyanggar menuju lintas barat
Kec. Psp. Utara
Meningkatnya akses
perkotaan
Meningkatnya akses jalan
dan jembatan di perkotaan
900.000.000 1.050.000.000 Dinas PUD
Pembangunan Jembatan pada Jalan Perintis
Kemerdekaan
Kec. Psp. Selatan
Meningkatnya akses
perkotaan
Meningkatnya akses jalan
dan jembatan di perkotaan
800.000.000 1.000.000.000 Dinas PUD
Pembangunan Jembatan penghubung dari Desa
Manunggang Jae ke Desa Huta Padang
Kec. Psp. Tenggara
Meningkatnya akses
perkotaan
Meningkatnya akses jalan
dan jembatan di perkotaan
7.900.000.000 3.050.000.000 Dinas PUD
Pembangunan Drainase dan Dek Jalan Sutan
Parlaungan
Kel. Sadabuan Kec.
Psp. Utara
Meningkatnya akses
perkotaan
Meningkatnya akses jalan
dan jembatan di perkotaan
165.000.000 200.000.000 Dinas PUD
Pembangunan Parit beton pada jalan DR.
Payungan dari gg. Rahmat ke gg. Amal
Kec. Psp. Utara
Meningkatnya akses
perkotaan
Meningkatnya akses jalan
dan jembatan di perkotaan
100.000.000 150.000.000 Dinas PUD
Pembangunan Jembatan di Aek Sipogas
Kel. Tobat Kec. Psp.
Utara
Meningkatnya akses
perkotaan
Meningkatnya akses jalan
dan jembatan di perkotaan
300.000.000 350.000.000 Dinas PUD
Pembangunan Jembatan Aek Holbung Lk. II Pj. 25
x 6
Kec. Psp. Selatan
Meningkatnya akses
perkotaan
Meningkatnya akses jalan
dan jembatan di perkotaan
750.000.000 800.000.000 Dinas PUD
Pembangunan Jembatan Beton Lk. III Pj. 25 m'
Kel. Sidangkal Kec.
Psp. Selatan
Meningkatnya akses
perkotaan
Meningkatnya akses jalan
dan jembatan di perkotaan
750.000.000 800.000.000 Dinas PUD
Pembangunan jalan Pardomuan Lk. V
Kel. Aek Tampang
Kec. Psp. Selatan
Meningkatnya akses
perkotaan
Meningkatnya akses jalan
dan jembatan di perkotaan
65.000.000 100.000.000 Dinas PUD
Pembangunan jalan dari Tor Kalihi menuju
Bangun Rejo
Kel. Sitamiang
Baru Kec. Psp.
Selatan
Meningkatnya akses
perkotaan
Meningkatnya akses jalan
dan jembatan di perkotaan
750.000.000 800.000.000 Dinas PUD
Rencana Program dan Kegiatan Prioritas Tahun 2015 Bidang Pekerjaan Umum Lembar : 28 dari 87
SKPD
Jenis
Keg
Ket
Tolok Ukur Target Tolok Ukur Target Tolok Ukur Target 1/2/3 1/2/3 1/2/3
2 3 4 5 6 8 10 12 13 14 15 161
Pagu
Indikatif
Prakiraan
Maju
Keterangan
Hasil Program
Keluaran
Kegiatan
Hasil KegiatanNomor
Urusan/Bidang Urusan Pemerintahan Daerah
Dan Program/Kegiatan
Prioritas
Daerah
Sasaran
Daerah
Lokasi
Indikator kinerja
Pembangunan jalan Bambu Kuning II Lk. IV
Kel. Sitamiang
Baru Kec. Psp.
Selatan
Meningkatnya akses
perkotaan
Meningkatnya akses jalan
dan jembatan di perkotaan
100.000.000 150.000.000 Dinas PUD
Pembangunan jalan Sibaganding Ujung
Kel. Sitamiang
Baru Kec. Psp.
Selatan
Meningkatnya akses
perkotaan
Meningkatnya akses jalan
dan jembatan di perkotaan
50.000.000 100.000.000 Dinas PUD
Pembangunan jalan masuk ke SDN 200207, SDN
200217 dan SDN 200219 Lk. IV
Kel. Sitamiang
Baru Kec. Psp.
Selatan
Meningkatnya akses
perkotaan
Meningkatnya akses jalan
dan jembatan di perkotaan
50.000.000 100.000.000 Dinas PUD
Pembangunan jalan Lingkar Purbatua Pijorkoling Kec. Psp. Tenggara
Meningkatnya akses
perkotaan
Meningkatnya akses jalan
dan jembatan di perkotaan
250.000.000 300.000.000 Dinas PUD
Pembukaan jalan baru ke simpang SMPN 8 Desa
Salambue Dusun I
Desa Salambue
kec. Psp. Tenggara
Meningkatnya akses
perkotaan
Meningkatnya akses jalan
dan jembatan di perkotaan
100.000.000 150.000.000 Dinas PUD
Pembangunan jalan menuju SDN 200519
Desa Labuhan Labo
Kec. Psp. Tenggara
Meningkatnya akses
perkotaan
Meningkatnya akses jalan
dan jembatan di perkotaan
300.000.000 350.000.000 Dinas PUD
Pembangunan Jembatan Beton dari Dusun I
menuju Dusun II Pj. 5 m
Desa Labuhan Labo
Kec. Psp. Tenggara
Meningkatnya akses
perkotaan
Meningkatnya akses jalan
dan jembatan di perkotaan
50.000.000 100.000.000 Dinas PUD
Pembangunan jembatan ke Persawahan Penduduk
Lk. II Pj. 25 m'
Kel. Batunadua
Julu Kec. Psp.
Batunadua
Meningkatnya akses
perkotaan
Meningkatnya akses jalan
dan jembatan di perkotaan
600.000.000 650.000.000 Dinas PUD
Pembangunan jalan Hurung Natolu
Desa Ujung Gurap
Kec. Psp.
Batunadua
Meningkatnya akses
perkotaan
Meningkatnya akses jalan
dan jembatan di perkotaan
500.000.000 550.000.000 Dinas PUD
Pembangunan jalan Batang Pane menuju Desa
Pudun jae
Desa Pudun Jae
Kec. Psp.
Batunadua
Meningkatnya akses
perkotaan
Meningkatnya akses jalan
dan jembatan di perkotaan
50.000.000 100.000.000 Dinas PUD
Pembangunan jalan Dusun II Jior menuju
Pesantren Sholatiah
Desa Bargot
Topong Kec. Psp.
Batunadua
Meningkatnya akses
perkotaan
Meningkatnya akses jalan
dan jembatan di perkotaan
300.000.000 350.000.000 Dinas PUD
Pemeliharaan Bangunan Infrastruktur Jalan
Lingkungan dan Gang
300.000.000 302.000.000
Program Rehabilitasi/Pemeliharaan Jalan dan
Jembatan
25.645.000.000 11.145.000.000
Rehabilitasi jalan Sutan Sinomba Hutaimbaru
Kec. Psp.
Hutaimbaru
Meningkatnya kualitas jalan
dan jembatan
Terpenuhinya kualitas jalan
dan jembatan
7.900.000.000 350.000.000 Dinas PUD
Rehabilitasi jalan keliling Muhammadiyah Kec. Psp. Utara
Meningkatnya kualitas jalan
dan jembatan
Terpenuhinya kualitas jalan
dan jembatan
300.000.000 350.000.000 Dinas PUD
Rencana Program dan Kegiatan Prioritas Tahun 2015 Bidang Pekerjaan Umum Lembar : 29 dari 87
SKPD
Jenis
Keg
Ket
Tolok Ukur Target Tolok Ukur Target Tolok Ukur Target 1/2/3 1/2/3 1/2/3
2 3 4 5 6 8 10 12 13 14 15 161
Pagu
Indikatif
Prakiraan
Maju
Keterangan
Hasil Program
Keluaran
Kegiatan
Hasil KegiatanNomor
Urusan/Bidang Urusan Pemerintahan Daerah
Dan Program/Kegiatan
Prioritas
Daerah
Sasaran
Daerah
Lokasi
Indikator kinerja
Peningkatan jalan Sutan Sualoan Kec. Psp. Selatan
Meningkatnya kualitas jalan
dan jembatan
Terpenuhinya kualitas jalan
dan jembatan
350.000.000 400.000.000 Dinas PUD
Peningkatan jalan Sumoharjo dari Desa
Simanorbang menuju Purwodadi
Kec. Psp.
Batunadua
Meningkatnya kualitas jalan
dan jembatan
Terpenuhinya kualitas jalan
dan jembatan
800.000.000 850.000.000 Dinas PUD
Peningkatan jalan Mesjid kelurahan Bonan Dolok Kec. Psp. Utara
Meningkatnya kualitas jalan
dan jembatan
Terpenuhinya kualitas jalan
dan jembatan
400.000.000 450.000.000 Dinas PUD
Lanjutan Peningkatan jalan Melati Kec. Psp. Selatan
Meningkatnya kualitas jalan
dan jembatan
Terpenuhinya kualitas jalan
dan jembatan
500.000.000 550.000.000 Dinas PUD
Lanjutan Peningkatan jalan Serasi Kec. Psp. Utara
Meningkatnya kualitas jalan
dan jembatan
Terpenuhinya kualitas jalan
dan jembatan
450.000.000 500.000.000 Dinas PUD
Peningkatan jalan Siterjeng
Kel. Panyanggar
Kec. Psp. Utara
Meningkatnya kualitas jalan
dan jembatan
Terpenuhinya kualitas jalan
dan jembatan
350.000.000 400.000.000 Dinas PUD
Peningkatan jalan keliling Singali menuju Mesjid
lama
Kec. Psp.
Hutaimbaru
Meningkatnya kualitas jalan
dan jembatan
Terpenuhinya kualitas jalan
dan jembatan
300.000.000 350.000.000 Dinas PUD
Rehabilitasi jalan dari ujung Perumahan Tano
Bato menuju Mesjid Al-Ubudiyah
Kel. Batang Ayumi
Julu Kec. Psp.
Utara
Meningkatnya kualitas jalan
dan jembatan
Terpenuhinya kualitas jalan
dan jembatan
100.000.000 150.000.000 Dinas PUD
Rehabilitasi jalan HM. Din
Kel. Kayu Ombun
Kec. Psp. Utara
Meningkatnya kualitas jalan
dan jembatan
Terpenuhinya kualitas jalan
dan jembatan
250.000.000 300.000.000 Dinas PUD
Lanjutan Pengaspalan jalan H. Umar Nasution ke
batas Serasi VII
Kec. Psp. Utara
Meningkatnya kualitas jalan
dan jembatan
Terpenuhinya kualitas jalan
dan jembatan
150.000.000 200.000.000 Dinas PUD
Rehabilitasi jalan menuju SD Inpres Kayu Ombun Kec. Psp. Utara
Meningkatnya kualitas jalan
dan jembatan
Terpenuhinya kualitas jalan
dan jembatan
100.000.000 150.000.000 Dinas PUD
Pengaspalan jalan Bhakti ABRI Kec. Psp. Selatan
Meningkatnya kualitas jalan
dan jembatan
Terpenuhinya kualitas jalan
dan jembatan
250.000.000 300.000.000 Dinas PUD
Pengaspalan jalan dari rumah Sitijah ke
Lingkungan I
Kec. Psp. Selatan
Meningkatnya kualitas jalan
dan jembatan
Terpenuhinya kualitas jalan
dan jembatan
75.000.000 125.000.000 Dinas PUD
Perluasan jalan Padat Karya Kelurahan Sidangkal Kec. Psp. Selatan
Meningkatnya kualitas jalan
dan jembatan
Terpenuhinya kualitas jalan
dan jembatan
500.000.000 550.000.000 Dinas PUD
Rehab jalan ke persawahan Lk.V
Kel. Sidangkal Kec.
Psp. Selatan
Meningkatnya kualitas jalan
dan jembatan
Terpenuhinya kualitas jalan
dan jembatan
300.000.000 350.000.000 Dinas PUD
Pengaspalan jalan dengan hotmix ke Mesjid Akbar
Al-Ikhlas
Kel. Aek Tampang
kec. Psp. Selatan
Meningkatnya kualitas jalan
dan jembatan
Terpenuhinya kualitas jalan
dan jembatan
100.000.000 150.000.000 Dinas PUD
Rehab jalan pembangunan dari komplek DPRD
Lk. I ke Lk. II
Kel. Ujung Padang
Kec. Psp. Selatan
Meningkatnya kualitas jalan
dan jembatan
Terpenuhinya kualitas jalan
dan jembatan
200.000.000 250.000.000 Dinas PUD
Rehab jalan Cahaya ke Jalan Lestari
Kel. Sihitang Kec.
Psp. Tenggara
Meningkatnya kualitas jalan
dan jembatan
Terpenuhinya kualitas jalan
dan jembatan
100.000.000 150.000.000 Dinas PUD
Lanjutan Rehab jalan Malayu Lubis Lk. IV
Kel. Sihitang Kec.
Psp. Tenggara
Meningkatnya kualitas jalan
dan jembatan
Terpenuhinya kualitas jalan
dan jembatan
150.000.000 200.000.000 Dinas PUD
Lanjutan Rehab jalan Dwikora I dan II Pal IV
Pijorkoling
Kec. Psp. Tenggara
Meningkatnya kualitas jalan
dan jembatan
Terpenuhinya kualitas jalan
dan jembatan
100.000.000 150.000.000 Dinas PUD
Rencana Program dan Kegiatan Prioritas Tahun 2015 Bidang Pekerjaan Umum Lembar : 30 dari 87
SKPD
Jenis
Keg
Ket
Tolok Ukur Target Tolok Ukur Target Tolok Ukur Target 1/2/3 1/2/3 1/2/3
2 3 4 5 6 8 10 12 13 14 15 161
Pagu
Indikatif
Prakiraan
Maju
Keterangan
Hasil Program
Keluaran
Kegiatan
Hasil KegiatanNomor
Urusan/Bidang Urusan Pemerintahan Daerah
Dan Program/Kegiatan
Prioritas
Daerah
Sasaran
Daerah
Lokasi
Indikator kinerja
Rehab jalan pemakaman umum Pal IV Pijorkoling Kec. Psp. Tenggara
Meningkatnya kualitas jalan
dan jembatan
Terpenuhinya kualitas jalan
dan jembatan
500.000.000 550.000.000 Dinas PUD
Pengaspalan jalan Pendidikan Pal IV Pijorkoling Kec. Psp. Tenggara
Meningkatnya kualitas jalan
dan jembatan
Terpenuhinya kualitas jalan
dan jembatan
500.000.000 550.000.000 Dinas PUD
Lanjutan Pengaspalan hotmix Dusun I
Desa Salambue
Kec. Psp. Tenggara
Meningkatnya kualitas jalan
dan jembatan
Terpenuhinya kualitas jalan
dan jembatan
400.000.000 450.000.000 Dinas PUD
Rehab jalan SMPN 8 Dusun I
Desa Salambue
Kec. Psp. Tenggara
Meningkatnya kualitas jalan
dan jembatan
Terpenuhinya kualitas jalan
dan jembatan
200.000.000 250.000.000 Dinas PUD
Rehab jalan depan Mesjid Taqwa sampai ujung
Kel. Pijorkoling
Kec. Psp. Tenggara
Meningkatnya kualitas jalan
dan jembatan
Terpenuhinya kualitas jalan
dan jembatan
100.000.000 150.000.000 Dinas PUD
Rehab jalan dan parit Mgr. Imbang desa Lk. II Kec. Psp. Tenggara
Meningkatnya kualitas jalan
dan jembatan
Terpenuhinya kualitas jalan
dan jembatan
100.000.000 150.000.000 Dinas PUD
Peningkatan jalan menuju mesjid Baitul Rahman
Desa Huta Koje
Kec. Psp. Tenggara
Meningkatnya kualitas jalan
dan jembatan
Terpenuhinya kualitas jalan
dan jembatan
120.000.000 170.000.000 Dinas PUD
Peningkatan Jalan Al-Abror Desa Huta Padang
Desa Huta Padang
Kec. Psp. Tenggara
Meningkatnya kualitas jalan
dan jembatan
Terpenuhinya kualitas jalan
dan jembatan
400.000.000 450.000.000 Dinas PUD
Peningkatan jalan Aek Najaji ke Desa Simirik
Kec. Psp.
Batunadua
Meningkatnya kualitas jalan
dan jembatan
Terpenuhinya kualitas jalan
dan jembatan
1.000.000.000 1.050.000.000 Dinas PUD
Peningkatan jalan Desa Siloting Lk. I
Desa Siloting Kec.
Psp. Batunadua
Meningkatnya kualitas jalan
dan jembatan
Terpenuhinya kualitas jalan
dan jembatan
100.000.000 150.000.000 Dinas PUD
Peningkatan jalan Bersama Lk. II
Kel. Losungbatu
Kec. Psp. Utara
Meningkatnya kualitas jalan
dan jembatan
Terpenuhinya kualitas jalan
dan jembatan
750.000.000 Dinas PUD
Peningkatan jalan Batunadua jae menuju
Purwodadi
Kec. Psp.
Batunadua
Meningkatnya kualitas jalan
dan jembatan
Terpenuhinya kualitas jalan
dan jembatan
1.000.000.000 Dinas PUD
Peningkatan jalan Batu Lanja
Kec. Psp. Angkola
Julu
Meningkatnya kualitas jalan
dan jembatan
Terpenuhinya kualitas jalan
dan jembatan
750.000.000 Dinas PUD
Peningkatan jalan Labuhan Rasoki - Manunggang
Jae
Kec. Psp. Tenggara
Meningkatnya kualitas jalan
dan jembatan
Terpenuhinya kualitas jalan
dan jembatan
1.000.000.000 Dinas PUD
Lanjutan rehabilitasi jalan Ompu Sutan MAN
Kec. Psp. Angkola
Julu
Meningkatnya kualitas jalan
dan jembatan
Terpenuhinya kualitas jalan
dan jembatan
2.000.000.000 Dinas PUD
Rehabilitasi jalan Joring Natobang - Huta Padang
Kec. Psp. Angkola
Julu
Meningkatnya kualitas jalan
dan jembatan
Terpenuhinya kualitas jalan
dan jembatan
1.000.000.000 Dinas PUD
Rehabilitasi jalan Singali - Sabungan -
Sipabangun - Tinjoman'
Kec. Psp.
Hutaimbaru
Meningkatnya kualitas jalan
dan jembatan
Terpenuhinya kualitas jalan
dan jembatan
1.000.000.000 Dinas PUD
Rehabilitasi jalan Sutan Maujalo Kec. Psp. Selatan
Meningkatnya kualitas jalan
dan jembatan
Terpenuhinya kualitas jalan
dan jembatan
1.000.000.000 Dinas PUD
Rencana Program dan Kegiatan Prioritas Tahun 2015 Bidang Pekerjaan Umum Lembar : 31 dari 87
SKPD
Jenis
Keg
Ket
Tolok Ukur Target Tolok Ukur Target Tolok Ukur Target 1/2/3 1/2/3 1/2/3
2 3 4 5 6 8 10 12 13 14 15 161
Pagu
Indikatif
Prakiraan
Maju
Keterangan
Hasil Program
Keluaran
Kegiatan
Hasil KegiatanNomor
Urusan/Bidang Urusan Pemerintahan Daerah
Dan Program/Kegiatan
Prioritas
Daerah
Sasaran
Daerah
Lokasi
Indikator kinerja
Program pengembangan dan pengelolaan
jaringan irigasi, rawa dan jaringan pengairan
lainnya
4.600.000.000 800.000.000
Rehabilitasi Jaringan Irigasi D.I Losung Batu Kec. Psp Utara
Peningkatan jumlah debit
air
Meningkatnya jumlah
persawahan yang diairi
200.000.000 250.000.000 Dinas PUD
Rehabilitasi Jaringan Irigasi D.I Partihaman
Saroha
Kec. Psp
Hutaimbaru
Peningkatan jumlah debit
air
Meningkatnya jumlah
persawahan yang diairi
200.000.000 250.000.000 Dinas PUD
Rehabilitasi Bendung dan Jaringan Irigasi D.I
Hanopan
Kec. Psp Angkola
Selatan
Peningkatan jumlah debit
air
Meningkatnya jumlah
persawahan yang diairi
250.000.000 300.000.000 Dinas PUD
Rehabilitasi Bendung Dan Jaringan Irigasi D.I
Hutaimbaru
Kec. Psp
Hutaimbaru
Peningkatan jumlah debit
air
Meningkatnya jumlah
persawahan yang diairi
400.000.000 Dinas PUD
Rehabilitasi Bendung Dan Jaringan Irigasi D.I
Sabungan Julu
Kec. Psp
Hutaimbaru
Peningkatan jumlah debit
air
Meningkatnya jumlah
persawahan yang diairi
400.000.000 Dinas PUD
Rehabilitasi Bendung Dan Jaringan Irigasi D.I
Sabungan Komplek
Kec. Psp
Hutaimbaru
Peningkatan jumlah debit
air
Meningkatnya jumlah
persawahan yang diairi
400.000.000 Dinas PUD
Rehabilitasi Jaringan Irigasi Pal-IV Maria
Kec. Psp
Hutaimbaru
Peningkatan jumlah debit
air
Meningkatnya jumlah
persawahan yang diairi
300.000.000 Dinas PUD
Rehabilitasi Bendung Dan Jaringan Irigasi D.I
Pintu Langit
Kec. Psp Angkola
Julu
Peningkatan jumlah debit
air
Meningkatnya jumlah
persawahan yang diairi
300.000.000 Dinas PUD
Rehabilitasi Bendung Dan Jaringan Irigasi D.I
Rimba Soping
Kec. Psp Angkola
Julu
Peningkatan jumlah debit
air
Meningkatnya jumlah
persawahan yang diairi
300.000.000 Dinas PUD
Rehabilitasi Bendung Dan Jaringan Irigasi D.I
Bargot Topong
Kec. Psp
Batunadua
Peningkatan jumlah debit
air
Meningkatnya jumlah
persawahan yang diairi
500.000.000 Dinas PUD
Rehabilitasi Jaringan Irigasi D.I Simatohir
Kec. Psp Angkola
Julu
Peningkatan jumlah debit
air
Meningkatnya jumlah
persawahan yang diairi
250.000.000 Dinas PUD
Rehabilitasi Jaringan Irigasi D.I Batubola
Kec. Psp
Batunadua
Peningkatan jumlah debit
air
Meningkatnya jumlah
persawahan yang diairi
250.000.000 Dinas PUD
Rehabilitasi Jaringan Irigasi D.I Padangsibio-bio
Kec. Psp
Batunadua
Peningkatan jumlah debit
air
Meningkatnya jumlah
persawahan yang diairi
250.000.000 Dinas PUD
Rehabilitasi Jaringan Irigasi D.I Salambue Kec. Psp Tenggara
Peningkatan jumlah debit
air
Meningkatnya jumlah
persawahan yang diairi
200.000.000 Dinas PUD
Rehabilitasi Jaringan Irigasi D.I Tarutung Baru Kec. Psp Tenggara
Peningkatan jumlah debit
air
Meningkatnya jumlah
persawahan yang diairi
200.000.000 Dinas PUD
Rehabilitasi Jaringan Irigasi D.I Pijorkoling Kec. Psp Tenggara
Peningkatan jumlah debit
air
Meningkatnya jumlah
persawahan yang diairi
200.000.000 Dinas PUD
Program pengendalian banjir 2.700.000.000 1.750.000.000
Pengendalian Daerah Aliran Sungai (DAS) Aek
Batang Ayumi Gg. A Lubis
Kec. Psp Utara Pengendalian Daerah Banjir Terkendalinya Banjir 200.000.000 250.000.000 Dinas PUD
Pengendalian Daerah Aliran Sungai (DAS) Aek
Sibontar Kel. Sadabuan
Kec. Psp Utara Pengendalian Daerah Banjir Terkendalinya Banjir 200.000.000 250.000.000 Dinas PUD
Pengendalian Daerah Aliran Sungai (DAS) Aek
Batang Ayumi Kel. Wek V
Kec. Psp Selatan Pengendalian Daerah Banjir Terkendalinya Banjir 400.000.000 Dinas PUD
Pengendalian Daerah Aliran Sungai (DAS) Aek
Sipogas Kel. Tano Bato
Kec. Psp Utara Pengendalian Daerah Banjir Terkendalinya Banjir 200.000.000 250.000.000 Dinas PUD
Pengendalian Daerah Aliran Sungai (DAS) Aek
Ratta Desa Rimba Soping
Kec. Psp Angkola
Julu
Pengendalian Daerah Banjir Terkendalinya Banjir 200.000.000 250.000.000 Dinas PUD
Rencana Program dan Kegiatan Prioritas Tahun 2015 Bidang Pekerjaan Umum Lembar : 32 dari 87
SKPD
Jenis
Keg
Ket
Tolok Ukur Target Tolok Ukur Target Tolok Ukur Target 1/2/3 1/2/3 1/2/3
2 3 4 5 6 8 10 12 13 14 15 161
Pagu
Indikatif
Prakiraan
Maju
Keterangan
Hasil Program
Keluaran
Kegiatan
Hasil KegiatanNomor
Urusan/Bidang Urusan Pemerintahan Daerah
Dan Program/Kegiatan
Prioritas
Daerah
Sasaran
Daerah
Lokasi
Indikator kinerja
Pengendalian Daerah Aliran Sungai (DAS) Aek
Batang Ayumi Desa Simatohir
Kec. Psp Angkola
Julu
Pengendalian Daerah Banjir Terkendalinya Banjir 300.000.000 Dinas PUD
Pengendalian Daerah Aliran Sungai (DAS) Aek
Bayur
Kec. Psp
Batunadua
Pengendalian Daerah Banjir Terkendalinya Banjir 200.000.000 250.000.000 Dinas PUD
Pemeliharaan Talud / Bronjong Di Kota
Padangsidimpuan
Kota
Padangsidimpuan
Pengendalian Daerah Banjir Terkendalinya Banjir 200.000.000 250.000.000 Dinas PUD
Pembangunan Dek Pengaman Mesjid Al-Ubudiyah Kec. Psp Utara Pengendalian Daerah Banjir Terkendalinya Banjir 200.000.000 250.000.000 Dinas PUD
Pengendalian Daerah Aliran Sungai (DAS) Aek
Sibontar Kel. Timbangan
Kec. Psp Utara Pengendalian Daerah Banjir Terkendalinya Banjir 300.000.000 Dinas PUD
Pembangunan Dek Pengaman Pemukiman Sibulan-
bulan
Kec. Psp Selatan Pengendalian Daerah Banjir Terkendalinya Banjir 300.000.000 Dinas PUD
Program Pengembangan Penyehatan
Lingkungan Permukiman
11.500.000.000
Penyediaan/Peningkatan Infrastuktur
Permukiman Kawasan Kumuh
Kota
Padangsidimpuan
Meningkatkan Kualitasi
kesehatan masyarakat
Lingkungan permukiman 6 Kws 6.000.000.000
Dinas PUD
Pembangunan Saluran Drainase Primer Kota
Padangsidimpuan
Kota
Padangsidimpuan
Meningkatkan Kualitasi
kesehatan masyarakat
Lingkungan permukiman 2 Km 2.000.000.000
Dinas PUD
Penyusunan Rencana Induk Sistem Drainase
Perkotaan di Wilayah Kota Padangsidimpuan
Kota
Padangsidimpuan
Meningkatkan Kualitasi
kesehatan masyarakat
Lingkungan permukiman 1 Pkt 600.000.000
Dinas PUD
Penyusunan Rencana Detail Tata Bangunan dan
Lingkungan (RTBL) Kawasan Strategis di Wilayah
Kota Padangsidimpuan
Kota
Padangsidimpuan
Pembenahan tata ruang
kota
Kawasan strategis 1 Pkt 400.000.000
Dinas PUD
Pembangunan SPAM untuk Masyarakat
Berpenghasilan Rendah (MBR) di Kota
Padangsidimpuan dan Pendampingan Dana APBN
Kota
Padangsidimpuan
Pembenahan tata ruang
kota
Kawasan strategis 1 Pkt 2.500.000.000
Dinas PUD
164.719.904.002 31.216.500.000
P2,APBD,APB
N
Program Peningkatan Prasarana dan Sarana
Aparatur
1.700.000.000
Pembangunan Balai Desa Perkebunan Pijorkoling
Desa Perkebunan
Pijorkoling Kec. Psp.
Tenggara
Peningkatan daya tampung
ruangan kerja
Meningkatnya daya
tampung ruang kerja
600.000.000 Dinas PUD
Rehab Kantor Lurah Batang Ayumi Julu
Kel. Batang Ayumi
Julu Kec. Psp Utara
Peningkatan daya tampung
ruangan kerja
Meningkatnya daya
tampung ruang kerja
250.000.000 Dinas PUD
Rehab Kantor Lurah Lembah Lubuk Manik/MCK
Kelurahan Lembah
Lubuk Manik Lk. I
Kec. Psp.
Hutaimbaru
Peningkatan infrastruktur
daerah
Sarana pemerintahan
250.000.000 Dinas PUD
Pembangunan Kantor Kepala Desa Huta Padang
Desa Huta Padang
Kec. Psp.
Hutaimbaru
Peningkatan infrastruktur
daerah
Sarana pemerintahan
600.000.000 Dinas PUD
Program Pembangunan Infrastruktur Pedesaan 7.306.000.000
Pembangunan Gedung Serba Guna Desa Pintu
Langit Jae
Desa Pintu Langit
Jae Kec. Psp.
Angkola Julu
Meningkatkan jumlah
sarana infrastruktur
pedesaan
Meningkatnya Kesehatan
masyarakat pedesaan
400.000.000 Dinas PUD
Pengadaan air bersih Desa Pintu Langit Jae
Desa Pintu Langit
Jae Kec. Psp.
Angkola Julu
Meningkatkan jumlah
sarana infrastruktur
pedesaan
Meningkatnya Kesehatan
masyarakat pedesaan
250.000.000 Dinas PUD
Rencana Program dan Kegiatan Prioritas Tahun 2015 Bidang Pekerjaan Umum Lembar : 33 dari 87
SKPD
Jenis
Keg
Ket
Tolok Ukur Target Tolok Ukur Target Tolok Ukur Target 1/2/3 1/2/3 1/2/3
2 3 4 5 6 8 10 12 13 14 15 161
Pagu
Indikatif
Prakiraan
Maju
Keterangan
Hasil Program
Keluaran
Kegiatan
Hasil KegiatanNomor
Urusan/Bidang Urusan Pemerintahan Daerah
Dan Program/Kegiatan
Prioritas
Daerah
Sasaran
Daerah
Lokasi
Indikator kinerja
Pengadaan prasarana air minum dann pembuatan
bak air bersih Lk. I
Kel. Sihitang Kec.
Psp. Tenggara
Meningkatkan jumlah
sarana infrastruktur
pedesaan
Meningkatnya Kesehatan
masyarakat pedesaan
350.000.000 Dinas PUD
Pemasangan Paving blok gg. Sumur batu Lk. III
Kel. Sadabuan Kec.
Psp. Utara
Meningkatkan jumlah
sarana infrastruktur
pedesaan
Meningkatnya Kesehatan
masyarakat pedesaan
50.000.000 Dinas PUD
Pengadaan aliran air bersih jalan Suprapto Gg.
Setia Budi
Kel. Kantin Kec.
Psp. Utara
Meningkatkan jumlah
sarana infrastruktur
pedesaan
Meningkatnya Kesehatan
masyarakat pedesaan
180.000.000 Dinas PUD
Pembuatan Sumber air bersih Kel. Wek V Lk. I
Kel. Wek. V Kec.
Psp. Selatan
Meningkatkan jumlah
sarana infrastruktur
pedesaan
Meningkatnya Kesehatan
masyarakat pedesaan
250.000.000 Dinas PUD
Rehabilitasi MCK Desa Purwodadi Lingkungan
permukiman
Desa Purwodadi
Kec. Psp.
Batunadua
Peningkatan infrastruktur
daerah
Lingkungan permukiman 1 keg 100.000.000
Dinas PUD
Pembangunan Saluran Air Bersih dari mata air
Rappa sampai tempat pemandian umum Dusun II
jior
Lingkungan
permukiman
Desa Bargot
Topong Kec. Psp.
Batunadua
Peningkatan infrastruktur
daerah
Lingkungan permukiman 1 keg 400.000.000
Dinas PUD
Pengadaan air bersih Desa Tinjoman Kualitas
kesehatan
masyarakat
Desa Tinjoman Kec.
Psp. Hutaimbaru
Peningkatan infrastruktur
daerah
Kualitas kesehatan
masyarakat
1 keg 250.000.000
Dinas PUD
Pembuatan bak air bersih dan dan pemasangan
pipa PAM
Kualitas
kesehatan
masyarakat
Kel. Wek II Kec.
Psp. Utara
Peningkatan infrastruktur
daerah
Kualitas kesehatan
masyarakat
1 keg 250.000.000
Dinas PUD
Pengadaan air bersih Jl. H. Umar Nasution ujung
Lk. I
Kualitas
kesehatan
masyarakat
Kel. Kayuombun
Kec. Psp. Utara
Peningkatan infrastruktur
daerah
Kualitas kesehatan
masyarakat
1 keg 200.000.000
Dinas PUD
Pembuatan bak penampungan air bersih / minum
Lk. I kelurahan Wek VI
Kualitas
kesehatan
masyarakat
Kel. Wek VI Kec.
Psp. Selatan
Peningkatan infrastruktur
daerah
Kualitas kesehatan
masyarakat
1 keg 450.000.000
Dinas PUD
Pembangunan bak pada sumber air desa
Simatohir
Kualitas
kesehatan
masyarakat
PSP Angkola Julu Peningkatan infrastruktur
daerah
Kualitas kesehatan
masyarakat
1 keg 2.576.000.000
Dinas PUD
Rehabilitasi Kantor Lurah Batunadua Jae Peningkatan
kualitas/kwantit
as infrastruktur
Kec. Psp
Batunadua
Perkantoran Pemerintahan 1 keg. 250.000.000
Dinas PUD
Rehab Kantor Kepala Desa Labuhan Rasoki Peningkatan
kualitas/kwantit
as infrastruktur
Dusun II Desa
Labuhan Rasoki
Kec. Psp. Tenggara
Perkantoran Pemerintahan 1 keg. 250.000.000
Dinas PUD
Rehab Kantor Lurah Sadabuan Peningkatan
kualitas/kwantit
as infrastruktur
Kec. Psp Utara Perkantoran Pemerintahan 1 keg. 250.000.000
Dinas PUD
Pembuatan Pagar dan Rehab Kantor Lurah Wek I Peningkatan
kualitas/kwantit
as infrastruktur
Kel. Wek I Kec.
Psp. Utara
Perkantoran Pemerintahan 1 keg. 250.000.000
Dinas PUD
Pembangunan Aula Kantor Lurah Kantin Peningkatan
kualitas/kwantit
as infrastruktur
Kel. Kantin Kec.
Psp. Utara
Perkantoran Pemerintahan 1 keg. 600.000.000
Dinas PUD
Program Pembangunan Jalan dan Jembatan 200.000.000 350.000.000
Pembangunan Jalan kelurahan Sidangkal menuju
Lk. IV
Kec. Psp. Selatan
Meningkatnya akses
perkotaan
Meningkatnya akses jalan
dan jembatan di perkotaan
75.000.000 125.000.000 Dinas PUD
Rencana Program dan Kegiatan Prioritas Tahun 2015 Bidang Pekerjaan Umum Lembar : 34 dari 87
SKPD
Jenis
Keg
Ket
Tolok Ukur Target Tolok Ukur Target Tolok Ukur Target 1/2/3 1/2/3 1/2/3
2 3 4 5 6 8 10 12 13 14 15 161
Pagu
Indikatif
Prakiraan
Maju
Keterangan
Hasil Program
Keluaran
Kegiatan
Hasil KegiatanNomor
Urusan/Bidang Urusan Pemerintahan Daerah
Dan Program/Kegiatan
Prioritas
Daerah
Sasaran
Daerah
Lokasi
Indikator kinerja
Pembukaan Jalan ke sawah kelurahan Sidangkal
Lk. III Kec. Psp.
Selatan
Meningkatnya akses
perkotaan
Meningkatnya akses jalan
dan jembatan di perkotaan
75.000.000 125.000.000 Dinas PUD
Pembangunan Jalan ke sungai Sialang Lk. IV
Kel. Sidangkal Kec.
Psp. Selatan
Meningkatnya akses
perkotaan
Meningkatnya akses jalan
dan jembatan di perkotaan
50.000.000 100.000.000 Dinas PUD
Program Rehabilitasi/Pemeliharaan Jalan dan
Jembatan
127.646.800.000 19.124.500.000
Peningkatan jalan Mandailing Kampung Marancar Kec. Psp. Utara
Meningkatnya kualitas jalan
dan jembatan
Terpenuhinya kualitas jalan
dan jembatan
300.000.000 350.000.000 Dinas PUD
Peningkatan jalan S. Parman Kec. Psp. Utara
Meningkatnya kualitas jalan
dan jembatan
Terpenuhinya kualitas jalan
dan jembatan
500.000.000 550.000.000 Dinas PUD
Rehabilitasi jalan dan parit beton jalan Selamet
Riadi
Kec. Psp. Utara
Meningkatnya kualitas jalan
dan jembatan
Terpenuhinya kualitas jalan
dan jembatan
750.000.000 800.000.000 Dinas PUD
Rehabilitasi jembatan pada jalan Janji Raja Wek I
Kel. Wek I Kec.
Psp. Utara
Meningkatnya kualitas jalan
dan jembatan
Terpenuhinya kualitas jalan
dan jembatan
100.000.000 150.000.000 Dinas PUD
Lanjutan Perbaikan Lantai Baseman kantor Lurah
Bonan Dolok
Kel. Bonan Kec.
Psp. Utara
Meningkatnya kualitas jalan
dan jembatan
Terpenuhinya kualitas jalan
dan jembatan
100.000.000 150.000.000 Dinas PUD
Lanjutan pelebaran jalan Abd. Gani Siregar
Kel. Silandit Kec.
Selatan
Meningkatnya kualitas jalan
dan jembatan
Terpenuhinya kualitas jalan
dan jembatan
250.000.000 300.000.000 Dinas PUD
Rehab jalan Maduma I s/d VI
Kel. Sitamiang
Baru Kec. Psp.
Selatan
Meningkatnya kualitas jalan
dan jembatan
Terpenuhinya kualitas jalan
dan jembatan
300.000.000 350.000.000 Dinas PUD
Rehabilitasi jalan Swadaya Lk. VIII
Kel. Ujung Padang
Kec. Psp. Selatan
Meningkatnya kualitas jalan
dan jembatan
Terpenuhinya kualitas jalan
dan jembatan
75.000.000 125.000.000 Dinas PUD
Rehab jalan Situmba ke jalan Sinar Lk. III
Kel. Sihitang Kec.
Psp. Tenggara
Meningkatnya kualitas jalan
dan jembatan
Terpenuhinya kualitas jalan
dan jembatan
50.000.000 100.000.000 Dinas PUD
Rehab jalan Sutan Halomoan Lk. I
Kel. Pijorkoling
Kec. Psp. Tenggara
Meningkatnya kualitas jalan
dan jembatan
Terpenuhinya kualitas jalan
dan jembatan
100.000.000 150.000.000 Dinas PUD
Peningkatan jalan Sihar
Kel. Batunadua Jae
Kec. Psp.
Batunadua
Meningkatnya kualitas jalan
dan jembatan
Terpenuhinya kualitas jalan
dan jembatan
300.000.000 350.000.000 Dinas PUD
Peningkatan Jalan Desa Batang Bahal
Desa Batang Bahal
Kec. Psp.
Batunadua
Meningkatnya kualitas jalan
dan jembatan
Terpenuhinya kualitas jalan
dan jembatan
400.000.000 450.000.000 Dinas PUD
Pelebaran jalan Sutan Sosogoron
Desa Joring
Natobang Kec. Psp.
Batunadua
Meningkatnya kualitas jalan
dan jembatan
Terpenuhinya kualitas jalan
dan jembatan
500.000.000 550.000.000 Dinas PUD
Pelebaran Jembatan pada Jalan Provinsi dalam
Kota Padangsidimpuan
Kota
Padangsidimpuan
Jalan-jalan dalam kota Peningkatan
Kualitas/kwantitas
infrastruktur
6 unit 5.000.000.000
Dinas PUD
Peningkatan Jalan Provinsi Ruas Kel. Hutaimbaru -
Kel. Hanopan (Ringroad Lintas Barat)
Kec. Psp.
Hutaimbaru - Kec.
Psp Batunadua
Jalan-jalan dalam kota Peningkatan
Kualitas/kwantitas
infrastruktur
8 km 15.000.000.000
Dinas PUD
Rencana Program dan Kegiatan Prioritas Tahun 2015 Bidang Pekerjaan Umum Lembar : 35 dari 87
SKPD
Jenis
Keg
Ket
Tolok Ukur Target Tolok Ukur Target Tolok Ukur Target 1/2/3 1/2/3 1/2/3
2 3 4 5 6 8 10 12 13 14 15 161
Pagu
Indikatif
Prakiraan
Maju
Keterangan
Hasil Program
Keluaran
Kegiatan
Hasil KegiatanNomor
Urusan/Bidang Urusan Pemerintahan Daerah
Dan Program/Kegiatan
Prioritas
Daerah
Sasaran
Daerah
Lokasi
Indikator kinerja
Rehabilitasi Jalan Provinsi Ruas Padangsidimpuan
Hutaimbaru - Padangsidimpuan Batunadua (Ring
Road Utara)
Kec. Psp.
Hutaimbaru - Kec.
Psp. Batunadua
Jalan-jalan dalam kota Peningkatan
Kualitas/kwantitas
infrastruktur
10,5 km 20.000.000.000
Dinas PUD
Rehabilitasi Jalan Jend. Besar AH Nasution (Jl. By
Pass Ring Road Lintas Timur) Pijorkoling -
Batunadua
Kec. Psp. Tenggara -
Kec. Psp.
Batunadua
Jalan-jalan dalam kota Peningkatan
Kualitas/kwantitas
infrastruktur
2 km 6.000.000.000
Dinas PUD
Rehab jalan dan parit beton Lopo Ujung menuju
Labuhan Labo
Kec. Psp.
Batunadua
Peningkatan infrastruktur
daerah
Memperlancar arus
lalulintas
1 keg 1.000.000.000
Dinas PUD
Rehab jalan dan parit beton Lembah Lubuk Manik
menuju Simarsayang
Kec. Psp.
Hutaimbaru
Peningkatan infrastruktur
daerah
Memperlancar arus
lalulintas
1 keg 800.000.000
Dinas PUD
Rehabilitasi Jalan Sabungan Indah Kec. Psp.
Hutaimbaru
Peningkatan infrastruktur
daerah
Memperlancar arus
lalulintas
1 keg 750.000.000
Dinas PUD
Rehabilitasi Jalan dan Parit Beton jalan Saidi
Rambe Kelurahan Silandit
Kec. Psp. Selatan Peningkatan infrastruktur
daerah
Memperlancar arus
lalulintas
1 keg 500.000.000
Dinas PUD
Rehabilitasi Jalan Cendana Kelurahan Silandit Kec. Psp. Selatan Peningkatan infrastruktur
daerah
Memperlancar arus
lalulintas
1 keg 400.000.000
Dinas PUD
Rehabilitasi Jalan Simapil - apil Kec. Psp.
Hutaimbaru
Peningkatan infrastruktur
daerah
Memperlancar arus
lalulintas
1 keg 1.000.000.000
Dinas PUD
Rehabilitasi Jalan Simapil apil - Tinjoman Kec. Psp.
Hutaimbaru
Peningkatan infrastruktur
daerah
Memperlancar arus
lalulintas
1 keg 1.000.000.000
Dinas PUD
Rehabilitasi Jalan Losungbatu - Sabungan Kel. Tobat Kec Psp
Utara
Peningkatan infrastruktur
daerah
Memperlancar arus
lalulintas
1 keg 1.150.000.000
Dinas PUD
Peningkatan Jalan , Kel. Hutaimbaru/ Kel.
Hanopan (Ring Road Linntas Barat)
Kec. Psp.
Hutaimbaru - Kec.
Psp. Selatan
Peningkatan infrastruktur
daerah
Memperlancar arus
lalulintas
1 keg 15.000.000.000
Dinas PUD
Pelebaran Jembatan pada Jalan Nasional dalam
Kota Padangsidimpuan
Kota
Padangsidimpuan
Peningkatan
kualitas/kwantitas
infrastruktur
Jalan-jalan dalam kota 8 unit 6.400.000.000
Dinas PUD
Pelebaran Jalan Nasional dalam Kota (Jalan SM.
Raja Simpang By Pass - Batas Kota Simirik)
Kec. Psp
Batunadua
Peningkatan
kualitas/kwantitas
infrastruktur
Jalan-jalan dalam kota 3 km 4.000.000.000
Dinas PUD
Rehabilitasi Jalan Nasional dalam Kota (jalan
Merdeka Tugu Siborang - Batas kota Plamboyan)
Kec. Psp.Utara -
Kec. Psp.
Hutaimbaru
Peningkatan
kualitas/kwantitas
infrastruktur
Jalan-jalan dalam kota 7,3 km 15.000.000.000
Dinas PUD
Pelebaran Jalan Nasional dalam Kota (Jalan Imam
Bonjol Simpang Silandit - Batas Kota Desa
Manegen)
Kec. Psp. Selatan -
Kec. Psp. Tenggara
Peningkatan
kualitas/kwantitas
infrastruktur
Jalan-jalan dalam kota 8 km 17.000.000.000
Dinas PUD
Pemeliharaan Jalan Kota Pdangsidimpuan 650.000.000 652.000.000
Dinas PUD
Pemeliharaan Jembatan Kota Padangsidimpuan 250.000.000 2.552.000.000
Dinas PUD
Pemeliharaan Pembabatan Rumput Bahu Jalan
dan Drainase Kota Padangsidimpuan
250.000.000 252.000.000
Dinas PUD
Lanjutan Rehabilitasi Jalan Alboin Hutabarat
Batas Kota Kecamatan Padangsidimpuan Selatan
1.717.000.000 1.719.000.000
Dinas PUD
Pemeliharaan Pemeriksaan Torki Jembatan
Rangka Baja Kota Padangsidimpuan
50.000.000 52.000.000
Dinas PUD
Rencana Program dan Kegiatan Prioritas Tahun 2015 Bidang Pekerjaan Umum Lembar : 36 dari 87
SKPD
Jenis
Keg
Ket
Tolok Ukur Target Tolok Ukur Target Tolok Ukur Target 1/2/3 1/2/3 1/2/3
2 3 4 5 6 8 10 12 13 14 15 161
Pagu
Indikatif
Prakiraan
Maju
Keterangan
Hasil Program
Keluaran
Kegiatan
Hasil KegiatanNomor
Urusan/Bidang Urusan Pemerintahan Daerah
Dan Program/Kegiatan
Prioritas
Daerah
Sasaran
Daerah
Lokasi
Indikator kinerja
Pembangunan Jl Siterjeng Kelurahan Panyanggar
Kec. Padangsidimpuan Utara
935.600.000 937.000.000
Dinas PUD
Rehabilitasi Jalan Syekh Zainal Abidin Kecamatan
Padangsidimpuan Batunadua
983.500.000 955.500.000
Dinas PUD
Rehabilitasi J.l Keliling Sopo Indah Kecamatan
Padangsidimpuan Tenggara
770.000.000 790.000.000
Dinas PUD
Rehabilitasi Jalan Keliling Harahap Ujung
Kelurahan Bonan Dolok Kecamatan
padangsidimpuan Utara
739.000.000 750.000.000
Dinas PUD
Rehabilitasi Jalan H.M Sukur Sori Tua
Kecamataan Padangsidimpuan Utara
548.000.000 550.000.000
Dinas PUD
Rehabilitasi Jalan Partihaman saroha Batas kota
Kecamatan Padangsidimpuan utara
1.793.000.000 1.800.000.000
Dinas PUD
Rehabilitasi Jalan Keliling Pudun Jae Menuju Jl.
Syekh Zainal Abidin Kecamatan Padangsidimpuan
Kecamatan Batunadua
1.689.400.000 170.000.000
Dinas PUD
Rehabilitasi Jalan UMTS Kecamatan
Padangsidimpuan Utara
546.300.000 550.000.000
Dinas PUD
Rehabilitasi Jalan Dr. Wahidin Jalan Thamrin,
Jalan Mongonsidi, Jalan Patrice Lumumb, Jalan
Muda Siregar, Jalan Abd Rasyid Nasution dan
Jalan Agus Salim.
3.000.000.000 3.020.000.000
Dinas PUD
Program pengembangan dan pengelolaan
jaringan irigasi, rawa dan jaringan pengairan
lainnya
8.184.901.002 5.790.000.000
Rehabilitasi Jaringan Irigasi D.I Silandit Kec. Psp Selatan
Peningkatan jumlah debit
air
Meningkatnya jumlah
persawahan yang diairi
200.000.000 250.000.000
Dinas PUD
Rehabilitasi Jaringan Irigasi D.I Manunggang Jae Kec. Psp Tenggara
Peningkatan jumlah debit
air
Meningkatnya jumlah
persawahan yang diairi
200.000.000 250.000.000
Dinas PUD
Rehabilitasi Jaringan Irigasi D.I Ujung Gurap Kec Psp Batunadua
Peningkatan jumlah debit
air
Meningkatnya jumlah
persawahan yang diairi
200.000.000 250.000.000
Dinas PUD
Rehabilitasi Jaringan irigasi D.I Sihitang Kec. Psp Tenggara Peningkatan infrastruktur
daerah
Peningkatan hasil produksi
pertanian
1 keg 300.000.000
Dinas PUD
Peningkatan Jaringan irigasi D.I Labuhan Labo Kec. Psp Tenggara Peningkatan infrastruktur
daerah
Peningkatan hasil produksi
pertanian
1 keg 250.000.000
Dinas PUD
Peningkatan Jaringan irigasi D.I Batang Bahal Kec. Psp
Batunadua
Peningkatan infrastruktur
daerah
Peningkatan hasil produksi
pertanian
1 keg 200.000.000
Dinas PUD
Peningkatan Jaringan irigasi D.I Simirik Kec. Psp
Batunadua
Peningkatan infrastruktur
daerah
Peningkatan hasil produksi
pertanian
1 keg 250.000.000
Dinas PUD
Rehabilitasi Bendung dan Jaringan irigasi D.I
Mompang
Kec. Psp Angkola
Julu
Peningkatan infrastruktur
daerah
Peningkatan hasil produksi
pertanian
1 keg 400.000.000
Dinas PUD
Rehabilitasi Jaringan Irigasi D.I Joring Lombang Kec. Psp Angkola
Julu
Peningkatan infrastruktur
daerah
Peningkatan hasil produksi
pertanian
1 keg 250.000.000 255.000.000
Dinas PUD
Rehabilitasi Jaringan Irigasi D.I Batu Layan Kec. Psp Angkola
Julu
Peningkatan infrastruktur
daerah
Peningkatan hasil produksi
pertanian
1 keg 250.000.000
Dinas PUD
Rehabilitasi Jaringan Irigasi D.I Huta Padang Kec. Psp
Hutaimbaru
Peningkatan infrastruktur
daerah
Peningkatan hasil produksi
pertanian
1 keg 250.000.000
Dinas PUD
Rencana Program dan Kegiatan Prioritas Tahun 2015 Bidang Pekerjaan Umum Lembar : 37 dari 87
SKPD
Jenis
Keg
Ket
Tolok Ukur Target Tolok Ukur Target Tolok Ukur Target 1/2/3 1/2/3 1/2/3
2 3 4 5 6 8 10 12 13 14 15 161
Pagu
Indikatif
Prakiraan
Maju
Keterangan
Hasil Program
Keluaran
Kegiatan
Hasil KegiatanNomor
Urusan/Bidang Urusan Pemerintahan Daerah
Dan Program/Kegiatan
Prioritas
Daerah
Sasaran
Daerah
Lokasi
Indikator kinerja
Rehabilitasi Jaringan Irigasi D.I Sidakkal Kec. Psp Selatan Peningkatan infrastruktur
daerah
Peningkatan hasil produksi
pertanian
1 keg 250.000.000
Dinas PUD
Rehabilitasi Jaringan Irigasi D.I Aek Sipogas Kec. Psp Utara Peningkatan infrastruktur
daerah
Peningkatan hasil produksi
pertanian
1 keg 250.000.000
Dinas PUD
Rehabilitasi Jaringan Irigasi D.I Lembah Lubuk
Manik
Kec. Psp
Hutaimbaru
Peningkatan infrastruktur
daerah
Peningkatan hasil produksi
pertanian
1 keg 350.000.000 370.000.000
Dinas PUD
Rehabilitasi Jaringan Irigasi D.I Simasom Kec. Psp Angkola
Julu
Peningkatan infrastruktur
daerah
Peningkatan hasil produksi
pertanian
1 keg 200.000.000
Dinas PUD
Rehabilitasi Jaringan Irigasi D.I Simangornop
Simolang
Kec. Psp Angkola
Julu
Peningkatan infrastruktur
daerah
Peningkatan hasil produksi
pertanian
1 keg 320.000.000 350.000.000
Dinas PUD
Rehabilitasi Jaringan Irigasi D.I Batu Gajah Kec. Psp Angkola
Julu
Peningkatan infrastruktur
daerah
Peningkatan hasil produksi
pertanian
1 keg 250.000.000
Dinas PUD
Rehabilitasi Jaringan Irigasi D.I Sihoring Koring Kec. Psp
Batunadua
Peningkatan infrastruktur
daerah
Peningkatan hasil produksi
pertanian
1 keg 250.000.000 270.000.000
Dinas PUD
Rehabilitasi Jaringan Irigasi D.I Labuhan Rasoki 270.000.000 290.000.000
Dinas PUD
Rehabilitasi Bendung dan Jaringan irigasi D.I
Sabungan Komplek
300.000.000 320.000.000
Dinas PUD
Rehabilitasi Bendung dan Jaringan Irigasi D.I
Rimba Soping
344.901.002 350.000.000
Dinas PUD
Rehabilitasi Jaringan Irigasi D.I Batang Bahal 250.000.000 255.000.000
Dinas PUD
Rehabilitasi Jaringan Irigasi D.I Tarutung Baru 250.000.000 270.000.000
Dinas PUD
Rehabilitasi Bendungan dan Jaringan Irigasi D.I
Partihaman Saroha
200.000.000 220.000.000
Dinas PUD
Rehabilitasi Bendung dan Jaringan Irigasi D.I
Bargot Topong
500.000.000 520.000.000
Dinas PUD
Rehabilitasi Jaringan Irigasi D.I Pal IV Maria 300.000.000 320.000.000
Dinas PUD
Rehabilitasi Jaringan Irigasi D.I Batu Bola 150.000.000 170.000.000
Dinas PUD
Rehabilitasi Jaringan Irigasi D.I Padang Sibio-bio 200.000.000 220.000.000
Dinas PUD
Rehabilitasi Jaringan Irigasi D.I Kota
Padangsidimpuan
400.000.000 420.000.000
Dinas PUD
Rehabilitasi Bendung D.I Kota Padangsidimpuan 200.000.000 220.000.000
Dinas PUD
Pengerukan Sendimen dan Pembabatan D.I Kota
Padangsidimpuan
200.000.000 220.000.000
Dinas PUD
Rencana Program dan Kegiatan Prioritas Tahun 2015 Bidang Pekerjaan Umum Lembar : 38 dari 87
SKPD
Jenis
Keg
Ket
Tolok Ukur Target Tolok Ukur Target Tolok Ukur Target 1/2/3 1/2/3 1/2/3
2 3 4 5 6 8 10 12 13 14 15 161
Pagu
Indikatif
Prakiraan
Maju
Keterangan
Hasil Program
Keluaran
Kegiatan
Hasil KegiatanNomor
Urusan/Bidang Urusan Pemerintahan Daerah
Dan Program/Kegiatan
Prioritas
Daerah
Sasaran
Daerah
Lokasi
Indikator kinerja
Program pengendalian banjir 5.750.000.000 870.000.000
Pengendalian Daerah Aliran Sungai (DAS) Aek
Sipogas Kel. Bincar
Kec. Psp Utara Pengendalian Daerah Banjir Terkendalinya Banjir
200.000.000 250.000.000
Dinas PUD
Pengendalian Daerah Aliran Sungai (DAS) Aek
Batang Kumal dan Pengaman Saliran D.I Padang
Sibio - bio
Kec Psp Angkola
Julu
Pengendalian Daerah Banjir Terkendalinya Banjir
250.000.000 300.000.000
Dinas PUD
Pembuatan Dek Pangaman (DAS) Sungai Batang
Angkola Jembatan Sihitang
Kec. Psp. Tenggara Peningkatan
Kualitas/kwantitas
infrastruktur
Kualitas lingkungan 5.000.000.000
Dinas PUD
Pengendalian Daerah Aliran Sungai (DAS)
Pengamanan Pemukiman Desa Huta Padang
300.000.000 320.000.000
Dinas PUD
Program Lingkungan Sehat Perumahan 9.085.000.000
Perbaikan Tali Air Desa Pudun Julu Desa Pudun Julu
Kec. Psp.
Batunadua
Peningkatan
kualitas/kwantitas
infrastruktur
Lingkungan Permukiman 1 keg. 135.000.000
Dinas PUD
Rehabilitasi Tali Air MCK Desa Tinjoman Dusun I Desa Tinjoman Kec.
Psp. Hutaimbaru
Peningkatan
kualitas/kwantitas
infrastruktur
Lingkungan Permukiman 1 keg. 150.000.000
Dinas PUD
Pembangunan Gedung PKK Desa Huta Padang Desa Huta Padang
Kec. Psp. Tenggara
Peningkatan
kualitas/kwantitas
infrastruktur
Lingkungan Permukiman 1 keg. 400.000.000
Dinas PUD
Pembangunan MCK sekitar mesjid Dusun I Desa Singali
Kec. Psp.
Hutaimbaru
Peningkatan
kualitas/kwantitas
infrastruktur
Lingkungan Permukiman 1 keg. 400.000.000
Dinas PUD
Rehabilitasi Rumah Tidak Layak Huni Padangsidimpuan Pengurangan persebaran
penduduk miskin
Masyarakat
Berpenghasilan Rendah
(MBR)
1.000
Unit
2.000.000.000
Dinas PUD
Penataan Perumahan pada Kawasan Permukiman
Padat
Padangsidimpuan Peningkatan kesehatan
masyarakat
Masyarakat
Berpenghasilan Rendah
(MBR)
6 Kws 6.000.000.000
Dinas PUD
Program Pemberdayaan Komunitas Perumahan 2.356.973.000 2.502.000.000
Biaya Pendukung DAK Sanitasi Berbasis
Masyarakat
297.400.000 300.000.000
Dinas PUD
Pembangunan MCK Lingkungan IV Sihitang
Kecamatan Padangsidimpuan Tenggara
279.939.000 300.000.000
Dinas PUD
Pembangunan MCK Kelurahan Pijorkoling
Kecamatan Padangsidimpuan Tenggara
279.939.000 300.000.000
Dinas PUD
Pembangunan MCK Desa Aek Najaji Kecamatan
Padangsidimpuan Batunadua
279.939.000 300.000.000
Dinas PUD
Pembangunan MCK Nusa Indah Kecamatan
Padangsidimpuan Selatan
279.939.000 300.000.000
Dinas PUD
Pembangunan MCK Ujung Gurap Kecamatan
Padangsidimpuan Batunadua
279.939.000 300.000.000
Dinas PUD
Pembangunan MCK Kelurahan Wek I Kampung
Salak Kecamatan padangsidimpuan Utara
279.939.000 300.000.000
Dinas PUD
Rencana Program dan Kegiatan Prioritas Tahun 2015 Bidang Pekerjaan Umum Lembar : 39 dari 87
SKPD
Jenis
Keg
Ket
Tolok Ukur Target Tolok Ukur Target Tolok Ukur Target 1/2/3 1/2/3 1/2/3
2 3 4 5 6 8 10 12 13 14 15 161
Pagu
Indikatif
Prakiraan
Maju
Keterangan
Hasil Program
Keluaran
Kegiatan
Hasil KegiatanNomor
Urusan/Bidang Urusan Pemerintahan Daerah
Dan Program/Kegiatan
Prioritas
Daerah
Sasaran
Daerah
Lokasi
Indikator kinerja
Pembangunan MCK Desa Singali Kecamatan
Padangsidimpuan Hutaimbaru
279.939.000 300.000.000
Dinas PUD
Pemeliharaan Bangunan Infrastruktur Sanitasi 100.000.000 102.000.000
Dinas PUD
Program Rehabilitasi/Pemeliharaan
Talud/Bronjong
200.000.000 220.000.000
Pemeliharaan Talud dan Bronjong D.I Kota
Padangsidimpuan
200.000.000 220.000.000
Dinas PUD
Program Pengembangan Kinerja Pengelolaan Air
Minum dan Air Limbah
2.290.230.000 2.360.000.000
Pembangunan SPAM Lingkungan AL-Ansor
Kec.Psp Tenggara
312.890.000 320.000.000
Dinas PUD
Pembangunan SPAM Lingkungan II Sihitang
Kelurahan Sihitang Kec.Psp. Tenggara
312.890.000 320.000.000
Dinas PUD
Pembangunan SPAM pada Lingkungan Asrama
Kodim Sihitang Kelurahan Sihitang Kec. Psp.
Tenggara
312.890.000 320.000.000
Dinas PUD
Pembangunan SPAM pada Desa Joring Natobang
Kec. Psp. Angkola Julu
312.890.000 320.000.000
Dinas PUD
Pembangunan SPAM pada Desa Rimba Soping
Kec.Psp. Batunadua
312.890.000 320.000.000
Dinas PUD
Pembangunan SPAM pada Lapas Kota
Padangsidimpuan Kec.Psp. Tenggara
312.890.000 320.000.000
Dinas PUD
Pembangunan SPAM pada Desa Bargot Topong
Lingkungan V Halumpang Kec.Psp.Batunadua
312.890.000 320.000.000
Dinas PUD
Pemeliharaan Bangunan Infrastruktur Air Minum 100.000.000 120.000.000
Dinas PUD
Rencana Program dan Kegiatan Prioritas Tahun 2015 Bidang Pekerjaan Umum Lembar : 40 dari 87
SKPD Jenis Keg
Tolok Ukur Tolok Ukur Tolok Ukur 1/2/3 1/2/3 1/2/3
2 3 4 5 6 8 10 12 13 14 15 15
01 URUSAN WAJIB
01 04 BIDANG PERUMAHAN 3.260.000.000
1.735.000.000 P1
Program Peningkatan Kesiagaan dan
Pencegahan bahaya Kebakaran
1.635.000.000
Pengadaan Sarana dan Prasarana
Pencegahan Bahaya Kebakaran
Meningkatnya
Pelayanan di Bidang
Pencegahan
Kebakaran
Meningkatnya
kualitas dan
kuantitas sarana
dan prasarana
Padangsidimpuan Meningkatnya Pelayanan
di Bidang Pencegahan
kebakaran
125.000.000 Dinas KP2K
Pemeliharaan Sarana dan Prasarana
Pencegahan Bahaya Kebakaran
Terlaksananya
Pemeliharaan Sarana
dan Prasarana
Pencegahan Bahaya
Kebakaran
Padangsidimpuan 1.510.000.000 Dinas KP2K
Program Lingkungan Sehat
Perumahan
100.000.000
Percepatan Pembangunan Sanitasi
Permukiman
100.000.000 Bappeda
1.525.000.000 P2
Program Peningkatan Kesiagaan dan
Pencegahan Kebakaran
30.000.000
Kegiatan Pendidikan dan Pelatihan
Pertolongan Pencegahan Kebakaran
- Pelatihan Anggota Pemadam
Kebakaran
Meningkatnya
pengetahuan aparatur
Meningkatnya
Kualitas Aparatur
Padangsidimpuan Meningkatnya
Pengetahuan Aparatur
dlm Pencegahan
Kebakaran
Pelatihan Anggota
Pemadam Kebakaran
Menambah keterampilan
anggota pemadam
kebakaran
30.000.000 Dinas KP2K
Pengadaan Sarana dan Prasarana
Pencegahan Bahaya Kebakaran
Bertambahnya
Sarana dan
Prasarana
Pencegahan
Kebakaran
1.040.000.000 Dinas KP2K
- Pembuatan Bak Penampungan Air Terpeliharanya Sarana
dan Prasarana
Pencegahan
Kebakaran
Padangsidimpuan 1 unit 200.000.000 Dinas KP2K
- Pengadaan Mobil Pemadam Kebakaran Bertambahnya Sarana
dan Prasarana
Pencegahan
Kebakaran
Padangsidimpuan 1 unit 600.000.000 Dinas KP2K
- Pengadaan Mesin Tempel Bertambahnya Sarana
dan Prasarana
Pencegahan
Kebakaran
Padangsidimpuan 2 unit 240.000.000 Dinas KP2K
85 org 85 org 85 org
Ket
1 7
Keterangan
11
Target Target
9
Target
Rencana Program dan Kegiatan Prioritas Daerah Tahun 2015
Kota Padangsidimpuan
Nomor
Urusan/Bidang Urusan Pemerintahan
Daerah
Dan Program/Kegiatan
Prioritas
Daerah
Sasaran
Daerah
Lokasi
Indikator kinerja
Pagu
Indikatif
(Rp)
Hasil Program
Prakiraan
Maju
(Rp)
Keluaran
Kegiatan
Hasil Kegiatan
Rencana Program dan Kegiatan Prioritas Tahun 2015 Bidang Perumahan Lembar : 41 dari 87
SKPD Jenis Keg
Tolok Ukur Tolok Ukur Tolok Ukur 1/2/3 1/2/3 1/2/3
2 3 4 5 6 8 10 12 13 14 15 15
Ket
1 7
Keterangan
11
Target Target
9
Target
Nomor
Urusan/Bidang Urusan Pemerintahan
Daerah
Dan Program/Kegiatan
Prioritas
Daerah
Sasaran
Daerah
Lokasi
Indikator kinerja
Pagu
Indikatif
(Rp)
Hasil Program
Prakiraan
Maju
(Rp)
Keluaran
Kegiatan
Hasil Kegiatan
Program Pengelolaan Areal
Pemakaman
455.000.000
Penyusunan
kebijakan,norma,standar,prosedur dan
manual pengelolaan areal pemakaman
Berfungsinya dengan
baik sarana dan
prasarana
pemakaman dalam
menambah keindahan
kota
Padangsidimpuan 55.000.000 Dinas KP2K
Pemeliharaan Sarana dan Prasarana
Pemakaman
Berfungsinya dengan
baik sarana dan
prasarana
pemakaman dalam
menambah keindahan
kota
200.000.000 Dinas KP2K
- Penataan Lahan Pekuburan Terpeliharanya Lahan
Perkuburan
Jl. Saidi rambe 1 paket 200.000.000 Dinas KP2K
Rencana Program dan Kegiatan Prioritas Tahun 2015 Bidang Perumahan Lembar : 42 dari 87
SKPD Jenis Keg Keterangan
Tolok Ukur Tolok Ukur Tolok Ukur 1/2/3 1/2/3 1/2/3
2 3 4 5 6 8 10 12 13 14 15 16
0
1
URUSAN WAJIB
0
1
0
5
BIDANG PENATAAN RUANG
670.000.000 100.000.000
520.000.000 100.000.000
P1
Program Perencanaan Tata Ruang
2 Keg 425.000.000 100.000.000
Penyusunan Kebijakan tentang
penyusunan rencana tata ruang
Tersusunnya
Dokumen RDTR Kota
Padangsidimpuan
yang terintegrasi
1 Dok Tersedianya Dokumen
sebagai acuan
pemanfaatan ruang di
Kota Padangsidimpuan
1 Dok
250.000.000 Bappeda
Sosialisasi Peraturan Perundangan-
undangan tentang RTR
Padangsidimpuan
Tersosialisasinya
Perda tentang RTRW
Kota
Padangsidimpuan
Pada Masyarakat dan
Pemangku
kepentingan
6 Kec.
Tertatanya Kota
Padangsidimpuan
sesuai dengan Perda
Tata Ruang
6 Kec. 175.000.000 Bappeda
Program Pemanfaatan Ruang
1 Keg 95.000.000 100.000.000
Penyusunan Kebijakan Pengendalian
Pemanfaatan Ruang Padangsidimpuan
Rekomendasi
Pemanfaatan Ruang
sesuai RTRW
12 rekomendasi
Terkendalinya
Pemanfaatan Ruang
sesuai RTRW
12 rekomendasi 95.000.000 100.000.000 Bappeda
150.000.000 P2
Program Perencanaan Tata Ruang 150.000.000
Penetepan Kebijakan Tentang RDTRK,
RTRK & RTBL
Padangsidimpuan
Perda RDTRK,RTRK, &
RTBL
1 Perda
Terpedomaninya Perda
RDTRK, RTRK, & RTBL
untuk pemanfaatan &
pengendalian Tata
Ruang
1 Perda 150.000.000 0 Bappeda
Rencana Program dan Kegiatan Prioritas Daerah Tahun 2015
Kota Padangsidimpuan
Nomor
Urusan/Bidang Urusan Pemerintahan
Daerah
Dan Program/Kegiatan
Prioritas
Daerah
Sasaran
Daerah
Lokasi
Indikator kinerja
Prakiraan
Maju
Keterangan
Hasil Program
Keluaran
Kegiatan
Hasil Kegiatan
Target
Pagu
Indikatif
Target Target
1 7 9 11
Rencana Program dan Kegiatan Prioritas Tahun 2015 Bidang Penataan Ruang Lembar : 43 dari 87
SKPD Jenis Keg Ket
Tolok Ukur Target Tolok Ukur Target Tolok Ukur Target 1/2/3 1/2/3
2 3 4 5 6 7 8 9 10 11 12 13 14 15 16
01 URUSAN WAJIB
01 06 BIDANG PERENCANAAN PEMBANGUNAN 7.658.842.860 5.842.199.000
5.598.363.860 5.179.199.000 P1
Program Pelayanan Administrasi Perkantoran Terpenuhinya Pelayanan
Administrasi
Perkantoran
12 Keg. 1.283.727.000 1.483.410.000
Penyediaan Jasa Surat Menyurat Padangsidimpuan 1 Thn Uang Lembur 8640OJ 1 Thn 167.000.000 192.000.000 Bappeda
Honorarium 120 OB
Penyediaan Jasa Komunikasi, Sumber Daya Air
dan Listrik
Padangsidimpuan 1 Thn Listrik, telepon, internet
dan penambahan daya
1 Thn Terpenuhinya sarana
komunikasi dan
informasi yang
mendukung kelancaran
tugas
1 Thn 87.300.000 76.000.000 Bappeda
Penyediaan Jasa Pemeliharaan dan Perizinan
Kenderaan Dinas Operasional
Padangsidimpuan 1 Thn Jasa service, BBM,
pelumas, suku cadang
dan STNK
1 Thn Terpeliharanya
kenderaan dinas
operasional
1 Thn 70.000.000 118.000.000 Bappeda
Penyediaan Jasa Perbaikan Peralatan Kerja Padangsidimpuan 1 Thn Service komputer,
printer, AC dan Mesin
Tik
1 Thn terpeliharanya sarana
perkantoran
1 Thn 28.750.000 33.100.000 Bappeda
Penyediaan Alat Tulis Kantor Padangsidimpuan 1 Thn ATK 1 Thn Terpenuhinya
kebutuhan ATK
1 Thn 78.000.000 74.000.000 Bappeda
Penyediaan Barang Cetakan dan Penggandaan Padangsidimpuan 1 Thn Cetakan dan
Penggandaan
1 Thn Terpenuhinya
kebutuhan cetakan dan
penggandaan kantor
1 Thn 80.000.000 107.800.000 Bappeda
Penyediaan Komponen Instalasi Listrik /
Penerangan Bangunan Kantor
Padangsidimpuan 1 Thn Alat - alat listrik 1 Thn Terpenuhinya
penerangan kantor
1 Thn 15.312.000 17.609.000 Bappeda
Penyediaan Peralatan Rumah Tangga Padangsidimpuan 1 Thn Alat - alat kebersihan 1 Thn Terpenuhinya peralatan
kebersihan kantor
1 Thn 20.365.000 22.401.000 Bappeda
Penyediaan Bahan Bacaan dan Peraturan
Perundang-undangan
Padangsidimpuan 1 Thn Buku Perundang -
undangan, Surat Kabar
1 Thn Tersedianya Bahan
Bacaan untuk
peningkatan SDM
1 Thn 22.000.000 7.500.000 Bappeda
Penyediaan Makanan dan Minuman Padangsidimpuan 1 Thn Uang Makan Harian
Pegawai, Makan dan
Minum Tamu, makan
lembur dan rapat
1 Thn Terpenuhinya
kebutuhan konsumsi
urusan kedinasan
1 Thn 200.000.000 200.000.000 Bappeda
Rapat-rapat Koordinasi dan Konsultasi ke Luar
Daerah
Luar Daerah 1 Thn Perjalanan Dinas Luar
Daerah
1 Thn Memperlancar urusan
kedinasan
1 Thn 500.000.000 600.000.000 Bappeda
Rapat-rapat Koordinasi dan Konsultasi ke Dalam
Daerah
Padangsidimpuan 1 Thn Perjalanan Dinas Dalam
Daerah
1 Thn Memperlancar urusan
kedinasan
1 Thn 15.000.000 35.000.000 Bappeda
Program Peningkatan Sarana dan Prasarana
Aparatur
Terpenuhinya dan
terpeliharanya sarana
dan prasarana
perkantoran
2 Keg. 444.000.000 125.000.000
Pengadaan Perlengkapan Gedung Kantor Padangsidimpuan Komputer, Printer, TV,
Proyektor, Handycam,
Kamera, Mesin Tik, AC,
GPS, Fax, Mesin Pompa,
Box Water, mesin
Pemotong kertas
1 Thn Terpenuhinya
Perlengkapan gedung
Kantor
1 Thn 56.000.000 60.000.000 Bappeda
Pemeliharaan rutin/berkala Gedung Kantor Padangsidimpuan Peningkatan Aula
Kantor Bappeda
1 Paket Terpeliharanya Gedung
Kantor
1 Paket 60.000.000 45.000.000 Bappeda
1
Terpenuhinya
kesejahteraan Pegawai
Pagu
Indikatif
Prakiraan
Maju
Keterangan
Hasil Program
Keluaran
Keg
Hasil Keg
Rencana Program dan Keg Prioritas Daerah Tahun 2015
Kota Padangsidimpuan
Nomor
Urusan/Bidang Urusan Pemerintahan Daerah
Dan Program/Keg
Prioritas
Daerah
Sasaran
Daerah
Lokasi
Indikator kinerja
Rencana Program dan Kegiatan Prioritas Tahun 2015 Bidang Perencanaan Pembangunan Lembar : 44 dari 87
SKPD Jenis Keg Ket
Tolok Ukur Target Tolok Ukur Target Tolok Ukur Target 1/2/3 1/2/3
2 3 4 5 6 7 8 9 10 11 12 13 14 15 161
Pagu
Indikatif
Prakiraan
Maju
Keterangan
Hasil Program
Keluaran
Keg
Hasil KegNomor
Urusan/Bidang Urusan Pemerintahan Daerah
Dan Program/Keg
Prioritas
Daerah
Sasaran
Daerah
Lokasi
Indikator kinerja
Pemeliharaan rutin/berkala
PerlengkapanGedung Kantor
Padangsidimpuan 18.000.000 20.000.000 Bappeda
Pengadaan kenderaan dinas operasional Padangsidimpuan 310.000.000 Bappeda
Program Peningkatan Disiplin Aparatur Meningkatkan Displin
Pegawai dan Kerapihan
Pegawai
3 Keg. 35.000.000 37.000.000
Pengadaan Pakaian Khusus Hari-Hari tertentu Padangsidimpuan Pakaian Training 65 Stel Peningkatkan disiplin
dan kerapian Pegawai
65 Stel 35.000.000 37.000.000 Bappeda
Program Peningkatan Kapasitas Kelembagaan
Perencanaan Pembangunan Daerah
Peningkatan
Kemampuan dan
Pengetahuan Aparatur
5 Keg. 749.147.360 1.150.000.000
Peningkatan Kemampuan Teknis Aparat
Perencana
Padangsidimpuan Bintek, Diklat dan
kursus - kursus singkat
1 Thn Peningkatan
pengetahuan Aparatur
1 Thn 240.000.000 280.000.000 Bappeda
Rencana Aksi Daerah Pencegahan &
Pemberantasan Korupsi
Padangsidimpuan Dok. Laporan
Koordinasi RAD-PPK
4 Dok Terpedomaninya
Dok.Laporan Koordinasi
RAD-PPK
4 Dok 200.000.000 220.000.000 Bappeda
Penyusunan Kebijakan Penerapan Ilmu
Pengetahuan & Teknologi
Padangsidimpuan Lap.Tentang kemajuan
IPTEK untuk
mendukung
perkembangan
Perencanaan
Pembangunan Daerah
3 Dok Terpedomaninya Hasil
Laporan DRD
2 Dok 276.147.360 650.000.000 Bappeda konsultan
pihak ke 3
Seminar Pembangunan Kota Padangsidimpuan
Berbasis Riset
Padangsidimpuan Seminar Pembangunan
Berbasis Riset
75 org Terinformasikannya
Pembangunan Kota
Padangsidimpuan
Berbasis riset
75 org 33.000.000 Bappeda
Program Peningkatan Pengembangan Sistem
Pelaporan capaian kinerja dan keuangan
Terpedomaninya
Laporan Keuangan,
Prognosisi, Renja dan
Lakip untuk
peningkatan capaian
kinerja dan keuangan
3 Keg. 34.683.000 39.463.000
Penyusunan Laporan Prognosis realisasi
anggaran
Padangsidimpuan Laporan Realisasi
Anggaran san Prognosisi
1 Dok Dipedomaninya LRA dan
Prognosisi
1 Dok 4.000.000 4.500.000 Bappeda
Penyusunan Laporan keuangan akhir tahun Padangsidimpuan Laporan Keuangan dan
Asset
3 Dok. Dipedomaninya Laporan
Keuangan dan Asset
3 Dok. 7.150.000 7.900.000 Bappeda
Penyusunan Laporan Rencana kinerja dan
Anggaran
Padangsidimpuan Renja dan Lakip 2 Dok Terpedomaninya
dokumen Lakip dan
Renja Bappeda Kota
Padangsidimpuan
3 Dok 23.533.000 27.063.000 Bappeda Renja (2015 &
2016) dan
Lakip
Bappeda
Program Perencanaan Pembangunan Daerah 9 Keg. 1.219.752.000 1.526.826.000
Pengembangan partisipasi masyarakat dalam
perumusan program dan kebijakan layanan
publik
Padangsidimpuan Terselenggaranya Forum
SKPD
1 Dok Dipedomaninya Notulen
Hasil Musrenbang
,Terpedomanya hasil
musrenbang kecamatan
dalam program kegiatan
SKPD
1 Dok 130.000.000 150.000.000 Bappeda - Konsultasi
Publik -
Forum SKPD (
penentuan
arah
kebijakan
daerah dan
terakomodirny
a hasil
Penyusunan Rancangan RKPD Padangsidimpuan Draft RKPD 1 Dok Tersedianya Bahan
untuk Musrenbang
RKPD
1 Dok 180.000.000 198.375.000 Bappeda - Rancangan
Awal
RKPD/Draft
RKPD hasil
Rencana Program dan Kegiatan Prioritas Tahun 2015 Bidang Perencanaan Pembangunan Lembar : 45 dari 87
SKPD Jenis Keg Ket
Tolok Ukur Target Tolok Ukur Target Tolok Ukur Target 1/2/3 1/2/3
2 3 4 5 6 7 8 9 10 11 12 13 14 15 161
Pagu
Indikatif
Prakiraan
Maju
Keterangan
Hasil Program
Keluaran
Keg
Hasil KegNomor
Urusan/Bidang Urusan Pemerintahan Daerah
Dan Program/Keg
Prioritas
Daerah
Sasaran
Daerah
Lokasi
Indikator kinerja
Musrenbang RKPD Padangsidimpuan Terselenggaranya
Musrenbang RKPD
1 Dok Tersedianya Bahan
Penyempurnaan
Rancangan Awal RKPD
1 Dok 250.000.000 231.000.000 Bappeda - Musrenbang
RKPD
Penetapan RKPD Padangsidimpuan Dokumen RKPD 1 Dok Dipedomaninya RKPD
untuk perencanaan
pembangunan
selanjutnya
1 Dok 75.000.000 125.637.000 Bappeda - Finalisasi
RKPD -
Penjilidan
Koordinasi penyusunan Laporan kinerja
pemerintah daerah
Padangsidimpuan Dokumen Lakip Kota
Padangsidimpuan
1 Dok Diketahuinya capaian
kinerja Pemerintah Kota
Padangsidimpuan
1 Dok 90.000.000 124.100.000 Bappeda - Koordinasi
Penyusunan
Lakip ke
Propinsi dan
Pusat, dan
Koordinasi penyusunan Laporan keterangan
pertanggungjawaban (LKPJ) 1 Tahun
Padangsidimpuan Dokumen LKPJ
Tahunan
1 Dok Tersedianya dokumen
LKPJ Walikota
Padangsidimpuan
1 Dok 125.000.000 200.000.000 Bappeda - Penyusunan
buku LKPJ
Monitoring, Evaluasi dan Pelaporan Padangsidimpuan Dokumen laporan
monitoring dan evaluasi
Perencanaan
Pembangunan Daerah
4 Dok Dipedomaninya laporan
hasil monitoring untuk
perencanaan
selanjutnya
4 Dok 150.000.000 180.000.000 Bappeda - Monitoring
pelaksanaan
kegiatan
pembangunan
di Kota
Padangsidimp
uanEvaluasi Pelaksanaan RKPD Padangsidimpuan Dokumen Evaluasi
RKPD
1 Dok Terevaluasinya
Pelaksanaan RKPD
1 Dok 89.752.000 137.714.000 Bappeda - Laporan
RKPD per
triwulan
Review RPJMD Padangsidimpuan Dokumen evaluasi
RPJMD
1 Dok Terpedomaninya
dokumen evaluasi
RPJMD untuk
pelaksanaannya
perencanaan
pembangunan
1 Dok 130.000.000 180.000.000 Bappeda - Laporan
Evaluasi
RPJMD per
semester
dilaporkan ke
propinsi
- Dokumen
Program Pengembangan Data dan Informasi 2 Keg 637.054.500 582.500.000
Penyusunan dan pengumpulan Data/Informasi
Kebutuhan Peny. Dokumen Perencanaan
Kec. Psp Tenggara
dan Kec. Psp
Batunadua
Dokumen identifikasi
daerah irigasi
2 Kec. Acuan untuk
perencanaan
pembangunan sektor
irigasi dan pertanian
2 Kec. 120.000.000 250.000.000 Bappeda - Pemetaan
Kawasan
kumuh
Penyusunan Sistem Informasi Perencanaan
Pembangunan Daerah
Padangsidimpuan Sistem Informasi
Perencanaan
Pembangunan Daerah
1 Dok Dipedomaninya Sistem
Informasi Perencanaan
Pembangunan Daerah
sebagai pedoman untuk
mewujudkan
perencanaan yang
terarah dan akurat
1 Dok 150.000.000 160.000.000 Bappeda
Penyusunan Buku Indikator Perencanaan
Pembangunan
Padangsidimpuan Tersusunnya Buku
Indikator Perencanaan
Pembangunan
1 Dok. Buku Indikator
Perencanaan
Pembangunan
1 Dok Dipedomaninya buku
Indikator Perencanaan
Pembangunan untuk
perencanaan
pembangunan
selanjutnya
1 Dok 162.054.500 172.500.000 Bappeda
Study Potensi Investasi Daerah Padangsidimpuan Kajian Potensi Investasi
Daerah
6 Kec. Tersedianya Data
Potensi Investasi Daerah
6 Kec. 205.000.000 Bappeda
Program Perencanaan Pembangunan Bidang
Ekonomi
2 Keg. 575.000.000 0
Rencana Program dan Kegiatan Prioritas Tahun 2015 Bidang Perencanaan Pembangunan Lembar : 46 dari 87
SKPD Jenis Keg Ket
Tolok Ukur Target Tolok Ukur Target Tolok Ukur Target 1/2/3 1/2/3
2 3 4 5 6 7 8 9 10 11 12 13 14 15 161
Pagu
Indikatif
Prakiraan
Maju
Keterangan
Hasil Program
Keluaran
Keg
Hasil KegNomor
Urusan/Bidang Urusan Pemerintahan Daerah
Dan Program/Keg
Prioritas
Daerah
Sasaran
Daerah
Lokasi
Indikator kinerja
Penyusunan Master Plan Pembangunan
Ekonomi Kota Padangsidimpuan
Padangsidimpuan Master Plan
Pembangunan Ekonomi
Kota Padangsidimpuan
1 Dok Dipedomaninya Master
Plan Pembangunan
Ekonomi Kota
Padangsidimpuan
1 Dok 345.000.000 0 Bappeda - Konsultan
(pihak ketiga)
Penyusunan Indikator dan pemetaan Daerah
Rawan Pangan
Padangsidimpuan Master Plan Daerah
Rawan Pangan
1 Dok Dipedomaninya Master
Plan untuk antisipasi
dan Penanganan Rawan
Pangan
1 Dok 230.000.000 0 Bappeda
Program Kerjasama Pembangunan 2 Keg. 320.000.000 150.000.000
Koordinasi Penanggulangan Kemiskinan Daerah Padangsidimpuan Tersedianya koordinasi
penanggulangan
kemiskinan
1 Dok Tersedianya Data
kemiskinan Kota
Padangsidimpuan
1 Dok 120.000.000 150.000.000 Bappeda
Fasilitasi Kerjasama dengan dunia
usaha/lembaga
Dokumen Bisnis Plan
Bagi PDAM Tirta
ayumiKota
Padangsidimpuan
1 Dok Tersedianya Dokumen
Acuan Bagi
Pengembangan PDAM
Tirta Ayumi
1 Dok 200.000.000 Bappeda
Program Perencanaan Sosial dan Budaya 1 Keg. 300.000.000 85.000.000
Koordinasi Peny.Master Plan Pendidikan Padangsidimpuan Masterplan Pendidikan
Kota Padangsidimpuan
1 Dok Terpenuhinya Master
Palan Untuk
perencanaan
pembangunan
1 Dok 250.000.000 - Bappeda
Penyusunan Perencanaan Pembangunan Sosial
Budaya
Padangsidimpuan Koordinasi Program dan
Kegiatan Pembangunan
Bidang Sosial Budaya
1 Lap Dipedomaninya Laporan
Bidang Pendidikan
1 Lap 50.000.000 85.000.000 Bappeda
2.060.479.000 663.000.000 P2
Program Peningkatan Sarana dan Prasarana
Aparatur
Terpenuhinya dan
terpeliharanya sarana
dan prasarana
perkantoran
4 Keg. 1.070.000.000 137.000.000
Pembangunan AULA, Mushollah, dan Rumah
Jaga
Padangsidimpuan Aula,Musholla,Rumah
dan Pos Jaga
3 Paket Meningkatkan
keamanan dan
keindahan gedung
kantor
3 Paket 1.000.000.000 Bappeda
Pengadaan Mobileur Padangsidimpuan meja kerja,meja
raapat,kursi kerja
Thn Terpenuhinya Mobileur
kantor
Thn 35.000.000 92.000.000 Bappeda
Pemeliharaan rutin/berkala Perlengkapan
Gedung Kantor
Padangsidimpuan Pemeliharaan Meja,
Kursi dan Sofa
1 Paket Terpeliharanya
Perlengkapan Kantor
1 Paket 35.000.000 45.000.000 Bappeda
Program Peningkatan Disiplin Aparatur Meningkatkan Displin
Pegawai dan Kerapihan
Pegawai
3 Keg. 190.750.000 45.000.000
Pengadaan Pakaian Dinas beserta
perlengkapannya
Padangsidimpuan Pakaian Dinas dan
perlegkapannya
65 stel Peningkatkan disiplin
dan kerapian Pegawai
65 stel 40.750.000 45.000.000 Bappeda
Pengadaan Mesin/Kartu Absensi Padangsidimpuan Mesin/Kartu Absensi 1 Set Peningkatkan disiplin
pegawai
1 Set 150.000.000 - Bappeda
Program Perencanaan Sosial dan Budaya 2 Keg. 200.000.000 0
Koordinasi Peny.Master Plan Kesehatan Padangsidimpuan Dokumen Master Plan
Kesehatan
1 Dok Terpenuhinya Master
Palan Untuk
perencanaan
pembangunan
1 Dok 200.000.000 - Bappeda
Rencana Program dan Kegiatan Prioritas Tahun 2015 Bidang Perencanaan Pembangunan Lembar : 47 dari 87
SKPD Jenis Keg Ket
Tolok Ukur Target Tolok Ukur Target Tolok Ukur Target 1/2/3 1/2/3
2 3 4 5 6 7 8 9 10 11 12 13 14 15 161
Pagu
Indikatif
Prakiraan
Maju
Keterangan
Hasil Program
Keluaran
Keg
Hasil KegNomor
Urusan/Bidang Urusan Pemerintahan Daerah
Dan Program/Keg
Prioritas
Daerah
Sasaran
Daerah
Lokasi
Indikator kinerja
Program Perencanaan Pembangunan Bidang
Ekonomi
1 Keg. 100.000.000 0
Penyusunan Indikator Ekonomi Daerah Padangsidimpuan Buku Indikator
Ekonomi Kota PSP
1 Dok Terpedomaninya
Indikator Ekonomi
1 Dok 100.000.000 0 Bappeda - Konsultan
(pihak ketiga)
Program Kerjasama Pembangunan 2 Keg. 135.000.000 175.000.000
Identifikasi Sumber-sumber PAD Padangsidimpuan Buku sumber-sumber
PAD
Meningkatkan PAD 135.000.000 175.000.000 Bappeda
Program Perencanaan Pembangunan Daerah 2 Keg. 110.000.000 121.000.000
Koordinasi & Sinkronisasi Perencanaan
Pembangunan Daerah
Padangsidimpuan Dokumen Rancangan
APBD
1 Dok Tersedianya Dokumen
Rancangan Penyusunan
APBD
1 Dok 110.000.000 121.000.000 Bappeda
Program Pengembangan Data dan Informasi 109.729.000
Pengembangan Kapasitas SDM Padangsidimpuan Peningkatan Kapasitas
pengetahuan Sumber
Daya Aparatur
Pemerintah
38 SKPD Pelatihan bidang
statistik
38 SKPD Peningkatan
pengetahuan aparatur
pemerintah di bidang
statistik
38 SKPD 109.729.000 0 Bappeda
Program Perencanaan Pengembangan Kota-
Kota Menengah dan Besar
1 Keg 90.000.000 125.000.000
Koordinasi Perencanaan Air Minum, Drainase,
dan sanitasi perkotaan
Padangsidimpuan Dokumen Jaringan Air
Minum ( Air Bersih)
3 Kec. Terpedomaninya
Dokumen Jaringan Air
Minum (Air Bersih)
untuk Peningkatan
Kapasitas Air Minum di
3 Kec. 90.000.000 125.000.000 Bappeda
Program Peningkatan Kapasitas Kelembagaan
Perencanaan Pembangunan Daerah
55.000.000 60.000.000
Koordinasi Rencana Aksi Daerah Padangsidimpuan Dok.Lap Aksi Mitigasi &
Adaptasi Perubahan
Iklim Kota
Padangsidimpuan
1 Dok Tersedianya Informasi
Keseimbangan Efek Gas
Rumah Kaca (GRK)
terhadap kapasitas RTH
1 Dok 55.000.000 60.000.000 Bappeda Rencana Aksi
Nasional dan
Rencana Aksi
Propinsi
Rencana Program dan Kegiatan Prioritas Tahun 2015 Bidang Perencanaan Pembangunan Lembar : 48 dari 87
SKPD
Jenis
Keg
Ket
Tolok Ukur Tolok Ukur Tolok Ukur 1/2/3 1/2/3 1/2/3
2 3 4 5 6 8 10 12 13 14 15 16
01 URUSAN WAJIB
01 07
BIDANG PERHUBUNGAN 19.689.505.500 16.302.883.550
3.965.960.500 4.287.284.050
P1
Program Pelayanan Administrasi Perkantoran 1.100.000.000 1.216.200.000
Peyediaan Jasa Surat Menyurat DISHUB
Terlaksananya pelayanan surat
menyurat
100 Bantuan transportasi dan
lembur
100 Terlaksananya pelayanan surat
menyurat
100
12.000.000 13.200.000
DISHUB
Penyediaan Jasa Komunikasi, Sumber Daya Air
dan Listrik
DISHUB
Jasa Komunikasi, Sumber Daya
Air dan Listrik Yang Terpenuhi
100
Listrik, Telepon, Air, fasilitas
Interet dan Surat Kabar.
100
Jasa Komunikasi, Sumber Daya
Air dan Listrik Yang Terpenuhi
100 160.000.000 176.000.000
DISHUB
Penyediaan Jasa Kebersihan Kantor DISHUB Kebersihan Kantor 100
Kebersihan dan Peralatan
Kebersihan Kantor
100 Kebersihan Kantor 100 88.000.000 96.800.000
DISHUB
Penyediaan Alat Tulis Kantor DISHUB Tersedianya ATK 100 ATK 100 Tersedianya ATK 100 110.000.000 121.000.000
DISHUB
Penyediaan Barang Cetakan dan Penggandaan DISHUB Tersedianya Barang Cetakan 100
Barang Cetakan dan
Penggandaan
100 Tersedianya Barang Cetakan 100 200.000.000 220.000.000
DISHUB
Penyediaan Peralatan Rumah Tangga DISHUB 21.000.000 24.000.000
DISHUB
Penyediaan Bahan Bacaan dan Peraturan
Perundang-undangan
12.000.000 14.000.000
DISHUB
Penyediaan Makanan dan Minuman DISHUB
Meningkatkan Kesejahteraan
PNS
100 Uang Makan Harian PNS 100
Meningkatkan Kesejahteraan
PNS
100 240.000.000 264.000.000
DISHUB
Rapat-rapat Koordinasi dan Konsultasi Keluar
Daerah
DISHUB
Terlaksananya Urusan
Kedinasan
100 Perjalanan Dinas 100
Terlaksananya Urusan
Kedinasan
100 200.000.000 220.000.000
DISHUB
Penyediaan Jasa Keamanan Kantor DISHUB Keamanan kantor 100 Keamanan kantor 100 Keamanan kantor 100 57.000.000 67.200.000
DISHUB
Program Peningkatan Sarana dan Prasarana
Aparatur
Peningkatan
kualitas
infrastruktur
mendukung
pembangunan
ekonomi
Terbangunnya
sarana dan
prasaranan
daerah sebagai
proses
pendukung
pembangunan
582.775.000 641.052.500
Pengadaan Mebeleur DISHUB Inventaris kantor 100 Mebeleur 100 Inventaris kantor 100 363.330.000 399.663.000 DISHUB
Pemeliharaan Rutin/Berkala Gedung Kantor
DISHUB
Gedung kantor yang nyaman 100 Pemeliharaan Gedung kantor 100 Gedung kantor yang nyaman 100 25.000.000 27.500.000
DISHUB
Pemeliharaan Rutin/Berkala Kenderaan
Dinas/Operasional
DISHUB
Pemeliharaan Kend. Dinas
operasional
100 Kenderaan dinas/operasional 100
Pemeliharaan Kend. Dinas
operasional
100 194.445.000 213.889.500 DISHUB
Program Peningkatan Disiplin Aparatur 149.447.000 157.319.200
Pengadaan Pakaian Dinas Beserta Perlengkapan
DISHUB
Peningkatan disiplin aparatur 100 PDH 100 Peningkatan disiplin aparatur 100 68.472.000 75.319.200
DISHUB
Pengadaan Pakaian Khusus Hari-hari Tertentu DISHUB Peningkatan Kinerja PNS 100 Pakaian Hari-hari Tertentu 100 Peningkatan Kinerja PNS 100 80.975.000 82.000.000 DISHUB
Program Peningkatan Kapasitas Sumber Daya
Aparatur
270.529.500 297.582.450
Pendidikan dan Pelatihan Formal
DISHUB aparatur yang terdidik dan
terlatih
100
Pendidikan dan pelatihan
formal
100
aparatur yang terdidik dan
terlatih
100
110.035.500 121.039.050 DISHUB
Bimbingan Teknis Implementasi Peraturan
Perundang-undangan
DISHUB
Peningkatan SDM aparatur 100 Bimbingan teknis 100 Peningkatan SDM aparatur 100
160.494.000 176.543.400 DISHUB
Program Peningkatan Pengembangan Sistem
Pelaporan Capaian Kinerja dan Keuangan
13.240.000 14.564.000
Penyusunan Laporan Capaian Kinerja dan Ikhtisar
Realisasi Kinerja SKPD
DISHUB Terlaksananya tugas-tugas dan
Laporan Capaian Kinerja
Keuangan
100
Uang lembur PNS
100
Terlaksananya tugas-tugas dan
Laporan Capaian Kinerja
Keuangan
100
7.376.000 8.113.600 DISHUB
Rencana Program dan Kegiatan Prioritas Daerah Tahun 2015
Kota Padangsidimpuan
Nomor
Urusan/Bidang Urusan Pemerintahan Daerah
Dan Program/Kegiatan
Prioritas
Daerah
Sasaran
Daerah
Lokasi
Indikator kinerja
Pagu
Indikatif
(Rp)
Prakiraan
Maju
(Rp)
Keterangan
Hasil Program
Keluaran
Kegiatan
Hasil Kegiatan
Target Target Target
1 7 9 11
Rencana Program dan Kegiatan Prioritas Tahun 2015 Bidang Perhubungan Lembar : 49 dari 87
SKPD
Jenis
Keg
Ket
Tolok Ukur Tolok Ukur Tolok Ukur 1/2/3 1/2/3 1/2/3
2 3 4 5 6 8 10 12 13 14 15 16
Nomor
Urusan/Bidang Urusan Pemerintahan Daerah
Dan Program/Kegiatan
Prioritas
Daerah
Sasaran
Daerah
Lokasi
Indikator kinerja
Pagu
Indikatif
(Rp)
Prakiraan
Maju
(Rp)
Keterangan
Hasil Program
Keluaran
Kegiatan
Hasil Kegiatan
Target Target Target
1 7 9 11
Penyusunan Pelaporan Prognosis Realisasi
Anggaran
DISHUB Laporan Realisasi Anggaran
100
Uang lembur PNS
100
Laporan Realisasi Anggaran
100
3.768.000 4.144.800 DISHUB
Penyusunan Pelaporan Keuangan Akhir Tahun
DISHUB Laporan Akhir Tahun
100
Uang lembur PNS
100
Laporan Akhir Tahun
100
2.096.000 2.305.600 DISHUB
Program Pembangunan Prasarana dan Fasilitas
Perhubungan
135.969.000 144.565.900
Perencanaan Pembangunan Prasarana dan
Fasilitas Perhubungan
DISHUB Pembangunan Sarana dan
Fasilitas Perhubungan 100
Jasa konsultasi
100
Pembangunan Sarana dan
Fasilitas Perhubungan 100
65.969.000 72.565.900 DISHUB
Koordinaasi dalam Pembangunan Prasarana dan
Fasilitas Perhubungan
DISHUB 70.000.000 72.000.000 DISHUB
Program Rehabilitasi dan Pemeliharaan
Prasarana dan Fasilitas LLAJ
50.000.000 60.000.000
Rehabilitasi/Pemeliharaan Terminal/Pelabuhan
50.000.000 60.000.000 DISHUB
Program Peningkatan Pelayanan Angkutan
1.044.000.000 1.076.000.000
Kegiatan Peningkatan Disiplin Masyarakat
DISHUB Tertib administrasi
100
Rajia Surat-surat Kenderaan
100
Tertib administrasi
100
DISHUB
Menggunakan Angkutan Bermotor
Kegiatan Pengendalian Disiplin Pengoperasian
DISHUB Peningkatan Disiplin
100
Pengendalian Disiplin
100
Peningkatan Disiplin
100
DISHUB
Angkutan Umum Dijalan Raya Berlalu Lintas Berlalu Lintas Berlalu Lintas
Pengawasan Trayek DISHUB Pengumpulan Data Angkutan 100 Pengawasan Trayek 100 Pengumpulan Data Angkutan 100 54.000.000 56.000.000 DISHUB
Program Pengendalian dan Pengamanan Lalu
Lintas
550.000.000 600.000.000
Pengadaan Rambu-rambu Lalu Lintas DISHUB Memberikan Kenyamanan 100 Tersedianya Rambu-rambu 100 Memberikan Kenyamanan 100 DISHUB
Bagi Pengguna Jalan Lalu Lintas Bagi Pengguna Jalan
Program Peningkatan Kelaikan Pengoperasian
Kenderaan Bermotor
70.000.000 80.000.000
Pelaksanaan Uji Petik Kenderaan Bermotor
DISHUB Meningkatkan PAD
100
Pelaksanaan Uji Petik PKB
100
Meningkatkan PAD
100
70.000.000 80.000.000 DISHUB
15.723.545.000 12.015.599.500 P2
Program Peningkatan Sarana dan Prasarana
Aparatur
479.445.000 527.389.500
Pengadaan Kenderaan Dinas/Operasional
DISHUB Peningkatan kend. Dinas
100 Kenderaan Dinas Operasional 100 Peningkatan kend. Dinas 100 194.445.000 213.889.500
DISHUB
Pemeliharaan Rutin/Berkala Mebeleur
DISHUB Mebeleur yang Bisa Terus
Dimanfaatkan
100
Peralatan Mebeleur Yang
terpelihara
100
Mebeleur yang Bisa Terus
Dimanfaatkan
100 25.000.000 27.500.000
DISHUB
Rehabilitasi sedang/Berat Gedung Kantor
DISHUB
Peningkatan kwalitas gedung 100 Rehab gedung 100 Peningkatan kwalitas gedung 100 260.000.000 286.000.000
DISHUB
Program Peningkatan Disiplin Aparatur 141.131.000 155.244.100
Pengadaan Pakaian Kerja Lapangan
DISHUB Peningkatan kinerja petugas
lapangan
100 Pakaian petugas lapangan 100
Peningkatan kinerja petugas
lapangan
100 141.131.000 155.244.100
DISHUB
Program Peningkatan Kapasitas Sumber Daya
Aparatur
119.969.000 131.965.900
Sosialisasi Peraturan Perundang-undangan
DISHUB Peningkatan pengetahuan
aparatur
100
Sosialisasi perundang-
undangan
100
Peningkatan pengetahuan
aparatur
100
119.969.000 131.965.900 DISHUB
Program Pembangunan Sarana dan Prasarana
Perhubungan
9.565.000.000 9.999.000.000
Pembangunan Terminal Angkutan di Pusat Kota ± 1
Ha
DISHUB Tersedianya Sarana dan
Prasarana Perhubungan
100 Pembangunan Terminal 100 Tersedianya Sarana dan
Prasarana Perhubungan
100 3.000.000.000 3.300.000.000 DISHUB
Terminal Terpadu DISHUB Tersedianya Sarana dan
Prasarana Perhubungan
100 Pembangunan Terminal 100 Tersedianya Sarana dan
Prasarana Perhubungan
100 2.000.000.000 2.200.000.000 DISHUB
Direncanakan di Jl. By Pass Kec. PSP Batunadua
dengan luas ± 3 Ha
Terminal Tipe C DISHUB Tersedianya Sarana dan
Prasarana Perhubungan
100 Pembangunan Terminal 100 Tersedianya Sarana dan
Prasarana Perhubungan
100 1.500.000.000 1.650.000.000 DISHUB
Direncanakan di Sibatu Kec. PSP Selatan dengan
luas ± 2 Ha
100.000.00080.000.000
910.000.000 920.000.000
550.000.000 600.000.000
Rencana Program dan Kegiatan Prioritas Tahun 2015 Bidang Perhubungan Lembar : 50 dari 87
SKPD
Jenis
Keg
Ket
Tolok Ukur Tolok Ukur Tolok Ukur 1/2/3 1/2/3 1/2/3
2 3 4 5 6 8 10 12 13 14 15 16
Nomor
Urusan/Bidang Urusan Pemerintahan Daerah
Dan Program/Kegiatan
Prioritas
Daerah
Sasaran
Daerah
Lokasi
Indikator kinerja
Pagu
Indikatif
(Rp)
Prakiraan
Maju
(Rp)
Keterangan
Hasil Program
Keluaran
Kegiatan
Hasil Kegiatan
Target Target Target
1 7 9 11
Penyusunan Detail Enginering Design (DED)
terminal tipe B
Kota
Padangsidimp
uan
Peningkatan infrastruktur
daerah
Dokumen Perencanaan Bidang
Perhubungan
1keg. 500.000.000
Pembangunan Gedung Terminal
DISHUB Arsitektur Terminal
100
Pembangunan Terminal
100
Arsitektur Terminal
100
625.000.000 687.500.000 DISHUB
Jasa Konsultan Penyusunan DED Pembangunan
Terminal
Rehabilitasi sedang/berat Halte DISHUB halte lebih memadai 100 Rehabilitasin halte 100 halte lebih memadai 100 170.000.000 187.000.000 DISHUB
Pembangunan Traffight Light DISHUB Berfungsinya Traffight Light 100 Pembangunan Traffight Light 100 Berfungsinya Traffight Light 100 1.770.000.000 1.974.500.000 DISHUB
Program Pengendalian dan Pengamanan Lalu
Lintas
450.000.000 495.000.000
Pengadaan Marka Jalan DISHUB Memberikan Kenyamanan 100 Tersedianya Marka Jalan 100 Memberikan Kenyamanan 100 DISHUB
Bagi Pengguna Jalan Bagi Pengguna Jalan
Pengadaan Pagar Pengaman Jalan DISHUB Memberikan Kenyamanan 100 Tersedianya Fasilitas 100 Memberikan Kenyamanan 100 DISHUB
Bagi Pengguna Jalan Pengamanan Bagi Pengguna Bagi Pengguna Jalan
Jalan
Program Peningkatan Kelaikan Pengoperasian
Kenderaan Bermotor
200.000.000 220.000.000
Pembangunan Pengujian Kenderaan Bermotor
DISHUB Tersedianya fasilitas gedung
PKB 100
Jalan Masuk/keluar gedung
PKB 100
Tersedianya fasilitas gedung
PKB 100
200.000.000 220.000.000 DISHUB
Program Peningkatan dan Pengembangan
Pengelolaan Keuangan Daerah
470.000.000 487.000.000
Optimalisasi Pendapatan Asli Daerah DISHUB Peningkatan PAD 100 Optimalisasi PAD 100 Peningkatan PAD 100 470.000.000 487.000.000 DISHUB
Program Pengendalian dan Pengamanan Lalu
Lintas
4.298.000.000
Pengadaan/pemasangan Rambu Jalan Kota
Padangsidimp
uan
Peningkatan kualitas/kwantitas
infrastruktur
Keselamatan transportasi darat 70 buah 105.000.000 DISHUB
Pengadaan Marka Jalan Kota
Padangsidimp
uan
Peningkatan kualitas/kwantitas
infrastruktur
Keselamatan transportasi darat 3000 m 450.000.000 DISHUB
Pengadaan / pemasangan Paku Jalan Kota
Padangsidimp
uan
Peningkatan kualitas/kwantitas
infrastruktur
Keselamatan transportasi darat 1000 buah 350.000.000 DISHUB
Pengadaan Speed Beam Kota
Padangsidimp
uan
Peningkatan kualitas/kwantitas
infrastruktur
Keselamatan transportasi darat 360 buah 315.000.000 DISHUB
Pengadaan APILL : Kota
Padangsidimp
uan
Peningkatan kualitas/kwantitas
infrastruktur
Keselamatan transportasi darat DISHUB
- Traffight Light Simpang 4 Solar Cell 2 un it 850.000.000
- Traffight Light Simpang 3 Solar Cell 3 unit 1.200.000.000
- Warning Light Tiang Lengkung Solar Cell 10 unit 348.000.000
- Warning Light Tiang Lurus Solar Cell 25 unit 680.000.000
250.000.000 275.000.000
200.000.000 220.000.000
Rencana Program dan Kegiatan Prioritas Tahun 2015 Bidang Perhubungan Lembar : 51 dari 87
SKPD Jenis Keg Ket
Tolok Ukur Target Tolok Ukur Target Tolok Ukur Target 1/2/3 1/2/3 1/2/3
2 3 4 5 6 7 8 9 10 11 12 13 14 15 16
1 URUSAN WAJIB
1 08 BIDANG LINGKUNGAN HIDUP 34.218.822.451 3.550.278.750
2.410.562.451 2.565.078.750
P1
Program Pelayanan Administrasi Perkantoran 728.812.451 693.328.750
Penyediaan Jasa Komunikasi, Sumber Daya Air
dan Listrik
Padangsidimpuan tersedianya sarana
listrik, air dan telepon
1 tahun tersedianya sarana
listrik, air dan telepon
1 tahun 39.600.000 39.600.000 KLH
Penyediaan Jasa Pemeliharaan dan Perizinan
Kendaraan Dinas/Operasional
Padangsidimpuan tersedianya kendaraan
dinas yg siap pakai
1 tahun tersedianya kendaraan
dinas yg siap pakai
1 tahun 72.859.500 72.859.500 KLH
Penyediaan Jasa Kebersihan Kantor Padangsidimpuan Meningkatnya
kebersihan kantor
1 tahun Meningkatnya
kebersihan kantor
1 tahun 49.000.000 49.200.000 KLH
Penyediaan Jasa Perbaikan Peralatan Kerja Padangsidimpuan terpeliharanya
peralatan kerja
1 tahun terpeliharanya peralatan
kerja
1 tahun 40.000.000 40.000.000 KLH
Penyediaan Alat Tulis Kantor Padangsidimpuan terpenuhinya
kebutuhan ATK
1 tahun terpenuhinya
kebutuhan ATK
1 tahun 70.000.000 70.000.000 KLH
Penyediaan Barang Cetakan dan Penggandaan Padangsidimpuan terpenuhinya
kebutuhan cetakan di
kantor
1 tahun terpenuhinya
kebutuhan cetakan di
kantor
1 tahun 64.500.000 64.500.000 KLH
Penyediaan Bahan Bacaan dan Peraturan
Perundang-undangan
Padangsidimpuan tersedianya bahan
bacaan
1 tahun tersedianya bahan
bacaan
1 tahun 15.000.000 15.000.000 KLH
Penyediaan Makanan dan Minuman Padangsidimpuan tersedianya makan
minum pegawai
1 tahun tersedianya makan
minum pegawai
1 tahun 79.200.000 79.200.000 KLH
Rapat-rapat Koordinasi dan Konsultasi ke Luar
Daerah
Padangsidimpuan adanya informasi yang
ter up-date
336 hari adanya informasi yang
ter up-date
336 hari 247.652.951 207.969.250 KLH
Penyediaan Jasa Keamanan Kantor Padangsidimpuan 1 tahun 1 tahun 51.000.000 55.000.000 KLH
Program Peningkatan Sarana dan Prasarana
Aparatur
371.000.000 61.000.000
Pengadaan Kenderaan Dinas/Operasional Padangsidimpuan Adanya kenderaan
Dinas/Operasional
1 unit Adanya kenderaan
Dinas/Operasional
1 unit 310.000.000 KLH
Pengadaan Perlengkapan Gedung Kantor Padangsidimpuan adanya perlengkapan
gedung kantor
1 tahun adanya perlengkapan
gedung kantor
1 tahun 40.000.000 40.000.000 KLH
Pemeliharaan Rutin / Berkala Gedung Kantor Padangsidimpuan adanya gedung kantor
yang terpelihara
1 tahun adanya gedung kantor
yang terpelihara
1 tahun 21.000.000 21.000.000 KLH
Program Peningkatan Disiplin Aparatur 25.000.000 25.000.000
Pengadaan Pakaian khusus hari-hari tertentu Padangsidimpuan adanya pakaian dinas
beserta
perlengkapannya
1 tahun adanya pakaian dinas
beserta
perlengkapannya
1 tahun 25.000.000 25.000.000 KLH
Program Peningkatan Kapasitas Sumber Daya
Aparatur
80.750.000 80.750.000
Bimbingan Teknis Implementasi Peraturan
Perundang-undangan
Padangsidimpuan meningkatnya SDM
aparatur BLH
1 tahun meningkatnya SDM
aparatur BLH
1 tahun 80.750.000 80.750.000 KLH
1
Rencana Program dan Kegiatan Prioritas Daerah Tahun 2015
Kota Padangsidimpuan
Nomor
Urusan/Bidang Urusan Pemerintahan Daerah
Dan Program/Kegiatan
Prioritas
Daerah
Sasaran
Daerah
Lokasi
Indikator kinerja
Pagu
Indikatif
(Rp)
Prakiraan
Maju
(Rp)
Keterangan
Hasil Program Keluaran Kegiatan Hasil Kegiatan
Rencana Program dan Kegiatan Prioritas Tahun 2015 Bidang Lingkungan Hidup Lembar : 52 dari 87
SKPD Jenis Keg Ket
Tolok Ukur Target Tolok Ukur Target Tolok Ukur Target 1/2/3 1/2/3 1/2/3
2 3 4 5 6 7 8 9 10 11 12 13 14 15 161
Nomor
Urusan/Bidang Urusan Pemerintahan Daerah
Dan Program/Kegiatan
Prioritas
Daerah
Sasaran
Daerah
Lokasi
Indikator kinerja
Pagu
Indikatif
(Rp)
Prakiraan
Maju
(Rp)
Keterangan
Hasil Program Keluaran Kegiatan Hasil Kegiatan
Program Peningkatan Pengembangan Sistem
Pelaporan Capaian Kinerja dan Keuangan
16.000.000 16.000.000
Penyusunan Laporan Capaian Kinerja dan
Ikhtisar Realisasi Kinerja SKPD
Padangsidimpuan tersedianya LAKIP 1 tahun tersedianya LAKIP 1 tahun 16.000.000 16.000.000 KLH
Program Pengendalian Pencemaran dan
Perusakan Lingkungan Hidup
766.000.000 766.000.000
Pemantauan Kualitas Lingkungan Padangsidimpuan 45.000.000 45.000.000 KLH
Pengkajian Dampak Lingkungan Padangsidimpuan 36.000.000 36.000.000 KLH
Peningkatan peran seerta masyarakat dalam
pengendalian lingkungan hidup
600.000.000 600.000.000 KLH
Monitoring, Evaluasi dan Pelaporan Padangsidimpuan 85.000.000 85.000.000 KLH
Program Pengelolaan Ruang Terbuka Hijau
(RTH)
28.000.000 28.000.000
Peningkatan peran serta masyarakat dalam
pengelolaan RTH
Padangsidimpuan 28.000.000 28.000.000 KLH
Program Perlindungan & konservasi Sumber
Daya Alam (SDA)
95.000.000 95.000.000
Pengendalian Dampak Perubahan Iklim 65.000.000 65.000.000 KLH
Monitoring, Evaluasi dan Pelaporan Padangsidimpuan 30.000.000 30.000.000 KLH
Program Peningkatan Pengendalian Polusi 300.000.000 300.000.000
Pembangunan tempat pembuangan benda
padat/cair yang menimbulkan polusi
Padangsidimpuan 300.000.000 300.000.000 KLH
985.200.000 985.200.000
P2
Program Pelayanan Administrasi Perkantoran 40.200.000 40.200.000
Penyediaan Jasa Surat Menyurat Padangsidimpuan 1 tahun 1 tahun 9.600.000 9.600.000 KLH
Penyediaan Jasa Administrasi Keuangan Padangsidimpuan tercapainya laporan yg
tepat waktu
1 tahun tercapainya laporan yg
tepat waktu
1 tahun 30.600.000 30.600.000 KLH
Program Pengendalian Pencemaran dan
Perusakan Lingkungan Hidup
Padangsidimpuan 100.000.000 100.000.000
Koordinasi pengelolaan prokasih (Pembersihan
hamparan sungai)
Padangsidimpuan 100.000.000 100.000.000 KLH
Program Pengelolaan Ruang Terbuka Hijau
(RTH)
525.000.000 225.000.000
Penataan RTH (Penanaman u wilayah
pemukiman & perkebunan Rakyat.
Padangsidimpuan 525.000.000 225.000.000 KLH
Program Perlindungan & konservasi Sumber
Daya Alam (SDA)
60.000.000 60.000.000
Pengelolaan keanekaragaman hayati & ekosistem Padangsidimpuan 30.000.000 30.000.000 KLH
Pengendalian kerusakan hutan dan lahan
(biomassa)
Padangsidimpuan 30.000.000 30.000.000 KLH
Program Pengembangan Kinerja Pengelolaan
Persampahan
200.000.000 500.000.000
Penyedian prasarana & sarana pengelolaan
persampahan
Padangsidimpuan
a. Bank Sampah 100.000.000 400.000.000 KLH
b. Pengadaan Tong Sampah 100.000.000 100.000.000 KLH
Rencana Program dan Kegiatan Prioritas Tahun 2015 Bidang Lingkungan Hidup Lembar : 53 dari 87
SKPD Jenis Keg Ket
Tolok Ukur Target Tolok Ukur Target Tolok Ukur Target 1/2/3 1/2/3 1/2/3
2 3 4 5 6 7 8 9 10 11 12 13 14 15 161
Nomor
Urusan/Bidang Urusan Pemerintahan Daerah
Dan Program/Kegiatan
Prioritas
Daerah
Sasaran
Daerah
Lokasi
Indikator kinerja
Pagu
Indikatif
(Rp)
Prakiraan
Maju
(Rp)
Keterangan
Hasil Program Keluaran Kegiatan Hasil Kegiatan
Program Peningkatan Pengendalian Polusi 60.000.000 60.000.000
Pengujian emisi/polusi udara akibat aktifitas
industri
Padangsidimpuan 30.000.000 30.000.000 KLH
Pemantauan kualitas air Padangsidimpuan 30.000.000 30.000.000 KLH
14.505.060.000
P1
Program Pelayanan Administrasi Perkantoran 932.470.000
Penyediaan Jasa Komunikasi, Sumber Daya Air
dan Listrik
Padangsidimpuan Rekening Komunikasi,
sumber daya air dan
listrik
1 tahun 50.000.000 KP2K
Penyediaan Jasa Kebersihan Kantor Padangsidimpuan Jasa Kebersihan Kantor 1 tahun 10.500.000 KP2K
Penyediaan Jasa Perbaikan Peralatan Kerja Padangsidimpuan Jasa Perbaikan
Peralatan Kerja
1 tahun 26.000.000 KP2K
Penyediaan Alat Tulis Kantor Padangsidimpuan Alat Tulis Kantor 1 tahun 105.500.000 KP2K
Penyediaan Barang Cetakan dan Penggandaan Padangsidimpuan Barang Cetakan dan
Penggandaan
1 tahun 170.000.000 KP2K
Penyediaan Peralatan dan Perlengkapan Kantor Padangsidimpuan Peralatan dan
Perlengkapan Kantor
1 tahun 95.070.000 KP2K
Penyediaan Peralatan Rumah Tangga Padangsidimpuan Peralatan Rumah
Tangga
1 tahun 50.000.000 KP2K
Penyediaan Bahan Bacaan dan Peraturan
Perundang-undangan
Padangsidimpuan Penyediaan Bahan
Bacaan dan Peraturan
Perundang-undangan
1 tahun 25.000.000 KP2K
Penyediaan Makanan dan Minuman Padangsidimpuan Pembayaran uang
makanan dan minuman
1 tahun 180.000.000 KP2K
Rapat-rapat Koordinasi dan Konsultasi ke Luar
Daerah
Padangsidimpuan Rapat-rapat koordinasi
dan perjalanan dinas
1 tahun 210.000.000 KP2K
Penyediaan jasa Keamanan Kantor Padangsidimpuan 10.400.000 KP2K
Program Peningkatan Sarana dan Prasarana
Aparatur
110.000.000
Pemeliharaan Rutin/Berkala Kendaraan Dinas/
Operasional
Padangsidimpuan Terlaksananya
pemeliharaan
kendaraan
dinas/operasional
70.000.000 KP2K
Rehabilitasi Sedang/Berat Gedung Kantor Padangsidimpuan 40.000.000 KP2K
Program Peningkatan Disiplin Aparatur 52.000.000
Pengadaan Pakaian Dinas Beserta
Perlengkapannya
Padangsidimpuan Pakaian Dinas dan
Kelengkapannya
52.000.000 KP2K
Program Peningkatan Kapasitas Sumber Daya
Aparatur
120.000.000
Pendidikan dan Pelatihan Formal Padangsidimpuan Peserta Diklat 120.000.000 KP2K
Program Peningkatan Pengembangan Sistem
Pelaporan Capaian Kinerja dan Keuangan
56.500.000
Rencana Program dan Kegiatan Prioritas Tahun 2015 Bidang Lingkungan Hidup Lembar : 54 dari 87
SKPD Jenis Keg Ket
Tolok Ukur Target Tolok Ukur Target Tolok Ukur Target 1/2/3 1/2/3 1/2/3
2 3 4 5 6 7 8 9 10 11 12 13 14 15 161
Nomor
Urusan/Bidang Urusan Pemerintahan Daerah
Dan Program/Kegiatan
Prioritas
Daerah
Sasaran
Daerah
Lokasi
Indikator kinerja
Pagu
Indikatif
(Rp)
Prakiraan
Maju
(Rp)
Keterangan
Hasil Program Keluaran Kegiatan Hasil Kegiatan
Penyusunan Laporan Capaian Kinerja dan Iktisar
Realisasi Kinerja SKPD
Padangsidimpuan Laporan capaian kinerja
dan ikhtisar realisasi
kinerja (LAKIP)
46.500.000 KP2K
Penyusunan Pelaporan Keuangan Semester Padangsidimpuan Laporan Keuangan
Smesteran
5.000.000 KP2K
Penyusunan Pelaporan Keuangan Akhir Tahun Padangsidimpuan Laporan Keuangan
Akhir Tahun
5.000.000 KP2K
Program Pengembangan Kinerja Pengelolaan
Persampahan
7.460.000.000
Peningkatan Operasi dan Pemeliharaan
Prasarana dan Sarana Persampahan
Berfungsinya dengan
baik Sarana dan
Prasarana pegelolaan
persampahan
7.250.000.000 KP2K
Penyediaan Prasarana dan Sarana Pengelolaan
Persampahan
Bertambahnya
Prasarana dan Sarana
Pengelolaan
Persampahan
210.000.000 KP2K
Program Pengelolaan Ruang Terbuka Hijau 5.774.090.000
Penataan RTH 2.100.000.000 KP2K
Pemeliharaan RTH 3.674.090.000 KP2K
16.318.000.000
P2
Program Peningkatan Sarana dan Prasarana
Aparatur
50.000.000
Pengadaan Kendaraan Dinas/Operasional Padangsidimpuan Kendaraan Dinas Roda
2
50.000.000 KP2K
Penyediaan Prasarana dan Sarana Pengelolaan
Persampahan
Bertambahnya
Prasarana dan Sarana
Pengelolaan
Persampahan
- Study kelayakan lahan TPA Padangsidimpuan Tersedianya Lahan TPA Lahan TPA 7.000.000.000 KP2K
- Pengadaan Lahan TPA Padangsidimpuan Tersedianya Lahan TPA Lahan TPA 4.000.000.000 KP2K
- Pengadaan Beco Loader Padangsidimpuan Bertambahnya Kinerja
Persampahan
1 unit 900.000.000 KP2K
- Sosialisasi tentang pengelolaan sampah 6 kecamatan Bertambahnya Kinerja
Persampahan
6 paket KP2K
- Pengadaan Beca Sampah Padangsidimpuan Bertambahnya Kinerja
Persampahan
60 unit 1.800.000.000 KP2K
- Pengadaan Tong Sampah 6 kecamatan Bertambahnya Kinerja
Persampahan
6 paket 300.000.000 KP2K
Program Pengelolaan Ruang Terbuka Hijau 9.268.000.000
Penataan RTH
Kegiatan Pengelolaan Ruang Terbuka Hijau Terwujudnya Suasa
Kota yang Indah dan
Segar
- Pembuatan Taman Perkantoran
Pijorkoling
Bertambahnya
Keindahan Kota
1 Paket
Rencana Program dan Kegiatan Prioritas Tahun 2015 Bidang Lingkungan Hidup Lembar : 55 dari 87
SKPD Jenis Keg Ket
Tolok Ukur Target Tolok Ukur Target Tolok Ukur Target 1/2/3 1/2/3 1/2/3
2 3 4 5 6 7 8 9 10 11 12 13 14 15 161
Nomor
Urusan/Bidang Urusan Pemerintahan Daerah
Dan Program/Kegiatan
Prioritas
Daerah
Sasaran
Daerah
Lokasi
Indikator kinerja
Pagu
Indikatif
(Rp)
Prakiraan
Maju
(Rp)
Keterangan
Hasil Program Keluaran Kegiatan Hasil Kegiatan
- Pembuatan Taman Batunadua Bertambahnya
Keindahan Kota
1 Paket
- Pembuatan Pot Bunga di Pinggir Jalan Jl. SM. Raja Psp Bertambahnya
Keindahan Kota
1 Paket 200.000.000 KP2K
- Pemasangan LPJU Jl. H.A Nasution Bertambahnya
Penerangan Kota
1 Paket 3.500.000.000 KP2K
- Pemasangan LPJU 6 kecamatan Bertambahnya
Penerangan Kota
6 Paket 300.000.000 KP2K
- Renovasi Jaringan dan Meterisasi LPJU Padangsidimpuan Bertambahnya
Penerangan Kota
2 Paket
- Pembuatan Taman 6 kecamatan Bertambahnya Keasrian
Kota
6 Paket
- Pengadaan Mobil Tangga Lampu Penerangan
Jalan
Padangsidimpuan Bertambahnya Sarana
dan Prasarana
Pertamanan
1 Paket 1.000.000.000 KP2K
- Pengadaan Mobil Coltdiesel Operasional Padangsidimpuan Bertambahnya Sarana
dan Prasarana
Pertamanan
1 Paket 500.000.000 KP2K
Kegiatan Pemeliharaan Ruang Terbuka Hijau Terlaksananya Kegiatan
Pemeliharaan Taman &
LPJU
3.768.000.000 KP2K
Rencana Program dan Kegiatan Prioritas Tahun 2015 Bidang Lingkungan Hidup Lembar : 56 dari 87
SKPD Jenis Keg Keterangan
Tolok Ukur Target
Tolok
Ukur
Target
Tolok
Ukur
Target 1/2/3 1/2/3 1/2/3
2 3 4 5 6 8 10 12 13 14 15 16
01 URUSAN WAJIB
01 10 BIDANG KEPENDUDUKAN DAN CATATAN SIPIL 4.675.704.200 4.911.031.920
3.755.704.200 3.899.031.920 P1
Program Pelayanan Administrasi Perkantoran 1.288.704.200 1.294.531.920
Penyediaan Jasa Surat Menyurat Duk Capil Jasa Surat Menyurat 1 thn
Terlaksa urusan surat
menyurat
1 thn 85.000.000 92.620.000
Dinas Duk
Capil
Penyediaan Jasa Komunikasi,sumber Daya air dan listrik Duk Capil
Jasa Komunikasi,sumber
Daya air dan listrik
1 thn
Terpenuhinya Jasa
Komunikasi,sumber Daya
air dan listrik
1 thn 60.000.000 48.400.000
Dinas Duk
Capil
Penyediaan Jasa Kebersihan Kantor Duk Capil Jasa Kebersihan Kantor 1 thn
Kantor dalam keadaan
bersih
1 thn 50.000.000 78.191.300
Dinas Duk
Capil
Penyediaan Alat Tulis Kantor Duk Capil Alat Tulis Kantor 1 thn
Tersedianya Alat Tulis
Kantor
1 thn 200.000.000 275.000.000
Dinas Duk
Capil
Penyediaan Barang Cetakan dan Penggandaan Duk Capil
Barang Cetakan dan
Penggandaan
1 thn
Tersedianya Barang Cetakan
dan Penggandaan
1 thn 300.000.000 222.046.000
Dinas Duk
Capil
Penyediaan Komponen Instalasi Listrik/Penerangan
Bangunan Kantor
Duk Capil
Komponen Instalasi
Listrik/Penerangan
Bangunan Kantor
1 thn
Instalasi Listrik/Penerangan
Bangunan Kantor
1 thn 17.504.200 19.254.620
Dinas Duk
Capil
Penyediaan bahan bacaan dan Peraturan Perundang-
undangan
Duk Capil
bahan bacaan dan
Peraturan Perundang-
undangan
1 thn
Tersedianya bahan bacaan
dan Peraturan Perundang-
undangan
1 thn 30.000.000 33.000.000
Dinas Duk
Capil
Penyediaan makanan dan minuman Duk Capil makanan dan minuman 1 thn
Tersedianya makanan dan
minuman
1 thn 200.200.000 220.220.000
Dinas Duk
Capil
Rapat-rapat Koordinasi dan Konsultasi keluar daerah Luar Daerah
Rapat-rapat Koordinasi dan
Konsultasi keluar daerah
1 thn
Terlaksananya perjalanan
dinas keluar daerah
1 thn 250.000.000 236.500.000
Dinas Duk
Capil
Rapat-rapat Koordinasi dan Konsultasi dalam daerah Kota Psp
Rapat-rapat Koordinasi dan
Konsultasi kedalam daerah
1 thn
Terlaksananya perjalanan
dinas dalam daerah
1 thn 25.000.000 27.500.000
Dinas Duk
Capil
Penyediaan jasa keamanan kantor Duk Capil Jasa keamanan kantor 1 thn
kantor dalam keadaan aman
terjaga
1 thn 45.000.000 41.800.000
Dinas Duk
Capil
Penyediaan Peralatan rumah tangga Dinas Duk Capil 1 thn 26.000.000
Program Peningkatam Sarana dan Prasarana Aparatur Duk Capil 310.000.000 372.000.000
Pengadaan Peralatan Gedung Kantor Duk Capil Peralatan Gedung Kantor 1 thn
Adanya Peralatan Gedung
Kantor
1 thn 120.000.000 150.000.000
Dinas Duk
Capil
Pemeliharaan Rutin/berkala Kendaraan Dinas
Operasional
Duk Capil
Pemeliharaan Kendaraan
Dinas Operasional
1 thn
Kendaraan Dinas
Operasional dalam keadaan
baik
1 thn 100.000.000 120.000.000
Dinas Duk
Capil
Pemeliharaan rutin berkala Peralatan gedung kantor Duk Capil
Pemeliharaan Peralatan
gedung kantor
1 thn
Peralatan gedung kantor
dalam keadaan baik
1 thn 35.000.000 37.000.000
Dinas Duk
Capil
Pemeliharaan rutin berkala gedung kantor Duk Capil
Pemeliharaan rutin berkala
gedung kantor
1 thn
Terpeliharanya gedung
kantor
1 thn 55.000.000 65.000.000
Dinas Duk
Capil
Program Peningkatan Disiplin Aparatur Padangsidimpuan 35.000.000 45.000.000
Rencana Program dan Kegiatan Prioritas Daerah Tahun 2015
Kota Padangsidimpuan
Nomor
Urusan/Bidang Urusan Pemerintahan Daerah
Dan Program/Kegiatan
Prioritas
Daerah
Sasaran
Daerah
Lokasi
Indikator kinerja
Pagu
Indikatif
Keterangan
Hasil Program
Keluaran
Kegiatan
Hasil Kegiatan
Prakiraan
Maju
1
Rencana Program dan Kegiatan Prioritas Tahun 2015 Bidang Kependudukan dan Catatan Sipil Lembar : 57 dari 87
SKPD Jenis Keg Keterangan
Tolok Ukur Target
Tolok
Ukur
Target
Tolok
Ukur
Target 1/2/3 1/2/3 1/2/3
2 3 4 5 6 8 10 12 13 14 15 16
Nomor
Urusan/Bidang Urusan Pemerintahan Daerah
Dan Program/Kegiatan
Prioritas
Daerah
Sasaran
Daerah
Lokasi
Indikator kinerja
Pagu
Indikatif
Keterangan
Hasil Program
Keluaran
Kegiatan
Hasil Kegiatan
Prakiraan
Maju
1
Pengadaan Pakaian Dinasbeserta Perlengkapannya Duk Capil
Pakaian Dinas Harian
beserta Perlengkapannya
Tersedianya Pakaian Dinas
beserta Perlengkapannya
35.000.000 45.000.000
Dinas Duk
Capil
Program Peningkatan Kapasitas Sumber Daya
Aparatur
Kota Psp 200.000.000 220.000.000
Bimbingan Teknis Implementasi Peraturan Perundang
undangan
Duk Capil Bimbingan teknis
Terikutinya Bimbingan
Teknis
200.000.000 220.000.000
Dinas Duk
Capil
Program Peningkatan Pengembangan Sistem
Pelaporan Capaian Kinerja dan Keuangan
22.000.000 25.500.000
Penyusunan Laporan Capaian Kinerja dan Iktisar
Realisasi Kinerja SKPD
Duk Capil
Laporan Capaian Kinerja
dan Iktisar Realisasi Kinerja
SKPD
Laporan Capaian Kinerja
dan Iktisar Realisasi Kinerja
SKPD
12.000.000 13.500.000
Dinas Duk
Capil
Penyusunan Pelaporan Keuangan Akhir Tahun Duk Capil 10.000.000 12.000.000
Dinas Duk
Capil
Program Penataan Administrasi Kependudukan Kota Psp 1.900.000.000 1.942.000.000
Pelatihan Tenaga Pengelola SIAK
Duk Capil
Pelatihan Tenaga
Adanya Tenaga terlatih
100.000.000 110.000.000
Dinas Duk
Capil
Peningkatan kapasitas Aparat kependudukan dan
Catatan Sipil
Duk Capil
kapasitas kelembagaan
kependudukan
Meningktanya kapasitas
kelembagaan kependudukan
110.000.000 115.000.000
Dinas Duk
Capil
Sosialisasi Kebijakan Kependudukan Duk Capil 125.000.000 130.000.000
Dinas Duk
Capil
Peningkatan Kapasitas Kelembagaan dan Kependudukan 350.000.000 320.000.000
Dinas Duk
Capil
Pemutakhiran Data
Duk Capil
Pemutakhiran Data 180.000.000 200.000.000
Dinas Duk
Capil
Penerapan Pelayanan E KTP
Duk Capil
380.000.000 400.000.000
Dinas Duk
Capil
Publikasi Data Kependudukan melalui Web Site Dinas
Kependudukan dan Pencacatan Sipil Kota
Padangsidimpuan
Duk Capil
85.000.000 78.000.000
Dinas Duk
Capil
Dispensasi Biaya pembuktian telah terjadinya
perkawinan(isbat Nikah) bagi penduduk beragama islam
250.000.000 256.000.000
Dinas Duk
Capil
Pengolahan dalam Penyusunan Laporan Informasi
Kependudukan
Duk Capil
Penyusunan Laporan
Informasi Kependudukan
Adanya Laporan Informasi
Kependudukan
150.000.000 165.000.000
Dinas Duk
Capil
Penyusunan Profil Perkembangan Kependudukan Duk Capil
Profil Perkembangan
Kependudukan
Adanya Profil Perkembangan
Kependudukan
170.000.000 168.000.000
Dinas Duk
Capil
920.000.000 1.012.000.000 P2
Program Pelayanan Administrasi Perkantoran 35.000.000 38.500.000
Penyiaran iklan Kota Psp Penyiaran iklan Penyiaran iklan 35.000.000 38.500.000
Dinas Duk
Capil
Program Peningkatam Sarana dan Prasarana Aparatur Duk Capil 35.000.000 38.500.000
Rencana Program dan Kegiatan Prioritas Tahun 2015 Bidang Kependudukan dan Catatan Sipil Lembar : 58 dari 87
SKPD Jenis Keg Keterangan
Tolok Ukur Target
Tolok
Ukur
Target
Tolok
Ukur
Target 1/2/3 1/2/3 1/2/3
2 3 4 5 6 8 10 12 13 14 15 16
Nomor
Urusan/Bidang Urusan Pemerintahan Daerah
Dan Program/Kegiatan
Prioritas
Daerah
Sasaran
Daerah
Lokasi
Indikator kinerja
Pagu
Indikatif
Keterangan
Hasil Program
Keluaran
Kegiatan
Hasil Kegiatan
Prakiraan
Maju
1
Pengadaan Perlengkapan Gedung Kantor Duk Capil
Pengadaan Perlengkapan
Gedung Kantor
1 thn
Adanya Perlengkapan
Gedung Kantor
1 thn 35.000.000 38.500.000
Dinas Duk
Capil
Program Peningkatam Sarana dan Prasarana Aparatur 850.000.000 935.000.000
Pengadaan Camera CCTV
Duk Capil Tersedianya keadaaan aman
dan nyaman
50.000.000 55.000.000
Dinas Duk
Capil
Pengembangan data base Kependudukan Duk Capil data base Kependudukan
Tersedianya data base
Kependudukan
Dinas Duk
Capil
Penyusunan Data Kependudukan kota
padangsidimpuan(desa/ kel.)
Duk Capil
Data Kependudukan kota
padangsidimpuan(desa/
kel.)
tersedianya Data
Kependudukan kota
padangsidimpuan(desa/
kel.)
Dinas Duk
Capil
Up.Dating System Administrasi Kependudukan Duk Capil
Up.Dating System
Administrasi Kependudukan
Up.Dating System
Administrasi Kependudukan
Dinas Duk
Capil
Pengadaan Mobil Kelilling Pembuatan KTP dan
Peralatannya
Duk Capil
Mobil Kelilling Pembuatan
KTP dan Peralatannya
mempermudah Masyarakat
dalam Pembuatan KTP
800.000.000 880.000.000
Dinas Duk
Capil
Rencana Program dan Kegiatan Prioritas Tahun 2015 Bidang Kependudukan dan Catatan Sipil Lembar : 59 dari 87
SKPD
Jenis
Keg
Ket
Tolok Ukur Tolok Ukur Tolok Ukur 1/2/3 1/2/3 1/2/3
2 3 4 5 6 8 10 12 13 14 15 16
01 URUSAN WAJIB
01 11
BIDANG PEMBERDAYAAN PEREMPUAN 1.390.000.000 1.190.000.000
730.000.000 743.000.000 P1
Program Penguatan Kelembagaan
Pengarusutamaan Gender dan Anak
350.000.000 370.000.000
Fasilitasi Pengembangan Pusat Pelayanan Terpadu
Pemberdayaan Perempuan dan Anak (P2TP2A)
Padangsidimpuan
Peningkatan Kesehatan Kaum
Perempuan dan Angka Harapan
Hidup Perempuan
1 Keg Pembentukan Wadah P2TP2A
1
Keg
Terbentuknya Wadah
P2TP2A
1
Keg
350.000.000 370.000.000 Badan KB
Program Peningkatan Kualitas Hidup dan
Perlindungan Perempuan
270.000.000 251.000.000
Pelaksanaan Kebijakan Perlindungan Perempuan
di Daerah
Padangsidimpuan Meningkatnya Pemahaman
Perempuan tentang Reproduksi
Sehat dan Hak Reproduksi
1 Keg
Penyusunan Perda tentang
Perlindungan Perempuan
1
Keg
Terbentuknya Perda tentang
Perlindungan Perempuan
1
Keg
100.000.000 101.000.000 Badan KB
Fasilitasi Upaya Perlindungan Perempuan terhadap
Tindak Kekerasan
Padangsidimpuan
Meningkatnya Pemahaman
Perempuan tentang Reproduksi
Sehat dan Hak Reproduksi
1 Keg Tim Fasilitasi KDRT
1
Keg
Tersedianya Tim Fasilitasi
KDRT
1
Keg
170.000.000 150.000.000 Badan KB
Program Peningkatan Peran Serta Dan
Kesejahteraan Gender dalm Pembangunan
110.000.000 122.000.000
Kegiatan Penyuluhan bagi Ibu Rumah Tangga
dalam Membangun Keluarga Sejahtera
Padangsidimpuan
Peningkatan Keterampilan dan
Kualitas SDM Kaum Perempuan
6 Keg
Penyuluhan bagi Ibu Rumah
Tangga Keluarga Sejahtera
6
Keg
Terlaksananya Penyuluhan
bagi Ibu Rumah Tangga
Keluarga Sejahtera
6
Keg
100.000.000 95.000.000 Badan KB
Kegiatan Bimbingan Manajeman Usaha bagi
Perempuan dalam Mengelola Usaha
Padangsidimpuan Peningkatan Keterampilan dan
Kualitas SDM Kaum Perempuan
12 Bln
Pembinaan bagi Kelompok
UPPKS
12
Bln
Terlaksananya Pembinaan
bagi Kelompok UPPKS
12
Bln
10.000.000 27.000.000 Badan KB
660.000.000 447.000.000 P2
Program Keserasian Kebijakan Peningkatan
Kualitas Anak dan Perempuan
60.000.000 60.000.000
Pelaksanaan Sosialisasi yang terkait dengan
Kesetaraan Gender, Pemberdayaan Perempuan dan
Perlindungan Anak
Padangsidimpuan
Meningkatnya Kualitas Hidup
Perempuan di Bidang Ilmu
Pengetahuan, Politik dan Jabatan
Publik
3 Keg
Perumusan Kebijakan
Perempuan di Bidang Ilmu
Pengetahuan
3
Keg
Terlaksannya Sosialisasi
Kesetaraan Gender
Pemberdayaan Perempuan
dan Perlindungan Anak
3
Keg
60.000.000 60.000.000 Badan KB
Program Keserasian Kebijakan Peningkatan
Kualitas Anak dan Perempuan
60.000.000 60.000.000
Pelaksanaan Sosialisasi yang terkait dengan
Kesetaraan Gender, Pemberdayaan Perempuan dan
Perlindungan Anak
s Padangsidimpuan
3 Keg
3
Keg
3
Keg
60.000.000 60.000.000 Badan KB
Program Peningkatan Kualitas Hidup dan
Perlindungan Perempuan
175.000.000 225.000.000
Sosialisasi Sistem Pencatatan dan pelaporan KDRT
Padangsidimpuan
Meningkatnya Pemahaman
Perempuan tentang Reproduksi
Sehat dan Hak Reproduksi
1 Keg
Sosialisasi Pencatatan
Pelaporan KDRT
1
Keg
Terlaksananya Sosialisasi
Pencatatan Pelaporan KDRT
1
Keg
25.000.000 25.000.000 Badan KB
Sosilalisasi Undang-Undang Perlindungan
Perempuan Terhadap Tindak Kekerasan
Padangsidimpuan
Meningkatnya Pemahaman
Perempuan tentang Reproduksi
Sehat dan Hak Reproduksi
25 Keg
Sosialisasi UU Nomor 32
Tahun 2004
25
Keg
Terlaksanya Sosialisasi UU
Nomor 32 Tahun 2002
25
Keg
150.000.000 200.000.000 Badan KB
Program Penguatan Kelembagaan
Pengarusutamaan Gender dan Anak
115.000.000 120.000.000
Rencana Program dan Kegiatan Prioritas Daerah Tahun 2015
Kota Padangsidimpuan
Nomor
Urusan/Bidang Urusan Pemerintahan Daerah
Dan Program/Kegiatan
Prioritas
Daerah
Sasaran
Daerah
Lokasi
Indikator kinerja
Pagu
Indikatif
Keterangan
Hasil Program
Keluaran
Kegiatan
Hasil Kegiatan
Target Target
Prakiraan
Maju
Target
1 7 9 11
Rencana Program dan Kegiatan Prioritas Tahun 2015 Bidang Pemberdayaan Perempuan Lembar : 60 dari 87
SKPD
Jenis
Keg
Ket
Tolok Ukur Tolok Ukur Tolok Ukur 1/2/3 1/2/3 1/2/3
2 3 4 5 6 8 10 12 13 14 15 16
Nomor
Urusan/Bidang Urusan Pemerintahan Daerah
Dan Program/Kegiatan
Prioritas
Daerah
Sasaran
Daerah
Lokasi
Indikator kinerja
Pagu
Indikatif
Keterangan
Hasil Program
Keluaran
Kegiatan
Hasil Kegiatan
Target Target
Prakiraan
Maju
Target
1 7 9 11
Pemetaan Potensi dan Lembaga Masyarakat yang
berperan dalam Pemberdayaan Perempuan dan
Anak
Padangsidimpuan
2 Keg
Pemetaan Potensi
Pemberdayaan Perempuan dan
Perlindungan Anak
2
Keg
2
Keg
15.000.000 30.000.000 Badan KB
Pengembangan Materi dan Pelaksanaan KIE
tentang Kesetaraan dan Keadilan Gender (KKG)
Padangsidimpuan
1 Keg
1
Keg
1
Keg
10.000.000 10.000.000 Badan KB
Penguatan Kelembagaan dan Pengarusutamaan
Gender dan Anak
Padangsidimpuan
2 Keg
2
Keg
2
Keg
10.000.000 10.000.000 Badan KB
Pengembangan Sistem Informasi Gender dan Anak
Padangsidimpuan
2 Keg
2
Keg
2
Keg
20.000.000 20.000.000 Badan KB
Worshop Anak Peningkatan Peranan Perempuan
dalam Pengambilan Keputusan
Padangsidimpuan
2 Keg
2
Keg
2
Keg
30.000.000 40.000.000 Badan KB
Pemberdayaan Lembaga yang berbasis Gender
Padangsidimpuan
1 Keg
1
Keg
1
Keg
30.000.000 10.000.000 Badan KB
Program Peningkatan Peran Serta Dan
Kesejahteraan Gender dalm Pembangunan
250.000.000 267.000.000
Kegiatan Pembinaan Organisasi Perempuan
Padangsidimpuan
Peningkatan Keterampilan dan
Kualitas SDM Kaum Perempuan
1 Keg
Pembinaan Organisasi
Perempuan
1
Keg
Terlaksananya Pembinaan
Organisasi Perempuan
1
Keg
30.000.000 30.000.000 Badan KB
Kegiatan Pendidikan dan Pelatihan Peningkatan
Peran serta dan Kesetaraan Gender
Padangsidimpuan
Peningkatan Keterampilan dan
Kualitas SDM Kaum Perempuan
1 Keg Diklat Kesetaraan Gender
1
Keg
Terlaksananya Diklat
Kesetaraan Gender
1
Keg
30.000.000 30.000.000 Badan KB
Kegiatan Pameran Hasil Karya Perempuan dibidang
Pembangunan
Padangsidimpuan
Peningkatan Keterampilan dan
Kualitas SDM Kaum Perempuan
1 Keg
Pameran Hasil Kelompok
UPPKS
1
Keg
Terlaksananya Pameran
Hasil Kelompok UPPKS
1
Keg
30.000.000 30.000.000 Badan KB
Kegiatan Pembinaan Organisasi Perempuan
Padangsidimpuan
1 Keg
1
Keg
1
Keg
30.000.000 30.000.000 Badan KB
Kegiatan Pendidikan dan Pelatihan Peningkatan
Peran serta dan Kesetaraan Gender
Padangsidimpuan
1 Keg
1
Keg
1
Keg
30.000.000 30.000.000 Badan KB
Kegiatan Penyuluhan bagi Ibu Rumah Tangga
dalam Membangun Keluarga Sejahtera
Padangsidimpuan
6 Keg
6
Keg
6
Keg
60.000.000 60.000.000 Badan KB
Kegiatan Bimbingan Manajeman Usaha bagi
Perempuan dalam Mengelola Usaha
Padangsidimpuan
12 Bln
12
Bln
12
Bln
10.000.000 27.000.000 Badan KB
Kegiatan Pameran Hasil Karya Perempuan dibidang
Pembangunan
Padangsidimpuan
1 Keg
1
Keg
1
Keg
30.000.000 30.000.000 Badan KB
Rencana Program dan Kegiatan Prioritas Tahun 2015 Bidang Pemberdayaan Perempuan Lembar : 61 dari 87
SKPD
Jenis
Keg
Tolok Ukur Tolok kur Tolok Ukur 1/2/3 1/2/3
2 3 4 5 6 8 10 12 13 14 15
01
URUSAN WAJIB
01 12 BIDANG KELUARGA BERENCANA DAN
KELUARGA SEJAHTERA
9.168.192.000 5.445.340.000
5.509.092.000 4.143.340.000
Program Pelayanan Administrasu Perkantoran 667.592.000 714.040.000
Penyediaan Jasa Surat Menyurat Padangsidimpuan
Meningkatnya Pelayanan
Perkantoran
12 Bln Jasa surat menyurat 12 Bln
Terlaksananya urusan surat
menyurat di Badan KB
12 Bln 4.800.000 6.000.000 Badan KB
Penyediaan Jasa Komunikasi, Sumber Daya Air
dan Listrik
Padangsidimpuan
Meningkatnya Pelayanan
Perkantoran
12 Bln
Jasa Komunikasi, air, listrik
dan faximile Kantor
12 Bln
Terpenuhinya kebutuhan
telepon, air, listrik dan faximile
Kantor
12 Bln 47.392.000 50.000.000 Badan KB
Penyediaan Jasa Kebersihan Kantor Padangsidimpuan
Meningkatnya Pelayanan
Perkantoran
12 Bln Jasa kebersihan kantor 12 Bln
Terpenuhinya kebersihan
kantor setiap hari
12 Bln 20.000.000 18.000.000 Badan KB
Penyediaan Alat Tulis Kantor Padangsidimpuan
Meningkatnya Pelayanan
Perkantoran
12 Bln Terpenuhinya Kebutuhan ATK 12 Bln
Terpenuhinya kebutuhan Alat
Tulis Kantor
12 Bln 57.600.000 60.000.000 Badan KB
Penyediaan Barang Cetakan dan Penggandaan Padangsidimpuan
Meningkatnya Pelayanan
Perkantoran
12 Bln
Terpenuhinya Cetakan dan
penggandaan
12 Bln
Terpenuhinya kebutuhan
barang cetakan dan
penggandaan
12 Bln 58.200.000 57.000.000 Badan KB
Penyediaan Komponen Instalasi
Listrik/Penerangan Bangunan Kantor
Padangsidimpuan
Meningkatnya Pelayanan
Perkantoran
12 Bln
Terpenuhinya Kebutuhan Alat
Listrik
12 Bln
Kebutuhan alat listrik untuk
penerangan kantor terpenuhi
12 Bln 10.800.000 3.000.000 Badan KB
Penyediaan Peralatan Rumah tangga Padangsidimpuan 12 Bln 12 Bln 12 Bln 3.000.000 3.200.000 Badan KB
Penyediaan Bahan Bacaan dan Peraturan
Perundang-undangan
Padangsidimpuan
Meningkatnya Pelayanan
Perkantoran
12 Bln Tersedianya Bahan Bacaan 12 Bln
Tersedianya bahan bacaan
koran, majalah dan buku
perundang-undangan
12 Bln 22.800.000 23.000.000 Badan KB
Penyediaan Makanan dan Minuman Padangsidimpuan
Meningkatnya Pelayanan
Perkantoran
12 Bln
Terpenuhinya Makanan
Minuman PNS
12 Bln
Tersedianya makanan dan
minuman untuk pegawai, rapat
dan tamu
12 Bln 125.000.000 150.840.000 Badan KB
Rapat-rapat Koordinasi dan Konsultasi ke Luar
Daerah
Padangsidimpuan
Meningkatnya Pelayanan
Perkantoran
12 Bln
Terlaksananya Konsultasi
Luar Daerah
12 Bln
Terlaksananya kegiatan rapat-
rapat koordinasi dan
konsultasi ke luar daerah
12 Bln 280.000.000 300.000.000 Badan KB
Rapat-rapat Koordinasi dan Konsultasi ke Luar
Daerah
Padangsidimpuan
Meningkatnya Pelayanan
Perkantoran
12 Bln
Terlaksananya Konsultasi
Dalam Daerah
12 Bln
Terlaksananya kegiatan rapat-
rapat koordinasi dan
konsultasi dalam daerah
12 Bln 15.000.000 17.000.000 Badan KB
penyediaan Jasa Keamanan Kantor Padangsidimpuan 12 Bln 12 Bln 12 Bln 15.000.000 16.000.000 Badan KB
Penyediaan Jasa Sewa Gedung Padangsidimpuan
Meningkatnya Pelayanan
Perkantoran
12 Bln
Tersedianya Sarana Gedung
Kantor
12 Bln
Tersedianya Sarana Gedung
Kantor
12 Bln 8.000.000 10.000.000 Badan KB
Program Peningkatan Sarana Prasarana
Aparatur
333.000.000 235.000.000
Pengadaan Perlengkapan Gedung Kantor Padangsidimpuan
Peningk. Kualitas/Kuantitas
Sarana Pra Sarana
1 Pkt
Terpenuhinya Sarana
Perlengkapan Kantor
1 Pkt
Terlaksananya pengadaan
perlengkapan gedung kantor
1 Pkt 11.000.000 - Badan KB
Pengadaan Peralatan Gedung Kantor Padangsidimpuan
Peningk. Kualitas/Kuantitas
Sarana Pra Sarana
1 Pkt
Terpenuhinya Sarana
Peralatan Kantor
1 Pkt
Terlaksananya pengadaan
peralatan gedung kantor
1 Pkt 50.000.000 - Badan KB
Pengadaan Mebeleur Padangsidimpuan
Peningk. Kualitas/Kuantitas
Sarana Pra Sarana
1 Pkt
Terpenuhinya Sarana
Mebeleur
1 Pkt
Terlaksananya pengadaan
peralatan gedung kantor
1 Pkt 20.000.000 - Badan KB
Pemeliharaan Rutin/Berkala Gedung Kantor Padangsidimpuan
Peningk. Kualitas/Kuantitas
Sarana Pra Sarana
7 ktr Pemeliharaan Gedung Kantor 7 ktr
Terlaksananya perawatan
gedung kantor
7 ktr 45.000.000 20.000.000 Badan KB
Pemeliharaan Rutin/Berkala Kenderaan
Dinas/Operasional
Padangsidimpuan
Peningk. Kualitas/Kuantitas
Sarana Pra Sarana
7 unit
Pemeliharaan Kenderaan
Dinas/Opers.
7 unit
Terlaksananya perawatan
kendaraan dinas / operasional
7 unit 160.000.000 170.000.000 Badan KB
Pemeliharaan Rutin/Berkala Perlengkapan
Gedung Kantor
Padangsidimpuan 12 Bln 12 Bln 12 Bln 10.000.000 10.000.000 Badan KB
Pemeliharaan Rutin/Berkala Peralatan Gedung
Kantor
Padangsidimpuan
Peningk. Kualitas/Kuantitas
Sarana Pra Sarana
12 Bln
Pemeliharaan Peralatan
Kantor
12 Bln
Terlaksananya perawatan
komputer / note book
12 Bln 25.000.000 20.000.000 Badan KB
Pemeliharaan Rutin/Berkala Mebeleur Padangsidimpuan
Peningk. Kualitas/Kuantitas
Sarana Pra Sarana
12 Bln Pemeliharaan Mebeleur 12 Bln
Terlaksananya perawatan
mebeleur
12 Bln 12.000.000 15.000.000 Badan KB
Program Peningkatan Disiplin Aparatur 37.500.000 35.000.000
Rencana Program dan Kegiatan Prioritas Daerah Tahun 2015
Kota Padangsidimpuan
Nomor
Urusan/Bidang Urusan Pemerintahan Daerah
Dan Program/Kegiatan
Prioritas
Daerah
Sasaran
Daerah
Lokasi
Indikator kinerja
Pagu
Indikatif
Keterangan
Hasil Program
Keluaran
Kegiatan
Hasil Kegiatan
Target Target
Prakiraan
Maju
Target
1 7 9 11
Rencana Program dan Kegiatan Prioritas Tahun 2015 Bidang Keluarga Berencana Lembar : 62 dari 87
SKPD
Jenis
Keg
Tolok Ukur Tolok kur Tolok Ukur 1/2/3 1/2/3
2 3 4 5 6 8 10 12 13 14 15
Nomor
Urusan/Bidang Urusan Pemerintahan Daerah
Dan Program/Kegiatan
Prioritas
Daerah
Sasaran
Daerah
Lokasi
Indikator kinerja
Pagu
Indikatif
Keterangan
Hasil Program
Keluaran
Kegiatan
Hasil Kegiatan
Target Target
Prakiraan
Maju
Target
1 7 9 11
Pengadaan Pakaian Dinas beserta
Perlengkapannya
Padangsidimpuan Peningkatan Disiplin Aparatur 65 Org Pengadaan Pakaian PNS 65 Org
Peningkatan Kesejahteraan
PNS
65 Org 37.500.000 35.000.000 Badan KB
Program Peningkatan Kapasitas Sumber Daya
Aparatur
35.000.000 37.000.000
Pendidikan dan Pelatihan Formal Padangsidimpuan Peningkatan Kulaitas Aparatur 12Bln Pendidikan dan Pelatihan 12Bln Meningkatnya SDM Aparatur 12Bln 35.000.000 37.000.000 Badan KB
Program Peningkatan Pengembangan Sistem
Pelaporan Capaian Kinerja dan Keuangan
88.000.000 98.000.000
Penyusunan Laporan, Capaian Kinerja Iktisar
Realisasi Kinerja SKPD
Padangsidimpuan
Peningkatan Kulaitas dan
Kuantiotas Pelaporan
2 Keg
Laporan Lakip, Renja dan
Tahunan
2 Keg
Tersusunnya Laporan
Lakip/Renja/Tahunan
2 Keg 15.000.000 15.000.000 Badan KB
Penyusunan Pelaporan Prognosis Realisasi
Anggaran
Padangsidimpuan
Peningkatan Kulaitas dan
Kuantiotas Pelaporan
2 Keg
Laporan Prognosis Semester
Pertama
2 Keg
Tersusunnya Laporan
Prognosis
2 Keg 8.000.000 8.000.000 Badan KB
Penyusunan Laporan Keuangan Akhir Tahun Padangsidimpuan
Peningkatan Kulaitas dan
Kuantiotas Pelaporan
2 Keg Laporan Keuangan dan Aset 2 Keg
Tersusunnya Laporan
Keuangan dan Aset
2 Keg 15.000.000 15.000.000 Badan KB
Penyusunan Laporan, Rencana Kerja dan
Anggaran
Padangsidimpuan
Peningkatan Kulaitas dan
Kuantiotas Pelaporan
2 Keg
Laporan RKA APBD dan
PAPBD
2 Keg
Tersusunnya RKA APBD dan
PAPBD
2 Keg 50.000.000 60.000.000 Badan KB
Program Keluarga Berencana 2.395.500.000 1.180.000.000
Pelayanan KIE Padangsidimpuan
Meningkatnya Pemahaman
PUS tentang KB
12Bln
Penyebarluasan Informasi
Program KB
12Bln
Terlaksananya
Penyebarluasan Informasi
Program KB melalui Media
Massa dan Mupen KB
12Bln 60.000.000 50.000.000 Badan KB
Promosi Pelayanan Kelangsungan Hidup Bayi
dan Anak (KHIBA)
Padangsidimpuan
Meningkatnya Pemahaman
PUS tentang KB
6 Keg
Pelatihan PLKB, Toga, Toma
dan Todat
6 Keg
Terlaksananya Pelatihan
Program KB kepada PLKB,
Toga, Toma dan Todat
6 Keg 25.000.000 30.000.000 Badan KB
Pembinaan Keluarga Berencana Padangsidimpuan
Meningkatnya Pemahaman
PUS tentang KB
12Bln Pembinaan KB 12Bln Terlaksananya Pembinaan KB 12Bln 220.000.000 150.000.000 Badan KB
Pengadaan Sarana Mobilitas Tim KB Keliling Padangsidimpuan
Meningkatnya Pemahaman
PUS tentang KB
1 Pkt
Sarana Prasarana Pelayanan
KB
1 Pkt
Tersedianya Sarana Prasarana
Pelayanan KB
1 Pkt 1.200.000.000 Badan KB
Kegiatan Terpadu TNI Manungggal KB Kesehatan Kota/Kec
Meningkatnya Pemahaman
PUS tentang KB
6 Bln
Pelayanan KB melalui
Kegiatan TMKK
6 Bln
Terlaksananya Pelayanan KB
melalui Kegiatan TMKK
6 Bln 90.500.000 60.000.000 Badan KB
Kegiatan Terpadu Kesatuan Gerak PKK KB
Kesehatan
Kota/Kec
Meningkatnya Pemahaman
PUS tentang KB
3 Bln
Pelayanan KB melalui PKK-
KB-Kes
3 Bln
Terlaksananya Pelayanan KB
melalui Kegiatan PKK-KB-Kes
3 Bln 150.000.000 120.000.000 Badan KB
Kegiatan Terpadu Bulan Bhakti KB IBI Kota/Kec
Meningkatnya Pemahaman
PUS tentang KB
3 Bln
Pelayanan KB melalui Bulan
Bhakti KB IBI
3 Bln
Terlaksananya Pelayanan KB
melalui Kegiatan Bulan Bhakti
KB IBI
3 Bln 55.000.000 60.000.000 Badan KB
Kegiatan Pelayanan Tim KB Keliling (TKBK) Kota/Kec
Meningkatnya Pemahaman
PUS tentang KB
158 Keg Pelayanan KB melalui TKBK 158 Keg
Terlaksananya Pelayanan KB
melalui TKBK
158 Keg 170.000.000 150.000.000 Badan KB
Jambore Institusi Program KB Padangsidimpuan
Meningkatnya Pemahaman
PUS tentang KB
1 Keg Jambore IMP 1 Keg Terlaksananya Jambore IMP 1 Keg 60.000.000 100.000.000 Badan KB
Penilaian Pelaksanaan Program KB Padangsidimpuan
Meningkatnya Pemahaman
PUS tentang KB
6 Keg
Penilaian Pelaksanaa Program
KB
6 Keg
Terlaksananya Penilaian
Pelaksanaa Program KB
6 Keg 50.000.000 52.000.000 Badan KB
Kegiatan Terpadu KB Kes Bhayangkara Padangsidimpuan
Meningkatnya Pemahaman
PUS tentang KB
1 Keg
Pelayanan KB melalui
Bhayangkara
1 Keg
Terlaksananya Pelayanan KB
melalui Bhayangkara
1 Keg 60.000.000 50.000.000 Badan KB
Rencana Program dan Kegiatan Prioritas Tahun 2015 Bidang Keluarga Berencana Lembar : 63 dari 87
SKPD
Jenis
Keg
Tolok Ukur Tolok kur Tolok Ukur 1/2/3 1/2/3
2 3 4 5 6 8 10 12 13 14 15
Nomor
Urusan/Bidang Urusan Pemerintahan Daerah
Dan Program/Kegiatan
Prioritas
Daerah
Sasaran
Daerah
Lokasi
Indikator kinerja
Pagu
Indikatif
Keterangan
Hasil Program
Keluaran
Kegiatan
Hasil Kegiatan
Target Target
Prakiraan
Maju
Target
1 7 9 11
Hari Keluarga Nasional (Harganas) Padangsidimpuan
Meningkatnya Pemahaman
PUS tentang KB
Keg Kegiatan Harganas Keg
Terlaksananya Kegiatan
Harganas
Keg 80.000.000 150.000.000 Badan KB
Orientasi peningkatan jaringan informasi
program KB bagi Tokoh Agama, Tokoh
Masyarakat, dan Tokoh Adat
Padangsidimpuan 6 Keg 6 Keg 6 Keg 75.000.000 100.000.000 Badan KB
Kegiatan Koalisi untuk Indonesia Kependudukan Padangsidimpuan
Meningkatnya Pemahaman
PUS tentang KB
6 Keg
Kegiatan Koalisi
Kependudukan
6 Keg
Terlaksananya Kegiatan
Koalisi Kependudukan
6 Keg 20.000.000 23.000.000 Badan KB
Kegiatan Pusat Pelayanan Keluarga Sejahtera
(PPKS)
Padangsidimpuan
Meningkatnya Pemahaman
PUS tentang KB
6 Keg Kegiatan PPPKS 6 Keg Terlaksananya Kegiatan PPKS 6 Keg 80.000.000 85.000.000 Badan KB
Program Pelayanan Kontrasepsi 326.200.000 543.000.000
Pelayanan Konseling KB Kecamatan
Meningkatnya Peserta KB Baru
dan KB Aktif
12Bln
Tenaga Pernghubung KB di
Desa/Kel.
12Bln
Tersedianya Tenaga
Pernghubung KB di
Desa/Kelurahan
12Bln 50.000.000 53.000.000 Badan KB
Pelayanan Pemasangan Kontrasepsi KB Kecamatan
Meningkatnya Peserta KB Baru
dan KB Aktif
12Bln
Pelayanan KB di Klinik-klinik
KB
12Bln
Terlaksananya Pelayanan KB
di Klinik-klinik KB
12Bln 61.200.000 70.000.000 Badan KB
Pengadaan Kontrasepsi dan Obat Side Effeck Padangsidimpuan
Meningkatnya Peserta KB Baru
dan KB Aktif
1 Keg
Alat Kontrasepsi dan Obat
Side Effeck
1 Keg
Tersedianya Alat Kontrasepsi
dan Obat Side Effeck
1 Keg 100.000.000 300.000.000 Badan KB
Pelayanan KB Medis Operasi (MOP/MOW) Kota/Kec
Meningkatnya Peserta KB Baru
dan KB Aktif
1 Keg Pelayanan Kontap 1 Keg
Terlaksananya Pelayanan
Kontap
1 Keg 90.000.000 100.000.000 Badan KB
Pelatihan Pencatatan dan Pelaporan Program KB Padangsidimpuan
Meningkatnya Peserta KB Baru
dan KB Aktif
1 Keg
Pelatihan RR bagi Petugas
Klinik KB
1 Keg
Terlaksananya Pelatihan RR
bagi Petugas Klinik KB
1 Keg 25.000.000 20.000.000 Badan KB
Program Pembinaan Peran Serta Masyarakat
Dalam Pelayanan KB/KR Yang Mandiri
1.205.800.000 961.300.000
Operasional Kelompok Masyarakat Peduli KB Padangsidimpuan
1
PPKBD 175.000.000 Badan KB
Koordinasi Pengelolaan Program KB Padangsidimpuan
Meningkatnya Pel.
KB/Pemberd. Ekonomi Kel.
12Bln Rapat Konsultasi Program KB 12Bln
Terlaksananya RaPAT
Konsultasi Program KB setiap
bulannya
12Bln 160.000.000 120.000.000 Badan KB
Pengelolaan Data dan Informasi Program KB Kota/Kec
Meningkatnya Pel.
KB/Pemberd. Ekonomi Kel.
12Bln Pemutakhiran Data Keluarga 12Bln
Terlaksananya Pemutakhiran
Data Keluarga
12Bln 60.000.000 70.000.000 Badan KB
Latihan Pemberdayaan Ekonomi Keluarga
(Kelompok UPPKS)
Kecamatan
Meningkatnya Pel.
KB/Pemberd. Ekonomi Kel.
18 Keg Pelatihan Kelompok UPPKS 18 Keg
Terlaksananya Pelatihan
Kelompok UPPKS
18 Keg 85.000.000 90.000.000 Badan KB
Rapat Kerja Daerah (Rakerda) Program KB Padangsidimpuan
Meningkatnya Pel.
KB/Pemberd. Ekonomi Kel.
1 Keg
Rapat Kerja Daerah Program
KB
1 Keg
Terlaksananya Rapat Kerja
Daerah Program KB
1 Keg 50.000.000 40.000.000 Badan KB
Rapat Koordinasi Program KB (Rakoor ) Tingkat
Kecamatan
Kecamatan
Meningkatnya Pel.
KB/Pemberd. Ekonomi Kel.
6 Keg Rakoor KB Tk. Kecamatan 6 Keg
Terlaksananya Rakoor KB Tk.
Kecamatan
6 Keg 150.000.000 110.000.000 Badan KB
oreintasi pendataan/ pemuktahiran Data
Keluaraga
Kecamatan 6 Keg 6 Keg 6 Keg 15.000.000 15.500.000 Badan KB
orperasional pendataan/ pemuktahiran Data
Keluaraga
Padangsidimpuan 1 Keg 1 Keg 1 Keg 190.000.000 200.000.000 Badan KB
Expose hasill pendataan/ pemuktahiran Data
Keluaraga
Kecamatan 1 Keg 1 Keg 1 Keg 70.000.000 75.000.000 Badan KB
Bantuan ALADIN dan Listrik Kencana bagi
Rumah Keluarga Pra Sejahtera
Kecamatan
Meningkatnya Pel.
KB/Pemberd. Ekonomi Kel.
2 Keg
Pembangunan Aladin/Listrik
Kencana
2 Keg
Terlaksananya Pembangunan
Aladin/Listrik Kencana
2 Keg 240.000.000 230.000.000 Badan KB
Operasional Petugas BP-4 Kecamatan
Tersedianya Data Perkawinan
dari KUA
12bln
Pembangunan Aladin/Listrik
Kencana
12bln
Terlaksananya Pembangunan
Aladin/Listrik Kencana
12bln 10.800.000 10.800.000 Badan KB
Program Promosi Kesehatan Ibu Bayi Dan
Anak Melalui Kegiatan Kelompok Masyarakat
165.500.000 210.000.000
Penyuluhan Kesehatan ibu, bayi dan anak
melalui kelompok kegiatan dimasyarakat
Kota/Kec
Meningkatnya Pemaham
Masyarakat tentang Kesehatan
Ibu, Bayi dan Anak
6 Keg
Penyuluhan Kesehatan Ibun
Bayi dan Anak
6 Keg
Terlaksananya Penyuluhan
Kesehatan Ibun Bayi dan Anak
6 Keg 60.000.000 60.000.000 Badan KB
Rencana Program dan Kegiatan Prioritas Tahun 2015 Bidang Keluarga Berencana Lembar : 64 dari 87
SKPD
Jenis
Keg
Tolok Ukur Tolok kur Tolok Ukur 1/2/3 1/2/3
2 3 4 5 6 8 10 12 13 14 15
Nomor
Urusan/Bidang Urusan Pemerintahan Daerah
Dan Program/Kegiatan
Prioritas
Daerah
Sasaran
Daerah
Lokasi
Indikator kinerja
Pagu
Indikatif
Keterangan
Hasil Program
Keluaran
Kegiatan
Hasil Kegiatan
Target Target
Prakiraan
Maju
Target
1 7 9 11
Penyuluhan Hukum Bagi Perlindungan Anak Kota/Kec
Meningkatnya Pemahaman
Masyarakat tentang UU Nomor
32 Tahun 2002
15 Keg
Penyuluhan UU Nomor 32
Tahun 2004
15 Keg
Terlaksananya Penyuluhan UU
Nomor 32 Tahun 2004
15 Keg 90.000.000 100.000.000 Badan KB
Kegiatan Komisi Perlindungan Anak Indonesia
Daerah (KPAID)
Padangsidimpuan
Pembentukan KPAID Kota
Padangsidimpuan
1 Keg Wadah KPAID 1 Keg Tersedianya Wadah KPAID 1 Keg 15.500.000 50.000.000 Badan KB
Program Pengembangan Pusat Pelayanan
Informasi Dan Konseling KRR
60.000.000 50.000.000
Pendirian Pusat Pelayanan Informasi dan
Konseling KRR
Kota/Kec 6 Keg 6 Keg 6 Keg 60.000.000 50.000.000 Badan KB
Program Penyiapan Tenaga Pendamping
Kelompok Bina Keluarga
75.000.000 80.000.000
Pelatihan tenaga pendamping kelompok Bina
Keluarga di Kecamatan
75.000.000 80.000.000 Badan KB
Program Peningkatan Penanggulangan
Narkoba, PMS Termasuk HIV/AIDS
65.000.000 75.000.000
Penyuluhan Penanggulangan Narkoba dan PMS
termasuk HIV/AIDS
Kota/Kec
Meningkatnya Pengetahuan
Remaja akan bahaya Narkoba,
PMS termasuk HIV/AIDS
1260
OB
Penyuluhan Narkoba, PMS
termasuk HIV/AIDS
1260
OB
Terlaksananya Penyuluhan
Narkoba, PMS termasuk
HIV/AIDS
1260 OB 60.000.000 75.000.000 Badan KB
Program Pengembangan Model Operasional
BKB-Posyandu-PADU
55.000.000 0
Pengkajian Pengembangan Model Operasional
BKB-Posyandu-PAUD
Padangsidimpuan
Peningkatan dan Pembinaan
Tumbuh Kembang Anak
1 Keg
Pengembangan BKB,
Posyandu, PADU
1 Keg
Terlaksananya Pengembangan
BKB, Posyandu, PADU
1 Keg 55.000.000 Badan KB
3.659.100.000 1.302.000.000
Program Peningkatan Sarana Prasarana
Aparatur
1.500.000.000 20.000.000
Pembangunan Aula (Ruang Rapat) Gedung
Kantor
Padangsidimpuan 1 Pkt 1 Pkt 1 Pkt 200.000.000 - Badan KB
Pembangunan Dek Pengaman/Penimbunan
Halapan Depan dan Pembuatan Parit Gedung
Kantor
Padangsidimpuan 1 Pkt 1 Pkt 1 Pkt 300.000.000 - Badan KB
Pembangunan Pagar dan Taman Gedung Kantor Padangsidimpuan 1 Pkt 1 Pkt 1 Pkt 500.000.000 - Badan KB
Pengaspalan (Lapen) Halaman Gedung Kantor Padangsidimpuan 1 Pkt 1 Pkt 1 Pkt 300.000.000 Badan KB
Pembangunan Garasi Mobil Moyan KB, Mupen
KB dan Mobil Pengangkut Akseptor KB
Padangsidimpuan 1 Kntr 1 Kntr 1 Kntr 200.000.000 20.000.000 Badan KB
Program Peningkatan Disiplin Aparatur 32.500.000 35.000.000
Pengadaan Pakaian Khusus Hari- hari tertentu
(Batik KB)
Padangsidimpuan 65 org 65 org 65 org 32.500.000 35.000.000 Badan KB
Program Peningkatan Kapasitas Sumber Daya
Manusia
25.000.000 25.000.000
Sosialisasi Peraturan Perundang-undangan Padangsidimpuan 12Bln 12Bln 12Bln 25.000.000 25.000.000 Badan KB
Program Kesehatan Reproduksi Remaja (KRR) 200.000.000 165.000.000
Orientasi Pengelola KIE KRR Padangsidimpuan 1 Keg 1 Keg 1 Keg 20.000.000 30.000.000 Badan KB
Orientasi Petugas KIE KRR Padangsidimpuan 2 Keg 2 Keg 2 Keg 30.000.000 30.000.000 Badan KB
Orientasi Program KRR bagi Mitra Kerja (Lintas
Sektor, LSM, Kelompok Remaja, Organisasi
Pemuda, Organisasi Keagamaan dll)
Padangsidimpuan 3 Keg 3 Keg 3 Keg 60.000.000 60.000.000 Badan KB
Rencana Program dan Kegiatan Prioritas Tahun 2015 Bidang Keluarga Berencana Lembar : 65 dari 87
SKPD
Jenis
Keg
Tolok Ukur Tolok kur Tolok Ukur 1/2/3 1/2/3
2 3 4 5 6 8 10 12 13 14 15
Nomor
Urusan/Bidang Urusan Pemerintahan Daerah
Dan Program/Kegiatan
Prioritas
Daerah
Sasaran
Daerah
Lokasi
Indikator kinerja
Pagu
Indikatif
Keterangan
Hasil Program
Keluaran
Kegiatan
Hasil Kegiatan
Target Target
Prakiraan
Maju
Target
1 7 9 11
Study Banding Program KRR Padangsidimpuan 1 Keg 1 Keg 1 Keg 50.000.000 - Badan KB
Rapat Koordinasi Program KRR Padangsidimpuan 1 Keg 1 Keg 1 Keg 10.000.000 15.000.000 Badan KB
Advokasi KIE tentang Kesehatan Reproduksi
Remaja (KRR)
Padangsidimpuan 1 Keg 1 Keg 1 Keg 30.000.000 30.000.000 Badan KB
Program Pelayanan Kontrasepsi 75.000.000 140.000.000
Pup Smeer Padangsidimpuan 1 Keg 1 Keg 1 Keg 25.000.000 50.000.000 Badan KB
Komplikasi/Pencabutan Implant dan IUD Padangsidimpuan 1 bln 1 bln 1 bln 20.000.000 50.000.000 Badan KB
Penyimpanan, pemeliharaan dan pengiriman
alokon
Padangsidimpuan 12bln 12bln 12bln 10.000.000 20.000.000 Badan KB
Pertemuan Koordinasi, Pembentukan Tim dan
Pengembangan JKK di Tk. Kota
Padangsidimpuan 1 Keg 1 Keg 1 Keg 20.000.000 20.000.000 Badan KB
Program Pembinaan Peran Serta Masyarakat
Dalam Pelayanan KB/KR Yang Mandiri
610.100.000 367.000.000
Operasional Kader PPKBD/Sub PPKBD Kecamatan
Meningkatnya Pel.
KB/Pemberd. Ekonomi Kel.
6 Bln
Operasional Kader
PPKBD/Sub PPKBD
6 Bln
Tersedianya Operasional
Kader PPKBD/Sub PPKBD
6 Bln 136.200.000 231.000.000 Badan KB
Review Program KB Padangsidimpuan
Meningkatnya Pel.
KB/Pemberd. Ekonomi Kel.
1 Keg
Evaluasinya Program KB
semester I
1 Keg
Terevaluasinya Program KB
semester Pertama
1 Keg Badan KB
Pemberdayaan Ekonomi Keluarga Padangsidimpuan
Meningkatnya Pel.
KB/Pemberd. Ekonomi Kel.
1 Keg
Pemberdayaan Ekonomi
Keluarga
1 Keg
Terlaksananya Pemberdayaan
Ekonomi Keluarga
1 Keg 25.000.000 50.000.000 Badan KB
Rapat Pengendalian Proyek (Rayek) Program KB Padangsidimpuan
Meningkatnya Pel.
KB/Pemberd. Ekonomi Kel.
4 Keg
Rakon dan Rayek setiap
bulannya
4 Keg
Terlaksananya Rakon dan
Rayek setiap bulannya
4 Keg Badan KB
Pengadaan Pakaian Kader KB
12.1. Pengadaan Pakaian Kader PPKBD Kecamatan
Meningkatnya Kesejahteraan
PPKBD
79 Pengadaan Pakaian Kader KB 79
Meningkatnya Kesejahteraan
PPKBD
79 Badan KB
12.2. Pengadaan Pakaian Kader Sub PPKBD Kecamatan
Meningkatnya Kesejahteraan
Sub PPKBD
227 Pengadaan Pakaian Kader KB 227
Meningkatnya Kesejahteraan
Sub PPKBD
227 Badan KB
12.3. Pengadaan Pakaian Kader Bina Keluarga
Balita (BKB)
Kecamatan
Meningkatnya Kesejahteraan
BKB
220 Pengadaan Pakaian Kader KB 220
Meningkatnya Kesejahteraan
BKB
220 Badan KB
Orientasi Program KB bagi Kader PPKBD/Sub
PPKBD
Kecamatan
Meningkatnya Pel.
KB/Pemberd. Ekonomi Kel.
4 Keg
Orientasi bagi Kader
PPKBD/Sub PPKBD
4 Keg
Terlaksananya Oriantasi bagi
Kader PPKBD/Sub PPKBD
4 Keg 60.000.000 6.000.000 Badan KB
Review Program KB Padangsidimpuan 1 Keg 1 Keg 1 Keg 15.000.000 30.000.000 Badan KB
Pemberdayaan Ekonomi Keluarga Padangsidimpuan 1 Keg 1 Keg 1 Keg 25.000.000 50.000.000 Badan KB
Padangsidimpuan
1 SubPPK
BD
272.400.000 Badan KB
Pengadaan Baju Kader Kelompok Masyarakat
Peduli KB
Padangsidimpuan Padangsidimpuan
1
PPKBD 19.750.000 Badan KB
1 SubPPK
BD
56.750.000 Badan KB
Program Penyiapan Tenaga Pendamping
Kelompok Bina Keluarga
400.000.000 300.000.000
Pelatihan Kader Bina Keluarga Balita (BKB) Kota/Kec
Meningkatnya Kapasitas
Tumbuh Kembang Anak
6 Keg Pelatihan bagi Kader BKB 6 Keg
Terlaksananya Pelatihan bagi
Kader BKB
6 Keg 120.000.000 150.000.000 Badan KB
Pelatihan Kader Bina Keluarga Remaja (BKR) Kota/Kec
Meningkatnya Kapasitas
Tumbuh Kembang Anak
6 Keg Pelatihan bagi Kader BKR 6 Keg
Terlaksananya Pelatihan bagi
Kader BKR
6 Keg Badan KB
Pelatihan Kader Bina Keluarga Lansia (BKL) Kota/Kec
Meningkatnya Kapasitas
Tumbuh Kembang Anak
6 Keg Pelatihan bagi Kader BKL 6 Keg
Terlaksananya Pelatihan bagi
Kader BKL
6 Keg Badan KB
Operasional Kader Bina Keluarga Balita (BKB) Kec 12 Keg 12 Keg 12 Keg 280.000.000 150.000.000 Badan KB
Program Pengembangan Pusat Pelayanan
Informasi Dan Konseling KRR
88.000.000 190.000.000
Rencana Program dan Kegiatan Prioritas Tahun 2015 Bidang Keluarga Berencana Lembar : 66 dari 87
SKPD
Jenis
Keg
Tolok Ukur Tolok kur Tolok Ukur 1/2/3 1/2/3
2 3 4 5 6 8 10 12 13 14 15
Nomor
Urusan/Bidang Urusan Pemerintahan Daerah
Dan Program/Kegiatan
Prioritas
Daerah
Sasaran
Daerah
Lokasi
Indikator kinerja
Pagu
Indikatif
Keterangan
Hasil Program
Keluaran
Kegiatan
Hasil Kegiatan
Target Target
Prakiraan
Maju
Target
1 7 9 11
Saka Kencana Kota/Kec
Informasi KRR kepada Generasi
Muda
6 Keg
Kegiatan Saka Kencana bagi
Pramuka
6 Keg
Terlaksananya Kegiatan Saka
Kencana bagi Pramuka
6 Keg 36.000.000 120.000.000 Badan KB
Orientasi Petugas PIK KRR Bagi Pengelola,
Pendidik Sebaya dan Konselor sebaya
Kota/Kec 2 Keg 2 Keg 2 Keg 40.000.000 60.000.000 Badan KB
Dukungan Dana Operasional PIK KRR Kecamatan 6 Bln 6 Bln 6 Bln 12.000.000 10.000.000 Badan KB
Program Pengembangan Bahan Informasi
Tentang Pengasuhan dan Pembinaan Tumbuh
Kembang Anak
10.000.000 60.000.000
Pengumpulan bahan informasi tentang
Pengasuhan dan Pembinaan Tumbuh Kembang
Anak
Padangsidimpuan 6 Keg 6 Keg 6 Keg 10.000.000 60.000.000 Badan KB
Program Keluarga Berencana 30.000.000 20.000.000
Peningkatan Perlindungan Hak Reproduksi
Remaja
Padangsidimpuan
Meningkatnya Pemahaman
PUS tentang KB
6 Keg Pelatihan PIK KRR 6 Keg
Terlaksananya Pelatihan PIK
KRR
6 Keg 30.000.000 20.000.000 Badan KB
Program pengembangan model operasional
BKB-Posyandu-PADU
688.500.000
Operasional Kader Kelompok Bina Keluarga
Balita (BKB)
Padangsidimpuan 1 keg 1 keg. 486.000.000 Badan KB
Pengadaan Baju Kader Kelompok Bina Keluarga
Balita (BKB)
Padangsidimpuan 1 keg 1 keg. 202.500.000 Badan KB
Rencana Program dan Kegiatan Prioritas Tahun 2015 Bidang Keluarga Berencana Lembar : 67 dari 87
Keteangan
1/2/3
16
P1
an Kegiatan Prioritas Daerah Tahun 2015
Kota Padangsidimpuan
Keterangan
Rencana Program dan Kegiatan Prioritas Tahun 2015 Bidang Keluarga Berencana Lembar : 68 dari 87
Keteangan
1/2/3
16
Keterangan
Rencana Program dan Kegiatan Prioritas Tahun 2015 Bidang Keluarga Berencana Lembar : 69 dari 87
Keteangan
1/2/3
16
Keterangan
Rencana Program dan Kegiatan Prioritas Tahun 2015 Bidang Keluarga Berencana Lembar : 70 dari 87
Keteangan
1/2/3
16
Keterangan
P2
Rencana Program dan Kegiatan Prioritas Tahun 2015 Bidang Keluarga Berencana Lembar : 71 dari 87
Keteangan
1/2/3
16
Keterangan
Rencana Program dan Kegiatan Prioritas Tahun 2015 Bidang Keluarga Berencana Lembar : 72 dari 87
Keteangan
1/2/3
16
Keterangan
Rencana Program dan Kegiatan Prioritas Tahun 2015 Bidang Keluarga Berencana Lembar : 73 dari 87
SKPD
Jenis
Keg
Ket
Tolok Ukur Tolok Ukur Tolok Ukur 1/2/3 1/2/3 1/2/3
2 3 4 5 6 8 10 12 13 14 15 16
01 URUSAN WAJIB
01 13 BIDANG SOSIAL
16.202.612.750 17.166.533.875
3.517.538.750 2.953.663.875
P1
Program Pelayanan Administrasi
Perkantoran
Terwujudnya
Pelayanan
Administrasi
Perkantoran
Meningkatkan
penyediaan
jasa surat
menyurat
Pelayanan
Administrasi
Perkantoran yang
semakin baik
629.038.750 645.041.750
Penyediaan Jasa Surat Menyurat Padangsidimpuan 1 Thn
Terwujudnya pengadaan
Jasa Surat Menyurat
1 Thn
Tersedianya Jasa Surat
Menyurat
1 Thn 20.000.000 18.000.000
Dinas Sosial
Naker
Penyediaan Jasa Komunikasi, Sumber Daya
Air dan Listrik
Padangsidimpuan 1 Thn
Meningkatkan Jasa
Komunikasi, Sumber Daya
Air dan Listrik
1 Thn
Tersedianya Jasa
Komunikasi, Sumber Daya
Air dan Listrik
1 Thn 19.000.000 18.000.000
Dinas Sosial
Naker
Penyediaan jasa kebersihan kantor Padangsidimpuan 1 Thn 1 Thn 1 Thn 95.000.000 90.000.000
Dinas Sosial
Naker
Penyediaan ATK Padangsidimpuan 1 Thn Tersedianya ATK 1 Thn Tersedianya ATK 1 Thn 85.000.000 83.000.000
Dinas Sosial
Naker
Penyediaan Barang Cetakan dan
Penggandaan
Padangsidimpuan 1 Thn
Terseduanya Barang
Cetakan dan Penggandaan
urusan dinas
1 Thn
Terseduanya Barang
Cetakan dan Penggandaan
urusan dinas
1 Thn 42.991.250 45.994.250
Dinas Sosial
Naker
Penyediaan peralatan dan perlengkapan
kantor
Padangsidimpuan 1 Thn 1 Thn 7.000.000 7.500.000
Dinas Sosial
Naker
Penyediaan Makanan dan Minuman Padangsidimpuan 1 Thn
Peningkatan Kesejahteraan
Pegawai
1 Thn
Peningkatan Kesejahteraan
Peg.
1 Thn 105.320.000 115.320.000
Dinas Sosial
Naker
Rapat- rapat koordinasi dan Konsultasi ke
luar daerah
Dalam dan Luar
Daerah
1 Thn
terlaksananya rapat dan
konsultasi ke luar daerah
1 Thn
terlaksananya rapat dan
konsultasi ke luar daerah
1 Thn 170.000.000 180.000.000
Dinas Sosial
Naker
Rapat- rapat koordinasi dan Konsultasi ke
luar daerah
Dalam dan Luar
Daerah
1 Thn
terlaksananya rapat dan
konsultasi ke luar daerah
1 Thn
terlaksananya rapat dan
konsultasi ke luar daerah
1 Thn 6.000.000 5.500.000
Dinas Sosial
Naker
Penyediaan Jasa keamanan kantor Padangsidimpuan 1 Thn 1 Thn 51.000.000 52.000.000
Dinas Sosial
Naker
Penyediaan Peralatan Rumah Tangga Padangsidimpuan 1 Thn
Tersedianya Peralatan
Rumah Tangga
1 Thn
Penyediaan Peralatan
Rumah Tangga
1 Thn 12.227.500 13.227.500
Dinas Sosial
Naker
Penyediaan Bahan bacaan dan Peraturan
perundang-undangan
Padangsidimpuan 1 Thn
Tersedianya Bahan bacaan
dan Peraturan perundang-
undangan
1 Thn
Penyediaan Bahan bacaan
dan Peraturan perundang-
undangan
1 Thn 15.500.000 16.500.000
Dinas Sosial
Naker
Program Peningkatan Sarana dan
Prasarana Aparatur
Adanya
Peningkatan
Sarana dan
prasarana aparatur
Meningkatkan
kualitas dan
kuantitas
sarana dan
prasarana
aparatur
540.000.000 554.000.000
Pembangunan Gedung Kantor Padangsidimpuan Tersedianya Tempat Parkir 150.000.000 155.000.000
Dinas Sosial
Naker
Pengadaan kenderaan dinas/operasional Padangsidimpuan
Tersedianya Kenderaan
dinas
2 Unit
Tersedianya Kenderaan
dinas
2 Unit 75.000.000 74.000.000
Dinas Sosial
Naker
Rencana Program dan Kegiatan Prioritas Daerah Tahun 2015
Kota Padangsidimpuan
Nomor
Urusan/Bidang Urusan Pemerintahan
Daerah
Dan Program/Kegiatan
Prioritas
Daerah
Sasaran
Daerah
Lokasi
Indikator kinerja
Pagu
Indikatif
Keterangan
Hasil Program
Keluaran
Kegiatan
Hasil Kegiatan
Target Target
Prakiraan
Maju
Target
1 7 9 11
Rencana Program dan Kegiatan Prioritas Tahun 2015 Bidang Sosial Lembar : 74 dari 87
SKPD
Jenis
Keg
Ket
Tolok Ukur Tolok Ukur Tolok Ukur 1/2/3 1/2/3 1/2/3
2 3 4 5 6 8 10 12 13 14 15 16
Nomor
Urusan/Bidang Urusan Pemerintahan
Daerah
Dan Program/Kegiatan
Prioritas
Daerah
Sasaran
Daerah
Lokasi
Indikator kinerja
Pagu
Indikatif
Keterangan
Hasil Program
Keluaran
Kegiatan
Hasil Kegiatan
Target Target
Prakiraan
Maju
Target
1 7 9 11
Pengadaan Peralatan gedung kantor Padangsidimpuan
Tersedianya Peralatan
Gedung
1 Thn
Tersedianya Peralatan
Gedung
1 Thn 60.000.000 65.000.000
Dinas Sosial
Naker
Pengadaan Perlengkapan gedung kantor Padangsidimpuan
Tersedianya Perlengkapan
Gedung
1 Thn
Tersedianya Perlengkapan
Gedung
1 Thn 197.000.000 200.000.000
Dinas Sosial
Naker
pemeliharaan rutin/berkala kenderaan
dinas operasional
Padangsidimpuan
Meningkatnya
pemeliharaan kenderaan
dinas
1 Thn
Meningkatnya pemeliharaan
kenderaan dinas
1 Thn 48.000.000 50.000.000
Dinas Sosial
Naker
pemeliharaan rutin/berkala peralatan
gedung kantor
Padangsidimpuan
Meningkatnya
pemeliharaan peralatan
gedung
Meningkatnya pemeliharaan
peralatan gedung
10.000.000 10.000.000
Dinas Sosial
Naker
Program Peningkatan Kapasitas Sumber
Daya Aparatur
Adanya
Peningkatan
kapasitas sumber
daya aparatur
Meningkatkan
kualitas
Sumber Daya
Aparatur
Meningkatnya kualitas
sumber daya aparatur
140.000.000 150.000.000
Pendidikan dan Pelatihan Formal
Dalam dan Luar
Daerah
Pendidikan dan Pelatihan
formal Aparatur
Pendidikan dan Pelatihan
formal Aparatur
140.000.000 150.000.000
Dinas Sosial
Naker
Program Peningkatan Disiplin Aparatur 24.000.000 25.000.000
Pengadaan Pakaian Dinas Beserta Perlengkapannya
Meningkatnya
Kesejahteraan Peg.
Padangsidimpuan
Pengadaan Pakaian dinas
beserta perlengkapannya
24.000.000 25.000.000
Dinas Sosial
Naker
Program Peningkatan Pengembangan
Sistem Pelaporan Capaian Kenerja
Keuangan
adanya
peningkatan
penyusunan
laporan capaian
kinerja dan
realisasi keuangan
SKPD
Peningkatan
sistem
pelaporan
capaian kinerja
keuangan
Meningkatnya sistem
pelaporan capaian
kinerja keuangan
15.000.000 18.000.000
Penyusunan laporan capaian Kinerja &
Ikhtisar Realisasi Kinerja SKPD
Padangsidimpuan
17
17
Doku
men
Laporan capaian kinerja dan realisasi kinerja keuangan SKPD
17
Dokum
en
Tersedianya laporan capaian kinerja dan realisasi kinerja SKPD yang valid
17
Dokum
en
15.000.000 18.000.000
Dinas Sosial
Naker
Program Pemberdayaan Fakir Miskin,
Komunikasi Adat Terpencil (KAT) dan
Penyandang Masalah Kesejahteraan Sosial
(PMKS) lainnya
Terwujudnya
penanganan
masalah
penyandang
masalah
kesejahteraan dan
perlindungan sosial
Pelayanan dan
perlindungan
sosial bagi fakir
miskin
Tertanganinya
masalah PMKS
6 Kec 6 Kec 380.000.000 325.000.000
Pelatihan Keterampilan dan Pembentukan
Kelompok Usaha Bersama bagi keluarga
Miskin
Padangsidimpuan
Terbentuknya
Kelompok Usaha
Bersama keluarga
miskin
60 KK
Terbentuknya Kelompok
Usaha Bersama keluarga
miskin
60 KK 60 KK 300.000.000 250.000.000
Dinas Sosial
Naker
Pembinaan Sosial bagi Anak Gelandangan
dan Pengemis
Padangsidimpuan
Terbinanya Anak
Gelandangan dan
Pengemis
50 org
50
org 50 org 80.000.000 75.000.000
Dinas Sosial
Naker
Program Pelayanan dan Rehabilitasi
Kesejahteraan Sosial
Terwujudnya
pelayanan dan
rehabilitasi sosial
Melaksanakan
bimbingan dan
fasilitasi
penyandang
masalah kessos
dan
perlindungan
sosial
Meningkatkan
pelayanan bagi
penyandang masalah
PMKS
844.500.000 632.000.000
Pelayanan Sosial untuk Anak SD dan
Menengah Keluarga Kurang mampu
Padangsidimpuan
Pakaian dan Peralatan
Sekolah
1020
0rg
Pakaian dan Peralatan
Sekolah
1020
0rg
1020
0rg
600.000.000 580.000.000
Dinas Sosial
Naker
Pemulangan orang-orang terlantar ke daerah
asal
Padangsidimpuan 4.500.000 4.000.000
Dinas Sosial
Naker
Rencana Program dan Kegiatan Prioritas Tahun 2015 Bidang Sosial Lembar : 75 dari 87
SKPD
Jenis
Keg
Ket
Tolok Ukur Tolok Ukur Tolok Ukur 1/2/3 1/2/3 1/2/3
2 3 4 5 6 8 10 12 13 14 15 16
Nomor
Urusan/Bidang Urusan Pemerintahan
Daerah
Dan Program/Kegiatan
Prioritas
Daerah
Sasaran
Daerah
Lokasi
Indikator kinerja
Pagu
Indikatif
Keterangan
Hasil Program
Keluaran
Kegiatan
Hasil Kegiatan
Target Target
Prakiraan
Maju
Target
1 7 9 11
Pelayanan sosial dan pengobatan gratis bagi
lanjut usia
Padangsidimpuan 190.000.000
Dinas Sosial
Naker
Pembinaan dan pelatihan bagi anggota
IPSM,TAGANA, TKSK dan Karang Taruna
50.000.000 48.000.000
Dinas Sosial
Naker
Program Pemberdayaan Kelembagaan
Kessos
350.000.000 357.000.000
Pembinaan terhadap Kelompok Kegiatan
Keagamaan
Padangsidimpuan
Terbinanya kelompok
keagamaan
100
org
Terbinanya kelompok
keagamaan
100
org 100 org 350.000.000 357.000.000
Dinas Sosial
Naker
Program Pembinaan Panti Asuhan/Panti
Jompo
Peningkatan
Kesejahteraan
Penghuni Panti
Asuhan
595.000.000 247.622.125
Pelayanan Sosial untuk Penghuni Panti
Jompo
Padangsidimpuan
Peningkatan
Kesejahteraan
Penghuni Panti Jompo
70 org
Peningkatan Kesejahteraan
Penghuni Panti Jompo
70
org 70 org 57.000.000 47.622.125
Dinas Sosial
Naker
Pendidikan dan Pelatihan Bagi Penghuni
Panti Asuhan Bidang Tata Boga
Padangsidimpuan 78.000.000
Dinas Sosial
Naker
Pendidikan dan Pelatihan Bagi Penghuni
Panti Asuhan Bidang Elektronik
Padangsidimpuan 92.000.000
Dinas Sosial
Naker
Pengobatan Gratis Bagi Penghuni Panti
Jompo dan Panti Asuhan
Padangsidimpuan 158.000.000
Dinas Sosial
Naker
Pelayan Sosial untuk Penghuni Panti Asuhan Padangsidimpuan
Peningkatan
Kesejahteraan
Penghuni Panti Asuhan
150
org
Peningkatan Kesejahteraan
Penghuni Panti Asuhan
150
org 150 org 210.000.000 200.000.000
Dinas Sosial
Naker
7.304.174.000 7.458.370.000 P2
Program Peningkatan Sarana dan
Prasarana Aparatur
Adanya
Peningkatan
Sarana dan
prasarana aparatur
Meningkatkan
kualitas dan
kuantitas
sarana dan
prasarana
aparatur
45.000.000 50.000.000
pemeliharaan rutin/berkala gedung kantor Padangsidimpuan
Meningkatnya
pemeliharaan gedung
1 Thn
Meningkatnya pemeliharaan
gedung
1 Thn 45.000.000 50.000.000
Dinas Sosial
Naker
Program Peningkatan Pengembangan
Sistem Pelaporan Capaian Kenerja
Keuangan
adanya
peningkatan
penyusunan
laporan capaian
kinerja dan
realisasi keuangan
SKPD
Peningkatan
sistem
pelaporan
capaian kinerja
keuangan
Meningkatnya sistem
pelaporan capaian
kinerja keuangan
8.900.000 9.500.000
Pelaporan Capaian Kenerja Keuangan Padangsidimpuan
Penyusunan Pelaporan Keuangan Akhir
Tahun
Padangsidimpuan
Tersedianya laporan
keuangan akhir tahun
1
set
Tersedianya laporan
keuangan akhir tahun
1
set 8.900.000 9.500.000
Dinas Sosial
Naker
Program Pemberdayaan Fakir Miskin,
Komunikasi Adat Terpencil (KAT) dan
Penyandang Masalah Kesejahteraan Sosial
(PMKS) lainnya
1.330.000.000 1.430.000.000
Razia PSK Padangsidimpuan
Terbinanya PSK
2 keg
2
keg 2 keg 60.000.000 65.000.000
Dinas Sosial
Naker
Rencana Program dan Kegiatan Prioritas Tahun 2015 Bidang Sosial Lembar : 76 dari 87
SKPD
Jenis
Keg
Ket
Tolok Ukur Tolok Ukur Tolok Ukur 1/2/3 1/2/3 1/2/3
2 3 4 5 6 8 10 12 13 14 15 16
Nomor
Urusan/Bidang Urusan Pemerintahan
Daerah
Dan Program/Kegiatan
Prioritas
Daerah
Sasaran
Daerah
Lokasi
Indikator kinerja
Pagu
Indikatif
Keterangan
Hasil Program
Keluaran
Kegiatan
Hasil Kegiatan
Target Target
Prakiraan
Maju
Target
1 7 9 11
Pembangunan Panti Sosial Padangsidimpuan
Tertampungnya PMKS
1 unit
1
unit 1 unit 400.000.000 450.000.000
Dinas Sosial
Naker
Khitanan Massal Padangsidimpuan
Terlaksananya sunat
rasul
300
Orang
Terlaksananya khitanan
bagi penyandang masalah
PMKS
300
Orang
Terlaksananya khitanan
bagi penyandang masalah
PMKS
300
Orang
70.000.000 65.000.000
Dinas Sosial
Naker
Gerakan Pembangunan Kampung Padangsidimpuan
Meningkatnya
Kesejahteraan
Masyarakat Desa
4 desa
Meningkatnya
Kesejahteraan Masyarakat
Desa
4 desa 4 desa 800.000.000 850.000.000
Dinas Sosial
Naker
Program Pelayanan dan Rehabilitasi
Kesejahteraan Sosial
5.236.274.000 5.283.870.000
Pelayanan Sosial bagi orang terlantar Padangsidimpuan
Terpulangkannya orang
terlantar ke Daerah
Asal
Terpulangkannya orang
terlantar ke Daerah Asal
6.000.000 7.000.000
Dinas Sosial
Naker
Pembinaan bagi Anggota Karang Taruna Padangsidimpuan
Terbinanya Anggota
Karang Taruna 150
org
Terbinanya Anggota Karang
Taruna
150
org 150 org 132.000.000 160.000.000
Dinas Sosial
Naker
Pengadaan Saranan Prasarana Penanganan
Korban Bencana
Padangsidimpuan
Terpenuhinya sarana
dan Prasarana
bencana
4.681.870.000 4.681.870.000
Dinas Sosial
Naker
Pembinaan Taruna Siaga Bencana (TAGANA) Padangsidimpuan
Terbinanya Taruna
Siaga Bencana
1 keg
Terbinanya Taruna Siaga
Bencana
1 keg 1 keg 35.000.000 40.000.000
Dinas Sosial
Naker
Pembinaan bagi Ikatan Pekerja Sosial
Masyarakat ( IPSM )
Padangsidimpuan
Terbinanya Anggota
Pekerja IPSM
50 org
Terbinanya Anggota Pekerja
IPSM
50 org 50 org 50.000.000 55.000.000
Dinas Sosial
Naker
Pelatihan Keterampilan Berusaha Bagi
Keluarga Miskin
Padangsidimpuan
Meningkatnya
Keterampilan Berusaha
Keluarga Miskin
60KK 60KK 60KK 296.404.000 300.000.000
Dinas Sosial
Naker
Pembinaan Bagi Tenaga Kesejahteraan
Sosial Masyarakat (TKSK)
Padangsidimpuan
Terbinanya Anggota
TKSK
1 keg Terbinanya Anggota TKSK 1 keg 1 keg 35.000.000 40.000.000
Dinas Sosial
Naker
Program Pelayanan dan Rehabilitasi
Kesejahteraan sosial
19.000.000 20.000.000
Pengadaan Beras untuk Jompo ( Lanjut
Usia)
Padangsidimpuan
Terlaksananya bantuan
beras
1000
kg
Terlaksananya bantuan
beras
1000
kg
1000
kg
19.000.000 20.000.000
Dinas Sosial
Naker
Program Pemberdayaan Kelembagaan
Kesejahteraan Sosial
665.000.000 665.000.000
Pengadaan Alat-alat untuk Keagamaan Padangsidimpuan
Terlaksananya
Pengadaan Peralatan
keagamaan
4 paket
Terlaksananya Pengadaan
Peralatan keagamaan
4 paket 4 paket 65.000.000 65.000.000
Dinas Sosial
Naker
Pengadaan sarana dan prasarana
peribadatan (Pengadaan Mobil Jenazah)
Padangsidimpuan
Peningkatan sarana
peribadatan
2 unit
Peningkatan sarana
peribadatan
2 unit 2 unit 600.000.000 600.000.000
Dinas Sosial
Naker
2.880.900.000 2.754.500.000 P1
1 13 01 01 Program Pelayanan Adminstrasi
Perkantoran
629.800.000 685.500.000
Penyediaan Jasa Surat Menyurat Padangsidimpuan
Meningkatnya
Pelayanan Perkantoran 1 Thn
Tersedianya Jasa Surat
Menyurat
1 Thn
Terpenuhinya Jasa Surat
Menyurat
1 Thn 1.500.000 2.000.000 BPBD
Pelayanan Jasa Komunikasi ,sumberdaya Air
dan Listrik
Padangsidimpuan
Meningkatnya
Pelayanan Perkantoran
1 Thn
Tersedianya Jasa
Komunikasi ,sumberdaya
Air dan Listrik
1 Thn
Terpenuhinya Jasa
Komunikasi ,sumberdaya
Air dan Listrik
1 Thn 17.000.000 20.000.000 BPBD
Rencana Program dan Kegiatan Prioritas Tahun 2015 Bidang Sosial Lembar : 77 dari 87
SKPD
Jenis
Keg
Ket
Tolok Ukur Tolok Ukur Tolok Ukur 1/2/3 1/2/3 1/2/3
2 3 4 5 6 8 10 12 13 14 15 16
Nomor
Urusan/Bidang Urusan Pemerintahan
Daerah
Dan Program/Kegiatan
Prioritas
Daerah
Sasaran
Daerah
Lokasi
Indikator kinerja
Pagu
Indikatif
Keterangan
Hasil Program
Keluaran
Kegiatan
Hasil Kegiatan
Target Target
Prakiraan
Maju
Target
1 7 9 11
Penyediaan jasa Pemeliharaan dan perizinan
kenderaan dinas operasional
1 Thn 1 Thn 1 Thn 8.000.000 10.000.000 BPBD
Penyediaan jasa kebersihan kantor Padangsidimpuan
Meningkatnya
Pelayanan Perkantoran 1 Thn
Tersedianya jasa
kebersihan kantor
1 Thn
Terpenuhinya jasa
kebersihan kantor
1 Thn 40.000.000 41.500.000 BPBD
Penyediaan alat tulis kantor Padangsidimpuan
Meningkatnya
Pelayanan Perkantoran 1 Thn
Tersedianya alat tulis
kantor
1 Thn
Terpenuhinya alat tulis
kantor
1 Thn 40.000.000 41.500.000 BPBD
Penyediaan barang cetakan dan
penggandaan
Padangsidimpuan
Meningkatnya
Pelayanan Perkantoran 1 Thn
Tersedianya barang
cetakan dan penggandaan
1 Thn
Terpenuhinya barang
cetakan dan penggandaan
1 Thn 17.500.000 17.500.000 BPBD
Penyediaan komponen instalasi
listrik/penerangan bangunan kantor
Padangsidimpuan
Meningkatnya
Pelayanan Perkantoran
1 Thn
Tersedianya komponen
instalasi listrik/penerangan
bangunan kantor
1 Thn
Terpenuhinya komponen
instalasi listrik/penerangan
bangunan kantor
1 Thn 5.000.000 10.000.000 BPBD
Penyediaan peralatan dan perlengkapan
kantor
Padangsidimpuan
Meningkatnya
Pelayanan Perkantoran 1 Thn
Tersedianya peralatan dan
perlengkapan kantor
1 Thn
Terpenuhinya peralatan dan
perlengkapan kantor
1 Thn 75.000.000 80.000.000 BPBD
Penyediaan peralatan rumah tangga 1 Thn 1 Thn 1 Thn 35.000.000 40.000.000 BPBD
Penyediaan bahan bacaan dan peraturan
perundang-undangan
Padangsidimpuan
Meningkatnya
Pelayanan Perkantoran 1 Thn
Tersedianya bahan bacaan
dan peraturan perundang-
undangan
1 Thn
Terpenuhinya bahan
bacaan dan peraturan
perundang-undangan
1 Thn 5.000.000 5.000.000 BPBD
Penyediaan makanan dan minuman Padangsidimpuan
Meningkatnya
Pelayanan Perkantoran 1 Thn
Tersedianya makanan dan
minuman
1 Thn
Terpenuhinya makanan dan
minuman
1 Thn 55.000.000 60.000.000 BPBD
Rapat-rapat koordinasi dan konsultasi ke
luar derah
Padangsidimpuan
Meningkatnya
Pelayanan Perkantoran 1 Thn
Rapat-rapat koordinasi dan
konsultasi ke luar derah
1 Thn
Rapat-rapat koordinasi dan
konsultasi ke luar derah
1 Thn 200.000.000 220.000.000 BPBD
Penyediaan Jasa keamanan Kantor Padangsidimpuan
Meningkatnya
keamanan Perkantoran 1 Thn
Tersedianya Jasa
keamanan Kantor
1 Thn
Terpenuhinya Jasa
keamanan Kantor
1 Thn 40.800.000 50.000.000 BPBD
Penyediaan Jasa administrasi Perkantoran Padangsidimpuan
Meningkatnya
Pelayanan Perkantoran 1 Thn
Tersedianya Jasa
administrasi Perkantoran
1 Thn
Terpenuhinya Jasa
administrasi Perkantoran
1 Thn 90.000.000 88.000.000 BPBD
Program Peningkatan sarana dan
Prasarana aparatur
207.500.000 193.000.000
Pengadaan Kenderaan dinas operasional Padangsidimpuan 3 unit 3 unit 45.000.000 BPBD
Pengadaan perlengkapan gedung kantor Padangsidimpuan 1 Thn 2 unit 2 unit 12.500.000 13.000.000 BPBD
Pengadaan peralatan gedung kantor Padangsidimpuan 1 Thn 1 Thn 1 Thn 42.000.000 45.000.000 BPBD
Pemeliharaan rutin/ berkala mobil jabatan Padangsidimpuan 1 Thn
Pemeliharaan rutin/
berkala kendaraan dinas/
operasional
1 Thn
Terpenuhinya Pemeliharaan
rutin/ berkala kendaraan
dinas/ operasional
1 Thn 60.000.000 80.000.000 BPBD
Pemeliharaan rutin/ berkala kendaraan
dinas operasional
Padangsidimpuan 1 Thn
Pemeliharaan rutin/
berkala kendaraan dinas/
operasional
1 Thn
Terpenuhinya Pemeliharaan
rutin/ berkala kendaraan
dinas/ operasional
2 unit 42.000.000 45.000.000 BPBD
Pemeliharaan rutin/ berkala Perlengkapan
gedung kantor
Padangsidimpuan 1 Thn
Pemeliharaan rutin/
berkala Perlengkapan
gedung kantor
1 Thn
Terpenuhinya Pemeliharaan
rutin/ berkala
Perlengkapan gedung
kantor
1 buah 6.000.000 10.000.000 BPBD
Program Peningkatan Kapasitas sumber
Daya Aparatur
210.000.000 110.000.000
Pendidikan dan Pelatihan Formal Padangsidimpuan
Tersedianya biaya
bintek
1 Thn
Terlaksananya bintek bagi
PNS
1 Thn Meningkatnya SDM pegawai 20 org 100.000.000 110.000.000 BPBD
Rencana Program dan Kegiatan Prioritas Tahun 2015 Bidang Sosial Lembar : 78 dari 87
SKPD
Jenis
Keg
Ket
Tolok Ukur Tolok Ukur Tolok Ukur 1/2/3 1/2/3 1/2/3
2 3 4 5 6 8 10 12 13 14 15 16
Nomor
Urusan/Bidang Urusan Pemerintahan
Daerah
Dan Program/Kegiatan
Prioritas
Daerah
Sasaran
Daerah
Lokasi
Indikator kinerja
Pagu
Indikatif
Keterangan
Hasil Program
Keluaran
Kegiatan
Hasil Kegiatan
Target Target
Prakiraan
Maju
Target
1 7 9 11
Sosialisasi Peraturan perundang-undangan Padangsidimpuan 1 Thn 1 Thn 1 Thn 110.000.000 BPBD
Program Pencegahan dini dan
penanggulangan korban bencana alam
1.833.600.000 1.766.000.000
Pemantauan dan Penyebarluasan Informasi
Potensi Bencana Alam
Padangsidimpuan 1 Thn
50
sekolah
50
sekolah
50.000.000 60.000.000 BPBD
Kegiatan Bulan Pengurangan Resiko
Bencana
Padangsidimpuan 1 Thn 1 kali 22.600.000 24.000.000 BPBD
Peningkatan Kesiapsiagaan dan
Penanggulangan Korban Bencana
Padangsidimpuan 1 Thn 60 org 60 org 850.000.000 900.000.000 BPBD
Pengadaan sarana Prasaran Evakuasi
Penduduk Terhadap ancaman bencana alam
Padangsidimpuan 1 Thn 65.000.000 100.000.000 BPBD
Pelatihan pencegahan dan Penanggulangan
Bencana alam
Padangsidimpuan 1 Thn 4 keg 4 keg 320.000.000 318.000.000 BPBD
Penyusunan norma,standar prosedur dan
manual pencegahan dan penanggulangan
bencana
Padangsidimpuan 1 Thn 1 SOP 1 SOP 16.000.000 15.000.000 BPBD
Pembuatan peta rawan bencana Padangsidimpuan 1 Thn 1 Peta 1 Peta 215.000.000 BPBD
Pembentukan desa siaga bencana Padangsidimpuan 1 Thn
25
Desa
25
Desa
240.000.000 300.000.000 BPBD
Kemitraan dalam penanggulangan bencana Padangsidimpuan 1 Thn 1 keg 1 keg 30.000.000 19.000.000 BPBD
Rapat Koordinasi penanggulangan bencan
tingkat kota
Padangsidimpuan 1 Thn 2 keg 2 keg 25.000.000 30.000.000 BPBD
2.500.000.000 4.000.000.000 P2
Program Peningkatan sarana dan
Prasarana aparatur
2.629.750.000 4.167.250.000
Pengadaan meubelair Padangsidimpuan Pengadaan meubelair
Terpenuhinya Pengadaan
meubelair
12 unit 80.000.000 120.000.000 BPBD
Pemeliharaan rutin/ berkala Peralatan
gedung kantor
Padangsidimpuan 1 Thn
Pemeliharaan rutin/
berkala Peralatan gedung
kantor
1 Thn
Terpenuhinya Pemeliharaan
rutin/ berkala Peralatan
gedung kantor
1 Thn 4.500.000 4.500.000 BPBD
Program Peningkatan Disiplin Aparatur 37.500.000 45.000.000
Pengadaan Pakaian Kerja Lapangan Padangsidimpuan
Peningkatan disiplin
aparatur
1 Thn Pakaian Kerja Lapangan 1 Thn
Tersedianya Pakaian Kerja
Lapangan
50 org 37.500.000 45.000.000 BPBD
Program Peningkatan Pengembangan
Sistem Pelaporan Capaian Kinerja dan
keuangan
10.000.000 10.000.000
Penyusunan Pelaporan Kinerja Padangsidimpuan
Peningkatan kualitas
dan kuantitas
pelaporan
1 Thn
Tersedianya laporan
kinerja
1 Thn 10 buku 5.000.000 5.000.000 BPBD
Penyusunan Laporan Keuangan Padangsidimpuan
Peningkatan kualitas
dan kuantitas
pelaporan
1 Thn
Tersedianya laporan
keuangan
1 Thn 10 buku 5.000.000 5.000.000 BPBD
Program Perencanaan Pengembangan Kota-
Kota Menengah dan Besar
1 Thn 20.000.000 20.000.000
Koordinasi Penanggulangan dan
Penyelesaian Bencana
Padangsidimpuan 1 Thn 1 kali 20.000.000 20.000.000 BPBD
Program Perencanaan Pembagunan Daerah
Rawan Bencana
20.000.000 30.000.000
Pemetaan Kawasan Rawan Bencana Padangsidimpuan 1 Thn 1 kali 20.000.000 30.000.000 BPBD
Rencana Program dan Kegiatan Prioritas Tahun 2015 Bidang Sosial Lembar : 79 dari 87
SKPD
Jenis
Keg
Ket
Tolok Ukur Tolok Ukur Tolok Ukur 1/2/3 1/2/3 1/2/3
2 3 4 5 6 8 10 12 13 14 15 16
Nomor
Urusan/Bidang Urusan Pemerintahan
Daerah
Dan Program/Kegiatan
Prioritas
Daerah
Sasaran
Daerah
Lokasi
Indikator kinerja
Pagu
Indikatif
Keterangan
Hasil Program
Keluaran
Kegiatan
Hasil Kegiatan
Target Target
Prakiraan
Maju
Target
1 7 9 11
Program Pencegahan dini dan
penanggulangan korban bencana alam
2.500.000.000 4.000.000.000
Pengadaan Mobil Dinas Operasional
Pengadaan Mobil Operasional Rescue 1 unit 1 unit 1 unit 500.000.000 500.000.000
BPBD
Pengadaan Mobil Dapur Umum 1 unit 1 unit 1 unit 1.000.000.000 1.000.000.000
BPBD
Pengadaan Mobil Sanitasi 1 unit 1 unit 1 unit 1.000.000.000 1.000.000.000
BPBD
Program Peningkatan Sarana dan
Prasarana Aparatur
Pengadaan Gedung Kantor 1.500.000.000
BPBD
Rencana Program dan Kegiatan Prioritas Tahun 2015 Bidang Sosial Lembar : 80 dari 87
SKPD
Jenis
Keg
Ket
Tolok Ukur Tolok Ukur Tolok Ukur 1/2/3 1/2/3 1/2/3
2 3 4 5 6 8 10 12 13 14 15 16
01 URUSAN WAJIB
01 14 BIDANG TENAGA KERJA 3.973.783.375 4.048.879.900
2.199.907.000 2.241.379.900 P1
Program Peningkatan Kualitas dan
Produktifitas Tenaga Kerja
Meningkatkan data
base
ketenagakerjaan
Meningkatnya data
base pencari kerja
Adanya data base
ketenagakerjaan
daerah
1.576.023.500 1.638.379.900
Pendidikan dan Pelatihan Keterampilan
Bidang Elektronik
UPTD BLK
Pendidikan dan
pelatihan keterampilan
3 paket
Pendidikan dan
pelatihan
keterampilan
3 paket 386.013.700 400.000.000
Dinas Sosial
Naker
Pendidikan dan Pelatihan Keterampilan
Bidang Menjahit
UPTD BLK 3 paket 3 paket 286.013.700 300.000.000
Dinas Sosial
Naker
Pendidikan dan Pelatihan Keterampilan
Bidang Tata Rias
UPTD BLK 3 paket 3 paket 285.616.200 300.000.000
Dinas Sosial
Naker
Pendidikan dan Pelatihan Keterampilan
Bidang Bordir Sulam
UPTD BLK 1 paket 1 paket 250.000.000 270.000.000
Dinas Sosial
Naker
Pendidikan dan Pelatihan Keterampilan
Bidang Tata Boga
3 paket 3 paket 368.379.900 368.379.900
Dinas Sosial
Naker
Program Peningkatan Kesempatan Kerja
Tersedianya
informasi bursa
tenaga kerja
dengan
permintaan pasar
yang siap pakai
Melaksanakan dan
mengikuti
pelatihan bagi para
pencari kerja
Tercapainya
kerjasama pendidikan
dan pelatihan anatar
pencari kerja dan
dunia usaha
129.966.500 116.000.000
Penyebarluasan Informasi Bursa Tenaga
Kerja
Padangsidimpuan
Tersedianya Informasi
Bursa Tenaga Kerja
6 kec
Pencari kerja
menerima
informasi bursa
tenaga kerja
6 kec 14.966.500 16.000.000
Dinas Sosial
Naker
Sosialisasi Prosedur
penempatan,perlindungan dan peluang
kerja TKI ke Luar Negeri
Padangsidimpuan 105.000.000 100.000.000
Dinas Sosial
Naker
Penyusunan Informasi Bursa Kerja Padangsidimpuan 6 kec 6 kec 10.000.000
Dinas Sosial
Naker
Program Perlindungan dan Pengembangan
Lembaga Ketenagakerjaan
Terwujudnya
hubungan kerja
yang harmonis,
selaras antara
pengusaha dan
pekerja
Meningkatkan
pengawasan
ketenagakerjaan
thdp tenaga
kerja/buruh
Tercapainya
Penegakan Hukum,
Keselamatan dan
Kesehatan Kerja
493.917.000 487.000.000
Rencana Program dan Kegiatan Prioritas Daerah Tahun 2015
Kota Padangsidimpuan
Nomor
Urusan/Bidang Urusan Pemerintahan
Daerah
Dan Program/Kegiatan
Prioritas
Daerah
Sasaran
Daerah
Lokasi
Indikator kinerja
Pagu
Indikatif
Keterangan
Hasil Program
Keluaran
Kegiatan
Hasil Kegiatan
Target Target
Prakiraan
Maju
Target
1 7 9 11
Rencana Program dan Kegiatan Prioritas Tahun 2015 Bidang Tenaga Kerja Lembar : 81 dari 87
SKPD
Jenis
Keg
Ket
Tolok Ukur Tolok Ukur Tolok Ukur 1/2/3 1/2/3 1/2/3
2 3 4 5 6 8 10 12 13 14 15 16
Nomor
Urusan/Bidang Urusan Pemerintahan
Daerah
Dan Program/Kegiatan
Prioritas
Daerah
Sasaran
Daerah
Lokasi
Indikator kinerja
Pagu
Indikatif
Keterangan
Hasil Program
Keluaran
Kegiatan
Hasil Kegiatan
Target Target
Prakiraan
Maju
Target
1 7 9 11
Monitoring, Evaluasi dan Pelaporan Padangsidimpuan
Terbinanya perusahaan
dan tenagakerja (buruh)
104
perusah
aan
Terbinanya
perusahaan dan
tenagakerja
(buruh)
104
perusah
aan
75.000.000 80.000.000
Dinas Sosial
Naker
Penyusunan Upah Minimum Kota
P.Sidimpuan
Padangsidimpuan
Terwujudnya Penetapan
Upah Minimum Daerah
1 vdok
Terwujudnya
Penyusunan
Upah Minimum
Daerah
1 vdok 60.000.000 67.000.000
Dinas Sosial
Naker
Sosialisasi Pertolongan Pertama pada
kecelakaan kerja di tempat kerja
Terpenuhinya
penyuluhan
pertolongan pertama
di tempat kerja
Terpenuhinya
penyuluhan
pertolongan pertama di
tempat kerja
150
org
Terpenuhinya
penyuluhan pertolongan
pertama di tempat
kerja
150 org 150 org 300.000.000 280.000.000
Dinas Sosial
Naker
Pembentukan dan pembinaan lembaga
kerja sama Tripartit
Padangsidimpuan
Terwujudnya peran aktif
LKS Tripartit Kota
Dalam penyelesaian
hubungan industrial
1
lembaga
Terwujudnya
peran aktif LKS
Tripartit Kota
Dalam
penyelesaian
hubungan
industrial
1
lembaga
58.917.000 60.000.000
Dinas Sosial
Naker
1.773.876.375 1.807.500.000 P2
Program Perlindungan dan Pengembangan
Lembaga Ketenagakerjaan
166.376.375 175.000.000
Sosialisasi berbagai peraturan pelaksanaan
tentang ketenagakerjaan
Padangsidimpuan
Tersosialisasikannya
peraturan pelaksanaan
tentang
ketenagakerjaan
150 0rg
Tersosialisasikan
nya peraturan
pelaksanaan
tentang
150 0rg 58.376.375 60.000.000
Dinas Sosial
Naker
Verifikasi Keanggotaan Serikat
Pekerja/serikat buruh
Terpenuhinya
keanggotaan
Terpenuhinya
keanggotaan
50
unit
kerja
Terpenuhinya
keanggotaan
50 unit
kerja
50 unit
kerja
50.000.000 55.000.000
Dinas Sosial
Naker
Sosialisasi BPJS Ketenagakerjaan
Tersosialisasinya
peraturan
pelaksanaan BPJS
Tersosialisasinya
peraturan pelaksanaan
BPJS
150
org
Tersosialisasinya
peraturan pelaksanaan
BPJS
150 org 150 org 58.000.000 60.000.000
Dinas Sosial
Naker
Program Peningkatan Kesempatan Kerja 1.120.000.000 1.120.000.000
Perluasan Kesempatan Kerja dan
Pengembangan tenaga kerja kektor
Berkurangnya angka
pengangguran
Berkurangnya angka
pengangguran
1
paket
Berkurangnya angka
pengangguran
1 paket 1 paket 320.000.000 320.000.000
Dinas Sosial
Naker
informal padat karya infrastruktur padat
karya produktif
Berkurangnya angka
pengangguran
Berkurangnya angka
pengangguran
4
paket
Berkurangnya angka
pengangguran
4 paket 4 paket 800.000.000 800.000.000
Dinas Sosial
Naker
Program Peningkatan dan Produktivitas
tenaga kerja
487.500.000 512.500.000
Diklat Otomotif UPTD BLK 2 paket 2 paket 200.000.000 210.000.000
Dinas Sosial
Naker
Pendidikan dan Pelatihan Keterampilan bagi
pencari kerja bidang pembuatan bermacam
macam kerajinan daerah
Terlatihnya
Keterampilan bagi
Pencari Kerja
UPTD BLK
Terlatihnya
Keterampilan bagi
Pencari Kerja
1
paket
Terlatihnya
Keterampilan bagi
Pencari Kerja
1 paket 1 paket 7.500.000 7.500.000
Dinas Sosial
Naker
Pendidikan dan Pelatihan Tata Boga dan
tata cara membangkitkan ekonomi rumah
tangga
Terlatihnya
Keterampilan bagi
Pencari Kerja
UPTD BLK
Terlatihnya
Keterampilan bagi
Pencari Kerja
2
paket
Terlatihnya
Keterampilan bagi
Pencari Kerja
2 paket 2 paket 200.000.000 210.000.000
Dinas Sosial
Naker
Pelatihan Pembuatan Tahu dan Tempe
Terlatihnya
Keterampilan bagi
Pencari Kerja
UPTD BLK
Terlatihnya
Keterampilan bagi
Pencari Kerja
2
paket
Terlatihnya
Keterampilan bagi
Pencari Kerja
2 paket 2 paket 80.000.000 85.000.000
Dinas Sosial
Naker
Rencana Program dan Kegiatan Prioritas Tahun 2015 Bidang Tenaga Kerja Lembar : 82 dari 87
SKPD
Jenis
Keg
Ket
Tolok Ukur Tolok Ukur Tolok Ukur 1/2/3 1/2/3 1/2/3
2 3 4 5 6 8 10 12 13 14 15 16
Nomor
Urusan/Bidang Urusan Pemerintahan
Daerah
Dan Program/Kegiatan
Prioritas
Daerah
Sasaran
Daerah
Lokasi
Indikator kinerja
Pagu
Indikatif
Keterangan
Hasil Program
Keluaran
Kegiatan
Hasil Kegiatan
Target Target
Prakiraan
Maju
Target
1 7 9 11
Rencana Program dan Kegiatan Prioritas Tahun 2015 Bidang Tenaga Kerja Lembar : 83 dari 87
SKPD Jenis Keg Ket
Tolok Ukur Tolok Ukur Tolok Ukur 1/2/3 1/2/3 1/2/3
2 3 4 5 6 8 10 12 13 14 15 16
01 URUSAN WAJIB
01 15 BIDANG KOPERASI DAN USAHA KECIL
MENENGAH
4.232.634.100 2.164.500.000
3.345.850.000 1.019.500.000
P1
Program Pelayanan Administrasi Perkantoran 577.850.000 602.500.000
Penyediaan Jasa Komunikasi,Sumber Daya Listrk Padangsidimpuan
Terbayarnya Biaya Listrik,
Telepon dan Fax
1 Thn
Pelayanan Jasa
Komunikasi, Sumber Daya
Listrik
1 Thn
Terbayarnya Biaya Listrik,
Telepon dan Fax
1 Thn 23.050.000 27.500.000
Diskop, UKM,
Perindag &
Pasar
Penyediaan Jasa Jaminan Barang Milik Daerah Padangsidimpuan
Terbayarnya Dana
Penyediaan Jasa
Administrasi Barang Milik
Daerah
1 Thn
Tersedianya Dana
Penyediaan Jasa
Administrasi Barang Milik
Daerah
1 Thn
Terbayarnya Dana
Penyediaan Jasa
Admnistrasi Barang Milik
Daerah
1 Thn 10.800.000 15.000.000
Diskop, UKM,
Perindag &
Pasar
Penyediaan jasa kebersihan kantor Padangsidimpuan 1 Thn 1 Thn 52.000.000 55.000.000
Diskop, UKM,
Perindag &
Pasar
Penyediaan Alat Tulis Kantor Padangsidimpuan
Terpenuhinya Kebutuhan
Jasa Surat menyurat
1 Thn
Jumlah Surat Menyurat
yang dikeluarkan
1 Thn
Terpenuhinya Kebutuhan
Jasa Surat Menyurat
1 Thn 25.000.000 35.000.000
Diskop, UKM,
Perindag &
Pasar
Penyediaan Barang Cetakan Padangsidimpuan
Terpenuhinya Kebutuhan
Barang Cetakan dan
Penggandaan
1 Thn
Jumlah Barang Cetakan
dan Penggandaan yang
dikeluarkan
1 Thn
Terpenuhinya Kebutuhan
Barang Cetakan dan
Penggandaan
1 Thn 120.000.000 45.000.000
Diskop, UKM,
Perindag &
Pasar
Penyediaan Peralatan Rumah Tangga Padangsidimpuan
Tersedianya Kebutuhan Alat-
alat listrik , Elektronik
1 Thn
Terpenuhinya Penyediaan
Peralatan Rumah Tangga
1 Thn
Tersedianya Kebutuhan Alat-
alat listrik, Elektronik
1 Thn 22.000.000 40.000.000
Diskop, UKM,
Perindag &
Pasar
Penyediaan Bahan Bacan dan Perundang-undangan Padangsidimpuan
Terbayarnya Biaya Bahan
Bacaan Surat Kabar,
Majalah dan Buletin
1 Thn
Pelayanan Penyediaan
Bahan Bacaan dan
Peraturan Perundang-
undangan
1 Thn
Terbayaranya Biaya Bahan
Bacaan Surat Kabar,
Majalah/Buletin
1 Thn 20.000.000 30.000.000
Diskop, UKM,
Perindag &
Pasar
Penyediaan Makan dan Minuman Padangsidimpuan
Terbayarnya Biaya
Konsumsi / Snack Kegiatan
Rapat
1 Thn
Terpenuhinya Penyediaan
Makanan dan Minuman
1 Thn
Terbayarnya Biaya
Konsumsi/Snack Kegiatan
Rapat
1 Thn 144.000.000 170.000.000
Diskop, UKM,
Perindag &
Pasar
Rapat Kordinasi Dan Konsultasi ke Luar Daerah Padangsidimpuan
Terbayarnya Biaya
Perjalanan rapat koordinasi
dan konsultasi ke luar
daerah
1 Thn
Tersedianya Dana Rapat-
rapat Koordinasi dan
Konsultasi Luar dan Dalam
Daerah
1 Thn
Terbayarnya Biaya
Perjalanan Rapat
Koordinasi dan Konsultasi
Dalam dan Luar Daerah
1 Thn 140.000.000 160.000.000
Diskop, UKM,
Perindag &
Pasar
Penyediaan jasa keamanan kantor Padangsidimpuan 1 Thn 1 Thn 21.000.000 25.000.000
Diskop, UKM,
Perindag &
Pasar
Program Peningkatan Sarana dan Prasarana 2.299.000.000 170.000.000
Pembangunan Gedung Kantor Padangsidimpuan
Terlaksananya Peningkatan
Sarana dan Prasana Pasar
1 Thn
Peningkatan Sarana
Pembangunan
1 Thn
Terlaksananya Peningkatan
Sarana dan Prasarana
Pasar
1 Thn 2.140.000.000
Diskop, UKM,
Perindag &
Pasar
Rencana Program dan Kegiatan Prioritas Daerah Tahun 2015
Kota Padangsidimpuan
Nomor
Urusan/Bidang Urusan Pemerintahan Daerah
Dan Program/Kegiatan
Prioritas
Daerah
Sasaran
Daerah
Lokasi
Indikator kinerja
Prakiraan
Maju
Keterangan
Hasil Program
Keluaran
Kegiatan
Hasil Kegiatan
Target
Pagu
Indikatif
Target Target
1 7 9 11
Rencana Program dan Kegiatan Prioritas Tahun 2015 Bidang Koperasi dan UKM Lembar : 84 dari 87
SKPD Jenis Keg Ket
Tolok Ukur Tolok Ukur Tolok Ukur 1/2/3 1/2/3 1/2/3
2 3 4 5 6 8 10 12 13 14 15 16
Nomor
Urusan/Bidang Urusan Pemerintahan Daerah
Dan Program/Kegiatan
Prioritas
Daerah
Sasaran
Daerah
Lokasi
Indikator kinerja
Prakiraan
Maju
Keterangan
Hasil Program
Keluaran
Kegiatan
Hasil Kegiatan
Target
Pagu
Indikatif
Target Target
1 7 9 11
Pengadaan perlengkapan gedung kantor Padangsidimpuan 1 Thn 1 Thn 70.000.000 75.000.000
Diskop, UKM,
Perindag &
Pasar
Pengadaan Peralatan Gedung Kantor Padangsidimpuan
Tersedianya Peralatan
Gedung Kantor
1 Thn
Tersedianya Dana
Pengadaan Peralatan
Gedung Kantor
1 Thn
Tersedianya Peralatan
Gedung Kantor
1 Thn 27.000.000 30.000.000
Diskop, UKM,
Perindag &
Pasar
Pemeliharaan Rutin/Berkala Kenderaan Dinas/Opr Padangsidimpuan
Terlaksananya
Pemeliharaan Kendaraan
Dinas/Operasional
1 Thn
Terpenuhinya Pemeliharaan
Kendaraan
Dinas/Operiaonal
1 Thn
Terlaksananya
Pemeliharaan Kendaraan
Dinas/Operasional
1 Thn 32.000.000 31.000.000
Diskop, UKM,
Perindag &
Pasar
Pemeliharaan Rutin/Berkala Perlengkapan Gedung
Kantor
Padangsidimpuan
Perlengkapan Gedung
Kantor yang siap pakai
1 Thn Pemeliharaan Bangunan 1 Thn
Perlengkapan Gedung
Kantor yang siap pakai
1 Thn 15.000.000 17.000.000
Diskop, UKM,
Perindag &
Pasar
Pemeliharaan Rutin/Berkala Peralatan Gedung
Kantor
Padangsidimpuan
Peralatan Kantor yang siap
pakai
1 Thn Pemeliharaan Peralatan 1 Thn
Peralatan Kantor yang siap
pakai
1 Thn 15.000.000 17.000.000
Diskop, UKM,
Perindag &
Pasar
Program Peningkatan Disiplin Aparatur 70.000.000
Pengadaan pakain dinas beserta perlengkapannya Padangsidimpuan 1 Thn 1 Thn 1 Thn 70.000.000
Program Peningkatan Kapasitas Sumber Daya
Aparatur
40.000.000 70.000.000
Pendidikan dan Pelatihan Formal Padangsidimpuan
Aparatur yang berdaya
saing
1 Thn Aparatur Mengikuti Bimtek 1 Thn
Aparatur yang berdaya
saing
1 Thn 40.000.000 70.000.000
Diskop, UKM,
Perindag &
Pasar
Program Peningkatan Pengembangan Sistem
Pelaporan Capaian Kinerja dan Keuangan
21.000.000 22.000.000
Penyusunan Laporan, Capaian Kinerja Iktisar
Realisasi Kinerja SKPD
Padangsidimpuan
Peningkatan Kulaitas dan
Kuantiotas Pelaporan
2 Keg
Laporan Lakip, Renja dan
Tahunan
2 Keg
Tersusunnya Laporan
Lakip/Renja/Tahunan
2 Keg 10.500.000 11.000.000
Diskop, UKM,
Perindag &
Pasar
Penyusunan Laporan Keuangan Akhir Tahun Padangsidimpuan
Peningkatan Kulaitas dan
Kuantiotas Pelaporan
2 Keg
Laporan Keuangan dan
Aset
2 Keg
Tersusunnya Laporan
Keuangan dan Aset
2 Keg 10.500.000 11.000.000
Diskop, UKM,
Perindag &
Pasar
Program Peningkatan Kualitas kelembagaan
Koperasi
228.000.000 -
Rencana Program dan Kegiatan Prioritas Tahun 2015 Bidang Koperasi dan UKM Lembar : 85 dari 87
SKPD Jenis Keg Ket
Tolok Ukur Tolok Ukur Tolok Ukur 1/2/3 1/2/3 1/2/3
2 3 4 5 6 8 10 12 13 14 15 16
Nomor
Urusan/Bidang Urusan Pemerintahan Daerah
Dan Program/Kegiatan
Prioritas
Daerah
Sasaran
Daerah
Lokasi
Indikator kinerja
Prakiraan
Maju
Keterangan
Hasil Program
Keluaran
Kegiatan
Hasil Kegiatan
Target
Pagu
Indikatif
Target Target
1 7 9 11
Koordinasi pelaksanaan kebijakan dan program
pembangunan koperasi
1 Thn 1 Thn 1 Thn 55.000.000
Diskop, UKM,
Perindag &
Pasar
Peningkatan sarana dan prasarana pendidikan dan
pelatihan perkoperasian
1 Thn 1 Thn 1 Thn 93.000.000
Diskop, UKM,
Perindag &
Pasar
Sosialisasi prinsip-prinsip pemahaman
perkoperasian
1 Thn 1 Thn 1 Thn 80.000.000
Diskop, UKM,
Perindag &
Pasar
Program Pengembangan Sistim Pendukung Usaha
Bagi UMKM
77.000.000 115.000.000
- Sosialisasi Dukungan Informasi Penyediaan
Permodalan
Optimalnya Informasi
Penyediaan Permodalan
UKM
1 Thn 1 Thn
Optimalnya Informasi
Penyediaan Permodalan
UKM
1 Thn 45.000.000 80.000.000
Diskop, UKM,
Perindag &
Pasar
- Pengembangan Sarana Pemasaran Produk UMKM
Meningkatnya Kualitas dan
Kuantitas Produk UMKM
1 Thn
Tersalurnya Sarana
Pemasaran
1 Thn
Meningkatnya Kualitas dan
Kuantitas Produk UMKM
1 Thn 32.000.000 35.000.000
Diskop, UKM,
Perindag &
Pasar
Program Penciptaan Iklim Usaha Menengah yang
Kondusif
33.000.000 40.000.000
Perencanaan,koordinasi dan Pengembangan UMKM
Tercapainya Perkembangan
UMKM
1 Thn
Berkembangnya Usaha
Mikro Kecil Menengah
1 Thn
Tercapainya Perkembangan
UMKM
1 Thn 33.000.000 40.000.000
Diskop, UKM,
Perindag &
Pasar
886.784.100 1.145.000.000 P2
Program Peningkatan Sarana dan Prasarana 430.000.000 585.000.000
Pengadaan Kendaraan Dinas/Operasional Padangsidimpuan
Terlaksananya Pengadaan
Kendaraan Dinas
1 Thn
Terpenuhinya Pengadaan
Kendaraan Dinas
1 Thn
Terlaksananya Pengadaan
Kendaraan Dinas
1 Thn 155.000.000 250.000.000
Diskop, UKM,
Perindag &
Pasar
Pengadaan Pakaian Dinas Padangsidimpuan Kesejahteraan Pegawai 1 Thn Tersdianya Pakaian Dinas 1 Thn Kesejahteraan Pegawai 1 Thn 75.000.000 125.000.000
Diskop, UKM,
Perindag &
Pasar
Pengadaan Peralatan Gedung Kantor Padangsidimpuan Peningkatan Kinerja Dinas 1 Thn
Tersedianya Fasilitas
Gedung Kantor
1 Thn Peningkatan Kinerja Dinas 1 Thn 200.000.000 210.000.000
Diskop, UKM,
Perindag &
Pasar
Program Peningkatan Kualitas kelembagaan
Koperasi
120.000.000 140.000.000
Bimbingan Teknis Koodinasi di Daerah Padangsidimpuan
Koperasi Aktif dan
Berprestasi meningkat
dengan Adanya Koordinasi
ke Propinsi dan Pusat
1 Thn
Pelaksanaan Bimbingan
Teknis Bagi Lembaga
Koperasi
1 Thn
Koperasi Aktif dan
Berprestasi meningkat
dengan Adanya Koordinasi
ke Propinsi dan Pusat
1 Thn 30.000.000 40.000.000
Diskop, UKM,
Perindag &
Pasar
Koordinasi ke Propinsi dan Pusat Padangsidimpuan
Pembinaan Bersinergi
antara Pemerintah Propinsi,
Pusat dan Daerah
1 Thn
Terlakananya Koordinasi Ke
Propinsi dan Pusat
1 Thn
Pembinaan Bersinergi
antara Pemerintah Propinsi,
Pusat dan Daerah
1 Thn 90.000.000 100.000.000
Diskop, UKM,
Perindag &
Pasar
Rencana Program dan Kegiatan Prioritas Tahun 2015 Bidang Koperasi dan UKM Lembar : 86 dari 87
SKPD Jenis Keg Ket
Tolok Ukur Tolok Ukur Tolok Ukur 1/2/3 1/2/3 1/2/3
2 3 4 5 6 8 10 12 13 14 15 16
Nomor
Urusan/Bidang Urusan Pemerintahan Daerah
Dan Program/Kegiatan
Prioritas
Daerah
Sasaran
Daerah
Lokasi
Indikator kinerja
Prakiraan
Maju
Keterangan
Hasil Program
Keluaran
Kegiatan
Hasil Kegiatan
Target
Pagu
Indikatif
Target Target
1 7 9 11
Program Pendidikan dan Pengembangan Sumber
Daya Manusia (SDM) Koperasi
235.000.000 300.000.000
- Pendidikan/Pelatihan secara sistematis dan
berkelanjutan bagi pengurus, pengawasa dan
anggota koperasi
Meningkatnya pengetahuan
pengelola koperasi melalui
pelaksanaan pendidikan
/latihan secara sistematis
dan berkelanjutan
1 Thn
Terlaksannya Diklat
Akuntansi Perkoperasian
1 Thn
Meningkatnya pengetahuan
pengelola koperasi melalui
pelaksanaan pendidikan
/latihan secara sistematis
dan berkelanjutan
1 Thn 150.000.000 200.000.000
Diskop, UKM,
Perindag &
Pasar
- Peringatan HUT Koperasi ke-68 Membagikan
Literatur Koparesi
Meningkatnya Citra
Koperasi di Masyarakat
1 Thn
Pelaksanaan Peringatan
Hari Koperasi ke 68
1 Thn
Meningkatnya Citra
Koperasi di Masyarakat
1 Thn 85.000.000 100.000.000
Diskop, UKM,
Perindag &
Pasar
Program Pengembangan Sistim Pendukung Usaha
Bagi UMKM
101.784.100 120.000.000
- Penyelenggaraan Promosi Produk UMKM
Dikenalnya Potensi Produk
UMKM Kota
Padangsidimpuan
1 Thn
Terlaksananya Produk
UMKM
1 Thn
Dikenalnya Potensi Produk
UMKM Kota
Padangsidimpuan
1 Thn 101.784.100 120.000.000
Diskop, UKM,
Perindag &
Pasar
Rencana Program dan Kegiatan Prioritas Tahun 2015 Bidang Koperasi dan UKM Lembar : 87 dari 87
SKPD Jenis Keg Ket
Tolok Ukur Target Tolok Ukur Target Tolok Ukur Target 1/2/3 1/2/3 1/2/3
2 3 4 5 6 7 8 9 10 11 12 13 14 15 16
01 URUSAN WAJIB
01 17 BIDANG KEBUDAYAAN 734.000.000 628.000.000
734.000.000 628.000.000 P1
Program pengelolaan kekayaan budaya Padangsidimpuan 220.000.000 230.000.000
Pengembangan kebudayaan dan pariwisata 4 kegiatan 4 kegiatan 160.000.000 170.000.000 Dispora Budpar
Pelatihan penggunaan alat musik tradisional 1 kegiatan 1 kegiatan 60.000.000 60.000.000 Dispora Budpar
Program Pengembangan Nilai Budaya Padangsidimpuan 85.000.000 88.000.000 Dispora Budpar
Pembinaan Budaya daerah 85.000.000 88.000.000
Program pengelolaan keragaman budaya Padangsidimpuan 429.000.000 310.000.000
Fasilitasi penyelenggaraan festival budaya daerah 2 kegiatan 2 kegiatan 185.000.000 185.000.000 Dispora Budpar
Pengembangan kesenian dan kebudayaan daerah 119.000.000 Dispora Budpar
Seminar dalam rangka revitalisasi dan
reaktualisasi budaya lokal
1 kegiatan 1 kegiatan 80.000.000 80.000.000 Dispora Budpar
Fasilitasi penyelenggaraan dialog kebudayaan 1 kegiatan 1 kegiatan 45.000.000 45.000.000 Dispora Budpar
1
Rencana Program dan Kegiatan Prioritas Daerah Tahun 2015
Kota Padangsidimpuan
Nomor
Urusan/Bidang Urusan
Pemerintahan Daerah
Dan Program/Kegiatan
Prioritas
Daerah
Sasaran
Daerah
Lokasi
Indikator kinerja
Pagu
Indikatif
Terlaksananya
pengembangan database
dan informasi sejarah
purbakala
Lestari dan
berkembangnya
pengembangan
database budaya
tradisional
Prakiraan
Maju
Keterangan
Hasil Program
Keluaran
Kegiatan
Hasil Kegiatan
Rencana Program dan Kegiatan Prioritas Tahun 2015 Bidang Budaya Lembar : 1 dari 74
SKPD Jenis Keg Keterangan
Tolok Ukur Target Tolok Ukur Target Tolok Ukur Target 1/2/3 1/2/3 1/2/3
2 3 4 5 6 7 8 9 10 11 12 13 14 15 16
01 URUSAN WAJIB
01 18 BIDANG PEMUDA DAN OLAH RAGA 4.617.900.000 4.714.900.000
4.317.900.000 4.414.900.000
P1
Program Pelayanan Administrasi Perkantoran Padangsidimpuan 865.400.000 919.900.000
Penyediaan Jasa Surat Menyurat 3.850 kali 1.200.000 1.200.000
Dispora
Budpar
Penyediaan Jasa Komunikasi, Sumber Daya Air
dan Listrik
48 rekening 50.000.000 50.000.000
Dispora
Budpar
Penyediaan Jasa Peralatan dan Perlengkapan
Kantor
10 kali 75.000.000 75.000.000
Dispora
Budpar
Penyediaan Jasa pemeliharaan dan perizinan
kenderaan dinas.operasional
2 unit 20.000.000 20.000.000
Dispora
Budpar
Penyediaan Jasa kebersihan kantor
4 unit / 16
orang
1.200.000 1.200.000
Dispora
Budpar
Penyediaan Jasa perbaikan peralatan kerja 30 unit 15.000.000 15.000.000
Dispora
Budpar
Penyediaan Alat tulis kantor 40 jenis 65.000.000 66.000.000
Dispora
Budpar
Penyediaan Barang Cetakan dan Penggandaan 10 jenis 40.000.000 42.000.000
Dispora
Budpar
Penyediaan Instalasi listrik/penerangan bangunan 100 buah 5.000.000 5.500.000
Dispora
Budpar
Penyediaan peralatan dan perlengkapan kantor 1 paket 12.000.000 12.000.000
Dispora
Budpar
Penyediaan peralatan rumah tangga 1 thn 11.000.000 12.000.000
Dispora
Budpar
Penyediaan bahan bacaan dan perundang-
undangan
3 jenis 30.000.000 35.000.000
Dispora
Budpar
Rapat-rapat koordinasi dan konsultasi ke luar
daerah
50 kali 200.000.000 270.000.000
Dispora
Budpar
Rapat-rapat koordinasi dan konsultasi
dalamdaerah
30.000.000 35.000.000
Dispora
Budpar
Penyediaan jasa keamanan kantor
4 unit / 12
orang
180.000.000 150.000.000
Dispora
Budpar
Penyediaan makanan dan minuman 42 orang 110.000.000 100.000.000
Dispora
Budpar
Penyediaan jasa administrasi perkantoran 12 orang 20.000.000 30.000.000
Dispora
Budpar
Program peningkatan sarana dan Prasarana
Aparatur
Padangsidimpuan
Optimalnya pelaksanaan
kegiatan kantor
299.500.000 325.000.000
Pengadaan Mebeleur 1 paket 70.000.000 70.000.000
Dispora
Budpar
Pengadaan peralatan gedung kantor 120.000.000 130.000.000
Dispora
Budpar
Pemeliharaan rutin/berkala gedung kantor 1 paket 25.000.000 30.000.000
Dispora
Budpar
Pemeliharaan rutin/berkala perlengkapan gedung
kantor
1 paket 2.500.000 5.000.000
Dispora
Budpar
Pemeliharaan rutin/berkala kenderaan
dinas/operasional
3 unit 82.000.000 90.000.000
Dispora
Budpar
Program Peningkatan disiplin aparatur Padangsidimpuan
Meningkatnya disiplin
aparatur
45.000.000 47.000.000
1
Rencana Program dan Kegiatan Prioritas Daerah Tahun 2015
Kota Padangsidimpuan
Nomor
Urusan/Bidang Urusan Pemerintahan Daerah
Dan Program/Kegiatan
Prioritas
Daerah
Sasaran
Daerah
Lokasi
Indikator kinerja
Pagu
Indikatif
Prakiraan
Maju
Keterangan
Hasil Program Keluaran Kegiatan Hasil Kegiatan
Terlaksananya pelayanan
administrasi perkantoran
dengan lancar, Teragendanya
dan terdistribusinya surat
keluar dan surat masuk
Rencana Program dan Kegiatan Prioritas Tahun 2015 Bidang Pemuda Olahraga Lembar : 2 dari 74
SKPD Jenis Keg Keterangan
Tolok Ukur Target Tolok Ukur Target Tolok Ukur Target 1/2/3 1/2/3 1/2/3
2 3 4 5 6 7 8 9 10 11 12 13 14 15 161
Nomor
Urusan/Bidang Urusan Pemerintahan Daerah
Dan Program/Kegiatan
Prioritas
Daerah
Sasaran
Daerah
Lokasi
Indikator kinerja
Pagu
Indikatif
Prakiraan
Maju
Keterangan
Hasil Program Keluaran Kegiatan Hasil Kegiatan
Pengadaan Pakaian Dinas beserta
perlengkapannya
42 stel 45.000.000 47.000.000
Dispora
Budpar
Program peningkatan kapasitas sumber daya
aparatur
Padangsidimpuan
Meningkatnya sumber daya
aparatur
195.000.000 225.000.000
Pendidikan dan pelatihan formal 10 orang 120.000.000 150.000.000
Dispora
Budpar
Bimbingan teknis implementasi perpu 5 orang 75.000.000 75.000.000
Dispora
Budpar
Prog.peningkatan pengemb. Sistim pelaporan
capaian kinerja dan keuangan
Padangsidimpuan
Tersusunnya rencana
laporan kinerja dan
anggaran
65.000.000 65.000.000
Penyusunan laporan, rencana kinerja dan
anggaran
1 laporan 30.000.000 30.000.000
Dispora
Budpar
Penyusunan laporan capaian kinerja dan ikhtisar
realisasi kinerja SKPD
25.000.000 25.000.000
Dispora
Budpar
Penyusunan laporan keuangan akhir tahun 1 laporan 10.000.000 10.000.000
Dispora
Budpar
Program pengembangan dan keserasian
kebijakan pemuda
Padangsidimpuan 247.000.000 247.000.000
Penyusunan rancangan pola kemitraan antar
pemuda dengan masyarakat
6 kec 92.000.000 92.000.000
Dispora
Budpar
Perluasan peny.rencana aksi daerah bidang
kepemudaan
6 kec 155.000.000 155.000.000
Dispora
Budpar
Program peningkatan peran serta kepemudaan Padangsidimpuan 572.000.000 561.000.000
Pendidikan dan pelatihan dasar kepemimpinan 1 keg 290.000.000 270.000.000
Dispora
Budpar
Fasilitasi aksi bhakti sosial kepemudaan 6 kec 52.000.000 55.000.000
Dispora
Budpar
Fasilitasi pekan temu wicara organisasi pemuda 6 kec 65.000.000 66.000.000
Dispora
Budpar
Lomba Kreasi dan karya tulis ilmiah di kalangan
pemuda
6 kec 85.000.000 85.000.000
Dispora
Budpar
Peringatan Hari Sumpah Pemuda 1 keg 80.000.000 85.000.000
Dispora
Budpar
Program pembinaan dan pemasyarakatan
olahraga
Padangsidimpuan 1.894.000.000 1.905.000.000
Pembibitan dan pembinaan olahragawan berbakat 3 cabor 250.000.000 250.000.000
Dispora
Budpar
Pembinaan cabor prestasi di tingkat daerah 3 cabor 300.000.000 300.000.000
Dispora
Budpar
Peningkatan kesegaran jasmani dan rekreasi 88 kali 78.000.000 80.000.000
Dispora
Budpar
Penyelenggaraan kompetisi olahraga 11 cabor 550.000.000 550.000.000
Dispora
Budpar
Pemassalan olahraga bagi pelajar, mahasiswa dan
masyarakat
1 keg 86.000.000 90.000.000
Dispora
Budpar
Pemberian penghargaan bagi insan olahraga yang
berdedikasi dan berprestasi
1 keg 130.000.000 135.000.000
Dispora
Budpar
Peningkatan jaminan kesejahteraan bagi masa
depan atlet, pelatih dan teknisi olahraga
10 cabor 100.000.000 100.000.000
Dispora
Budpar
Pembinaan olahraga yang berkembang di
masyarakat
2 keg 400.000.000 400.000.000
Dispora
Budpar
Program peningkatan sarana dan prasarana
olahraga
135.000.000 120.000.000
Pemeliharaan rutin / berkala sarana dan prsarana
olaharaga
Padangsidimpuan 2 lokasi 110.000.000 120.000.000
Dispora
Budpar
Peningkatan pembangunan sarana dan prasarana
olahraga
25.000.000
Dispora
Budpar
300.000.000 300.000.000 P2
Terlaksananya rancangan pola
kemitraan antar pemuda
dengan masyarakat
Tertanamnya rasa solidaritas
dan jiwa kepemimpinan bagi
pemuda serta cinta tanah air
Terlaksananya kegiatan
memasyarakatkan olahraga
dan mengolahragakan
masyarakat
Tersedianya dan
terpeliharanya sarana dan
prasarana olahraga
Rencana Program dan Kegiatan Prioritas Tahun 2015 Bidang Pemuda Olahraga Lembar : 3 dari 74
SKPD Jenis Keg Keterangan
Tolok Ukur Target Tolok Ukur Target Tolok Ukur Target 1/2/3 1/2/3 1/2/3
2 3 4 5 6 7 8 9 10 11 12 13 14 15 161
Nomor
Urusan/Bidang Urusan Pemerintahan Daerah
Dan Program/Kegiatan
Prioritas
Daerah
Sasaran
Daerah
Lokasi
Indikator kinerja
Pagu
Indikatif
Prakiraan
Maju
Keterangan
Hasil Program Keluaran Kegiatan Hasil Kegiatan
Program pembinaan dan pemasyarakatan
olahraga
Padangsidimpuan
300.000.000 300.000.000
Pelaksanaan identifikasi dan pengembangan
olahraga unggulan daerah 6 cabor 300.000.000 300.000.000
Dispora
Budpar
Rencana Program dan Kegiatan Prioritas Tahun 2015 Bidang Pemuda Olahraga Lembar : 4 dari 74
SKPD Jenis Keg Ket
Tolok
Ukur
Target
Tolok
Ukur
Target
Tolok
Ukur
Target 1/2/3 1/2/3 1/2/3
2 3 4 5 6 8 10 12 13 14 15 16
01 URUSAN WAJIB
01 19
BIDANG KESATUAN BANGSA DAN POLITIK
DALAM NEGERI
13.364.340.000 12.481.440.000
5.913.540.000 5.030.640.000 P1
Program Pelayanan Administrasi Perkantoran 1.215.500.000 1.215.500.000
Penyediaan Jasa Surat Menyurat Padangsidimpuan
Meningkatnya pelayanan
perkantoran
1 Thn
Penyediaan Jasa
Surat Menyurat
1 Thn
Tersedianya Jasa
Surat Menyurat
1 Thn 35.000.000 35.000.000
Kantor
kesbang
Penyediaan Jasa Komunikasi,Sumber Daya Air dan
Listrik
Padangsidimpuan
Meningkatnya pelayanan
perkantoran
1 Thn
Penyediaan Jasa
Komunikasi,Sum
ber Daya Air dan
Listrik
1 Thn
Tersedianya Jasa
Komunikasi,Sum
ber Daya Air dan
Listrik
1 Thn 37.000.000 37.000.000
Kantor
kesbang
Penyediaan Jasa Pemeliharaan dan Perizinan
kendaraan Dinas/Operasional
Padangsidimpuan
Meningkatnya pelayanan
perkantoran
1 Thn
Penyediaan Jasa
Pemeliharaan dan
Perizinan
kendaraan
Dinas/Operasiona
l
1 Thn
tersedianya Jasa
Pemeliharaan
dan Perizinan
kendaraan
Dinas/Operasion
al
1 Thn 2.500.000 2.500.000
Kantor
kesbang
Penyediaan Jasa Kebsrsihan Kantor Padangsidimpuan
Meningkatnya pelayanan
perkantoran
1 Thn
Penyediaan Jasa
Kebsrsihan
Kantor
1 Thn
Tersedianya Jasa
Kebsrsihan
Kantor
1 Thn 62.000.000 62.000.000
Kantor
kesbang
Penyediaan Alat Tulis Kantor Padangsidimpuan
Meningkatnya pelayanan
perkantoran
1 Thn
Penyediaan Alat
Tulis Kantor
1 Thn
Tersedianya Alat
Tulis Kantor
1 Thn 292.000.000 292.000.000
Kantor
kesbang
Penyediaan barang Cetakan dan Penggandaan Padangsidimpuan
Meningkatnya pelayanan
perkantoran
1 Thn
Penyediaan
barang
Cetakandan
Penggandaan
1 Thn
Tersedianya
barang
Cetakandan
Penggandaan
1 Thn 215.000.000 215.000.000
Kantor
kesbang
Penyediaan Komponen Instalasi Listrik/Penerangan
Bangunan Kantor
Padangsidimpuan
Meningkatnya pelayanan
perkantoran
1 Thn
Penyediaan
Komponen
Instalasi
Listrik/Peneranga
n Bangunan
Kantor
1 Thn
Tersedianya
Komponen
Instalasi
Listrik/Penerang
an Bangunan
Kantor
1 Thn 18.500.000 18.500.000
Kantor
kesbang
Penyediaan Peralatan Rumah tangga Padangsidimpuan
Meningkatnya pelayanan
perkantoran
1 Thn
Penyediaan
Peralatan Rumah
tangga
1 Thn
Tersedianya
Peralatan Rumah
tangga
1 Thn 13.500.000 13.500.000
Kantor
kesbang
Rencana Program dan Kegiatan Prioritas Daerah Tahun 2015
Kota Padangsidimpuan
Nomor
Urusan/Bidang Urusan Pemerintahan Daerah
Dan Program/Kegiatan
Prioritas
Daerah
Sasaran
Daerah
Lokasi
Indikator kinerja
1
Pagu
Indikatif
Prakiraan
Maju
Keterangan
Hasil Program
Keluaran
Kegiatan
Hasil Kegiatan
Rencana Program dan Kegiatan Prioritas Tahun 2015 Bidang Kesbang Lembar : 5 dari 74
SKPD Jenis Keg Ket
Tolok
Ukur
Target
Tolok
Ukur
Target
Tolok
Ukur
Target 1/2/3 1/2/3 1/2/3
2 3 4 5 6 8 10 12 13 14 15 16
Nomor
Urusan/Bidang Urusan Pemerintahan Daerah
Dan Program/Kegiatan
Prioritas
Daerah
Sasaran
Daerah
Lokasi
Indikator kinerja
1
Pagu
Indikatif
Prakiraan
Maju
Keterangan
Hasil Program
Keluaran
Kegiatan
Hasil Kegiatan
Penyediaan Bahan Bacaan dan Peraturan Perundang
- undang
Padangsidimpuan
Meningkatnya pelayanan
perkantoran
1 Thn
Penyediaan
Bahan Bacaan
dan Peraturan
Perundang -
undang
1 Thn
Tersedianya
Bahan Bacaan
dan Peraturan
Perundang -
undang
1 Thn 18.000.000 18.000.000
Kantor
kesbang
Penyediaan Makanan dan Minuman Padangsidimpuan
Meningkatnya pelayanan
perkantoran
1 Thn
Penyediaan
Makanan dan
Minuman
1 Thn
Tersedianya
Makanan dan
Minuman
1 Thn 97.000.000 97.000.000
Kantor
kesbang
Rapar - rapat koordinasi dan konsultasi ke luar
Daerah
Padangsidimpuan
Meningkatnya pelayanan
perkantoran
1 Thn
Rapar - rapat
koordinasi dan
konsultasi ke luar
Daerah
1 Thn
Rapar - rapat
koordinasi dan
konsultasi ke
luar Daerah
1 Thn 310.000.000 310.000.000
Kantor
kesbang
Rapar - rapat koordinasi dan konsultasi ke luar
Daerah
Padangsidimpuan
Meningkatnya pelayanan
perkantoran
1 Thn
Rapar - rapat
koordinasi dan
konsultasi ke
dalam Daerah
1 Thn
Rapar - rapat
koordinasi dan
konsultasi ke
dalam Daerah
1 Thn 10.000.000 10.000.000
Kantor
kesbang
Penyediaan Jasa Keamanan Kantor Padangsidimpuan
Meningkatnya pelayanan
perkantoran
1 Thn
Penyediaan Jasa
Keamanan Kantor
1 Thn
Tersedianya
Jasa Keamanan
Kantor
1 Thn 105.000.000 105.000.000
Kantor
kesbang
Program Peningkatan Sarana dan Prasarana
Aparatur
1.370.690.000 494.690.000
Pembangunan Gedung Kantor
725.000.000
Kantor
kesbang
Pengadaan Kenderaan Dinas/Operasional 151.000.000
Kantor
kesbang
Pengadaan Perlengkapan Gedung Kantor Padangsidimpuan
Peningkatan
kualitas/kuantitas
sarana dan prasarana
Pengadaan
Perlengkapan
Gedung Kantor
Pengadaan
Perlengkapan
Gedung Kantor
50.000.000 50.000.000
Kantor
kesbang
Pengadaan Peralatan Gedung Kantor
Peningkatan
kualitas/kuantitas
sarana dan prasarana
Pengadaan
Peralatan Gedung
Kantor
Tersedianya
Perlengkapan
Gedung Kantor
300.000.000 300.000.000
Kantor
kesbang
Pemeliharaan Rutin/ Berkala Gedung Kantor Padangsidimpuan
Peningkatan
kualitas/kuantitas
sarana dan prasarana
Pemeliharaan
Rutin/ Berkala
Gedung Kantor
Tersedianya
Pemeliharaan
Rutin/ Berkala
Gedung Kantor
29.000.000 29.000.000
Kantor
kesbang
Pemeliharaan Rutin/Berkala kendaraan
Dinas/Operasional
Padangsidimpuan
Peningkatan
kualitas/kuantitas
sarana dan prasarana
Pemeliharaan
Rutin/Berkala
kendaraan
Dinas/Operasiona
l
Tersedianya
Pemeliharaan
Rutin/Berkala
kendaraan
Dinas/Operasion
al
115.690.000 115.690.000
Kantor
kesbang
Program Peningkatan Disiplin Aparatur 19.000.000 19.000.000
Pengadaan Pakaian khusus hari-hari tertentu Padangsidimpuan 19.000.000 19.000.000
Kantor
kesbang
Rencana Program dan Kegiatan Prioritas Tahun 2015 Bidang Kesbang Lembar : 6 dari 74
SKPD Jenis Keg Ket
Tolok
Ukur
Target
Tolok
Ukur
Target
Tolok
Ukur
Target 1/2/3 1/2/3 1/2/3
2 3 4 5 6 8 10 12 13 14 15 16
Nomor
Urusan/Bidang Urusan Pemerintahan Daerah
Dan Program/Kegiatan
Prioritas
Daerah
Sasaran
Daerah
Lokasi
Indikator kinerja
1
Pagu
Indikatif
Prakiraan
Maju
Keterangan
Hasil Program
Keluaran
Kegiatan
Hasil Kegiatan
Program Peningkatan Kapasitas Sumber Daya
Aparatur
170.000.000 170.000.000
Bimbingan Teknis Implementasi Peraturan
Perundang-undangan
170.000.000 170.000.000
Kantor
kesbang
Program Peningkatan Pengembangan Sistem
Pelaporan Capaian Kinerja dan Keuangan
33.450.000 26.550.000
Penyusunan Pelaporan Keuangan Akhir Tahun Padangsidimpuan
Penyusunan Pelaporan
Keuangan Akhir Tahun
Tercapainya
penyusunan
keuangan yang
baik
Tersedianya
laporan
Keuangan Akhir
Tahun
12.750.000 12.750.000
Kantor
kesbang
Penyusunan Renstra 6.900.000
Kantor
kesbang
Penyusunan Renja 6.900.000 6.900.000
Kantor
kesbang
Penyusunan RKA SKPD 6.900.000 6.900.000
Kantor
kesbang
Program Pemeliharaan Kantrantibmas dan
Pencegahan Tindak Kriminal
805.700.000 805.700.000
Peningkatan kerjasama dengan aparat keamanan
dalam teknik pencegahan kejahatan
Padangsidimpuan 298.600.000 298.600.000
Kantor
kesbang
Peningkatan kapasitas aparat dalam rangka
pelaksanaan siskamswakarsa di daerah
Padangsidimpuan 325.100.000 325.100.000
Kantor
kesbang
Sosialisasi Kewaspadaan Dini Masyarakat Padangsidimpuan 182.000.000 182.000.000
Kantor
kesbang
Program Pengembangan Wawasan Kebangsaan Padangsidimpuan 787.500.000 787.500.000
Peningkatan toleransi dan kerukunan dalam
kehidupan umat beragama
Padangsidimpuan 332.000.000 332.000.000
Kantor
kesbang
Peningkatan rasa solidaritas dan ikatan sosial di
kalangan masyarakat
Padangsidimpuan 261.500.000 261.500.000
Kantor
kesbang
Sosialisasi tentang pentingnya kerukunan umat
beragama dan wawasan persatuan bangsa
194.000.000 194.000.000
Kantor
kesbang
Program Kemitraan Pengembangan Wawasan
Kebangsaan
146.500.000 146.500.000
Seminar, talkshow, diskusi peningkatan wawasan
kebangsaan
78.000.000 78.000.000
Verifikasi organisasi kemasyarakatan Padangsidimpuan 68.500.000 68.500.000
Kantor
kesbang
Program Peningkatan Pemberantasan Penyakit
Masyarakat
1.240.000.000 1.240.000.000
Penyuluhan pencegahan peredaran/penggunaan
minuman keras dan narkoba
Padangsidimpuan 220.000.000 220.000.000
Kantor
kesbang
Sosialisasi tentang bahaya narkoba di tingkat SD 1.020.000.000 1.020.000.000
Rencana Program dan Kegiatan Prioritas Tahun 2015 Bidang Kesbang Lembar : 7 dari 74
SKPD Jenis Keg Ket
Tolok
Ukur
Target
Tolok
Ukur
Target
Tolok
Ukur
Target 1/2/3 1/2/3 1/2/3
2 3 4 5 6 8 10 12 13 14 15 16
Nomor
Urusan/Bidang Urusan Pemerintahan Daerah
Dan Program/Kegiatan
Prioritas
Daerah
Sasaran
Daerah
Lokasi
Indikator kinerja
1
Pagu
Indikatif
Prakiraan
Maju
Keterangan
Hasil Program
Keluaran
Kegiatan
Hasil Kegiatan
Program Pendidikan Politik Masyarakat 125.200.000 125.200.000
Monitoring, Evaluasi dan Pelaporan Padangsidimpuan 50.000.000 50.000.000
Kantor
kesbang
Verifikasi Bantuan Keuangan Kepada Partai Politik Padangsidimpuan 75.200.000 75.200.000
Kantor
kesbang
760.000.000 760.000.000 P2
Program peningkatan sarana dan prasarana
aparatur
500.000.000 500.000.000
Pengadaan perlengkapan gedung kantor Padangsidimpuan
Perlengkapan gedung
kantor
Perlengkapan
gedung kantor
Tersedianya
Perlengkapan
gedung kantor
500.000.000 500.000.000
Kantor
kesbang
Program pemeliharaan kantrantibmas dan
pencegahan tindak kriminal
200.000.000 200.000.000
Sosialisasi pencegahan terorisme bagi masyarakat
kota padangsidimpuan
Padangsidimpuan 200.000.000 200.000.000
Kantor
kesbang
Program pendidikan politik masyarakat 60.000.000 60.000.000
Kantor
kesbang
Kegiatan talk show sosialisasi penyuluhan kepada
organisasi kemasyarakatan dan lembaga swadaya
masyarakat
Padangsidimpuan
Meningkatnya pelayanan
perkantoran
Penyediaan Alat
Tulis Kantor
Tersedianya Alat
Tulis Kantor
60.000.000 60.000.000
Kantor
kesbang
6.690.800.000 6.690.800.000 P1
Program Pelayanan Administrasi Perkantoran 3.020.890.000 2.246.000.000
Penyediaan Jasa Komunikasi, Sumber Daya Air dan
Listrik
Padangsidimpuan
Meningkatnya pelayanan
perkantoran
12 Bulan
Terlaksananya
pembayaran
rekening telepon,
air dan listrik
12 Bulan
Terlaksananya
pembayaran
rekening telepon,
air dan listrik
12 Bulan 27.000.000 27.000.000
Kantor
Satpol PP
Penyediaan Jasa Jaminan Pemeliharaan Kesehatan
PNS
Padangsidimpuan
Meningkatnya pelayanan
perkantoran
155 org
Tersedianya
jaminan
pemeliharaan
kesehatan PNS
155 org
Tersedianya
jaminan
pemeliharaan
kesehatan PNS
155 org 19.000.000 25.000.000
Kantor
Satpol PP
Penyediaan Jasa Jaminan Barang Milik Daerah Padangsidimpuan
Meningkatnya pelayanan
perkantoran
13 Pucuk
Terlaksananya
pembayaran izin
senjata api
13 Pucuk
Terlaksananya
pembayaran izin
senjata api
13 Pucuk 58.000.000 58.000.000
Kantor
Satpol PP
Penyediaan Jasa Kebersihan Kantor Padangsidimpuan
Meningkatnya pelayanan
perkantoran
12 Bulan
Terlaksananya
kebersihan kantor
12 Bulan
Terlaksananya
kebersihan
kantor
12 Bulan 35.000.000 35.000.000
Kantor
Satpol PP
Penyediaan Alat Tulis kantor Padangsidimpuan
Meningkatnya pelayanan
perkantoran
1 Thn
Tersedianya alat
tulis kantor
1 Thn
Tersedianya alat
tulis kantor
1 Thn 35.000.000 35.000.000
Kantor
Satpol PP
Penyediaan Barang Cetakan dan Penggandaan Padangsidimpuan
Meningkatnya pelayanan
perkantoran
12 Bulan
Tersedianya
barang cetakan
12 Bulan
Tersedianya
barang cetakan
12 Bulan 27.000.000 27.000.000
Kantor
Satpol PP
Rencana Program dan Kegiatan Prioritas Tahun 2015 Bidang Kesbang Lembar : 8 dari 74
SKPD Jenis Keg Ket
Tolok
Ukur
Target
Tolok
Ukur
Target
Tolok
Ukur
Target 1/2/3 1/2/3 1/2/3
2 3 4 5 6 8 10 12 13 14 15 16
Nomor
Urusan/Bidang Urusan Pemerintahan Daerah
Dan Program/Kegiatan
Prioritas
Daerah
Sasaran
Daerah
Lokasi
Indikator kinerja
1
Pagu
Indikatif
Prakiraan
Maju
Keterangan
Hasil Program
Keluaran
Kegiatan
Hasil Kegiatan
Penyediaan Komponen Instalasi Listrik/Penerangan
Bangunan kantor
Padangsidimpuan
Meningkatnya pelayanan
perkantoran
1 Thn
Tersedianya
komponen
instalasi listrik
1 Thn
Tersedianya
komponen
instalasi listrik
1 Thn 3.000.000 3.000.000
Kantor
Satpol PP
Penyediaan Peralatan Rumah Tangga 6.500.000 6.500.000
Penyediaan Bahan Bacaan dan Peraturan Perundang-
undangan
Padangsidimpuan
Meningkatnya pelayanan
perkantoran
12 Bulan
Tersedianya
bahan bacaan
12 Bulan
Tersedianya
bahan bacaan
12 Bulan 25.000.000 25.000.000
Kantor
Satpol PP
Penyediaan Makanan dan Minuman Padangsidimpuan
Meningkatnya pelayanan
perkantoran
12 Bulan
Terlaksananya
makan minum
rapat
tamu,pegawai dan
penjagaan
12 Bulan
Terlaksananya
makan minum
rapat
tamu,pegawai
dan penjagaan
12 Bulan 665.000.000 665.000.000
Kantor
Satpol PP
Rapat-rapat Koordinasi dan Konsultasi Ke Luar
Daerah
Dalam dan Luar
Daerah
Meningkatnya pelayanan
perkantoran
1181 OH
Terlaksananya
perjalanan dinas
1181 OH
Terlaksananya
perjalanan dinas
1181 OH 672.890.000 672.890.000
Kantor
Satpol PP
Rapat-rapat Koordinasi dan Konsultasi Dalam
Daerah
32.500.000 32.500.000
Kantor
Satpol PP
Penyediaan Jasa Keamanan Kantor Padangsidimpuan
Meningkatnya pelayanan
perkantoran
110 org
Tersedianya jasa
keamanan Kantor
110 org
Tersedianya jasa
keamanan
Kantor
110 org 1.310.000.000 1.310.000.000
Kantor
Satpol PP
Penyediaan Jasa Administrasi Perkantoran Padangsidimpuan
Meningkatnya pelayanan
perkantoran
11 org
terlaksananya
jasa administrasi
11 org
terlaksananya
jasa administrasi
11 org 105.000.000 107.000.000
Kantor
Satpol PP
Program Peningkatan Sarana dan Prasarana
Aparatur
1.123.100.000 1.123.500.000
Pengadaan Kenderaan Dinas/Operasional
Padangsidimpuan
Peningkatan
kualitas/kuantitas
sarana dan prasarana
3 Unit
bertambah
kenderaan
dinas/operasional 3 Unit
bertambah
kenderaan
dinas/operasiona
l
3 Unit 615.000.000 615.000.000
Kantor
Satpol PP
Pengadaan Perlengkapan Gedung Kantor
Padangsidimpuan
Peningkatan
kualitas/kuantitas
sarana dan prasarana
78
bh/set
Tersedianya
Perlengkapan
Kantor
78
bh/set
Tersedianya
Perlengkapan
Kantor
78
bh/set
5.500.000 5.500.000
Kantor
Satpol PP
Pengadaan Peralatan Gedung Kantor Padangsidimpuan
Peningkatan
kualitas/kuantitas
sarana dan prasarana
19 Unit
Tersedianya
peralatan kantor
19 Unit
Tersedianya
peralatan kantor
19 Unit 60.000.000 60.000.000
Kantor
Satpol PP
Pengadaan Mebeleur 52.500.000 52.500.000
Kantor
Satpol PP
Pemeliharaan Rutin/Berkala Gedung Kantor Padangsidimpuan
Peningkatan
kualitas/kuantitas
sarana dan prasarana
1 Kali
Terjaganya
Keutuhan
Bangunan Kantor
1 Kali
Terjaganya
Keutuhan
Bangunan
Kantor
1 Kali 9.600.000 10.000.000
Kantor
Satpol PP
Pemeliharaan Rutin/Berkala Kenderaan
Dinas/Operasional
Padangsidimpuan
Pengadaan Pakaian
Dinas Beserta
Perlengkapannya
11 Unit
Terlaksananya
perbaikan, service
dan BBM
kenderaan
11 Unit
Terlaksananya
perbaikan,
service dan BBM
kenderaan
11 Unit 310.000.000 310.000.000
Kantor
Satpol PP
Rencana Program dan Kegiatan Prioritas Tahun 2015 Bidang Kesbang Lembar : 9 dari 74
SKPD Jenis Keg Ket
Tolok
Ukur
Target
Tolok
Ukur
Target
Tolok
Ukur
Target 1/2/3 1/2/3 1/2/3
2 3 4 5 6 8 10 12 13 14 15 16
Nomor
Urusan/Bidang Urusan Pemerintahan Daerah
Dan Program/Kegiatan
Prioritas
Daerah
Sasaran
Daerah
Lokasi
Indikator kinerja
1
Pagu
Indikatif
Prakiraan
Maju
Keterangan
Hasil Program
Keluaran
Kegiatan
Hasil Kegiatan
Pemeliharaan Rutin/Berkala Peralatan Gedung
Kantor
Padangsidimpuan 1 thn
Terlaksananya
pemeliharaan
peralatan gedung
kantor
1 Tahun
Terlaksananya
pemeliharaan
peralatan gedung
kantor
1 Tahun 5.500.000 5.500.000
Kantor
Satpol PP
Pengadaan alat peersenjataan/keamanan 65.000.000 65.000.000
Kantor
Satpol PP
Program Peningkatan Disiplin Aparatur 282.860.000 282.860.000
Pengadaan Pakaian Dinas Beserta Perlengkapannya Padangsidimpuan Tersedianya pakaian
Dinas PNS
158 Stel
Tersedianya
pakaian Dinas
PNS
158 Stel
Tersedianya
pakaian Dinas
PNS
158 Stel 280.000.000 280.000.000
Kantor
Satpol PP
Pengadaan Pakaian Khusus Hari-hari Tertentu Padangsidimpuan Tersedianya pakaian
khusus hari-hari tertentu
PNS
158 stel
Tersedianya
pakaian khusus
hari-hari tertentu
PNS
158 stel
Tersedianya
pakaian khusus
hari-hari tertentu
PNS
158 stel 2.860.000 2.860.000
Kantor
Satpol PP
Program Penigkatan Kapasitas Sumber Daya
Aparatur
205.000.000 205.000.000
Pembinaan Peningkatan Sumber Daya Aparatur Padangsidimpuan
Meningkatnya
Sumberdaya Aparatur
1
kegiata
n
205.000.000 205.000.000
Kantor
Satpol PP
Program Peningkatan Pengembangan Sistem
Pelaporan Capaian Kinerja dan Keuangan
13.950.000 13.950.000
Penyusunan Laporan Capaian Kinerja dan Ikhtisar
Realisasi Kinerja SKPD
Padangsidimpuan
Terselenggaranya laporan
capaian SKPD
448 OJ
Terselenggaranya
laporan capaian
SKPD
448 OJ
Terselenggaranya
laporan capaian
SKPD
448 OJ 8.500.000 8.500.000
Kantor
Satpol PP
Penyusunan Laporan Keuangan Akhir Tahun Padangsidimpuan
Terselenggaranya laporan
keuangan akhir tahun
384 OJ
Terselenggaranya
laporan keuangan
akhir tahun
384 OJ
Terselenggaranya
laporan
keuangan akhir
tahun
384 OJ 5.450.000 5.450.000
Kantor
Satpol PP
Program Peningkatan Keamanan dan Kenyaman
Lingkungan
1.255.000.000 1.255.000.000
Penyiapan tenaga Pengendali Keamanan dan
Kenyamanan Lingkungan
Padangsidimpuan
Terselenggaranya
pelatihan
135 Kali
Terselenggaranya
pelatihan
135 Kali
Terselenggaranya
pelatihan
135 Kali 150.000.000 150.000.000
Kantor
Satpol PP
Pengendalian Keamanan Lingkungan Padangsidimpuan
Terselenggaranya
pengendalian keamanan
lingkungan
1 Thn
Terselenggaranya
pengendalian
keamanan
lingkungan
1 Thn
Terselenggaranya
pengendalian
keamanan
lingkungan
1 Thn 595.000.000 595.000.000
Kantor
Satpol PP
Monitoring Evaluasi dan Pelaaporan 510.000.000 510.000.000
Kantor
Satpol PP
Program Pemeliharaan Kantrantibmas dan
Pencegahan Tindak Kriminal
520.000.000 520.000.000
Pengawasan Pengendalian dan Evaluasi Kegiatan
Polisi Pamong Praja
Padangsidimpuan
Terlaksananya suasana
kondusif
1 Thn
Terlaksananya
suasana kondusif
1 Thn
Terlaksananya
suasana
kondusif
1 Thn 520.000.000 520.000.000
Kantor
Satpol PP
Rencana Program dan Kegiatan Prioritas Tahun 2015 Bidang Kesbang Lembar : 10 dari 74
SKPD Jenis Keg Ket
Tolok
Ukur
Target
Tolok
Ukur
Target
Tolok
Ukur
Target 1/2/3 1/2/3 1/2/3
2 3 4 5 6 8 10 12 13 14 15 16
Nomor
Urusan/Bidang Urusan Pemerintahan Daerah
Dan Program/Kegiatan
Prioritas
Daerah
Sasaran
Daerah
Lokasi
Indikator kinerja
1
Pagu
Indikatif
Prakiraan
Maju
Keterangan
Hasil Program
Keluaran
Kegiatan
Hasil Kegiatan
Program Penigkatan pemberantasan Penyakit
Masyarakat ( Pekat )
160.000.000 160.000.000
Penyuluhan Pencegahan Eksploitasi anak bawah
umur
Padangsidimpuan 1 Thn 1 Thn 1 Thn 160.000.000 160.000.000
Kantor
Satpol PP
Program Pemberdayaan Masyarakat Untuk
Menjaga Ketertiban Dan Keamanan
110.000.000 110.000.000
Pembentukan Satuan Keamanan Lingkungan di
Masyarakat
Padangsidimpuan
Terbentuknya Satuan
Keamanan Lingkungan di
Masyarakat
6
kecama
tan
Terbentuknya
Satuan
Keamanan
Lingkungan di
Masyarakat
6
kecamat
an
Terbentuknya
Satuan
Keamanan
Lingkungan di
Masyarakat
6
kecamat
an
110.000.000 110.000.000
Kantor
Satpol PP
Rencana Program dan Kegiatan Prioritas Tahun 2015 Bidang Kesbang Lembar : 11 dari 74
SKPD Jenis Keg Ket
Tolok Ukur Tolok Ukur Tolok Ukur 1/2/3 1/2/3 1/2/3
2 3 4 5 6 8 10 12 13 14 15 16
01 URUSAN WAJIB
01 20 BIDANG PEMERINTAHAN UMUM 92.080.224.242 63.036.822.278
15.225.000.000 13.518.500.000
Program Pelayanan Administrasi
Perkantoran
5.706.500.000 7.093.500.000
Penyediaan Jasa Surat Menyurat Padangsidimpuan Terlaksananya tugas-tugas
diluar jam kerja
Terlaksananya tugas-tugas
diluar jam kerja
90% Terlaksananya tugas-tugas
diluar jam kerja
90% 76.000.000 80.000.000 Setda
Penyediaan Jasa Komunikasi, Sumber Daya
Air dan Listrik
Padangsidimpuan Terpenuhinya Jasa Pihak
Ketiga
Terpenuhinya Jasa Pihak
Ketiga
100% Terpenuhinya Jasa Pihak
Ketiga
100% 451.000.000 650.000.000 Setda
Penyediaan Jasa Peralatan dan Perlengkapan
Kantor
Padangsidimpuan Tersedianya Peralatan dan
Perlengkapan Kantor
Tersedianya Peralatan dan
Perlengkapan Kantor
80% Tersedianya Peralatan dan
Perlengkapan Kantor
80% 254.000.000 300.000.000 Setda
Penyediaan Jasa Pemeliharaan dan Perizinan
Kendaraan Dinas/Operasional
Padangsidimpuan Terlaksananya
pemamfaatan dan
Penggunaan Aset Daerah
Terlaksananya
pemamfaatan dan
Penggunaan Aset Daerah
85% Terlaksananya
pemamfaatan dan
Penggunaan Aset Daerah
85% 125.000.000 900.000.000 Setda
Penyediaan Jasa Kebersihan Kantor Padangsidimpuan Terpenuhinya Petugas
Kebersihan Gedung /
Kantor dan Rumah Dinas
Terpenuhinya Petugas
Kebersihan Gedung /
Kantor dan Rumah Dinas
100% Terpenuhinya Petugas
Kebersihan Gedung /
Kantor dan Rumah Dinas
100% 385.000.000 450.000.000 Setda
Penyediaan Alat Tulis Kantor Padangsidimpuan Terlaksananya Sarana dan
Prasarana Kerja Pegawai
Terlaksananya Sarana dan
Prasarana Kerja Pegawai
85% Terlaksananya Sarana dan
Prasarana Kerja Pegawai
85% 200.000.000 275.000.000 Setda
Penyediaan Barang Cetakan dan
Penggandaan
Padangsidimpuan Terlaksananya Sarana dan
Prasarana Kerja Pegawai
Terlaksananya Sarana dan
Prasarana Kerja Pegawai
85% Terlaksananya Sarana dan
Prasarana Kerja Pegawai
85% 280.000.000 200.000.000 Setda
Penyediaan Komponen Instalasi
Listrik/Penerangan Bangunan Kantor
Padangsidimpuan Pemeliharaan dan
Penggantian Perlengkapan
Kantor dan Rumah Dinas
Pemeliharaan dan
Penggantian Perlengkapan
Kantor dan Rumah Dinas
80% Pemeliharaan dan
Penggantian Perlengkapan
Kantor dan Rumah Dinas
80% 160.000.000 190.000.000 Setda
Penyediaan Peralatan dan Perlengkapan
Kantor
Padangsidimpuan Jumlah Perlatan dan
Perlengkapan Inventaris
Jumlah Perlatan dan
Perlengkapan Inventaris
75% Jumlah Perlatan dan
Perlengkapan Inventaris
75% 102.000.000 100.000.000 Setda
Penyediaan Peralatan Rumah Tangga Padangsidimpuan Tersedianya Peralatan
Rumah Tangga
Tersedianya Peralatan
Rumah Tangga
Tersedianya Peralatan
Rumah Tangga
23.000.000 23.000.000 Setda
Penyediaan Makanan dan Minuman Padangsidimpuan Tersedianya Makan dan
Minum Pegawai dan Tamu
serta KDH
Tersedianya Makan dan
Minum Pegawai dan Tamu
serta KDH
90% Tersedianya Makan dan
Minum Pegawai dan Tamu
serta KDH
90% 1.100.000.000 1.300.000.000 Setda
Rapat-rapat koordinasi dan Konsultasi ke
Luar Daerah
Dalam dan Luar
Daerah
Tersedianya Biaya
Koordinasi Keluar Daerah
Tersedianya Biaya
Koordinasi Keluar Daerah
90% Tersedianya Biaya
Koordinasi Keluar Daerah
90% 1.350.000.000 1.400.000.000 Setda
Penyediaaan Jasa Keamanan Kantor Padangsidimpuan Terpenuhinya Petugas
Keamanan Kantor
Terpenuhinya Petugas
Keamanan Kantor
90% Terpenuhinya Petugas
Keamanan Kantor
90% 205.000.000 225.000.000 Setda
Penyediaan jasa administrasi perkantoran Padangsidimpuan Terlaksannya Pelaksanaan
Kegiatan rutin Perkantoran
Terlaksannya Pelaksanaan
Kegiatan rutin Perkantoran
100% Terlaksannya Pelaksanaan
Kegiatan rutin Perkantoran
100% 595.000.000 600.000.000 Setda
Penyediaan bahan bacaan dan peraturan
perundang-undangan
390.000.000 390.000.000 Setda
Penyediaan jasa perbaikan peralatan kerja 9.000.000 9.000.000 Setda
Penyediaan Peralatan Rumah Tangga Padangsidimpuan Tersedianya Peralatan
Rumah Tangga
Tersedianya Peralatan
Rumah Tangga
Tersedianya Peralatan
Rumah Tangga
1.500.000 1.500.000 Setda
Program Peningkatan Sarana dan
Prasarana Aparatur
8.629.000.000 5.365.000.000
Rencana Program dan Kegiatan Prioritas Daerah Tahun 2015
Kota Padangsidimpuan
Nomor
Urusan/Bidang Urusan Pemerintahan
Daerah
Dan Program/Kegiatan
Prioritas
Daerah
Sasaran
Daerah
Lokasi
Indikator kinerja
Pagu
Indikatif
Prakiraan
Maju
Keterangan
Hasil Program
Keluaran
Kegiatan
Hasil Kegiatan
Target Target Target
1 7 9 11
Rencana Program dan Kegiatan Prioritas Tahun 2015 BIDANG PEMERINTAHAN UMUM Lembar 12 dari 74
SKPD Jenis Keg Ket
Tolok Ukur Tolok Ukur Tolok Ukur 1/2/3 1/2/3 1/2/3
2 3 4 5 6 8 10 12 13 14 15 16
Nomor
Urusan/Bidang Urusan Pemerintahan
Daerah
Dan Program/Kegiatan
Prioritas
Daerah
Sasaran
Daerah
Lokasi
Indikator kinerja
Pagu
Indikatif
Prakiraan
Maju
Keterangan
Hasil Program
Keluaran
Kegiatan
Hasil Kegiatan
Target Target Target
1 7 9 11
Pengadaan Mobil Jabatan Padangsidimpuan 1.800.000.000 Setda
Pengadaan Kendaraan Dinas/Operasional Padangsidimpuan Penyediaan Sarana
Mobilitas Kerja
Penyediaan Sarana
Mobilitas Kerja
1 unit Penyediaan Sarana
Mobilitas Kerja
1 unit 1.950.000.000 1.000.000.000 Setda
Pengadaan Perlengkapan Rumah
Jabatan/Dinas
Padangsidimpuan Penyediaan Rencana
Kebutuhan Alat dan
Peralatan Rumah Tangga
Penyediaan Rencana
Kebutuhan Alat dan
Peralatan Rumah Tangga
90% Penyediaan Rencana
Kebutuhan Alat dan
Peralatan Rumah Tangga
90% 222.000.000 150.000.000 Setda
Pengadaan Perlengkapan Gedung Kantor Padangsidimpuan
Rencana Kebutuhan
Inventaris Kantor
Rencana Kebutuhan
Inventaris Kantor
90%
Rencana Kebutuhan
Inventaris Kantor
90% 760.000.000 500.000.000 Setda
Pengadaan Peralatan Rumah Jabatan/ Dinas Padangsidimpuan Rencana Kebutuhan
Inventaris Rumah
Jabatan/Dinas
Rencana Kebutuhan
Inventaris Rumah
Jabatan/Dinas
90% Rencana Kebutuhan
Inventaris Rumah
Jabatan/Dinas
90% 47.000.000 50.000.000 Setda
Pengadaan Peralatan Gedung Kantor Padangsidimpuan Rencana Kebutuhan
Inventaris Kantor
Rencana Kebutuhan
Inventaris Kantor
90% Rencana Kebutuhan
Inventaris Kantor
90% 400.000.000 500.000.000 Setda
Pengadaan Mebeleur Padangsidimpuan Penyediaan Rencana
Kebutuhan Mebeleur
Gedung / Kantor dan
Rumah Dinas
Penyediaan Rencana
Kebutuhan Mebeleur
Gedung / Kantor dan
Rumah Dinas
85% Penyediaan Rencana
Kebutuhan Mebeleur
Gedung / Kantor dan
Rumah Dinas
85% 240.000.000 300.000.000 Setda
Pemeliharaan Rutin/Berkala Rumah Jabatan Padangsidimpuan Terpeliharanya Fisk
Bangunan Rumah Jabatan
Terpeliharanya Fisk
Bangunan Rumah Jabatan
80% Terpeliharanya Fisk
Bangunan Rumah Jabatan
80% 100.000.000 350.000.000 Setda
Pemeliharaan Rutin/Berkala Gedung Kantor Padangsidimpuan Terpeliharanya Fisk
Bangunan Gedung /
Kantor dan Mess
Terpeliharanya Fisk
Bangunan Gedung / Kantor
dan Mess
80% Terpeliharanya Fisk
Bangunan Gedung / Kantor
dan Mess
80% 160.000.000 350.000.000 Setda
Pemeliharaan Rutin/Berkala Mobil Jabatan Padangsidimpuan Terpeliharanya Kualitas
Mobil Jabatan/ Dinas
Terpeliharanya Kualitas
Mobil Jabatan/ Dinas
80% Terpeliharanya Kualitas
Mobil Jabatan/ Dinas
80% 215.000.000 225.000.000 Setda
Pemeliharaan Rutin/Berkala Kenderaan
Dinas Operasional
Padangsidimpuan Terpeliharanya Kualitas
Kenderaan Dinas
Operasional
Terpeliharanya Kualitas
Kenderaan Dinas
Operasional
80% Terpeliharanya Kualitas
Kenderaan Dinas
Operasional
80% 1.215.000.000 1.450.000.000 Setda
Pemeliharaan Rutin/Berkala Perlengkapan
Rumah Jabatan/Dinas
Padangsidimpuan Terpeliharanya Kualitas
Inventaris Rumah Dinas
Terpeliharanya Kualitas
Inventaris Rumah Dinas
80% Terpeliharanya Kualitas
Inventaris Rumah Dinas
80% 15.000.000 75.000.000 Setda
Pemeliharaan Rutin/Berkala Perlengkapan
Gedung Kantor
Padangsidimpuan Terpeliharanya Inventaris
Gedung / Kantor dan Mess
Terpeliharanya Inventaris
Gedung / Kantor dan Mess
80% Terpeliharanya Inventaris
Gedung / Kantor dan Mess
80% 130.000.000 160.000.000 Setda
Pemeliharaan Rutin/Berkala Peralatan
Rumah Jabatan/Dinas
Padangsidimpuan Terpeliharanya Peralatan /
Rumah Tangga Rumah
Dinas
Terpeliharanya Peralatan /
Rumah Tangga Rumah
Dinas
80% Terpeliharanya Peralatan /
Rumah Tangga Rumah
Dinas
80% 22.000.000 30.000.000 Setda
Pemeliharaan Rutin/Berkala Peralatan
Gedung Kantor
Padangsidimpuan Terpeliharanya Peralatan
Gedung dalam Menunjang
Pelayanan Kerja Aparatur
Terpeliharanya Peralatan
Gedung dalam Menunjang
Pelayanan Kerja Aparatur
80% Terpeliharanya Peralatan
Gedung dalam Menunjang
Pelayanan Kerja Aparatur
80% 78.000.000 75.000.000 Setda
Pemeliharaan Rutin/Berkala Mebeleur Padangsidimpuan Terpeliharanya Kualitas
Mebeleur Gedung / Kantor
Terpeliharanya Kualitas
Mebeleur Gedung / Kantor
80% Terpeliharanya Kualitas
Mebeleur Gedung / Kantor
80% 50.000.000 75.000.000 Setda
Rehabilitasi Sedang/Berat Gedung Kantor Padangsidimpuan Terpeliharanya Kualitas
Gedung / Kantor
Terpeliharanya Kualitas
Gedung / Kantor
80% Terpeliharanya Kualitas
Gedung / Kantor
80% 1.225.000.000 75.000.000 Setda
Program Peningkatan Disiplin Aparatur 442.000.000 495.000.000
Pengadaan Pakaian Dinas beserta
perlengkapannya
100.000.000 120.000.000 Setda
Pengadaan Pakaian Dinas beserta
perlengkapannya
315.000.000 345.000.000 Setda
Rencana Program dan Kegiatan Prioritas Tahun 2015 BIDANG PEMERINTAHAN UMUM Lembar 13 dari 74
SKPD Jenis Keg Ket
Tolok Ukur Tolok Ukur Tolok Ukur 1/2/3 1/2/3 1/2/3
2 3 4 5 6 8 10 12 13 14 15 16
Nomor
Urusan/Bidang Urusan Pemerintahan
Daerah
Dan Program/Kegiatan
Prioritas
Daerah
Sasaran
Daerah
Lokasi
Indikator kinerja
Pagu
Indikatif
Prakiraan
Maju
Keterangan
Hasil Program
Keluaran
Kegiatan
Hasil Kegiatan
Target Target Target
1 7 9 11
Pengadaan Pakaian Kerja Lapangan 27.000.000 30.000.000 Setda
Program Peningkatan Kapasitas Sumber
Daya Aparatur
365.000.000 475.000.000
Pendidikan dan Pelatihan Formal Padangsidimpuan Pemahaman dan
Pelaksanaan Peraturan
Perundang-undangan yang
Pemahaman dan
Pelaksanaan Peraturan
Perundang-undangan yang
90% Pemahaman dan
Pelaksanaan Peraturan
Perundang-undangan yang
90% 100.000.000 200.000.000 Setda
Pendidikan dan Pelatihan Formal Pemahaman dan
Pelaksanaan Peraturan
Perundang-undangan yang
Pemahaman dan
Pelaksanaan Peraturan
Perundang-undangan yang
Pemahaman dan
Pelaksanaan Peraturan
Perundang-undangan yang
265.000.000 275.000.000 Setda
Program Peningkatan Pengembangan
Sistem Pelaporan Capaian Kinerja dan
Keuangan
82.500.000 90.000.000
Penyusunan Laporan Capaian Kinerja dan
Ikhtisar Realisasi Kinerja SKPD
Padangsidimpuan Laporan capaian kinerja
dan iktisar realisasi
anggaran persemester
Laporan capaian kinerja
dan iktisar realisasi
anggaran persemester
90% Laporan capaian kinerja
dan iktisar realisasi
anggaran persemester
90% 35.000.000 40.000.000 Setda
Penyusunan Perjanjian Kinerja Kota
Padangsidimpuan
Padangsidimpuan 47.500.000 50.000.000 Setda
2.462.500.000 2.020.500.000
Program Pelayanan Administrasi
Perkantoran
9.000.000 9.000.000
Penyediaan Bahan Bacaan dan Peraturan
Perundang-undangan
Padangsidimpuan Meningkatnya Pelayanan
Perkantoran
Peningkatan pelayanan
administrasi
1 Thn Peningkatan pelayanan
administrasi
1 Thn 9.000.000 9.000.000 Setda
Program Peningkatan Kapasitas Sumber
Daya Aparatur
65.000.000 65.000.000
Bimbingan Teknis Implementasi Peraturan
Perundang-undangan
Dalam dan Luar
Daerah
Peningkatan Etos kerja dan
rasa tanggungjawab
aparatur menuju pelayanan
prima
7 kali Peningkatan Etos kerja dan
rasa tanggungjawab
aparatur menuju pelayanan
prima
7 kali 65.000.000 65.000.000 Setda
Penyelesaian Konflik-Konflik Pertanahan 69.000.000 70.000.000
Penyelesaian aset Tanah Pemerintah Kota Padangsidimpuan Terselesaikannya Konflik
mengenai aset Tanah
1 Thn Terselesaikannya Konflik
mengenai aset Tanah
1 Thn 69.000.000 70.000.000 Setda
Program Peningkatan Pelayanan Kedinasan
Kepala Daerah/Wakil Kepala Daerah
13.500.000 14.500.000
Rapat Koordinasi Pejabat Pemerintahan
Daerah
Dalam dan Luar
Daerah
Peningkatan koordinasi
penyusunan perumusan
kebijakan pemerintahan
dan pelayanan publik
37 SKPD Peningkatan koordinasi
penyusunan perumusan
kebijakan pemerintahan
dan pelayanan publik
37 SKPD 6.000.000 6.000.000 Setda
Pelaporan Pejabat Pembuat Akta Tanah Padangsidimpuan Merangkum Laporan dari
Pejabat Pembuat Akta
Tanah
6
Kecamatan
Merangkum Laporan dari
Pejabat Pembuat Akta
Tanah
6
Kecamatan
7.500.000 8.500.000 Setda
Program Peningkatan Sistem Pengawasan
Internal dan Pengendalian Pelaksanaan
Kebijakan KDH
70.000.000 70.000.000
Administrasi Penunjang Kegiatan Bagian
Administasi Bagian Pemerintahan Umum
Padangsidimpuan Terselenggaranya
Administrasi Kegiatan
Bagian Pemerintahan
Umum
1 Thn Terselenggaranya
Administrasi Kegiatan
Bagian Pemerintahan
Umum
1 Thn 10.000.000 10.000.000 Setda
Evaluasi Penyelenggaraan Pemerintahan
Daerah
Padangsidimpuan Peningkatan Kinerja
Aparatur
1 Kegiatan Peningkatan Kinerja
Aparatur
1 Kegiatan 60.000.000 60.000.000 Setda
Program Optimalisasi Pemanfaatan
Teknologi Informasi
635.000.000 650.000.000
Penyebarluasan Informasi Penyelenggaraan
Pemerintahan Daerah
Padangsidimpuan Terselesaikannya Laporan
Informasi Penyelenggraaan
Pemerintah Daerah beserta
Suplemennya
37 SKPD Terselesaikannya Laporan
Informasi Penyelenggraaan
Pemerintah Daerah beserta
Suplemennya
37 SKPD 635.000.000 650.000.000 Setda
Program Peningkatan Kerjasama Antar
Pemerintah Daerah
330.000.000 330.000.000
Rencana Program dan Kegiatan Prioritas Tahun 2015 BIDANG PEMERINTAHAN UMUM Lembar 14 dari 74
SKPD Jenis Keg Ket
Tolok Ukur Tolok Ukur Tolok Ukur 1/2/3 1/2/3 1/2/3
2 3 4 5 6 8 10 12 13 14 15 16
Nomor
Urusan/Bidang Urusan Pemerintahan
Daerah
Dan Program/Kegiatan
Prioritas
Daerah
Sasaran
Daerah
Lokasi
Indikator kinerja
Pagu
Indikatif
Prakiraan
Maju
Keterangan
Hasil Program
Keluaran
Kegiatan
Hasil Kegiatan
Target Target Target
1 7 9 11
Rapat APEKSI Luar daerah Terjalinnya Hubungan
kinerja yang baik antar
Pemerintah Daerah Kota
1 Kegiatan Terjalinnya Hubungan
kinerja yang baik antar
Pemerintah Daerah Kota
1 Kegiatan 285.000.000 285.000.000 Setda
Forum Sekretaris Daerah Seluruh Indonesia Luar daerah Terjalinnya Hubungan
kinerja yang baik antar
Sekretaris Daerah seluruh
Indonesia
1 Kegiatan Terjalinnya Hubungan
kinerja yang baik antar
Sekretaris Daerah seluruh
Indonesia
1 Kegiatan 45.000.000 45.000.000 Setda
Program Penataan Daerah Otonomi Baru 635.000.000 176.000.000
Fasilitasi Penyiapan data dan informasi
pendukung proses pemekaran daerah
300.000.000
Fasilitasi Percepatan Penyelesaian Tapal
Batas Wilayah Administrasi Antar daerah
Padangsidimpuan Adanya batas wilayah yang
jelas
1 Kegiatan Adanya batas wilayah yang
jelas
1 Kegiatan 135.000.000 176.000.000 Setda
Pembuatan pilar batas desa/kelurahan Padangsidimpuan 200.000.000 Setda
Program Peningkatan Kualitas Pelayan
Publik
205.000.000 205.000.000
Percepatan Penerapan Pelayan Terpadu
Kecamatan (PATEN)
Padangsidimpuan Terselenggaranya PATEN di
Kecamatan
1 Kegiatan Terselenggaranya PATEN di
Kecamatan
1 Kegiatan 205.000.000 205.000.000 Setda
Program Perencanaan Pembangunan
Wilayah Strategis dan Cepat Tumbuh
431.000.000 431.000.000
Penilaian Kecamatan Terbaik Padangsidimpuan Adanya kecamatan terbaik 1 Kegiatan Adanya kecamatan terbaik 1 Kegiatan 110.000.000 110.000.000 Setda
Perencanaan Pengadaan Tanah Perkantoran
Pemerintah Kota Padangsidimpuan
Padangsidimpuan 1 Kegiatan 1 Kegiatan 100.000.000 100.000.000 Setda
Persiapan Pengadaan Tanah Perkantoran
Pemerintah Kota Padangsidimpuan
55.000.000 55.000.000 Setda
Pelaksanaan Pengadaaan Tanah Perkantoran
Pemerintah Kota Padangsidimpuan
166.000.000 166.000.000 Setda
1.129.500.000 1.156.000.000
Program Penataan Peraturan Perundang-
Undangan
494.500.000 494.500.000
Koordinasi Kerjasama Permasalahan
Peraturan Perundang-undangan
Ibukota Propinsi dan
Pusat
Meningkatnya sumber daya
aparatur dalam
penyelenggaraan urusan
25 kali Menyatukan Kebijakan
antara pemerintah pusat
dan daerah
1 Thn 76.500.000 76.500.000 Setda
Legislasi Rancangan Peraturan Perundang-
undangan
Padangsidimpuan Tercapainya Harmonisasi
penyusunan produk hukum
600
peraturan
Terciptanya Produk Hukum
yang tidak bertentangan
dengan peraturan yang
1 Thn 145.000.000 145.000.000 Setda
Fasilitasi Sosialisasi Peraturan Perundang-
undangan
Padangsidimpuan Meningkatnya Kegiatan
Sosialisasi di bidang hukum
kepada masyarakat
5 kali Terwujudnya masyarakat
yang sadar hukum
1 Thn 75.000.000 75.000.000 Setda
Publikasi Peraturan Perundang-undangan Padangsidimpuan Tersedianya produk hukum
daerah
125 buku Meningkatnya produk
hukum
1 Thn 33.000.000 33.000.000 Setda
Pembinaan Desa Sadar Hukum Padangsidimpuan Terlaksananya pembinaan
desa sadar hukum
1 desa Meningkatnya Kesadaran
Hukum Masyarakat
1 Thn 80.000.000 80.000.000 Setda
Pelaksanaan RAN HAM Penanganan Pelanggaran
HAM
1
Kebijakan
Penanganan Pelanggaran
HAM
1 Thn 85.000.000 85.000.000 Setda
Program Peningkatan Kapasitas Sumber
Daya Aparatur
161.000.000 167.500.000
Bimbingan Teknis, Workshop, Sosialisasi dan
Legal Drafting Bidang Hukum serta
Peningkatan SDM Bidang Hukum lainnya
Propsu, Pusat Meningkatnya Sumber
Daya Aparatur dalam
penyusunan dan pengajuan
30 kali Peningkatan Kapasitas
Sumberdaya Aparatur
1 Thn 95.000.000 97.500.000 Setda
Sosialisasi Reformasi Birokrasi 66.000.000 70.000.000 Setda
Rencana Program dan Kegiatan Prioritas Tahun 2015 BIDANG PEMERINTAHAN UMUM Lembar 15 dari 74
SKPD Jenis Keg Ket
Tolok Ukur Tolok Ukur Tolok Ukur 1/2/3 1/2/3 1/2/3
2 3 4 5 6 8 10 12 13 14 15 16
Nomor
Urusan/Bidang Urusan Pemerintahan
Daerah
Dan Program/Kegiatan
Prioritas
Daerah
Sasaran
Daerah
Lokasi
Indikator kinerja
Pagu
Indikatif
Prakiraan
Maju
Keterangan
Hasil Program
Keluaran
Kegiatan
Hasil Kegiatan
Target Target Target
1 7 9 11
Program Peningkatan Sistem Pengawasan
Internal dan Pengendalian Pelaksanaan
Kebijakan KDH
144.000.000 144.000.000
Penanganan Kasus Pengaduan di Lingkungan
Pemerintah Daerah
Padangsidimpuan Terwujudnya Penegakan
Hukum
3 Kasus Berkurangnya Kasus
Pelanggaran Hukum
1 Thn 144.000.000 144.000.000 Setda
Program Pembinaan dan Pengembangan
Aparatur
330.000.000 350.000.000
Pelaksanaan Tugas PPNS (Penyidik Pegawai
Negeeri Sipil)
Padangsidimpuan Meningkatnya
kesejahteraan bagi aparat
teknis
5 Kasus
Perda
Tercapainya pelaksanaan
tugas-tugas dengan baik
1 Thn 160.000.000 180.000.000 Setda
Penyusunan Pedoman Pakaian Dinas PNS Padangsidimpuan 35.000.000 35.000.000 Setda
Pelaksanaan Analisis Jabatan dan Analisis
Beban Kerja
135.000.000 135.000.000 Setda
1.693.000.000 1.555.000.000
Program Pelayanan Administrasi
Perkantoran
910.000.000 960.000.000
Penyediaan Jasa Surat Menyurat Padangsidimpuan Jumlah sarana dan
prasarana yang disediakan
32 SKPD Terkirimnya surat dinas 32 SKPD 60.000.000 60.000.000 Setda
Rapat-rapat Koordinasi dan Konsultasi ke
Luar Daerah
Luar Daerah Pelaksanaan
Rakornis/Rakernis,
Penjajakan Teknis serta
250 Kali Terikutinya Tugas Luar
Daerah
250 Kali 850.000.000 900.000.000 Setda
Program Penataan Kelembagaan dan
Ketatalaksanaan
100.000.000 0
Penataan Organisasi dan Tata Kerja
Perangkat Daerah Lainnya
Padangsidimpuan 3 Perda Peraturan Daerah Tentang
organisasi Perangkat
Daerah
3 Perda 55.000.000 - Setda
Penyusunan Uraian Tugas Organisasi dan
Tata Kerja Perangkat Daerah
Padangsidimpuan 4 PW Pelaksanaan tugas sesuai
dengan tupoksi
4 PW 45.000.000 - Setda
Program Pengelolaan SDM Aparatur 90.000.000 90.000.000
Mengikuti workshop dan diklat/kursus
singkat di bidang kelembagaan, tata laksana
Padangsidimpuan Jumlah SDM yang
mengikuti bintek, workshop
12 kali Meningkatnya SDM
Aparatur
12 kali 90.000.000 90.000.000 Setda
Program Penerapan Kepemerintahan yang
Baik
75.000.000 75.000.000
Kormonev pelaksanaan Inpres Nomor 5
Tahun 2004
Padangsidimpuan 2 Laporan Laporan Kormonev 2 Laporan 75.000.000 75.000.000 Setda
Program Peningkatan Kualitas Pelayanan
publik
450.000.000 360.000.000
Bimbingan Teknis Administrasi Pemaketan
kegiatan dan penyusunan HPS Pengadaan
Barang/Jasa
Padangsidimpuan 165.000.000 165.000.000 Setda
Bimbingan Teknis Penyusunan dan
Managemen kontrak pengadaan Barang/Jasa
Padangsidimpuan 165.000.000 165.000.000 Setda
Penyusunan Standar Operasional Prosedur
(SOP)
Padangsidimpuan 55.000.000 Setda
Penyusunan IKM Padangsidimpuan 3 SKPD Meningkatnya Kualitas
Pelayanan Publik
3 SKPD 30.000.000 30.000.000 Setda
Penyusunan dan Penerapan SPM Padangsidimpuan 15
Laporan
Jumlah Laporan Penerapan
SPM
15
Laporan
35.000.000 0 Setda
Program Peningkatan Akuntabilitas
Aparatur
68.000.000 70.000.000
Penyusunan laporan akuntabilitas kinerja
sekretariat daerah
Padangsidimpuan Jumlah dokumen
perencanaan dan laporan
yang disusun
1 dok Diketahuinya Kinerja sesuai
dengan perencanaan
1 dok 28.000.000 30.000.000 Setda
Rencana Program dan Kegiatan Prioritas Tahun 2015 BIDANG PEMERINTAHAN UMUM Lembar 16 dari 74
SKPD Jenis Keg Ket
Tolok Ukur Tolok Ukur Tolok Ukur 1/2/3 1/2/3 1/2/3
2 3 4 5 6 8 10 12 13 14 15 16
Nomor
Urusan/Bidang Urusan Pemerintahan
Daerah
Dan Program/Kegiatan
Prioritas
Daerah
Sasaran
Daerah
Lokasi
Indikator kinerja
Pagu
Indikatif
Prakiraan
Maju
Keterangan
Hasil Program
Keluaran
Kegiatan
Hasil Kegiatan
Target Target Target
1 7 9 11
Pengkoordinasian dan Penyusunan
Penetapan Kinerja Instansi Pemerintah Kota
Padangsidimpuan
Padangsidimpuan Terwujudnya sistem
perencanaan yang efektif
2 dok Penerapan Kinerja sesuai
dengan Rencana Strategis
SKPD
2 dok 40.000.000 40.000.000 Setda
2.505.400.000 2.325.360.000
Program Peningkatan Pelayanan Kedinasan
Kepala Daerah/ Wakil Kepala Daerah
50.000.000 100.000.000
Pendampingan Kerja Kepala Daerah dan
Wakil Kepala Daerah
Pusat/Provinsi 100% 50.000.000 100.000.000 Setda
Program Pelayanan Administrasi
Perkantoran
530.370.000 552.000.000
Belanja publikasi dan dokumentasi Padangsidimpuan 100% 90.346.000 95.000.000 Setda
Penggandaan dan penjilitan pidato dan
kliping koran
Padangsidimpuan 100% 5.024.000 7.000.000 Setda
Rapat-rapat Koordinasi dan Konsultasi ke
Luar Daerah
Pusat/Provinsi Pelaksanaan
Rakornis/rakernis,
penjajakan serta studi
Terlaksananya rakor dan
raker tk.regional dan
nasional serta
100% 435.000.000 450.000.000 Setda
Program Peningkatan Kapasitas Sumber
Daya Aparatur
185.000.000 195.000.000
Pendidikan dan Pelatihan Formal Pusat/Provinsi 100% 185.000.000 195.000.000 Setda
Program Optimalisasi Pemanfaatan
Teknologi Informasi
188.030.000 216.360.000
Penyusunan Sistem Informasi Terhadap
Layanan Publik, Iklan dan Promosi
Padangsidimpuan 100% 188.030.000 216.360.000 Setda
Program kerjasama informasi dengan mass
media
170.000.000 172.000.000
Penyebaran informasi penyelengaraan dan
pembangunan pemerintah daerah
Padangsidimpuan 100% 150.000.000 152.000.000 Setda
Belanja spanduk/baliho Padangsidimpuan 100% 20.000.000 20.000.000 Setda
Program Peningkatan Kwalitas Pelayanan
Informasi
50.000.000 75.000.000
Mengadakan Bimbingan Teknis Pejabat
Pengelola Informasi dan Dokumentasi (PPID)
100% 50.000.000 75.000.000 Setda
Program Penyelamatan dan Pelestarian
dokumen/ arsip daerah
130.000.000 130.000.000
Pendataan dan Penataan Dokumen / arsip
daerah
Padangsidimpuan 100% 60.000.000 60.000.000 Setda
Penduplikatan dokumen/ arsip dalam
bentuk informatika
Padangsidimpuan 100% 70.000.000 70.000.000 Setda
Program Perbaikan sistim informasi
Kerasipan
145.000.000 145.000.000
Pembangunan database Informasi Kerasipan Padangsidimpuan 100% 70.000.000 70.000.000 Setda
Pengumpulan Data Padangsidimpuan 100% 75.000.000 75.000.000 Setda
Program Peningkataan Kualitas Pelayanan
Informasi
427.000.000
Sosialisasi Undang-Undang No. 14 Tahun
2008 Tentang Keterbukaan Informasi Publik
97.000.000 Setda
Sosialisasi Undang-Undang No. 40 Tahun
1999
115.000.000 Setda
Sosialisasi tentang MC dan keprotokolan 110.000.000 Setda
Rencana Program dan Kegiatan Prioritas Tahun 2015 BIDANG PEMERINTAHAN UMUM Lembar 17 dari 74
SKPD Jenis Keg Ket
Tolok Ukur Tolok Ukur Tolok Ukur 1/2/3 1/2/3 1/2/3
2 3 4 5 6 8 10 12 13 14 15 16
Nomor
Urusan/Bidang Urusan Pemerintahan
Daerah
Dan Program/Kegiatan
Prioritas
Daerah
Sasaran
Daerah
Lokasi
Indikator kinerja
Pagu
Indikatif
Prakiraan
Maju
Keterangan
Hasil Program
Keluaran
Kegiatan
Hasil Kegiatan
Target Target Target
1 7 9 11
Sosialsiasi tentang pejabat pengelola
informasi dan dokumentasi
105.000.000 Setda
Program Pengembangan Komunikasi
Informasi dan Media Massa
260.000.000 260.000.000
melaksanakan peliputan kegiatan pejabat
daerah oleh rekan pers
Padangsidimpuan 100% 60.000.000 60.000.000 Setda
Operasional Pejabat Pengelola Informasi
Dokumen
Padangsidimpuan 100% 200.000.000 200.000.000
Program kerjasama informasi dengan mass
media
370.000.000 480.000.000
Belanja jasa penyebaran informasi
penyelenggaraan dan pembangunan
pemerintah daerah melalui media cetak
Padangsidimpuan 100% 200.000.000 250.000.000 Setda
Belanja jasa penyebaran informasi
penyelenggaraan dan pembangunan
pemerintah daerah melalui radio dan televisi
Padangsidimpuan 100% 100.000.000 150.000.000 Setda
Belanja jasa pemberitaan Padangsidimpuan 100% 70.000.000 80.000.000 Setda
671.340.000 706.750.000 P1
Program Pelayanan Administrasi
Perkantoran
5.090.000 6.750.000
Kegiatan Penyediaan Jasa Perbaikan
Peralatan Kerja
Padangsidimpuan Termanfaatkannya
Peralatan kerja dengan
baik
Lancarnya Kegiatan
Adm.Perkantoran
Lancarnya Kegiatan
Adm.Perkantoran
2.500.000 3.500.000 Setda
Kegiatan Penyediaan Peralatan Rumah
Tangga
Padangsidimpuan Tersedianya Peralatan
Rumah Tangga
Lancarnya Kegiatan
Adm.Perkantoran
Lancarnya Kegiatan
Adm.Perkantoran
590.000 750.000 Setda
Kegiatan Penyediaan Bahan Bacaan dan
Peraturan Perundang-undangan
Padangsidimpuan Tersedianya Bahan Bacaan
dan Peraturan Perundang-
undangan
Lancarnya Kegiatan
Adm.Perkantoran
Lancarnya Kegiatan
Adm.Perkantoran
2.000.000 2.500.000 Setda
Program Peningkatan Sarana dan
Prasarana Aparatur
54.000.000 60.000.000
Pendidikan dan Pelatihan Formal Padangsidimpuan Terlaksananya Kegiatan
Bimbingan Teknis dan
Pelatihan
Meningkatnya Kualitas
Sumber Daya Aparatur
Meningkatnya Kualitas
Sumber Daya Aparatur
54.000.000 60.000.000 Setda
Program Peningkatan Pengembangan
Sistem Pelaporan Capaian Kinerja dan
Keuangan
82.250.000 100.000.000
Penyusunan Laporan Hasil-Hasil
Pembangunan
Padangsidimpuan Terlaksananya Kegiatan
Penysunan Laporan Hasil-
hasil Pembangunan
Tersusunnya Laporan Hasil-
Hasil Pembangunan dan
Dokumentasi
Tersusunnya Laporan Hasil-
Hasil Pembangunan dan
Dokumentasi
35.000.000 40.000.000 Setda
Administrasi Umum dan Penunjang Kegiatan
Pembangunan
Padangsidimpuan Penyediaan Administrasi
Umum dan Penunjang
Kegiatan Pembangunan
Lancaranya Kegiatan
Administrasi Pembangunan
Lancaranya Kegiatan
Administrasi Pembangunan
47.250.000 60.000.000 Setda
Program Optimalisasi Pemanfaatan
Teknologi Informasi
375.000.000 385.000.000
Kegiatan Penyusunan Sistem Informasi
Terhadap Layanan Publik
Padangsidimpuan Terlaksananya proses
pengadaan barang/jasa
Pemerintah secara efektif,
transparan dan akuntebel
Termanfaatkannya Sistem
Teknologi dan Informasi
dalam pelaksanaan
kegiatan pembangunan
Termanfaatkannya Sistem
Teknologi dan Informasi
dalam pelaksanaan
kegiatan pembangunan
240.000.000 250.000.000 Setda
Penyusunan Laporan Penyelenggaraan
Pemerintah Daerah
135.000.000 135.000.000 Setda
Rencana Program dan Kegiatan Prioritas Tahun 2015 BIDANG PEMERINTAHAN UMUM Lembar 18 dari 74
SKPD Jenis Keg Ket
Tolok Ukur Tolok Ukur Tolok Ukur 1/2/3 1/2/3 1/2/3
2 3 4 5 6 8 10 12 13 14 15 16
Nomor
Urusan/Bidang Urusan Pemerintahan
Daerah
Dan Program/Kegiatan
Prioritas
Daerah
Sasaran
Daerah
Lokasi
Indikator kinerja
Pagu
Indikatif
Prakiraan
Maju
Keterangan
Hasil Program
Keluaran
Kegiatan
Hasil Kegiatan
Target Target Target
1 7 9 11
Program Mengintensifkan Penanganan
Pengaduan Masyarakat
75.000.000 75.000.000
Penataan dan Pengendalian Pelaksanaan
Kegiatan Pembangunan
Padangsidimpuan Terlaksananya Kegiatan
Penataan dan
Pengendalian Pelaksanaan
Kegiatan Pembangunan
Terlaksananya Kegiatan
Penataan dan Pengendalian
Pelaksanaan Kegiatan
Pembangunan
Kegiatan Terlaksananya Kegiatan
Penataan dan Pengendalian
Pelaksanaan Kegiatan
Pembangunan
75.000.000 75.000.000 Setda
Program Peningkatan Kerjasama antar
Pemerintah Daerah
80.000.000 80.000.000
Sinkronisasi dan Koordinasi Pembangunan
Daerah
Padangsidimpuan Terpenuhinya Kegiatan
Sinkronisasi dan
Koordinasi Pembangunan
Daerah
Tersusun dan Sinkronnya
kegiatan Pembangunan
Tersusun dan Sinkronnya
kegiatan Pembangunan
80.000.000 80.000.000 Setda
500.000.000 500.000.000 P2
Program Peningkatan Sarana dan
Prasarana Aparatur
200.000.000 200.000.000
Kegiatan Sosialisasi Pengadaan Barang/Jasa
Perangkat Unit Layanan Pengadaan (ULP)
Kota Padangsidimpuan
Padangsidimpuan Terlaksananya Sosialisasi
Pengadaan Barang/Jasa
Perangkat ULP
Meningkatnya Kualitas
Sumber Daya Aparatur
Meningkatnya Kualitas
Sumber Daya Aparatur
200.000.000 200.000.000 Setda
Program Mengintensikan Penangannan
Pengaduan Masyarakat
300.000.000 300.000.000
Kegiatan Pelaksanaan Pengadaan
Barang/Jasa di Kota Padangsidimpuan
(Operasional Unit Layanan Pengadaan
Barang/ Jasa Kota Padangsidimpuan)
Padangsidimpuan Terlaksananya kegiatan
Pengadaan Barang/jasa di
Kota padangsidimpuan
Lancarnya kegiatan
Pengadaan Barang/Jasa di
Kota Padangsidimpuan
Lancarnya kegiatan
Pengadaan Barang/Jasa di
Kota Padangsidimpuan
300.000.000 300.000.000 Setda
5.940.500.000 -
Program Peningkatan Kapasitas Sumber
Daya Aparatur
120.000.000
Bimbingan Teknis, Workshop, Sosialisasi dan
Legal Drafting Bidang Hukum serta
Peningkatan SDM Bidang Lainnya
di Luar Propinsi
Sumatera Utara
dilaksanakannya workshop
bimbingan teknis di bidang
ekonomi dan sosial
1 Thn meningkatnya kapasitas
pengetahuan aparatur
pemerintah daerah
khususnya di bidang
perekonomian dan kesra
1 Thn 120.000.000 Setda
Program Peringatan Hari-Hari Besar
Nasional, Daerah dan Keagamaan
Terlaksananya Hari Besar
Keagamaan dan Nasional,
serta meningkatnya
kesejahteraan
masyarakat
1 Thn
2.882.000.000 -
Pelaksanaan HUT RI meningkatnya rasa
nasionalisme
Masyarakat dan
Aparatur Pemerintah
Padangsidimpuan Terlaksananya hari besar
nasional
1 Keg meningkatnya rasa cinta
tanah air
1 Keg 250.000.000 Setda
Pelaksanaan Maulid Nabi Muhammad SAW Meningkatnya Rasa
Keagamaan
Masyarakat dan
Aparatur Pemerintah
Padangsidimpuan Terlaksananya hari besar
keagamaan
1 Keg Terciptanya kecintaan
terhadap agama
1 Keg 33.000.000 Setda
Pelaksanaan Perayaan Idul Fithri Meningkatnya Rasa
Keagamaan
Masyarakat dan
Aparatur Pemerintah
Padangsidimpuan Terlaksananya hari besar
keagamaan
1 Keg Terciptanya kecintaan
terhadap agama
1 Keg 45.000.000 Setda
Pelaksanaan Idul Adha Meningkatnya Rasa
Keagamaan
Masyarakat dan
Aparatur Pemerintah
Padangsidimpuan Terlaksananya hari besar
keagamaan
1 Keg Terciptanya kecintaan
terhadap agama
1 Keg 45.000.000 Setda
Rencana Program dan Kegiatan Prioritas Tahun 2015 BIDANG PEMERINTAHAN UMUM Lembar 19 dari 74
SKPD Jenis Keg Ket
Tolok Ukur Tolok Ukur Tolok Ukur 1/2/3 1/2/3 1/2/3
2 3 4 5 6 8 10 12 13 14 15 16
Nomor
Urusan/Bidang Urusan Pemerintahan
Daerah
Dan Program/Kegiatan
Prioritas
Daerah
Sasaran
Daerah
Lokasi
Indikator kinerja
Pagu
Indikatif
Prakiraan
Maju
Keterangan
Hasil Program
Keluaran
Kegiatan
Hasil Kegiatan
Target Target Target
1 7 9 11
Pelaksanaan Isra Mi'raj Nabi Muhammad
SAW
Meningkatnya Rasa
Keagamaan
Masyarakat dan
Aparatur Pemerintah
Padangsidimpuan Terlaksananya hari besar
keagamaan
1 Keg Terciptanya Kecintaan
Terhadap Agama
1 Keg 33.000.000 Setda
Pelaksanaan Hari Kebangkitan Nasional Terciptanya Rasa
Persatuan dan
Kesatuan dalam
Bingkai NKRI
Masyarakat dan
Aparatur Pemerintah
Padangsidimpuan Terlaksananya hari besar
nasional
1 Keg Meningkatkan Rasa
Nasionalisme
1 Keg 45.000.000 Setda
Pelaksanaan Hari Kesaktian Pancasila Terciptanya Rasa
Persatuan dan
Kesatuan dalam
Bingkai NKRI
Masyarakat dan
Aparatur Pemerintah
Padangsidimpuan Terlaksananya hari besar
nasional
1 Keg Meningkatkan Rasa
Nasionalisme
1 Keg 37.000.000 Setda
Hari Pendidikan Nasional Terciptanya Rasa
Persatuan dan
Kesatuan dalam
Bingkai NKRI
Masyarakat dan
Aparatur Pemerintah
Padangsidimpuan Terlaksananya hari besar
nasional
1 Keg Meningkatkan Rasa
Nasionalisme
1 Keg 37.000.000 Setda
Pelaksanaan HUT PEMKO Meningkatkan Evaluasi
Terhadap
Pembangunan
Masyarakat dan
Aparatur Pemerintah
Padangsidimpuan Terlaksananya Perayaan
HUT PEMKO
Padangsidimpuan
1 Keg Terciptanya Persatuan dan
Kesatuan antara
Masyarakat dan pemerintah
1 Keg 550.000.000 Setda
Pelaksanaan Hari Pahlawan Terciptanya Rasa
Persatuan dan
Kesatuan dalam
Bingkai NKRI
Masyarakat dan
Aparatur Pemerintah
Padangsidimpuan Terlaksananya hari besar
nasional
1 Keg Meningkatkan Rasa
Nasionalisme
1 Keg 90.000.000 Setda
Pelaksanaan Safari Ramadhan Meningkatnya
Pemahaman dan
Pengalaman di bidang
Keagamaan
Masyarakat dan
Aparatur Pemerintah
Padangsidimpuan Terlaksananya Safari
Ramadhan di tiap
Kecamatan Kota
Padangsidimpuan
6
kecamatan
Terlaksananya Safari
Ramadhan di tiap
Kecamatan Kota Psp
6
kecamatan
56.000.000 Setda
Pelaksanaan Pembinaan Pemberangkatan
dan Pemulangan Jama'ah Haji
Meningkatnya
Pemahaman
Masyarakat tentang
Haji
Aparatur Pemerintah
dan Calon Jamaah
Haji
Padangsidimpuan Terlaksananya Pembinaan
Pemberangkatan dan
Pemulangan Jama'ah Haji
Keg Meningkatnya Pengetahuan
dalam Bidang Haji
Keg 750.000.000 Setda
Pelaksanaan Peringatan Nuzul Qur'an Meningkatnya Rasa
Keagamaan
Masyarakat dan
Aparatur Pemerintah
Padangsidimpuan Terlaksananya hari besar
keagamaan
1 Keg Terciptanya kecintaan
terhadap agama
1 Keg 25.000.000 Setda
Pelaksanaan Hari Kesadaran Nasional Terciptanya Rasa
Persatuan dan
Kesatuan dalam
Bingkai NKRI
Aparatur Pemerintah Padangsidimpuan Terlaksananya hari
kesadaran nasional
kali Meningkatkan Rasa
Nasionalisme
kali 59.000.000 Setda
Pelaksanaan Manasik Haji Meningkatkan
Pemahaman dan
Pengamalan tentang
Manasik Haji
Aparatur Pemerintah
dan Calon Jamaah
Haji
Padangsidimpuan Terlaksananya Pelaksanaan
Manasik Haji
1 Keg Meningkatkan Pemahaman
dan Pengamalan tentang
Manasik Haji
1 Keg 62.000.000 Setda
Peringatan Tahun Baru Islam (1 Muharram) Padangsidimpuan Terlaksananya hari besar
keagamaan
1 Keg 1 Keg 165.000.000 Setda
Peringatan Hari Kartini Padangsidimpuan Terlaksananya hari besar
nasional
1 Keg 1 Keg 100.000.000 Setda
Perayaan pergantian Tahun Padangsidimpuan Terlaksananya Perayaan
pergantian Tahun
1 Keg 1 Keg 500.000.000 Setda
Program Pengembangan Kemasyarakatan 950.000.000
Pelaksanaan MTQ Terbina Pemahaman
Masyarakat Kota Psp
tentang MTQ
Masyarakat dan
Aparatur Pemerintah
Kota Psp dan di Luar
Kota
Dilaksanakannya MTQ dan
Pengiriman Peserta ke Tk
Provsu
2 Keg Meningkatnya Kegiatan
Keagamaan
2 Keg 600.000.000 Setda
Pelaksanaan Festival Nasyid Meningkatnya
Pemahaman dan
Pengalaman Agama
Masyarakat dan
Aparatur Pemerintah
Kota Psp dan di Luar
Kota
Dilaksanakannya festival
Nasyid Kota dan Tingkat
propinsi
2 Keg Meningkatnya Kegiatan
Keagamaan
2 Keg 350.000.000 Setda
Rencana Program dan Kegiatan Prioritas Tahun 2015 BIDANG PEMERINTAHAN UMUM Lembar 20 dari 74
SKPD Jenis Keg Ket
Tolok Ukur Tolok Ukur Tolok Ukur 1/2/3 1/2/3 1/2/3
2 3 4 5 6 8 10 12 13 14 15 16
Nomor
Urusan/Bidang Urusan Pemerintahan
Daerah
Dan Program/Kegiatan
Prioritas
Daerah
Sasaran
Daerah
Lokasi
Indikator kinerja
Pagu
Indikatif
Prakiraan
Maju
Keterangan
Hasil Program
Keluaran
Kegiatan
Hasil Kegiatan
Target Target Target
1 7 9 11
Program Peningkatan Promosi dan
Kerjasama Investasi
Terlaksananya Investasi
dan Promosi Daerah Kota
Padangsidimpuan
1.100.000.000 -
Pameran Investasi dan Promosi 700.000.000 Setda
Pekan Raya Sumatera Utara Terpromokasikannya
hasil produksi
pertanian, Home
Industri, Kerajinan,
dan Adat Budaya Kota
Psp
Masyarakat,
Pengusaha dan
Investor
Medan
1Keg
Terlaksananya Pekan Raya
Sumatera Utara
Meningkatnya Investasi dan
pendapatan masyarakat
1Keg 400.000.000 Setda
Program Perlindungan konsumen dan
pengamanan perdagangan
888.500.000 -
Pendistribusian Raskin Dilaksanankannya
Pendistribusian Raskin
500.000.000 - Setda
Tim Pengendalian Inflasi Daerah terbentuknya tim
pengendalian imflasi daerah
kota psp
98.500.000 - Setda
Pengawasan Pupuk dan Pestisida serta
Rencana Defenitif Kebutuhan
Terlaksananya pengawasan
pupuk dan pestisida di
pasaran
190.000.000 - Setda
Pengendalian Pelaksanaan Penanaman Modal Terlaksananya
pengendalian pelaksanaan
penanaman modal
100.000.000 - Setda
16.568.796.000 18.303.455.600 P1
Program Pelayanan Administrasi
Perkantoran
Terlaksananya
administrasi
perkantoran
Padangsidimpuan
100%
100% 4.970.000.000 5.623.630.000
Penyediaan Jasa Surat Menyurat Meningkatnya Pelayanan
Perkantoran 1 Thn
Jasa Surat Menyurat Terpenuhinya Jasa Surat
Menyurat
1 Thn 625.000.000 650.000.000 Setwan
Penyedian Jasa Komunikasi, Sumber Daya
Air dan Listrik
Meningkatnya Pelayanan
Perkantoran
1 Thn
Jasa Komunikasi, Sumber
Daya Air dan Listrik
Terpenuhinya Jasa
Komunikasi, Sumber Daya
Air dan Listrik
1 Thn 170.000.000 250.000.000 Setwan
Penyediaan Jasa Administrasi Keuangan Meningkatnya Pelayanan
Perkantoran
1 Thn
Jasa Administrasi
Keuangan
Jasa Administrasi
Keuangan
1 Thn 115.000.000 125.000.000 Setwan
Penyediaan Jasa Kebersihan Kantor Meningkatnya Pelayanan
Perkantoran
1 Thn
Jasa Kebersihan Kantor Terpenuhinya Jasa
Kebersihan Kantor
1 Thn 75.000.000 80.000.000 Setwan
Penyediaan Alat Tulis Kantor Meningkatnya Pelayanan
Perkantoran
1 Thn
Terpenuhinya kebutuhan
Alat Tulis Kantor
Terpenuhinya kebutuhan
Alat Tulis Kantor
1 Thn 195.000.000 200.000.000 Setwan
Rencana Program dan Kegiatan Prioritas Tahun 2015 BIDANG PEMERINTAHAN UMUM Lembar 21 dari 74
SKPD Jenis Keg Ket
Tolok Ukur Tolok Ukur Tolok Ukur 1/2/3 1/2/3 1/2/3
2 3 4 5 6 8 10 12 13 14 15 16
Nomor
Urusan/Bidang Urusan Pemerintahan
Daerah
Dan Program/Kegiatan
Prioritas
Daerah
Sasaran
Daerah
Lokasi
Indikator kinerja
Pagu
Indikatif
Prakiraan
Maju
Keterangan
Hasil Program
Keluaran
Kegiatan
Hasil Kegiatan
Target Target Target
1 7 9 11
Penyediaan Barang Cetakan dan
Penggandaan
Meningkatnya Pelayanan
Perkantoran
1 Thn
Terpenuhinya Barang
Cetakan dan Penggandaan
Terpenuhinya Barang
Cetakan dan Penggandaan
1 Thn 150.000.000 160.000.000 Setwan
Penyediaan Komponen Instalasi
Listrik/Penerangan Bagunan Kantor
Meningkatnya Pelayanan
Perkantoran 1 Thn
Terpenuhinya kebutuhan
Instalasi
Listrik/Penerangan
Bagunan Kantor
Terpenuhinya kebutuhan
Instalasi
Listrik/Penerangan
Bagunan Kantor
1 Thn 175.000.000 185.000.000 Setwan
Penyediaan Peralatan Rumah Tangga Meningkatnya Pelayanan
Perkantoran
1 Thn
Terpenuhinya kebutuhan
Peralatan Rumah Tangga
Terpenuhinya kebutuhan
Peralatan Rumah Tangga
1 Thn 215.000.000 220.000.000 Setwan
Penyediaan Makan dan Minum Meningkatnya Pelayanan
Perkantoran 1 Thn
Terpenuhinya Makan dan
Minum
Terpenuhinya Makan dan
Minum
1 Thn 175.000.000 168.630.000 Setwan
Rapat-rapat Koordinasi dan Konsultasi ke
Luar Daerah
Meningkatnya Pelayanan
Perkantoran
1 Thn
Terlaksananya Koordinasi
dan Konsultasi ke Luar
Daerah
Terlaksananya Koordinasi
dan Konsultasi ke Luar
Daerah
1 Thn 3.000.000.000 3.500.000.000 Setwan
Penyediaan Jasa Keamanan Meningkatnya Pelayanan
Perkantoran 1 Thn
Tersedianya Jasa
Keamanan kantor
Tersedianya Jasa
Keamanan kantor
1 Thn 75.000.000 85.000.000 Setwan
Program Peningkatan Sarana dan
Prasarana Aparatur
Terpenuhinya Sarana dan
Prasarana Aparatur 100%
100% 3.256.761.000 3.492.937.100
Pengadaan Peralatan Gedung Kantor Padangsidimpuan Peningkatan kualitas dan
kuantitas sarana dan
prasarana
1 Thn
Tersedianya peralatan
gedung/kantor
Tersedianya peralatan
gedung/kantor
1 Thn 875.000.000 900.000.000 Setwan
Pemeliharaan Rutin/ Berkala Gedung Kantor Padangsidimpuan Peningkatan kualitas dan
kuantitas sarana dan
prasarana
1 Thn
Pemeliharaan Gedung
Kantor
Terlaksananya
Pemeliharaan Gedung
Kantor
1 Thn 610.000.000 650.000.000 Setwan
Pemeliharaan Rutin/ Berkala Kenderaan
Dinas/ Operasional
Padangsidimpuan Peningkatan kualitas dan
kuantitas sarana dan
prasarana
1 Thn
PemeliharaanKenderaan
Dinas/ Operasional
Terlaksananya
PemeliharaanKenderaan
Dinas/ Operasional
1 Thn 1.686.761.000 1.855.437.100 Setwan
Pemeliharaan Rutin/ Berkala Peralatan
Gedung Kantor
Padangsidimpuan Peningkatan kualitas dan
kuantitas sarana dan
prasarana
1 Thn
Pemeliharaan Peralatan
Gedung Kantor
Terlaksananya
Pemeliharaan Peralatan
Gedung Kantor
1 Thn 85.000.000 87.500.000 Setwan
Program Peningkatan Disiplin Aparatur Berjalannya Disiplin
Aparatur 100%
100% 270.000.000 280.000.000
Pengadaan Pakaian dinas beserta
perlengkapannya
Padangsidimpuan Peningkatan disiplin
aparatur 1 Thn
Pengadaan pakaian PNS Peningkatan kesejahteraan
PNS
1 Thn 270.000.000 280.000.000 Setwan
Program Peningkatan Kapasitas Sumber
Daya Aparatur
Terpenuhinya Sumber
Daya Aparatur 100%
100% 420.000.000 450.000.000
Bimbingan Teknis Implementasi Peraturan
Perundang-Undangan
Padangsidimpuan
1 Thn
1 Thn 420.000.000 450.000.000 Setwan
Program Peningkatan Pengembangan
Sistem Pelaporan Capaian Kinerja dan
Keuangan
Tersusunnya Laporan
Capaian Kinerja dan
Keuangan
100%
100% 481.500.000 534.650.000
Penyusunan Laporan Capaian Kinerja dan
Ikhtisar Realisasi Kinerja SKPD
Padangsidimpuan Peningkatan kualitas dan
kuantitas pelaporan
31.500.000 34.650.000 Setwan
Penyusunan Laporan, Kinerja dan Anggaran Padangsidimpuan Peningkatan kualitas dan
kuantitas pelaporan
450.000.000 500.000.000 Setwan
Program Peningkatan kapasitas lembaga
perwakilan rakyat daerah
Terwujudnya Lembaga
Perwakilan 100%
100% 6.500.235.000 7.122.458.500
Pembahasan Rancangan Peraturan Daerah Padangsidimpuan Peningkatan kapasitas
lembaga perwakilan rakyat
daerah
1 Tahun
Anggaran
1 Tahun
Anggaran
200.000.000 250.000.000 Setwan
Hearing/Dialog dan Koordinasi dengan
Pejabat Pemerintah dan Tokoh
Masyarakat/Tokoh Agama
Padangsidimpuan Peningkatan kapasitas
lembaga perwakilan rakyat
daerah
1 Tahun
Anggaran
1 Tahun
Anggaran
75.000.000 82.500.000 Setwan
Rapat-Rapat Alat Kelengkapan Dewan 1 Tahun
Anggaran
1 Tahun
Anggaran
543.000.000 587.300.000 Setwan
Rapat-Rapat Paripurna 1 Tahun
Anggaran
1 Tahun
Anggaran
125.000.000 144.200.000 Setwan
Kegiatan Reses 1 Tahun
Anggaran
1 Tahun
Anggaran
812.235.000 893.458.500 Setwan
Rencana Program dan Kegiatan Prioritas Tahun 2015 BIDANG PEMERINTAHAN UMUM Lembar 22 dari 74
SKPD Jenis Keg Ket
Tolok Ukur Tolok Ukur Tolok Ukur 1/2/3 1/2/3 1/2/3
2 3 4 5 6 8 10 12 13 14 15 16
Nomor
Urusan/Bidang Urusan Pemerintahan
Daerah
Dan Program/Kegiatan
Prioritas
Daerah
Sasaran
Daerah
Lokasi
Indikator kinerja
Pagu
Indikatif
Prakiraan
Maju
Keterangan
Hasil Program
Keluaran
Kegiatan
Hasil Kegiatan
Target Target Target
1 7 9 11
Kunjungan Kerja Pimpinan dan Anggota
DPRD Dalam Daerah
1 Tahun
Anggaran
1 Tahun
Anggaran
2.100.000.000 2.200.000.000 Setwan
Peningkatan Kapasitas Pimpinan dan
Anggota DPRD
1 Tahun
Anggaran
1 Tahun
Anggaran
2.450.000.000 2.750.000.000 Setwan
Rapat-Rapat Khusus 1 Tahun
Anggaran
1 Tahun
Anggaran
195.000.000 215.000.000 Setwan
Program Peningkatan dan Pengembangan
Pengelolaan Keuangan Daerah
Padangsidimpuan Terlaksananya
Peningkatan dan
Pengembangan
Pengelolaan Keuangan
Daerah
538.700.000 611.020.000
Penyusunan Rancangan Peraturan Daerah
Tentang APBD
Padangsidimpuan 1 Tahun
Anggaran
1 Tahun
Anggaran
100.000.000 114.950.000 Setwan
Penyusunan Rancangan Peraturan Daerah
Tentang Perubahan APBD
Padangsidimpuan 1 Tahun
Anggaran
1 Tahun
Anggaran
104.500.000 114.950.000 Setwan
Penyusunan Rancangan Peraturan Daerah
Tentang Pertanggungjawaban Pelaksanaan
APBD
Padangsidimpuan 1 Tahun
Anggaran
1 Tahun
Anggaran
119.200.000 131.120.000 Setwan
Penyusunan KUA dan PPAS Padangsidimpuan 1 Tahun
Anggaran
1 Tahun
Anggaran
215.000.000 250.000.000 Setwan
Program Peringatan Hari-hari besar
nasional, daerah dan keagamaan
Padangsidimpuan Terwujudnya
Perekonomian dan
Kesejahteraan
56.600.000 62.260.000
Pelaksanaan HUT RI Padangsidimpuan 1 Tahun
Anggaran
1 Tahun
Anggaran
28.300.000 31.130.000 Setwan
Pelaksanaan HUT PEMKO Padangsidimpuan Padangsidimpuan 1 Tahun
Anggaran
1 Tahun
Anggaran
28.300.000 31.130.000 Setwan
Program Peningkatan Sistem Pengawasan
Internal dan Pengendalian Pelaksanaan
Kebijakan KDH
Padangsidimpuan Berjalannya Pengawasan
Internal dan
Pengendalian
Pelaksanaan Kebijakan
75.000.000 126.500.000
Penanganan Kasus Pengaduan di Lingkungan
DPRD
Padangsidimpuan 1 Tahun
Anggaran
1 Tahun
Anggaran
75.000.000 126.500.000 Setwan
748.750.000 823.625.000 P2
Program Pelayanan Administrasi
Perkantoran
540.000.000 594.000.000
Penyediaan Jasa Jaminan Pemeliharaan
Kesehatan DPRD
Meningkatnya Pelayanan
Perkantoran 1 Thn
Tersedianya Jasa Jaminan
Pemeliharaan Kesehatan
DPRD
Tersedianya Jasa Jaminan
Pemeliharaan Kesehatan
DPRD
1 Thn 540.000.000 594.000.000 Setwan
Program Peningkatan Disiplin Aparatur 208.750.000 229.625.000
Pengadaan Pakaian Khusus Hari-hari
tertentu
Padangsidimpuan Peningkatan disiplin
aparatur 1 Thn
Pengadaan pakaian PNS Peningkatan kesejahteraan
PNS
1 Thn 208.750.000 229.625.000 Setwan
01 20 695.611.800 704.568.700 P1
Program Pelayanan Administrasi
Perkantoran
278.573.000 289.529.900
Penyediaan Jasa Komunikasi, Sumber Daya
Air dan Listrik
Padangsidimpuan Tersedianya Jasa
Komunikasi, Sumber Daya
Air dan Listrik
1 Thn
Terlaksananya Jasa
Komunikasi, Sumber Daya
Air dan Listrik
1 Thn
Dimanfaatkannya fasilitas
kantor
1 Thn 28.800.000 28.800.000,00
Sekretariat KORPRI
Penyediaan Jasa Kebersihan Kantor Padangsidimpuan Tersedianya peralatan
kebersihan kantor 1 Thn
Terlaksananya peralatan
kebersihan kantor 1 Thn
Terpeliharanya kebersihan
kantor 1 Thn 19.191.000 19.191.000,00
Sekretariat KORPRI
Penyediaan Jasa Perbaikan Peralatan Kerja Padangsidimpuan Terpeliharanya peralatan
kantor 1 Thn
Terlaksananya peralatan
kantor 1 Thn
Terawatnya peralatan
kantor 1 Thn 2.800.000 2.800.000,00
Sekretariat KORPRI
Penyediaan Alat Tulis Kantor Padangsidimpuan Tersedinya alat tulis kantor
1 Thn
Tersedinya alat tulis kantor
1 Thn
Lancarnya kegiatan adm
kantor 1 Thn 17.000.000 21.956.900,00
Sekretariat KORPRI
Penyediaan Barang Cetakan dan
Penggandaan
Padangsidimpuan Tersedianya barang
cetakan dan penggandaan
1 Thn
Terlaksananya barang
cetakan dan penggandaan
1 Thn
Lancarnya kegiatan adm
kantor
1 Thn 12.374.000 12.374.000,00
Sekretariat KORPRI
Penyediaan Peralatan dan Perlengkapan
Kantor
Padangsidimpuan Tersedianya peralatan dan
perlengkapan kantor
1 Thn
Terlaksananya peralatan
dan perlengkapan kantor
1 Thn 1 Thn 45.000.000 46.000.000,00
Sekretariat KORPRI
Rencana Program dan Kegiatan Prioritas Tahun 2015 BIDANG PEMERINTAHAN UMUM Lembar 23 dari 74
SKPD Jenis Keg Ket
Tolok Ukur Tolok Ukur Tolok Ukur 1/2/3 1/2/3 1/2/3
2 3 4 5 6 8 10 12 13 14 15 16
Nomor
Urusan/Bidang Urusan Pemerintahan
Daerah
Dan Program/Kegiatan
Prioritas
Daerah
Sasaran
Daerah
Lokasi
Indikator kinerja
Pagu
Indikatif
Prakiraan
Maju
Keterangan
Hasil Program
Keluaran
Kegiatan
Hasil Kegiatan
Target Target Target
1 7 9 11
Penyediaan Peralatan Rumah Tangga
1 Thn 1 Thn 1.600.000 1.600.000,00
Sekretariat KORPRI
Penyediaan Makanan dan Minuman Padangsidimpuan Tersedianya makanan dan
minuman PNS 1 Thn
Terlaksananya makanan
dan minuman PNS 1 Thn 1 Thn 39.600.000 39.600.000,00
Sekretariat KORPRI
Rapat-Rapat Koordinasi dan Konsultasi Ke
Luar Daerah
Padangsidimpuan Tersedianya biaya
perjalanan dinas 1 Thn
Terlaksananya biaya
perjalanan dinas 1 Thn
Terlaksananya perjalanan
dinas luar daerah 1 Thn 90.000.000 95.000.000,00
Sekretariat KORPRI
Penyediaan jasa keamanan kantor Padangsidimpuan Tersedianya keamanan
kantor 1 Thn
Terlaksananya keamanan
kantor 1 Thn
Terjaganya kantor
1 Thn 9.000.000 9.000.000,00
Sekretariat KORPRI
Penyediaan jasa administrasi perkantoran Padangsidimpuan Tersedianya administrasi
kantor 2 Thn
Terlaksananya administrasi
kantor 2 Thn 2 Thn 13.208.000 13.208.000,00
Sekretariat KORPRI
Program Peningkatan Sarana dan
Prasarana Aparatur
Padangsidimpuan 85.648.800 87.648.800
Pengadaan Kendaraan Dinas/Operasional Padangsidimpuan Tersedianya kendaraan
dinas 1 Thn
Terpenuhinya kenderaan
dinas 1 Thn 1 Thn 55.000.000 57.000.000 Sekretariat KORPRI
Pemeliharaan Rutin/Berkala Kendaraan
Dinas/Operasional
Padangsidimpuan Terpeliharanya kendaraan
dinas 1 Thn
Terpeliharanya kenderaan
dinas 1 Thn 1 Thn 30.648.800 30.648.800 Sekretariat KORPRI
Program Peningkatan Disiplin Aparatur Padangsidimpuan
1 Thn 1 Thn 1 Thn 16.475.000 17.475.000
Pengadaan Pakaian Dinas beserta
perlengkapannya
Padangsidimpuan Tersedinya biaya pakaian
dinas 1 Thn
Terlaksananya pengadaan
pakaian dinas 1 Thn 1 Thn 9.000.000 10.000.000 Sekretariat KORPRI
Pengadaan Pakaian Khusus Hari-Hari
tertentu
Padangsidimpuan Tersedinya biaya pakaian
khusus 1 Thn
Terlaksananya pakaian
khusus 1 Thn 1 Thn 7.475.000 7.475.000 Sekretariat KORPRI
Program Peringatan Hari-hari Besar
Nasional, Daerah dan Keagamaan 57.475.000 57.475.000
HUT KORPRI Padangsidimpuan Terlaksananya perayaan
HUT Korpri 1 Thn
Terlaksananya upacara
dengan baik 1 Thn 1 Thn 57.475.000 57.475.000 Sekretariat KORPRI
Program Pengembangan Kemasyarakatan
115.000.000 110.000.000
Pengiriman peserta Bimbingan
Tes/Bimbingan Belajar 1 Thn 1 Thn 115.000.000 110.000.000 Sekretariat KORPRI
Program Peningkatan Kapasitas Sumber
Daya Aparatur
Padangsidimpuan
1 Thn 1 Thn 1 Thn 10.000.000 10.000.000
Pendidikan dan Pelatihan Formal Padangsidimpuan Tersedinya biaya bimtek
1 Thn
Terlaksananya biaya bintek
1 Thn
Meningkatnya kualitas SDM
1 Thn 10.000.000 10.000.000 Sekretariat KORPRI
Program Pembinaan dan Pengembangan
Aparatur
Padangsidimpuan
1 Thn 1 Thn 1 Thn 41.860.000 41.860.000
Penyelenggaraan Rapat Kerja Daerah Padangsidimpuan Terlaksananya rapat kerja
daerah 1 Thn 1 Thn 1 Thn 41.860.000 41.860.000 Sekretariat KORPRI
Program Perekonomian dan Kesejahteraan
Rakyat
Padangsidimpuan
1 Thn 1 Thn 1 Thn 4.000.000 4.000.000
Pelaksanaan MTQ dan Pengiriman Peserta ke
Tingkat Provsu
Padangsidimpuan Terkirimnya peserta MTQ
ke Provinsi 1 Thn
Terkirimnya peserta MTQ
ke Provinsi 1 Thn
Peserta dapat mengikuti
MTQ di Tk. Provinsi 1 Thn 4.000.000 4.000.000 Sekretariat KORPRI
Program Peningkatan Sumber Daya
Masyarakat
Padangsidimpuan
1 Thn 1 Thn 1 Thn 86.580.000 86.580.000
Pengiriman Peserta Bimbingan Test /
Bimbingan Belajar
Padangsidimpuan Terkirimnya siswa siswi
untuk mengikuti bintek
menghadapi SPMB 1 Thn
Terkirimnya siswa siswi
untuk mengikuti bintek
menghadapi SPMB 1 Thn
Terkirimnya siswa siswi
untuk mengikuti bintek
menghadapi SPMB 1 Thn 86.580.000 86.580.000 Sekretariat KORPRI
776.000.000 776.000.000
P2
Program Pelayanan Administrasi
Perkantoran
Padangsidimpuan 776.000.000 776.000.000
Pelantikan Unit, Sub Unit, Koordinator
Teknis kegiatan se Kota Padangsidimpuan
Padangsidimpuan Terbentuknya Pengurus
Unit, Sub Unit,
Koordinator Teknis
kegiatan se Kota
Padangsidimpuan
60.000.000,00 60.000.000,00 Sekretariat KORPRI
Rencana Program dan Kegiatan Prioritas Tahun 2015 BIDANG PEMERINTAHAN UMUM Lembar 24 dari 74
SKPD Jenis Keg Ket
Tolok Ukur Tolok Ukur Tolok Ukur 1/2/3 1/2/3 1/2/3
2 3 4 5 6 8 10 12 13 14 15 16
Nomor
Urusan/Bidang Urusan Pemerintahan
Daerah
Dan Program/Kegiatan
Prioritas
Daerah
Sasaran
Daerah
Lokasi
Indikator kinerja
Pagu
Indikatif
Prakiraan
Maju
Keterangan
Hasil Program
Keluaran
Kegiatan
Hasil Kegiatan
Target Target Target
1 7 9 11
Pembentukan Badan Usaha Pengurus
KORPRI
Padangsidimpuan Tersedianya Usaha
Pengurus KORPRI
50.000.000,00 50.000.000,00 Sekretariat KORPRI
Peningkatan Sumber Daya Anak-anak
KORPRI melalui Bimbel untuk SD dan SMP
Padangsidimpuan Tersedianya SDM
400.000.000,00 400.000.000,00 Sekretariat KORPRI
Insentif Bagi Dewan Pengurus KORPRI Padangsidimpuan Meningkatnya
Kesejahteraan Pegawai
KORPRI
1 Thn 1 Thn 1 Thn 156.000.000,00 156.000.000,00 Sekretariat KORPRI
Turnamen Olahraga antar anggota KORPRI Padangsidimpuan Terlaksananya kegiatan
olahraga 50.000.000,00 50.000.000,00 Sekretariat KORPRI
Pelaksanaan pengajian anggota KORPRI se
Kota Padangsidimpuan
Padangsidimpuan Terlaksananya kegiatan
keagamaan
60.000.000,00 60.000.000,00 Sekretariat KORPRI
16.808.200.000 15.101.410.000 P1
Program Pelayanan Administrasi
Perkantoran
Tersedianya sarana dan
prasaran kantor yang
dibutuhkan
4.743.200.000 4.999.310.000
Penyediaan Jasa Komunikasi, Sumber Daya
Air dan Listrik
Dinas PPKAD Jasa telepon, Sumber Daya
Air, dan listrik
dipergunakan untuk tugas
kantor
1 Thn Jasa telepon, Sumber Daya
Air, dan listrik
dipergunakan untuk tugas
kantor
1 Thn 72.000.000 74.000.000 Dinas PPKAD
Penyediaan Jasa Pemeliharaan dan Perizinan
Kendaraan Dinas/Operasional
Dinas PPKAD Kenderaan dinas
dimanfaatkan untuk tugas
kedinasan
4 unit Kenderaan dinas
dimanfaatkan untuk tugas
kedinasan
4 unit 11.400.000 13.110.000 Dinas PPKAD
Penyediaan Jasa Kebersihan Kantor Dinas PPKAD Terpeliharannya kebersihan
kantor
1 Thn Terpeliharannya kebersihan
kantor
1 Thn 164.000.000 170.000.000 Dinas PPKAD
Penyediaan Alat Tulis Kantor Dinas PPKAD ATK dimanfaatkan untuk
tugas kedinasan
1 Thn ATK dimanfaatkan untuk
tugas kedinasan
1 Thn 198.000.000 200.000.000 Dinas PPKAD
Penyediaan Barang Cetakan dan
Penggandaan
Dinas PPKAD Barang Cetakan dan
Penggandaan dimanfaatkan
untuk tugas kedinasan
1 Thn Barang Cetakan dan
Penggandaan dimanfaatkan
untuk tugas kedinasan
1 Thn 240.800.000 285.200.000 Dinas PPKAD
Penyediaan Komponen Instalasi
Listrik/Penerangan Bangunan Kantor
Dinas PPKAD Listrik berfungsi dengan
baik
1 Thn Listrik berfungsi dengan
baik
1 Thn 75.000.000 80.000.000 Dinas PPKAD
Penyediaan Peralatan dan Perlengkapan
Kantor
Dinas PPKAD Dimanfaatkannya peralatan
dan perlengkapan kantor
untuk tugas kedinasan
1 Keg Dimanfaatkannya peralatan
dan perlengkapan kantor
untuk tugas kedinasan
1 Keg 905.000.000 950.000.000 Dinas PPKAD
Peenyediaan Peralatan Rumah Tangga Dinas PPKAD 1 Thn 1 Thn 10.000.000 12.000.000 Dinas PPKAD
Penyediaan bahan bacaan dan peraturan
perundangan-undangan
Dinas PPKAD Dimanfaatkannya bahan
bacaan dan peraturan
perundang-undangan
untuk tugas kedinasan
1 Thn Dimanfaatkannya bahan
bacaan dan peraturan
perundang-undangan
untuk tugas kedinasan
1 Thn 27.000.000 30.000.000 Dinas PPKAD
Penyediaan Makanan dan Minuman Dinas PPKAD Terpenuhinya kebutuhan
konsumsi untuk urusan
kedinasan
1 Thn Terpenuhinya kebutuhan
konsumsi untuk urusan
kedinasan
1 Thn 280.000.000 300.000.000 Dinas PPKAD
Rapat-Rapat Koordinasi dan Konsultasi Ke
Luar Daerah
Dinas PPKAD terlaksananya kegiatan
pemda dalam menyamakan
persepsi dengan pemda
1 thn terlaksananya kegiatan
pemda dalam menyamakan
persepsi dengan pemda
1 thn 875.000.000 890.000.000 Dinas PPKAD
Penyediaan Jasa Administrasi Perkantoran Dinas PPKAD terselesaikannya tugas-
tugas dinas PPKAD
12 bln terselesaikannya tugas-
tugas dinas PPKAD
12 bln 1.700.000.000 1.800.000.000 Dinas PPKAD
Penyediaan Jasa Keamanan Kantor Dinas PPKAD Terpeliharannya keamanan
kantor
12 bln Terpeliharannya keamanan
kantor
12 bln 185.000.000 195.000.000 Dinas PPKAD
Rencana Program dan Kegiatan Prioritas Tahun 2015 BIDANG PEMERINTAHAN UMUM Lembar 25 dari 74
SKPD Jenis Keg Ket
Tolok Ukur Tolok Ukur Tolok Ukur 1/2/3 1/2/3 1/2/3
2 3 4 5 6 8 10 12 13 14 15 16
Nomor
Urusan/Bidang Urusan Pemerintahan
Daerah
Dan Program/Kegiatan
Prioritas
Daerah
Sasaran
Daerah
Lokasi
Indikator kinerja
Pagu
Indikatif
Prakiraan
Maju
Keterangan
Hasil Program
Keluaran
Kegiatan
Hasil Kegiatan
Target Target Target
1 7 9 11
Program Peningkatan Sarana dan
Prasarana Aparatur
2.320.000.000 374.000.000
Pengadaan Kenderaaan Dinas/Operasional Dinas PPKAD 1 unit 1 unit 718.000.000 Dinas PPKAD
Pemeliharaan Rutin/Berkala Gedung Kantor Dinas PPKAD 1 Thn 1 Thn 100.000.000 150.000.000 Dinas PPKAD
Pemeliharaan Rutin/Berkala Kendaraan
Dinas/Operasional
Dinas PPKAD Tersedianya kendaraan
yang baik
Terpeliharanya kenderaan
dinas
1 Thn Tersedianya kendaraan
yang baik
1 Thn 180.000.000 190.000.000 Dinas PPKAD
Pemeliharaan Rutin/Berkala Peralatan
Gedung Kantor
Dinas PPKAD Terlaksananya perbaikan
pelatan gedung kantor
Terpeliharanya peralatan
gedung kantor
1 Thn Terlaksananya perbaikan
pelatan gedung kantor
1 Thn 32.000.000 34.000.000 Dinas PPKAD
Pembangunan Gudang Berkas dan Asset Dinas PPKAD 1 paket 1 paket 200.000.000 Dinas PPKAD
Pembangunan Pagar Keliling Kantor Dinas PPKAD 1 paket 1 paket 200.000.000 Dinas PPKAD
Pemasangan Paving Blok Dinas PPKAD 1 paket 1 paket 190.000.000 Dinas PPKAD
Pembangunan Taman Kantor Dinas PPKAD 1 paket 1 paket 100.000.000 Dinas PPKAD
Pembngunan Tempat Parkir Kanotr Dinas PPKAD 1 paket 1 paket 200.000.000 Dinas PPKAD
Pembangunan Dek Penahan Dinas PPKAD 1 paket 1 paket 400.000.000 Dinas PPKAD
Program Peningkatan Disiplin Aparatur 2 Keg 155.000.000 175.000.000
Pengadaan Pakaian Dinas Beserta
Perlengkapannya
Dinas PPKAD terlayaninya sarana
pendukung aparatur
100 stel terlayaninya sarana
pendukung aparatur
100 stel 70.000.000 80.000.000 Dinas PPKAD
Pengadaan pakaian khusus hari- hari
tertentu
Dinas PPKAD terlayaninya sarana
pendukung aparatur
100 stel terlayaninya sarana
pendukung aparatur
100 stel 85.000.000 95.000.000 Dinas PPKAD
Program Peningkatan Kapasitas Sumber
Daya Aparatur
6 Keg 2.208.000.000 1.808.000.000
Bimbingan Teknis Implementasi Peraturan
Perundang-Undangan
Dinas PPKAD Meningkatnya pengetahuan
SDM
Thn Meningkatnya pengetahuan
SDM
1 Thn 960.000.000 980.000.000 Dinas PPKAD
Bimbingan Teknis Penatausahaan Keuangan
Desa
Dinas PPKAD 1 Keg 1 Keg 153.000.000 153.000.000 Dinas PPKAD
Bimbingan Teknis Penyusunan Neraca Awal Dinas PPKAD 1 Keg 1 Keg 130.000.000 135.000.000 Dinas PPKAD
Pendampingan Penatausahaan Keuangan
dengan Aplikasi SIMDA Berbasil Akrual
Jawa Tengah dan
Sumbar
1 k 1 k 115.000.000 Dinas PPKAD
Study Banding Peningkatan PAD Jawa Tengah dan
Sumbar
1 Keg 1 Keg 340.000.000 Dinas PPKAD
Sosialisasi PBB Pedesaan dan Perkotaan Dinas PPKAD 1 Keg 1 Keg 510.000.000 540.000.000 Dinas PPKAD
Rencana Program dan Kegiatan Prioritas Tahun 2015 BIDANG PEMERINTAHAN UMUM Lembar 26 dari 74
SKPD Jenis Keg Ket
Tolok Ukur Tolok Ukur Tolok Ukur 1/2/3 1/2/3 1/2/3
2 3 4 5 6 8 10 12 13 14 15 16
Nomor
Urusan/Bidang Urusan Pemerintahan
Daerah
Dan Program/Kegiatan
Prioritas
Daerah
Sasaran
Daerah
Lokasi
Indikator kinerja
Pagu
Indikatif
Prakiraan
Maju
Keterangan
Hasil Program
Keluaran
Kegiatan
Hasil Kegiatan
Target Target Target
1 7 9 11
Program Peningkatan Pengembangan
Sistem Pelaporan Capaian Kinerja dan
Keuangan
6 Keg 321.000.000 344.000.000
Penyusunan Laporan Capaian Kinerja dan
Ikhtisar Realisasi Kinerja SKPD
Dinas PPKAD Tersedianya informasi
tentang kinerja keuagan
1 dok Tersedianya informasi
tentang kinerja keuagan
1 dok 5.000.000 8.000.000 Dinas PPKAD
Penyusunan Pelaporan Keuangan
Semesteran
Dinas PPKAD Terpenuhinya informasi
Laporan Keuangan
Semesteran
1 dok Terpenuhinya informasi
Laporan Keuangan
Semesteran
1 dok 40.000.000 45.000.000 Dinas PPKAD
Penyusunan Pelaporan Keuangan Akhir
Tahun
Dinas PPKAD Terpenuhinya informasi
Laporan Keuangan akhir
tahun
1 dok Terpenuhinya informasi
Laporan Keuangan akhir
tahun
1 dok 155.000.000 160.000.000 Dinas PPKAD
Penyusunan Laporan, Rencana Kinerja dan
Anggaran
Dinas PPKAD Tersedianya informasi
tentang rencana kinerja
keuagan
1 dok Tersedianya informasi
tentang rencana kinerja
keuagan
1 dok 5.000.000 8.000.000 Dinas PPKAD
Penyusunan Laporan Barang Pengguna
Semesteran
Dinas PPKAD Terpenuhinya informasi
tentang asset daerah
Semesteran
1 dok Terpenuhinya informasi
tentang asset daerah
Semesteran
1 dok 50.000.000 55.000.000 Dinas PPKAD
Penyusunan Laporan Barang Pengguna
Tahunan
Dinas PPKAD Terpenuhinya informasi
tentang asset daerah
tahunan
1 dok Terpenuhinya informasi
tentang asset daerah
tahunan
1 dok 66.000.000 68.000.000 Dinas PPKAD
Program Peningkatan dan Pengembangan
Pengelolaan Keuangan Daerah
26 Keg 6.841.000.000 7.231.100.000
Penyusunan Standar Satuan Harga Dinas PPKAD Dipedomaninya buku
standar satuan harga dalam
penyusunan APBD
1 buku Dipedomaninya buku
standar satuan harga dalam
penyusunan APBD
1 buku 199.000.000 200.000.000 Dinas PPKAD
Penyusunan Rancangan Peraturan Daerah
Tentang APBD
Dinas PPKAD implementasikannya APBD
tahun 2016
1 perda implementasikannya APBD
tahun 2016
1 perda 55.000.000 60.000.000 Dinas PPKAD
Penyusunan Rancangan Peraturan KDH
Tentang Penjabaran APBD
Dinas PPKAD implementasikannya
Peraturan KDH tentang
penjabaran APBD tahun
2016
1
peraturan
implementasikannya
Peraturan KDH tentang
penjabaran APBD tahun
2016
1
peraturan
154.000.000 177.100.000 Dinas PPKAD
Penyusunan Rancangan Peraturan Daerah
Tentang Perubahan APBD
Dinas PPKAD implementasikannya
perubahan APBD tahun
2015
1 perda implementasikannya
perubahan APBD tahun
2015
1 perda 52.000.000 55.000.000 Dinas PPKAD
Penyusunan Rancangan Peraturan KDH
Tentang Penjabaran Perubahan APBD
Dinas PPKAD implementasikannya
Peraturan KDH tentang
penjabaran perubahan
APBD tahun 2015
1
peraturan
implementasikannya
Peraturan KDH tentang
penjabaran perubahan
APBD tahun 2015
1
peraturan
160.000.000 170.000.000 Dinas PPKAD
Penyusunan Rancangan Peraturan Daerah
Tentang Pertanggungjawaban Pelaksanaan
APBD
Dinas PPKAD diterimanya
pertanggungjawaban
tentang pelaksanaan APBD
1 perda diterimanya
pertanggungjawaban
tentang pelaksanaan APBD
1 perda 155.000.000 170.000.000 Dinas PPKAD
Penyusunan Rancangan Peraturan KDH
Tentang Penjabaran Pertanggungjawaban
Pelaksanaan APBD
Dinas PPKAD diterimanya tentang
pertanggungjawaban
tentang pelaksanaan
penjabaran APBD
1
peraturan
diterimanya tentang
pertanggungjawaban
tentang pelaksanaan
penjabaran APBD
1
peraturan
40.000.000 42.000.000 Dinas PPKAD
Intensifikasi dan Ekstensifikasi Sumber-
Sumber Pendapatan Daerah
Dinas PPKAD Meningkatnya PAD pemko
PSP
1 Lap Meningkatnya PAD pemko
PSP
1 Lap 560.000.000 600.000.000 Dinas PPKAD
Penelitian dan pengesahan RKA/DPA Dinas PPKAD pedoman pelaksanaa
anggaran seluruh SKPD
1 dok pedoman pelaksanaa
anggaran seluruh SKPD
1 dok 65.000.000 70.000.000 Dinas PPKAD
Penelitian dan pengesahan perubahan
RKA/DPA
Dinas PPKAD pedoman pelaksanaa
perubahan anggaran
seluruh SKPD
1 dok pedoman pelaksanaa
perubahan anggaran
seluruh SKPD
1 dok 66.000.000 72.000.000 Dinas PPKAD
Penyusunan KUA dan PPAS Dinas PPKAD implementasi KUA dan
PPAS
1 dok implementasi KUA dan
PPAS
1 dok 125.000.000 130.000.000 Dinas PPKAD
Rencana Program dan Kegiatan Prioritas Tahun 2015 BIDANG PEMERINTAHAN UMUM Lembar 27 dari 74
SKPD Jenis Keg Ket
Tolok Ukur Tolok Ukur Tolok Ukur 1/2/3 1/2/3 1/2/3
2 3 4 5 6 8 10 12 13 14 15 16
Nomor
Urusan/Bidang Urusan Pemerintahan
Daerah
Dan Program/Kegiatan
Prioritas
Daerah
Sasaran
Daerah
Lokasi
Indikator kinerja
Pagu
Indikatif
Prakiraan
Maju
Keterangan
Hasil Program
Keluaran
Kegiatan
Hasil Kegiatan
Target Target Target
1 7 9 11
Penyusunan Perubahan KUA dan PPAS Dinas PPKAD implementasi perubahan
KUA dan PPAS
1 dok implementasi perubahan
KUA dan PPAS
1 dok 125.000.000 130.000.000 Dinas PPKAD
Optimalisasi Pendapatan Asli Daearah Dinas PPKAD Meningkatnya PAD pemko
PSP
1 Keg Meningkatnya PAD pemko
PSP
1 Keg 430.000.000 430.000.000 Dinas PPKAD
Penghapusan Barang Milik Daerah Dinas PPKAD tersedianya data jumlah
barang yang dihapuskan
1 dok tersedianya data jumlah
barang yang dihapuskan
1 dok 280.000.000 280.000.000 Dinas PPKAD
Monitoring dan evaluasi Asset Barang Daerah Dinas PPKAD Terpenuhinya informasi
tentang asset daerah
1 laporan Terpenuhinya informasi
tentang asset daerah
1 laporan 160.000.000 170.000.000 Dinas PPKAD
Peningkatan Pelayanan Pajak Bumi dan
Bangunan
Dinas PPKAD 1 Keg 1 Keg 1.100.000.000 1.200.000.000 Dinas PPKAD
Pendataan Objek Pajak Dinas PPKAD 1 Keg 1 Keg 110.000.000 120.000.000 Dinas PPKAD
Penyusunan Basis Data Retribusi Daerah Dinas PPKAD 1 Keg 1 Keg 50.000.000 55.000.000 Dinas PPKAD
Penyusunan Standard Pelayanan PBB-P2 Dinas PPKAD 1 Keg 1 Keg 150.000.000 160.000.000 Dinas PPKAD
Penyediaan Jasa Konsultasi Pemetaan dan
Optimalisasi Pajak Daerah
Dinas PPKAD 1 Dok 1 Dok 655.000.000 700.000.000 Dinas PPKAD
Penyediaan Aplikasi Pajak Daaerah Dinas PPKAD 1 Dok 1 Dok 450.000.000 500.000.000 Dinas PPKAD
Pengamanan Asset Pemerintah Kota
Padangsidimpuan
Dinas PPKAD 1 Dok 1 Dok 45.000.000 50.000.000 Dinas PPKAD
Penyelesaian Pemindahtanganan Asset antar
Pemerintah
Dinas PPKAD 1 Keg 1 Keg 360.000.000 360.000.000 Dinas PPKAD
Penjualan Asset Daerah Dinas PPKAD 1 Keg 1 Keg 380.000.000 380.000.000 Dinas PPKAD
Pengamanan Fisik Barang Milik Daerah Dinas PPKAD 1 Keg 1 Keg 445.000.000 450.000.000 Dinas PPKAD
Inventarisasi Barang Milik Daerah Dinas PPKAD 1 Keg 1 Keg 470.000.000 500.000.000 Dinas PPKAD
Program Pembinaan dan Fasilitasi
Pengelolaan Keuangan Kabupaten/Kota
6 Keg 220.000.000 170.000.000
Evaluasi Rancangan Peraturan Daerah
Tentang APBD Kabupaten/Kota
Dinas PPKAD Implementasi Laporan
Evaluasi Ranperda tentang
APBD dari Propinsi
1 dok Implementasi Laporan
Evaluasi Ranperda tentang
APBD dari Propinsi
1 dok 40.000.000 50.000.000 Dinas PPKAD
Evaluasi Rancangan Peraturan KDH Tentang
Penjabaran APBD Kabupaten/Kota
Dinas PPKAD Implementasi Laporan
Evaluasi Ranperda dan
KDH tentang APBD dari
Propinsi
1 dok Implementasi Laporan
Evaluasi Ranperda dan
KDH tentang APBD dari
Propinsi
1 dok 40.000.000 50.000.000 Dinas PPKAD
Evaluasi Rancangan Peraturan Daerah
Tentang Perubahan APBD Kabupaten/Kota
Dinas PPKAD Implementasi Laporan
Evaluasi Ranperda dan
KDH tentang APBD dari
Propinsi
1 dok Implementasi Laporan
Evaluasi Ranperda dan
KDH tentang APBD dari
Propinsi
1 dok 40.000.000 50.000.000 Dinas PPKAD
Evaluasi Rancangan Peraturan KDH Tentang
Penjabaran Perubahan APBD
Kabupaten/Kota
Dinas PPKAD Implementasi Laporan
Evaluasi Ranperda dan
KDH tentang APBD dari
Propinsi
1 dok Implementasi Laporan
Evaluasi Ranperda dan
KDH tentang APBD dari
Propinsi
1 dok 40.000.000 50.000.000 Dinas PPKAD
Rencana Program dan Kegiatan Prioritas Tahun 2015 BIDANG PEMERINTAHAN UMUM Lembar 28 dari 74
SKPD Jenis Keg Ket
Tolok Ukur Tolok Ukur Tolok Ukur 1/2/3 1/2/3 1/2/3
2 3 4 5 6 8 10 12 13 14 15 16
Nomor
Urusan/Bidang Urusan Pemerintahan
Daerah
Dan Program/Kegiatan
Prioritas
Daerah
Sasaran
Daerah
Lokasi
Indikator kinerja
Pagu
Indikatif
Prakiraan
Maju
Keterangan
Hasil Program
Keluaran
Kegiatan
Hasil Kegiatan
Target Target Target
1 7 9 11
Evaluasi rancangan peraturan Daerah
tentang pertanggungjawaban pelaksanaan
APBD
Dinas PPKAD Implementasi Laporan
Evaluasi Ranperda
pertanggungjawaban
pelaksanaan APBD dari
Propinsi
1 dok Implementasi Laporan
Evaluasi Ranperda
pertanggungjawaban
pelaksanaan APBD dari
Propinsi
1 dok 30.000.000 35.000.000 Dinas PPKAD
Evaluasi rancangan Peraturan KDH tentang
Penjabaran Pertanggungjawaban
Pelaksanaan APBD Kabupaten/Kota
Dinas PPKAD Implementasi Laporan
Evaluasi Ranperda dan
KDH tentang perubahan
APBD dari Propinsi
1 dok Implementasi Laporan
Evaluasi Ranperda dan
KDH tentang perubahan
APBD dari Propinsi
1 dok 30.000.000 35.000.000 Dinas PPKAD
4.000.569.880 4.600.655.362 P2
Program Peningkatan Kapasitas Sumber
Daya Aparatur
283.000.000 325.450.000
Sosialisasi peraturan perundang undangan Dinas PPKAD Meningkatnya pemahaman
SDM terhadap peraturan
perundang undangan
1 kegiatan Meningkatnya pemahaman
SDM terhadap peraturan
perundang undangan
1 kegiatan 283.000.000 325.450.000 Dinas PPKAD
Program Peningkatan dan Pengembangan
Pengelolaan Keuangan Daerah
3.717.569.880 4.275.205.362
Penyusunan sistem dan prosedur
pengelolaan keuangan daerah
Dinas PPKAD Dipedomaninya SOP
pengelolaan keuangan
daerah
1 peraturan Dipedomaninya SOP
pengelolaan keuangan
daerah
1 peraturan 889.977.960 1.023.474.654 Dinas PPKAD
Sosialisasi Paket Regulasi Tentang
Pengelolaan Keuangan Daerah
Dinas PPKAD Meningkatnya SDM
pengelolaan keuangan
daerah
1 kegiatan Meningkatnya SDM
pengelolaan keuangan
daerah
1 kegiatan 837.977.960 963.674.654 Dinas PPKAD
Peningkatan manajemen asset / barang
daerah
Dinas PPKAD Meningkatnya SDM PNS
menggunakan aplikasi
SIMDA BMD
1 kegiatan Meningkatnya SDM PNS
menggunakan aplikasi
SIMDA BMD
1 kegiatan 36.952.000 42.494.800 Dinas PPKAD
Revaluasi / appraisal asset / barang daerah Dinas PPKAD Tersedianya nilai asset /
barang daerah yang
mutahir
1 dok Tersedianya nilai asset /
barang daerah yang
mutahir
1 dok 889.977.960 1.023.474.654 Dinas PPKAD
Pemutakhiran Data Base PBB Dinas PPKAD Meningkatnya PAD pemko
PSPdari sektor PBB
5% Meningkatnya PAD pemko
PSPdari sektor PBB
5% 1.062.684.000 1.222.086.600 Dinas PPKAD
2.531.605.862 2.863.327.034 P1
Program Pelayanan Administrasi
Perkantoran
1.269.605.862 1.371.327.034
Penyediaan Jasa Surat Menyurat
Padangsidimpuan
Terpenuhinya Jasa Surat
Menyurat
1 Thn
Terpenuhinya Jasa Surat
Menyurat
1 Thn 5.000.000 5.000.000 KP2T
Penyediaan Jasa Komunikasi, Sumber Daya
Air dan Listrik
Padangsidimpuan Terpenuhinya Jasa
Komunikasi, Sumber Daya
Air dan Listrik
1 Thn
Terpenuhinya Jasa
Komunikasi, Sumber Daya
Air dan Listrik
1 Thn 142.000.000 143.000.000 KP2T
Penyediaan Jasa Kebersihan Kantor
Padangsidimpuan
Terpenuhinya Jasa
Kebersihan Kantor
1 Thn
Terpenuhinya Jasa
Kebersihan Kantor
1 Thn 175.000.000 178.000.000 KP2T
Penyediaan Alat Tulis Kantor
Padangsidimpuan
Tersedianya Alat Tulis
Kantor
1 Thn
Tersedianya Alat Tulis
Kantor
1 Thn 128.833.862 154.600.634 KP2T
Penyediaan Barang Cetakan dan Pengadaan
Padangsidimpuan
Tersedianya Barang
Cetakan dan Penggadaan
1 Thn
Tersedianya Barang
Cetakan dan Penggadaan
1 Thn 150.000.000 155.000.000 KP2T
Rencana Program dan Kegiatan Prioritas Tahun 2015 BIDANG PEMERINTAHAN UMUM Lembar 29 dari 74
SKPD Jenis Keg Ket
Tolok Ukur Tolok Ukur Tolok Ukur 1/2/3 1/2/3 1/2/3
2 3 4 5 6 8 10 12 13 14 15 16
Nomor
Urusan/Bidang Urusan Pemerintahan
Daerah
Dan Program/Kegiatan
Prioritas
Daerah
Sasaran
Daerah
Lokasi
Indikator kinerja
Pagu
Indikatif
Prakiraan
Maju
Keterangan
Hasil Program
Keluaran
Kegiatan
Hasil Kegiatan
Target Target Target
1 7 9 11
Penyediaan Komponen Instalasi
Listrik/Penerangan Bangunan Kantor
Padangsidimpuan
Tersedianya Komponen
Instalasi
Listrik/Penerangan
Bangunan Kantor
1 Thn
Tersedianya Komponen
Instalasi
Listrik/Penerangan
Bangunan Kantor
1 Thn 10.000.000 9.600.000 KP2T
Penyediaan Bahan Bacaan dan Peraturan
Perundang-Undangan
Padangsidimpuan
Tersedianya Bahan Bacaan
dan Peraturan Perundang-
undangan
1 Thn
Tersedianya Bahan Bacaan
dan Peraturan Perundang-
undangan
1 Thn 20.000.000 22.000.000 KP2T
Penyediaan Makanan dan Minuman
Padangsidimpuan
Tersedianya Makan dan
Minum Aparatur dan Tamu
1 Thn
Tersedianya Makan dan
Minum Aparatur dan Tamu
1 Thn 170.000.000 165.000.000 KP2T
Rapat-Rapat Koordinasi dan Konsultasi Ke
Luar Daerah
Dalam dan Luar
daerah Terlaksananya Rapat-rapat
Koordinasi dan Kunsultasi
ke Luar Daerah
1 Thn
Terlaksananya Rapat-rapat
Koordinasi dan Kunsultasi
ke Luar Daerah
1 Thn 324.272.000 389.126.400 KP2T
Penyediaan Jasa Keamanan Kantor
Padangsidimpuan
Tersedianya jasa
keamanan kantor
1 Thn
Tersedianya jasa keamanan
kantor
1 Thn 125.000.000 130.000.000 KP2T
Penyediaan Jasa Administrasi Perkantoran
Padangsidimpuan
Terpenuhinya Jasa
Administrasi Perkantoran
1 Thn
Terpenuhinya Jasa
Administrasi Perkantoran
1 Thn 19.500.000 20.000.000 KP2T
Program Peningkatan Saranan dan
Prasarana Aparatur
Pelayanan Perizinan
Terpadu Daerah Kota
Padangsidimpuan
80.000.000 85.000.000
Pemeliharaan Rutin/Berkala Kendaraan
Dinas/Operasional
Padangsidimpuan
Pemeliharaan Kendaraan
Dinas/Operasional
1 Thn
Terpeliharanya kenderaan
dinas operasional
1 Thn 80.000.000 85.000.000 KP2T
Program Peningkatan Kapasitas Sumber
Daya Aparatur
Terlaksananya
Peningkatan Kualitas dan
Kompetensi Aparatur
dalam rangka pelayanan
prima
700.000.000 710.000.000
Pendidikan dan Pelatihan Formal
Padangsidimpuan
Pendidikan dan Pelatihan
Formal
1 Thn
Tersedianya pendidikan dan
pelatihan formal 1 Thn
Peningkatan kinerja dan
tugas-tugas kantor 1 Thn 700.000.000 710.000.000 KP2T
Program Peningkatan Pengembangan
Sistem Pelaporan Capian Kinerja dan
Keuangan
50.000.000 44.000.000
Penyusunan Laporan, Rencana Kinerja dan
Anggaran
Padangsidimpuan
Laporan Keuangan
Semesteran
1 Thn
Tersedianya penyusunan
laporan rencana kinerja dan
anggaran 1 Thn
Peningkatan tugas-tugas
kantor
1 Thn 25.000.000 22.000.000 KP2T
Penyusunan Pelaporan Keuangan Akhir
Tahun
1 Thn 1 Thn 1 Thn 25.000.000 22.000.000 KP2T
Program Perbaikan Sistem Administrasi
Kearsipan
75.000.000 78.000.000
Penyusunan Sistem Katalog Data
Padangsidimpuan
Dokumen Sistem Katalog
Data
1 Thn
Tersusunnya katalog data
1 Thn
Lancarnya tugas-tugas
kantor 1 Thn 75.000.000 78.000.000 KP2T
Program Penataan dan Penyempurnaan
Kebijakan Sistem dan Prosedur
Pengawasan
Terwujudnya
Penyelenggaraan
Pelayanan Perizinan
secara Terpadu
72.000.000 75.000.000
Penyusunan Pengukuran Indeks Kepuasan
Masyarakat
Padangsidimpuan
Survey Kepuasan
Masyarakat
1 Thn 1 Thn 1 Thn 72.000.000 75.000.000 KP2T
Rencana Program dan Kegiatan Prioritas Tahun 2015 BIDANG PEMERINTAHAN UMUM Lembar 30 dari 74
SKPD Jenis Keg Ket
Tolok Ukur Tolok Ukur Tolok Ukur 1/2/3 1/2/3 1/2/3
2 3 4 5 6 8 10 12 13 14 15 16
Nomor
Urusan/Bidang Urusan Pemerintahan
Daerah
Dan Program/Kegiatan
Prioritas
Daerah
Sasaran
Daerah
Lokasi
Indikator kinerja
Pagu
Indikatif
Prakiraan
Maju
Keterangan
Hasil Program
Keluaran
Kegiatan
Hasil Kegiatan
Target Target Target
1 7 9 11
Program Penataan Perundang-Undangan 125.000.000 150.000.000
Fasilitas Sosialisasi Peraturan Perundang-
Undangan
Padangsidimpuan
Sosialisasi Peraturan
Perundang-Undangan
1 Thn 1 Thn 1 Thn 125.000.000 150.000.000 KP2T
2.858.426.025 2.792.220.194
P2
Program Pelayanan Administrasi
Perkantoran
298.906.595 358.687.914
Penyediaan Peralatan dan Perlengkapan
Kantor
Padangsidimpuan
Tersedianya Sarana
Peralatan dan
Perlengkapan Kantor
1 Thn
Tersedianya Sarana
Peralatan dan Perlengkapan
Kantor
1 Thn 298.906.595 358.687.914 KP2T
Program Peningkatan Saranan dan
Prasarana Aparatur
Pelayanan Perizinan
Terpadu Daerah Kota
Padangsidimpuan
1.071.931.330 1.368.426.560
Pembangunan Gedung Kantor
Padangsidimpuan
Pembangunan Gedung
Kantor
843.991.330 KP2T
Kendaraan Dinas/Operasional
Padangsidimpuan
Terpenuhinya Kendaraan
Dinas/Operasional
Tersedianya kenderaan
dinas operasional
76.220.000 91.464.000 KP2T
Pemeliharaan Rutin/Berkala Gedung Kantor
Padangsidimpuan
Pemeliharaan Gedung
Kantor
1 Thn
Terpeliharanya gedung
kantor
1 Thn 100.000.000 120.000.000 KP2T
Pemeliharaan Rutin/Berkala Peralatan
Gedung Kantor
Padangsidimpuan
Pemeliharaan Peralatan
dan Perlengkapan Kantor
1 Thn
Terpeliharanya peralatan
gedung kantor
1 Thn 51.720.000 62.064.000 KP2T
Rehabilitasi Sedang/Berat Gedung Kantor
Padangsidimpuan
Rehabilitas Gedung Kantor 1 Thn
Terpeliharanya gedung
kantor 1 Thn - 950.000.000 KP2T
Program Peningkatan Disiplin Aparatur 120.748.800 144.898.560
Pengadaan Pakaian Dinas Beserta
Perlengkapannya
Padangsidimpuan
Pakaian Dinas beserta dan
Perlengkapannya
1 Thn
Terpenuhinya pakaian
dinas 1 Thn 32.718.000 39.261.600 KP2T
Pengadaan Pakaian Kerja Lapangan
Padangsidimpuan
Pakaian Kerja Lapangan 1 Thn
Terpenuhinya pakaian kerja
lapangan 1 Thn 62.358.000 74.829.600 KP2T
Pengadaan Pakaian Khusus Hari-hari
tertentu
Padangsidimpuan
Pakaian Khususu Hari-hari
tertentu
1 Thn
Terpenuhinya pakaian
khusus hari tertentu 1 Thn 25.672.800 30.807.360 KP2T
Program Peningkatan Kapasitas Sumber
Daya Aparatur
Terlaksananya
Peningkatan Kualitas dan
Kompetensi Aparatur
dalam rangka pelayanan
prima
380.199.300 456.239.160
Sosialisasi Peraturan Perundang-Undangan
Padangsidimpuan
Sosialisasi Peraturan
Perundang-Undangan
1 Thn
Terpenuhinya kegiatan
sosialisasi peraturan
perundang-undangan
1 Thn
Peningkatan tugas-tugas
kantor 1 Thn 166.479.300 199.775.160 KP2T
Kunjungan Kerja
Padangsidimpuan
Kunjungan Kerja 213.720.000 256.464.000 KP2T
Program Penataan dan Penyempurnaan
Kebijakan Sistem dan Prosedur
Pengawasan
Terwujudnya
Penyelenggaraan
Pelayanan Perizinan
secara Terpadu
386.640.000 463.968.000
Peningkatan Kapasitas Pelayanan Perizinan
dan Non Perizinan
Padangsidimpuan
Terpenuhinya Pelayanan
Perizinan dan Non
Perizinan dengan Baik
1 Thn 1 Thn 1 Thn 386.640.000 463.968.000 KP2T
Program Peningkatan Saranan dan
Prasarana Aparatur
600.000.000
Rencana Program dan Kegiatan Prioritas Tahun 2015 BIDANG PEMERINTAHAN UMUM Lembar 31 dari 74
SKPD Jenis Keg Ket
Tolok Ukur Tolok Ukur Tolok Ukur 1/2/3 1/2/3 1/2/3
2 3 4 5 6 8 10 12 13 14 15 16
Nomor
Urusan/Bidang Urusan Pemerintahan
Daerah
Dan Program/Kegiatan
Prioritas
Daerah
Sasaran
Daerah
Lokasi
Indikator kinerja
Pagu
Indikatif
Prakiraan
Maju
Keterangan
Hasil Program
Keluaran
Kegiatan
Hasil Kegiatan
Target Target Target
1 7 9 11
Pembangunan Tempat Parkir Depan dan
Belakang Kantor
Padangsidimpuan Pembangunan Tempat
Parkir Depan dan
Belakang Kantor
1 Thn 1 Thn 1 Thn 250.000.000 KP2T
Pembangunan Papan Merk Kantor
Padangsidimpuan
Pembangunan Papan Merk
Kantor
1 Thn 1 Thn 1 Thn 150.000.000 KP2T
Pembangunan Pos Satpam Depan dan
Belakang Kantor
Padangsidimpuan Pembangunan Pos Satpam
Depan dan Belakang
Kantor
1 Thn 1 Thn 1 Thn 150.000.000 KP2T
Pembangunan Petunjuk Arah Kantor
Padangsidimpuan
Pembangunan Petunjuk
Arah Kantor
1 Thn 1 Thn 1 Thn 50.000.000 KP2T
2.561.900.000 2.558.357.000
P1
Program Pelayanan Administrasi
Perkantoran 490.900.000 509.140.000
Penyediaan Jasa Komunikasi, Sumber Daya
Air dan Listrik
Padangsidimpuan Meningkatnya pelayanan
perkantoran 1 Thn
Tersedianya Komunikasi ,
listrik dan sumber daya air 1 Thn 35.000.000 33.000.000 Inspektorat
Penyediaan Jasa Kebersihan Kantor Padangsidimpuan Meningkatnya pelayanan
perkantoran
1 Thn
Pembayaran Honorarium
Petugas Kebersihan
1 Thn 22.000.000 24.000.000 Inspektorat
Penyediaan Alat Tulis Kantor Padangsidimpuan Meningkatnya pelayanan
perkantoran 1 Thn
Pelaksanaan Penyediaan
alat tulis kantor 1 Thn 37.000.000 40.000.000 Inspektorat
Penyediaan Barang Cetakan dan
Penggandaan
Padangsidimpuan Meningkatnya pelayanan
perkantoran 1 Thn
Pelaksanaan Penyediaan
Barang cetakan dan
penggandaan
1 Thn 56.000.000 60.000.000 Inspektorat
Penyediaan Komponen Instalasi
Listrik/Penerangan Bangunan Kantor
Padangsidimpuan Meningkatnya pelayanan
perkantoran
1 Thn
Tersedianya alat
penerangan/elektronik
Kantor
1 Thn 2.400.000 2.640.000 Inspektorat
Penyediaan Peralatan Rumah Tangga Padangsidimpuan
1 Thn 1 Thn 3.500.000 3.500.000 Inspektorat
Penyediaan bahan Bacaan dan Peraturan
Perundang-undangan
Padangsidimpuan Meningkatnya pelayanan
perkantoran 1 Thn
Tersedianya Bahan Bacaan
dan Perundang-undangan 1 Thn 32.000.000 32.000.000 Inspektorat
Penyediaan Makanan dan Minuman Padangsidimpuan Meningkatnya pelayanan
perkantoran 1 Thn
Adanya pembayaran
makanan dan minuman
bagi pegawai
1 Thn 32.000.000 32.000.000 Inspektorat
Rapat-Rapat Koordinasi dan Konsultasi Ke
Luar Daerah
Padangsidimpuan Meningkatnya pelayanan
perkantoran 1 Thn
Pelaksanaan koordinasi dan
konsultasi ke luar daerah 1 Thn 240.000.000 250.000.000 Inspektorat
Penyediaan Jasa Keamanan Perkantoran Padangsidimpuan
1 Thn 1 Thn 31.000.000 32.000.000 Inspektorat
Program Peningkatan Sarana dan
Prasarana Aparatur 417.000.000 449.892.000
Pengadaan Perlengkapan Gedung Kantor Padangsidimpuan Peralatan Gedung Kantor
1 Keg
Terpenuhinya pengadaan
peralatan gedung kantor 1 Keg 100.000.000 110.000.000 Inspektorat
Pengadaan Peralatan Gedung Kantor Padangsidimpuan Peralatan Gedung Kantor
1 Keg
Terpenuhinya pengadaan
peralatan gedung kantor 1 Keg 90.000.000 95.000.000 Inspektorat
Pengadaan Mebeleur Padangsidimpuan Mebeleur
1 Unit
terpenuhinya pengadaan
mebeleur 1 Unit 92.000.000 101.200.000 Inspektorat
Pemeliharaan rutin/berkala gedung kantor Padangsidimpuan
1 Thn 1 Thn 40.000.000 42.000.000 Inspektorat
Pemeliharaan rutin/berkala peralatan
gedung kantor
Padangsidimpuan
1 Thn 1 Thn 20.000.000 25.000.000 Inspektorat
Pemeliharaan Rutin/Berkala Kendaraan
Dinas/Operasional
Padangsidimpuan Kendaraan
Dinas/Operasional 1Thn
Pelaksanaan pemeliharaan
kenderaan dinas 1Thn 75.000.000 76.692.000 Inspektorat
Program Peningkatan Disiplin Aparatur
15.000.000 16.500.000
Rencana Program dan Kegiatan Prioritas Tahun 2015 BIDANG PEMERINTAHAN UMUM Lembar 32 dari 74
SKPD Jenis Keg Ket
Tolok Ukur Tolok Ukur Tolok Ukur 1/2/3 1/2/3 1/2/3
2 3 4 5 6 8 10 12 13 14 15 16
Nomor
Urusan/Bidang Urusan Pemerintahan
Daerah
Dan Program/Kegiatan
Prioritas
Daerah
Sasaran
Daerah
Lokasi
Indikator kinerja
Pagu
Indikatif
Prakiraan
Maju
Keterangan
Hasil Program
Keluaran
Kegiatan
Hasil Kegiatan
Target Target Target
1 7 9 11
Pengadaan Pakaian Dinas Beserta
Perlengkapannya
Padangsidimpuan
Tersedianya pakaian dinas
PNS
27 Org
Pelaksanaan pengadaan
pakaian dinas 27 Org 15.000.000 16.500.000 Inspektorat
Program Peningkatan Pengembangan
Sistem Pelaporan Capaian Kinerja dan
Keuangan
135.000.000 140.000.000
Penyusunan Laporan Capaian Kinerja
Ikhtisar Realisasi Kinerja SKPD
Padangsidimpuan
Peningkatan kualitas dan
kuantitas pelaporan
36 SKPD
Penyusunan dan Pendataan
LP2P PNS se- Pemko
Padangsidimpuan
36 SKPD 135.000.000 140.000.000 Inspekorat
Program Peningkatan Sistem Pengawasan
internal dan pengendalian Pelaksanaan
Kebijakan
744.000.000 735.500.000
Pelaksanaan Pengawasan Internal Secara
Berkala
Padangsidimpuan Pengawasan internal
51 obrik
Terlaksananya Pemeriksaan
Reguler 51 obrik 220.000.000 192.500.000 Inspekorat
Penanganan Kasus Pengaduandi Lingkungan
Pemerintah Daerah
Padangsidimpuan Penganganan kasus-kasus
di lingk. Pemda
LHP
Terlaksananya Pengawasan
Pemeriksaan kasus/
khusus dan serah terima
jabatan
LHP 73.000.000 75.000.000 Inspekorat
Pengendalian Manajemen Pelaksanaan
Kebijakan KDH
Padangsidimpuan Terlaksananya reviw
keuangan Laporan
Review Keuangan
Laporan
60.000.000 70.000.000
Inspekorat
Tindak Lanjut Hasil Temuan Pengawasan Padangsidimpuan Monitoring tindak lanjut
hasil pemeriksaan
LHP
Melakukan Monitoring
Tindak Lanjut Hasil
Pemeriksaan
LHP
175.000.000 180.000.000 Inspektorat
Koordinasi Pengawasan yang lebih
Komprehensif
Padangsidimpuan Terlaksananya
koordinasi/rakorwasnas
1 Thn
Terlaksananya Koordinasi /
Rakorwasnas
1 Thn 216.000.000 218.000.000 Inspektorat
Program Peningkatan Profesionalisme
Tenaga Pemeriksa dan Aparatur
Pengawasan
760.000.000 707.325.000
Pelatihan Pengembangan Tenaga pemeriksa
dan Aparatur Pengawasan
Padangsidimpuan Terkirimnya pegawai
melalui diklat dan
sertifikasi 27 Org
Meningkatnya Kualitas
SDM Tenaga Pemeriksa dan
aparatur Pengawasan 27 Org 130.000.000 127.325.000 Inspektorat
Pelatihan Teknis Pengawasan dan Penilaian
Akuntabilitas Kinerja
Padangsidimpuan Terlaksananya PKS teknis
pemeriksaan dan
pelaporan
27 Org
Terlaksananya Pelatihan
Teknis Pemeriksaan dan
Pelaporan
27 Org 630.000.000 580.000.000 Inspektorat
71.250.000 78.375.000
P2
Program Peningkatan Sistem Pengawasan
Internal dan Pengendalian Pelaksanaan
Kebijakan KDH 71.250.000 78.375.000
Pengendalian Manajemen Pelaksanaan
Kebijakan KDH
Padangsidimpuan
1 Keg
Terlaksananya Kerjasama
dengan BPKP untuk
penyelenggaraan
Sosialisasi SPIP di
Lingkungan Pemerintah
Kota Padangsidimpuan
1 Keg 71.250.000 78.375.000 Inspektorat
2.628.398.400 2.669.398.400 P1
Program Pelayanan Administrasi
Perkantoran
821.898.400 823.898.400
Penyediaan Jasa Komunikasi, Sumber Daya
Air dan Listrik
Padangsidimpuan Meningkatnya pelayanan
perkantoran
1 Thn
Jasa Komunikasi, Sumber
Daya Air dan Listrik
1 Thn
Tersedianya Jasa
Komunikasi, Sumber Daya
Air dan Listrik
1 Thn 62.000.000 62.000.000 BKD
Penyediaan Jasa Kebersihan Kantor Padangsidimpuan Meningkatnya pelayanan
perkantoran 1 Thn
Jasa Kebersihan Kantor
1 Thn
Tersedianya Jasa
Kebersihan Kantor 1 Thn 22.600.000 22.600.000 BKD
Rencana Program dan Kegiatan Prioritas Tahun 2015 BIDANG PEMERINTAHAN UMUM Lembar 33 dari 74
SKPD Jenis Keg Ket
Tolok Ukur Tolok Ukur Tolok Ukur 1/2/3 1/2/3 1/2/3
2 3 4 5 6 8 10 12 13 14 15 16
Nomor
Urusan/Bidang Urusan Pemerintahan
Daerah
Dan Program/Kegiatan
Prioritas
Daerah
Sasaran
Daerah
Lokasi
Indikator kinerja
Pagu
Indikatif
Prakiraan
Maju
Keterangan
Hasil Program
Keluaran
Kegiatan
Hasil Kegiatan
Target Target Target
1 7 9 11
Penyediaan Alat Tulis Kantor Padangsidimpuan Meningkatnya pelayanan
perkantoran
1 Thn
Alat Tulis Kantor
1 Thn
Tersedianya Alat Tulis
Kantor
1 Thn 66.157.650 66.157.650
Penyediaan Barang Cetakan dan
Penggandaan
Padangsidimpuan Meningkatnya pelayanan
perkantoran 1 Thn
Barang Cetakan dan
Penggandaan 1 Thn
Tersedianya Barang
Cetakan dan Penggandaan 1 Thn 39.404.750 39.404.750 BKD
Penyediaan Peralatan dan Perlengkapan
Kantor
Padangsidimpuan Meningkatnya pelayanan
perkantoran
1 Thn
Peralatan dan Perlengkapan
Kantor
1 Thn
Tersedianya Peralatan dan
Perlengkapan Kantor
1 Thn 110.000.000 112.000.000 BKD
Penyediaan Peralatan rumah tangga Padangsidimpuan Meningkatnya pelayanan
perkantoran 1 Thn
Peralatan rumah tangga
1 Thn
Tersedianya Peralatan
rumah tangga 1 Thn 11.000.000 11.000.000 BKD
Penyediaan Bahan Bacaan dan Perundang-
undangan
Padangsidimpuan Meningkatnya pelayanan
perkantoran
1 Thn
Bahan Bacaan dan
Perundang-undangan
1 Thn
Tersedianya Bahan Bacaan
dan Perundang-undangan
1 Thn 20.000.000 20.000.000 BKD
Penyediaan Makanan dan Minuman Padangsidimpuan Meningkatnya pelayanan
perkantoran 1 Thn
Makanan dan Minuman
1 Thn
Tersedianya Makanan dan
Minuman 1 Thn 98.736.000 98.736.000 BKD
Rapat-Rapat Koordinasi dan Konsultasi Ke
Luar Daerah
Padangsidimpuan Meningkatnya pelayanan
perkantoran
336
hari
Rapat-Rapat Koordinasi dan
Konsultasi Ke Luar Daerah
336 hari Rapat-Rapat Koordinasi dan
Konsultasi Ke Luar Daerah
336 hari 320.000.000 320.000.000 BKD
Penyediaan jasa keamanan kantor Padangsidimpuan 336
hari
336 hari 336 hari
32.000.000 32.000.000 BKD
Penyediaan jasa administrasi perkantoran Padangsidimpuan Meningkatnya pelayanan
perkantoran
1 Thn
jasa administrasi
perkantoran
1 Thn
Tersedianya jasa
administrasi perkantoran
1 Thn 40.000.000 40.000.000 BKD
Program Peningkatan Sarana dan
Prasarana Aparatur 96.000.000 98.500.000
Pemeliharaan rutin /berkala kenderaan
dinas operasional
Padangsidimpuan
68.000.000 70.000.000 BKD
Pemeliharaan rutin/ berkala gedung/ kantor Padangsidimpuan
1 Thn
Tersedianaya Pemeliharaan
gedung/ kantor 1 Thn
Terlaksananya
Pemeliharaan rutin/
berkala gedung/ kantor
1 Thn 12.000.000 12.000.000 BKD
Pemeliharaan rutin/ berkala peralatan
gedung/ kantor
Padangsidimpuan
1 Thn
Tersedianaya Peralatan
gedung/ kantor 1 Thn
Terlaksananya Peralatan
rutin/ berkala gedung/
kantor
1 Thn 16.000.000 16.500.000 BKD
Program Peningkatan Disiplin Aparatur
54.500.000 56.000.000
Pengadaan Pakaian Dinas Beserta
Perlengkapannya
Padangsidimpuan
1 Keg 1 Keg 1 Keg 26.500.000 27.000.000 BKD
Pengadaan Pakaian Khusus hari-hari
tertentu
Padangsidimpuan
1 Keg 1 Keg 1 Keg 28.000.000 29.000.000 BKD
Program Peningkatan Kapasitas Sumber
Daya Aparatur 1.000.000.000 1.015.000.000
Pendidikan dan Pelatihan Formal Padangsidimpuan
1 Thn 1 Thn 1 Thn 770.000.000 780.000.000 BKD
Pendidikan dan pelatihan Prajabatan bagi
Calon PNS Daerah
Padangsidimpuan
1 Thn 1 Thn 1 Thn 120.000.000 120.000.000 BKD
Sosialisasi Peratuaran Pemerintah No 46
Tahun 2011 tentang sasaran kerja pegawai
(PNS)
Padangsidimpuan
1 Thn 1 Thn 1 Thn 110.000.000 115.000.000 BKD
Program Pembinaan dan Pengembangan
Aparatur 656.000.000 676.000.000
Penyusunan Rencana Pembinaan Karir PNS Padangsidimpuan
6 Keg 6 Keg 6 Keg 95.000.000 100.000.000 BKD
Proses Penanganan kasus-kasus Pelanggaran
Disiplin PNS 6 Keg 6 Keg 6 Keg 65.000.000 66.000.000 BKD
Penyusunan Daftar Urut Kepangkatan (DUK) Padangsidimpuan
1 Thn 1 Thn 1 Thn 40.000.000 40.000.000 BKD
Rencana Program dan Kegiatan Prioritas Tahun 2015 BIDANG PEMERINTAHAN UMUM Lembar 34 dari 74
SKPD Jenis Keg Ket
Tolok Ukur Tolok Ukur Tolok Ukur 1/2/3 1/2/3 1/2/3
2 3 4 5 6 8 10 12 13 14 15 16
Nomor
Urusan/Bidang Urusan Pemerintahan
Daerah
Dan Program/Kegiatan
Prioritas
Daerah
Sasaran
Daerah
Lokasi
Indikator kinerja
Pagu
Indikatif
Prakiraan
Maju
Keterangan
Hasil Program
Keluaran
Kegiatan
Hasil Kegiatan
Target Target Target
1 7 9 11
Pelaksanaan Sumpah Janji PNS Padangsidimpuan
1 Thn 1 Thn 1 Thn 24.000.000 24.000.000 BKD
Pemuktahiran/ pemerajaan database
kepegawaian
Padangsidimpuan
1 Thn 1 Thn 1 Thn 30.000.000 32.000.000 BKD
Pengusulan dan Penyelesaian kenaikan
Pangkat PNS
Padangsidimpuan
2 Keg 2 Keg 2 Keg 32.000.000 32.000.000 BKD
Sosialisasi Pembekalan Calon Pensiun PNS Padangsidimpuan
2 Keg 2 Keg 2 Keg 90.000.000 92.000.000 BKD
Sosialisasi Bahay narkoba dan test urine PNS Padangsidimpuan
2 Keg 2 Keg 2 Keg 280.000.000 290.000.000 BKD
647.751.600 647.751.600 P2
Program Peningkatan Kapasitas Sumber
Daya Aparatut 300.000.000 300.000.000
Diklat Bendahara Pengeluaran Dalam danLuar
Daerah 1 Thn
Tersedianya PNS yang siap
membidangi pengeluaran 1 Thn
Terpenuhinya PNS sebagai
pengelola keuangan 1 Thn 150.000.000 150.000.000 BKD
Diklat Pengurus Barang Dalam danLuar
Daerah 1 Thn
Tersedianya PNS yang siap
membidangi barang 1 Thn 1 Thn 150.000.000 150.000.000 BKD
Program Pelayanan Administrasi
Perkantoran
74.179.600 74.179.600
Penyediaan Jasa Pemeliharaan dan Perijinan
Kendaraan Dinas Operasioanl
Padangsidimpuan Meningkatnya pelayanan
perkantoran
1 Thn
s
1 Thn
Tersedianya Jasa
Pemeliharaan dan Perijinan
Kendaraan Dinas
Operasioanl
1 Thn 74.179.600 74.179.600 BKD
Program Peningkatan Sarana dan
Prasarana Aparatur
146.730.000 146.730.000
Pengadaan mebeleur Padangsidimpuan
1 Thn
Tersedianya mebeleur
1 Thn
Terlaksananya Pengadaan
mebeleur 1 Thn 26.730.000 26.730.000 BKD
Pengadaan Konstruksi/ pembelian bangunan Padangsidimpuan
1 Thn
Tersedianya Pengadaan
Konstruksi/ pembelian
bangunan
1 Thn
Terlaksananya Pengadaan
Konstruksi/ pembelian
bangunan
1 Thn 103.000.000 103.000.000 BKD
Pemeliharaan rutin/ berkala peralatan
gedung kantor
Padangsidimpuan
1 Thn
Tersedianya Pemeliharaan
peralatan gedung kantor
1 Thn
Terlaksananya
Pemeliharaan rutin/
berkala peralatan gedung
kantor
1 Thn 17.000.000 17.000.000 BKD
Program Pembinaan dan Pengembangan
Aparatur 126.842.000 126.842.000
Pelaksanaan Monitoring/ Operasi sayang
PNS
Padangsidimpuan
1 Keg 1 Keg 1 Keg 26.120.000 26.120.000 BKD
Pelaksanaan Kenaikan Pangkat penyesuaian
Ijasah
Padangsidimpuan
1 Thn 1 Thn 1 Thn 23.518.500 23.518.500 BKD
Sosialisasi Peraturan Tentang Kepegawaian Padangsidimpuan
1 Thn 1 Thn 1 Thn 77.203.500 77.203.500 BKD
1.982.944.800 1.991.400.000 P1
Program Pelayanan Administrasi
Perkantoran
1.216.900.800 1.565.900.000
Penyediaan Jasa Surat Menyurat Kantor Camat
Meningkatnya Pelayanan
Perkantoran
Terbayarnya Honor Kepling,
Petugas Kebersihan dan
Keamanan
53 org
Kepling, Petugas
Kebersihan dan keamanan
sejahtera
53 org 0 526.800.000 Ktr. Camat Psp. Utara
penyediaan peralatan rumah tangga 6.000.000
Penyediaan Jasa Komunikasi, Sumber Daya
Air dan Listrik
Kantor Camat
Meningkatnya Pelayanan
Perkantoran
Tersedianya jasa
komunikasi, sumber daya
air dan listrik
1 Thn
Terlaksananya jasa
komunikasi sumber daya
air dan listrik
17 Ktr 27.620.800 28.000.000 Ktr. Camat Psp. Utara
Penyediaan Peralatan dan Perlengkapan
Kantor
Kantor Camat dan
Kantor Lurah
Meningkatnya Pelayanan
Perkantoran
Terselenggaranya
penyediaan peralatan dan
perlengkapan kantor
1 Thn
Tercukupinya penyediaan
peralatan dan perlengkapan
kantor
1 Thn 159.000.000 175.000.000 Ktr. Camat Psp. Utara
penyediaan jasa keamanan kantor 21.500.000
Penyediaan Jasa Kebersihan Kantor Kantor Camat
Meningkatnya Pelayanan
Perkantoran
Tersedianya jasa
kebersihan kantor
1 Thn
Terpenuhinya peralatan
kebersihan kantor dan
honorarium petugas
1 Thn 13.900.000 15.500.000 Ktr. Camat Psp. Utara
Rencana Program dan Kegiatan Prioritas Tahun 2015 BIDANG PEMERINTAHAN UMUM Lembar 35 dari 74
SKPD Jenis Keg Ket
Tolok Ukur Tolok Ukur Tolok Ukur 1/2/3 1/2/3 1/2/3
2 3 4 5 6 8 10 12 13 14 15 16
Nomor
Urusan/Bidang Urusan Pemerintahan
Daerah
Dan Program/Kegiatan
Prioritas
Daerah
Sasaran
Daerah
Lokasi
Indikator kinerja
Pagu
Indikatif
Prakiraan
Maju
Keterangan
Hasil Program
Keluaran
Kegiatan
Hasil Kegiatan
Target Target Target
1 7 9 11
Penyediaan Alat Tulis Kantor
Kantor Camat dan
Kantor Lurah
Meningkatnya Pelayanan
Perkantoran
Tersedianya Alat Tulis
Kantor
17 kantor
Terpenuhinya penyediaan
Alat Tulis Kantor
17 kantor 44.000.000 45.500.000 Ktr. Camat Psp. Utara
Penyediaan Barang Cetakan dan
Penggandaan
Kantor Camat dan
Kantor Lurah
Meningkatnya Pelayanan
Perkantoran
Terselenggaranya
penyediaan barang cetakan
dan penggandaan
1 Thn
Tercukupinya penyediaan
barang cetakan dan
penggandaan
1 Thn 23.000.000 27.000.000 Ktr. Camat Psp. Utara
Penyediaan Komponen Instalasi
Listrik/Penerangan Bangunan Kantor
Kantor Camat
Meningkatnya Pelayanan
Perkantoran
Tersedianya komponen
instalasi listrik/penerangan
bangunan kantor
1 Thn
Instalasi listrik dan
penerangan bangunan
kantor semakin baik
1 Thn 1.880.000 2.300.000 Ktr. Camat Psp. Utara
Penyediaan Bahan Bacaan dan Peraturan
Perundang-undangan
Kantor Camat
Meningkatnya Pelayanan
Perkantoran
Tersedianya Bahan bacaan
yang mendukung kinerja
pegawai
1 Thn
Adanya bahan bacaan
untuk meningkatkan
pengetahuan pegawai
1 Thn 18.000.000 15.000.000 Ktr. Camat Psp. Utara
Penyediaan Makanan dan Minuman
Kantor Camat dan
Kantor Lurah
Meningkatnya Pelayanan
Perkantoran
Tersedianya uang makan
dan minum pegawai
145org
Terbayarkannya uang
makan dan minum harian
pegawai
150 org 360.000.000 594.000.000 Ktr. Camat Psp. Utara
rapat rapat koordinasi dan konsultasi ke
dalam daerah
36.500.000
Rapat-rapat Koordinasi dan Konsultasi ke
Luar Daerah
Kantor Camat dan
Kantor Lurah
Meningkatnya Pelayanan
Perkantoran
Terselenggaranya kegiatan
rapat koordinasi dan
konsultasi pegawai
1 Thn
Kegiatan rapat koordinasi
dan konsultasi untuk
menunjang kinerja Pegawai
terlaksana dengan baik
1 Thn 65.500.000 123.000.000 Ktr. Camat Psp. Utara
Penyediaan Jasa Administrasi Perkantoran Kantor Camat
Meningkatnya Pelayanan
Perkantoran
Tersedianya jasa
administrasi perkantoran
1 thn
Kinerja pegawai semakin
meningkat dan pelayanan
lebih baik
1 thn 440.000.000 13.800.000 Ktr. Camat Psp. Utara
Program Peningkatan Sarana dan
Prasarana Aparatur
411.000.000 98.500.000
Pemeliharaan Rutin/Berkala gedung kantor
Kantor Camat dan
Kantor Lurah
Peningk.
Kualitas/Kuantitas Sarana
Pra Sarana
Tersedianya pemeliharaan
rutin/berkala gedung
kantor
17 Ktr
Terawatnya gedung dan
fasilitas kantor lainnya
2 Ktr 29.500.000 20.000.000 Ktr. Camat Psp. Utara
pengadaan kenderaan dinas/operasional 235.000.000
pengadaan peralatan gedung kantor 91.000.000
pengadaan perlengkapan gedung kantor 11.500.000
Pemeliharaan Rutin/Berkala Kenderaan
Dinas/Operasional
Kantor Camat
Peningk.
Kualitas/Kuantitas Sarana
Pra Sarana
Tersedianya pemeliharaan
rutin/berkala kenderaan
dinas/operasional
1 Thn
Kenderaan
Dinas/Operasional dapat
dipergunakan dengan baik
1 Thn 36.000.000 46.000.000 Ktr. Camat Psp. Utara
Pemeliharaan Rutin/Berkala Peralatan
Gedung Kantor
Kantor Camat dan
Kantor Lurah
Peningk.
Kualitas/Kuantitas Sarana
Pra Sarana
Tersedianya pemeliharaan
untuk peralatan kantor
53 Unit
Peralatan kantor dapat
terpelihara dengan baik
untuk menunjang kinerja
Pegawai
58 Unit 8.000.000 32.500.000 Ktr. Camat Psp. Utara
Program Peningkatan Disiplin Aparatur 1 Thn 50.000.000 60.000.000
Pengadaan Pakaian Khusus Hari-hari
tertentu
Kantor Camat dan
Kantor Lurah
Tersedianya pakaian
khusus hari-hari tertentu
140 Orang
Keseragaman pakaian
aparatur Kecamatan dan
Kelurahan
150 Org 50.000.000 Ktr. Camat Psp. Utara
Pengadaan Pakaian Dinas Beserta
Perlengkapan-
140 Orang 150 Org 0 60.000.000 Ktr. Camat Psp. Utara
Program Peningkatan Kapasitas Sumber
Daya Aparatur
1 Thn 70.000.000 29.000.000
Rencana Program dan Kegiatan Prioritas Tahun 2015 BIDANG PEMERINTAHAN UMUM Lembar 36 dari 74
SKPD Jenis Keg Ket
Tolok Ukur Tolok Ukur Tolok Ukur 1/2/3 1/2/3 1/2/3
2 3 4 5 6 8 10 12 13 14 15 16
Nomor
Urusan/Bidang Urusan Pemerintahan
Daerah
Dan Program/Kegiatan
Prioritas
Daerah
Sasaran
Daerah
Lokasi
Indikator kinerja
Pagu
Indikatif
Prakiraan
Maju
Keterangan
Hasil Program
Keluaran
Kegiatan
Hasil Kegiatan
Target Target Target
1 7 9 11
Pendidikan dan Pelatihan Formal Kantor Camat
Tersedianya pendidikan dan
pelatihan formal untuk
menunjang kinerja
1 Thn
Pengetahuan aparatur
meningkat untuk
menunjang kinerja
1 Thn 70.000.000 29.000.000 Ktr. Camat Psp. Utara
Program Peningkatan Pengembangan
Sistem Pelaporan Capaian Kinerja dan
Keuangan
1 Thn 23.044.000 19.500.000
Penyusunan Laporan Capaian Kinerja dan
Ikhtisar Realisasi Kinerja SKPD
Kantor Camat
Peningkatan Kulaitas dan
Kuantiotas Pelaporan
Tersedianya kegiatan
laporan capaian kinerja dan
ikhtisar kinerja
7 org
Laporan capaian kinerja
dan ikhtisar realisasi
kinerja tersusun dan
terkirim tepat waktu
7 org 6.200.000 5.500.000 Ktr. Camat Psp. Utara
Penyusunan Pelaporan Keuangan Akhir
Tahun
Kantor Camat
Peningkatan Kulaitas dan
Kuantiotas Pelaporan
Tersedianya dana
penyusunan pelaporan
keuangan akhir tahun
7 org
Laporan keuangan tersusun
dan dapat dikirim tepat
waktu
7 org 6.844.000 7.000.000 Ktr. Camat Psp. Utara
Penyusunan Laporan, Rencana Kinerja dan
Anggaran
Kantor Camat
Peningkatan Kulaitas dan
Kuantiotas Pelaporan
Tersedianya dana
penyusunan laporan,
Rencana Kinerja dan
Anggaran
7 org
Rencana Kinerja dan
Anggaran dapat dilaporkan
tepat waktu
7 org 10.000.000 7.000.000 Ktr. Camat Psp. Utara
Program Perencanaan Pembangunan
Daerah
Tertampungnya aspirasi
dari masyarakat untuk
pembangunan
30.000.000 32.000.000
Penyelenggaraan Musrenbang Kecamatan
Kantor Camat dan
Kantor Lurah
Terlaksananya
Musrenbang Tingkat
Kelurahan dan Kecamatan
1 Thn
Tertampungnya dana untuk
musrenbang Kecamatan
dan Kelurahan
17 kantor
Usulan-usulan dari
masyarakat dapat
tertampung untuk
pembangunan
17 kantor 30.000.000 32.000.000 Ktr. Camat Psp. Utara
Program Peringatan Hari-hari Besar
Nasional, Daerah dan Keagamaan
Kesadaran dalam
memperingati Hari-hari
Besar Nasional, Daerah
dan Keagamaan meningkat
1 Thn 33.000.000 43.000.000
Pelaksanaan HUT Pemko
Terlaksananya HUT
PEMKO
1 keg 1 keg 16.000.000 25.000.000
Pelaksanaan Festival Nasyid
Kantor Camat dan
Kantor Lurah
Terlaksananya Festival
Nasyid
1 keg
Meningkatkan Syiar Agama
Islam melalui lagu-lagu
religi
1 keg 17.000.000 18.000.000 Ktr. Camat Psp. Utara
Program Peningkatan Kualitas Pelayanan
Publik
71.500.000 75.000.000
Percepatan Penerapan Pelayanan
Administrasi Terpadu ( PATEN )
Tersedianya Pelayanan
Administrasi Terpadu (
PATEN )
71.500.000 75.000.000 Ktr. Camat Psp. Utara
Program Pengembangan Kemasyarakatan
Terwujudnya SDM
Masyarakat yang semakin
baik
1 Thn 77.500.000 68.500.000
Pengembangan Kebudayaan Masyarakat
Kantor Camat dan
Kantor Lurah
Terkembangkannya kinerja
anggota PKK
1 Thn
Kegiatan PKK Kecamatan
semakin lancar dan dapat
dilaksanakan
1 Thn 20.000.000 24.500.000 Ktr. Camat Psp. Utara
festival nasid 14.500.000
MTQ Tingkat Kecamatan
Kantor Camat dan
Kantor Lurah
Terselenggaranya MTQ
Tingkat Kecamatan
40 org
Semakin meningkatnya
kecintaan masyarakat
terhadap Al-Qur'an
40 org 43.000.000 44.000.000 Ktr. Camat Psp. Utara
2.139.395.000 1.864.313.909 P1
Program Pelayanan Adminstrasi
Perkantoran
Kantor Camat
Meningkatnya Pelayanan
Perkantoran
1 Thn 1.422.400.000 1.300.503.059
Penyediaan Jasa komunikasi,Sumber Daya
Air dan Listrik
Kantor Camat
Meningkatnya Pelayanan
Perkantoran
Tersedianya jasa
Komunikasi, Sumber Daya
Air dan Listrik
1 Thn
Terlaksananya jasa
komunikasi,sumber daya
air dan listrik
1 Thn 46.500.000 41.712.000 Ktr Camat Psp selatan
Penyedia jasa Kebersihan kantor Kantor Camat
Meningkatnya Pelayanan
Perkantoran
Tersedianya Jasa
kebersihan kantor
1 Thn
Terpenuhinya peralatan
kebersihan kantor
1 Thn 11.500.000 12.000.000 Ktr Camat Psp selatan
Penyediaan jasa Perbaikan Peralatan Kantor Kantor Camat
Meningkatnya Pelayanan
Perkantoran
Terrsedianyan jasa
perbaikan pralatan kantor
1 Thn
Terlaksananya perbaikan
peralatan kantor
1 Thn 20.000.000 15.930.090 Ktr Camat Psp selatan
Rencana Program dan Kegiatan Prioritas Tahun 2015 BIDANG PEMERINTAHAN UMUM Lembar 37 dari 74
SKPD Jenis Keg Ket
Tolok Ukur Tolok Ukur Tolok Ukur 1/2/3 1/2/3 1/2/3
2 3 4 5 6 8 10 12 13 14 15 16
Nomor
Urusan/Bidang Urusan Pemerintahan
Daerah
Dan Program/Kegiatan
Prioritas
Daerah
Sasaran
Daerah
Lokasi
Indikator kinerja
Pagu
Indikatif
Prakiraan
Maju
Keterangan
Hasil Program
Keluaran
Kegiatan
Hasil Kegiatan
Target Target Target
1 7 9 11
Penyediaan Alat Tulis Kantor
Kantor camat dan
Kelurahan
Meningkatnya Pelayanan
Perkantoran
Tersedianya Alat Tulis
Kantor
1 Thn
Terpenuhinya penyediaan
alat tulis kantor
1 Thn 115.500.000 62.889.629 Ktr Camat Psp selatan
Penyediaan Barang Cetakan dan
Penggandaan
Kantor camat dan
Kelurahan
Meningkatnya Pelayanan
Perkantoran
Terselerggaranya
penyediaan barang cetakan
dan penggandaan
1 Thn
Tercukupinya penyediaan
barang cetakan dan
penggandaan
1 Thn 38.500.000 35.571.140 Ktr Camat Psp selatan
Penyediaan Komponen Instalasi
Listrik/Penerangan Bangunan Kantor
Kantor Camat
Meningkatnya Pelayanan
Perkantoran
Tersedianya komponen
Instalasi
Listrik/Penerangan
Bangunan Kantor
1 Thn
Instalasi listrik dan
penerangan bangunan
kantor semakin baik
1 Thn 5.500.000 5.230.500 Ktr Camat Psp selatan
Penyediaan Peralatan dan Perlengkapan
Kantor
Kantor camat dan
Kelurahan
Meningkatnya Pelayanan
Perkantoran
Penyediaan Peralatan dan
Perlengkapan Kantor
1 Thn
Tercukupinya Penyediaan
Peralatan dan Perlengkapan
Kantor
1 Thn 225.600.000 27.282.200 Ktr Camat Psp selatan
Penyediaan Makanan dan Miunuman
Kantor camat dan
Kelurahan
Meningkatnya Pelayanan
Perkantoran
Tersedianya uang makan
dan minum pegawai
115 org
Terbayarkannya uang
makan dan minum pegawai
115 org 300.000.000 349.537.500 Ktr Camat Psp selatan
rapat-rapat koordinasi dan Konsultasi ke
dalam daerah
41.500.000
Rapat-rapat Koordinasi dan Konsultasi ke
luar Daerah
Kantor camat dan
Kelurahan
Meningkatnya Pelayanan
Perkantoran
Terselenggaranya kegiatan
rapat koordinasi dan
konsultasi pegawai
1 Thn
Menunjang kinerja pegawai
terlaksana dengan baik
1 Thn 75.500.000 128.150.000 Ktr Camat Psp selatan
Penyedia jasa keamanan Kantor Kantor Camat
Meningkatnya Pelayanan
Perkantoran
Tersedianyan Jasa
keamanan kantor
1 Thn
Terpenuhinya peralatan
kemanan kantor
1 Thn 21.500.000 27.000.000 Ktr Camat Psp selatan
Penyediaan jasa administrasi perkantoran Kantor Camat
Meningkatnya Pelayanan
Perkantoran
Tersedianyan Jasa
admintrasi perkantoran
62 org
Terpenuhinya Jasa
admintrasi perkantoran
62 org 520.800.000 595.200.000 Ktr Camat Psp selatan
Program Peningkatan Sarana dan
Prasarana Aparatur
Sarana dan prasarana
Aparatur yang
memadai
Terawatnya fasilitas
perkantoran
Sarana dan Prasarana
yang menunjang kinerja
semakin baik
1 Thn 356.010.000 135.761.000
Pengadaan Perlengkapan Gedung Kantor
Kantor camat dan
Kelurahan
Peningk.
Kualitas/Kuantitas Sarana
Pra Sarana
Tersedianya Pengadaan
Perlengkapan Gedung
Kantor
13 ktr
Terpenuhinya kebutuhan
perlengkapan kantor
13 ktr 10.000.000 0 Ktr Camat Psp selatan
Pemeliharaan Rutin/Berkala Gedung Kantor
Kantor camat dan
Kelurahan
Peningk.
Kualitas/Kuantitas Sarana
Pra Sarana
Tersedianya pemeliharaan
rutin/berkala gedung
kantor
13 ktr
Terawatnya gedung dan
fasilitas kantor lainnya
13 ktr 3.500.000 100.000.000 Ktr Camat Psp selatan
Pemeliharaan Rutin/Berkala Kendaraan
Dinas/Operasional
Kantor Camat
Peningk.
Kualitas/Kuantitas Sarana
Pra Sarana
Tesedianya Pemeliharaan
Rutin/Berkala Kendaraan
Dinas/Operasional
1 Thn
Kendaraan
Dinas/Operasional dapat
dipergunakan dengan baik
1 Thn 32.510.000 35.761.000 Ktr Camat Psp selatan
Pengadaan Pertapakan kantor
Kantor camat dan
Kelurahan
Peningk.
Kualitas/Kuantitas Sarana
Pra Sarana
Tersedianya tanah
pertapakan kantor
Terawatnya Peralatan
Kantor
310.000.000 0 Ktr Camat Psp selatan
Program Peningkatan Disiplin Aparatur
Disiplin Aparatur semakin
membaik
1 Thn 1 Thn 8.100.000 61.500.000
Pengadaan Pakaian Khusus Hari-hari
tertentu
Kantor camat dan
Kelurahan
Tesedianya pakaian khusus
hari-hari tertentu
130 org
Keseragaman pakaian
aparatur kecamatan dan
kelurahan
130 org 5.500.000 58.500.000 Ktr Camat Psp selatan
Pengadaan Pakaian Dinas Beserta
Perlengkapannya
130 org 130 org 2.600.000 3.000.000 Ktr Camat Psp selatan
Program Peningkatan Kapasitas Sumber
Daya Aparatur
Kemampuan aparatur
meningkat
1 Thn 1 Thn 80.500.000 20.000.000
Bimbingan Teknis Implementasi Peraturan
Perundang-undangan
Kantor Camat
Tersedianya Pendidikan
dan pelatihan formal
1 Thn
Pengtahuan Aparatur
meningkat
1 Thn 80.500.000 20.000.000 Ktr Camat Psp selatan
Program Peningkatan Pengembangan
Sistem Pelaporan Capaian Kinerja dan
Keuangan
Laporan-laporan kinerja
dan keuangan semakin
membaik
1 Thn 7.400.000 10.445.600
Rencana Program dan Kegiatan Prioritas Tahun 2015 BIDANG PEMERINTAHAN UMUM Lembar 38 dari 74
SKPD Jenis Keg Ket
Tolok Ukur Tolok Ukur Tolok Ukur 1/2/3 1/2/3 1/2/3
2 3 4 5 6 8 10 12 13 14 15 16
Nomor
Urusan/Bidang Urusan Pemerintahan
Daerah
Dan Program/Kegiatan
Prioritas
Daerah
Sasaran
Daerah
Lokasi
Indikator kinerja
Pagu
Indikatif
Prakiraan
Maju
Keterangan
Hasil Program
Keluaran
Kegiatan
Hasil Kegiatan
Target Target Target
1 7 9 11
Penyusunan laporan Capaian Kinerja dan
Ikhtisar Realisasi Kinerja SKPD
Kantor Camat
Tersedianya kegiatan
laporan capaian kinerja dan
ikhtisar kinerja
1 Thn
Laporan capaian kinerja
dan ikhtisar tersusun dan
terkirim tepat waktu
1 Thn 2.000.000 1.874.400 Ktr Camat Psp selatan
Penyusunan Pelaporan Keuangan Semester Kantor Camat
Tersedianya dana
penyusunan pelaporan
1 Thn
Laporan tersusun dgn baik
dan dapat dikirim tepat
waktu
1 Thn 1.800.000 1.914.000 Ktr Camat Psp selatan
Penyusunan Pelaporan Keuangan Akhir
Tahun
Kantor Camat
Tersedianya dana
penyusunan pelaporan
1 Thn
Laporan tersusun dgn baik
dan dapat dikirim tepat
waktu
1 Thn 1.800.000 1.914.000 Ktr Camat Psp selatan
Penyusunan Laporan, Rencana Kinerja dan
Anggaran
Kantor Camat
Tersedianya dana
penyusunan pelaporan
1 Thn
Laporan tersusun dgn baik
dan dapat dikirim tepat
waktu
1 Thn 1.800.000 4.743.200 Ktr Camat Psp selatan
Program Perencanaan Pembangunan
Daerah
Tertampungnya aspirasi
dari masyarakat untuk
pembangunan
1 Thn 35.500.000 35.000.000
Penyelenggaraan Musrenbang Kecamatan
Kantor camat dan
Kelurahan
Terlaksananya
Musrenbang Tingkat
Kelurahan dan Kecamatan
Tertampungnya dana untuk
musrembang kecamatan
dan kelurahan
13
kegiatan
Usulan-usulan dari
masyarakat dapat
tertampung untuk
pembangunan
13
kegiatan
35.500.000 35.000.000 Ktr Camat Psp selatan
Program Peningkatan Semangat Gotong
Royong
22.560.000 28.750.000
Peningkatan Semangat Gotong Royong
Terlaksananya Gotong
Royong
12
kelurahan
12
kelurahan
22.560.000 28.750.000 Ktr Camat Psp selatan
Program Peringatan Hari-hari Besar
Nasional, Daerah dan Keagamaan
Meningkatnya Kesadaran
dalam memperingati hari-
hari besar nasional,daerah
dan keagamaan
1 Thn 61.925.000 57.115.500 Ktr Camat Psp selatan
Pelaksanaan Maulid Nabi Muhammad SAW Kantor Camat
Meningkatan Kecintaan
Terhadap Nabi Besar
Tersedianya dana
Pelaksanaan Maulid Nabi
Muhammad SAW
1 kali
Meningkatnya kecintaan
kepada Nabi Mhammmad
SAW
1 kali 8.462.500 9.308.750 Ktr Camat Psp selatan
Pelaksanaan Isra Mi’raj Nabi Muhammmad
SAW
Kantor Camat
Meningkatan Kecintaan
Terhadap Nabi Besar
Tersedianya dana
Pelaksanaan Isra Mi’raj
Nabi Muhammmad SAW
1 kali
Menambah Keimanan dan
ketaqwaan
1 kali 8.462.500 9.308.750 Ktr Camat Psp selatan
Pelaksanaan HUT Pemko
Meningkatnya
kekompakan masyarakat
1 kali 1 kali 1 kali 45.000.000 38.498.000
Program Pengembangan Kemasyarakatan
Terlaksananya program
pengembangan
kemasyarakatan
1 Thn 112.500.000 115.238.750
Pengembangan Kebudayaan Masyarakat
Peningkatan
Pengembangan yang
berhubungan dengan
masyarakat
Terlaksananya pembinaan
terhadap kelompok nasyid
12
kelurahan
Tercapainya prestasi yang
menggembirakan
12
kelurahan
43.500.000 20.740.500 Ktr Camat Psp selatan
Pengembangan Kemasyarakatan
Peningkatan
Pengembangan yang
berhubungan dengan
masyarakat
Terlaksananya kegiatan Tim
Penggerak PKK
12
kelurahan
Tercapainya tujuan
kegiatan Tim Penggerak
PKK
12
kelurahan
19.500.000 25.850.000 Ktr Camat Psp selatan
MTQ Tingkat Kecamatan
Terlaksananya kegiatan
MTQ Tingkat Kecamatan
1 kali
Adanya Qori maupun
Qoriah yang berprestasi
1 kali 49.500.000 68.648.250 Ktr Camat Psp selatan
Program Peningkatan Kualitas Pelayanan
Publik
32.500.000 100.000.000
Percepatan Penerapan Pelayanan
Administrasi Terpadu Kecamatan ( PATEN )
Tersedianya Pelayanan
Administrasi Terpadu (
PATEN )
1 Thn 1 Thn 32.500.000 100.000.000 Ktr Camat Psp selatan
1.792.000.000 P1
Program Pelayanan Administrasi
Perkantoran
Kantor Camat
Padangsidimpuan
Tenggara
Terwujudnya pelayanan
yang prima kepada
masyarakat
1.210.000.000 -
Rencana Program dan Kegiatan Prioritas Tahun 2015 BIDANG PEMERINTAHAN UMUM Lembar 39 dari 74
SKPD Jenis Keg Ket
Tolok Ukur Tolok Ukur Tolok Ukur 1/2/3 1/2/3 1/2/3
2 3 4 5 6 8 10 12 13 14 15 16
Nomor
Urusan/Bidang Urusan Pemerintahan
Daerah
Dan Program/Kegiatan
Prioritas
Daerah
Sasaran
Daerah
Lokasi
Indikator kinerja
Pagu
Indikatif
Prakiraan
Maju
Keterangan
Hasil Program
Keluaran
Kegiatan
Hasil Kegiatan
Target Target Target
1 7 9 11
Penyediaan Jasa Surat Menyurat
Meningkatnya Pelayanan
Perkantoran
Gaji Kades/Perangkat Desa
18
desa/kelur
ahan
14.500.000 -
Ktr Camat Psp
Tenggara
Penyediaan Jasa Komunikasi, Sumber Daya
Air dan Listrik
Meningkatnya Pelayanan
Perkantoran
Dana listrik, telepon dan
surat kabar
1 Thn 38.500.000 -
Ktr Camat Psp
Tenggara
Penyediaan jasa administrasi keuangan 1 Thn 13.000.000
Ktr Camat Psp
Tenggara
Penyediaan Jasa Kebersihan Kantor
Meningkatnya Pelayanan
Perkantoran
Alat kebersihan dan
honorarium THL
1 Thn 48.500.000 -
Ktr Camat Psp
Tenggara
Penyediaan Jasa Perbaikan Peralatan Kerja
Meningkatnya Pelayanan
Perkantoran
Dana perbaikan peralatan
kantor
1 Thn 17.500.000 -
Ktr Camat Psp
Tenggara
Penyediaan Alat Tulis Kantor
Meningkatnya Pelayanan
Perkantoran
ATK Kantor 1 Thn 34.000.000 -
Ktr Camat Psp
Tenggara
Penyediaan Barang Cetakan dan
Penggandaan
Meningkatnya Pelayanan
Perkantoran
Blangko/formulir
PBB/Kependudukan/surat
masuk/keluar dan lain-lain
1 Thn 14.500.000 -
Ktr Camat Psp
Tenggara
Penyediaan Komponen Instalasi
Listrik/Penerangan Bangunan Kantor
Meningkatnya Pelayanan
Perkantoran
Bohlam/kabel dan lain-lain 1 Thn 2.500.000 -
Ktr Camat Psp
Tenggara
Penyediaan Peralatan dan Perlengkapan
Kantor
Meningkatnya Pelayanan
Perkantoran
Mobiler/komputer dan lain-
lain
1 Thn 21.000.000 -
Ktr Camat Psp
Tenggara
Penyediaan Makanan dan Minuman
Meningkatnya Pelayanan
Perkantoran
Uang makan PNS Kantor
Camat
1 Thn 110.000.000 -
Ktr Camat Psp
Tenggara
Rapat-Rapat Koordinasi dan Konsultasi Ke
Luar Daerah
Meningkatnya Pelayanan
Perkantoran
Biaya SPPD PNS 1 Thn 75.000.000 -
Ktr Camat Psp
Tenggara
Penyediaan jasa keamanan kantor
Meningkatnya Pelayanan
Perkantoran
Honorarium THL 1 Thn 41.000.000 -
Ktr Camat Psp
Tenggara
Penyediaan jasa administrasi perkantoran
Meningkatnya Pelayanan
Perkantoran
Honor Kades 1 Thn 780.000.000 -
Ktr Camat Psp
Tenggara
Program Peningkatan Sarana dan
Prasarana Aparatur
360.500.000 -
Pengadaan Kenderaan Dinas Operasional 1 Unit 250.000.000
Pemeliharaan Rutin/Berkala Gedung Kantor
Peningk.
Kualitas/Kuantitas Sarana
Pra Sarana
Terpeliharanya Gedung
Kantor camat
1 Thn 87.000.000 -
Ktr Camat Psp
Tenggara
Pemeliharaan Rutin/Berkala Mobil Dinas
Camat
Terpeliharanya mobil dinas
camat
1 Thn 23.500.000 -
Ktr Camat Psp
Tenggara
Program Peningkatan Kapasitas Sumber
Daya Aparatur
50.000.000 -
Bimtek Implementasi Peraturan Perundang-
undangan
Tersedianya dana Bimtek 3 org Dana Bimtek 3 org 50.000.000 -
Ktr Camat Psp
Tenggara
Program Peningkatan Disiplin Aparatur 45.000.000
Pengadaan Pakaian Khusus Hari-hari
tertentu
41 buah 21.000.000
Pengadaan Pakaian Dinas 41 buah 24.000.000
Ktr Camat Psp
Tenggara
Program Peningkatan Pengembangan
Sistem Pelaporan Capaian Kinerja dan
Keuangan
Kantor Camat 16.000.000
Ktr Camat Psp
Tenggara
Penyusunan Laporan Capaian Kinerja dan
Ikhtisar Realisasi Kinerja SKPD
Peningkatan Kulaitas dan
Kuantiotas Pelaporan
1.800.000
Ktr Camat Psp
Tenggara
Penyusunan Laporan Hasil-hasil
Pembangunan
1.800.000
Rencana Program dan Kegiatan Prioritas Tahun 2015 BIDANG PEMERINTAHAN UMUM Lembar 40 dari 74
SKPD Jenis Keg Ket
Tolok Ukur Tolok Ukur Tolok Ukur 1/2/3 1/2/3 1/2/3
2 3 4 5 6 8 10 12 13 14 15 16
Nomor
Urusan/Bidang Urusan Pemerintahan
Daerah
Dan Program/Kegiatan
Prioritas
Daerah
Sasaran
Daerah
Lokasi
Indikator kinerja
Pagu
Indikatif
Prakiraan
Maju
Keterangan
Hasil Program
Keluaran
Kegiatan
Hasil Kegiatan
Target Target Target
1 7 9 11
Penyusunan Pelaporan Keuangan
Semesteran
Peningkatan Kulaitas dan
Kuantiotas Pelaporan
1.800.000
Ktr Camat Psp
Tenggara
Penyusunan Pelaporan Keuangan Akhir
Tahun
Peningkatan Kulaitas dan
Kuantiotas Pelaporan
1.800.000
Ktr Camat Psp
Tenggara
Penyusunan Laporan, Rencana Kinerja dan
Anggaran
Peningkatan Kulaitas dan
Kuantiotas Pelaporan
5.200.000
Ktr Camat Psp
Tenggara
Penyusunan Laporan Barang Pengguna
Semesteran
1 berkas 1.800.000
Penyusunan Laporan Barang Pengguna
Tahunan
Peningkatan Kulaitas dan
Kuantiotas Pelaporan
1.800.000
Ktr Camat Psp
Tenggara
Program Perencanaan Pembangunan
Daerah
Tersusunnya perencanaan
pembangunan kecamatan
yang berkualitas
18
desa/ke
lurahan
24.500.000 -
Penyelenggaraan Musrenbang Kecamatan
Terlaksananya
Musrenbang Tingkat
Kelurahan dan Kecamatan
Terlaksananya Musrenbang
Tingkat Kelurahan dan
Kecamatan yang
berkualitas
18
desa/kelur
ahan
Adanya Perencanaan
Pembangunan Kec. Psp
Tenggara yang Berkualitas
18
desa/kelur
ahan
24.500.000
Ktr Camat Psp
Tenggara
Program Pengembangan Kemasyarakatan 38.000.000 -
Pelaksanaan Festival Nasyid 1 keg 15.000.000
Ktr Camat Psp
Tenggara
Pengembangan kemasyarakatan
18
desa/kelur
ahan
6.000.000
MTQ Tingkat Kecamatan MTQ Tk Kecamatan 1 kali
30
org/7cbg
32.000.000
Ktr Camat Psp
Tenggara
Program Peningkatan Hari-Hari Besar
Nasional/Daerah/Keagamaan
Meningkatnya rasa
nasionalisme masyarakat
dan ketakwaan terhadap
Tuhan YME
24.500.000 -
HUT RI Terlaksananya HUT RI
5
perlomb
aan
Peringatan HUT RI Tk.
Kecamatan
1 kali
Adanya kegiatan olah raga
dan seni
1 kali 12.000.000
Ktr Camat Psp
Tenggara
HUT Pemko
5
perlomb
aan
8.500.000
Ktr Camat Psp
Tenggara
Peringatan Isra' Mikraj
Meningkatan Kecintaan
Terhadap Nabi Besar
100 org Peringatan Isra' Mikraj 1 kali
Adanya kegiatan peringatan
isra' mikraj
1 kali 4.000.000
Ktr Camat Psp
Tenggara
Program Peningkatan Kualitas Pelayanan
Publik
23.500.000
Percepatan Penerapan Pelayanan
Administrasi Terpadu Kecamatan
23.500.000
Ktr Camat Psp
Tenggara
1.792.000.000 1.718.453.000 P1
Program Pelayanan Administrasi
Perkantoran
Peningkatan Pelayanan
Administrasi Perkantoran
1.328.600.000 1.210.120.000
Penyediaan Jasa Surat Menyurat Kantor Camat
Terbayarnya Honorarium
Kepala Lingkungan dan
Petugas Keamanan
96 org
Honorarium Pegawai Honor
Tidak Tetap, Sewa Kantor
Kelurahan
96 org
Honorarium pegawai dapat
dibayarkan dan gedung
kantor bisa digunakan
96 org 784.000.000 784.000.000
Ktr Camat Psp
Batunadua
Rencana Program dan Kegiatan Prioritas Tahun 2015 BIDANG PEMERINTAHAN UMUM Lembar 41 dari 74
SKPD Jenis Keg Ket
Tolok Ukur Tolok Ukur Tolok Ukur 1/2/3 1/2/3 1/2/3
2 3 4 5 6 8 10 12 13 14 15 16
Nomor
Urusan/Bidang Urusan Pemerintahan
Daerah
Dan Program/Kegiatan
Prioritas
Daerah
Sasaran
Daerah
Lokasi
Indikator kinerja
Pagu
Indikatif
Prakiraan
Maju
Keterangan
Hasil Program
Keluaran
Kegiatan
Hasil Kegiatan
Target Target Target
1 7 9 11
Penyediaan Jasa Komunikasi, Sumber Daya
Air dan Listrik
Kantor Camat
Tersedianya Jasa
Komunikasi, Sumber Daya
Air dan Listrik
1 Thn
Rekening Listrik, Air, dan
Telepon
1 Thn
Listrik, Air, dan Telepon
bisa digunakan
1 Thn 20.100.000 22.000.000
Ktr Camat Psp
Batunadua
Penyediaan Jasa Peralatan dan Perlengkapan
kantor
Kantor Camat
Tersedianya Peralatan dan
Perlengkapan kantor
1 Thn
Peralatan dan perlengkapan
kantor
1 Thn
Memperlancar Urusan
Administrasi Kantor
1 Thn 10.000.000 12.000.000
Ktr Camat Psp
Batunadua
Penyediaan Jasa Kebersihan Kantor Kantor Camat
Terpenuhinya peralatan
kebersihan kantor dan
honorarium petugas
1 Thn Kebersihan Kantor 1 Thn Kantor Menjadi Bersih 1 Thn 24.000.000 23.000.000
Ktr Camat Psp
Batunadua
Penyediaan Alat Tulis Kantor
Kantor Camat dan
Kantor Lurah
Tersedianya Alat Tulis
Kantor
1 Thn Alat Tulis Kantor 1 Thn
Terlaksananya pelayanan
administrasi yang baik
1 Thn 50.000.000 42.300.000
Ktr Camat Psp
Batunadua
Penyediaan Barang Cetakan dan
Penggandaan
Kantor Camat dan
Kantor Lurah
Terpenuhinya barang
cetakan dan penggandaan
1 Thn
Barang Cetakan dan
Penggandaan
1 Thn
Tersedianya Barang
Cetakan dan Penggandaan
yg bisa langsung
dipergunakan
1 Thn 22.000.000 29.400.000
Ktr Camat Psp
Batunadua
Penyediaan Jasa perbaikan Peralatan Kerja 12 bulan 4.500.000 5.000.000
Penyediaan Peralatan Rumah Tangga 12 Bulan 7.500.000 8.000.000
Penyediaan Bahan Bacaan dan Peraturan
Perundang-undangan
12 bulan 14.000.000 14.000.000
Penyediaan Jasa Administrasi Perkantoran 12 Bulan 15.000.000 1.500.000
Penyediaan Komponen Instalasi
Listrik/Penerangan Bangunan Kantor
Kantor Camat
Tersedianya komponen
instalasi
listrik/penerangan
1 Thn Komponen instalasi Listrik 1 Thn
Kantor Terawat dengan
Baik
1 Thn 6.500.000 6.000.000
Ktr Camat Psp
Batunadua
Penyediaan Makanan dan Minuman
Kantor Camat dan
Kantor Lurah
Tersedianya makanan dan
minuman pegawai
99 org Makanan dan minuman 99 org
Kesejahteraan Pegawai dan
Tamu Kantor
99 org 134.500.000 140.500.000
Ktr Camat Psp
Batunadua
Rapat-rapat Koordinasi dan Konsultasi Ke
Luar Daerah
Kantor Camat
Terselenggaranya kegiatan
rapat koordinasi dan
konsultasi pegawai
1 Thn
Rapat rapat koordinasi dan
konsultasi luar dan dalam
daerah
1 Thn
Meningkatkan SDM
Aparatur
1 Thn 78.000.000 75.020.000
Ktr Camat Psp
Batunadua
Penyediaan jasa keamanan kantor Kantor Camat
Penyediaan jasa keamanan
kantor
1 Thn
Penyediaan jasa keamanan
kantor
1 Thn
Penyediaan jasa keamanan
kantor
1 Thn 22.000.000 32.400.000
Ktr Camat Psp
Batunadua
Penyediaan Peralatan dan Perlengkapan
Kantor
Kantor Camat
Penyediaan Peralatan dan
Perlengkapan Kantor
1 Thn
Penyediaan Peralatan dan
Perlengkapan Kantor
1 Thn
Penyediaan Peralatan dan
Perlengkapan Kantor
1 Thn 136.500.000 15.000.000
Ktr Camat Psp
Batunadua
Program Peningkatan Sarana dan
Prasarana Aparatur
Sarana dan Prasarana
Aparatur yang Memadai
338.500.000 311.000.000
Pengadaan kenderaan Dinas/Operasional 12 bulan 82.000.000 82.000.000
Pemeliharaan Rutin/Berkala Kenderaan
Dinas/Operasional
Kantor Camat
Tersedianya pemeliharaan
rutin/berkala kenderaan
dinas/operasional
1 unit
Pemeliharaan rutin/berkala
kenderaan
dinas/operasional
1 unit
Kenderaan dinas bisa
dioperasikan dengan baik
1 unit 36.000.000 37.500.000
Ktr Camat Psp
Batunadua
Pemeliharaan Rutin/Berkala Perlengkapan
Gedung Kantor
Kantor Camat
Tersedianya pemeliharaan
untuk rehab gedung
Kantor
1 Thn
Pemeliharaan
Rutin/berkala Gedung
Kantor
1 Thn
Kantor Terawat dengan
Baik
1 Thn 60.500.000 11.500.000
Ktr Camat Psp
Batunadua
Pembangunan musholla 60.000.000 70.000.000
Ktr Camat Psp
Batunadua
Pembuatan lantai keramik 100.000.000 110.000.000
Ktr Camat Psp
Batunadua
Program Peningkatan Disiplin Aparatur
Peningkatan Disiplin dari
Aparatur
26.500.000 15.000.000
Pengadaan Pakaian Khusus Hari-hari
Tertentu
Kantor Camat dan
Kantor Lurah
Tersedianya Pakaian
Khusus hari-hari tertentu
50 org Pakaian Dinas Pegawai 50 org
Pakaian Dinas Harian
Pegawai tertampung
50 org 26.500.000 15.000.000
Ktr Camat Psp
Batunadua
Rencana Program dan Kegiatan Prioritas Tahun 2015 BIDANG PEMERINTAHAN UMUM Lembar 42 dari 74
SKPD Jenis Keg Ket
Tolok Ukur Tolok Ukur Tolok Ukur 1/2/3 1/2/3 1/2/3
2 3 4 5 6 8 10 12 13 14 15 16
Nomor
Urusan/Bidang Urusan Pemerintahan
Daerah
Dan Program/Kegiatan
Prioritas
Daerah
Sasaran
Daerah
Lokasi
Indikator kinerja
Pagu
Indikatif
Prakiraan
Maju
Keterangan
Hasil Program
Keluaran
Kegiatan
Hasil Kegiatan
Target Target Target
1 7 9 11
Program Peningkatan Kapasitas Sumber
Daya Aparatur
Peningkatan Pengetahuan
dan Kemampuan Aparatur
dalam Bekerja
41.500.000 35.000.000
Pendidikan dan Pelatihan Formal Kantor Camat
Tersedianya pendidikan
dan pelatihan formal untuk
menunjang kinerja
1 Thn
Bimbingan Teknis,
Worksop, Sosialisasi dan
Legal Drafting Bidang
Hukum serta peningkatan
SDM Lainnya
1 Thn
Meningkatkan SDM
Aparatur
1 Thn 41.500.000 35.000.000
Ktr Camat Psp
Batunadua
Program Peningkatan Pengembangan
Sistem Pelaporan Capaian Kinerja dan
Keuangan
Peningkatan Kemampuan
dibidang Pembuatan
Laporan-laporan Capaian
Kinerja dan Keuangan
18.796.000 21.488.000
Penyusunan Laporan Capaian Kinerja dan
Ikhtisar Realisasi Kinerja SKPD
Kantor Camat
Tersedianya Laporan
Capaian Kinerja dan
Ikhtisar Realisasi Kinerja
SKPD
32 org
Tersediannya Dana
Penyusunan LAKIP dan
RKA
32 org
LAKIP dan RKA dapat
dibuat tepat waktu
32 org 8.348.000 8.348.000
Ktr Camat Psp
Batunadua
Penyusunan Pelaporan Keuangan semesteran Kantor Camat
Tersedianya Penyusunan
Pelaporan Keuangan
Semesteran
7 org
Tersedianya dana
penyusunan Laporan
keuangan
7 org
Laporan Keuangan dapat
dikerjakan dengan baik
7 org 2.100.000 2.100.000
Ktr Camat Psp
Batunadua
Penyusunan Pelaporan Keuangan Akhir
Tahun
Kantor Camat
Tersedianya Penyusunan
Pelaporan
8 org Tersedianya data keuangan 8 org
Data-data Keuangan
Tersusun Rapi
8 org 8.348.000 11.040.000
Ktr Camat Psp
Batunadua
Program Perencanaan Pembangunan
Daerah
Peningkatan
Pengembangan
Pembangunan Daerah
25.000.000 27.000.000
Penyelenggaraan Musrenbang Kecamatan
Kantor Camat dan
Kantor Lurah
Terlaksananya
Musrenbang Tingkat
Kelurahan dan Kecamatan
1
kantor,1
5 desa
Musrembang Tingkat
Kecamatan, Kelurahan dan
Desa
1
kantor,15
desa
Masukan Untuk
Pembangunan Desa dan
Kelurahan dari Masyarakat
1
kantor,15
desa
25.000.000 27.000.000
Ktr Camat Psp
Batunadua
Program Pengembangan Kemasyarakatan
Peningkatan
Pengembangan yang
berhubungan dengan
masyarakat
70.000.000 69.500.000
Pengembangan Kebudayaan Masyarakat
Kantor Camat dan
Kantor Lurah
Peningkatan
Pemberdayaan Perempuan
untuk Kesejahteraan
Keluarga
2
kegiatan
Kinerja PKK kecamatan 2 kegiatan
Kegiatan PKK menjadi
lancar dan kegiatan
penyuluhan berjalan
dengan baik
2 kegiatan 16.000.000 22.000.000
Ktr Camat Psp
Batunadua
Pengembangan kebudayaan
masyarakat/nasyid
16.500.000 8.500.000
Ktr Camat Psp
Batunadua
MTQ Tingkat Kecamatan
Kantor Camat dan
Kantor Lurah
Terselenggaranya MTQ
Tingkat Kecamatan
1
kegiatan
MTQ Tingkat Kecamatan 1 kegiatan
Meningkatkan Iman dan
taqwa serta minat Baca
Alqur'an makin bertambah
1 kegiatan 37.500.000 39.000.000
Ktr Camat Psp
Batunadua
Program Peringatan Hari-hari Besar
Nasional, daerah dan keagamaan
42.640.000 29.345.000
Pelaksanaan Maulid Nabi Muhammad SAW 8.000.000 8.000.000
Pelaksanaan Isra' Mi'raj Nabi Muhammad
SAW
8.000.000 8.000.000
Pelaksanaan HUT RI
Terselenggaranya
pelaksanaan HUT RI
14.640.000 18.975.000
Ktr Camat Psp
Batunadua
Pelaksanaan HUT PEMKO
Terselenggaranya
pelaksanaan HUT pemko
12.000.000 10.370.000
Ktr Camat Psp
Batunadua
1.584.722.875 1.384.624.625 P1
Program Pelayanan Administrasi
Perkantoran
Peningkatan Pelayanan
Administrasi Perkantoran
869.100.000 955.428.625
Rencana Program dan Kegiatan Prioritas Tahun 2015 BIDANG PEMERINTAHAN UMUM Lembar 43 dari 74
SKPD Jenis Keg Ket
Tolok Ukur Tolok Ukur Tolok Ukur 1/2/3 1/2/3 1/2/3
2 3 4 5 6 8 10 12 13 14 15 16
Nomor
Urusan/Bidang Urusan Pemerintahan
Daerah
Dan Program/Kegiatan
Prioritas
Daerah
Sasaran
Daerah
Lokasi
Indikator kinerja
Pagu
Indikatif
Prakiraan
Maju
Keterangan
Hasil Program
Keluaran
Kegiatan
Hasil Kegiatan
Target Target Target
1 7 9 11
Penyediaan Jasa Surat Menyurat Kantor Camat
Terbayarnya Honorarium
Kepala Lingkungan dan
Petugas Keamanan
org
Honorarium Pegawai Honor
Tidak Tetap, Sewa Kantor
Kelurahan
org
Honorarium pegawai dapat
dibayarkan dan Gedung
Kantor Bisa Dipergunakan
org 493.400.000 551.770.000
Ktr Camat Psp
Hutaimbaru
Penyediaan Jasa Komunikasi, Sumber Daya
Air dan Listrik
Kantor Camat
Tersedianya Jasa
Komunikasi, Sumber Daya
Air dan Listrik
1 Thn
Rekening Listrik dan
Air,telepon
1 Thn
Listrik dan telopn/air bisa
digunakan
1 Thn 14.400.000 15.120.000
Ktr Camat Psp
Hutaimbaru
Penyediaan Jasa Kebersihan Kantor Kantor Camat
Terpenuhinya peralatan
kebersihan kantor dan
honorarium petugas
1 Thn Kebersihan Kantor 1 Thn
Kantor Menjadi Bersih dan
Asri
1 Thn 31.000.000 35.000.000
Ktr Camat Psp
Hutaimbaru
Penyediaan Alat Tulis Kantor
Kantor Camat dan
Kantor Lurah
Tersedianya Alat Tulis
Kantor
1 Thn Alat Tulis Kantor 1 Thn Lancarnya Administrasi 1 Thn 41.500.000 42.023.625
Ktr Camat Psp
Hutaimbaru
Penyediaan Barang Cetakan dan
Penggandaan
Kantor Camat dan
Kantor Lurah
Terpenuhinya barang
cetakan dan penggandaan
1 Thn
Barang Cetakan dan
Penggandaan
1 Thn
Tersedianya Barang
Cetakan dan Penggandaan
yg bisa langsung
dipergunakan
1 Thn 20.000.000 16.000.000
Ktr Camat Psp
Hutaimbaru
Penyediaan Komponen Instalasi
Listrik/Penerangan Bangunan Kantor
Kantor Camat
Tersedianya komponen
instalasi
listrik/penerangan
bangunan kantor
1 Thn Komponen instalasi Listrik 1 Thn
Peralatan listrik bisa
dipergunakan
1 Thn 6.200.000 7.500.000
Ktr Camat Psp
Hutaimbaru
Penyedian Perlengkapan dan Peralatan
Kantor
Kantor Camat
Tersedianya peralatan
kantor yang baik
1 Thn
Peralatan dan perlengkapan
kantor
1 Thn
Memperlancar urursan
Administrasi dan urusan
kantor
1 Thn 15.000.000 50.000.000
Ktr Camat Psp
Hutaimbaru
penyediaan peralatan rumah tangga Kantor Camat 7.600.000
Ktr Camat Psp
Hutaimbaru
Penyediaan Makanan dan Minuman
Kantor Camat dan
Kantor Lurah
Tersedianya makanan dan
minuman pegawai
14257
Orang/
Hari/Bu
lan
makanan dan minuman
14257
Orang/Har
i/Bulan
Kesejahteraan pegawai dan
tamu kantor
14257
Orang/Har
i/Bulan
150.000.000 150.565.000
Ktr Camat Psp
Hutaimbaru
rapat-rapat koordinasi dan konsultasi ke
dalam Daerah
1 thn 1 thn 1 thn 6.000.000 7.000.000
Ktr Camat Psp
Hutaimbaru
Rapat-rapat Koordinasi dan Konsultasi Ke
Luar Daerah
Kantor Camat
Terselenggaranya kegiatan
rapat koordinasi dan
konsultasi pegawai
1 Thn
Rapat rapat koordinasi dan
konsultasi luar dan dalam
Daerah
1 Thn
Meningkatkan SDM
Aparatur
1 Thn 37.500.000 40.000.000
Ktr Camat Psp
Hutaimbaru
Penyediaan Jasa Keamanan Kantor Kantor Camat
Terjaminnya Keamanan
Kantor
1 Thn Jasa Keamanan Kantor 1 Thn
Terjaminnya Keamanan di
Kantor
1 Thn 31.000.000 31.000.000
Ktr Camat Psp
Hutaimbaru
Penyediaan Jasa Administrasi Perkantoran Kantor Camat
Tersedianya jasa
administrasi perkantoran
1 Thn
Pelayanan administrasi
semakin meningkat
1 Thn
Terlaksananya pelayanan
administrasi dengan baik
1 Thn 15.500.000 9.450.000
Ktr Camat Psp
Hutaimbaru
Program Peningkatan Sarana dan
Prasarana Aparatur
Sarana dan Prasarana
Aparatur yang
341.510.375 122.000.000
Pemeliharaan Rutin/Berkala Gedung Kantor
Kantor Camat dan
Kantor Lurah
Tersedianya pemeliharaan
rutin/gedung kantor dan
sewa kantor
3 kantor
Pemeliharaan
Rutin/berkala Gedung
Kantor
3 kantor
Kantor Terawat dengan
Baik
3 kantor 73.000.000 80.000.000
Ktr Camat Psp
Hutaimbaru
Pengadaan Kenderaan Dinas/Operasional 1 unit 1 unit 230.000.000
Ktr Camat Psp
Hutaimbaru
Pemeliharaan Rutin/Berkala Kenderaan
Dinas/Operasional
Kantor Camat
Tersedianya pemeliharaan
rutin/berkala kenderaan
dinas/operasional
Unit
Pemeliharaan rutin/berkala
kenderaan dinas
/Operasional
Unit
Kenderaan dinas bisa
dioperasikan dengan baik
Unit 32.510.375 35.000.000
Ktr Camat Psp
Hutaimbaru
Pemeliharaan Rutin/Berkala Perlengkapan
Gedung Kantor
Kantor Camat
Tersedianya pemeliharaan
untuk peralatan kantor
12 Bln
Pemeliharaan rutin/berkala
perlengkapan
kantor/gedung
12 Bln
Peralatan Kantor Bisa
digunakan dengan baik
12 Bln 6.000.000 7.000.000
Ktr Camat Psp
Hutaimbaru
Program Peningkatan Disiplin Aparatur
Peningkatan Disiplin dari
Aparatur
27.000.000 27.500.000
Rencana Program dan Kegiatan Prioritas Tahun 2015 BIDANG PEMERINTAHAN UMUM Lembar 44 dari 74
SKPD Jenis Keg Ket
Tolok Ukur Tolok Ukur Tolok Ukur 1/2/3 1/2/3 1/2/3
2 3 4 5 6 8 10 12 13 14 15 16
Nomor
Urusan/Bidang Urusan Pemerintahan
Daerah
Dan Program/Kegiatan
Prioritas
Daerah
Sasaran
Daerah
Lokasi
Indikator kinerja
Pagu
Indikatif
Prakiraan
Maju
Keterangan
Hasil Program
Keluaran
Kegiatan
Hasil Kegiatan
Target Target Target
1 7 9 11
Pengadaan Pakaian Dinas beserta
perlegkapannya
Kantor Camat dan
Kantor Lurah
Tersedianya Pakaian Dinas 48 org Pakaian Dinas Pegawai 48 org
Pakaian Dinas Harian
Pegawai tertampung
48 org 27.000.000 27.500.000
Ktr Camat Psp
Hutaimbaru
Program Peningkatan Kapasitas Sumber
Daya Aparatur
Peningkatan Pengetahuan
dan Kemampuan Aparatur
dalam Bekerja
103.416.500 45.000.000
pendidikan dan pelatihan formal 60.000.000 70.000.000
Ktr Camat Psp
Hutaimbaru
Bimbingan Teknis,Worksop,Sosialisasi dan
Legal Drafting Bidang Hukum serta
peningkatan SDM Lainnya
Kantor Camat
Tersedianya pendidikan
dan pelatihan formal untuk
menunjang kinerja
1 Thn
Bimbingan
Teknis,Worksop,Sosialisasi
dan Legal Drafting Bidang
Hukum serta peningkatan
SDM Lainnya
1 Thn
Meningkatkan SDM
Aparatur
1 Thn 43.416.500 45.000.000
Ktr Camat Psp
Hutaimbaru
Program Peningkatan Pengembangan
Sistem Pelaporan Capaian Kinerja dan
Keuangan
Kantor Camat
Peningkatan Kemampuan
dibidang Pembuatan
Laporan-laporan Capaian
Kinerja dan Keuangan
1 Thn 1 Thn 1 Thn 13.696.000 13.696.000
Penyusunan Laporan Capaian Kinerja dan
Ikhtisar Realisasi Kinerja SKPD
Kantor Camat
Tersedianya Laporan
Capaian Kinerja dan
Ikhtisar Realisasi Kinerja
SKPD
1 Thn
Tersediannya Dana
Penyusunan LAKIP dan
RKA
1 Thn
LAKIP dan RKA dapat
dibuat tepat waktu
1 Thn 6.848.000 6.848.000
Ktr Camat Psp
Hutaimbaru
Penyusunan Pelaporan Keuangan Akhir
Tahun
Kantor Camat
Tersedianya Penyusunan
Pelaporan
1 Thn
Tersedianya dana
penyusunan Laporan
Keuangan
1 Thn
Laporan Keuangan dapat
dikerjakan dengan baik
1 Thn 6.848.000 6.848.000
Ktr Camat Psp
Hutaimbaru
Program Perencanaan Pembangunan
Daerah
Peningkatan
Pengembangan
Pembangunan Daerah
15.000.000 15.000.000
Penyelenggaraan Musrenbang Kecamatan
Kantor Camat dan
Kantor Lurah
Terlaksananya
Musrenbang Tingkat
Kelurahan dan Kecamatan
1 Thn
Musrembang
Tk.Kecamatan,Kelurahan
dan Desa
1 Thn
Musrembang
Tk.Kecamatan,Kelurahan
dan Desa Terlaksana
dengan baik
1 Thn 15.000.000 15.000.000
Ktr Camat Psp
Hutaimbaru
Program Peringatan Hari-hari Besar
Nasional,Daerah dan Keagamaan
Kesadaran dalam
memperingati Hari-hari
Besar Nasional, Daerah
dan Keagamaan meningkat
37.500.000 22.000.000
Pelaksanaan HUT RI 11.500.000
Pelaksanaan HUT Pemko Kecamatan 1 Thn Pelaksanaan HUT Pemko 1 Thn
Pelaksanaan HUT-Pemko
dengan Baik
1 Thn 14.000.000 10.000.000
Ktr Camat Psp
Hutaimbaru
Pelaksanaan Maulid Nabi Muhammad SAW
Meningkatan Kecintaan
Terhadap Nabi Besar
Tersedianya dana
peringatan maulid nabi tk
kec.
6.000.000 6.000.000
Ktr Camat Psp
Hutaimbaru
Pelaksanaan Isra Mi'krat Nabi Muhammad
SAW
Meningkatan Kecintaan
Terhadap Nabi Besar
Tersedianya dana
Pelaksanaan Isra Mi’raj
Nabi Muhammmad SAW
6.000.000 6.000.000
Ktr Camat Psp
Hutaimbaru
Program Peningkatan Kualitas Pelayanan
Publik
100.000.000 120.000.000
Percepatan Penerapan Pelayanan Terpadu
Kecamatan
100.000.000 120.000.000
Ktr Camat Psp
Hutaimbaru
Program Pengembangan Kemasyarakatan
Peningkatan
Pengembangan yang
berhubungan dengan
masyarakat
77.500.000 64.000.000
Rencana Program dan Kegiatan Prioritas Tahun 2015 BIDANG PEMERINTAHAN UMUM Lembar 45 dari 74
SKPD Jenis Keg Ket
Tolok Ukur Tolok Ukur Tolok Ukur 1/2/3 1/2/3 1/2/3
2 3 4 5 6 8 10 12 13 14 15 16
Nomor
Urusan/Bidang Urusan Pemerintahan
Daerah
Dan Program/Kegiatan
Prioritas
Daerah
Sasaran
Daerah
Lokasi
Indikator kinerja
Pagu
Indikatif
Prakiraan
Maju
Keterangan
Hasil Program
Keluaran
Kegiatan
Hasil Kegiatan
Target Target Target
1 7 9 11
Pengembangan Kebudayaan Masyarakat
Kecamatan dan
Kelurahan
Peningkatan
Pemberdayaan Perempuan
untuk Kesejahteraan
Keluarga
1 Thn Kinerja PPK kecamatan 1 Thn
Kegiatan PKK menjadi
lancar dan kegiatan
penyuluhan dapat
dilaksanakan dengan baik
1 Thn 15.000.000 12.000.000
Ktr Camat Psp
Hutaimbaru
pelaksanaan festival Nasid 10.000.000
Pengembangan Kemasyarakatan 15.000.000 16.000.000
MTQ Tingkat Kecamatan
Kecamatan dan
Kelurahan
Terselenggaranya MTQ
Tingkat Kecamatan
1 Thn MTQ Tingkat Kecamatan 1 Thn
Semakin meningkatnya
kecintaan masyarakat
kepada Al-quran
1 Thn 37.500.000 36.000.000
Ktr Camat Psp
Hutaimbaru
1.764.662.000 1.851.620.000 P1
Program Pelayanan Administrasi
Perkantoran
Kantor Camat
Pelayanan administrasi
perkantoran semakin baik
1 Thn 958.000.000 958.150.000
Penyediaan jasa komunikasi sumber daya air
& listrik
Meningkatnya Pelayanan
Perkantoran
tersedianya jasa
komunikasi sumber daya
air & listrik
1 Thn
terlaksananya jasa
komunikasi sumber daya
air & listrik
1 Thn 7.500.000 18.500.000
Ktr Camat Psp
Angkola Julu
Penyediaan jasa pemeliharaan dan perizinan
kenderaan dinas/ operasional
Meningkatnya Pelayanan
Perkantoran
tersedianya jasa
pemeliharaan perizinan
ked.dinas/operasional
1 Thn
terlaksananya jasa
pemeliharaan perizinan
ked.dinas/operasional
1 Thn 31.500.000 30.000.000
Ktr Camat Psp
Angkola Julu
Penyediaan jasa administrasi keuangan
Meningkatnya Pelayanan
Perkantoran
tersedianya jasa
adm.keuangan
1 Thn
terbayarnya jasa
adm.keuangan
1 Thn 41.500.000 5.000.000
Ktr Camat Psp
Angkola Julu
Penyediaan jasa kebersihan kantor
Meningkatnya Pelayanan
Perkantoran
tersedianya jasa kebersihan
kantor
1 Thn
terpenuhinya jasa
kebersihan kantor
1 Thn 30.500.000 37.500.000
Ktr Camat Psp
Angkola Julu
Penyediaan Peralatan alat Rumah Tangga 1 thn 10.000.000 10.000.000
Penyediaan alat tulis kantor
Meningkatnya Pelayanan
Perkantoran
tersedianya alat tulis kantor 1 Thn
terpenuhinya alat tulis
kantor
1 Thn 45.000.000 51.000.000
Ktr Camat Psp
Angkola Julu
Penyediaan Bahan bacaan dan Peraturan
Perundang-undangan
1 thn 7.000.000 7.000.000
Ktr Camat Psp
Angkola Julu
Penyediaan barang cetakan dan
penggandaan
Meningkatnya Pelayanan
Perkantoran
tersedianya barang cetakan
dan penggandaan
1 Thn
tercakupinya barang
cetakan dan penggandaan
1 Thn 15.000.000 25.000.000
Ktr Camat Psp
Angkola Julu
Penyediaan komponen instalasi
listrik/penerangan bangunan kantor
Meningkatnya Pelayanan
Perkantoran
tersediayan komp.instalasi
listrik/penerangan
bangunan kantor
1 Thn
komp.instalasi
listrik/penerangan
bangunan kantor semakin
baik
1 Thn 5.500.000 9.500.000
Ktr Camat Psp
Angkola Julu
Penyediaan makanan dan minuman
Meningkatnya Pelayanan
Perkantoran
tersedianya makanan dan
minuman
1 Thn
terbayarkannya makanan &
minuman
1 Thn 61.500.000 66.750.000
Ktr Camat Psp
Angkola Julu
Rapat-rapat Koordinasi dan Konsultasi
Kedalam Daerah
1 thn 1 thn 31.500.000 32.000.000
Ktr Camat Psp
Angkola Julu
Rapat-rapat koordinasi dan konsultasi ke
luar daerah
Meningkatnya Pelayanan
Perkantoran
tersedianya Rapat-rapat
koordinasi dan konsultasi
ke luar daerah
1 Thn
terlaksananya rapat-rapat
koordinasi dan konsultasi
ke luar daerah
1 Thn 120.000.000 65.000.000
Ktr Camat Psp
Angkola Julu
Penyediaan jasa keamanan kantor
Meningkatnya Pelayanan
Perkantoran
tersedianya jasa keamanan
kantor
1 Thn
terbayarnya jasa keamanan
kantor
1 Thn 21.500.000 19.500.000
Ktr Camat Psp
Angkola Julu
Penyediaan jasa administrasi perkantoran
Meningkatnya Pelayanan
Perkantoran
tersedianya jasa adm.
perkantoran
1 Thn
kinerja pegawai semakin
meningkat dan pelayanan
lebih baik
1 Thn 515.000.000 551.400.000
Ktr Camat Psp
Angkola Julu
penyediaan jasa peralatan dan
perelengkapan kantor
15.000.000 30.000.000
Ktr Camat Psp
Angkola Julu
Program Peningkatan Saranan dan
Prasarana Aparatur
Kantor Camat
sarana dan prasarana yang
menunjang kinerja
semakin baik
1 thn 482.500.000 500.650.000
Pengadaan kenderaan dinas/ operasional
Peningk.
Kualitas/Kuantitas Sarana
Pra Sarana
Adanya kenderaan dinas 1 Thn
terpenuhinya kenderaan
dinas
235.000.000 235.000.000
Ktr Camat Psp
Angkola Julu
Rencana Program dan Kegiatan Prioritas Tahun 2015 BIDANG PEMERINTAHAN UMUM Lembar 46 dari 74
SKPD Jenis Keg Ket
Tolok Ukur Tolok Ukur Tolok Ukur 1/2/3 1/2/3 1/2/3
2 3 4 5 6 8 10 12 13 14 15 16
Nomor
Urusan/Bidang Urusan Pemerintahan
Daerah
Dan Program/Kegiatan
Prioritas
Daerah
Sasaran
Daerah
Lokasi
Indikator kinerja
Pagu
Indikatif
Prakiraan
Maju
Keterangan
Hasil Program
Keluaran
Kegiatan
Hasil Kegiatan
Target Target Target
1 7 9 11
Pengadaan peralatan gedung kantor
Peningk.
Kualitas/Kuantitas Sarana
Pra Sarana
Adanya peralatan gedung
kantor
1 Thn
terpenuhinya peralatan
gedung
1 Thn 36.500.000 36.500.000
Ktr Camat Psp
Angkola Julu
Pengadaan mobeleur
Peningk.
Kualitas/Kuantitas Sarana
Pra Sarana
Adanya mobeleur 1 Thn
terpenuhinya mobeleur
kantor
1 Thn 10.500.000 12.500.000
Ktr Camat Psp
Angkola Julu
Pemeliharaan rutin/berkala gedung kantor
Peningk.
Kualitas/Kuantitas Sarana
Pra Sarana
Terpeliharanya gedung
kantor
1 Thn
terlaksananya
pemeliharaan gedung
kantor
1 Thn 170.500.000 175.000.000
Ktr Camat Psp
Angkola Julu
Pemeliharaan rutin/berkala kenderaan
dinas/operasional
Peningk.
Kualitas/Kuantitas Sarana
Pra Sarana
Terpeliharanya kenderaan
dinas (mobil) kantor
1 Thn
Kenderaan
dinas/operasional dapat
digunakan dengan baik
1 Thn 13.500.000 26.650.000
Ktr Camat Psp
Angkola Julu
Pemeliharaan rutin/berkala peralatan
gedung kantor
Peningk.
Kualitas/Kuantitas Sarana
Pra Sarana
Terpeliharannya peralatan
gedung kantor
1 Thn
peralatan kantor dapat
terpelihara dengan baik
1 Thn 16.500.000 15.000.000
Ktr Camat Psp
Angkola Julu
Program Peningkatan Disiplin Aparatur Kantor Camat
disiplin aparatur semakin
membaik
1 Thn 17.500.000 25.550.000
Pengadaan pakaian dinas beserta
perlengkapannya
Adanya pakaian dinas
keseragaman pakaian
aparatur kecamatan
1 Thn 17.500.000 25.550.000
Ktr Camat Psp
Angkola Julu
Program Peningkatan Kapasitas Sumber
Daya Aparatur
Kantor Camat
kemampuan aparatur
meningkat
1 Thn 78.000.000 104.000.000
Bimbingan teknis implementasi peraturan
perundang-undangan
Dikirimnya aparatur Kec.
Untuk mengikuti Bimtek
1 Thn
Pengetahuan aparatur
meningkat untuk
menunjang kinerja
1 Thn 60.000.000 85.000.000
Ktr Camat Psp
Angkola Julu
Peningkatan kapasitas camat dan lurah
Meningkatnya kapasitas
camat beserta kepala desa
1 Thn
meningkatnya kapasitas
camat dan kepala desa
1 Thn 18.000.000 19.000.000
Ktr Camat Psp
Angkola Julu
Program Peningkatan Pengembangan
Sistem Pelaporan Capaian Kinerja dan
Keuangan
Kantor Camat
laporan - laporan kinerja
dan keuangan semakin
baik sesuai dengan
peraturan yang berlaku
1 thn 15.820.000 15.820.000
Penyusunan Laporan Capaian kinerja dan
Ikhtisar Realisasi Kinerja SKPD
1 thn 5.550.000 6.000.000
Penyusunan pelaporan keuangan semesteran
Peningkatan Kulaitas dan
Kuantiotas Pelaporan
Adanya pelaporan
keuangan
1 Thn
tersusunya pelaporan
keuangan
1 Thn 4.400.000 4.400.000
Ktr Camat Psp
Angkola Julu
Penyusunan pelaporan keuangan akhir
tahun
Peningkatan Kulaitas dan
Kuantiotas Pelaporan
Adanya pelaporan
keuangan
1 Thn
tersusunya pelaporan
keuangan
1 Thn 4.400.000 4.400.000
Ktr Camat Psp
Angkola Julu
Penyusunan laporan, rencana kinerja dan
anggaran
Peningkatan Kulaitas dan
Kuantiotas Pelaporan
Adanya laporan, rencana,
kinerja dan anggaran
1 Thn
tersusunnya laporan,
rencana, kinerja dan
anggaran
1 Thn 7.020.000 7.020.000
Ktr Camat Psp
Angkola Julu
Program Perencanaan Pembangunan
Daerah
Kantor Camat
tertampungnya aspirasi
dari masyarakat utk
pembg.
1 Thn 17.500.000 35.000.000
Penyelenggaraan musrembang Musrembang kecamatan 1 Thn
usulan-usulan dari
masyarakat dapat
tertampung untuk
pembangunan
1 Thn 17.500.000 35000000
Ktr Camat Psp
Angkola Julu
Program Peningkatan Semangat Gotong
Royong
Kantor Camat 1 Thn 37.342.000 42.500.000
Peningkatan semangat gotong royong
Peningkatan semangat
gotong royong
1 Thn
gotong royong di desa dapat
terlaksana dengan baik
1 Thn 37.342.000 42.500.000
Ktr Camat Psp
Angkola Julu
Program Pengembangan Kemasyarakatan Kantor Camat
terwujudnya SDM masy.
yang semakin baik
1 Thn 85.500.000 105.950.000
Pengembangan kebudayaan masyarakat
Terlaksananya program
pengembangan
kemasyarakatan
Nasyid 1 Thn
meningkatnya syiar agama
islam
1 Thn 14.500.000 14.250.000
Ktr Camat Psp
Angkola Julu
Rencana Program dan Kegiatan Prioritas Tahun 2015 BIDANG PEMERINTAHAN UMUM Lembar 47 dari 74
SKPD Jenis Keg Ket
Tolok Ukur Tolok Ukur Tolok Ukur 1/2/3 1/2/3 1/2/3
2 3 4 5 6 8 10 12 13 14 15 16
Nomor
Urusan/Bidang Urusan Pemerintahan
Daerah
Dan Program/Kegiatan
Prioritas
Daerah
Sasaran
Daerah
Lokasi
Indikator kinerja
Pagu
Indikatif
Prakiraan
Maju
Keterangan
Hasil Program
Keluaran
Kegiatan
Hasil Kegiatan
Target Target Target
1 7 9 11
festival Nasid 1 thn 16.500.000 16.000.000
Pengembangan kemasyarakatan
Terlaksananya program
pengembangan
kemasyarakatan
PKK dan Kepemudaan 1 Thn
kegiatan PKK Kec. dapat
terlaksana
1 Thn 20.000.000 40.000.000
Ktr Camat Psp
Angkola Julu
MTQ tingkat kecamatan MTQ kecamatan 1 Thn
meningkatnya kecintaan
masyarakat terhadap
alqur'an
1 Thn 34.500.000 35.700.000
Ktr Camat Psp
Angkola Julu
Program Peringatan Hari-hari Besar
Nasional, daerah dan keagamaan
Kesadaran dalam
memperingati Hari-hari
Besar Nasional, Daerah
dan Keagamaan
meningkat
46.000.000 44000000
HUT RI Terlaksananya HUT RI
Tersedianya dana
peringatan HUT RI tk kec.
16.500.000 16000000
Ktr Camat Psp
Angkola Julu
HUT Pemko Terlaksananya HUT Pemko
Tersedianya dana
peringatan HUT Pemko tk
kec.
19.500.000 17000000
Ktr Camat Psp
Angkola Julu
Pelaksanaan Isra' Mi'raj Nabi Muhammad SAW 1 thn 5.000.000 5000000
Maulid Nabi
Meningkatan Kecintaan
Terhadap Nabi Besar
Tersedianya dana
peringatan maulid nabi tk
kec.
5.000.000 6000000
Ktr Camat Psp
Angkola Julu
Program Peningkatan kualitas pelayanan
publik
26.500.000 20000000
Pelayanan Administrasi Terpadu kecamatan (
paten )
Tersedianya Pelayanan
Administrasi Terpadu (
PATEN )
26.500.000 20000000
Ktr Camat Psp
Angkola Julu
Rencana Program dan Kegiatan Prioritas Tahun 2015 BIDANG PEMERINTAHAN UMUM Lembar 48 dari 74
SKPD
Jenis
Keg
Ket
Tolok Ukur Tolok Ukur 1/2/3 1/2/3 1/2/3
2 3 4 5 6 8 10 12 13 14 15 16
01 URUSAN WAJIB
01 21 BIDANG KETAHANAN PANGAN 19.417.610.000 11.551.910.000
3.297.300.000 1.547.400.000 P1
Program Pelayanan Administrasi Perkantoran
Meningkatnya
Pelayanan Aparatur
782.000.000 74.000.000
Penyediaan Jasa Komunikasi, Sumber Daya Air
dan Listrik
Padangsidimpuan
Tersedianya Pelayanan
Administrasi Perkantoran
Terpenuhinya Jasa
Komunikasi, Air dan Listrik
13.500.000 BKP3
Penyediaan Jasa peralatan dan perlengkapan
kantor
1 thn 11.500.000
Penyediaan Jasa Kebersihan Kantor Padangsidimpuan
Terpeliharanya Kebersihan
Kantor
6 Org
Meningkatnya Semangat
Kerja Aparatur
6 Org 105.500.000 12.000.000 BKP3
Penyediaan Peralatan dan Perlengkapan Kantor 12 unit 75.500.000
Penyediaan Peralatan Rumah tangga 1 thn 4.500.000
Penyediaan Alat Tulis Kantor Padangsidimpuan
Terlaksananya Penyediaan
ATK
1 paket Tersedianya ATK 1 paket 78.500.000 62.000.000 BKP3
Penyediaan Barang Cetakan dan Penggandaan Padangsidimpuan
Terlaksananya Cetak dan
Penggandaan
Tersedianya Cetak dan
Penggandaan
13.500.000 BKP3
Penyediaan Bahan Bacaan dan Peraturan
Perundang - undangan
Padangsidimpuan
Terlaksananya Bahan
Bacaan dan Peraturan
Perundang - undangan
Tersedianya Bahan Bacaan
dan Peraturan Perundang -
undangan
14.000.000 BKP3
Penyediaan Makanan dan Minuman Pegawai Padangsidimpuan
Tersedianya Makanan dan
Minuman Pegawai
Meningkatnya
Kesejahteraan Pegawai
130.000.000 BKP3
Rapat-rapat Koordinasi dan Konsultasi kedalam
Daerah
1 thn 10.000.000
Rapat - rapat Koordinasi dan Konsultasi Keluar
Daerah
Padangsidimpuan
Terlaksananya Rapat - rapat
Koordinasi dan Konsultasi
ke Luar Daerah
Terpenuhinya Koordinasi
dan Konsultasi
325.500.000 BKP3
Program Peningkatan Disiplin Aparatur
Meningkatnya
Pelayanan Disiplin
Aparatur
71.500.000
Pengadaan pakaian khusus hari-hari tertentu 65 org 43.500.000
1 7 9 11
Target Target
Rencana Program dan Kegiatan Prioritas Daerah Tahun 2015
Kota Padangsidimpuan
Nomor
Urusan/Bidang Urusan Pemerintahan Daerah
Dan Program/Kegiatan
Prioritas
Daerah
Sasaran
Daerah
Lokasi
Indikator kinerja
Pagu
Indikatif
Prakiraan
Maju
Keterangan
Hasil Program
Keluaran
Kegiatan
Hasil Kegiatan
Target
Rencana Program dan Kegiatan Prioritas Tahun 2015 Bidang Ketahanan Pangan Lembar : 49 dari 74
SKPD
Jenis
Keg
Ket
Tolok Ukur Tolok Ukur 1/2/3 1/2/3 1/2/3
2 3 4 5 6 8 10 12 13 14 15 161 7 9 11
Target Target
Nomor
Urusan/Bidang Urusan Pemerintahan Daerah
Dan Program/Kegiatan
Prioritas
Daerah
Sasaran
Daerah
Lokasi
Indikator kinerja
Pagu
Indikatif
Prakiraan
Maju
Keterangan
Hasil Program
Keluaran
Kegiatan
Hasil Kegiatan
Target
Penyediaan Pakaian Batik Daerah Aparatur Padangsidimpuan
Terlaksananya Pengadaan
Pakaian batik daerah
65 Org
Terlaksananya Pengadaan
Pakaian batik daerah
65 Org 28.000.000 BKP3
Program Peningkatan Sarana dan Prasarana
Aparatur
Padangsidimpuan 330.000.000 328.000.000 BKP3
Pengadaan Perlengkapan Gedung Kantor Padangsidimpuan
Terlaksananya Pengadaan
Perlengkapan Gedung
Kantor
5 Unit
Tersedianya Perlengkapan
Gedung Kantor
5 Unit 50.000.000 75.000.000 BKP3
Pengadaan Mebeleur Padangsidimpuan
Terlaksananya Pengadaan
Mobiler
15 Unit
Tersedianya Pengadaan
Mobiler
15 Unit 30.500.000 50.000.000 BKP3
Pengadaan Peralatan Gedung Kantor Padangsidimpuan
Terlaksananya
Pemeliharaan peralatan
Gedung Kantor
6 Unit
Terpeliharanya peralatan
Gedung Kantor
6 Unit 35.000.000 50.000.000 BKP3
Pemeliharaan rutin/berkala Gedung Kantor Padangsidimpuan
Terlaksananya
Pemeliharaan Rutin /
Berkala Gedung Kantor
1 Unit
Terpeliharanya Gedung
Kantor
1 Unit 50.000.000 50.000.000 BKP3
Pemeliharaan rutin / berkala Mobil Jabatan Padangsidimpuan
Terlaksananya
Pemeliharaan Rutin /
Berkala Mobil Jabatan
2 Unit Tersedianya Mobil Jabatan 2 Unit 96.500.000 35.000.000 BKP3
Pemeliharaan rutin / berkala Perlengkapan
Gedung Kantor
Padangsidimpuan
Terlaksananya
Pemeliharaan Rutin /
Berkala Perlengkapan
Gedung Kantor
5 Unit
Terpeliharanya
Perlengkapan Gedung
Kantor
5 Unit 30.000.000 30.000.000 BKP3
Pemeliharaan rutin / berkala Peralatan Gedung
Kantor
Padangsidimpuan
Terlaksananya
Pemeliharaan Rutin /
Berkala Peralatan Gedung
Kantor
6 Unit
Terpelihara Peralatan
Gedung Kantor
6 Unit 38.000.000 38.000.000 BKP3
Program Peningkatan Kapasitas Sumber Daya
Aparatur
Peningkatan
Pengetahuan
Aparatur
153.500.000 75.000.000
Bimbingan Tekhnis Implementasi Peraturan
Perundang - undangan
Aparatur Luar Daerah
Terlaksananya Bimbingan
Dan Pelatihan
10Org
Meningkatnya Pengetahuan
Aparatur
10Org 153.500.000 75.000.000 BKP3
Program Peningkatan Pengembangan Sistem
Pelaporan Capaian Kinerja dan Keuangan Meningkatnya
KulaitasPelaporan
58.000.000 31.000.000
Penyusunan Pelaporan Prognosis realisasi
anggaran 1 thn 14.500.000
Penyusunan Laporan Capaian Kinerja dan
Ikhtisar Realisasi Kinerja SKPD
Aparatur Padangsidimpuan
Terlaksananya Penyusunan
Laporan Capaian Kinerja
dan Ikhtisar Realisasi
Kinerja SKPD
5 Dok
Dipedomaninya Laporan
SKPD
5 Dok 29.500.000 15.000.000 BKP3
Penyusunan Laporan Keuangan Semesteran Aparatur Padangsidimpuan
Terlaksananya Penyusunan
Laporan Keuangan
Semesteran
2 Dok
Tersusunnya Laporan
Keuangan
2 Dok 12.000.000 12.000.000 BKP3
Rencana Program dan Kegiatan Prioritas Tahun 2015 Bidang Ketahanan Pangan Lembar : 50 dari 74
SKPD
Jenis
Keg
Ket
Tolok Ukur Tolok Ukur 1/2/3 1/2/3 1/2/3
2 3 4 5 6 8 10 12 13 14 15 161 7 9 11
Target Target
Nomor
Urusan/Bidang Urusan Pemerintahan Daerah
Dan Program/Kegiatan
Prioritas
Daerah
Sasaran
Daerah
Lokasi
Indikator kinerja
Pagu
Indikatif
Prakiraan
Maju
Keterangan
Hasil Program
Keluaran
Kegiatan
Hasil Kegiatan
Target
Penyusunan Laporan Keuangan Akhir Tahun Aparatur Padangsidimpuan
Terlaksananya Penyusunan
Laporan Keuangan Akhir
Tahun
5 Dok
Tersusunnya Laporan
Keuangan Akhir Tahun
5 Dok 2.000.000 4.000.000 BKP3
Program Peningkatan Kesejahteraan Petani
Tercapainya
Peningkatan SDM
Petani
617.100.000 314.000.000
Peningkatan Sistem Insentif dan Disentetif bagi
Petani/ Kel. Tani
Padangsidimpuan Adanya biaya operasional 30 org/thnMeningkatnya kinerja KTNA 30 org/thn 27.500.000 30.000.000 BKP3
Penilaian Petani Berprestasi Padangsidimpuan Adanya bimbingan tekhnis 3 Org Meningkatnya pengetahuan 3 Org 15.000.000 17.000.000 BKP3
Peningkatan kemampuan lembaga petani 11.500.000
Demonstrasi farmi petani (demfarm) 100.000.000
Penilaian Kelompok Tani Berprestasi Padangsidimpuan Adanya bimbingan tekhnis 3 klmpk Meningkatnya pengetahuan 3 klmpk 17.000.000 22.000.000 BKP3
Ahli teknologi kab.karo 15 org 15 org 35.000.000 40.000.000 BKP3
Penyuluhan dan pemdampingan petani dan pelaku agribisnis 10 demplot 140.600.000
Pemanfaatan lahan pekarangan 70.000.000
Demplot Petani Tanaman Hortikultura Padangsidimpuan Terlaksananya Demplot 17 org
Meningkatnya pengetahuan
penyuluh
17 org 170.000.000 170.000.000 BKP3
Pelatihan Petani dan Pelaku Agribisnis Padangsidimpuan
Terlaksananya pelatihan
TTG
60 org Meningkatnya pengetahuan 60 org 30.500.000 35.000.000 BKP3
Program Peningkatan Ketahanan Pangan
- Terpenuhinya
Kebutuhan Pangan
567.400.000 500.000.000
Penyusunan Data Base Potensi Produksi Pangan Padangsidimpuan
Terlaksananya Penyusunan
Data Base komsumsi
pangan 3B
4 Dok
Tersusunnya Data Base
Konsumsi Pangan 3B
4 Dok 45.500.000 30.000.000 BKP3
Pengembangan Desa Mandiri Pangan Padangsidimpuan
Terlaksananya Desa Mandiri
Pangan
2 Desa
Meningkatanya Kemampuan
Masyarakat
2 Desa 50.000.000 50.000.000 BKP3
Pengembangan Diversifikasi Pangan Lokal Padangsidimpuan
Terlaksananya
Pangembangan produk
pangan lokal
1 Paket
Meningkatnya Produksi
pangan lokal
1 Paket 125.000.000 50.000.000 BKP3
Pengembangan Sistim Informasi Pasar Padangsidimpuan
Terlaksananya sistim
informasi pasar
4 Dok
Berkembangnya sistim
informasi pasar
4 Dok 65.400.000 45.000.000 BKP3
Pengembangan Mutu dan Keamanan Pangan Padangsidimpuan
Terlaksananya koordinasi
kebijakan keamanan dan
mutu pangan
1 Paket
Terpedomaninya hasil
keputusan koordinasi
1 Paket 45.000.000 60.000.000 BKP3
Penyuluhan Sumber Pangan Alternatif/hari
pangan sedunia
Padangsidimpuan
Terlaksananya Penyuluhan
sunber Pangan Alternatif
1 Paket
Meningkatnya Pengetahuan
tentang sumber Pangan
1 Paket 60.000.000 100.000.000 BKP3
Rapat Dewan Ketahanan Pangan Padangsidimpuan
Terlaksananya Rapat Dewan
Ketahanan Pangan
1 Paket
Terkoordinasinya masalah
yang timbul dalam rapat
1 Paket 76.500.000 50.000.000 BKP3
Rencana Program dan Kegiatan Prioritas Tahun 2015 Bidang Ketahanan Pangan Lembar : 51 dari 74
SKPD
Jenis
Keg
Ket
Tolok Ukur Tolok Ukur 1/2/3 1/2/3 1/2/3
2 3 4 5 6 8 10 12 13 14 15 161 7 9 11
Target Target
Nomor
Urusan/Bidang Urusan Pemerintahan Daerah
Dan Program/Kegiatan
Prioritas
Daerah
Sasaran
Daerah
Lokasi
Indikator kinerja
Pagu
Indikatif
Prakiraan
Maju
Keterangan
Hasil Program
Keluaran
Kegiatan
Hasil Kegiatan
Target
Penghargaan Adhikarya Pangan Nusantara Padangsidimpuan
Terlaksananya Pemberian
Penghargaan Adhikarya
Pangan Nusantara
2 Paket
Meningkatnya semangat
Petani/ Masyarakat
2 Paket 60.000.000 70.000.000 BKP3
Pemanfaatan pekarangan untuk pengembangan
pangan
Padangsidimpuan 1 Paket Terlakasanya Rencana Kerja 1 Paket 40.000.000 45.000.000 BKP3
Program Pemberdayaan Penyuluh
Pertanian/Perkebunan
-Tercapainya
Peningkatan SDM
Penyuluh
717.800.000 225.400.000
HonorariumTHL - TB PP Padangsidimpuan
Tersedianya Honorarium
PPL THL - TB
44 Org
Meningkatnya
Kesejahteraan Penyuluh
44 Org 77.400.000 77.400.000 BKP3
Peningkatan kesejahteraan tenaga penyuluh
pertanian/perkebunan
74.500.000
rencana kerja program kerja tingkat
kecamatan/kota
28.500.000
rapat posko 95.000.000
penyediaan demplot tanaman padi 78.000.000
penyediaan demplot tanaman pangan 33.000.000
pembuatan buku rencana kerja harian dan buku
pintar
52.500.000
penyediaan demplot bagi penyuluh pertanian 66.900.000
penilaian ppl pns teladan 16.000.000
Pertemuan BPP Padangsidimpuan
Terlaksananya pertemuan
BPP
1 thn
Dipedomaninya hasil
pertemuan
1 thn 62.500.000 45.000.000 BKP3
Penilaian Penyuluh PNS Teladan Padangsidimpuan
Terlaksananya penilaian
penyuluh
6 Org
Meningkatnya kinerja
penyuluh
6 Org 17.000.000 23.000.000 BKP3
Jambore Penyuluh Tingkat Provinsi
Pusat Terlaksananya Jambore
Penyuluhan
15 Org
Meningkatnya pengetahuan
penyuluh
20 org 86.500.000 50.000.000 BKP3
Pembuatan Rencana Kerja Program dan Program
Penyuluhan
Padangsidimpuan Terlaksananya penyusunan
program
90 Eks
Adanya program dan
rencana kerja petugas
90 Eks 30.000.000 30.000.000 BKP3
16.120.310.000 10.004.510.000 P2
Program Peningkatan Sarana dan Prasarana
Aparatur
1.951.510.000 1.951.510.000
Pembangunan Gedung Kantor
Pembangunan Gedung
Kantor
5 Unit Tersedianya Gedung Kantor 5 Unit 400.000.000 400.000.000 BKP3
Pengadaan Mobil Jabatan Pengadaan Mobil Jabatan 15 Unit Tersedianya Mobil Jabatan 15 Unit 400.000.000 400.000.000 BKP3
Pengadaan Kendaraan Dinas / Operasional
Pengadaan Kendaraan
Dinas / Operasional
6 Unit
Tersedianya Kendaraan
Dinas / Operasional
6 Unit 80.000.000 80.000.000 BKP3
Rehabilitasi Atap dan Plafon Gedung Kantor
Rehabilitasi Atap dan Plafon
Gedung Kantor
1 Unit
Rehabilitasi Atap dan Plafon
Gedung Kantor
1 Unit 181.510.000 181.510.000 BKP3
Rencana Program dan Kegiatan Prioritas Tahun 2015 Bidang Ketahanan Pangan Lembar : 52 dari 74
SKPD
Jenis
Keg
Ket
Tolok Ukur Tolok Ukur 1/2/3 1/2/3 1/2/3
2 3 4 5 6 8 10 12 13 14 15 161 7 9 11
Target Target
Nomor
Urusan/Bidang Urusan Pemerintahan Daerah
Dan Program/Kegiatan
Prioritas
Daerah
Sasaran
Daerah
Lokasi
Indikator kinerja
Pagu
Indikatif
Prakiraan
Maju
Keterangan
Hasil Program
Keluaran
Kegiatan
Hasil Kegiatan
Target
Pengadaan Kenderaan Penyuluhan Roda 4
Adanya kenderaan
Operasional Penyuluhan
1 Unit 1 Unit 350.000.000 350.000.000 BKP3
Pengadaan Kenderaan Roda 2
Adanya kenderaan
Operasional Penyuluhan
12 Unit 12 Unit 240.000.000 240.000.000 BKP3
Rehabilitasi Kantor BPP
Terlaksanya rahabilitasi
kantor BPP
2 Unit 2 Unit 180.000.000 180.000.000 BKP3
Pengadaan komputer cyber extension Tersedianya komputer BPP 3 Kec. 3 Kec. 120.000.000 120.000.000 BKP3
Program Peningkatan Kapasitas Sumber Daya
Aparatur
Peningkatan
Pengetahuan
Aparatur
55.000.000 55.000.000
Pelatihan Petugas dalam Pemantapan Ketahanan
Pangan
Aparatur Medan
Terlaksananya Bimbingan
Dan Pelatihan
30 Org
Meningkatnya Pengetahuan
Aparatur
30 Org 55.000.000 55.000.000 BKP3 Lanjutan
Program Peningkatan Pengembangan Sistem
Pelaporan Capaian Kinerja dan Keuangan
Meningkatnya
KulaitasPelaporan
6.000.000 6.000.000
Penyusunan Laporan Prognosis Realisasi
Anggaran
Aparatur Padangsidimpuan
Penyusunan Laporan
Prognosis Realisasi
Anggaran
5 Dok
Dipedomaninya Laporan
SKPD
5 Dok 6.000.000 6.000.000 BKP3 Lanjutan
Program Peningkatan Kesejahteraan Petani
Tercapainya
Peningkatan SDM
Petani
4.359.000.000 4.359.000.000
Demplot Petani Tanaman Pangan
Tercapainya Penataan
Lembaga
30 Org 30 Org 30 Org 120.000.000 120.000.000 BKP3
Denfram Tanaman Padi
Meningkatnya
Denfram Tanaman
Padi
15 Org 15 Org 15 Org 135.000.000 135.000.000 BKP3
Demplot Tanaman Kedelai
Meningkatnya
Tanaman Kedelai
20 Org 20 Org 20 Org 35.000.000 35.000.000 BKP3
Demplot Tanaman Padi Organik
Terlaksananya
Tanaman Padi
Organik
30 Org 30 Org 30 Org 150.000.000 150.000.000 BKP3
Demplot Pengangkar Benih
Meningkatnya
Pengetahuan dan
Penghasilan Petani
30 Org 30 Org 30 Org 210.000.000 210.000.000 BKP3
Rapat Posko
Meningkatkan
Pengetahuan
Penyuluh Pertanian
Lapangan
180 org 180 org 180 org 124.000.000 124.000.000 BKP3
Demplot Pembuatan Pupuk Organik
Meningkatnya
Pengetahuan Petani
30 Klpk 30 Klpk 30 Klpk 120.000.000 120.000.000 BKP3
Pengembangan Sapi Terciptanya Stok Sapi 6 Klpk 6 Klpk 6 Klpk 470.000.000 470.000.000 BKP3
Pembuatan Pakan Ternak Sapi
Tersedianya Pakan
Sapi
6 Klpk 6 Klpk 6 Klpk 108.000.000 108.000.000 BKP3
Rencana Program dan Kegiatan Prioritas Tahun 2015 Bidang Ketahanan Pangan Lembar : 53 dari 74
SKPD
Jenis
Keg
Ket
Tolok Ukur Tolok Ukur 1/2/3 1/2/3 1/2/3
2 3 4 5 6 8 10 12 13 14 15 161 7 9 11
Target Target
Nomor
Urusan/Bidang Urusan Pemerintahan Daerah
Dan Program/Kegiatan
Prioritas
Daerah
Sasaran
Daerah
Lokasi
Indikator kinerja
Pagu
Indikatif
Prakiraan
Maju
Keterangan
Hasil Program
Keluaran
Kegiatan
Hasil Kegiatan
Target
Penyuluhan dan Bimbingan Pemanfaatan
Produktifitas Lahan Tidur
Meningkatkan
Pendapatan Asli
Daerah
1 Paket 1 Paket 1 Paket 340.000.000 340.000.000 BKP3
Pelatihan petani inseminasi buatan
terlaksananya
pelatihan petani
15 Org 15 Org 15 Org 225.000.000 225.000.000 BKP3
Magang Petani Hortikultura
terlaksananya
pelatihan petani
20 Org 20 Org 20 Org 140.000.000 140.000.000 BKP3
Demfarm petani tanaman pangan
Tersedianya demfarm
petani
18 Unit 18 Unit 18 Unit 126.000.000 126.000.000 BKP3
Demplot Petani Tanman Holtikultura
Tersedianya demplot
tanaman holtikultura
18 Unit 18 Unit 18 Unit 180.000.000 180.000.000 BKP3
Pelatihan Kewirausahaan Petani
Terlaksananya
Pelatihan
kewirausahaan
20 Org 20 Org 20 Org 180.000.000 180.000.000 BKP3
Pengembangan Hortikultura
Terlaksananya
Penanaman Cabe
Merah
BKP3
Penanaman Cabe Merah Seluas ± 4 Ha 640.000.000 640.000.000 BKP3
Monitoring, Evaluasi dan Pembinaan 64.000.000 64.000.000 BKP3
Penanaman Bawang Merah Seluas ± 2Ha 320.000.000 320.000.000 BKP3
Monitoring, Evaluasi dan Pembinaan 32.000.000 32.000.000 BKP3
Pembangunan saung Tani
Tersedianya wadah
berkumpul petani
4 Unit 280.000.000 280.000.000 BKP3
Pengadaan Kenderaan Roda 2
Adanya kenderaan
Operasional
Penyuluhan
6 Unit 120.000.000 120.000.000 BKP3
Pengadaan Mobiler BPP
Tersedianya mobiler
BPP
6 Kec. 240.000.000 240.000.000 BKP3
Program Peningkatan Ketahanan Pangan
Pertanian / Perkebunan
- Terpenuhinya
Kebutuhan Pangan
2.320.300.000 2.470.000.000
Analisa Rasio Jumlah Penduduk terhadap
Jumlah Kebutuhan Pangan
Padangsidimpuan
Diperolehnya Data
Jumlah Kebutuhan
Pangan Penduduk
serta tersusunnya
Data PPH untuk
Padangsidimpuan
1 paket 1 paket 60.000.000 60.000.000 BKP3
Pemanfaatan lahan pekarangan
meningkatkan
pendapatankeluarga
12 unit 12 unit 600.000.000 600.000.000 BKP3
Pengembangan Lumbung Pangan Masyarakat
Terlaksananya
Pengembangan
Lumbung Pangan
Masyarakat
2 Desa 2 Desa 170.000.000 170.000.000 BKP3
Pengembangan Desa Mandiri Pangan
Terlaksananya
Pengembangan Desa
Mandiri Pangan
3 Desa 3 Desa 120.000.000 120.000.000 BKP3
Pemanfaatan Lahan Pekarangan
Terlaksananya
Pemanfaatan Lahan
Pekarangan
BKP3
Kec. Psp
a.julu,batunadu
a,tenggara,
ht.baru
Kec. Psp
a.julu,batunadu
a,tenggara,
ht.baru
Kec. Psp
a.julu,batunadu
a,tenggara,
ht.baru
Tenggara,bt dua Tenggara,bt dua
12 Desa di 6 kec
se kota psp
12 Desa di 6 kec
se kota psp
Rencana Program dan Kegiatan Prioritas Tahun 2015 Bidang Ketahanan Pangan Lembar : 54 dari 74
SKPD
Jenis
Keg
Ket
Tolok Ukur Tolok Ukur 1/2/3 1/2/3 1/2/3
2 3 4 5 6 8 10 12 13 14 15 161 7 9 11
Target Target
Nomor
Urusan/Bidang Urusan Pemerintahan Daerah
Dan Program/Kegiatan
Prioritas
Daerah
Sasaran
Daerah
Lokasi
Indikator kinerja
Pagu
Indikatif
Prakiraan
Maju
Keterangan
Hasil Program
Keluaran
Kegiatan
Hasil Kegiatan
Target
Bansos 360.000.000 360.000.000 BKP3
Monitoring, Evaluasi dan Pembinaan 240.000.000 240.000.000 BKP3
Pemberdayaan Kelompok Akses Pangan
Terlaksananya
pemberdayaan
Kelompok
5 Desa 150.000.000 150.000.000 BKP3
Pengembangan Lumbung pangan masyarakat
Terlaksananya
Pengembangan
lumbung pangan
1 Desa 250.000.000 250.000.000 BKP3
Analisa konsumsi kebutuhan pangan masyarakat
terlaksananya survey
analisa rasio lumlah
penduduk terhadap
jumlah kebutuhan
pangan
6 Kec. 100.000.000 100.000.000 BKP3
Manggadong
Agar petani
memproduksi hasil
lokal/ non beras
6 Kec. 100.000.000 100.000.000 BKP3
Gerakan makan Beragam, Bergizi, seimbang dan
aman bagi ibu hamil, menyusui, SD/MI
Agar masyarakat
mengkonsumsi
makanan B2SA
6 Kec. 160.000.000 160.000.000 BKP3
Analisa Rasio Jumlah Penduduk terhadap jumlah
kebutuhan pangan ( PPH )
terlaksananya survey
analisa rasio lumlah
penduduk terhadap
jumlah kebutuhan
pangan
6 Kec. 10.300.000 160.000.000 BKP3
Program Pemberdayaan Penyuluh Pertanian /
Perkebunan Lapangan
1.009.500.000 1.163.000.000
Demplot Penyuluh Tanaman Pangan
Meningkatkan
Pengetahuan
Penyuluh
30 Org 30 Org 30 Org 150.000.000 150.000.000 BKP3
Demplot Penyuluh Tanaman Hortikultura
Meningkatkan
Pengetahuan
Penyuluh
12 Org 12 Org 12 Org 115.000.000 115.000.000 BKP3
Demplot Penyuluh Perbenihan Padi
Meningkatkan
Pengetahuan
Penyuluh
30 Org 30 Org 30 Org 150.000.000 150.000.000 BKP3
Demplot Penyuluh Pembibitan Perkebunan
Meningkatkan
Pengetahuan
Penyuluh
12 Org 12 Org 12 Org 144.000.000 144.000.000 BKP3
Pelatihan Penyuluh Tanaman Holtikultura
Terlaksananya
pelatihan penyuluh
20 Org 20 Org 20 Org 140.000.000 140.000.000 BKP3
Operasional Penyuluh Swadaya
Terlaksananya
Operasional Penyuluh
12 Org 12 Org 12 Org 96.000.000 96.000.000 BKP3
Pengadaan Demplot Penyuluh Swadaya
Adanya demplot
penyuluh swadaya
12 Org 12 Org 12 Org 60.000.000 60.000.000 BKP3
Demplot Penyuluh Pertanian
Adanya demplot
penyuluh
44 Org 44 Org 44 Org 66.500.000 220.000.000 BKP3
12 Desa di 6 kec
se kota psp
12 Desa di 6 kec
se kota psp
Rencana Program dan Kegiatan Prioritas Tahun 2015 Bidang Ketahanan Pangan Lembar : 55 dari 74
SKPD
Jenis
Keg
Ket
Tolok Ukur Tolok Ukur 1/2/3 1/2/3 1/2/3
2 3 4 5 6 8 10 12 13 14 15 161 7 9 11
Target Target
Nomor
Urusan/Bidang Urusan Pemerintahan Daerah
Dan Program/Kegiatan
Prioritas
Daerah
Sasaran
Daerah
Lokasi
Indikator kinerja
Pagu
Indikatif
Prakiraan
Maju
Keterangan
Hasil Program
Keluaran
Kegiatan
Hasil Kegiatan
Target
Demplot Balai Penyuluh Pertanian Adanya demplot BPP 6 BPP 6 BPP 6 BPP 48.000.000 48.000.000 BKP3
Diklat Dasar Penyuluh Pertanian Lapangan
Terlaksananya diklat
dasar
4 Org 4 Org 4 Org 40.000.000 40.000.000 BKP3
Program Ketahanan Pangan dan diversifikasi
pangan
2.030.000.000
Penguatan usaha kelompok dalam rangka
peningkaatan Akses Pangan
5 desa 150.000.000
Pengembangan Lumbung pangan masyarakat 1 desa 250.000.000
Analisa konsumsi kebutuhan pangan masyarakat 6 kec 100.000.000
Manggadong 6 kec 100.000.000
Gerakan makan Beragam, Bergizi, seimbang dan
aman bagi ibu hamil, menyusui, SD/MI
6 kec 160.000.000
Analisa Rasio Jumlah Penduduk terhadap jumlah
kebutuhan pangan ( PPH )
6 kec 160.000.000
Pemberdayaan kelompok wanita melalui
pengembangan kawasan Rumah Pangan Lestari
(KRPL)
6 kec 150.000.000
Pendampingan industri pengolahan pangan lokal
dan tepung - tepungan pada kelompok Home
Industri dan kelompok wanita tani
6 kec 120.000.000
Pemberdayaan masyarakat miskin melalui
Program Aksi Gerakan Masyarakat Mandiri
Pangan ( GEMA PANGAN)
6 kec 240.000.000
Pemberdayaan Daerah Rawan Pangan Transien
dan Kronis
6 kec 200.000.000
Sistem Kewaspadaan Pangan dan Gizi (SKPG) 6 kec 100.000.000
Pembinaan dan Penanggulangan Gizi Kurang di
Daerah Rawan Pangan
6 kec 150.000.000
Fasilitasi Koordinasi dan Penguatan Dewan
Ketahanan Pangan Provinsi Sumatera Utara
6 kec 150.000.000
Program pemantapan sistem penyuluhan
pertanian
1.998.000.000
Pembangunan Saung penyuluhan / Posluhdes Padangsidimpuan 4 unit 360.000.000
Pendampingan Penyuluh Pertanian, Perikanan
dan Kehutanan di Lapangan
Padangsidimpuan 30 0rg 300.000.000
Peningkatan Kualitas Penyuluh, Pelaku Utama /
Pelaku Usaha
Sumut 4 Org 60.000.000
Penguatan kelembagaan penyuluhan dan pelaku
utama
Sumut 30 unit 210.000.000
Pengembangan dan Penerapan Paket teknologi
melalui demplot dan denfam
Sumut 28 unit 308.000.000
Terlaksananya Pertemuan dengan Lembaga
terkait, Swasta, KTNA, Perhiptani, Komisi
Penyuluhan
Sumut 2 kali 60.000.000
Rencana Program dan Kegiatan Prioritas Tahun 2015 Bidang Ketahanan Pangan Lembar : 56 dari 74
SKPD
Jenis
Keg
Ket
Tolok Ukur Tolok Ukur 1/2/3 1/2/3 1/2/3
2 3 4 5 6 8 10 12 13 14 15 161 7 9 11
Target Target
Nomor
Urusan/Bidang Urusan Pemerintahan Daerah
Dan Program/Kegiatan
Prioritas
Daerah
Sasaran
Daerah
Lokasi
Indikator kinerja
Pagu
Indikatif
Prakiraan
Maju
Keterangan
Hasil Program
Keluaran
Kegiatan
Hasil Kegiatan
Target
Tersedianya Sarana dan Prasarana Penyuluhan Sumut 1 paket 700.000.000
Program Peningkatan Diversifikasi dan
Ketahanan Pangan Masyarakat
1.653.000.000
Pengembangan ketersediaan dan penanganan
Rawan Pangan (PDRP)
2 paket 2 paket 305.000.000
Pengembangan Sistem Distribusi dan Stabilitas
Harga Pangan
4
kelompo
k
4
kelompok
344.000.000
Pengembangan Penganekaragaman Konsumsi
pangan dan Peningkatan Keamanan Pangan
Segar
4 paket 4 paket 950.000.000
Dukungan Manajemen dan Teknis Lainnya Badan
Ketahanan Pangan
2 paket 2 paket 54.000.000
Program Pemberdayaan Penyuluhan
Pertanian/Perkebunan Lapangan
738.000.000
Penguatan Sistem Penyuluh Pertanian Padi
18
kelompo
k
18
kelompok
387.500.000
Penguatan Sistem Penyuluh Pertanian
Sapi/kerbau
3
kelompo
k
3
kelompok
161.000.000
Penguatan Sistem Penyuluh Pertanian Jagung
12
kelompo
k
12
kelompok
189.500.000
Rencana Program dan Kegiatan Prioritas Tahun 2015 Bidang Ketahanan Pangan Lembar : 57 dari 74
SKPD Jenis Keg Ket
Tolak
Ukur
Target
Tolak
Ukur
Target
Tolak
Ukur
Target 1/2/3 1/2/3 1/2/3
2 3 4 5 6 7 8 9 10 11 12 13 14 15 16
01 URUSAN WAJIB
01 22 BIDANG PEMBERDAYAAN MASYARAKAT DAN
DESA
18.995.130.000 11.173.630.000
6.060.500.000 2.845.000.000
P1
Program Pelayanan Administrasi Perkantoran 418.000.000 433.000.000
Penyediaan Jasa Surat Menyurat Padangsidimpuan
Terselenggaranya
Admininstrasi Perkantoran 100%
Terselenggaranya
Admininstrasi Perkantoran 100% 25.000.000 5.000.000 BPMD
Peny. Jasa Komunikasi, Sumber Daya Air dan
Listrik
Padangsidimpuan
Tersedianya Komunikasi,
SDA dan Listrik Kantor 100%
Tersedianya Komunikasi,
SDA dan Listrik Kantor 100% 36.000.000 50.000.000 BPMD
Penyediaan Jasa Kebersihan Kantor Padangsidimpuan
Tercapainya Kebersihan
Kantor 100%
Tercapainya Kebersihan
Kantor 100% 32.500.000 35.000.000 BPMD
Penyediaan ATK Padangsidimpuan
Tersedianya Alat Tulis
Kantor 100%
Tersedianya Alat Tulis
Kantor 100% 25.500.000 35.000.000 BPMD
Penyediaan Barang Cetakan dan Penggandaan Padangsidimpuan
Tersedianya Sarana dan
Prasarana Perkantoran 100%
Tersedianya Sarana dan
Prasarana Perkantoran 100% 30.000.000 35.000.000 BPMD
Penyediaan Makanan dan Minuman Padangsidimpuan
Tersedianya Makanan dan
Minuman Pegawai 100%
Tersedianya Makanan dan
Minuman Pegawai 100% 80.000.000 30.000.000 BPMD
penyediaan bahan bacaan dan peraturan perundang-undangan 18.500.000 19.000.000
Rapat Rapat Koordinasi dan Konsultasi dalam dan
Luar Daerah
Dalam dan Luar Kota
Psp
Terselenggaranya Perjalanan
Dinas 100%
Terselenggaranya Perjalanan
Dinas 100% 150.000.000 200.000.000 BPMD
Penyediaan jasa Keamanan Kantor Padangsidimpuan
Tercapainya Keamanan
Kantor 100%
Tercapainya Keamanan
Kantor 100% 20.500.000 24.000.000 BPMD
Program Peningkatan Sarana dan Prasarana
Aparatur
503.000.000 475.000.000
Pengadaan Peralatan Gedung Kantor Padangsidimpuan
Tersedianya Peralatan
Kantor 100%
Tersedianya Peralatan
Kantor 100% 210.000.000 250.000.000 BPMD
Pengadaan Perlengkapan Gedung Kantor Padangsidimpuan
Tersedianya Perlengkapan
Kantor 100%
Tersedianya Perlengkapan
Kantor 100% 60.000.000 15.000.000 BPMD
Pengadaan Mebileur Padangsidimpuan
Tersedianya Mebeleur Kantor
100%
Tersedianya Mebeleur Kantor
100% 36.000.000 30.000.000 BPMD
Pengadaan Pakaian Dinas Beserta Perlengkapan Padangsidimpuan
Tersdianya Pakaian Dinas
100%
Tersdianya Pakaian Dinas
100% 40.000.000 20.000.000 BPMD
Pengadaan Pakaian Khusus dan Hari hari tertentu Padangsidimpuan
Tersedianya Pakaian Hari
hari tertentu 100%
Tersedianya Pakaian Hari
hari tertentu 100% 20.000.000 30.000.000 BPMD
Pengadaan Peralatan Rumah Tangga Padangsidimpuan
Tersedianya Peralatan
Rumah tangga kantor 100%
Tersedianya Peralatan
Rumah tangga kantor 100% 40.000.000 15.000.000 BPMD
Pemeliharaan Rutin/ Berkala Gedung Kantor Padangsidimpuan
Terlaksananya Pemeliharaan
Gedung kantor 100%
Terlaksananya Pemeliharaan
Gedung kantor 100% 10.500.000 25.000.000 BPMD
Pemeliharaan Rutin/ Berkala Mobil Jabatan Padangsidimpuan
Terpeliharanya Kenderaan
Dinas Kantor 100%
Terpeliharanya Kenderaan
Dinas Kantor 100% 66.500.000 65.000.000 BPMD
Pemeliharaan Rutin/Berkala Peralatan Gedung
Kantor
Padangsidimpuan
Terpeliharanya Peralatan
Kantor 100%
Terpeliharanya Peralatan
Kantor 100% 20.000.000 25.000.000 BPMD
1
Rencana Program dan Kegiatan Prioritas Daerah Tahun 2015
Kota Padangsidimpuan
Nomor
Urusan/Bidang Urusan Pemerintahan Daerah
Dan Program/Kegiatan
Prioritas
Daerah
Sasaran
Daerah
Lokasi
Indikator kinerja
Pagu
Indikatif
Prakiraan
Maju
Keterangan
Hasil Program Keluaran Kegiatan Hasil Kegiatan
Rencana Program dan Kegiatan Prioritas Tahun 2015 Bidang Pemberdayaan Masyarakat Lembar : 58 dari 74
SKPD Jenis Keg Ket
Tolak
Ukur
Target
Tolak
Ukur
Target
Tolak
Ukur
Target 1/2/3 1/2/3 1/2/3
2 3 4 5 6 7 8 9 10 11 12 13 14 15 161
Nomor
Urusan/Bidang Urusan Pemerintahan Daerah
Dan Program/Kegiatan
Prioritas
Daerah
Sasaran
Daerah
Lokasi
Indikator kinerja
Pagu
Indikatif
Prakiraan
Maju
Keterangan
Hasil Program Keluaran Kegiatan Hasil Kegiatan
Program Peningkatan Kapasitas Sumber Daya
Aparatur
100.000.000 125.000.000
Bimbingan Tekhnis Implementasi Peraturan
Perundang undangan
Meningkatkan sumber daya
aparatur 1 Thn
Meningkatkan sumber daya
aparatur 1 Thn 50.000.000 75.000.000 BPMD
Penyusunan Laporan capaian kinerja dan ikhtisar
realisasi kinerja SKPD
Padangsidimpuan
Peningkatan Pengembangan
sistem Pelaporan capaian
kinerja dan Keuangan 1 Thn
Peningkatan Pengembangan
sistem Pelaporan capaian
kinerja dan Keuangan 1 Thn 50.000.000 50.000.000 BPMD
Program Peningkatan Keberdayaan masyarakat
pedesaan
2.048.000.000 895.000.000
Penyelenggaraan Diseminasi Informasi bagi
Masyarakat Desa
Padangsidimpuan
Termotifasinya Masyarakat
untuk meningkatkan
Keberdayaan dlm
membangun Desa
100%
Termotifasinya Masyarakat
untuk meningkatkan
Keberdayaan dlm
membangun Desa
100% 92.500.000 130.000.000 BPMD
Bimbingan Tekhnis BPD dalam tugas Di Desa 140.000.000
Sosialisasi 4 Pilar Kebangsaan Bagi Aparatur desa 130.000.000
bimbingan tekhnis Aparatur Pemerintah Desa 120.000.000
Sosialisasi pencegahan penggunaan Narkoba Bagi
Masyarakat Desa
140.000.000
Pelatihan dan Pemanfaatan TTG dalam
Ketrampilan Usaha/Industri Kerajinan
75.500.000
bimbingan tekhnis dan Fasilitasi UU No.6 Tentang
Desa dan Penyuluhan Peraturan Desa, RPJMDes,
dan RKP Desa
200.000.000
sosialisasi dan pelatihan LPM dalam Peningkatan
fungsi LPM
270.000.000
pelatihan pemanfaatan sumber daya alam
berbasis tekhnologi tepat guna (TTG)
115.000.000
Penyelenggaraan Diseminasi Informasi bagi
Masyarakat Desa
Padangsidimpuan
Termotifasinya Masyarakat
untuk meningkatkan
Keberdayaan dlm
membangun Desa
100%
Termotifasinya Masyarakat
untuk meningkatkan
Keberdayaan dlm
membangun Desa
100% 130.000.000 130.000.000 BPMD
Rencana Program dan Kegiatan Prioritas Tahun 2015 Bidang Pemberdayaan Masyarakat Lembar : 59 dari 74
SKPD Jenis Keg Ket
Tolak
Ukur
Target
Tolak
Ukur
Target
Tolak
Ukur
Target 1/2/3 1/2/3 1/2/3
2 3 4 5 6 7 8 9 10 11 12 13 14 15 161
Nomor
Urusan/Bidang Urusan Pemerintahan Daerah
Dan Program/Kegiatan
Prioritas
Daerah
Sasaran
Daerah
Lokasi
Indikator kinerja
Pagu
Indikatif
Prakiraan
Maju
Keterangan
Hasil Program Keluaran Kegiatan Hasil Kegiatan
Pengelolaan Sumber Daya Alam Berbasis TTG. 6 Kec
Terbentuknya Posyantek
hasil Revitalisasi. 100%
Terbentuknya Posyantek
hasil Revitalisasi. 100% 90.000.000 90.000.000 BPMD
Pasilitasi Pemilihan Kepala Desa 42 Desa
Terlaksananya Pemilihan
Kepala Desa 100%
Terlaksananya Pemilihan
Kepala Desa 100% 420.000.000 420.000.000 BPMD
Pelatihan Aparatur Desa dalam bidang Manajemen
Pemerintahan Desa
42 Desa
Termotifasinya Aparatur
Desa untuk meningkatkan
Pengetahuan dalam
Manajemen dan Pengelolaan
Keuangan Desa.
100%
Termotifasinya Aparatur
Desa untuk meningkatkan
Pengetahuan dalam
Manajemen dan Pengelolaan
Keuangan Desa.
100% 125.000.000 125.000.000 BPMD
Program Peningkatan partisipasi masyarakat
dalam membangun desa
1.415.500.000 375.000.000
Pencanangan dan Pelaksanaan Bulan Bahkti
Gotong Royong Masyarakat
Padngsidimpuan,
Provinsi dan Nasional
Termotisifasinya
keikutseraan Masyarakat
dalam melaksanakan
Gerakan Gotong Royong
Masyarakat
100%
Termotisifasinya
keikutseraan Masyarakat
dalam melaksanakan
Gerakan Gotong Royong
Masyarakat
100% 280.000.000 175.000.000 BPMD
Penunjang Bantuan Program Pemberdayaan Desa 135.500.000
Pemilihan Kepala Desa 480.000.000
Belanja Opersional Badan Permusyawaratan Desa 370.000.000
Distribusi ADD/ADK Padangsidimpuan
Terlaksananya
pembangunan desa dengan
keswadayaan masyarakat 100%
Terlaksananya
pembangunan desa dengan
keswadayaan masyarakat 100% 150.000.000 200.000.000 BPMD
Program Penyelenggaraan Disiminasi Informasi
Bagi masyarakat
319.500.000 335.000.000
Mengikuti Jambore TTG Tingkat Provinsi Provinsi
Meningkatkan Pemahaman
Aparat dan Masyrakat
tentang Pelastarian SDA dan
Pemanfaatan TTG
100%
Meningkatkan Pemahaman
Aparat dan Masyrakat
tentang Pelastarian SDA dan
Pemanfaatan TTG
100% 134.500.000 165.000.000 BPMD
Mengikuti Jambore TTG Tingkat Nasional Nasional
Meningkatkan Pemahaman
Aparat dan Masyrakat
tentang Pelastarian SDA dan
Pemanfaatan TTG
100%
Meningkatkan Pemahaman
Aparat dan Masyrakat
tentang Pelastarian SDA dan
Pemanfaatan TTG
100% 105.000.000 90.000.000 BPMD
Peningkatan Peran Serta Masyarakat dalam
Pemasyarakatan dan Pendayagunaan TTG
Padangsidimpuan
Terbentuknya Posyantek
hasil Revitalisasi. 100%
Terbentuknya Posyantek
hasil Revitalisasi. 100% 80.000.000 80.000.000 BPMD
Program Peningkatan Pemberdayaan
Perempuan
1.256.500.000 207.000.000
Rencana Program dan Kegiatan Prioritas Tahun 2015 Bidang Pemberdayaan Masyarakat Lembar : 60 dari 74
SKPD Jenis Keg Ket
Tolak
Ukur
Target
Tolak
Ukur
Target
Tolak
Ukur
Target 1/2/3 1/2/3 1/2/3
2 3 4 5 6 7 8 9 10 11 12 13 14 15 161
Nomor
Urusan/Bidang Urusan Pemerintahan Daerah
Dan Program/Kegiatan
Prioritas
Daerah
Sasaran
Daerah
Lokasi
Indikator kinerja
Pagu
Indikatif
Prakiraan
Maju
Keterangan
Hasil Program Keluaran Kegiatan Hasil Kegiatan
pelatihan Perempuan Diperdesaaan dalam bidang
usaha Ekonomi Produktif
140.000.000
sosialisasi dan Pelatihan Peningkatan Partisipasi
PKK dalam Pembangunan desa/Kelurahan
127.500.000
sosialisasi dan Revitalisasi Posyandu 248.000.000
Monitoring dan penilaian Desa Binaan PT.P2W-
KSS
34.500.000
penunjang kegiatan TP. PKK Kota
Padangsidimpuan
342.500.000
Monitoring dan Penilaian Desa Percontohan 10
program pokok PKK
87.000.000
bimbingan dan Pelatihan Informasi Manajemen
PKK
70.000.000
Pembinaan Desa/ Kel/ PTP2WKSS/PKK
Percontohan dan Daerah Menuju Wisata
Padangsidimpuan
Meningkatnya Keikutsertaan
Perempuan Perdesaan dalam
Pembangunan
Desa/Kelurahan 100%
Meningkatnya Keikutsertaan
Perempuan Perdesaan dalam
Pembangunan
Desa/Kelurahan 100% 207.000.000 207.000.000 BPMD
12.934.630.000 8.328.630.000 P2
Program Peningkatan Sarana dan Prasarana
Aparatur
56.000.000 250.000.000
Pengadaan Peralatan Gedung Kantor Padangsidimpuan
Tersedianya Peralatan
Kantor 100%
Tersedianya Peralatan
Kantor 100% 56.000.000 250.000.000 BPMD
Program Peningkatan Kapasitas Sumber Daya
Aparatur
300.000.000 100.000.000
Studi banding ke Luar Daearah Padangsidimpuan
Meningkatkan Sumber Daya
Aparatur 1 Thn
Meningkatkan Sumber Daya
Aparatur 1 Thn 200.000.000 50.000.000 BPMD
Penyusunan Laporan capaian kinerja dan ikhtisar
realisasi kinerja SKPD
Padangsidimpuan
Peningkatan Pengembangan
sistem Pelaporan capaian
kinerja dan Keuangan 1 Thn
Peningkatan Pengembangan
sistem Pelaporan capaian
kinerja dan Keuangan 1 Thn 100.000.000 50.000.000 BPMD
Program Peningkatan Keberdayaan Masyarakat
Pedesaan
3.795.000.000 3.795.000.000
Penyusunan Legislasi Daerah Padangsidimpuan
Terlaksananya Penyusunan
Peraturan Daerah Tentang
Desa/Kel 100%
Terlaksananya Penyusunan
Peraturan Daerah Tentang
Desa/Kel 100% 100.000.000 100.000.000 BPMD
Bantuan Operasional Lembaga dan Organisasi
Masyarakat Desa/Kel
79 Des/Kel
Meningkatkatkan Peran
Lembaga sbg Mitra dalam
pembangunan Desa/Kel
100%
Meningkatkatkan Peran
Lembaga sbg Mitra dalam
pembangunan Desa/Kel
100% 790.000.000 790.000.000 BPMD
Pasilitasi Penyusunan RPJM Desa dan RKP Desa 42 desa
Tersedianya RPJM Desa dan
RKP Desa yang terarah 100%
Tersedianya RPJM Desa dan
RKP Desa yang terarah 100% 150.000.000 150.000.000 BPMD
Pengelolaan Sumber Daya Alam Berbasis TTG. 6 Kec
Terbentuknya Posyantek
hasil Revitalisasi. 100%
Terbentuknya Posyantek
hasil Revitalisasi. 100% 90.000.000 90.000.000 BPMD
Penyelenggaraan Pendidikan dan Pelatihan
Tekhnis Masyarakat (Kader Pemberdayaan
Masyarakat)
Padangsidimpuan
Termotifasinya Masyarakat
untuk meningkatkan
Keberdayaan dlm
membangun Desa
100%
Termotifasinya Masyarakat
untuk meningkatkan
Keberdayaan dlm
membangun Desa
100% 135.000.000 135.000.000 BPMD
Pembinaan Admininstrasi Pemerintah Desa 42 Desa
Terlaksananya Administrasi
Pemerintahan Desa 100%
Terlaksananya Administrasi
Pemerintahan Desa 100% 280.000.000 280.000.000 BPMD
Rencana Program dan Kegiatan Prioritas Tahun 2015 Bidang Pemberdayaan Masyarakat Lembar : 61 dari 74
SKPD Jenis Keg Ket
Tolak
Ukur
Target
Tolak
Ukur
Target
Tolak
Ukur
Target 1/2/3 1/2/3 1/2/3
2 3 4 5 6 7 8 9 10 11 12 13 14 15 161
Nomor
Urusan/Bidang Urusan Pemerintahan Daerah
Dan Program/Kegiatan
Prioritas
Daerah
Sasaran
Daerah
Lokasi
Indikator kinerja
Pagu
Indikatif
Prakiraan
Maju
Keterangan
Hasil Program Keluaran Kegiatan Hasil Kegiatan
Pasilitasi Peningkatan Desa Menjadi Kelurahan 10 Desa
Termotifasinya keswadayaan
masyarakat Pembangunan
Desa
100%
Termotifasinya keswadayaan
masyarakat Pembangunan
Desa
100% 2.250.000.000 2.250.000.000 BPMD
Program Peningkatan Partisipasi Masyarakat
Dalam Membangun Desa
8.703.630.000 4.103.630.000
Pembangunan Kantor Kepala Desa 29 Desa
Terlaksananya sarana dan
prasarana pemerintah desa 100% 100% 4.600.000.000 BPMD
Bantuan Keuangan Bagi Pemerintah Desa 42 desa
Pembangunan desa dengan
keswadayaan masyarakat 100% 100% 2.100.000.000 2.100.000.000 BPMD
Pelaksanaan Perlombaan Desa dan Perlombaan
Kelurahan
Padangsidimpuan
Termotifasinya
Keikutbsertaan Masyarakat
dalam Pembangunan Desa. 100%
Termotifasinya
Keikutbsertaan Masyarakat
dalam Pembangunan Desa. 100% 130.000.000 130.000.000 BPMD
Penyusunan Profil Desa dan Kelurahan Padangsidimpuan
Terlaksananya Program dlm
Penyusunan Profil di 6
Kecamatan
100%
Terlaksananya Program dlm
Penyusunan Profil di 6
Kecamatan
100% 1.873.630.000 1.873.630.000 BPMD
Program Penyelenggaraan Disiminasi Informasi
Bagi Masyarakat
80.000.000 80.000.000
Peningkatan Peran Serta Masyarakat dalam
Pemasyarakatan dan Pendayagunaan TTG
Padangsidimpuan
Terbentuknya Posyantek
hasil Revitalisasi. 100%
Terbentuknya Posyantek
hasil Revitalisasi. 100% 80.000.000 80.000.000 BPMD
Rencana Program dan Kegiatan Prioritas Tahun 2015 Bidang Pemberdayaan Masyarakat Lembar : 62 dari 74
SKPD
Jenis
Keg
Ket
Tolok Ukur Tolok Ukur Tolok Ukur 1/2/3 1/2/3 1/2/3
2 3 4 5 6 8 10 12 13 14 15 16
01 URUSAN WAJIB
01 25
BIDANG KOMUNIKASI DAN INFORMATIKA 352.560.000 375.416.000
257.560.000 270.916.000 P1
Program Pengembangan Komunikasi, Informasi
dan Media Massa
194.000.000 203.000.000
Pembinaan dan Pengembangan Sumber daya
Komunikasi dan Informasi
30.000.000 33.000.000
DISHUB
Pengadaan alat studio dan komunikasi 8.000.000 10.000.000
DISHUB
Pengkajian dan Pengembangan Sistem Informasi 58.000.000 60.000.000
DISHUB
Perencanaan dan Pengembangan kebijakan
komunikasi dan informasi
98.000.000 100.000.000
DISHUB
Program Kerjasama Informasi Dengan Mass
Media
63.560.000 67.916.000
Penyebarluasan Informasi yang Barsifat
Penyuluhan Bagi Masyarakat
DISHUB Informasi yang Tersampaikan
Kepada Masyarakat
100
Penyebarluasan Informasi
100
Informasi yang Tersampaikan
Kepada Masyarakat
100
23.560.000 25.916.000 DISHUB
Penyebarluasan Informasi pembangunan daerah
DISHUB 40.000.000 42.000.000 DISHUB
95.000.000 104.500.000 P2
Program Fasilitas Peningkatan SDM Bidang
Komunikasi dan Informasi
95.000.000 104.500.000
Pementasan Media Tradisional Dalam Bidang
Komunikasi dan Informasi se Sumatera Utara
DISHUB Mempromosikan Budaya
Tradisional
100 Mengikuti Pementasan Budaya 100 Mempromosikan Budaya
Tradisional
100 30.000.000 33.000.000 DISHUB
Pelatihan SDM Dalam Bidang Komunikasi dan
Informasi
DISHUB Peningkatan SDM
100
Kursus-kursus
100
Peningkatan SDM
100
40.000.000 44.000.000 DISHUB
Mengikuti Pementasan Media Tradisional Dalam
Bidang Komunikasi dan Informasi se Sumatera
Utara
DISHUB Mempromosikan budaya daerah Mengikuti pementasan budaya
tradisional
Mempromosikan budaya daerah 25.000.000 27.500.000 DISHUB
Rencana Program dan Kegiatan Prioritas Daerah Tahun 2015
Kota Padangsidimpuan
Nomor
Urusan/Bidang Urusan Pemerintahan Daerah
Dan Program/Kegiatan
Prioritas
Daerah
Sasaran
Daerah
Lokasi
Indikator kinerja
Pagu
Indikatif
(Rp)
Keterangan
Hasil Program
Keluaran
Kegiatan
Hasil Kegiatan
Target Target
Prakiraan
Maju
(Rp)
Target
1 7 9 11
Rencana Program dan Kegiatan Prioritas Tahun 2015 Bidang Informatika Lembar : 63 dari 74
SKPD Jenis Keg Ket
Tolok Ukur Tolok Ukur Tolok Ukur 1/2/3 1/2/3 1/2/3
2 3 4 5 6 8 10 12 13 14 15 16
02
URUSAN PILIHAN
02 01 BIDANG PERTANIAN 13.219.625.000 3.314.500.000
4.297.500.000 1.914.500.000 P1
Program Pelayanan Administrasi Perkantoran 1.119.500.000 1.169.500.000
Penyediaan Jasa Komunikasi, Sumberdaya Air
dan Listrik
Padangsidimpuan
Dimanfaatkannya telepon,
air dan listrik
Dimanfaatkannya telepon,
air dan listrik
40.000.000 40.000.000 Dinas P2KD
Penyediaan Jasa Pemeliharaan dan Perizinan
Kendaraan Dinas/Operasional
Padangsidimpuan
Dimanfaatkannya
kendaraan dinas untuk
tugas kedinasan
Dimanfaatkannya
kendaraan dinas untuk
tugas kedinasan
21.000.000 23.000.000 Dinas P2KD
Penyediaan Jasa Kebersihan Kantor Padangsidimpuan Lingkungan Kantor Besih Lingkungan Kantor Besih 62.000.000 65.000.000 Dinas P2KD
Penyediaan Jasa Perbaikan Peralatan Kantor Padangsidimpuan
Dimanfaatkannya peralatan
untuk tugas kedinasan
Dimanfaatkannya peralatan
untuk tugas kedinasan
21.000.000 25.000.000 Dinas P2KD
Penyediaan ATK Padangsidimpuan
Dimanfaatkannya ATK
untuk tugas kedinasan
Dimanfaatkannya ATK
untuk tugas kedinasan
70.000.000 65.000.000 Dinas P2KD
Penyediaan Barang Cetakan dan Penggandaan Padangsidimpuan
Dimanfaatkannya barang
cetakan dan penggandaan
Dimanfaatkannya barang
cetakan dan penggandaan
22.000.000 25.000.000 Dinas P2KD
Penyediaan Komponen Instalasi
Listrik/Penerangan Bangunan Kantor
Padangsidimpuan
Listrik berfungsi dengan
baik
Listrik berfungsi dengan
baik
16.000.000 18.000.000 Dinas P2KD
Penyediaan Peralatan dan Perlengkapan Kantor Padangsidimpuan
Dimanfaatkannya peralatan
dan perlengkapan kantor
untuk tugas kedinasan
berupa Laptop dan
Komputer,Printer,Filling
Kabinet, mini brankas dan
Gorden)
Dimanfaatkannya peralatan
dan perlengkapan kantor
untuk tugas kedinasan
berupa Laptop dan
Komputer,Printer,Filling
Kabinet, mini brankas dan
Gorden)
53.000.000 55.000.000 Dinas P2KD
Penyediaan peralatan rumah tangga Padangsidimpuan 32.000.000 35.000.000 Dinas P2KD
Penyediaan Bahan Bacaan dan Peraturan
Perundang-undangan
Padangsidimpuan
Dimanfaatkannya informasi
dari bahan bacaan dan
peraturan perundang-
undangan untuk
menambah pengetahuan
aparatur
Dimanfaatkannya informasi
dari bahan bacaan dan
peraturan perundang-
undangan untuk menambah
pengetahuan aparatur
17.500.000 20.000.000 Dinas P2KD
Penyediaan Makanan dan Minuman Padangsidimpuan
Dibayarkannya uang
makan pegawai
Dibayarkannya uang makan
pegawai
150.000.000 160.000.000 Dinas P2KD
Rapat-rapat Koordinasi dan Konsultasi ke Luar
Daerah
Padangsidimpuan
Dipedomaninya notulen
rapat koordinasi dan
konsultasi
Dipedomaninya notulen
rapat koordinasi dan
konsultasi
500.000.000 520.000.000 Dinas P2KD
Rapat-rapat Koordinasi dan Konsultasi ke dalam
Daerah
Padangsidimpuan
Dipedomaninya notulen
rapat koordinasi dan
konsultasi
Dipedomaninya notulen
rapat koordinasi dan
konsultasi
18.000.000 18.500.000 Dinas P2KD
Penyediaan jasa administrasi perknatoran Padangsidimpuan 35.000.000 37.000.000 Dinas P2KD
Rencana Program dan Kegiatan Prioritas Daerah Tahun 2015
Kota Padangsidimpuan
Nomor
Urusan/Bidang Urusan Pemerintahan Daerah
Dan Program/Kegiatan
Prioritas
Daerah
Sasaran
Daerah
Lokasi
Indikator kinerja
Pagu
Indikatif
Prakiraan
Maju
Keterangan
Hasil Program
Keluaran
Kegiatan
Hasil Kegiatan
Target Target Target
1 7 9 11
Rencana Program dan Kegiatan Prioritas Tahun 2015 Bidang Pertanian Lembar : 64 dari 74
2 3 4 5 6 8 10 12 13 14 15 161 7 9 11
Penyediaan jasa keamanan kantor Padangsidimpuan 62.000.000 63.000.000 Dinas P2KD
Program Peningkatan Sarana dan Prasarana
Aparatur
334.000.000 344.500.000
Pemeliharaan Rutin/Berkala Mobil jabatan Padangsidimpuan
Berfungsinya dengan baik
kendaraan
dinas/operasional untuk
tugas kedinasan
Berfungsinya dengan baik
kendaraan
dinas/operasional untuk
tugas kedinasan
40.000.000 42.000.000 Dinas P2KD
Pemeliharaan rutin/berkala gedung kantor Padangsidimpuan 203.000.000 205.000.000 Dinas P2KD
Pemeliharaan rutin/berkala perelengkapan
gedung kantor
Padangsidimpuan 20.000.000 23.000.000 Dinas P2KD
Pemeliharaan rutin/berkala mobiler Padangsidimpuan 4.000.000 4.500.000 Dinas P2KD
Pemeliharaan Rutin/Berkala Kenderaan dinas
operasional
Padangsidimpuan
Berfungsinya dengan baik
kendaraan
dinas/operasional untuk
tugas kedinasan
Berfungsinya dengan baik
kendaraan
dinas/operasional untuk
tugas kedinasan
67.000.000 70.000.000 Dinas P2KD
Program Peningkatan Kapasitas Sumberdaya
Aparatur
30.000.000 40.000.000
Pendidikan dan Pelatihan Formal Padangsidimpuan
Peningkatan pengetahuan
aparatur
Peningkatan pengetahuan
aparatur
30.000.000 40.000.000 Dinas P2KD
Program Peningkatan Disiplin Aparatur 66.000.000 67.000.000
Pengadaan Pakaian Dinas beserta
perlengkapannya
Padangsidimpuan
Meningkatnya disiplin
aparatur
Meningkatnya disiplin
aparatur
35.000.000 35.000.000 Dinas P2KD
Pengadaan Pakaian Khusus Hari-hari Tertentu Padangsidimpuan
Meningkatnya disiplin
aparatur
Meningkatnya disiplin
aparatur
31.000.000 32.000.000 Dinas P2KD
Program Peningkatan Sistem Pelaporan
Capaian Kinerja dan Keuangan
36.000.000 32.500.000
Penyusunan laporan capaian kinerja dan
Ikhtisar realisasi kinerja SKPD
Padangsidimpuan
Dimanfaatkannya informasi
dalam laporan
Dimanfaatkannya informasi
dalam laporan
14.000.000 10.000.000 Dinas P2KD
Penyusunan laporan prognosis realisasi
anggaran
Padangsidimpuan
Dimanfaatkannya informasi
dalam laporan
Dimanfaatkannya informasi
dalam laporan
22.000.000 22.500.000 Dinas P2KD
Program Peningkatan Pemasaran Hasil
Produksi Pertanian/ Perkebunan
64.000.000 66.000.000
Promosi atas hasil Produksi
pertanian/Perkebunan unggulan daerah
64.000.000 66.000.000 Dinas P2KD
Program Peningkatan Produksi Pertanian/
Perkebunan
2.455.000.000 -
Pengembangan Bibit Unggul
pertanian/perkebunan
43.000.000 Dinas P2KD
Penyediaan sarana produksi perkebunan 42.000.000 Dinas P2KD
Penyediaan sarana produksi
pertanian/perkebunan
Padangsidimpuan
Tersedianya sarana dan
prasarana
pertanian/perkebunan
Tersedianya sarana dan
prasarana
pertanian/perkebunan
2.370.000.000 Dinas P2KD
Program Peningkatan Kesejahteraan Petani 37.000.000 40.000.000
Peningkatan kemampuan lembaga petani Padangsidimpuan
Meningkatnya keterampilan
petani
Meningkatnya keterampilan
petani
37.000.000 40.000.000 Dinas P2KD
Program Peningkatan Produksi Hasil
Peternakan
83.000.000 85.000.000
Rencana Program dan Kegiatan Prioritas Tahun 2015 Bidang Pertanian Lembar : 65 dari 74
2 3 4 5 6 8 10 12 13 14 15 161 7 9 11
Pendistribusian bibit ternak kepada masyarakat 83.000.000 85.000.000 Dinas P2KD
Program Pencegahan dan Penanggulangan
Penyakit Ternak
73.000.000 70.000.000
Pemeliharaan Kesehatan dan Pencegahan
Penyakit Menular Ternak
Padangsidimpuan
Berkurangnya populasi
ternak yang terkena
penyakit menular
Berkurangnya populasi
ternak yang terkena
penyakit menular
73.000.000 70.000.000 Dinas P2KD
8.922.125.000 1.400.000.000 P2
Program Pelayanan Administrasi Perkantoran 50.000.000 50.000.000
Penyediaan Jasa Peralatan dan Perlengkapan
Kantor
Padangsidimpuan
Dimanfaatkannya peralatan
dan perlengkapan kantor
Dimanfaatkannya peralatan
dan perlengkapan kantor
50.000.000 50.000.000 Dinas P2KD
Program Peningkatan Sarana dan Prasarana
Aparatur
268.125.000 290.000.000
Rehab Sedang/Berat Gedung Kantor Padangsidimpuan
Terlaksananya dengan baik
Pemasangan Keramik
Kantor seluas ± 138 M2
(Ruang Kerja dan Musholla)
Terlaksananya dengan baik
Pemasangan Keramik
Kantor seluas ± 138 M2
(Ruang Kerja dan Musholla)
43.125.000 50.000.000 Dinas P2KD
Balai Benih Ikan Padangsidimpuan
Dimanfaatkannya alat dan
bahan operasional Balai
Benih Ikan
Dimanfaatkannya alat dan
bahan operasional Balai
Benih Ikan
75.000.000 80.000.000 Dinas P2KD
Balai Kesehatan Hewan dan Inseminasi Buatan Padangsidimpuan
Dimanfaatkannya alat dan
bahan operasional Balai
Kesehatan Hewan dan
Inseminasi Buatan
Dimanfaatkannya alat dan
bahan operasional Balai
Kesehatan Hewan dan
Inseminasi Buatan
75.000.000 80.000.000 Dinas P2KD
Balai Benih Induk Hortikultura Padangsidimpuan
Dimanfaatkannya alat dan
bahan operasional Balai
Benih Induk Hortikultura
Dimanfaatkannya alat dan
bahan operasional Balai
Benih Induk Hortikultura
75.000.000 80.000.000 Dinas P2KD
Program Peningkatan Sistem Pelaporan
Capaian Kinerja dan Keuangan
4.000.000 10.000.000
Penyusunan pelaporan keuangan akhir tahun Padangsidimpuan
Dimanfaatkannya informasi
dalam laporan
Dimanfaatkannya informasi
dalam laporan
4.000.000 10.000.000 Dinas P2KD
Program Peningkatan Produktivitas
Pertanian/Perkebunan
350.000.000 700.000.000
Bantuan benih,pupuk dan obat-obatan kepada
masyarakat
Padangsidimpuan
Dimanfaatkannya sarana
dan prasarana teknologi
pertanian tepat guna
Dimanfaatkannya sarana
dan prasarana teknologi
pertanian tepat guna
350.000.000 700.000.000 Dinas P2KD
Program Peningkatan Kesejahteraan Petani 200.000.000 300.000.000
Pelatihan petani dan pelaku agribisnis Padangsidimpuan
Meningkatnya keterampilan
petani
Meningkatnya keterampilan
petani
100.000.000 200.000.000 Dinas P2KD
Program Peningkatan Produksi Peternakan 100.000.000 100.000.000
Kegiatan penyuluhan penerapan teknologi
peternakan tepat guna
Padangsidimpuan
Dimanfaatkannya sarana
dan prasarana teknologi
peternakan tepat guna
Dimanfaatkannya sarana
dan prasarana teknologi
peternakan tepat guna
100.000.000 100.000.000 Dinas P2KD
Program Peningkatan Produksi Peternakan 950.000.000
Pengembangan Budidaya Unggas Lokal ( itik) di
Pedesaan
Padangsidimpuan
Peningkatan Produksi dan
produktifitas peternakan
unggas (itik) di Kota
Padangsidimpuan
100 ekor 150.000.000 Dinas P2KD
Pengembangan Budidaya Sapi potong Padangsidimpuan
Peningkatan Produksi dan
produktifitas peternakan
sapi potong di Kota
Padangsidimpuan
20 ekor 300.000.000 Dinas P2KD
Rencana Program dan Kegiatan Prioritas Tahun 2015 Bidang Pertanian Lembar : 66 dari 74
2 3 4 5 6 8 10 12 13 14 15 161 7 9 11
Pengembangan Budidaya ternak kambing Padangsidimpuan
Peningkatan Produksi dan
produktifitas peternakan
kambing di Kota
Padangsidimpuan
60 ekor 300.000.000 Dinas P2KD
Pengadaan mesin penetas telur Padangsidimpuan
Peningkatan Produksi dan
produktifitas peternakan
unggas di Kota
Padangsidimpuan
25 unit 50.000.000 Dinas P2KD
Pengadaan peralatan inseminasi buatan Padangsidimpuan
Peningkatan Produksi dan
produktifitas ternak besar
di Kota Padangsidimpuan
1 paket 150.000.000 Dinas P2KD
Program Peningkatan Produksi
Pertanian/Perkebunan
1.520.000.000
Penyediaan Sarana Produksi
Pertanian/Perkebunan
750.000.000 Dinas P2KD
Pembangunan/ Rehabilitasi Jaringan Irigasi
Desa
Peningkatan sarana
prasarana pertanian
700.000.000 Dinas P2KD
Optimalisasi Lahan Pertanian Tanaman Pangan
Peningkatan sarana
prasarana pertanian
70.000.000 Dinas P2KD
Program Peningkatan Produksi Tanaman
Pangan
80.000.000
Pengembangan Penangkar Benih (Benih Padi)
Peningkatan
Produksi,produktifitas dan
daya saing produk
10 Ha 80.000.000 Dinas P2KD
Program Pengembangan Teknologi Pertanian 5.300.000.000
Pengembangan Jalan Pertanian
Peningkatan
Produksi,produktifitas dan
daya saing produk
pertanian, kelautan dan
perikanan
2000 m 600.000.000 Dinas P2KD
Optimalisasi Lahan
Peningkatan
Produksi,produktifitas dan
daya saing produk
pertanian, kelautan dan
perikanan
700 Ha 2.100.000.000 Dinas P2KD
Pengembangan/Rehabilitasi Jaringan Irigasi
Peningkatan
Produksi,produktifitas dan
daya saing produk
pertanian, kelautan dan
perikanan
2000Ha 2.600.000.000 Dinas P2KD
Program Pengembangan Agribisnis 150.000.000
Pengadaan alat mesin sarana paska panen
(power treser)
Peningkatan
Produksi,produktifitas dan
daya saing produk
pertanian, kelautan dan
perikanan
10 unit 150.000.000 Dinas P2KD
Rencana Program dan Kegiatan Prioritas Tahun 2015 Bidang Pertanian Lembar : 67 dari 74
SKPD Jenis Keg Ket
Tolok Ukur Tolok Ukur 1/2/3 1/2/3 1/2/3
2 3 4 5 6 8 10 12 13 14 15 16
02 URUSAN PILIHAN
02 02 BIDANG KEHUTANAN 2.420.000.000 850.000.000
1.630.000.000 350.000.000 P1
Program Perlindungan dan Konservasi Sumber
Daya Hutan
100.000.000 150.000.000
Penyuluhan kesadaran masyarakat mengenai
dampak kerusakan hutan
Padangsidimpuan Meningkatnya
kesadaran
masyarakat
Meningkatnya
kesadaran masyarakat
100.000.000 150.000.000 Dinas P2KD
Program Rehabilitasi Hutan dan Lahan 1.530.000.000 200.000.000
Pengadaan sarana dan prasarana rehabilitasi
hutan dan lahan
550.000.000 Dinas P2KD
Pembuatan DAM pengendali 350.000.000 Dinas P2KD
Penghijaun lingkungan 350.000.000 Dinas P2KD
Pembuatan kebun bibit desa 160.000.000 Dinas P2KD
Peningkatan Peran Serta Masyarakat dalam
Rehabilitasi Hutan dan Lahan
Padangsidimpuan Berkurangnya
lahan kritis
Berkurangnya lahan
kritis
120.000.000 200.000.000 Dinas P2KD
790.000.000 500.000.000 P2
Program Rehabilitasi Hutan dan Lahan 490.000.000 300.000.000
Peningkatan Peran serta masyarakat dalam
rehabilitasi hutan dan lahan
Padangsidimpuan
Berkurangya lahan
kritis
370.000.000 300.000.000 Dinas P2KD
Penanaman Pohon dan Gerakan Kebersihan
Lingkungan pada Peringatan Hari-hari Besar
Nasional
120.000.000
Dinas P2KD
Program Perlindungan dan Konservasi Sumber
Daya Hutan
300.000.000 200.000.000
Penyuluhan Kesadaran masyarakat mengenai
dampak kerusakan hutan
Padangsidimpuan
Meningkatnya
kelestarian hutan
250.000.000 200.000.000 Dinas P2KD
Koordinasi Penyelenggaraan Reboisasi dan
Penghijauan Hutan 50.000.000
Dinas P2KD
Rencana Program dan Kegiatan Prioritas Daerah Tahun 2015
Kota Padangsidimpuan
Nomor
Urusan/Bidang Urusan Pemerintahan Daerah
Dan Program/Kegiatan
Prioritas
Daerah
Sasaran
Daerah
Lokasi
Indikator kinerja
Pagu
Indikatif
Keterangan
Hasil Program
Keluaran
Kegiatan
Hasil Kegiatan
Target Target
Prakiraan
Maju
Target
1 7 9 11
Rencana Program dan Kegiatan Prioritas Tahun 2015 Bidang Kehutanan Lembar : 68 dari 74
SKPD Jenis Keg Ket
Tolok Ukur Tolok Ukur 1/2/3 1/2/3 1/2/3
2 3 4 5 6 8 10 12 13 14 15 16
02 URUSAN PILIHAN
02 05 BIDANG KELAUTAN DAN PERIKANAN 8.006.000.000 1.758.000.000
2.756.000.000 1.758.000.000 P1
Program Pengembangan Budidaya Perikanan 2.756.000.000 1.758.000.000
Pengembangan Bibit Ikan Unggul 56.000.000 58.000.000 Dinas P2KD
Pembinaan dan Pengembangan Perikanan Padangsidimpuan Meningkatnya produksi
perikanan
Meningkatnya produksi
perikanan
2.700.000.000 1.700.000.000 Dinas P2KD
5.250.000.000 P2
Program Pengembangan Budidaya Perikanan
5.250.000.000
Pengadaan benih ikan patin dan gurame unggul BBI
Peningkatan kualitas benih
1 paket 200.000.000 Dinas P2KD
Pengadaan calon induk unggul Padangsidimpuan
Peningkatan kualitas induk
1 paket 100.000.000 Dinas P2KD
Peningkatan sarana dan prasarana penunjang
usaha budidaya air tawar (pengadaan kenderaan
roda 3 untuk BBI dan UPR )
Padangsidimpuan
Meningkatnya produksi
perikanan budidaya dan
pendapatan pembudidaya
5 unit 250.000.000 Dinas P2KD
Pengadaan pakan ikan Padangsidimpuan
Peningkatan produksi ikan
1 paket 100.000.000 Dinas P2KD
Pengadaan benih ikan lubuk larangan (restocking) Padangsidimpuan
Terpeliharanya ekosistem
perairan umum
20 lokasi 100.000.000 Dinas P2KD
Penyediaan Induk /calon induk dan pakan
Padangsidimpuan
Peningkatan kualitas benih
ikan
50 petani
ikan
250.000.000
Dinas P2KD
Pengadaan Peralatan BBI/ UPR/ HCRT
Padangsidimpuan
Tersedianya peralatan
1 BBI,10
UPR,
200.000.000
Dinas P2KD
Pengembangan sarana dan prasarana Balai Benih
Ikan
Padangsidimpuan
Peningkatan produksi
perikanan
1 kegiatan 500.000.000
Dinas P2KD
Pengembangan Perbenihan Rakyat (HCRT)
Padangsidimpuan
Bertambahnya peluang
usaha rumah tangga
20 RT 1.500.000.000
Dinas P2KD
Rehabilitasi kolam rakyat
Padangsidimpuan
Peningkatan kualitas kolam
15 unit
kolam
450.000.000
Dinas P2KD
Pegembangan kelompok pembudidaya ikan ( pmuk )
Padangsidimpuan
20 kel 400.000.000
Dinas P2KD
Pengadaan peralatan untuk pembudidaya ikan (
pmuk )
Padangsidimpuan
Tersedianya peralatan 18 kel 300.000.000
Dinas P2KD
Pengembangan usaha mina pedesaan perikanan
budidaya
Padangsidimpuan Meningkatnya diversifikasi
usaha pedesaan
5 kel 900.000.000
Dinas P2KD
Rencana Program dan Kegiatan Prioritas Daerah Tahun 2015
Kota Padangsidimpuan
Nomor
Urusan/Bidang Urusan Pemerintahan Daerah
Dan Program/Kegiatan
Prioritas
Daerah
Sasaran
Daerah
Lokasi
Indikator kinerja
Pagu
Indikatif
Keterangan
Hasil Program
Keluaran
Kegiatan
Hasil Kegiatan
Target Target
Prakiraan
Maju
Target
1 7 9 11
Rencana Program dan Kegiatan Prioritas Tahun 2015 Bidang Perikanan Lembar : 69 dari 74
SKPD Jenis Keg Ket
Tolok Ukur Tolok Ukur 1/2/3 1/2/3 1/2/3
2 3 4 5 6 8 10 12 13 14 15 16
02 URUSAN PILIHAN
02 06 BIDANG PERDAGANGAN 2.145.478.000 835.000.000
665.000.000 200.000.000 P1
Program Perlindungan Konsumen
dan Pengamanan Perdagangan
55.000.000 85.000.000
Peningkatan Pengawasan Peredaran
Barang dan jasa
Terlindunginya Pelaku
Usahan dan Konsumen
1 Thn
Terlaksananya Pengawasan
Barang dan Jas
1 Thn
Terlindunginya Pelaku
Usahan dan Konsumen
1 Thn 55.000.000 85.000.000
Diskop, UKM,
Perindag &
Pasar
Program Peningkatan Efesiensi
Perdagangan Dalam Negeri
610.000.000 115.000.000
Pengembangan Pasar dan Distributor
Barang/Produk
1 Thn 1 Thn 1 Thn 26.000.000 30.000.000
Diskop, UKM,
Perindag &
Pasar
Pengembangan kelembagaan
kerjasama kemitraan
1 Thn 1 Thn 1 Thn 23.000.000 25.000.000
Diskop, UKM,
Perindag &
Pasar
Peningkatan Sistem Jaringan Informasi
Perdagangan
Tersedianya Data sebagai
bahan kebijakan dalam
membuat suatu keputusan
1 Thn
Terlaksananya Pendataan
dan Evaluasi Perkembangan
Harga Pokok dan Strategis
lainnya
1 Thn
Tersedianya Data sebagai
bahan kebijakan dalam
membuat suatu keputusan
1 Thn 40.000.000 60.000.000
Diskop, UKM,
Perindag &
Pasar
Fasilitasi peningkatan pelyanan
pasar/sarana pendukung pasar
lainnya
1 Thn 1 Thn 1 Thn 415.000.000
Diskop, UKM,
Perindag &
Pasar
Pendataan dan Penetapan Retribusi 1 Thn 1 Thn 1 Thn 90.000.000
Diskop, UKM,
Perindag &
Pasar
Penyusunan dan pengajuan ranperda
menjadi perda
1 Thn 1 Thn 1 Thn 16.000.000
Diskop, UKM,
Perindag &
Pasar
1.480.478.000 635.000.000
P2
Program Peningkatan Efisiensi
Perdagangan
300.000.000
Bantuan Peralatan Tenda Bagi
Pedagang Kaki Lima
Pasar tradisional
Pijorkoling,Sitamiang,Hutaimbaru,L
osung Batu
Meningkatkan Kebersihan
Pasar
120 paket 120 paket 120 paket 300.000.000
Diskop, UKM,
Perindag &
Pasar
Program Peningkatan Efisiensi
Perdagangan Dalam Negeri
950.478.000 360.000.000
Rehabilitasi/Peningkatan Sarana dan
Prsarana Pasar Tradisional Dalihan
Natolu
Kel. Sadabuan Psp Utara Peningkatan kualitas/ s
1
paket
350.000.000
Diskop, UKM,
Perindag &
Pasar
Rencana Program dan Kegiatan Prioritas Daerah Tahun 2015
Kota Padangsidimpuan
Nomor
Urusan/Bidang Urusan Pemerintahan
Daerah
Dan Program/Kegiatan
Prioritas
Daerah
Sasaran
Daerah
Lokasi
Indikator kinerja
Prakiraan
Maju
Keterangan
Hasil Program
Keluaran
Kegiatan
Hasil Kegiatan
Target
Pagu
Indikatif
Target Target
1 7 9 11
Rencana Program dan Kegiatan Prioritas Tahun 2015 Bidang Perdagangan Lembar : 70 dari 74
SKPD Jenis Keg Ket
Tolok Ukur Tolok Ukur 1/2/3 1/2/3 1/2/3
2 3 4 5 6 8 10 12 13 14 15 16
Nomor
Urusan/Bidang Urusan Pemerintahan
Daerah
Dan Program/Kegiatan
Prioritas
Daerah
Sasaran
Daerah
Lokasi
Indikator kinerja
Prakiraan
Maju
Keterangan
Hasil Program
Keluaran
Kegiatan
Hasil Kegiatan
Target
Pagu
Indikatif
Target Target
1 7 9 11
Rehabilitasi/Peningkatan Sarana dan
Prsarana Pasar Tradisional Saroha
Kel Pdg Matinggi Psp Selatan kualitas infrastruktur
1
paket
350.000.000
Diskop, UKM,
Perindag &
Pasar
Peningkatan Pelayanan Pasar/Sarana
Pasar Lainnya
Terciptanya Pasar Asri 1 Thn
Pemeliharaan dan Rehap
Pasar
1 Thn Terciptanya Pasar Asri 1 Thn 130.478.000 160.000.000
Diskop, UKM,
Perindag &
Pasar
Pengembangan Kerjasama Kemitraan tersedianya peluang pasar 1 Thn
Kerjasama kemitraan
antara pemerintahan
daerah/usaha dan antar
pelaku usaha
1 Thn tersedianya peluang pasar 1 Thn 70.000.000 130.000.000
Diskop, UKM,
Perindag &
Pasar
Sosialisasi dan Publikasi Pemasaran
Hasil Agrobisnis
Pengenalan Produk Hasil
Agrobisnis
1 Thn
Terlaksananya Sosialisasi
kepada pedagang hasil
agrobisnis
1 Thn
Pengenalan Produk Hasil
Agrobisnis
1 Thn 50.000.000 70.000.000
Diskop, UKM,
Perindag &
Pasar
Program Peningkatan Perdagangan
Luar Negeri
75.000.000 85.000.000
Pelatihan Peningkatan Bahan Olah
Komiditi Ekspor
Meningkatnya Daya Saing
Komiditi Ekspor
1 Thn
Terlaksananya Pelatihan
BOKOR ( Bahan Komiditi
Ekspor )
1 Thn
Meningkatnya Daya Saing
Komiditi Ekspor
1 Thn 75.000.000 85.000.000
Diskop, UKM,
Perindag &
Pasar
Program Pembinaan Pedagang
Kakilima dan Asongan
155.000.000 190.000.000
Penyuluhan Peningkatan Disiplin
Pedagang Kaki lima dan Asongan
Terciptanya Pedagangan
keki lima dan asongan yang
taat aturan
1 Thn
Penyuluhan dan Sosialisasi
Pembinaan Pedagang Kaki
lima dan Asongan
1 Thn
Terciptanya Pedagangan
keki lima dan asongan yang
taat aturan
1 Thn 50.000.000 70.000.000
Diskop, UKM,
Perindag &
Pasar
Penataan Tempat Berusaha bagi
Pedagang Kaki lima dan Asongan
Terciptanya Kenyamanan
Berusaha
1 Thn
Peralatan Usaha yang
memadai
1 Thn
Terciptanya Kenyamanan
Berusaha
1 Thn 105.000.000 120.000.000
Diskop, UKM,
Perindag &
Pasar
Rencana Program dan Kegiatan Prioritas Tahun 2015 Bidang Perdagangan Lembar : 71 dari 74
SKPD Jenis Keg Ket
Tolok Ukur Tolok Ukur 1/2/3 1/2/3 1/2/3
2 3 4 5 6 8 10 12 13 14 15
02 URUSAN PILIHAN
02 07
BIDANG PERINDUSTRIAN 1.903.000.000 945.000.000
534.000.000 213.000.000 P1
Program Peningkatan Kapasitas Iptek
Sistem Produksi
Disko
p,
UKM,
1 Thn 1 Thn 1 Thn 45.000.000 67.000.000
Pengembangan Sisten Inovasi Teknologi
Industri (TPL)
Keikutsertaan Siswa dalam
seleksi beasiswa TPL Industri
1 Thn
Terlaksananya Sosialisasi
Beasiswa TPL Industri
1 Thn
Keikutsertaan Siswa dalam
seleksi beasiswa TPL
Industri
1 Thn 45.000.000 67.000.000
Diskop, UKM,
Perindag & Pasar
Program Pengembangan Industri Kecil
dan Menengah
1 Thn 1 Thn 1 Thn 489.000.000 146.000.000
Pelenggaraan Promosi IKM Terlaksananya Pameran 1 Thn
Dikenalnya Produk IKM
kota Padangsidimpuan
1 Thn Terlaksananya Pameran 1 Thn 145.000.000 146.000.000
Diskop, UKM,
Perindag & Pasar
Pelatihan pembuatan tenun ulos 1 Thn 1 Thn 1 Thn 166.000.000
Diskop, UKM,
Perindag & Pasar
Kegiatan fasilitasi bagi IKM melalui Dewan
kerajinan nasional
1 Thn 1 Thn 1 Thn 178.000.000
Diskop, UKM,
Perindag & Pasar
02 07
1.369.000.000 732.000.000
P2
5 2 17 Program Peningkatan Kemampuan
Teknologi Industri
940.000.000 265.000.000
Pengembangan dan Pelayanan Teknologi
Industri (GKM)
Pelaku IKM yang memenuhi
Standar Mutu
1 Thn
Pembinaan dan
Keikutsertaan IKM dalam
Lomba GKM
1 Thn
Pelaku IKM yang memenuhi
Standar Mutu
1 Thn 67.000.000 85.000.000
Diskop, UKM,
Perindag & Pasar
Perluasan Penerapan SNI untuk mendoron
Daya Saing Industri Manufaktur
Air isi ulang dan kemasan yang
memenuhi standar baku air
minum
1 Thn
Pengujian Air Minum isi
ulang dan Kemasan
1 Thn
Air isi ulang dan kemasan
yang memenuhi standar
baku air minum
1 Thn 73.000.000 90.000.000
Diskop, UKM,
Perindag & Pasar
Pengembangan Kewirausahaan bagi IKM
Terciptanya IKM yang berdaya
saing
1 Thn
Bimbingan dan Penyuluhan
kepada Pelaku IKM
1 Thn
Terciptanya IKM yang
berdaya saing
1 Thn 75.000.000 90.000.000
Diskop, UKM,
Perindag & Pasar
Bantuan Peralatan Mesin Packaging (Three
Side Seal ) dan Mixer Muatan Kapasitas
100 liter
PSP
Meningkatkan hasil produksi 1 paket 150.000.000
Bantuan Peralatan Pencetak Batu Bata
dan Mesin Pelumat Tanah
PSP
Meningkatkan hasil produksi 1 paket 75.000.000
Bantuan Peralatan ATBM Ulos PSP Meningkatkan hasil produksi 5 paket 300.000.000
Bantuan Peralatan Mesin Jahit PSP Meningkatkan hasil produksi 1 paket 200.000.000
Program Pengembangan Industri Kecil
dan Menengah
1 Thn 1 Thn 1 Thn 429.000.000 467.000.000
Pekan Promosi Potensi Unggulan Kota
Padangsidimpuan
Terlaksananya Pameran 1 Thn
Dikenalnya Produk IKM
kota Padangsidimpuan
1 Thn Terlaksananya Pameran 1 Thn 282.000.000 300.000.000
Diskop, UKM,
Perindag & Pasar
Pembinaan dan Pendataan IKM Data IKM 1 Thn
Meningkatnya Mutu dan
Produksi IKM
1 Thn Data IKM 1 Thn 50.000.000 70.000.000
Diskop, UKM,
Perindag & Pasar
Rencana Program dan Kegiatan Prioritas Daerah Tahun 2015
Kota Padangsidimpuan
Nomor
Urusan/Bidang Urusan Pemerintahan
Daerah
Dan Program/Kegiatan
Prioritas
Daerah
Sasaran
Daerah
Lokasi
Indikator kinerja
Pagu
Indikatif
Prakiraan
Maju
Keterangan
Hasil Program
Keluaran
Kegiatan
Hasil Kegiatan
Target Target Target
1 7 9 11
Rencana Program dan Kegiatan Prioritas Tahun 2015 Bidang Perindustrian Lembar : 72 dari 74
SKPD Jenis Keg Ket
Tolok Ukur Tolok Ukur 1/2/3 1/2/3 1/2/3
2 3 4 5 6 8 10 12 13 14 15
Nomor
Urusan/Bidang Urusan Pemerintahan
Daerah
Dan Program/Kegiatan
Prioritas
Daerah
Sasaran
Daerah
Lokasi
Indikator kinerja
Pagu
Indikatif
Prakiraan
Maju
Keterangan
Hasil Program
Keluaran
Kegiatan
Hasil Kegiatan
Target Target Target
1 7 9 11
Peningkatan Mutu IKM Peningjkatan Hasil Produksi 1 Thn Terlaksananya Pelatihan 1 Thn Peningjkatan Hasil Produksi 1 Thn 97.000.000 97.000.000
Diskop, UKM,
Perindag & Pasar
s
Rencana Program dan Kegiatan Prioritas Tahun 2015 Bidang Perindustrian Lembar : 73 dari 74
SKPD Jenis Keg Ket
Tolak
Ukur
Target
Tolak
Ukur
Target
Tolak
Ukur
Target 1/2/3 1/2/3 1/2/3
2 3 4 5 6 7 8 9 10 11 12 13 14 15 16
02 URUSAN PILIHAN
02 04 BIDANG PARIWISATA 203.000.000 206.000.000
203.000.000 206.000.000 P1
Program Pengembangan Destinasi Pariwisata 38.000.000 38.500.000
Pemantauan dan evaluasi pelaksanaan program
pengembangan destinasi pemasaran pariwisata
38.000.000 38.500.000 Dispora Budpar
Program pengembangan pemasaran pariwisata Padangsidimpuan 165.000.000 167.500.000
Koordinasi dengan sektor pendukung pariwisata 1 kegiatan 1 kegiatan 50.000.000 50.000.000 Dispora Budpar
Pengembangan jaringan kerjasama promosi
pariwisata
42.000.000 42.500.000 Dispora Budpar
Pelaksanaan promosi pariwisata nusantara di dalam
dan luar negeri
1 kegiatan 1 kegiatan 73.000.000 75.000.000 Dispora Budpar
1
Rencana Program dan Kegiatan Prioritas Daerah Tahun 2015
Kota Padangsidimpuan
Nomor
Urusan/Bidang Urusan Pemerintahan Daerah
Dan Program/Kegiatan
Prioritas
Daerah
Sasaran
Daerah
Lokasi
Indikator kinerja
Pagu
Indikatif
Terlaksananya promosi
pariwisata di dalam dan
luar negeri
Prakiraan
Maju
Keterangan
Hasil Program
Keluaran
Kegiatan
Hasil Kegiatan
Rencana Program dan Kegiatan Prioritas Tahun 2015 Bidang Pariwisata Lembar : 74 dari 74
Sasaran Pembangunan Tahunan Kabupaten/Kota :
Dinas Kesehatan
Indikator
Urusan / Bidang Urusan Kinerja Program
No Sasaran Kode Pemerintahan Daerah dan (Outcome) / SKPD
Program / Kegiatan Kegiatan
(Output)
K Rp. K Rp. K Rp. K Rp. K Rp. K Rp. K Rp. K Rp. K Rp. K Rp.
Wajib
Kesehatan
01
Program Pelayanan Administrasi
Perkantoran
01.02
Penyediaan jasa komunikasi
sumber daya air dan istrik
Jasa Komunikasi, Sumber
daya air, Listrik dan
Internet 1 Tahun 61.500.000 9 Bulan 26.789.956 39.713.994
01.07
Penyediaan jasa Administrasi
keuangan
Terlaksananya
administrasi keuangan 1 Tahun 40.098.000 9 Bulan 18.502.700 38.257.300
01.08
Penyediaan jasa kebersihan
kantor
Terlaksananya penyediaan
alat kebersihan kantor,
jasa kebersihan, dan jasa
keamanan kantor 1 Tahun 255.800.000 9 Bulan 186.396.375 255.192.750
01.09
Penyediaan jasa perbaikan
peralatan kerja
Terlaksanaya perbaikan
peralatan kerja 1 Tahun 20.000.000 9 Bulan 6.000.000 20.000.000
01.10 Penyediaan alat tulis kantor
Terlaksanaya penyediaan
ATK 1 Tahun 65.200.000 9 Bulan 65.200.000 65.200.000
01.11
Penyediaan barang cetakan dan
penggandaan
Terlaksanaya penyediaan
barang cetakan dan
penggandaan 1 Tahun 182.151.800 9 Bulan 163.536.350 180.026.600
01.12
Penyediaan komponen instalasi
listrik / penerangan bangunan
kantor
Tersedianya komponen
instalasi listrik /
penerangan bangunan
kantor 1 Tahun 20.000.000 9 Bulan 9.999.900 19.999.900
01.13
Penyediaan peralatan dan
perlengkapan kantor
Tersedianya peralatan dan
perlengkapan kantor 1 Tahun 104.100.000 9 Bulan 65.300.000 88.650.000
01.15
Penyediaan bahan bacaan dan
peraturan perundang-undangan
Tersedianya bahan bacaan
dan Perpu 1 Tahun 11.000.000 9 Bulan 5.305.000 7.585.000
01.17
Penyediaan makanan dan
minuman
Tersedianya biaya makan
dan minum harian
pegawai 375 Orang 889.450.000 612.300.000 826.460.000
01.18
rapat-rapat koordinasi dan
konsultasi luar daerah
Terlaksananya rapat-rapat
koordinasi dan konsultasi
ke luar daerah 1 Tahun 263.500.000 9 Bulan 159.975.700 214.991.700
01.19
Penyediaan jasa medik, para
medik dan non medik
Tersediany jasa pelayanan
medik, paramedik dan
non medik 1 Tahun 436.178.000 9 Bulan 206.806.567 411.988.947
01.20 Penyediaan jasa Sewa gedung
Tersedianya jasa sewa
gedung 4 Pustu 10.000.000 4 Pustu 10.000.000 10.000.000
02
Program peningkatan sarana
dan prasarana
02.05
Pengadaan kenderaan dinas /
Operasional
Terlaksananya pengadaan
dinas / operasional 3 Unit 1.233.606.000 0 - 1.109.172.000
15 = 14/6*100%7 8 9 10 11 12
1 2 3 4 5
6
Tahun Lalu Dievaluasi yang Dievaluasi RKPD Tahun ……)
13 14 = 7 + 13
(%)
(n-2)
IV v (Akhir Tahun Kabupaten/Kota Penanggun
g JawabKabupaten/Kota Tahun (n-1) yang Kabupaten/Kota Pelaksanaan s/d Tahun …..
III(Akhir Periode RPJMD) RKPD Tahun Berjalan I II
RPJMD
Kabupaten/Kota Kabupaten/Kota Anggaran RKPD Capaian Kinerja Kabupaten/Kota Realisasi Anggaran
pada Tahun sampai dengan Kabupaten/Kota dan Anggaran s/d Tahun …….
KOTA PADANGSIDIMPUAN
Kinerja dan Anggaran
EVALUASI TERHADAP HASIL RKPD
TAHUN 2013
Realisasi
Realisasi Kinerja pada Triwulan
Realisasi
Capaian Kinerja Kinerja dan Anggaran Tingkat Capaian
Target RPKMD RPJMD Target Kinerja dan Realisasi RPJMD
1 dari 21
K Rp. K Rp. K Rp. K Rp. K Rp. K Rp. K Rp. K Rp. K Rp. K Rp.
15 = 14/6*100%7 8 9 10 11 12
1 2 3 4 5
6 13 14 = 7 + 13
02.10 Pengadaan mebeleur
Terlaksananya pengadaan
Mobileur 1 Tahun 173.000.000 142.900.000 165.900.000
02.22
Pemeliharaan rutin / berkala
gedung kantor
Terlaksananya
pemelihraan rutin /
berkala gedung kantor 1 Tahun 40.000.000 - 39.800.000
02.24
Pemerilharaan rutin / berkala
kenderaan dinas operasional
Terlaksananya
pemelihraan rutin /
berkalakenderaan dinas
operasional 1 Tahun 302.614.000 183.309.043 297.705.043
02.41
Rehabilitasi sedang / berat
rumah dinas
Terlaksananya rehabilitasi
rumah medis , paramedis 5 Unit 507.268.000 - 500.110.350
02.42
Rehabilitasi sedang / berat
gedung kantor
Terlaksananya rahabilitasi
Puskesmas 2 Puskesamas 140.000.000 - 132.551.600
05
Program peningkatan kapasitas
sumber daya
05.01 Pendidikan dan pelatihan formal
Terlaksananya pendidikan
dan pelatihan formal 1 Tahun 145.550.000 63.852.000 65.114.000
06
Program Peningkatan Sistem
Pelaporan Kinerja dan Keuangan
06.01
penyusunan laporan capaian
kinerja dan ikhtisar realisasi
kinerja SKPD
Adanya laporan
akuntabilitas kinerja
instansi pemerintah (
LAKIP ) 1 Dokumen 3.571.000 1 Dok 3.458.500 1 Dok 3.458.500
06.03
Penyusunan Pelaporan Prognosis
Realisasi Anggaran
Adanya Laporan prognosis
realisasi anggaran 1 Dokumen 20.720.000 1 Dok 7.340.000 1 Dok 11.290.000
15
Program Obat dan Perbekalan
Kesehatan
15,04
Peningkatan mutu pelayanan
farmasi komunitas dan RS
Terlaksananya monitoring
pelayan an sediaan
farmasi pada Toko Obat,
Apotik dan Puskesmas 75% 180 55% 5.100.000 5.099.800 5.099.800
15,05
Peningkatan mutu penggunaan
obat dan perbekalan kesehatan
Terlaksananya pengadaan
obat dan perbekalan
kesehatan serta
pemeliharaan instalasi
fasrmasi 100% 9888'632 100% 1.798.698.000 - 1.531.792.000
16
Program upaya kesehatan
masyarakat
16,01
Pelayanan kesehatan penduduk
miskin di puskesmas dan
Puskesmas pembantu
Melaksanakan pelayanan
kesehatan terhadap
masyarakat miskin yang
tidak masuk quota 100% 2673'4 40% 381.810.000 85.390.000 330.477.500
16,02
Pemeliharaan dan pemulihan
kesehatan
Terlaksananya pelayanan
kesehatan terhadap
jemaah haji 100% 292 100% 44.368.000 21.283.000 41.611.000
16,03
Pengadaan, peningkatan dan
perbaikan sarana dan prasarana
Puskesmas dan jaringannya
Meningkatnya kualitas
pelayanan kesehatan di
Puskesmas dan
jaringannya 100% 2.010 100% 210.000.000 - 209.240.000
16,09
Peningkatan kesehatan
masyarakat
Terlaksananya
pemantauan kasus
kecelakaan hari libur dan
hari besar dan
terlaksananya penjaringan 100% 563'1 100% 69.040.000 26.830.000 68.290.000
16,11
Peningkatan pelayanan kesehatan
bagi pengungsi korban bencana
Terlaksananya pelayanan
kesehatan bagi daerah
bencana 5 Tahun 139'5 1 Tahun 19.500.000 - -
16,12
Peningkatan pelayanan dan
penanggulangan masalah
kesehatan
Adanya sarana dan
prasarana perawatan
kesehatan akibat dampak
rokok 100% 115 0 142.332.000 - 141.224.000
16,13
Penyediaan biaya operasional dan
pemeliharaan
Adanya operasional
Puskesmas rawat inap 7 Pusk 1 Pusk 86.900.000 43.260.000 80.860.000
2 dari 21
K Rp. K Rp. K Rp. K Rp. K Rp. K Rp. K Rp. K Rp. K Rp. K Rp.
15 = 14/6*100%7 8 9 10 11 12
1 2 3 4 5
6 13 14 = 7 + 13
19
Promosi kesehatan dan
pemberdayaan masyarakat
19,01
Pengembangan media promosi
dan informasi sadar hidup sehat
Terlaksananya perayaan
HKN 5 Kali 540 1 Kali 13.000.000 - 12.999.700
19,04
Peningkatan pendidikan tenaga
penyuluh kesehatan
Terlaksananya pembinaan
UKS 65% 1.335 45% 22.150.000 15.245.000 22.145.000
20
Program perbaikan gizi
masyarakat - - - -
20,02
Pemberian mtambahan makanan
dan vitamin
Terlaksananya
pemberian tambahan
makanan dan vitamin 100% 2.225 0 226.080.000
- -
201.916.000 201.716.000
- -
- - - -
22
Program pencegahan dan
penanaggulangan penyakit
menular
22,01
Penyemprotan / fogging sarang
nyamuk Terlaksananya fogging 310 Kali 209'6 40 Kali 21.900.000
- -
11.100.000 21.900.000
- -
22,02
Pengadaan alat fogging dan bahan-
bahan foging
Tersedianya Alat fogging
dan bahan fogging 100% 535'7 100% 147.300.000 84.350.000 97.300.000
22,08 Peningkatan Imunisasi
Terlaksananya pelayanan
Imunisasi lengkap Bayi 50% 2858'468 20% 183.860.000
- -
4.268.000 122.624.000
- -
22,09
Peningkatan Survailance
Efidemiologi dan penanggulangan
wabah
Terlaksananya survailance
Efidemiologi dan
penanggulangan wabah 100% 1091'32 98% 141.320.000 52.720.000 134.920.000
22,11
Monitoring, evaluasi dan
pelaporan
Terlaksananya bimbingan
pencatatan, pelaporan
Pneumonia, Diare dan TB
Paru 100% 121'482 100% 6.482.000 3.602.000 6.482.000
- - - -
23
Program Standarisasi Pelayanan
kesehatan
23,01
Penyusunan standar pelayanan
kesehatan
Penyusunan Standar
Kesehatan 5 Pusk 1.250 1 Puskesmas 250.000.000
- -
- 250.000.000
- -
23,02
Evaluasi dan penembangan
tandar pelayanan kesehatan
Melaksanakan pembuatan
profil dinas kesehatan dan
puskesmas dan survey
kesehatan masyarakat 440150 50 Dokumen 10 Dokumen 40.150.000 - 38.879.000
23,05
Penyusunan standar analisis
belanja pelayanan kesehatan
Tersusunnya rencana
strategi kegiatan 1 Dokumen 90'372 1 Dokumen 79.372.500
- -
- 52.067.500
- -
25
Program pengadaan,
peningkatan dan perbaikan
sarana dan prasarana
puskesmas dan jaringannya
25,07
Pengadaan sarana dan prasarana
Puskesmas
Terlaksananya pengadaan
sarana dan prasarana
Puskesmas dan
Administrasi Proyek DAK 2 Paket 1.000 0 1.199.335.100 4.200.000 1.055.221.100
25,21
Rehabilitasi sedang / berat
Puskesmas Pembantu
Terlaksananya rehabilitasi
sedang / berat Puskesmas
Pembantu 8 Pustu 482 4 Pustu 241.000.000
- -
- 234.022.100
- -
28
Program kemitraan peningkatan
pelayanan kesehatan
- - - -
28,01 Kemitraan Askes Masyarakat
Tersedianya operasional
pelaksanaan administrasi
Askes 0 - 0 25.100.000 19.394.950 25.094.950
28,02
Kemitraan pencegahan dan
pemberantasan penyakit menular
Terlaksananya pelayanan
kesehatan di daerah lintas
batas 100% 107'3 100% 7.300.000 - 7.300.000
28,08
Monitoring, Evaluasi dan
pelaporan
Adanya dana operasiuonal
FKK Kota
Padangsidimpuan 100% 110 100% 10.000.000 - 7.249.900
3 dari 21
K Rp. K Rp. K Rp. K Rp. K Rp. K Rp. K Rp. K Rp. K Rp. K Rp.
15 = 14/6*100%7 8 9 10 11 12
1 2 3 4 5
6 13 14 = 7 + 13
29
Program peningkatan pelayanan
kesehatan anak balita
29,01
Penyuluhan kesehatan anak
balita
Adanya operasional
Posyandu balita 675 Posy 2.150 135 Posyandu 210.760.000 149.324.750 206.334.750
30
Program peningkatan pelayanan
kesehatan Lansia
30,01
Pelayanan pemeliharaan
kesehatan Lansia
Adanya operasional
posyandu Usila 340 Posy 1182'29 68 Posyandu 82.290.000 60.764.850 80.789.850
31
Program pengawasan dan
pengendalian kesehatan
31,01
Pengawasan keamanan dan
kesehatan makanan hasil industri
Melaksanakan pembinaan
dan pengawasan tempat
pengolahan makanan 75% 214'85 60% 19.850.000
- -
19.849.700 19.849.700
- -
31,02
Pengawasan dan pengendalkian
keamnanan dan kesehatan
makanan hasil produksi Rumah
Tangga
Melaksanakan pembinaan
dan pengawasan ke IRTP 75% 152'9 60% 12.900.000 11.149.250 12.899.250
10.623.204.400 - - 2.756.719.391 9.521.556.784 - -
Rata-rata capaian kinerja (%)
Predikat Kinerja
Faktor pendorong keberhasilan kinerja :
Faktor penghambat pencapaian kinerja :
Tindaklanjut yang diperlukan dalam triwulan berikutnya :
Tindaklanjut yang diperlukan dalam RKPD berikutnya :
4 dari 21
Sasaran Pembangunan Tahunan Kota Padangsidimpuan
RSUD Kota Padangsidimpuan
K Rp Jt K Rp Jt K Rp Jt K Rp Jt K Rp Jt K Rp Jt K Rp Jt K Rp Jt K Rp Jt K Rp Jt
1 Meningkat- 1.02 .1.02 .02 .01 Program Pelayanan Adminis- Terlaksananya 6 141.529 1 4.289 1 5.558 3 11.670 3 1.306,23 3 1.461 3 1.704,34 1 16.150,56 2 20.440 0,33333 0,14
nya kualitas trasi Perkantoran pelayanan Thn Thn Thn Bln Bln Bln Bln Thn
sarana/pra Kegiatan : administrasi
sarana dan 1.02 .1.02 .02 .01 .01 Penyediaan Jasa Surat-Menyurat perkantoran 2.100 7 - 350 5 3 0,5 0 3 0,5 0 350 8 350 5 0,16667 0,71
aparatur dengan lancar Lmbr Lmbr Bln Bln Lmbr
1.02 .1.02 .02 .01 .02 Penyediaan Jasa Komunikasi, Sumber 149 1.692 25 290 25 300 3 155 0 3 145 0 25 303 25 593 0,16779 0,35
Tercapai- Daya Air dan Listrik Mtr Mtr Mtr Bln Bln Mtr
nya penge-
lolaan adm. 1.02 .1.02 .02 .01 .06 Penyediaan Jasa Pemeliharaan dan 30 13,75 6 4 6 5 3 5 0 0 0 6 5 12 9 0,4 0,65
dan keuang Perizinan Kenderaan Dinas/Operasio- Unit Unit Unit Bln Unit
an yang nal
akuntabel
1.02 .1.02 .02 .01 .08 Penyediaan Jasa Kebersihan Kantor 120 753,12 20 144 20 225 3 93,75 3 18,75 3 93,75 3 18,75 20 234 40 378 0,33333 0,50
Org Org Org Bln Bln Bln Bln Org
1.02 .1.02 .02 .01 .10 Penyediaan Alat Tulis Kantor 237 439,998 41 88,069 41 90 3 45,843 3 44,156 0 0 41 92,999 82 181 0,34599 0,41
Item Item Item Bln Bln Item
1.02 .1.02 .02 .01 .12 Penyediaan Komponen Instalasi Lis- 100 127,255 17 18,562 17 20,001 3 10.128 3 9,873 0 216,18 17 10,14 34 29 0,34 0,23
trik/Penerangan Bangunan Kantor Item Item Item Bln Bln Item
1.02 .1.02 .02 .01 .13 Penyediaan Peralatan dan Perleng- 2 357,297 - 1 20,132 0 3 20,132 0 37,292 1 60,42 1 20 0,5 0,06
kapan Kantor Thn Thn Bln Thn
1.02 .1.02 .02 .01 .15 Penyediaan Bahan Bacaan dan Per- 6 43,68 1 8 1 9 3 2,25 3 2,25 3 2,25 3 2,25 1 18 2 26 0,33333 0,60
aturan Perundang-Undangan Thn Thn Thn Bln Bln Bln Bln Thn
0
1.02 .1.02 .02 .01 .17 Penyediaan Makanan dan Minuman 6 4.828,31 1 855,52 1 876,48 3 219,12 3 219,12 3 219,12 3 219,12 1 885,48 2 1.741 0,33333 0,36
FORMULIR VII F.8
Evaluasi Terhadap Hasil RKPD
Tahun 2013
No sasaran Kode
Urusan / Bidang urusan Pemerintah
Daerah dan Program / Kegiatan
Indikator Kinerja
Program
(Outcome)Kegi-
atan (Output)
Target RPJMD Kota
Padangsidimpuan
Tahun 2008 s/d 2013
(Akhir Priode
RPJMD)
Realisasi Capaian
Kinerja RPJMD
Kota s/d RKPD
Kota Tahun Lalu (n-
2) (2012)
Target Kinerja dan
Anggaran RKPD
Kota Tahun
Berjalan (Tahun n-
1) yang Dievaluasi
(2013)
Realisasi Kinerja Pada Triwulan
Realisasi Capaian
Kinerja dan
Anggaran RKPD
Kota yang
Dievaluasi
Realisasi Kinerja
dan Anggaran
RPJMD Kota s/d
Tahun 2018
(Akhir Tahun
Pelaksanaan
RKPD Tahun
2018)
Tingkat Capaian
Kinerja dan
Realisasi
Anggaran RPJMD
Kota s/d Tahun
2018 (%)
I
1 2 3 4 5
II III IV
SKPD
Penangg
ung
Jawab
11 12 13 14 = 7 + 13 15 = 14 / 6 * 100%6 7 8 9 10
5 dari 21
Thn Thn Thn Bln Bln Bln Bln Thn
1.02 .1.02 .02 .01 .18 Rapat-Rapat Koordinasi dan Konsul- 6 1.276,75 1 141,3 1 348,45 3 105,65 3 77,2 3 85,8 296 1 570,65 2 712 0,33333 0,56
tasi Ke Luar Daerah Thn Thn Thn Bln Bln Bln Thn
1.02 .1.02 .02 .01 .19 Penyediaan Jasa Pelayanan Medik, 5 131.990 1 2.739,70 1 3.659 3 914,75 3 914,75 3 914,7 3 914,75 1 3.667,95 2 6.408 0,4 0,05
Paramedik dan Non Medik Thn Thn Thn Bln Bln Bln Bln Thn
2 1.02 .1.02 .02 .02 Program Peningkatan Sarana Optimalnya 6 683,48 1 369,5 1 163 3 75,514 3 34,412 3 44,6196 3 7,196 1 176,74 2 546 0,33333 0,80
dan Prasarana Aparatur Pelaksanaan Thn Thn Thn Bln Bln Bln Bln Thn
Kegiatan : Kegiatan
1.02 .1.02 .02 .01 .04 Pengadaan Mobil Jabatan 1 300 1 300
Thn Unit
1.02 .1.02 .02 .01 .05 Pengadaan Kenderaan Dinas/Opera- Kantor 1 28 - 2 28 3 26,818 0 0 0 2 26,818 2 28 2 1,00
sional Thn Unit Bln Unit
1.02 .1.02 .02 .01 .23 Pemeliharaan Rutin/Berkala Mobil 6 164,604 1 19,5 2 35 3 11,196 3 9,412 3 7,1196 3 7,196 2 43,92 3 63 0,5 0,39
Jabatan Thn Unit Unit Bln Bln Bln Bln Unit
1.02 .1.02 .02 .01 .26 Pemeliharaan Rutin/Berkala Perleng- 4 185,664 1 50 1 100 3 37,5 3 25 3 37,5 0 1 106 2 156 0,5 0,84
kapan Gedung Kantor Thn Thn Thn Bln Bln Bln Thn
1.02 .1.02 .02 .01 .29 Pemeliharaan Rutin/Berkala Mebeleur 1 5,212
Thn
3 1.02 .1.02 .03 Program Peningkatan Disiplin Meningkatnya 6 358,169 - 1 150 3 15 0 0 0 1 15 1 15 0,16667 0,04
Aparatur Disiplin Thn Thn Bln Thn
Kegiatan : Aparatur
1.02 .1.02 .02 .03 .02 Pengadaan Pakaian Dinas Beserta 2 343,169
Perlengkapannya Thn
1.02 .1.02 .02 .03 .03 Pengadaan Pakaian Kerja Lapangan 1 15 - 1 150 3 15 0 0 0 1 15 1 15 1 1,00
Thn Thn Bln Thn
4 Meningkat- 1.02 .1.02 .02 .05 Program Peningkatan Kapasi- Meningkatnya 6 1.547,25 1 233 1 300 3 49 3 49 3 49 3 49 1 205 2 438 0,33333 0,28
nya kualitas tas Sumber Daya Aparatur Wawasan dan Thn Thn Thn Bln Bln Bln Bln Thn
dan kuanti- Kegiatan : Pengetahuan
tas aparatur 1.02 .1.02 .02 .05 .01 Pendidikan dan Pelatihan Formal PNS 6 1.547,25 1 233 1 300 3 49 3 49 3 49 3 49 1 205 2 438 0,33333 0,28
Thn Thn Thn Bln Bln Bln Bln Thn
5 1.02 .1.02 .02 .06 Program Peningkatan Pengem- Tersusunnya 6 194,01 - 1 15 3 3,75 3 3,75 3 3,75 3 3,75 1 24 1 15 0,16667 0,08
bangan sistem Pelaporan Capa- laporan capai- Thn Thn Bln Bln Bln Bln Thn
ian Kinerja dan Keuangan an Kinerja dan
Kegiatan: Ikhtisar
1.02 .1.02 .02 .06 .01 Penyusunan Laporan Capaian Kinerja Realisasi 1 15 - 1 15 3 3,75 3 3,75 3 3,75 3 8,05 1 28,30 1 15 1 1,00
dan Ikhtisar Realisasi Kinerja SKPD Kinerja SKPD Thn Thn Bln Bln Bln Bln Thn
1.02 .1.02 .02 .06 .02 Penyusunan Laporan Semesteran 3 179,01
Smstr
6 dari 21
6 Meningkat- 1.02 .1.02 .02 .26 Program Pengadaan, Pening- Persentase 6 31.190,53 1 6.163,07 1 10.587,24 3 1.421,12 3 963,52 3 2.862,36 3 5926,64 1 11.182,64 2 17.346 0,33333 0,56
nya kualitas katan Sarana dan Prasarana ketersediaan Thn Thn Thn Bln Bln Bln Bln Thn
dan kuanti- Rumah Sakit/Rumah Sakit Ji- Sarana dan
tas sarana wa/Rumah Sakit Paru-Paru/ Prasarana
dan prasa- rumah Sakit Mata rumah sakit
rana Kegiatan :
1.02 .1.02 .02 .26 .01 Pembangunan Rumah Sakit 2 5.285,01 - 1 0 0 3 0 3 0,00 3 0 1 9,00 1 5.000 0,5 0,95
Tercapai- Thn Thn Bln Bln Bln Thn
nya akredi- 1.02 .1.02 .02 .26 .02 Pembangunan Sarana dan Prasarana 2 5.285,01 - 1 5.000 0 3 0 3 0,00 3 5.000 1 5.009,00 1 5.000 0,5 0,95
tasi rumah Bidang Kesehatan Daerah P.Sidimpuan Thn Thn Bln Bln Bln Thn
sakit
1.02 .1.02 .02 .26 .12 Pembangunan Ruang Bayi 2 175 - 1 100 0 0 3 0 100 103 100 0 0,57
Thn Thn Bln
1.02 .1.02 .02 .26 .17 Rehabilitasi Bangunan Rumah 2 175 - 1 100 0 0 3 100 0 103 100 0 0,57
Sakit Thn Thn Bln
1.02 .1.02 .02 .26 .18 Pengadaan Alat-Alat Kesehatan 6 11.503,72 2 3.609,44 2 1.939,40 0 3 12,544 3 1.924,38 3 2,475 2 1948,398 4 5.558 0,66667 0,48
Rumah Sakit Pkt Paket Paket Bln Bln Bln Paket
1.02 .1.02 .02 .26 .19 Pengadaan Obat-Obatan Rumah 6 4.996,62 1 846,8 1 1.420 3 600 3 450 3 370 0 1 1.426 2 2.273 0,33333 0,45
Sakit Pkt Paket Paket Bln Bln Bln Paket
1.02 .1.02 .02 .26 .20 Pengadaan Mobil Ambulance/Mobil Je 2 773,932 2 400 - 2 400 1 0,52
nazah Unit Unit
1.02 .1.02 .02 .26 .22 Pengadaan Perlengkapan Rumah- 6 1.869,04 1 89,683 1 202,472 3 63,424 3 111,748 3 16,38 3 87,781 1 288,33 2 378 0,33333 0,20
Sakit (Dapur,Ruang Pasien,Laun- Pkt Paket Paket Bln Bln Bln Bln Paket
dry Ruang Tunggu dan Lain-Lain)
1.02 .1.02 .02 .26 .23 Pengadaan Bahan-Bahan Logistik 6 4.736,03 1 850 1 1.525,37 3 512,495 3 337,63 3 400 3 575,231 1 1.834,36 2 2.684 0,33333 0,57
Rumah Sakit Thn Thn Thn Bln Bln Bln Bln Thn
1.02 .1.02 .02 .26 .24 Pengadaan Pencetakan Administrasi 6 978,129 1 128,706 1 200 3 185 3 5 3 5 3 114,552 1 318,552 2 447 0,33333 0,46
dan Surat menyurat Rumah sakit Thn Thn Thn Bln Bln Bln Bln Thn
1.02 .1.02 .02 .26 .25 Pengembangan Tipe Rumah Sakit 12 873,046 5 238,446 5 200 3 60,2 3 46,6 3 46,6 3 46,6 5 209 10 447 0,83333 0,51
7 1.02 .1.02 .02 .27 Program Pemeliharaan Sarana Terpenuhinya 6 24.740,05 1 219,676 1 570,5 3 170,221 3 182,695 3 159,888 3 77,695 1 599,50 2 819 0,30833 0,03
dan Prasarana Rumah Sakit/ kebutuhan Thn Thn Thn Bln Bln Bln Bln Thn
Rumah Sakit Jiwa/Rumah Sakit saranana dan
/Rumah Sakit Paru-Paru/Ru- prasarana
mah Sakit Mata pelayanan
Kegiatan : di rumah sakit
1.02 .1.02 .02 .27 .01 Pemeliharaan Rutin/Berkala sesuai 2 1.285,59 1 56,176 1 200 3 36,222 3 123,778 3 36,222 3 3,778 1 209 2 265 1 0,21
Rumah Sakit standart Kgtn Kgtn Kgtn Bln Bln Bln Bln Kgtn
7 dari 21
1.02 .1.02 .02 .27 .16 Pemeliharaan Rutin/Berkala Instalasi 5 220,3 1 50 1 70,5 3 0 3 35,25 0 35,25 1 73,50 2 124 0,4 0,56
Pengolahan Limbah Rumah Sakit Thn Thn Thn Bln Bln Thn
1.02 .1.02 .02 .27 .17 Pemeliharaan Rutin/Berkala Alat- 6 394,675 1 50 1 200 3 100 3 0 3 100 3 0 1 209 2 259 0,33333 0,66
Alat Kesehatan Rumah Sakit Thn Thn Thn Bln Bln Bln Bln Thn
1.02 .1.02 .02 .27 .18 Pemeliharaan Rutin/Berkala 6 545,908 1 63,5 1 100 3 33,999 3 23,667 3 23,666 3 38,667 1 128,999 2 192 0,33333 0,35
Mobil Ambulance/Jenazah Thn Thn Thn Bln Bln Bln Bln Thn
1.02 .1.02 .02 .27 .28 Pemeliharaan Rutin Gedung Kantor 1 27,571 0 0,00
Thn
8 1.02 .1.02 .02 .28 Program Kemitraan Pening- Jumlah pasien 6 3.309,24 1 245 1 10.384,24 3 3.997,09 3 2.391,43 3 2.401,43 3 1.594,29 1 10.393,24 2 10.638 0,33333 3,21
katan Pelayanan Kesehatan kurang Thn Thn Thn Bln Bln Bln Bln Thn
Kegiatan : mampu
1.02 .1.02 .02 .28 .07 Kemitraan Pengobatan Bagi 3 3.309,24 1 245 1 10.384,24 3 3.997,09 3 2.391,43 3 2.401,43 3 2.764,29 1 11.563,24 2 11.808 0,66667 3,57
Pasien Kurang Mampu Thn Thn Thn Bln Bln Bln Bln Thn
Faktor pendorong keberhasilan kinerja: Tersedianya anggaran
Faktor penghambat pencapaian kinerja: Pengesahan anggaran yang terlalu lama
Tindaklanjut yang diperlukan dalam triwulan berikutnya: Mempercepat pengesahan anggaran
Tindaklanjut yang diperlukan dalam RKPD berikutnya:
Rata-rata capaian kinerja (%)
Predikat kerja
8 dari 21
K Rp. K Rp. K Rp. K Rp. K Rp. K Rp. K Rp. K Rp. K Rp. K %
1
Masyaraka
t 1 07 Dinas Perhubungan,
Dinas
Perhubungan,
Komunikasi dan Komunikasi dan
Informatika Informatika
1 07 01 01 17 Program Peningkatan 835.945.000 401.360.000
Pelayanan Angkutan
1 07 01 17 02 Keg. Peningkatatan - Terciptanya Lalu Lintas 2 Keg 150.000.000 2 Keg 97.220.000 - - 1 keg 49.572.500 - - 1 keg 45.472.500 2 keg 95.045.000 2 keg 95.045.000 2 keg 63
Disiplin Masyarakat angkutan yang nyaman,
Menggunakan aman,tertip dan lancar
Angkutan
- Pengawasan dan pengaman
lalulintas
1 07 01 17 05 Keg. Pengendalian - Terciptanya Lalu Lintas 4 Keg 670.945.000 4 Keg 291.000.000 1 keg 66.450.000 1 69.600.000 1 43.670.000 1 keg 90.105.000 4 keg 269.825.000 4 keg 269.825.000 4 keg 40
Disiplin Pengoperasian angkutan yang nyaman,
Angkutan Umum aman,tertip dan lancar
di Jalan Raya
- Pengawasan dan pengaman
lalulintas
1 07 01 17 20 Pengawasan Trayek - Terciptanya ketertipan 2 Keg 15.000.000 2 Keg 13.140.000 - - - - - - 2 keg 13.140.000 2 keg 13.140.000 2 keg 13.140.000 2 keg 87
pengawasan Trayek
- Pengamanan dan
pengawasan Trayek
1 07 01 18 Program kerjasama 25.000.000 19.080.000
informasi dengan
masmedia
1 07 01 18 03 Penyebar luasan - Sosialisasi bagi masyarakat 12 Bln 25.000.000 12 Bln 19.080.000 1 4.770.000 1 4.770.000 1 4.770.000 1 keg 4.770.000 4 keg 19.080.000 4 keg 19.080.000 4 keg 76
informasi yang bersifat tentang peraturan perlalu
penyuluhan bagi lintasan melalui iklan dan
masyarakat radio
Sasaran Pembangunan Tahunan Kota Padangsidimpuan
Formulir VII.F.8
Evaluasi Terhadap Hasil RKPD
Kota Padangsidimpuan
Tahun 2013
Dinas Perhubungan
No. Sasaran Kode
Urusan / Bidang
Urusan Pemerintahan
Daerah dan
Program/Kegiatan
Indikator Kinerja
Program (Outcome)/
Kegiatan (Output)
Target RPJMD
Kabupaten/Kota
pada
Tahun 2017 (Akhir
Periode RPJMD)
Realisasi
Capaian
Kinerja
RPJMD
Kabupaten/Ko
ta sampai
dengan RKPD
Kabupaten/Ko
ta Tahun Lalu
Target Kinerja dan
Anggaran RKPD
Kabupaten/Kota
Tahun Berjalan
(Tahun n-1) yang
Dievaluasi
Realisasi Kinerja Pada Triwulan
Realisasi
Capaian Kinerja
dan Anggaran
RKPD
Kabupaten/Kota
yang dievaluasi
Realisasi Kinerja dan
Anggaran RPJMD
Kabupaten/Kota s/d
Tahun 2013 (Akhir
Tahun Pelaksanaan
RKPD Tahun 2013)
Tingkat
Capaian
Kinerja dan
Realisasi
Anggaran
RPJMD
Kabupaten/Ko
ta s/d Tahun
2013 (%)
SKPD
Penanggung
JawabI II III IV
2 3 4 5
6 13 14 = 7 + 13 15 = 14/6 * 100%7 8 9 10 11 12
1
9 dari 21
- Meningkatkan pemahaman
dan pengetahuan bagi
masyarakat tentang
perlalu lintasan.
1 07 01 19 Program pengendalian 800.000.000 2.073.285.000
dan pengaman lalu
lintas
1 07 01 19 01 Pengadaan rambu - - pemasangan rambu - 12 bl 150.000.000 6 Pkt 1.495.875.000 - - 1 28.784.500 - - 5 pkt 1.419.532.500 6 pkt 1.448.317.000 6 pkt 1.448.317.000 6 pkt 965
rambu lalu lintas rambu lalu lintas
- Terciptanya Lalu Lintas
angkutan yang nyaman,
aman,tertip dan lancar
1 07 01 19 02 Pengadaan marka - Pengadaan marka 12 bl 250.000.000 1 Pkt 81.915.500 - - - - 1 pkt 81.424.000 1 pkt 81.424.000 1 pkt 81.424.000 1 pkt 32
jalan jalan
- Terciptanya Lalu Lintas
angkutan yang nyaman,
aman,tertip dan lancar
03 Pengadaan Pagar - Pengadaan patokn tikungan 12 bl 400.000.000 2 Keg 495.494.500 - - - - 2 keg 477.267.500 2 keg 477.267.500 2 keg 477.267.500 2 keg 119
pengaman jalan dan pagar pengaman jalan
- Terciptanya Lalu Lintas
angkutan yang nyaman,
aman,tertip dan lancar
Faktor penghambat pencapaian kinerja : Keterbatasan sarana prasarana dalam melaksanakan kegiatan
Tindaklanjut yang diperlukan dalam triwulan berikutnya : Melaksanakan kegiatan yang sudah diprogramkan kiranya dapat dilaksanakan tepat waktunya
Tindaklanjut yang diperlukan dalam RKPD berikutnya : Kiranya dapat terpenuhi kekurangan sarana prasarana untuk memenuhi kebutuhan dalam pelasanaan kegiatan
Rata - rata capaian kinerja (%)
Predikat Kinerja
Faktor pendorong keberhasilan kinerja : Kesediaan dan kesigapan para personil dalam melaksanakan tugas
10 dari 21
Sasaran Pembangunan Tahunan Kota Padangsidimpuan
KANTOR LINGKUNGAN HIDUP DAERAH KOTA PADANGSIDIMPUAN
16
K Rp. K Rp. K Rp. K Rp. K Rp. K Rp. K Rp. K Rp. K Rp. K Rp.
1 URUSAN WAJIB
Bidang Lingkungan Hidup
5.2.01. Program Pelayanan Administrasi Perkantoran
5.2.01.01 Penyediaan Jasa
Surat Menyurat
Outcome :
tersedianya
kelengkapan
surat menyurat
peningkatan
kualitas
kelembagaan
8.000.000 - - peningkatan
kualitas
kelembagaan
15.000.000 - 1.500.000 - 1.500.000 - 8.250.000 - 3.750.000 peningkatan
kualitas
kelembagaan
15.000.000 peningkata
n kualitas
kelembagaa
n
15.000.000 peningkatan
kualitas
kelembagaa
n
1 Kantor
Lingku
ngan
Hidup
Output :
terpenuhinya
surat kedinasan
5.2.01.02 Penyediaan Jasa
Komunikasi, Sumber
Daya Air dan Listrik
Outcome :
tersedianya
sarana listrik,
air dan telepon
peningkatan
kualitas
kelembagaan
40.000.000 - - peningkatan
kualitas
kelembagaan
7.000.000 - - - - - 6.500.000 - 500.000 peningkatan
kualitas
kelembagaan
7.000.000 peningkata
n kualitas
kelembagaa
n
7.000.000 peningkatan
kualitas
kelembagaa
n
1 Kantor
Lingku
ngan
Hidup
Output :
terpenuhinya
sarana listrik,
air dan telepon
5.2.01.06 Penyediaan Jasa
Pemeliharaan dan
Perizinan Kendaraan
Dinas/Operasional
Outcome :
tersedianya
kendaraan
dinas yg siap
pakai
peningkatan
kualitas
kelembagaan
70.000.000 - - peningkatan
kualitas
kelembagaan
66.000.000 - 7.489.375 - 7.489.375 - 35.987.858 - 8.842.650 peningkatan
kualitas
kelembagaan
59.809.258 peningkata
n kualitas
kelembagaa
n
59.809.258 peningkatan
kualitas
kelembagaa
n
0,9062 Kantor
Lingku
ngan
Hidup
Output :
terpeliharanya
kendaraan
dinas
5.2.01.07 Penyediaan Jasa
Administrasi Keuangan
Outcome :
tercapainya
laporan yg tepat
waktu
peningkatan
kualitas
kelembagaan
25.000.000 - - peningkatan
kualitas
kelembagaan
22.600.000 - 2.652.000 - 2.652.000 - - - - peningkatan
kualitas
kelembagaan
5.304.000 peningkata
n kualitas
kelembagaa
n
5.304.000 peningkatan
kualitas
kelembagaa
n
0,2347 Kantor
Lingku
ngan
Hidup
Output :
tersedianya
dana lembur
5.2.01.08 Penyediaan Jasa
Kebersihan Kantor
Outcome :
Meningkatnya
kebersihan
kantor
peningkatan
kualitas
kelembagaan
81.600.000 - - peningkatan
kualitas
kelembagaan
49.000.000 - 8.824.500 - 8.824.500 - 21.440.000 - 8.749.000 peningkatan
kualitas
kelembagaan
47.838.000 peningkata
n kualitas
kelembagaa
n
47.838.000 peningkatan
kualitas
kelembagaa
n
0,9763 Kantor
Lingku
ngan
Hidup
Output :
Terpeliharanya
kebersihan
kantor5.2.01.09 Penyediaan Jasa
Perbaikan Peralatan
Kerja
Outcome :
terpeliharanya
peralatan kerja
peningkatan
kualitas
kelembagaan
18.000.000 - - peningkatan
kualitas
kelembagaan
13.000.000 - 1.437.500 - 1.437.500 - 10.000.000 - - peningkatan
kualitas
kelembagaan
12.875.000 peningkata
n kualitas
kelembagaa
n
12.875.000 peningkatan
kualitas
kelembagaa
n
0,9904 Kantor
Lingku
ngan
Hidup
Output : adanya
peralatan kerja
yang siap pakai
1
EVALUASI TERHADAP HASIL RKPD
KOTA PADANGSIDIMPUAN
TAHUN 2013
No. Sasaran Kode
Urusan / Bidang
Pemerintahan Daerah
Dan Program Kegiatan
Indikator
Kinerja
Program
(Outcome) /
Kegiatan(Outp
ut)
Target RPJMD Kota pada
Tahun 2017
Realisasi
Capaian
Kinerja
RPJMD
Kota s/d
RKPD 15=14/6*100%
2 3 4 5
Formulir VII F.8
SKPD
penang
gung
jawab
I II III IV
Target Kinerja dan
Anggaran RKPD kota
tahun 2013 yg dievaluasi
Realisasi Kinerja pada Triwulan
Realisasi Capaian Kinerja
dan Anggaran RKPD Kota
yang dievaluasi
Realisasi kinerja dan
anggaran RPJMD kota s/d
tahun 2017
Tingkat Capaian
Kinerja dan
Realisasi Anggaran
RPJMD Kota s/d
tahun….. (%)
6 97 8
Peningkatan
Kuantitas dan
Kualitas
Sumber Daya
Manusia
13 14=1310 11 12
11 dari 21
16
K Rp. K Rp. K Rp. K Rp. K Rp. K Rp. K Rp. K Rp. K Rp. K Rp.
1
15=14/6*100%
2 3 4 5
6 97 8 13 14=1310 11 12
5.2.01.10 Penyediaan Alat Tulis
Kantor
Outcome :
terpenuhinya
kebutuhan alat
tulis kantor
peningkatan
kualitas
kelembagaan
60.000.000 - - peningkatan
kualitas
kelembagaan
55.893.500 - NIHIL - 12.900.500 - 29.985.600 - 13.007.400 peningkatan
kualitas
kelembagaan
55.893.500 peningkata
n kualitas
kelembagaa
n
55.893.500 peningkatan
kualitas
kelembagaa
n
1 Kantor
Lingku
ngan
Hidup
Output :
tersedianya alat
tulis kantor
5.2.01.11 Penyediaan Barang
Cetakan dan
Penggandaan
Outcome :
terpenuhinya
kebutuhan
cetakan di
kantor
peningkatan
kualitas
kelembagaan
70.000.000 - - peningkatan
kualitas
kelembagaan
63.750.000 - NIHIL - NIHIL - 44.772.800 - 18.227.200 peningkatan
kualitas
kelembagaan
63.000.000 peningkata
n kualitas
kelembagaa
n
63.000.000 peningkatan
kualitas
kelembagaa
n
0,9882 Kantor
Lingku
ngan
Hidup
Output :
tersedianya
cetakan di
kantor
5.2.01.15 Penyediaan Bahan
Bacaan dan Peraturan
Perundang-undangan
Outcome :
tersedianya
bahan bacaan
peningkatan
kualitas
kelembagaan
- - - peningkatan
kualitas
kelembagaan
- - - - - - - - - peningkatan
kualitas
kelembagaan
- peningkata
n kualitas
kelembagaa
n
- peningkatan
kualitas
kelembagaa
n
- Kantor
Lingku
ngan
Hidup
Output : adanya
buku-buku dan
koran u dibaca
5.2.01.17 Penyediaan Makanan
dan Minuman
Outcome :
tersedianya
makan minum
pegawai
peningkatan
kualitas
kelembagaan
132.000.000 - - peningkatan
kualitas
kelembagaan
60.720.000 - 5.225.000 - 5.225.000 - 20.690.000 - 9.290.000 peningkatan
kualitas
kelembagaan
40.430.000 peningkata
n kualitas
kelembagaa
n
40.430.000 peningkatan
kualitas
kelembagaa
n
0,6658 Kantor
Lingku
ngan
Hidup
Output :
meningkatnya
kesejahteraan
pegawai
5.2.01.18 Rapat-rapat
Koordinasi dan
Konsultasi ke Luar
Daerah
Outcome :
adanya
informasi yang
ter up-date
peningkatan
kualitas
kelembagaan
250.000.000 - - peningkatan
kualitas
kelembagaan
286.700.000 - 52.380.800 - 52.380.800 - 131168000 - 42.774.000 peningkatan
kualitas
kelembagaan
278.703.600 peningkata
n kualitas
kelembagaa
n
278.703.600 peningkatan
kualitas
kelembagaa
n
0,9721 Kantor
Lingku
ngan
Hidup
Output :
tersedianya
dana untuk
mengikuti rapat
dan konsultasi
ke pusat dan
provinsi
2 5.2.02 Program Peningkatan Sarana dan Prasarana Aparatur
5.2.02.07 Pengadaan
Perlengkapan Gedung
Kantor
Outcome :
adanya
perlengkapan
gedung kantor
Tersedianya
sarana dan
prasarana
Badan
Lingkungan
Hidup
70.000.000 - - Tersedianya
sarana dan
prasarana
Kantor
Lingkungan
Hidup
60.000.000 - 9.836.000 - - 46.694.775 - - Tersedianya
sarana dan
prasarana
Kantor
Lingkungan
Hidup
56.530.775 Tersedianya
sarana dan
prasarana
Kantor
Lingkungan
Hidup
56.530.775 Tersedianya
sarana dan
prasarana
Kantor
Lingkungan
Hidup
0,9422 Kantor
Lingku
ngan
Hidup
Output :
tersedianya
pemeliharaan
gedung kantor
Peningkatan
kuantitas
Sarana dan
Prasarana
Kelembagaan
12 dari 21
16
K Rp. K Rp. K Rp. K Rp. K Rp. K Rp. K Rp. K Rp. K Rp. K Rp.
1
15=14/6*100%
2 3 4 5
6 97 8 13 14=1310 11 12
5.2.02.22 Pemeliharaan Rutin /
Berkala Gedung Kantor
Outcome :
adanya gedung
kantor yang
terpelihara
Tersedianya
sarana dan
prasarana
Badan
Lingkungan
Hidup
21.000.000 - - Tersedianya
sarana dan
prasarana
Kantor
Lingkungan
Hidup
21.000.000 - NIHIL - NIHIL - 21.000.000 - - Tersedianya
sarana dan
prasarana
Kantor
Lingkungan
Hidup
21.000.000 Tersedianya
sarana dan
prasarana
Kantor
Lingkungan
Hidup
21.000.000 Tersedianya
sarana dan
prasarana
Kantor
Lingkungan
Hidup
1 Kantor
Lingku
ngan
Hidup
Output :
terpeliharanya
gedung kantor
3 5.2.03 Program Peningkatan Disiplin Aparatur
5.2.03.02 Pengadaan Pakaian
Dinas Beserta
Perlengkapannya
Outcome :
adanya pakaian
dinas beserta
perlengkapanny
a
Tersedianya
sarana dan
prasarana
Badan
Lingkungan
Hidup
30.000.000 - - Tersedianya
sarana dan
prasarana
Kantor
Lingkungan
Hidup
16.100.000 - - - - - - - 16.100.000 Tersedianya
sarana dan
prasarana
Kantor
Lingkungan
Hidup
16.100.000 Tersedianya
sarana dan
prasarana
Kantor
Lingkungan
Hidup
16.100.000 Tersedianya
sarana dan
prasarana
Kantor
Lingkungan
Hidup
1 Kantor
Lingku
ngan
Hidup
Output :
tersedianya
pakaian dinas
beserta
perlengkapanny
a
4 5.2.05 Program Peningkatan Kapasitas Sumber Daya Aparatur
5.2.05.01 Pendidikan dan
Pelatihan Formal
Outcome :
meningkatnya
SDM aparatur
BLH
Peningkatan
Kapasitas
Sumber
Daya
Aparatur
48.900.000 - - Peningkatan
Kapasitas
Sumber
Daya
Aparatur
46.160.000 - - - - - 46.160.000 - - Peningkatan
Kapasitas
Sumber
Daya
Aparatur
46.160.000 Peningkata
n Kapasitas
Sumber
Daya
Aparatur
46.160.000 Peningkatan
Kapasitas
Sumber
Daya
Aparatur
1 Kantor
Lingku
ngan
Hidup
Output :
tercapainya
aparatur yang
berkualitas
5.2.05.02 Sosialisasi Peraturan
Perundang-undangan
Outcome :
meningkatnya
SDM aparatur
BLH
Peningkatan
Kapasitas
Sumber
Daya
Aparatur
45.000.000 - - Peningkatan
Kapasitas
Sumber
Daya
Aparatur
42.000.000 - - - 26.954.000 - - - - Peningkatan
Kapasitas
Sumber
Daya
Aparatur
26.954.000 Peningkata
n Kapasitas
Sumber
Daya
Aparatur
26.954.000 Peningkatan
Kapasitas
Sumber
Daya
Aparatur
0,6418 Kantor
Lingku
ngan
Hidup
Output :
tercapainya
aparatur yang
berkualitas
5.2.05.03 Bimbingan Teknis
Implementasi Peraturan
Perundang-undangan
Outcome :
meningkatnya
SDM aparatur
BLH
Peningkatan
Kapasitas
Sumber
Daya
Aparatur
100.000.000 - - Peningkatan
Kapasitas
Sumber
Daya
Aparatur
80.750.000 - 13.450.000 - 13.450.000 - 51.982.000 - - Peningkatan
Kapasitas
Sumber
Daya
Aparatur
78.882.000 Peningkata
n Kapasitas
Sumber
Daya
Aparatur
78.882.000 Peningkatan
Kapasitas
Sumber
Daya
Aparatur
0,9769 Kantor
Lingku
ngan
Hidup
Output :
tercapainya
aparatur yang
berkualitas
Peningkatan
Kuantitas dan
Kualitas
Sumber Daya
Manusia
Peningkatan
Kuantitas
Sarana dan
Prasarana
Kelembagaan
13 dari 21
16
K Rp. K Rp. K Rp. K Rp. K Rp. K Rp. K Rp. K Rp. K Rp. K Rp.
1
15=14/6*100%
2 3 4 5
6 97 8 13 14=1310 11 12
5 5.2.06 Program Peningkatan Pengembangan Sistem Pelaporan Capaian Kinerja dan Keuangan
5.2.06.01 Penyusunan Laporan
Capaian Kinerja dan
Ikhtisar Realisasi Kinerja
SKPD
Outcome:
tersedianya
LAKIP
adanya data
yang up-date
10.000.000 - - adanya data
yang up-date
- - NIHIL - NIHIL - - - - adanya data
yang up-date
- adanya
data yang
up-date
- adanya data
yang up-
date
- Kantor
Lingku
ngan
Hidup
Output : adanya
data LAKIP
6
5.2.15 Program Pengembangan Kinerja Pengelolaan Persampahan
5.2.15.02 Penyediaan Sarana
dan Prasarana
Pengelolaan
Persampahan
Outcome :
adanya sarana
dan prasarana
persampahan
bertambahny
a sarana dan
prasarana
dari DAK
889.709.000 - - bertambahn
ya sarana
dan
prasarana
dari DAK
889.709.000 - - - NIHIL - 18.712.000 - 751.568.000 bertambahny
a sarana dan
prasarana
dari DAK
770.280.000 bertambah
nya sarana
dan
prasarana
dari DAK
770.280.000 bertambahn
ya sarana
dan
prasarana
dari DAK
0,8658 Kantor
Lingku
ngan
Hidup
output:
tersedianya
sarana dan
prasarana
persampahan
7 5.2.19 Program Peningkatan Kualitas dan Akses Informasi Sumber Daya Alam dan Lingkungan Hidup
5.2.19.01 Peningkatan Edukasi
dan Komunikasi
Masyarakat di Bidang
Lingkungan
Outcome:
meningkatnya
jumlah siswa
yang memahami
tentang
pengelolaan
Lingkungan
Hidup
meningkatny
a jumlah
siswa yang
memahami
tentang LH
130.000.000 - - meningkatny
a jumlah
siswa yang
memahami
tentang LH
92.000.000 - - NIHIL - 83.250.000 - - meningkatny
a jumlah
siswa yang
memahami
tentang LH
83.250.000 meningkatn
ya jumlah
siswa yang
memahami
tentang LH
- meningkatn
ya jumlah
siswa yang
memahami
tentang LH
- Kantor
Lingku
ngan
Hidup
Output:
pembinaan
kepada siswa
5.2.19.02 Pengembangan Data
dan Informasi
Lingkungan
Outcome:
terkumpulnya
data untuk
pembuatan
SLHD
meningkatny
a wawasan
pelaku
usaha
45.000.000 - - meningkatny
a wawasan
pelaku
usaha
33.300.000 - - - NIHIL - - - - meningkatny
a wawasan
pelaku
usaha
- meningkatn
ya
wawasan
pelaku
usaha
- meningkatn
ya wawasan
pelaku
usaha
- Kantor
Lingku
ngan
Hidup
Output:
pengumpulan
data-data dari
kecamatan
5.2.20 Program Peningkatan Pengendalian Polusi
5.2.20.02 Pengujian
Emisi/Polusi Udara
akibat Aktivitas Industri
Outcome:
tersedianya
laporan
bertambahny
a
pengetahuan
masyarakat
tentang LH
80.000.000 - - bertambahn
ya
pengetahuan
masyarakat
tentang LH
80.000.000 - - - NIHIL - - - - bertambahny
a
pengetahuan
masyarakat
tentang LH
NIHIL bertambah
nya
pengetahua
n
masyarakat
tentang LH
- bertambahn
ya
pengetahua
n
masyarakat
tentang LH
- Kantor
Lingku
ngan
Hidup
Output:
melaksanakan
monitoring
Peningkatan
Kuantitas dan
Kualitas
Sumber Daya
Manusia
Menambah
wawasan dan
ilmu
pengetahuan
Aparatur
dalam
meningkatkan
pengetahuan
tentang
teknologi u
diimplementas
ikan kepada
masyarakat
Meningkatkan
wawasan
pelaku usaha
/ kegiatan /
industri
tentang arti
pentingnya
pengelolaan
Lingkungan
Hidup
14 dari 21
16
K Rp. K Rp. K Rp. K Rp. K Rp. K Rp. K Rp. K Rp. K Rp. K Rp.
1
15=14/6*100%
2 3 4 5
6 97 8 13 14=1310 11 12
8 5.2.24 Program Pengeloaan Ruang Terbuka Hijau (RTH)
5.2.24.02 Sosialisasi Kebijakan,
Norma, Standar,Prosedur
dan Manual Pengelolaan
RTH
Outcome:
bertambahnya
wawasan
tentang RTH
meningkatny
a wawasan
pelaku
industri
tentang RTH
50.000.000 - - meningkatny
a wawasan
pelaku
industri
tentang RTH
42.000.000 - - - NIHIL - 26.991.000 - - meningkatny
a wawasan
pelaku
industri
tentang RTH
26.991.000 meningkatn
ya
wawasan
pelaku
industri
tentang
RTH
- meningkatn
ya wawasan
pelaku
industri
tentang RTH
- Kantor
Lingku
ngan
Hidup
Output:
meningkatnya
wawasan
tentang RTH
5.2.24.05 Penataan RTH Outcome:
bertambahnya
kawasan RTH
bertambahny
a kawasan
RTH
36.000.000 - - bertambahn
ya kawasan
RTH
36.000.000 - - - - - - - 35.950.000 bertambahny
a kawasan
RTH
35.950.000 bertambah
nya
kawasan
RTH
35.950.000 bertambahn
ya kawasan
RTH
0,9986 Kantor
Lingku
ngan
Hidup
Output:
meningkatnya
kawasan RTH
102.795.175 132.813.675 603.584.033 908.758.250 1.747.951.133 ############ 16,159
Faktor Pendorong keberhasilan kinerja : Peraturan dan Undang-undang tentang Pengelolaan Lingkungan Hidup
Faktor penghambat pencapaian kinerja : Kurangnya SDM pada Kantor Lingkungan Hidup
Tindaklanjut yang diperlukan dalam triwulan berikutnya : Penambahan SDM pada Kantor Lingkungan Hidup
Tindaklanjut yang diperlukan dalam RKPD berikutnya : Meningkatkan sarana dan prasarana pada Kantor Lingkungan Hidup
Predikat Kinerja
Tersedianya
Ruang
Terbuka Hijau
Rata-rata capaian Kinerja (%)
15 dari 21
Sasaran Pembangunan Tahunan Kota PADANGSIDIMPUAN
DINAS KEBERSIHAN, PERTAMANAN dan PENCEGAHAN KEBAKARAN
K Rp K Rp K Rp K Rp K Rp K Rp K Rp K Rp K Rp K Rp
1
5 4.880.000.000 1 975.930.000 883.894.753 883.894.753 883.894.753 18,1%
Penyediaan Jasa Komunikasi, Sumber
Daya Air dan Listrik
Dimanfaatkannya alat komunikasi, sumber
daya air dan listrik dalam pelayanan
kantor
5 114.000.000 1 21.600.000 18.535.253 18.535.253 18.535.253 16,3%
Penyediaan Jasa Peralatan dan
Perlengkapan Kantor
Dimanfaatkannya peralatan dan
perlengkapan kantor dalam pelayanan
kantor
5 250.000.000 1 50.000.000 50.000.000 50.000.000 50.000.000 20,0%
Penyediaan Jasa Kebersihan Kantor Terpeliharanya kebersihan kantor 5 95.000.000 1 18.800.000 18.800.000 18.800.000 18.800.000 19,8%
Penyediaan Jasa Perbaikan Peralatan Kerja Berfungsinya dengan baik peralatan kerja
dalam pelayanan kantor 5 38.000.000 1 6.000.000 6.000.000 6.000.000 6.000.000 15,8%
Penyediaan Alat Tulis Kantor Dimanfaatkannya Alat Tulis Kantor dalam
Pelayanan Kantor
5 445.000.000 1 85.000.000 85.000.000 85.000.000 85.000.000 19,1%
Penyediaan Barang Cetakan dan
Penggandaan
Dimanfaatkannya Barang Cetakan dan
Penggandaan dalam Pelayanan Kantor 5 622.000.000 1 142.000.000 142.000.000 142.000.000 142.000.000 22,8%
Penyediaan Peralatan dan Perlengkapan
Kantor
Dimanfaatkannya peralatan dan
perlengkapan kantor
5 843.000.000 1 162.530.000 152.280.000 152.280.000 152.280.000 18,1%
Penyediaan Peralatan Rumah Tangga Dimanfaatkannya peralatan rumah tangga
5 180.000.000 1 36.000.000 36.000.000 36.000.000 36.000.000 20,0%
Penyediaan Makanan dan Minuman 5 1.223.000.000 1 243.000.000 166.310.000 166.310.000 166.310.000 13,6%
Rapat-Rapat Koordinasi dan Konsultasi Ke
Luar Daerah
Dilaksanakannya hasil rapat/konsultasi
5 1.070.000.000 1 211.000.000 208.969.500 208.969.500 208.969.500 19,5%
2
5 900.000.000 1 98.760.000 91.927.250 91.927.250 91.927.250 10,2%
Pengadaan Kendaraan Dinas/Operasional
Peningkatan Sarana dan Prasarana
5 420.000.000 1 39.000.000 35.480.000 35.480.000 35.480.000 8,4%
Pemeliharaan Rutin Berkala Kendaraan
Dinas/Operasional
Terlaksananya Pemeliharaan Kendaraan
Dinas/Operasional
5 480.000.000 1 59.760.000 56.447.250 56.447.250 56.447.250 11,8%
3 Program Peningkatan Disiplin Aparatur 5 230.000.000 1 38.700.000 35.480.000 35.480.000 35.480.000 15,4%
Pengadaan Pakaian Dinas beserta
kelengkapannya
Meningkatnya Disipli Aparatur
5 230.000.000 1 38.700.000 35.480.000 35.480.000 35.480.000 15,4%
4
5 480.000.000 1 90.000.000 89.730.000 89.730.000 89.730.000 18,7%
Pendidikan dan Pelatihan Formal Peningkatan Pengetahuan Aparatur 5 480.000.000 1 90.000.000 89.730.000 89.730.000 89.730.000 18,7%
5
5 195.000.000 1 37.000.000 31.200.000 31.200.000 31.200.000 16,0%
Penyusunan laporan capaian kinerja dan
ikhtisar realisasi kinerja SKPD
Laporan capaian kinerja dan ikhtisar
realisasi kinerja (LAKIP)
5 113.000.000 1 21.600.000 21.600.000 21.600.000 21.600.000 19,1%
Penyusunan laporan keuangan
semesteran
Dimanfaatkannya informasi dalam laporan
semesteran
5 34.000.000 1 6.500.000 4.350.000 4.350.000 4.350.000 12,8%
Penyusunan Pelaporan Keuangan akhir
tahun
Laporan Keuangan Akhir Tahun
5 48.000.000 1 8.900.000 5.250.000 5.250.000 5.250.000 10,9%
Meningkatkat
Pelaporan capaian
Kenerja keuangan
Program Peningkatan Pengembangan
Sistem Pelaporan Capaian Kinerja dan
Dinas
Kebersihan,
P2K
Peningkatan serta
terpeliharanya
kendraan Dinas
Program Peningkatan Sarana dan Prasarana
Aparatur Dinas
Kebersihan,
P2K
Meningkat Rasa
Disiplin Apartur
Dinas
Kebersihan,
P2K
Meningkat Kapasitas
SDM Aparatur
Program Peningkatan Kapasitas Sumber
Daya Aparatur
Dinas
Kebersihan,
P2K
13 14 15= 14/6*100%
Menigkatkan
pelayanan
Administrasi Kantor
Program Pelayanan Administrasi
Perkantoran
Dinas
Kebersihan,
P2K
7 8 9 10 11 12
1 2 3 4 5
6
Tingkat capaian
Kinerja dan Realisasi
Anggaran RPJMD
Kabupaten/Kota s/d
tahun 2013
SKPD
Penanggung
JawabI II III IV
Target RPJMD
Kabupaten/Kota Pada tahun
2017 (akhir Periode RPJMD)
Realisasi Capaian Kinerja
RPJMD Kabupaten / Kota
s/d RKPD Kabupaten /
Kota Tahun Lalu (n-2)
Target Kinerja dan Anggaran
RKPD Kabupaten/Kota
Tahun Berjalan (tahun n-1)
yang di evaluasi
Realisasi Kinerja pada Triwulan
Realisasi capaian Kinerja
dan Anggaran RKPD
Kabupaten / Kota yang
Dievaluasi
Realisasi Kinerja dan
Anggaran RPJMD
Kabupaten/Kota s/d Tahun
2017 (akhir tahun
Pelaksanaan RKPD tahun
No. Sasaran Kode
Urusan / Bidang Urusan Pemerintahan Daerah
dan Program/Kegiatan
Indikator Kinera Program (Outcome ) /
Kegiatan (Output)
FORMULIR VII. F.8
EVALUASI TERHADAP HASIL RKPD
KOTA PADANGSIDIMPUAN
TAHUN 2013
16 dari 21
K Rp K Rp K Rp K Rp K Rp K Rp K Rp K Rp K Rp K Rp
6
5 38.800.000.000 1 6.883.914.000 6.427.697.408 6.427.697.408 6.427.697.408 16,6%
Penyediaan Prasarana dan Sarana
Pengelolaaan Persampahan
Bertambahnya Sarana dan Prasarana
pengelolaan persampahan 5 3.000.000.000 1 157.580.000 143.280.000 143.280.000 143.280.000 4,8%
Peningkatan operasi dan pemeliharaan
saran dan prasarana persampahan
Berfungsinya dengan baik Sarana dan
Prasarana pegelolaan persampahan 5 35.800.000.000 1 6.726.334.000 6.284.417.408 6.284.417.408 6.284.417.408 17,6%
7
5 8.500.000.000 1 1.470.939.500 1.435.714.000 1.435.714.000 1.435.714.000 16,9%
Pengadaan Sarana dan Prasarana
Pencegahan Bahaya Kebakaran
Bertambahnya Sarana dan Prasarana
Pencegahan Kebakaran
5 990.000.000 1 119.600.000 110.780.000 110.780.000 110.780.000 11,2%
Pemeliharaan Sarana dan Prasarana
Pencegahan Bahaya Kebakaran
Terlaksananya Pemeliharaan Sarana dan
Prasarana Pencegahan Bahaya Kebakaran 5 7.510.000.000 1 1.351.339.500 1.324.934.000 1.324.934.000 1.324.934.000 17,6%
8
5 19.980.000.000 1 6.743.457.000 5.166.838.599 5.166.838.599 5.166.838.599 25,9%
Penataan RTH Tertatanya RTH 5 2.700.000.000 1 592.712.000 588.042.000 588.042.000 588.042.000 21,8%
Pemeliharaan RTH Berfungsinya dengan baik RTH sebagai
penambah keindahan kota
5 17.280.000.000 1 4.050.745.000 3.928.030.199 3.928.030.199 3.928.030.199 22,7%
Pengadaan dan Pemasangan Lampu
Penerang Jalan di Kota Padangsidimpuan 2.100.000.000 650.766.400 650.766.400 650.766.400
9 Pemanfaat Lahan TPA
5 2.200.000.000 1 0 0 0 0 0,0%
Penataan Penguasaan, Pemilikan,
Penggunaan dan Pemanfaatan Tanah
5 2.200.000.000 1 0 0 0 0 0,0%
10 Program Pengelolaan Areal Pemakaman 5 1.900.000.000 1 0 0 0 0 0,0%
Pembangunan Sarana dan Prasarana
Pemakaman
Dimanfaatkannya sarana dan prasarana
pemakaman
5 250.000.000 1 0 0 0 0 0,0%
Pemeliharaan Sarana dan Prasarana
Pemakaman
Berfungsinya dengan baik sarana dan
prasarana pemakaman dalam menambah
keindahan kota
5 1.650.000.000 1 0 0 0 0 0,0%
Faktor Pendorong keberhasilan Kinerja : Tersedianya Dana, SDM yang cukup dan perencanaan yang matang.
Faktor penghambat pencapaian Kinerja : Masih kurangnya dana yang memadai serta proses dan peraturan yang sangat sulit
Tindak Lanjut yang di perlukan dalam Triwulan berikutnya :
Tindak Lanjut yang di perlukan dalam RKPD berikutnya :
Program Penataan Penguasaan, Pemilikan,
Penggunaan dan Pemanfaatan Tanah Dinas
Kebersihan,
P2K
13 14 15= 14/6*100%
Realisasi Kinerja dan
Anggaran RPJMD
Kabupaten/Kota s/d Tahun
2017 (akhir tahun
Pelaksanaan RKPD tahun
Tingkat capaian
Kinerja dan Realisasi
Anggaran RPJMD
Kabupaten/Kota s/d
tahun 2013
SKPD
Penanggung
Jawab
Penyediaan
pemeliharaan dan
sarana Pemakamaman
Umun
Dinas
Kebersihan,
P2K
Rata-Rata capaian Kinerja (%)
Prediksi Kinerja
Siaga dan Pencegahan
Bahaya Kebakaran
Program Peningkatan Kesiagaan dan
Pencegahan Bahaya Kebakaran
Dinas
Kebersihan,
P2K
Tertatanya serta
penambahan RTH
keindahan kota
Program Pengelolaan Ruang Terbuka Hijau
(RTH)
Dinas
Kebersihan,
P2K
Bertambah dan ber
fungsinya dengan baik
Sarana dan Prasarana
pegelolaan
persampahan
Program Pengembangan Kinerja
Pengelolaan Persampahan
Dinas
Kebersihan,
P2K
7 8 9 10 11 12
1 2 3 4 5
6
Target Kinerja dan Anggaran
RKPD Kabupaten/Kota
Tahun Berjalan (tahun n-1)
yang di evaluasi
Realisasi Kinerja pada Triwulan
Realisasi capaian Kinerja
dan Anggaran RKPD
Kabupaten / Kota yang
DievaluasiI II III IV
No. Sasaran Kode
Urusan / Bidang Urusan Pemerintahan Daerah
dan Program/Kegiatan
Indikator Kinera Program (Outcome ) /
Kegiatan (Output)
Target RPJMD
Kabupaten/Kota Pada tahun
2017 (akhir Periode RPJMD)
Realisasi Capaian Kinerja
RPJMD Kabupaten / Kota
s/d RKPD Kabupaten /
Kota Tahun Lalu (n-2)
17 dari 21
Sasaran Pembangunan Tahunan Kota : Padangsidimpuan
Badan KB,PP dan PA
Rp. K Rp. K Rp. K Rp. K Rp. K Rp. K Rp. K Rp. K Rp. K Rp.
I BIDANG KB DAN KELUARGA SEJAHTERA 43.502.081 - 7,94 3.454.466 - - - - - - 94,14 3.252.136 94,14 3.252.136 94,14 3.252.136 7,48 0,07
1 12 01 15 Program Keluarga Berencana 12.377.906 - 11,10 1.374.531 - - - - - - 94,72 1.301.923 94,72 1.301.923 94,72 1.301.923 10,52 0,11
Pemutaran Film KB 12 01 15 02 Pelayanan KIE Tersebarnya informasi KB ke seluruh Desa/Kel 60 Keg 432.800 - - 7,58 32.800 - - - - - - 67,84 22.250 67,84 22.250 67,84 22.250 1,13 0,05 Badan KB
Pelayanan Pup Smeer 12 01 15 04 Promosi Pelayanan Kelangsungan Hidup Bayi dan Anak (KHIBA)Peserta KB Baru dan Aktif 10 Bln 355.550 - - 56,53 201.000 - - - - - - 97,81 196.590 97,81 196.590 97,81 196.590 1,63 0,33 Badan KB
Operasional Petugas KIE 12 01 15 05 Pembinaan Keluarga Berencana Operasional Petugas KIE PLKB Non PNS 60 Bln 595.550 - - 22,33 133.000 - - - - - - 96,87 128.840 96,87 128.840 96,87 128.840 3,87 0,10 Badan KB
Sarana Pelayanan KB 12 01 15 06 Pengadaan Sarana Mobilitas Tim KB Keliling Meningkatnya Sarana Pelayanan KB 25 Keg 1.333.000 - - 38,65 515.156 - - - - - - 92,11 474.508 92,11 474.508 92,11 474.508 3,07 0,28 Badan KB
Kegiatan TMKK 12 01 15 07 Kegiatan Terpadu TNI Manungggal KB Kesehatan Terlaksananya Pelay.KB secara terpadu 30 Bln 1.715.156 - - 5,13 88.000 - - - - - - 95,00 83.600 95,00 83.600 95,00 83.600 6,33 0,16 Badan KB
Kegiatan PKK-KB Kes 12 01 15 08 Kegiatan Terpadu Kesatuan Gerak PKK KB Kesehatan Terlaksananya Pelay.KB secara terpadu 15 Bln 536.400 - - 10,51 56.400 - - - - - - 100,00 56.400 100 56.400 100,00 56.400 6,67 0,13 Badan KB
Kegiatan Bulan Bhakti KB IBI 12 01 15 09 Kegiatan Terpadu Bulan Bhakti KB IBI Terlaksananya Pelay.KB secara terpadu 15 Bln 437.300 - - 9,60 42.000 - - - - - - 97,86 41.100 97,86 41.100 97,86 41.100 0,12 0,03 Badan KB
Kegiatan Pelay. TKBK 12 01 15 10 Kegiatan Pelayanan Tim KB Keliling (TKBK) Terlaksananya Kegiatan Pelay. KB di 79 Desa 790 keg 1.332.000 - - 9,91 132.000 - - - - - - 99,28 131.050 99,28 131.050 99,28 131.050 0,06 0,10 Badan KB
Jambore Institusi 12 01 15 11 Jambore Institusi Program KB Terlaksananya Jambore IMP Tk. Kota, Provinsi,
Nasional
1.530 Org 1.314.100 - - 2,22 29.200 - - - - - - 100,00 29.200 100 29.200 100,00 29.200 3,33 0,02 Badan KB
Kegiatan Penilaian 12 01 15 12 Penilaian Pelaksanaan Program KB Terlaksananya Penilaian KegiatanProgram KB 30 keg 1.234.375 - - 2,78 34.375 - - - - - - 96,51 33.175 96,51 33.175 96,51 33.175 3,22 0,08 Badan KB
Kegiatan KB Bhayangkara 12 01 15 13 Kegiatan Terpadu KB Kes Bhayangkara Terlaksananya Pelay.KB secara terpadu 30 Keg 431.975 - - 9,26 40.000 - - - - - - 93,75 37.500 93,75 37.500 93,75 37.500 18,75 0,03 Badan KB
Penyuluhan KB 12 01 15 14 Hari Keluarga Nasional (Harganas) Peserta KB Pria 5 Keg 1.259.700 - - 5,60 70.600 - - - - - - 95,91 67.710 95,91 67.710 95,91 67.710 2,00 0,07 Badan KB
Kegiatan PPKS 12 01 15 15 Kegiatan Pusat Pelayanan Keluarga Sejahtera (PPKS) Terbentuknya PPKS di Kota Padangidimpuan 48 Bln 1.000.000 - - - - - - - - - - - - - - - - - - Badan KB
Kegiatan Koalisai Kependudukan 12 01 15 16 Pembentukan Koalisi untuk Indonesia Kependudukan dan PembangunanTerbentuknya KPKP dI Kota Padangidimpuan 24 Keg 400.000 - - - - - - - - - - - - - - - - - - Badan KB
2. 12 01 16 Program Kesehatan Reproduksi Remaja (KRR) 1.420.000 - - - - - - - - - - - - - - - -
Remaja dalam rangka persiapan menuju
perkawinan
12 01 16 01 Orientasi Pengelola KIE KRR Meningkatnya Pengetahuan Remaja dalam rangka
persiapan menuju perkawinan 24 Keg 240.000 - - - - - - - - - - - - - - - - - - Badan KB
Remaja dalam rangka persiapan menuju
perkawinan
12 01 16 02 Latihan Petugas KIE KRR Meningkatnya Pengetahuan Remaja dalam rangka
persiapan menuju perkawinan 24 Keg 240.000 - - - - - - - - - - - - - - - - - - Badan KB
Remaja dalam rangka persiapan menuju
perkawinan
12 01 16 03 Orientasi Program KRR bagi mitra kerja (lintas sektor, LSM, Kelompok remaja, organisasi pemuda, organisasi keagaan dll)Meningkatnya Pengetahuan Remaja dalam rangka
persiapan menuju perkawinan 24 Keg 480.000 - - - - - - - - - - - - - - - - - - Badan KB
Remaja dalam rangka persiapan menuju
perkawinan
12 01 16 04 Study Banding Program KRR Meningkatnya Pengetahuan Remaja dalam rangka
persiapan menuju perkawinan 4 Keg 100.000 - - - - - - - - - - - - - - - - - - Badan KB
Remaja dalam rangka persiapan menuju
perkawinan
12 01 16 05 Rapat Koordinasi Program KRR Meningkatnya Pengetahuan Remaja dalam rangka
persiapan menuju perkawinan 24 Keg 120.000 - - - - - - - - - - - - - - - - - - Badan KB
Remaja dalam rangka persiapan menuju
perkawinan
12 01 16 06 Advokasi KIE tentang Kesehatan Reproduksi Remaja
(KRR)
Meningkatnya Pengetahuan Remaja dalam rangka
persiapan menuju perkawinan 24 Keg 240.000 - - - - - - - - - - - - - - - - - - Badan KB
3. 12 01 17 Program Pelayanan Kontrasepsi 6.522.890 - 4,03 262.990 - - - - - - 76,39 200.911 76,39 200.911 76,39 200.911 3,08 0,03
Kepala Desa/Lurah sebagai tenaga
penghubung
12 01 17 01 Pelayanan Konseling KB Meningkatnya Kesejahteraan Tenaga penghubung
4.266 Ob 805.800 - - 5,88 47.400 - - - - - - - - - - - - - - Badan KB
Peserta KB Aktif dan Ulangan 12 01 17 02 Pelayanan Pemasangan Kontrasepsi KB Terpenuhinya Hak-Hak Reproduksi 165 KKB 592.340 - - 7,58 44.880 - - - - - - 100 44.880 100 44.880 100 44.880 0,61 0,08 Badan KB
33 Klinik KB se Kota Padangsidimpuan 12 01 17 03 Pengadaan Kontrasepsi dan Obat Side Effeck Adanya Jaminan ketersediaana Kontrasepsi 6 Pkt 2.535.000 - - 1,38 35.000 - - - - - - 99,79 34.925 99,8 34.925 100 34.925 16,63 0,01 Badan KB
Peserta KB Keluarga Para Sejahtera dan
KS I
12 01 17 04 Pelayanan KB Medis Operasi (MOW/MOP) Meningkatnya Peserta KB Medis Operasi Wanita 750 Kss 1.296.450 - - 8,84 114.550 - - - - - - 92,76 106.255 92,8 106.255 93 106.255 0,12 0,08 Badan KB
EVALUASI TERHADAP HASIL RKPD
KOTA PADANGSIDIMPUAN
TAHUN 2013
No. Sasaran Kode
Urusan/Bidang Urusan Pemerintahan Daerah
dan Program/Kegiatan
Indikator
Kinerja Program
(Outcome)/Kegiatan
(Output)
Target RPJMD Kab/Kota
pada Tahun 2017 (Akhir
priode RPJMD) (Dalam
ribuan)
Realisasi
Capaian
Kinerja
RPJMD
Kab/Kota s.d
RKPD
Kab/Kota
Tahun Lalu
(n-2)
I II III IV
Target Kinerja dan
Anggaran Kab/Kota
Tahun berjalan
(Tahun n-1) yang di
evaluasi
Realisasi Kinerja pada Triwulan
Target Kinerja dan
Anggaran RKPD
Kab/Kota yang di
evaluasi
Realisasi Kinerja
dan Anggaran
RPJMD Kab/Kota
s.d Tahun 2013
(Akhir Tahun
Pelaksanaan RKPD
Tahun 2013)
Tingkat Capaian
Kinerja dan
Realisasi
Anggaran
RPJMD Kab/Kota
Tahun 2013 (%)
Penangg
ung
jawab
16
K
7 8 9 10 11 126 13=9+10+11+12 14=7+13
15=14/6*
100%1 2 3 4 5
18 dari 21
Rp. K Rp. K Rp. K Rp. K Rp. K Rp. K Rp. K Rp. K Rp. K Rp.
PLKB dan Petugas Klinik KB 12 01 17 05 Pelatihan Pencatatan dan Pelaporan Program KB Meningkatnya Ketrampilan Petugas r/r 240 Org 173.300 - - 12,21 21.160 - - - - - - 70,18 14.851 70,18 14.851 70,18 14.851 0,29 0,09 Badan KB
Pangan Usian Subur (PUS) 12 01 17 05 Pup Smeer Meningkatnya Kesehatan Reproduksi PUS 400 Kss 400.000 - - - - - - - - - - - - - - - - - - Badan KB
Pangan Usian Subur (PUS) 12 01 17 06 Komplikasi/Pencabutan Implant dan IUD Meningkatnya Kesehatan Reproduksi PUS 400 kss 400.000 - - - - - - - - - - - - - - - - - - Badan KB
Gudang Alkon 12 01 17 06 Penyimpanan, pemeliharaan dan pengiriman alokon Terpeliharanya Kebersihan Alkon 48 Bln 160.000 - - - - - - - - - - - - - - - - - - Badan KB
PLKB dan Petugas Klinik KB 12 01 17 06 Pertemuan Koordinasi, pembentukan Tim dan Pengembangan
JKK di Tk. Kota
Tersedianya Jaminan Alat Kontrasepsi
24 Keg 160.000 - - - - - - - - - - - - - - - - Badan KB
4. 12 01 18
Program Pembinaan Peran Serta Masyarakat dalam
Pelayanan KB/KR yang Mandiri
13.260.445 - 9,82 1.302.105 - - - - - - 96,36 1.254.712 96,36 1.254.712 96,36 1.254.712 9,46 0,09
Kader KB (PPKBD/Sub PPKBD) 12 01 18 02 Orientasi Program KB bagi Kader PPKBD/Sub PPKBD Meningkatnya Pengetahuan Kader KB (PPKBD/Sub
PPKBD)
24 Keg 480.000 - - - - - - - - - - - - - - - - - - Badan KB
Kader KB (PPKBD/Sub PPKBD) 12 01 18 03 Operasional Kader PPKBD/Sub PPKBD Meningkatnya Kesejahteraan Kader KB 54 Bln 1.988.700 - - 8,34 165.900 - - - - - - 99,76 165.500 99,76 165.500 100 165.500 1,85 0,08 Badan KB
Seluruh Pegawai Badan KB 12 01 18 04 Koordinasi Pengelolaan Program KB Terevaluasinya Kegiatan Program KB setiap Bulan 60 Bln 1.082.705 - - 12,36 133.805 - - - - - - 98,92 132.365 98,92 132.365 99 132.365 1,65 0,12 Badan KB
Evaluasi Program KB Semester I 12 01 18 05 Review Program KB Evaluasi Tahun 2012 dan Rencana Tahun 2013 Tk.
Kec
4 Keg 240.000 - - 4,63 11.100 - - - - - - - - - - - - - - Badan KB
Keluarga Pra Sejahtera 12 01 18 06 Pemberdayaan Ekonomi Keluarga Peningkatan Ekonomi Keluarga 14 Keg 670.600 - - 40,35 270.600 - - - - - - 99,95 270.455 99,95 270.455 100 270.455 7,14 0,40 Badan KB
PLKB dan Kader KB 12 01 18 07 Pengelolaan Data dan Informasi Program KB Tersedianya Data KB yang akurat ####### KK 1.452.110 - - 11,16 162.000 - - - - - - 95,18 154.192 95,18 154.192 95 154.192 0,00 0,11 Badan KB
Kecamatan se Kota Padangsidimpuan 12 01 18 08 Latihan Pemberdayaan Ekonomi Keluarga Meningkatnya Ketrampilan Ekonomi Keluarga 1.500 Org 519.550 - - 43,23 224.600 - - - - - - 100 224.600 100 224.600 100 224.600 0,07 0,43 Badan KB
Rakerda Program KB 12 01 18 09 Rapat Kerja Daerah (Rakerda) Program KB Evaluasi Program KB Tahun 2013 5 Keg 350.600 - - 7,64 26.800 - - - - - - 100 26.800 100 26.800 100 26.800 20,00 0,08 Badan KB
Kecamatan se Kota Padangsidimpuan 12 01 18 10 Rapat Koordinasi Program KBTingkat Kecamatan Evaluasi Program KB di Kecamatan Tahun 2013 3.032 Org 982.620 - - 20,89 205.240 - - - - - - 100 205.240 100 205.240 100 205.240 0,03 0,21 Badan KB
Seluruh Pejabat Struktural Badan KB 12 01 18 11 Rapat Pengendalian Proyek (Rayek) Program KB Evaluasi Kegiatan Keuangan setiap triwulan 16 Keg 48.000 - - 55,21 26.500 - - - - - - - - - - - - - - Badan KB
Lurah Kepala Desa, Camat Dsb 12 01 18 12 Exspose Hasil Pendataan keluarga Evaluasi Hasil Pendataan Keluarga 6 Keg 75.560 - - 100 75.560 - - - - - - 100 75.560 100 75.560 100 75.560 16,67 1,00 Badan KB
Kelompok UPPKS 12 01 18 13 Bantuan Alat Tehnologi Tepat Guna Bantuan Sarana Kelompok UPPKS 1 Keg 100.000 - - - - - - - - - - - - - - - - - - Badan KB
Pra Sejahtera 12 01 18 14 Bantuan ALADIN dan Listrik Kencana bagi Rumah Keluarga Pra SejahteraMeningkatnya Tahapan Keluarga Pra Sejahtera 96 Rmh 5.270.000 - - - - - - - - - - - - - - - - - - Badan KB
5. 12 01 19
Program Promosi Kesehatan Ibu bayi dan Anak melalui
Kegiatan Kelompok di Masyarakat
3.293.750 - 9,34 307.750 - - - - - - 93,42 287.500 93,42 287.500 93,42 287.500 8,73 0,09
Kegiatan Penyuluhan Kesehatan Anak 12 01 19 01 Penyuluhan Kesehatan ibu, bayi dan anak melalui kegiatan
kelompok di masyarakat
Meningkatnya Pengetahuan Masyarakat
1.800 Org 551.500 - - 11,88 65.500 - - - - - - 98,47 64.500 98,47 64.500 98,47 64.500 0,05 0,12 Badan KB
Kegiatan Sosialisasi Undang-Undang 12 01 19 02 Penyuluhan Hukum bagi Perlindungan Anak Meningkat Pengetahuan Masyarakat, Guru-guru
Sekolah 12.500 Org 2.224.750 - - 10,10 224.750 - - - - - - 99,22 223.000 99,22 223.000 99,22 223.000 0,01 0,10 Badan KB
Pembentukan KPAID 12 01 19 03 Kegiatan Komisi Perlindungan Anak Indonesia Daerah Terbentuknya KPAID Kota Padangsidimpuan
60 Bln 517.500 - - 3,38 17.500 - - - - - - - - - - - - - - Badan KB
6. 12 01 20
Program Pengembangan pusat pelayanan informasi dan
Konseling KRR
1.755.550 - 0,89 15.550 - - - - - - 100 15.550 100 15.550 100 15.550 0,89 0,01
Kegiatan Penyuluhan 12 01 20 01 Pendirian Pusat Pelayanan Informasi dan Konseling KRR Meningkatnya Pengetahuan Remaja tentang
Program KB
- Org 80.000 - - - - - - - - - - - - - - - - - - Badan KB
Kegiatan Penyuluhan 12 01 20 02 Orientasi Petugas PIK KRR Bagi Pengelola, Pendidik Sebaya
dan Konselor sebaya
Meningkatnya Pengeta huan Remaja tentang
Bahaya Narkoba
486 Org 400.000 - - - - - - - - - - - - - - - - - - Badan KB
Sarana PIK KRR 12 01 20 03 Fasilitasi, dukungan sarana prasarana PIK KRR Meningkatnya Pelayanan PIK-KRR 4 Keg 20.000 - - - - - - - - - - - - - - - - - - Badan KB
Operasional Petugas PIK KRR 12 01 20 04 Dukungan Dana Operasional PIK KR Meningkatnya Kesejahteraan Petugas PIK-KRR 48 Bln 80.000 - - - - - - - - - - - - - - - - - - Badan KB
Kegiatan Penyuluhan 12 01 20 05 Saka Kencana Meningkatnya Pengetahuan Remaja Pramuka
tentang Keluarga Berencana
1.800 Org 975.550 - - 1,59 15.550 - - - - - - 100 15.550 100 15.550 100 15.550 0,06 0,02 Badan KB
Kegiatan Penyuluhan 12 01 20 06 Pertasi Kencana Meningkatnya keterpaduab KB 240 Org 200.000 - - - - - - - - - - - - - - - - - - Badan KB
7. 12 01 20
Program Peningkatan Penanggulangan Narkoba, PMS
termasuk HIV/AIDS
663.350 - 9,55 63.350 - - - - - - 100,00 63.350 100,0 63.350 100 63.350 9,55 0,10
Kegiatan Penyuluhan 12 01 21 01 Penyuluhan Penanggulangan Narkoba dan PMS
Meningkatnya Pengeta huan Remaja tentang
Bahaya Narkoba
1.800 Org 663.350 - - 9,55 63.350 - - - - - - 100 63.350 100 63.350 100 63.350 0,06 0,10 Badan KB
8. 12 01 22
Program Pengembangan Bahan Informasi tentang
Pengasuhan dan Pembinaan Tumbuh Kembang Anak
480.000 - - - - - - - - - - - - - - - - -
Petugas Lapangan dan Kelompok Bina
Keluarga Balita
12 01 22 01
Pengumpulan Bahan Informasi tentang Pengasuhan dan
Pembinaan Tumbuh Kembang Anak
Meningkatnya Pengeta huan PLKB tentang BKB 1.440 Org 480.000 - - - - - - - - - - - - - - - - - - Badan KB
1 2 3 4 5
6 13 14=7+13
15=14/6*
100% 16
K
7 8 9 10 10 11
19 dari 21
Rp. K Rp. K Rp. K Rp. K Rp. K Rp. K Rp. K Rp. K Rp. K Rp.
9. 12 01 23
Program Penyiapan Tenaga Pendamping Kelompok Bina
Keluarga
3.568.190 - 3,59 128.190 - - - - - - 100 128.190 100 128.190 100 128.190 3,59 0,04
Kegiatan Penyuluhan 12 01 23 01 Pelatihan Tenaga Pendamping Kelompok Bina Kel. Meningkatnya Pengetahuan Kader BKB 1.800 Org 1.328.190 - - 9,65 128.190 - - - - - - 100 128.190 100 128.190 100 128.190 0,06 0,10 Badan KB
Kegiatan Penyuluhan 12 01 23 02 Pelatihan Kader Bina Keluarga Remaja (BKR) Meningkatnya Pengetahuan Kader BKR 1.440 Org 1.120.000 - - - - - - - - - - - - - - - - - - Badan KB
Kegiatan Penyuluhan 12 01 23 02 Pelatihan Kader Bina Keluarga Lansia (BKL) Meningkatnya Pengetahuan Kader BKL 1.440 Org 1.120.000 - - - - - - - - - - - - - - - - - - Badan KB
10. 12 01 24
Program Pengembangan Model Operasional BKB
Posyandu-Padu
160.000 - - - - - - - - - - - - - - - - -
Operasional Kader BKB 12 01 24 01 Operasional Pengembangan BKB-Pos Yandu-Padu Meningkatnya Kesejahteraan Kader BKB 4 Keg 160.000 - - - - - - - - - - - - - - - - - - Badan KB
II. 11 01 BIDANG PEMBERDAYAAN PEREMPUAN 6.903.300 - 5,96 411.400 - - - - - - 99,59 409.696 99,59 409.696 97,58 409.696 17,78 0,06
1. 11 01 15
Program Keserasian Kebijakan Peningkatan kualitas Anak
dan Perempuan
580.000 - - - - - - - - - - - - - - - -
Penyusunan Peraturan Daerah tentang
Pemberdayaan Perempuan
11 01 15 01
Perumusan Kebijakan Peningkatan Kualitas Hidup Perempuan
Dibidang Ilmu Pengetahuan dan Tehnologi
Tersedianya Peraturan Daerah tentang Peningkatan
SDM Perempuan
1 Keg 50.000 - - - - - - - - - - - - - - - - - - Badan KB
Penyusunan Peraturan Daerah tentang
Pemberdayaan Perempuan
11 01 15 02
Perumusan Kebijakan Peningkatan Kualitas Hidup Perempuan
dibidang Politik dan jabatan Publik
Tersedianya Peraturan Daerah tentang Peningkatan
SDM Perempuan
1 Keg 50.000 - - - - - - - - - - - - - - - - - - Badan KB
Kegiatan Sosialisasi Kesetaraan Gender
11 01 15 03
Pelaksanaan sosialisasi yang terkait dengan Kesetaraan
Gender, Pemberdayaan Perempuan dan Perlindungan Anak Meningkatnya Pengetahuan Masyarakat tentang
Kesetaraan Gender
1 Keg 480.000 - - - - - - - - - - - - - - - - - - Badan KB
2. 11 01 16
Program Penguatan Kelembagaan Pengarusutamaan
Gender dan Anak
1.280.000 - 5,49 70.300 - - - - - - 97,58 68.596 97,58 68.596 97,58 68.596 5,36 0,05
Rumah Penampungan sementara korban
KDRT
11 01 16 01
Fasilitasi Pengembangan Pusat Pelayanan Terpadu
Pemberdayaan Perempuan (P2TP2)
Tersedianya Rumah Penampungan sementara
korban KDRT
30 Keg 240.000 - - 29,29 70.300 - - - - - - 97,58 68.596 97,58 68.596 97,58 68.596 3,25 0,29 Badan KB
Pemutakhiran data perempuan dan anak 11 01 16 02
Pemetaan Potensi dan Lembaga Masyarakat yang berperan
dalam Pemberdayaan Perempuan dan Anak
Terlaksananya Pemutakhiran data perempuan dan
anak
8 Keg 80.000 - - - - - - - - - - - - - - - - - - Badan KB
Masyarakat laki-laki dan perempuan 11 01 16 03
Pengembangan materi dan pelaksanaan KIE tentang
Kesetaraan dan Keadilan Gender (KKG)
Meningkatnya Pengetahuan Masyarakat laki-laki
dan perempuan
4 Keg 80.000 - - - - - - - - - - - - - - - - - - Badan KB
Penyiapan wadah/kumpulan gender 11 01 16 04
Penguatan Kelembagaan dan Pengarusutamaan Gender dan
Anak Tersedianya Penyiapan wadah/kumpulan gender 8 Keg 160.000 - - - - - - - - - - - - - - - - - - Badan KB
Pembentukan Komisi Perlindungan
Perempuan
11 01 16 05
Peningkatan Kapasitas dan Jaringan Kelembagaan
Pemberdayaan Perempuan dan Anak Pembentukan Komisi Perlindungan Perempuan 8 Keg 160.000 - - - - - - - - - - - - - - - - - - Badan KB
Pembentukan Komisi Perlindungan Anak 11 01 16 06
Pengembangan Sistem Informasi Gender dan Anak
Pembentukan Komisi Perlindungan Anak 8 Keg 160.000 - - - - - - - - - - - - - - - - - - Badan KB
Pokja PUG 11 01 16 07
Worshop Anak/Peningkatan Perann Perempuan dalam
Pengambilan Keputusan Terlaksananya Pokja PUG 8 Keg 320.000 - - - - - - - - - - - - - - - - - - Badan KB
Gabungan Organisasi Wanita (GOW) 11 01 16 08 Pemberdayaan Lembaga yang Berbasis Gender Terbentuknya Gabungan Organisasi Wanita (GOW) 4 Keg 80.000 - - - - - - - - - - - - - - - - - - Badan KB
3. 11 01 17
Program Peningkatan Kualitas Hidup dan Perlindungan
Perempuan 3.344.500 - 7,91 264.500 - - - - - - 100 264.500 100 264.500 100 264.500 7,91 0,08
Perlindungan bagi korban KDRT 11 01 17 01
Pelaksanaan kebijakan perlindungan perempuan di
daerah
Adanya Perlindungan bagi korban KDRT 4 Keg 80.000 - - - - - - - - - - - - - - - - - - Badan KB
Pembentukan pengurus perlindungan
perempuan
11 01 17 02
Pelatihan bagi pelatih (TOT) SDM Pelayanan dan
pendampingan korban KDRT
Pembentukan pengurus perlindungan perempuan 4 Keg 200.000 - - - - - - - - - - - - - - - - - - Badan KB
Tenaga dan Unit Pengelola Pelaporan
KDRT
11 01 17 03
Sosialisasi dan advokasi kebijakan Perlindungan Tenaga
Kerja Perempuan
Terselenggaranya Sosialisasi Pencatatan
Pelaporan KDRT
4 Keg 200.000 - - - - - - - - - - - - - - - - - - Badan KB
1 2 3 4 5
6 13 14=7+13
15=14/6*
100% 16
K
7 8 9 10 10 11
20 dari 21
Rp. K Rp. K Rp. K Rp. K Rp. K Rp. K Rp. K Rp. K Rp. K Rp.
Kegiatan Penyuluhan 11 01 17 04 Sosialisasi Sistem Pencatatan dan pelaporan KDRT
Meningkatnya Pemaha man Masyarakat ttg
Perlindungan KDRT
4 Keg 200.000 - - - - - - - - - - - - - - - - - - Badan KB
Kegiatan Penyuluhan 11 01 17 05
Penyusunan profil perlindungan perempuan lansia dan
cacat
Meningkatnya Pemahaman Tenaga Kerja Indonesia 4 Keg 200.000 - - - - - - - - - - - - - - - - - - Badan KB
Kegiatan Penyuluhan 11 01 17 06
Fasilitasi upaya perlindungan perempuan terhadap tindak
kekerasan
Tersedianya Data yang akurat tentang KDRT 30 Keg 464.500 - - 56,94 264.500 - - - - - - 100 264.500 100 264.500 100 264.500 3,33 0,57 Badan KB
Pengumpulan dan Pengolahan Data 11 01 17 07
Sosilalisasi Undang-Undang Perlindungan Perempuan
Terhadap Tindak Kekerasan
Tersedianya Data yang akurat Perempuan Lansia 10.000 Keg 2.000.000 - - - - - - - - - - - - - - - - - - Badan KB
4. 11 01 18
Program Peningkatan Peran serta dan Kesetaraan Gender
dalam Pembangunan
1.698.800 - 4,51 76.600 - - - - - - 100 76.600 100 76.600 100 76.600 4,51 0,05
Kegiatan Penyuluhan 11 01 18 01 Kegiatan Pembinaan Organisasi Perempuan
Terbinanya Gabungan Organisasi Perempuan
(GOW)
480 Org 240.000 - - - - - - - - - - - - - - - - - - Badan KB
Kegiatan Penyuluhan 11 01 18 02
Kegiatan Pendidikan dan Pelatihan Peningkatan Peran Serta
dan Kesetaraan Gender
Meningkatnya Pengetahuan Masyarakat Tentang
Kesetaraan Gender
480 Org 240.000 - - - - - - - - - - - - - - - - - - Badan KB
Kegiatan Penyuluhan 11 01 18 03
Kegiatan Penyuluhan bagi ibu Rumah Tangga dalam
Membangun Keluarga Sejahtera
Meningkatnya Pengetahuan Masyarakat Tentang
Keluarga Sejahtera
1.800 Org 513.800 - - 13,16 67.600 - - - - - - 100 67.600 100 67.600 100 67.600 0,06 0,13 Badan KB
Kegiatan Penyuluhan 11 01 18 04
Kegiatan Bimbingan Manajeman Usaha bagi Perempuan dalam
Mengelola Usaha
Meningkatnya Pengeta huan Masyarakat akan
Kesejahteraan Keluarga
200 Klp 225.000 - - 4,00 9.000 - - - - - - 100 9.000 100 9.000 100 9.000 0,50 0,04 Badan KB
Kegiatan Penyuluhan 11 01 18 05
Kegiatan Pameran Hasil Karya Perempuan dibidang
Pembangunan Meningkatnya Ekonomi Keluarga 480 Org 240.000 - - - - - - - - - - - - - - - - - - Badan KB
Kegiatan Pameran 11 01 18 06 Kegiatan Orientasi bagi Kader GISS Meningkatnya Ekonomi Keluarga 480 Org 240.000 - - - - - - - - - - - - - - - - - - Badan KB
50.405.381 - 7,67 3.865.866 - - - - - - 95 3.661.832 94,72 3.661.832 94,72 3.661.832 28,29 0,16
50.405.381 - 7,67 3.865.866 - - - - - - 95 3.661.832 94,72 3.661.832 94,72 3.661.832 28,29 0,16
7 8 9 10 10 11
Rata-rata capaian kinerja (%)
Predikat Kinerja
Faktor pendorong :
Faktor penghambat pencapaian kinerja : Tidak terdapat faktor penghambat dalam pelaksanaan program dan kegiatan untuk pencapaian kinerja
Tindaklanjut yang diperlukan dalam dalam triwulan berikutnya : Diharapkan realisasi keuangan dapat terealisasi cepat dan tepat waktu agar pelaksanaan kegiatan sesuai dengan jadwal yang telah direncanakan
Tindaklanjut yang diperlukan dalam RKPD berikutnya : Diharapkan Program dan kegiatan yang belum terlaksana agar dapat dilaksanakan secepatnya agar realisasi pada semester berikutnya sudah mencapai 100 %
13 14=7+13
15=14/6*
100%
16
K
1 2 3 4 5
6
21 dari 21
Sasaran Pembangunan Tahunan Kota : Padangsidimpuan
Dinas Sosial
1 2 4 5 16
K Rp. K Rp. K Rp. K Rp. K Rp. K Rp. K Rp. K Rp. K Rp. K Rp.
URUSAN WAJIB
SOSIAL
1 1 13 1 13 01 01 100% 3.214.000.000 564.796.350 - - 44% 256.433.646 16% 92.555.498 86% 488.171.916 86% 488.171.916 100% 488.171.916 15% Dinsosr
naker
01 Penyediaan Jasa Surat Menyurat 56.000.000 - - 23% 13.021.000 26% 14.250.000 100% 55.839.000 100% 55.839.000 100% 55.839.000
02 21.950.000 - - 28% 4.815.996 20% 3.313.498 91% 19.990.016 91% 19.990.016 91% 19.990.016
08 Penyediaan Jasa Kebersihan Kantor 12.227.500 - - 48% 5.839.000 1% 200.000 100% 12.227.500 100% 12.227.500 100% 12.227.500
10 Penyediaan Jasa Alat Tulis kantor 75.202.900 - - 66% 49.763.250 19% 13.830.300 98% 73.402.900 98% 73.402.900 98% 73.402.900
11 49.175.950 - - 50% 22.933.400 21% 9.700.700 96% 47.278.500 96% 47.278.500 96% 47.278.500
17 Penyediaan makanan dan Minuman 113.240.000 - - 22% 24.351.000 19% 21.721.000 78% 88.200.000 78% 88.200.000 78% 88.200.000
18 237.000.000 - - 68% 135.710.000 15% 29.540.000 81% 191.234.000 81% 191.234.000 81% 191.234.000
2 1 13 1 13 01 02 100% 427.000.000 330.658.000 36% 119.095.000 5% 17.030.000 96% 317.767.000 96% 317.767.000 96% 317.767.000 74% Dinsosr
naker
05 Pengadaan Kendaraan Dinas/Operasional 34.000.000 - - 91% 31.098.000 0% 0 91% 31.098.000 91% 31.098.000 91% 31.098.000
09 Pengadaan Peralatan Gedung Kantor 232.158.000 - - 98% 68.850.000 1% 1.050.000 97% 224.558.000 97% 224.558.000 97% 224.558.000
22 Pemeliharaan Rutin/Berkala Gedung Kantor 9.600.000 - - 42% 4.000.000 8% 800.000 100% 9.600.000 100% 9.600.000 100% 9.600.000
24
Pemeliharaan Rutin/Berkala Kendaraan
Dinas/Operasional
42.900.000 - - 27% 11.657.000 24% 10.237.000 99% 42.648.000 99% 42.648.000 99% 42.648.000
28 12.000.000 - - 29% 3.490.000 41% 4.943.000 82% 9.863.000 82% 9.863.000 82% 9.863.000
PROGRAM PENINGKATAN DISIPLIN
APARATUR
Pengadaan Pakaian Dinas dan
Perlengkapannya
18.490.000 - - - - - - 100% 18.490.000 100% 18.490.000 100% 18.490.000
No. Sasaran Kode
Urusan /Bidang Urusan Pemerintah Daerah Dan
Program/kegiatan
Indikator Kinerja
Program (outcome)
/ Kegiatan (out put)
Target RPJMD Kab./Kota
pada Tahun 2017 (Akhir
Periode RPJMD)
SKPD
Penanggu
ng Jawab
Formulir VII.F.8
Evaluasi Terhadap Hasil RKPD
Kota Padangsidimpuan
Tahun 2013 Triwulan IV
Realisasi Capaian
Kinerja RPJMD
Kab./Kota s.d
RKPD Kab./Kota
Tahun Lalu (n-2)
Target Kinerja dan
Anggaran RKPD
Kab./Kota Tahun
Berjalan (Tahun n-1)
yang dievaluasi
Tahun 2013
Realisasi Kinerja Pada Triwulan
Realisasi Capaian Kinerja
dan Anggaran RKPD
Kab./Kota yang dievaluasi
Tahun 2013
Realisasi Kinerja dan
Anggaran RPJMD
Kab./Kota s.d Tahun 2013
(Akhir Tahun Pelaksanaan
RKPD)
Tingkatt Capaian
Kinerja dan
Realisasi
Anggaran RPJMD
Kab./Kota s.d
Tahun 2013 (%)
I II III IV
14=7+13 15=14/6*100%
Dinsosnaker PROGRAM PELAYANAN ADMINISTRASI
PERKANTORAN
Pelayanan
Adm.Perkan.Berjala
n baik
Penyediaan Jasa Komunikasi, Sumber daya Air
&Listrik
3 6 7 8 9 10
Penyediaan Barang Cetakan dan Penggandaan
Rapat - rapat Koordinasi dan Konsultasi Keluar
Daerah
Dinsosnaker PROGRAM PENINGKATAN SARANA DAN
PRASARANA APARATUR Meningkatnya
kualitas &kuantitas
Prasarana aparatur
Pemelliharaan Rutin/Berkala Peralatan Gedung
Kantor
11 12 13
1 dari 17
1 2 4 5 16
K Rp. K Rp. K Rp. K Rp. K Rp. K Rp. K Rp. K Rp. K Rp. K Rp.
3 1 13 1 13 01 05 100% 1.299.000.000 120.000.000 24% 16.750.000 20.980.000 Dinsosr
naker
01 Pendidikan dan Pelatihan Formal 120.000.000 - - 24% 16.750.000 30% 20.980.000 100% 119.990.000 100% 37.730.000 100% 37.730.000 3%
4 1 13 1 13 01 06 Dinsosr
100% 130.000.000 11.990.200 37% 4.430.200 16% 1.920.000 89% 10.730.200 89% 10.730.200 89% 10.730.200 8% naker
01 11.990.200 - - 37% 4.430.200 17% 1.920.000 89% 10.730.200 89% 10.730.200 89% 10.730.200
Penyusunan Pelaporan Keuangan Akhir Tahun 8.400.000 - - - - - -
100% 8.371.000 100% 8.371.000 100% 8.371.000
5 1 13 1 14 01 15 Dinsosr
naker
06 516 2.740.000.000 36 140.338.500 - - 44% 62.200.100 53% 73.512.400 100% 140.322.500 97% 135.712.500 97% 135.712.500 0% 5%
Org Org
6 1 13 1 13 01 Dinsosr
naker
180 300.000.000 - - - - - - - - - - - - 0
Org
Pemutakhiran Data PMKS 6 420.000.000 - - - - - - - - - - - - 0
Kec.
7 1 13 1 13 01 16 Dinsosr
naker
01 88.055.000 - - - - - - 100 60.714.500 69% 60.714.500 69% 60.714.500
Org
Khitanan Massal 1200 560.000.000 - - - - - - - - - - - - 0
ORg
12 1500 430.000.000 250 65.000.000 - - 95% 61.875.000 4,4% 2.705.000 250 64.580.000 99,4% 64.580.000 99,4% 64.580.000 0% 99%
Org Org Org
15 80 130.000.000 20 20.000.000 - - 0 - 1,25% 250.000 3 810.000 1,25% 250.000 1,25% 250.000 0
Org Org Org
90 750.000.000 - - - - 0
Unit
8 1 13 1 13 01 19 Dinsosr
naker
60 240.000.000 - - - - 0
Org
07 Pelayanan Sosial untuk Penghuni Panti Jompo 19.905.000 - - - - - - 1 19.905.000 1 19.905.000 1 19.905.000
Keg Keg Keg
12 13 14 15=14/6*100%
Dinsosnaker
PROGRAM PENINGKATAN KAPASITAS
SUMBER DAYA APARATUR
Meningkatnya
Pelayanan Aparatur
3 6 7 8 9 10
Dinsosnaker
PROGRAM PENINGKATAN
PENGEMBANGAN SISTEM PELAPORAN
CAPAIAN KINERJA & KEUANGAN
Pelaporan Capaian
Kinerja Keuangan
baik
Penyusunan Laporan Capaian Kinerja & Ikhtisar
Realisasi Kinerja SKPD
Tenaga
Kerja
PROGRAM PENINGKATAN KUALITAS &
PRODUKTIVITAS TENAGA KERJA
Peningkatan
kualitas& Prod.TK
Pendidikan dan Pelatihan Ketrampilan Bagi
Pencari Kerja
11
Pelayanan Sosial untuk Anak SD dan
Menengah Keluarga Kurang mampu
Pemulangan orang - orang terlantar ke daerah
asal
Pengadaan Kursi Roda bagi Penyandang Cacat
dan Lansia
Penghuni
Panti
Asuhan /
Panti
Jompo
PROGRAM PEMBINAAN PANTI ASUHAN /
PANTI JOMPO
Peningkatan
Keterampilan
Penghuni Panti
Asuhan/JompoPendidikan dan Pelatihan bagi Penghuni Panti
Asuhan
Fakir
Miskin
Program Pemberdayaan Fakir Miskin, KAT &
PMKS Lainnya Meningkatnya
Pelayanan bagi
Fakir MiskinPelatihan Keterampilan dan Pembentukan KUB
bagi Kel.Miskin
PMKS
PROGRAM PELAYANAN & REHABILITASI
KESEJAHTERAAN SOSIAL
Meningkatkan
Kesejahteraan
PMKS
Pengembangan Kebijakan tentang Akses
Sarana dan Prasarana Publik bagi Penyandang
Cacat dan Lansia
2 dari 17
1 2 4 5 16
K Rp. K Rp. K Rp. K Rp. K Rp. K Rp. K Rp. K Rp. K Rp. K Rp.
08 Pelayanan Sosial untuk Penghuni Panti Asuhan 35.892.600 - - - - - - 4 34.192.600 4 34.192.600 4 34.192.600
Ton Ton Ton
9 1 13 1 13 01 Dinsosr
naker
72 504.000.000 - - - - - - - - - - - - 0
Org
10 1 14 1 13 01 16 Dinsosr
naker
02 30 90.700.000 6 10.761.500 - - 100% 10.761.500 0% 0 6 10.761.500 6 10.761.500 6 10.761.500 20% 12%
(6 Kec) Kec Kec Kec Kec
11 1 14 1 13 01 17 Dinsosr
naker
04 260 225.000.000 60 14.954.900 - - 98% 14.654.900 0% 0 60 14.654.900 60 14.654.900 60 14.654.900 23% 7%
Org Org Org Org Org
94 220.000.000 - - - - - - - - - - - - - - - -
Prsh
18 Monitoring, evaluasi dan pelaporan 94 150.000.000 36.188.000 - - - - - - 94 36.141.000 94 36.141.000 94 36.141.000
Prsh Prsh Prsh Prsh
9 27.909.600 - - - - - - 50 27.909.600 50 27.909.600 50 27.909.600
ORg ORg ORg
10 Penetapan Upah Minimum Daerah 5 431.460.000 1 31.459.450 - - - - 0% 0 1 31.459.450 1 31.459.450 1 31.459.450 0
Dok Dok Dok Dok
11 1 258.500.000 30 13.585.700 - - 0 0 30 3.702.000 30 12.987.700 30 3.702.000 27% 3.702.000 0
lemb Org Org Org Org
12 16.067.100 - - - - - - 50 16.067.100 50 16.067.100 50 16.067.100
Org Org Org
13 16.652.100 - - - - - - 50 16.652.100 50 16.652.100 50 16.652.100
Org Org Org
14 25.294.600 - - - - - - 97 23.794.600 97 23.794.600 97 23.794.600
Org Org Org
12 1 13 1 13 01 21 Dinsosr
naker
05 500 500.000.000 100 50.000.000 - - 100% 19.077.500 0% 0 100 50.000.000 100 50.000.000 100 50.000.000 20% 10%
Org Org Org Org Org
01 150 180.000.000 46.364.250 - - - - - - 75 46.194.250 75 46.194.250 75 46.194.250 0
Org Org Org Org
Pembinaan bagi Anggota Karang Taruna 450 480.000.000 - - - - - - - - - - - - 0
Org
12 13 14 15=14/6*100%
Penyandan
g Cacat &
Trauma
PROGRAM PEMBINAAN PARA
PENYANDANG CACAT & TRAUMA Peningkatan
Keterampilan
Penyandang CacatPendidikan dan Pelatihan bagi penyandang
cacat
3 6 7 8 9 10
Pelatihan
bagi para
Pencari
Kerja
PROGRAM PENINGKATAN KESEMPATAN
KERJA Terinformasikannya
Pasar Kerja
Penyebarluasan informasi bursa tenaga kerja
Peningkata
n
Pengawas
an
Ketenagak
erjaan thdp
pengusaha
dan
PROGRAM PERLINDUNGAN DAN
PENGEMBANGAN LEMBAGA KETENAGA
KERJAAN
Tercapainya
Penegakan Hukum
dan K3
Sosialisasi Berbagai Peraturan Pelaksanaan
tentang Ketenagakerjaan
11
Pemberday
aan
Kelembaga
an Kessos
PROGRAM PEMBERDAYAAN
KELEMBAGAAN KESEJAHTERAAN SOSIAL
Meningkatnya
pel.thdp kel.kessos
Pembinaan terhadap kelompok kegiatan
keagamaan(Pelatihan Bilal Mayit)
Peningkatan Peran Aktif Masyarakat dan Dunia
Usaha
Peningkatan pengawasan, perlindungan dan
penegakan hukum thdp K3
Sosialisasi Pembuatan Peraturan dan
Perjanjian Kerja Sama
Pembentukan dan Pembinaan Lembaga Kerja
Sama Tripartit
Sosialisasi Manfaat Jamsostek pada Tenaga
Kerja Konstruksi Bangunan
Konsolidasi Pencatatan, Verifikasi dan
ketentuan SP/SB
Penyuluhan Pertolongan Pertama pada
Kecelakaan di Tempat Kerja
3 dari 17
1 2 4 5 16
K Rp. K Rp. K Rp. K Rp. K Rp. K Rp. K Rp. K Rp. K Rp. K Rp.
03 76.088.000 - - - - - - 120 75.918.000 120 75.918.000 120 75.918.000
Org Org Org
06 6 67.000.000 15.800.000 - - - - - - 6 15.630.000 6 15.630.000 6 15.630.000 0
Kec Kec Kec Kec
6 1.890.000.000 - - - - - - - - - - - - - -
Unit
Rata-rata capaian kinerja(%) 26%
Faktor Pendorong Keberhasilan Kinerja :
Faktor Penghambat Pencapaian Kinerja :
Tindaklanjut yang diperlukan dalam triwulan berikutnya :
Tindaklanjut yang diperlukan dalam RKPD berikutnya :
3
Pengadaan Sarana dan Prasarana Peribadatan
(pengadaan Mobil Jenazah)
Predikat Kinerja
12 13 14 15=14/6*100%
Peningkatan Kualitas SDM Kesejahteraan
Sosial Masyarakat
Pendataan Organisasi Sosial dan Keagamaan
6 7 8 9 10 11
4 dari 17
SASARAN : PEMBANGUNAN TAHUNAN KOTA PADANGSIDIMPUAN
K Rp K Rp K Rp K Rp K Rp K Rp K Rp K Rp K Rp
5.2 Belanja Langsung
5.2.01 Program Pelayanan Administrasi
Perkantoran
100%
858.890.000
100%
734.822.207
100%
685.783.405
23%
200.566.481
23%
200.530.891
26%
220.537.008
21%
182.649.343
94%
804.283.723
179%
1.539.105.930
5.2.01.01 Penyediaaan Jasa Surat Menyurat 100% 429.250.000 100% 288.600.000 100% 429.250.000 23% 96.750.000 23% 96.750.000 30% 129.000.000 23% 96.750.000 98% 419.250.000 245% 707.850.000
5.2.01.01.1.02.02 Honorarium Pegawai Honorer/Tidak Tetap 100% 419.250.000 100% 288.600.000 100% 419.250.000 23% 96.750.000 23% 96.750.000 31% 129.000.000 23% 96.750.000 100% 419.250.000 245% 707.850.000
5.2.01.01.1.03.01 Uang Lembur PNS 100% 10.000.000 100% - 100% 10.000.000 0% - 0% - 0% - 0% - 0% - 0% -
5.2.01.02 Penyediaan Jasa Komunikasi, Sumber
Daya Air dan Listrik
100% 23.050.000 100% 9.831.407 100% 23.050.000 16% 3.581.876 12% 2.734.341 11% 2.532.408 11% 2.563.743 50% 11.412.368 216% 21.243.775
5.2.01.02.2.03.01 Belanja Telepon 100% 7.000.000 100% 901.038 100% 7.000.000 9% 645.455 16% 1.108.790 15% 1.062.976 11% 789.342 52% 3.606.563 500% 4.507.601
5.2.01.02.2.03.03 Belanja Listrik
100%
16.050.000
100%
8.930.369
100%
16.050.000
18%
2.936.421
10%
1.625.551
9%
1.469.432
11%
1.774.401
49%
7.805.805
187%
16.736.174
5.2.01.05 Penyediaan Jasa Jaminan Barang Milik
Daerah 100%
10.800.000
100%
-
100%
10.800.000
25%
2.700.000
25%
2.700.000
25%
2.700.000
25%
2.700.000
100%
10.800.000
100%
10.800.000
5.2.01.05.1.01.02 Honorarium Tim Pengadaan Barang dan
Jasa 100%
10.800.000
100%
-
100%
10.800.000
25%
2.700.000
25%
2.700.000
25%
2.700.000
25%
2.700.000
100%
10.800.000
100%
10.800.000
5.2.01.10 Penyediaan Alat Tulis Kantor
100%
20.000.000
100%
19.878.000
100%
19.580.000
32%
6.421.200
16%
3.200.000
45%
8.984.200
5%
974.600
98%
19.580.000
199%
39.458.000
5.2.01.10.2.01.01 Belanja Alat Tulis Kantor
100%
20.000.000
100%
19.878.000
100%
19.580.000
32%
6.421.200
16%
3.200.000
45%
8.984.200
5%
974.600
98%
19.580.000
199%
39.458.000
5.2.01.11 Penyediaan Barang Cetakan dan Penggandaan 100% 25.000.000 100% 84.979.800 100% 6.489.700 26% 6.489.700 44% 11.066.800 20% 5.004.200 0% - 90% 22.560.700 127% 107.540.500
5.2.01.11.2.06.01 Belanja Cetak 100% 17.768.000 100% 77.747.800 100% 4.125.200 23% 4.125.200 45% 8.066.800 18% 3.262.200 0% - 87% 15.454.200 120% 93.202.000
5.2.01.11.2.06.02 Belanja Penggandaan
100%
7.232.000
100%
7.232.000
100%
2.364.500
33%
2.364.500
41%
3.000.000
24%
1.742.000
0%
-
98%
7.106.500
198%
14.338.500
5.2.01.14 Penyediaan Peralatan Rumah Tangga 100% 20.000.000 100% 19.973.000 100% 5.938.705 30% 5.938.705 42% 8.497.750 26% 5.159.200 1% 249.000 99% 19.844.655 199% 39.817.655
5.2.01.14.2.01.03 Belanja Alat Listrik dan Elektronik (Lampu Pijar, Battery Kering)100% 5.000.000 100% 4.973.200 100% 2.951.000 59% 2.951.000 36% 1.800.000 0% - 5% 249.000 100% 5.000.000 201% 9.973.200
5.2.01.14.2.01.05 Belanja Peralatan Kebersihan Dan Bahan Pembersih
100%
15.000.000
100%
14.999.800
100%
2.987.705
20%
2.987.705
45%
6.697.750
34%
5.159.200
0%
-
99%
14.844.655
199%
29.844.455
5.2.01.15 Penyediaan Bahan Bacaan dan Peraturan
Perundang-Undangan 100%
20.000.000
100%
19.990.000
100%
4.775.000
24%
4.775.000
25%
5.000.000
26%
5.125.000
26%
5.100.000
100%
20.000.000
200%
39.990.000
5.2.01.15.2.03.05 Belanja Surat Kabar/Majalah
100%
20.000.000
100%
19.990.000
100%
4.775.000
24%
4.775.000
25%
5.000.000
26%
5.125.000
26%
5.100.000
100%
20.000.000
200%
39.990.000
5.2.01.17 Penyediaan Makanan dan Minuman 100% 144.000.000 100% 134.440.000 100% 144.000.000 22% 32.010.000 23% 33.450.000 21% 30.090.000 20% 28.940.000 86% 124.490.000 193% 258.930.000
5.2.01.17.2.11.01 Belanja Makanan Dan Minuman Harian
Pegawai 100%
144.000.000
100%
134.440.000
100%
144.000.000
22%
32.010.000
23%
33.450.000
21%
30.090.000
20%
28.940.000
86%
124.490.000
193%
258.930.000
5.2.01.18 Rapat-Rapat Koordinasi dan Konsultasi Ke Luar Daerah 100% 166.790.000 100% 157.130.000 100% 41.900.000 25% 41.900.000 22% 37.132.000 19% 31.942.000 27% 45.372.000 94% 156.346.000 200% 313.476.000
5.2.01.18.2.15.01 Belanja Perjalanan Dinas Dalam Daerah
100%
7.890.000
100%
7.630.000
100%
-
0%
-
0%
-
0%
-
0%
-
0%
-
100%
7.630.000
5.2.01.18.2.15.02 Belanja Perjalanan Dinas Luar Daerah
100%
158.900.000
100%
149.500.000
100%
41.900.000
26%
41.900.000
23%
37.132.000
20%
31.942.000
29%
45.372.000
98%
156.346.000
205%
305.846.000
Realisasi Kinerja dan
Anggaran RPJMD
Kabupaten/Kota s/d Tahun
2013(Akhir Tahun
Pelaksanaan RKPD Tahun
2013)
SKPD
Penanggung
Jawab
I II III IV
FORMULIR VII.F8
DINAS KOPERASI, UKM, PERINDUSTRIAN, PERDAGANGAN DAN PASAR DAERAH KOTA PADANGSIDIMPUAN
TAHUN 2013
NO SASARAN
KODE
REKENING
URAIAN / BIDANG URUSAN
PEMERINTAHAN DAERAH DAN
PROGRAM / KEGIATAN
INDIKATOR
KINERJA
PROGRAM
(OUTCOME) /
KEGIATAN
(OUTPUT)
Target RPJMD
Kabupaten/Kota pada
Tahun 2013 (Akhir
Periode RPJMD)
Realisasi Capaian
Kinerja dan Anggaran
RKPD Kabupaten/Kota
Tahun Berjalan (Tahun
N-2) yang Dievaluasi
1 2 3 4 5
6
Target RPJMD
Kabupaten/Kota pada
Tahun 2013 (Akhir
Periode RPJMD)
Realisasi Kinerja Pada Triwulan
Realisasi Capaian Kinerja
dan Anggaran RPJMD
Kabupaten/Kota yang
dievaluasi
Pelayanan Jasa
Administrasi
Barang Milik
Daerah
Terbayarnya dana
penyediaan jasa
administrasi
barang milik
daerah
Dinas
Koperasi,UK
M,Perindag
dan Pasar
Pelayanan
Adiministrasi
Surat
Menyurat/Admi
nistrasi
Terpenuhinya
Kebutuhan Jasa
Surat Menyurat
Dinas
Koperasi,UK
M,Perindag
dan Pasar
13 14=7+13
Pelayanan Jasa
Administrasi
Keuangan
Terbayarnya Dana
Penyediaan Jasa
Administrasi
Keuangan
Dinas
Koperasi,UK
M,Perindag
dan Pasar
Pelayanan Jasa
Komunikasi,
Sumber Daya
Air dan Listrik
Terbayarnya Biaya
Listrik, Telepon
dan Fax
Dinas
Koperasi,UK
M,Perindag
dan Pasar
7 8 9 10 11 12
Pelayanan
Penyediaan
Bahan Bacaan
dan Peraturan
Perundang-
Terbayarnya Biaya
Bahan Bacaan dan
Peraturan
Perundang-
Undangan
Dinas
Koperasi,UK
M,Perindag
dan Pasar
Pelayanan
Penyediaan
Makanan dan
Minuman
Terbayarnya biaya
konsumsi / snack
kegiatan rapat
Dinas
Koperasi,UK
M,Perindag
dan Pasar
Pelayanan
Kebutuhan
Barang Cetakan
dan
penggandaan
Terbutuhinya
Kebutuhan Barang
Cetakan dan
Penggandaan
Dinas
Koperasi,UK
M,Perindag
dan Pasar
Pelayanan
Penyediaan
Peralatan
Rumah Tangga
Tersedianya
Kebutuhan Alat-
alat listrik,
elektronik dan
Dinas
Koperasi,UK
M,Perindag
dan Pasar
Pelayanan Biaya
Perjalanan Rapat-
Rapat
Koordinasi dan
Konsultasi Ke
Luar Daerah
Terbayarnya
Biaya Perjalanan
Rapat-Rapat
Koordinasi dan
Konsultasi Ke
Luar Daerah
Dinas
Koperasi,UK
M,Perindag
dan Pasar
5 dari 17
K Rp K Rp K Rp K Rp K Rp K Rp K Rp K Rp K Rp
5.2.02 Program Peningkatan Sarana dan Prasarana Aparatur 100% 1.261.824.000 100% 82.429.100 100% 1.129.377.000 4% 52.695.650 11% 136.878.000 4% 50.471.100 75% 947.417.000 94% 1.187.461.750 101% 1.269.890.850
- - - - -
5.2.02.03 Pembangunan Gedung Kantor 100% 1.009.026.000 0% - 100% 1.009.026.000 0% 2.670.000 0,01311 13.228.900 0% 978.600 0,9322 940.645.000 95% 957.522.500 95% 957.522.500
5.2.02.03.1.01.01 Honorarium Panitia Pelaksana Kegiatan 100% 1.315.000 0% - 100% 1.315.000 0% - 100% 1.315.000 0% - 0 - 100% 1.315.000 100% 1.315.000
5.2.02.03.1.01.02 Honorarium Tim Pengadaan Barang dan Jasa 100% 2.362.500 0% - 100% 2.362.500 0% - 100% 2.362.500 0% - 0 - 100% 2.362.500 100% 2.362.500
5.2.02.03.2.01.01 Belanja Alat Tulis Kantor 1.500.000 0% - 100% 1.500.000 0% - 100% 1.500.000 0% 0 100% 1.500.000 100% 1.500.000
5.2.02.03.2.01.02 Belanja Dokumen/Administrasi Tender 100% 1.320.000 0% - 100% 1.320.000 0% - 23% 300.000 0% - 0 - 23% 300.000 23% 300.000
5.2.02.03.2.06.01 Belanja Cetak 100% 1.200.000 0% - 100% 1.200.000 0% - 89% 1.071.400 11% 128.600 0 - 100% 1.200.000 100% 1.200.000
5.2.02.03.2.06.02 Belanja Penggandaan 100% 1.500.000 0% - 100% 1.500.000 0% - 43% 650.000 57% 850.000 0 - 100% 1.500.000 100% 1.500.000
5.2.02.03.2.15.01 Belanja Perjalanan Dinas Dalam Daerah 100% 17.652.500 0% - 100% 17.652.500 15% 2.670.000 34% 6.030.000 0% - 0 - 49% 8.700.000 49% 8.700.000
5.2.02.03.2.15.02 Belanja Perjalanan Dinas Luar Daerah 21.150.000 0% - 100% 21.150.000 0% - 0% - 0% 0 0% - 0% -
5.2.02.03.3.26.01 Belanja Modal Pengadaan Konstruksi/Pembelian Gedung Kantor100% 961.026.000 0% - 100% 961.026.000 0% - 0% - 0% - 98% 940.645.000 98% 940.645.000 98% 940.645.000
5.2.02.05 Pengadaan Kendaraan Dinas/Operasional
100%
35.000.000
0%
-
0%
-
0%
-
0%
-
100%
34.320.000
0%
-
98%
34.320.000
98%
34.320.000
5.2.02.05.3.03.12 Belanja Modal Pengadaan Alat-Alat Angkutan Darat Bermotor Sepeda Motor
100%
35.000.000
0%
-
0%
-
0%
-
0%
-
100%
34.320.000
0%
-
98%
34.320.000
98%
34.320.000
5.2.02.09 Pengadaan Peralatan Gedung Kantor 100% 100.900.000 0% - 0% - 0% - 100% 100.900.000 0% - 0% - 100% 100.900.000 100% 100.900.000
5.2.02.09.3 Belanja Modal 100% 100.900.000 0% - 0% - 0% - 100% 100.900.000 0% - 0% - 100% 100.900.000 100% 100.900.000
5.2.02.09.3.10.01 Belanja Modal Pengadaan Mesin Tik 100% 26.400.000 100% - 0% - 0% - 100% 26.400.000 0% - 0% - 100% 26.400.000 100% 26.400.000
5.2.02.09.3.12.02 Belanja Modal Pengadaan Komputer/PC 100% 13.000.000 0% - 0% - 0% - 100% 13.000.000 0% - 0% - 100% 13.000.000 100% 13.000.000
5.2.02.09.3.12.03 Belanja Modal Pengadaan Komputer Note Book 100% 45.500.000 0% - 0% - 0% - 100% 45.500.000 0% - 0% - 100% 45.500.000 100% 45.500.000
5.2.02.09.3.12.04 Belanja Modal Pengadaan Printer 100% 9.000.000 0% - 0% - 0% - 100% 9.000.000 0% - 0% - 100% 9.000.000 100% 9.000.000
5.2.02.09.3.16.01 Belanja Modal Pengadaan Kamera 100% 7.000.000 0% - 0% - 0% - 100% 7.000.000 0% - 0% - 100% 7.000.000 100% 7.000.000
5.2.02.24 Pemeliharaan Rutin/Berkala Kendaraan Dinas/Operasional 100% 35.798.000 100% 28.487.500 100% 35.798.000 27% 9.729.500 6% 2.255.000 27% 9.715.500 19% 6.772.000 80% 28.472.000 159% 56.959.500
5.2.02.24.2.05.01 Belanja Jasa Service 100% 858.000 100% 858.000 100% 858.000 0% - 0% - 0% - 0% - 0% - 100% 858.000
5.2.02.24.2.05.02 Belanja Penggantian Suku Cadang 100% 13.300.000 100% 11.002.000 100% 13.300.000 38% 5.117.000 0% - 34% 4.550.000 11% 1.442.000 84% 11.109.000 166% 22.111.000
5.2.02.24.2.05.03 Belanja Bahan Bakar Minyak/Gas Dan Pelumas 100% 16.640.000 100% 16.627.500 100% 16.640.000 28% 4.612.500 14% 2.255.000 24% 3.997.500 32% 5.330.000 97% 16.195.000 197% 32.822.500
5.2.02.24.2.05.05 Belanja Surat Tanda Nomor Kendaraan 100% 5.000.000 100% - 100% 5.000.000 0% - 0% - 23% 1.168.000 0% - 23% 1.168.000 23% 1.168.000
5.2.02.26 Pemeliharaan Rutin/Berkala Perlengkapan Gedung Kantor 100% 55.600.000 100% 24.988.600 100% 55.600.000 68% 38.066.150 18% 10.098.600 6% 3.174.500 0% - 92% 51.339.250 137% 76.327.850
5.2.02.26.1.02.01 Honorarium Tenaga Ahli/Instruktur/Narasumber 100% 6.000.000 100% 5.988.600 100% 6.000.000 29% 1.733.000 33% 1.975.000 38% 2.282.500 0% - 100% 5.990.500 200% 11.979.100
5.2.02.26.2.02.01 Belanja Bahan Baku Bangunan 100% 19.600.000 100% 19.000.000 100% 19.600.000 34% 6.721.150 41% 8.123.600 5% 892.000 0% - 80% 15.736.750 177% 34.736.750
5.2.02.26.3.15.04 Belanja gorden jendela 100% 30.000.000 100% - 100% 30.000.000 99% 29.612.000 0% - 0% - 0% - 99% 29.612.000 99% 29.612.000
5.2.02.28 Pemeliharaan Rutin/Berkala Peralatan Gedung Kantor 100% 25.500.000 100% 28.953.000 100% 28.953.000 9% 2.230.000 41% 10.395.500 9% 2.282.500 0% - 58% 14.908.000 172% 43.861.000
5.2.02.28.1.02.01 Honorarium Tenaga Ahli/Instruktur/Narasumber 100% 6.500.000 100% 9.153.000 100% 9.153.000 34% 2.230.000 30% 1.975.000 35% 2.282.500 0% - 100% 6.487.500 241% 15.640.500
5.2.02.28.2.03.17 Belanja Pemeliharaan Peralatan Kantor 100% 19.000.000 100% 19.800.000 100% 19.800.000 0% - 44% 8.420.500 0% - 0% - 44% 8.420.500 149% 28.220.500
5.2.05 Program Peningkatan Kapasitas Sumber Daya Aparatur 100% 50.000.000 100% 34.100.000 100% 50.000.000 0% - 0% - 18% 9.060.000 80% 39.780.000 98% 48.840.000 166% 82.940.000
5.2.05.01 Pendidikan dan Pelatihan Formal 100% 50.000.000 100% 34.100.000 100% 50.000.000 0% - 0% - 18% 9.060.000 80% 39.780.000 98% 48.840.000 166% 82.940.000
5.2.05.01.2.17.01 Belanja Kursus-Kursus Singkat/Pelatihan 100% 50.000.000 100% 34.100.000 100% 50.000.000 0% - 0% - 18% 9.060.000 80% 39.780.000 98% 48.840.000 166% 82.940.000
5.2.15 Program Penciptaan Iklim Usaha
Usaha Kecil Menengah yang
Konduksif
100%
44.842.100
100%
39.674.100
100%
44.842.100
0%
-
0%
- 83% 37.388.000 5% 2.042.100
88%
39.430.100
176%
79.104.200
5.2.15.06 Perencanaan, Koordinasi, dan Pengembangan Usaha Kecil Menengah100% 44.842.100 100% 39.674.100 100% 44.842.100 0% - 0% - 83% 37.388.000 100% 2.042.100 88% 39.430.100 176% 79.104.200
5.2.15.06.1.01.01 Honorarium Panitia Pelaksana Kegiatan 100% 1.700.000 100% 1.700.000 100% 1.700.000 0% - 0% - 0% - 100% 1.700.000 100% 1.700.000 200% 3.400.000
5.2.15.06.2.01.01 Belanja Alat Tulis Kantor 100% 342.100 100% 342.100 100% 342.100 0% - 0% - 0% - 100% 342.100 100% 342.100 200% 684.200
5.2.15.06.2.15.01 Belanja Perjalanan Dinas Dalam Daerah 100% 3.500.000 100% 3.500.000 100% 3.500.000 0% - 0% - 0% - 100% - 0% - 100% 3.500.000
5.2.15.06.2.15.02 Belanja Perjalanan Dinas Luar Daerah
100%
39.300.000
100%
34.132.000
100%
39.300.000
0%
-
0%
-
95%
37.388.000
100%
-
95%
37.388.000
182%
71.520.000
Realisasi Kinerja dan
Anggaran RPJMD
Kabupaten/Kota s/d Tahun
2013(Akhir Tahun
Pelaksanaan RKPD Tahun
SKPD
Penanggung
JawabI II III IV
SASARAN
KODE
REKENING
URAIAN / BIDANG URUSAN
PEMERINTAHAN DAERAH DAN
PROGRAM / KEGIATAN
INDIKATOR
KINERJA
PROGRAM
(OUTCOME) /
KEGIATAN
Target RPJMD
Kabupaten/Kota pada
Tahun 2013 (Akhir
Periode RPJMD)
Realisasi Capaian
Kinerja dan Anggaran
RKPD Kabupaten/Kota
Tahun Berjalan (Tahun
N-2) yang Dievaluasi
1 2 3 4 5
6
Target RPJMD
Kabupaten/Kota pada
Tahun 2013 (Akhir
Periode RPJMD)
Realisasi Kinerja Pada Triwulan Realisasi Capaian Kinerja
dan Anggaran RPJMD
Kabupaten/Kota yang
dievaluasi
NO.
Aparatur
Tersedianya
Peralatan Gedung
Kantor
Dinas
Koperasi,U
KM,Perinda
g dan Pasar
Pelayanan
Pemeliharaan
Rutin/Berkala
Kendaraan
Dinas/Operasion
al
Terlaksananya
Pemeliharaan
Rutin/Berkala
Kendaraan
Dinas/Operasional
Dinas
Koperasi,U
KM,Perinda
g dan Pasar
13 14=7+13
Dinas
Koperasi,U
KM,Perinda
g dan Pasar
Pembangunan
dan
Pengembangan
Sarana
Perdagangan
Terlaksananya
Peningkatan
Sarana dan
Prasarana Pasar
Pelayanan
Pengadaan
Kenderaan
Dinas
Terlaksananya
Pengadaan
Kenderaan Dinas
Dinas
Koperasi,U
KM,Perinda
g dan Pasar
7 8 9 10 11 12
Pelayanan
Pendidikan dan
Pelatihan Formal
Meningkatnya
sumber daya
aparatur
Dinas
Koperasi,U
KM,Perinda
g dan Pasar
Pelayanan
Perencanaan dan
Pengembangan
Meningkatnya
pendapatan Usaha
Kecil Menengah
Dinas
Koperasi,U
KM,Perinda
g dan Pasar
Dinas
Koperasi,U
KM,Perinda
g dan Pasar
Terpeliharanya
Perlengkapan
Gedung Kantor
Pelayanan
Pemeliharaan
Rutin
Perlengkapan
Gedung Kantor
Dinas
Koperasi,U
KM,Perinda
g dan Pasar
Pelayanan
Pemeliharaan
Rutin/Berkala
Peralatan
Terpeliharanya
peralatan gedung
kantor
Dinas
Koperasi,U
KM,Perinda
g dan Pasar
6 dari 17
K Rp K Rp K Rp K Rp K Rp K Rp K Rp K Rp K Rp
5.2.15 Program Perlindungan Konsumen dan
Pengamanan Perdagangan 100%
61.612.000
100%
56.087.000
100%
61.612.000 9.452.500 15.360.000 23.191.500 7.760.000 91% 55.764.000
182%
111.851.000
5.2.15.03 Peningkatan Pengawasan Peredaran
Barang dan Jasa
100%
61.612.000
100%
56.087.000
100%
61.612.000 15% 9.452.500 25% 15.360.000 38% 23.191.500 13% 7.760.000 91% 55.764.000
182%
111.851.000
5.2.15.03.1.01.01 Honorarium Panitia Pelaksana Kegiatan
100%
5.400.000
100%
5.400.000
100%
5.400.000 25% 1.350.000 25% 1.350.000 25% 1.350.000 25% 1.350.000 100% 5.400.000
200%
10.800.000
5.2.15.03.1.02.01 Honorarium Tenaga
Ahli/Instruktur/Narasumber
100%
14.400.000
100%
12.800.000
100%
14.400.000 25% 3.600.000 25% 3.600.000 25% 3.600.000 25% 3.600.000 100% 14.400.000
189%
27.200.000
5.2.15.03.1.02.02 Honorarium Pegawai Honorer/Tidak Tetap 100% 800.000 100% - 100% 800.000 25% 200.000 25% 200.000 25% 200.000 25% 200.000 100% 800.000 100% 800.000
5.2.15.03.2.01.01 Belanja Alat Tulis Kantor 100% 355.000 100% 270.000 100% 355.000 100% 355.000 0% - 0% - 0% - 100% 355.000 176% 625.000
5.2.15.03.2.01.02 Belanja Dokumen/Administrasi Tender 100% 2.617.000 100% 2.617.000 100% 2.617.000 28% 737.500 23% 600.000 26% 679.500 23% 600.000 100% 2.617.000 200% 5.234.000
5.2.15.03.2.03.14 Belanja iklan dan promosi 100% 2.400.000 100% 2.400.000 100% 2.400.000 25% 600.000 25% 600.000 25% 600.000 25% 600.000 100% 2.400.000 200% 4.800.000
5.2.15.03.2.15.01 Belanja Perjalanan Dinas Dalam Daerah 100% 7.080.000 100% 7.080.000 100% 7.080.000 25% 1.770.000 25% 1.770.000 42% 2.970.000 8% 570.000 100% 7.080.000 200% 14.160.000
5.2.15.03.2.15.02 Belanja Perjalanan Dinas Luar Daerah 100% 15.200.000 100% 15.210.000 100% 15.200.000 0% - 42% 6.400.000 21% 3.140.000 0% - 63% 9.540.000 163% 24.750.000
5.2.15.03.2.15.03 Belanja Perjalanan Lainnya 100% 3.360.000 100% 2.800.000 100% 3.360.000 25% 840.000 25% 840.000 25% 840.000 25% 840.000 100% 3.360.000 183% 6.160.000
5.2.15.03.3.12.03 Belanja Modal Pengadaan Komputer Note Book 100% 10.000.000 100% 7.510.000 100% 10.000.000 0% - 0% - 98% 9.812.000 0% - 98% 9.812.000 173% 17.322.000
5.2.16 Program Pengembangan Industri Kecil dan Menengah 100% 130.300.000 100% - 100% 130.300.000 0% - 0% - 0% - 69% 90.535.000 69% 90.535.000 69% 90.535.000
5.2.16.08 Apkesi Pelatihan Promosi Produk Perkotaan 100% 31.700.000 100% - 100% 31.700.000 0% - 0% - 0% - 0% - 0% - 0% -
5.2.16.08.2.01.01 Belanja Alat Tulis Kantor 100% 760.000 100% - 100% 760.000 0% - 0% - 0% - 0% - 0% - 0% -
5.2.16.08.2.01.02 Belanja Dokumen/Administrasi Tender 100% 90.000 100% - 100% 90.000 0% - 0% - 0% - 0% - 0% - 0% -
5.2.16.08.2.15.02 Belanja Perjalanan Dinas Luar Daerah 100% 22.850.000 100% - 100% 22.850.000 0% - 0% - 0% - 0% - 0% - 0% -
5.2.16.08.2.17.01 Belanja Kursus-Kursus Singkat/Pelatihan 100% 8.000.000 100% - 100% 8.000.000 0% - 0% - 0% - 0% - 0% - 0% -
5.2.16.09 Penyelenggaraan Promosi Industri Kecil
dan Menengah
100%
98.600.000
0%
-
100%
98.600.000
0%
-
0%
-
0%
-
92%
90.535.000 92% 90.535.000
92%
90.535.000
5.2.16.09.1.01.01 Honorarium Panitia Pelaksana Kegiatan 100% 1.900.000 0% - 100% 1.900.000 0% - 0% - 0% - 100% 1.900.000 100% 1.900.000 100% 1.900.000
5.2.16.09.2.01.01 Belanja Alat Tulis Kantor 100% 200.000 0% - 100% 200.000 0% - 0% - 0% - 100% 200.000 100% 200.000 100% 200.000
5.2.16.09.2.01.02 Belanja Dokumen/Administrasi Tender 100% 180.000 0% - 100% 180.000 0% - 0% - 0% - 100% 180.000 100% 180.000 100% 180.000
5.2.16.09.2.02.06 Belanja Bahan Pameran dan Cindera Mata 100% 20.000.000 0% - 100% 20.000.000 0% - 0% - 0% - 100% 20.000.000 100% 20.000.000 100% 20.000.000
5.2.16.09.2.07.02 Belanja Sewa Gedung/Kantor/Tempat 100% 15.000.000 0% - 100% 15.000.000 0% - 0% - 0% - 100% 15.000.000 100% 15.000.000 100% 15.000.000
5.2.16.09.2.14.05 Belanja Pakaian Seragam Kegiatan 100% 3.000.000 0% - 100% 3.000.000 0% - 0% - 0% - 100% 3.000.000 100% 3.000.000 100% 3.000.000
5.2.16.09.2.15.01 Belanja Perjalanan Dinas Dalam Daerah 100% 1.420.000 0% - 100% 1.420.000 0% - 0% - 0% - 97% 1.380.000 97% 1.380.000 97% 1.380.000
5.2.16.09.2.15.02 Belanja Perjalanan Dinas Luar Daerah 100% 51.900.000 0% - 100% 51.900.000 0% - 0% - 0% - 94% 48.875.000 94% 48.875.000 94% 48.875.000
5.2.16.09.2.15.03 Belanja Perjalanan Lainnya 100% 5.000.000 0% - 100% 5.000.000 0% - 0% - 0% - 0% - 0% - 0% -
5.2.17 Program Pengembangan Sistem Pendukung Usaha Bagi Usaha Mikro Kecil Menengah100% 52.490.000 0% - 100% 52.490.000 0% - 31% 16.400.000 67% 35.276.500 0% - 98% 51.676.500 98% 51.676.500
5.2.17.06 Pengembangan Sarana Pemasaran Produk Usaha Mikro Kecil Menengah100% 52.490.000 0% - 100% 52.490.000 0% - 31% 16.400.000 67% 35.276.500 0% - 98% 51.676.500 98% 51.676.500
5.2.17.06.1.01.01 Honorarium Panitia Pelaksana Kegiatan 100% 1.700.000 0% - 100% 1.700.000 0% - 0% - 100% 1.700.000 0% - 100% 1.700.000 100% 1.700.000
5.2.17.06.1.02.01 Honorarium Tenaga Ahli/Instruktur/Narasumber 100% 3.000.000 0% - 100% 3.000.000 0% - 0% - 100% 3.000.000 0% - 100% 3.000.000 100% 3.000.000
5.2.17.06.2.01.01 Belanja Alat Tulis Kantor 100% 470.000 0% - 100% 470.000 0% - 0% - 100% 470.000 0% - 100% 470.000 100% 470.000
5.2.17.06.2.01.02 Belanja Dokumen/Administrasi Tender 100% 570.000 0% - 100% 570.000 0% - 0% - 100% 570.000 0% - 100% 570.000 100% 570.000
5.2.17.06.2.07.02 Belanja Sewa Gedung/Kantor/Tempat 100% 700.000 0% - 100% 700.000 0% - 0% - 100% 700.000 0% - 100% 700.000 100% 700.000
5.2.17.06.2.11.02 Belanja Makanan Dan Minuman Rapat 100% 2.000.000 0% - 100% 2.000.000 0% - 0% - 100% 2.000.000 0% - 100% 2.000.000 100% 2.000.000
5.2.17.06.2.15.01 Belanja Perjalanan Dinas Dalam Daerah 100% 3.600.000 0% - 100% 3.600.000 0% - 100% 3.600.000 0% - 0% - 100% 3.600.000 100% 3.600.000
5.2.17.06.2.15.02 Belanja Perjalanan Dinas Luar Daerah 100% 39.300.000 0% - 100% 39.300.000 0% - 33% 12.800.000 65% 25.686.500 0% - 98% 38.486.500 98% 38.486.500
5.2.17.06.2.15.03 Belanja Perjalanan Lainnya 100% 1.150.000 0% - 100% 1.150.000 0% - 0% 100% 1.150.000 0% - 100% 1.150.000 100% 1.150.000
Realisasi Capaian Kinerja
dan Anggaran RPJMD
Kabupaten/Kota yang
dievaluasi
Realisasi Kinerja dan
Anggaran RPJMD
Kabupaten/Kota s/d Tahun
2013(Akhir Tahun
Pelaksanaan RKPD Tahun
2013)
SKPD
Penanggung
JawabI II III IV
NO. SASARAN
KODE
REKENING
URAIAN / BIDANG URUSAN
PEMERINTAHAN DAERAH DAN
PROGRAM / KEGIATAN
INDIKATOR
KINERJA
PROGRAM
(OUTCOME) /
KEGIATAN
(OUTPUT)
Target RPJMD
Kabupaten/Kota pada
Tahun 2013 (Akhir
Periode RPJMD)
1 2 3 4 5
6
Realisasi Capaian
Kinerja dan Anggaran
RKPD Kabupaten/Kota
Tahun Berjalan (Tahun
N-2) yang Dievaluasi
Target RPJMD
Kabupaten/Kota pada
Tahun 2013 (Akhir
Periode RPJMD)
Realisasi Kinerja Pada Triwulan
IKM Kota
Padangsidimpua
n
Dikenalnya Produk
IKM Kota
Padangsidimpuan
Terpenuhinya
Sarana
Pemasaran
Produk Usaha
Mikro Kecil
Menengah
Meningkatnya
Pendapatan Pelaku
UMKM
Dinas
Koperasi,U
KM,Perinda
g dan Pasar
13 14=7+13
Pedagang
Makanan dan
Minuman di
Kota
Padangsidimpua
n
Terlindunginya
Masyarakat
Konsumen
Dinas
Koperasi,U
KM,Perinda
g dan Pasar
IKM Kota
Padangsidimpua
n
Pengembangan
IKM'
Dinas
Koperasi,U
KM,Perinda
g dan Pasar
7 8 9 10 11 12
Dinas
Koperasi,UK
M,Perindag
dan Pasar
7 dari 17
K Rp K Rp K Rp K Rp K Rp K Rp K Rp K Rp K Rp
5.2.17 Program Peningkatan Kemampuan
Teknologi Industri
100%
61.500.000
100%
50.941.500
100%
61.500.000
23%
13.880.000
45%
27.650.000
0%
-
32%
19.970.000
100%
61.500.000
183%
112.441.500
5.2.17.02 Pengembangan dan Pelayanan Teknologi Industri 100% 61.500.000 100% 50.941.500 100% 61.500.000 23% 13.880.000 45% 27.650.000 0% - 32% 19.970.000 100% 61.500.000 183% 112.441.500
5.2.17.02.1.01.01 Honorarium Panitia Pelaksana Kegiatan 100% 1.900.000 100% 2.150.000 100% 1.900.000 100% 1.900.000 0% - 0% - 0% - 100% 1.900.000 213% 4.050.000
5.2.17.02.1.01.04 Honorarium Tenaga Ahli/Instruktur/Narasumber (PNS) 100% 2.000.000 100% - 100% 2.000.000 100% 2.000.000 0% - 0% - 0% - 100% 2.000.000 100% 2.000.000
5.2.17.02.2.01.01 Belanja Alat Tulis Kantor 100% 550.000 100% 920.400 100% 550.000 0% - 100% 550.000 0% - 0% - 100% 550.000 267% 1.470.400
5.2.17.02.2.01.02 Belanja Dokumen/Administrasi Tender 100% 180.000 100% 109.600 100% 180.000 50% 90.000 50% 90.000 0% - 0% - 100% 180.000 161% 289.600
5.2.17.02.2.14.05 Belanja Pakaian Seragam Kegiatan 100% 1.400.000 100% - 100% 1.400.000 0% - 100% 1.400.000 0% - 0% - 100% 1.400.000 100% 1.400.000
5.2.17.02.2.15.01 Belanja Perjalanan Dinas Dalam Daerah 100% 6.070.000 100% 3.320.000 100% 6.070.000 51% 3.090.000 49% 2.980.000 0% - 0% - 100% 6.070.000 155% 9.390.000
5.2.17.02.2.15.02 Belanja Perjalanan Dinas Luar Daerah 100% 49.400.000 100% 39.731.500 100% 49.400.000 14% 6.800.000 46% 22.630.000 0% - 40% 19.970.000 100% 49.400.000 180% 89.131.500
5.2.17.02.2.15.03 Belanja Perjalanan Lainnya 0% - 100% 3.000.000 0% - 0% - 0% - 0% - 0% - 0% - 100% 3.000.000
5.2.17.02.2.11.02 Belanja Makanan dan Minuman Rapat 0% -
100%
960.000 0% -
0%
-
0%
-
0%
-
0%
-
0%
-
100%
960.000
5.2.17.02.2.15.03 Belanja Sewa Ruang/ Rapat Pertemuan 0% -
100%
750.000 0% -
0%
-
0%
-
0%
-
0%
-
0%
-
100%
750.000
5.2.18 Program Peningkatan Efisiensi Perdagangan Dalam Negeri100% 175.910.000 226.337.300 403.310.000 29% 50.790.000 46% 81.661.500 53% 93.891.500 28% 48.492.000 156% 274.835.000 285% 501.172.300
5.2.18.03 Pengembangan Pasar dan Distribusi Barang/Produk 100% 90.210.000 100% 101.605.400 100% 90.210.000 13% 11.700.000 24% 21.309.500 28% 25.188.000 29% 26.190.000 94% 84.387.500 206% 185.992.900
5.2.18.03.1.01.01 Honorarium Panitia Pelaksana Kegiatan 100% 22.800.000 100% 22.800.000 100% 22.800.000 25% 5.700.000 25% 5.700.000 25% 5.700.000 25% 5.700.000 100% 22.800.000 200% 45.600.000
5.2.18.03.1.02.01 Honorarium Tenaga Ahli/Instruktur/Narasumber 100% 24.000.000 100% 24.000.000 100% 24.000.000 25% 6.000.000 25% 6.000.000 25% 6.000.000 25% 6.000.000 100% 24.000.000 200% 48.000.000
5.2.18.03.2.01.01 Belanja Alat Tulis Kantor 100% 280.000 100% 918.000 100% 280.000 0% - 100% 280.000 0% - 0% - 100% 280.000 428% 1.198.000
5.2.18.03.2.15.01 Belanja Perjalanan Dinas Dalam Daerah 100% 8.680.000 100% 11.520.000 100% 8.680.000 0% - 25% 2.170.000 24% 2.070.000 51% 4.440.000 100% 8.680.000 233% 20.200.000
5.2.18.03.2.15.02 Belanja Perjalanan Dinas Luar Daerah 100% 34.450.000 100% 40.905.400 100% 34.450.000 0% - 21% 7.159.500 33% 11.418.000 29% 10.050.000 83% 28.627.500 202% 69.532.900
5.2.18.03.2.01.05 Belanja Peralatan Kebersihan dan Bahan
Pembersih
0%
-
100%
1.462.000
0%
-
0%
-
0% 0%
-
0%
-
0%
-
100%
1.462.000
5.2.18.04 Pengembangan Kelembagaan Kerjasama Kemitraan 100% 54.300.000 55.347.400 100% 54.300.000 0% - 22% 11.900.000 9% 5.000.000 15% 8.302.000 46% 25.202.000 148% 80.549.400
5.2.18.04.1.01.01 Honorarium Panitia Pelaksana Kegiatan 100% 1.350.000 100% 1.350.000 100% 1.350.000 0% - 100% - 0% - 0% - 0% - 100% 1.350.000
5.2.18.04.2.01.01 Belanja Alat Tulis Kantor 100% 540.000 100% 540.000 100% 540.000 0% - 100% - 0% - 0% - 0% - 100% 540.000
5.2.18.04.2.01.02 Belanja Dokumen/Administrasi Tender 100% 260.000 100% 140.000 100% 260.000 0% - 100% - 0% - 0% - 0% - 54% 140.000
5.2.18.04.2.15.02 Belanja Perjalanan Dinas Luar Daerah 100% 52.150.000 100% 53.317.400 100% 52.150.000 0% - 100% 11.900.000 10% 5.000.000 16% 8.302.000 48% 25.202.000 151% 78.519.400
5.2.18.06 Peningkatan Sistem dan Jaringan Informasi Perdagangan 100% 31.400.000 100% 29.384.500 100% 31.400.000 10% 3.070.000 19% 5.890.000 9% 2.690.000 1% 240.000 38% 11.890.000 131% 41.274.500
5.2.18.06.1.01.01 Honorarium Panitia Pelaksana Kegiatan 100% 4.400.000 100% 4.400.000 100% 4.400.000 25% 1.100.000 25% 1.100.000 25% 1.100.000 0% - 75% 3.300.000 175% 7.700.000
5.2.18.06.2.01.01 Belanja Alat Tulis Kantor 100% 149.000 100% 149.000 100% 149.000 100% 149.000 0% - 0% - 0% - 100% 149.000 200% 298.000
5.2.18.06.2.01.02 Belanja Dokumen/Administrasi Tender 100% 231.000 100% 231.000 100% 231.000 61% 141.000 13% 30.000 13% 30.000 0% - 87% 201.000 187% 432.000
5.2.18.06.2.03.07 Belanja Paket/Pengiriman 100% 2.400.000 100% 2.400.000 100% 2.400.000 0% - 0% - 0% - 0% - 0% - 100% 2.400.000
5.2.18.06.2.03.14 Belanja iklan dan promosi 100% 960.000 100% 960.000 100% 960.000 25% 240.000 25% 240.000 25% 240.000 0% - 75% 720.000 175% 1.680.000
5.2.18.06.2.15.01 Belanja Perjalanan Dinas Dalam Daerah 100% 5.760.000 100% 5.760.000 100% 5.760.000 25% 1.440.000 23% 1.320.000 23% 1.320.000 4% 240.000 75% 4.320.000 175% 10.080.000
5.2.18.06.2.15.02 Belanja Perjalanan Dinas Luar Daerah 100% 17.500.000 100% 15.484.500 100% 17.500.000 0% - 18% 3.200.000 0% - 0% - 18% 3.200.000 107% 18.684.500
5.2.18.07 Sosialisasi Peningkatan Penggunaan Produk Dalam Negeri 100% 68.000.000 0% - 100% 68.000.000 0% - 0 - 67% 45.453.500 20% 13.760.000 87% 59.213.500 87% 59.213.500
5.2.18.07.1.01.01 Honorarium Panitia Pelaksana Kegiatan 100% 1.900.000 0% - 100% 1.900.000 0% - 0% - 100% 1.900.000 0% - 100% 1.900.000 100% 1.900.000
5.2.18.07.1.01.04 Honorarium Tenaga Ahli/Instruktur/Narasumber (PNS) 100% 1.000.000 0% - 100% 1.000.000 0% - 0% - 100% 1.000.000 0% - 100% 1.000.000 100% 1.000.000
5.2.18.07.2.01.01 Belanja Alat Tulis Kantor 100% 660.000 0% - 100% 660.000 0% - 0% - 100% 660.000 0% - 100% 660.000 100% 660.000
5.2.18.07.2.01.02 Belanja Dokumen/Administrasi Tender 100% 6.890.000 0% - 100% 6.890.000 0% - 0% - 82% 5.640.000 0% - 82% 5.640.000 82% 5.640.000
5.2.18.07.2.07.02 Belanja Sewa Gedung/Kantor/Tempat 100% 750.000 0% - 100% 750.000 0% - 0% - 100% 750.000 0% - 100% 750.000 100% 750.000
5.2.18.07.2.11.02 Belanja Makanan Dan Minuman Rapat 100% 960.000 0% - 100% 960.000 0% - 0% - 100% 960.000 0% - 100% 960.000 100% 960.000
5.2.18.07.2.15.01 Belanja Perjalanan Dinas Dalam Daerah 100% 1.440.000 0% - 100% 1.440.000 0% - 0% - 100% 1.440.000 0% - 100% 1.440.000 100% 1.440.000
5.2.18.07.2.15.02 Belanja Perjalanan Dinas Luar Daerah 100% 47.450.000 0% - 100% 47.450.000 0% - 0% - 63% 30.103.500 29% 13.760.000 92% 43.863.500 92% 43.863.500
5.2.18.07.2.15.03 Belanja Perjalanan Lainnya 100% 6.950.000 0% - 100% 6.950.000 0% - 0% - 43% 3.000.000 0% - 43% 3.000.000 43% 3.000.000
5.2.18.09 Pendataan dan Penetapan Retribusi 100% 134.200.000 100% 40.000.000 100% 134.200.000 27% 36.020.000 25% 33.430.000 12% 15.560.000 0% - 63% 85.010.000 93% 125.010.000
5.2.18.09.1.01.01 Honorarium Panitia Pelaksana Kegiatan 100% 2.400.000 100% 1.650.000 100% 2.400.000 100% 2.400.000 0% - 0% - 0% - 100% 2.400.000 169% 4.050.000
5.2.18.09.2.01.01 Belanja Alat Tulis Kantor 100% 1.560.000 100% 390.000 100% 1.560.000 50% 780.000 0% - 0% - 0% - 50% 780.000 75% 1.170.000
5.2.18.09.2.06.01 Belanja Cetak 100% 99.800.000 100% - 100% 99.800.000 24% 23.630.000 23% 23.410.000 16% 15.560.000 0% - 63% 62.600.000 63% 62.600.000
5.2.18.09.2.15.01 Belanja Perjalanan Dinas Dalam Daerah 100% 6.840.000 100% 5.160.000 100% 6.840.000 25% 1.710.000 0% - 0% - 0% - 25% 1.710.000 100% 6.870.000
5.2.18.09.2.15.02 Belanja Perjalanan Dinas Luar Daerah 100% 23.600.000 100% 32.800.000 100% 23.600.000 32% 7.500.000 42% 10.020.000 0% - 0% - 74% 17.520.000 213% 50.320.000
1 2 3 4 5
6
Realisasi Capaian
Kinerja dan Anggaran
RKPD Kabupaten/Kota
Tahun Berjalan (Tahun
N-2) yang Dievaluasi
Target RPJMD
Kabupaten/Kota pada
Tahun 2013 (Akhir
Periode RPJMD)
Realisasi Kinerja Pada Triwulan
I II III IV
NO. SASARAN
KODE
REKENING
URAIAN / BIDANG URUSAN
PEMERINTAHAN DAERAH DAN
PROGRAM / KEGIATAN
INDIKATOR
KINERJA
PROGRAM
(OUTCOME) /
KEGIATAN
(OUTPUT)
Target RPJMD
Kabupaten/Kota pada
Tahun 2013 (Akhir
Periode RPJMD)
IKM Kota
Padangsidimpua
n
IKM yang
memenuhi standar
mutu Dinas
Koperasi,U
KM,Perinda
g dan Pasar
6 (enam) Pasar
di Kota
Padangsidimpua
n
meningkatnya
transaksi dan
pendistribusian
barang/produk
Dinas
Koperasi,U
KM,Perinda
g dan Pasar
7 8 9 10 11 12
IKM Kota
Padangsidimpua
n
Peningkatan
Penggunaan
Produksi Dalam
Negeri
Dinas
Koperasi,U
KM,Perinda
g dan Pasar
Pedagang di
Kota
Padangsidimpua
n
Tersedianya data
retribusi pasar
Dinas
Koperasi,U
KM,Perinda
g dan Pasar
Pemasaran
Produk - Produk
UKM Kota
Padangsidimpua
n
Tersedianya
peluang pasar
komoditi andalan
Dinas
Koperasi,U
KM,Perinda
g dan Pasar
Informasi Harga
Barang
Kebutuhan
Pokok dan
Strategis di Kota
Padangsidimpua
n
Tersedianya
Informasi Harga
Kebutuhan Pokok
dan Strategi
Lainnya
Dinas
Koperasi,U
KM,Perinda
g dan Pasar
Realisasi Capaian Kinerja
dan Anggaran RPJMD
Kabupaten/Kota yang
dievaluasi
Realisasi Kinerja dan
Anggaran RPJMD
Kabupaten/Kota s/d Tahun
2013(Akhir Tahun
Pelaksanaan RKPD Tahun
2013)
SKPD
Penanggung
Jawab
13 14=7+13
8 dari 17
K Rp K Rp K Rp K Rp K Rp K Rp K Rp K Rp K Rp
5.2.18.10 Fasilitasi Peningkatan Pelayanan Pasar / Sarana Pendukung Pasar Lainnya100% 25.200.000 0% - 100% 25.200.000 0% - 36% 9.132.000 0% - 0% - 36% 9.132.000 36% 9.132.000
5.2.18.10.1.01.01 Honorarium Panitia Pelaksana Kegiatan 100% 2.400.000 0% - 100% 2.400.000 0% - 100% 2.400.000 0% - 0% - 100% 2.400.000 100% 2.400.000
5.2.18.10.2.01.01 Belanja Alat Tulis Kantor 100% 5.152.000 0% - 100% 5.152.000 0% - 25% 1.308.000 0% - 0% - 25% 1.308.000 25% 1.308.000
5.2.18.10.2.01.05 Belanja Peralatan Kebersihan Dan Bahan Pembersih 100% 4.848.000 0% - 100% 4.848.000 0% - 50% 2.424.000 0% - 0% - 50% 2.424.000 50% 2.424.000
5.2.18.10.2.15.01 Belanja Perjalanan Dinas Dalam Daerah 100% 6.000.000 0% - 100% 6.000.000 0% - 50% 3.000.000 0% - 0% - 50% 3.000.000 50% 3.000.000
5.2.18.10.2.15.02 Belanja Perjalanan Dinas Luar Daerah 100% 6.800.000 0% - 100% 6.800.000 0% - 0% 0% - 0% - 0% - 0% -
5.2.18 Program Peningkatan Kualitas Kelembagaan Koperasi
100%
352.304.500
100%
142.762.600
100%
352.304.500
17%
58.830.000
18%
63.353.225
31%
108.525.725
34%
120.545.050
100%
351.254.000
140%
494.016.600
5.2.18.01 Koordinasi Pelaksanaan Kebijakan dan Program Pembangunan Koperasi100% 99.331.600 100% 43.880.600 100% 99.331.600 2% 2.150.000 13% 12.500.000 25% 25.200.000 59% 58.944.600 99% 98.794.600 144% 142.675.200
5.2.18.01.1.01.01 Honorarium Panitia Pelaksana Kegiatan 100% 2.000.000 100% 2.000.000 100% 2.000.000 100% 2.000.000 0% - 0% - 0% - 100% 2.000.000 200% 4.000.000
5.2.18.01.1.02.02 Honorarium Pegawai Honorer/Tidak Tetap 100% 450.000 100% 450.000 100% 450.000 33% 150.000 0% - 33% 150.000 33% 150.000 100% 450.000 200% 900.000
5.2.18.01.2.01.01 Belanja Alat Tulis Kantor 100% 371.200 100% 92.800 100% 371.200 0% - 0% - 0% - 100% 371.200 100% 371.200 125% 464.000
5.2.18.01.2.01.02 Belanja Dokumen/Administrasi Tender 100% 11.110.400 100% 2.782.800 100% 11.110.400 0% - 0% - 0% - 100% 11.110.400 100% 11.110.400 125% 13.893.200
5.2.18.01.2.06.02 Belanja Penggandaan 100% 1.700.000 100% 425.000 100% 1.700.000 0% - 0% - 0% - 100% 1.700.000 100% 1.700.000 125% 2.125.000
5.2.18.01.2.11.02 Belanja Makanan Dan Minuman Rapat 100% 18.500.000 100% 3.300.000 100% 18.500.000 0% - 0% - 0% - 100% 18.500.000 100% 18.500.000 118% 21.800.000
5.2.18.01.2.15.01 Belanja Perjalanan Dinas Dalam Daerah 100% 7.400.000 100% 2.880.000 100% 7.400.000 0% - 0% - 0% - 100% 7.400.000 100% 7.400.000 139% 10.280.000
5.2.18.01.2.15.02 Belanja Perjalanan Dinas Luar Daerah 100% 42.800.000 100% 31.950.000 100% 42.800.000 0% - 29% 12.500.000 23% 10.050.000 23% 10.050.000 76% 32.600.000 151% 64.550.000
5.2.18.01.2.15.03 Belanja Perjalanan Lainnya 100% 15.000.000 100% - 100% 15.000.000 0% - 0% - 100% 15.000.000 64% 9.663.000 164% 24.663.000 164% 24.663.000
5.2.18.02 Peningkatan Sarana dan Prasarana Pendidikan dan Pelatihan Perkoperasian100% 65.472.900 100% 24.000.000 100% 65.472.900 24% 15.850.000 28% 18.163.225 24% 15.513.225 24% 15.946.450 100% 65.472.900 137% 89.472.900
5.2.18.02.1.01.01 Honorarium Panitia Pelaksana Kegiatan 100% 2.000.000 100% 2.000.000 100% 2.000.000 0% - 100% 2.000.000 0% - 0% - 100% 2.000.000 200% 4.000.000
5.2.18.02.1.02.02 Honorarium Pegawai Honorer/Tidak Tetap 100% 300.000 100% 300.000 100% 300.000 50% 150.000 50% 150.000 0% - 0% - 100% 300.000 200% 600.000
5.2.18.02.2.01.01 Belanja Alat Tulis Kantor 100% 18.444.900 100% 4.518.000 100% 18.444.900 24% 4.518.000 25% 4.611.225 25% 4.611.225 26% 4.704.450 100% 18.444.900 124% 22.962.900
5.2.18.02.2.01.02 Belanja Dokumen/Administrasi Tender 100% 712.000 100% 178.000 100% 712.000 25% 178.000 25% 178.000 25% 178.000 25% 178.000 100% 712.000 125% 890.000
5.2.18.02.2.06.02 Belanja Penggandaan 100% 14.720.000 100% 3.680.000 100% 14.720.000 25% 3.680.000 25% 3.680.000 25% 3.680.000 25% 3.680.000 100% 14.720.000 125% 18.400.000
5.2.18.02.2.07.02 Belanja Sewa Gedung/Kantor/Tempat 100% 5.600.000 100% 1.400.000 100% 5.600.000 25% 1.400.000 25% 1.400.000 25% 1.400.000 25% 1.400.000 100% 5.600.000 125% 7.000.000
5.2.18.02.2.11.02 Belanja Makanan Dan Minuman Rapat 100% 5.376.000 100% 1.344.000 100% 5.376.000 25% 1.344.000 25% 1.344.000 25% 1.344.000 25% 1.344.000 100% 5.376.000 125% 6.720.000
5.2.18.02.2.15.01 Belanja Perjalanan Dinas Dalam Daerah 100% 8.720.000 100% 4.580.000 100% 8.720.000 25% 2.180.000 28% 2.400.000 22% 1.900.000 26% 2.240.000 100% 8.720.000 153% 13.300.000
5.2.18.02.2.15.03 Belanja Perjalanan Lainnya 100% 9.600.000 100% 6.000.000 100% 9.600.000 25% 2.400.000 25% 2.400.000 25% 2.400.000 25% 2.400.000 100% 9.600.000 163% 15.600.000
5.2.18.05 Pembinaan, Pengawasan, dan Perhargaan
Koperasi Berprestasi 100%
187.500.000 74.882.000
100%
187.500.000
22%
40.830.000
17%
32.690.000
36%
67.812.500
24%
45.654.000
100%
186.986.500
140%
261.868.500
5.2.18.05.1.01.01 Honorarium Panitia Pelaksana Kegiatan 100% 8.000.000 100% 8.000.000 100% 8.000.000 25% 2.000.000 25% 2.000.000 25% 2.000.000 25% 2.000.000 100% 8.000.000 200% 16.000.000
5.2.18.05.1.02.02 Honorarium Pegawai Honorer/Tidak Tetap 100% 600.000 100% 600.000 100% 600.000 25% 150.000 25% 150.000 25% 150.000 25% 150.000 100% 600.000 200% 1.200.000
5.2.18.05.2.01.01 Belanja Alat Tulis Kantor 100% 3.000.000 100% 750.000 100% 3.000.000 25% 750.000 25% 750.000 25% 750.000 25% 750.000 100% 3.000.000 125% 3.750.000
5.2.18.05.2.15.01 Belanja Perjalanan Dinas Dalam Daerah 100% 67.200.000 100% 16.800.000 100% 67.200.000 19% 12.930.000 22% 14.770.000 31% 20.640.000 28% 18.800.000 100% 67.140.000 125% 83.940.000
5.2.18.05.2.15.02 Belanja Perjalanan Dinas Luar Daerah 100% 108.700.000 100% 48.732.000 100% 108.700.000 23% 25.000.000 14% 15.020.000 41% 44.272.500 22% 23.954.000 100% 108.246.500 144% 156.978.500
Realisasi Capaian
Kinerja dan Anggaran
RKPD Kabupaten/Kota
Tahun Berjalan (Tahun
N-2) yang Dievaluasi
Target RPJMD
Kabupaten/Kota pada
Tahun 2013 (Akhir
Periode RPJMD)
Realisasi Kinerja Pada Triwulan
I II III IV
NO. SASARAN KODE REKENING
URAIAN / BIDANG URUSAN
PEMERINTAHAN DAERAH DAN
PROGRAM / KEGIATAN
INDIKATOR
KINERJA
PROGRAM
(OUTCOME) /
KEGIATAN
(OUTPUT)
Target RPJMD
Kabupaten/Kota pada
Tahun 2013 (Akhir
Periode RPJMD)
Lembaga
Koperasi
meningkatnya
kualitas
kelembagaan
koperasi
keterampilan
7 8 9 10 11 12
1 2 3 4 5
6
Pelatihan
Akuntansi
meningkatnya
kualitas
kelembagaan
koperasi
keterampilan
Dinas
Koperasi,U
KM,Perinda
g dan Pasar
Koperasi
Fungsional dan
Non Fungsional
meningkatnya
keterampilan
kelembagaan
koperasi
Dinas
Koperasi,U
KM,Perinda
g dan Pasar
13 14=7+13
6 (enam) Pasar
di Kota
Padangsidimpua
n
terlaksananya
kegiatan
peningkatan
pelayanan pasar
Dinas
Koperasi,U
KM,Perinda
g dan Pasar
Realisasi Capaian Kinerja
dan Anggaran RPJMD
Kabupaten/Kota yang
dievaluasi
Realisasi Kinerja dan
Anggaran RPJMD
Kabupaten/Kota s/d Tahun
2013(Akhir Tahun
Pelaksanaan RKPD Tahun
2013)
SKPD
Penanggung
Jawab
Dinas
Koperasi,U
KM,Perinda
g dan Pasar
9 dari 17
K Rp K Rp K Rp K Rp K Rp K Rp K Rp K Rp K Rp
5.2.19 Program Pembinaan Pedagang Kakilima dan Asongan 100% 18.332.000 100% - 100% 18.332.000 0% - 0% - 0% - 96% 17.622.000 96% 17.622.000 96% 17.622.000
5.2.19.02 Kegiatan Penyuluhan Peningkatan Disiplin Pedagang Kakilima dan Asongan100% 18.332.000 100% - 100% 18.332.000 0% - 0% - 0% - 96% 17.622.000 96% 17.622.000 96% 17.622.000
5.2.19.02.1.01.01 Honorarium Panitia Pelaksana Kegiatan 100% 1.400.000 100% - 100% 1.400.000 0% - 0% - 0% - 100% 1.400.000 100% 1.400.000 100% 1.400.000
5.2.19.02.1.02.01 Honorarium Tenaga Ahli/Instruktur/Narasumber 100% 2.400.000 100% - 100% 2.400.000 0% - 0% - 0% - 100% 2.400.000 100% 2.400.000 100% 2.400.000
5.2.19.02.1.02.02 Honorarium Pegawai Honorer/Tidak Tetap 100% 300.000 100% - 100% 300.000 0% - 0% - 0% - 100% 300.000 100% 300.000 100% 300.000
5.2.19.02.2.01.01 Belanja Alat Tulis Kantor 100% 1.952.000 100% - 100% 1.952.000 0% - 0% - 0% - 100% 1.952.000 100% 1.952.000 100% 1.952.000
5.2.19.02.2.01.02 Belanja Dokumen/Administrasi Tender 100% 350.000 100% - 100% 350.000 0% - 0% - 0% - 100% 350.000 100% 350.000 100% 350.000
5.2.19.02.2.07.02 Belanja Sewa Gedung/Kantor/Tempat 100% 750.000 100% - 100% 750.000 0% - 0% - 0% - 67% 500.000 67% 500.000 67% 500.000
5.2.19.02.2.11.02 Belanja Makanan Dan Minuman Rapat 100% 1.440.000 100% - 100% 1.440.000 0% - 0% 0% - 100% 1.440.000 100% 1.440.000 100% 1.440.000
5.2.19.02.2.15.01 Belanja Perjalanan Dinas Dalam Daerah 100% 1.440.000 100% - 100% 1.440.000 0% - 0% - 0% - 100% 1.440.000 100% 1.440.000 100% 1.440.000
5.2.19.02.2.15.02 Belanja Perjalanan Dinas Luar Daerah 100% 6.800.000 100% - 100% 6.800.000 0% - 0% - 0% - 93% 6.340.000 93% 6.340.000 93% 6.340.000
5.2.19.02.2.15.03 Belanja Perjalanan Lainnya 100% 1.500.000 100% - 100% 1.500.000 0% - 0% - 0% - 100% 1.500.000 100% 1.500.000 100% 1.500.000
1 2 3 4 5
6
Realisasi Capaian
Kinerja dan Anggaran
RKPD Kabupaten/Kota
Tahun Berjalan (Tahun
N-2) yang Dievaluasi
Target RPJMD
Kabupaten/Kota pada
Tahun 2013 (Akhir
Periode RPJMD)
Realisasi Kinerja Pada Triwulan
I II III IV
NO. SASARAN KODE REKENING
URAIAN / BIDANG URUSAN
PEMERINTAHAN DAERAH DAN
PROGRAM / KEGIATAN
INDIKATOR
KINERJA
PROGRAM
(OUTCOME) /
KEGIATAN
(OUTPUT)
Target RPJMD
Kabupaten/Kota pada
Tahun 2013 (Akhir
Periode RPJMD)
Para Pedagang
Kaki Lima
meningkatnya
disiplin pedagang
kaki lima
Dinas
Koperasi,U
KM,Perinda
g dan Pasar
7 8 9 10 11 12 13 14=7+13
Realisasi Capaian Kinerja
dan Anggaran RPJMD
Kabupaten/Kota yang
dievaluasi
Realisasi Kinerja dan
Anggaran RPJMD
Kabupaten/Kota s/d Tahun
2013(Akhir Tahun
Pelaksanaan RKPD Tahun
2013)
SKPD
Penanggung
Jawab
10 dari 17
Sasaran Pembangunan Tahunan Kabupaten/Kota :Padangsidimpuan
Dispora
K Rp K Rp K Rp K Rp K Rp K Rp K Rp K Rp K Rp K Rp
1 2 4 5 16
1 Meningkatnya pembinaan1 18 01 15 8 370.000.000 2 keg 185.000.000 - - - - - - 2 keg 160.900.000 2 keg 160.900.000 2 160.900.000 0,25 0,43 Dinas
potensi pemuda Pemuda
Olahrag
a
Kebuday
aan
dan
1 18 01 15 07 6 100.000.000 1 keg 50.000.000 - - - - - - 1 keg 25.900.000 1 keg 25.900.000 1 25.900.000 0,1667 0,26
Pariwisa
ta
Daerah
1 18 01 15 08
Kegiatan : Perluasan 2
270.000.000 1 Keg 135.000.000 - - - - - - 1 Keg 135.000.000 1 Keg 135.000.000 1 135.000.000 0,5 0,50
2 1 18 01 16 20 2.125.000.000 5 keg 505.463.000 - - 1 keg 226.463.000 4 keg 274.940.000 5 keg 501.403.000 5 501.403.000 0,25 0,24
1 18 01 16 02 Pembentukan Tim 5 955.000.000 1 keg 230.463.000 1 keg 226.463.000 1 keg 226.463.000 1 226.463.000 0,2 0,24
PASKIBRA
1 18 01 16 03
Kegiatan : Fasilitasi
Aksi Bhakti Sosial
Kepemudaan
Terlaksananya Bakti
Sosial Pemuda
5 250.000.000 1 Keg 50.000.000 1 keg 49.940.000 1 keg 49.940.000 1 49.940.000 0,2 0,20
1 18 01 16 04 Telaksananya 4 400.000.000 1 Keg 100.000.000 1 Keg 100.000.000 1 Keg 100.000.000 1 100.000.000 0,25 0,25
Sosialisasi Tentang
Kenakalan Remaja
1 18 01 16 06
Terlaksananya Lomba 3
210.000.000 1 Keg 75.000.000 1 Keg 75.000.000 1 Keg 75.000.000 1 75.000.000 0,3333 0,36
Pengibaran Bendera
Tingkat SMA Sekota
Padangsidimpuan
1 18 01 16 10
Terlaksananya Upacara 5
310.000.000 1 Keg 50.000.000 1 Keg 50.000.000 1 Keg 50.000.000 1 50.000.000 0,2 0,16
Hari Sumpah Pemuda
Formulir VII.F.B
EVALUASI TERHADAP HASIL RKPD
Kota Padangsidimpuan
Tahun 2013
NO Sasaran Kode
Urusan/Bidang
Urusan
Pemerintah
Daerah dan
Program Kegiatan
Indikator Kinerja
Program (Outcome) /
Kegiatan (Output)
Target RPJMD
Kabupaten / Kota
pada Tahun 2017
(Akhir periode
RPJMD)
Realisasi Capaian
Kinerja RPJMD
Kabupaten/Kota
sampai dengan
RKPD Kabupaten
/Kota Tahun Lalu
(2012)
Target Kinerja dan
Anggaran RKPD
Kabupaten/Kota
Tahun Berjalan (2013)
yang dievaluasi
Realisasi Kinerja pada Triwulan
Realisasi Capaian
Kinerja dan Anggaran
RKPD
Kabupaten/Kota yang
dievaluasi (2013)
Realisasi Kinerja dan
Anggaran RPJMD
Kabupaten/Kota s/d
Tahun 2013 (Akhir
Tahun Pelaksanaan
RKPD Tahun 2013)
3 6 7 8 9 15=14/6X100%
SKPD
Penang
gung
Jawab
I II III IV
Tingkat
Capaian Kinerja
dan Realisasi
Anggaran
RPJMD
Kbupaten/Kota
s/d Tahun
2013 (%)
10 11 12 13 14=7+13
Program
Pengembangan dan
Keserasian
Kebijakan Pemuda
Meningkatnya Pemuda
Berprestasi Di
Bidangnya
Kegiatan :
Penyusunan
rancangan pola
kemitraan antar
pemuda dengan
masyarakat
Terkirimnya duta Kota
Padangsidimpuan pada
Bhakti Pemuda Antar
Propinsi ( BPAP )
Terlaksananya kegiatan
Musyawarah Naposo
Nauli Bulung Se Kota
Padangsidimpuan
Penyusunan
Rencana Aksi
Daerah Bidang
Kepemudaan
Meningkatnya
pembinaan
potensi pemuda
Program
peningkatan peran
serta kepemudaan
Menurunnya Tingkat
Kenakalan Remaja
Kegiatan
:Pendidikan dan
Pelatihan Dasar
Kepepmimpinan
Kegiatan :Fasilitasi
Pekan Temu Wicara
Organisasi Pemuda
Kegiatan : Lomba
Kreasi Karya Tulis
Ilmiah Dikalangan
Pemuda
Kegiatan :
Peringatan Hari
Sumpah Pemuda
11 dari 17
K Rp K Rp K Rp K Rp K Rp K Rp K Rp K Rp K Rp K Rp
1 2 4 5 16
NO Sasaran Kode
Urusan/Bidang
Urusan
Pemerintah
Daerah dan
Program Kegiatan
Indikator Kinerja
Program (Outcome) /
Kegiatan (Output)
Target RPJMD
Kabupaten / Kota
pada Tahun 2017
(Akhir periode
RPJMD)
Realisasi Capaian
Kinerja RPJMD
Kabupaten/Kota
sampai dengan
RKPD Kabupaten
/Kota Tahun Lalu
(2012)
Target Kinerja dan
Anggaran RKPD
Kabupaten/Kota
Tahun Berjalan (2013)
yang dievaluasi
Realisasi Kinerja pada Triwulan
Realisasi Capaian
Kinerja dan Anggaran
RKPD
Kabupaten/Kota yang
dievaluasi (2013)
Realisasi Kinerja dan
Anggaran RPJMD
Kabupaten/Kota s/d
Tahun 2013 (Akhir
Tahun Pelaksanaan
RKPD Tahun 2013)
3 6 7 8 9 15=14/6X100%
SKPD
Penang
gung
Jawab
I II III IV
Tingkat
Capaian Kinerja
dan Realisasi
Anggaran
RPJMD
Kbupaten/Kota
s/d Tahun
2013 (%)
10 11 12 13 14=7+13
Program
Pengembangan dan
Keserasian
Kebijakan Pemuda
Meningkatnya Pemuda
Berprestasi Di
Bidangnya
3 1 18 01 17
Program
Peningkatan Meningkatnya Pemuda 2
200.000.000 2 Klompok 202.225.000 - - - - - - - - - 0 0 0 0 0,00
Upaya
Penumbuhan Berprestasi
Kewirausahaan dan Di Bidangnya
Kecakapan Hidup
Pemuda
1 18 01 17 01
Kegiatan :
Pelatihan Terlaksananya 2
200.000.000 2 Klompok 202.225.000 - - - - - - - - - 0 0 0 0 0,00
Kewirausahaan
Bagi Pembinaan KUPP
Pemuda
4 1 18 01 19
Program
Pengembangan
Kebijakan dan
Manajemen
Olahraga
Meningkatnya Kualitas
Organisasi Olahraga
dalam Membina Atlet
1 300.000.000 1 Tahun 300.000.000 - - - - - - - - - 0 0 0 0 0,00
1 18 01 19 05
Kegiatan :
Pembinaan Terlaksananya 1
300.000.000 1 Tahun 300.000.000 - - - - - - - - - 0 0 0 0 0,00
Manajemen
Organisasi
Pembinaan dan
prestasi
Olahraga olahraga tingkat pelajar
5 1 18 01 20
113
4.570.000.000 15 Keg. 1.945.000.000 2 keg 246.948.000 5 keg 398.442.500 5 keg 739.855.000 12 Keg 1.385.245.500
12
1.385.245.500 0,1062 0,30
1 18 01 20 03 Meningkatnya kualitas 10 500.000.000 2 Cabor 100.000.000 2 Cabor 100.000.000 2 Cabor 100.000.000 2 100.000.000 0,2 0,20
atlit
1 18 01 20 04 Terkirimnya kontingen 55 650.000.000 4 Keg 390.000.000 1 keg 199.948.000 1 keg 30.013.000 2 Keg 229.961.000 2 229.961.000 0,0364 0,35
POSPEDA, PORWIL
dan
POSPENAS serta
pemantau POPNAS
1 18 01 20 05 Meningkatnya 5 215.000.000 1 Tahun 120.000.000 6 Bln 47.000.000 1 Bln 9.400.000 5 Bln 41.600.000 1 Tahun 98.000.000 1 98.000.000 0,2 0,46
kesegaran masyarakat
1 18 01 20 06 Terlaksananya 25
1.000.000.000 4 Keg 800.000.000 2 keg 499.955.000 2 keg 499.955.000 2 499.955.000 0,08 0,50
Kejuaraan Piala
Walikota
Kegiatan :
Pembibitan dan
Pembinaan
Olahragawan
Berbakat
Kegiatan :
Pembinaan cabang
olahraga prestasi
tingkat daerah
Kegiatan :
Peningkatan
kesegaran jasmani
dan rekreasi
Terlaksananya kegiatan
memasyarakatkan
olahraga dan
mengolahragakan
masyarakat
Meningkatnya
pembinaan
potensi pemuda
Penjaringan dan
pembinaan atlit
dan pelatih
berprestasi
Penjaringan dan
pembinaan atlit
dan pelatih
berprestasi
Program
Pembinaan dan
Pemasyarakatan
Olahraga
Kegiatan :
Penyelenggaraan
Kompetisi Olahraga
12 dari 17
K Rp K Rp K Rp K Rp K Rp K Rp K Rp K Rp K Rp K Rp
1 2 4 5 16
NO Sasaran Kode
Urusan/Bidang
Urusan
Pemerintah
Daerah dan
Program Kegiatan
Indikator Kinerja
Program (Outcome) /
Kegiatan (Output)
Target RPJMD
Kabupaten / Kota
pada Tahun 2017
(Akhir periode
RPJMD)
Realisasi Capaian
Kinerja RPJMD
Kabupaten/Kota
sampai dengan
RKPD Kabupaten
/Kota Tahun Lalu
(2012)
Target Kinerja dan
Anggaran RKPD
Kabupaten/Kota
Tahun Berjalan (2013)
yang dievaluasi
Realisasi Kinerja pada Triwulan
Realisasi Capaian
Kinerja dan Anggaran
RKPD
Kabupaten/Kota yang
dievaluasi (2013)
Realisasi Kinerja dan
Anggaran RPJMD
Kabupaten/Kota s/d
Tahun 2013 (Akhir
Tahun Pelaksanaan
RKPD Tahun 2013)
3 6 7 8 9 15=14/6X100%
SKPD
Penang
gung
Jawab
I II III IV
Tingkat
Capaian Kinerja
dan Realisasi
Anggaran
RPJMD
Kbupaten/Kota
s/d Tahun
2013 (%)
10 11 12 13 14=7+13
Program
Pengembangan dan
Keserasian
Kebijakan Pemuda
Meningkatnya Pemuda
Berprestasi Di
Bidangnya
1 18 01 20 07
Terlaksananya kegiatan 5
800.000.000 1 Paket 150.000.000 1 paket 149.269.500 1 paket 149.269.500 1 149.269.500 0,2 0,19
olahraga dalam rangka
HUT RI
1 18 01 20 08
Terlaksananya Upacara 5
530.000.000 1 Keg 100.000.000 1 Keg 98.300.000 1 Keg 98.300.000 1 98.300.000 0,2 0,19
Hari Olahraga Nasional
( HAORNAS )
1 18 01 20 11
Kegiatan :
Pengembangan
Olahraga Rekreasi
Terlaksananya Senam
Ayo Bergerak Indonesia
3 195.000.000 1 Keg 60.000.000 1 Keg 60.000.000 1 Keg 60.000.000 1 60.000.000 0,3333 0,31
1 18 01 20 12
Kegiatan :
Peningkatan
Jaminan
Kesejahteraan Bagi
Masa Depan Atlet,
Pelatih dan Teknisi
Olahraga
Terlaksananya
pemberian Bea Siswa
untuk atlit pelajar
berprestasi dan
potensial
5 180.000.000 1 Tahun 75.000.000 - - - - - - - - - 0 0 0 0 0,00
1 18 01 20 14
Kegiatan :
Pembinaan
Olahraga yang
Berkembang Di
Masyarakat
Terlaksananya fasilitasi
alat - alat olahraga
untuk masyarakat
5 500.000.000 1 Tahun 150.000.000 1 Keg 149.760.000 - - 1 Keg 149.760.000 1 149.760.000 0,2 0,30
6
Meningkatnya
peran 1 18 01 21 Meningkatnya kualitas 5 10.400.000.000 1 Tahun 120.000.000 21.536.100 68.463.350 5.808.100 95.807.550 1 95.807.550 0,2 0,01
masyarakat
untuk sarana prasarana
melestarikan adat
dan olahraga
budaya
1 18 01 21 07
Terpeliharanya sarana 5
10.400.000.000 1 Tahun 120.000.000 - - - 21.536.100 68.463.350 5.808.100 95.807.550
1
95.807.550 0,2 0,01
dan prasarana
masyarakat
7 1 17 01 15
Meningkatnya
partisipasi 18
428.600.000 2 Keg 50.000.000 2 Keg 50.000.000 2 Keg 50.000.000
2
50.000.000 0,1111 0,12
masyarakat dalam
pelestarian budaya
1 17 01 15 01
Terlaksananya
Pelatihan 8
260.000.000 1 Keg 25.000.000 1 Keg 25.000.000 1 Keg 25.000.000 1 25.000.000 0,125 0,10
Pemakaian Alat Musik
Tradisional
Kegiatan :
Pemassalan
Olahraga Bagi
Pelajar, Mahasiswa
dan Masyarakat
Kegiatan :
Pemberian
Penghargaan Bagi
Insan Olahraga
Yang Berdedikasi
dan Berprestasi
Program
Peningkatan
Sarana dan
Prasarana
Olahraga
Kegiatan :
Pemeliharaan
rutin/berkala
sarana dan
prasarana olahraga
Meningkatnya
peran masyarakat
untuk
melestarikan adat
dan budaya
Program
Pengembangan
Nilai Budaya
Kegiatan :
Pelestarian dan
Aktualisasi Adat
Budaya Daerah
13 dari 17
K Rp K Rp K Rp K Rp K Rp K Rp K Rp K Rp K Rp K Rp
1 2 4 5 16
NO Sasaran Kode
Urusan/Bidang
Urusan
Pemerintah
Daerah dan
Program Kegiatan
Indikator Kinerja
Program (Outcome) /
Kegiatan (Output)
Target RPJMD
Kabupaten / Kota
pada Tahun 2017
(Akhir periode
RPJMD)
Realisasi Capaian
Kinerja RPJMD
Kabupaten/Kota
sampai dengan
RKPD Kabupaten
/Kota Tahun Lalu
(2012)
Target Kinerja dan
Anggaran RKPD
Kabupaten/Kota
Tahun Berjalan (2013)
yang dievaluasi
Realisasi Kinerja pada Triwulan
Realisasi Capaian
Kinerja dan Anggaran
RKPD
Kabupaten/Kota yang
dievaluasi (2013)
Realisasi Kinerja dan
Anggaran RPJMD
Kabupaten/Kota s/d
Tahun 2013 (Akhir
Tahun Pelaksanaan
RKPD Tahun 2013)
3 6 7 8 9 15=14/6X100%
SKPD
Penang
gung
Jawab
I II III IV
Tingkat
Capaian Kinerja
dan Realisasi
Anggaran
RPJMD
Kbupaten/Kota
s/d Tahun
2013 (%)
10 11 12 13 14=7+13
Program
Pengembangan dan
Keserasian
Kebijakan Pemuda
Meningkatnya Pemuda
Berprestasi Di
Bidangnya
1 17 01 15 03 Terlaksananya 10 168.600.000 1 Keg 25.000.000 1 Keg 25.000.000 1 Keg 25.000.000 1 25.000.000 0,1 0,15
Silaturahmi Seniman
dan Budayawan
8 2 04 01 15 9 800.000.000 2 Keg 150.000.000 2 Keg 136.997.060 2 Keg 136.997.060 2 136.997.060 0,2222 0,17
2 04 01 15 04
Kegiatan :
Koordinasi Terlaksananya 4
300.000.000 1 Keg 100.000.000 1 Keg 99.997.060 1 Keg 99.997.060 1 99.997.060 0,25 0,33
Dengan Sektor Kunjungan Balasan
Pendukung Dengan Masyarakat
Pariwisata Mandailing Malaysia
2 04 01 15 05 Terpilihnya putra-putri 5 500.000.000 1 Keg 50.000.000 1 Keg 37.000.000 1 Keg 37.000.000 1 37.000.000 0,2 0,07
duta wisata Kota
Padangsidimpuan
9
Meningkatnya
peran masyarakat
untuk
melestarikan adat
dan budaya
1 17 01 16
Program :
Pengelolaan
Kekayaan Budaya
Meningkatnya minat
masyarakat dalam
pengelolaan adat
budaya
30 823.999.992 5 Keg 250.000.000 2 Keg 118.720.000 1 Keg 49.325.000 2 Keg 81.684.000 5 Keg 249.729.000 5 249.729.000 0,1667 0,30
1 17 01 16 02
Kegiatan :
Pelestarian Tersedianya 6 336.999.992 1 Paket 50.000.000 1 Keg 50.000.000 1 Keg 50.000.000 1 50.000.000 0,1667 0,15
Fisik dan
Kandungan seperangkat
Bahan Pustaka pakaian adat daerah
Termasuk Naskah
Kuno
1 17 01 16 06 Kegiatan : Terlaksananya event 29 487.000.000 4 Keg 200.000.000 2 Keg 118.720.000 1 Keg 49.325.000 1 Keg 31.684.000 4 Keg 199.729.000 4 199.729.000 0,1379 0,41
Pengembangan budaya dan pariwisata
Kebudayaan dan tingkat provinsi dan
Pariwisata nasional
10 2 04 01 16 5 150.000.000 1 Keg 25.000.000 - - - - - - - - - 0 0 0 0 0,00
2 04 01 16 05 Terlaksananya 5 150.000.000 1 Keg 25.000.000 - - - - - - - - - 0 0 0 0 0,00
pendataan dan
pengawasan objek
dan sarana prasarana
pariwisata
Kegiatan
:Pemantauan dan
evaluasi
pelaksanaan
program
pengembangan
destinasi
pemasaran
pariwisata
Terbinanya
tujuan wisata
Program :
Pengembangan
Pemasaran
Pariwisata
Kegiatan :
Pelaksanaan
promosi pariwisata
di dalam dan luar
negeri
Terbinanya
tujuan wisata
Program
Pengembangan
Destinasi
Pariwisata
Terwujudnya
Padangsidimpuan
menjadi kota tujuan
wisata
Kegiatan :
Penyusunan
Kebijakan Tentang
Budaya Lokal
Daerah
14 dari 17
K Rp K Rp K Rp K Rp K Rp K Rp K Rp K Rp K Rp K Rp
1 2 4 5 16
NO Sasaran Kode
Urusan/Bidang
Urusan
Pemerintah
Daerah dan
Program Kegiatan
Indikator Kinerja
Program (Outcome) /
Kegiatan (Output)
Target RPJMD
Kabupaten / Kota
pada Tahun 2017
(Akhir periode
RPJMD)
Realisasi Capaian
Kinerja RPJMD
Kabupaten/Kota
sampai dengan
RKPD Kabupaten
/Kota Tahun Lalu
(2012)
Target Kinerja dan
Anggaran RKPD
Kabupaten/Kota
Tahun Berjalan (2013)
yang dievaluasi
Realisasi Kinerja pada Triwulan
Realisasi Capaian
Kinerja dan Anggaran
RKPD
Kabupaten/Kota yang
dievaluasi (2013)
Realisasi Kinerja dan
Anggaran RPJMD
Kabupaten/Kota s/d
Tahun 2013 (Akhir
Tahun Pelaksanaan
RKPD Tahun 2013)
3 6 7 8 9 15=14/6X100%
SKPD
Penang
gung
Jawab
I II III IV
Tingkat
Capaian Kinerja
dan Realisasi
Anggaran
RPJMD
Kbupaten/Kota
s/d Tahun
2013 (%)
10 11 12 13 14=7+13
Program
Pengembangan dan
Keserasian
Kebijakan Pemuda
Meningkatnya Pemuda
Berprestasi Di
Bidangnya
11 1 17 01 17
Program :
Pengelolaan
Kekayaan Budaya
Meningkatnya partisipasi 5
168.600.000 1 Keg 80.000.000 1 Keg 75.750.000 1 Keg 75.750.000
1
75.750.000 0,2 0,45
Keragaman Budaya masyarakat dalam
pelestarian budaya
1 17 01 17 03 Kegiatan : Terlaksananya 5 168.600.000 1 Keg 80.000.000 1 Keg 75.750.000 1 Keg 75.750.000 1 75.750.000 0,2 0,45
Penyelenggaraan seminar adat dan
Dialog Kebudayaan
budaya
Meningkatnya
peran masyarakat
untuk
melestarikan adat
dan budaya
15 dari 17
K Rp. K Rp. K Rp K Rp K Rp K Rp K Rp K Rp K Rp K Rp
19 1 19 01 19
Program Peningkatan
sasaran dan Prasarana
Aparatur
Peningkata
n Fasilitas
kantor 02 07
Pengadaan Perlengkapan
Gedung Kantor
Tercapaianya
Fasilitas PNS
Kantor 5 Th 1.845.450.000 - - - 369.090.000 - - - 29.000.000 3bl 170.045.000 - 170.045.000 - 100% - 100% - 20%
Peningkata
n Fasilitas
kantor 02 22
Pemeliharaan
Rutin/Berkala Gedung
Kantor
Tercapaianya
Fasilitas PNS
Kantor 5 Th 77.550.000 - - - 15.510.000 3bl 3.877.500 3bl 3.877.500 3bl 3.877.500 - 3.877.500 100% - 100% - 20%
Peningkata
n Fasilitas
kantor 02 24
Pemeliharaan
Rutin/Berkala Gedung
kantor
Tercapaianya
Fasilitas PNS
Kantor 5 Th 354.900.000 - - 70.980.000 3bl 17.745.000 3bl 17.745.000 3bl 17.745.000 - 17.745.000 - 100% - 100% - 20%
06
Prongram Penigkatan
Pengembangan Sistem
Pelaporan Capaian
Kinerja Dan Keuangan
Pencapaian
targer
Kinerja 04
Penyusunan Pelaporan
Keuangan Akhir
Tercapaianya
Penyusunan
Laporan
keuangan yang
baik 5 Th 16.500.000 - 3.300.000 - - - - - - - 3.300.000 - 100% - 100% - 20%
16
Program Pemeliharaan
kantrantibnas dan
pencegahan tindak
kriminal
Sosialisasi
pada
Masyaraka
t 02
Peningkatan Kerja sama
dengan aparat Keamanan
dalam teknik Pencegahan
Kejahatan
Terciptanya
Keamnan
dimasyarakat
5 Th 546.000.000 - 109.200.000 3 bl 27.300.000 3 bl 27.300.000 3bl 27.300.000 - 27.300.000 - 100% - 100% - 20%
Sosialisasi
pada
Masyaraka
t 04
Peningkatan Kapasitas
Aparat Dalam Rangka
Pelaksanaan
Siskamswakarsa di Daerah
Terciptanya
Keamnan
dimasyarakat
5 Th 847.175.000 - 169.435.000 3 bl 42.358.750 3bl 42.358.750 3bl 42.358.750 - 42.358.750 - 100% - 100% - 20%
17
Program pengembangan
wawasan kebangsaan
14=7+13
15=14/6*100
%
FORMULIR VII.F.8
EVALUASI TERHADAP HASIL RKPD
KOTA PADANGSIDIMPUAN
TAHUN 2013
Kantor Kesbang
Sasaran Pembangunan Tahunan Kota Padangsidimpuan
No Sasaran kode
Urusan/Bidang Urusan
Pemerintah Daerah
dan Program/ Kegiatan
Indikator
Kinerja
Program (
Outceme)/
Kegiatan (
Output )
4 5
6
Tingkat
Kinerja dan
anggaran
RPJMD
Kabupaten/K
ota s/dTahun
2013 (
AkhirTahun
Pelaksanaan
RKPD Tahun
SKPD
Penang
gung
Jawab
I II III IV
Realisasi
Kinerja dan
anggaran
RPJMD
Kabupaten/Ko
ta s/d Tahun
2013 ( Akhir
Tahun
Pelaksanaan
RKPD Tahun
Target RPJMD
Kabupaten/Kota Pada
Tahun 2017 ( Akhir
Periode RPJMD )
Realisasi
Capaian
Kinerja
RPJMD
Kabupaten/K
ota sampai
dengan RKPD
Kabupaten/K
ota tahun
Lalu ( n-2)
Target Kinerja dan
Anggaran RKPD
Kabupaten/Kota
Tahun Berjalan (
tahun n-1) yang
Dievaluasi 2013
Realisasi Kinerja Pada Triwulan Realisasi
Capaian
Kinerja dan
Anggaran
RKPD
Kabupaten/K
ota yang
dievaluasi
13127 8 9 10 11
1 2 3
16 dari 17
Sosialisasi
pada
Masyaraka
t 17 01
Peningkatan Toleransi dan
kerukunan dalam
kehidupan beragama
Tercapainya
kerukunan antar
sesama dalam
umat beragama
5 Th 760.950.000 - 152.190.000 3 bl 38.047.500 3 bl 38.047.500 3bl 38.047.500 - 38.047.500 - 100% - 100% - 20%
Sosialisasi
pada
Masyaraka
t 17 02
Peningkatan Solidaritas
dan Ikatan Sosial
Dikalangan Masyarakat
Terciptanya
Solidaritas dan
ikatan sosial di
masyarakat 5 Th 487.700.000 - 97.540.000 3 bl 24.385.000 3 bl 24.385.000 - - - 48.770.000 - 100% - 100% - 20%
Program Kemitraan
Pengembangan Wawasan
Kebangsaan
Administra
si Ormas
Verivikasi Organisasi
Kemasyarakatan
Tercapaianya
Organisasi yang
baik antar
masyarakat 5 Th 165.000.000 24 33.000.000 3bl 8.250.000 3bl 8.250.000 3bl 8.250.000 - 8.250.000 - 100% - 100% - 20%
20
Program Peningkatan
Pemberantasan Penyakit
Masyarakat ( Pekat )
21
Program Pendidikan
Politik Masyarakat
Administra
si Ormas 05
Monitoring, Evaluasi dan
Pelaporan
Tertibnya
administrasi yang
baik 5 Th 75.900.000 - 15.180.000 3bl 3.795.000 3bl 3.795.000 3bl 3.795.000 - 3.795.000 - 100% - 100% - 20%
Administra
si Ormas 06
Administrasi Bantuan
Keuangan kepada Partai
Politik
Tertibnya
administrasi yang
baik 5 Th 256.500.000 - 53.100.000 - - - - - - - 53.100.000 - 100% - 100% - 20%
Faktor pendorong keberhasilan Kinerja: SDM PNS dan kerjasama
Faktor Penghambat Pencapaian Kinerja : Sumber daya Manusia/SDM PNS
Tindaklanjut yang diperlukan dalam triwulan berikutnya :Peningkatan kerjasama
Tindak lanjut yang diperlukan dalam RKPD berikutnya : Peningkatan SDM
Rata-rata capaian Kinerja (%) 100%
Predikat Kinerja
17 dari 17
K Rp. K Rp. K Rp. K Rp. K Rp. K Rp. K Rp. K Rp. K Rp. K Rp.
1 Peningkatan kapasitas
sumberdaya Aparatur
- Mengikuti Pendidikan Peningkatan Kinerja 35 x 755.000.000 0 0 7 x 105.000.000 0 0 39 41.330.000 0 10.060.000 0 20.640.000 7 x 72.030.000 7 x 51.390.000 0,2 57,62 Bag
dan pelatihan paratur Tapem
2 Peningkatan Pelayanan
kedinasan KDH dan
Wakil KDH Peningkatan tindak 60 x 33.000.000 0 0 4 x 2.074.000.000 0 0 37 770.000 0 0 0 0 12 x 770.000 4 x 770.000 0,06 37,12 Sda
- Rapat Koordinasi Pe lanjut keputusan
jabat pemerintahan rapat koordinasi
Daerah pemerintahan
3 Peningkatan kualitas . .
Pelayanan Publik Adanya Keputusan 60 x 39.000.000 0 0 0 0 0 0 0 0 0 0 0 0 12 x 0 0 0 0 0 Sda
- Rapat Koordinasi bersama unsur
Unsur Muspida muspida
4 Peningkatan kualitas
Pelayanan Publik Merangkum laporan 5 x 30.000.000 0 0 1 x 5.180.000 0 0 0 0 0 0 0 4.700.000 1 x 4.700.000 1 x 4.700.000 0 90,73 Sda
- Pelaporan PPAT dari pejabat PPAT
5 Peningkatan sistim
pengawasan internal
dan pengendalian pe
laksanaan kebijakan
KDH
- Administrasi penun Terlaksananya adm 20 x 28.000.000 0 0 1 x 27.728.000 0 0 20 5.570.000 0 2.940.000 0 2.270.000 4 x 10.780.000 1 x 8.510.000 0,05 38,87 Sda
jang kegiatan bagian kegiatan
Adm.Pemum
- Desk Pemilihan Kepa Terlaksananya 5 x 200.000.000 0 0 1 x 116.792.000 0 0 73 86.222.000 0 0 0 0 1 x 86.222.000 1 x 86.222.000 0,2 73,82 Sda
la Daerah Pilkada,Pileg dan
Pilpres
6 Optimalisasi pemanfaat
an teknologi informasi
- Penyebar luasan in Peningkatan tindak 5 x 602.000.000 0 0 1 x 51.778.000 0 0 74 38.522.000 0 8.158.000 0 0 1 x 46.680.000 1 x 46.680.000 0,2 90,15 Sda
formasi penyelenggara lanjut LPPD
an pemerintah daerah
- Sosialisasi penyusu Peningkatan kinerja 5 x 0 0 0 1 x 40.625.000 0 0 - 0 0 6.526.000 0 30.032.500 1 x 36.558.500 1 x 6.526.000 0,2 89,99 Sda
nan dan evaluasi lapo Aparatur
ran penyelenggaraan
Pemerintah daerah
7 Peningkatan kerjasama Peningkatan kerja 10 x 156.000.000 0 0 2 x 244.980.000 0 0 66 162.450.000 0 0 0 6.000.000 2 x 168.450.000 2 x 162.450.000 0,2 78,35 Sda
antar pemerintah daerah sama sesama ang
- Rapat APEKSI gota APEKSI
13 14 = 7 + 13 15=14/6 * 100%
16
12
1 2 3 4 5
6 7 8 9 10 11
Tingkat Capaian
Kinerja dan
Realisasi
Anggaran RPJMD
Kota s/d Tahun
2013 (%)
SKPD
Penang
gung
Jawab
I II III IV
Realisasi Kinerja dan
Anggaran RPJMD Kota
s/d Tahun 2013 (Akhir
Tahun Pelaksanaan
RKPD Tahun 2013)
Target RPJMD Kota
pada Tahun 2017
(Akhir Periode
RPJMD)
Realisasi Capaian
Kinerja RPJMD
Kota sampai
dengan RKPD
Kota Tahun Lalu (n-
2)
Target Kinerja dan
Anggaran RKPD
Kota Tahun Berjalan
(Tahun n-1) yang
Dievaluasi
Realisasi Kinerja Pada Triwulan
Realisasi Capaian
Kinerja dan
Anggaran RKPD
Kota yang
dievaluasi
Sasaran Pembangunan Tahunan :2013
Bagian Adm. Pemerintahan Umum
FORMULIR VII.F8
EVALUASI TERHADAP HASIL RKPD
KOTA PADANGSIDIMPUAN
TAHUN 2013 Triwulan IV
No
Sa
sa
ran
Kode
Urusan/Bidang Urusan
Pemerintahan Daerah dan
Program/Kegiatan
Indikator Kinerja
Program
(Outcome)/Kegiatan
(Output)
1 dari 67
8 Penataan Daerah Otono
mi baru
- Fasilitasi percepatan adanya batas wila 5 x 50.000.000 0 0 1 x 185.655.000 0 0 3 7.150.000 0 4.668.000 0 0 1 x 11.818.000 1 x 11.818.000 0,2 6,04 Sda
penyelesaian tapal ba yah yang jelas
tas adm antar daerah/
penataan batas wilayah
9 Penataan Daerah Otono
mi baru
- Pembakuan nama rupa adanya nama rupa 5 x 1.200.000.000 0 0 1 x 0 0 0 0 0 0 0 0 0 1 x 0 1 x 0 0,2 0 Sda
bumi bumi yang baku
10 Perencanaan pembangu
nan wilayah strategis
dan cepat tumbuh adanya kecamatan 10 x 80.000.000 0 0 1 x 68.667.000 0 0 47 32.302.000 0 7.175.000 0 0 2 x 39.477.000 1 x 39.477.000 0,1 57,49 Sda
- Penilaian Kec Terbaik terbaik
11 Peningkatan kualitas pela
yanan publik
- Pelayanan Adm terpadu Terselenggaranya 5 x 900.000.000 0 0 0 0 0 0 0 0 0 0 0 0 1 x 0 0 0 0 0 Sda
kecamatan (PATEN) PATEN di kecamatan
Faktor pendorong keberhasilan kinerja : 1.Tersedianya anggaran pelaksanaan Kinerja. 2.Adanya Sumber Daya Aparatur yg menguasai Tupoksi. 3. Tersedianya Sarana dan Prasarana penunjang pelaksanaan tugas.
Faktor penghambat pencapaian kinerja : 2. Terbatasnya anggaran pelaksanaan kinerja. 2. Kurangnya sumber daya aparatur yg menguasai Tupoksi. 3. Keterbatasan sarana dan prasarana penunjang pelaksanaan tugas.
Tindak lanjut yang diperlukan dalam triwulan berikutnya : Mempersiapkan pelaksanaan kinerja secara administrasi dan keuangan.
Tindak lanjut yang diperlukan dalam RKPD berikutnya : 1.Mempersiapkan anggaran pelaksanaan kinerja sesuai kebutuhan. 2.Meningkatkan sumber daya aparatur yg menguasai dan memahami tupoksi.
3.Mempersiapkan sarana dan prasarana sebagai penunjang pelaksanaan kinerja. 4.Memberdayakan seluruh perangkat untuk mencapai kinerja
i
Predikat Kinerja
2 dari 67
K Rp. K Rp. K Rp. K Rp. K Rp. K Rp. K Rp. K Rp. K Rp. K Rp.
1 1 20 Urusan Wajib
26 Program Penataan
Peraturan Perundang-
Kegiatan
01 Koordinasi Kerjasama Meningkatnya 120 kali 317.750.000 24kali 63.550.000 0 0 22 37.959.000 0 0 24 63.495.400 24 63.495.000 24 63.495.000 20 19.98 Bag.Hkm
Permasalahan Perat. Sumber daya
Perundang-undangan Aparatur dalam
penyelenggaraan
urusan pmrthan
03 Legislasi Rancangan Tercapainya 1250 345.750.000 250 69.150.500 0 0 200 32.760.000 0 0 380 52.673.700 380 52.673.700 380 52.673.700 30 15,23 Sda
Perat. Perundang- harmonisasi Perat .
Perundang-undangan Penyusunan
Produk hkm
04 Fasilitasi Sosialisasi Meningkatnya 25 kali 275.000.000 2 Kali 54.019.000 0 0 0 0 0 0 2 52.599.000 2 52.599.000 2 52.599.000 8 19,12 Sda
Perat. Perundang- Kegiatan Sosialisasi
undangan di bidang hkm
kpd masyarakat
05 Publikasi Perat. Tersedianya Produk 625 135.000.000 125 26.776.300 0 0 0 0 0 0 125 26.766.300 125 26.766.300 125 26.766.300 20 19,82 Sda
undangan Hkm Daerah Buku Buku Buku
2 05 Program Peningkatan
Sumber Daya Aparatur
Kegiatan
07 Bimbingan Teknis, Meningkatnya 150 kali 430.000.000 30 Kali 85.787.725 0 0 12 56.070.000 0 0 13 80.460.000 13 80.460.000 13 80.460.000 8,6 18,7 Sda
Workshop, Sosialisasi Kapasitas sumber
Legal Drafting serta daya aparatur dlm
peningkatan SDM penyusunan dan
Bidang lainnya pengajuan produk
hkm daerah dan
perat.perundang-
undangan
3 30 Program Pembinaan
dan Pengembangan
Aparatur
Kegiatan
17 Pelaksanaan Tugas Meningkatnya 25 340.000.000 5 Kali 68.836.200 0 0 2 28.721.900 0 0 5 60.205.200 5 60.205.200 5 60.205.200 20 17,7 Sda
PPNS kesejahteraan bagi Kasus
aparat teknis
4
20 Program Peningkatan
sistem Pengawasan
Internal dan
Pengendalian Pelaksanaan
Kebijakan KDH Kegiatan
16
7 8 9 10 11 12
1 2 3 4 5
6 13
SKPD
Penang
gung
Jawab
Target RPJMD Kota pada
Tahun 2017 (Akhir
Periode RPJMD)
Realisasi
Capaian
Kinerja
RPJMD
Kota sampai
dengan
RKPD Kota
Tahun Lalu
(n-2)
Target Kinerja dan
Anggaran RKPD Kota
Tahun Berjalan (Tahun
n-1) yang Dievaluasi
I II III IV
14 = 7 + 13 15=14/6 * 100%
Realisasi Kinerja Pada Triwulan
Realisasi Capaian
Kinerja dan Anggaran
RKPD Kota yang
dievaluasi
Realisasi Kinerja dan
Anggaran RPJMD
Kota s/d Tahun 2013
(Akhir Tahun
Pelaksanaan RKPD
Tahun 2013)
Tingkat Capaian
Kinerja dan
Realisasi
Anggaran
RPJMD Kota s/d
Tahun 2013 (%)
Sasaran Pembangunan Tahunan Kab/Kota
Bagian Hukum
FORMULIR VII.F8
EVALUASI TERHADAP HASIL RKPD
KOTA PADANGSIDIMPUAN
TAHUN 2013 Triwulan IV
No
Sa
sa
ran
Kode
Urusan/Bidang Urusan
Pemerintahan Daerah dan
Program/Kegiatan
Indikator Kinerja
Program
(Outcome)/Kegiatan
(Output)
3dari 67
02 Penanganan Kasus Terwujudnya 15 720.000.000 3Kasus 143.352.000 0 0 0 0 0 0 3 84.247.700 3 84.247.700 3 84.247.700 20 11,7 Sda
Pengaduan di Penegakan Hkm Kasus
Lingkungan Pemda
Faktor pendorong keberhasilan kinerja : 1.Tersedianya anggaran pelaksanaan Kinerja. 2.Adanya Sumber Daya Aparatur yg menguasai Tupoksi. 3. Tersedianya Sarana dan Prasarana penunjang pelaksanaan tugas.
Faktor penghambat pencapaian kinerja : 2. Terbatasnya anggaran pelaksanaan kinerja. 2. Kurangnya sumber daya aparatur yg menguasai Tupoksi. 3. Keterbatasan sarana dan prasarana penunjang pelaksanaan tugas.
Tindak lanjut yang diperlukan dalam triwulan berikutnya : Mempersiapkan pelaksanaan kinerja secara administrasi dan keuangan.
Tindak lanjut yang diperlukan dalam RKPD berikutnya : 1.Mempersiapkan anggaran pelaksanaan kinerja sesuai kebutuhan. 2.Meningkatkan sumber daya aparatur yg menguasai dan memahami tupoksi.
3.Mempersiapkan sarana dan prasarana sebagai penunjang pelaksanaan kinerja. 4.Memberdayakan seluruh perangkat untuk mencapai kinerja
Predikat Kinerja
4dari 67
Sasaran Pembangunan Tahunan Kota Padangsidimpuan Bagian Administrasi Perekonomian dan Kesra
Bagian Perekonomian dan Kesra
1 2 4 5 5
K Rp. K Rp. K Rp. K Rp. K Rp. K Rp. K Rp. K Rp. K Rp. K Rp.
1 Urusan Wajib
1 20
Urusan Wajib Otonomi Daerah,
Pemerintahan Umum,
Administrasi Keuangan Daerah,
Perangkat Daerah, Kepegawaian
dan Persandian
1 20 05
Program Peningkatan Kapasitas
Sumber Daya Aparatur
1 20 05 07
Bimbingan Teknis, Workshop,
Sosialisasi dan Legal Drafting
Bidang Hukum serta
Peningkatan SDM Bidang
Lainnya
Adanya biaya
Bimbingan Teknis,
Workshop,
Sosialisasi dan Legal
Drafting Bidang
Hukum serta
Perekonomian dan
kesra
100% 800.000.000 20% 160.000.000 99% 159.839.400 99% 159.839.400 99,00% 159.839.400 99% 19,98
Adm P. &
kesra
1 20 32
Program Peringatan Hari - Hari
Besar Nasional, Daerah dan
Keagamaan
1 20 32 01 Pelaksanaan HUT RI
Pelaksanaan
Upacara Peringatan
HUT RI dan Ramah
Tamah
100% 811.500.000 162.300.000
1 20 32 02
Pelaksanaan Maulid Nabi
Muhammad SAW
Peringatan Maulid
Nabi dengan
ceramah agama
100% 226.750.000 45.350.000
1 20 32 03 Pelaksanaan Perayaan Idul Fithri
Malam Takbiran di
Alaman Bolak dan
Sholat Ied di mesjid
Raya
100% 150.250.000 30.050.000
1 20 32 04 Pelaksanaan Idul Adha
Malam Takbiran di
Alaman Bolak dan
Sholat Ied di mesjid
Raya
100% 150.250.000 20% 30.050.000 100% 30.050.000 100% 30.050.000 100,00% 30.050.000 100% 20,00
Adm P. &
kesra
1 20 32 05
Pelaksanaan Isra Mi'raj Nabi
Muhammad SAW
Peringatan Isra Miraj
dengan ceramah
agama
100% 155.000.000 31.000.000
1 20 32 06
Pelaksanaan Hari Kebangkitan
Nasional
Pelaksanaan
Upacara dan Ziarah
Hari Kebangkitan
100% 186.500.000 37.300.000
Meningkatnya
kemampuan
dan kualitas
SDM
Sekretariat
Daerah
Meningkatnya
pembinaan
persatuan dan
kesatuan
bangsa,
kesetiakawanan
korps serta
pemahaman
dan pengamalan
agama
9 15 = 14/6 * 100%
SKPD
Penanggu
ng Jawab
II III IV
10 11 12 13 14 = 7 + 13
I
Realisasi Kinerja pada Triwulan
3 6 7 8
Realisasi
Capaian Kinerja
RPJMD
Kabupaten /
Kota sampai
dengan RKPD
Kabupaten /
Kota Tahun
Target Kinerja dan
Anggaran RKPD
Kabupaten / Kota Tahun
berjalan (Tahun n-1)
yang dievaluasi
Formulir VII.F.8
Evaluasi Terhadap Hasil RKPD
Kota Padangsidimpan
Tahun 2013
Realisasi Capaian Kinerja
dan Anggaran RKPD
Kabupaten / Kota yang
dievaluasi
Realisasi Kinerja dan
Anggaran RPJMD
Kabupaten / Kota s/d
Tahun 2013 (Akhir
Tahun Pelaksanaan
RKPD Tahun 2013
Target Capaian
Kinerja dan
Realisasi Anggaran
RPJMD
Kabupaten/Kota
s/d Tahun (%)
No. Sasaran Kode
Urusan/Bidang Urusan
Pemerintahan Daerah dan
Program/Kegiatan
Indikator Kinerja
Program (Outcome) /
Kegiatan (Output)
Target RPJMD Kabupaten /
Kota Pada Tahun 2013
(Akhir Periode RPJMD)
5 dari 67
1 2 4 5 5
K Rp. K Rp. K Rp. K Rp. K Rp. K Rp. K Rp. K Rp. K Rp. K Rp.
9 15 = 14/6 * 100%
SKPD
Penanggu
ng Jawab
II III IV
10 11 12 13 14 = 7 + 13
I
Realisasi Kinerja pada Triwulan
3 6 7 8
Realisasi
Capaian Kinerja
RPJMD
Kabupaten /
Kota sampai
dengan RKPD
Kabupaten /
Kota Tahun
Target Kinerja dan
Anggaran RKPD
Kabupaten / Kota Tahun
berjalan (Tahun n-1)
yang dievaluasi
Realisasi Capaian Kinerja
dan Anggaran RKPD
Kabupaten / Kota yang
dievaluasi
Realisasi Kinerja dan
Anggaran RPJMD
Kabupaten / Kota s/d
Tahun 2013 (Akhir
Tahun Pelaksanaan
RKPD Tahun 2013
Target Capaian
Kinerja dan
Realisasi Anggaran
RPJMD
Kabupaten/Kota
s/d Tahun (%)
No. Sasaran Kode
Urusan/Bidang Urusan
Pemerintahan Daerah dan
Program/Kegiatan
Indikator Kinerja
Program (Outcome) /
Kegiatan (Output)
Target RPJMD Kabupaten /
Kota Pada Tahun 2013
(Akhir Periode RPJMD)
1 20 32 07
Pelaksanaan Hari Kesaktian
Pancasila
Pelaksanaan
Upacara Hari
Kesaktian
100% 167.750.000 33.550.000
1 20 32 08 Hari Pendidikan Nasional
Pelaksanaan
Upacara Hari
Pendidikan
100% 169.500.000 33.900.000
1 20 32 09 Pelaksanaan HUT PEMKO
Pelaksanaan
Upacara dan
Mendengarkan
Pidato dan Resepsi
100% 1.406.400.000 20% 281.280.000 100% 281.280.000 100% 281.280.000 100,00% 281.280.000 100% 20,00
Adm P. &
kesra
1 20 32 10 Pelaksanaan Hari Pahlawan
Pelaksanaan
Upacara dan Ziarah
Hari Pahlawan dan
Ramah tamah
100% 479.500.000 20% 95.900.000 98% 94.100.000 98% 94.100.000 98,00% 94.100.000 98% 19,62
Adm P. &
kesra
1 20 32 11 Pendistribusian Raskin
Pendistribusian
Raskin ke RTS
100% 3.083.634.500 20% 616.726.900 99% 613.436.900 99% 613.436.900 99,00% 613.436.900 99% 19,89
Adm P. &
kesra
1 20 32 14
Pelaksanaan MTQ dan
Pengiriman Peserta ke Tingkat
Provsu
melaksanakan MTQ
dan mengirim
peserta ke Tk
Propinsi
100% 2.222.550.000 444.510.000
1 20 32 15 Pelaksanaan Festival Nasyid
melaksanakan
Festival Nasyid dan
mengirim peserta ke
Tk Propinsi
100% 1.379.750.000 275.950.000
1 20 32 16 Pelaksanaan Safari Ramadhan
Kunjungan Safari
Ramadhan ke Mesjid
tiap Kecamatan
100% 361.500.000 72.300.000
1 20 32 17
Pelaksanaan Pembinaan
Pemberangkatan dan
Pemulangan Jama'ah Haji
melaksanakan
pemberangkatan
dan penjemputan
jama'ah haji
100% 2.834.375.000 20% 566.875.000 98% 554.115.000 98% 554.115.000 98,00% 554.115.000 98% 19,55
Adm P. &
kesra
1 20 32 18
Pelaksanaan Peringatan Nuzul
Qur'an
100% 87.625.000 17.525.000
1 20 32 23 Hari Kesadaran Nasional
Pelaksanaan
Upacara hari
kesadaran
100% 174.000.000 20% 34.800.000 100% 34.800.000 100% 34.800.000 100,00% 34.800.000 100% 20,00
Adm P. &
kesra
1 20 32 24 Pelaksanaan Manasik Haji
melaksanakan
manasik haji sekota
Psp
100% 285.000.000 57.000.000
1 20 43
Program Kerjasama Investasi dan
Promosi
1 20 43 04 Kegiatan Expo
mengikuti kegiatan
expo
100% 1.445.972.260 289.194.452
1 20 43 06 Pekan Raya Sumatera Utara
mengikuti kegiatan
PRSU
100% 1.504.767.615 300.953.523
1 20 46
Program Peningkatan Sistem
Pengawasan Internal dan
Pengendalian Pelaksanaan
Kebijakan DPRD
6 dari 67
1 2 4 5 5
K Rp. K Rp. K Rp. K Rp. K Rp. K Rp. K Rp. K Rp. K Rp. K Rp.
9 15 = 14/6 * 100%
SKPD
Penanggu
ng Jawab
II III IV
10 11 12 13 14 = 7 + 13
I
Realisasi Kinerja pada Triwulan
3 6 7 8
Realisasi
Capaian Kinerja
RPJMD
Kabupaten /
Kota sampai
dengan RKPD
Kabupaten /
Kota Tahun
Target Kinerja dan
Anggaran RKPD
Kabupaten / Kota Tahun
berjalan (Tahun n-1)
yang dievaluasi
Realisasi Capaian Kinerja
dan Anggaran RKPD
Kabupaten / Kota yang
dievaluasi
Realisasi Kinerja dan
Anggaran RPJMD
Kabupaten / Kota s/d
Tahun 2013 (Akhir
Tahun Pelaksanaan
RKPD Tahun 2013
Target Capaian
Kinerja dan
Realisasi Anggaran
RPJMD
Kabupaten/Kota
s/d Tahun (%)
No. Sasaran Kode
Urusan/Bidang Urusan
Pemerintahan Daerah dan
Program/Kegiatan
Indikator Kinerja
Program (Outcome) /
Kegiatan (Output)
Target RPJMD Kabupaten /
Kota Pada Tahun 2013
(Akhir Periode RPJMD)
Pengawasan Tim Pengendalian
Inflasi Daerah
100% 600.000.000 20% 120.000.000 54% 79.514.000 54% 79.514.000 54,00% 79.514.000 54% 13,25
Adm P. &
kesra
0,00% 6,49
tindaklanjut yang diperlukan dalam triwulan berikutnya : mempersiapkan langkah-langkah program kerja yang akan dilaksanakan
tindaklanjut yang diperlukan dalam RKPD berikutnya :
Rata - rata capaian kinerja (%)
Predikat Kinerja
Faktor pendorong keberhasilan kinerja: tercapainya program kerja yang baik
Faktor penghambat keberhasilan kinerja : tidak ada
7 dari 67
Sasaran Pembangunan Tahun Kabupaten / Kota Padangsidimpuan
Bagian Organisasi
K Rp. K Rp. K Rp. K Rp. K Rp. K Rp. K Rp. K Rp. K Rp. K Rp.
1.20.03.06.37
1.20.03.06.37.02 - Penyusunan Penetapan Kinerja
Sekretariat Daerah
Pelaksanaan penyusunan
PK Setda Tahun 20112
1 dokumen 23.115.000 - - 1 dokumen 23.115.000 1 Dokumen - - 23.115.000 - - - - 1 dokumen 23.115.000 1 dokumen 23.115.000 100 100
1.20.03.06.37.03 - Penyusunan Laporan
Akuntabilitas Kinerja Sekretariat
Daerah
Pelaksanaan penyusunan
LAKIP Setda 2011
5 Laporan 165.665.000 - - 1 Laporan 35.113.000 - - 1 laporan 33.133.000 - - - - 1 laporan 33.133.000 1 laporan 33.133.000 20 20
1.20.03.06.06
1.20.03.06.06.13 - Penyusunan Renstra Adanya dokumen Renstra
Sekretariat Daerah
1 dokumen 23.031.000 - - 1 dokumen 23.031.000 - - - - - 1 dokumen 18.275.000 1 dokumen 18.275.000 1 dokumen 18.275.000 100 79,35
1.20.03.06.01
1.20.03.06.01.01 - Penyediaan Jasa Surat Menyurat Adanya biaya pengiriman
surat-surat dinas SKPD
10 Semester 300.000.000 - - 2 Semester 60.000.000 - - 1
semester
27.756.000 - - 1 semester 32.112.000 2 semester 27.756.000 2 semester 59.868.000 20 19,96
1.20.03.06.01.18 - Rapat-rapat Koordinasi dan
Konsultasi Keluar Daerah
Adanya biaya perjalanan
dinas luar daerah
aparatur Sekretariat
Daerah
1205 kali 3.725.716.000 - - 241 kali 725.716.000 - 129 kali 434.325.000 53 kali 128.422.000 132 kali 261.694.200 314 kali 824.441.200 314 kali 824.441.200 26,06 22,13
3. 1.20.03.06.34
1.20.03.06.34.01 - Penyusunan dan Pembentukan
Organisasi dan Tata Kerja
Perangkat Daerah Lainnya
Pelaksanaan penyusunan
OPD lainnya sesuai
dengan kebutuhan dan
kemampuan daerah
8 perda 216.000.000 - - 2 perda 17.653.000 - - - 2 perda 15.847.000 - 2 perda 15,847,000 2 perda 15.847.000 25 7,34
1.20.03.06.26
1.20.03.06.26.08 - Penyusunan dan Pengajuan
Ranperda menjadi Perda
Terwujudnya produk
hukum daerah sesuai
kebutuhan
2 perda 54.104.000 - - 2 perda 54.104.000 - - - - - - - - - - -
FORMULIR VII.F8
EVALUASI TERHADAP HASIL RKPD
KOTA PADANGSIDIMPUAN
Tersusunnya Kebijakan
tentang
kelembagaan/organisasi
perangkat daerah sesuai
kebutuhan dan kemampuan
daerah
Penataan Kelembagaan dan
Ketatalaksanaan
Penataan Peraturan Perundang-
undangan
1. Meningkatnya sistem
perencanaan yang efektif
Peningkatan Akuntabilitas Aparatur
Peningkatan Pengembangan Sistem
Pelaporan Caoaian Kinerja dan
Keuangan
2. Meningkatnya efektivitas
pelaksanaan kerja
Sekretariat Daerah
Pelayanan Administrasi Perkantoran
URUSAN PEMERINTAHAN UMUM
URUSAN WAJIB
13 14 = 7 + 13 15 = 14/6*100%8 9 10 11 12
1 2 3 4 5
6 7
TAHUN 2013
No. Sasaran Kode
Urusan/Bidang Urusan
Pemerintahan Daerah dan
Program/Kegiatan
Indikator Kinerja
Program
(Outcome)/Kegiatan
(Output)
Target Renstra Seketariat
Daerah pada Tahun 2017
Realisasi Capaian
Kinerja Renstra
Seketariat Daerah
sampai dengan
Renja Setda Tahun
Lalu (n-2)
Target Kinerja dan
Anggaran Renja Seketariat
Daerah Tahun 2013 (n-1)
Realisasi Kinerja pada Triwulan
Realisasi Capaian Kinerja
dan Anggaran Renja Tahun
2013
Realisasi Kinerja dan
Anggaran Renstra
Seketariat Daerah Tahun
2013 s/d Tahun 2017
Tingkat Capaian
Kinerja dan Realisasi
Anggaran Renstra
Setda s/d Tahun 2013
(%)
I II III IV
8 dari 67
K Rp. K Rp. K Rp. K Rp. K Rp. K Rp. K Rp. K Rp. K Rp. K Rp.
URUSAN WAJIB
13 14 = 7 + 13 15 = 14/6*100%8 9 10 11 12
1 2 3 4 5
6 7
1.20.03.06.37
1.20.03.06.37.04 - Pengkoordinasian dan
penyusunan Penetapan Kinerja
Pemerintah Kota
Padangsidimpuan
Pelaksanaan penyusunan
PK Instansi Pemerintah
Kota Padangsidimpuan
Tahun 2012
5 Dokumen 173.207.000 - - 1 Dokumen 33.207.000 - - 1
dokumen
31.680.000 - - 1 dokumen 31.680.000 1 dokumen 31.680.000 20 18,29
1.20.03.06.36
1.20.03.06.36.01 - Kormonev Pelaksanaan Inpres
No. 5 Tahun 2004
Pelaksanaan Kormonev
Kota Padangsidimpuan
Tahun 2012
10 Laporan 375.203.000 - - 2 Laporan 75.205.000 - - 1 laporan - 26.892.500 1 laporan 27.444.500 2 laporan 54.337.000 2 laporan 54.337.000 20 14,48
1.20.03.06.35.
1.20.03.06.34
1.20.03.06.34.09 - Pelimpahan Sebagian
Kewenangan Walikota
Padangsidimpuan kepada SKPD
Kota Padangsidimpuan
Adanya peraturan di
bidang ketatalaksanaan
2 peraturan 37.185.500 - - 2 peraturan 37.185.500 - - - - - 2 peraturan 31.573.500 2 peraturan 31.573.500 2 peraturan 31.573.500 100 84,91
11,11 0 49 47,63 14,33 14,69 43 31,79
Tindak lanjut yang diperlukan dalam triwulan berikutnya: Mempersiapkan langkah-langkah program kerja yang akan dilaksanakan
Tindak lanjut yang diperlukan dalam Renja berikutnya: Merencanakan kinerja dengan perbandingan hasil kinerja tahun sebelumnya
Rata-rata capaian kinerja (%)
Predikat kinerja
Faktor pendorong keberhasilan kinerja: Terencananya program kerja dengan baik
Faktor penghambat pencapaian kinerja: Adanya koordinasi dan penghimpunan data dari SKPD
87.340.000 15 19
7. Tersusunnya kebijakan dalam
rangka peningkatan
ketatalaksanaan perangkat
daerah
Penataan Kelembagaan dan
Ketatalaksanaan
11.064.000 3 kali 35.258.000 9 kali 87.340.000 9 kali91.750.000 - - 5 kali 41.018.000 1 kaliAdanya biaya mengikuti
Workshop dan Diklat/
Kursus- kursus singkat
60 kali 459.750.000 - - 12 kali
5. Terselenggaranya Kormonev
pelaksanaan Inpres No. 5
Tahun 2004 tentang
Percepatan Pemberantasan
Korupsi
Penerapan Kepemerintahan yang
Baik
6. Peningkatan kualitas dan
disiplin aparatur
Pengelolaan SDM Aparatur
1.20.03.06.35.01 - Mengikuti Workshop dan
Diklat/Kursus singkat bidang
kelembagaan, tatalaksana dan
anjab
4. Meningkatnya satuan kerja
perangkat daerah yang
akuntabel
Peningkatan Akuntabilitas Aparatur
9 dari 67
Sasaran Pembangunan Tahun Kabupaten / Kota Padangsidimpuan
Bagian Umum
1 2 4 5 16
K Rp. K Rp. K Rp. K Rp. K Rp. K Rp. K Rp. K Rp. K Rp. K Rp.
1 Pelayana
n
Administra
si
Perkantor
an
1 Urusan Wajib
1 .20. Otonomi Daerah,
Pemerintahan Umum,
Administrasi
Keuangan Daerah,
Perangkat Daerah
Kepegawaian dan
Persandian
1 20 03. 07. 01. Program Pelayanan
Administrasi
Perkantoran
Persentase
Peningkatan
Pelayanan
Administrasi
Perkantoran
dalam Kualitas
dan Kuantitas
Sarana dan
Prasarana yang
disediakan
100% 25.328.110.000 100% 4.329.757.000 - - 24,50% 1.014.117.600 49,28% 2.128.525.504 87,63% 3.794.251.373 87,63% 3.794.251.373 49% 3.794.251.373 49,3% 15,0% Bagian
Umum
Setda Kota
Padangsidim
puan
1 20 03. 07. 01. 01. Penyediaan Jasa
Surat Menyurat
Tersedianya
Honorarium
Pegawai dalam
melaksanakan
kegiatan dan
tugas-tugas di
luar jam
kerja/hari kerja
(lembur)
100% 450.000.000 100% 65.920.000 - - - - 36,89% 24.318.000 94,04% 61.989.487 94,04% 61.989.487 37% 61.989.487 37% 13,8% Bagian
Umum
Setda Kota
Padangsidim
puan
1 20. 03. 07. 01. 02. Penyediaan Jasa
Komunikasi, Sumber
Daya Air dan Listrik
Terpenuhinya
Jasa pemakaian
layanan
telepon,air dan
listrik Pihak Ke
Tiga
100% 2.851.000.000 100% 451.000.000 - - 19,28% 86.962.477 35,20% 158.733.419 57,95% 261.339.572 57,95% 261.339.572 57,95% 261.339.572 57,95% 9,2% Bagian
Umum
Setda Kota
Padangsidim
puan
1 20. 03. 07. 01. 03. Penyediaan Jasa
Peralatan dan
Perlengkapan Kantor
Tersedianya
Sewa Rumah
Jabatan Wakil
Kepala Daerah
dan Sewa
tempat
pertemuan/Peng
inapan tamu
100% 1.250.000.000 2
Kegiatan
245.000.000 - - 38,09% 93.310.000 45,66% 111.850.000 63,56% 155.725.000 63,56% 155.725.000 63,56% 155.725.000 64% 12% Bagian
Umum
Setda Kota
Padangsidim
puan
11 12 13 14 = 7 + 13 15 = 14 / 6 * 100 %3 6 7 8
Formulir VII. F. 8
9 10
SKPD
Penanggun
g Jawab
I II III IV
Tingkat Capaian
Kinerja dan
Realisasi
Anggaran
RPJMD
Kabupaten / Kota
s/d Tahun 2013
[%]
Evaluasi Terhadap Hasil RKPD
Kota Padangsidimpuan
Tahun 2013 Triwulan IV
No. Sasaran Kode
Realisasi Kinerja Pada Triwulan
Realisasi Capaian Kinerja
dan Anggaran RKPD
Kabupaten / Kota yang
Dievaluasi
Realisasi Kinerja dan
Anggaran RPJMD
Kabupaten / Kota S/D
Tahun
Urusan/ Bidang
Urusan
Pemerintahan
Daerah dan Program
/ Kegiatan
Indikator
Kinerja
Program
(Outcome) /
Kegiatan
(Output)
Target RPJMD Kabupaten /
Kota Pada Tahun 2017
(Akhir Periode RPJMD)
Realisasi
Capaian
Kinerja
RPJMD
Kabupaten
/ Kota
sampai
dengan
Target kinerja dan Anggaran
RKPD Kabupaten / Kota
Tahun Berjalan (tahun n-1)
yang Dievaluasi
10 dari 67
1 2 4 5 16
K Rp. K Rp. K Rp. K Rp. K Rp. K Rp. K Rp. K Rp. K Rp. K Rp.
11 12 13 14 = 7 + 13 15 = 14 / 6 * 100 %3 6 7 8 9 10
1 20. 03. 07. 01. 06. Penyediaan Jasa
Pemeliharaan dan
Perizinan Kendaraan
Dinas/Operasional
Terpenuhinya
Surat Tanda
Nomor
Kenderaan
(STNK) dan
Perawatan
Kenderaan
Dinas
Jabatan/Operasi
onal
100% 6.050.000.000 34 unit 1.021.630.000 - - 16,24% 164.323.000 46,42% 469.604.970 92,06% 940.494.220 92,06% 940.494.220 92% 940.494.220 92% 16% Bagian
Umum
Sekretariat
Daerah Kota
Padangsidim
puan
1 20. 03. 07. 01. 08. Penyediaan Jasa
Kebersihan Kantor
Jasa Petugas
Kebersihan
Kantor,Rumah
Dinas Jabatan
KDH/WKDH,Me
ss Pemko dan
Mesjid
100% 2.815.000.000 35 Orang 315.000.000 - - 25,00% 78.750.000 75% 236.250.000 100% 315.000.000 100% 315.000.000 100% 315.000.000 100% 11% Bagian
Umum
Sekretariat
Daerah Kota
Padangsidim
puan
1 20. 03. 07. 01. 10 Penyediaan Alat Tulis
Kantor
Tersedianya dan
Terpenuhinya
Alat Tulis Kantor
Sekretariat
setiap bulannya
100% 1.000.000.000 1
Kegiatan
200.000.000 - - 49,29% 98.579.000 99% 197.006.000 98,50% 197.006.000 99,29% 197.006.000 99% 197.006.000 99% 19,7% Bagian
Umum
Sekretariat
Daerah Kota
Padangsidim
puan
1 20. 03. 07. 01. 11 Penyediaan Barang
Cetakan dan
Penggandaan
Tersedianya dan
Terpenuhinya
Cetakan dan
Penggandaan
Surat Dinas
Seluruh Bagian
padasetiap
bulannya
100% 1.400.000.000 1
Kegiatan
280.000.000 - - 49,39% 118.700.000 87,99% 246.353.000 99,17% 277.673.000 99,17% 277.673.000 99% 277.673.000 99,17% 19,8% Bagian
Umum
Sekretariat
Daerah Kota
Padangsidim
puan
1 20. 03. 07. 01. 12 Penyediaan
Komponen Instalasi
Listrik/Penerangan
Bangunan Kantor
Tersedianya
Belanja
Komponen
Instalasi Listrik /
penerangan
Bangunan
Gedung/ Kantor
100% 510.000.000 4
Kegiatan
101.097.000 - - 16,82% 17.000.000 57,65% 58.281.500 99,80% 100.891.000 99,80% 100.891.000 100% 100.891.000 100% 19,8% Bagian
Umum
Sekretariat
Daerah Kota
Padangsidim
puan
1 20. 03. 07. 01. 13 Penyediaan Peralatan
dan Perlengkapan
Kantor
Tersedianya
Belanja Alat-alat
Pembersih dan
Kebersihan serta
belanja Internet
dan TV Satelit
Gedung Kantor
Sekretariat
Daerah, Gedung
Nasional, Mess
Pemko di Medan
dan Rumah
Dinas KDH dan
WKDH
100% 540.000.000 4
Kegiatan
108.000.000 - - 18,90% 20.413.123 58,69% 63.381.534 88,19% 95.244.094 88,19% 95.244.094 88% 95.244.094 88,19% 17,6% Bagian
Umum
Sekretariat
Daerah Kota
Padangsidim
puan
1 20. 03. 07. 01. 17 Penyediaan Makanan
dan Minuman
Tersedianya
Makan Minum
Pegawai,acara
rapat dan
jamuan tamu
serta kebutuhan
sehari hari
KDH/WKDH
100% 5.164.000.000 1
Kegiatan
964.000.000 - - 20,73% 199.840.000 43,46% 418.925.500 87,05% 839.129.000 87,05% 839.129.000 87% 839.129.000 87,05% 16,2% Bagian
Umum
Sekretariat
Daerah Kota
Padangsidim
puan
11 dari 67
1 2 4 5 16
K Rp. K Rp. K Rp. K Rp. K Rp. K Rp. K Rp. K Rp. K Rp. K Rp.
11 12 13 14 = 7 + 13 15 = 14 / 6 * 100 %3 6 7 8 9 10
1 20. 03. 07. 01. 19 Penyediaan Jasa
Keamanan Kantor
Petugas
Keamanan
Kantor
100% 324.000.000 6 Orang 54.000.000 - - 25,00% 13.500.000 75% 40.500.000 100% 54.000.000 100% 54.000.000 100% 54.000.000 ####### 16,7% Bagian
Umum
Sekretariat
Daerah Kota
Padangsidim
puan
1 20. 03. 07. 01. 20 Penyediaan jasa
administrasi
perkantoran
Tersedianya
Honorarium
Pegawai / Non
PNS
Pelaksanaan
Kegiatan,Kors
Musik dan
Paduan Suara
100% 2.974.110.000 1 Tahun 524.110.000 - - 23,43% 122.740.000 50% 262.055.000 94,59% 495.760.000 94,59% 495.760.000 94,59% 495.760.000 94,59% 16,7% Bagian
Umum
Sekretariat
Daerah Kota
Padangsidim
puan
2 Sarana
dan
Prasarana
1 20. 03. 07. 02. Program Peningkatan
Sarana dan
Prasarana Aparatur
Peningkatan
Kualitas dan
Kuantitas
Sarana
Prasarana Kerja
Aparatur
3179 Unit 13.099.086.600 624 Unit 5.621.565.000 31,00% 1.731.290.680 36% 2.023.844.680 95% 5.325.607.740 95% 5.325.607.740 616 Unit 5.325.607.740 19,0% 40,7% Bagian
Umum
Sekretariat
Daerah Kota
Padangsidim
puan
1 20. 03. 07. 02. 05. Pengadaan
Kenderaan Dinas /
Operasional
Jumlah
kenderaan Dinas
/
Operasional/Poll
Micro Bus dan
Sedan Roda 4
dan Roda 6
serta Roda 2
54 Unit 6.500.000.000 12 Unit 3.585.000.000 - - 70% 791.075.680 70% 791.075.680 94,21% 3.377.344.740 94,21% 3.377.344.740 12 Unit 3.377.344.740 22,00% 52,0% Bagian
Umum
Sekretariat
Daerah Kota
Padangsidim
puan
1 20. 03. 07. 02. 06. Pengadaan
Perlengkapan Rumah
Jabatan Dinas
Tersedianya
Penghias
Ruangan
/Gorden Jendela
Rumah Dinas
7 Unit 350.000.000 3 Unit 96.000.000 - - 97,21% 87.490.000 97,21% 87.490.000 97,39% 93.490.000 97% 93.490.000 3 Unit 93.490.000 42,85% 26,7% Bagian
Umum
Sekretariat
Daerah Kota
Padangsidim
puan
1 20. 03. 07. 02. 07. Pengadaan
Perlengkapan
Gedung Kantor
Keluaran :
Tersedianya
Komputer,Filling
cabinet,AC,Lapt
op,Printer,Mesin
Tik,HT,Brankas,
Tempat
Tidur,Flapon
Taratak,Bendera
,Genset dan
lainnya
540 Unit 4.250.000.000 s 1.046.400.000 - - 79,28% 579.465.000 79,28% 579.465.000 94,92% 993.295.000 94,92% 993.295.000 129 Unit 993.295.000 23,88% 23,4% Bagian
Umum
Sekretariat
Daerah Kota
Padangsidim
puan
1 20. 03. 07. 02. 08. Pengadaan Peralatan
Rumah Jabatan /
Dinas
Keluaran : Kursi
Tamu,Sofa,alma
ri,Tempat Tidur
dll
50 Unit 392.750.000 10 Unit 78.550.000 - - 81,60% 64.100.000 81,60% 64.100.000 95,61% 75.100.000 95,61% 75.100.000 10 Unit 75.100.000 20,00% 19,12% Bagian
Umum
Sekretariat
Daerah Kota
Padangsidim
puan
1 20. 03. 07. 02. 10 Pengadaan Mebeleur Tersedianya
Kursi, Meja dan
jenis lainya
mebeleur
gedung / Kantor
1550 Unit 1.288.000.000 320 Unit 177.600.000 - - 92,32% 117.800.000 92,32% 117.800.000 86,32% 153.300.000 86,32% 153.300.000 316 Unit 153.300.000 20,38% 11,9% Bagian
Umum
Sekretariat
Daerah Kota
Padangsidim
puan
1 20. 03. 07. 02. 21. Pemeliharaan Rutin/
berkala Rumah Dinas
Pemeliharaan
Rumah Dinas
KDH/WKDH
10 Unit 500.000.000 - - 2 Unit 100.000.000 - - 65,39% 65.390.000 84,83% 84.830.000 99,87% 99.865.000 99,87% 99.865.000 2 Unit 99.865.000 20,00% 20,0% Bagian
Umum
Sekretariat
Daerah Kota
Padangsidim
puan
12 dari 67
1 2 4 5 16
K Rp. K Rp. K Rp. K Rp. K Rp. K Rp. K Rp. K Rp. K Rp. K Rp.
11 12 13 14 = 7 + 13 15 = 14 / 6 * 100 %3 6 7 8 9 10
1 20. 03. 07. 02. 22. Pemeliharaan
Rutin/berkala Gedung
Kantor
Pemeliharaan
gedung Kantor
Walikota,Gedun
g Nasional dan
Mess Pemko
15 Unit 750.000.000 3 Unit 190.000.000 - - - - 61,33% 95.056.000 99,46% 188.971.000 99,46% 188.971.000 3 Unit 188.971.000 20,00% 25,2% Bagian
Umum
Sekretariat
Daerah Kota
Padangsidim
puan
1 20. 03. 07. 02. 25. Pemeliharaan
Rutin/berkala
perlengkapan Rumah
Jabatan /Dinas
Pemeliharaan
Mebeleur
Rumah Dinas
10 Unit 75.000.000 2 Unit 5.000.000 - - - - 41,00% 2.050.000 93,00% 4.650.000 93,00% 4.650.000 2 Unit 4.650.000 20,00% 6,2% Bagian
Umum
Sekretariat
Daerah Kota
Padangsidim
puan
1 20. 03. 07. 02. 26. Pemeliharaan
Rutin/berkala
perlengkapan
Gedung Kantor
Pemeliharaan
AC,Kulkas,TV,G
enset,Mesin
Cuci,Kipas
Angin dll
250 Unit 548.977.000 40 Unit 88.977.000 - - 20% 18.195.000 58,71% 52.239.000 99,79% 88.789.000 99,79% 88.789.000 40 Unit 88.789.000 16,00% 16,2% Bagian
Umum
Sekretariat
Daerah Kota
Padangsidim
puan
1 20. 03. 07. 02. 27. Pemeliharaan
Rutin/berkala
peralatan Rumah
Jabatan /Dinas
Pemeliharaan
AC,Kulkas,TV
65 Unit 70.600.000 10 Unit 5.520.000 - - - - 59,46% 3.282.000 94,91% 5.239.000 94,91% 5.239.000 9 Unit 5.239.000,00 14% 7% Bagian
Umum
Sekretariat
Daerah Kota
Padangsidim
puan
1 20. 03. 07. 02. 28. Pemeliharaan
Rutin/berkala
peralatan Gedung
Kantor
Pemeliharaan
PC,Editing
Video,Laptop,Pri
nter,Mesin
Tik,CCTV,Finger
Print,Penghancu
r Kertas
350 Unit 315.518.000 50 Unit 61.518.000 - - - - 59,51% 36.608.000 97,92% 60.240.000 97,92% 60.240.000 47 Unit 60.240.000 13,42% 11,6% Bagian
Umum
Sekretariat
Daerah Kota
Padangsidim
puan
1 20. 03. 07. 02. 29. Pemeliharaan
Rutin/berkala
Mebeuler
Terpeliharanya
mebeleur
Gedung Kantor
Walikota,Gedun
g Nasional dan
Mess Pemko
300 Unit 272.000.000 40 Unit 42.000.000 - - 18,50% 7.775.000 36,28% 15.235.000 98% 41.160.000 98% 41.160.000 40 Unit 41.160.000 13,33% 15,1% Bagian
Umum
Sekretariat
Daerah Kota
Padangsidim
puan
1 20. 03. 07. 02. 42. Rehabilisasi gedung
Kantor
Rehabilitasi Aula
Kantor
Walikota,Rehabil
itasi Gedung
Nasional,Rehabil
itasi Mess
Pemko
7
Kegiatan
1.045.000.000 - - 3 Unit 145.000.000 - - - 65,26% 94.614.000 99,42% 144.164.000 99,42% 144.164.000 3 Unit 144.164.000 43% 14% Bagian
Umum
Sekretariat
Daerah Kota
Padangsidim
puan
- -
3 Kualitas
dan
Disiplin
Aparatur
1 20. 03. 07. 03. Program Peningkatan
Disiplin Aparatur
Peningkatan
disiplin aparatur
51
Kegiatan(
170 Org)
2.926.256.000 11
Kegiatan
323.756.000 - - 71,47% 231.400.000 71,47% 231.400.000 71,47% 231.400.000 71,47% 231.400.000 10
Kegiatan
231.400.000 19,6% 7,9% Bagian
Umum
Sekretariat
Daerah Kota
Padangsidim
puan
1 20. 03. 07. 03. 03. Pengadaan Pakaian
Kerja Lapangan
Seragam
Protokol/ADC
dan Petugas
Kebersihan serta
Petugas
Keamanan
14
Kegiatan
384.956.000 2
Kegiatan
22.956.000 - - 97,03% 22.275.000 97,03% 22.275.000 97,03% 22.275.000 97,03% 22.275.000 2
Kegiatan
22.275.000 14% 5,8% Bagian
Umum
Sekretariat
Daerah Kota
Padangsidim
puan
1 20. 03. 07. 03. 02. Pengadaan Pakaian
Dinas Beserta
Perlengkapannya
Tersedianya
Pakaian Dinas
Harian dan
Pakaian Linmas
KDH/WKDH
serta PNS
Sekretariat
15
Kegiatan
1.225.000.000 7
Kegiatan
184.500.000 - - 98,77% 182.225.000 98,77% 182.225.000 98,77% 182.225.000 98,77% 182.225.000 7
Kegiatan
182.225.000 46.6% 14,9% Bagian
Umum
Sekretariat
Daerah Kota
Padangsidim
puan
13 dari 67
1 2 4 5 16
K Rp. K Rp. K Rp. K Rp. K Rp. K Rp. K Rp. K Rp. K Rp. K Rp.
11 12 13 14 = 7 + 13 15 = 14 / 6 * 100 %3 6 7 8 9 10
1 20. 03. 07. 03. 05. Pengadaan Pakaian
Khusus hari-hari
tertentu
Pakaian Olah
Raga,Pakaian
Batik Daerah
dan Pakaian
Sipil Lengkap
serta Pakaian
Sipil Harian
Pegawai dan
Pimpinan
22
Kegiatan
1.316.300.000 2 Kegiatan 116.300.000 - - 23,13% 26.900.000 23,13% 26.900.000 23,13% 26.900.000 23,13% 26.900.000 1
Kegiatan
26.900.000 5% 2,0% Bagian
Umum
Sekretariat
Daerah Kota
Padangsidim
puan
4 Peningkat
an
pengetah
uan
aparatur
1 20. 03. 07. 05. Program Peningkatan
Kapasitas Sumber
Daya Aparatur
Kemampuan
dan
Penguasahan
pegawai bag
umum terhadap
peraturan
perundang-
undangan dalam
melaksanakan
tugas.
100
Orang
700.000.000 20 Orang 120.000.000 - - 14,63% 17.550.000 61,02% 73.213.700 98,23% 118.600.700 98,23% 118.600.700 16 Orang 118.600.700 16,0% 16,9% Bagian
Umum
Sekretariat
Daerah Kota
Padangsidim
puan
1 20. 03. 07. 05. 01. Pendidikan dan
Pelatihan Formal
Diklat dan Bintek
Kepala
Bagian,Kasubag
,Pengurus
Barang,Bendaha
ra,Penyimpan
barang dan
Panitia
Pengadaan
serta Staf
Bagian Umum
100
Orang
700.000.000 20 Orang 120.000.000 - - 14,63% 17.550.000 61,02% 73.213.700 98,23% 118.600.700 98,23% 118.600.700 16 Orang 118.600.700 16,0% 16,9% Bagian
Umum
Sekretariat
Daerah Kota
Padangsidim
puan
42.053.452.600 100% 10.395.078.000 91,92% 9.555.459.813 91,92% 9.555.459.813 23%
14 dari 67
SASARAN PEMBANGUNAN TAHUNAN KOTA : PADANGSIDIMPUAN
Bag.Adm Pembangunan
16
K Rp. K Rp. K Rp. K Rp. K Rp. K Rp. K Rp. K Rp. K Rp. K Rp.
1.20. Urusan Wajib
3. Bidang Pemerintahan Umum
06.
Program Peningkatan
Pengembangan Sistem
Pelaporan Capaian Kinerja
dan Keuangan.
08.
Kegiatan Penyusunan Laporan
Hasil-Hasil Pembangunan
1.20. Urusan Wajib
3. Bidang Pemerintahan Umum
06.
Program Peningkatan
Pengembangan Sistem
Pelaporan Capaian Kinerja
dan Keuangan.
09.
Kegiatan Administrasi Umum
dan Penunjang Kegiatan
Pembangunan
92.912.297 1 Tahun 92.912.297 1 Tahun 92,91
Bagian
Administrasi
Pembangunan
- 1 Tahun 31.600.000 - 92.912.297 1 Tahun- 1 Tahun 100.000.000 - - -2
Lancarnya Kegiatan
Administrasi
Pembangunan
Tersedianya Administrasi
Umum dan Penunjang
Kegiatan Pembangunan
1 Tahun 100.000.000 -
37.661.000
Buku Laporan
Penyusunan
Laporan Hasil-
Hasil
Pembangunan
dan
Dokumentasi
37.661.000
Buku Laporan
Penyusunan
Laporan Hasil-
Hasil
Pembangunan
dan
Dokumentasi
57,94
Bagian
Administrasi
Pembangunan
-
Buku Laporan
Penyusunan
Laporan Hasil-
Hasil
Pembangunan
dan
Dokumentasi
13.810.000 - 37.661.000
Buku Laporan
Penyusunan
Laporan Hasil-
Hasil
Pembangunan
dan
Dokumentasi
Tingkat Capaian Kinerja dan
Realisasi Anggaran RPJMD
Kota s/d Tahun 2013 ( % )
SKPD
Penanggungjawab
15 = 14/6 * 100 %9 10 11
1
Tersusunnya
Laporan Hasil-
Hasil
Pembangunan dan
Dokumentasi
Terlaksananya Kegiatan
Penyusunan Laporan
Hasil-Hasil Pembangunan
dan Dokumentasi
Buku Laporan
Penyusunan
Laporan Hasil-Hasil
Pembangunan dan
Dokumentasi
65.000.000 -
6 7 8
-
Buku
Laporan
Penyusunan
Laporan Hasil-
Hasil
Pembanguna
n dan
Dokumentasi
42.492.000 - - -
12 13 14 = 7 + 13
1 2 3 4 5
Target Kinerja dan Anggaran
RKPD Kota Tahun Berjalan
(tahun n-1) yang Dievaluasi
Realisasi Kinerja Pada Triwulan Realisasi Capaian Kinerja dan
Anggaran RKPD Kota yang
Dievaluasi
FORMULIR VII. F.8
EVALUASI TERHADAP HASIL RKPD
KOTA PADANGSIDIMPUAN
TAHUN 2013 Triwulan IV
No. Sasaran Kode
Urusan/Bidang Urusan
Pemerintahan Daerah dan
Program/Kegiatan
Indikator Kinerja
Program (Outcome)/
Kegiatan (Output)
Target RPJMD Kota pada Tahun 2017
(Akhir Periode RPJMD)
Realisasi
Capaian Kinerja
RPJMD Kota
s/d RKPD Kota
Tahun Lalu
(n-2) I II III IV
Realisasi Kinerja dan Anggaran
RPJMD Kota s/d Tahun 2013
(Akhir Tahun Pelaksanaan RKPD
Tahun 2013)
15 dari 67
1 2 3 4 5 16
1.20. Urusan Wajib
3. Bidang Pemerintahan Umum
23.
Program Optimalisasi
Pemanfaatan Teknologi
Informasi
01.
Kegiatan Penyusunan Sistem
Informasi Terhadap Layanan
Publik
1.20. Urusan Wajib
3. Bidang Pemerintahan Umum
24.
Program Mengintensifkan
Penanganan Pengaduan
Masyarakat
04.
Kegiatan Pemantauan Teknis
Pelaksanaan dan Evaluasi
Pemanfaatan Dana APBN dan
APBD
44.448.297
Buku Laporan
Realisasi Proyek
Fisik
44.448.297
Buku Laporan
Realisasi
Proyek Fisik
29,63
Bagian
Administrasi
Pembangunan
-
Buku Laporan
Realisasi
Proyek Fisik
12.280.000 - 44.448.297
Buku Laporan
Realisasi
Proyek Fisik
-
Buku
Laporan
Realisasi
Proyek Fisik
150.000.000 - - -4
Terlaksananya
Pemantauan Teknis
Pelaksanaan dan
Evaluasi
Pemanfaatan Dana
APBN dan APBD
Terpantau dan
Terevaluasinya
Pemanfaatan Dana APBN
dan APBD dalam Bidang
Pembangunan
Buku Laporan
Realisasi Proyek
Fisik
150.000.000 -
210.127.501 1 Kegiatan 76,41
Bagian
Administrasi
Pembangunan
- 1 Kegiatan 104.118.319 - 210.127.501 1 Kegiatan
15 = 14/6 * 100 %
3
Terlaksananya
Proses Pengadaan
Barang/Jasa
Pemerintah secara
Efektif, Transparan
dan Akuntabel
Termanfaatkannya Sistem
Teknologi dan Informasi
dalam Pelaksanaan
Kegiatan Pembangunan
1 Kegiatan dalam 1
Tahun
275.000.000 -
6 7 8 9 10 11
- 1 Kegiatan 267.978.000 - - -
12 13 14 = 7 + 13
210.127.501 1 Kegiatan
16 dari 67
1 2 3 4 5 16
1.20. Urusan Wajib
3. Bidang Pemerintahan Umum
25.
Program Peningkatan
Kerjasama Antar Pemerintah
Daerah
05.
Kegiatan Sinkronisasi dan
Koordinasi Pembangunan
Daerah
4. Memberdayakan Seluruh Perangkat untuk Mencapai Kinerja.
Rata-Rata Capaian Kinerja ( % )
Predikat Kinerja
Faktor Pendorong Keberhasilan Kinerja : 1. Tersedianya Anggaran Pelaksanaan Kinerja. 2. Adanya Sumber Daya Aparatur yang Menguasai Tupoksi. 3. Tersedianya Sarana dan Prasarana Penunjang Pelaksanaan Tugas.
Faktor Penghambat Pencapaian Kinerja : 1. Terbatasnya Anggaran Pelaksanaan Kinerja. 2. Kurangnya Sumber Daya Aparatur yang Menguasai Tupoksi. 3. Keterbatasan Sarana dan Prasarana Penunjang Pelaksanaan Tugas.
Tindaklanjut yang diperlukan dalam triwulan berikutnya : 1. Mempersiapkan Pelaksanaan Kinerja secara Administrasi dan Keuangan.
Tindaklanjut yang diperlukan dalam RKPD berikutnya : 1. Mempersiapkan Anggaran Pelaksanaan Kinerja sesuai Kebutuhan. 2. Meningkatkan Sumber Daya Aparatur yang Menguasai dan Memahami Tupoksi. 3. Mempersiapkan Sarana dan Prasarana Penunjang Pelaksanaan Kinerja
40.035.000
3 kali Rapat
Sinkronisasi dan
Koordinasi
Pembangunan
40.035.000
3 kali Rapat
Sinkronisasi
dan
Koordinasi
Pembangunan
47,10
Bagian
Administrasi
Pembangunan
-
3 kali Rapat
Sinkronisasi
dan
Koordinasi
Pembangunan
21.461.000 - 40.035.000
3 kali Rapat
Sinkronisasi
dan Koordinasi
Pembangunan
-
3 kali Rapat
Sinkronisasi
dan
Koordinasi
Pembanguna
n
44.331.000 - - -
12 13 14 = 7 + 13 15 = 14/6 * 100 %
5
Tercapainya
Sinkronisasi dan
Koordinasi
Pembangunan
Daerah
Tersusun dan Sinkronnya
Kegiatan Pembangunan
3 kali Rapat
Sinkronisasi dan
Koordinasi
Pembangunan
85.000.000 -
6 7 8 9 10 11
17 dari 67
Sasaran Pembangunan Tahunan :
Bagian Humas dan Arsip
K (%) Rp. (juta)
K
(%)
Rp.
(juta)
K
(%)
Rp. (juta) K (%) Rp. (juta)
K
(%)
Rp.
(juta)
K (%) Rp. (juta) K (%) Rp. (juta) K (%) Rp. (juta) K (%) Rp. (juta) K (%) Rp. (juta)
Urusan Wajib
1 10 Program peningkatan pelayanan
kedinasan kepala daerah/ wakil
kepala daerah
1 dialog/audensi dengan tokoh-
tokoh masyarakat,pimpinan,
anggota organisasi sosial dan
masyarakat
Terlaksananya
kegiatan
dialog/audensi
walikota/ wakil
walikota
100% 80
3 rapat koordinasi dengan unsur
muspida
Terlaksananya rapat
koordinasi dengan
unsur muspida 100% 80
4 Rapat/koordinasi dengan
pemerintah pusat dan
pemerintah lainnya (sppd)
Terlaksananya
rapat/koordinasi
dengan pemerintah
pusat dan
pemerintah lainnya
100% 2.650 675 41% 281100 41% 326607750 63% 417137900 63% 417137900 63% 417137900 15%
2 11 Program penyelamatan dan
pelestarian dokumen/ arsip
daerah
2 Pendataan dan penataan
dokumen/arsip daerah
Tersimpannya
dokumen/arsip
daerah secara baik
dan rapi
100% 140
3 Penduplikatan dokumen/arsip
daerah dalam bentuk informatika
Tersedia duplikat
dokumen/arsip
daerah dengan baik
dan rapi
100% 175
1 Pengadaan sarana pengolahan
dan penyimpanan arsip
Tersimpannya
dokumen/arsip
daerah secara baik
dan rapi
100% 160
12 13 14=7+13 15=14/6*100%
Bidang Urusan Otda, PUM, Keuangan Daerah, Perangkat Daerah, Kepegawaian
6 7 8 9 10 11
I II
Target Kinerja
dan Anggaran
RKPD Kota
Tahun 2013
Berjalan (Tahun
n-1) yang
Dievaluasi
Realisasi Kinerja Pada Triwulan
1 2 3 4 5
FORMULIR VII.F8
Evaluasi Terhadap Hasil RKPD
Kota Padangsidimpuan
Tahun 2013 Triwulan IV
Realisasi Capaian
Kinerja dan
Anggaran RKPD
Kota yang dievaluasi
Realisasi Kinerja
dan Anggaran
RPJMD Kota s/d
Tahun 2013 (Akhir
Tahun Pelaksanaan
RKPD Tahun 2013)
Tingkat Capaian
Kinerja dan
Realisasi
Anggaran
RPJMD Kota s/d
Tahun 2013 (%)
No Sasaran Kode
Urusan/Bidang Urusan
Pemerintahan Daerah dan
Program/Kegiatan
Indikator Kinerja
Program
(Outcome)/Kegiatan
(Output)
Target RPJMD Kota
pada Tahun 2013
s/d 2017 (Akhir
Periode RPJMD)
III IV
Realisasi
Capaian
Kinerja
RPJMD Kota
sampai
dengan RKPD
Kota Tahun
2010 (n-2)
18 dari 67
3 1 Program Pelayanan Administrasi
Perkantoran
11 Penyediaan Barang Cetakan dan
Penggandaan
Tersedianya
Publikasi dan
Dokumentasi
Kegiatan dan
penjilitan pidato
Pejabat Daerah
100% 520 84.846 21% 66811 51% 43591 63% 53720 83% 70068 83% 70068 83% 70068 13%
4 13 Program peningkatan kwalitas
pelayanan informasi
4 Belanja Surat Kabar Harian,
Mingguan dan Majalah
Terpantaunya
semua berita yang
ada di pusat dan
daerah
100% 810.150 162.030 33% 53856 74% 121176 99% 161568 99% 161568 99% 161568 19%
5 Pengumpulan Kliping koran
pemda baik berita yang baik dan
menyudutkan
Terpantaunya berita
baik dan buruk
dalam daerah 100% 550 110 34% 37875 50% 56050 99% 109575 99% 109575 99% 109575 19%
1 Melaksanakan peliputan setiap
kegiatan pejabat daerah oleh
rekan pers
Terpublikasinya
kegiatan pejabat
daerah kepada
masyarakat melalui
mas media
100% 60
3 Mengikuti sosialisasi/ penyuluhan
kearsipan dilingkungan instansi
pemerintah/ swasta
Terciptanya arsip
yang baik di setiap
instansi
pemerintah/swasta
100% 300
5 14 Program perbaikan sistim
administrasi kearsipan
1 Pembangunan data base
informasi kearsipan
Terciptanya data
base administrasi
arsip kota baik dan
mudah diakses
100% 80
2 Pengumpulan data Tekumpulnya data
yang akurat 100% 80
6
18 Program kerjasama informasi
dengan mas media
2 Penyebarluasan informasi
penyelenggaraan pemerintah
daerah ( iklan )
terciptanya informasi
penyelenggaraan
pemerintahan
kepada daerah lain
100% 300 45 6% 5 15% 11950 31% 14180 59% 26980 59% 26980 59% 26980 8%
7
2 Program peningkatan sarana dan
prasarana aparatur
11 Pengadaan camera nikon 100% 50
12 Pengadaan handycam 100% 50
8 5
Program Peningkatan kapasitas
Sumber Daya Aparatur
19 dari 67
1
Pendidikan,Pelatihan Formal
Kehumasan,Kearsipan dan
Protokoler
Meningkatnya
Kapasitas Sumber
Daya Aparatur
100% 400 107500 0% 0% 38% 41118 46% 49667 95% 102644 95% 102644 95% 102644 25%
3 Bimtek dan sosialisasi tentang
kehumasan,protokoler dan arsip 100% 280
Rata-rata capaian kinerja (%)
Predikat kinerja
Faktor pendorong keberhasilan kinerja
Faktor penghambat pencapaian kinerja
Tindak lanjut yang diperlukan dalam triwulan berikutnya
Tindak lanjut yang diperlukan dalam RKPD berikutnya
20 dari 67
1 2 4 5
K Rp. K Rp. K Rp. K Rp. K Rp. K Rp. K Rp. K Rp. K Rp. K Rp.
1 Pemba- 1 20 1 20 4 01 Program Pelayanan Tersedianya Pelayanan Administrasi100% 11.220.203.916 100% 6.536.121.004 89,18 5.828.620.445 89,18 5.828.620.445 89,18 5.828.620.445 89,18 51,948 Sekr.
ngunan Administrasi Perkantoran Perkantoran DPRD
Tahuna
n
1 20 1 20 4 01 01 - Penyediaan Jasa Surat Menyurat Tersedianya Jasa Surat Menyurat 1.290.241.911 796.700.000 73,49 585.502.420 73,49 585.502.420 73,49 585.502.420 Kota
Kota 1 20 1 20 4 01 02 -Penyedian Jasa Komunikasi, Tersedianya Jasa Komunikasi, 388.345.857 222.038.004 68,74 152.619.804 68,74 152.619.804 68,74 152.619.804 Psp.
Psp Sumber Daya Air dan Listrik Sumber Daya Air dan Listrik
1 20 1 20 4 01 08 -Penyediaan Jasa Kebersihan
Kantor
Tersedianya Jasa Kebersihan Kantor 265.324.248 186.700.000 99,54 185.846.500 99,54 185.846.500 99,54 185.846.500
1 20 1 20 4 01 10 -Penyediaan Alat Tulis Kantor Tersedianya Alat Tulis Kantor 341.056.219 215.000.000 100,00 215.000.000 100,00 215.000.000 100,00 215.000.000
1 20 1 20 4 01 11
-Penyediaan Barang Cetakan &
Penggandaan
Tersedianya Barang
Cetakan&Penggandaan
314.821.125
220.000.000 100,00 220.000.000 100,00 220.000.000 100,00 220.000.000
1 20 1 20 04 01 13
-Penyediaan Peralatan &
Perlengkapan
-Tersedianya
Peralatan&Perlengkapan
157.410.563
90.000.000 87,22 78.500.000 87,22 78.500.000 87,22 78.500.000
1 20 1 20 4 01 12 -Penyediaan Komponen Instalasi
Listrik/
Tersedianya Komponen Instalasi
Listrik/
148.665.531 85.000.000 93,75 79.687.500 93,75 79.687.500 93,75 79.687.500
Penerangan Bagunan Kantor Penerangan Bagunan Kantor
1 20 1 20 4 01 14
-Penyediaan Peralatan Rumah
Tangga
Tersedianya Peralatan Rumah
Tangga
61.215.219
35.000.000 57,14 20.000.000 57,14 20.000.000 57,14 20.000.000
1 20 1 20 4 01 17 -Penyediaan Makan dan Minum Tersedianya Makan dan Minum 292.084.044 167.000.000 64,74 108.116.000 64,74 108.116.000 64,74 108.116.000
1 20 1 20 4 01 18 -Rapat-rapat Koordinasi dan Tersedianya Rapat-rapat Koordinasi
dan
6.586.320.286 3.732.683.000 99,90 3.728.977.789 99,90 3.728.977.789 99,90 3.728.977.789
Konsultasi ke Luar Daerah Konsultasi ke Luar Daerah
1 20 1 20 04 01 19
- Penyediaan Jasa Keamanan
Kantor
- Tersedianya Penyediaan Jasa
Keamanan
62.964.225
36.000.000 24,31 8.750.000 24,31 8.750.000 24,31 8.750.000
1 20 1 20 4 01 19 -Penyediaan Jasa Jaminan Tersedianya Jasa Jaminan 750.000.000 59,42 445.620.432 59,42 445.620.432 59,42 445.620.432
Pemeliharaan Kesehatan DPRD Pemeliharaan Kesehatan DPRD 1.311.754.688
2 1 20 1 20 4 02 Program Peningkatan Sarana Tersedianya Sarana dan Prasarana 100% 5.447.887.222 100% 4.427.619.200 84,52 3.742.405.250 84,52 3.742.405.250 84,52 3.742.405.250 84,52 68,695
dan Prasarana Aparatur Aparatur
1 20 1 20 4 02 05 -Pengadaan Kenderaan Dinas/ Tersedianya Pengadaan Kenderaan
Dinas/
2.098.807.500 2.010.000.000 93,66 1.882.561.240 93,66 1.882.561.240 93,66 1.882.561.240
operasional operasional
1 20 1 20 4 02 09
-Pengadaan Peralatan Gedung
Kantor
Tersedianya Pengadaan Peralatan
Gedung
304.122.804
328.655.200 58,10 190.944.750 58,10 190.944.750 58,10 190.944.750
1 20 1 20 4 02 22 -Pemeliharaan Rutin/ Berkala
Gedung
Tersedianya Pemeliharaan Rutin/
Berkala
131.175.469 75.000.000 100,00 75.000.000 100,00 75.000.000 100,00 75.000.000
Kantor Gedung Kantor
1 20 1 20 4 02 24 -Pemeliharaan Rutin/ Berkala Tersedianya Pemeliharaan Rutin/
Berkala
2.782.605.980 1.938.964.000 82,20 1.593.899.260 82,20 1.593.899.260 82,20 1.593.899.260
Kenderaan Dinas/ Operasional Kenderaan Dinas/ Operasional
1 20 1 20 4 02 28 -Pemeliharaan Rutin/ Berkala Tersedianya Pemeliharaan Rutin/
Berkala
131.175.469 75.000.000 0 0 0 0 0,00 0
Peralatan Gedung Kantor Peralatan Gedung Kantor
3 1 20 1 20 4 03 Program Peningkatan Disiplin Tersedianya Peningkatan Disiplin 100% 302.709.257 100% 227.037.500 92,16 209.227.500 92,16 209.227.500 92,16 209.227.500 92,16 69,118
Aparatur Aparatur
1 20 1 20 4 03 05 -Pengadaan Pakaian Khusus Hari-
Hari
Tersedianya Pengadaan Pakaian
Khusus
263.225.441 227.037.500 92,16 209.227.500 92,16 209.227.500 92,16 209.227.500
tertentu Hari-hari tertentu
4 1 20 1 20 4 05 Program Peningkatan Kapasitas Tersedianya Peningkatan
Kapasitas
100% 608.654.175 100% 590.000.000 96,04 566.632.500 96,04 566.632.500 96,04 566.632.500 96,04 93,096
Sumber Daya Aparatur Sumber Daya Aparatur
1 20 1 20 4 05 03 -Bimbingan Teknis Implementasi Tersedianya Bimbingan Teknis 608.654.175 590.000.000 96,04 566.632.500 96,04 566.632.500 96,04 566.632.500
Peraturan Perundang-Undangan Implementasi Peraturan Perundang2
an
Tingkat
Capaian
Kinerja dan
Realisasi
Anggaran
RPJMD Kota
s.d Tahun
7 8 9 10 11 12 13 14 = 7 + 13 15 = 14/6 * 100%
SKPD
Penang
gung
Jawab
I II III IV
3 6
EVALUASI TERHADAP HASIL RKPD
KOTA PADANGSIDIMPUAN
TAHUN 2013
Sekretariat Dewan
No. Sasaran Kode
Bidang Urusan Pemerintahan dan
Program Prioritas Pembangunan
Indikator Kinerja Program
(Outcome)/Kegiatan (Output)
Target RPJMD Kota
pada Tahun 2017 (Akhir
Periode RPJMD)
Sasaran Pembangunan Tahunan Kota Padangsidimpuan
Realisasi
Capaian
Kinerja
RPJMD Kota
sampai
dengan
RKPD Kota
Tahun Lalu
Target Kinerja dan
Anggaran RKPD Kota
Tahun Berjalan (Tahun
n-1) yang Dievaluasi
Tahun 2013
Realisasi Kinerja Pada Triwulan
Realisasi Capaian
Kinerja dan Anggaran
RKPD Kota yang
Dievaluasi
Realisasi Kinerja DAN
Anggaran RPJMD Kota
s.d Tahun 2013 (Akhir
Tahun Pelaksanaan
RKPD Tahun 2014)
21 dari 67
5 1 20 1 20 4 06 Program Peningkatan
Pengembangan
Tersedianya Peningkatan Pengem- 100% 664.709.825 100% 380.050.000 82,11 312.046.100 82,11 312.046.100 82,11 46,945
Sistem Pelaporan Capaian bangan Sistem Pelaporan Capaian
Kinerja dan Keuangan Kinerja dan Keuangan
1 20 1 20 4 06 01 -Penyusunan Laporan Capaian
Kinerja
Tersedianya Penyusunan Laporan
Capaian
55.093.697 31.500.000 50,80 16.001.500 50,80 16.001.500
dan Ikhtisar Realisasi Kinerja SKPD Kinerja'dan Ikhtisar Realisasi
Kinerja SKPD1 20 1 20 4 06 06 -Penyusunan Laporan, Kinerja dan Tersedianya Penyusunan Laporan,
Kinerja
609.616.128 348.550.000 84,94 296.044.600 84,94 296.044.600
Anggaran dan Anggaran
6 1 20 1 20 4 15 Program Peningkatan Kapasitas Tersedianya Peningkatan
Kapasitas
100% 8.109.048.853 100% 3.924.835.000 79,27 3.111.365.672 79,27 3.111.365.672 79,27 38,369
Lembaga Perwakilan Rakyat
Daerah
Lembaga Perwakilan Rakyat
Daerah1 20 1 20 4 15 01 -Pembahasan Rancangan Peraturan Tersedianya Pembahasan
Rancangan
266.373.652 152.300.000 - 0 0,00 0
Daerah Peraturan Daerah
1 20 1 20 4 15 02 - Hearing/Dialog dan Koordinasi Tersedianya Hearing/Dialog dan
Koordinasi
262.350.938 150.000.000 8,67 13.000.000 8,67 13.000.000
dengan Pejabat Pemerintah dan dengan Pejabat Pemerintah dan
Tokoh Masyarakat/Tokoh Agama Tokoh Masyarakat/Tokoh Agama
1 20 1 20 4 15 03 - Rapat-Rapat Alat Tersedianya Rapat-Rapat Alat 722.339.581 413.000.000 80,49 332.405.500 80,49 332.405.500
Kelengkapan Dewan Kelengkapan Dewan
1 20 1 20 4 15 04 -Rapat-Rapat Paripurna Tersedianya Rapat-Rapat Paripurna 309.136.855 253.125.000 54,42 137.757.000 54,42 137.757.000
- Pelantikan anggota/pimpinan
DPRD
- Tersedianya Pelantikan anggota
DPRD
0
1 20 1 20 4 15 05 -Kegiatan Reses Tersedianya Kegiatan Reses 2.119.332.088 32.020.000 - 0 0,00 0
1 20 1 20 4 15 06 -Kunjungan Kerja Pimpinan dan Tersedianya Kunjungan Kerja
Pimpinan dan
2.134.294.837 1.220.290.000 95,77 1.168.653.779 95,77 1.168.653.779
Anggota DPRD Dalam Daerah Anggota DPRD Dalam Daerah
1 20 1 20 4 15 07 -Peningkatan Kapasitas Pimpinan Tersedianya Peningkatan Kapasitas 1.814.768.885 1.429.400.000 98,84 1.412.754.393 98,84 1.412.754.393
dan Anggota DPRD Pimpinan dan Anggota DPRD
1 20 1 20 4 15 09 -Rapat-Rapat Khusus Tersedianya Rapat-Rapat Khusus 480.452.017 274.700.000 17,03 46.795.000 17,03 46.795.000
7 1 20 1 20 4 17 Program Peningkatan dan
Pengembangan
Tersedianya Peningkatan &
Pengem-
100% 748.426.009 100% 372.100.000 59,65 221.942.000 59,65 221.942.000 59,65 29,655
Pengelolaan Keuangan Daerah bangan Pengelolaan Keuangan
Daerah1 20 1 20 4 17 32 -Penyusunan Rancangan Peraturan Tersedianya Penyusunan Rancangan 108.700.738 62.150.000 70,82 44.013.500 70,82 44.013.500
Daerah Tentang APBD Peraturan Daerah Tentang APBD
1 20 1 20 4 17 33 -Penyusunan Rancangan Peraturan Tersedianya Penyusunan Rancangan 131.437.820 75.150.000 69,04 51.882.000 69,04 51.882.000
Daerah Tentang Perubahan APBD Peraturan Daerah Ttg. Perubahan
APBD1 20 1 20 4 17 34 -Penyusunan Rancangan Peraturan
Daerah
Tersedianya Rancangan Peraturan
Daerah
242.849.518 138.850.000 32,28 44.823.500 32,28 44.823.500
Ttg. Pertanggungjawaban
Pelaksanaan APBD
Tentang Pertanggungjawaban
Pelaksanaan
1 20 1 20 4 17 35 -Penyusunan KUA dan PPAS Tersedianya Penyusunan KUA dan
PPAS
95.950.000 84,65 81.223.000 84,65 81.223.000
8 1 20 1 20 4 32 Program Perekonomian dan
Kesejahteraan
Tersedianya Perekonomian dan
Kesejahteraan
100% 151.983.177 100% 75.562.500 14,16 10.700.000 14,16 10.700.000 14,16 7,040
Kesejahteraan Rakyat Kesejahteraan Rakyat
1 20 1 20 4 32 01 -Pelaksanaan HUT RI Tersedianya Pelaksanaan HUT RI 65.172.345 37.262.500 14,36 5.350.000 14,36 5.350.000
1 20 1 20 4 32 09 -Pelaksanaan HUT PEMKO Tersedianya Pelaksanaan HUT
PEMKO
49.496.877 28.300.000 18,90 5.350.000 18,90 5.350.000
1 20 1 20 4 32 16 -Pelaksanaan Safari Ramadhan Tersedianya Pelaksanaan Safari
Ramadhan
17.490.063 10.000.000 - 0 0,00 0
9 1 20 1 20 4 46 Program Peningkatan Sistem
Pengawasan
Tersedianya Peningkatan Sistem
Pengawasan
100% 329.862.579 100% 164.000.000 0,00 0 - 0,00 0,00 0,00 0,00 0,000
Internal dan Pengendalian
Kebijakan
Internal dan Pengendalian
Kebijakan1 20 1 20 4 46 01 - Penanganan Kasus Pengaduan Tersedianya Penanganan Kasus
Pengaduan
286.837.025 164.000.000 0,00 0 - 0,00 0,00 0,00
di Lingkungan DPRD di Lingkungan DPRD
Rata-rata capaian kinerja (%)
Predikat Kinerja
Faktor pendorong keberhasilan kinerja : SDM, Dana, Sarana dan Prasarana Perkantoran
Faktor penghambat pencapaian kinerja : Tingkat Pemahaman terhadap aturan dan perundang-undangan masih lemah
Tindaklanjut yang diperlukan dalam triwulan berikutnya : Program Peningkatan Kapasitas Sumber Daya Manusia
Tindaklanjut yang diperlukan dalam RKPD berikutnya : Program Peningkatan SDM
22 dari 67
Sasaran Pembangunan Tahunan Kota :
Padangsidimpuan
PPKAD
K Rp. K Rp. K Rp. K Rp. K Rp. K Rp. K Rp. K Rp. K Rp. K Rp.
URUSAN WAJIB
BIDANG PEMERINTAH UMUM
Meningkatka
n
Manajemen
Aparatur
dalam
pengelolaan
keuangan
secara
transparan
dan tertib
Program Peningkatan
Pengembangan Sistem
Pelaporan Capaian
Kinerja dan Keuangan
Penyusunan Laporan
Capaian Kinerja dan
Ikhtisar Realisasi Kinerja
SKPD
Tersedia
nya
dokumen
LAKIP
5
dokume
n
22.000.000 1
dokum
en
4.300.000 1
dokume
n
4.300.000 1
doku
men
4.300.000 4
dokume
n
20%
Penyusunan Pelaporan
Keuangan Semesteran
Terpenuh
inya
Laporan
Keuanga
n
Semester
an
5
dokume
n
148.000.000 1
dokum
en
29.675.000 1
dokume
n
29.675.000 1
doku
men
29.675.000 4
dokume
n
20%
Penyusunan Pelaporan
Keuangan Akhir Tahun
Terpenuh
inya
Laporan
Keuanga
n Akhir
Tahun
tepat
waktu
5
dokume
n
1.244.000.000 1
dokum
en
94.514.000 1
dokume
n
94.514.000 1
doku
men
94.514.000 4
dokume
n
8%
Penyusunan Laporan,
Rencana Kinerja dan
Anggaran
Tersedia
nya
dokumen
RENJA
5
dokume
n
44.000.000 1
dokum
en
- 4.300.000 1
dokume
n
4.300.000 1
doku
men
4.300.000 4
dokume
n
10%
6 7 8 9
1 2 3 4 5
10 11
SKPD
Penang
gung
Jawab
I II III IV
Tingkat Kinerja
dan Realisasi
Anggaran
RPJMD
Kabupaten/Kota
s/d Tahun 2013
%
12 13 14 15
16
Evaluasi Terhadap Hasil RKPD
Kota Padangsidimpuan
Tahun 2013
No Sasaran Kode
Urusan/Bidang Urusan
Pemerintah Daerah
dan Program/Kegiatan
Indikato
r
Kinerja
Progra
m
(Outco
me)/
Kegiata
n
Target RPJMD
Kabupaten/Kota pada
Tahun 2017 (Akhir
Periode RJMD)
Realisasi Capaian Kinerja
RPJMD Kabupaten/Kota
sampai dengan RKPD
Kabupaten/Kota Tahun
Lalu (n-2)
Target Kinerja dan
Anggaran RKPD
Kabupaten/Kota
Tahun Berjalan
(Tahun n-1) yang
dievaluasi
Realisasi Kinerja Pada Triwulan Realisasi Capaian
Kinerja danAnggaran
RKPD Kabupaten/Kota
yang dievaluasi
Realisasi Kinerja dan
Anggaran RPJMD
Kabupaten/Kota s/d
Tahun 2013 (Akhir
Tahun Pelaksanaan
RKPD Tahun 2013)
23 dari 67
Penyusunan Laporan
Barang Pengguna
Semesteran
Terpenuh
inya
Laporan
Barang
Penggun
a
Semester
an
5
dokume
n
98.000.000 1
dokum
en
6.389.300 1
dokume
n
6.389.300 1
doku
men
6.389.300 4
dokume
n
7%
Penyusunan Laporan
Barang Pengguna
Tahunan
Terpenuh
inya
Barang
Penggun
a Tahun
tepat
waktu
5
dokume
n
1.277.000.000 1
dokum
en
27.684.300 1
dokume
n
27.684.300 1
doku
men
27.684.300 4
dokume
n
2%
Penyusunan Renstra Tersedia
nya
dokumen
RENST
RA
1
dokume
n
3.550.000 1
dokum
en
3.550.000 1
dokume
n
3.550.000 1
doku
men
3.550.000 1
dokume
n
100%
Program Peningkatan
dan Pengembangan
Pengelolaan Keuangan
Daerah
Penyusunan Standar
Satuan Harga
Dipedom
aninya
buku
standar
satuan
harga
dalam
penyusun
an
APBD
5 buku 841.000.000 1 buku 123.660.000 1 buku 123.660.000 1
buku
123.660.000 4 buku 15%
Penyusunan sistem dan
prosedur pengelolaan
keuangan daerah
Dipedom
aninya
SOP
pengelol
aan
keuangan
daerah
1
peratura
n
150.000.000 1
peratura
n
0%
Penyusunan Rancangan
Peraturan Daerah Tentang
APBD
Terimple
mentasik
annya
APBD
5 perda 198.000.000 4
per
da
34.516.900 4 perda 34.516.900 4
perda
34.516.900 5 perda 17%
Penyusunan Rancangan
Peraturan KDH Tentang
Penjabaran APBD
Terimple
mentasik
annya
Peraturan
KDH
tentang
penjabar
an
APBD
5
peratura
n KDH
770.000.000 1
peratura
n KDH
146.653.500 1
peratu
ran
KDH
146.653.500 4
peratura
n KDH
19%
24 dari 67
Penyusunan Rancangan
Peraturan Daerah Tentang
Perubahan APBD
Terimple
mentasik
annya
perubaha
n APBD
5 perda 195.000.000 1 perda 31.529.700 1 perda 31.529.700 1
perda
31.529.700 4 perda 16%
Penyusunan Rancangan
Peraturan KDH Tentang
Penjabaran Perubahan
APBD
Terimple
mentasik
annya
Peraturan
KDH
tentang
penjabar
an
perubaha
n APBD
5
peratura
n KDH
719.000.000 1
peratur
an
KDH
135.573.900 1
peratura
n KDH
135.573.900 1
peratu
ran
KDH
135.573.900 4
peratura
n KDH
19%
Penyusunan Rancangan
Peraturan Daerah Tentang
Pertanggungjawaban
Pelaksanaan APBD
Tersedia
nya
Perda
tentang
pertangg
ungjawa
ban
tentang
pelaksan
aan
APBD
5 perda 728.000.000 1 perda 135.175.000 1 perda 135.175.000 1
perda
135.175.000 4 perda 19%
Penyusunan Rancangan
Peraturan KDH Tentang
Penjabaran
Pertanggungjawaban
Pelaksanaan APBD
Tersedia
nya
peraturan
KDH
tentang
pertangg
ungjawa
ban
tentang
pelaksan
aan
penjabar
an
APBD
5
peratura
n KDH
162.000.000 1
peratur
an
KDH
30.250.000 1
peratura
n KDH
30.250.000 1
peratu
ran
KDH
30.250.000 4
peratura
n KDH
19%
Sosialisasi Paket Regulasi
Tentang Pengelolaan
Keuangan Daerah
Meningk
atnya
SDM
bendahar
a
3 keg 511.000.000 - - - 5 keg 0%
Bimbingan teknis
implementasi paket
regulasi tentang
pengelolaan keuangan
daerah
Meningk
atnya
SDM
PNS
menggun
akan
aplikasi
SIMDA
1 keg 221.000.000 2 keg 0%
Intensifikasi dan
Ekstensifikasi Sumber-
Sumber Pendapatan
Daerah
Meningk
atnya
PAD
pemko
PSP
100% 1.242.000.000 279.591.900
1doku
men
57.529.400
1doku
men
57.529.400 4
dokume
n
5%
25 dari 67
Penelitian dan
pengesahan RKA/DPA
Tersedia
nya
dokumen
RKA /
DPA
seluruh
SKPD
5
dokume
n
316.000.000 1
dokum
en
57.467.800 1
dokume
n
57.467.800 1
doku
men
57.467.800 4
dokume
n
18%
Penelitian dan
pengesahan perubahan
RKA/DPA
Tersedia
nya
dokumen
perubaha
n RKA /
DPA
seluruh
SKPD
5
dokume
n
316.000.000 1
dokum
en
57.529.400 1
dokume
n
57.529.400 1
doku
men
57.529.400 4
dokume
n
18%
Penyusunan KUA dan
PPAS
Tersedia
nya
dokumen
KUA
dan
PPAS
5
dokume
n
569.000.000 - 1
lap
ora
n
109.338.250 1
laporan
109.338.250 1
lapora
n
109.338.250 4
laporan
19%
Perubahan KUA dan
PPAS
Tersedia
nya
dokumen
perubaha
n KUA
dan
PPAS
5
dokume
n
544.000.000 1
dokum
en
104.927.450 1
dokume
n
104.927.450 1
doku
men
104.927.450 4
dokume
n
19%
Monitoring Asset Barang
Daerah
Tersedia
nya
Laporan
Monitori
ng Asset
Barang
Daerah
5
laporan
302.000.000 1
laporan
65.011.200 1
laporan
65.011.200 1
lapora
n
65.011.200 4
laporan
22%
Peningkatan Status
Kepemilikan Hak Atas
Asset Daerah
Meningk
atnya
status
kepemili
kan hak
atas asset
daerah
5 keg 3.662.000.000 1
keg
242.360.000 1 keg 242.360.000 1 keg 242.360.000 4 keg 7%
Penghapusan Barang
Milik Daerah
teroptim
alkannya
barang
milik
daerah
5
dokume
n
637.000.000 1
dokum
en
12.143.300 1
dokume
n
12.143.300 1
doku
men
12.143.300 4
dokume
n
2%
Pendampingan Persiapan
Pengalihan PBB
Pedesaan dan Perkotaan
Terlaksa
nanya
pengalih
an PBB
pedesaan
dan
perkotaa
n
1 keg 1.618.000.000 1
keg
1.179.615.000 1 keg 1.179.615.000 1 keg 1.179.615.000 1 keg 73%
26 dari 67
Penyusunan Rancangan
Peraturan Daerah Tentang
APBD Tahun Anggaran
2013
Terimple
mentasik
annya
APBD
TA.
2013
1 perda 30.000.000 1 perda 30.122.400 1 perda 30.122.400 1
perda
30.122.400 1 perda 100%
Penyusunan Rancangan
Peraturan KDH Tentang
Penjabaran APBD Tahun
Anggaran 2013
Terimple
mentasik
annya
Peraturan
KDH
tentang
penjabar
an
APBD
TA.
2013
1
peratura
n KDH
139.000.000 1
peratur
an
KDH
139.072.100 1
peratura
n KDH
139.072.100 1
peratu
ran
KDH
139.072.100 1
peratura
n KDH
100%
Penyusunan KUA dan
PPAS Tahun Anggaran
2013
Tersedia
nya
dokumen
KUA
dan
PPAS
TA.
2013
1
dokume
n
113.000.000 1
dokum
en
112.877.850 1
dokume
n
112.877.850 1
doku
men
112.877.850 1
dokume
n
100%
Peningkatan manajemen
asset / barang daerah
Meningk
atnya
SDM
PNS
menggun
akan
aplikasi
SIMDA
BMD
5 keg 1.687.000.000 1keg 170520000 1keg 170520000 1keg 170520000 4 keg 10%
Revaluasi / appraisal asset
/ barang daerah
Tersedia
nya data
asset /
barang
daerah
yang
mutahir
1
dokume
n
150.000.000 0%
Optimalisasi Pendapatan
Asli Daearah
Meningk
atnya
PAD
pemko
PSP
25% 252.000.000 1
dok
um
en
53.000.000 1
dokume
n
53.000.000 1
doku
men
53.000.000 4
dokume
n
21%
Pemutakhiran Data Base
PBB
Meningk
atnya
PAD
pemko
PSPdari
sektor
PBB
4 keg 4.294.000.000 0%
27 dari 67
Sensus Barang milik
daerah
Tersedia
nya data
barang
yang
benar
benar
dan
dapat
diapertan
gungjaw
abkan
serta
akurat
1 dok 121.000.000 0%
Penyusunan kebijakan
akuntansi dan kapitalisasi
sesuai dengan PP 71
tahun 2010
impleme
ntasi
kebijaka
n
akuntansi
dan
kapitalisa
si sesuai
dengan
PP 71
tahun
2010
1 dok 92.000.000 0%
Update simda sesuai PP
71 tahun 2010
Meningk
anya
SDM
PNS
dalam
tentang
pengelol
aan
keuangan
daerah
1 dok 80.000.000 0%
Program Pembinaan
dan Fasilitasi
Pengelolaan Keuangan
Kabupaten/Kota
Evaluasi Rancangan
Peraturan KDH Tentang
Penjabaran APBD
Kabupaten/Kota
Terimple
mentasik
annya
Laporan
Evaluasi
Ranperd
a dan
KDH
tentang
APBD
dari
Propinsi
5
dokume
n
365.000.000
- - -
5
dokume
n
0%
28 dari 67
Evaluasi rancangan
peraturan Daerah tentang
pertanggungjawaban
pelaksanaan APBD
Terimple
mentasik
annya
Laporan
Evaluasi
Ranperd
a
pertangg
ungjawa
ban
pelaksan
aan
APBD
dari
Propinsi
5
dokume
n
363.000.000 1
dokum
en
47.730.000 1
dokume
n
47.730.000 1
doku
men
47.730.000 4
dokume
n
13%
Evaluasi rancangan Perda
dan KDH tentang
perubahan APBD
Terimple
mentasik
annya
Laporan
Evaluasi
Ranperd
a dan
KDH
tentang
perubaha
n APBD
dari
Propinsi
5
dokume
n
365.000.000 1
dokum
en
61.920.000 1
dokume
n
61.920.000 1
doku
men
61.920.000 4
dokume
n
17%
Evaluasi rancangan Perda
dan KDH tentang APBD
Tahun Anggaran 2013
Terimple
mentasik
annya
Laporan
Evaluasi
Ranperd
a dan
KDH
tentang
APBD
TA.
2013
dari
Propinsi
1
dokume
n
64.400.000 1
dokum
en
64.400.000 1
dokume
n
64.400.000 1
doku
men
64.400.000 1
dokume
n
100%
Evaluasi rancangan Perda
dan KDH tentang APBD
Tahun 2014
Terimple
mentasik
annya
Laporan
Evaluasi
Ranperd
a dan
KDH
tentang
APBD
TA.
2014
dari
Propinsi
1
dokume
n
70.000.000 0%
29 dari 67
Meningkatny
a Sumber
Daya
aparatur
dalam
pengelolaan
keuangan
Program Peningkatan
Disiplin Aparatur
Pengadaan Pakaian Dinas
Beserta Perlengkapannya
Meningk
atnya
disiplin
aparatur
4 keg 273.000.000 1
keg
38.270.000 1 keg 38.270.000 1 keg 38.270.000 3 keg 14%
Pengadaan pakaian
khusus hari- hari tertentu
Meningk
atnya
disiplin
aparatur
3 keg 355.000.000 1
keg
77.220.000 1 keg 77.220.000 1 keg 77.220.000 3 keg 22%
Program Peningkatan
Kapasitas Sumber Daya
Aparatur
Bimbingan Teknis
Implementasi Peraturan
Perundang-Undangan
Meningk
atnya
kapasitas
SDM
5 tahun 1.292.000.000 1
tah
un
220.532.200 1 tahun 220.532.200 1
tahun
220.532.200 4 tahun 17%
30 dari 67
Sosialisasi peraturan
perundang undangan
Meningk
atnya
pemaha
man
SDM
terhadap
peraturan
perundan
g
undanga
n
4 keg 855.000.000 0%
Sosialisasi pelaksanaan
PP nomor 71 tahun 2010
Meningk
atnya
pemaha
man
SDM
terhadap
peraturan
perundan
g
undanga
n
1 keg 187.000.000 0%
Sosialisasi pedoman
teknis pengelolaan barang
milik daerah
Meningk
atnya
pemaha
man
SDM
terhadap
pengelol
aan
barang
milik
daerah
1 keg 254.000.000 0%
Sosialisasi pengalihan
PBB pedesaan dan
perkotaan sebagai pajak
daerah
peningka
tan PAD
dari
sektor
PBB
pedesaan
dan
perkotaa
n
1 keg 700.000.000 0%
Tersedianya
Sarana dan
Prasarana
kantor yang
dibutuhkan
Program Pelayanan
Administrasi
Perkantoran
31 dari 67
Penyediaan Jasa
Komunikasi, Sumber
Daya Air dan Listrik
Jasa
telepon,
Sumber
Daya
Air, dan
listrik
dipergun
akan
untuk
tugas
kantor
5 tahun 251.000.000 1
tah
un
34.079.646 1 tahun 34.079.646 1
tahun
34.079.646 4 tahun 14%
Penyediaan Jasa
Pemeliharaan dan
Perizinan Kendaraan
Dinas/Operasional
Terpeliha
rannya
kebersiha
n kantor
5 tahun 59.000.000 1
tah
un
4.864.590 1 tahun 4.864.590 1
tahun
4.864.590 4 tahun 8%
Penyediaan Jasa
Kebersihan Kantor
Dana 5 tahun 546.000.000 1
tah
un
72.060.000 1 tahun 72.060.000 1
tahun
72.060.000 1 tahun 13%
Penyediaan Alat Tulis
Kantor
ATK
dimanfaa
tkan
untuk
tugas
kedinasa
n
5 tahun 984.000.000 1
tah
un
195.121.800 1 tahun 195.121.800 1
tahun
195.121.800 4 tahun 20%
Penyediaan Barang
Cetakan dan
Penggandaan
Barang
Cetakan
dan
Penggan
daan
dimanfaa
tkan
untuk
tugas
kedinasa
n
5 tahun 1.238.000.000 1
tah
un
243.040.000 1 tahun 243.040.000 1
tahun
243.040.000 4 tahun 20%
Penyediaan Komponen
Instalasi
Listrik/Penerangan
Bangunan Kantor
Listrik
berfungsi
dengan
baik
5 tahun 40.000.000 1
tah
un
1.999.000 1 tahun 1.999.000 1
tahun
1.999.000 4 tahun 5%
Penyediaan Peralatan dan
Perlengkapan Kantor
Dimanfa
atkannya
peralatan
dan
perlengk
apan
kantor
untuk
tugas
kedinasa
n
5 tahun 1.629.000.000 1
tah
un
128.100.000 1 tahun 128.100.000 1
tahun
128.100.000 4 tahun 8%
32 dari 67
Penyediaan bahan
bacaan dan peraturan
perundangan-
undangan
Dimanfa
atkannya
bahan
bacaan
dan
peraturan
perundan
g-
undanga
n untuk
tugas
kedinasa
n
3 paket 16.000.000 0%
Penyediaan Makanan dan
Minuman
Terpenuh
inya
kebutuha
n
konsumsi
untuk
urusan
kedinasa
n
5 tahun 1.473.000.000 1
tah
un
214.853.000 1 tahun 214.853.000 1
tahun
214.853.000 4 tahun 15%
Rapat-Rapat Koordinasi
dan Konsultasi Ke Luar
Daerah
terlaksan
anya
kegiatan
pemda
dalam
menyam
akan
persepsi
dengan
pemda
lainnya(P
ropinsi&
pusat)
5 tahun 3.327.000.000 82
kali
623.669.200 82 kali 623.669.200 82
kali
623.669.200 19%
Penyediaan Jasa
Keamanan Kantor
Terpeliha
rannya
keamana
n kantor
5 tahun 550.000.000 1
tah
un
82.200.000 1 tahun 82.200.000 1
tahun
82.200.000 4 tahun 15%
Penyediaan Jasa
Administrasi Perkantoran
terselesai
kannya
tugas-
tugas
dinas
PPKAD
5 tahun 2.941.000.000 56
kali
501.132.000 56 kali 501.132.000 56
kali
501.132.000 17%
Program Peningkatan
Sarana dan Prasarana
Aparatur
33 dari 67
Pengadaan keneraan dinas
operasional
Terpenuh
inya
kebutuha
n
kenderaa
n dinas
untuk
urusan
kedinasa
n
20 unit 332.000.000
Pengadaan perelengkapan
gedung kantor
Tersedia
nya
pereleng
kapan
gedung
kantor
1 paket 224.000.000 0%
Pemeliharaan rutin /
berkala gedung kantor
Terciptan
ya
keutuhan
gedung
kantor
1 tahun 30.000.000 0%
Pemeliharaan
Rutin/Berkala Kendaraan
Dinas/Operasional
Tersedia
nya
kendaraa
n yang
baik
5 tahun 655.000.000 1
tah
un
97.194.250 1 tahun 97.194.250 1
tahun
97.194.250 4 tahun 15%
Pemeliharaan
Rutin/Berkala Peralatan
Gedung Kantor
Terlaksa
nanya
perbaika
n pelatan
gedung
kantor
5 tahun 216.000.000 1
tah
un
49.039.000 1 tahun 49.039.000 1
tahun
49.039.000 4 tahun 23%
Predikat Kinerja
Faktor pendorong keberhasilan kinerja : Koordinasi antar bidang lebih aktif
Faktor pengambat pencapaian kinerja : Keterlambatan dalam penetapan Perda APBD
Tindaklanjut yang diperlukan dalam triwulan berikutnya : Memaksimalkan peneyarapan Anggaran yang telah ditetapkan
Tindaklanjut yang diperlukan dalam RKPD berikutnya : Penetapan Perda APBD tepat waktu
Rata-rata capaian kinerja (%)
34 dari 67
Sasaran Pembangunan Tahunan Kota Padangsidimpuan
Inspektorat
4 5
K Rp. K Rp. K Rp. K Rp. K Rp. K Rp. K Rp. K Rp. K Rp. K Rp.
1. Terwujudnya
kelembagaan dan
ketatalaksanaan
pemerintah
daerah yang
berkualitas, sehat
dan berwibawa
1 URUSAN WAJIB
- -
06 BIDANG PEMERINTAHAN UMUM
20 Program
peningkatan
Sistem
Pengawasan
Internal dan
Pengendalian
Pelaksanaan
Kebijakan KDH
menurunnya
jumlah kasus
penyalahgunaan
wewenang dan
kasus KKN serta
peningkatan
terhadap
pelayanan
pengaduan
masyarakat
34
SKPD
663.237.300
- -
34
SKPD
453.000.000 34
SKPD
0 34
SKPD
57.730.000 34
SKPD
196.828.800
-
189.079.700 34
SKPD
443.638.500 34 SKPD 443.638.500 34 SKPD 67% Inspektorat
Daerah Kota
Padangsidim
puan
1 Pelaksanaan
Pengawasan
Internal secara
berkala
Dilaksanakannya
pengawasan
internal secara
berkala
34
SKPD
226.935.500
- -
34
SKPD
155.000.000 34
SKPD
34
SKPD
22.720.000 34
SKPD
69.100.000
-
61.020.000 34
SKPD
152.840.000 34 SKPD 152.840.000 34 SKPD 67% Inspektorat
Daerah Kota
Padangsidim
puan
14=7+13 15=14/6*100%8 9 10 11 12 13
I II III IV
SKPD
Penanggun
g Jawab
1 2 3
6 7
Formulir VII F. 8
Evaluasi Terhadap Hasil RKPD
Kota Padangsidimpuan
Tahun 2013
No Sasaran Kode
Urusan/Bidang
Urusan
Pemerintahan
Daerah dan
Program/Kegiat
an
Indikator
Kinerja Program
(Outcome)/Kegi
atan (Output)
Target RPJMD Kota
pada Tahun 2017
(Akhir Periode
RPJMD)
Realisasi Capaian
Kinerja RPJMD Kota
sampai dengan RKPD
Kota Tahun Lalu (n-2)
Target Kinerja dan
Anggaran RKPD Kota
Tahun Berjalan
(Tahun n-1) yang
Dievaluasi
Realisasi Kinerja Pada Triwulan
Realisasi Capaian
Kinerja dan Anggaran
RKPD Kota yang
dievaluasi
Realisasi Kinerja dan
Anggaran RPJMD Kota
s/d Tahun 2013(Akhir
Tahun Pelaksanaan
RKPD Tahun 2013)
Tingkat Capaian
Kinerja dan
Realisasi
Anggaran RPJMD
Kota s/d Tahun
2017 (%)
35dari 67
1 2 4 5
2 Penanganan kasus
pengaduan di
lingkungan
Pemerintah
Daerah
Pemeriksaan
kasus-kasus dan
serah terima
jabatan
1
Tahun
51.243.500
- -
1
Tahun
40.000.000 1
Tahun
1
Tahun
4.900.000 1
Tahun
25.000.000
-
9.700.000 1
Tahun
39.600.000 1 Tahun 39.600.000 1 Tahun 77% Inspektorat
Daerah Kota
Padangsidim
puan
3 Pengendalian
Manajemen
Pelaksanaan
Kebijakan KDH
terlaksananya
reviu keuangan
1 kali 4.392.300
- -
1 kali 3.000.000 1 kali 1 kali 3.000.000
- - - -
1 kali 3.000.000 3.000.000 1 kali 68% Inspektorat
Daerah Kota
Padangsidim
puan
4 Tindak lanjut hasil
temuan
pengawasan
Melakukan
monitoring tindak
lanjut hasil
pemeriksaan
34
SKPD
87.846.000
- -
34
SKPD
60.000.000 34
SKPD
34
SKPD
14.400.000 34
SKPD
16.550.000
-
19.340.000 34
SKPD
50.290.000 34 SKPD 50.290.000 34 SKPD 57% Inspektorat
Daerah Kota
Padangsidim
puan
5 Koordinasi
pengawasan yang
lebih
komprehensif
terlaksananya
koordinasi/rakorw
asnas
1
tahun
292.820.000
- -
1
tahun
200.000.000
- -
1
tahun
12.710.000 1
tahun
86.178.800
-
99.019.700 1
tahun
197.908.500 1 tahun 197.908.500 1 tahun 68% Inspektorat
Daerah Kota
Padangsidim
puan
21 Program
Peningkatan
Profesionalisme
Tenaga Pemeriksa
dan Aparatur
Pengawasan
meningkatnya
profesionalisme
dan kompetensi
aparat pengawas
melalui diklat dan
sertifikasi
27
0rang
462.783.376
- -
27
0rang
316.087.500 27
0rang
0 27
0rang
81.680.000 27
0rang
167.601.400 27
0rang
61.643.600 27
0rang
310.925.000 27
0rang
310.925.000 33 0rang 67% Inspektorat
Daerah Kota
Padangsidim
puan
1 Pelatihan
Pengembangan
tenaga pemeriksa
dan aparatur
pengawasan
terlaksananya PKS
(Pelatihan
Kalangan Sendiri)
teknis
pemeriksaan dan
pelaporan
27
0rang
169.963.376
- -
27
0rang
116.087.500
- -
27
0rang
27
0rang
110.936.400 27
0rang
0 27
0rang
110.936.400 27
0rang
110.936.400 33 0rang 65% Inspektorat
Daerah Kota
Padangsidim
puan
13 14 153 6 7 8 9 10 11 12
36dari 67
1 2 4 5
2 Pelatihan Teknis
Pengawasan dan
penilaian
Akuntabilitas
Kinerja
terkirimnya
pegawai melalui
diklat dan
sertifikasi
27
0rang
292.820.000
- -
27
0rang
200.000.000 27
0rang
27
0rang
81.680.000 27
0rang
56.665.000
-
61.643.600 27
0rang
199.988.600 27
0rang
199.988.600 33 0rang 68% Inspektorat
Daerah Kota
Padangsidim
puan
0% 18% 47% 33% 98%
Faktor pendorong kebehasilan kinerja :
Faktor penghambat pencapaian kinerja :
Tindaklanjut yang diperlukan dalam triwulan berikutnya :
Tindaklanjut yang diperlukan dalam RKPD berikutnya :
12 13 14 15
Rata - rata capaian kinerja (%)
Predikat Kinerja
Peraturan perundang-undangan,adanya SDM,tersedianya PKPT
Kuantitas/kualitas SDM masih rendah,sarana prasarana masih kurang,dana yang masih rendah
Komitmen seluruh pegawai Inspektorat untuk meningkatkan kinerja, dimanfaatkannya sarana prasarana yang ada untuk mewujudkan pengawasan yang lebih baik
Memanfaatkan berbagai diklat untuk meningkatkan kualitas SDM, mengupayakan sarana prasarana yang lebih baik untuk mendukung kelancaran tugas
3 6 7 8 9 10 11
37dari 67
Sasaran Pembangunan Tahunan Kota Padangsidimpuan
Badan Kepegawaian Daerah
1 2 4 5
K Rp. K Rp. K Rp. K Rp. K Rp. K Rp. K Rp. K Rp. K Rp. K Rp.
1 20 Kepegawaian
1 20 07 01
Pelayanan Adm.
Perkantoran
100 3.909.000.000 0,0 100 767.032.500 15,6 119.816.672 27,7 212.764.950 6,2 47.702.776 41,6 319.390.572 91,2 699.674.970 91,2 699.674.970 0,9 0,2
1
Terjangkaunya
pelayanan
administrasi
kepegawaian
terhadap seluruh
instansi
1 20 07 01 02
Penyediaan Jasa
Komunikasi
Sumber Daya Air
dan Listrik
Tersedianya jasa
komunikasi
sumber daya air
dan listrik
100 368.000.000 0,0 100 72.192.000 21,2 15.270.672 19,4 13.988.700 3,0 2.192.776 23,9 17.230.328 67,4 48.682.476 67,4 48.682.476 0,7 0,1 BKD
2 1 20 07 01 06
Penyediaan Jasa
Pemeliharaan dan
Perizinan
Kenderaan Dinas
dan Operasional
Tersedianya
pemeliharaan
dan perizinan
kenderaan dinas
operasional
100 209.000.000 0,0 100 40.100.000 0,0 0 24,5 9.833.150 4,5 1.800.000 58,2 23.333.294 87,2 34.966.444 87,2 34.966.444 0,9 0,2 BKD
3 1 20 07 01 08
Penyediaan Jasa
Kebersihan Kantor
Tersedianya jasa
kebersihan
kantor
100 60.000.000 0,0 100 10.800.000 31,5 3.400.000 23,6 2.550.000 14,8 1.600.000 24,5 2.650.000 94,4 10.200.000 94,4 10.200.000 0,9 0,2 BKD
4 1 20 07 01 10
Penyediaan Alat
tulis Kantor
Tersedisnya alat
tulis kantor
100 247.000.000 0,0 100 47.896.750 0,0 0 45,6 21.863.200 0,0 0 54,0 25.887.550 99,7 47.750.750 99,7 47.750.750 1,0 0,2 BKD
5 1 20 07 01 11
Penyediaan
Barang Cetakan
dan Penggandaan
Terdedianya
barang cetakan
dan
penggandaan
100 185.000.000 0,0 100 34.773.750 0,0 0 45,8 15.921.900 0,0 0 53,7 18.660.600 99,5 34.582.500 99,5 34.582.500 1,0 0,2 BKD
6 1 20 07 01 17
Penyediaan
makanan dan
Minuman
Tersedianya
pembayaran
makanan dan
minuman
100 445.000.000 0,0 100 87.120.000 17,8 15.510.000 20,6 17.940.000 0,0 0 35,8 31.170.000 74,2 64.620.000 74,2 64.620.000 0,7 0,1 BKD
7 1 20 07 01 18
Rapat-rapat
Koordinasi dan
Konsultasi ke Luar
Daerah
Terlaksana
rapat-rapat
kordinasi dan
konsultasi
100 1.968.000.000 0,0 100 389.900.000 19,6 76.540.000 23,6 92.082.000 9,0 35.042.000 9,4 36.716.100 61,7 240.380.100 61,7 240.380.100 0,6 0,1 BKD
8 1 20 07 01 20
Penyediaan Jasa
Administrasi
Perkantoran
Tersedianya jasa
administrasi
perkantoran
100 427.000.000 0,0 100 84.250.000 10,8 9.096.000 45,8 38.586.000 8,4 7.068.000 33,8 28.468.000 98,8 83.218.000 98,8 83.218.000 1,0 0,2 BKD
Tercipyanya
kualitas
pekerjaan
1 20 07 02
Peningkatan
Sarana dan
Prasarana
Aparatur
100 202.302.500 0,0 100 190.966.800 0,5 1.010.000 20,0 38.154.000 0,0 0 70,8 135.274.700 91,3 174.438.700 91,3 174.438.700 0,9 0,9
1 20 07 02 10
Pengadaan
Mebeleur
Mebeleur
tersedia
100 109.302.500 0,0 100 172.881.100 0,0 0 20,2 34.900.000 0,0 0 75,1 129.883.000 95,3 164.783.000 95,3 164.783.000 1,0 1,5
1 20 07 02 22
Pemeliharaan
rutin/Berkala
Perlengkapan
Gedung Kantor
Adanya
pemeliharaan
rutin / berkala
perlengkapan
gedung kantor
100 44.000.000 0,0 100 8.285.700 0,0 0 15,6 1.289.000 0,0 0 60,8 5.041.700 76,4 6.330.700 76,4 6.330.700 0,8 0,1 BKD
7 8 103 6 9 15 = 14/6 * 100 %
SKPD
Penanggu
ng JawabI II III IV
Realisasi Kinerja Pada Triwulan
13 14 = 7 + 1311 12
Formulir VII.F.8
Evaluasi Terhadap Hasil RKPD
Kota Padangsidimpuan
Tahun 2013
Realisasi Capaian
Kinerja dan Anggaran
RKPD Kabupaten /
Kota yang dievaluasi
Realisasi Kinerja dan
Anggaran RPJMD
Kabupaten / Kota s/d
Tahun ….. (Akhir
Tahun Pelaksanaan
RKPD Tahun 2017 )
Tingkat
Capaian
Kinerja dan
Realisasi
Anggaran
RPJMD
Kabupaten /
Kota s/d
Tahun 2017
(%)
No
.
Sasaran Kode
Urusan /
Bidang Urusan
Pemerintahan
Daerah dan
Program /
Kegiatan
Indikator
Kinerja
Program
(Outcome)/
Kegiatan
(Output)
Target RPJMD
Kabupaten / Kota
pada Tahun 2017
(Akhir Periode
RPJMD)
Realisasi
Capaian Kinerja
RPJMD
Kabupaten /
Kota sampai
dengan RKPD
Kabupaten /
Kota Tahun Lalu
(n-2)
Target Kinerja dan
Anggaran RKPD
Kabupaten / Kota
Tahun Berjalan
(Tahun n-1) yang
Dievaluasi
38 dari 67
1 20 07 02 28
Pemeliharaan
rutin/Berkala
Peralatan Gedung
Kantor
Adanya
pemeliharaan
rutin / berkala
peralatan
gedung kantor
100 49.000.000 0,0 100 9.800.000 10,3 1.010.000 20,1 1.965.000 0,0 0 3,6 350.000 33,9 3.325.000 33,9 3.325.000 0,3 0,1 BKD
Meningkatnya
disiplin dan
motivasi kerja
aparatur
1 20 07 03
Peningkatan
Disiplin Aparatur
100 350.000.000 0,0 100 110.559.000 0,0 0 0,0 0 0,0 0 91,6 101.280.000 91,6 101.280.000 91,6 101.280.000 0,9 0,3
1 20 07 03 02
Pengadaan
Pakaian Dinas
beserta
perlengkapannya
Tersedianya
pakaian dinas
beserta
perlengkapanny
a
100 110.000.000 0,0 100 20.295.000 0,0 0 0,0 0 0,0 0 91,1 18.480.000 91,1 18.480.000 91,1 18.480.000 0,9 0,2 BKD
6 1 20 07 01 13
Penyediaan
peralatan dan
perlengkapan
kantor
Tersedianya
peralatan dan
perlengkapan
kantor
100 240.000.000 0,0 100 90.264.000 0,0 0 0,0 0 0,0 0 91,7 82.800.000 91,7 82.800.000 91,7 82.800.000 0,9 0,3 BKD
Meningkatnya
kualitas kerja
aparatur pada
pemko
padangsidimpua
n
1 20 07 05
Peningkatan
Kapasitas Sumber
Daya Aparatur
100 2.220.000.000 0,0 100 370.000.000 0,0 30,3 112.000.000 0,0 0 24,0 88.815.400 54,3 200.815.400 54,3 200.815.400 0,5 0,1 BKD
14 1 20 07 05 01
Pendidikan dan
Pelatihan Formal
Peningkatan
SDM Aparatur
100 2.220.000.000 0,0 100 370.000.000 0,0 0 30,3 112.000.000 0,0 - 24,0 88.815.400 54,3 200.815.400 54,3 200.815.400 0,5 0,1 BKD
Meningkatnya
kualitas kerja
aparatur pada
pemko
padangsidimpua
n
1 20 07 29
Peningkatan
Kapasitas Sumber
Daya Aparatur
100 545.000.000 0,0 100 34.000.000 0,0 0 0,0 0 47,1 16.000.000 0,0 0 47,1 16.000.000 47,1 16.000.000 0,5 0,0
15 1 20 07 29 01
Pendidikan dan
Pelatihan
Prajabatan bagi
CPNSD
Terlaksananya
pendidikan dan
pelatihan
prajabatan bagi
CPNSD
100 545.000.000 0,0 100 34.000.000 0,0 0 0,0 0 47,1 16.000.000 0,0 - 47,1 16.000.000 47,1 16.000.000 0,5 0,0 BKD
Terwujudnya
formasi yang
sesuai dengan
kebutuhan
1 20 07 30
Pembinaan dan
Pengembangan
Aparatur
100 1.315.016.000 0,0 100 544.287.000 12,7 69.270.000 8,4 45.569.000 10,9 59.142.000 40,1 218.497.026 72,1 392.478.026 72,1 392.478.026 0,7 0,3
16 1 20 07 30 01
Penyusunan
Rencana
Pembinaan Karir
PNS
Terlaksananya
Baperjakat
100 342.000.000 0,0 100 68.400.000 2,5 1.700.000 0,0 0 0,0 0 20,7 14.150.000 23,2 15.850.000 23,2 15.850.000 0,2 0,0 BKD
17 1 20 07 30 09
Proses
Penanganan Kasus-
kasus Pelanggaran
Disiplin PNS
Kasus
pelanggaran
disiplin dapat
diselesaikan
100 237.000.000 0,0 100 47.100.000 15,3 7.200.000 45,9 21.600.000 0,0 0 30,6 14.400.000 91,7 43.200.000 91,7 43.200.000 0,9 0,2 BKD
18 1 20 07 30 20
Penyusunan
Daftar Urut
Kepengkatan(DUK)
DUK tersedia 100 43.000.000 0,0 100 8.500.000 0,0 0 0,0 0 0,0 0 99,8 8.480.000 100 8.480.000 100 8.480.000 1,0 0,2 BKD
19 1 20 07 30 22
Pelaksanaan
Monitoring/Operas
i Sayang PNS
Meningkatnya
disiplin PN S
100 179.000.000 0,0 100 19.200.000 0,0 0 0,0 0 0,0 0 92,1 17.687.500 92 17.687.500 92 17.687.500 0,9 0,1 BKD
20 1 20 07 30 23
Pemutakhiran/Per
emajaan Data
Base Kepegawaian
Tersedia data
base yang
mutakhir
100 45.000.000 0,0 100 8.800.000 0,0 0 0,0 0 0,0 0 99,8 8.781.250 100 8.781.250 100 8.781.250 1,0 0,2 BKD
21 1 20 07 30 28
Pengusulan dan
Penyelesaian
Kenaikan Pangkat
PNS
Terbitnya
pangkat PNS
100 95.000.000 0,0 100 18.900.000 0,0 0 50,0 9.450.000 0,0 0 47,6 9.000.000 97,6 18.450.000 97,6 18.450.000 1,0 0,2 BKD
22 1 20 7 30 32
Pengangkatan
CPNS dari Tenaga
Honorer Kategori I
Tenaga Honorer
K I menjadi
CPNS
100 47.000.000 0,0 100 46.660.000 99,0 46.210.000 0,0 0 0,0 0 0,0 99,0 46.210.000 99,0 46.210.000 1,0 0,0 BKD
39 dari 67
23 1 20 7 30 33
Pengangkatan
CPNS dari Tenaga
Honorer Kategori II
Terlaksananya
Seleksi dan
Terangkatnya
Honorer
Kategori II
100 238.000.000 0,0 100 237.711.000 6,0 14.160.000 6,1 14.519.000 0,0 0 58,0 137.913.276 70,1 166.592.276 70,1 166.592.276 0,7 0,0 BKD
24 1 20 07 30 37
Sosialisasi Kartu
Pegawai Elektronik
(KPE)
Sosialisasi
terlaksana dan
PNS mengerti
manfaat KPE
100 89.016.000 0,0 100 89.016.000 0,0 0 0,0 0 66,4 59.142.000 9,1 8.085.000 75,5 67.227.000 75,5 67.227.000 0,8 0,0 BKD
Faktor pendorong keberhasilan kinerja : Sumber Daya Manusia Aparatur
Faktor penghambat pencapaian kinerja :
Tindaklanjut yang diperlukan dalam triwulan berikutnya : percepatan realisasi anggaran
Tindaklanjut yang diperlukan dalam RKPD berikutnya : Program dan Kegiatan yang berkesinambungan
Rata - rata capaian kinerja (%)
Predikat Kinerja
40 dari 67
Sasaran Pembangunan Tahunan Kota :
K Rp. K Rp. K Rp. K Rp. K Rp. K Rp. K Rp. K Rp. K Rp. K Rp.
Urusan Wajib Kesatuan
Bangsa dan Politik Dalam
Negeri
SATUAN POLISI PAMONG
PRAJA
1.19.02.01
1.19.02.01.02
Penyediaan jasa komunikasi,
sumber daya air dan listrik
Outcome : Terpenuhinya
kelancaran rekening
Outputs: Terlaksananya
pembayaran rekening
1.Thn 2013= 12 Bln
2.Thn 2014= 12 Bln
3.Thn 2015= 12 Bln
4.Thn 2016= 12 Bln
5.Thn 2017= 12 Bln
1.Thn 2013= 12.600.000 2.Thn
2014= 13.104.000 3.Thn 2015=
13.608.000 4.Thn 2016=
14.112.000 5.Thn 2017=
14.490.000 Jumlah Rp.
67.914.000,-
- - 12 bulan 13.800.000 3 Bln 2.902.540 3 Bln 3.188.684 3 Bln 1.590.182 3 Bln 5.262.664 12 Bln 12.944.070 12 Bln 12.944.070 20% 19% Satpol-PP
1.19.02.01.04
Penyediaan jasa jaminan
pemeliharaan kesehatan PNS
Outcome : Terpenuhinya
kesehatan PNS
Outputs: Tersedianya
jaminan pemeliharaan
kesehatan PNS
1.Thn 2013= 12 Bln
2.Thn 2014= 12 Bln
3.Thn 2015= 12 Bln
4.Thn 2016= 12 Bln
5.Thn 2017= 12 Bln
1.Thn 2013= 17.340.000 2.Thn
2014= 18.033.600 3.Thn 2015=
18.727.200 4.Thn 2016=
19.420.800 5.Thn 2017=
19.941.000 Jumlah Rp.
93.462.600,-
- -
(1 Tahun)
102 Orang
17.340.000 - - - -
(1 Tahun) 102
Orang
17.340.000 - - - 17.340.000
(1 Tahun) 102
Orang
17.340.000 20% 26% Satpol-PP
1.19.02.01.05
Penyediaan jasa jaminan
barang milik daerah
Outcome : Terpenuhinya
kelancaran tugas Outputs:
Terlaksananya
pembayaran izin senjata
api dan izin mutasi
1.Thn 2013= 12 Bln
2.Thn 2014= 12 Bln
3.Thn 2015= 12 Bln
4.Thn 2016= 12 Bln
5.Thn 2017= 12 Bln
1.Thn 2013= 38.000.000 2.Thn
2014= 39.520.000 3.Thn 2015=
41.040.000 4.Thn 2016=
42.560.000 5.Thn 2017=
43.700.000 Jumlah Rp.
204.820.000,-
- -
(1 Tahun)
11 pucuk
38.000.000 - - - - - -
(1 Tahun) 7
Pucuk
30.000.000
(1 Tahun) 7
Pucuk
30.000.000
(1 Tahun) 7
Pucuk
30.000.000
20 %
12,72 %
14,65 % Satpol-PP
1.19.02.01.08
Penyediaan jasa kebersihan
kantor
Outcome : Tersedianya
petugas kebersihan
Outputs: Terlaksanya
kebersihan kantor
1.Thn 2013= 12 Bln
2.Thn 2014= 12 Bln
3.Thn 2015= 12 Bln
4.Thn 2016= 12 Bln
5.Thn 2017= 12 Bln
1.Thn 2013= 25.536.000 2.Thn
2014= 26.557.440 3.Thn 2015=
27.578.880 4.Thn 2016=
28.600.320 5.Thn 2017=
29.366.400 Jumlah Rp.
137.639.040
- -
(12 Bln)
2 Orang
25.536.000
(3 Bln)
2 Orang
-
(3 Bln)
2 Orang
10.955.000
(3 Bln)
2 Orang
6.980.000
(3 Bln)
2 Orang
7.601.000
(12 Bln)
2 Orang
25.536.000
(12 Bln)
2 Orang
25.536.000 20% 18,55% Satpol-PP
1.19.02.01.10
Penyediaan alat tulis kantor Outcome : Bertambahnya
persediaan alat tulis
kantor Outputs:
Tersedianya alat tulis
kantor
1.Thn 2013= 12 Bln
2.Thn 2014= 12 Bln
3.Thn 2015= 12 Bln
4.Thn 2016= 12 Bln
5.Thn 2017= 12 Bln
1.Thn 2013= 30.025.000 2.Thn
2014= 31.226.000 3.Thn 2015=
32.427.000 4.Thn 2016=
33.628.000 5.Thn 2017=
34.528.750 Jumlah Rp.
161.834.750
- - 12 Bln 30.025.000 3 Bln 11.168.450 3 Bln 6.146.900 3 Bln 6.567.200 3 Bln 6.140.600 12 Bln 30.023.150 12 Bln 30.023.150 20% 18,55% Satpol-PP
1.19.02.01.11
Penyediaan barang cetakan
dan penggandaan
Outcome : Terpenuhinya
barang cetakan Outputs:
Tersedianya barang
cetakan
1.Thn 2013= 12 Bln
2.Thn 2014= 12 Bln
3.Thn 2015= 12 Bln
4.Thn 2016= 12 Bln
5.Thn 2017= 12 Bln
1.Thn 2013= 20.783.000 2.Thn
2014= 21.614.000 3.Thn 2015=
22.445.000 4.Thn 2016=
23.276.000 5.Thn 2017=
23.900.450
- - 12 Bln 20.783.000 3 Bln 5.180.200 3 Bln 4.723.800 3 Bln 4.584.450 3 Bln 6.294.300 12 Bln 20.782.750 12 Bln 20.782.750 20% 41% Satpol-PP
1.19.02.01.12
Penyediaan Komponen
Instalasi Listrik/Penerangan
Bangunan Kantor
outcome : terpenuhinya
komponen instalasi
listrik/penerangan
bangunan kantor outputs
: tersedianya komponen
listrik/penerangan
bangunan kantor
1.Thn 2013= 12 Bln
2.Thn 2014= 12 Bln
3.Thn 2015= 12 Bln
4.Thn 2016= 12 Bln
5.Thn 2017= 12 Bln
1.Thn 2013= 3.000.000 2.Thn
2014= 3.120.000 3.Thn 2015=
3.240.000 4.Thn 2016=
3.360.000 5.Thn 2017=
3.450.000 Jumlah Rp.
16.170.000
- - 12 Bln 3.000.000 3 Bln 750.000 3 Bln 750.000 3 Bln 265.000 3 Bln 1.233.000 12 Bln 2.998.000 12 Bln 2.998.000 20% 18,54% Satpol-PP
1.19.02.01.15
Penyediaan bahan bacaan
dan peraturan perundang-
undangan
Outcome : Bertambahnya
bahan bacaan Outputs:
Tersedianya bahan
bacaan
1.Thn 2013= 12 Bln
2.Thn 2014= 12 Bln
3.Thn 2015= 12 Bln
4.Thn 2016= 12 Bln
5.Thn 2017= 12 Bln
1.Thn 2013= 12.000.000 2.Thn
2014= 12.480.000 3.Thn 2015=
12.960.000 4.Thn 2016=
13.440.000 5.Thn 2017=
13.800.000 Jumlah Rp.
63.680.000
- - 12 bulan 14.400.000 3 Bln - 3 Bln 5.429.000 3 Bln 465.000 3 Bln 7.735.000 12 Bln 13.629.000 12 Bln 13.629.000 20% 21,40% Satpol-PP
EVALUSI TERHADAP HASIL RKPD
TAHUN 2013
KANTOR SATPOL PP KOTA PADANGSIDIMPUAN
15=14/6*100%
16
Program Pelayanan Administrasi Perkantoran
9 10 11 12 13 14= 7+138
Tingkat Capaian Kinerja dan
Realisasi Anggaran RPJMD
Kabupaten/Kota s/d Tahun
3 4 5
6 7
FORMULIR VIII. F.8
Kantor Satpol PP
Target Kinerja dan Anggaran
RKPD Kabupaten/Kota Tahun
Berjalan (Tahun n-1) yang
Kode
Urusan / Bidang Urusan
Pemerintahan Daerah dan
Program/Kegiatan
Indikator Kinerja Program
(Outcome) Kegiatan
(Output)
Target RPJMD Kabupaten/Kota pada Tahun2013- 2017
(Akhir Periode RPJMD)
Realisasi Capaian
Kinerja RPJMD
Kabupaten/Kota I II III IV
Realisasi Kinerja Pada Triwulan Realisasi Capaian Kineja dan
Anggaran RKPD Kabupaten/Kota
yang dievaluasi
Realisasi Kinerja dan Anggaran
RPJMD Kabupaten/Kota s/d Tahun
2013 (Akhir Tahun Pelaksanaan
SKPD
Penanggung
Jawab
41 dari 67
1.19.02.01.17
Penyediaan makanan dan
minuman
Outcome : Terpenuhinya
makan-minum pegawai,
anggota dan tamu
Outputs: Terlaksananya
makan-minum pegawai,
anggota dan tamu
1.Thn 2013= 12 Bln
2.Thn 2014= 12 Bln
3.Thn 2015= 12 Bln
4.Thn 2016= 12 Bln
5.Thn 2017= 12 Bln
1.Thn 2013= 322.580.000
2.Thn 2014= 335.483.200
3.Thn 2015= 348.386.400
4.Thn 2016= 361.289.600
5.Thn 2017= 370.967.000
Jumlah Rp. 1.738.706.200
- -
(12 bulan)
91 orang
363.940.000 3 Bln - 3 Bln 100.451.500 3 Bln 72.706.500 3 Bln 159.026.500 12 Bln 332.184.500 12 Bln 332.184.500 20% 19,10% Satpol-PP
1.19.02.01.18
Rapat-rapat koordinasi dan
konsultasi ke luar daerah
Outcome : Terpenuhinya
pegawai yang melakukan
perjalanan dinas Outputs:
Terlaksananya perjalanan
dinas
1.Thn 2013= 12 Bln
2.Thn 2014= 12 Bln
3.Thn 2015= 12 Bln
4.Thn 2016= 12 Bln
5.Thn 2017= 12 Bln
1.Thn 2013= 436.250.000
2.Thn 2014= 453.700.000
3.Thn 2015= 471.150.000
4.Thn 2016= 488.600.000
5.Thn 2017= 501.687.500
Jumlah Rp. 2.351.387.500
- -
(12 bln) 468
OH
306.310.000 3 Bln - 3 Bln 166.134.000 3 Bln 17.980.000 3 Bln 305.302.000 12 Bln 489.416.000 12 Bln 489.416.000 20% 12,98% Satpol-PP
1.19.02.01.19
Penyediaan jasa Keamanan
Kantor
Outcome : Terpenuhinya
keamanan kantor
Outputs: Tersedianya jasa
petugas keamanan kantor
1.Thn 2013= 12 Bln
2.Thn 2014= 12 Bln
3.Thn 2015= 12 Bln
4.Thn 2016= 12 Bln
5.Thn 2017= 12 Bln
1.Thn 2013= 352.400.000
2.Thn 2014= 366.496.000
3.Thn 2015= 380.529.000
4.Thn 2016= 394.688.000
5.Thn 2017= 405.260.000
Jumlah Rp. 1.899.373.000
- -
(12 bulan)
45 orang
455.400.000 3 Bln - 3 Bln 142.200.000 3 Bln 93.500.000 3 Bln 218.950.000 12 Bln 454.650.000 12 Bln 454.650.000 20% 23,93% Satpol-PP
1.19.02.01.21
Penyediaan jasa administrasi
perkantoran
Outcome : Terpenuhinya
kesejahteraan
honorarium Outputs:
Terlaksananya jasa
administrasi
1.Thn 2013= 12 Bln
2.Thn 2014= 12 Bln
3.Thn 2015= 12 Bln
4.Thn 2016= 12 Bln
5.Thn 2017= 12 Bln
1.Thn 2013=129.200.000
2.Thn 2014= 134.368.000
3.Thn 2015= 139.536.000
4.Thn 2016= 144.704.000
5.Thn 2017= 148.580.000
Jumlah Rp. 696.388.000
- -
(12 bulan)
13 orang
116.600.000 3 Bln - 3 Bln 54.850.000 3 Bln 28.750.000 3 Bln 51.350.000 12 Bln 65.250.000 12 Bln 65.250.000 20% 16,74% Satpol-PP
1.19.02.02
1.19.02.02.02 Pembangunan Gedung Kantor
Outcome : Terpenuhinya
area parkir pegawai
Outputs: Tersedianya
area parkir
- - - 1 kali 87.600.000 - - - - - - - - 1 kali 87.550.000 1 kali 87.550.000 100% 99,94% -
1.19.02.02.05
Pengadaan Kendaraan dinas
roda dua
- - - - - - - - - - - - - - - - - - - - - -
1.19.02.02.07
Pengadaan Perlengkapan
Gedung Kantor
Outcome : Bertambahnya
inventaris kantor Outputs:
Tersedianya
perlengkapan gedung
kantor
- - - - - - - - - - - - - - - - - - - - -
1.19.02.02.09
Pengadaan Peralatan Gedung
Kantor
Outcome : Bertambahnya
inventaris kantor Outputs:
Tersedianya peralatan
gedung kantor
1.Thn 2013= 12 Bln
2.Thn 2014= 12 Bln
3.Thn 2015= 12 Bln
4.Thn 2016= 12 Bln
5.Thn 2017= 12 Bln
1.Thn 2013= 353.200.000
2.Thn 2014= 367.328.000
3.Thn 2015= 381.456.000
4.Thn 2016= 395.584.000
5.Thn 2017= 406.180.000
Juamlah Rp. 1.903.784.000
- - 12 bulan 356.200.000 3 Bln - 3 Bln 343.860.000 3 Bln - 3 Bln 9.000.000 12 Bln 352.860.000 12 Bln 352.860.000 20% 18,54% Satpol-PP
1.19.02.02.22
Pemeliharaan rutin/berkala
gedung kantor
Outcome : Terlaksananya
pemeliharaan gedung dan
kantor Outputs:
Terciptanya keutuhan
gedung kantor
1.Thn 2013= 12 Bln
2.Thn 2014= 12 Bln
3.Thn 2015= 12 Bln
4.Thn 2016= 12 Bln
5.Thn 2017= 12 Bln
1.Thn 2013= 11.846.000 2.Thn
2014= 12.319.840 3.Thn 2015=
12.793.680 4.Thn 2016=
13.267.520 5.Thn 2017=
13.622.900 Jumlah Rp.
63.849.940
- - 12 bulan 11.846.000 3 Bln - 3 Bln 11.846.000 3 Bln - 3 Bln - 12 Bln 11.846.000 12 Bln 11.846.000 20% 18,56% Satpol-PP
1.19.02.02.24
Pemeliharaan rutin/berkala
kendaraan dinas/operasional
Outcome : Terlaksananya
perbaikan kenderaan
Outputs: Tersedianya
kenderaan yang baik
1.Thn 2013= 12 Bln
2.Thn 2014= 12 Bln
3.Thn 2015= 12 Bln
4.Thn 2016= 12 Bln
5.Thn 2017= 12 Bln
1.Thn 2013= 263.158.500
2.Thn 2014= 273.684.840
3.Thn 2015= 284.211.180
4.Thn 2016= 294.737.520
5.Thn 2017= 302.632.275
- - 12 bulan 263.158.500 3 Bln - 3 Bln 188.965.329 3 Bln 36.379.500 3 Bln 58.259.500 12 Bln 283.604.329 12 Bln 283.604.329 20% 20% Satpol-PP
1.19.02.02.28
Pemeliharaan rutin/berkala
peralatan gedung kantor
Outcome : Terciptanya
keutuhan peralatan
gedung kantor
Outputs: Terlaksananya
pemeliharaan gedung dan
kantor
1.Thn 2013= 12 Bln
2.Thn 2014= 12 Bln
3.Thn 2015= 12 Bln
4.Thn 2016= 12 Bln
5.Thn 2017= 12 Bln
1.Thn 2013= 4.000.000 2.Thn
2014= 4.160.000 3.Thn 2015=
4.320.000 4.Thn 2016=
4.480.000 5.Thn 2017=
4.600.000 Jumlah Rp.
21.650.000
- - 12 bulan 4.000.000 3 Bln 1.750.000 3 Bln 750.000 3 Bln - 3 Bln 1.500.000 12 Bln 4.000.000 12 Bln 4.000.000 20% 18,48% Satpol-PP
Prgram Peningkatan Sarana dan Prasarana Aparatur
42 dari 67
1.19.02.02.42
Rehabilitasi Sedang/ berat
Gedung Kantor
Outcome : Terciptanya
keutuhan gedung kantor
Outputs: Terlaksananya
rehab sedang/berat
gedung kantor
- - - - - - - - - - - - - - - - - - - - -
1.19.02.03
1.19.02.03.02
Pengadaan Pakian Dinas
Beserta Perlengkapannya
Outcome : Terpenuhinya
pakaian dinas pegawai
Outputs: Tersedianya
pakaian dinas pegawai
-
(12 bulan)
144 stel
182.539.000 - 182.080.000 - - - - 12 bln 182.080.000 12 bln 182.080.000 20% 18,51% Satpol-PP
-
1.Thn 2013= 12 Bln
2.Thn 2014= 12 Bln
3.Thn 2015= 12 Bln
4.Thn 2016= 12 Bln
5.Thn 2017= 12 Bln
1.Thn 2013= 14.490.000 2.Thn
2014= 14.490.000 3.Thn 2015=
14.490.000 4.Thn 2016=
14.490.000 5.Thn 2017=
370.967.000
- -
1.Thn 2013= 12 Bln
2.Thn 2014= 12 Bln
3.Thn 2015= 12 Bln
4.Thn 2016= 12 Bln
5.Thn 2017= 12 Bln
1.Thn 2013= 14.490.000 2.Thn
2014= 14.490.000 3.Thn 2015=
14.490.000 4.Thn 2016=
14.490.000 5.Thn 2017=
370.967.000
- -
1.19.02.03.05
Pengadaan Pakian Khusus
Hari-Hari Tertentu
Outcome : Terpenuhinya
pakaian khusus Pegawai
Outputs: Tersedianya
pakaian Khusus pegawai
1.Thn 2013= 12 Bln
2.Thn 2014= 12 Bln
3.Thn 2015= 12 Bln
4.Thn 2016= 12 Bln
5.Thn 2017= 12 Bln
1.Thn 2013= 102.399.000
2.Thn 2014= 106.494.960
3.Thn 2015= 110.590.920
4.Thn 2016= 114.686.880
5.Thn 2017= 117.758.850
Jumlah Rp. 551.930.610
- -
(12 bulan)
214 stel
102.399.000 3 Bln - 101.650.000 - - - - 12 bln 101.650.000 12 bln 101.650.000 20% 18,42% Satpol-PP
1.19.02.06
1.19.02.06.01
Penysunan Laporan Capaian
Kinerja dan Ikhtisar Realisasi
Kinerja SKPD
Outcome : Tersusunnya
laporan capaian kinerja
Outputs: Terlaksananya
penyusunan laporan
1.Thn 2013= 12 Bln
2.Thn 2014= 12 Bln
3.Thn 2015= 12 Bln
4.Thn 2016= 12 Bln
5.Thn 2017= 12 Bln
1.Thn 2013= 5.344.000 2.Thn
2014= 5.557.760 3.Thn 2015=
5.771.520 4.Thn 2016=
5.985.000 5.Thn 2017=
6.145.600 Jumlah Rp.
26.583.880
- -
(12 bln) 448
OH
5.344.000 3 Bln - 5.344.000 - - - - 12 bln 5.344.000 12 bln 5.344.000 20% 20,11% Satpol-PP
1.19.02.06.04
Penyusunan Laporan
Keuangan Akhir Tahun
Outcome : Tersusunnya
laporan keuangan akhir
tahun Outputs:
Terlaksananya
penyusunan laporan
1.Thn 2013= 12 Bln
2.Thn 2014= 12 Bln
3.Thn 2015= 12 Bln
4.Thn 2016= 12 Bln
5.Thn 2017= 12 Bln
1.Thn 2013= 4.512.000 2.Thn
2014= 4.692.480 3.Thn 2015=
4.872.960 4.Thn 2016=
5.053.440 5.Thn 2017=
5.188.800 Jumlah Rp.
19.319.680
- -
(12 bln) 384
OH
4.512.000 3 Bln - 4.512.000 - - - - 12 bln 4.512.000 12 bln 4.512.000 20% 23,36% Satpol-PP
1.19.02.15
1.19.02.15.01
Penyiapan tenaga pengendali
keamanan dan kenyamanan
lingkungan
Outcome : Tersedianya
aparat yang terlatih
Outputs:
Terselenggaranya
pelatihan
1.Thn 2013= 12 Bln
2.Thn 2014= 12 Bln
3.Thn 2015= 12 Bln
4.Thn 2016= 12 Bln
5.Thn 2017= 12 Bln
1.Thn 2013= 55.500.000 2.Thn
2014= 57.720.000 3.Thn 2015=
59.940.000 4.Thn 2016=
62.160.000 5.Thn 2017=
63.825.000 Jumlah Rp.
299.145.000
- -
(12 bln)
90 kali
55.500.000 3 Bln - 3 Bln 18.050.000 3 Bln 15.100.000 3 Bln 21.650.000 12 bln 33.150.000 12 bln 33.150.000 20% 11,09% Satpol-PP
1.19.02.15.03
Pelatihan Pengendalian
Keamanan dan Kenyamanan
Lingkungan
Outcome : Terciptanya
aparat yang terlatih
Outputs:
Terselenggaranya
pelatihan
1.Thn 2013= 12 Bln
2.Thn 2014= 12 Bln
3.Thn 2015= 12 Bln
4.Thn 2016= 12 Bln
5.Thn 2017= 12 Bln
1.Thn 2013= 98.235.400 2.Thn
2014= 102.164.816 3.Thn
2015= 106.094.232 4.Thn
2016= 110.032.648 5.Thn
2017= 112.970.710 Jumlah Rp.
529.497.806
- -
(1 Tahun)
110 0rang
98.235.400 3 Bln - 91.130.200 - - 1 Tahun 91.130.200 1 Tahun 91.130.200 20% 17,21% Satpol-PP
1.19.02.15.05
Pengendalian keamanan
lingkungan
Outcome : Terciptanya
keamanan lingkungan
Outputs:
Terselenggaranya
pengendalian keamanan
lingkungan
1.Thn 2013= 12 Bln
2.Thn 2014= 12 Bln
3.Thn 2015= 12 Bln
4.Thn 2016= 12 Bln
5.Thn 2017= 12 Bln
1.Thn 2013= 316.240.000
2.Thn 2014= 328.889.600
3.Thn 2015= 341.539.200
4.Thn 2016= 354.188.800
5.Thn 2017= 363.676.000
Jumlah Rp. 1.704.531.600
- - 1 Tahun 316.240.000 3 Bln - 3 Bln 80.660.000 3 Bln 119.060.000 3 Bln 116.320.000 12 bln 316.040.000 12 bln 316.040.000 20% 21,48% Satpol-PP
Program Peningkatan Pengembangan Sistem Pelaporan Capaian Kinerja dan Keuangan
Program Peningkatan Keamanan dan Kenyamanan Lingkungan
Program Peningkatan Disiplin Aparatur
1.Thn 2013= 12 Bln
2.Thn 2014= 12 Bln
3.Thn 2015= 12 Bln
4.Thn 2016= 12 Bln
5.Thn 2017= 12 Bln
1.Thn 2013= 182.539.000
2.Thn 2014= 189.840.560
3.Thn 2015= 197.142.120
4.Thn 2016= 204.443.680
5.Thn 2017= 209.919.850
Jumlah Rp. 983.885.210
-
43 dari 67
1.19.02.16
1.19.02.16.01
Pengawasan pengendalian
dan evaluasi kegiatan polisi
pamong praja
Outcome : Tercegahnya
gangguan ketentraman,
ketertiban dan
pelanggaran perda
Outputs: Terlaksananya
patroli
1.Thn 2013= 12 Bln
2.Thn 2014= 12 Bln
3.Thn 2015= 12 Bln
4.Thn 2016= 12 Bln
5.Thn 2017= 12 Bln
1.Thn 2013= 649.076.000
2.Thn 2014= 675.039.040
3.Thn 2015= 701.002.080
4.Thn 2016= 726.965.120
5.Thn 2017= 746.437.400
Jumlah Rp. 3.498.519.640
- - 1 tahun 649.076.000 3 Bln - 3 Bln 139.910.000 - 90.760.000 - 401.546.500 12 bln 632.216.500 12 bln 632.216.500 50% 18,07% Satpol-PP
1.19.02.16.05
Monitoring, evaluasi dan
pelaporan
Outcome : Terciptanya
monitoring,evaluasi dan
pelaporan Outputs:
Terlaksananya monitoring
evaluasi dan pelaporan
1.Thn 2013= 12 Bln
2.Thn 2014= 12 Bln
3.Thn 2015= 12 Bln
4.Thn 2016= 12 Bln
5.Thn 2017= 12 Bln
1.Thn 2013= 209.840.000
2.Thn 2014= 218.233.600
3.Thn 2015= 226.627.200
4.Thn 2016= 235.020.800
5.Thn 2017= 241.316.000
Jumlah Rp. 1.131.037.600
- - 1 tahun 209.840.000 3 Bln - 3 Bln 43.160.000 - 75.960.000 - 102.520.000 12 bln 221.640.000 12 bln 221.640.000 20% 19,60% Satpol-PP
1.19.02.19
1.19.02.19.01
Pembentukan Satuan
Keamanan Lingkungan di
Masyarakat
Outcome : Terpenuhinya
fasilitasi Desa/Kel.
pembentukan petugas
keamanan lingkungan
Outputs: Terbentuknya
satuan keamanan
lingkungan di masyarakat
- - - - - - - - - - - - - - - - - - - - -
1.19.02.20
1.19.02.20.09
Penyuluhan Pencegahan
Perilaku Sex Bebas
Outcome : Terpenuhinya
Penyuluhan pencegahan
sex bebas Outputs:
terlaksananya
penyuluhan
1.Thn 2013= 12 Bln
2.Thn 2014= 12 Bln
3.Thn 2015= 12 Bln
4.Thn 2016= 12 Bln
5.Thn 2017= 12 Bln
1.Thn 2013= 652.600.000
2.Thn 2014= 678.704.000
3.Thn 2015= 704.808.000
4.Thn 2016= 730.912.000
5.Thn 2017= 750.490.000
Jumlah Rp. 3.517.514.000
- - 1 tahun 947.870.000 3 Bln 622.767.300 3 Bln - - - - 284.524.400 1 tahun 907.291.700 1 tahun 907.291.700 20% 25,80% Satpol-PP
: Adanya semangat, percaya diri dan etos kerja yang baik dari aparatur serta tersedianya peraturan yang menjadi pedoman dalam pelaksanaan tugas.
: Peningkatan tingkat kemampuan dan kualitas aparatur dan sarana prasarana
: Peningkatan tingkat kemampuan dan kualitas aparatur dan sarana prasarana serta pengusulan penambahan anggaran
Program Pemeliharaan Kantrantibmas dan Pencegahan Tindak Kriminal
Program Pemberdayaan Masyarakat Untuk Menjaga Ketertiban dan Keamanan
Program Peningkatan Pemberantasan Penyakit Masyarakat (Pekat)
44 dari 67
K Rp. K Rp. K Rp. K Rp. K Rp. K Rp. K Rp. K Rp. K Rp. K Rp.
I WAJIB
I A 1.970.116.642 824.609.933 1.474.004.105 1.785.158.642 1.785.158.642 1.785.158.642 90,61
1 1.752.016.642 785.459.933 1.304.954.105 1.576.458.642 1.576.458.642 1.576.458.642 89,98
2 159.600.000 39.150.000 115.050.000 154.200.000 154.200.000 154.200.000 96,62
3 58.500.000 - 54.000.000 54.500.000 54.500.000 54.500.000 93,16
II 1.414.590.450 471.023.951 818.049.972 1.385.252.464 1.385.252.464 1.385.252.464 97,93
B 1 1.164.040.450 342.725.801 675.442.372 1.134.954.964 1.134.954.964 1.134.954.964 97,50
- Penyediaan Jasa Surat Menyurat 45.000.000 5.000.000 - 3.704.000 4.984.000 4.984.000 4.984.000 99,68
- Penyediaan Jasa Komunikasi, Sumber Daya Air dan Listrik 180.900.000 37.000.000 10.111.651 15.057.672 22.714.214 22.714.214 22.714.214 61,39
- Penyediaan Jasa Kebersihan Kantor 203.660.000 43.822.000 11.178.000 25.466.700 43.822.000 43.822.000 43.822.000 100,00
- Penyediaan Jasa Perbaikan Peralatan Kerja 65.360.000 13.706.000 5.260.000 9.463.000 13.702.000 13.702.000 13.702.000 99,97
- Penyediaan Alat Tulis Kantor 197.530.000 20.794.700 10.324.450 15.510.100 20.794.500 20.794.500 20.794.500 100,00
- Penyediaan Barang Cetakan dan Penggandaan 130.830.000 15.837.750 6.842.700 10.493.900 15.834.250 15.834.250 15.834.250 99,98
-
Penyediaan Komponen Instalasi Listrik/Penerangan Bangunan
Kantor 24.860.000 6.720.000 5.429.000 6.079.000 6.719.000 6.719.000 6.719.000 99,99
- Penyediaan Peralatan dan Perlengkapan Kantor 240.300.000 76.800.000 52.290.000 59.790.000 76.785.000 76.785.000 76.785.000 99,98
-
Penyediaan Bahan Bacaan dan Peraturan Perundang-
Undangan 15.000.000 3.000.000 - 3.000.000 3.000.000 3.000.000 3.000.000 100,00
- Penyediaan Makanan dan Minuman 567.960.000 102.960.000 22.520.000 61.205.000 88.220.000 88.220.000 88.220.000 85,68
- Rapat-Rapat Koordinasi dan Konsultasi Ke Luar Daerah 592.000.000 80.000.000 29.170.000 53.473.000 79.980.000 79.980.000 79.980.000 99,98
- Penyediaan jasa keamanan kantor 90.000.000 18.000.000 4.500.000 10.500.000 18.000.000 18.000.000 18.000.000 100,00
- Penyediaan jasa administrasi perkantoran 3.700.000 740.400.000 185.100.000 401.700.000 740.400.000 740.400.000 740.400.000 100,00
2
1.170.000.000 122.674.000 64.413.150 52.136.600 122.673.000 122.673.000 122.673.000 100,00
- Pengadaan Meubelair 50.000.000 7.000.000 999.000 6.000.000 6.999.000 6.999.000 6.999.000 99,99
- Pemeliharaan Rutin/Berkala Mobil Dinas Camat 430.000.000 25.564.000 12.054.150 15.386.600 25.564.000 25.564.000 25.564.000 100,00
- Pemeliharaan Rutin/Berkala Gedung Kantor 690.000.000 82.110.000 51.360.000 30.750.000 82.110.000 82.110.000 82.110.000 100,00
- Rehabilitasi sedang/berat kendaraan dinas operasional 40.000.000 8.000.000 - - 8.000.000 8.000.000 8.000.000 100,00
3
16.000.000 6.000.000 6.000.000 16.000.000 16.000.000 16.000.000 100,00
- Bimtek 136.000.000 16.000.000 6.000.000 6.000.000 16.000.000 16.000.000 16.000.000 100,00
14 = 7 + 13 15 = 14/6 * 100%
Belanja Tidak Langsung
Gaji dan Tunjangan
Tambahan Penghasilan Berdasarkan Beban Kerja
8 9 10 11 12 137
Realisasi
Capaian Kinerja
RPJMD
Kabupaten/Kota
sampai dengan
RKPD
Kabupaten/Kota
Tahun Lalu
(n-2)
Kode
Program Peningkatan Kapasitas Sumberdaya Aparatur
Tunjangan Kesejahtearaan Pegawai Lainnya
Belanja Langsung
Program Pelayanan Administrasi Perkantoran
Program Peningkatan Sarana dan Prasarana Aparatur
1 2 4 5
6
Formulir VII.F.8
Evaluasi Terhadap Hasil RKPD
Kota Padangsidimpuan
Tahun 2013
Sasaran Pembangunan Tahunan Kota :
Kecamatan PSP Tenggara
No. Sasaran
Urusan / Bidang Urusan Pemerintahan Daerah dan
Program/Kegiatan
Indikator
Kinerja
Program
(Outcome)/
Kegiatan
(Output)
Target RPJMD
Kabupaten/Kota pada
Tahun ..................
(Akhir Periode
RPJMD)
SKPD
Penanggu
ng Jawab
I II
Realisasi Kinerja dan
Anggaran RPJMD
Kabupaten/Kota s/d
Tahun ......... (Akhir
Tahun Pelaksanaan
RKPD Tahun ......)
Tingkat Capaian
Kinerja dan
Realisasi
Anggaran
RPJMD
Kabupaten/Kota s/d
Tahun ............ (%)
III IV
Target Kinerja dan
Anggaran RKPD
Kabupaten/Kota Tahun
Berjalan (Tahun n-1)
yang Dievaluasi
Realisasi Kinerja Pada Triwulan
Realisasi Capaian
Kinerja dan Anggaran
RKPD Kabupaten/Kota
yang dievaluasi
45 dari 67
K Rp. K Rp. K Rp. K Rp. K Rp. K Rp. K Rp. K Rp. K Rp. K Rp.
14 = 7 + 13 15 = 14/6 * 100%8 9 10 11 12 137
1 2 4 5
6
4
99.630.000 12.400.000 4.650.000 10.850.000 - 12.400.000 12.400.000 12.400.000 100,00
-
Penyusunan Laporan Capaian Kinerja dan Ikhtisar Realisasi
Kinerja SKPD 11.070.000 1.550.000 - 1.550.000 1.550.000 1.550.000 1.550.000 100,00
- Penyusunan Pelaporan Keuangan Semesteran 11.070.000 1.550.000 - 1.550.000 1.550.000 1.550.000 1.550.000 100,00
- Penyusunan Pelaporan Keuangan Akhir Tahun 11.070.000 1.550.000 1.550.000 1.550.000 1.550.000 1.550.000 1.550.000 100,00
- Penyusunan Laporan, Rencana Kinerja dan Anggaran 44.280.000 4.650.000 1.550.000 3.100.000 4.650.000 4.650.000 4.650.000 100,00
Penyusunan Laporan Barang Pengguna Semesteran 11.070.000 1.550.000 - 1.550.000 1.550.000 1.550.000 1.550.000 100,00
- Penyusunan Laporan Barang Pengguna Tahunan 11.070.000 1.550.000 1.550.000 1.550.000 1.550.000 1.550.000 1.550.000 100,00
5 110.070.000 18.000.000 17.760.000 17.760.000 17.760.000 17.760.000 17.760.000 98,67
- Penyelenggaraan Musrenbang Kecamatan 110.070.000 18.000.000 17.760.000 17.760.000 17.760.000 17.760.000 17.760.000 98,67
6 55.850.000 11.176.000 - 5.337.000 11.165.500 11.165.500 11.165.500 99,91
- Peningkatan semangat gotong royong 55.850.000 11.176.000 - 5.337.000 11.165.500 11.165.500 11.165.500 99,91
7
329.980.000 38.850.000 5.000.000 19.074.000 38.849.000 38.849.000 38.849.000 100,00
- HUT RI 146.020.000 14.775.000 - - 14.775.000 14.775.000 14.775.000 100,00
- Festival Nasyid 121.990.000 14.075.000 - 14.074.000 14.074.000 14.074.000 14.074.000 99,99
- Peringatan Maulid Nabi 19.000.000 5.000.000 5.000.000 5.000.000 5.000.000 5.000.000 5.000.000 100,00
- Peringatan Isra' Mikraj 42.970.000 5.000.000 - - 5.000.000 5.000.000 5.000.000 100,00
8 167.970.000 31.450.000 30.475.000 31.450.000 31.450.000 31.450.000 31.450.000 100,00
- MTQ Tingkat Kecamatan 167.970.000 31.450.000 30.475.000 31.450.000 31.450.000 31.450.000 31.450.000 100,00
33 58 98 98,11
Faktor penghambat pencapaian kinerja :
Tindaklanjut yang diperlukan dalam triwulan berikutnya :
Tindaklanjut yang diperlukan dalam RKPD berikutnya :
Program Peningkatan Semangat Gotong Royong
Program Peningkatan Hari-Hari Besar
Nasional/Daerah/Keagamaan
Program Pengembangan Kemasyarakatan
Rata - rata capaian kinerja (%)
Predikat Kinerja
Faktor pendorong keberhasilan kinerja :
Program Peningkatan Pengembangan Sistem Pelaporan
Capaian Kinerja dan Keuangan
Program Perencanaan Pembangunan Daerah
46 dari 67
Sasaran Pembangunan Tahunan Kota :
Kecamatan PSP Selatan
Indikator
Urusan /Bidang Urusan Kinerja Program SKPD
No Sasaran Pemerintahan Daerah dan (Outcome)/ Penanggung
Program / Kegiatan Kegiatan Jawab
(Output)
K Rp K Rp K Rp K Rp K Rp K Rp K Rp K Rp K Rp K Rp
Meningkatnya Kualitas / 1 20 Pemerintahan Umum
profesionalisme aparatur 1 20 09 21 Program Perencanaan Pembangunan Tersusunnya 14,74 0 12 kel 14,3 8,06 8,06 Krt Camat
sehingga terwujudya Daerah perencanaan Psp - Sel
pelaksanaan pemerintahan Pembangunan
yang modern kecamatan
yang berkualitas
1 20 09 21 14 Penyelenggaraan Musrenbang Adanya perencanaan 14,74 0 12 kel 14,3 8,06 0 0 0 8,06 8,06 0,546811 Krt Camat
Kecamatan pembangunan se- Psp - Sel
kecamatan yang
berkualitas
1 20 09 31 Program Peningkatan Semangat Terlaksananya 25,62 0 12 kel 0 0 0 Krt Camat
Gotong Royong Program semangat Psp - Sel
gotong-royong
1 20 09 31 01 Peningkatan Semangat Gotong Terciptanya 25,62 0 12 kel 0 0 0 0 0 0 0 0 Krt Camat
Royong lingkungan yang Psp - Sel
bersih dan indah
1 20 09 32 Program Perekonomian dan Terlaksananya 17,91 0 12 kel 17,82 17,82 17,82 Krt Camat
Kesejahteraan Rakyat Program Perekono Psp - Sel
mian dan kesejah
teraan rakyat
1 20 09 32 02 Pelaksanaan Maulid Nabi Meningkatnya 8,955 0 1 kali 8,955 8,75 0 0 0 8,75 8,75 0,977108 Krt Camat
Muhammad SAW kecintaan kepada Psp - Sel
Nabi Muhammad
SAW
1 20 09 32 05 Pelaksanaan Isra Mi’raj Nabi Menambah 8,955 0 1 kali 8,955 0 8,75 0 0 8,75 8,75 0,977108 Krt Camat
Muhammad SAW keimanan dan Psp - Sel
Ketaqwaan
1 20 09 38 Program Pengembangan Terlaksananya 107,1 0 12 kel 107,03 93,602 93,602 Krt Camat
Kemasyarakatan Program Pengem Psp - Sel
bangan kemasya
rakatan
1 20 09 38 01 Pengembangan Kebudayaan Terciptanya 32,83 0 12 group 32,82 0 27,84 0 0 27,835 27,835 0,847853 Krt Camat
Masyarakat prestasi yang Psp - Sel
menggembirakan
1 20 09 38 02 Pengembangan Kemasyarakatan Tercapainya tujuan 29,39 0 12 kel 29,38 8,8 8,19 4,2 0 21,19 21,19 0,720994 Krt Camat
kegiatan Tim Psp - Sel
penggerak PKK
1 20 09 38 03 MTQ Tingkat Kecamatan Adanya Qori 44,88 0 1 kali 44,83 44,577 0 0 0 44,577 44,577 0,993249 Krt Camat
maupun Qoriah Psp - Sel
yang berprestasi
Tindak lanjut yang diperlukan dalam triwulan berikutnya : berusaha semaksimal mungkin untuk mencapai tujuan program/kegiatan yang dimaksud
Tindak lanjut yang diperlukan dalam RKPD berikutnya : mengupayakan agar program/kegiatan yang akan datang bisa lebih mensejahterakan masyarakat
15 = 14/6 * 100 %
16
Rata - rata caaian kinerja ( % )
Predikat Kinerja
Faktor pendorong keberhasilan kinerja : adanya partisifasi semua pihak
Faktor penghambat pencapaian kinerja : keterbatasan dana
9 10 11 12 13 14 = 13
RKPD Tahun 2018 ) ( % )
1 2 3 4 5
6 7 8
( n - 2 ) yang di evaluasi Kota yg dievaluasi Pelaksanaan s/d Tahun 2018
Anggaran
RPJM ) Kota Tahun Lalu ( Tahun n - 1 ) I II III IV RKPD (Akhir Tahun
s/d Tahun 2018
RPJMD Kota
Kode ( Akhir Periode sampai dengan RKPD Kota Tahun Berjalan dan Anggaran
Rformulir VII F.8
EVALUASI TERHADAP HASIL RKPD
KOTA PADANGSIDIMPUAN
TAHUN 2013 Triwulan IV
Realisasi Realisasi Kinerja Pada Realisasi Kinerja Tingkat Capaian
Kinerja dan
Kota pada Tahun 2017 RKPD Kota / dan Anggaran RKPD Capaian Kinerja RPJMD Kota Realisasi
dan AnggaranTarget RPJM Capaian Kinerja Target Kinerja Triwulan Realisasi
47 dari 67
Sasaran Pembangunan Tahunan Kota :
KEC. PADANGSIDIMPUAN UTARA
Urusan/Bidang Urusan Indikator
Pemerintahan Daerah dan Kinerja Program SKPD
Program/Kegiatan (Outcome)/ Penanggung
Kegiatan Jawab
(Output)
K Rp. K Rp. K Rp. K Rp. K Rp. K Rp. K Rp. K Rp. K Rp. K Rp.
1 Terwujudnya 1. Program Pelayanan Administrasi - Peningkatan Pelaya- 7.189.073.400 1.225.837.772 470.275.128 230.052.266 1.197.021.566 1.197.021.566 17
Kelembagaan Perkantoran nan Administrasi
dan Ketatalak- 1 20 08 01 01 a. Penyediaan Jasa Surat Menyurat Perkantoran 273 Org 2.398.200.000 - - 53 Org 446.400.000 53 Org 0 53 Org 114.600.000 53 Org 108.600.000 53 Org 223.200.000 53 Org 446.400.000 53 Org 446.400.000 53 Org 19
sanaan Peme- 1 20 08 01 02 b. Penyediaan Jasa Komunikasi, Sum 5 Tahun 161.560.000 - - 1 Tahun 19.520.000 1 Tahun 0 1 Thn 3.436.628 1 Tahun 2.545.766 1 Tahun 2.757.072 1 Thn 8.739.466 1 Thn 8.739.466 1 Thn 5
rintah Daerah ber Daya Air dan Listrik
yang berkuali- 1 20 08 01 03 c. Penyediaan Jasa Peralatan dan 5 Tahun 828.742.000 - - 1 Tahun 218.922.000 1 Tahun 0 1 Thn 216.665.000 1 Tahun 0 1 Tahun 7.500.000 1 Thn 224.165.000 1 Thn 224.165.000 1 Thn 27
tas, Sehat dan Perlengkapan Kantor
Berwibawa 1 20 08 01 08 d. Penyediaan Jasa Kebersihan 5 Tahun 73.977.400 - - 1 Tahun 13.677.400 1 Tahun 0 1 Thn 4.920.000 1 Tahun 3.090.000 1 Tahun 5.667.400 1 Thn 13.677.400 1 Thn 13.677.400 1 Thn 18
Kantor 5 Org 1 Org 1 Org 1 Org 1 Org 1 Org 1 Org 1 Org 1 Org
1 20 08 01 10 e. Penyediaan Alat Tulis Kantor 85 Kntr 210.936.000 - - 17 Kntr 37.936.140 17 Kntr 0 17 Kntr 13.800.500 17 Kntr 14.647.100 17 Kntr 9.482.400 17 Kntr 37.930.000 17 Kntr 37.930.000 17 Kntr 18
1 20 08 01 11 f. Penyediaan Barang Cetakan dan 5 Tahun 124.626.000 - - 1 Tahun 21.626.200 1 Tahun 0 1 Thn 12.499.000 1 Tahun 3.406.400 1 Tahun 4.520.800 1 Thn 20.426.200 1 Thn 20.426.200 1 Thn 16
Penggandaan
1 20 08 01 12 g. Penyediaan Komponen Instalasi 5 Tahun 10.652.000 - - 1 Tahun 1.776.032 1 Tahun 0 1 Thn 444.000 1 Tahun 888.000 1 Tahun 444.000 1 Thn 1.776.000 1 Thn 1.776.000 1 Thn 17
Listrik/Penerangan Bangunan Kantor
1 20 08 01 15 h. Penyediaan Bahan Bacaan dan Pe- 5 Tahun 57.420.000 - - 1 Tahun 9.420.000 1 Tahun 0 1 Thn 3.320.000 1 Tahun 2.465.000 1 Tahun 3.635.000 1 Thn 9.420.000 1 Thn 9.420.000 1 Thn 16
raturan Perundang-Undangan
1 20 08 01 17 i. Penyediaan Makanan dan Minuman 735 Org 2.725.800.000 - - 140 Org 369.600.000 134 Org 0 134 Org 73.800.000 134 Org 80.040.000 134 Org 155.755.500 134 Org 309.595.500 134 Org 309.595.500 134 Org 11
1 20 08 01 18 j. Rapat-rapat Koordinasi dan Konsul 5 Tahun 528.160.000 - - 1 Tahun 73.160.000 1 Tahun 0 1 Thn 21.040.000 1 Tahun 13.220.000 1 Tahun 76.832.000 1 Thn 111.092.000 1 Thn 111.092.000 1 Thn 21
tasi ke Luar Daerah
1 20 08 01 20 k. Penyediaan Jasa Administrasi Per- 20 Orang 69.000.000 - - 4 Org 13.800.000 4 Org 0 4 Org 5.750.000 4 Org 1.150.000 4 Org 6.900.000 4 Org 13.800.000 4 Org 13.800.000 4 Org 20
kantoran
2. Program Peningkatan Sarana dan - Sarana dan Prasara 463.688.000 63.856.050 18.757.720 18.605.450 272.341.620 272.341.620 59
Prasarana Aparatur na Aparatur yang me-
1 20 08 02 22 a. Pemeliharaan Rutin/Berkala Ge- madai 5 Tahun 100.000.000 - - 1 Tahun 12.000.000 1 Thn 0 1 Thn 4.000.000 1 Thn 8.000.000 1 Thn 20.000.000 1 Thn 32.000.000 1 Thn 32.000.000 1 Thn 32
dung Kantor
1 20 08 02 24 b. Pemeliharaan Rutin/Berkala Ken- 5 Tahun 228.581.000 - - 1 Tahun 43.581.050 1 Thn 0 1 Thn 12.087.720 1 Thn 7.065.450 1 Thn 15.188.000 1 Thn 34.341.170 1 Thn 34.341.170 1 Thn 15,0
deraan Dinas/Operasional
1 20 08 02 26 Pemeliharaan Rutin/Berkala Perleng- 277 Unit 135.107.000 - - 4 Unit 8.275.000 4 Unit 0 4 Unit 2.670.000 4 Unit 3.540.000 4 Unit 2.064.000 4 Unit 8.274.000 4 Unit 8.274.000 4 Unit 6
kapan Gedung Kantor
1 20 08 02 45 Pengadaan Tanah Pertapakan Kantor 2 Unit 270.000.000 - - 2 Unit 270.000.000 2 Unit 0 2 Unit 0 2 Unit 0 2 Unit 0 2 Unit 197.726.450 2 Unit 197.726.450 2 Unit 73
3. Program Peningkatan Disiplin Apa- - Peningkatan Disiplin 162.000.000 42.000.000 40.500.000 0 40.500.000 40.500.000 25
ratur dari Aparatur
1 20 08 03 05 a. Pengadaan Pakaian Khusus Hari- 440 Org 162.000.000 - - 140 Org 42.000.000 135 Org 0 135 Org 40.500.000 135 Org 0 135 Org 0 135 Org 40.500.000 135 Org 40.500.000 135 Org 25
hari Tertentu
Kecamatan
Padangsidimp
uan Utara
Tahun lalu (n-2) Dievaluasi naan RKPD Tahun (%)
1 2 3 4 5
6 13 14 = 7 + 13 15 = 14/6 *100%7 8 9 10 11 12
evaluasi (Akhir Tahun Pelaksa Kota s/d Tahun
Kinerja dan Anggaran dan Anggaran Renstra Kinerja dan Realisasi
(Akhir Periode Kota sampai Kota Tahun Berjalan RKPD Kota yang di- Kota s/d Tahun 2013 Anggaran Renstra
FORMULIR VII F.8
EVALUASI TERHADAP HASIL RKPD
KOTA PADANGSIDIMPUAN
TAHUN 2013
No. Sasaran Kode
Target Renstra Kota Realisasi Capaian Target Kinerja dan Realisasi Kinerja Pada Triwulan Realisasi Capaian Realisasi Kinerja Tingkat Capaian
pada Tahun 2017 Kinerja Renstra Anggaran RKPD
I II III IV
Renstra) dengan RKPD Kota (Tahun n-1) yang
48 dari 67
Urusan/Bidang Urusan Indikator
Pemerintahan Daerah dan Kinerja Program SKPD
Program/Kegiatan (Outcome)/ Penanggung
Kegiatan Jawab
(Output)
K Rp. K Rp. K Rp. K Rp. K Rp. K Rp. K Rp. K Rp. K Rp. K Rp.
4. Program Peningkatan Kapasitas Sum - Peningkatan Penge- 136.000.000 25.000.000 0 0 16.000.000 16.000.000 12
ber Daya Aparatur tahuan dan Kemam-
1 20 08 05 01 a. Pendidikan dan Pelatihan Formal puan Aparatur dalam 25 orang 136.000.000 - - 5 Org 25.000.000 5 Org 0 5 Org 0 5 Org 0 5 Org 16.000.000 5 Org 16.000.000 5 Org 16.000.000 5 Org 12
5. Program Peningkatan Pengembangan - Peningkatan Kemam 94.980.000 18.366.000 4.678.000 0 18.366.000 18.366.000 18
Sistem Pelaporan Capaian Kinerja dan puan dibidang Pembu
Keuangan atan Laporan-laporan
1 20 08 06 01 a. Penyusunan Laporan Capaian Kiner Capaian Kinerja dan 35 Orang 25.856.000 - - 7 Org 4.678.000 7 Org 0 7 Org 4.678.000 7 Org 0 7 Org 0 7 Org 4.678.000 7 Org 4.678.000 7 Org 18
ja dan Ikhtisar Realisasi Kinerja SKPD Keuangan
1 20 08 06 04 b. Penyusunan Pelaporan Keuangan 35 Orang 34.592.000 - - 7 Org 6.844.000 7 Org 0 7 Org 0 7 Org 0 7 Org 6.844.000 7 Org 6.844.000 7 Org 6.844.000 7 Org 0
Akhir Tahun
1 20 08 06 06 c. Penyusunan Laporan, Rencana Kiner 35 Orang 34.532.000 - - 7 Org 6.844.000 7 Org 0 7 Org 0 7 Org 0 7 Org 6.844.000 7 Org 6.844.000 7 Org 6.844.000 7 Org 0
ja dan Anggaran
6. Program Perencanaan Pembangunan - Peningkatan Pengem 147.605.000 24.605.000 24.605.000 0 24.605.000 24.605.000 17
Daerah bangan Pembangunan
1 20 08 21 14 a. Penyelenggaraan Musrenbang Ke- Daerah 85 Kntr 147.605.000 - - 17 Kntr 24.605.000 17 Kntr 0 17 Kntr 24.605.000 17 Kntr 0 17 Kntr 0 17 Kntr 24.605.000 17 Kntr 24.605.000 17 Kntr 17
camatan
7. Program Peringatan Hari-hari Besar - Peringatan Hari Be- 82.495.000 13.435.000 0 13.435.000 13.435.000 13.435.000 16
Nasional, Daerah dan Keagamaan sar Keagamaan
1 20 08 32 15 a. Pelaksanaan Festival Nasyid 30 Kec. 82.495.000 - - 6 Kec. 13.435.000 6 Kec. 0 6 Kec. 0 6 Kec. 13.435.000 6 Kec. 0 6 Kec. 13.435.000 6 Kec. 13.435.000 6 Kec. 16
8. Program Pengembangan Kemasyara- - Peningkatan Pengem 326.127.000 57.427.800 42.446.000 3.773.300 57.425.900 57.425.900 18
katan bangan yang berhubu-
1 20 08 38 01 a. Pengembangan Kebudayaan Masya ngan dengan masya- 80 Kel. 114.675.000 - - 16 Kel. 19.975.300 4 Kel. 0 4 Kel. 4.994.000 4 Kel. 3.773.300 4 Kel. 11.206.600 8 Kel. 19.973.900 8 Kel. 19.973.900 8 Kel. 17
rakat rakat
1 20 08 38 03 b. MTQ Tingkat Kecamatan 80 Kel. 211.452.000 - - 16 Kel. 37.452.500 16 Kel. 0 16 Kel. 37.452.000 16 Kel. 0 16 Kel. 0 16 Kel. 37.452.000 16 Kel. 37.452.000 16 Kel. 18
30 Kec. 6 Kec. 6 Kec. 6 Kec. 6 Kec. 6 Kec. 6 Kec. 6 Kec. 6 Kec.
8.601.968.400 1.470.527.622 601.261.848 265.866.016 1.639.695.086 1.639.695.086
19
13 14 = 7 + 13 15 = 14/6 *100%
Realisasi Capaian Realisasi Kinerja Tingkat Capaian
evaluasi (Akhir Tahun Pelaksa Kota s/d Tahun
Kinerja dan Anggaran dan Anggaran Renstra Kinerja dan Realisasi
RKPD Kota yang di- Kota s/d Tahun 2013 Anggaran Renstra
JUMLAH TOTAL
Rata-rata Capaian Kinerja (%)
7 8 9 10 11 12
Tahun lalu (n-2) Dievaluasi naan RKPD Tahun (%)
1 2 3 4 5
6
Renstra) dengan RKPD Kota
III IV
No. Sasaran Kode
Target Renstra Kota Realisasi Capaian Target Kinerja dan Realisasi Kinerja Pada Triwulan
(Tahun n-1) yang
(Akhir Periode Kota sampai Kota Tahun Berjalan
pada Tahun 2017 Kinerja RPJMD Anggaran RKPD
I II
49 dari 67
Sasaran Pembangunan Tahunan Kota PADANGSIDIMPUAN
Kecamatan PSP Angkola Julu
Urusan/Bidang Urusan SKPD
No. Sasaran Pemerintahan Daerah Penanggungjawab
dan Program/Kegiatan
1 2 4 16
K Rp. K Rp. K Rp. K Rp. K Rp. K Rp. K Rp. K Rp. K Rp. K Rp.
1 Meningkatnya kualitas/ 1 20 Pemerintahan Umum
profesionalisme aparatur
sehingga terwujudnya 1 20 13 21 Program perencanaan Tersusunnya perencanaan 14.175 8 desa 14.087
pelaksanaan pemerintahan pembangunan daerah pembangunan daerah Kec.
yang modern yang berkualitas
1 20 13 21 14 Penyelenggaraan Adanya perencanaan 14.087 8 desa 14.087 14.087 0 0 14.087 14.087 100
musrembang kecamatan pembangunan se-Kec.
yang berkualitas
1 20 13 31 Program peningkatan Terlaksananya program 41.500 8 desa 41.414
semangat gotong royong semangat gotong royong
1 20 13 31 01 Peningkata n semangat Terciptanya lingkungan 41.414 8 desa 41.414 0 0 0 0 41.414 41.414 100
gotong royong yang bersih dan indah
1 20 13 38 Program pengembangan Terlaksananya program 82.950 8 desa 82.165
kemasyarakatan pengembangan kemasy.
1 20 13 38 01 Pengembangan kebudayaan Terlaksananya kegiatan 11.550 1 group 11.550 0 11.550 0 0 11.550 11.550 100
masyarakat nasyid dengan baik
1 20 13 38 02 Pemngembangan Kemasy. Terlaksananya PKK Kec. 40.000 8 desa 40.000 20.000 10.500 5.000 3.500 40.000 40.000 100
1 20 13 38 03 MTQ Tk. Kecamatan Terlaksananya MTQ 30.615 1 kali 30.615 30.615 0 0 0 30.615 30.615 100
dengan baik
Faktor pendorong keberhasilan kinerja : adanya partisifasi semua pihak
Faktor penghambat pencapaian kinerja : keterbatasan dana
Tindaklanjut yang diperlukan dalam triwulan berikutnya : berusaha semaksimal mungkin untuk mencapai tujuan program/kegiatan yang dimaksud
Tindaklanjut yang diperlukan dalam RKPD berikutnya : menupayakan agar program/kegiatan yang akan datang bisa lebih mensejahterakan masyarakat
Kantor Camat
PSP ANGKOLA
JULU
Kantor Camat
PSP ANGKOLA
JULU
Kantor Camat
PSP ANGKOLA
JULU
10 11 12 13 14 (13) 15 (14/6 x 100%)3 5 6 7 8 9
Rata-rata capaian kinerja ( % )
Predikat Kinerja
(Output) RPJMD ) Tahun lalu (Tahun n-1 ) yang Dievaluasi Pelaksanaan s/d Tahun 2018
(n-2) yang Dievaluasi RKPD Tahun … ( % )
Target RPJMD Capaian Kinerja Target Kinerja Triwulan Realisasi
s/d tahun 2018 Anggaran
Kegiatan ( Akhir Periode RKPD Kota Tahun Berjalan I II III IV RKPD Kota (Akhir tahun RPJMD Kota
Formulir VIII. F.8
EVALUSI TERHADAP HASIL RKPD
KOTA PADANGSIDIMPUAN
TAHUN 2013
Realisasi Realisasi Kinerja pada Realisasi Kinerja Tingkat Capaian
Kode (Outcome) / tahun 2017 sampai dengan RKPD Kota dan Anggaran
dan Anggaran Kinerja dan
Kinerja Program Kota pada RPJMD Kota dan Anggaran Capaian Kinerja RPJMD Kota Realisasi
Indikator
50 dari 67
Kec. PSP Hutaimbaru
Indikator SKPD
Urusan /Bidang Urusan Kinerja Program Penang
No Sasaran Pemerintahan Daerah dan (Outcome)/ gung
Program / Kegiatan Kegiatan Jawab
(Output) RPJM )
Rp Rp K Rp K Rp K Rp K Rp K Rp K Rp K Rp K Rp
Meningkatnya Kualitas / 1 20 Pemerintahan Umum
profesionalisme aparatur 1 20 12 21 Program Perencanaan PembangunanTersusunnya 50,00 10 Desa 10.0 10.0
sehingga terwujudya Daerah perencanaan Kel
pelaksanaan pemerintahan Pembangunan
yang modern kecamatan
yang berkualitas
1 20 12 21 14 Penyelenggaraan Musrenbang Adanya perencanaan 50,00 10 Desa / kel 10,00 10,00 0,00 0,00 0,00 10.0 10,00 1,67 Kec. Psp
Kecamatan pembangunan se- Kel
kecamatan yang
berkualitas
1 20 12 32 Program Peningkatan Hari - Hari BesarTerlaksananya 58,25 10 Desa / kel 11,65
Nasional Program semangat Kel
Nasionalisme
1 20 12 32 01 Pelaksanaan HUT - RI Terciptanya 58,25 10 Desa / kel 11,65 11,65 11,65 0,00 0,00 11,65 11,65 1,94 Kec. Psp
Rasa Kecintaan Kepada Kel
Bangssa dan Negara
1 20 12 38 Program Pengembangan Terlaksananya 261,85 10 Desa 52,33
Kemasyarakatan Program Pengem Kel
bangan kemasya
rakatan
1 20 12 38 01 Pengembangan Kebudayaan Terciptanya 34,90 1 Grup 6,94 0,00 6,94 0,00 0,00 6,94 6,94 1,16 Kec. Psp
Masyarakat prestasi yang
menggembirakan
1 20 12 38 02 Pengembangan KemasyarakatanTercapainya tujuan 75,00 10 Desa 15,00 3,75 3,75 0,00 0,00 7,50 7,50 1,25 Kec. Psp
kegiatan Tim Kel
penggerak PKK
1 20 12 38 03 MTQ Tingkat Kecamatan Adanya Qori 151,95 1 kali 30,39 0,00 30,39 0,00 0,00 30,39 30,39 5,07 Kec. Psp
maupun Qoriah
yang berprestasi
Hutaimb
aru
Hutaimb
aru
Hutaimb
aru
Hutaimb
aru
Hutaimb
aru
Tindak lanjut yang diperlukan dalam triwulan berikutnya : berusaha semaksimal mungkin untuk mencapai tujuan program/kegiatan yang dimaksud
Tindak lanjut yang diperlukan dalam RKPD berikutnya : mengupayakan agar program/kegiatan yang akan datang bisa lebih mensejahterakan masyarakat
Sasaran Pembangunan Tahunan Kota Padangsidimpuan
Formulir VII F.8
15 = 14/6 * 100 %
16
Rata - rata caaian kinerja ( % )
Predikat Kinerja
Faktor pendorong keberhasilan kinerja : adanya partisifasi semua pihak
Faktor penghambat pencapaian kinerja : keterbatasan dana
9 10 11 12 13 14 = 7 + 13
RKPD Tahun 2017 ) ( % )
1 2 3 4 5
6 7 8
( n - 2 ) yang di evaluasi Kota yg dievaluasi Pelaksanaan s/d Tahun 2018
III IV RKPD (Akhir Tahun RPJMD Kota( Akhir Periode Kota Tahun Lalu ( Tahun n - 1 ) I II
Kode pada tahun 2017 sampai dengan RKPD Kota Tahun Berjalan dan Anggaran
Realisasi
Target RPJM Capaian Kinerja Target Kinerja Triwulan Realisasi
s/d Tahun 2017 Anggaran
EVALUASI TERHADAP RKPD
KOTA PADANGSIDIMPUAN
TAHUN 2013
Realisasi Realisasi Kinerja Pada Realisasi Kinerja Tingkat Capaian
dan Anggaran Kinerja dan
Kota pada RKPD Kota / dan Anggaran RKPD Capaian Kinerja RPJMD Kota
51 dari 67
Sasaran Pembangunan Tahunan Kota: Padangsidimpuan
Dinas Pertanian
1 2 3 4 5 16
K Rp K Rp K Rp K Rp K Rp K Rp K Rp K Rp K Rp K Rp
Pilihan
Pertanian/Keh
utanan/Perikan
an
1
Peningkatan
Hasil dan
Jenis Produk
Pertanian 15
Program
Peningkatan
Kesejahteraan
Petani
Peningkatan
pendapatan
petani 75% 50.000.000 0 0 75% 49.230.000 0 0 60,89% 29.980.000 65% 32.580.000 65% 41.580.000 65,00% 41.580.000 65,00% 41.580.000 87% 83,00% DPPK
15.01
Pelatihan
Petani dan
Pelaku
Agribisnis
Peningkatan
pengetahuan
petani 25 orang 50.000.000 0 0 25 orang 49.230.000 0 0 25 orang 29.980.000 25 orang 32.580.000 0 41.580.000 25 orang 41.580.000 25 orang 41.580.000 100% 83% DPPK
2
Peningkatan
fungsi hutan
dan lahan 16
Program
Rehabilitasi
Hutan dan
Lahan
Berkurangny
a lahan
kritis 20 Ha 70.000.000 0 0 20 Ha 65.820.000 0 0 0 0 0 0 20 Ha 65.820.00 20 Ha 65.820.000 20 Ha 65.820.000 100% 94% DPPK
16.06
Peningkatan
Peran Serta
Masyarakat
Dalam
Rehabilitasi
Hutan dan
Lahan
Berkurangny
a lahan
kritis 20 Ha 70.000.000 0 0 20 Ha 65.820.000 0 0 0 0 0 0 20 Ha 65.820.000 20 Ha 65.820.000 20 Ha 65.820.000 100% 94% DPPK
3
Peningkatan
hasil dan
jenis produk
pertanian 19
Program
Peningkatan
Produksi
Pertanian/Perk
ebunan
Peningkatan
produktivita
s pertanian
/perkebuna
n 1 Ton/Ha 80.000.000 0 0 1 Ton/Ha 76.933.500 0 0 0 0 0 0 1 Ton/Ha 75.385.400 1 Ton/Ha 75.385.400 1 Ton/Ha 75.385.400 100% 94% DPPK
19.02
Penyediaan
Sarana
Produksi
Pertanian/Perk
ebunan
Terpenuhiny
a sarana
produksi
pertanian
/perkebuna
n 100 unit 80.000.000 0 0 100 unit 76.933.500 0 0 0 0 0 0 100 unit 75.385.400 100 unit 75.385.400 100 unit 75.385.400 100% 94% DPPK
4
Peningkatan
hasil ternak
21
Program
Pencegahan
dan
Penanggulanga
n Penyakit
Ternak
Peningkatan
kesehatan
hewan
ternak 100 ekor 105.000.000 0 0 100% 103.633.000 0 0 100 ekor 101.992.400 100 ekor 102.857.400 100 ekor 102.857.400 100% 102.857.400 100 ekor 102.857.400 100% 97% DPPK
21.02
Pemeliharaan
Kesehatan dan
Pencegahan
Penyakit
Menular Ternak
Peningkatan
kesehatan
hewan
ternak 100 ekor 105.000.000 0 0 100 ekor 103.633.000 0 0 100 ekor 101.992.400 100 ekor 102.857.400 100 ekor 102.857.400 100 ekor 102.857.400 100 ekor 102.857.400 100% 97% DPPK
SKPD
Penang
gung
JawabI II III IV
6 7 8 9 10
Realisasi Capaian
Kinerja RPJMD
Kab/Kota sampai
dengan RKPD
Kab/Kota Tahun
Lalu(n-2)
Target Kinerja dan
Anggaran RKPD
Kab/Kota Tahun
Berjalan(n-1) yang
Dievaluasi
Realisasi Kinerja Pada Triwulan
11 12 13 14 =7 +13 15=14/6*100%
Realisasi Capaian Kinerja
dan Anggaran RKPD
Kab/Kota yang dievaluasi
Realisasi Kinerja dan
Anggaran RPJMD Kab/Kota
s/d Tahun 2013
Tingkat Capaian
Kinerja dan Realisasi
Anggaran RPJMD
Kab/Kota sampai
tahun 2013( %)
FORMULIR VII.F.8
EVALUASI TERHADAP HASIL RKPD
KOTA PADANGSIDIMPUAN
TAHUN 2013
Target RPJMD Kab/Kota
pada Tahun Lalu (n-2)No Sasaran Kode
Urusan/Bidang
Urusan
Pemerintahan
Daerah dan
Program/Kegiat
an
Indikator
Kinerja
Program
(Outcome)
/Kegiatan
(Output)
52 dari 67
5
Peningkatan
hasil ternak
22
Program
Peningkatan
Produksi Hasil
Peternakan
Peningkatan
produksi
hasil ternak 1 Ton 192.000.000 0 0 1 Ton 183.563.000 0 0 0 66.077.000 0 66.857.000 0 1 Ton 182.477.000 1 Ton 182.477.000 100% 95% DPPK
22.03
Pendistribusian
Bibit Ternak
Kepada
Masyarakat
Peningkatan
produksi
hasil ternak 100 ekor 180.000.000 0 0 100 ekor 173.340.000 0 0 0 56.099.000 0 56.879.000 0 0 100 ekor 172.499.000 100 ekor 172.499.000 100% 96% DPPK
22.04
Penyuluhan
Pengelolaan
Bibit Ternak
Yang
Didistribusikan
Kepada
Masyarakat
Peningkatan
produksi
hasil ternak 1 Ton 12.000.000 0 0 1 Ton 10.223.000 0 0 0 9.978.000 0 9.978.000 0 0 1 Ton 9.978.000 1 Ton 9.978.000 100% 83% DPPK
6
Peningkatan
Hasil dan
Jenis Produk
Pertanian 16
Program
Peningkatan
Ketahanan
Pangan
Peningkatan
produktivita
s pertanian 6 Ton/Ha 24.000.000 0 0 6 Ton/Ha 23.560.000 0 0 0 14.640.000 0 17.280.000 0 0 4 Ton/Ha 23.560.000 4 Ton/Ha 23.560.000 100,00% 98,00% DPPK
16.09
Pemanfaatan
Pekarangan
Untuk
Pengembangan
Pangan
Peningkatan
luas
pemanfaatan
pekarangan 5 Ha 24.000.000 0 0 5 Ha 23.560.000 0 0 0 14.640.000 0 17.280.000 0 0 3 Ha 23.560.000 3 Ha 23.560.000 100% 98,00% DPPK
7
Peningkatan
Produksi
Perikanan 20
Program
Pengembangan
Budidaya
Perikanan
Peningkatan
produksi
perikanan
4
Ton/Tahu
n 1.550.000.000 0 0
4Ton
/Tahun 1.552.760.000 0 0 0 179.184.000 0 182.484.000 0 0 2 Ton 1.543.590.500
4
Ton/Tahun 1.543.590.500 100% 99,00% DPPK
20.03
Pembinaan dan
Pengembangan
Perikanan
Peningkatan
produksi
perikanan
4
Ton/Tahu
n 1.550.000.000 0 0
4 Ton
/Tahun 1.552.760.000 0 0 2 Ton 179.184.000 0 182.484.00 0 0 2 Ton 1.543.590.500 4 Ton/Tahun 1.543.590.500 100% 99,00% DPPK
98,00% 93,00% DPPK
Baik Baik DPPK
Faktor Pendorong Keberhasilan Kinerja: Dukungan pemerintah pusat dan provinsi, kinerja pegawai yang bagus dan dukungan dana dari APBD
Faktor Penghambat Pencapaian Kinerja: kelemahan manajerial, lemahnya budaya kerja petani dan kurangnya penguasaan teknologi
Tindak Lanjut yang diperlukan dalam triwulan berikutnya: penyuluhan terhadap petani
Tindak lanjut yang diperlukan dalam RKPD berikutnya: percepatan pengesahan APBD
Rata-rata capaian kinerja (%)
Predikat kinerja
53 dari 67
Sasaran Pembangunan Tahunan Kota Padangsidimpuan
Badan Ketahanan Pangan dan Penyuluhan Pertanian Daerah Kota Padangsidimpuan
K Rp. K Rp. K Rp. K Rp. K Rp. K Rp. K Rp. K Rp. K Rp. K Rp.
Wajib
Ketahanan Pangan
1 21 1 15 Program Peningkatan Kesejahteraan Petani
Kegiatan :
1 21 1 15 01 Pelatihan Petani dan Pelaku Agribisnis 1 Pkt 137.000.000 24.479.500 - - - 24.479.500 24.479.500 24.479.500 0,179 BKP3
1 21 1 15 02
Penyuluhan dan Pendampingan Petani dan Pelaku
Agribisnis
1 Thn 28.630.000 28.630.000 - - - 28.540.000 28.540.000 28.540.000 0,997 BKP3
1 21 1 15 03 Peningkatan Kemampuan Lembaga Petani 4 Bln 14.935.000 14.935.000 - - 13.135.000 1.780.000 14.915.000 14.915.000 0,999 BKP3
KTNA 1 21 1 15 04
Peningkatan Insentif dan Disnisentif bagi Petani/
Kelompok Tani
5 Klpk 125.312.000 1 Thn 16.400.000 - 1 Thn 1.500.000 - 14.884.000 1 Thn 16.384.000 16.384.000 0,131 BKP3
1 21 1 15 09 Mimbar Sarasehan Kelompok Tani / Nelayan 1 Pkt 20.240.000 20.240.000 - - - 20.240.000 20.240.000 20.240.000 1,000 BKP3
KK Miskin
/
1 21 1 15 11 Dana Sharing Desa Mandiri Pangan 1 Pkt 300.000.000 6 Bln 53.640.000 - - - 51.660.000 51.660.000 51.660.000 0,172 BKP3
Kel. Tani /
Masyarakat
Dana Sharing Gerakan Mandiri Pangan - - - - - - - - - - 0,000 BKP3
1 21 1 15 12 60 Org 160.000.000 - - - - - - - 0,000 BKP3
1 21 1 15 13
Keikutsertaan Petani Dalam Pekan Daerah KTNA
Nasional KTNA
25 Org 200.000.000 - - - - - - - 0,000 BKP3
1 21 1 15 14 Penilaian Petani berprestasi 12 Org 74.900.000 - - - - - - - 0,000 BKP3
1 21 1 15 15 Penilaian kelompok tani berprestasi 24 klpk 80.000.000 - - - - - - - 0,000 BKP3
1 21 1 15 16 magang petani Hortikultura 55 Org 311.400.000 - - - - - - - 0,000 BKP3
1 21 1 15 17 Magang Petani Agribisnis tanaman Pangan 57 org 311.400.000 - - - - - - - 0,000 BKP3
1 21 1 15 18 Magang Petani Agribisnis Perkebunan 42 org 178.100.000 - - - - - - - 0,000 BKP3
1 21 1 15 19 Magang Petani Agribisnis Hortikultura 48 Org 296.400.000 - - - - - - - 0,000 BKP3
1 21 1 15 20 Pelatihan Petani Tata Guna Air 6 Org 45.000.000 - - - - - - - 0,000 BKP3
1 21 1 15 21 pelatihan Petani Inseminasi Buatan 6 Org 45.000.000 - - - - - - - 0,000 BKP3
1 21 1 15 22 Pelatihan Petani Alat Mekanisasi 6 Org 45.000.000 - - - - - - - 0,000 BKP3
1 21 1 15 23
Pelatihan Petani Tanaman Pangan dan
Hortikultura
144 org 122.500.000 - - - - - - - 0,000 BKP3
1 21 1 15 24 Alih Tekhnologi 4 Pkt 306.400.000 - - - - - - - 0,000 BKP3
1 21 1 15 25 Demplot petani tanaman pangan 120 unit 480.000.000 - - - - - - - 0,000 BKP3
1 21 1 15 26 Demplot Petani Hortikultura 72 Unit 720.000.000 - - - - - - - 0,000 BKP3
13 14 = 7 + 13 15 = 14 / 6 *100%
Keikutsertaan Petani Dalam Pekan Daerah KTNA
Provinsi Sumatera Utara
10 116 7 8 9 12
1 2 3 4 5
Target RPJMD Kota pada
tahun 2013 (Akhir Periode
RPJMD)
FORMULIR VII.F.8
EVALUASI TERHADAP HASIL RKPD
KOTA PADANGSIDIMPUAN
TAHUN 2013
Realisasi
Capaian Kinerja
RPJMD Kota
sampai dengan
RKPD Kota
Tahun Lalu (n-
2) / 2012
Target Kinerja dan
Anggaran RKPD Kota
Tahun Berjalan (Tahun
n-1) yang dievaluasi /
2013
Realisasi Kinerja pada Triwulan
Realisasi Capaian
Kinerja dan Anggaran
RKPD Kota yang
dievaluasi (2013)
Realisasi Kinerja
dan Anggaran
RPJMD Kota S/D
Tahun 2012 S/D
2013 (Akhir Tahun
Pelaksanaan RKPD
Tahun 2013)
SPKD
Penan
ggung
Jawab
I II III IV
Tingkat Capaian
Kinerja dan
Realisasi Anggaran
RPJMD Kota s/d
Tahun 2013 (%)
NO Sasaran Kode
Urusan / Bidang Urusan Pemerintahan Daerah
dan Program / Kegiatan
Indikator
Kinerja
Program
(Outcome)
/Kegiatan
(Output)
54dari 67
1 2 4 5 16
1 21 1 15 27 Denfarm Padi 75 Org 540.000.000 - - - - - - - 0,000 BKP3
1 21 1 15 28 Demplot kedelai 25 Klpk 140.000.000 - - - - - - - 0,000 BKP3
1 21 1 15 29 Demplot Padi Organik 108 Org 540.000.000 - - - - - - - 0,000 BKP3
1 21 1 15 30 Demplot Tanaman Sayuran Organik 108 Org 756.000.000 - - - - - - - 0,000 BKP3
1 21 1 15 31 Pembuatan Pupuk Organik 150 Klpk 360.000.000 - - - - - - - 0,000 BKP3
1 21 1 15 32 Pembibitan Sapi 24 klpk 108.000.000 - - - - - - - 0,000 BKP3
1 21 1 15 33 Pembuatan Pakan Ternak sapi 24 klpk 432.000.000 - - - - - - - 0,000 BKP3
1 21 1 15 34 5 Pkt 13.600.000 - - - - - - - 0,000 BKP3
1 21 1 15 35 Jambore Penyuluh Nasional 61 org 573.800.000 - - - - - - - 0,000 BKP3
1 21 1 16
Program Peningkatan Ketahanan Pangan
Pertanian / Perkebunan
Kegiatan :
2 01 04 16 01 Penanganan Daerah Rawan Pangan 20 Desa 400.000.000
2 21 1 16 02 Penyusunan Data Base Potensi Produksi Pangan 20 Dok 156.050.000 - 1 Thn#### 200.000 2.550.000 8.207.000 1 Thn 14.767.000 14.767.000 0,095 BKP3
2 21 1 16 04
Analisa Rasio Jumlah Penduduk terhadap Jumlah
Kebutuhan Pangan 4 Dok 210.000.000 - - - - - - - 0,000 BKP3
2 01 04 16 07
Monitoring Evaluasi dan Pelaporan Kebijakan
Perberasan
8 Dok 120.000.000 - - - - - - - 0,000 BKP3
2 21 1 16 09
Pemanfaatan Pekarangan Untuk Pengembangan
Pangan
4 Pkt 160.000.000 - - - - - - - 0,000 BKP3
2 01 04 16 10
Pemantauan dan Analisis Akses Pangan
masyarakat
16 Dok 110.000.000 - - - - - - - 0,000 BKP3
2 01 04 16 11 Pemantauan dan analisis Harga Pangan Pokok 20 Dok 40.000.000 - - - - - - - 0,000 BKP3
2 01 04 16 12
penanganan Pasca Panen dan Pengolahan hasil
Pertanian
4 Pkt 260.000.000 - - - - - - - 0,000 BKP3
2 01 04 16 13 Pembinaan Cadangan Pangan 4 Klpk 110.000.000 - - - - - - - 0,000 BKP3
2 01 04 16 14 Pengembangan Desa Mandiri Pangan 4 Desa 600.000.000 - - - - - - - 0,000 BKP3
2 01 04 16 18 Pengembangan Lumbung pangan desa 3 desa 390.000.000 - - - - - - - 0,000 BKP3
2 21 1 16 21 Pengembangan Sistem Informasi Pasar 20 Dok 200.000.000 1 Thn 32.090.000 1 Thn#### 100.000 9.480.000 18.994.000 1 Thn 31.634.000 31.634.000 0,158 BKP3
2 21 1 16 22 Peningkatan Mutu dan Keamanan Pangan 5 Pkt 220.000.000 3 Bln 35.125.500 - - 29.425.500 5.650.000 1 Thn 35.075.500 35.075.500 0,159 BKP4
2 01 04 16 23 Koordinasi Kebijakan Perberasan 6 Pkt 60.000.000 - - - - - - - 0,000 BKP3
- - - 31.250.000 31.250.000 31.250.000 0,077 BKP3
2 21 1 16 33 Pengembangan Diversifikasi Pangan Lokal 5 Pkt 210.000.000 34.150.000 - - 28.450.500 5.650.000 34.100.500 34.100.500 0,162 BKP3
Kel.Tani 2 01 04 16 35
Penghargaan Adhikarya Pangan Nusantara /
Tingkat Kota
5 Pkt 278.200.000 6 Bln 28.142.000 - - 16.442.000 9.774.000 26.216.000 26.216.000 0,094 BKP3
2 21 1 16 37 Rapat Dewan Ketahanan Pangan 5 Dok 239.200.000 39.220.000 - - 13.174.200 25.138.000 38.312.200 38.312.200 0,160 BKP3
2 21 1 16 38 Monitoring Evaluasi dan Pelaporan 4 Pkt 80.000.000 - - - - - - - - 0,000 BKP3
Kel. Tani /
Masyarakat
405.000.000
KWT dan
PKK
Binaan
sekota Psp
2 21 1 16
15,000
31.350.00030 Penyuluhan Sumber Pangan Alternatif
10 11 12 13 143 6 7 8 9
Penyuluhan dan Bimbingan Pemanfaatan dan
Produktifitas lahan tidur
5 Pkt
55dari 67
1 2 4 5 16
2 01 04 16 38 Sistem Kewaspadaan pangan dan Gizi (SKPG) 4 Pkt 105.000.000 - - - - - - - 0,000 BKP3
2 01 04 16 39 Penyusunan SPM Ketahanan Pangan 8 Dok 70.000.000 - - - - - - - 0,000 BKP3
1 21 1 17
Program Peningkatan Pemasaran Hasil Produksi
Pertanian / Perkebunan
Kegiatan :
1 21 1 17 07
Promosi atas hasil produksi pertanian /
perkebunan unggulan daerah
20 Org 48.195.000 0 - - - - - 0 0,000
1 21 1 20
Program Pemberdayaan Penyuluh Pertanian /
Perkebunan Lapangan
Kegiatan :
PPL PNS 1 21 1 20 01
Honorarium THL - TB PP / Peningkatan
Kesejahteraan Tenaga Penyuluh Pertanian /
Perkebunan
80 Org 192.000.000 3 Bln 75.000.000 - - - 72.000.000 72.000.000 72.000.000 0,375 BKP3
PPL THL
TB
1 21 1 20 02
BOP Penyuluh PNS / Peningkatan Kapasitas
Tenaga Penyuluh Pertanian / Perkebunan
250 Org 435.000.000 2 Bln 11.086.000 - - - 10.786.000 10.786.000 10.786.000 0,025 BKP3
1 21 1 20 04 Pertemuan BPP 250 Org 230.000.000 1 Thn 34.450.000 1 Thn#### 1 Thn 1.750.000 - - 1 Thn 8.440.000 8.440.000 0,037 BKP3
1 21 1 20 05
Penyediaan Demplot Bagi penyuluh pertanian /
perkebunan lapangan
1 Thn 53.765.000 53.765.000 - - - 53.765.000 53.765.000 53.765.000 1,000 BKP3
1 21 1 20 06 Rapat Posko 900 Org 583.200.000 1 Thn 60.000.000 1 Thn#### 1 Thn 13.855.000 - - 1 Thn 15.780.000 15.780.000 0,027 BKP3
1 21 1 20 08
Pembuatan buku rencana kerja harian dan buku
pintar
1.040 buah 213.525.000 13.525.000 - - 12.325.000 1.200.000 13.525.000 13.525.000 0,063 BKP3
1 21 1 20 09
Rencana Kerja, Program Kerja Tk. Kecamatan /
Kota
450 Buah 145.730.000 25.730.000 - - - - 25.730.000 25.730.000 0,177 BKP3
1 21 1 20 10 Pengadaan Sarana dan Prasarana Penyuluhan 5 Pkt 230.000.000 - - - - - - - 0,000 BKP3
1 21 1 20 11 Penilaian Penyuluh PNS Teladan 30 Org 86.080.000 - - - - - - - 0,000 BKP3
1 21 1 20 12 Penilaian Penyuluh Swadaya Teladan 12 Org 55.000.000 - - - - - - - 0,000 BKP3
1 21 1 20 13 Penilaian BPP Teladan 24 Unit 80.000.000 - - - - - - - 0,000 BKP3
1 21 1 20 14 Magang Penyuluh tanaman pangan / perikanan 44 Org 307.168.000 - - - - - - - 0,000 BKP3
1 21 1 20 15 Magang Penyuluh tanaman hortikultura 48 Org 379.968.000 - - - - - - - 0,000 BKP3
1 21 1 20 16
Magang Penyuluh Tanaman
Perkebunan/Peternakan
8 Org 60.000.000 - - - - - - - 0 BKP3
1 21 1 20 17
Pelatihan Penyuluh Agribisnis Tanaman
Hortikultura
120 Org 79.200.000 - - - - - - - 0 BKP3
1 21 1 20 18 Pelatihan Penyuluh Tata Guna Air 140 Org 96.900.000 - - - - - - - 0 BKP3
1 21 1 20 19 Pelatihan Penyuluh Alat Mekanisasi 128 org 83.250.000 - - - - - - - 0 BKP3
1 21 1 20 20
Pelatihan Penyuluhan Perbenihan Tanaman
pangan / Hortikultura
140 Org 134.100.000 - - - - - - - 0 BKP3
1 21 1 20 21 Demplot Penyuluh Tanaman Pangan 150 Org 653.765.000 - - - - - - - 0 BKP3
1 21 1 20 22 Demplot penyuluh Perbenihan padi 120 org 600.000.000 - - - - - - - 0 BKP3
1 21 1 20 23 Demplot Penyuluh Hortikultura 51 Org 488.630.000 - - - - - - - 0 BKP3
1 21 1 20 24 Demplot penyuluh Pembibitan perkebunan 48 Org 576.000.000 - - - - - - - 0 BKP3
1 21 1 20 25 Pembuatan Brosur, Liflet Penyuluhan 24.000 Lbr 750.000.000 - - - - - - - 0 BKP3
9 15,00010 11 12 13 14
PPL THL
TB dan PPL
PNS
Petugas
Lapangan
3 6 7 8
56dari 67
1 2 4 5 16
1 21 1 20 26 Jambore Penyuluh Provinsi 76 Org 220.800.000 48.195.000 - - - 48.086.000 48.086.000 48.086.000 0,217780797 BKP3
BKP3
JUMLAH 18.671.343.000 615.685.700
0,032974902
Faktor pendorong keberhasilan kinerja :
Faktor penghambat pencapaian kinerja :
Tindaklanjut yang diperlukan dalam triwulan berikutnya :
Tindaklanjut yang diperlukan dalam RKPD berikutnya :
9 15,00010 11 12 13 14
Rata - rata Capaian Kinerja (%)
Predikat Kinerja
3 6 7 8
57dari 67
K Rp K Rp K Rp K Rp K Rp K Rp K Rp K Rp K Rp K %
1 22 1 22 1 1 15 PROG. PENINGKATAN
KEBERDAYAAN
MASYARAKAT PEDESAAN
1 Terbentuknya
Lembaga tk.
Desa/Kel
1 22 1 22 1 1 15 1 Bantuan Operasional Lembaga
dan Organisasi Masyarakat
Desa/Kel
Meningkatkatkan Peran
Lembaga sbg Mitra
79 Des/
Kel
350.000.000 79 BPMK
2 Termotifasinya
Masyarakat untuk
meningkatkan
Keberdayaan dlm
membangun Desa
1 22 1 22 1 1 15 3 Penyelenggaraan Diseminasi
Informasi bagi Masyarakat
Desa
Termotifasinya Masyarakat
untuk meningkatkan
Keberdayaan dlm membangun
Desa
300 Org 589.000.000 60 48.760.100 60 5.600.000 60 33.230.100 60 Org 38.830.100 60 38.830.100 60 7
3 Terciptanya RPJM
Desa dan
RKPDesa yang
terarah dan
akuntabel
1 22 1 22 1 1 15 7 Pasilitasi Penyusunan RPJM
Desa dan RKP Desa
Tersedianya RPJM Desa dan
RKP Desa yang terarah
790 Org 1.355.000.000 790 67.683.500 24.553.500 24.553.500 24.553.500 2
4 1 22 1 22 1 1 15 8 Pengelolaan Sumber Daya Alam
Berbasis TTG.
Terbentuknya Posyantek hasil
Revitalisasi.
6 Kec 540.000.000
5 1 22 1 22 1 1 15 Penyelenggaraan Pendidikan
dan Pelatihan Tekhnis
Masyarakat ( Kader
Pemberdayaan Masyarakat )
Termotifasinya Masyarakat
untuk meningkatkan
Keberdayaan dlm membangun
Desa
2700 Org 870.000.000
6 Terlaksananya
Pemilihan Kepala
Desa
1 22 1 22 1 1 15 Pasilitasi Pemilihan Kepala
Desa
Terlaksananya Pemilihan
Kepala Desa
42 Des 420.000.000
7 1 22 1 22 1 1 15 Pembinaan Admininstrasi
Pemerintah Desa
Terlaksananya Administrasi
Pemerintahan Desa
42 Des 280.000.000
8 1 22 1 22 1 1 15 Pasilitasi Peningkatan Desa
Menjadi Kelurahan
Termotifasinya keswadayaan
masyarakat Pembangunan
Desa
10 Des 2.250.000.000
9 1 22 1 22 1 1 15 Pelatihan Aparatur Desa dalam
bidang Manajemen
Pemerintahan Desa
Termotifasinya Aparatur Desa
untuk meningkatkan
Pengetahuan dalam
Manajemen dan Pengelolaan
Keuangan Desa.
42 Des 855.000.000
1 22 1 22 1 1 17 PROGRAM PENINGKATAN
PARTISIFASI MASYARAKAT
DALAM MEMBANGUN DESA
RPJMD
RPJMD Realisasi
LAPORAN HASIL EVALUASI RKPD
KOTA PADANGSIDIMPUAN
TAHUN 2013
BADAN PEMBERDAYAAN MASYARAKAT DAERAH KOTA PADANGSIDIMPUAN
No Sasaran kode urusan/Bid. Urusan
Pemerintah Daerah dan
Prog/Keg
Indikator Kinerja Program (
Outcome)/ Kegiatan ( Output
Target RPJMD Kab/ Kota
Pada Tahun 2017 ( Akhir
Periode RPJMD )
SKPD
PENANG
GUNG
JAWAB
Anggaran RKPD Triwulan
Realiasi Kinerja Tingkat Capaian
dan Anggaran Kinerja dan
Kab/ Kota I II III IV
Tahun berjalan RKPD Kab/Kota Anggaran
( Tahun n - 1 yang Kab/Kota S/d Tahun ...
6 7 8
dievaluasi yang di evaluasi
Realisasi Capaian
Kinerja RPJMD
Kab/Kota sampai
dengan RPKD Kab/
Kota ( n-2 )
dan Anggaran
Target Kinerja dan Realisasi Kinerja pada Realisasi
Capaian Kinerja
1 2 3 4 5 15 = 14/6* 100%9 10 11 12 13 14= 7+13
RKPD Tahun.... ) ( % )
( Akhir Tahun Kab/Kota
Pelaksanaan S/d Tahun.....
58 dari 67
10 1 22 1 22 1 1 17 6 Pelaksanaan Perlombaan Desa
dan Perlombaan Kelurahan
Termitifasinya Keikutbsertaan
Masyarakat dalam
Pembangunan Desa.
5 Keg 737.000.000 1 106.526.000 1 2.920.000 1 58.546.000 1 61.466.000 1 61.466.000 20 8 BPMK
11 1 22 1 22 1 1 17 9 Pencanangan dan Pelaksanaan
Bulan Bahkti Gotong Royong
Masyarakat
2050 Org 1.133.000.000 350 133.333.200 350 60.450.000 68.945.700 - 350 133.333.200 350 133.333.200 12 BPMK
12 1 22 1 22 1 1 17 8 Distribusi ADD/ADK Terlaksananya pembangunan
desa dengan keswadayaan
masyarakat
42 Des 18.640.000.000 42 89.808.600 38.298.600 42 38.298.600 42 38.298.600 42 0
13 1 22 1 22 1 1 17 12 Penyusunan Profil Desa dan
Kelurahan
Terlaksananya Program dlm
Penyusunan Profil di 6
Kecamatan
6 Kec 14.525.000.000 1 352.165.000 1 6.038.000 1 4.200.000 47.140.000 1 57.378.000 1 57.378.000 16,66667 0 BPMK
1 22 1 22 1 1 21 PROG. PENYELENGGARAAN
DISIMINASI INFORMASI BAGI
MASYARAKAT
14 1 22 1 22 1 1 21 1 Mengikuti Jambore TTG
Tingkat Provinsi
Meningkatkan Pemahaman
Aparat dan Masyrakat tentang
Pelastarian SDA dan
Pemanfaatan TTG
7 Posy
ante
k
1.016.800.000 2 96.849.550 2 77.189.550 2 77.189.550 2 77.189.550 28,57143 8
15 1 22 1 22 1 1 21 2 Mengikuti Jambore TTG
Tingkat Nasional
Meningkatkan Pemahaman
Aparat dan Masyrakat tentang
Pelastarian SDA dan
Pemanfaatan TTG
44 Org 593.800.000 6 68.847.100 53.481.100 53.481.100 53.481.100 9
16 1 22 1 22 1 1 21 3 Peningkatan Peran Serta
Masyarakat dalam
Pemasyarakatan dan
Pendayagunaan TTG
Terbentuknya Posyantek hasil
Revitalisasi.
24 Posy
ante
k
490.000.000
1 22 1 22 1 1 22 PROG. PENINGKATAN
PEMBERDAYAAN
PEREMPUAN
17 1 22 1 22 1 1 22 1 Pembinaan Desa/
Kel/PTP2WKSS/PKK
Percontohan dan Daerah
Menuju Wisata
Meningkatkan Pemahaman
Aparat dan Masyrakat tentang
Pelastarian SDA dan
Pemanfaatan TTG
79 Des/
Kel
2.516.500.000 2 130.507.000 2 31.050.000 2 Desa 5.100.000 27.638.000 2 63.788.000 2 63.788.000 2,531646 3 BPMK
6268 47.161.100.000 1333 1.094.480.050 548.318.050 458 548.318.050 7,306956 1
:
: 6268 47.161.100.000 1333 1.094.480.050
RATA RATA CAPAIAN KINERJA ( % ) 458 548.318.050 7,306956 1,162649 BPMK
PREDIKAT KINERJA
PAKTOR PENDORONG KEBERHASILAN KINERJA : Berlangsungnya Komunikasi yang baik dan meningkatnya Sumber Daya Masyarakat Masyarakat
FAKTOR PENGHAMBAT PENCAPAIAN KINERJA : Tidak tepatnya waktu Penetapan Jadwal RKPD
TINDAK LANJUT YANG DIPERLUKAN DALAM TRIWULAN BERIKUTNYA : Jadwal tepat waktu
TINDAK LANJUT YANG DIPERLUKAN DALAM RKPD BERIKUTNYA: Penyusunan RKPD diharapkan sesuai dengan RPJM
59 dari 67
KP2T
K Rp. K Rp. K Rp. K Rp. K Rp. K Rp. K Rp. K Rp. K Rp. K %
URUSAN WAJIB
I Belanja Tidak Langsung
II Belanja Langsung
1
Program Pelayanan Administrasi
Perkantoran
KP2T
1 Penyediaan Jasa Surat MenyuratMasukan :Dana 114.710.528 30.000.000 36.000.000 - 17.847.264 9.734.932 8.864.332 36.446.528 66.446.528 57,93%
Keluaran :Terpenuhinya Jasa Surat Menyurat5 Tahun 1 Tahun 1 Tahun 1 Tahun 1 Tahun 1 Tahun 1 Tahun 1 Tahun 1 Tahun 1 Tahun
Hasil :Terlaksananya Surat Menyurat 5 Tahun 1 Tahun 1 Tahun 1 Tahun 1 Tahun 1 Tahun 1 Tahun 1 Tahun 1 Tahun 1 Tahun
2 Penyediaan Jasa Komunikasi, Masukan :Dana 499.764.038 14.550.700 19.750.000 - 6.676.887 4.193.753 4.695.867 15.566.507 30.117.207 6,03%
Sumber Daya Air dan Listrik Keluaran :Terpenuhinya Jasa
Komunikasi, Sumber Daya Air
dan Listrik
5 Tahun 1 Tahun 1 Tahun 1 Tahun 1 Tahun 1 Tahun 1 Tahun 1 Tahun 1 Tahun 1 Tahun
Hasil :Terlaksananya Jasa
Komunikasi, Sumber Daya Air
dan Listrik
5 Tahun 1 Tahun 1 Tahun 1 Tahun 1 Tahun 1 Tahun 1 Tahun 1 Tahun 1 Tahun 1 Tahun
3 Penyediaan Jasa Peralatan dan Masukan :Dana 51.500.000 - - - 1.750.000 1.750.000 8.045.418 11.545.418 11.545.418 22,42%
Perlengkapan Kantor Keluaran :Terpenuhinya Jasa Peralatan
dan Perlengkapan Kantor
2 Tahun - - 1 Tahun 1 Tahun 1 Tahun 1 Tahun 1 Tahun 1 Tahun 1 Tahun
Hasil :Terlaksananya Jasa Peralatan
dan Perlengkapan Kantor
2 Tahun - - 1 Tahun 1 Tahun 1 Tahun 1 Tahun 1 Tahun 1 Tahun 1 Tahun
8 Penyediaan Jasa Kebersihan
Kantor
Masukan :Dana 619.445.958 15.977.600 15.616.500 - 14.251.940 14.989.700 17.866.350 47.107.990 63.085.590 10,18%
Keluaran :Honor Harian Lepas 5 Tahun 1 Tahun 1 Tahun 1 Tahun 1 Tahun 1 Tahun 1 Tahun 1 Tahun 1 Tahun 1 Tahun
Hasil :Meningkatnya Kebersihan Kantor5 Tahun 1 Tahun 1 Tahun 1 Tahun 1 Tahun 1 Tahun 1 Tahun 1 Tahun 1 Tahun 1 Tahun
10 Penyediaan Alat Tulis Kantor Masukan :Dana 941.409.383 60.903.900 99.999.800 - 49.948.300 47.972.800 23.979.100 121.900.200 182.804.100 19,42%
Keluaran :Tersedianya Alat Tulis Kantor 5 Tahun 1 Tahun 1 Tahun 1 Tahun 1 Tahun 1 Tahun 1 Tahun 1 Tahun 1 Tahun 1 Tahun
Hasil :Peningkatan Kinerja Aparatur 5 Tahun 1 Tahun 1 Tahun 1 Tahun 1 Tahun 1 Tahun 1 Tahun 1 Tahun 1 Tahun 1 Tahun
11 Penyediaan Barang Cetakan dan Masukan :Dana 838.330.718 91.534.600 164.800.000 - 50.563.900 42.926.400 23.824.500 117.314.800 208.849.400 24,91%
Penggandaan Keluaran :Tersedianya Barang Cetakan
dan Pengadaan
5 Tahun 1 Tahun 1 Tahun 1 Tahun 1 Tahun 1 Tahun 1 Tahun 1 Tahun 1 Tahun 1 Tahun
Hasil :Peningkatan Kinerja Aparatur 5 Tahun 1 Tahun 1 Tahun 1 Tahun 1 Tahun 1 Tahun 1 Tahun 1 Tahun 1 Tahun 1 Tahun
12
Penyediaan Komponen Instalasi
Masukan :
Dana
60.944.000 - 7.491.500
-
1.400.000 100.000 8.499.000 9.999.000 9.999.000 16,41%
Listrik/Penerangan Bangunan
Kantor
Keluaran :Tersedianya Komponen
Instalasi listrik/Penerangan
Bangunan Kantor
5 Tahun 1 Tahun 1 Tahun 1 Tahun 1 Tahun 1 Tahun 1 Tahun 1 Tahun 1 Tahun
Hasil :Peningkatan Kinerja Aparatur 5 Tahun 1 Tahun 1 Tahun 1 Tahun 1 Tahun 1 Tahun 1 Tahun 1 Tahun 1 Tahun
14
Penyediaan Peralatan Rumah
Masukan :
Dana
- 11.050.000 9.000.000
-
3.200.000 7.690.000 7.024.000 17.914.000 28.964.000
Tangga Keluaran :Tersedianya Peralatan Rumah
Tangga
- 1 Tahun 1 Tahun 1 Tahun 1 Tahun 1 Tahun 1 Tahun 1 Tahun 1 Tahun 1 Tahun
Hasil :Meningkatnya Kebersihan Kantor - 1 Tahun 1 Tahun 1 Tahun 1 Tahun 1 Tahun 1 Tahun 1 Tahun 1 Tahun 1 Tahun
15
Penyediaan Bahan Bacaan dan
Masukan :
Dana
267.352.000 21.120.000 9.000.000
- - - - -
21.120.000 7,90%
Peraturan Perundang-Undangan Keluaran :Tersedianya Bahan Bacaan
dan Peraturan Perundang-
Undangan
5 Tahun 1 Tahun 1 Tahun 1 Tahun 1 Tahun - - - 1 Tahun 1 Tahun
Hasil :Meningkatnya Pengetahuan Aparatur5 Tahun 1 Tahun 1 Tahun 1 Tahun 1 Tahun - - - 1 Tahun 1 Tahun
17 Penyediaan Makanan dan MinumanMasukan :Dana 752.010.880 18.000.000 91.920.000 - 13.392.000 15.466.000 23.626.000 52.484.000 70.484.000 9,37%
Keluaran :Tersedianya Makan dan
Minum Aparatur dan Tamu
5 Tahun 1 Tahun 1 Tahun 1 Tahun 1 Tahun 1 Tahun 1 Tahun 1 Tahun 1 Tahun 1 Tahun
Hasil :Peningkatan Kinerja Aparatur 5 Tahun 1 Tahun 1 Tahun 1 Tahun 1 Tahun 1 Tahun 1 Tahun 1 Tahun 1 Tahun 1 Tahun
18 Rapat-Rapat Koordinasi dan Masukan :Dana 2.364.294.096 188.900.000 398.840.000 - 73.860.000 47.288.000 41.106.600 162.254.600 351.154.600 14,85%
Konsultasi ke Luar Daerah Keluaran :Terlaksananya Rapat-rapat
Koordinasi dan Konsultasi ke
Luar Daerah
5 Tahun 1 Tahun 1 Tahun 1 Tahun 1 Tahun 1 Tahun 1 Tahun 1 Tahun 1 Tahun 1 Tahun
No.
Sasar
an
Kode
Urusan / Bidang Urusan
Pemerintahan Daerah dan
Program/Kegiatan
Indikator Kinerja Program
(Outcome)/kegiatan (Output)
EVALUASI TERHADAP HASIL RKPD
KOTA PADANGSIDIMPUAN
TAHUN 2013
Sasaran Pembangunan Tahunan Kota
Target RPJMD
Kabupaten/Kota pada
Tahun 2013-2017 (Akhir
Periode RPJMD)
Realisasi Capaian
Kinerja RPJMD
Kabupaten/Kota sampai
dengan RKPD
Kabupaten/Kota Tahun
Lalu (n-2)
Target Kinerja dan
Anggaran RKPD
Kabupaten/Kota Tahun
Berjalan (Tahun n-1)
yang Dievaluasi
Realisasi Kinerja Pada Triwulan
Realisasi Capaian Kinerja
dan Anggaran RKPD
Kabupaten/Kota yang
dievaluasi
Tingkat Capaian
Kinerja dan
Realisasi
Anggaran RPJMD
Kabupaten/Kota
s/d
Tahun........(%)
SKPD
Penan
ggung
jawab
I II III IV
Realisasi Kinerja dan
Anggaran RPJMD
Kabupaten/Kota s/d
Tahun (Akhir Tahun
Pelaksanaan RKPD
Tahun........)
1 2 4 5
7 8 9 106 13 14 = 7 + 13 15 = 14/6 * 100%11 12
60 dari 67
Hasil :Meningkatnya Pengetahuan Aparatur5 Tahun 1 Tahun 1 Tahun 1 Tahun 1 Tahun 1 Tahun 1 Tahun 1 Tahun 1 Tahun 1 Tahun
19 Penyediaan jasa keamanan kantorMasukan :Dana 513.414.240 - 14.540.184 - 15.000.000 6.300.000 15.000.000 36.300.000 36.300.000 7,07%
Keluaran :Honor Harian Lepas 5 Tahun - 1 Tahun 1 Tahun 1 Tahun 1 Tahun 1 Tahun 1 Tahun 1 Tahun 1 Tahun
Hasil :Meningkatnya Keamanan
Fasilitas Kantor
5 Tahun - 1 Tahun 1 Tahun 1 Tahun 1 Tahun 1 Tahun 1 Tahun 1 Tahun 1 Tahun
20 Penyediaan jasa administrasi Masukan :Dana 39.958.720 9.180.000 14.130.000 - - - - - 9.180.000 22,97%
Perkantoran Keluaran :Terpenuhinya Jasa
Administrasi Perkantoran
5 Tahun 1 Tahun 1 Tahun 1 Tahun 1 Tahun 1 Tahun 1 Tahun 1 Tahun 1 Tahun 1 Tahun
Hasil :Tersedianya Fasilitas
Pendukung Kinerja
5 Tahun 1 Tahun 1 Tahun 1 Tahun 1 Tahun 1 Tahun 1 Tahun 1 Tahun 1 Tahun 1 Tahun
2 Program Peningkatan Sarana dan
Prasarana Aparatur
5 Pengadaan Kenderaan Dinas/ Masukan :Dana 710.368.960 - 359.140.000 - - - 219.502.000 219.502.000 219.502.000 30,90%
Operasional Keluaran :Terpenuhinya Kenderaan
Dinas/Operasional
7 Unit - 1 Tahun 1 Tahun 1 Tahun 1 Tahun 1 Tahun 1 Tahun 1 Tahun 1 Tahun
Hasil :Tersedianya Sarana
Pendukung Operasional
Lapangan
7 Unit - 1 Tahun 1 Tahun 1 Tahun 1 Tahun 1 Tahun 1 Tahun 1 Tahun 1 Tahun
7 Pengadaan Perlengkapan GedungMasukan :Dana 70.068.194 - 186.134.312 - 50.000.000 0 20.050.000 70.050.000 70.050.000 99,97%
Kantor Keluaran :Perlengkapan Gedung Kantor 1 Paket - 1 Paket 1 Paket 1 Paket 1 Paket 1 Paket 1 Paket 1 Paket 1 Paket
Hasil :Tersedianya Sarana
Pendukung Perlengkapan
Kantor
1 Paket - 1 Paket 1 Paket 1 Paket 1 Paket 1 Paket 1 Paket 1 Paket 1 Paket
9 Pengadaan Peralatan Gedung Masukan :Dana 650.000.000 495.006.500 - - 995.000 26.682.500 105.800.000 133.477.500 628.484.000 96,69%
Kantor Keluaran :Peralatan Gedung Kantor 1 Paket 1 Tahun - 1 Paket 1 Paket 1 Paket 1 Paket 1 Paket 1 Paket 1 Paket
Hasil :Tersedianya Sarana Pendukung 1 Paket 1 Tahun - 1 Paket 1 Paket 1 Paket 1 Paket 1 Paket 1 Paket 1 Paket
10 Pengadaan Mebeleur Masukan :Dana 63.000.000 - - - - 53.400.000 3.000.000 56.400.000 56.400.000 89,52%
Keluaran :Mebeleur 1 Paket - - 1 Paket 1 Paket 1 Paket 1 Paket 1 Paket 1 Paket 1 Paket
Hasil :Tersedianya Sarana
Pendukung Mebeleur Kantor
1 Paket - - 1 Paket 1 Paket 1 Paket 1 Paket 1 Paket 1 Paket 1 Paket
22 Pemeliharaan Rutin/Berkala Masukan :Dana 356.292.960 - - - 39.950.000 0 0 39.950.000 39.950.000 11,21%
Gedung Kantor Keluaran :Pemeliharaan Gedung Kantor 5 Tahun - - 1 Tahun 1 Tahun 1 Tahun 1 Tahun 1 Tahun 1 Tahun 1 Tahun
Hasil :Meningkatnya Kualitas Gedung
Kantor
5 Tahun - - 1 Tahun 1 Tahun 1 Tahun 1 Tahun 1 Tahun 1 Tahun 1 Tahun
24 Pemeliharaan Rutin/Berkala Masukan :Dana 947.249.535 17.641.000 17.750.000 - 7.697.100 7.357.650 11.855.990 26.910.740 44.551.740 4,70%
Kendaraan Dinas/Operasional Keluaran :Pemeliharaan Kenderaan
Dinas/Operasional
5 Tahun 1 Tahun 1 Tahun 1 Tahun 1 Tahun 1 Tahun 1 Tahun 1 Tahun 1 Tahun 1 Tahun
Hasil :Meningkatnya Kualitas
Kenderaan Dinas/Operasional
5 Tahun 1 Tahun 1 Tahun 1 Tahun 1 Tahun 1 Tahun 1 Tahun 1 Tahun 1 Tahun 1 Tahun
26 Pemeliharaan Rutin/Berkala Masukan :Dana 356.292.960 2.407.500 8.960.000 - - - - - 2.407.500 0,68%
Perlengkapan Gedung Kantor Keluaran :Pemeliharaan Perlengkapan
Gedung Kantor
5 Tahun 1 Tahun 1 Tahun - - - - - 1 Tahun 1 Tahun
Hasil :Meningkatnya Kualitas
Perlengkapan Gedung Kantor
5 Tahun 1 Tahun 1 Tahun - - - - - 1 Tahun 1 Tahun
28 Pemeliharaan Rutin/Berkala Masukan :Dana 356.292.960 - 8.960.000 - 11.900.000 3.500.000 12.700.000 28.100.000 28.100.000 7,89%
Peralatan Gedung Kantor Keluaran :Pemeliharaan Peralatan dan
Perlengkapan Gedung Kantor
5 Tahun - 1 Tahun 1 Tahun 1 Tahun 1 Tahun 1 Tahun 1 Tahun 1 Tahun 1 Tahun
Hasil :Meningkatnya Kualitas
Peralatan dan Perlengkapan
Gedung Kantor
5 Tahun - 1 Tahun 1 Tahun 1 Tahun 1 Tahun 1 Tahun 1 Tahun 1 Tahun 1 Tahun
42 Rehabilitasi Sedang/Berat GedungMasukan :Dana - - 23.500.000 0
Kantor Keluaran :Tersedianya Jerjak Kantor - - 1 Tahun
Hasil :Terciptanta Keamanan Kantor - - 1 Tahun
46 Pembangunan Gedung Kantor Masukan :Dana 1.861.506.330 - - - - 406.520.000 29.002.000 435.522.000 435.522.000 23,40%
Keluaran :Pembangunan Gedung Kantor 3 Paket - - 1 Paket 1 Paket 1 Paket 1 Paket 1 Paket 1 Paket 1 Paket
Hasil :Bertambahnya Ruang Kerja Aparatur3 Paket - - 1 Paket 1 Paket 1 Paket 1 Paket 1 Paket 1 Paket 1 Paket
3
Program Peningkatan Disiplin
Aparatur
2 Pengadaan Pakaian Dinas
Beserta
Masukan :
Dana
211.495.224
- - -
8.600.000 8.600.000 0 17.200.000 17.200.000 8,13%
Perlengkapannya Keluaran :Pakaian Dinas Beserta
Perlengkapannya
5 Keg - - 1 Keg 1 Keg 1 Keg 1 Keg 1 Keg 1 Keg 1 Keg
Hasil :Peningkatan Pelayanan Aparatur 5 Keg - - 1 Keg 1 Keg 1 Keg 1 Keg 1 Keg 1 Keg 1 Keg
5 Pengadaan Pakaian Khusus Hari-Masukan :Dana 180.225.590 - 16.770.000 - 21.020.000 21.020.000 0 42.040.000 42.040.000 23,33%
Hari Tertentu Keluaran :Pakaian Khusus Hari-hari tertentu5 Keg - 1 Keg 1 Keg 1 Keg 1 Keg 1 Keg 1 Keg 1 Keg 1 Keg
Hasil :Peningkatan Pelayanan Aparatur 5 Keg - 1 Keg 1 Keg 1 Keg 1 Keg 1 Keg 1 Keg 1 Keg 1 Keg
5 Program Peningkatan Kapasitas
Sumber Daya Aparatur
61 dari 67
1
Pendidikan dan Pelatihan
Formal
Masukan :
Dana
4.886.303.024 48.650.000 100.000.000
-
20.280.000 20.280.000 93.374.500 133.934.500 182.584.500 3,74%
Keluaran :Pendidikan dan Pelatihan Formal5 Tahun 1 Tahun 1 Tahun 1 Tahun 1 Tahun 1 Tahun 1 Tahun 1 Tahun 1 Tahun 1 Tahun
62 dari 67
Hasil :Meningkatnya Pengetahuan
dan Pemahaman Aparatur
5 Tahun 1 Tahun 1 Tahun 1 Tahun 1 Tahun 1 Tahun 1 Tahun 1 Tahun 1 Tahun 1 Tahun
2
Sosialisasi Peraturan Perundang-
Masukan :
Dana - -
227.625.080
- - - - -
0
Undangan Keluaran :Terpenuhinya Kegiatan
Sosialisasi Peraturan
Perundang-Undangan
Aparatur -
- 1 Tahun - - - - -
Hasil :Peningkatan Pelaksanaan
Tugas-Tugas Kantor -
- 1 Tahun - - - - -
3
Bimbingan Teknis Implementasi
Masukan :
Dana
103.774.500
- - - - -
61.386.300 61.386.300 61.386.300 59,15%
Peraturan Perundang-Undangan Keluaran :Bimbingan Teknis
Implementasi Peraturan
Perundang-Undangan
1 Keg - - 1 Keg 1 Keg 1 Keg 1 Keg 1 Keg 1 Keg 1 Keg
Hasil :Bertambahnya Ilmu
Pengetahuan Aparatur di
Bidang Perizinan dan Non
perizinan
1 Keg - - 1 Keg 1 Keg 1 Keg 1 Keg 1 Keg 1 Keg 1 Keg
7
Bimbingan Teknis, Workshop,
Masukan :
Dana
105.000.000
- - - - -
65.312.600 65.312.600 65.312.600 62,20%
Sosialisasi dan Legal Drafting
Bidang Hukum serta
Peningkatan SDM Bidang
Lainnya
Keluaran :Bimbingan Teknis, Workshop,
Sosialisasi dan Legal Drafting
bidang Hukum dan
Peningkatan SDM bidang
Lainnya
1 Keg - - 1 Keg 1 Keg 1 Keg 1 Keg 1 Keg 1 Keg 1 Keg
Hasil :Meningkatnya Pengetahuan
dan Pemahaman Aparatur
1 Keg - - 1 Keg 1 Keg 1 Keg 1 Keg 1 Keg 1 Keg 1 Keg
8 Kunjungan Kerja Masukan :Dana 1.325.348.960 - 149.200.000 - 87.570.000 87.570.000 5.028.000 180.168.000 180.168.000 13,59%
Keluaran :Kunjungan Kerja 4 Tahun 1 Tahun 1 Tahun 1 Tahun 1 Tahun 1 Tahun 1 Tahun 1 Tahun 1 Tahun 1 Tahun
Hasil :Meningkatnya Pengetahuan
dan Pemahaman Aparatur
4 Tahun 1 Tahun 1 Tahun 1 Tahun 1 Tahun 1 Tahun 1 Tahun 1 Tahun 1 Tahun 1 Tahun
6 Program Peningkatan
Pengembangan Sistem Pelaporan
Capaian Kinerja dan Keuangan
1
Penyusunan Laporan Capaian
Masukan :
Dana
91.780.000
- - - -
15.780.000 60.230.000 76.010.000 76.010.000 82,82%
Ikhtisar Realisasi Kinerja SKPD Keluaran :Laporan Capaian Kinerja dan
Ikhtisar Realisasi Kinerja
1 Dok - - 1 Dok 1 Dok 1 Dok 1 Dok 1 Dok 1 Dok 1 Dok
Hasil :Tersedianya Informasi Capaian
Kinerja dan Ikhtisar Realisasi
Kinerja
1 Dok - - 1 Dok 1 Dok 1 Dok 1 Dok 1 Dok 1 Dok 1 Dok
6
Penyusunan Laporan, Rencana
Masukan :
Dana
256.604.524
- - - - -
19.598.000 19.598.000 19.598.000 7,64%
Kinerja dan Anggaran Keluaran :Laporan Keuangan Semesteran 5 Dok - - 1 Dok 1 Dok 1 Dok 1 Dok 1 Dok 1 Dok 1 Dok
Hasil :Tersedianya Informasi
Keuangan Semesteran
5 Dok - - 1 Dok 1 Dok 1 Dok 1 Dok 1 Dok 1 Dok 1 Dok
13 Penyusunan Renstra Masukan :Dana 73.028.120 - - - - - 24.490.000 24.490.000 24.490.000 33,54%
Keluaran :Terselenggaranya Penyusunan
Renstra
1 Dok - - 1 Dok 1 Dok 1 Dok 1 Dok 1 Dok 1 Dok 1 Dok
Hasil :Renstra SKPD 1 Dok - - 1 Dok 1 Dok 1 Dok 1 Dok 1 Dok 1 Dok 1 Dok
# Program Perbaikan Sistem
Administrasi Kearsipan
4
Penyusunan Sistem Katalog
Data
Masukan :
Dana
721.401.933
- - - - -
66.634.300 66.634.300 66.634.300 9,24%
Keluaran :Dokumen Sistem Katalog Data 5 Dok - - 1 Dok 1 Dok 1 Dok 1 Dok 1 Dok 1 Dok 1 Dok
Hasil :Tersedianya Informasi Sistem
Katalog Data
5 Dok - - 1 Dok 1 Dok 1 Dok 1 Dok 1 Dok 1 Dok 1 Dok
# Program Penataan dan
Penyempurnaan Kebijakan
Sistem dan Prosedur
Pengawasan
3 Penyusunan dan Penerapan Masukan :Dana 23.566.700 - - - - 23.566.700 0 23.566.700 23.566.700 ######
Standar Operasional Prosedur Keluaran :Terselenggaranya Penyusunan
dan Penerapan Standar
Operasional Prosedur
1 Dok - - 1 Dok 1 Dok 1 Dok 1 Dok 1 Dok 1 Dok 1 Dok
Hasil :Tersedianya Informasi tentang
Standar Operasional Prosedur
1 Dok - - 1 Dok 1 Dok 1 Dok 1 Dok 1 Dok 1 Dok 1 Dok
# Program Penataan Peraturan
Perundang-Undangan
4
Fasilitasi Sosialisasi Peraturan
Masukan :
Dana - -
172.018.400
- - - - -
0
63 dari 67
Perundang-Undangan Keluaran :Terpenuhinya Kegiatan
Peraturan Perundang-
Undangan untuk Masyarakat -
- 1 Tahun - - - - -
64 dari 67
Hasil :Meningkatnya Jumlah
Masyarakat Mengurus Izin -
- 1 Tahun - - - - -
#
Program Pengembangan Jasa
Konstruksi
1 Bimtek Pengadaan Barang dan JasaMasukan :Dana 58.560.000 - - - - 15.780.000 13.230.000 29.010.000 29.010.000 49,54%
Pemerintah Keluaran :Bimtek Pengadaan Barang dan
Jasa Pemerintah
1 Tahun - - 1 Tahun 1 Tahun 1 Tahun 1 Tahun 1 Tahun 1 Tahun 1 Tahun
Hasil :Pelaksanaan Proses Pengadaan
Barang dan Jasa Pemerintah
1 Tahun - - 1 Tahun 1 Tahun 1 Tahun 1 Tahun 1 Tahun 1 Tahun 1 Tahun
20.471.295.035 1.024.921.800 2.151.145.776 0 495.902.391 888.468.435 993.724.857 2.378.095.683 3.403.017.483 16,62%
:
:
:
:Tindaklanjut yang diperlukan dalam RKPD berikutnya
JUMLAH
Rata - rata capaian kinerja (%)
Predikat Kinerja
Faktor pendorong keberhasilan kinerja
Faktor penghambat pencapaian kinerja
Tindaklanjut yang diperlukan dalam triwulan berikutnya
65 dari 67
SEKRETARIAT DEWAN PENGURUS KORPRI
K Rp. K Rp. K Rp. K Rp. K Rp. K Rp. K Rp. K Rp. K Rp. K Rp.
Program Pelayanan Administrasi Perkantoran
Penyediaan Jasa Komunikasi, Sumber
Daya Air dan Listrik Tersedianya Jasa Komunikasi,
Sumber Daya Air dan Listrik
- 20.600.000 - 3.501.910 20.600.000 - - - 544.655 5.420.339,00 1.542.248 7.507.242 11.009.152 53,44
Penyediaan Jasa Kebersihan Kantor Tersedianya peralatan
kebersihan kantor
- 19.191.000 - 13.164.200 19.191.000 - - - 6.591.000 3.400.000,00 8.250.000 18.241.000 31.405.200 163,65
Penyediaan Jasa Perbaikan Peralatan
Kerja Terpeliharanya peralatan kantor
- 2.800.000 - - 2.800.000 - - - 1.350.000 700.000 2.050.000 2.050.000 73,21
Penyediaan Alat Tulis Kantor Tersedinya alat tulis kantor - 16.016.500 - 9.832.000 16.016.500 - - - 10.516.500 2.733.000,00 2.767.000 16.016.500 25.848.500 161,39
Penyediaan Barang Cetakan dan
Penggandaan
Tersedianya barang cetakan
dan penggandaan
- 12.374.000 - 12.588.500 12.374.000 - - - 5.370.250 2.871.750,00 4.130.500 12.372.500 24.961.000 201,72
Penyediaan Peralatan dan Perlengkapan
Kantor
Tersedianya peralatan dan
perlengkapan kantor
- 14.390.000 - 77.750.250 14.390.000 - - - - 14.390.000,00 - 14.390.000 92.140.250 640,31
Penyediaan Peralatan Rumah Tangga
Tersedianya peralatan dapur
- - - 613.900 - - - - - - - 613.900
Penyediaan Bahan Bacaan dan
Peraturan Perundang-Undangan Tersedianya bacaan mengenai
perundang-undangan
- - - - - - - - - - - -
Penyediaan Makanan dan Minuman Tersedianya makanan dan
minuman PNS
- 34.320.000 - 30.670.000 34.320.000 - - - 10.210.000 3.980.000,00 13.180.000 27.370.000 58.040.000 169,11
Rapat-Rapat Koordinasi dan Konsultasi
Ke Luar Daerah
Tersedianya biaya perjalanan
dinas
- 75.000.000 - 45.200.000 75.000.000 - - - 20.850.000 21.716.000,00 32.396.000 74.962.000 120.162.000 160,22
Penyediaan jasa keamanan kantor Tersedianya keamanan kantor - 9.000.000 - 7.200.000 9.000.000 - - - 3.000.000 1.500.000,00 4.500.000 9.000.000 16.200.000 180,00
Program Peningkatan Sarana dan
Prasarana Aparatur
- - - - - - - - -
Pengadaan Kendaraan
Dinas/Operasional Tersedianya kendaraan dinas
- 18.000.000 - 17.300.000 18.000.000 - - - - - 17.300.000 96,11
Pemeliharaan Rutin/Berkala Gedung
Kantor Terpeliharanya gedung kantor
- - - 4.000.000 - - - - - - - 4.000.000
Pemeliharaan Rutin/Berkala Kendaraan
Dinas/Operasional Terpeliharanya kendaraan dinas
- 28.914.000 - 17.212.000 28.914.000 - - - 9.430.000 7.808.400,00 10.720.000 27.958.400 45.170.400 156,22
Program Peningkatan Disiplin
Aparatur
- - - - - - - - -
Pengadaan Pakaian Dinas beserta
Perlengkapannya
Tersedinya pakaian dinas
pegawai
- - - 6.750.000 - - - - - - - 6.750.000
Pengadaan Pakaian Korpri Tersedinya pakaian korpri - 770.700.000 - 3.150.000 770.700.000 - - - - 2.800.000,00 757.712.500 760.512.500 763.662.500 99,09
Program Peningkatan Kapasitas
Sumber Daya Aparatur
- - - - - - - - -
Pendidikan dan Pelatihan Formal Tersedinya biaya bimtek - 15.000.000 - 4.000.000 15.000.000 - - - - 11.068.000 11.068.000 15.068.000 100,45
Sosialisasi Peraturan Perundang-
Undangan
Terselenggaranya kegiatan
sosialisasi
- - - 33.200.000 - - - - - - 33.200.000
Program Peningkatan Pengembangan
Sistem Pelaporan Capaian Kinerja dan
Keuangan
- - - - - - - - - - -
Penyusunan Laporan Capaian Kinerja
dan Ikhtisar Realisasi Kinerja SKPD Tersedianya laporan aset dan
keuangan
- 3.500.000 - 7.400.000 3.500.000 - - - - - 7.400.000 211,43
Program Pembinaan dan
Pengembangan Aparatur
- - - - - - - - -
HUT KORPRI Terlaksananya perayaan HUT
Korpri
- 57.475.000 - 42.680.000 57.475.000 - - - - 57.475.000 57.475.000 100.155.000 174,26
Penyelenggaraan Rapat Kerja Daerah Terlaksananya rapat kerja
pengurus korpri
- 32.600.000 - - 32.600.000 - - - - 32.600.000,00 32.600.000 32.600.000 100,00
Program Perekonomian dan
Kesejahteraan Rakyat
- - - - - - - - - - -
Pelaksanaan MTQ dan Pengiriman
Peserta ke Tingkat Provsu
Terkirimnya peserta MTQ ke
Provinsi
- 4.000.000 - - 4.000.000 - - - - - -
EVALUASI TERHADAP HASIL RKPD
KOTA PADANGSIDIMPUAN
TAHUN 2013
SKPD
Penangg
ung
Jawab
I II III IV
No Sasaran Kode
Urusan /Bidang Urusan Pemerintahan
Daerah dan Program Kegiatan
Indikator Kinerja Program
(Outcome) / Kegiatan (Output)
6
Realisasi Kinerja Pada Triwulan
Realisasi Capaian
Kinerja dan
Anggaran RKPD
Kota yang dievaluasi
Realisasi Kinerja
dan Anggaran
RPJMD Kota s/d
Tahun 2013 (Akhir
Tahun Pelaksanaan
RKPD Tahun 2014)
Tingkat
Capaian
Kinerja dan
Realisasi
Anggaran
RPJMD Kota
s/d Tahun
13 14 = 7 + 13 15 = 14/6 * 100%
Target RPJMD Kota
pada Tahun 2013
Realisasi Capaian
Kinerja RPJMD Kota
sampai dengan
RKPD Kota Tahun
Lalu (n-2)
Target Kinerja dan
Anggaran RKPD Kota
Tahun Berjalan
(Tahun n-1) yang
dievaluasi
1 2 3 4 5 16
7 8 9 10 11 12
66 dari 67
Program Penataan Kelembagaan dan
Ketatalaksanaan
- - - - - - - - - - -
Penyusunan dan Pembentukan
Organisasi dan Tata Kerja Perangkat
Daerah lainnya
Terkirimnya peserta MTQ ke
Provinsi
- 39.835.000 - - 39.835.000 - - - - - -
Program Peningkatan Sumber Daya
Masyarakat
- - - - - - - - -
Pengiriman Peserta Bimbingan Test /
Bimbingan Belajar Terkirimnya siswa/siswi untuk
mengikuti bimbingan belajar
untuk menghadapi SPMB
- 86.580.000 - 79.880.000 86.580.000 - - - - 86.180.000,00 86.180.000 166.060.000 191,80
1.260.295.500 416.092.760 1.260.295.500 1.157.703.142 1.573.795.902
67 dari 67

RKPD Tahun 2015

  • 2.
    i DAFTAR ISI Halaman DAFTAR ISI............................................................................................................................... i BAB I PENDAHULUAN 1.1 Latar Belakang.................................................................................................... 1 1.2 Landasan Hukum................................................................................................ 5 1.3 Hubungan antar Dokumen.................................................................................. 6 1.4 Sistematika Dokumen RKPD Tahun 2015............................................................ 7 1.5 Maksud dan Tujuan…………………………………………………………………………….......... 8 BAB II EVALUASI HASIL PELAKSANAAN RKPD TAHUN LALU DAN CAPAIAN KINERJA PENYELENGGARAAN PEMERINTAHAN 2.1 Gambaran Umum Kondisi Daerah .................................................................. 10 2.1.1 Aspek Geografi Dan Demografi ...................................................................... 10 2.1.1.1 Luas dan batas wilayah administrasi............................................................... 10 2.1.1.2 Letak dan Kondisi Geografis........................................................................... 11 2.1.1.3 Aspek Demografi ........................................................................................... 11 a. Jumlah Penduduk ................................................................................... 11 b. Laju Pertumbuhan Penduduk.................................................................. 12 c. Sebaran Penduduk.................................................................................. 13 2.1.2 Aspek Kesejahteraan Masyarakat ................................................................... 14 2.1.2.1 Fokus Kesejahteraan dan Pemerataan Ekonomi ............................................. 14 a. PDRB ADH Berlaku.................................................................................. 14 b. Laju Inflasi.............................................................................................. 15 c. Pertumbuhan Ekonomi............................................................................ 16 d. PDRB Per Kapita ..................................................................................... 18 e. Persentase Penduduk Miskin................................................................... 19 2.1.2.2 Fokus Kesejahteraan Sosial............................................................................ 20 a. Pendidikan.............................................................................................. 20 b. Kesehatan .............................................................................................. 21 c. Kemiskinan............................................................................................. 23 2.1.3 Aspek Pelayanan Umum ................................................................................ 24 2.1.3.1 Fokus Layanan Urusan Wajib ......................................................................... 24 2.1.3.2 Fokus Layanan Urusan Pilihan........................................................................ 31 2.1.4 Aspek Daya Saing Daerah.............................................................................. 32 2.1.4.1 Fokus Iklim Berinvestasi................................................................................. 32 2.1.4.2 Fokus Sumber Daya Manusia ......................................................................... 33 2.1.5 Ekonomi dan Keuangan Daerah ..................................................................... 33 2.2 Evaluasi Pelaksanaan Program dan Kegiatan RKPD sampai Tahun 2013 dan Realisasi RPJMD........................................................................................ 34 2.2.1. Evaluasi Pelaksanaan Program dan Kegiatan RKPD sampai Tahun 2013 ......... 35 2.2.2. Penelaahan terhadap RPJMN dan RKPD Kota Padangsidimpuan ..................... 35 BAB III RANCANGAN KERANGKA EKONOMI DAERAH BESERTA KERANGKA PENDANAAN 3.1 Arah Kebijakan Ekonomi Daerah .................................................................... 41 3.1.1 Kondisi Ekonomi Daerah Tahun 2012 dan Perkiraan Tahun 2014.................... 41 3.1.2 Tantangan dan Prospek Perekonomian Daerah Tahun 2014........................... 44 3.2 Arah Kebijakan Keuangan Daerah.................................................................. 49 3.2.1 Arah Kebijakan Pendapatan Daerah ............................................................... 50 3.2.2 Arah Kebijakan Belanja Daerah ...................................................................... 52
  • 3.
    ii 3.2.3 Arah KebijakanPembiayaan Daerah............................................................... 54 BAB IV PRIORITAS DAN SASARAN PEMBANGUNAN DAERAH TAHUN 2015 - Arah Prioritas Program ........................................................................................... 55 BAB V RENCANA PROGRAM DAN KEGIATAN PRIORITAS DAERAH - Rencana Program dan Kegiatan Prioritas Daerah Kota Padangsidimpuan untuk Tahun 2015 menurut Bidang Urusan Pemerintahan. ........................................................ BAB .VI PENUTUP................................................................................................................... 95 LAMPIRAN I EVALUASI HASIL PELAKSANAAN RKPD TAHUN 2013 LAMPIRAN II REKAPITULASI RENCANA PROGRAM DAN KEGIATAN PRIORITAS KOTA PADANGSIDIMPUAN TAHUN 2015
  • 4.
    1 BAB I PENDAHULUAN 1.1 LatarBelakang Undang-Undang Nomor 25 Tahun 2004 tentang Sistem Perencanaan Pembangunan Nasional yang dijabarkan ke dalam Peraturan Pemerintah Nomor 8 Tahun 2008 tentang Tahapan, tata cara Penyusunan, Pengendalian dan Evaluasi Pelaksanaan Rencana Pembangunan Daerah dan Peraturan Menteri Dalam Negeri Nomor 54 Tahun 2010 tentang Pelaksanaan Peraturan Pemerintah Nomor 8 Tahun 2008 tentang Tahapan, Tatacara Penyusunan, Pengendalian, dan Evaluasi Pelaksanaan Rencana Pembangunan Daerah telah mengamanatkan bahwa dalam rangka penyelenggaraan pemerintahan, setiap Pemerintah Daerah diwajibkan untuk menyusun perencanaan pembangunan daerah sebagai satu kesatuan sistem perencanaan pembangunan nasional. Perencanaan pembangunan daerah tersebut meliputi Rencana Pembangunan Jangka Panjang Daerah (RPJPD) yang disusun untuk jangka waktu 20 (dua puluh) tahun, Rencana Pembangunan Jangka Menengah (RPJMD) untuk jangka 5 (lima) tahun, dan Rencana Kerja Pembangunan Daerah (RKPD) untuk jangka1 (satu)tahun. Dalam melaksanakan amanat undang-undang, peraturan pemerintah, serta Peraturan Menteri Dalam Negeri tersebut di atas, Pemerintah Kota Padangsidimpuan telah menyusun dokumen RPJPD Kota Padangsidimpuan Tahun 2005-2025 yang ditetapkan dengan Peraturan Daerah Nomor 25 Tahun 2008. Untuk dokumen RPJMD Tahap I (2008- 2013) telah ditetapkan dengan Peraturan Daerah nomor 26 Tahun 2008, sedang RPJMD Tahap II (2013-2017) telah ditetapkan dengan Peraturan Daerah nomor 02 Tahun 2013 tentang Rencana Pembangunan Jangka Menengah Daerah Kota Padangsidimpuan Tahun 2013-2017. Penyusunan RPJMD mengacu kepada RPJPD 2005-2025, yang memuat : visi, misi dan program prioritas Kepala Daerah terpilih; dan rancangan rencana teknokratik. RPJMD merupakan visi, misi dan program prioritas dari Kepala Daerah terpilih yang akan dilaksanakan oleh Satuan Kerja Perangkat daerah melalui program dan kegiatan yang Lampiran 1 : LAMPIRAN PERATURAN WALIKOTA PADANGSIDIMPUAN NOMOR : 24 TAHUN 2014 TANGGAL : 05 JUNI 2014
  • 5.
    2 dituangkan dalam RencanaStrategis dari Satuan Kerja Perangkat Daerah (Renstra-SKPD). RPJMD akan dijabarkan dengan rencana pembangunan tahunan/Rencana Kerja Pembangunan Daerah (RKPD). RKPD Kota Padangsidimpuan Tahun 2015 merupakan tahun kedua dari pelaksanaan RPJMD 2013-2017. RKPD sebagaimana diatur dalam Peraturan Menteri Dalam Negeri Nomor 54 Tahun 2010, disusun dengan tahapan sebagai berikut: a. persiapan penyusunan RKPD; b. penyusunan rancangan awal RKPD; c. penyusunan rancangan RKPD; d. pelaksanaan musrenbang RKPD; e. perumusan rancangan akhir RKPD; dan f. penetapan RKPD. Tahapan persiapan penyusunan RKPD meliputi: pembentukan Tim Penyusun RKPD, orientasi mengenai RKPD, penyusunan agenda kerja, serta penyiapan data dan informasi perencanaan pembangunan daerah. Perumusan rancangan awal RKPD merupakan awal dari seluruh proses penyusunan rancangan RKPD untuk memberikan panduan kepada seluruh SKPD untuk menyusun rancangan Renja SKPD dan berfungsi sebagai koridor perencanaan pembangunan daerah dalam kurun waktu 1 (satu) tahun yang disusun menggunakan pendekatan teknokratis dan partisipatif. Setelah rancangan awal RKPD dibuat, tahap selanjutnya adalah merumuskan dokumen tersebut menjadi rancangan RKPD. Perumusan Rancangan RKPD pada dasarnya adalah memadukan materi pokok yang telah disusun dalam rancangan awal RKPD provinsi dengan rancangan Renja SKPD dan mensinkronkannya dengan kebijakan nasional/provinsi tahun rencana. Dengan demikian, penyusunan rancangan RKPD bertujuan untuk menyempurnakan rancangan awal melalui proses pengintegrasian dan harmonisasi program dan kegiatan prioritas yang tercantum dalam rancangan Renja SKPD serta untuk mengharmoniskan dan menyinergikannya terhadap prioritas dan sasaran pembangunan nasional dan provinsi. RKPD Kota Padangsidimpuan sebagai dokumen perencanaan pembangunan tahunan yang disusun untuk menjamin keterkaitan dan
  • 6.
    3 konsistensi antara perencanaan,penganggaran, pelaksanaan dan pegawasan serta merupakan pedoman bagi Pemerintah Daerah, seluruh Satuan Kerja Perangkat Daerah (SKPD) dalam menyusun Renja-SKPD, dan sebagai dasar utama dalam penyusunan Kebijakan Umum APBD, Prioritas dan Plafon Anggaran Sementara APBD, serta Rancangan Anggaran Pendapatan dan Belanja Daerah (R-APBD) Tahun Anggaran 2015. Proses perumusan RKPD Kota Padangsidimpuan Tahun 2015 dapat dilihat sebagaimana gambar bagan sebagai berikut:
  • 7.
    4 Gambar . 1 BaganAlir Tahapan Penyusunan RKPD Kabupaten/kota Persiapan Penyusunan RKPD Kab/ Kota Pengolahan data dan informasi Perumusan permasalahan Pembangunan Daerah kab/ kota Penelaahan terhadap RPJMN dan RPJMD provinsi Perumusan program prioritas beserta pagu indikatif Penyelarasan rencana program prioritas daerah beserta Pagu Indikatif Pelaksanaan Forum Konsultasi Publik Perumusan Rancangan Kerangka Ekonomi dan Kebijakan Keuangan Daerah Perumusan Prioritas dan Sasaran Pembangunan Daerah beserta pagu indikatif PENYUSUNAN RANCANGAN RKPD KABUPATEN/KOTA MUSRENBANG RKPD KABUPATEN/KOTA PERUMUSAN RANCANGAN AKHIR RKPD KABUPATEN/ KOTA PENETAPAN RKPD PROVINSI Berita Acara Hasil Kesepakatan Musrenbang RKPD Kabupaten/Kota Verifikasi sesuai tidak Rancangan Renja-SKPD Kab/Kota Evaluasi Rancangan Awal RKP & RKPD Provinsi Integrasi Renja SKPD Penyelarasan Penyajian Ranc RKPD Rancangan RKPD Kabupaten/Kota · pendahuluan; · evaluasi pelaksanaan RKPD tahun lalu dan capaian kinerja penyelenggaraan pemerintahan; · rancangan kerangka ekonomi daerah Dan kebijakan keuangan daerah; · prioritas dan sasaran pembangunan daerah; · rencana program dan kegiatan prioritas. Hasil Musrenbangnas RKP/RKP Evaluasi Musrenbangnas RKP & RKPD Kab/ Kota Sinkronisasi hasil Musrenbang RKPD Kecamatan Penyelarasan Penyajian Ranc Akhir RKPD Rancangan Akhir RKPD · pendahuluan; · Analisis dan evaluasi ; · Evaluasi pelaksanaan RKPD tahun lalu dan capaian kinerja RPJMD; · Rencana kerangka ekonomi daerah dan arah kebijakan keuangan daerah; · Prioritas dan sasaran pembangunan daerah Konsultasi Rancangan akhir RKPD Kab/Kota ke PemProv. Konsultasi Rancangan akhir RKPD Kab/Kota ke PemProv. Penyusunan KUA dan PPAS Kesepakatan KUA dan PPAS antara KDH dan DPRD Kesepakatan KUA dan PPAS antara KDH dan DPRD Persiapan Musrenbang RKPD Perumusan hasil Musrenbang RKPD Kabupaten/ Kota Pelaksanaan Musrenbang Kabupaten/Kota PENYUSUNAN RANCANGAN AWAL RKPD KABUPATEN/KOTA dokumen RKPD Kab/ Kota tahun berjalan RANCANGAN AWAL RKPD KABUPATEN/KOTA · pendahuluan; · evaluasi Hasil pelaksanaan RKPD tahun lalu dan capaian kinerja penyelenggaraan pemerintahan; · rancangan kerangka ekonomi daerah Dan kebijakan keuangan daerah; · prioritas dan sasaran pembangunan daerah; · rencana program dan kegiatan prioritas Surat Edaran KDH (perihal penyampaian rancangan awal RKPD sebagai bahan penyusunan rancangan renja-SKPD) · agenda penyusunan RKPD, · agenda forum SKPD, · agenda musrenbang RKPD, · batas waktu penyampaian rancangan renja-SKPD kepada Bappeda PerKDH tentang RKPD Kabupaten/ Kota Persetujuan rancangan akhir RKPD Kab/Kota oleh Bupati/ Walikota Penetapan PerKDH ttg RKPD Kabupaten/Kota Penyusunan Rancangan Renja SKPD Kab/Kota Analisis Ekonomi dan Keuangan Daerah Analisis Gambaran Umum Kondisi Daerah Rancangan Akhir RKPD · pendahuluan; · analisis dan evaluasi; · evaluasi pelaksanaan RKPD tahun lalu dan capain kinerja RPJMD; · rencana kerangka ekonomi daerah dan arah kebijakan keuangan daerah; · prioritas dan sasaran pembangunan Daerah · rencana program dan kegiatan prioritas daerah Evaluasi kinerja RKPD Tahun lalu RPJMD Kab/ Kota Evaluasi dokumen RKPD kab/ kota tahun lalu Penelaahan pokok-pokok pikiran DPRD Kab/Kota Hasil Musrenbang RKPD Provinsi Penyusunan RAPBD Penyusunan RAPBD
  • 8.
    5 1.2 Landasan Hukum Dasarhukum yangdigunakan dalam Penyusunan RencanaKerjaPembangunan Daerah adalah: 1. Pasal 18 ayat (6) Undang - Undang Dasar Negara Republik Indonesia Tahun 1945; 2. Undang-Undang Nomor 4 Tahun 2001 tentang Pembentukan Kota Padangsidimpuan (Lembaran Negara Republik Indonesia Tahun 2001 Nomor 84, Tambahan Lembaran Negara Republik Indonesia Nomor 4111); 3. Undang-Undang Nomor 17 Tahun 2003 tentang Keuangan Negara (Lembaran Negara Republik Indonesia Tahun 2003 Nomor 47, Tambahan Lembaran Negara Republik Indonesia Nomor 4286); 4. Undang-Undang Nomor 15 Tahun 2004 tentang Pemeriksaan Pengelolaan dan Tanggungjawab Keuangan Negara (Lembaran Negara Republik Indonesia Tahun 2004 Nomor 66, Tambahan Lembaran Negara Republik Indonesia Nomor 4400); 5. Undang-Undang Nomor 25 Tahun 2004 tentang Sistem Perencanaan Pembangunan Nasional (Lembaran Negara Republik Indonesia Tahun 2004 Nomor 104, Tambahan Lembaran Negara Republik Indonesia Nomor 4421); 6. Undang-Undang Nomor 32 Tahun 2004 tentang Pemerintahan Daerah (Lernbaran Negara Republik Indonesia Tahun 2004 Nomor 125, Tambahan Lembaran Negara Republik Indonesia Nomor 4437) sebagaimana telah diubah beberapa kali, terakhir dengan Undang-Undang Nomor 12 Tahun 2008 tentang Perubahan Kedua Atas Undang-Undang Nomor 32 Tahun 2004 tentang Pemerintahan Daerah (Lembaran Negara Republik Indonesia Tahun 2008 Nomor 59, Tambahan Lembaran Negara Republik Indonesia Nomor 4844); 7. Undang-Undang Nomor 33 Tahun 2004 tentang Perimbangan Keuangan Antara Pemerintah Pusat dan Pemerintahan Daerah (Lembaran Negara Republik Indonesia Tahun 2004 Nomor 126, Tambahan Lembaran Negara Republik Indonesia Nomor 4438); 8. Peraturan Pemerintah Nomor 58 Tahun 2005 tentang Pengelolaan Keuangan Daerah (Lembaran Negara Republik Indonesia Tahun 2005 Nomor 140, Tambahan Lembaran Negara Republik Indonesia Nomor 4578); 9. Peraturan Pemerintah Nomor 79 Tahun 2005 tentang Pedoman Pembinaan dan Pengawasan Atas Penyelenggaraan Pemerintahan Daerah (Lembaran Negara Republik Indonesia Tahun 2005 Nomor 165, Tambahan Lembaran Negara Republik Indonesia Nomor 4593); 10. Peraturan Pemerintah Nomor 38 Tahun 2007 tentang Pembagian Urusan Pemerintahan Antara Pemerintah, Pemerintahan Daerah Provinsi dan Pemerintahan Daerah Kabupaten/Kota (Lembaran Negara Republik Indonesia Tahun 2007 Nomor 82, Tambahan Lembaran Negara Republik Indonesia Nomor 4737); 11. Peraturan Pemerintah Nomor 8 Tahun 2008 tentang Tahapan Tata Cara Penyusunan, Pengendalian dan Evaluasi Pelaksanaan Rencana Pembangunan Daerah (Lembaran Negara Republik Indonesia Tahun 2008 Nomor 21, Tambahan Lembaran Negara Republik Indonesia Nomor 4817); 12. Peraturan Presiden Nomor 5 Tahun 20010 tentang Rencana Pembangunan Jangka Menengah Nasional Tahun 2010-2014; 13. Peraturan Menteri Dalam Negeri Nomor 54 Tahun 2010 tentang Pelaksanaan Peraturan Pemerintah Nomor 8 Tahun 2008 tentang Tahapan Tata Cara Penyusunan, Pengendalian dan Evaluasi Rencana Kerja Pembangunan Daerah; 14. Peraturan Menteri Dalam Negeri Nomor 32 Tahun 2013 tentang Pedoman Penyusunan, Pengendalian dan Evaluasi Pelaksanaan Rencana
  • 9.
    6 Pembangunan Daerah Tahun2013; 15. Peraturan Daerah Kota Padangsidimpuan Nomor 01 Tahun 2008 tentang Urusan Pemerintahan Daerah Kota Padangsidimpuan (Lembaran Daerah Kota Padangsidimpuan Tahun 2008 Nomor 01); 16. Peraturan Daerah Kota Padangsidimpuan Nomor 04 Tahun 2008 tentang Organisasi dan Tatakerja Lembaga Teknis Daerah Kota Padangsidimpuan (Lembaran Daerah Kota Padangsidimpuan Tahun 2008 Nomor 04); 17. Peraturan Daerah Kota Padangsidimpuan Nomor 06 Tahun 2008 tentang Pokok-Pokok Pengelolaan Keuangan Daerah (Lembaran Daerah Kota Padangsidimpuan Tahun 2008, Nomor 06); 18. Peraturan Daerah Kota Padangsidimpuan Nomor 25 Tahun 2008 tentang Rencana Pembangunan Jangka Panjang Daerah Kota Padangsidimpuan Tahun 2005-2025 (Lernbaran Daerah Kota Padangsidimpuan Tahun 2008 Nomor 25); 19. Peraturan Daerah Kota Padangsidimpuan Nomor 02 Tahun 2013 tentang Rencana Pembangunan Jangka Menengah Daerah Kota Padangsidimpuan Tahun 2013-2017. 1.3 Hubungan antar Dokumen Rencana Kerja Pembangunan Daerah (RKPD) Kota Padangsidimpuan Tahun 2015 adalah dokumen perencanaan teknis operasional untuk periode satu tahun. RKPD merupakan penjabaran dari RPJM Daerah dengan mengacu pada Peraturan Presiden Nomor 5 Tahun 2010 tentang Rencana Pembangunan Jangka Menengah Nasional Tahun 2010 – 2014 danRencanaKerja Pemerintah Tahun2015 sertaberpedoman pada Undang-Undang Nomor 17 Tahun 2007 tentang Rencana Pembangunan Jangka Panjang (RPJP) Nasional Tahun 2005-2025, dan Peraturan Daerah Nomor 02 Tahun 2013 tentang Rencana Pembangunan Jangka Menengah Daerah Kota Padangsidimpuan Tahun 2013-2017. RKPD yang telah ditetapkan melalui Peraturan Walikota merupakan rencana kerja yang menjadi pedoman utama dalam proses penganggaran penyusunan Rancangan APBD, dan juga digunakan oleh SKPD untuk menyesuaikan Rancangan Renja SKPD menjadi Renja SKPD. Renja SKPD yang telah disahkan akan dijadikan pedoman bagi SKPD dalam menyusun RKA-SKPD, yang nantinya akan dijabarkan dalam R-APBD. Dalam penyusunan Rancangan Renja SKPD berpedoman pada Renstra SKPD yang merupakan dokumen rencana pembangunan masing-masing SKPD dalam jangka waktu 5 (lima) tahun. Renja SKPD merupakan operasionalisasi RKPD oleh SKPD sesuai tugas pokok dan fungsi SKPD dalam bidang urusan yang menjadi kewenangan daerah dalam rangkamencapaisasaran pembangunanjangkamenengahdaerah. Dengan memperhatikan hubungan keterkaitan sebagaimana dijelaskan diatas, maka dalam penyusunan RKPD Kota harus memperhatikan RKP Nasional, RPJM Nasional, RKP, RPJP Daerah, RPJM Daerah, Renstra SKPD dan Renja SKPD. Selain itu,
  • 10.
    7 jika dilihat hubungandari dokumen perencanaan lainnya yaitu Rencana Tata Ruang Wilayah (RTRW), baik RTRW Nasional, RTRW Provinsi maupun RTRW Kota. RKPD Kota tidak terpisahkan dengan dokumenperencanaan tataruangwilayah. Dengan adanya keterkaitan hubungan antar dokumen perencanaan pembangunan tersebut merupakan sebagai suatu upaya untuk mewujudkan perencanaan pembangnan daerah yang selaras dan sinergis antara dokumen perencanaan tingkat nasional, provinsi Kabupaten, sehingga capaian sasaran pembangunan nasionaldandaerahdapattercapai. 1.4 Sistematika Dokumen RKPD Dokumen RKPD Kota Padangsidimpuan Tahun 2015 disusun dengan sistematika sebagaiberikut: BAB I. PENDAHULUAN Pada Bab ini akan diuraikan mengenai Latar Belakang, Landasan Hukum, Sistematika Dokumen RKPD Tahun2015 sertaMaksud, dan Tujuan. BAB II. EVALUASI HASIL PELAKSANAAN RKPD TAHUN LALU DAN CAPAIAN KINERJA PENYELENGGARAAN PEMERINTAHAN Bab ini memaparkan pencapaian kinerja pembangunan daerah berdasarkan indikator – indikator makro pembangunan dan hasil evaluasi pelaksanaan program dan kegiatan RKPD tahun lalu, selain itu juga memperhatikan dokumen RPJMD dan dokumen RKPD tahun berjalan sebagai bahan acuan. Capaian kinerja penyelenggaraan pemerintahan menguraikan tentang kondisi geografi demografi, pencapaian kinerja penyelenggaraan pemerintahan, dan permasalahan pembangunan. BAB III. RANCANGAN KERANGKA EKONOMI DAERAH BESERTA KERANGKA PENDANAAN Memuat penjelasan tentang kondisi ekonomi tahun 2013 dan perkiraan tahun 2014, yang antara lain mencakup indikator pertumbuhan ekonomi daerah, sumber-sumber pendapatan dan kebijakan pemerintah daerah yang diperlukan dalam pembangunan perekonomian daerah meliputi pendapatan daerah, belanja daerah dan pembiayaan daerah. BAB IV. PRIORITAS DAN SASARAN PEMBANGUNAN DAERAH TAHUN 2014 Pada Bab ini diuraikan Prioritas dan sasaran Pembangunan Daerah Kota Padangsidimpuan untuk Tahun 2015 berdasarkan hasil evaluasi
  • 11.
    8 pelaksanaan RKPD tahunlalu, capaian kinerja yang direncanakan dalam RPJMD, Isu Strategis dan masalah mendesak, kerangka ekonomi daerah besertakerangkapendanaannya. Perumusan prioritas dan sasaran pembangunan daerah serta indikasi prioitas kegiatannya, juga memperhatikan apa yang diusulkan oleh SKPD berdasarkan prakiraan maju pada RKPD tahun 2014. BAB V. RENCANA PROGRAM DAN KEGIATAN PRIORITAS DAERAH Mengemukakan secara eksplisit rencana program dan kegiatan prioritas daerah yang disusun berdasarkan evaluasi pembangunan tahunan, kedudukan tahun rencana (RKPD) dan capaian kinerja yang direncanakan dalam RPJMD. Rencana program dan kegiatan prioritas harus mewakili aspirasi dan kepentingan masyarakat. Diuraikan dari program dan kegiatan yang paling bermanfaat atau memiliki nilai kegunaan tinggi bagi masyarakat. BAB VI. PENUTUP Berisi penegasan bahwa RKPD Tahun 2015 merupakan pedoman dalam penyusunan Renja SKPD Tahun 2015, penyusunan KUA dan PPAS Tahun Anggaran 2015 serta penyusunan Rancangan Anggaran Pendapatan dan Belanja Daerah (R-APBD) Kota Padangsidimpuan Tahun Anggaran 2015 dan dalam pelaksanaannya diperlukan sinergisitas yang mantap di jajaran Pemerintah Kota Padangsidimpuan, DPRD, pihak swasta dan seluruh lapisan masyarakat. 1.5 Maksud dan Tujuan Maksud dari penyusunan Rencana Kerja Pembangunan Daerah (RKPD) Kota Padangsidimpuan Tahun 2015 adalah sebagai berikut: a. Menyediakan acuan resmi bagi Pemerintah Daerah dan Dewan Perwakilan Rakyat Daerah dalam rangka menyusun Rancangan Anggaran Pendapatan dan Belanja Daerah (RAPBD) yang didahului dengan penyusunan Kebijakan Umum APBD (KUA), serta penentuan Prioritas dan Pagu Anggaran Sementara (PPAS) Tahun 2015. b. Sebagai pedoman Penyusunan Rencana Kerja Satuan Kerja Perangkat Daerah (Renja SKPD) Tahun 2015. Sedangkan tujuan dari penyusunan RKPD Kota Padangsidimpuan adalah untuk menciptakan sinergisitas dalam pelaksanaan pembangunan
  • 12.
    9 daerah antar wilayah,antar sektor pembangunan dan antar tingkat pemerintahan serta menciptakan efisiensi alokasi sumber daya dalam pembangunan daerah.
  • 13.
    10 BAB II EVALUASI HASILPELAKSANAAN RKPD TAHUN LALU DAN CAPAIAN KINERJA PENYELENGGARAAN PEMERINTAHAN 2.1. Gambaran Umum Kondisi Daerah Gambaran umum kondisi daerah terhadap Capaian Kinerja Penyelenggaraan Urusan Pemerintahan mencakup aspek geografi dan demografi, aspek kesejahteraan, aspek pelayananumum,danaspek dayasaingdaerah, dapatdiuraikan sebagai berikut: 2.1.1. Aspek Geografi Dan Demografi 2.1.1.1. Luas dan batas wilayah administrasi Sesuai dengan data BPS Kota Padangsidimpuan luas total Kota Padangsidimpuan adalah sebesar 14.684,680 Ha (146,85 Km2), sedangkan sesuai RTRW Kota Padangsidimpuan adalah seluas 15,930,82 Ha. Secara administratif Kota Padangsidimpuan terdiri dari 6 Kecamatan, 42 Desa dan 37 Kelurahan, dengan batas wilayahAdministrasisebagai berikut:  Utara : KecamatanAngkola Barat (Kabupaten TapanuliSelatan);  Selatan : KecamatanBatangAngkola(Kabupaten TapanuliSelatan);  Timur : KecamatanAngkola Timur (KabupatenTapanuliSelatan)  Barat : KecamatanAngkola Siais (Kabupaten TapanuliSelatan). Gambar 2.1 Peta Wilayah Administrasi Kota Padangsidimpuan
  • 14.
    11 Tabel 2.1 Jumlah Kelurahan/Desadan Luas Wilayah Kota Padangsidimpuan Menurut Kecamatan Tahun 2013 NO KECAMATAN DESA/KELURAHAN LUAS WILAYAH (KM2) KELURAHAN DESA JUMLAH [1] [2] [4] [5] [6] [7] 1 Padangsidimpuan Tenggara 2 16 18 27,69 2 Padangsidimpuan Selatan 12 - 12 15,81 3 PadangsidimpuanBatunadua 2 13 15 38,74 4 PadangsidimpuanUtara 16 - 16 14,09 5 PadangsidimpuanHutaimbaru 5 5 10 22,34 6 Padangsidimpuan AngkolaJulu - 8 8 28,18 JUMLAH 37 42 79 146,865 Sumber: BadanPusatStatistikKotaPadangsidimpuan 2.1.1.2. Letak dan Kondisi Geografis Kota Padangsidimpuan terletak pada garis lintang 01˚28΄19΄΄ LU s/d 01˚18΄07΄΄ LS dan 99˚18΄53΄΄ BT s/d 99˚20΄35΄΄ BT dengan ketinggian 260 – 1.100 M di atas permukaan laut, daerah ini beriklim tropis dengan suhu udara rata-rata 22,5 - 24˚C. Kota Padangsidimpuan dikelilingi oleh beberapa bukit serta dilalui oleh beberapa sungai dan anak sungai. Sebagaimana Kabupaten/Kota lainnya, Kota Padangsidimpuan mempunyai dua musim, yaitu musim kemarau dan musim penghujan. Musim Kemarau biasanya terjadi pada bulan Maret sampai dengan bulan Agustus, sedangkan musim penghujan terjadi pada bulan September sampai dengan bulan Februari, diantara musim itu diselingi oleh musim pancaroba. Daerah ini di sebelah Utara berbatasan dengan Kabupaten Tapanuli Selatan (Kecamatan Angkola Timur ), sebelah Selatan berbatasan dengan Kabupaten Tapanuli Selatan (Kecamatan Batang Angkola, Kecamatan Angkola Selatan),sebelah Barat berbatasan dengan Kabupaten Tapanuli Selatan (Kecamatan Angkola Barat dan Angkola Selatan) dan disebelah Timur berbatasan denganKabupaten TapanuliSelatan (KecamatanAngkola Timur). 2.1.1.3. Aspek Demografi a. Jumlah Penduduk Sesuai data dari Badan Pusat Statistik Kota Padangsidimpuan, pada tahun 2012 diperkirakan memiliki jumlah penduduk sebesar 198.809 jiwa dengan tingkat kepadatan penduduk 1.354Jiwa/Km2. Jumlah Rumah Tangga di Kota Padangsidimpuan adalah 45.148 Rumah Tangga dengan rata-rata jumlah anggota rumah tangga 4,40 orang. Untuk tahun 2013, sesuai dengan data Dinas Kependudukan dan Pencatatan Sipil Kota Padangsidimpuan jumlah penduduk adalah sebesar252.065jiwa.
  • 15.
    12 Tabel 2.2 Jumlah Penduduk,Jumlah Rumah Tangga, Rata-Rata Anggota Rumah Tangga dan Kepadatan Penduduk Kota Padangsidimpuan Menurut Kecamatan Tahun 2012 NO KECAMATAN Jlh Penduduk (Jiwa) Jlh Rumah Tangga Rata-Rata banyaknya Anggota Rumah Tangga Kepadatan Penduduk [1] [2] [3] [4] [6] [7] 1 PadangsidimpuanTenggara 31.526 6.853 4,60 1.139 2 PadangsidimpuanSelatan 63.029 14.284 4,41 3.987 3 PadangsidimpuanBatunadua 19.660 4.558 4,31 521 4 PadangsidimpuanUtara 61.140 14.077 4,34 4.339 5 PadangsidimpuanHutaimbaru 15.713 3.610 4,35 703 6 PadangsidimpuanAngkolaJulu 7.741 1.766 4,38 275 JUMLAHTahun2012 198.809 45.148 4,40 1.354 Sumber:BadanPusatStatistikKotaPadangsidimpuan b. Laju Pertumbuhan Penduduk Dalam pelaksanaan pembangunan, penduduk merupakan faktor yang sangat dominan karena penduduk tidak saja menjadi pelaku pembangunan tetapi juga menjadi sasaran atau tujuan dari pembangunan itu sendiri. Oleh sebab itu, guna menunjang keberhasilan pembangunan maka perkembangan penduduk perlu diarahkan sehingga mempunyai ciri-ciri atau karakteristik yang menguntungkan pembangunan.Pembangunan kependudukan diarahkan pada pengendalian kuantitas penduduk, pengembangan kualitas penduduk dan pengarahan mobilitas penduduk sebagai potensi sumber daya manusia agar menjadi kekuatan pembangunan bangsa danketahanannasional. Sumber:BadanPusatStatistikKotaPadangsidimpuan Jumlah Penduduk Kota Padangsidimpuan selama periode 2008-2012cenderung mengalami peningkatan dan hanya pada tahun 2010 terjadi penurunan dari 191.912 jiwa pada tahun 2009 menjadi 191.531 jiwa pada tahun 2010 dan hal ini disebabkan
  • 16.
    13 karena pada tahuntersebut Badan Pusat Statistik melaksanakan sensus penduduk sehingga diperoleh angka yang riil dan bukan angka perkiraan seperti tahun-tahun sebelumnya. Pada tahun 2011 dan 2012 jumlah penduduk Kota Padangsidimpuan terus mengalami peningkatan dimana pada tahun 2011 sebanyak 193.322 jiwa bertambah menjadi 198.809 jiwa pada tahun 2012. Untuk laju pertumbuhan penduduk, selama periode 2008-2010cenderung mengalami penurunan dan hal ini dapat terlihat melalui trend laju pertumbuhan penduduk di atas. Pada tahun 2008 laju pertumbuhan penduduk sebesar 1,82% pertahun, namun pada tahun 2009menurun menjadi 1,81% pertahun, dan menurun lagi menjadi menjadi-0,20% pada tahun 2010. Pada tahun 2011 sampai dengan tahun 2012 laju pertumbuhan penduduk cenderung mengalami peningkatandimana pada tahun 2011 meningkat menjadi 0.94%pertahun dan pada tahun 2012 meningkat lagi menjadi 2,84% pertahun. Adapun faktor alami yang dapat mempengaruhi peningkatan laju pertambahan penduduk Kota Padangsidimpuan adalah tingkat kelahiran, tingkat kematian dan arus urbanisasi.Adapun upaya-upaya yangdilakukan untukpengendaliantingkat kelahiran adalah melalui program Keluarga Berencana (KB), dan peningkatan derajat pendidikan dan kesehatan masyarakat, terutama pembangunan sosial ekonomi secara menyeluruh. c. Sebaran Penduduk Penyebaran penduduk terbesar masih terkonsentrasi pada pusat perkotaan yaitu di Kecamatan Padangsidimpuan Selatan, distribusi penduduk terbesar tahun 2012 tercatat pada Kec. Padangsidimpuan Selatan (32%),Kec. Padangsidimpuan Utara(31%) dan Kec. Padangsidimpuan Tenggara (16%) dari total penduduk Kota Padangsidimpuan. Tabel 2.3 Jumlah Penduduk, Kepadatan, dan Distribusi Penduduk Kota Padangsidimpuan Menurut Kecamatan NO KECAMATAN Luas Wilayah Jumlah Penduduk Kepadatan Penduduk Distribusi Penduduk (KM2) (Jiwa) (Jiwa/KM2) (%) [1] [2] [3] [4] [5] [6] 1 PadangsidimpuanTenggara 27,69 31.526 1.139 16 2 PadangsidimpuanSelatan 15,81 63.029 3.987 32 3 PadangsidimpuanBatunadua 38,74 19.660 521 10 4 PadangsidimpuanUtara 14,09 61.140 4.339 31 5 PadangsidimpuanHutaimbaru 22,34 15.713 703 8 6 PadangsidimpuanAngkolaJulu 28,19 7.741 275 4 PADANGSIDIMPUAN 146,86 198.809 1.354 100 Sumber:BadanPusatStatistikKotaPadangsidimpuan
  • 17.
    14 2.1.2. Aspek KesejahteraanMasyarakat 2.1.2.1. Fokus Kesejahteraan dan Pemerataan Ekonomi Aspek kesejahteraan masyarakat berdasarkan fokus kesejahteraan antara lain dapat dilihat dari angka pertumbuhan Product Domestic Regional Bruto (PDRB), Inflasi, PDRB perkapita, disparitas pendapatan masyarakat dan persentase penduduk yang berada diatas garis kemiskinan. Secara umum dapat diungkapkan sebagaiberikut: a. Product Domestic Regional Bruto Atas Dasar Harga (PDRB ADH) Berlaku Besaran PDRBsering digunakan sebagai indikator untuk menilai kinerja perekonomian suatu daerah, terutama yang dikaitkan dengan kemampuan suatu daerah dalam mengelola sumber daya yang dimilikinya. Besaran nilai PDRB ini secara nyata mampu memberikan gambaran mengenai nilai tambah bruto yang dihasilkan unit-unit produksi pada suatu daerah dalam periode tertentu. Di samping itu, perkembangan besaran nilai PDRB merupakan salah satu indikator yang dapat dijadikan ukuran untuk menilai keberhasilan pembangunan daerah atau dengan kata lain pertumbuhan ekonomi suatu daerah dapat tercermin melalui pertumbuhan nilai PDRB. Sumber:BadanPusatStatistikKotaPadangsidimpuan Tabel 2.4 PDRB ADH Berlaku Kota Padangsidimpuan Menurut Lapangan Usaha Tahun 2008 – 2012 NO LapanganUsaha/Sektor 2008 2009 2010r) 2011r) 2012*) 1 Pertanian 281.705,96 305.882,97 339.218,12 364.438,90 406.579,26 2 PertambanganDan Penggalian 5.477,46 6.329,45 7.257,95 7.892,75 8.699,21
  • 18.
    15 NO LapanganUsaha/Sektor 20082009 2010r) 2011r) 2012*) 3 IndustriPengolahan 208.257,28 225.558,22 247.368,52 271.400,82 302.331,39 4 Listrik,Gas,DanAirBersih 11.994,52 12.476,89 13.266,68 14.110,17 15.010,23 5 Bangunan 84.710,73 94.685,80 105.907,04 118.406,66 133.780,95 6 Perdagangan,Hotel& Restoran 409.136,81 438.648,43 478.787,35 525.964,20 582.684,20 7 PengangkutanDan Komunikasi 230.194,89 239.127,31 256.335,40 274.525,59 305.650,93 8 Keuangan,Persew.&Jasa Perush. 199.652,19 221.827,67 248.706,28 281.445,07 319.891,19 9 Jasa-Jasa 313.129,52 355.502,22 403.143,38 445.858,97 487.216,79 PRODUCTDOMESTICREGIONAL BRUTO 1.744.259,36 1.900.038,96 2.099.990,72 2.304.043,13 2.561.844,14 r)=AngkaPerbaikan *)=AngkaSementara Sumber:BadanPusatStatistikKotaPadangsidimpuan PDRB Kota Padangsidimpuan menunjukkan bahwa perkembangan ekonomi Kota Padangsidimpuan selama periode 2008 - 2012 ditandai oleh peningkatan PDRB atas dasar harga berlaku dari tahun ke tahun.Dimulai dari tahun 2008sebesar 1,74 trilyun rupiah kemudian menjadi 1,9 trilyun rupiah pada tahun 2009 dan 2,10 trilyun rupiah pada tahun 2010, tahun 2011 ini menjadi 2,30 trilyun rupiah, serta tahun 2012 sebesar 2,56 trilyun rupiah.Sehingga dapat dikatakan bahwa perekonomian Kota Padangsidimpuan secara keseluruhan digerakkan oleh seluruh kelompok sektor ekonomi yaitu sektor primer, sekunder dan tersier secara simultan. Sektor tersier dan sekunder memberikan kontribusi terbesar terhadap PDRBKota Padangsidimpuan. b. Laju Inflasi Salah satu faktor makro ekonomi yang berada di luar kemampuan Pemerintah adalah menyangkut tingkat kestabilan harga-harga atau inflasi.Tingkat inflasi di Kota Padangsidimpuanselama periode2008- 2012mengalamifluktuasi(turun naik). Sumber:BadanPusatStatistikKotaPadangsidimpuan Perkembangan inflasi di Kota Padangsidimpuan selama periode tahun 2008—2012 mengalami fluktasi naik turun karena dipengaruhi berbagai faktor, baik yang bersifat
  • 19.
    16 ekonomi maupun nonekonomi, mekanisme pasar dan kebijakan Pemerintah Pusat. Tingkat inflasi pada tahun tahun 2008 adalah sebesar 12,34%, kemudian menurun secara drastis pada tahun 2009 menjadi 1,87%, pada tahun 2010 terjadi peningkatan lagi menjadi 7,42% dan pada tahun 2011kembali turun menjadi 4,66 dan pada tahun 2012 menurun lagi menjadi 3,54%. Inflasi tertinggi terjadi tahun 2008 mencapai 12,34%. c. Pertumbuhan Ekonomi Pertumbuhan ekonomi merupakan salah satu indikator yang digunakan untuk menilai tingkat keberhasilan pembangunan yang dilaksanakan suatu daerah khususnya dalam bidang ekonomi.Pertumbuhan tersebutmerupakanrangkuman laju pertumbuhan dari berbagai sektor ekonomi yang menggambarkan tingkat perubahan ekonomiyangterjadi. Grafik2.3 LajuPertumbuhanEkonomi KotaPadangsidimpuan Tahun2008–2012 Sumber:BadanPusatStatistikKotaPadangsidimpuan Selama periode 2008 - 2012, pertumbuhan ekonomi Kota Padangsidimpuan menunjukkan trend yang cenderung meningkat atau pertumbuhan kearah positif.Hal ini terlihat dari laju pertumbuhan ekonomi selama periode tersebut yang tumbuh di atas rata-rata 5% per tahun yaitu sebesar 5,97%. Pertumbuhan ekonomi tertinggi terjadi pada tahun 2012 sebesar 6,23% dan terendah terjadi pada tahun 2010 sebesar 5,81%. Selama kurun waktu lima tahun terakhir ini, yaitu 2008 – 2012, pertumbuhan ekonomi Kota Padangsidimpuan mengalami perkembangan yang baik dan tren yang cenderung positif dimana setelah pada tahun 2010 pertumbuhan ekonomi Kota Padangsidimpuan sedikit menurun menjadi 5,81% dari 5,83 pada tahun2009, namun padatahun2011hingga tahun2012terusmengalamipeningkatan. 6,09 5,83 5,81 5,88 6,23 5,6 5,7 5,8 5,9 6 6,1 6,2 6,3 2008 2009 2010 2011 2012 TingkatPertumbuhan (Persen) TAHUN Trend Laju Pertumbuhan Ekonomi Kota Padangsidimpuan Tahun 2008 - 2012 (Persen)
  • 20.
    17 Adanya pertumbuhan ekonomikearah positif di wilayah Kota Padangsidimpuan mengindikasikan adanya peningkatan kegiatan perekonomian di Kota Padangsidimpuan selama kurun waktu tahun 2008 – 2012, dan sebagai kota yang sedangmembangunkondisi tersebut yangsangat diharapkan. Tabel 2.5 Laju Pertumbuhan Riil Product Domestic Regional Bruto Menurut Lapangan Usaha Tahun 2009– 2012 NO Lapangan Usaha/Sektor 2009 2010r) 2011r) 2012*) 1 Pertanian 4,07 5,03 4,37 4,63 2 PertambanganDanPenggalian 2,30 1,90 2,19 3,10 3 IndustriPengolahan 3,97 1,83 2,31 3,35 4 Listrik,Gas,DanAirBersih 2,53 3,47 3,50 3,52 5 Bangunan 9,08 9,19 8,73 9,72 6 Perdagangan,Hotel&Restoran 4,34 4,25 4,15 4,66 7 PengangkutanDanKomunikasi 7,22 4,84 4,50 6,89 8 Keuangan,Persew.&JasaPerush. 9,93 10,14 11,27 11,62 9 Jasa-Jasa 6,16 7,46 7,35 5,76 PRODUCTDOMESTICREGIONAL BRUTO 5,83 5,81 5,88 6,23 Sumber:BadanPusatStatistikKotaPadangsidimpuan Sumber:BadanPusatStatistikKotaPadangsidimpuan Dari Trend di atas dapat dilihat bahwasebagian besar sektor - sektor ekonomi mengalami peningkatan pada tahun 2012, dimana dari 9 sektor ekonomi terdapat delapan sektor ekonomi yang mengalami peningkatan pertumbuhan dan hanya satu sektor yang mengalami penurunan yaitu sektorJasa-jasa yang mana pada tahun 2011 sebesar7,35% turun menjadi5,76%pada tahun 2012. Sektor-sektor yang mengalami pertumbuhan cukup besar yaitu diatas rata rata pertumbuhan secara umum pada tahun 2012terdapat 3 (tiga) sektor yaitu sektor
  • 21.
    18 keuangan persewaan danjasa perusahaan sebesar 11,62%, sektor bangunan sebesar 9,72%, dan sektor pengangkutan & komunikasi sebesar 6,89%. Sedangkan sektor- sektor yang mengalami pertumbuhan dibawah rata-rata pertumbuhan secara umum yaitu sektor jasa-jasa sebesar 5,76%,sektor pertanian sebesar 3,98%,sektor perdagangan, hotel, dan restoran sebesar 4,66 %, sektor listrik gas dan air bersih sebesar 3,52%, sektor industri pengolahan sebesar 3,35%, dan yang terendah yaitu sektorpertambangandan penggaliansebesar 3,10%. Selama kurun waktu lima tahun ini, fluktuasi perubahan besarnya peranan sektor ekonomi untuk tiap sektor ekonomi masih relatif kecil. Perubahan tersebut tidak merubahstrukturperekonomiandiPadangsidimpuan. d. PDRB Per Kapita PDRB per kapita merupakan gambaran rata-rata pendapatan yang diterima oleh setiap penduduk sebagai keikutsertaannya dalam proses produksi selama satu tahun. Indikator ini dapat digunakan sebagai salah satu parameter untuk melihat tingkat kesejahteraan masyarakat walaupun parameter ini belum sepenuhnya dapat digunakansebagai ukuran tingkatkesejahteraandisuatudaerah. Tabel 2.6 PDRB Perkapita Kota Padangsidimpuan Tahun 2008 – 2012 (Rupiah) NO URAIAN 2008r) 2009r) 2010r) 2011r) 2012*) 1 PDRBperKapita(Rp.) 9.775.497 10.261.473 10.964.234 11.918.163 12.885.957 2 PertumbuhanPDRB Perkapita(%) 11,17 4,97 6,85 8,70 8,12 Sumber:BadanPusatStatistikKotaPadangsidimpuan Sumber:BadanPusatStatistikKotaPadangsidimpuan Selama kurun waktu 2008-2012 ini, PDRB Perkapita atas dasar harga berlaku maupun PDRB atas dasar harga konstan 2000 Kota Padangsidimpuan selalu mengalami peningkatan. Pada tahun 2008PDRB per kapita atas dasar harga berlaku
  • 22.
    19 hanya sebesar 9,78juta rupiah per kapita atau 814 ribu rupiah per bulan tiap orang, meningkat menjadi 12,89 juta rupiah per kapita atau 1,073 juta rupiah per bulan tiap orang pada tahun 2012. Jadi, PDRB per kapita atas dasar harga berlaku pada kurun waktu lima tahun ini (2008-2012) telah mengalami pertumbuhan rata-rata per tahun sebesar7,96%. Peningkatan PDRB per kapita pada kurun waktu lima tahun tersebut mengalami pertumbuhan rata-rata sebesar 2,76% per tahun atau tumbuh sebesar 11,98 % selama kurun waktu lima tahun (2007-2011), yaitu dari 4,58 juta rupiah per kapita atau 382 ribu rupiah per bulan tiap orang pada tahun 2007 menjadi 5,13 juta rupiah per kapita atau 728 ribu rupiah per bulan tiap orang pada tahun 2011. Berarti, selama kurun waktu lima tahun ini, menurut perkiraan kasar, sudah ada perbaikan taraf hidup masyarakat Kota Padangsidimpuan yang ditunjukkan dengan meningkatnya PDRBperkapita atasdasarkonstan 2000tersebut. e. Persentase Penduduk Miskin Kemiskinan sering dianggap sebagai musuh utama pembangunan dan kemiskinan ini terjadi salah satunya disebabkan tingkat pengangguran terbuka yang tinggi di tengah masyarakat.Penanganan masalah ini diupayakan oleh pemerintah dengan menyalurkan berbagai bantuan dan subsidi serta membuka lapangan kerja dengan meningkatkan inisiatif dan kreatifitas masyarakat di samping memperluas kesempatan investasilangsungbagi semuapihak. Sumber:BadanPusatStatistikKotaPadangsidimpuan Berdasarkan trend persentase penduduk miskin Kota Padangsidimpuan di atas selama periode 2008 - 2012, diketahui secara umum upaya menurunkan angka kemiskinan, terutama yang disebabkan oleh dampak krisis ekonomi pada dasarnya telah menunjukkan hasil, walaupun masih bersifat fluktuatif. 11,61 9,77 10,53 10,53 9,5 0 2 4 6 8 10 12 14 2008 2009 2010 2011 2012 (Persen) Persentase Tingkat Kemiskinan di Kota Padangsidimpuan Tahun 2008 – 2012
  • 23.
    20 Hal itu dapatdiketahui dari persentase jumlah penduduk miskin Kota Padangsidimpuan yang pada tahun 2008 sebesar 11,61% dari 188.499 jiwa menurun menjadi 9,77%dari 191.912jiwa pada tahun 2009, mengalami kenaikan menjadi 10,53% dari 191.531 jiwa pada tahun 2010 dan pada tahun 2011 persentasenya tetap sebesar 10,53% dengan penduduk sebesar 193.322 jiwa. Pada tahun 2012 persentase ini menurun menjadi 9,50% dari 198.809 jiwa. Besarnya jumlah penduduk miskin pada tahun 2008 disebabkan kenaikan BBM, juga disebabkan kriteria-kriteria yang digunakanuntukmemperkirakanjumlah pendudukmiskin. 2.1.2.2. Fokus Kesejahteraan Sosial 1. Pendidikan a. Angka Melek Huruf Dari total penduduk Kota Padangsidimpuan yang berusia 15 tahun ke atas dibandingkan jumlah penduduk yang masih buta aksara pada tahun 2009 sampai dengan tahun 2013 angka melek huruf terus mengalami peningkatan. Dari angka 99,56% pada tahun 2009 meningkat menjadi 99,67% pada tahun 2010 dan pada tahun 2011 telah mencapai lebih dari 100% yaitu pada angka 102,26%. Pada tahun 2012 meningkat menjadi103,20% dan pada tahun 2013 kembalimengalami peningkatanmenjadi105,20%. Tabel 2.7 Perkembangan Angka Melek Huruf Tahun 2009 – 2013 Kota Padangsidimpuan NO URAIAN 2009 2010 2011 2012 2013 [1] [2] [3] [4] [5] [6] [7] 1 JumlahPendudukUsia15TahunKeatas 126.810 142.693 143.847 144.931 146.040 2 AngkaMelekHuruf 99,56% 99,67% 102,26% 103,20% 105,20% Sumber:DinasPendidikanKotaPadangsidimpuan b. Angka Rata-RataLamaSekolah Capaian Angka Lama Sekolah rata-rata Kota Padangsidimpuan, mengalami peningkatan dari sebelumnya tahun 2008, sebesar 9,80 tahun menjadi 10,10 tahun pada tahun 2009, dan meningkat menjadi 10,19 pada tahun 2010. Melihat pola positif ini maka tidak mustahil bagi Kota Padangsidimpuan menaikkan target rata-rata lama sekolah menjadi 12 tahun untuk beberapa tahun ke depan.
  • 24.
    21 c. Angka PartisipasiSekolah (APS) Tabel 2.8 Perkembangan Angka Partisipasi Sekolah Tahun 2009 – 2013 Menurut Kelompok Usia (Tahun) Kota Padangsidimpuan URAIAN 2009 2010 2011 2012 2013 [1] [2] [3] [4] [5] [6] - 7 -12 Tahun 99,04 99,52 98,15 98,84 98,80 - 13 -15 Tahun 94,48 95,31 93,58 94,59 93,85 - 16 -18 Tahun 80,78 81,14 75,83 84,79 76,15 - 19 -24 Tahun 28,18 28,14 32,17 31,03 32,67 Sumber: -DinasPendidikanKotaPadangsidimpuan - BadanStatistikKotaPadangsidimpuan 2. Kesehatan CapaianIndikator utama bidang kesehatanadalah sebagaiberikut: a. Angka Kelangsungan HidupBayi Angka kelangsungan hidup bayi dilihat dari data kematian/1000 kelahiran. Angka kematian bayi di Kota Padangsidimpuandari tahun2009 sampai dengan tahun 2010mengalami trend penurunan. Pada tahun 2009 sebesar 4 bayi per 1000 kelahiran hidup.Angka ini mengalamipenurunan menjadi 3 bayi per 1000 kelahiran hidup pada tahun 2010. Angka kematian bayi ini bisa dipertahankan pada tahun 2011tetap sebesar 3 bayi per 1000 kelahiran hidup. Pada tahun 2012 angka kematian bayi di kota Padangsidimpuan mengalami kenaikan yang cukup signifikan yaitu sekitar 11 bayi per 1000 kelahiran hidup. Tingginya kenaikan angka kematian bayi ini tentunya harus menjadi perhatian yang serius dari pemerintah kota Padangsidimpuan dalam meningkatkan pelayanan di bidang kesehatan khususnya dalam menekan angka kematian bayi meskipun angka ini masih di bawah target nasional yang sebesar 35 bayi per 1000 kelahiran hidup. Pelayanan di bidang kesehatan harus lebih ditingkatkan baik dari segipengadaan serta perbaikan sarana dan prasarana kesehatan termasuk peningkatan kuantitas maupun kualitas tenaga kesehatan.Melalui berbagai program pembangunan disektor kesehatan diharapkan angka kematian bayi bisa ditekan pada tahun-tahun mendatangterutama dalam upaya-upaya peningkatan cakupan imunisasi bayi dancakupan persalinanoleh tenagakesehatan terlatih.
  • 25.
    22 Sumber:DinasKesehatanDaerahKotaPadangsidimpuanTahun2013 b. Angka UsiaHarapanHidup AngkaUsia Harapan Hidup adalah rata-rata lamanya hidup yang akan dicapai oleh penduduk. Dengan diketahuinya angka kematian pada setiap kelompok umurpenduduk, makadapat diketahuirata-rata umurharapanhidup. Sumber:DinasKesehatan DaerahKotaPadangsidimpuanTahun2013 Untuk umur harapan hidup Kota Padangsidimpuan selama periode 2009—2012 menunjukkan trend yang cenderung meningkat.Pada tahun 2009 sebesar 66,8 tahun meningkat menjadi 69,35 tahun pada tahun 2010, dan pada tahun 2011umur harapan hidup tetap sebesar 69,35 tahun. Untuk tahun 2012 kembali terjadi peningkatan menjadi 69,72 tahun. Makin tinggi kualitas kesehatan masyarakatKota Padangsidimpuanmenyebabkan makin rendahnya angka kematian danberakibatkepadameningkatnya harapanuntukhidup.
  • 26.
    23 3. Kemiskinan a. PersentasePendudukMiskin Persentasependudukmiskin di KotaPadangsidimpuan diukurdari pendapatan perkapita/bulan. Pada Tahun2008 persentase penduduk miskin Kota Padangsidimpuan tercatat sebesar 11,61% atau berjumlah 21.885 jiwa dengan standargaris kemiskinan Rp. 228.382,-,pada tahun 2009 turun menjadi 9,77% atau berjumlah 18.750 jiwa dengan standar garis kemiskinan Rp. 229.921,-, namun pada tahun 2010 meningkat menjadi 10,53% atau berjumlah 20.168 jiwa dengan standar garis kemiskinan Rp. 250.989,-. Pada tahun 2011 persentase penduduk miskin Kota Padangsidimpuan sesuai dengan data BPS Kota Padangsidimpuan sebesar 10,53% atau berjumlah 20.357 jiwa dengan standar garis kemiskinan Rp. 282.565,- dan mengalami penurunan pada tahun 2012 menjadi 9,50% atau sebesar 18.877 jiwa dengan standar garis kemiskinan Rp.318.113,- Tabel 2.9 Jumlah Penduduk Miskin Tahun 2008 - 2012 Kota Padangsidimpuan NO. INDIKATOR SATUAN 2008 2009 2010 2011 2012 1 JumlahPenduduk Jiwa 188.499 191.912 191.531 193.322 198.809 2 AngkaKemiskinan % 11,61 9,77 10,53 10,53 9,50 3 GarisKemiskinan Rupiah 228.382 229.921 250.989 282.565 318.113 Sumber:BadanPusatStatistikKotaPadangsidimpuan b. KesempatanKerja(Rasio PendudukYangBekerja) Kesempatan kerja dilihat berdasarkan rasio penduduk yang bekerja dapat dilihatpadatabelberikut ini: Tabel 2.10 Rasio Penduduk yang Bekerja dengan Angkatan Kerja Tahun 2008-2012 TAHUN AngkatanKerja JUMLAH RASIO BEKERJA MENCARI PEKERJAAN [1] [2] [3] [4] [5] 2008 76.482 9.513 85.995 0,89 2009 74.844 8.801 83.645 0,89 2010 87.880 8.250 96.130 0,91 2011 80.830 7.806 88.636 0,91 2012 85.837 8.588 94.425 0,91 Sumber:BadanPusatStatistikKotaPadangsidimpuan Dari Tabel diatas dapat dilihat bahwa dari dari tahun 2010 sampai dengan tahun 2012 rasio penduduk yang bekerja dengan angkatan kerja Kota Padangsidimpuan memiliki tren yang cenderung tetap sebesar 91%. Hal ini
  • 27.
    24 menggambarkan bahwa daritotal jumlah angkatan kerja yang ada yang memperoleh kesempatan kerja adalah sebesar 91% sedangkan yang masih mencarikerjaataupengangguran hanya sebesar9%. 2.1.3. Aspek Pelayanan Umum Pencapaian kinerja pada aspek layanan umum baik dalam bentuk barang publik maupun jasa publik yang menjadi tanggung jawab pemerintah Kota Padangsidimpuan dalam upaya pemenuhan kebutuhan masyarakat terdiridari: 2.13.1. Fokus Layanan Urusan Wajib Hasil capaiankinerjalayananurusan wajib pemerintahdaerah terdiridari: 2.1.3.1.1. Pendidikan Pendidikan merupakan hak dasar setiap penduduk dan pemenuhan atas hak ini menjadi kewajiban pemerintah. Tantangan yang dihadapi dalam pengembangan pendidikan adalah relatif besarnya disparitas ketersediaan sarana pendidikan. Di satu pihak, di wilayah perkotaan umumnya memiliki sekolah yang berkualitas dengan biaya pendidikan yang relatif mahal dan dikelola secara mandiri. Dipihak lain, beberapa daerah masih terfokus pada peningkatan cakupan, atau masih berkutat padapeningkatankualitas. a. Angka Partisipasi Sekolah (APS) Secara umum dari data APS pada jenjang Pendidikan Dasar 9 tahun (SD dan SLTP) yang diperoleh dari Dinas Pendidikan Kota Padangsidimpuan tahun 2013 terungkap bahwa APS siswa SD/MI sebesar 98,80%, APS siswa SLTP (SMP/MTs) sebesar 93,85%, APS siswa SLTA (SMA/MA) sebesar 76,15% dan APS Perguruan Tinggi (D-3/S-1) sebesar 32,67%, yang berarti terjadi penurunan APS dari jenjang sekolah dasar hingga ke sekolah lanjutan atas. Terjadinya penurunan APS ini perlu untuk dicermati dalam rangka mendukung pencapaian misi Wajib Belajar 12 tahun (siswa dapat menamatkan jenjang pendidikandarimulaiSD sampai SLTA). Tabel 2.11 Perkembangan Angka Partisipasi Sekolah Tahun 2009 – 2013 Menurut Kelompok Usia (Tahun) Kota Padangsidimpuan URAIAN 2009 2010 2011 2012 2013 [1] [2] [3] [4] [5] [6] - 7 -12 Tahun 99,04 99,52 98,15 98,84 98,80 - 13 -15 Tahun 94,48 95,31 93,58 94,59 93,85 - 16 -18 Tahun 80,78 81,14 75,83 84,79 76,15 - 19 -24 Tahun 29,87 28,14 32,17 31,03 32,67 Sumber:DinasPendidikan DaerahKotaPadangsidimpuan
  • 28.
    25 b. Ratio KetersediaanSekolahdan RuangKelaspada berbagaijenjangpendidikan. Tabel 2.12 Ratio Ketersediaan Sekolah dan Ruang Kelas Pada berbagai jenjang pendidikan tahun 2009-2013 NO JENJANGSEKOLAH TAHUN 2009 2010 2011 2012 2013 A. JumlahGedungSekolah 1 SD 94 94 94 94 94 2 SMP 25 25 24 24 24 3 SMA 18 18 18 18 18 4 SMK 14 15 16 16 16 B. JumlahRuangKelas 1 SD 677 678 681 727 715 2 SMP 615 615 615 332 349 3 SMA 231 238 244 220 218 4 SMK 258 261 268 257 246 C. RatioKelas/Sekolah 1 SD 7,20 7,21 7,24 7,73 7,61 2 SMP 24,60 24,60 25,63 13,83 14,54 3 SMA 12,83 13,22 13,56 12,22 12,11 3 SMK 18,43 17,40 16,75 16,10 15,38 Sumber:DinasPendidikan DaerahKotaPadangsidimpuan c. Jumlah Guru dan murid dan Rasio Guru/Murid pada berbagai Jenjang Pendidikan Tabel 2.13 Jumlah Guru dan Murid Menurut Jenjang Pendidikan Tahun 2009-2013Kota Padangsidimpuan NO JENJANGPENDIDIKAN 2009 2010 2011 2012 2013 1. SD 1.1. JumlahGuru 1.476 1.488 1.568 1.768 1.839 1.2. JumlahMurid 26.886 26.878 26.899 26.926 26.464 1.3. Rasio 18,22 18,06 17,15 15,22 14,39 2. SMP 2.1. JumlahGuru 911 921 930 932 974 2.2. JumlahMurid 10.811 10.821 10.767 10.616 11.163 2.3. Rasio 11,87 11,75 11,58 11,39 11,46 3. SMA 3.1. JumlahGuru 682 689 695 669 741 3.2. JumlahMurid 7.978 7.998 8.008 7.484 7.436 3.3. Rasio 11,70 11,61 11,52 11,19 10,03 4. SMK 4.1. JumlahGuru 588 598 622 619 659 4.2. JumlahMurid 8.020 8.121 8.229 8.749 8.370 4.3. Rasio 13,64 13,58 13,23 14,13 12,70 Sumber: DinasPendidikanDaerahKotaPadangsidimpuan Dari data diatas terlihat bahwa perkembangan Rasio Siswa/Guru menurut jenjang pendidikan Kota Padangsidimpuan pada tahun 2013 tidak mengalami perubahan yang signifikan dan memilki tren yang cukup bagus dimana hampir seluruh jenjang pendidikan mengalami penurunan dan hanya pada jenjang SMP yang naik dan rasio ini juga masih sangat ideal jika ditinjau dari Peraturan Pemerintah No. 74 Tahun 2008 pasal 17 dan Permendiknas tahun 2007 nomor
  • 29.
    26 41 dimana untukjenjang pendidikan SMP Rasio Siswa/Guru adalah 1 orang guru untuk minimal 20 siswa dan maksimal 32 siswa.Dari tabel diatas dapat dilihat bahwa rasio Siswa/Guru di Kota Padangsidimpuan diseluruh jenjang pendidikan sudah sangat ideal, namun rasio ini belum sepenuhnya menggambarkan keadaan yang sebenarnya karena terbentur masalah penempatangurudisekolah-sekolahyang belum merata. d. Rasio Pendidikan Dilihat dari perbandingan jumlah siswa terhadap sekolah, perbandingan siswa terhadap jumlah kelas, perbandingan siswa terhadap jumlah guru, perbandingan jumlah kelas terhadap jumlah sekolah, perbandingan jumlah kelas terhadap guru dan perbandingan jumlah guru terhadap sekolah pada berbagai jenjangpendidikan di Kota Padangsidimpuan dapat dilihat pada tabel dibawahini: Tabel 2.14 Ratio Jenjang Pendidikan/Ratio Pendidikan Tahun 2009-2013 NO JENJANGPENDIDIKAN/ RASIOPENDIDIKAN TAHUN 2009 2010 2011 2012 2013 1. SD Siswa/Sekolah 286 286 286 286 282 Siswa/Kelas 40 40 40 37 37 Siswa/Guru 18 18 17 15 14 Kelas/Sekolah 7,20 7,21 7,24 7,73 7,61 Kelas/Guru 2 2 2 2 2 Guru/Sekolah 15 15 15 19 20 2. SMP Siswa/Sekolah 432 432 448 442 465 Siswa/Kelas 35 35 32 32 32 Siswa/Guru 12 12 12 11 11 Kelas/Sekolah 24,60 24,60 25,63 11,39 11,46 Kelas/Guru 2 2 2 3 3 Guru/Sekolah 35 35 33 39 39 3. SMA Siswa/Sekolah 442 442 445 416 413 Siswa/Kelas 34 34 35 34 34 Siswa/Guru 12 12 12 11 10 Kelas/Sekolah 12,83 13,22 13,56 11,19 10,03 Kelas/Guru 2 2 2 3 3 Guru/Sekolah 38 38 38 37 41 4. SMK Siswa/Sekolah 579 579 514 547 523 Siswa/Kelas 32 32 30 34 34 Siswa/Guru 14 14 13 14 13 Kelas/Sekolah 18,43 17,40 16,75 14,13 12,7 Kelas/Guru 2 2 2 2 3 Guru/Sekolah 31 31 30 38 41 Sumber:DinasPendidikan DaerahKota Padangsidimpuan Dari data diatas terlihat bahwa Ratio Siswa/Guru di Kota Padangsidimpuan sudah cukup ideal antara 11-14 orang siswa untuk setiap orang guru.Dengan tercapainya ratio ideal ini diharapkan dapat lebih meningkatkan mutu
  • 30.
    27 pendidikan di KotaPadangsidimpuan yang dalam hal ini tentunya harus dibarengidenganpemerataan guruditiap-tiap sekolah. f. Angka Putus Sekolah Perkembangan Angka Putus Sekolah pada berbagai jenjang pendidikan dapat dilihatpadatabeldibawah ini: Tabel 2.15 Perkembangan Angka Putus Sekolah pada berbagai jenjang pendidikan dasar No JENJANG PENDIDIKAN TAHUN 2009 2010 2011 2012 2013 Jlh % Jlh % Jlh % Jlh % Jlh % 1 SD 0 0 0 0 0 0 0 94,44 0 94,69 2 SMP 0 0 0 0 0 0 0 88,08 0 88,33 3 SMA 0 0 0 0 0 0 0 0,07 0 0,68 4 SMK 0 0 0 0 0 0 0 0,07 0 0,68 Sumber: DinasPendidikanDaerahKotaPadangsidimpuan g. Angka Kelulusan PerkembanganAngka Kelulusan Tabel 2.16 Perkembangan Angka Kelulusan Pada Berbagai Jenjang Pendidikan Dasar NO JENJANG PENDIDIKAN 2009 2010 2011 2012 2013 1 SD 4.643 4.658 4.664 4.504 4.604 2 SMP 3.612 3.643 3.676 3.315 3.540 3 SMA 2.428 2.439 2.442 2.605 2.570 4 SMK 1.189 1.193 1.201 2.636 2.905 Sumber: DinasPendidikanDaerahKotaPadangsidimpuan Dari tabel diatas terlihat adanya peningkatan jumlah kelulusan siswa pada berbagai tingkatan selama tahun 2009-2013, hal ini menunjukkan adanya peningkatan prestasi peserta didik dalam menjalani pendidikannya disekolah.Halini perlu terusditingkatkanuntukmasa- masayangakandatang. h. Kualifikasi Guru Tabel 2.17 Jumlah Guru Menurut Ijazah Tertinggi NO JENJANG PENDIDIKAN GURUSEKOLAH TAHUN 2009 2010 2011 2012 2013 S-1 S-2 S-1 S-2 S-1 S-2 S-1 S-2 S-1 S-2 1 SD 412 0 423 0 455 0 475 4 475 4 2 SMP 556 12 580 14 592 15 863 21 863 21 3 SMA 598 3 618 4 624 6 525 1 525 1 4 SMK 458 3 466 3 471 5 294 3 294 3 JUMLAH 2.024 18 2.087 21 2.142 26 2.157 29 2.157 29 Sumber : Dinas PendidikanDaerahKotaPadangsidimpuan
  • 31.
    28 Pemerintah Kota Padangsidimpuansecara terus menerus berusaha untuk meningkatkan kualitas guru melalui program sertifikasi dan pemberian beasiswa untuk peningkatan jenjang pendidikan guru dari S0 ke S1 dan dari S1 ke jenjang S2. 2.1.3.1.2. Kesehatan Pada bidang kesehatan capaian yang telah diperoleh sampai dengan tahun 2013, dapat dilihatpadatabeldibawahini: Tabel 2.18 Capaian Indikator Bidang Kesehatan Sampai Dengan Tahun 2013 NO INDIKATOR CAPAIAN 1. Rasioposyandupersatuanbalita 6,89 2. Rasiopuskesmas,poliklinik,pustupersatuanpenduduk 0,18 3. RasioRumahSakitpersatuanpenduduk 0,015 5. Rasiodokterper100.000penduduk 59,93 6. Rasiotenagamedisper100.000penduduk 100,52 7. Cakupankomplikasikebidananyangditangani 17 8. Cakupanpertolonganpersalinanolehtenagakesehatanyang memilikikompetensikebidanan 83 9. CakupanDesa/kelurahanUniversalChildImmunization(UCI) 26,6 10. CakupanBalitaGiziBurukmendapatperawatan 100 11. CakupanpenemuandanpenangananpenderitapenyakitTBCBTA 110 12. CakupanpenemuandanpenangananpenderitapenyakitDBD 100 13. Cakupankunjunganbayi 84 14. CakupanPuskesmas 150 15. Cakupanpembantupuskesmas/jumlahpenduduk 35,4 Sumber:DinasKesehatan DaerahKotaPadangsidimpuan 2.1.3.1.3. Pekerjaan Umum Beberapa capaian indikator bidang Pekerjaan Umum sampai dengan tahun 2010 adalahsebagai berikut: - Proporsi Jaringan jalandalam kondisibaikadalah 52,01%(276,835km) - Rasio Tempat Tempat Pembuangan Sampah per Satuan Penduduk adalah 1Lokasi 2.1.3.1.4. Perencanaan Pembangunan Hasil capaiandibidangPerencanaan Pembangunanadalahsebagaiberikut: - Peraturan Daerah Kota Padangsidimpuan Nomor 25 Tahun 2008 tentang Rencana Pembangunan Jangka Panjang Daerah Kota Padangsidimpuan Tahun 2005 – 2025. - Peraturan Daerah Kota Padangsidimpuan Nomor 26 Tahun 2008 tentang Rencana Pembangunan Jangka Menengah Daerah Kota Padangsidimpuan Tahun 2008 –2013. - Peraturan Daerah Kota Padangsidimpuan Nomor 02 Tahun 2013 tentang Rencana Pembangunan Jangka Menengah Daerah Kota Padangsidimpuan Tahun 2013 –2017. - Tersedianya Dokumen Perencanaan RKPD yg telah ditetapkan dengan PeraturanKepalaDaerah.
  • 32.
    29 2.1.3.1.5. Perhubungan Capaian dibidang Perhubungan pada tahun 2013 antara lain adalah sebagai berikut: - Terminal Kota Padangsidimpuan : 3 Buah - Angkutan Darat : - Mobil Penumpang = 1.705 Unit - Mobil Bus = 337Unit - Mobil Barang = 1.190 Unit 2.1.3.1.6. Keluarga Berencana dan Keluarga Sejahtera Indikator terkait dengan keluarga berencana dilihat jumlah Kelompok Bina Keluarga Balita(BKB)dan BinaKeluargaRemaja(BKR)pada table berikut: Tabel 2.19 Jumlah Kelompok Bina Keluarga Balita (BKB) dan Bina Keluarga Remaja (BKR) Kota Padangsidimpuan Tahun 2009 – 2013 NO URAIAN 2009 2010 2011 2012 2013 1 KelompokBinaKeluarga 35 41 31 75 82 2 KelompokBinaRemaja 14 13 17 20 27 Sumber: - Badan KB, Pemberdayaan Perempuan dan Perlindungan Anak Kota Padangsidimpuan 2.1.3.1.7. Sosial Sarana sosial seperti panti asuhan, panti jompo dan panti rehabilitasi yang terdapat di Kota Padangsidimpuan, yang menampung anak-anak terlantar, gelandangan,cacatfisik,pengemisdanlanjut usia. - PMKSygmemperolehbantuan sosal Tabel 2.20 PMKS Yang Memperoleh Bantuan Sosial Tahun 2013 No JENIS PMKS JUMLAH PENERIMA KET 1 KeluargaMisikin(PemberianBantuanPaketSeragam sekolahuntukanakkeluargamiskin) 300anak - 2 PenghuniPantiJompo 65Orang 2Panti 3 PenghuniPantiAnak 125Anak 1Panti Sumber:DinasSosialdanTenagaKerjaKotaPadangsidimpuan 2.1.3.1.8. Tenaga Kerja Tabel 2.21 Rasio Ketergantungan Tahun 2012 Kota Padangsidimpuan (%) No URAIAN 2010 2011 2012 1. JumlahPendudukUsia≤14tahun 32,83 32,33 31,94 2. JumlahPendudukusia≥65tahun 3,15 3,17 3,12 3. JumlahPendudukUsiaTidakProduktif(1)&(2) 35,98 35,50 35,06 4. JumlahPendudukUsia15-64tahun 64,02 64,50 64,94 5. Rasioketergantungan(3)/(4) 0,56 0,55 0,54 Sumber :BadanPusatStatistik KotaPadangsidimpuan
  • 33.
    30 Dari data diatas, terlihat adanya penurunan Rasio Ketergantungan penduduk Kota Padangsidimpuan mulai dari tahun 2010 s.d tahun 2012, dimana pada tahun 2010 sebesar 0,56% menjadi 0,55% pada tahun 2011. Pada tahun 2012 rasio ini kembali mengalami penurunan menjadi sebesar 0,54%. Hal ini menunjukkan adanya perbaikan dalam struktur ketenagakerjaan di Kota Padangsidimpuan,dimana jumlahpendudukusia produktifsemakin bertambah. 2.1.3.1.9. Koperasi dan Usaha Kecil Menengah Pada tahun 2013 jumlah Koperasi Unit Desa (KUD) di Kota Padangsidimpuan tercatat sebanyak 4 unit.Sedangkan jumlah koperasi menurut sektor ada sebanyak 196 unit, dengan jumlah anggota koperasi tersebut sebanyak 8.320 orang danjumlahsimpanankoperasisebesar 94,2 jutarupiah. 2.1.3.1.10. Ketahanan Pangan Ketersediaan bahan pangan utama (Beras, Jagung, Ubi, Kedelai dan Kacang Hijau) Tabel 2.22 NO JENISPANGAN TON/TAHUN 2009 2010 2011 2012 2013 1 Padi 58.098 62.023 46.146 53.429 49.066 2 Jagung 341 477 830 1.173 1.451 3 UbiKayu 3.452 4.454 5.076 5.991 7.240 4 UbiJalar 808 672 974 949 1.633 5 Kedelai 34 13 90 34 26 6 KacangHijau 108 89 43 104 180 Sumber :- Badan Ketahanan Pangan dan Penyuluhan Pertanian Kota Padangsidimpuan 2.1.3.1.11. Komunikasi dan Informatika Pembangunan pos dan telekomunikasi mencakup jangkauan baik pelayanan dan peningkatan kerjasama internasional maupun peningkatan jasa telekomunikasi dan informasi, sehingga arus berita,informasi dan data berjalan lancar.Berbagai usaha telah dilakukan pemerintah untuk memperlancar pelayanan berkenaan semakin meningkat permintaan akan jasa pos. Salah satu di antaranya dengan memperbanyak jumlah kantor pelayanan pos. Pengiriman surat dari Kota Padangsidimpuan tahun 2013 mencapai 12.055 surat tercatat, 53.524 suratkilat, 54.713 suratwesel, 1.193 pospaket. Lembaga Penyiaran Swasta terdapat 3 stasion radio yang terdiriRAU FM,KISS FM,dan ROXYFM.
  • 34.
    31 2.1.3.2. Fokus LayananUrusan Pilihan 2.1.3.2.1. Pertanian ProduktivitasPadiatauBahanPanganUtamaLainnya. Tabel 2.23 NO JENISPANGAN TON/TAHUN 2009 2010 2011 2012 2013 1 Padi 58.098 62.023 46.146 53.429 49.066 2 Jagung 341 477 830 1.173 1.451 3 UbiKayu 3.452 4.454 5.076 5.991 7.240 4 UbiJalar 808 672 974 949 1.633 5 Kedelai 34 13 90 34 26 6 KacangHijau 108 89 43 104 180 Sumber : - Badan Ketahanan Pangan dan Penyuluhan Pertanian Kota Padangsidimpuan 2.1.3.2.2. Pariwisata Sesuai dengan data BPS Kota Padangsidimpuan, jumlah hotel dan akomodasi lainnya yang ada di Kota Padangsidimpuan tahun 2012 adalah 27 hotel, dengan jumlah kamar sebanyak 663 kamar dan tempat tidur sebanyak 1.160. Untuk jumlah hotel yang berbintang 2 hanya sebanyak 2 buah dengan kapasitas kamar sebanyak 110 buah dan tempat tidur sebanyak 178 buah. Untuk jenis hotel melati (non berbintang) ada 25 buah dengan kapasitas kamar sebanyak 553 buah dan tempat tidur sebanyak 982 buah. Selain jenis tersebut, sesuai dengan data Dinas Pemuda Olahraga, Sosial Budaya dan Pariwisata Kota Padngsidimpuan ada jenis penginapan lain sebanyak 3 penginapan dengan jumlah kamar 35 kamar dengan 52 tempattidur. Jumlah wisatawan yang datang ke Kota Padangsidimpuan tahun 2011 berkisar 86.607 orang, dengan rincian wisatawan asing sebanyak 1.238 orang dan wisatawan nusantara sebanyak 85.369 orang. Untuk tahun 2012 jumlah wisatawan yang datang ke Kota Padangsidimpuan berkisar 96.137 orang, dengan rincian wisatawan asing sebanyak 1.238 orang dan wisatawan nusantara sebanyak 94.899 orang, sementara untuk tahun 2013 berkisar 87.498 orang, dengan rincian wisatawan asing sebanyak 1.120 orang dan wisatawan nusantara sebanyak 86.478 orang. 2.1.3.2.3. Perdagangan KontribusiSektor Perdagangan TerhadapPDRB. Kontribusisektor perdagangan terhadap PDRBadalah perbandinganantarajumlah kontribusi sektor perdagangan terhadap jumlah PDRB dalam bentuk persentase. Nilai ini menggambarkan seberapa besar peran sektor perdagangan dalam PDRB padatahun tertentu.Tabel berikut menjelaskan kontribusi sektor perdagangan terhadap PDRBuntuktahun2007-2010di KotaPadangsidimpuan.
  • 35.
    32 Tabel 2.24 Kontribusi SektorPerdagangan Terhadap PDRB ADHK (Product Domestic Regional Bruto Atas Dasar Harga Konstan) Tahun 2009 s/d 2012 (%) Lapangan Usaha/Sektor %/Pertahun 2009 2010r) 2011r) 2012*) Perdagangan,Hotel&Restoran 24,89 24,53 24,13 23,77 Sumber:BadanPusatStatistik KotaPadangsidimpuan 2.1.3.2.4. Perindustrian Otonomi daerah memberi kebebasan kepada daerah untuk merencanakan dan mengelola kegiatan ekonomi sendiri tanpa menunggu campur tangan dari pusat.Karenanya setiap daerah harus mampu mengembangkan ekonomi sesuai potensi yang dimilikinya.Potensi ekonomi tersebut tergambar dari kontribusi dari setiaplapanganusahaatausektor. Tabel 2.25 Kontribusi Sektor Industri Terhadap PDRB ADHK (Product Domestic Regional Bruto Atas Dasar Harga Konstan) Tahun 2007 s/d 2010 (%) Lapangan Usaha/Sektor %/Pertahun 2007 2008 2009r) 2010*) IndustriPengolahan 11,23 10,81 10,44 10,16 Sumber :BadanPusat Statistik KotaPadangsidimpuanTahun2012 2.1.4. Aspek Daya Saing Daerah Daya saing daerah dilihat capaian indikator kemampuan ekonomi daerah, fasilitas wilayahatauinfrastruktur,iklimberinvestasidan sumber dayamanusia: 2.1.4.1.Fokus Iklim Berinvestasi Fokus Kemampuan Daerah dapat dilihat dari pengeluaran konsumsi rumah tangga per-kapita (persentase konsumsi RT untuk non pangan). Untuk Kota Padangsidimpuan rata-rata pengeluaran per kapita per bulan masih didominasi oleh pengeluaran untuk makanan54,27persen dan45,73 persenuntuknon-makanan. Tabel 2.26 Angka Konsumsi RT perkapitaTahun 2011 - 2012 NO Uraian Satuan TAHUN 2011 2012 TotalPengeluaranRT % 100 100 1 a.Pangan % 53,45 54,27 b.NonPangan % 46,55 45,73 2 JumlahRT 43.592 45.148 Sumber: - BadanPusat Statistik KotaPadangsidimpuan
  • 36.
    33 Salah satu Indikatoryang mendukung Iklim Berinvestasi adalah faktor keamanan daerah(angkakriminalitas)yang dapat dijelaskan sebagaiberikut: Tabel 2.27 Angka Kriminalitas Kota Padangsidimpuan 2009-2013 No Jenis Kriminal 2009 2010 2011 2012 2013 1 Jumlah kasus Narkoba 36 19 41 37 58 2 Jumlah kasus Pembunuhan - 1 1 3 1 3 Jumlah Kejahatan Seksual 21 20 29 29 48 4 Jumlah kasus Penganiayaan 195 214 157 166 178 5 Jumlah kasus Pencurian 132 161 187 231 272 6 Jumlah kasus Penipuan 62 92 63 50 63 7 Jumlah kasus Pemalsuan uang - - - - - 8 Jumlah Tindak Kriminal Selama 1 Tahun 596 658 651 674 781 9 Jumlah Penduduk 191.912 191.531 193.332 195.150*) 196.985*) 10 Angka Kriminalitas (8)/(9) 31,06 34,35 33,67 34,54 39,65 Sumber:-KepolisianResort KotaPadangsidimpuanTahun2013 2.1.4.2.Fokus Sumber Daya Manusia Jika dilihat dari rasio ketergantungan terlihat bahwa terjadi penurunan angka rasio ketergantungan usia tidak produktif,yang menunjukkan semakin baiknya struktur angkatan kerja di KotaPadangsidimpuan. Tabel ini memperlihatkan data rasio ketergantungan penduduk di Kota Padangsidimpuan. Tabel 2.28 Rasio Ketergantungan Tahun 2012 Kota Padangsidimpuan (%) No URAIAN 2010 2011 2012 1. JumlahPendudukUsia≤14tahun 32,83 32,33 31,94 2. JumlahPendudukusia≥65tahun 3,15 3,17 3,12 3. JumlahPendudukUsiaTidakProduktif(1)&(2) 35,98 35,50 35,06 4. JumlahPendudukUsia15-64tahun 64,02 64,50 64,94 5. Rasioketergantungan(3)/(4) 0,56 0,55 0,54 Sumber : BadanPusatStatistik KotaPadangsidimpuan 2.1.5. Ekonomi dan Keuangan Daerah Secara umum gambaran hasil Analisis Ekonomi dan Keuangan Daerah dapat dilihat padatabelberikut:
  • 37.
    34 Tabel 2.29 Perkembangan IndikatorMakro Ekonomi Kota Padangsidimpuan No IndikatorMakro Satuan Realisasi Bertambah/ Berkurang2011 2012 1 2 3 4 5 6 1 PDRB(HargaBerlaku) TriliunRp 2,30 2,56 0,19 2 PDRB(HargaKonstan) TriliunRp 0,99 1,05 0,06 3 TingkatPertumbuhanEkonomi/ PDRBHargaBerlakuTahunTertentu % 5,88 6,23 0,35 4 TingkatInflasi % 4,66 3,54 (1,12) 5 StrukturPDRBPendekatanProduksiAtauSektoral: 100,00 100,00 - Pertanian % 15,82 15,87 0,05 - Pertambangan&Penggalian % 0,34 0,34 0,00 - IndustriPengolahan % 11,78 11,80 0,02 - Listrik,GasdanAirBersih % 0,61 0,59 (0,02) - Bangunan % 5,14 5,22 0,08 - Perdagangan,Hotel&Restoran % 22,83 22,74 (0,09) - Pengangkutandankomunikasi % 11,91 11,93 0,02 - Keuangan,persewaan&jasaperusahaan % 12,22 12,49 0,27 - Jasa jasa % 19,35 19,02 (0,33) 6 ProduktivitasSektoralyangmerupakanRasio antaraNilaiTambahBruto(NTB)setiapSektor terhadapjumlahTenagaKerjadisektoryang bersangkutan - Pertanian % 4,37 4,63 0,26 - Pertambangan&Penggalian % 2,19 3,10 0,91 - IndustriPengolahan % 2,31 3,35 1,04 - Listrik,GasdanAirBersih % 3,50 3,52 0,02 - Bangunan % 8,73 9,72 0,99 - Perdagangan,Hotel&Restoran % 4,15 4,68 0,53 - Pengangkutandankomunikasi % 4,50 6,89 2,39 - Keuangan,persewaan&jasaperusahaan % 11,27 11,62 0,35 - Jasa jasa % 7,35 5,76 (1,59) 7 JumlahPendudukMiskin Jiwa 20.357 18.887 (1.470) 8 GarisKemiskinan Rp 282.570 318.110 35.540 9 TingkatPengangguran % 8,81 9,10 (1,94) 10 PartisipasiAngkatanKerja(TPAK) % 69,45 73,41 (7,30) 11 DisparitasPendapatanRegionalyangdilihatdari perbedaan: - PendapatanPerkapita RpJuta 11,92 12,89 0,97 - KemampuanInvestasi RpMilyar 128,24 96,86 (31,38) - BesaranIPM(indeksPembangunanManusia) 75,58 76,04 0,44 - dansebagainya 12 BerbagaiMacamBesaranRasiodanPerbandingan perbandingan - PajakDaerahterhadapPDRB % 0,31 0,30 (0,01) - PerbandinganPenerimaanPemerintahDaerah (PAD,DanaPerimbangandanLain-lainPendapatan DaerahYangSahterhadapPDRB) % 20,75 21,11 (0,00) Sumber:BadanPusat Statistik KotaPadangsidimpuanTahun2013 2.2. Evaluasi Pelaksanaan Program dan Kegiatan RKPD sampai Tahun 2013 dan Realisasi RPJMD Evaluasi pelaksanaan RKPD Tahun 2013 didasarkan pada pencapaian target yang telah ditetapkan serta berpedoman pada Rencana Pembangunan RPJMD 2013 – 2017
  • 38.
    35 yang merupakan penjabarantahun pertama dari masa bhakti Walikota dan Wakil Walikota Padangsidimpuan. Tujuan evaluasi adalah untuk melihat Kinerja RKPD tahun lalu antara lain untuk menilai/mengidentifikasi program dan kegiatan yang belum terealisasikan atau belum terlaksana 100% (seratus %), untuk diusulkan lagi pada penyusunan RKPD tahun 2015. Selain itu untuk mereview RPJMD dan RKPD, dengan memperhatikan dokumenRKPDtahun2014. 2.2.1 Evaluasi Pelaksanaan Program dan Kegiatan RKPD sampai Tahun 2013 Keberhasilan kinerja pelaksanaan pembangunan daerah salah satunya dapat dilihat dari capaian Indikator makro pembangunan, baik indikator makro pembangunan sosial, maupun indikator makro pembangunan ekonomi. Salah satu indikator makro pembangunan sosial yang dapat dijadikan ukuran dalam melihat gambaran keberhasilanpelaksanaan pembangunanyaituIndeksPembangunanManusia(IPM). Pembangunan manusia merupakan paradigma pembangunan yang menempatkan manusia sebagai fokus dan sasaran akhir dari seluruh kegiatan pembangunan, yaitu: meningkatnya derajat pendidikan, meningkatnya derajat kesehatan masyarakat dantercapainyakehidupanyang layak. Selanjutnya, salah satu indikator makro pembangunan ekonomi yang dapat dijadikan ukuran dalam melihat gambaran keberhasilan pelaksanaan pembangunan, khususnya kemampuan suatu daerah dalam menghasilkan pendapatan yaitu: PDRB, Laju Pertumbuhan Ekonomi (atas dasar harga Konstan), Pendapatan per Kapita dan TingkatInflasi. 2.2.2. Penelaahan terhadap RPJMN dan RKPD Kota Padangsidimpuan Identifikasi permasalahan terkait dengan Penyelenggaraan Urusan Pemerintahan Daerah, dapat disimpulkan berdasarkan bidang urusan dan indikator kinerja penyelenggaraanpemerintahdaerah,sebagaimana diuraikanpada tabeldibawahini: Tabel 2.30 Identifikasi Kebijakan Nasional dan Provinsi Sumatera Utara Pemerintah Kota Padangsidimpuan No KETERKAITANISUDANMASALAHMENDESAK NASIONAL PROVINSI SUMATERAUTARA KOTA PADANGSIDIMPUAN 1 2 3 4 1. ReformasiBirokrasidanTata kelola Peningkatankualitas kehidupanberagama, tata pemerintahanyangbaikdan partisipasimasyarakat dalampembangunan Optimalisasi reformasi birokrasi 2. Pendidikan PeningkatanAksesibilitas danKualitasPendidikan TerutamaProgramWajib Belajar12 Tahun. Peningkatan kualitas pendidikan
  • 39.
    36 3. Kesehatan PeningkatanAksesibilitas danPelayananKesehatan terutamapenurunanangka kematianbayidanibu melahirkan. Peningkatankualitas kesehatanmasyarakat 4.PenanggulanganKemiskinan Perluasankesempatankerja danpeningkatan kesejahteraanrakyatmiskin Pengentasankemiskinan danperluasan kesempatankerja 5. KetahananPangan Peningkatanproduksi, produktivitasdandayasaing produk pertanian,kelautan danperikanan Penguatanketahanan pangan 6. Infrastruktur Peningkataninfrastruktur danpengembanganwilayah untuk mendukungdaya saingperekonomian Pembenahan infrastrukturdaerah terutamajalan,terminal, danpusatperdagangan (pasar) 7. IklimInvestasidanIklimUsaha Peningkatandan perbaikanikliminvestasi 8. Perekonomian PeningkatanEkonomi kerakyatan Peningkatankemampuan ekonomidaerah 9. Kebudayaan,kreativitas,dan inovasi teknologi Peningkatanpenguasaan ilmupengetahuandan penerapan teknologi Peningkatandayasaing daerah 2.3. Isu Strategis dan Masalah Mendesak Beberapa isu strategis dan masalah mendesak sebagaimana termuat didalam RPJMD Kota Padangsidimpuan yang harus menjadi perhatian utama selama 5 (lima) tahun pelaksanaan RPJMD diantaranyasebagaimanaberikut ini. 2.3.1 Peningkatan Kualitas Kesehatan Masyarakat Peningkatan kualitas pembangunan kesehatan merupakan salah satu pilar utama dalam mewujudkan kesejahteraan masyarakat. Pelaksanaan pembangunan kesehatan dilakukan melalui peningkatan kualitas kelembagaan, sumber daya manusia, dan tata kelola meliputi: peningkatan kualitas prasarana sarana kesehatan, kualitas tenaga medis dan paramedis, perbaikan sistem pelayanan dengan memperhatikan keterjangkauan dan ketersediaan pelayanan untuk seluruh masyarakat Kota Padangsidimpuan termasuk masyarakat miskin dan kelompok masyarakat berkebutuhan khusus. Mengingat keadaan kemampuan Kota Padangsidimpuan terutama dari aspek sosial ekonomi, maka perlu dibangun sinergitas antara pemerintah, dunia usaha, dan masyarakat dalam penyediaan pelayanan
  • 40.
    37 kesehatan yang berkualitasbagi seluruh masyarakat Kota Padangsidimpuan. 2.3.2 Peningkatan Kualitas Pendidikan Pembangunan sektor pendidikan mempunyai peran penting dalam peningkatan kesejahteraan masyarakat. Untuk mewujudkan hal ini, dilakukan melalui peningkatan kelembagaan sumber daya manusia dan tata laksana yang meliputi penyediaan prasarana dan sarana, peningkatan kualitas tenaga pendidik, pengelolaan sistem pendidikan yang berkualitas dan pembiayaan pendidikan. Dalam pelaksanaannya, diperlukan pertimbangan kebutuhan pasar tenaga kerja. Mengingat pentingnya pengembangan kualitas pendidikan, maka perlu dibangun sinergitas antara pemerintah, dunia usaha, dan masyarakat guna terselenggaranya pelayanan pendidikan yang merata dan berkualitas bagi masyarakat. 2.3.3 Optimalisasi Reformasi Birokrasi Reformasi birokrasi mempunyai peran yang penting dalam pembangunan daerah, ia tidak saja akan berkontribusi pada lahirnya pemerintahan yang efektif, efiesien, bersih, dan berwibawa, tetapi juga akan berkontribusi pada peningkatan pelayanan publik, yang pada akhirnya juga akan berkontribusi pada percepatan laju pembangunan daerah. Untuk mewujudkan hal ini, maka akan dilakukan peningkatan kelembagaan sumber daya manusia dan tata laksana yang meliputi penyediaan prasarana dan sarana, peningkatan kualitas aparatur, peningkatan sistem pengawasan dan pengendalian internal, peningkatan manajemen kepegawaian, sistem seleksi Calon Pegawai Negeri Sipil (CPNS) dan promosi PNS secara terbuka, pengembangan Sistem Elektronik Pemerintah (e-Government), penyederhanaan sistem perizinan dan non perizinan, serta peningkatan remunerasi berdasarkan "merit system". 2.3.4 Peningkatan Kemampuan Ekonomi Daerah. Laju Pertumbuhan Ekonomi (LPE) maupun Pendapatan Asli Daerah (PAD) Kota Padangsidimpuan dalam 5 tahun terakhir menunjukkan perkembangan yang terus meningkat demikian halnya dengan nilai pendapatan perkapita penduduknya. Investasi di bidang ekonomi khususnya jasa dan perdagangan juga menunjukkan perkembangan
  • 41.
    38 yang meningkat, ditandaisemakin besarnya kontribusi sektor ini pada PDRB Kota Padangsidimpuan. Kendati demikian berbagai persoalan menyangkut kemampuan ekonomi Kota Padangsidimpuan masih sangat terasa. Nilai PAD Kota Padangsidimpuan masih sangat kecil dibanding total APBD, sehingga pembiayaan pembangunan Kota padangsidimpuan masih sangat tergantung pada sumber dana dari luar. Peningkatan kemampuan ekonomi daerah Kota Padangsidimpuan dapat dilakukan dengan upaya intensifikasi, esktensifikasi dan diversifikasi pemungutan pajak atau retribusi, peningkatan kemampuan BUMD, serta bagi hasil daerah dari Pajak Daerah dan Retribusi Daerah (berdasarkan undang-undang pajak daerah dan retribusi daerah). 2.3.5 Pengentasan Kemiskinan Dan Perluasan Kesempatan Kerja Kesejahteraan masyarakat merupakan tujuan utama pembangunan daerah. Untuk mewujudkan kesejahteraan masyarakat maka pembangunan ekonomi diarahkan pada peningkatan pertumbuhan ekonomi, perluasan kesempatan kerja, pemerataan pendapatan dan pengendalian stabilitas harga kebutuhan pokok. Dalam pelaksanaan pembangunan ekonomi dilakukan melalui prinsip pengembangan ekonomi yang seimbang dengan menerapkan konsep pro poor, pro job, pro growth, dan pro environment dengan memperhatikan pemberdayaan masyarakat. Pembangunan ekonomi ini juga disinergikan dengan kebijakan Pemerintah Pusat yang tertuang dalam Masterplan Percepatan Perluasan Pembangungan Ekonomi Indonesia (MP3EI) dan Millenium Development Goals (MDGs). Dalam upaya mengurangi jumlah penduduk miskin di Kota Padangsidimpuan, diperlukan keberpihakan pada Usaha Mikro Kecil dan Menengah termasuk pedagang informal baik melalui kebijakan maupun penyediaan fasilitas dan modal kerja. 2.3.6 Pembenahan Infrastruktur Daerah Terutama Jalan, Terminal, Dan Pusat Perdagangan (Pasar) Dalam mewujudkan Kota Padangsidimpuan sebagai kota jasa dan perdagangan serta pusat kegiatan wilayah Tapanuli Bagian Selatan, maka diperlukan pembenahan infrastruktur daerah terutama menyangkut jalan, terminal dan pusat perdagangan (pasar). Pembenahan
  • 42.
    39 ini diharapkan akanmampu memperlancar kegiatan produksi, distribusi barang dan jasa serta peningkatan aksesibilitas bagi manusia ataupun barang dan jasa. Selain itu pembenahan infrastruktur ini juga diharapkan dapat meningkatkan pendapatan asli daerah Kota Padangsidimpuan dengan memanfaatkan posisi strategis Kota Padangsidimpuan sebagai kota tujuan dari daerah –daerah lain seperti : Madina, Tapanuli Selatan, Tapanuli Tengah, Sibolga, Palas, dan Paluta. Khusus pada soal pembenahan infrastruktur jalan terutama dari dan ke Kota Pasangsidimpuan diperlukan kerja sama antar wilayah : Tapanuli Tengah, Sibolga, Tapanuli Utara, Tapanuli Selatan, Palas, Paluta Dan Madina. 2.3.7 Penguatan Ketahanan Pangan Ketahanan pangan merupakan salah satu fokus dalam peningkatan kesejahteraan masyarakat. Pengelolaan ketahanan pangan diharapkan dapat mendukung ketahanan sosial, stabilitas ekonomi, stabilitas politik, dan keamanan serta ketahanan nasional. Dalam mewujudkan ketahanan pangan, diperlukan penguatan kelembagaan, peningkatan kualitas sumber daya manusia, dan pengembangan tata laksana dengan mengedepankan aspek ilmu pengetahuan dan teknologi, ketersediaan ketahanan pangan, akses atau keterjangkauan pangan, serta distribusi dan diversifikasi pangan. Untuk itu diperlukan sinergitas pemerintah, dunia usaha, dan masyarakat dengan mengedepankan kerjasama antar daerah, antar lembaga penelitian, serta penegakan hukum. 2.3.8 Peningkatan dan Perbaikan Iklim Investasi Iklim investasi yang kondusif merupakan faktor penting untuk meningkatkan investasi di Kota Padangsidimpuan. Untuk mewujudkan hal tersebut perlu pembenahan kelembagaan, sumber daya manusia, dan tata laksana yang meliputi : penyempurnaan sistem dan prosedur berinvestasi, transparansi informasi bisnis, peningkatan pelayanan, persaingan usaha yang sehat, pemberian insentif, stabilitas ketentraman dan ketertiban, ketersediaan tenaga kerja, kepastian hukum dan infrastruktur pendukung. Dalam pelaksanaannya perlu dilakukan dengan melibatkan seluruh pemangku kepentingan dalam skala nasional, regional, dan lokal yang meliputi pemerintah, dunia usaha dan masyarakat dengan prinsip kemitraan. Untuk memastikan bahwa investasi yang dikelola memberikan manfaat yang sebesar-besarnya bagi kehidupan ekonomi, sosial dan lingkungan masyarakat, perlu dilakukan
  • 43.
    40 integrasi serta kajianmendalam pada investasi yang telah dan akan dilakukan, baik investasi yang bersifat fisik maupun non fisik. 2.3.9 Peningkatan Daya Saing Daerah Daya saing daerah adalah kemampuan perekonomian daerah dalam mencapai pertumbuhan tingkat kesejahteraan yang tinggi dan berkelanjutan dengan tetap terbuka pada persaingan dengan kabupaten/kota lainnya yang berdekatan. Aspek daya saing daerah terdiri dari kemampuan ekonomi daerah, fasilitas wilayah atau infrastruktur, iklim berinvestasi dan sumber daya manusia.
  • 44.
    41 BAB III RANCANGAN KERANGKAEKONOMI DAERAH BESERTA KERANGKA PENDANAAN 3.1 Arah Kebijakan Ekonomi Daerah 3.1.1 Kondisi Ekonomi Daerah Tahun 2013 dan Perkiraan Tahun 2014 Kerangka Ekonomi Daerah dan Pembiayaan Pembangunan pada Rencana Kerja Pembangunan Daerah (RKPD) Tahun 2015 akan dapat tergambar dan terencana dengan baik berdasarkan kondisi ekonomi daerah di Tahun 2013 dan perkiraan Tahun 2014. Kondisi ekonomi makro tahun 2013 dan perkiraan tahun 2014 dapat disimpulkan sebagaiberikut: a. Indikator makro ekonomi Kota Padangsidimpuan di Tahun 2012 mengalami peningkatan, hal ini terlihat dari laju pertumbuhan ekonomi Tahun 2012 sebesar 6,23 % dibandingkan tahun 2011 sebesar 5,99 % (Grafik 3.1). Adanya trend pertumbuhan ekonomi kearah positif di wilayah Kota Padangsidimpuan selama beberapa tahun terakhir mengindikasikan terjadinya peningkatan kegiatan perekonomian di Padangsidimpuan dan diperkirakan akan meningkat lagi pada tahun 2014. Untuk Kota Padangsidimpuan sebagai kota yang sedang membangun, kondisitersebutsangatdiharapkan. Grafik 3.1 Laju Pertumbuhan EkonomiKotaPadangsidimpuan Tahun 2008 – 2012 Sumber:BPSKotaPadangsidimpuaan-PadangsidimpuanDalamAngkaTahun2013 6,09 5,83 5,81 5,88 6,23 5,6 5,7 5,8 5,9 6 6,1 6,2 6,3 2008 2009 2010 2011 2012 TingkatPertumbuhan (Persen) TAHUN Trend Laju Pertumbuhan Ekonomi Kota Padangsidimpuan Tahun 2008 - 2012 (Persen)
  • 45.
    42 b. Disamping pertumbuhanekonomi, PDRB Kota Padangsidimpuan Atas Dasar Harga Berlaku Tahun 2012 juga mengalami peningkatan mencapai Rp 2,56 Triliun dibandingkan tahun 2011 sebesar Rp. 2,30 Triliun (Grafik 3.2). Sejalan dengan PDRB ADH, pada tahun 2012 pendapatan per kapita masyarakat Kota Padangsidimpuan juga mengalami peningkatan dari Tahun 2011 sebesar Rp 11,92 juta naikmenjadi Rp.12,88juta padaTahun2012 (Grafik3.3). Grafik 3.2 PDRB ADHBerlaku KotaPadangsidimpuan Tahun 2008 – 2012 (Trilyun Rp) Sumber:BPSKotaPadangsidimpuaan-PadangsidimpuanDalamAngkaTahun2013 Grafik 3.3 Pendapatan PerKapitaKotaPadangsidimpuan Tahun 2007 – 2011 (Trilyun Rp) Sumber:BPSKotaPadangsidimpuaan-PadangsidimpuanDalamAngkaTahun2013 c. Tingkat inflasi Kota Padangsidimpuan pada tahun 2012 mengalami penurunan, hal ini terlihat dari tingkat inflasi Kota Padangsidimpuan Tahun 2012 yatu sebesar 3,54 % bandingkandenganTahun2011 sebesar 4,66% (Grafik3.4). 9,78 10,26 10,96 11,92 12,88 0 2 4 6 8 10 12 14 2008 2009 2010 2011 2012 (JutaRp) TAHUN Pendapatan Per Kapita Kota Padangsidimpuan Tahun 2008 – 2012 (Juta Rp)
  • 46.
    43 Grafik 3.4 TingkatInflasiKotaPadangsidimpuan Tahun 2008– 2012 (%) Sumber: BPSKotaPadangsidimpuaanDalamAngkaTahun2013 d. Pada tahun 2012 sektor perdagangan, hotel dan restoran merupakan leading sector dalam perekonomian di Padangsidimpuan. Sektor tersebut berperan sebesar 22,74 %. Sektor kedua yang cukup besar peranannya adalah sektor jasa-jasa sebesar 19,02 % serta pertanian yaitu sebesar 15,87 %. Kemudian diikuti oleh sektor keuangan persewaan dan jasa perusahaan sebesar 12,49 %; sektor pengangkutan dan komunikasi sebesar 11,93 %; sektor industri pengolahan sebesar 11,80 %. Beberapa sektor tersebut merupakan sektor-sektor yang berperan lebih dari 10 % dalam perekonomian Padangsidimpuan. Sedangkan sektor-sektor yang peranannya di bawah 10 % adalah sektor bangunan sebesar 5,22 %; sektor listrik, gas dan air bersih sebesar 0,59 %; serta yang paling kecil adalah sektor pertambangandanpenggalianyaitusebesar 0,34 %. Tabel3.1 Struktur Ekonomi KotaPadangsidimpuan Tahun2012 (%) N0 Lapangan Usaha/Sektor Utama Tahun 2008 2009 2010 2011*) 2012*) (1) (2) (3) (4) (5) (6) (7) 1. Pertanian 16,15 16,10 16,15 15,82 15,87 2. Pertambangan & Penggalian 0,31 0,33 0,35 0,34 0,34 3. Industri Pengolahan 11,94 11,87 11,78 11,78 11,80 4. Listrik, Gas dan Air Bersih 0,69 0,66 0,63 0,61 0,59 5. Bangunan 4,86 4,98 5,04 5,14 5,22 6. Perdagangan, Hotel & Restoran 23,46 23,09 22,8 22,83 22,74 7. Pengangkutan dan komunikasi 13,20 12,59 12,21 11,91 11,93
  • 47.
    44 N0 Lapangan Usaha/SektorUtama Tahun 2008 2009 2010 2011*) 2012*) 8. Keuangan, persewaan & jasa perusahaan 11,45 11,67 11,84 12,22 12,49 9. Jasa jasa 17,95 18,71 19,19 19,35 19,02 Jumlah 100 100 100 100 100 Sumber:BPSKotaPadangsidimpuaan-PadangsidimpuanDalamAngkaTahun2013 Grafik 3.5 Struktur Ekonomi KotaPadangsidimpuan Tahun2012 (%) Sumber:BPSKotaPadangsidimpuaan-PadangsidimpuanDalamAngkaTahun2013 3.1.2 Tantangan dan Prospek Perekonomian Daerah Tahun 2014. Pemerintah Kota Padangsidimpuan dengan segala kekuatan dan peluang yang ada serta tantangan dan kelemahannya, berusaha mewujudkan visi dan misi nya yaitu “Sehat, Maju dan Sejahtera (SMS)”. Beberapa hal yang menjadi tantangan dalam mewujudkan visi dan misi Kota Padangsidimpuan, antara lain: 1. DanaTerbatas; 2. Masih Tingginyaangkakemiskinan; 3. Kualitas SDMmasihrendah; 4. SaranadanPrasaranabelummemadai; 5. Partisipasi masyarakatmasih perlu ditingkatkan; dan 6. Efektivitas manajemenPemerintahan belum optimal. Pertanian; 15,87 Pertambangan & Penggalian; 0,34 Industri Pengolahan; 11,8 LGA; 0,59 Bangunan; 5,22 Perdagangan, Hotel & Restoran; 22,74 Pengangkutan & Komunikasi; 11,93 Keuangan, Persew.& Jasa Perus; 12,49 Jasa-Jasa; 19,02
  • 48.
    45 Selanjutnya yangmenjadi prospekdanpeluang,antaralain: 1. Letak yangstrategis; 2. Komitmen PemerintahDaerah; 3. TingginyaPeluangInvestasi; 4. Lahan yangsubur; dan 5. Pusat Kegiatan Wilayah(PKW) Provinsi.
  • 49.
    46 Tabel 3.2. AnalisisKondisiInternaldanKondisi EksternalKotaPadangsidimpuan NO KONDISI INTERNAL KONDISIEKSTERNAL Kekuatan Kelemahan Peluang Ancaman Adanyakomitmen pemerintahdaerah dalammembangunnilai religidanbudayaluhur masyarakatmelalui berbagaikebijakan Tersedianyaberbagai lembagadaninstitusi masyarakatdalam kerangka pengembangannilai religidanbudayaluhur masyarakat Mempunyaikekayaan sumberdayaalamyang potensial Komitmenpemerintah daerahterhadap pembangunanekonomi Tersedianyaberbagai infrastrukturpenunjang bagipertumbuhan ekonomi Komitmenpemerintah daerahterhadap pengembangan pendidikan, pengembanganbidang kesehatandan pelestariansumberdaya alam Adanyahubunganyang harmonisantara pemerintahdaerah, propinsi,danpusat sertaantarapihak eksekutifdanlegislatif Adanyakomitmen pemerintahdaerah untukmereformasi birokrasi Lemahnyaperan lembagakeagamaan danbudaya,tokoh agamadanbudaya sebagaipanutan masyarakat. Belumoptimalnya koordinasiantar instansiterkaitdengan lembagakeagamaan danbudayadalam melakukan pembangunandi bidangreligidan budayaluhur. Penyebaranpenduduk tidakmerata Tingkatkesejahteraan masyarakatyang masihrendah Belumoptimalnya upayapengembangan danpemerataan pusat-pusat pertumbuhan ekonomidanupaya pengembanganjiwa dankemampuan wirausahamasyarakat Belumoptimalnya programpengentasan kemiskinan Ketersediaanlapangan kerjayangbelum mencukupi Masihkurangnya keterampilan masyarakatuntuk memasukilapangan pekerjaan. Belumoptimalnya program pengembangan agribisnis,Usaha Mikro, Kecil, Menengahdan Koperasisertainvestasi daerah Belumadanyapusat pengembanganhasil pertanianyangideal Secarahistoris, masyarakatdikenal sangatreligius, mengutamakannilai- nilaikeagamaandan toleransidalam kehidupan bermasyarakat Adanyakomitmen pemerintahdaerah dalammembangunnilai religidanbudayaluhur masyarakatmelalui berbagaikebijakan Adanyainisiatif masyarakatuntuk mengembalikannilai religidanbudayaluhur masyarakatdalam tatanankehidupan Terbukanyapasarbebas ASEAN,globalisasidan Lokal Pertumbuhantingkat konsumsimasyarakat menujukesejahteraan masyarakat Adanyakerjasama antarapemerintah daerahdenganinvestor dalampengelolaandan pemanfaatanpotensi daerah Partisipasiyangtinggi darimasyarakatdaerah danperantaudalam pembangunandaerah Adanyakomitmen pemerintahpusatdalam pengembangansektor ekonomimelalui berbagaikebijakan Tingginyakesadaran danpartisipasi masyarakat,pihak swastaterhadap pengembangan pembangunan Masihbelumoptimalnya penerapandanpelestarian nilai-nilaibudayadanadat dalamkehidupan masyarakat Adanyakemungkinan provokasidanhasutan daripihakyangtidak bertanggungjawab terhadapmasyarakat dalammenjalankanfungsi religinya Belummeratanyatingkat distribusidanpemerataan pendapatanmasyarakat Belumberkembangnya lembagakeuangan syariah Belumterkoordinirnya secaraoptimallembaga- lembagadonaturbagi UsahaMikro,Kecil, Menengah(UMKM)dan Koperasi Masihrendahnyaposisi tawarmasyarakat terhadapakseske sumber-sumber kemajuanekonomi Belumseimbangnya antarakebutuhanbiaya pendidikandengantingkat perekonomian masyarakat Pihakswastayang cenderungmementingkan sisibisnisdan mengabaikankualitas dalamupaya pembangunanbidang ekonomi
  • 50.
    47 NO KONDISI INTERNAL KONDISIEKSTERNAL KekuatanKelemahan Peluang Ancaman Belumadanya pengembangan manajemen kepariwisataanyang kompetitif Belumoptimalnya upayaidentifikasidan pengembangan produkunggulanKota Padangsidimpuan Keterbatasansarana danprasarana penunjangbagi pengembangan ekonomi Masihrendahnya tingkatpenguasaan danpenerapan teknologidan informatika Terbatasnyaakses daerahkekawasan perdagangandengan propinsitetanggadan belumberkembangnya lokaldanregional marketing Belumoptimalnya upayapenggalian sumber-sumber potensiekonomi. Masihterbatasnya keberadaandan eksistensiproduk hukum Keterbatasansarana danprasaranayang belummencukupi kebutuhan masyarakat Sistempembinaan kepegawaianyang belumoptimal menunjang pembangunan Kurangmemadainya kualitasdankuantitas sumberdayamanusia Pengelolaansumber dayaalamyangbelum terencanadenganbaik Lemahnyasistem koordinasiantar lembaga/unitkerjadi pemerintahandaerah Tersedianyalembaga pendidikanyangsudah dikenalluas Sudahdicanangkannya VisiIndonesiaSehat 2010 Adanyakebijakan pemerintahpusatdan pemerintahdaerahyang memberikansanksi yangtegasterhadap pelanggaranhukum Masihkurangnya partisipasimasyarakat terhadappeningkatan pembangunan Masihrendahnyatingkat kesadaranmasyarakat terhadappenerapanpola hidupsehatdan pelestariansumberdaya alam Belum optimalnyaperan danposisimasyarakat danorganisasi masyarakatsipilsebagai salahsatupelaku pembangunanmenuju goodgovernance
  • 51.
    48 NO KONDISI INTERNAL KONDISIEKSTERNAL KekuatanKelemahan Peluang Ancaman Belumoptimalnya perubahanparadigma aparatur pemerintahansesuai dengantuntutanera otonomidaerah Lemahnyasistem koordinasiantar lembaga/unitkerjadi pemerintahandaerah Lemahnyamanajemen pemerintahandalam mendukung penyelenggaraan pemerintahandan pembinaan kemasyarakatan Keterbatasansarana danprasarana pendidikanyang belummencukupi kebutuhan masyarakat Pengembangan pendidikanyang belumoptimal menjawabkebutuhan masyarakat Sistempembinaan kepegawaianyang belumoptimal menunjang pembangunan pendidikan Tingkatpendidikan masyarakatyang masihrelatifrendah Pemerataan kesempatan memperoleh pendidikanyanglayak masihrendah Peranpendidikan untukmeningkatkan kualitashidup masyarakatmasih rendah Belumoptimalnya upayaintegrasinilai- nilailokaldalam kurikulumpendidikan
  • 52.
    49 3.2. Arah KebijakanKeuangan Daerah Berdasarkan Peraturan Pemerintah Nomor 58 Tahun 2005 tentang Pengelolaan Keuangan Daerah dan Peraturan Menteri Dalam Negeri Nomor 13 Tahun 2006 Tentang Pedoman Pengelolaan Keuangan Daerah sebagaimana telah diubah dengan Peraturan Menteri Dalam Negeri Nomor 59 Tahun 2007 dan Peraturan Menteri Dalam Negeri Nomor 21 Tahun2011,makadalampengelolaan keuangandaerahharus sesuai dengan prosedur, dilaksanakan secara tertib, taat pada peraturan perundang-undangan, efisiensi, ekonomis, efektif, transparan dan bertanggungjawab dengan memperhatikan azas keadilan, kepatutan dan manfaat untuk masyarakat. Pengelolaan Keuangan Daerah dilaksanakan dalam suatu sistem yang terintegrasi yang salah satunya diwujudkandalambentuk Anggaran Pendapatan dan BelanjaDaerah (APBD). Penyusunan APBD sesuai dengan peraturan perundangan diawali dengan proses Musyawarah Perencanaan Pembangunan (Musrenbang) yang hasilnya dituangkan dalam dokumen Rencana Kerja Pembangunan Daerah (RKPD), selanjutnya dipergunakan sebagai dasar penyusunan Kebijakan Umum Anggaran (KUA) dan Prioritas Plafon Anggaran Sementara (PPAS). Anggaran Pendapatan Belanja dan Belanja Daerah adalah salah satu wujud dari pengelolaan keuangan negara yang dilaksanakan secara terbuka dan bertanggungjawab untuk sebesar besarnya kemakmuran rakyat sebagaimana diamanatkan oleh Undang-undang Nomor 17 Tahun 2003 tentang Keuangan Negara. Penyusunan APBD harus disesuaikan dengan kebutuhan pembangunan daerah yang dinamis diseimbangkan dengan prioritas pembangunan yang relevan berdasarkan kemampuan keuangan daerah, sinkronisasi dan integrasi kebijakan pemerintah pusat, provinsi dan pemerintah kabupaten/kota sesuai dengan kondisiriildilapangan. Kebijakan dalam pengelolaan APBD memegang peranan yang sangat strategis dalam mencapai sasaran pembangunan daerah karena APBD merupakan salah satu instrument penting kebijakan fiskal daerah. Kebijakan desentralisasi fiskal daerah mengandung tiga misi utama yaitu menciptakan efisiensi dan efektivitas pengelolaan sumberdaya, meningkatkan kualitas pelayanan umum dan kesejahteraan masyarakat dan memberdayakan dan menciptakan ruang bagi masyarakat untuk ikut serta (berpartisipasi)dalamprosespembangunan.
  • 53.
    50 3.2.1. Arah KebijakanPendapatan Daerah Sumber Pendapatan Daerah terdiri dari Pendapatan Asli Daerah, Dana Perimbangan, dan Lain-Lain Pendapatan Daerah Yang Sah. Dalam perencanaan APBD terdapat target pendapatan daerah yang merupakan capaian yang harus diperoleh, sedangkan pada akhir tahun anggaran, diketahui realisasi penerimaan atas pendapatan daerah. Berdasarkan data realisasi tahun 2013, Pendapatan Asli Daerah (PAD) Kota Padangsidimpuan dalam realisasinya mampu menyumbangkan sebesar 5,60 % (35,02 Milyar) dari total realisasi pendapatan daerah. Sementara porsi terbesar berasal dari Dana Perimbangan sebesar 78,14 % (489,06 Milyar) dari total pendapatan daerah, sedangkan sisanya sebesar 16,26 % (101,75 milyar) yang berasal dari lain-lain pendapatan daerah yang sah. Proyeksi Pendapatan Daerah untuk tahun 2015 diasumsikan naik sebesar 7,92% dari tahun 2014 yaitu kenaikan dari komponen Dana Alokasi Umum. Dana Perimbangan berupa Bagi Hasil Pajak/Bagi Hasil Bukan Pajak dihitung dengan memperhatikan potensi masing-masing jenis pajak. Dana Alokasi Umum diasumsikan naik 10% sedangkan untuk Dana Alokasi Khusus diasumsikan sama dengan lokasi dana pada tahun 2013. Untuk Lain-lain Pendapatan Yang Sah sementara diperhitungkan pada sumber-sumber pendapatan yang dapat dipastikan. Dalam upaya peningkatan Pendapatan Daerah Kota Padangsidimpuan, beberapa hal yang perlu dilakukan antara lain: 1) Intensifikasi dan ekstensifikasi Pajak Daerah dan Retribusi Daerah secara optimal; 2) Meningkatkan manajemen tata-kelola pemungutan dan penerimaan Pendapatan Daerah sesuai dengan mekanisme dan standar baku; 3) Pendayagunaan asset daerah; 4) Optimalisasi hasil usaha Badan Umum Milik Daerah (BUMD) agar memberikan kontribusi yang optimal kepada Pendapatan Asli Daerah (PAD) pada khususnya dan Penerimaan Daerah pada umumnya; dan 5) Evaluasi dan peninjauan kembali (annual-review) atas berbagai Peraturan Daerah yang sudah tidak sesuai lagi dengan perkembangan zaman.
  • 54.
    51 Berikut disajikan Realisasidan Proyeksi/Target Pendapatan daerah Kota Padangsidimpuan tahun 2012 sampai dengan tahun 2016. Tabel. 3.3 Realisasi dan Proyeksi/Target Pendapatan Daerah Tahun 2012-2016 NO Uraian Realisasi Tahun 2012 Realisasi Tahun 2013 Anggaran Tahun 2014 Proyeksi Tahun 2015 Proyeksi Tahun 2016 1 2 4 5 6 7 3 1.1 Pendapatan Asli Daerah 23.622.308.246 35.018.175.219,15 42.456.400.000 42.456.400.000 42.456.400.000 1.1.1 Pajak Daerah 7.606.694.290 7.207.947.238 11.885.000.000 11.885.000.000 11.885.000.000 1.1.2 Retribusi Daerah 7.217.324.749 16.939.932.609,98 20.895.400.000 20.895.400.000 20.895.400.000 1.1.3 Hasil Pengelolaan Kekayaan Daerah 6.043.579.177 7.178.785.082 6.326.000.000 6.326.000.000 6.326.000.000 1.1.4 Lain2 Pendapatan Asli Daerah yang Sah 2.814.710.031 3.691.510.289,17 3.350.000.000 3.350.000.000 3.350.000.000 1.2 Dana Perimbangan 421.732.103.830 489.005.615.529 528.031.798.974 575.067.135.774 626.806.006.254 1.2.1 Dana Bagi hasil pajak / bagi hasil bukan pajak 32.822.219.830 25.797.109.529 19.349.170.974 19.349.170.974 19.349.170.974 1.2.2 Dana Alokasi Umum 364.923.284.000 423.251.346.000 470.353.368.000 517.388.704.800 569.127.575.280 1.2.3 Dana Alokasi Khusus 23.986.600.000 39.957.160.000 38.329.260.000 38.329.260.000 38.329.260.000 1.3 Lain-lain Pendapatan Daerah Yang Sah 95.053.955.795 101.754.741.738 23.374.597.771 23.374.597.771 23.374.597.771 1.3.1 Hibah 1.656.508.777 - 5.412.945.000 5.412.945.000 5.412.945.000 1.3.2 Dana Darurat - - 1.3.3 Dana bagi hasil Pajak dari Propinsi dan Pemerintah daerah lainnya 5.377.228.018 5.089.423.738 7.174.776.171 7.174.776.171 7.174.776.171 1.3.4 Dana Penyesuaian & otonomi khusus 48.972.403.000 68.806.870.000 1.3.5 Bantuan Keuangan dari Prop/ Pemda Lainya 39.047.816.000 27.858.448.000 10.786.876.600 10.786.876.600 10.786.876.600 Pendapatan Daerah 540.468.367.871 625.778.532.486,15 593.862.796.745 640.898.133.545 692.637.004.025
  • 55.
    52 3.2.2. Arah KebijakanBelanja Daerah Struktur belanja dalam APBD mengalami perubahan dari kelompok belanja aparatur dan belanja pelayanan publik berdasarkan Kepmendagri Nomor 29 Tahun 2002 menjadi kelompok belanja tidak langsung dan belanja langsung berdasarkan Permendagri Nomor 37 Tahun 2012 tentang Pedoman Penyusunan Anggaran Pendapatan Dan Belanja Daerah. Belanja daerah terdiri dari: • Belanja Tidak Langsung merupakan belanja yang dianggarkan tidak terkait secara langsung dengan pelaksanaan program dan kegiatan, yang terdiri dari jenis belanja (a) Belanja Pegawai, (b) Belanja bunga, (c) Belanja Subsidi, (d) Belanja Hibah, (e) Belanja Bantuan Sosial, (f) Belanja Bagi Hasil, (g) Belanja Bantuan Keuangan, dan (h) Belanja Tidak Terduga. • Belanja Langsung merupakan belanja yang dianggarkan terkait secara langsung dengan pelaksanaan program dan kegiatan, yang terdiri dari jenis belanja (a) Belanja pegawai, (b) Belanja barang dan jasa, dan (c) Belanja modal. Arah Kebijakan belanja daerah Kota Padangsidimpuan ditujukan untuk peningkatan pelayanan publik dan kualitas kehidupan masyarakat yang diwujudkan dalam bentuk peningkatan pelayanan dasar pendidikan, kesehatan, fasilitas sosial dan fasilitas umum yang layak, melalui langkah langkah efisiensi pada belanja aparatur dan pengalokasian belanja langsung urusan wajib dan pilihan sesuai tugas pokok dan fungsi yang melekat pada SKPD secara efisien, ekonomis, efektif, transparan dan bertanggungjawab, sesuai dengan skala prioritas pembangunan dan kemampuan keuangan daerah. Berikut ini Realisasi dan Proyeksi/Target Belanja daerah Kota Padangsidimpuan tahun 2012 sampai dengan tahun 2016.
  • 56.
    53 Tabel.3.4 Realisasi dan ProyeksiBelanja Daerah Tahun 2012-2016 NO Uraian Realisasi Tahun 2012 Realisasi Tahun 2013 Anggaran Tahun 2014 Proyeksi Tahun 2015 Proyeksi Tahun 2016 2.1 Belanja Tidak Langsung 329.784.082.676 353.555.957.949 320.932.666.274 351.909.958.295 385.984.979.518 2.1.1 Belanja Pegawai 314.113.990.004 342.953.467.277 309.772.920.212 340.750.212.233 374.825.233.456 2.1.2 Belanja Bunga - - 2.1.3 Belanja Subsidi - - 2.1.4 Belanja Hibah 10.452.510.900 4.670.361.700 5.412.945.000 5.412.945.000 5.412.945.000 2.1.5 Belanja Bantuan Sosial 4.707.581.772 5.022.128.972 3.836.607.662 3.836.607.662 3.836.607.662 2.1.6 Belanja Bagi Hasil kepada Provinsi/Kabupaten/Kota dan Pemerintahan Desa - - 2.1.7 Belanja Bantuan Keuangan Kepada Provinsi/Kabupaten/Kota dan Pemerintahan Desa 510.000.000 910.000.000 910.193.400 910.193.400 910.193.400 2.1.8 Belanja Tidak Terduga - - 1.000.000.000 1.000.000.000 1.000.000.000 2.2 Belanja Langsung 197.461.987.354 261.343.540.150 288.176.029.555 288.176.029.555 288.176.029.555 2.2.1 Belanja Pegawai 24.661.046.040 33.768.677.946 36.156.663.800 36.156.663.800 36.156.663.800 2.2.2 Belanja Barang Dan Jasa 74.042.175.975 110.357.943.406 152.631.585.071 152.631.585.071 152.631.585.071 2.2.3 Belanja Modal 98.758.765.339 117.216.918.798 99.387.780.684 99.387.780.684 99.387.780.684 Jumlah Belanja 527.246.070.030 614.899.498.099 609.108.695.829 640.085.987.850 674.161.009.073
  • 57.
    54 3.2.3. Arah KebijakanPembiayaan Daerah Kebijakan anggaran untuk pembiayaan daerah dibagi atas dua bagian yaitu penerimaan pembiayaan dan pengeluaran pembiayaan. Pembiayaan daerah merupakan transaksi keuangan yang dimaksudkan untuk menutupi selisih antara Pendapatan dan Belanja Daerah. Penerimaan Pembiayaan dapat bersumber dari Sisa Lebih Perhitungan Anggaran Tahun Lalu (SiLPA) tahun sebelumnya, pencairan dana cadangan, hasil penjualan kekayaan daerah yang dipisahkan, penerimaan pinjaman daerah, penerimaan kembali pemberian pinjaman dan penerimaan piutang daerah. Pengeluaran pembiayaan diarahkan untuk penyertaan modal (investasi) pada perusahaan daerah serta pembayaran pokok utang. Adapun Realisasi dan Target/Proyeksi Pembiayaan daerah tahun 2012- 2016 sebagai berikut : Tabel 3.5 Realisasi dan Target/Proyeksi Pembiayaan Daerah Tahun 2012-2016 N0. Jenis Penerimaan dan REALISASI 2012 REALISASI 2013 ANGGARAN 2014 PROYEKSI 2015 PROYEKSI 2016Pengeluaran Pembiayaan Daerah 3 PEMBIAYAAN 3.1 Penerimaan Pembiayaan 28.827.869.132,89 33.652.819.685,13 27.727.059.440 27.727.059.440 27.727.059.440 3.1.1 Sisa Lebih Perhitungan Anggaran Tahun Sebelumnya (SiLPA) 28.827.869.132,89 33.652.819.685,13 27.727.059.440 27.727.059.440 27.727.059.440 3.2 Pengeluaran Pembiayaan Daerah 8.397.347.289,00 6.281.242.965,00 7.128.215.356 7.128.215.356 7.128.215.356 3.2.1 Penyertaan Modal (Investasi) Pemerintah Daerah 3.943.821.319,00 4.932.246.465,00 5.897.018.106 5.897.018.106 5.897.018.106 Pembayaran Pokok Utang 4.453.525.970,00 1.348.996.500,00 1.231.197.250 1.231.197.250 1.231.197.2503.2.2
  • 58.
    55 BAB IV PRIORITAS DANSASARAN PEMBANGUNAN KOTA PADANGSIDIMPUAN Prioritas Pembangunan Daerah yaitu tema atau agenda pembangunan pemerintah daerah tahunan yang menjadi benang merah/tonggak capaian antara (milestones) menuju sasaran 5 (lima) tahunan dalam RPJMD melalui rencana program pembangunan daerah tahunan. Suatu prioritas pembangunan merupakan jawaban atas sasaran pembangunan daerah dalam suatu pernyataan yang mengandung komponen program prioritas atau gabungan program prioritas. Suatu prioritas pembangunan daerah pada dasarnya (berisi) program- program unggulan SKPD (terpilih) yang paling tinggi relasinya (leading indicators) bagi tercapainya target sasaran pembangunan daerah tahun rencana. Dalam menentukan prioritas pembangunan, terlebih dahulu dilakukan identifikasi permasalahan pembangunan daerah yang bersifat internal maupun eksternal. Setelah diketahui faktor penyebab atau pemicu secara internal maupun eksternal kemudian dapat disusun prioritas dan sasaran pembangunan beserta program prioritas. Dengan demikian, suatu program pembangunan daerah merupakan program atau sekumpulan program unggulan kepala daerah yang berhubungan dengan janji politik kepala daerah pada saat pilkada dan hasil perumusan teknokratis terkait. Tidak semua program prioritas dapat menjadi prioritas pembangunan daerah, menyangkut keterbatasan anggaran dan identifikasi masalah. Suatu prioritas pembangunan dimasa lalu yang telah berhasil dicapai, tidak lagi diprioritaskan dimasa berikutnya, walau tetap harus dijaga kesinambungannya (performance maintenance). Suatu prioritas pembangunan daerah juga dapat dikategorikan sebagai operasionalisasi dari tujuan strategik daerah mengingat urgensi daya ungkit pada kesejahteraan dan cakupan pembangunannya. Sebagai suatu strategic, pengelolaan kinerja menjadi faktor utama bagi kepemimpinan daerah. Perumusan prioritas dan sasaran pembangunan daerah serta indikasi prioitas kegiatannya, juga memperhatikan apa yang diusulkan oleh SKPD berdasarkan prakiraan maju pada RKPD tahun sebelumnya.
  • 59.
    56 Metodologi penyusunan prioritas,dengan memperhatikan beberapa kriteria, antara lain: a) Korelasinya terhadap pencapaian prioritas dan sasaran pembangunan nasional, seperti terhadap MDGs, Standar Pelayanan Minimal, pengentasan kemiskinan, penciptaan lapangan kerja. b) Korelasinya terhadap pencapaian visi dan misi Kepala Daerah yang dituangkan dalam RPJMD. c) Korelasinya terhadap pengembangan sektor/bidang yang terkait keunggulan kompetitif daerah. d) Korelasinya terhadap isu strategis daerah. 4.1. Tujuan dan Sasaran Pembangunan RPJM RKPD Kota Padangsidimpuan Tahun 2015 merupakan penjabaran dari pelaksanaan RPJMD Kota Padangsidimpuan Tahun 2013-2017 Tahun ke 2, yaitu tahun perencanaan 2014 untuk dilaksanakan di tahun 2015. Sesuai Peraturan Daerah Nomor 25 Tahun 2008 tentang Rencana Pembangunan Jangka Panjang Daerah Kota Padangsidimpuan Tahun 2005-2025, visi pembangunan jangka panjang tahun 2005-2025 adalah Padangsidimpuan Yang Sejahtera, Agamais, Berdaya Saing, Berbudaya sebagai Kota Pusat Pendidikan, Perdagangan Barang dan Jasa Terdepan di Pantai Barat Sumatera Utara. Memperhatikan situasi, kondisi, kekuatan, kelemahan, peluang, tantangan, dan memperhitungan kontinuitas dan sinergitas pelaksanaan pembangunan, serta memperhatikan motto Kota Padangsidimpuan “Salumpat Saindege” maka dirumuskan dan ditetapkan Visi Pembangunan Kota Padangsidimpuan Tahun 2013-2018, adalah: “Terwujudnya Kota Padangsidimpuan Sebagai Kota Yang Sehat, Maju Dan Sejahtera” Untuk mewujudkan visi pembangunan daerah Kota Padangsidimpuan tersebut di atas selanjutnya dirumuskan misi pembangunan daerah Kota Padangsidimpuan Tahun 2013 – 2018 sebagai berikut:
  • 60.
    57 1. Memperkuat DayaJangkau Masyarakat Untuk Memperoleh Pelayanan Kesehatan Yang Berkualitas dan Terpadu o Terwujudnya sistem pelayanan kesehatan masyarakat yang bermutu, berkualitas, terpadu, dan dapat dijangkau oleh masyarakat. o Terwujudnya kesadaran masyarakat tentang pola hidup sehat Pelaksanaan dari misi pertama pembangunan daerah Kota Padangsidimpuan Tahun 2013-2018 ini akan ditekankan pada empat urusan pemerintahan yaitu: (1) Kesehatan; (2) Kepemudaan dan Olahraga; (3) Keluarga Berencana dan Keluarga Sejahtera; (4) Pemberdayaan Perempuan dan Perlindungan Anak. 2. Menciptakan Tata Pemerintahan Yang Bersih Dan Berwibawa o Terwujudnya kelembagaan dan ketatalaksanaan pemerintah daerah yang berkualitas, bersih, dan berwibawa. o Terwujudnya pendayagunaan aparatur pemerintah daerah. Pelaksanaan dari misi kedua pembangunan daerah Kota Padangsidimpuan Tahun 2013-2018 ini akan ditekankan pada tiga urusan pemerintahan yaitu: (1) Otonomi daerah, pemerintahan umum, administrasi keuangan daerah, perangkat daerah, kepegawaian dan persandian; (2) Perencanaan Pembangunan; (3) Pemberdayaan Masyarakat dan Desa. 3. Mengoptimalisasi sumber-sumber Pendapatan Asli Daerah o Terwujudnya sistem dan kelembagaan yang dapat mengoptimalisasi sumber – sumber pendapatan Asli daerah. Pelaksanaan dari misi ketiga pembangunan daerah Kota Padangsidimpuan Tahun 2013-2018 ini akan ditekankan pada tiga urusan pemerintahan yaitu: (1) Otonomi daerah, pemerintahan umum, administrasi keuangan daerah, perangkat daerah, kepegawaian dan persandian; (2) Penanaman Modal; (3) Pekerjaan Umum. 4. Meningkatkan kuantitas dan kualitas infrastruktur o Meningkatnya kuantitas infrastruktur daerah. o Terwujudnya infrastruktur daerah yang berkualitas.
  • 61.
    58 Pelaksanaan dari misikeempat pembangunan daerah Kota Padangsidimpuan Tahun 2013-2018 ini akan ditekankan pada tujuh urusan pemerintahan yaitu: (1) Pekerjaan umum; (2) Lingkungan hidup; (3) Perdagangan; (4) Perhubungan; (5) Pertanian; (6) Perumahan, (7) Komunikasi dan Informatika. 5. Memajukan sektor pendidikan o Terwujudnya sistem birokrasi pendidikan yang baik dan bermutu. o Terwujudnya pendayagunaan dan pemberdayaan tenaga pendidikan yang berkualitas. Pelaksanaan dari misi kelima pembangunan daerah Kota Padangsidimpuan Tahun 2013-2018 ini akan ditekankan pada satu urusan pemerintahan yaitu: Pendidikan; 6. Pembenahan tata ruang kota o Terwujudnya tata ruang kota yang berbasis potensi sumberdaya lokal, geostrategis, dan lingkungan. Pelaksanaan dari misi keenam pembangunan daerah Kota Padangsidimpuan Tahun 2013-2018 ini akan ditekankan pada dua urusan pemerintahan yaitu: (1) Penataan Ruang; (2) Lingkungan Hidup. 7. Menekan angka pengangguran, dan mengurangi jumlah dan pesebaran penduduk miskin o Terwujudnya situasi ekonomi yang kondusif, yang mampu mendorong terciptanya lapangan pekerjaan baru baik formal maupun informal o Terwujudnya jaringan infrastruktur yang mampu menunjang kegiatan produksi, distribusi dan pemasaran sektor primer dan agribisnis. Pelaksanaan dari misi ketujuh pembangunan daerah Kota Padangsidimpuan Tahun 2013-2018 ini akan ditekankan pada tujuh urusan pemerintahan yaitu: (1) Penanaman Modal; (2) Ketenagakerjaan; (3) Koperasi dan Usaha Kecil dan Menengah; (4) Sosial; (5) Pekerjaan Umum; (6) Perumahan; (7) Keluarga Berencana dan Keluarga Sejahtera.
  • 62.
    59 8. Meningkatkan dayasaing Daerah o Terwujudnya peningkatan kualitas sumber daya manusia yang unggul o Terwujudnya perekonomian daerah yang kuat. o Terwujudnya daya dukung pengembangan usaha. Pelaksanaan dari misi kedelapan pembangunan daerah Kota Padangsidimpuan Tahun 2013-2018 ini akan ditekankan pada sembilan urusan pemerintahan yaitu: (1) Ketahanan Pangan; (2) Ketenagakerjaan; (3) Koperasi dan Usaha Kecil Menengah; (4) Perdagangan; (5) Kepemudaan dan Olahraga; (6) Industri; (7) Pertanian; (8) Pariwisata; (9) Otonomi daerah, pemerintahan umum, administrasi keuangan daerah, perangkat daerah, kepegawaian dan persandian; Untuk melaksanakan misi-misi tersebut di atas maka ditetapkan tujuan dan sasaran pembangunan daerah Kota Padangsidimpuan selama 5 (lima) tahun (2013-2018) dengan uraian sebagai berikut: Misi Tujuan Sasaran Memperkuat daya jangkau masyarakat untuk memperoleh pelayanan kesehatan yang berkualitas dan terpadu. Mewujudkan Daya Jangkau Masyarakat Untuk Memperoleh Pelayanan Kesehatan Yang Berkualitas Dan Terpadu. Terwujudnya sistem pelayan kesehatan masyarakat yang bermutu, berkualitas, terpadu, dan dapat dijangkau oleh masyarakat. Terwujudnya kesadaran masyarakat tentang pola hidup sehat. Menciptakan tata pemerintahan yang bersih dan berwibawa. Mewujudkan Tata Kelola Pemerintahan Yang bersih Dan Berwibawa Terwujudnya kelembagaan dan ketatalaksanaan pemerintah daerah yang berkualitas, sehat, dan berwibawa Terwujudnya pendayagunaan aparatur pemerintah daerah
  • 63.
    60 Mengoptimalisasi sumber-sumber pendapatan asli daerah. Adanyaoptimalisasi sumber-sumber pendapatan asli daerah Terwujudnya sistem dan kelembagaan yang dapat mengoptimalisasi sumber – sumber pendapatan Asli daerah. Meningkatkan kuantitas dan kualitas infrastruktur. Mewujudkan infrastruktur daerah baik, baik dari sisi kuantitas maupun kualitas Meningkatkan kuantitas infrastruktur daerah. Terwujudnya infrastruktur daerah yang berkualitas Memajukan sektor pendidikan Mewujudkan sektor pendidikan yang maju Terwujudnya sistem birokrasi pendidikan yang baik dan bermutu. Terwujudnya pendayagunaan dan pemberdayaan tenaga pendidikan yang berkualitas. Pembenahan tata ruang kota Mewujudkan tata ruang kota yang baik dan terpadu Terwujudnya tata ruang kota yang berbasis potensi sumberdaya lokal, geostrategis, dan lingkungan Menekan angka pengangguran, mengurangi jumlah dan persebaran penduduk miskin Menekan angka pengangguran, dan mengurangi jumlah dan pesebaran penduduk miskin Terwujudnya situasi ekonomi yang kondusif, yang mampu mendorong terciptanya lapangan pekerjaan baru baik formal maupun informal Terwujudnya jaringan infrastruktur yang mampu menunjang kegiatan produksi, distribusi dan pemasaran sektor primer dan agribisnis Meningkatkan daya Menguatkan daya Terwujudnya peningkatan
  • 64.
    61 saing daerah sainguntuk memajukan daerah Padangsidimpuan kualitas sumber daya manusia yang unggul Terwujudnya perekonomian daerah yang kuat Terwujudnya daya dukung pengembangan usaha. 4.2 Tema Pembangunan Tahun 2013 RKPD Kota Padangsidimpuan Tahun 2015 merupakan tahun kedua pelaksanaan RPJMD Kota Padangsidimpuan 2013-2017. Fokus prioritas dalam pentahapan pelaksanaan RPJMD Kota Padangsidimpuan dinyatakan sebagai tema pembangunan tahunan, di mana Tema Pembangunan untuk Tahun 2015 adalah “Lingkungan Sehat Maju Sejahtera Berbasis Perencanaan Wilayah”. Lingkungan maksudnya disini adalah Segala sesuatu yang ada disekitar manusia yang mempengaruhi perkembangan kehidupan manusia baik langsung maupun tidak langsung. Sehat Maksudnya disini adalah sehat manusianya dan juga sehat lingkungannya. Sehat manusianya adalah suatu kondisi dimana SDM dan masyarakat Kota Padangsidimpuan sehat secara Jasmani dan juga sehat secara Rohani. Sehat lingkungan yaitu bermakna sehatnya lingkungan pergaulan yang tumbuh secara kondusif antara lembaga dan antar kelompok masyarakat sehingga semakin memupuk dan mempertinggi rasa kekeluargaan sesama warga kota. Sehat lingkungan juga bermakna pengelolaan pemerintahan Kota Padangsidimpuan berlangsung secara good and clean government. Maju mempunyai makna melangkah kedepan untuk menciptakan kondisi yang lebih baik dari sebelumnya, baik pelayanan publik, sosial ekomomi masyarakat Kota Padangsidimpuan, maupun dalam arti tatakelola pemerintahan. Sejahtera mempunyai makna Suatu keadaan atau kondisi kehidupan manusia yang tercipta ketika berbagai permasalahan sosial dapat dikelola dengan baik, kebutuhan dasar dapat terpenuhi serta kesempatan sosial bisa dimaksimalisasi. Perencanaan wilayah mempunyai makna Perencanaan penggunaan ruang wilayah dan perencanaan aktifitas pada ruang
  • 65.
    62 wilayah tersebut denganmempertimbangkan potensi dan sumber daya yang tersedia. Lingkungan Sehat Maju Sejahtera Berbasis Perencanaan Wilayah mempunyai makna suatu kondisi dimana terpenuhinya berbagai kebutuhan masyarakat baik dibidang Infrastruktur lingkungan, ekonomi dan sosial budaya yang layak untuk kehidupan masyarakat dan makhluk lainnya menjadi suatu kawasan yang aman dan nyaman yang mengacu kepada penggunaan ruang wilayah. 4.3 Prioritas Rencana Pembangunan Kota Padangsidimpuan Tahun 2015 Berdasarkan isu-isu strategis dan permasalahan-permasalahan pembangunan yang ada di Kota Padangsidimpuan ditetapkan Prioritas Rencana Pembangunan Kota Padangsidimpuan Tahun 2015 sebagai berikut: 1. Peningkatan Infrastruktur Permukiman 2. Peningkatan Kualitas Pendidikan dan Sumberdaya Manusia 3. Peningkatan Pertumbuhan Ekonomi 4. Penanggulangan Kemiskinan 5. Peningkatan Kualitas Aparatur Pemerintahan 4.3.1 Arah Kebijakan Pembangunan Kota Padangsidimpuan Tahun 2015 Dalam rangka pencapaian prioritas pembangunan Kota Padangsidimpuan Tahun 2015 ditetapkan arah kebijakan pembangunan Kota Padangsidimpuan yang menjadi acuan bagi SKPD dalam penyusunan program dan kegiatan pada Tahun 2015 yang akan termuat dalam Renja SKPD masing-masing. No. Prioritas Arah Kebijakan 1. PENINGKATAN INFRASTRUKTUR PERMUKIMAN • Meningkatnya Kualitas dan Kuantitas pelayanan Air Bersih • Membangun infrastruktur yang memadai, yang dapat mendorong pengembangan potensi ekonomi • Meningkatkan kualitas system jaringan Drainase • Meningkatkan kualitas sarana dan prasarana persampahan • Menciptakan Ruang Terbuka Hijau (RTH) 2. PENINGKATAN KUALITAS PENDIDIKAN DAN SUMBERDAYA • Pengoptimalan pelaksanaan kurikulum pendidikan.
  • 66.
    63 MANUSIA • Meningkatkankualitas dan kuantitas sarana dan prasarana pendidikan • Menuntaskan wajib belajar 9 tahun dengan basis inklusif • Mengoptimalkan penggunaan Dana BOS 3. PENINGKATAN PERTUMBUHAN EKONOMI • Peningkatan pusat-pusat perdagangan dan jasa • Perbaikan sarana – prasana perdagangan • Mengembangkan industri kreatif • Mendorong lahir dan berkembangnya ekonomi kreatif • Peningkatan nilai tambah sektor primer (pertanian, perikanan, dan perternakan) melalui agribisnis. • Penguatan Pelaku Usaha Mikro Kecil Menengah Dalam Rangka Mendorong Pengembangan KUKM Berbasis ekonomi Kerakyatan. 4. PENANGGULANGAN KEMISKINAN • Meningkatkan pelayanan kesehatan perorangan dan masyarakat • Meningkatkan gizi masyarakat • Menyediakan dan atau meningkatkan jumlah Jamkesda sehingga mampu menampung seluruh masyarakat tidak mampu di Kota Padangsidimpuan • Menyediakan sistem pengaduan masyarakat, serta model pengawasan sehingga program Jamkesda tepat pada sasaran • Menyediakan jaminan pelayanan pendidikan yang berkualitas dan demokratis • Menciptakan lapangan pekerjaan baru baik formal maupun informal • Perbaikan Rumah Tidak layak huni • Meningkatkan akses masyarakat miskin kepada kebutuhan energy listrik 5. PENINGKATAN KUALITAS APARATUR PEMERINTAHAN • Meningkatkan kualitas pengelolaan kegiatan internal SKPD/unit kerja yang menyangkut administrasi, kinerja, SDM, sarana prasarana dan keuangan
  • 67.
    64 • Mengoptimalkan pelaksanaan analisisjabatan dan memantapkan kelembagaan • Menyediakan pedoman etika penyelenggaraan pemerintahan dan budaya kerja • Mengembangkan pelayanan publik menuju pelayanan prima • Memperkuat pelaksanaan tata pemerintahan dan pelayanan berbasis kewilayahan • Mengoptimalkan penyelesaian persoalan Hukum • Menyebarluaskan dan meningkatkan pemahaman masyarakat terhadap produk hukum daerah • Mengoptimalkan Penyusunan, pengkajian, dan penegakan produk hukum daerah dan data hukum • Mengintensifkan pembinaan dalam rangka pengendalian internal • Mengembangkan Sistem Pengendalian Internal Pemerintah (SPIP) di seluruh SKPD • Membangun kerjasama dengan pihak lain dalam upaya pengawasan eksternal kenirja pemerintahan • Meningkatkan konsistensi perencanaan pembangunan yang partisipatif • Menguatkan jejaring penelitian dan pengembangan pembangunan • Mengembangkan data dan statistic Pembangunan • Mengefektikan pengendalian dan evaluasi Pembangunan • Menyediakan regulasi bagi pengembangan manajemen kepegawaian dan pengembangan pola karir
  • 68.
    65 BAB V RENCANA PROGRAMDAN KEGIATAN PRIORITAS DAERAH Program Prioritas yaitu program yang diselenggarakan oleh SKPD yang merupakan program prioritas baik secara langsung maupun tidak langsung mendukung capaian program pembangunan daerah atau prioritas dan sasaran pembangunan daerah, serta berhubungan dengan pemenuhan kebutuhan dasar dan syarat layanan minimal. Suatu program prioritas pada prinsipnya dibagi menjadi: Prioritas I Prioritas I merupakan program pembangunan daerah yang harus dilaksanakan oleh Walikota Padangsidimpuan, termasuk untuk prioritas bidang pendidikan 20 % (dua puluh persen) dan bidang Kesehatan serta urusan umum sarana dan prasarana umum. Program prioritas I harus berhubungan langsung dengan kepentingan publik, bersifat monumental, berskala besar, dan memiliki kepentingan dan nilai manfaat yang tinggi, memberikan dampak luas pada masyarakat dengan daya ungkit yang tinggi pada capaian visi/misi Walikota Padangsidimpuan yaitu Mewujudkan Padangsidimpuan yang Sehat Maju dan Sejahtera. Di samping itu, prioritas I juga diperuntukkan bagi prioritas belanja wajib. Prioritas II Program Prioritas II merupakan program prioritas ditingkat SKPD yang merupakan penjabaran dari analisis per urusan. Suatu prioritas II berhubungan dengan program/kegiatan unggulan SKPD yang paling berdampak luas pada masing-masing segmentasi masyarakat yang dilayani sesuai dengan prioritas dan permasalahan yang dihadapi berhubungan dengan layanan dasar serta tugas dan fungsi SKPD termasuk peningkatan kapasitas kelembagaan di Kota Padangsidimpuan. Prioritas III Prioritas III merupakan prioritas yang dimaksudkan untuk alokasi belanja- belanja tidak langsung seperti: tambahan penghasilan PNS, belanja hibah, belanja bantuan sosial organisasi kemasyarakatan, belanja bantuan keuangan kepada provinsi/kabupaten/kota dan pemerintahan desa serta belanja tidak
  • 69.
    66 terduga. Pengalokasian danapada prioritas III harus memperhatikan (mendahulukan) pemenuhan dana pada prioritas I dan II terlebih dahulu untuk menunjukkan urutan prioritas yang benar. Penetapan persentase tiap tahun sesuai urutan prioritas (I, II, dan III) bukan menunjukkan urutan besarnya persentase tetapi lebih untuk keperluan pengurutan pemenuhan kebutuhan pendanaannya. Besar persentase ditentukan sesuai analisis umum tentang kapasitas pendanaan dari program prioritas yang dibayangkan akan menunjang prioritas dimaksud. Evaluasi atau analisis dari penyelenggaraan pembangunan daerah dimasa lalu cukup baik untuk mendapatkan gambaran yang diinginkan. Penetapan persentase masing-masing prioritas bersifat indikatif sebagai panduan awal tim perumus dalam menetapkan pagu program atau pagu SKPD. Program prioritas yang berhubungan dengan prioritas pembangunan daerah mengacu pada program prioritas pembangunan RPJMD Kota Padangsidimpuan Tahun 2013-2017, di mana prioritas program tersebut telah menggambarkan target indikator capaian kinerja beserta pagu indikatif tahun 2015. Program prioritas pembangunan daerah RPJMD oleh SKPD dalam Renstra SKPD, masing-masing program dijabarkan kedalam kegiatan disertai pagunya. Selanjutnya di RKPD, dalam hal terjadi perhitungan kapasitas keuangan daerah tahun rencana yang berbeda dengan perhitungan RPJMD maka atas kelebihan/kekurangan dana pagu tersebut dialokasikan untuk program/kegiatan alternatif dan program kegiatan baru. Suatu program kegiatan baru yaitu program dan kegiatan yang tidak tercantum pada renstra SKPD dengan kriteria sebagai berikut: 1. Tidak bisa ditunda karena dapat menimbulkan kerugian yang lebih besar bagi pemerintah maupun masyarakat; 2. Dalam rangka mempercepat capaian sasaran SKPD; 3. Adanya kebijakan pemerintah yang menjadi prioritas nasional yang mendukung percepatan pembangunan daerah; 4. Dilakukan jika kegiatan-kegiatan yang dilaksanakan sebelumnya belum memberikan keluaran dan hasil yang sesuai dengan sasaran Renstra SKPD. Pagu indikatif setiap program pembangunan dihitung berdasarkan capaian indikator program pembangunan yang dilakukan oleh tim penyusun RKPD,dengan langkah-langkah sebagai berikut:
  • 70.
    67 1. Menentukan rencanapenggunaan kapasitas riil anggaran berupa alokasi belanja langsung dan belanja tidak langsung sebagaimana telah dihitung dalam perumusan kerangka pendanaan. 2. Menentukan keluaran/output setiap kegiatan. 3. Menghitung alokasi pagu dari setiap output kegiatan untuk setiap program. 4. Menghitung alokasi pagu setiap program setelah output kegiatan pada setiap program diverifikasi kebenarannya. 5. Menghitung alokasi SKPD berdasarkan program yang menjadi tanggung jawab SKPD. Elemen-elemen utama program prioritas memuat kegiatan yang akan dilaksanakan, kerangka waktu pelaksanaan dan SKPD yang bertanggungjawab. Program yang disusun harus dapat dilaksanakan dengan mempertimbangkan keterbatasan waktu, anggaran, kapasitas dan sumberdaya yang dimiliki daerah. Setiap program prioritas harus memiliki indikator kinerja yang jelas dan dapat diukur tingkat capaiannya. Pencapaian kinerja program merupakan akumulasi dari pencapaian kinerja keluaran masing-masing kegiatan. Selanjutnya, program prioritas dan pagu indikatif yang telah ditetapkan untuk rancangan awal RKPD, disampaikan ke SKPD sesuai program terkait beserta pagu indikatif untuk diproses lebih lanjut untuk mendapatkan kegiatan prioritas masing-masing program dimaksud. Dalam penyusunan prioritas kegiatan SKPD juga memperhatikan kegiatan yang telah disusun dalam dokumen Renstra SKPD sehingga terjadi keselarasan dalam penyusunan program dan kegiatan yang telah disusun oleh Pemerintah Daerah dan SKPD. Program dan capaian kinerja yang mengacu pada RPJMD Kota Padangsidimpuan 2013-2017 sebagaimana tabel dibawah ini:
  • 71.
    68 Tabel V. 1 IndikasiProgram Prioritas Pembangunan Kota Padangsidimpuan 2015 Bidang urusan Pemerintahan dan Program Prioritas Pembangunan Indikator Kinerja Program (Outcome) SKPD Penanggung Jawab Target 1 2 4 6 URUSAN WAJIB Program Internal SKPD Meningkatnya Kelancaran Internal SKPD 100 % Semua SKPD/ Unit Kerja PENDIDIKAN Program Pendidikan Anak Usia Dini Tercapainya APK PAUD 95 % SKPD Pengampu Pendidikan Program Wajib Belajar Pendidikan Dasar 9 Tahun 95 % SKPD Pengampu Pendidikan Tercapainya APM SD/MI 100,61 Tercapainya APM SMP/MTs 97,10 Tercapainya APK SD/MI 119,04 Tercainya APK SMP/MTs 99,92 Mempertahankan rasio ketersediaan sekolah/ penduduk usia SD 84,53 Mempertahankan rasio ketersediaan sekolah/ penduduk usia SMP 87,88 Prosentase angka putus sekolah SD/MI (%) 0,02 Prosentase angka putus sekolah SMP/MTs (%) 0,02 Prosentase angka kelulusan SD/MI (%) 100,75 Prosentase angka kelulusan SMP/MTs (%) 100,63
  • 72.
    69 Bidang urusan Pemerintahandan Program Prioritas Pembangunan Indikator Kinerja Program (Outcome) SKPD Penanggung Jawab Target 1 2 4 6 Meningkatnya prosentase angka melanjutkan SD/MI ke SMP/MTs (%) 100,58 Meningkatnya prosentase angka melanjutkan SMP/MTs ke SMA/SMK/MA (%) 99,92 Prosentase peningkatan pemerataan dan pelayanan dikdas (%) 100,75 Meningkatnya prosentase sarana dan parasarana pendidikian dasar kondisi baik (%) 99,56 Program Pendidikan Menengah 95.00% SKPD Pengampu Pendidikan Tercapainya APM SMA/SMK//MA 85,88 Tercapainya APK SMA/SMK/MA 90,56 Mempertahankan rasio ketersediaan sekolah/penduduk usia sekolah 87,80 Prosentase angka putuis sekolah SMA/SMK/MA (%) 3,03 Meningkatnya prosentase angka kelulusan SMA/SMK/MA (%) 100,60 Program Pendidikan Non Formal 95.00% SKPD Pengampu Pendidikan Meningkatkan lulusan program kesetaraan yang bermutu (Paket A/B dan C) 100
  • 73.
    70 Bidang urusan Pemerintahandan Program Prioritas Pembangunan Indikator Kinerja Program (Outcome) SKPD Penanggung Jawab Target 1 2 4 6 Kwalifikasi S1 Pendidik TK 100,60 Kwalifikasi Pendidikan PAUD Non Formal Terlatih 88,11 Meningkatnya lembaga pendidikan luar sekolah (kursus kelembagaan yang berkwalitas) 76,37 PBM Pendidikan SLB Negeri Terselenggaranya Pendidikan SLB di Kota Padangsidimpuan 95.00% SKPD Pengampu Pendidikan Program Peningkatan Mutu Pendidik Dan Tenaga Kependidikan 95.00% SKPD Pengampu Pendidikan Prosentase Guru TK Berkwalifikasi Akademik S1/D4. 99,94 Prosentase Pendidik PAUD Non Formal Berkwalifikasi S1/D4. 87,21 Prosentase TK Guru Formal Bersertifikat Pendidik. 75,72 Prosentase Guru SD Berkwalifikasi Akademik S1/D4. 87,67 Prosentase Guru SD Bersertifikat Pendidik. 87,13 Prosentase Guru SMP Berkwalifikasi Akademik S1/D4. 98,31 Prosentase Guru SMP Bersertifikat Pendidik. 99,16 Prosentase Guru SMA Berkwalifikasi Akademik S1/D4. 99,96 Prosentase Guru SMA Bersertifikat Pendidik. 99,97
  • 74.
    71 Bidang urusan Pemerintahandan Program Prioritas Pembangunan Indikator Kinerja Program (Outcome) SKPD Penanggung Jawab Target 1 2 4 6 Prosentase Guru SMK Berkwalifikasi Akademik S1/D4. 100,05 Prosentase Guru SMK Bersertifikat Pendidik. 89,42 Prosentase Guru SMK Bersertifikat Kompetensi. 77,36 Persentase tenaga kependidikan satuan pendidikan non formal yang mengikuti diklat kompetensi. 75,71 Persentase pendidik dan tenaga kependidikan yang memperoleh kesejahteraan 100,09 Program Pengembangan Budaya Baca dan Pembinaan Perpustakaan Terselenggaranya Kegiatan Operasional Perpustakaan Daerah 95.00% SKPD Pengampu Pendidikan Program Manajemen Pelayanan Pendidikan Prosentase kwalitas pelayanan pendidikan dan pemerataan jangkauan pelayanan pendidikan 95.00% SKPD Pengampu Pendidikan KESEHATAN Upaya Kesehatan Program Pencegahan dan Pemberantasan Penyakit Cakupan Desa/Kelurahan Universal Child immunization 40% Dinkes Cakupan Penemuan dan Penanganan Penderita Penyakit 80% Dinkes Cakupan Desa/Kelurahan mengalami KLB yang dilakukan Penyelidikan Epidemiologi <24 Jam 100% Dinkes
  • 75.
    72 Bidang urusan Pemerintahandan Program Prioritas Pembangunan Indikator Kinerja Program (Outcome) SKPD Penanggung Jawab Target 1 2 4 6 Program Lingkungan Sehat Persentase penduduk yang memiliki akses terhadap air yang berkualitas 73% Dinkes Persentase Penduduk yang Menggunakan Jamban sehat 59% Dinkes Persentase Cakupan sarana Industri Tempat Pengolahan Makanan yang memenuhi syarat 67% Dinkes Persentase Cakupan Tempat-Tempat Umum yang memenuhi syarat kesehatan 69% Dinkes Program Perbaikan Gizi Masyarakat Cakupan Pemberian makanan Pendamping ASI pada anak 6-24 bulan keluarga miskin 100% Dinkes Cakupan balita gizi buruk mendapat perawatan 100% Dinkes Program Pelayanan Kesehatan Perorangan dan Masyarakat Cakupan kunjungan ibu hamil K4 77% Dinkes Cakupan komplikasi kebidanan yang ditangani 44% Dinkes Cakupan pertolongan persalinan oleh tenaga kesehatan yang memiliki kompetensi kebidanan 79.3% Dinkes cakupan pelayanan nifas 77% Dinkes Cakupan neonatus dengan komplikasi yang ditangani 67% Dinkes Cakupan kunjungan bayi 78% Dinkes
  • 76.
    73 Bidang urusan Pemerintahandan Program Prioritas Pembangunan Indikator Kinerja Program (Outcome) SKPD Penanggung Jawab Target 1 2 4 6 Cakupan Pelayanan Anak Balita 83% Dinkes Cakupan penjaringan kesehatan siswa SD dan setingkat 87% Dinkes Cakupan peserta KB aktif 75% Dinkes Cakupan pelayanan gawat darurat level 1 yang harus dirujuk ke sarana kesehatan (RS) di Kabupaten/Kota 100% Dinkes Pembiayaan Kesehatan Program Pembiayaan Kesehatan Masyarakat Cakupan Pelayanan Kesehatan dasar Masyarakat Miskin 100% Dinkes Cakupan Pelayanan Kesehatan rujukan pasien Masyarakat Miskin 90% Dinkes Sumber Daya Manusia Kesehatan Program Peningkatan Jumlah, Mutu, dan Penyebaran Tenaga Kesehatan Persentase ketersediaan dan mutu Sumber Daya Manusia Kesehatan sesuai dengan standar kompetensi 80% Dinkes Obat dan Perbekalan Kesehatan Program Ketersediaan, Pemerataan, Mutu Obat dan Keterjangkauan Harga Obat, serta Perbekalan Kesehatan Persentase Ketersediaan Obat dan Vaksin 100% Dinkes Pemberdayaan Masyarakat Pemberdayaan Individu, Keluarga dan Masyarakat Cakupan Desa Siaga Aktif 80% Dinkes
  • 77.
    74 Bidang urusan Pemerintahandan Program Prioritas Pembangunan Indikator Kinerja Program (Outcome) SKPD Penanggung Jawab Target 1 2 4 6 Berperilaku Hidup Bersih dan Sehat dan Pengembangan Upaya Kesehatan Berbasis Masyarakat (UKBM) Manajemen Kesehatan Kebijakan Kesehatan Jumlah Produk Hukum Bidang Kesehatan yang diselesaikan 7 Dinkes Peningkatan Pengawasan dan Akuntabilitas Jumlah Kasus yang dilakukan penyidikan 100% Dinkes Jumlah kasus penyidikan yang di tangani 100% Dinkes Pengembangan Sistem Informasi Kesehatan Persentase Ketersediaan Laporan Puskesmas 100% Dinkes Persentase Ketersediaan Laporan KLB 100% Dinkes Program Pengembangan Sarana dan Prasarana Kesehatan Persentase Pengelolaan Sarana dan Prasarana Kesehatan Sesuai Standar 100% Dinkes Program Pembiayaan Kesehatan Persentase Pembiayaan Bidang Kesehatan 7% Dinkes Program Pengadaan Peningkatan Sarana Prasarana RS, RS Jiwa/RS Paru/RS Mata Persentase Ketersediaan Sarana dan Prasarana Rumah Sakit 100% RSUD Padang Sidimpuan Program Pemeliharaan Sarana dan Prasarana RS Terpenuhinya Kebutuhan Sarana dan Prasarana Pelayanan di Rumah Sakit Sesuai Standart 70% RSUD Padang Sidimpuan Program Pengembangan RS dan Standarisasi Pelayanan Kesehatan Rumah Sakit - Sertifikat RS Lulus BLUD 75% RSUD Padang Sidimpuan - Jumlah Kunjungan Pasien Rawat Jalan 20% RSUD Padang Sidimpuan - Jumlah Kunjungan Pasien Rawat Inap 20% RSUD Padang Sidimpuan
  • 78.
    75 Bidang urusan Pemerintahandan Program Prioritas Pembangunan Indikator Kinerja Program (Outcome) SKPD Penanggung Jawab Target 1 2 4 6 - Jumlah Kunjungan Pasien IGD 20% RSUD Padang Sidimpuan - Jumlah Standart Mutu Pelayanan Kesehatan yang Memenuhi Standart SPM 75% RSUD Padang Sidimpuan Program Kemitraan Pelayanan Kesehatan Pasien Miskin/Askes - Jumlah Pasien Jamkesmas 90% RSUD Padang Sidimpuan - Jumlah Pasien Jamkesda 89% RSUD Padang Sidimpuan - Jumlah Pasien ASKES 80% RSUD Padang Sidimpuan PEKERJAAN UMUM Program Pembangunan Saluran Drainase/Gorong- Gorong Tersedianya Sarana Saluran Drainase/Gorong- Gorong 100% SKPD Pengampu drainase Program Pemberdayaan Komunitas Perumahan Tersedianya Sarana Pemberdayaan Komunitas Perumahan 100% SKPD Pengampu Sarpras perumahan Program Pembangunan Infrastruktur Pedesaan Tersedianya Pembangunan Infrastruktur Pedesaan 100% SKPD Pengampu drainase Program Pembangunan Jalan dan Jembatan Terlaksananya Pembangunan Jalan dan Jembatan 100% SKPD Pengampu Jalan dan Jembatan Program Peningkatan Jalan dan Jembatan Terlaksananya Peningkatan Jalan dan Jembatan 100% SKPD Pengampu Jalan dan Jembatan Program Rehabilitasi/ Pemelihraan Jalan dan Jembatan Terlaksananya Rehabilitas/ Pemeliharaan Jalan dan Jembatan 100% SKPD Pengampu Jalan dan Jembatan
  • 79.
    76 Bidang urusan Pemerintahandan Program Prioritas Pembangunan Indikator Kinerja Program (Outcome) SKPD Penanggung Jawab Target 1 2 4 6 Program Pengembangan dan Pengelolaan Jaringan Irigasi,Rawa, dan Jaringan Pengairan Lainnya Terlaksananya Pembangunan, Peningkatan, Rehabilitasi/Pemeliharaan Jaringan Irigasi 100% SKPD Pengampu Pengairan Program Pengendalian Banjir Terlaksananya Pembangunan Pengendalian Banjir 100% SKPD Pengampu Pengairan Program Pengembangan Kinerja Pengelolaan Persampahan Meningkatnya kebersihan lingkungan kota padangsidimpuan 100% SKPD Pengampu Persampahan PERENCANAAN PEMBANGUNAN Program Pemanfaatan Ruang Terlaksananya pembangunan di Kota Padangsidimpuan 98% SKPD Pengampu Perencanaan Pembangunan Program Kerjasama Pembangunan Bantuan kepada Masyarakat 100 % Tersedianya Dokumen Data dan Laporan Kemiskinan di Kota PSP 65% TerlaksananyaDokumen RKPD 95% Terjalinnya kerjasama antar daerah 56% Program Perencanaan Pembangunan Daerah Dokumen RPJMD Kota Padangsidimpuan - Monitoring, Evaluasi dan Pelaporan Kegiatan Lintas Sektoral 100 % Dokumen LKPJ Tahun Anggaran 100 % Dokumen LKPJ Akhir Masa Jabatan - Dokumen Laporan Kinerja Pemerintah Daerah ( LAKIP ) Kota P.Sidimpuan tentang tepat waktu 100%
  • 80.
    77 Bidang urusan Pemerintahandan Program Prioritas Pembangunan Indikator Kinerja Program (Outcome) SKPD Penanggung Jawab Target 1 2 4 6 Terlaksananya Musrenbang Kota 100% Terlaksananya Musrenbang RKPD 100% Tersedianya Dokumen RKPD 95% Termonitornya Kegiatan Pembangunan Daerah - Program Peningkatan Kapasitas kelembagaan Perencanaan Pembangunan Laporan Riset Daerah tentang kemajuan Iptek untuk mendukung Perencanaan Pembangunan 100 % SKPD Pengampu Perencanaan Pembangunan Dokumen Renstra SKPD 100 % Tersedianyadokumen RAD MDG’S Kota PSP 55% Meningkatnya SDM Aparatur Perencana 74% Terlaksananya Bimtek dan Sosialisasi BAPPEDA 98% PERHUBUNGAN Program Pembangunan Prasarana Perhubungan Meningkatkan Pelayanan Masyarakat 100% SKPD Pengampu Perhubungan Program Rehabilitasi dan Pemeliharaan Prasarana dan Fasilitas LLAJ Peningkatan Pemeliharaan Fasilitas Perhubungan 100 % SKPD Pengampu Perhubungan Program Peningkatan Pelayanan Angkutan Meningkatkan Ketertiban Berlalu Lintas 100 % SKPD Pengampu Perhubungan LINGKUNGAN HIDUP Program Peningkatan Kualitas & Akses Informasi SDA dan Lingkungan Hidup Meningkatnya Wawasan dan Informasi tentang lingkungan hidup 100% SKPD Pengampu Lingkungan Hidup Program Peningkatan Pengendalian, pencemaran dan kerusakan lingkungan hidup Meningkatnya wawasan pelaku usaha dan atau kegiatan tentang lingkungan hidup sesuai dengan 100% SKPD Pengampu Lingkungan Hidup
  • 81.
    78 Bidang urusan Pemerintahandan Program Prioritas Pembangunan Indikator Kinerja Program (Outcome) SKPD Penanggung Jawab Target 1 2 4 6 baku mutu Program Pengelolaan Ruang Terbuka Hijau (RTH) Tercapainya RTH 100% SKPD Pengampu RTH Program pengembangan kapasitas pengelolaaan sumber daya alam dan lingkungan hidup Meningkatkan pengetahuan dan informasi tentang peraturan pengelolaan sumber daya alam dan lingkungan hidup 30% SKPD Pengampu Lingkungan Hidup Program perlindungan dan konservasi sumber daya alam Meningkatkan jumlah masyarakat yang mengetahui tentang keanekaragaman hayati dan konservasi sember daya alam 30% SKPD Pengampu Lingkungan Hidup KEPENDUDUKAN DAN CATATAN SIPIL ProgramPelayanan Dokumen dan Surat-Surat Kependudukan Penerbitan Dokumen dan Surat-surat Kependudukan 100% SKPD Pengampu Kependudukan dan Catatan Sipil ProgramPelayanan Permohonan Dokumen Pencatatan Sipil Penerbitan Dokumen pencatatan sipil 100% Program Implementasi Sistem Informasi Administrasi Kependudukan SIAK berfungsi dengan baik 100% PEMBERDAYAAN PEREMPUAN DAN PERLINDUNGAN ANAK Program keserasian kebijakan peningkatan kualitas anak dan perempuan Meningkatnya Kualitas Hidup Perempuan di Bidang Ilmu Pengetahuan, Politik dan Jabatan Publik 100 % SKPD Pengampu Perempuan dan Anak Program penguatan kelembagaan pengarus-utamaan gender dan anak Peningkatan Kesehatan Kaum Perempuan dan Angka Harapan Hidup Perempuan 100 % Program peningkatan kualitas hidup dan perlindungan perempuan Meningkatnya Pemahaman Perempuan tentang Reproduksi Sehat dan Hak Reproduksi 100 %
  • 82.
    79 Bidang urusan Pemerintahandan Program Prioritas Pembangunan Indikator Kinerja Program (Outcome) SKPD Penanggung Jawab Target 1 2 4 6 Program peningkatan peran serta dan kesetaraan gender dalam pembangunan Peningkatan Keterampilan dan Kualitas SDM Kaum Perempuan 100 % KELUARGA BERENCANA DAN KELUARGA SEJAHTERA Program Keluarga Berencana Meningkatnya Pemahaman Pasangan Usia Subur (PUS) tentang Program Keluarga Berencana 100 % SKPD Pengampu KB/KS Program Kesehatan Reproduksi Remaja (KRR) Meningkatnya Pemahaman Remaja tentang Kesehatan Refroduksi Remaja (KRR) 100 % SKPD Pengampu KB/KS Program Pelayanan Kontrasepsi Meningkatnya Pelayanan terhadap peserta KB Baru dan KB Aktif 100 % SKPD Pengampu KB/KS Program Pembinaan Peran Serta Masyarakat Dalam Pelayanan KB/KR yang Mandiri Meningkatnya Pelayanan KB dan Pemberdayaan Ekonomi Keluarga 100 % SKPD Pengampu KB/KS Program Promosi Kesehatan Ibu Bayi dan Anak melalui Kegiatan Kelompok di Masyarakat Meningkatnya Pemaham Masyarakat tentang Kesehatan ibu, bayi dan anak 100 % SKPD Pengampu KB/KS Program Pengembangan Pusat Pelayanan Informasi dan Konseling KRR Tersebarluaskannya Informasi Kesehatan Reproduksi Remaja kepada Generasi Muda 100 % SKPD Pengampu KB/KS Program Peningkatan Penanggulangan Narkoba, PMS termasuk HIV/AIDS Meningkatnya Pengetahuan Remaja akan bahaya Narkoba, PMS termasuk HIV/AIDS 100 % SKPD Pengampu KB/KS
  • 83.
    80 Bidang urusan Pemerintahandan Program Prioritas Pembangunan Indikator Kinerja Program (Outcome) SKPD Penanggung Jawab Target 1 2 4 6 Program Pengembangan Bahan Informasi tentang Pengasuhan dan Pembinaan Tumbuh Kembang Anak Terpenuhinya Sarana Prasarana Kelompok Bina Keluarga di Kecamatan 100 % SKPD Pengampu KB/KS Program Penyiapan Tenaga Pendamping Kelompok Bina Keluarga Meningkatnya Kapasitas Pengasuhan dan Pembinaan Tumbuh Kembang Anak 100 % SKPD Pengampu KB/KS Program pengembangan model operasional bkb- posyandu-padu Meningkatnya Koordinasi Lintas Sektor tentang Peningkatan dan Pembinaan Tumbuh Kembang Anak 100 % SKPD Pengampu KB/KS SOSIAL Program Pemberdayaan Fakir Miskin, Komunikasi Adat Terpencil (KAT) & Penyandang Masalah Kesejahteraan Sosial (PMKS) Lainnya Meningkatnya Pelayanan bagi Fakir Miskin 60 Org SKPD Pengampu Sosial dan Tenaga Kerja6 Kec Program Pelayanan dan Rehabilitasi Kesejahteraan Sosial Meningkatkan Kesejahteraan PMKS SKPD Pengampu Sosial dan Tenaga Kerja 300 Org 300 Org 20 Org 30 Unit Program Pembinaan Panti Asuhan/Panti Jompo Meningkatkan Keterampilan Penghuni Panti SKPD Pengampu Sosial dan
  • 84.
    81 Bidang urusan Pemerintahandan Program Prioritas Pembangunan Indikator Kinerja Program (Outcome) SKPD Penanggung Jawab Target 1 2 4 6 Asuhan/Panti Jompo 20 Org Tenaga Kerja Program Pembinaan Para Penyandang Cacat dan Trauma Peningkatan Keterampilan Penyandang Cacat SKPD Pengampu Sosial dan Tenaga Kerja 24 Org Program Pemberdayaan Kelembagaan Kesejahteraan Sosial Meningkatnya pelayanan terhadap kelembagaan Kessos SKPD Pengampu Sosial dan Tenaga Kerja 100 Org 50 Org 150 Org 6 KEc 2 unit KETENAGAKERJAAN Program Peningkatan Kualitas dan Produktivitas Tenaga Kerja Peningkatan Kualitas dan Produktivitas Tenaga Kerja SKPD Pengampu Sosial dan Tenaga Kerja120 Org Program Peningkatan Kesempatan Kerja Terinformasikannya informasi pasar kerja SKPD Pengampu Sosial dan Tenaga Kerja 6 Kec 3 Paket Program Perlindungan dan Pengembangan Lembaga Ketenagakerjaan Tercapainya Penegakan Hukum, Keselamatan dan Kesehatan Kerja SKPD Pengampu Sosial dan Tenaga Kerja4 Kasus
  • 85.
    82 Bidang urusan Pemerintahandan Program Prioritas Pembangunan Indikator Kinerja Program (Outcome) SKPD Penanggung Jawab Target 1 2 4 6 50 Org 94 Prsh 94 Prsh 1 Dok 1 Lemb. KOPERASI DAN UMKM Program Peningkatan Kwalitas Kelembagaan Koperasi Koperasi aktif dan berprestasi meningkat dengan adanya bimbingan teknis dan koordinasi ke propinsi dan pusat 20 kop SKPD Pengampu Koperasi dan UMKM Program Pendidikan dan Pengembangan SDM Pelaksanaan Pendidikan/Latihan secara sistematis dan berkelanjutan 4 Paket SKPD Pengampu Koperasi dan UMKM Program Informasi dan Komunikasi Koperasi Membaiknya citra dan kepercayaan masyarakat kepada koperasi dan meningkatkan keragaman literatur yang berkaitan dgn koperasi 15 Exp SKPD Pengampu Koperasi dan UMKM Meningkatnya Kesadaran Pengurus dan Anggota Koperasi terhadap prinsip-prinsip koperasi 95 org SKPD Pengampu Koperasi dan UMKM Program Penyelenggaraan Promosi Produk UMKM Terlaksanya Promosi Produk UMKM 1 Keg SKPD Pengampu Koperasi dan UMKM Program Sosialisasi Dukungan Informasi Penyediaan Permodalan Optimalnya Informasi pada Pelaku Usaha 1 Keg SKPD Pengampu Koperasi dan UMKM
  • 86.
    83 Bidang urusan Pemerintahandan Program Prioritas Pembangunan Indikator Kinerja Program (Outcome) SKPD Penanggung Jawab Target 1 2 4 6 Program Pengembangan Sarana Pemasaran Produk UMKM Tersalurnya Sarana Pemasaran Produk UMKM 20 ukm SKPD Pengampu Koperasi dan UMKM Program Penciptaan Iklim Usaha yang kondusip Berkembangnya usaha mikro kecil menengah 1 keg SKPD Pengampu Koperasi dan UMKM KEBUDAYAAN Program pengelolaan keragaman budaya Terlestarikannya dan berkembangnya budaya tradisional 60 % SKPD Pengampu Kebudayaan Program pengelolaan kekayaan budaya Terlaksanya pengembangan databse dan informasi sejarah purbakala 70 % SKPD Pengampu Kebudayaan KEPEMUDAAN DAN OLAH RAGA Program pengembangan dan keserasian kebijakan pemuda Terlaksananya rancangan pola kemitraaan antar pemuda dengan masyarakat 60 % SKPD Pengampu Pemuda Olah Raga Program peningkatan peran serta kepemudaan Tertanamnya rasa solidaritas dan jiwa kepemimpinan bagi pemuda serta cinta tanah air 60 % SKPD Pengampu Pemuda Olah Raga Program peningkatan upaya penumbuhan kewirausahaan dan kecakapan hidup pemuda Terciptanya pemuda yang mandiri dan berwirausaha 55 % SKPD Pengampu Pemuda Olah Raga Program pengembangan kebijakan dan manajemen olahraga Terbinanya manajemen dan organisasi / lembaga keolahragaan 70 % SKPD Pengampu Pemuda Olah Raga Program pembinaan dan pemasyarakatan olahraga Terlaksananya kegiatan memasyarakatkan olahraga dan mengolahragakan masyarakat 70 % SKPD Pengampu Pemuda Olah Raga
  • 87.
    84 Bidang urusan Pemerintahandan Program Prioritas Pembangunan Indikator Kinerja Program (Outcome) SKPD Penanggung Jawab Target 1 2 4 6 Program peningkatan sarana dan prasarana olahraga Tersedianya dan terpeliharanya sarana dan prasarana olahraga 80 % SKPD Pengampu Pemuda Olah Raga KESATUAN BANGSA DAN POLITIK DALAM NEGERI Program Pemeliharaan Kantrantibmas dan Pecegahan Tindak Kriminal Terjaganya keamanan dan kenyamanan Lingkungan 74 % SKPD Pengampu Satpol PP Program Pengembangan Wawasan Kebangsaan Tingkat Partisipasi Masyarakat dalam kehidupan Bermasyarakat berbangsa dan bernegara 80 % SKPD Pengampu Wawasan Kebangsaan Program peningkatan pemberantasan penyakit masyarakat ( Pekat ) Terjaganya keamanan dan kenyamanan Lingkungan 60 % SKPD Pengampu Satpol PP Program Pendidikan Politik Masyarakat Tingkat Partisipasi Masyarakat dalam bidang Politik 80 % SKPD Pengampu Wawasan Kebangsaan OTONOMI DAERAH, PEMERINTAHAN UMUM, ADMINISTRASI KEUANGAN DAERAH, PERANGKAT DAERAH, KEPEGAWAIAN DAN PERSANDIAN Program Peningkatan Sistem Pengawasan Internal dan Pengendalian pelaksanaan kebijakan KDH. Berkurangnya kasus pelanggaran hukum 100% SKPD Pengampu Hukum Program Peningkatan pelayanan kedinasan kepala daerah/wakil kepala daerah Terwujudnya peningkatan kualitas pelayanan kedinasan Kepala Daerah/Wakil Kepala Daerah 100% SKPD Pengampu Humas dan Arsip Program Peningkatan Kualitas Pelayanan, Pemeliharaan dan Sistem Adminitrasi Kearsipan Tercapainya Kualitas Pelayanan, Pemeliharaan dan Sistem Adminitrasi Kearsipan 100% SKPD Pengampu Humas dan Arsip
  • 88.
    85 Bidang urusan Pemerintahandan Program Prioritas Pembangunan Indikator Kinerja Program (Outcome) SKPD Penanggung Jawab Target 1 2 4 6 Program Penerapan Kepemerintahan yang baik Meningkatnya pengelolaan Pemerintahan yang Akuntabel 100 % SKPD Pengampu Organisasi Program Peningkatan Akuntabilitas Aparatur Meningkatnya persentase SKPD yang menerapkan SAKIP 100 % SKPD Pengampu Organisasi Program Perekonomian dan Kesejahteraan Rakyat Terlaksananya Hari-hari Besar Nasional dan Keagamaan, dan Pelayanan Publik 100 % SKPD Pengampu Kesra Program Kerjasama Investasi dan Promosi Terpromokasikannya hasil produksi pertanian, Home Industri, Kerajinan, dan Adat Budaya Kota Psp 100 % SKPD Pengampu Kesra Program Optimalisasi Pemanfaatan Teknologi Informasi Termanfaatkannya Sistem Teknologi dan Informasi dalam Pelaksanaan Kegiatan Pembangunan 100 % SKPD Pengampu ADPEM Program Mengintensifkan Penanganan Pengaduan Masyarakat Terpantau dan Terevaluasinya Pemanfaatan Dana APBN dan APBD dalam Bidang Pembangunan 100 % SKPD Pengampu ADPEM Program Peningkatan Kerjasama antar Pemerintah Daerah Tersusun dan Sinkronnya Kegiatan Pembangunan 100 % SKPD Pengampu Kerjasama Daerah Program Penataan Daerah Otonomi Baru Adanya Tapal Batas yang jelas antar Desa/Kelurahan 100 % SKPD Pengampu ADPUM Program Perencanaan Pembangunan Wilayah Strategis Dan Cepat Tumbuh Terlaksananya Penilaian Kecamatan Terbaik Tingkat Kota dan Provinsi 100 % SKPD Pengampu ADPUM Program Peningkatan Pelayanan Masyarakat Berbasis Kewilayahan Kecamatan Terlaksananya Pelayanan Administrasi Terpadu Kecamatan (PATEN) 75 % SKPD Pengampu ADPUM Program Peningkatan Kapasitas Lembaga Perwakilan Rakyat Daerah Berjalannya Peningkatan Kapasitas Lembaga Perwakilan Rakyat Daerah 100 % SKPD Pengampu Kesekretariatan DPRD
  • 89.
    86 Bidang urusan Pemerintahandan Program Prioritas Pembangunan Indikator Kinerja Program (Outcome) SKPD Penanggung Jawab Target 1 2 4 6 Program Peningkatan Sistem Pengawasan Internal dan Pengendalian Kebijakan DPRD Terlaksananya Peningkatan Sistem Pengawasan Internal dan Pengendalian Kebijakan DPRD 100 % SKPD Pengampu Kesekretariatan DPRD Program Peningkatan kapasitas kesekretariatan Terwujudnya peningkatan kapasitas kesekretariatan Korpri 90% SKPD Pengampu Sekretariat Korpri Program peningkatan kesejahteraan anggota Korpri dan Keluarga Terwujudnya kesejahteraan Korpri dan Keluarga 90% SKPD Pengampu Sekretariat Korpri Program peningkatan dan pengembangan pengelolaan keuangan daerah Terjalinnya pola kemitraan pemerintah dan masyarakat yang akuntabel dan transparan 100 % SKPD Pengampu Pengelolaan Keuangan Program pembinaan dan fasilitasi pengelolaan keuangan kabupaten / kota Terpenuhinya laporan hasil evaluasi perda pengeloaan keuangan 100 % SKPD Pengampu Pengelolaan Keuangan Program Peningkatan Pelayanan Perizinan Ketetpatan Waktu Pemberian Ijin 100 % SKPD Pengampu PErijinan Program Peningkatan Kapasitas Sumberdaya Aparatur Terpenuhinya SDM Aparatur yang berkualitas 100 % SKPD Pengampu Peningkatan Kualitas SDM Program Pembinaan dan Pengembangan Aparatur Terlaksananya Pembinaan dan Pengembangan Aparatur yang berkualitas 100 % SKPD Pengampu Peningkatan Kualitas SDM Program Peningkatan Kesiagaan dan Pencegahan Bahaya Kebakaran Meningkatnya Pelayanan di bidang Pencegahan Kebakaran 85% SKPD Pengampu Pencegahan Kebakaran Program Peningkatan Profesionalisme Tenaga Pemeriksa dan Aparatur Pengawasan Tercapainya profesionalisme Tenaga pemeriksa da Aparatur Pengawasan melalui pelatihan pengembangan tenaga pemeriksa dan pelatihan 100% SKPD Pengampu Pengawasan Internal
  • 90.
    87 Bidang urusan Pemerintahandan Program Prioritas Pembangunan Indikator Kinerja Program (Outcome) SKPD Penanggung Jawab Target 1 2 4 6 teknis pengawasan dan penilaian akuntabilitas kinerja KECAMATAN PADANGSIDIMPUAN SELATAN Program Perencanaan Pembangunan Tersusunnya perencanaan Pembangunan Kecamatan yang berkwalitas 100 % Kecamatan PSP Selatan Program Perekonomian dan Kesejahteraan rakyat Terlaksananya program perekonomian dan kesejahteraan rakyat 100 % Program Pengembangan Kemasyarakatan Terlaksananya Program Pengembangan Kemasyarakatan 100 % KECAMATAN PADANGSIDIMPUAN UTARA Program Perencanaan Pembangunan Daerah Peningkatan Pengembangan Pembangunan Daerah 100 % Kecamatan PSP UTARAProgram Perekonomian dan Kesejahteraan Rakyat Peningkatan Kualitas Masyarakat 0 % Program Pengembangan Kemasyarakatan Peningkatan Pengembangan yang berhubungan dengan Masyarakat 100 % KECAMATAN PADANGSIDIMPUAN BATUNADUA Program Pengembangan Kemasyarakatan Meningkatkan pengembangan kebudayaan masyarakat 99 % Kecamatan PSP BatunaduaProgram Perencanaan Pembangunan Tersusunnya perencanaan Pembangunan Kecamatan yang berkwalitas 100 % Program Perekonomian dan Kesejahteraan rakyat Terlaksananya program perekonomian dan 100 %
  • 91.
    88 Bidang urusan Pemerintahandan Program Prioritas Pembangunan Indikator Kinerja Program (Outcome) SKPD Penanggung Jawab Target 1 2 4 6 kesejahteraan rakyat KECAMATAN PADANGSIDIMPUAN TENGGARA Program Perencanaan Pembangunan daerah Terselenggaranya Musrenbang Tk Desa dan Kecamatan 100 % Kecamatan PSP Tenggara Program Peningkatan Semangat Gotong Royong Lestarinya semangat gotong royong di masyarakat 100 % Program Perekonomian dan Kesejahteraan Rakyat Meningkatnya perekonomian masyarakat 100 % Program Pengembangan Kemasyarakatan Terselenggaranya MTQ Tk Kecamatan Padangsidimpuan 100 % KECAMATAN PADANGSIDIMPUAN HUTAIMBARU Program Perencanaan Pembangunan Tersusunnya perencanaan Pembangunan Kecamatan yang berkwalitas 100 % Kecamatan PSP Hutaimbaru Program Perekonomian dan Kesejahteraan rakyat Terlaksananya program perekonomian dan kesejahteraan rakyat 100 % Program Pengembangan Kemasyarakatan Terlaksananya Program Pengembangan Kemasyarakatan 100 % KECAMATAN PADANGSIDIMPUAN ANGKOLA JULU Program Perencanaan Pembangunan Daerah Tersusunnya Perencanaan Pembangunan Kecamatan yang Berkwalitas 100 % Kecamatan PSP Angkola JuluProgram Peningkatan Semangat Gotong Royong Terlaksananya Gotong Royong di Desa 100 % Program Perekonomian dan Kesejahteraan Rakyat Terlaksananya Program Perekonomian dan Kesejahteraan Rakyat 100 %
  • 92.
    89 Bidang urusan Pemerintahandan Program Prioritas Pembangunan Indikator Kinerja Program (Outcome) SKPD Penanggung Jawab Target 1 2 4 6 Program Pengembangan Kemasyarakatan Terlaksananya Program Pengembangan Kemasyarakatan 100 % KETAHANAN PANGAN Program Peningkatan Kesejahteraan Petani Meningkatnya Pengetahuan Petani (Kelompok, Orang, Paket) 100% SKPD Pengampu Ketahanan Pangan Program Peningkatan Ketahanan Pangan Meningkatnya Ketahanan Pangan Masyarakat (Satuan Desa, Dokumen, Paket ) 100% Program Pemberdayaan Penyuluh Pertanian / Perkebunan Terlaksananya Tugas - tugas Penyuluh Pertanian Lapangan (Satuan Orang, Paket, Lembar ) 100% PENANGGULANGAN BENCANA DAERAH Program Pencegahan Dini dan Penanggulangan Korban Bencana Alam Meningkatnya kesadaran masyarakat terhadap pencegahan dini dan penanggulangan korban bencana alam 50% SKPD Pengampu BPBD Adanya sistem deteksi dini pada daerah-daerah yang rawan bencana 50% SKPD Pengampu BPBD Adanya sistem evakuasi terhadap korban bencana (Selter, Sarana dan Prasarana, serta Logistik) 50% SKPD Pengampu BPBD PEMBERDAYAAN MASYARAKAT DAN DESA ProgramPeningkatan Keberdayaan Termotivasinya masyarakat untuk meningkatkan keberdayaannya 79 desa/ kel SKPD Pengampu Pemberdayaan Masyarakat
  • 93.
    90 Bidang urusan Pemerintahandan Program Prioritas Pembangunan Indikator Kinerja Program (Outcome) SKPD Penanggung Jawab Target 1 2 4 6 Masyarakat Pedesaan Dalam membangun Desa Program Peningkatan Partisipasi masyarakat dalam membangun Desa Termotivasinya masyarakat untuk berperan serta membangun desa 79 desa/ kel Program Penyelenggaraan Disseminasi Informasi bagi Masyarakat Berfungsinya lembaga pemberdayaan masyarakat di kecamatan, desa/kel 6 kec, 79 desa/ kel Program Peningkatan Keberdayaan perempuan Meningkatnya pengetahuan perempuan di desa dalam memberdayakan keluarga 79 desa/ kel Program Pengembangan Lembaga Ekonomi Pedesaan Meningkatnya Keterampilan Masyarakat dlm bidang Usaha. 79 desa/ kel KOMUNIKASI DAN INFORMATIKA Program Pengembangan Komunikasi, Informasi dan Media Massa Meningkatkan Pelayanan Sumber Informasi Pada Masyarakat 100 % SKPD Pengampu Komunikasi dan Informatika Program Pengkajian dan Penelitian Bidang Informasi dan Komunikasi Meningkatkan Pelayanan Sumber Informasi Pada Masyarakat 100 % Program Fasilitas Peningkatan SDM Bidang Komunikasi dan Informasi Meningkatkan Pelayanan Sumber Informasi Pada Masyarakat 100% URUSAN PILIHAN PERTANIAN TANAMAN PANGAN DAN HOLTIKULTURA
  • 94.
    91 Bidang urusan Pemerintahandan Program Prioritas Pembangunan Indikator Kinerja Program (Outcome) SKPD Penanggung Jawab Target 1 2 4 6 Program Pengembangan Tanaman Hias dan Hortikultura Meningkatnya produktivitas tanaman hias dan hortikultura 65 % SKPD Pengampu Pertanian Tanaman Pangan dan Holtikultura Program Pengembangan Sarana dan Prasarana Pertanian Terpenuhinya kebutuhan sarana dn prasarana pertanian 65 % Program Pengembangan Tanaman Pangan Meningktanya produktivitas tanaman pangan 65 % Program Peningkatan Kesejahteraan Petani Meningkatnya Kesejahteraan Petani 65% Program Peningkatan Pemasaran Hasil Pertanian Meningkatnya Nilai Produksi Hasil Pertanian 65% PARIWISATA Program pengembangan pemasaran pariwisata Terlaksananya promosi pariwisata di dalam dan diluar negeri 65 % SKPD Pengampu Periwisata Program pengembangan destinasi pariwisata Terwujudnya Padangsidimpuan menjadi kota tujuan wisata 60 % PERIKANAN DAN PETERNAKAN Program Pengembangan Sarana dan Prasarana Produksi Perikanan Terpenuhinya sarana dan prasarana produksi perikanan budidaya 65 % SKPD Pengampu Perikanan dan Peternakan Program Pengembangan Sarana dan Prasarana Pengolahan dan Peningkatan Mutu Pemasaran Hasil Perikanan Terpenuhinya sarana dan prasrana pengolahan dan peningkatan mutu pemasaran hasil perikanan 65 % Program Peningkatan Produksi Hasil Peternakan Meningkatnya Produksi Hasil Peternakan 65% Program Pencegahan dan Penanggulangan Penyakit Tetanggulanginya penyakit ternak di masyarakat 65%
  • 95.
    92 Bidang urusan Pemerintahandan Program Prioritas Pembangunan Indikator Kinerja Program (Outcome) SKPD Penanggung Jawab Target 1 2 4 6 ternak KEHUTANAN DAN PERKEBUNAN Program rehabilitasi hutan dan lahan Meningkatnya fungsi hutan dan lahan 65% SKPD Pengampu Kehutanan dan PerkebunanProgram pengembangan perkebunan lahan sempit Berkembangnya usaha perkebunan lahan sempit 65% PERDAGANGAN Program Peningkatan pengawasan peredaran Barang dan Jasa Terlaksannya pengawasan peredaran Barang dan Jasa 12 frek SKPD Pengampu Perdagangan Program Pengembangan Kelembagaan Kerjasama Kemitraan Tersedianya Peluang Pasar Komoditi Andalan 1 frek SKPD Pengampu Perdagangan Program Peningkatan Sistem dan Jaringan Informasi Perdagangan Terlaksnanya informasi harga kebutuhan pokok dan strategis lainnya 114 frek SKPD Pengampu Perdagangan Program Penyuluhan Peningkatan Disiplin Pedagang Kaki lima dan Asongan Terlaksannya Pembinaan Pedagang Kaki Lima dan Asongan 30 org SKPD Pengampu Perdagangan Program Pengembangan pasar dan Distribusi Barang/Produk Terciptanya Pasar Ramah, Segar dan Nyaman 6 SKPD Pengampu Pasar ProgramPendataan dan penetapan Retribusi Tercapainya Target Retribusi Daerah 6 SKPD Pengampu Pasar ProgramPemeliharaan Sarana dan Prasarana Pasar Terpeliharanya Sarana dan Prasarana Pasar 6 SKPD Pengampu Pasar ProgramPeningkatan Pelayanan Pasar/Sarana Pendukung Pasar Lainnya Terlaksannya Kegiatan Peningkatan Pelayanan Pasar 6 SKPD Pengampu Pasar
  • 96.
    93 Bidang urusan Pemerintahandan Program Prioritas Pembangunan Indikator Kinerja Program (Outcome) SKPD Penanggung Jawab Target 1 2 4 6 INDUSTRI Program Pengembangan dan Pelayanan Teknologi Industri (GKM) Terciptanya IKM sesuai Standart Mutu 5 SKPD Pengampu Perindustrian Program Perluasan Penerapan SNI untuk mendorong Daya Saing Industri Manufaktur Terujinya Mutu Air Kemasan Program Pengembangan Sistem Inovasi Teknologi Industri Diterimanya TPL Program Beasiswa ProgramPenyelenggaraan Promosi IKM Dikenalnya Produk IKM Kota Padangsidimpuan 2 ProgramPembinaan IKM Meningkatkan Mutu IKM 10 ProgramPeningkatan Mutu UKM Tersedinya Bantuan Peralatan 2
  • 97.
    64 Usulan Rencana Programdan Kegiatan Prioritas Daerah Kota Padangsidimpuan untuk Tahun Anggaran 2015 yang memuat program dan kegiatan beserta pagu indikatif sementara SKPD dikelompokkan menjadi tiga bidang pembahasan yang terdiri dari: 1. Bidang Pemerintahan 2. Bidang Ekonomi Pembangunan 3. Bidang Kesejahteraan Rakyat Pembidangan ini sesuai dengan struktur komisi yang ada di Dewan Perwakilan Rakyat Daerah Kota Padangsidimpuan dengan maksud agar dapat dihadiri anggota DPRD sesuai komisi masing-masing sehingga nantinya dapat tercipta keterpaduan dan keseragaman antara usulan kegiatan yang diajukan DPRD, pemerintah daerah, dan masyarakat dalam perencanaan dan penganggaran pemerintahan daerah. Rencana Kerja seluruh SKPD untuk Tahun Anggaran 2015 baik yang bersifat urusan wajib maupun urusan Pilihan akan disajikan pada Lampiran Rekapitulasi Rencana Program dan kegiatan Prioritas Daerah.
  • 98.
    95 BAB VI P EN U T U P Rencana Kerja Pembangunan Daerah (RKPD) Kota Padangsidimpuan Tahun 2015 ini merupakan acuan dan pedoman dalam rangka menyusun Rencana Anggaran Pendapatan Dan Belanja Daerah (RAPBD) atau Rencana Kerja Anggaran (RKA) bagi Satuan Kerja Perangkat Daerah (SKPD) di lingkungan Pemerintah Kota Padangsidimpuan untuk Tahun Anggaran 2015. RKPD disusun sebagai pedoman SKPD dalam melaksanakan tugas- tugas pemerintahan umum, tugas pembangunan dan tugas pelayanan kepada masyarakat dapat terlaksana secara holistik dan berkelanjutan, dengan menjalankan fungsi manajemen yang terintegrasi dan selalu mengutamakan koordinasi demi terlaksananya pembangunan yang menyeluruh, berkesinambungan dan berkelanjutan serta tepat sasaran. Koordinasi pembangunan tersebut dilakukan secara lintas sektor dan lintas daerah baik antar Kabupaten/Kota, Provinsi maupun Pusat dengan berpihak pada pemangku kepentingan pembangunan serta berlandaskan pada prinsip untuk mencapai kinerja yang dapat dipertanggungjawabkan kepada masyarakat. Selain itu perencanaan pembangunan secara hirarki telah disusun dengan melibatkan berbagai pihak yang berintikan proses komunikasi antar lembaga perencana dan antar lembaga perencana dengan pemangku kepentingan pembangunan dilakukan melalui forum regular yang telah terprogram dari tingkat Kecamatan (Musrenbang Kecamatan) hingga tingkat Kota (Musrenbang Kota). Apabila dalam pelaksanaan terjadi ketidaksesuaian terhadap target dan sasaran pembangunan yang telah ditetapkan dalam RKPD Kota Padangsidimpuan Tahun 2015 dapat dilakukan Perubahan sesuai dengan ketentuan peraturan yang berlaku. Rencana Kerja Pembangunan Daerah (RKPD) Kota Padangsidimpuan Tahun 2015 akan menjadi ukuran kinerja bagi Pemerintah Kota Padangsidimpuan khususnya SKPD yang selanjutnya akan dijabarkan dalam Rencana Kerja (Renja) SKPD agar pelaksanaan pembangunan dapat memenuhi harapan dan aspirasi masyarakat serta dapat memberikan pemecahan masalah mendesak bagi masyarakat pada tahun yang direncanakan. WALIKOTA PADANGSIDIMPUAN, ANDAR AMIN HARAHAP
  • 99.
    SKPD Jenis Keg TolokUkur Target Tolok Ukur Target Tolok Ukur Target 1/2/3 1/2/3 1/2/3 2 3 4 5 6 7 8 9 10 11 12 13 14 15 16 01 URUSAN WAJIB 1 01 BIDANG PENDIDIKAN 92.897.504.855 61.602.227.855 59.435.220.855 56.643.227.855 P1 PROGRAM PELAYANAN ADMINISTRASI PERKANTORAN Terselenggaranya Pelayanan Adm. Disdik 7.915.500.000 8.115.400.000 Penyediaan jasa surat menyurat Padangsidimpuan Terpenuhinya pelayanan jasa surat menyurat 100% Terpenuhinya pelayanan jasa surat menyurat 100% - - Dinas Pendidikan Penyediaan jasa komunikasi, sumber daya air dan listrik Padangsidimpuan Terpenuhinya pelayanan jasa komunikasi sumber daya air dan listrik 100% Terpenuhinya pelayanan jasa komunikasi sumber daya air dan listrik 100% 35.000.000 40.000.000 Dinas Pendidikan Penyediaan jasa pemeliharaan dan perijinan kendaraan dinas/operasional Padangsidimpuan Terpenuhinya jasa pemeliharaan dan perizinan kendaraan dinas/operasional 100% Terpenuhinya jasa pemeliharaan dan perizinan kendaraan dinas/operasional 100% 160.000.000 170.000.000 Dinas Pendidikan Penyediaan jasa kebersihan kantor Padangsidimpuan Terpenuhiny jasa kebersihan kantor 100% Terpenuhiny jasa kebersihan kantor 100% 82.500.000 90.000.000 Dinas Pendidikan Penyediaan alat tulis kantor Padangsidimpuan Terpenuhinya alat tulis kantor 100% Terpenuhinya alat tulis kantor 100% 180.000.000 203.400.000 Dinas Pendidikan Penyediaan barang cetakan dan penggandaan Padangsidimpuan Terpenuhinya barang cetakan dan penggandaan 100% Terpenuhinya barang cetakan dan penggandaan 100% 147.500.000 150.000.000 Dinas Pendidikan Penyediaan komponen instlasi listrik/penerangan bangunan kantor Padangsidimpuan Terpenuhinya komponen instlasi listrik/penerangan bangunan kantor 100% Terpenuhinya komponen instlasi listrik/penerangan bangunan kantor 100% 23.500.000 25.000.000 Dinas Pendidikan Penyediaan peralatan rumah tangga Padangsidimpuan Terpenuhinya peralatan rumah tangga kantor 100% Terpenuhinya peralatan rumah tangga kantor 100% 25.500.000 30.000.000 Dinas Pendidikan Penyediaan bahan bacaan dan peraturan perundang- undangan Padangsidimpuan Terpenuhinya bahan bacaan dan peraturan perundang-undangan 100% Terpenuhinya bahan bacaan dan peraturan perundang-undangan 100% 40.500.000 45.000.000 Dinas Pendidikan Penyediaan Jasa Keamanan Kantor 105.000.000 110.000.000 Perlombaan Dalam Rangka Hardiknas 128.500.000 135.000.000 Penyediaan makanan dan minuman Padangsidimpuan Terpenuhinya makanan dan minuman 100% Terpenuhiny makanan dan minuman 100% 6.707.000.000 6.907.000.000 Dinas Pendidikan penyediaan jasa administrasi Perkantoran Padangsidimpuan Terpenuhinya pelayanan jasa administrasi perkantoran 100% Terpenuhinya pelayanan jasa administrasi perkantoran 100% 105.500.000 110.000.000 Dinas Pendidikan Penyelenggaraan Perayaan Hari Pendidikan Nasional (Hardiknas) Padangsidimpuan Terpenuhiny kegiatan Hardiknas 100% Terpenuhiny kegiatan Hardiknas 100% 100.000.000 100.000.000 Dinas Pendidikan Pengadaan Komputer PC Kantor Dinas Pendidikan Padangsidimpuan Terpenuhinya pengadaan Komputer 100% Terpenuhinya pengadaan Komputer 100% 75.000.000 - Dinas Pendidikan PROGRAM PENINGKATAN SARANA DAN PRASARANA APARATUR Terpenuhinya Kebutuhan Sarana & Prasarana Disdik 933.000.000 209.000.000 Pengadaan Peralatan Gedung Kantor Padangsidimpuan Terpenuhinya peralatan gedung kantor 100% Terpenuhinya peralatan gedung kantor 100% 60.000.000 65.000.000 Dinas Pendidikan Pemeliharaan Rutin/Berkala Peralatan Gedung Kantor 63.500.000 65.000.000 Pemeliharaan Rutin/Berkala Gedung Kantor Padangsidimpuan Terselenggarakannya pemeliharaan rutin/berkala gedung kantor 100% Terselenggarakannya pemeliharaan rutin/berkala gedung kantor 100% 15.000.000 20.000.000 Dinas Pendidikan 1 Rencana Program dan Kegiatan Prioritas Daerah Tahun 2015 Kota Padangsidimpuan Nomor Urusan/Bidang Urusan Pemerintahan Daerah Dan Program/Kegiatan Prioritas Daerah Sasaran Daerah Lokasi Indikator kinerja Pagu Indikatif Prakiraan Maju Keterangan Ket Hasil Program Keluaran Kegiatan Hasil Kegiatan Rencana Program dan Kegiatan Prioritas Tahun 2015 Bidang Pendidikan Lembar : 1 dari 87
  • 100.
    SKPD Jenis Keg TolokUkur Target Tolok Ukur Target Tolok Ukur Target 1/2/3 1/2/3 1/2/3 2 3 4 5 6 7 8 9 10 11 12 13 14 15 161 Nomor Urusan/Bidang Urusan Pemerintahan Daerah Dan Program/Kegiatan Prioritas Daerah Sasaran Daerah Lokasi Indikator kinerja Pagu Indikatif Prakiraan Maju Keterangan Ket Hasil Program Keluaran Kegiatan Hasil Kegiatan Pemeliharaan Rutin/Berlaka Mebeleur Padangsidimpuan Terlaksananya pemeliharaan rutin/berkala mobiler 100% Terlaksananya pemeliharaan rutin/berkala mobiler 100% 10.000.000 15.000.000 Dinas Pendidikan Monitoring/Survey Lapangan Padangsidimpuan Terlaksananya kegiatan monitoring/survey lapangan 100% Terlaksananya kegiatan monitoring/survey lapangan 100% 34.500.000 44.000.000 Dinas Pendidikan Pengadaan Proyektor Infocus Pendidikan Sekolah Dasar Padangsidimpuan Terlaksananya pengadaan proyektor infocus 100% Terlaksananya pengadaan proyektor infocus 100% 750.000.000 - Dinas Pendidikan PROGRAM PENINGKATAN DISIPLIN APARATUR 73.500.000 75.000.000 Pengadaan Pakaian Khusus Hari-hari Tertentu 73.500.000 75.000.000 PROGRAM PENINGKATAN KAPASITAS SUMBER DAYA APARATUR Terselenggaranya Pelayanan Kapasitas Sumber Daya Aparatur 617.000.000 630.000.000 Bimbingan Tekhnis Implementasi Peraturan Perundang-undangan 327.000.000 335.000.000 Pendidikan dan Pelatihan Formal Terselenggaranya Diklat Formal 100% Terselenggaranya Diklat Formal 100% 290.000.000 295.000.000 Dinas Pendidikan PROGRAM PENINGKATAN PENGEMBANGAN SISTEM PELAPORAN CAPAIAN KINERJA DAN KEUANGAN 57.000.000 60.000.000 Penyediaan Penyusunan RKA SKPD 28.500.000 30.000.000 Penyediaan Penyusunan Renja 28.500.000 30.000.000 PROGRAM PENDIDIKAN ANAK USIA DINI Tercapainya APK PAUD 2.880.425.000 1.841.425.000 Pemeliharaan rutin/berkala bangunan sekolah Padangsidimpuan Tersedianya unit Pendidikan Anak Usia Dini (PAUDNI) 100% Tersedianya unit Pendidikan Anak Usia Dini (PAUDNI) 100% 30.000.000 30.000.000 Dinas Pendidikan Penyelenggaraan Pendidikan Anak Usia Dini Padangsidimpuan Mempermudah jangkauan layanan pendidikan anak usia dini 100% Mempermudah jangkauan layanan pendidikan anak usia dini 100% 300.000.000 300.000.000 Dinas Pendidikan Penyelenggeraan program Desa Vokasi Di Bidang PLS 185.000.000 190.000.000 Operasional Penyelenggaraan TK Negeri Padangsidimpuan Meningkanya prosentase sarana dan parasarana PAUD kondisi baik 100% Meningkanya prosentase sarana dan parasarana PAUD kondisi baik 100% 46.000.000 46.000.000 Dinas Pendidikan Pemeliharaan rutin/berkala alat rumah tangga sekolah Padangsidimpuan Terpeliharanya peralatan rumah tangga sekolah 100% Terpeliharanya peralatan rumah tangga sekolah 100% 8.000.000 8.000.000 Dinas Pendidikan penyelenggeraan program PAUD binaan PKK 45.500.000 50.000.000 penyelenggeraan kegiatan anak usia Pra TK 50.000.000 55.000.000 Lomba Olah Raga Usia Dini Padangsidimpuan Terselenggaranya lomba olah raga usia dini 100% Terselenggaranya lomba olah raga usia dini 100% 109.150.000 109.150.000 Dinas Pendidikan Pelaksanaan Magang Dalam Rangka Peningkatan Mutu PTK-PAUDNI UPTD-SKB Padangsidimpuan Terselenggaranya magang dalam rangka peningkatan mutu mutu PAUDNI 100% Terselenggaranya magang dalam rangka peningkatan mutu mutu PAUDNI 100% 23.000.000 23.000.000 Dinas Pendidikan Pengadaan Alat Peraga TK Pertiwi 55.000.000 60.000.000 Bantuan Dana Operasional UT S1 Pada Guru PAUD Padangsidimpuan Tersedianya dana operasional UT S1 Guru PAUD 100% Tersedianya dana operasional UT S1 Guru PAUD 100% 210.000.000 210.000.000 Dinas Pendidikan Penyelenggaraan Pendidikan Anak Usia Dini Satuan Sejenis Padangsidimpuan Terselenggaranya pendidikan anak usia dini satuan sejenis 100% Terselenggaranya pendidikan anak usia dini satuan sejenis 100% 27.000.000 27.000.000 Dinas Pendidikan Rencana Program dan Kegiatan Prioritas Tahun 2015 Bidang Pendidikan Lembar : 2 dari 87
  • 101.
    SKPD Jenis Keg TolokUkur Target Tolok Ukur Target Tolok Ukur Target 1/2/3 1/2/3 1/2/3 2 3 4 5 6 7 8 9 10 11 12 13 14 15 161 Nomor Urusan/Bidang Urusan Pemerintahan Daerah Dan Program/Kegiatan Prioritas Daerah Sasaran Daerah Lokasi Indikator kinerja Pagu Indikatif Prakiraan Maju Keterangan Ket Hasil Program Keluaran Kegiatan Hasil Kegiatan Penyelenggaraan Program Taman kanak-Kanak (TK) Padangsidimpuan Terselenggaranya program taman kanak-kanak 100% Terselenggaranya program taman kanak-kanak 100% 299.675.000 299.675.000 Dinas Pendidikan Penyelenggaraan Program Desa Vokasi Padangsidimpuan Terselenggaranya program desa vokasi 100% Terselenggaranya program desa vokasi 100% 25.000.000 25.000.000 Dinas Pendidikan Pengembangan Kurikulum Bahan Ajar Pendidik Tenaga Kependidikan Guru TK Padangsidimpuan 100% 100% 22.000.000 22.000.000 Dinas Pendidikan Penyelenggaraan Program Taman Penitipan Anak Padangsidimpuan Terselenggaranya program taman penitipan anak 100% Terselenggaranya program taman penitipan anak 100% 30.000.000 30.000.000 Dinas Pendidikan Pendidikan Satuan PAUD Sejenis di Bidang PLS Padangsidimpuan 100% 100% 50.000.000 50.000.000 Dinas Pendidikan Penyelenggeraan Program TK Pertiwi 20.000.000 20.000.000 Implementasi Kurikulum 2013 Tingkat TK 168.500.000 170.000.000 Lomba Kreatifitas Anak PAUD Padangsidimpuan Terselenggaranya lomba kreatifitas anak PAUD 100% Meningkatnya kreatifitas anak PAUD 100% 50.000.000 50.000.000 Dinas Pendidikan Pelaksanaan magang Pendidik Tenaga Kependidikan TK Padangsidimpuan Terlaksananya magang Pendidik Tenaga Kependidikan TK 100% Terlaksananya magang Pendidik Tenaga Kependidikan TK 100% 56.550.000 56.550.000 Dinas Pendidikan Penyelenggaraan Hari Anak Nasional Padangsidimpuan Terselenggaranya Hari Anak Nasional 100% Terselenggaranya Hari Anak Nasional 100% 10.050.000 10.050.000 Dinas Pendidikan Pembangunan RKB PAUD Al-Zahra Salambue Padangsidimpuan Tenggara Padangsidimpuan Meningkatknya kualitas sarana prasarana sekolah 100% Meningkatknya kualitas sarana prasarana sekolah 100% 420.000.000 - Dinas Pendidikan Pembangunan RKB PAUD Al-Musharofah Padangsidimpuan Utara Padangsidimpuan Meningkatknya kualitas sarana prasarana sekolah 100% Meningkatknya kualitas sarana prasarana sekolah 100% 420.000.000 - Dinas Pendidikan Pengadaan Meubeleur PAUD Al-Zahra Salambue Padangsidimpuan Tenggara Padangsidimpuan Meningkatknya kualitas sarana prasarana sekolah 100% Meningkatknya kualitas sarana prasarana sekolah 100% 180.000.000 - Dinas Pendidikan Pembangunan MCK PAUD Al-Zahra Padangaidimpuan Tenggara Padangsidimpuan Meningkatknya kualitas sarana prasarana sekolah 100% Meningkatknya kualitas sarana prasarana sekolah 100% 40.000.000 - Dinas Pendidikan PROGRAM WAJIB BELAJAR PENDIDIKAN DASAR SEMBILAN TAHUN Tercapainya APM SD/MI 21.005.526.985 19.829.953.985 Pengadaan Mebeluer Sekolah Padangsidimpuan Tercapainya APM SMP/MTs 100% Tercapainya APM SMP/MTs 100% 600.000.000 600.000.000 Dinas Pendidikan Rehabilitasi Sedang/Berat Bangunan Sekolah Padangsidimpuan Tercapainya APK SD/MI 100% Tercapainya APK SD/MI 100% 11.931.154.785 11.931.154.785 Dinas Pendidikan Penyediaan Operasional Tim Manajemen Bantuan Operasional Sekolah (BOS) Jenjang SD/MI/SDLB dan SMP/MTS Serta Pesantren Salafiyah dan Satuan Pendidikan Non-Islam Setara SD dan SMP Padangsidimpuan Tercainya APK SMP/MTs 100% Tercainya APK SMP/MTs 100% 355.000.000 360.000.000 Dinas Pendidikan Penyelenggaraan Paket A Setara SD Padangsidimpuan Meningkatnya Kualitas SDM 100% Meningkatnya Kualitas SDM 100% 64.940.000 64.940.000 Dinas Pendidikan Penyelenggaraan Paket B Setara SMP Padangsidimpuan Meningkatnya Kualitas SDM 100% Meningkatnya Kualitas SDM 100% 142.500.000 150.000.000 Dinas Pendidikan Pemeliharaan Bangunan SMP Padangsidimpuan Meningkatnya Pelayanan Aksebilitas Sarana & Prasarana Pendidikan 100% Meningkatnya Pelayanan Aksebilitas Sarana & Prasarana Pendidikan 100% 264.000.000 264.000.000 Dinas Pendidikan Penyediaan Peralatan UAS pada SDN/Swasta Padangsidimpuan Tersedianya Peralatan UAS Tingkat SD 100% Tersedianya Peralatan UAS Tingkat SD 100% 55.500.000 60.000.000 Dinas Pendidikan Pemeliharan alat rumah tangga SMP Padangsidimpuan Meningkatnya Kualitas Sarana & Prasarana SMP 100% Meningkatnya Kualitas Sarana & Prasarana SMP 100% 79.200.000 79.200.000 Dinas Pendidikan Uji Komputerisasi Kelas VI SD Negeri/Swasta Padangsidimpuan Meningkatnya kualitas SDM 100% Meningkatnya kualitas SDM 100% 62.000.000 65.000.000 Dinas Pendidikan Olimpiade SD Padangsidimpuan Meningkatnya kualitas SDM Anak SD 100% Meningkatnya kualitas SDM Anak SD 100% 85.000.000 85.000.000 Dinas Pendidikan Pengiriman Peserta olimpiade SD Padangsidimpuan Meningkatnya kualitas SDM Anak SD 100% Meningkatnya kualitas SDM Anak SD 100% 24.548.000 24.548.000 Dinas Pendidikan Penyeleenggaraan UAS SD Padangsidimpuan Terlasananya Penyelenggaraan UAS Tingkat SD/MI 100% Terlasananya Penyelenggaraan UAS Tingkat SD/MI 100% 490.000.000 500.000.000 Dinas Pendidikan Rencana Program dan Kegiatan Prioritas Tahun 2015 Bidang Pendidikan Lembar : 3 dari 87
  • 102.
    SKPD Jenis Keg TolokUkur Target Tolok Ukur Target Tolok Ukur Target 1/2/3 1/2/3 1/2/3 2 3 4 5 6 7 8 9 10 11 12 13 14 15 161 Nomor Urusan/Bidang Urusan Pemerintahan Daerah Dan Program/Kegiatan Prioritas Daerah Sasaran Daerah Lokasi Indikator kinerja Pagu Indikatif Prakiraan Maju Keterangan Ket Hasil Program Keluaran Kegiatan Hasil Kegiatan Pesantren Kilat SMP/MTs Padangsidimpuan Meningkatnya kualitas SDM Anak SMP/MTs 100% Meningkatnya kualitas SDM Anak SMP/MTs 100% 106.000.000 106.000.000 Dinas Pendidikan Pesantren Kilat SD/MI Padangsidimpuan Meningkatnya kualitas SDM Anak SD/MI 100% Meningkatnya kualitas SDM Anak SD/MI 100% 149.877.500 149.877.500 Dinas Pendidikan Pelaksanaan try out tingkat SMP/MTs Padangsidimpuan Meningkatnya kualitas SDM Anak Usia SMP/MTs 100% Meningkatnya kualitas SDM Anak Usia SMP/MTs 100% 83.500.000 90.000.000 Dinas Pendidikan Pelaksanaan UN/US tingkat SMP/MTs di Dinas Pendidikan Padangsidimpuan Terselenggaranya UN/US SMP/Mts di Dinas Pendidikan 100% Terselenggaranya UN/US SMP/Mts di Dinas Pendidikan 100% 200.000.000 245.400.000 Dinas Pendidikan Pelaksanaan UN/US tingkat SMP/MTs Padangsidimpuan Terselenggaranya UN/US SMP/Mts 100% Terselenggaranya UN/US SMP/Mts 100% 575.000.000 580.000.000 Dinas Pendidikan Pengadaan alat tulis siswa UN/US tingkat SMP/MTs Padangsidimpuan Tersedianya Peralatan UN/US Tingkat SMP/Mts 100% Tersedianya Peralatan UN/US Tingkat SMP/Mts 100% 46.749.500 46.749.500 Dinas Pendidikan Olimpiade SMP 183.000.000 185.000.000 Pelatihan Kompetensi Kepala Sekolah Tk/SD Padangsidimpuan Meningkatnya kualitas SDM Kepala Sekolah 100% Meningkatnya kualitas SDM Kepala Sekolah 100% 75.365.000 75.365.000 Dinas Pendidikan Pelaksanaan seleksi dan pengiriman peserta O2SN SMP/MTs Padangsidimpuan terselenggaranya Keg Seleksi & Pengiriman O2SN SMP/MTs 100% terselenggaranya Keg Seleksi & Pengiriman O2SN SMP/MTs 100% 89.000.000 90.000.000 Dinas Pendidikan Pelaksanaan seleksi dan pengiriman peserta OSN SMP/MTs Padangsidimpuan terselenggaranya Keg Seleksi & Pengiriman OSN SMP/MTs 100% terselenggaranya Keg Seleksi & Pengiriman OSN SMP/MTs 100% 36.500.000 40.000.000 Dinas Pendidikan Penyelenggaraan Program S1 PGSD Lanjutan Padangsidimpuan Meningkatnya Kwalifiakasi PTK Tingkat SD 100% Meningkatnya Kwalifiakasi PTK Tingkat SD 100% 74.170.000 74.170.000 Dinas Pendidikan Lomba Kreatifitas Anak TK Padangsidimpuan Meningkatnya kualitas SDM & Kreatifitas Anak TK 100% Meningkatnya kualitas SDM & Kreatifitas Anak TK 100% 46.000.000 46.000.000 Dinas Pendidikan Lomba Kreatifitas Anak SD Padangsidimpuan Meningkatnya kualitas SDM & Kreatifitas Anak SD 100% Meningkatnya kualitas SDM & Kreatifitas Anak SD 100% 60.000.000 60.000.000 Dinas Pendidikan Lomba Kreatifitas Guru TK Padangsidimpuan Meningkatnya kualitas SDM & Kreatifitas Guru TK 100% Meningkatnya kualitas SDM & Kreatifitas Guru TK 100% 45.500.000 45.500.000 Dinas Pendidikan Sosialisasai alat peraga IPA/Matematika/Bahasa Indonesia Padangsidimpuan Meningkatnya SDM guru dlm pemanfaatan alat praga 100% Meningkatnya SDM guru dlm pemanfaatan alat praga 100% 42.985.000 42.985.000 Dinas Pendidikan Pemberian penghargaan kepada Juara Ujian Nasional Tingkat Kota Padangsidimpuan Meningkatnya motivasi belajar anak tk.SD 100% Meningkatnya motivasi belajar anak tk.SD 100% 15.905.000 15.905.000 Dinas Pendidikan Pemberian penghargaan kepada juara Olimpiade SD Tingkat Rayon Padangsidimpuan Meningkatnya motivasi belajar anak tk.SD 100% Meningkatnya motivasi belajar anak tk.SD 100% 23.505.000 23.505.000 Dinas Pendidikan Pengadaan Buku Raport Tingkat SD/SMP Negeri/Swasta Padangsidimpuan Tersedianya Buku Laporan Pendidikan SD dan SMP 100% Tersedianya Buku Laporan Pendidikan SD dan SMP 100% 153.500.000 160.000.000 Dinas Pendidikan Pemberian Penghargaan (reeword) kepada Pemenang O2SN Padangsidimpuan Meningkatnya Motivasi Belajar Siswa 100% Meningkatnya Motivasi Belajar Siswa 100% 47.700.000 47.700.000 Dinas Pendidikan Ujian Akhir Semester Berstandar Nasional Pend. Agama Tingkat SMP/MTs Padangsidimpuan Terlaksananya UAS Berstandar Nasional Pend. Agama tk. SMP/MTs 100% Terlaksananya UAS Berstandar Nasional Pend. Agama tk. SMP/MTs 100% 82.376.000 82.376.000 Dinas Pendidikan Lomba Menulis Cerita Tingkat Sekolah Dasar Padangsidimpuan Meningkatnya SDM dan Kreativitas Tingkat SD 100% Meningkatnya SDM dan Kreativitas Tingkat SD 100% 40.000.000 40.000.000 Dinas Pendidikan Tes Mutu Pendidikan Padangsidimpuan Meningkatnya kualitas Mutu dan Layanan Pendidikan 100% Meningkatnya kualitas Mutu dan Layanan Pendidikan 100% 34.475.600 34.475.600 Dinas Pendidikan Tes Kemampuan Dasar Guru Sekolah Dasar Padangsidimpuan Terukurnya Kemampuan Dasar guru Tingkat SD 100% Terukurnya Kemampuan Dasar guru Tingkat SD 100% 34.611.600 34.611.600 Dinas Pendidikan Pendidikan dan Pelatihan Calon Kepala Sekolah SD Negeri Padangsidimpuan Tersedianya Kualitas Calon Kasek berstandar (Sesuai SPM) 100% Tersedianya Kualitas Calon Kasek berstandar (Sesuai SPM) 100% 135.600.000 135.600.000 Dinas Pendidikan Pemilihan Kepala Sekolah SD/MI Berprestasi tingkat kota Padangsidimpuan Meningkatnya Kualitas Kepala Sekolah 100% Meningkatnya Kualitas Kepala Sekolah 100% 54.775.000 54.775.000 Dinas Pendidikan Pemilihan Guru SD/MI Berprestasi tingkat kota Padangsidimpuan Meningkatnya Kualitas PTK 100% Meningkatnya Kualitas PTK 100% 44.970.000 44.970.000 Dinas Pendidikan Pemilihan Pengawas SD/MI Berprestasi Padangsidimpuan Meningkatnya Kualitas Pengawas Sekolah 100% Meningkatnya Kualitas Pengawas Sekolah 100% 35.643.000 35.643.000 Dinas Pendidikan Peningkatan Mutu Pendidikan dan Tenaga Kependidikan Kelompok Kerja Guru SD Padangsidimpuan Meningkatnya Mutu Pendidikan dan Tenaga Kependidikan pokja Guru SD 100% Meningkatnya Mutu Pendidikan dan Tenaga Kependidikan pokja Guru SD 100% 148.404.000 148.404.000 Dinas Pendidikan Rencana Program dan Kegiatan Prioritas Tahun 2015 Bidang Pendidikan Lembar : 4 dari 87
  • 103.
    SKPD Jenis Keg TolokUkur Target Tolok Ukur Target Tolok Ukur Target 1/2/3 1/2/3 1/2/3 2 3 4 5 6 7 8 9 10 11 12 13 14 15 161 Nomor Urusan/Bidang Urusan Pemerintahan Daerah Dan Program/Kegiatan Prioritas Daerah Sasaran Daerah Lokasi Indikator kinerja Pagu Indikatif Prakiraan Maju Keterangan Ket Hasil Program Keluaran Kegiatan Hasil Kegiatan Implementasi Kurikulum Tingkat SD Padangsidimpuan Terlaksananya implementasi Kurikulum tk. SD 100% Terlaksananya implementasi Kurikulum tk. SD 100% 266.237.000 266.237.000 Dinas Pendidikan Implementasi Kurikulum Tingkat SMP Padangsidimpuan Terlaksananya implementasi Kurikulum tk. SMP 100% Terlaksananya implementasi Kurikulum tk. SMP 100% 61.160.000 61.160.000 Dinas Pendidikan Bimbingan teknis e-learning Pembelajaran Tingkat SD Padangsidimpuan Terlaksananya Bimtek e-learning Pembelajaran tk. SD 100% Terlaksananya Bimtek e-learning Pembelajaran tk. SD 100% 75.500.000 106.337.000 Dinas Pendidikan Baca Tulis Hitung (Calistung) Tingkat SD Padangsidimpuan Terlaksananya Calistung tk. SD 100% Terlaksananya Calistung tk. SD 100% 63.500.000 65.000.000 Dinas Pendidikan Perlombaan Cerdas Cermat Tingkat SD Padangsidimpuan Terlaksananya perlombaan cerdas cermat tk.SD 100% Terlaksananya perlombaan cerdas cermat tk.SD 100% 100.000.000 110.000.000 Dinas Pendidikan Pelatihan Pemanfaatan IT Bagi Guru SD Padangsidimpuan Terlaksananya Pelatihan Pemanfaatan IT 100% Terlaksananya Pelatihan Pemanfaatan IT 100% 92.805.000 92.805.000 Dinas Pendidikan Seleksi Pengiriman Peserta FL2SN SMP Padangsidimpuan Terlaksananya seleksi dan pengiriman peserta FL2SN 100% Terlaksananya seleksi dan pengiriman peserta FL2SN 100% 54.595.000 54.595.000 Dinas Pendidikan Pembinaan Peserta Olimpiade Sains Nasional SMP Padangsidimpuan Terlaksananya pembinaan peserta olimpiade sains nasional SMP 100% Terlaksananya pembinaan peserta olimpiade sains nasional SMP 100% 176.600.000 176.600.000 Dinas Pendidikan Diklat Calon Kepala Sekolah Tingkat SMP Padangsidimpuan Tersedianya Kualitas Calon Kasek berstandar (Sesuai SPM) 100% Tersedianya Kualitas Calon Kasek berstandar (Sesuai SPM) 100% 228.365.000 228.365.000 Dinas Pendidikan Pembinaan Peserta Olimpiade Sains Nasional Tingkat Sekolah Dasar Padangsidimpuan Terlaksananya pembinaan peserta olimpiade sains nasional SD 100% Terlaksananya pembinaan peserta olimpiade sains nasional SD 100% 250.000.000 250.000.000 Dinas Pendidikan Pengadaan Sarana Air Bersih Tingkat Sekolah Dasar Padangsidimpuan Meningkatnya Kualitas Sarana & Prasarana sekolah 100% Meningkatnya Kualitas Sarana & Prasarana sekolah 100% 500.000.000 250.000.000 Dinas Pendidikan Pembangunan MCK Tingkat Sekolah Dasar Padangsidimpuan Meningkatnya Kualitas Sarana & Prasarana sekolah 100% Meningkatnya Kualitas Sarana & Prasarana sekolah 100% 567.810.000 250.000.000 Dinas Pendidikan Optimalisasi Kurikulum Pendidikan Dasar Tahun 2013 Padangsidimpuan Terlaksananya Optimalisasi Kurikulum Dikdas Tahun 2013 100% Terlaksananya Optimalisasi Kurikulum Dikdas Tahun 2013 100% 250.000.000 250.000.000 Dinas Pendidikan Rehabilitasi Gedung MDA Kota Padangsidimpuan Padangsidimpuan Meningkatnya Kualitas Sarana & Prasarana sekolah 100% Meningkatnya Kualitas Sarana & Prasarana sekolah 100% 1.500.000.000 750.000.000 Dinas Pendidikan PROGRAM PENDIDIKAN MENENGAH Tercapainya APM SMA/SMK//MA 20.802.049.870 20.836.729.870 Pembangunan Gedung Sekolah Padangsidimpuan Meningkatnya Standar Srana Prasarana Sekolah 100% Meningkatnya Standar Srana Prasarana Sekolah 100% 343.550.000 343.550.000 Dinas Pendidikan Rehabilitasi Sedang/Berat Bangunan Sekolah 7.140.000.000 7.140.000.000 Pememliharaan rutin/berkala bangunan sekolah Padangsidimpuan Meningkatnya Standar Srana Prasarana Sekolah 100% Meningkatnya Standar Srana Prasarana Sekolah 100% 501.000.000 501.000.000 Dinas Pendidikan Pememliharaan rutin/berkala alat rumah tangga sekolah Padangsidimpuan Meningkatnya Standar Srana Prasarana Sekolah 100% Meningkatnya Standar Srana Prasarana Sekolah 100% 199.000.000 199.000.000 Dinas Pendidikan Penyelenggaraan Paket C setara SMU Padangsidimpuan Meningkatnya Kualitas SDM 100% Meningkatnya kualitas SDM 100% 125.000.000 130.000.000 Dinas Pendidikan Penyelenggaraan Pesantren Kilat SMA dan SMK Padangsidimpuan Meningkatnya Kualitas SDM Anak SMA/SMK 100% Meningkatnya Kualitas SDM Anak SMA/SMK 100% 106.000.000 106.000.000 Dinas Pendidikan Pelaksanaan UN/US tingkat SMA/SMK/MA Padangsidimpuan Terselenggaranya UN/US SMA/SMK/MA 100% Terselenggaranya UN/US SMA/SMK/MA 100% 620.000.000 620.000.000 Dinas Pendidikan Pelaksanaan UN/US tingkat SMA/SMK/MA di Dinas Pendidikan Padangsidimpuan Terselenggaranya UN/US SMA/SMK/MA di Dinas Pendidikan 100% Terselenggaranya UN/US SMA/SMK/MA di Dinas Pendidikan 100% 321.800.000 321.800.000 Dinas Pendidikan Pengadaan alat tulis siswa UN/US tingkat SMA/SMK/MA Padangsidimpuan Tersedianya Peralatan UN/US Tingkat SMA/SMK/MA 100% Tersedianya Peralatan UN/US Tingkat SMA/SMK/MA 100% 57.570.000 57.570.000 Dinas Pendidikan Pelaksanaan try out tingkat SMA/SMK/MA Padangsidimpuan Meningkatnya kemampuan SDM Siswa 100% Meningkatnya kemampuan SDM Siswa 100% 100.000.000 100.000.000 Dinas Pendidikan Penerimaan Siswa Baru SMA dan SMK Padangsidimpuan Terselelnggaranya Penerimaan Siswa Baru SMA dan SMK 100% Terselelnggaranya Penerimaan Siswa Baru SMA dan SMK 100% 175.000.000 175.000.000 Dinas Pendidikan Implementasi Kurikulum Tingkat SMA dan SMK 365.000.000 370.000.000 Penngadaan Alat Tulis Siswa Ujian Nasional/Ujian Sekolah Tingkat SMA/SMK/MA 60.000.000 60.000.000 Rencana Program dan Kegiatan Prioritas Tahun 2015 Bidang Pendidikan Lembar : 5 dari 87
  • 104.
    SKPD Jenis Keg TolokUkur Target Tolok Ukur Target Tolok Ukur Target 1/2/3 1/2/3 1/2/3 2 3 4 5 6 7 8 9 10 11 12 13 14 15 161 Nomor Urusan/Bidang Urusan Pemerintahan Daerah Dan Program/Kegiatan Prioritas Daerah Sasaran Daerah Lokasi Indikator kinerja Pagu Indikatif Prakiraan Maju Keterangan Ket Hasil Program Keluaran Kegiatan Hasil Kegiatan Jalur Penelusuran Minat dan Prestasi Padangsidimpuan Meningkatnya Presentase Lulusan di PTN 100% Meningkatnya Presentase Lulusan di PTN 100% 280.000.000 280.000.000 Dinas Pendidikan Operasi Ketertiban Siswa (Ops. Syang) Padangsidimpuan Terlaksananya Operasi Sayang 100% Terlaksananya Operasi Sayang 100% 55.000.000 62.180.000 Dinas Pendidikan Pelaksanaan seleksi dan pengiriman peserta O2SN SMA Padangsidimpuan Terlaksananya seleksi dan pengiriman peserta O2SN SMA 100% Terlaksananya seleksi dan pengiriman peserta O2SN SMA 100% 62.500.000 65.000.000 Dinas Pendidikan Pelaksanaan seleksi dan pengiriman peserta OSN SMA Padangsidimpuan Terlaksananya seleksi dan pengiriman peserta OSN SMA 100% Terlaksananya seleksi dan pengiriman peserta OSN SMA 100% 55.000.000 60.000.000 Dinas Pendidikan Bimbingan Test Masuk Perguruan Tinggi Padangsidimpuan Meningkatnya Presentase Lulusan di PTN 100% Meningkatnya Presentase Lulusan di PTN 100% 100.790.000 100.790.000 Dinas Pendidikan Lomba Ketrampilan Siswa (LKS) Padangsidimpuan Meningkatnya Kemampuan dan Ketrampilan Siswa 100% Meningkatnya Kemampuan dan Ketrampilan Siswa 100% 46.505.000 46.505.000 Dinas Pendidikan Seleksi dan pengiriman FLS2N Padangsidimpuan Terselenggaranya Keg seleksi dan pengiriman FLS2N 100% Terselenggaranya Keg seleksi dan pengiriman FLS2N 100% 54.220.000 54.220.000 Dinas Pendidikan Pengadaan Buku Raport Siswa SMA/SMK Negeri/Swasta Padangsidimpuan Tersedianya Buku Laporan Pendidikan Tingkat SMA/SMK Negeri/Swasta 100% Tersedianya Buku Laporan Pendidikan Tingkat SMA/SMK Negeri/Swasta 100% 152.500.000 160.000.000 Dinas Pendidikan Gebyar SMK Negeri/Swasta Padangsidimpuan Terlaksananya gebyar SMK 100% Terlaksananya gebyar SMK 100% 83.130.000 83.130.000 Dinas Pendidikan Olimpiade Guru Mata Pelajaran Padangsidimpuan Meningkatnya kualitas SDM PTK SMA/SMK 100% Meningkatnya kualitas SDM PTK SMA/SMK 100% 51.920.000 51.920.000 Dinas Pendidikan Ujian Akhir Semester berstandar nasional Pend. Agama tingkat SMA/MA dan SMK Padangsidimpuan Terselenggaranya UAS berstandar nasional Pend. Agama tk. SMA/MA dan SMK 100% Terselenggaranya UAS berstandar nasional Pend. Agama tk. SMA/MA dan SMK 100% 92.500.000 95.000.000 Dinas Pendidikan Rehabilitasi sedang/berat bangunan sekolah Padangsidimpuan Meningkatnya kualitas Sarana dan Prasarana Sekolah 100% Meningkatnya kualitas Sarana dan Prasarana Sekolah 100% 5.377.659.870 5.377.659.870 Dinas Pendidikan Lomba Debat Bahasa Inggris Tingkat SMA Padangsidimpuan Meningkatnya Kualitas SDM Anak SMA/SMK 100% Meningkatnya Kualitas SDM Anak SMA/SMK 100% 40.270.000 40.270.000 Dinas Pendidikan Pembinaan Peserta Olimpiade Sains Nasional SMA Padangsidimpuan Terlaksananya pembinaan peserta olimpiade sains nasional SMP 100% Terlaksananya pembinaan peserta olimpiade sains nasional SMP 100% 367.100.000 367.100.000 Dinas Pendidikan Seleksi dan pengiriman Cerdas Cermat Empat Pilar Kebangsaan Padangsidimpuan Terlaksananya Seleksi dan pengiriman Cerdas Cermat Empat 100% Terlaksananya Seleksi dan pengiriman Cerdas Cermat Empat 100% 30.670.000 30.670.000 Dinas Pendidikan Diklat Calon Kepala Sekolah Tingkat SMA dan SMK Padangsidimpuan Tersedianya Kualitas Calon Kasek berstandar (Sesuai SPM) 100% Tersedianya Kualitas Calon Kasek berstandar (Sesuai SPM) 100% 228.365.000 228.365.000 Dinas Pendidikan Optimalisasi Kurikulum 2013 Tingkat SMA dan SMK Padangsidimpuan Terlaksananya Optimalisasi Kurikulum 2013 Tingkat SMA dan SMK 100% Terlaksananya Optimalisasi Kurikulum 2013 Tingkat SMA dan SMK 100% 250.000.000 250.000.000 Dinas Pendidikan Pembangunan RKB Satuan Sekolah SMA dan SMK Padangsidimpuan Meningkatnya Kualitas Sarana & Prasarana sekolah 100% Meningkatnya Kualitas Sarana & Prasarana sekolah 100% 3.360.000.000 3.360.000.000 Dinas Pendidikan PROGRAM PENDIDIKAN NON FORMAL Meningkatkan lulusan program kesetaraan yang bermutu (Paket A/B dan C) 1.884.350.000 1.900.350.000 Pengembangan pendidikan keaksaraan Padangsidimpuan Meningjkatnya Pelayanan Pendidikan Buta Aksara 100% Meningjkatnya Pelayanan Pendidikan Buta Aksara 100% 300.000.000 300.000.000 Dinas Pendidikan Pengembangan data dan informasi pendidikan non formal Padangsidimpuan Kwalifikasi Pendidikan PAUD Non Formal Terlatih 100% Kwalifikasi Pendidikan PAUD Non Formal Terlatih 100% 110.000.000 110.000.000 Dinas Pendidikan Monitoring, Evaluasi dan Pelaporan 485.000.000 485.000.000 Pengembangan kurikulum , bahan ajar dan model pembelajaran pendidikan non formal Padangsidimpuan Meningkatnya lembaga pendidikan luar sekolah (kursus kelembagaan yang berkualitas) 100% Terselengaranya Keg Hari Aksara Internasional 100% 28.000.000 28.000.000 Dinas Pendidikan Biaya operasional Sanggar Kegiatan Belajar (SKB) Padangsidimpuan Terselenggaranya Keg Sanggar Keg Belajar (SKB) 100% Terselenggaranya Keg Sanggar Keg Belajar (SKB) 100% 142.500.000 145.000.000 Dinas Pendidikan Pembinaan Pendidikan Kursus Wira Usaha Perkotaan Padangsidimpuan Meningkatnya kualitas dan Ketrampilan Warga Belajar 100% Meningkatnya kualitas dan Ketrampilan Warga Belajar 100% 75.000.000 75.000.000 Dinas Pendidikan Rencana Program dan Kegiatan Prioritas Tahun 2015 Bidang Pendidikan Lembar : 6 dari 87
  • 105.
    SKPD Jenis Keg TolokUkur Target Tolok Ukur Target Tolok Ukur Target 1/2/3 1/2/3 1/2/3 2 3 4 5 6 7 8 9 10 11 12 13 14 15 161 Nomor Urusan/Bidang Urusan Pemerintahan Daerah Dan Program/Kegiatan Prioritas Daerah Sasaran Daerah Lokasi Indikator kinerja Pagu Indikatif Prakiraan Maju Keterangan Ket Hasil Program Keluaran Kegiatan Hasil Kegiatan Pembinaan Pendidikan Kursus Wira Usaha Pedesaan Padangsidimpuan Meningkatnya kualitas dan Ketrampilan Warga Belajar 100% Meningkatnya kualitas dan Ketrampilan Warga Belajar 100% 64.500.000 64.500.000 Dinas Pendidikan Pengembangan data dan informasi pendidikan non formal/Jambore Padangsidimpuan Terselenggaranya Keg Jambore 100% Terselenggaranya Keg Jambore 100% 32.850.000 32.850.000 Dinas Pendidikan Hari Aksara Internasional (HAI) Padangsidimpuan Terselenggaranya Keg Hari Aksara Internasional (HAI) 100% Terselenggaranya Keg Hari Aksara Internasional (HAI) 100% 35.000.000 35.000.000 Dinas Pendidikan Operasional Bunda PAUD 138.500.000 140.000.000 Penyelenggaraan prrogram kewirausahaan masyarakat Padangsidimpuan Meningkatnya kualitas dan Ketrampilan Warga Belajar 100% Meningkatnya kualitas dan Ketrampilan Warga Belajar 100% 182.500.000 190.000.000 Dinas Pendidikan Penyelenggaraan program pendidikan kecakapan hidup Padangsidimpuan Meningkatnya kualitas dan Ketrampilan Warga Belajar 100% Meningkatnya kualitas dan Ketrampilan Warga Belajar 100% 185.500.000 190.000.000 Dinas Pendidikan Sosialisasi dan Penerapan Kurikulum 2013 PTK PAUDNI UPTD-SKB 25.000.000 25.000.000 Sosialisasi Program Himpunan Penyelenggaraan Kursus Indonesia (HIPKI) PSP Angkola Julu Terselenggaranya sosialisasi program HIPKI 100% Terselenggaranya sosialisasi program HIPKI 100% 80.000.000 80.000.000 Dinas Pendidikan PROGRAM PENDIDIKAN LUAR BIASA 29.500.000 29.500.000 PBM Pendidikan SLB Negeri Padangsidimpuan Terselenggaranya Pendidikan SLB 100% Terselenggaranya Pendidikan SLB 100% 29.500.000 29.500.000 Dinas Pendidikan PROGRAM PENINGKATAN MUTU PENDIDIK DAN TENAGA KEPENDIDIKAN Prosentase Guru TK Berkwalifikasi Akademik S1/D4. 1.450.541.000 1.455.541.000 Pelaksanaan sertifikasi pendidik Padangsidimpuan Terselenggaranya Program Sertifikasi Pendidik 100% Terselenggaranya Program Sertifikasi Pendidik 100% 163.620.000 163.620.000 Dinas Pendidikan Biaya Penyusunan Anggaran Dinas Pendidikan Padangsidimpuan Terselenggaranya Keg Dokumen Anggaran Pendidikan 100% Terselenggaranya Keg Dokumen Anggaran Pendidikan 100% 20.000.000 20.000.000 Dinas Pendidikan Penyusunan Profil Padangsidimpuan Terselenggaranya Keg Dokumen Profil Pendidikan 100% Terselenggaranya Keg Dokumen Profil Pendidikan 100% 20.325.000 20.325.000 Dinas Pendidikan Pembinaan Kelompok Kerja APSI Padangsidimpuan Terselenggaranya Keg Kelompok Kerja APSI 100% Terselenggaranya Keg Kelompok Kerja APSI 100% 163.620.000 163.620.000 Dinas Pendidikan Penyusunan Profil 30.000.000 30.000.000 Musyawarah Kerja Pengawas Sekolah (MKPS) Padangsidimpuan Terselenggaranya Keg Pembuatan Program Kerja Pengawas Sekolah 100% Terselenggaranya Keg Pembuatan Program Kerja Pengawas Sekolah 100% 88.500.000 90.000.000 Dinas Pendidikan Kelompok Kerja Pengawas Sekolah (KKPS) Padangsidimpuan Terselenggaranya Keg Pembuatan Program Kerja Pengawas Sekolah 100% Terselenggaranya Keg Pembuatan Program Kerja Pengawas Sekolah 100% 56.976.000 56.976.000 Dinas Pendidikan Operasional Jaringan Pendidikan Nasional (JARDIKNAS) Padangsidimpuan Meningkatnya Layanan Jaringan Pendataan Pendidikan 100% Meningkatnya Layanan Jaringan Pendataan Pendidikan 100% 156.500.000 160.000.000 Dinas Pendidikan Musyawarah Guru Mata Pelajaran Bahasa Indonesia Padangsidimpuan Meningkatnya Kemampuan Guru Design Perangkat Pembelajaran 100% Terselenggaranya Keg Pembuatan Program Kerja Pengawas Sekolah 100% 28.000.000 28.000.000 Dinas Pendidikan Musyawarah Guru Mata Pelajaran Prodi Bisnis Manajemen Padangsidimpuan Meningkatnya Kemampuan Guru Design Perangkat Pembelajaran 100% Terselenggaranya Keg Pembuatan Program Kerja Pengawas Guru Bimbingan Konseling (BK) 100% 28.000.000 28.000.000 Dinas Pendidikan Sosialisasi Data Pokok Pendidikan (DAPODIK) 280.000.000 280.000.000 Musyawarah Guru Mata Pelajaran Prodi Teknologi Padangsidimpuan Meningkatnya Kemampuan Guru Design Perangkat Pembelajaran 100% Terselenggaranya Keg Akreditasi Sekolah 100% 28.000.000 28.000.000 Dinas Pendidikan Musyawarah Guru Mata Pelajaran Fisika Padangsidimpuan Meningkatnya Kemampuan Guru Design Perangkat Pembelajaran 100% Meningkatnya Layanan Jaringan Pendataan Pendidikan 100% 28.000.000 28.000.000 Dinas Pendidikan Rencana Program dan Kegiatan Prioritas Tahun 2015 Bidang Pendidikan Lembar : 7 dari 87
  • 106.
    SKPD Jenis Keg TolokUkur Target Tolok Ukur Target Tolok Ukur Target 1/2/3 1/2/3 1/2/3 2 3 4 5 6 7 8 9 10 11 12 13 14 15 161 Nomor Urusan/Bidang Urusan Pemerintahan Daerah Dan Program/Kegiatan Prioritas Daerah Sasaran Daerah Lokasi Indikator kinerja Pagu Indikatif Prakiraan Maju Keterangan Ket Hasil Program Keluaran Kegiatan Hasil Kegiatan Musyawarah Guru Mata Pelajaran Kimia Padangsidimpuan Meningkatnya Kemampuan Guru Design Perangkat Pembelajaran 100% Meningkatnya SDM Guru SMA Mapel Fisika dan Kimia 100% 28.000.000 28.000.000 Dinas Pendidikan Musyawarah Guru Mata Pelajaran Sejarah Padangsidimpuan Meningkatnya Kemampuan Guru Design Perangkat Pembelajaran 100% Meningkatnya SDM Guru SMK 100% 28.000.000 28.000.000 Dinas Pendidikan Musyawarah Guru Mata Pelajaran Bahasa Inggris Padangsidimpuan Meningkatnya Kemampuan Guru Design Perangkat Pembelajaran 100% Meningkatnya Kemampuan dan kualitas PTK 100% 28.000.000 28.000.000 Dinas Pendidikan Musyawarah Guru Mata Pelajaran Pendidikan Kewarganegaraan (PKn) Padangsidimpuan Meningkatnya Kemampuan Guru Design Perangkat Pembelajaran 100% Terselenggaranya Keg Hari Pendidikan Nasional 100% 28.000.000 28.000.000 Dinas Pendidikan Musyawarah Guru Mata Pelajaran Matematika Padangsidimpuan Meningkatnya Kemampuan Guru Design Perangkat Pembelajaran 100% Meningkatnya Kemampuan Guru Design Perangkat Pembelajaran 100% 28.000.000 28.000.000 Dinas Pendidikan Musyawarah Guru Mata Pelajaran Pend. Agama Padangsidimpuan Meningkatnya Kemampuan Guru Design Perangkat Pembelajaran 100% Meningkatnya Kemampuan Guru Design Perangkat Pembelajaran 100% 28.000.000 28.000.000 Dinas Pendidikan Musyawarah Guru Mata Pelajaran Biologi Padangsidimpuan Meningkatnya Kemampuan Guru Design Perangkat Pembelajaran 100% Meningkatnya Kemampuan Guru Design Perangkat Pembelajaran 100% 28.000.000 28.000.000 Dinas Pendidikan Musyawarah Guru Mata Pelajaran Pendidikan Jasmani Padangsidimpuan Meningkatnya Kemampuan Guru Design Perangkat Pembelajaran 100% Meningkatnya Kemampuan Guru Design Perangkat Pembelajaran 100% 28.000.000 28.000.000 Dinas Pendidikan Operasional Kelompok Kerja Data Pendidikan Padangsidimpuan Terselenggaranya kegiatan pokja Data Pendidikan 100% Terselenggaranya kegiatan pokja Data Pendidikan 100% 135.000.000 135.000.000 Dinas Pendidikan PROGRAM PENGEMBANGAN BUDAYA BACA DAN PEMBINAAN PERPUSTAKAAN Terselenggaranya Kegiatan Operasional Perpustakaan Daerah 559.600.000 564.600.000 Penyediaan Bahan Pustaka Perpustakaan Umum Daerah Padangsidimpuan Meningkatnya budaya baca masyarakat 100% Meningkatnya budaya baca masyarakat 100% 160.000.000 160.000.000 Dinas Pendidikan Pengadaan Buku Perpustakaan Daerah Kota Padangsidimpuan Padangsidimpuan Meningkatnya budaya baca masyarakat 100% Meningkatnya budaya baca masyarakat 100% 250.000.000 250.000.000 Dinas Pendidikan Perlombaan Perpustakaan Tingkat SD,SMP,SMA,SMK dan Kelurahan 55.000.000 60.000.000 Pengadaan Buku Perpustakaan di Kelurahan Padangsidimpuan Meningkatnya budaya baca masyarakat 100% Meningkatnya budaya baca masyarakat 100% 75.000.000 75.000.000 Dinas Pendidikan Perlombaan Perpustakaan Antar Kelurahan Padangsidimpuan Meningkatnya budaya baca masyarakat 100% Meningkatnya budaya baca masyarakat 100% 19.600.000 19.600.000 Dinas Pendidikan PROGRAM MANAJEMEN PELAYANAN PENDIDIKAN Prosentase kualitas pelayanan pendidikan dan pemerataan jangkauan pelayanan pendidikan 1.227.228.000 1.230.728.000 Pelakssanaan evaluasi hasil kinerja bidang pendidikan Padangsidimpuan Meningkatnya Kinerja Perangkat Bidang Pendidikan 100% Meningkatnya Kinerja Perangkat Bidang Pendidikan 100% 49.350.000 49.350.000 Dinas Pendidikan Pembinaan Dewan Pendidikan Padangsidimpuan Tersedianya Operasional Dewan Pendidikan 100% Tersedianya Operasional Dewan Pendidikan 100% 37.300.000 37.300.000 Dinas Pendidikan Pembinaan Komite Sekolah Padangsidimpuan Tersedianya Operasional Pembinanan Dewan Pendidikan Terhadap Komite Sekolah 100% Tersedianya Operasional Pembinanan Dewan Pendidikan Terhadap Komite Sekolah 100% 71.820.000 71.820.000 Dinas Pendidikan Operasional Dewan Pendidikan 82.500.000 82.500.000 Diklat Peningkatan Mutu Komite Sekolah 76.500.000 80.000.000 Monitoring, Evaluasi dan Pelaporan Padangsidimpuan Meningkanta Tata Kelola dan Manajemen Pendidikan 100% Meningkanta Tata Kelola dan Manajemen Pendidikan 100% 584.950.000 584.950.000 Dinas Pendidikan Rencana Program dan Kegiatan Prioritas Tahun 2015 Bidang Pendidikan Lembar : 8 dari 87
  • 107.
    SKPD Jenis Keg TolokUkur Target Tolok Ukur Target Tolok Ukur Target 1/2/3 1/2/3 1/2/3 2 3 4 5 6 7 8 9 10 11 12 13 14 15 161 Nomor Urusan/Bidang Urusan Pemerintahan Daerah Dan Program/Kegiatan Prioritas Daerah Sasaran Daerah Lokasi Indikator kinerja Pagu Indikatif Prakiraan Maju Keterangan Ket Hasil Program Keluaran Kegiatan Hasil Kegiatan Operasional Kelompok Kerja Pendataan Pendidikan 160.000.000 160.000.000 Penyusunan LAKIP dan Laporan Pendidikan Padangsidimpuan Terlaksananya Penyusunan LAKIP Bidang Pendidikan 100% Terlaksananya Penyusunan LAKIP Bidang Pendidikan 100% 9.648.000 9.648.000 Dinas Pendidikan Rangkuman Data Pendidikan Padangsidimpuan Terlaksananya Penyusunan Rekapitulasi Rangkuman Data Pendidikan 100% Terlaksananya Penyusunan Rekapitulasi Rangkuman Data Pendidikan 100% 27.000.000 27.000.000 Dinas Pendidikan Pendataan dan Pelaporan Asset Dinas Pendidikan Padangsidimpuan Terselenggarana pendataan asset dinas pendidikan 100% Terselenggarana pendataan asset dinas pendidikan 100% 60.000.000 60.000.000 Dinas Pendidikan Pendataan Calon Penerima Bantuan Beasiswa dan Tunjangan Kesejahteraan Guru Padangsidimpuan Terlaksananya Keg Pendataan Beasiswa dan Tunjangan Kesejahteraan Guru 100% Terlaksananya Keg Pendataan Beasiswa dan Tunjangan Kesejahteraan Guru 100% 68.160.000 68.160.000 Dinas Pendidikan 33.462.284.000 4.959.000.000 P2 PROGRAM PELAYANAN ADMINISTRASI PERKANTORAN Terselenggaranya Pelayanan Adm. Disdik 99.000.000 99.000.000 Insentif Guru Sekolah Minggu Padangsidimpuan Terpenuhinya kesejahteraan Sekolah Minggu 100% Terpenuhinya kesejahteraan Sekolah Minggu 100% 99.000.000 99.000.000 Dinas Pendidikan PROGRAM WAJIB BELAJAR PENDIDIKAN DASAR SEMBILAN TAHUN Tercapainya APM SD/MI 6.260.956.000 500.000.000 Pembangunan MCK Tingkat Sekolah Dasar Padangsidimpuan Meningkatnya Kualitas Sarana & Prasarana SMP 100% Meningkatnya Kualitas Sarana & Prasarana SMP 100% 500.000.000 500.000.000 Dinas Pendidikan Pengadaan meubeleur SD Negeri/Swasta Kota Padangsidimpuan Padangsidimpuan Memajukan sektor pendidikan 500.000.000 Dinas Pendidikan Pengadaan meubeleur SMP Negeri/Swasta Kota Padangsidimpuan Padangsidimpuan Memajukan sektor pendidikan 500.000.000 Dinas Pendidikan Pengadaan meubeleur SMA Negeri/Swasta Kota Padangsidimpuan Padangsidimpuan Memajukan sektor pendidikan 500.000.000 Dinas Pendidikan Pengadaan meubeleur SMK Negeri/Swasta Kota Padangsidimpuan Padangsidimpuan Memajukan sektor pendidikan 500.000.000 Dinas Pendidikan Rehabilitasi Sedang/Berat Ruang Kelas SD Negeri/Swasta Kota Padangsidimpuan Padangsidimpuan Memajukan pendidikan daerah 1.880.478.000 Dinas Pendidikan Pembangunan Ruang Kelas Baru (RKB) SD Negeri/Swasta Kota Padangsidimpuan Padangsidimpuan Memajukan pendidikan daerah 1.880.478.000 Dinas Pendidikan PROGRAM PENDIDIKAN MENENGAH Tercapainya APM SMA/SMK//MA 26.502.328.000 4.360.000.000 Pengadaan Meubeleur satuan Sekolan SMA dan SMK Padangsidimpuan Peningkatan Sarana dan Prasarana Sekolah 100% Peningkatan Sarana dan Prasarana Sekolah 100% 1.000.000.000 1.000.000.000 Dinas Pendidikan Pembangunan RKB Satuan Sekolah SMA dan SMK Padangsidimpuan Peningkatan Sarana dan Prasarana Sekolah 100% Peningkatan Sarana dan Prasarana Sekolah 100% 3.360.000.000 3.360.000.000 Dinas Pendidikan Rehabilitasi Sedang/Berat Ruang Kelas SMP Negeri/Swasta Kota Padangsidimpuan Padangsidimpuan Pendidikan menengah Memajukan pendidikan daerah 1 paket 1.940.748.000 Dinas Pendidikan Rehabilitasi Sedang/Berat Ruang Kelas SMA Negeri/Swasta Kota Padangsidimpuan Padangsidimpuan Pendidikan menengah Memajukan pendidikan daerah 1 paket 1.226.046.000 Dinas Pendidikan Rehabilitasi Sedang/Berat Ruang Kelas SMK Negeri/Swasta Kota Padangsidimpuan Padangsidimpuan Pendidikan menengah Memajukan pendidikan daerah 1 paket 3.404.370.000 Dinas Pendidikan Pembangunan Ruang Kelas Baru (RKB) SMP Negeri/Swasta Kota Padangsidimpuan Padangsidimpuan Pendidikan menengah Memajukan pendidikan daerah 1 paket 1.940.748.000 Dinas Pendidikan Pembangunan Ruang Kelas Baru (RKB) SMA Negeri/Swasta Kota Padangsidimpuan Padangsidimpuan Pendidikan menengah Memajukan pendidikan daerah 1 paket 1.226.046.000 Dinas Pendidikan Pembangunan Ruang Kelas Baru (RKB) SMK Negeri/Swasta Kota Padangsidimpuan Padangsidimpuan Pendidikan menengah Memajukan pendidikan daerah 1 paket 3.404.370.000 Dinas Pendidikan Pengadaan Sarana Peningkatan Mutu Pendidikan SD Negeri/Swasta Kota Padangsidimpuan Padangsidimpuan Pendidikan menengah Memajukan pendidikan daerah 1 paket 3.000.000.000 Dinas Pendidikan Pengadaan Sarana Peningkatan Mutu Pendidikan SMP Negeri/Swasta Kota Padangsidimpuan Padangsidimpuan Pendidikan menengah Memajukan pendidikan daerah 1 paket 1.000.000.000 Dinas Pendidikan Rencana Program dan Kegiatan Prioritas Tahun 2015 Bidang Pendidikan Lembar : 9 dari 87
  • 108.
    SKPD Jenis Keg TolokUkur Target Tolok Ukur Target Tolok Ukur Target 1/2/3 1/2/3 1/2/3 2 3 4 5 6 7 8 9 10 11 12 13 14 15 161 Nomor Urusan/Bidang Urusan Pemerintahan Daerah Dan Program/Kegiatan Prioritas Daerah Sasaran Daerah Lokasi Indikator kinerja Pagu Indikatif Prakiraan Maju Keterangan Ket Hasil Program Keluaran Kegiatan Hasil Kegiatan Pengadaan Sarana Peningkatan Mutu Pendidikan SMA Negeri/Swasta Kota Padangsidimpuan Padangsidimpuan Pendidikan menengah Memajukan pendidikan daerah 1 paket 2.000.000.000 Dinas Pendidikan Pengadaan Sarana Peningkatan Mutu Pendidikan SMK Negeri/Swasta Kota Padangsidimpuan Padangsidimpuan Pendidikan menengah Memajukan pendidikan daerah 1 paket 3.000.000.000 Dinas Pendidikan PROGRAM PENINGKATAN MUTU PENDIDIK DAN TENAGA KEPENDIDIKAN Prosentase Guru TK Berkwalifikasi Akademik S1/D4. 600.000.000 - Pengadaan Laboratorium Bahasa di STKIP Tapanuli Selatan Padangsidimpuan Terpenuhinya sarana prasarana 400.000.000 - Dinas Pendidikan Pelatihan Kepemimpinan bagi Mahasiswa dan Ketua Osis SMP dan SMA Padangsidimpuan Meningkat Kemampuan mahasiswa untuk pengembangan diri 50.000.000 - Dinas Pendidikan Pelatihan Penggunaan Model-model Pembelajaraan bagi guru tingkat SMP dan SMA Padangsidimpuan Meningkat Kemamampuan SDM Guru 150.000.000 - Dinas Pendidikan Rencana Program dan Kegiatan Prioritas Tahun 2015 Bidang Pendidikan Lembar : 10 dari 87
  • 109.
    SKPD Jenis Keg TolokUkur Target Tolok Ukur Target Tolok Ukur Target 1/2/3 1/2/3 1/2/3 2 3 4 5 6 7 8 9 10 11 12 13 14 15 16 01 URUSAN WAJIB 1 02 BIDANG KESEHATAN 65.185.292.000 57.986.445.658 14.256.370.500 15.192.507.550 P1 Program Pelayanan Administrasi Perkantoran 3.256.050.000 3.581.655.000 Penyediaan Jasa Komunikasi, Sumber Daya Air dan Listrik Padangsidimpuan Terbayarnya Jasa Komunikasi, Sumber Daya Air dan Listrik 12 Bln Terbayarnya Jasa Komunikasi, Sumber Daya Air dan Listrik 12 Bln 135.000.000 148.500.000 Dinkes Penyediaan Jasa Pemeliharaan dan Perizinan Kendaraan Dinas / Operasional Padangsidimpuan Tersedianya Jasa Pemeliharaan dan Perizinan Kendaraan Dinas / Operasional 20 unit Tersedianya Jasa Pemeliharaan dan Perizinan Kendaraan Dinas / Operasional 20 unit 585.000.000 643.500.000 Dinkes Penyediaan Jasa Administrasi Keuangan Padangsidimpuan Tertatanya administrasi keuangan yang baik dan benar 12 Bln Tertatanya administrasi keuangan yang baik dan benar 12 Bln 175.000.000 192.500.000 Dinkes Penyediaan Jasa Kebersihan Kantor Padangsidimpuan Tersedianya jasa petugas kebersihan dan keamanan kantor 12 Bln Tersedianya jasa petugas kebersihan dan keamanan kantor 12 Bln 140.000.000 154.000.000 Dinkes Penyediaan Jasa Perbaikan Peralatan Kerja Padangsidimpuan Berfungsinya peralatan kerja dengan baik 5 item Berfungsinya peralatan kerja dengan baik 5 item 44.750.000 49.225.000 Dinkes Penyediaan Alat Tulis Kantor Padangsidimpuan Tersedianya alat tulis kantor 39 item Tersedianya alat tulis kantor 39 item 115.700.000 127.270.000 Dinkes Penyediaan Barang Cetakan dan Penggandaan Padangsidimpuan Tersedianya cetakan dan penggandaan 22 item Tersedianya cetakan dan penggandaan 22 item 108.000.000 118.800.000 Dinkes Penyediaan Komponen Instalasi Listrik / Penerangan Bangunan Kantor Padangsidimpuan Tersedianya Komponen Instalasi Listrik / Penerangan Bangunan Kantor 8 komponen Tersedianya Komponen Instalasi Listrik / Penerangan Bangunan Kantor 8 komponen 37.000.000 40.700.000 Dinkes Penyediaan Peralatan dan Perlengkapan Kantor Padangsidimpuan Tersedianya Peralatan dan Perlengkapan Kantor 3 item Tersedianya Peralatan dan Perlengkapan Kantor 3 item 150.000.000 165.000.000 Dinkes Penyediaan Peralatan Rumah Tangga Padangsidimpuan Tersedianya peralatan kebersihan 18 item Tersedianya peralatan kebersihan 18 item 58.000.000 63.800.000 Dinkes Penyediaan Bahan Bacaan dan Peraturan Perundang-undangan Padangsidimpuan Terbayarnya biaya surat kabar dan buku peraturan perundang- undangan 40 srt kbr dan perundang- undangn Terbayarnya biaya surat kabar dan buku peraturan perundang- undangan 40 srt kbr dan perundang- undangn 25.000.000 27.500.000 Dinkes Penyediaan Makanan dan Minuman Padangsidimpuan Tersedianya biya makan dan minum harian pegawai 12 bln Tersedianya biya makan dan minum harian pegawai 12 bln 845.000.000 929.500.000 Dinkes Rapat-rapat Koordinasi dan Konsultasi ke Luar Daerah Padangsidimpuan Terlaksananya Rapat-rapat Koordinasi dan Konsultasi ke Luar Daerah 1 Tahun Terlaksananya Rapat-rapat Koordinasi dan Konsultasi ke Luar Daerah 1 Tahun 578.000.000 635.800.000 Dinkes Penyediaan Jasa Administrasi Perkantoran Padangsidimpuan 12 bln 12 bln 13.500.000 14.850.000 Dinkes Penyediaan Jasa Keamanan Kantor Padangsidimpuan 12 bln 12 bln 122.100.000 134.310.000 Dinkes Penyediaan Jasa Pelayanan Medik, Paramedik dan Non Medik Padangsidimpuan Tersedinya Jasa Pelayanan Medik, Paramedik dan Non Medik 305 aparatur Tersedinya Jasa Pelayanan Medik, Paramedik dan Non Medik 305 aparatur 60.000.000 66.000.000 Dinkes Peringatan Hari Kesehatan Nasional Padangsidimpuan Terlaksananya Peringatan Hari Kesehatan Nasional 1 kali Terlaksananya Peringatan Hari Kesehatan Nasional 1 kali 64.000.000 70.400.000 Dinkes Program Peningkatan Sarana dan Prasarana Aparatur 207.500.000 228.250.000 Pengadaan Mebeleur Padangsidimpuan Tersedianya mebeleur kantor 6 item Tersedianya mebeleur kantor 6 item 207.500.000 228.250.000 Dinkes 1 Rencana Program dan Kegiatan Prioritas Daerah Tahun 2015 Kota Padangsidimpuan Nomor Urusan/Bidang Urusan Pemerintahan Daerah Dan Program/Kegiatan Prioritas Daerah Sasaran Daerah Lokasi Indikator kinerja Pagu Indikatif Prakiraan Maju Keterangan Ket Hasil Program Keluaran Kegiatan Hasil Kegiatan Rencana Program dan Kegiatan Prioritas Tahun 2015 Bidang Kesehatan Lembar : 11 dari 87
  • 110.
    SKPD Jenis Keg TolokUkur Target Tolok Ukur Target Tolok Ukur Target 1/2/3 1/2/3 1/2/3 2 3 4 5 6 7 8 9 10 11 12 13 14 15 161 Nomor Urusan/Bidang Urusan Pemerintahan Daerah Dan Program/Kegiatan Prioritas Daerah Sasaran Daerah Lokasi Indikator kinerja Pagu Indikatif Prakiraan Maju Keterangan Ket Hasil Program Keluaran Kegiatan Hasil Kegiatan Program Peningkatan Disiplin Aparatur 110.100.000 121.110.000 Pengadaan Pakaian Dinas berserta Perlengkapannya Padangsidimpuan Tersedianya pakaian dinas pegawai 75 stel Tersedianya pakaian dinas pegawai 75 stel 41.000.000 45.100.000 Dinkes Pengadaan Pakaian Khusus Hari-hari Tertentu Padangsidimpuan Tersedianya pakaian batik pegawai 75 ptg bhn baju Tersedianya pakaian batik pegawai 75 ptg bhn baju 69.100.000 76.010.000 Dinkes Program Peningkatan Kapasitas Sumber Daya Aparatur 400.000.000 440.000.000 Pendidikan dan Pelatihan Formal Dalam dan Luar Kota Padangsidimpuan Meningkatnya pengetahuan pegawai 51 org Meningkatnya pengetahuan pegawai 51 org 400.000.000 440.000.000 Dinkes Program Peningkatan Pengembangan Sistem Pelaporan Capaian Kinerja dan keuangan 31.500.000 34.650.000 Penyusunan Laporan Capaian Kinerja dan Ikhtisar Realisasi Kinerja SKPD Padangsidimpuan Tersusunnya LAKIP dan LPPD 2 dokumen Tersusunnya LAKIP dan LPPD 2 dokumen 4.000.000 4.400.000 Dinkes Penyusunan Pelaporan Prognosis Realisasi Anggaran Padangsidimpuan Adanya DPA dan Renja 3 dokumen Adanya DPA dan Renja 3 dokumen 27.500.000 30.250.000 Dinkes Program obat dan perbekalan kesehatan 1.059.700.000 1.159.620.000 Pengadaan Obat dan Perbekalan Kesehatan Padangsidimpuan 58 item 58 item 1.006.200.000 1.106.820.000 Peningkatan mutu pelayanan farmasi komunitas dan rumah sakit Padangsidimpuan Jumlah sarana farmakmin yang terdaftar sesuai dengan peraturan 58 sarana Jumlah sarana farmakmin yang terdaftar sesuai dengan peraturan 58 sarana 18.000.000 19.800.000 Dinkes Monitoring, evaluasi dan Pelaporan Padangsidimpuan 37 sarana 37 sarana 35.500.000 33.000.000 Dinkes Program Upaya Kesehatan Masyarakat 1.046.100.000 1.150.710.000 Pelayanan kesehatan penduduk miskin di puskesmas dan jaringannya Padangsidimpuan Cakupan pelayanan kesehatan dasar keluarga miskin 1223 org Cakupan pelayanan kesehatan dasar keluarga miskin 1223 org 300.000.000 330.000.000 Dinkes Pemeliharaan dan pemulihan kesehatan Padangsidimpuan Meningkatnya derajat kesehatan jemaah haji daerah 625 jemaah Meningkatnya derajat kesehatan jemaah haji daerah 625 jemaah 194.500.000 213.950.000 Dinkes Peningkatan kesehatan masyarakat Padangsidimpuan Terlaksananya pemantauan dan penanganan kasus kecelakaan dan penjaringan anak sekolah 1 tahun Terlaksananya pemantauan dan penanganan kasus kecelakaan dan penjaringan anak sekolah 1 tahun 115.000.000 126.500.000 Dinkes Peningkatan pelayanan kesehatan bagi pengungsi korban bencana Padangsidimpuan Tersedianya sarana dan prasarana pelayanan kesehatan 2 kali Tersedianya sarana dan prasarana pelayanan kesehatan 2 kali 13.200.000 14.520.000 Dinkes Penyediaan biaya operasional dan pemeliharaan Padangsidimpuan Terjaminnya pelayanan kesehatan di puskesmas rawat inap 2 Pusk Terjaminnya pelayanan kesehatan di puskesmas rawat inap 2 Pusk 288.500.000 317.350.000 Dinkes Pencegahan dan pemberantasan penyakit tidak menular Padangsidimpuan Meningkatnya pencegahan dan penberantasan penyakit tidak menular 4 kali Meningkatnya pencegahan dan penberantasan penyakit tidak menular 4 kali 53.100.000 58.410.000 Dinkes Monitoring, evaluasi dan pelaporan Padangsidimpuan Terlaksananya monitoring penyakit tidak menular 4 kali Terlaksananya monitoring penyakit tidak menular 4 kali 12.200.000 13.420.000 Dinkes Lomba Pos Yandu Padangsidimpuan Terlaksananya Lomba Pos Yandu 1 kali Terlaksananya Lomba Pos Yandu 1 kali 69.600.000 76.560.000 Dinkes Program Pengawasan Obat dan Makanan 37.000.000 40.700.000 Peningkatan Pemberdayaan Konsumen/Masyarakat di bidang obat dan makanan Padangsidimpuan 180 org 180 org 37.000.000 40.700.000 Program Promosi Kesehatan dan Pemberdayaan Masyarakat 1.108.826.000 1.219.708.600 Pengembangan Media Promosi dan informasi Sadar Hidup Sehat Padangsidimpuan Terlaksananya promosi kesehatan di setiap Jenjang 1 kali Terlaksananya promosi kesehatan di setiap Jenjang 1 kali 450.455.000 495.500.500 Dinkes Penyuluhan Masyarakat Pola Hidup Sehat Padangsidimpuan Cakupan Desa Siaga Aktif dan Peningkatan PHBS 1 kali Cakupan Desa Siaga Aktif dan Peningkatan PHBS 1 kali 375.255.000 412.780.500 Dinkes Rencana Program dan Kegiatan Prioritas Tahun 2015 Bidang Kesehatan Lembar : 12 dari 87
  • 111.
    SKPD Jenis Keg TolokUkur Target Tolok Ukur Target Tolok Ukur Target 1/2/3 1/2/3 1/2/3 2 3 4 5 6 7 8 9 10 11 12 13 14 15 161 Nomor Urusan/Bidang Urusan Pemerintahan Daerah Dan Program/Kegiatan Prioritas Daerah Sasaran Daerah Lokasi Indikator kinerja Pagu Indikatif Prakiraan Maju Keterangan Ket Hasil Program Keluaran Kegiatan Hasil Kegiatan Peningkatan Pemanfaatan Sarana kesehatan Padangsidimpuan Cakupan Desa Siaga Aktif dan Peningkatan PHBS 137 pos yandu Cakupan Desa Siaga Aktif dan Peningkatan PHBS 137 pos yandu 133.355.000 146.690.500 Peningkatan Pendidikan tenaga Penyuluh Kesehatan Padangsidimpuan Cakupan Desa Siaga Aktif dan Peningkatan PHBS 41 desa Cakupan Desa Siaga Aktif dan Peningkatan PHBS 41 desa 149.761.000 164.737.100 Dinkes Program perbaikan gizi masyarakat 149.410.000 164.351.000 Penyusunan peta informasi masyarakat kurang gizi Padangsidimpuan Terlaksananya deteksi dini status gizi balita melalui pemantauan pertumbuhan 79 desa/kel Terlaksananya deteksi dini status gizi balita melalui pemantauan pertumbuhan 79 desa/kel 40.100.000 44.110.000 Dinkes Penanggulangan KEP, GAKY, kurang vitamin A ,dan kekurangan zat gizi mikro lainnya Padangsidimpuan Terlaksananya deteksi dini status gizi balita melalui pemantauan pertumbuhan 20446 bayi dan balita Terlaksananya deteksi dini status gizi balita melalui pemantauan pertumbuhan 20446 bayi dan balita 109.310.000 120.241.000 Dinkes Program Pengembangan Lingkungan Sehat 367.000.000 403.700.000 Pengkajian Pengembangan Lingkungan Sehat Padangsidimpuan 1 tahun 1 tahun 269.000.000 295.900.000 Dinkes Monitoring, Evaluasi dan Pelaporan Padangsidimpuan 75 depot 75 depot 98.000.000 107.800.000 Dinkes Program Pencegahan dan Penanggulangan Penyakit Menular 1.164.064.500 1.280.470.950 Penyemprotan / Fogging Sarang Nyamuk Padangsidimpuan Terlaksananya fogging sarang nyamuk 70 desa/kel Terlaksananya fogging sarang nyamuk 70 desa/kel 45.000.000 49.500.000 Dinkes Pengadaan Alat fogging dan bahan-bahan Fogging Padangsidimpuan Terpenuhinya Pengadaan Alat- alat dan Bahan Fogging 70 desa/kel Terpenuhinya Pengadaan Alat- alat dan Bahan Fogging 70 desa/kel 290.000.000 319.000.000 Dinkes Pelayanan vaksianasi bagi balita dan anak sekolah Padangsidimpuan 14.441 siswa 14.441 siswa 51.600.000 56.760.000 Dinkes Pelayanan pencegahan dan penanggulangan penyakit menular Padangsidimpuan 2 pusk 2 pusk 51.000.000 56.100.000 Dinkes Peningkatan imunisasi Padangsidimpuan Cakupan UCI desa/kelurahan 3.305 bayi Cakupan UCI desa/kelurahan 3.305 bayi 429.314.500 472.245.950 Dinkes Peningkatan survellance epidemiologi dan penanggulangan wabah Padangsidimpuan Angka Bebas Jentik 7.900 rmh Angka Bebas Jentik 7.900 rmh 205.000.000 225.500.000 Dinkes Peningkatan komunikasi, informasi dan Edukasi (ide) pencegahan dan pemberantasan penyakit Sekolah SMA Terlaksananya penyuluhan pada anak tingkat SMU 10 sekolah Terlaksananya penyuluhan pada anak tingkat SMU 10 sekolah 47.100.000 51.810.000 Dinkes Monitoring, evaluasi dan Pelaporan Puskesmas, RS, Klinik cakupan penemuan dan penanganan penyakit diare , pneumonia. TB Paru, AFP, HIV 26 sarana kes cakupan penemuan dan penanganan penyakit diare , pneumonia. TB Paru, AFP, HIV 26 sarana kes 45.050.000 49.555.000 Dinkes Program Standarisasi Pelayanan Kesehatan 1.237.200.000 1.360.920.000 Penyusunan Standar Pelayanan Kesehatan Padangsidimpuan 1 pusk 1 pusk 261.200.000 287.320.000 Dinkes Evaluasi dan Pengembangan Standar Pelayanan Kesehatan Dinas Kesehatan dan jaringannya Tersusunnya profil dinas kesehatan 10 Dok Tersusunnya profil dinas kesehatan 10 Dok 98.000.000 107.800.000 Dinkes Penyusunan Standar Analisis Belanja Pelayanan Kesehatan Dinas Kesehatan 1 Dok 1 Dok 30.000.000 33.000.000 Penyusunan Masterplan Dinkes Dinas Kesehatan 254.000.000 279.400.000 Penyelenggaraan Survey Indeks Kepuasan Mayarakat Padangsidimpuan 2 Pusk 2 Pusk 594.000.000 653.400.000 Program Pelayanan kesehatan penduduk miskin 32.800.000 36.080.000 Penanggulangan penyakit cacingan Padangsidimpuan Cakupan pelayanan kesehatan dasar keluarga miskin 500 sisswa Cakupan pelayanan kesehatan dasar keluarga miskin 500 sisswa 32.800.000 36.080.000 Dinkes Program Pengadaan, Peningkatan dan Perbaikan Sarana dan Prasarana Puskesmas/Puskesmas Pembantu dan Jaringannya 3.394.920.000 2.767.512.000 Rencana Program dan Kegiatan Prioritas Tahun 2015 Bidang Kesehatan Lembar : 13 dari 87
  • 112.
    SKPD Jenis Keg TolokUkur Target Tolok Ukur Target Tolok Ukur Target 1/2/3 1/2/3 1/2/3 2 3 4 5 6 7 8 9 10 11 12 13 14 15 161 Nomor Urusan/Bidang Urusan Pemerintahan Daerah Dan Program/Kegiatan Prioritas Daerah Sasaran Daerah Lokasi Indikator kinerja Pagu Indikatif Prakiraan Maju Keterangan Ket Hasil Program Keluaran Kegiatan Hasil Kegiatan Pengadaan Puseksmas Keliling P.Matinggi, Batunadua, Sidangkal 3 unit 3 unit 1.350.000.000 1.485.000.000 Dinkes Rehabilitasi sedang/berat Puskesmas Pembantu Pustu 2 unit 2 unit 461.510.000 507.661.000 Dinkes Rehabilitasi berat/total Puskesmas non perawatan Puskesmas 1 unit 1 unit 416.000.000 457.600.000 Dinkes Rehabilitasi sedang/berat Puskesmas non perawatan Puskesmas 2 unit 2 unit 288.410.000 317.251.000 Dinkes Pembangunan IPAL Puskesmas 3 unit ipal 3 unit ipal 879.000.000 966.900.000 Dinkes Program peningkatan pelayanan kesehatan anak balita 421.400.000 463.540.000 Penyuluhan kesehatan anak balita Padangsidimpuan Terlaksananya pelayanan kesehatan bagi bayi dan balita 675 kader Terlaksananya pelayanan kesehatan bagi bayi dan balita 675 kader 421.400.000 463.540.000 Dinkes Program Peningkatan Pelayanan Kesehatan Lansia 175.000.000 192.500.000 Pelayanan pemeliharaan kesehatan Padangsidimpuan Cakupan pelayanan kesehatan lansia 272 kader Cakupan pelayanan kesehatan lansia 272 kader 175.000.000 192.500.000 Dinkes Program Pengawasan dan Pengendalian Kesehatan Makanan 45.000.000 49.500.000 Pengawasan Keamanan dan Kesehatan Makanan Hasil Industri TPM Cakupan TPM yang sehat dan aman 50 TPM Cakupan TPM yang sehat dan aman 50 TPM 25.000.000 27.500.000 Dinkes Pengawasan dan Pengendalian Keamanan dan Kesehatan Makanan Hasil Produksi Rumah Tangga Sarana IRTP Cakupan IRTP yang sehat dan aman 50 sarana Cakupan IRTP yang sehat dan aman 50 sarana 20.000.000 22.000.000 Dinkes Program Peningkatan Keselamatan Ibu Melahirkan dan Anak 12.800.000 14.080.000 Pembentukan tim Audit Maternal Perinatal (AMP) Padangsidimpuan Menurunnya jumlah kematian ibu melahirkan 2 kali Menurunnya jumlah kematian ibu melahirkan 2 kali 12.800.000 14.080.000 Dinkes 11.899.206.100 3.671.363.355 P2 Program Peningkatan Sarana dan Prasarana Aparatur 3.715.206.100 Pemeliharaan Rutin / Berkala Gedung Kantor Padangsidimpuan Terlaksananya Pemeliharaan Rutin / Berkala Gedung Kantor 1 Terlaksananya Pemeliharaan Rutin / Berkala Gedung Kantor 1 1.307.206.100 1.437.926.710 Dinkes Bantuan Operasional Kesehatan (BOK) Padangsidimpuan Tersedianya BOK 1 Tahun Tersedianya BOK 1 Tahun 888.000.000 - Dinkes Pengadaan Alat-alat fogging Padangsidimpuan Tersedianya peralatan fogging 10 unit Tersedianya peralatan fogging 10 unit 350.000.000 - Dinkes Peningkatan Penanggulangan Krisis dan Bencana Padangsidimpuan Tersedianya peralatan penanggulangan krisis dan bencana 1 paket Tersedianya peralatan penanggulangan krisis dan bencana 1 paket 470.000.000 - Dinkes Pengadaan Sarana dan Prasarana Cuci Tangan Pakai Sabun Padangsidimpuan Tersedianya Sarana dan Prasarana Cuci Tangan Pakai Sabun 120 unit Tersedianya Sarana dan Prasarana Cuci Tangan Pakai Sabun 120 unit 600.000.000 - Dinkes Pengadaan Jamban di TTU Padangsidimpuan Adanya Jamban di TTU 50 unit Adanya Jamban di TTU 50 unit 100.000.000 - Dinkes Program upaya kesehatan masyarakat 6.530.000.000 1.133.000.000 Pengadaan, peningkatan, sarana dan prasarana puskesmas dan jaringannya Padangsidimpuan Tersedianya sarana dan prasarana 100% Tersedianya sarana dan prasarana 100% 50.000.000 55.000.000 Dinkes Peningkatan pelayanan dan penanggulangan masalah kesehatan Padangsidimpuan Penemuan kasus KIPI 100% Penemuan kasus KIPI 100% 30.000.000 33.000.000 Dinkes Pelayanan Dasar Padangsidimpuan Peningkatan pelayanan kesehatan 3.500.000.000 Dinkes Pelayanan Farmasi Padangsidimpuan Peningkatan pelayanan kesehatan 2.000.000.000 Dinkes Workshop kelas Ibu hamil Padangsidimpuan 20.000.000 22.000.000 Dinkes Rencana Program dan Kegiatan Prioritas Tahun 2015 Bidang Kesehatan Lembar : 14 dari 87
  • 113.
    SKPD Jenis Keg TolokUkur Target Tolok Ukur Target Tolok Ukur Target 1/2/3 1/2/3 1/2/3 2 3 4 5 6 7 8 9 10 11 12 13 14 15 161 Nomor Urusan/Bidang Urusan Pemerintahan Daerah Dan Program/Kegiatan Prioritas Daerah Sasaran Daerah Lokasi Indikator kinerja Pagu Indikatif Prakiraan Maju Keterangan Ket Hasil Program Keluaran Kegiatan Hasil Kegiatan Orientasi PPGDON(Penanganan gawat darurat obstetri neonatal) Padangsidimpuan 80.000.000 88.000.000 Dinkes Pertemuan evaluasi P4K (program perencanaan persalinan dan pencegahan komplikasi) Padangsidimpuan 150.000.000 165.000.000 Dinkes Pelatihan PONED (penanganan obstetri neonatal emergensi dasar) Padangsidimpuan 70.000.000 77.000.000 Dinkes Orientasi pelayanan kesehatan reproduksi terpadu Padangsidimpuan 40.000.000 44.000.000 Dinkes Workshop pelayanan neonatus esensial bagi bidan Padangsidimpuan 50.000.000 55.000.000 Dinkes Peningkatan kemampuan petugas puskesmas dalam SDDDTK (stimulasi dan deteksi dini tumbuh kembang) Padangsidimpuan 130.000.000 143.000.000 Dinkes Pertemuan persiapan akreditasi puskesmas Padangsidimpuan 50.000.000 55.000.000 Dinkes Pemantapan manajemen puskesmas dalam meningkatkan pelayanan kesehatan primer di era JKN Padangsidimpuan 50.000.000 55.000.000 Dinkes Pelatihan tata laksana gizi buruk Padangsidimpuan 50.000.000 55.000.000 Dinkes PMT Ibu hamil Padangsidimpuan 200.000.000 220.000.000 Dinkes Screening Penderita HIV/AIDS dan VCT Padangsidimpuan 60.000.000 66.000.000 Dinkes Program Obat dan Perbekalan Kesehatan 50.000.000 55.000.000 Peningkatan pengawasan keamanan pangan dan bahan berbahaya Padangsidimpuan Terlaksananya pemeriksaan makanan dan minuman 35% Terlaksananya pemeriksaan makanan dan minuman 35% 50.000.000 55.000.000 Dinkes Program Peningkatan Keselamatan Ibu Melahirkan dan Anak 485.000.000 533.500.000 Penyuluhan kesehatan bagi ibu hamil dari keluarga kurang mampu Padangsidimpuan - Cakupan kunjungan ibu hamil (K4) - Cakupan neonatal dengan komlikasi 100% - Cakupan kunjungan ibu hamil (K4) - Cakupan neonatal dengan komlikasi 100% 320.000.000 352.000.000 Dinkes Pertolongan persalinan bagi ibu hamil dari keluarga kurang mampu Padangsidimpuan Cakupan pertolongan persalinan oleh bidan/tenaga kesehatan yang memiliki kompetensi kebidanan 100% Cakupan pertolongan persalinan oleh bidan/tenaga kesehatan yang memiliki kompetensi kebidanan 100% 45.000.000 49.500.000 Dinkes Pengadaan buku KIA Padangsidimpuan 100% 100% 120.000.000 132.000.000 Dinkes Program Pengembangan Lingkungan Sehat 100.000.000 110.000.000 Pengembangan Kota Sehat Padangsidimpuan Strata Wiwerda Meningkat jadi Wistara 1 paket Strata Wiwerda Meningkat jadi Wistara 1 paket 100.000.000 110.000.000 Dinkes Program Pencegahan dan Penanggulangan Penyakit Menular 10.000.000 11.000.000 Penyelidikan epidemiologi < 24 jam Padangsidimpuan cakupan Kelurahan mengalami KLB yang dilakukan penyelidikan epidemiologi <24 jam 100% cakupan Kelurahan mengalami KLB yang dilakukan penyelidikan epidemiologi <24 jam 100% 10.000.000 11.000.000 Dinkes Program kemitraan dan peningkatan pelayanan kesehatan 55.000.000 60.500.000 Kemitraan pencegahan dan pemberantasan penyakit menular Padangsidimpuan Terlaksananya jejaring kemitraan kesehatan 100% Terlaksananya jejaring kemitraan kesehatan 100% 25.000.000 27.500.000 Dinkes Monitoring, evaluasi dan pelaporan Padangsidimpuan Tersediaya operasional FKK 100% Tersediaya operasional FKK 100% 30.000.000 33.000.000 Dinkes Program obat dan perbekalan kesehatan 4.000.000 4.400.000 Peningkatan pemerataan obat dan perbekalan kesehatan Padangsidimpuan Persentase obat generik yang digunakan di puskesmas 100% Persentase obat generik yang digunakan di puskesmas 100% 4.000.000 4.400.000 Dinkes Rencana Program dan Kegiatan Prioritas Tahun 2015 Bidang Kesehatan Lembar : 15 dari 87
  • 114.
    SKPD Jenis Keg TolokUkur Target Tolok Ukur Target Tolok Ukur Target 1/2/3 1/2/3 1/2/3 2 3 4 5 6 7 8 9 10 11 12 13 14 15 161 Nomor Urusan/Bidang Urusan Pemerintahan Daerah Dan Program/Kegiatan Prioritas Daerah Sasaran Daerah Lokasi Indikator kinerja Pagu Indikatif Prakiraan Maju Keterangan Ket Hasil Program Keluaran Kegiatan Hasil Kegiatan Program standarisasi pelayanan kesehatan 900.000.000 990.000.000 Evaluasi dan pengembangan standar pelayanan kesehatan Padangsidimpuan Tersusunnya profil dinas kesehatan 11 dokumen Tersusunnya profil dinas kesehatan 11 dokumen 100.000.000 110.000.000 Dinkes Pembangunan dan pemutakhiran data dasar standar pelayanan kesehatan Padangsidimpuan Persentase Puskesmas yang menyelenggarakan SIK terintegrasi 9 Puskesmas Persentase Puskesmas yang menyelenggarakan SIK terintegrasi 9 Puskesmas 785.000.000 863.500.000 Dinkes Monitoring, evaluasi dan pelaporan Padangsidimpuan Terlaksananya monitoring kegiatan SIK dan SDM 100% Terlaksananya monitoring kegiatan SIK dan SDM 100% 15.000.000 16.500.000 Dinkes Program Pelayanan kesehatan penduduk miskin 25.000.000 27.500.000 Pelayanan sunatan masa Padangsidimpuan Cakupan pelayanan kesehatan dasar keluarga miskin 100% Cakupan pelayanan kesehatan dasar keluarga miskin 100% 25.000.000 27.500.000 Dinkes Program Promosi Kesehatan dan Pemberdayaan Masyarakat 25.000.000 27.500.000 Monitoring, Evalusi dan Pelaporan Padangsidimpuan Cakupan Desa Siaga Aktif dan Peningkatan PHBS 100% Cakupan Desa Siaga Aktif dan Peningkatan PHBS 100% 25.000.000 27.500.000 Dinkes 31.412.515.400 38.997.574.753 P1 Program Pelayanan Administrasi Perkantoran Terlaksananya pelayanan adm. perkantoran dengan lancar 6.042.240.000 7.552.668.003 Penyediaan Jasa Surat-Menyurat RSUD Kota Psp Terlaksananya Pengiriman Surat- Menyurat 1 Tahun Terkirimnya Surat 1 Tahun 3.640.000 4.368.000 RSUD Penyediaan Jasa Komunikasi, Sumber Daya Air dan Listrik RSUD Kota Psp Terpenuhinya Komunikasi, air dan listrik 1 Tahun Terbayarnya telepon,air dan listrik 1 Tahun 400.000.000 500.050.003 RSUD Penyediaan Jasa Pemeliharaan dan Perizinan Kenderaan Dinas/Operasional RSUD Kota Psp Terbayarnya surat-surat kenderaan 1 Tahun Kenderaan dapat beroperasi 1 Tahun 5.000.000 6.250.000 RSUD Penyediaan Jasa Administrasi Keuangan RSUD Kota Psp 1 Tahun 1 Tahun 24.000.000 30.000.000 RSUD Penyediaan Jasa Kebersihan Kantor RSUD Kota Psp Terpeliharanya Kebersihan kantor 1 Tahun Meningkatnya Pelayanan RS 1 Tahun 306.000.000 382.500.000 RSUD Penyediaan Alat Tulis Kantor RSUD Kota Psp Terlaksananya tugas2 rutin 1 Tahun Meningkatnya Pelayanan RS 1 Tahun 150.000.000 187.500.000 RSUD Penyediaan Komponen Instalasi Listrik/Penerangan Bangunan Kantor RSUD Kota Psp Pengadaan komponen listrik 1 Tahun Tersedianya peneranagan utk bangunan kantor 1 Tahun 150.000.000 187.500.000 RSUD Penyediaan Peralatan dan Perlengkapan Kantor RSUD Kota Psp Pengadaan peralatan dan perlengkapan kantor 1 Tahun Tersedianya peralatan dan perlengkapan kantor 1 Tahun 90.000.000 112.500.000 RSUD Penyediaan Bahan Bacaan dan Peraturan Perundang-Undangan RSUD Kota Psp Pengadaan peralatan rumah tangga 1 Tahun Tersedianya peralatan rumah tangga 1 Tahun 12.000.000 15.000.000 RSUD Penyediaan Makanan dan Minuman RSUD Kota Psp Tersedianya makanan dan minuman 1 Tahun Meningkatnya Pelayanan RS 1 Tahun 865.000.000 1.081.250.000 RSUD Rapat-Rapat Koordinasi dan Konsultasi Ke Luar Daerah RSUD Kota Psp Tersedianya perjalanan dinas 1 Tahun Lancarnya tugas2 perkantoran 1 Tahun 250.000.000 312.500.000 RSUD Penyediaan Jasa Pelayanan Medik, Paramedik dan Non Medik RSUD Kota Psp Terbayarnya Jasa pelayanan medik,para medik dan non medik 1 Tahun Meningkatnya Pelayanan RS 1 Tahun 3.786.600.000 4.733.250.000 RSUD Program Peningkatan Sarana dan Prasarana Aparatur Optimalnya Pelaksanaan Kegiatan Kantor 183.000.000 233.000.000 Pengadaan Mebeleur 1 Tahun 1 Tahun 53.000.000 72.500.000 Pemeliharaan Rutin/Berkala Mobil Jabatan RSUD Kota Psp Terpeliharanya mobil jabatan 1 Tahun Meningkatnya Pelayanan RS 1 Tahun 50.000.000 60.500.000 RSUD Pemeliharaan Rutin/Berkala Perlengkapan Gedung Kantor RSUD Kota Psp Terpelihara nya perlengkapan gedung kantor 1 Tahun Meningkatnya Pelayanan RS 1 Tahun 80.000.000 100.000.000 RSUD Program Peningkatan Kapasitas Sumber Daya Aparatur Meningkatnya Wawasan dan Pengetahuan 320.000.000 400.000.000 Pendidikan dan Pelatihan Formal RSUD Kota Psp Terlaksananya pendidikan dan pelatihan formal 1 Tahun Meningkatnya jumlah tenaga kesehatan di RS 1 Tahun 320.000.000 400.000.000 RSUD Rencana Program dan Kegiatan Prioritas Tahun 2015 Bidang Kesehatan Lembar : 16 dari 87
  • 115.
    SKPD Jenis Keg TolokUkur Target Tolok Ukur Target Tolok Ukur Target 1/2/3 1/2/3 1/2/3 2 3 4 5 6 7 8 9 10 11 12 13 14 15 161 Nomor Urusan/Bidang Urusan Pemerintahan Daerah Dan Program/Kegiatan Prioritas Daerah Sasaran Daerah Lokasi Indikator kinerja Pagu Indikatif Prakiraan Maju Keterangan Ket Hasil Program Keluaran Kegiatan Hasil Kegiatan Program Peningkatan Pengembangan sistem Pelaporan Capaian Kinerja dan Keuangan 39.000.000 32.062.500 Penyusunan Laporan Capaian Kinerja dan Ikhtisar Realisasi Kinerja SKPD RSUD Kota Psp Terlaksananya laporan kinerja 1 Tahun Adanya laporan capaian kinerja 1 Tahun 30.000.000 17.437.500 RSUD Penyusunan Laporan Prognosis Realisasi Anggaran RSUD Kota Psp 1 Tahun 1 Tahun 5.500.000 6.937.500 RSUD Penyusunan Pelaporan Keuangan Akhir Tahun RSUD Kota Psp 1 Tahun 1 Tahun 3.500.000 7.687.500 RSUD Program Pengadaan, Peningkatan Sarana dan Prasarana Rumah Sakit/Rumah Sakit Jiwa/Rumah Sakit Paru-Paru/rumah Sakit Mata Persentase ketersedia Sarana dan Prasarana RS 8.650.000.000 10.668.250.000 Pembangunan Rumah Sakit 270.000.000 300.000.000 Penambahan Ruang Rawat Inap Rumah Sakit (VVIP, Kelas I, II, dan III) 4.200.000.000 5.000.000.000 Pengembangan Ruang Rontgen RSUD Kota Psp 200.000.000 300.000.000 Pengadaan Obat-Obatan Rumah Sakit RSUD Kota Psp Tersedianya obat-obatan RS 1 Tahun Meningkatnya Pelayanan di RS 1 Tahun 1.100.000.000 1.500.000.000 RSUD Pengadaan Perlengkapan Rumah Tangga Rumah Sakit (Dapur,Ruang Pasien,Laundry Ruang Tunggu dan Lain-Lain) RSUD Kota Psp Tersedianya perlengkapan RT RS 1 Tahun Meningkatnya jumlah tenaga kesehatan di RS 1 Tahun 600.000.000 700.000.000 RSUD Pengadaan Bahan-Bahan Logistik Rumah Sakit RSUD Kota Psp Tersedianya bahan mknn dan mnmn pasien, ptgs jg sore/mlm 1 Tahun Terpenuhinya gizi pasien dan petugas RS 1 Tahun 2.000.000.000 2.500.000.000 RSUD Pengadaan Pencetakan Administrasi dan Surat menyurat Rumah Sakit RSUD Kota Psp Tersedianya perc adm dan surat menyurat 1 Tahun Meningkatnya Pelayanan di RS 1 Tahun 225.000.000 300.000.000 RSUD Pengembangan Tipe Rumah Sakit RSUD Kota Psp Terlaksananya akreditasi RS 1 Tahun Meningkatnya Pelayanan kesehatan di RS 1 Tahun 55.000.000 68.250.000 RSUD Program Pemeliharaan Sarana dan Prasarana Rumah Sakit/Rumah Sakit Jiwa/Rumah Sakit /Rumah Sakit Paru-Paru/Rumah Sakit Mata Terpenuhinya kebutuhan sarana dan prasarana pelayanan di RS sesuai standart 1.025.000.000 1.195.000.000 Pemeliharaan Rutin/Berkala Rumah Sakit RSUD Kota Psp Terpeliharanya bangunan RS 100% Terlayaninya masyarakat dgn baik 100% 600.000.000 700.000.000 RSUD Pemeliharaan Rutin/Berkala Instalasi Pengolahan Limbah Rumah Sakit RSUD Kota Psp Terpeliharanya IPAL 1 Tahun Limbah RS dpt dikelola sesuai standar 1 Tahun 40.000.000 50.000.000 RSUD Pemeliharaan Rutin/Berkala Alat-Alat Kesehatan Rumah Sakit RSUD Kota Psp Terpeliharanya Alat2 kesehatan RS 1 Tahun Terlayaninya masyarakat dgn baik 1 Tahun 75.000.000 85.000.000 RSUD Pemeliharaan Rutin/Berkala Mobil Ambulance/Jenazah RSUD Kota Psp Terpeliharanya Alat2 kesehatan RS 1 Tahun Terlayaninya masyarakat dgn baik 1 Tahun 150.000.000 180.000.000 RSUD Pemeliharaan Rutin/Berkala Perlengkapan RS RSUD Kota Psp Terpeliharanya Perlengkapan RS 1 Tahun Terlayaninya masyarakat dgn baik 1 Tahun 160.000.000 180.000.000 RSUD Program Kemitraan Peningkatan Pelayanan Kesehatan 500.000.000 600.000.000 Kemitraan Pengobatan Bagi Pasien Kurang Mampu RSUD Kota Psp Terlayaninya masyarakat kurang mampu 1 Tahun Meningkatnya pelayanan kesehatan 1 Tahun 500.000.000 600.000.000 RSUD Program Pelayanan Jaminan Kesehatan Nasional (JKN) 14.653.275.400 18.316.594.250 Kegiatan Pelayanan Kesehatan bagi Peserta Jaminan Kesehatan Nasional (JKN) RSUD Kota Psp Terlayaninya masyarakat kurang mampu 1 Tahun Meningkatnya pelayanan kesehatan 1 Tahun 14.653.275.400 18.316.594.250 RSUD 7.617.200.000 9.465.000.000 P2 Program Pelayanan Administrasi Perkantoran 492.000.000 615.000.000 Penyediaan Jasa Komunikasi, Sumber Daya Air dan Listrik Terpenuhinya Komunikasi, air dan listrik 1 Tahun Terbayarnya telepon,air dan listrik 1 Tahun 100.000.000 125.000.000 RSUD Rencana Program dan Kegiatan Prioritas Tahun 2015 Bidang Kesehatan Lembar : 17 dari 87
  • 116.
    SKPD Jenis Keg TolokUkur Target Tolok Ukur Target Tolok Ukur Target 1/2/3 1/2/3 1/2/3 2 3 4 5 6 7 8 9 10 11 12 13 14 15 161 Nomor Urusan/Bidang Urusan Pemerintahan Daerah Dan Program/Kegiatan Prioritas Daerah Sasaran Daerah Lokasi Indikator kinerja Pagu Indikatif Prakiraan Maju Keterangan Ket Hasil Program Keluaran Kegiatan Hasil Kegiatan Penyediaan Jasa Kebersihan Kantor Terpeliharanya Kebersihan kantor 1 Tahun Meningkatnya Pelayanan RS 1 Tahun 18.000.000 22.500.000 RSUD Penyediaan Peralatan dan Perlengkapan Kantor Pengadaan peralatan dan perlengkapan kantor 1 Tahun Tersedianya peralatan dan perlengkapan kantor 1 Tahun 50.000.000 62.500.000 RSUD Penyediaan Jasa Pelayanan Medik, Paramedik dan Non Medik Terbayarnya Jasa pelayanan medik,para medik dan non medik 1 Tahun Meningkatnya Pelayanan RS 1 Tahun 324.000.000 405.000.000 RSUD Program Peningkatan Sarana dan Prasarana Aparatur Optimalnya Pelaksanaan Kegiatan Kantor 10.350.000 12.937.500 Pemeliharaan Rutin/Berkala Kendaraan Dinas/Operasional RSUD Kota Psp Terpeliharanya kenderaan dinas/operasional 1 Tahun Meningkatnya Pelayanan RS 1 Tahun 10.350.000 12.937.500 RSUD Program Peningkatan Disiplin Aparatur 150.000.000 187.500.000 Pengadaan Pakaian Kerja Lapangan Tersedianya pakaian kerja lapangan 1 Tahun Meningkatnya disiplin aparatur 1 Tahun 150.000.000 187.500.000 RSUD Program Peningkatan Kapasitas Sumber Daya Aparatur 150.000.000 187.500.000 Pendidikan dan Pelatihan Formal Terlaksananya pendidikan dan pelatihan formal 1 Tahun Meningkatnya jumlah tenaga kesehatan di RS 1 Tahun 150.000.000 187.500.000 RSUD Program Peningkatan Pengembangan sistem Pelaporan Capaian Kinerja dan Keuangan 14.850.000 18.562.500 Penyusunan Laporan, Rencana Kerja dan Anggaran RSUD Kota Psp 1 Tahun 1 Tahun 14.850.000 18.562.500 RSUD Program Pengadaan, Peningkatan Sarana dan Prasarana Rumah Sakit/Rumah Sakit Jiwa/Rumah Sakit Paru-Paru/rumah Sakit Mata 6.200.000.000 7.725.000.000 Pengadaan Alat-Alat Kesehatan Rumah Sakit Tersedianya alat-alat RS 1 Tahun Meningkatnya Pelayanan di RS 1 Tahun 5.600.000.000 7.000.000.000 RSUD Pengadaan Ambulance/Mobil Jenazah Tersedianya obat-obatan RS 1 Tahun Meningkatnya Pelayanan di RS 1 Tahun 500.000.000 625.000.000 RSUD Program Pemeliharaan Sarana dan Prasarana Rumah Sakit/Rumah Sakit Jiwa/Rumah Sakit /Rumah Sakit Paru-Paru/Rumah Sakit Mata - Pembuatan Dokumen UKL-UPL (DPLH) RSUD Kota Psp 1 Dokumen 1 Dokumen 100.000.000 100.000.000 RSUD Program Kemitraan Peningkatan Pelayanan Kesehatan 600.000.000 750.000.000 Kemitraan/Kerjasama dengan Pihak Ketiga (Pengadaan Dokter Spesialis) RSUD Kota Psp Pertambahan jumlah dokter spesialis 1 Tahun Meningkatnya pelayanan kesehatan 1 Tahun 600.000.000 750.000.000 RSUD Rencana Program dan Kegiatan Prioritas Tahun 2015 Bidang Kesehatan Lembar : 18 dari 87
  • 117.
    SKPD Jenis Keg Ket Tolok Ukur TargetTolok Ukur Target Tolok Ukur Target 1/2/3 1/2/3 1/2/3 2 3 4 5 6 8 10 12 13 14 15 16 01 URUSAN WAJIB 01 03 BIDANG PEKERJAAN UMUM 269.499.181.342 93.381.723.800 104.779.277.340 62.165.223.800 P1 Program Pelayanan Administras Perkantoran Terlaksananya Program Pelayanan Administrasi Perkantoran 1 thn 1 thn 7.439.398.340 7.621.747.800 Penyediaan Jasa Surat menyurat Dinas PUD Kondisi jasa surat menyurat menjadi lebih baik 1 thn Tersedianya Administrasi menjadi kondisi baik 1 thn Administrasi surat menyurat dalam kondisi baik 1 thn 390.000.000 400.000.000 Dinas PUD Penyediaan Jasa Komunikasi, Sumber Daya Air dan Listrik Dinas PUD Terpenuhi Pelayanan Administrasi Perkantoran Tersedianya Jasa Komunikasi, sumber daya air dan listrik 1 thn 1 thn 67.000.000 69.000.000 Dinas PUD Penyediaan Jasa Peralatan dan Perlengkapan Kantor Dinas PUD 97.000.000 99.000.000 Dinas PUD Penyediaan Jasa Pemeliharaan dan perizinan Kenderaan Dinas/ Operasional Dinas PUD Terpenuhinya kelancaran pemeliharaan kenderaan dinas Tersedianya Pemeliharaan dan perizinan Kenderaan Dinas/ Operasional 1 thn 1 thn 506.381.000 508.000.000 Dinas PUD Terpenuhi Pelayanan Administrasi Dinas PUD Terpenuhi Pelayanan Administrasi Terpenuhi Pelayanan Administrasi 1 thn 1 thn 950.405.800 970.405.800 Dinas PUD Penyediaan Jasa Administrasi Keuangan Dinas PUD Tersedianya Administrasi Keuangan Terpenuhinya administrasi keuangan 1 thn 1 thn 114.760.000 117.760.000 Dinas PUD Penyediaan Jasa Kebersihan Kantor Dinas PUD Tersedianya Tenaga Kebersihan Terpenuhi Pelayanan Administrasi Perkantoran 1 thn 1 thn 80.600.000 83.000.000 Dinas PUD Penyediaan Jasa Perbaikan Peralatan Kerja Dinas PUD Terlaksananya perbaikan peralatan kerja Terpenuhi Pelayanan Administrasi Perkantoran 1 thn 1 thn 50.710.000 53.500.000 Dinas PUD Penyediaan Alat Tulis Kantor Dinas PUD Tersedianya Alat Tulis Kantor Terpenuhi Pelayanan Administrasi Perkantoran 1 thn 1 thn 391.609.436 400.000.000 Dinas PUD Penyediaan Barang Cetakan Dan Penggandaan Dinas PUD Penyediaan Barang Cetakan Dan Penggandaan Terpenuhi Pelayanan Administrasi Perkantoran 1 thn 1 thn 300.592.480 335.000.000 Dinas PUD Penyediaan Komponen Instalasi Listrik/Penerangan Bangunan Kantor Dinas PUD Tersedianya Komponen instalasi listrik / Penerangan Bangunan Kantor Terpenuhi Pelayanan Administrasi Perkantoran 1 thn 1 thn 41.316.785 43.500.000 Dinas PUD Penyediaan Peralatan Rumah Tangga Dinas PUD Tersedianya Peralatan dan Perlengkapan Kantor Terpenuhi Pelayanan Administrasi Perkantoran 1 thn 1 thn 135.206.097 137.000.000 Dinas PUD 1 Pagu Indikatif Prakiraan Maju Keterangan Hasil Program Keluaran Kegiatan Hasil Kegiatan Rencana Program dan Kegiatan Prioritas Daerah Tahun 2015 Kota Padangsidimpuan Nomor Urusan/Bidang Urusan Pemerintahan Daerah Dan Program/Kegiatan Prioritas Daerah Sasaran Daerah Lokasi Indikator kinerja Rencana Program dan Kegiatan Prioritas Tahun 2015 Bidang Pekerjaan Umum Lembar : 19 dari 87
  • 118.
    SKPD Jenis Keg Ket Tolok Ukur TargetTolok Ukur Target Tolok Ukur Target 1/2/3 1/2/3 1/2/3 2 3 4 5 6 8 10 12 13 14 15 161 Pagu Indikatif Prakiraan Maju Keterangan Hasil Program Keluaran Kegiatan Hasil KegiatanNomor Urusan/Bidang Urusan Pemerintahan Daerah Dan Program/Kegiatan Prioritas Daerah Sasaran Daerah Lokasi Indikator kinerja Penyediaan Bahan Bacaan dan Peraturan Perundang‑Undangan Dinas PUD Tersedianya Sumber Peraturan Perundang- Undangan Terpenuhi Pelayanan Administrasi Perkantoran 1 thn 1 thn 54.075.000 56.000.000 Dinas PUD Penyediaan Makanan Dan Minuman Dinas PUD Adanya penyediaan makanan dan minuman Terpenuhi Pelayanan Administrasi Perkantoran 1 thn 1 thn 157.409.000 159.000.000 Dinas PUD Rapat ‑ Rapat Koordinasi Dan Konsultasi Ke Luar Daerah Luar Daerah Terlaksananya rapat koordinasi dan Konsultasi ke Luar Terpenuhi Pelayanan Administrasi Perkantoran 1 thn 1 thn 1.020.000.000 1.040.000.000 Dinas PUD Penyediaan Jasa Dan Administrasi Kegiatan Sumber DAK Irigasi Dinas PUD Tersedianya jasa dan Administrasi kegiatan Sumber DAK Irigasi Terpenuhi Pelayanan Administrasi Perkantoran 1 thn 1 thn 69.730.000 71.000.000 Dinas PUD Penyediaan Jasa Dan Administrasi Kegiatan Sumber DAK Air Minum Dinas PUD Tersedianya jasa dan Administrasi kegiatan Sumber DAK Air Minum Terpenuhi Pelayanan Administrasi Perkantoran 1 thn 1 thn 60.772.000 62.000.000 Dinas PUD Penyediaan Jasa Dan Administrasi Kegiatan Sumber DAK Infrastruktur Jalan Dinas PUD Tersedianya jasa dan Administrasi kegiatan Sumber DAK Infrastruktur Jalan Terpenuhi Pelayanan Administrasi Perkantoran 1 thn 1 thn 151.000.000 153.000.000 Dinas PUD Penyediaan Jasa Administrasi Proyek Dana BDB Dan Situmulus Dinas PUD Tersedianya jasa dan Administrasi Proyek BDB dan Stimulus Terpenuhi Pelayanan Administrasi Perkantoran 1 thn 1 thn 342.032.000 344.000.000 Dinas PUD Penyediaan Jasa Dan Administrasi Kegiatan Sumber DAK Sanitasi Dinas PUD Tersedianya jasa dan Administrasi kegiatan Sumber DAK Sanitasi Terpenuhi Pelayanan Administrasi Perkantoran 1 thn 1 thn 66.500.000 68.000.000 Dinas PUD Penyediaan Administrasi Pengadaan Barang Dan Jasa Dinas PUD Tersedianya Administrasi Pengadaan Barang dan Jasa Terpenuhi Pelayanan Administrasi Perkantoran 1 thn 1 thn 306.685.000 308.000.000 Dinas PUD Penyediaan Jasa Penyusunan RENJA Dinas PUD Tersedianya Jasa Penyusunan RENJA Terpenuhi Pelayanan Administrasi Perkantoran 1 thn 1 thn 31.922.000 33.922.000 Dinas PUD Penyediaan Jasa Penyusunan LAKIP Dinas PUD Tersedianya Jasa Penyusunan LAKIP Terpenuhi Pelayanan Administrasi Perkantoran 1 thn 1 thn 23.960.000 25.960.000 Dinas PUD Penyediaan Jasa Penyusunan RENSTRA Dinas PUD Tersedianya Jasa Penyusunan RENSTRA Terpenuhi Pelayanan Administrasi Perkantoran 1 thn 1 thn 35.580.000 37.580.000 Dinas PUD Penyediaan Jasa Biaya Pengawasan Kegiatan Dinas PUD Tersedianya Jasa Biaya Pengawasan Kegiatan Terpenuhi Pelayanan Administrasi Perkantoran 1 thn 1 thn 810.000.000 820.000.000 Dinas PUD Penyediaan Jasa Administrasi Proyek Dana DAU Dinas PUD Tersedianya Jasa administrasi Proyek Dana DAU Terpenuhi Pelayanan Administrasi Perkantoran 1 thn 1 thn 357.031.742 400.000.000 Dinas PUD Penyediaan Jasa Dan Administrasi Kegiatan Sumber Dana APBN Pembangunan Infrastruktur Permukiman Dan DAK Sarana dan Prasarana Pemerintahan Dinas PUD Tersedianya Jasa administrasi Proyek Dana APBN Terpenuhi Pelayanan Administrasi Perkantoran 1 thn 1 thn 178.830.000 178.830.000 Dinas PUD Penyusunan RKA SKPD Dinas PUD Tersedianya RKA PUD Kota Padangsidimpuan Terpenuhi Pelayanan Administrasi Perkantoran 1 thn 1 thn 106.020.000 106.020.000 Dinas PUD Biaya Operasional Percepatan Pengembangan Sanitasi Permukiman ( PPSP ) Dinas PUD Terlaksananya Kegiatan Percepatan Pengembangan Sanitasi Pemukiman Terpenuhi Pelayanan Administrasi Perkantoran 1 thn 1 thn 193.700.000 191.700.000 Dinas PUD Tim Verifikasi Panitia Perima Fisik Pekerjaan / Kegiatan Proyek Dinas Pekerjaan Umum Kota Padangsidimpuan Dinas PUD Terlaksananya Kegiatan Penerimaan Fisik Pekerjaan / Kegiatan Proyek di Dinas Pekerjaan Umum Kota Terpenuhi Pelayanan Administrasi Perkantoran 1 thn 1 thn 198.000.000 200.000.000 Dinas PUD Rencana Program dan Kegiatan Prioritas Tahun 2015 Bidang Pekerjaan Umum Lembar : 20 dari 87
  • 119.
    SKPD Jenis Keg Ket Tolok Ukur TargetTolok Ukur Target Tolok Ukur Target 1/2/3 1/2/3 1/2/3 2 3 4 5 6 8 10 12 13 14 15 161 Pagu Indikatif Prakiraan Maju Keterangan Hasil Program Keluaran Kegiatan Hasil KegiatanNomor Urusan/Bidang Urusan Pemerintahan Daerah Dan Program/Kegiatan Prioritas Daerah Sasaran Daerah Lokasi Indikator kinerja Pemeliharaan Peralatan dan Perlengkapan Kantor Dinas PUD Terpenuhi Pelayanan Administrasi Terpenuhi Pelayanan Administrasi Perkantoran 1 thn 1 thn 150.570.000 150.570.000 Dinas PUD Program Peningkatan Kapasitas Sumber Daya Aparatur 546.400.000 548.000.000 Pendidikan Dan Pelatihan Formal Luar Daerah Peningkatan SDM pada Dinas Pekerjaan Umum Daerah Kota Padangsidimpuan Meningkatnya SDM Aparatur pada Dinas Pekerjaan Umum Daerah Kota Padangsidimpuan 546.400.000 548.000.000 Dinas PUD Program Peningkatan Pengembangan Sistem Pelaporan Capaian Kinerja dan Keuangan 59.676.000 66.476.000 Penyusunan Laporan Capaian Kinerja Dan Ikhtisar Realisasi Kinerja SKPD Dinas PUD Terpenuhinya Pelayanan Administrasi Keuangan 11.200.000 14.000.000 Dinas PUD Penyusunan Laporan Keuangan Semesteran Dinas PUD Terpenuhinya Pelayanan Administrasi Keuangan 6.990.000 7.990.000 Dinas PUD Penyusunan Pelaporan Prognosis Realisasi Anggaran Dinas PUD Terpenuhinya Pelayanan Administrasi Keuangan 6.640.000 7.640.000 Dinas PUD Penyusunan Pelaporan Keuangan Akhir Tahun Dinas PUD Terpenuhinya Pelayanan Administrasi Keuangan 34.846.000 36.846.000 Dinas PUD Penyediaan Penyusunan Renja 13.290.000 15.000.000 Penyediaan Penyusunan RKA - SKPD 56.900.000 60.000.000 Program Peningkatan Prasarana dan Sarana Aparatur 11.118.000.000 12.154.000.000 Pembangunan Kantor Kepala Desa Huta Padang Desa Huta Padang Kec. Psp. Hutaimbaru Peningkatan daya tampung ruangan kerja Meningkatnya daya tampung ruang kerja 560.000.000 600.000.000 Dinas PUD Pembangunan Kantor Lurah Tobat Kel. Tobat Kec Psp Utara Peningkatan daya tampung ruangan kerja Meningkatnya daya tampung ruang kerja 560.000.000 600.000.000 Dinas PUD Pembangunan Kantor Lurah Batang Ayumi Jae Kel. Batang Ayumi Jae Kec. Psp Utara Peningkatan daya tampung ruangan kerja Meningkatnya daya tampung ruang kerja 560.000.000 600.000.000 Dinas PUD Pembangunan Kantor Dinas Kebersihan, Pertamanan dan Pencegahan Kebakaran Kota Padangsidimpuan Peningkatan daya tampung ruangan kerja Meningkatnya daya tampung ruang kerja 1.000.000.000 1.200.000.000 Dinas PUD Perluasan Kantor Dinas Pendapatan, Pengelolaan Keuangan dan Asset Daerah Kota Padangsidimpuan Peningkatan daya tampung ruangan kerja Meningkatnya daya tampung ruang kerja 1.000.000.000 1.200.000.000 Dinas PUD Pembangunan Kantor Dinas Pertanian Kota Padangsidimpuan Peningkatan daya tampung ruangan kerja Meningkatnya daya tampung ruang kerja 1.050.000.000 1.200.000.000 Dinas PUD Pembangunan Kantor Kepala Desa Purwodadi Kec. Psp Batunadua Peningkatan daya tampung ruangan kerja Meningkatnya daya tampung ruang kerja 580.000.000 600.000.000 Dinas PUD Pembangunan Kantor Lurah Sabungan Jae dan Pemagarannya Kelurahan Sabungan Jae Lk. I Kec. Psp. Hutaimbaru Peningkatan daya tampung ruangan kerja Meningkatnya daya tampung ruang kerja 580.000.000 600.000.000 Dinas PUD Pembangunan Kantor Kepala Desa Simatohir Desa Simatohir Kec. Psp. Angkola Julu Peningkatan daya tampung ruangan kerja Meningkatnya daya tampung ruang kerja 580.000.000 600.000.000 Dinas PUD Rencana Program dan Kegiatan Prioritas Tahun 2015 Bidang Pekerjaan Umum Lembar : 21 dari 87
  • 120.
    SKPD Jenis Keg Ket Tolok Ukur TargetTolok Ukur Target Tolok Ukur Target 1/2/3 1/2/3 1/2/3 2 3 4 5 6 8 10 12 13 14 15 161 Pagu Indikatif Prakiraan Maju Keterangan Hasil Program Keluaran Kegiatan Hasil KegiatanNomor Urusan/Bidang Urusan Pemerintahan Daerah Dan Program/Kegiatan Prioritas Daerah Sasaran Daerah Lokasi Indikator kinerja Pembangunan Kantor Kepala Desa Sigulang Desa Sigulang Kec. Psp. Tenggara Peningkatan daya tampung ruangan kerja Meningkatnya daya tampung ruang kerja 580.000.000 600.000.000 Dinas PUD Pembangunan Kantor lurah bertingkat Wek III Kel. Wek III Kec. Psp. Utara Peningkatan daya tampung ruangan kerja Meningkatnya daya tampung ruang kerja 680.000.000 700.000.000 Dinas PUD Rehabilitasi Kantor Lurah Batunadua Jae Kec. Psp Batunadua Peningkatan daya tampung ruangan kerja Meningkatnya daya tampung ruang kerja 250.000.000 250.000.000 Dinas PUD Rehab Kantor Kepala Desa Labuhan Rasoki Dusun II Desa Labuhan Rasoki Kec. Psp. Tenggara Peningkatan daya tampung ruangan kerja Meningkatnya daya tampung ruang kerja 250.000.000 250.000.000 Dinas PUD Rehab Kantor Lurah Sadabuan Kec. Psp Utara Peningkatan daya tampung ruangan kerja Meningkatnya daya tampung ruang kerja 250.000.000 250.000.000 Dinas PUD Pembangunan Pagar dan Kantor Kelurahan Wek I Kecamatan Padangsidimpuan Utara Kel. Wek I Kec. Psp. Utara Peningkatan daya tampung ruangan kerja Meningkatnya daya tampung ruang kerja 1.800.000.000 2.002.000.000 Dinas PUD Pengadaan Kendaraan Dinas/Operasional 258.000.000 302.000.000 Pembangunan Aula Kantor Lurah Kantin Kel. Kantin Kec. Psp. Utara Peningkatan daya tampung ruangan kerja Meningkatnya daya tampung ruang kerja 580.000.000 600.000.000 Dinas PUD Pengadaan Peralatan Gedung Kantor 100.000.000 104.000.000 Pemeliharaan Rutin/Berkala Peralatan Gedung Kantor 83.650.000 85.000.000 Pembangunan Lantai, Pengecatan dan Taman Vaviliun PRSU Kota Padangsidimpuan 200.000.000 220.000.000 Penyusunan/Rencana Tata Bangunan dan Lingkungan (RPBL) di Kecamatan Psp. Utara dan Kecamatan Psp. Selatan Kota Padangsidimpuan 500.000.000 502.000.000 Pembangunan Kantor Polsek Padangsidimpuan Selatan 780.000.000 782.000.000 Rencana Induk (Master Plan) Drainase Kota Padangsidimpuan 700.000.000 702.000.000 Pemutakhiran Data Base Jalan dan Jembatan Kota Padangsidimpuan 500.000.000 502.000.000 Program Pembangunan Saluran Drainase/Gorong-gorong 10.951.000.000 5.360.000.000 Pembangunan Drainase Parit Jalan Kel. Batunadua Julu Lk. I Kec. Psp. Batunadua Tersedianya Sarana Saluran Drainase Perkotaan Meningkatnya kualitas bangunan Drainase Perkotaan 100.000.000 100.000.000 Dinas PUD Pembangunan Drainase Jalan Saidi Rambe dan Plat beton Desa Aek Bayur Kec. Psp. Batunadua Tersedianya Sarana Saluran Drainase Perkotaan Meningkatnya kualitas bangunan Drainase Perkotaan 75.000.000 75.000.000 Dinas PUD Rencana Program dan Kegiatan Prioritas Tahun 2015 Bidang Pekerjaan Umum Lembar : 22 dari 87
  • 121.
    SKPD Jenis Keg Ket Tolok Ukur TargetTolok Ukur Target Tolok Ukur Target 1/2/3 1/2/3 1/2/3 2 3 4 5 6 8 10 12 13 14 15 161 Pagu Indikatif Prakiraan Maju Keterangan Hasil Program Keluaran Kegiatan Hasil KegiatanNomor Urusan/Bidang Urusan Pemerintahan Daerah Dan Program/Kegiatan Prioritas Daerah Sasaran Daerah Lokasi Indikator kinerja Pembangunan Drainase Jalan SMPN 9 dan pembuatan plat beton Kel. Hutaimbaru Lk. VII Kec. Psp. Hutaimbaru Tersedianya Sarana Saluran Drainase Perkotaan Meningkatnya kualitas bangunan Drainase Perkotaan 100.000.000 100.000.000 Dinas PUD Pembangunan Drainase Paret Jalan Hutaimbaru Lk. III Kel. Hutaimbaru Lk. III Kec. Psp. Hutaimbaru Tersedianya Sarana Saluran Drainase Perkotaan Meningkatnya kualitas bangunan Drainase Perkotaan 180.000.000 120.000.000 Dinas PUD Pembangunan Paret Dek Jalan Desa Rimba Soping Desa Rimba Soping Kec. Psp. Angkola Julu Tersedianya Sarana Saluran Drainase Perkotaan Meningkatnya kualitas bangunan Drainase Perkotaan 150.000.000 150.000.000 Dinas PUD Pembangunan Drainase Simolang Desa Mompang Kec. Psp. Angkola Julu Tersedianya Sarana Saluran Drainase Perkotaan Meningkatnya kualitas bangunan Drainase Perkotaan 150.000.000 150.000.000 Dinas PUD Pembangunan Parit Dusun I dan Dusun II Desa Salambue Desa Salambue Kec. Psp. Tenggara Tersedianya Sarana Saluran Drainase Perkotaan Meningkatnya kualitas bangunan Drainase Perkotaan 190.000.000 190.000.000 Dinas PUD Pembangunan Drainase Jalan Raja Imbang Desa Desa Salambue Lk. II Kec. Psp. Tenggara Tersedianya Sarana Saluran Drainase Perkotaan Meningkatnya kualitas bangunan Drainase Perkotaan 260.000.000 280.000.000 Dinas PUD Pembangunan Drainase Jalan Meranti Raya Desa Salambue Lk. II Kec. Psp. Tenggara Tersedianya Sarana Saluran Drainase Perkotaan Meningkatnya kualitas bangunan Drainase Perkotaan 50.000.000 50.000.000 Dinas PUD Pembuatan Paret Jalan Serma Lian Kosong dari simpang Jalan AKBP Daulat Baginda Oloan Harahap hingga jalan P. Diponegoro Kel. Wek. II Kec. Psp. Utara Tersedianya Sarana Saluran Drainase Perkotaan Meningkatnya kualitas bangunan Drainase Perkotaan 88.000.000 90.000.000 Dinas PUD Dek Parit Aliran Anak Sungai Sangkumpal Bonang dari POLRES Kota sampai Jalan Gatot Subroto Kel. Wek. II Kec. Psp. Utara Tersedianya Sarana Saluran Drainase Perkotaan Meningkatnya kualitas bangunan Drainase Perkotaan 48.000.000 50.000.000 Dinas PUD Pembuatan Dek Saluran Pembuangan Gg. Serasi 1, 5 dan 9 Kel. Tano Bato Kec. Psp. Utara Tersedianya Sarana Saluran Drainase Perkotaan Meningkatnya kualitas bangunan Drainase Perkotaan 120.000.000 130.000.000 Dinas PUD Pembangunan drainase Kelurahan Sidangkal Lk. V Kelurahan Sidangkal Kec. Psp. Selatan Tersedianya Sarana Saluran Drainase Perkotaan Meningkatnya kualitas bangunan Drainase Perkotaan 1.000.000.000 1.200.000.000 Dinas PUD Rehabilitasi drainase gg, Maduma I s/d IV Lk. IV Kel. Sitamiang baru Kec. Psp. Selatan Tersedianya Sarana Saluran Drainase Perkotaan Meningkatnya kualitas bangunan Drainase Perkotaan 480.000.000 500.000.000 Dinas PUD Pembangunan Drainase Paret Gg. Prada Kel. Hutaimbaru Lk. VI Kec. Psp. Hutaimbaru Tersedianya Sarana Saluran Drainase Perkotaan Meningkatnya kualitas bangunan Drainase Perkotaan ± 250m 200.000.000 200.000.000 Dinas PUD Pembangunan Parit Jalan Raya Desa Batu Layan Desa Batu Layan Kec. Psp. Angkola Julu Tersedianya Sarana Saluran Drainase Perkotaan Meningkatnya kualitas bangunan Drainase Perkotaan ± 300m 250.000.000 250.000.000 Dinas PUD Rencana Program dan Kegiatan Prioritas Tahun 2015 Bidang Pekerjaan Umum Lembar : 23 dari 87
  • 122.
    SKPD Jenis Keg Ket Tolok Ukur TargetTolok Ukur Target Tolok Ukur Target 1/2/3 1/2/3 1/2/3 2 3 4 5 6 8 10 12 13 14 15 161 Pagu Indikatif Prakiraan Maju Keterangan Hasil Program Keluaran Kegiatan Hasil KegiatanNomor Urusan/Bidang Urusan Pemerintahan Daerah Dan Program/Kegiatan Prioritas Daerah Sasaran Daerah Lokasi Indikator kinerja Pembangunan Dek dan Paret Desa Manegen Desa Manegen Kec. Psp. Tenggara Tersedianya Sarana Saluran Drainase Perkotaan Meningkatnya kualitas bangunan Drainase Perkotaan ± 300m 200.000.000 200.000.000 Dinas PUD Pembangunan Parit kiri kanan jalan Desa Huta Lombang Desa Huta Lombang Kec. Psp. Tenggara Tersedianya Sarana Saluran Drainase Perkotaan Meningkatnya kualitas bangunan Drainase Perkotaan ± 300m 200.000.000 200.000.000 Dinas PUD Pembangunan Drainase Desa Manunggang jae Lorong III Desa Manunggang Jae Kec. Psp. Tenggara Tersedianya Sarana Saluran Drainase Perkotaan Meningkatnya kualitas bangunan Drainase Perkotaan ± 250m 200.000.000 200.000.000 Dinas PUD Pembangunan Dek Penahan Tanah Desa Manunggang Jae Lorong II Desa Manunggang Jae Kec. Psp. Tenggara Tersedianya Sarana Saluran Drainase Perkotaan Meningkatnya kualitas bangunan Drainase Perkotaan ± 200m 200.000.000 200.000.000 Dinas PUD Pengerukan Paret mulai simpang Kampung Marancar s/d Gereja HKBP Kel. Wek. II Kec. Psp. Utara Tersedianya Sarana Saluran Drainase Perkotaan Meningkatnya kualitas bangunan Drainase Perkotaan ±4000m 225.000.000 225.000.000 Dinas PUD Pembuatan Drainase dari Jalan Persatuan Gg. Pahlawan Kel. Panyanggar Kec. Psp. Utara Tersedianya Sarana Saluran Drainase Perkotaan Meningkatnya kualitas bangunan Drainase Perkotaan ± 300m 200.000.000 200.000.000 Dinas PUD Pembangunan paret jalan Alboin Hutabarat Kelurahan Sidangkal Kec. Psp. Selatan Tersedianya Sarana Saluran Drainase Perkotaan Meningkatnya kualitas bangunan Drainase Perkotaan ± 400m 280.000.000 300.000.000 Dinas PUD Pembangunan parit Lk. II Kel. Sitamiang baru Kel. Sitamiang baru Kec. Psp. Selatan Tersedianya Sarana Saluran Drainase Perkotaan Meningkatnya kualitas bangunan Drainase Perkotaan ± 300m 185.000.000 200.000.000 Dinas PUD Pembangunan Paret jalan Desa Aek Najaji menuju Gunung Hasahatan Desa Aek Najaji Kec. Psp. Batunadua Peningkatan infrastruktur daerah Lingkungan permukiman 1 keg 450.000.000 450.000.000 Dinas PUD Lanjutan Pembangunan Parit Jalan Desa Pudun Jae Lk. IV Desa Pudun Jae Lk. I Kec. Psp. Batunadua Peningkatan infrastruktur daerah Lingkungan permukiman 1 keg 150.000.000 150.000.000 Dinas PUD Pembangunan Paret jalan mulai dari desa Simirik sampai desa Bargot Topong Desa Bargot Topong dan Desa Simirik Kec. Psp. Batunadua Peningkatan infrastruktur daerah Lingkungan permukiman 1 keg 3.000.000.000 3.000.000.000 Dinas PUD Pembangunan Drainase Jalan Desa Dusun I ke Dusun II Desa Simatohir Desa Simatohir Kec. Psp. Angkola Julu Peningkatan infrastruktur daerah Lingkungan permukiman 1 keg 600.000.000 600.000.000 Dinas PUD Pembangunan Parit Jalan Raya Desa Simasom Desa Simasom Kec. Psp. Angkola Julu Peningkatan infrastruktur daerah Lingkungan permukiman 1 keg 300.000.000 300.000.000 Dinas PUD Pembuatan Parit Desa Purbatua Pijorkoling Desa Purbatua Pijorkoling Kec. Psp. Tenggara Peningkatan infrastruktur daerah Lingkungan permukiman 1 keg 190.000.000 190.000.000 Dinas PUD Pembangunan drainase jalan umum/protokol Dusun I - Dusun IV Desa Labuhan Labo Kec. Psp. Tenggara Peningkatan infrastruktur daerah Lingkungan permukiman 1 keg 600.000.000 600.000.000 Dinas PUD Rencana Program dan Kegiatan Prioritas Tahun 2015 Bidang Pekerjaan Umum Lembar : 24 dari 87
  • 123.
    SKPD Jenis Keg Ket Tolok Ukur TargetTolok Ukur Target Tolok Ukur Target 1/2/3 1/2/3 1/2/3 2 3 4 5 6 8 10 12 13 14 15 161 Pagu Indikatif Prakiraan Maju Keterangan Hasil Program Keluaran Kegiatan Hasil KegiatanNomor Urusan/Bidang Urusan Pemerintahan Daerah Dan Program/Kegiatan Prioritas Daerah Sasaran Daerah Lokasi Indikator kinerja Pembangunan paret jalan dari desa Manunggang jae menuju Desa Labuhan Rasoki Desa Manunggang Jae Kec. Psp. Tenggara Peningkatan infrastruktur daerah Lingkungan permukiman 1 keg 300.000.000 300.000.000 Dinas PUD Pembangunan Parit di gg. Perjuangan Kel. Panyanggar Kec. Psp. Utara Peningkatan infrastruktur daerah Lingkungan permukiman 1 keg 80.000.000 80.000.000 Dinas PUD Pembuatan Drainase jalan Aek Bayur sebelah kanan Kel. Silandit Kec. Psp. Selatan Peningkatan infrastruktur daerah Lingkungan permukiman 1 keg 150.000.000 150.000.000 Dinas PUD Pemeliharaan Bangunan Infrastruktur Drainase dan paret pemukiman Kota Padangsidimpuan 300.000.000 302.000.000 Program Sanitasi dan Air Minum 2.190.230.000 2.190.230.000 Pembangunan Sistem Penyediaan Air Minum Lingk.Al Ansor Kec. Psp Tenggara 312.890.000 312.890.000 Dinas PUD DAK Lingk. II Sihitang, Kec. Psp Tenggara 312.890.000 312.890.000 Dinas PUD DAK Lingk. Asrama Kodim Sihitang, Kec. Psp Tenggara 312.890.000 312.890.000 Dinas PUD DAK Desa Joring Natobang, Kec. Psp Angkola Julu 312.890.000 312.890.000 Dinas PUD DAK Desa Rimba Soping, Kec. Psp Batunadua 312.890.000 312.890.000 Dinas PUD DAK Lapas Kota Padangsidimpuan,K ec. Psp Tenggara 312.890.000 312.890.000 Dinas PUD DAK Desa Borgot Topong, Kec. Psp Batunadua 312.890.000 312.890.000 Dinas PUD DAK Program Prasarana Sanitasi 1.959.573.000 1.959.573.000 Pembuatan Prasarana Sanitasi Pembangunan Mck Ling IV sihitang Kec. Psp Tenggara 279.939.000 279.939.000 Dinas PUD DAK Rencana Program dan Kegiatan Prioritas Tahun 2015 Bidang Pekerjaan Umum Lembar : 25 dari 87
  • 124.
    SKPD Jenis Keg Ket Tolok Ukur TargetTolok Ukur Target Tolok Ukur Target 1/2/3 1/2/3 1/2/3 2 3 4 5 6 8 10 12 13 14 15 161 Pagu Indikatif Prakiraan Maju Keterangan Hasil Program Keluaran Kegiatan Hasil KegiatanNomor Urusan/Bidang Urusan Pemerintahan Daerah Dan Program/Kegiatan Prioritas Daerah Sasaran Daerah Lokasi Indikator kinerja Pembangunan Mck Pijorkoling Kec. Psp tenggara 279.939.000 279.939.000 Dinas PUD DAK Pembangunan Mck Aek najaji Kec. Psp batunadua 279.939.000 279.939.000 Dinas PUD DAK Pembangunan Mck Nusa Indah Kel. Ujung padang Kec. Psp selatan 279.939.000 279.939.000 Dinas PUD DAK Pembangunan Mck Desa Ujung Gurap Kec. Psp batunadua 279.939.000 279.939.000 Dinas PUD DAK Pembangunan Mck Wek I , Kec. Psp Utara 279.939.000 279.939.000 Dinas PUD DAK Pembangunan Mck Desa singali Kec. Psp Hutaimbaru 279.939.000 279.939.000 Dinas PUD DAK Program Pembangunan Infrastruktur pedesaan 6.790.000.000 6.920.000.000 Pengadaan air bersih desa Lembah Lubuk Manik Desa Palopat Maria Kec. Psp. Hutaimbaru Meningkatkan jumlah sarana infrastruktur pedesaan Meningkatnya Kesehatan masyarakat pedesaan 185.000.000 250.000.000 Dinas PUD Pembangunan MCK dan bak air Dusun IV Desa Joring Lombang Kec. Psp. Angkola Julu Meningkatkan jumlah sarana infrastruktur pedesaan Meningkatnya Kesehatan masyarakat pedesaan 285.000.000 300.000.000 Dinas PUD Pembuatan MCK Mesjid Babul Jannah + Keramik Desa Joring Lombang Kec. Psp. Angkola Julu Meningkatkan jumlah sarana infrastruktur pedesaan Meningkatnya Kesehatan masyarakat pedesaan 290.000.000 300.000.000 Dinas PUD Pembangunan MCK Desa PAL IV Pijorkoling Desa Pijorkoling Kec. Psp. Tenggara Meningkatkan jumlah sarana infrastruktur pedesaan Meningkatnya Kesehatan masyarakat pedesaan 730.000.000 750.000.000 Dinas PUD Sarana air bersih Desa Labuhan Rasoki Desa Labuhan Rasoki Kec. Psp. Tenggara Meningkatkan jumlah sarana infrastruktur pedesaan Meningkatnya Kesehatan masyarakat pedesaan 280.000.000 280.000.000 Dinas PUD Pembangunan MCK Desa Tarutung Baru Desa Tarutung Baru Kec. Psp. Tenggara Meningkatkan jumlah sarana infrastruktur pedesaan Meningkatnya Kesehatan masyarakat pedesaan 300.000.000 300.000.000 Dinas PUD Pembangunan Tungku dan Pipa Pembagian Air Desa Aek Bayur Desa Aek Bayur Kec. Psp. Batunadua Meningkatkan jumlah sarana infrastruktur pedesaan Meningkatnya Kesehatan masyarakat pedesaan 200.000.000 200.000.000 Dinas PUD Pembangunan MCK Desa Aek Tuhul Desa Aek Tuhul Kec. Psp. Batunadua Meningkatkan jumlah sarana infrastruktur pedesaan Meningkatnya Kesehatan masyarakat pedesaan 300.000.000 300.000.000 Dinas PUD Rencana Program dan Kegiatan Prioritas Tahun 2015 Bidang Pekerjaan Umum Lembar : 26 dari 87
  • 125.
    SKPD Jenis Keg Ket Tolok Ukur TargetTolok Ukur Target Tolok Ukur Target 1/2/3 1/2/3 1/2/3 2 3 4 5 6 8 10 12 13 14 15 161 Pagu Indikatif Prakiraan Maju Keterangan Hasil Program Keluaran Kegiatan Hasil KegiatanNomor Urusan/Bidang Urusan Pemerintahan Daerah Dan Program/Kegiatan Prioritas Daerah Sasaran Daerah Lokasi Indikator kinerja Pengadaan air bersih Desa gunung Hasahatan Desa gunung Hasahatan Kec. Psp. Batunadua Meningkatkan jumlah sarana infrastruktur pedesaan Meningkatnya Kesehatan masyarakat pedesaan 250.000.000 250.000.000 Dinas PUD Pengadaan air bersih desa Singali Desa Singali Kec. Psp. Hutaimbaru Meningkatkan jumlah sarana infrastruktur pedesaan Meningkatnya Kesehatan masyarakat pedesaan 250.000.000 250.000.000 Dinas PUD Pengadaan air bersih desa Partihaman Saroha Desa Partihaman Saroha Kec. Psp. Hutaimbaru Meningkatkan jumlah sarana infrastruktur pedesaan Meningkatnya Kesehatan masyarakat pedesaan 250.000.000 250.000.000 Dinas PUD Pembangunan MCK Desa Sabungan Sipabangun Desa Sabungan Sipabangun Kec. Psp. Hutaimbaru Meningkatkan jumlah sarana infrastruktur pedesaan Meningkatnya Kesehatan masyarakat pedesaan 300.000.000 300.000.000 Dinas PUD Pengadaan Sarana Air bersih desa Salambue Desa Salambue Kec. Psp Tenggara Meningkatkan jumlah sarana infrastruktur pedesaan Meningkatnya Kesehatan masyarakat pedesaan 100.000.000 100.000.000 Dinas PUD Pembangunan Jalan Setapak dari bendungan ke Dusun Aek Gambir Kel. Pijorkoling Kec. Psp. Tenggara Meningkatkan jumlah sarana infrastruktur pedesaan Meningkatnya Kesehatan masyarakat pedesaan 100.000.000 100.000.000 Dinas PUD Pembuatan MCK Kel. Wek VI Lk. IV Kel. Wek VI Kec. Psp. Selatan Meningkatkan jumlah sarana infrastruktur pedesaan Meningkatnya Kesehatan masyarakat pedesaan 300.000.000 300.000.000 Dinas PUD Rehabilitasi gang bahari Lk. I Kel. Losung Kel. Padangmatinggi Kec. Psp. Selatan Meningkatkan jumlah sarana infrastruktur pedesaan Meningkatnya Kesehatan masyarakat pedesaan 100.000.000 100.000.000 Dinas PUD Pembangunan gg. A. Lubis Kel. Hanopan Sibatu Kel. Hanopan Sibatu Kec. Psp. Selatan Meningkatkan jumlah sarana infrastruktur pedesaan Meningkatnya Kesehatan masyarakat pedesaan 75.000.000 75.000.000 Dinas PUD Perbaikan Tali Air Desa Pudun Julu Desa Pudun Julu Kec. Psp. Batunadua Meningkatkan jumlah sarana infrastruktur pedesaan Meningkatnya Kesehatan masyarakat pedesaan 135.000.000 135.000.000 Dinas PUD Rehabilitasi tali air MCK Desa Tinjoman Dusun I Desa Tinjoman Kec. Psp. Hutaimbaru Meningkatkan jumlah sarana infrastruktur pedesaan Meningkatnya Kesehatan masyarakat pedesaan 150.000.000 150.000.000 Dinas PUD Pengadaan air bersih Desa Sabungan Sipabangun Desa Sabungan Sipabangun Kec. Psp. Hutaimbaru Meningkatkan jumlah sarana infrastruktur pedesaan Meningkatnya Kesehatan masyarakat pedesaan 600.000.000 600.000.000 Dinas PUD Perbaikan Tungku Air minum/penambahan tungku dan penambahan pipa air leding Kel. Sihitang Kec. Psp. Tenggara Meningkatkan jumlah sarana infrastruktur pedesaan Meningkatnya Kesehatan masyarakat pedesaan 250.000.000 250.000.000 Dinas PUD Pembangunan gedung PKK Desa Huta Padang Desa Huta Padang Kec. Psp. Tenggara Meningkatkan jumlah sarana infrastruktur pedesaan Meningkatnya Kesehatan masyarakat pedesaan 400.000.000 400.000.000 Dinas PUD Pengadaan aliran air bersih jalan Sutoyo di gg. Surau Kel. Bincar Kec. Psp. Utara Meningkatkan jumlah sarana infrastruktur pedesaan Meningkatnya Kesehatan masyarakat pedesaan 180.000.000 180.000.000 Dinas PUD Rencana Program dan Kegiatan Prioritas Tahun 2015 Bidang Pekerjaan Umum Lembar : 27 dari 87
  • 126.
    SKPD Jenis Keg Ket Tolok Ukur TargetTolok Ukur Target Tolok Ukur Target 1/2/3 1/2/3 1/2/3 2 3 4 5 6 8 10 12 13 14 15 161 Pagu Indikatif Prakiraan Maju Keterangan Hasil Program Keluaran Kegiatan Hasil KegiatanNomor Urusan/Bidang Urusan Pemerintahan Daerah Dan Program/Kegiatan Prioritas Daerah Sasaran Daerah Lokasi Indikator kinerja Pembangunan Instalasi air bersih dari sungai batang nahar ke Lk. III dan Lk. V Kel. Sidangkal Kec. Psp. Selatan Meningkatkan jumlah sarana infrastruktur pedesaan Meningkatnya Kesehatan masyarakat pedesaan 400.000.000 400.000.000 Dinas PUD Pembangunan MCK sekitar mesjid Dusun I Desa Singali Kec. Psp. Hutaimbaru Meningkatkan jumlah sarana infrastruktur pedesaan Meningkatnya Kesehatan masyarakat pedesaan 380.000.000 400.000.000 Dinas PUD Program Peningkatan Jalan dan Jembatan 19.280.000.000 15.800.000.000 Pembangunan Jembatan Aek Tuhul Kec. Psp. Selatan Meningkatnya akses perkotaan Meningkatnya akses jalan dan jembatan di perkotaan 1.500.000.000 1.550.000.000 Dinas PUD Pembangunan Jembatan Aek Sipogas Kel. Bonan Dolok Kec. Psp. Utara Meningkatnya akses perkotaan Meningkatnya akses jalan dan jembatan di perkotaan 1.200.000.000 1.250.000.000 Dinas PUD Pembangunan Jembatan Aek Batang Kumal Kel. Psp. Batunadua Meningkatnya akses perkotaan Meningkatnya akses jalan dan jembatan di perkotaan 1.750.000.000 1.800.000.000 Dinas PUD Pembangunan Jembatan Aek Rukkare kelurahan Panyanggar menuju lintas barat Kec. Psp. Utara Meningkatnya akses perkotaan Meningkatnya akses jalan dan jembatan di perkotaan 900.000.000 1.050.000.000 Dinas PUD Pembangunan Jembatan pada Jalan Perintis Kemerdekaan Kec. Psp. Selatan Meningkatnya akses perkotaan Meningkatnya akses jalan dan jembatan di perkotaan 800.000.000 1.000.000.000 Dinas PUD Pembangunan Jembatan penghubung dari Desa Manunggang Jae ke Desa Huta Padang Kec. Psp. Tenggara Meningkatnya akses perkotaan Meningkatnya akses jalan dan jembatan di perkotaan 7.900.000.000 3.050.000.000 Dinas PUD Pembangunan Drainase dan Dek Jalan Sutan Parlaungan Kel. Sadabuan Kec. Psp. Utara Meningkatnya akses perkotaan Meningkatnya akses jalan dan jembatan di perkotaan 165.000.000 200.000.000 Dinas PUD Pembangunan Parit beton pada jalan DR. Payungan dari gg. Rahmat ke gg. Amal Kec. Psp. Utara Meningkatnya akses perkotaan Meningkatnya akses jalan dan jembatan di perkotaan 100.000.000 150.000.000 Dinas PUD Pembangunan Jembatan di Aek Sipogas Kel. Tobat Kec. Psp. Utara Meningkatnya akses perkotaan Meningkatnya akses jalan dan jembatan di perkotaan 300.000.000 350.000.000 Dinas PUD Pembangunan Jembatan Aek Holbung Lk. II Pj. 25 x 6 Kec. Psp. Selatan Meningkatnya akses perkotaan Meningkatnya akses jalan dan jembatan di perkotaan 750.000.000 800.000.000 Dinas PUD Pembangunan Jembatan Beton Lk. III Pj. 25 m' Kel. Sidangkal Kec. Psp. Selatan Meningkatnya akses perkotaan Meningkatnya akses jalan dan jembatan di perkotaan 750.000.000 800.000.000 Dinas PUD Pembangunan jalan Pardomuan Lk. V Kel. Aek Tampang Kec. Psp. Selatan Meningkatnya akses perkotaan Meningkatnya akses jalan dan jembatan di perkotaan 65.000.000 100.000.000 Dinas PUD Pembangunan jalan dari Tor Kalihi menuju Bangun Rejo Kel. Sitamiang Baru Kec. Psp. Selatan Meningkatnya akses perkotaan Meningkatnya akses jalan dan jembatan di perkotaan 750.000.000 800.000.000 Dinas PUD Rencana Program dan Kegiatan Prioritas Tahun 2015 Bidang Pekerjaan Umum Lembar : 28 dari 87
  • 127.
    SKPD Jenis Keg Ket Tolok Ukur TargetTolok Ukur Target Tolok Ukur Target 1/2/3 1/2/3 1/2/3 2 3 4 5 6 8 10 12 13 14 15 161 Pagu Indikatif Prakiraan Maju Keterangan Hasil Program Keluaran Kegiatan Hasil KegiatanNomor Urusan/Bidang Urusan Pemerintahan Daerah Dan Program/Kegiatan Prioritas Daerah Sasaran Daerah Lokasi Indikator kinerja Pembangunan jalan Bambu Kuning II Lk. IV Kel. Sitamiang Baru Kec. Psp. Selatan Meningkatnya akses perkotaan Meningkatnya akses jalan dan jembatan di perkotaan 100.000.000 150.000.000 Dinas PUD Pembangunan jalan Sibaganding Ujung Kel. Sitamiang Baru Kec. Psp. Selatan Meningkatnya akses perkotaan Meningkatnya akses jalan dan jembatan di perkotaan 50.000.000 100.000.000 Dinas PUD Pembangunan jalan masuk ke SDN 200207, SDN 200217 dan SDN 200219 Lk. IV Kel. Sitamiang Baru Kec. Psp. Selatan Meningkatnya akses perkotaan Meningkatnya akses jalan dan jembatan di perkotaan 50.000.000 100.000.000 Dinas PUD Pembangunan jalan Lingkar Purbatua Pijorkoling Kec. Psp. Tenggara Meningkatnya akses perkotaan Meningkatnya akses jalan dan jembatan di perkotaan 250.000.000 300.000.000 Dinas PUD Pembukaan jalan baru ke simpang SMPN 8 Desa Salambue Dusun I Desa Salambue kec. Psp. Tenggara Meningkatnya akses perkotaan Meningkatnya akses jalan dan jembatan di perkotaan 100.000.000 150.000.000 Dinas PUD Pembangunan jalan menuju SDN 200519 Desa Labuhan Labo Kec. Psp. Tenggara Meningkatnya akses perkotaan Meningkatnya akses jalan dan jembatan di perkotaan 300.000.000 350.000.000 Dinas PUD Pembangunan Jembatan Beton dari Dusun I menuju Dusun II Pj. 5 m Desa Labuhan Labo Kec. Psp. Tenggara Meningkatnya akses perkotaan Meningkatnya akses jalan dan jembatan di perkotaan 50.000.000 100.000.000 Dinas PUD Pembangunan jembatan ke Persawahan Penduduk Lk. II Pj. 25 m' Kel. Batunadua Julu Kec. Psp. Batunadua Meningkatnya akses perkotaan Meningkatnya akses jalan dan jembatan di perkotaan 600.000.000 650.000.000 Dinas PUD Pembangunan jalan Hurung Natolu Desa Ujung Gurap Kec. Psp. Batunadua Meningkatnya akses perkotaan Meningkatnya akses jalan dan jembatan di perkotaan 500.000.000 550.000.000 Dinas PUD Pembangunan jalan Batang Pane menuju Desa Pudun jae Desa Pudun Jae Kec. Psp. Batunadua Meningkatnya akses perkotaan Meningkatnya akses jalan dan jembatan di perkotaan 50.000.000 100.000.000 Dinas PUD Pembangunan jalan Dusun II Jior menuju Pesantren Sholatiah Desa Bargot Topong Kec. Psp. Batunadua Meningkatnya akses perkotaan Meningkatnya akses jalan dan jembatan di perkotaan 300.000.000 350.000.000 Dinas PUD Pemeliharaan Bangunan Infrastruktur Jalan Lingkungan dan Gang 300.000.000 302.000.000 Program Rehabilitasi/Pemeliharaan Jalan dan Jembatan 25.645.000.000 11.145.000.000 Rehabilitasi jalan Sutan Sinomba Hutaimbaru Kec. Psp. Hutaimbaru Meningkatnya kualitas jalan dan jembatan Terpenuhinya kualitas jalan dan jembatan 7.900.000.000 350.000.000 Dinas PUD Rehabilitasi jalan keliling Muhammadiyah Kec. Psp. Utara Meningkatnya kualitas jalan dan jembatan Terpenuhinya kualitas jalan dan jembatan 300.000.000 350.000.000 Dinas PUD Rencana Program dan Kegiatan Prioritas Tahun 2015 Bidang Pekerjaan Umum Lembar : 29 dari 87
  • 128.
    SKPD Jenis Keg Ket Tolok Ukur TargetTolok Ukur Target Tolok Ukur Target 1/2/3 1/2/3 1/2/3 2 3 4 5 6 8 10 12 13 14 15 161 Pagu Indikatif Prakiraan Maju Keterangan Hasil Program Keluaran Kegiatan Hasil KegiatanNomor Urusan/Bidang Urusan Pemerintahan Daerah Dan Program/Kegiatan Prioritas Daerah Sasaran Daerah Lokasi Indikator kinerja Peningkatan jalan Sutan Sualoan Kec. Psp. Selatan Meningkatnya kualitas jalan dan jembatan Terpenuhinya kualitas jalan dan jembatan 350.000.000 400.000.000 Dinas PUD Peningkatan jalan Sumoharjo dari Desa Simanorbang menuju Purwodadi Kec. Psp. Batunadua Meningkatnya kualitas jalan dan jembatan Terpenuhinya kualitas jalan dan jembatan 800.000.000 850.000.000 Dinas PUD Peningkatan jalan Mesjid kelurahan Bonan Dolok Kec. Psp. Utara Meningkatnya kualitas jalan dan jembatan Terpenuhinya kualitas jalan dan jembatan 400.000.000 450.000.000 Dinas PUD Lanjutan Peningkatan jalan Melati Kec. Psp. Selatan Meningkatnya kualitas jalan dan jembatan Terpenuhinya kualitas jalan dan jembatan 500.000.000 550.000.000 Dinas PUD Lanjutan Peningkatan jalan Serasi Kec. Psp. Utara Meningkatnya kualitas jalan dan jembatan Terpenuhinya kualitas jalan dan jembatan 450.000.000 500.000.000 Dinas PUD Peningkatan jalan Siterjeng Kel. Panyanggar Kec. Psp. Utara Meningkatnya kualitas jalan dan jembatan Terpenuhinya kualitas jalan dan jembatan 350.000.000 400.000.000 Dinas PUD Peningkatan jalan keliling Singali menuju Mesjid lama Kec. Psp. Hutaimbaru Meningkatnya kualitas jalan dan jembatan Terpenuhinya kualitas jalan dan jembatan 300.000.000 350.000.000 Dinas PUD Rehabilitasi jalan dari ujung Perumahan Tano Bato menuju Mesjid Al-Ubudiyah Kel. Batang Ayumi Julu Kec. Psp. Utara Meningkatnya kualitas jalan dan jembatan Terpenuhinya kualitas jalan dan jembatan 100.000.000 150.000.000 Dinas PUD Rehabilitasi jalan HM. Din Kel. Kayu Ombun Kec. Psp. Utara Meningkatnya kualitas jalan dan jembatan Terpenuhinya kualitas jalan dan jembatan 250.000.000 300.000.000 Dinas PUD Lanjutan Pengaspalan jalan H. Umar Nasution ke batas Serasi VII Kec. Psp. Utara Meningkatnya kualitas jalan dan jembatan Terpenuhinya kualitas jalan dan jembatan 150.000.000 200.000.000 Dinas PUD Rehabilitasi jalan menuju SD Inpres Kayu Ombun Kec. Psp. Utara Meningkatnya kualitas jalan dan jembatan Terpenuhinya kualitas jalan dan jembatan 100.000.000 150.000.000 Dinas PUD Pengaspalan jalan Bhakti ABRI Kec. Psp. Selatan Meningkatnya kualitas jalan dan jembatan Terpenuhinya kualitas jalan dan jembatan 250.000.000 300.000.000 Dinas PUD Pengaspalan jalan dari rumah Sitijah ke Lingkungan I Kec. Psp. Selatan Meningkatnya kualitas jalan dan jembatan Terpenuhinya kualitas jalan dan jembatan 75.000.000 125.000.000 Dinas PUD Perluasan jalan Padat Karya Kelurahan Sidangkal Kec. Psp. Selatan Meningkatnya kualitas jalan dan jembatan Terpenuhinya kualitas jalan dan jembatan 500.000.000 550.000.000 Dinas PUD Rehab jalan ke persawahan Lk.V Kel. Sidangkal Kec. Psp. Selatan Meningkatnya kualitas jalan dan jembatan Terpenuhinya kualitas jalan dan jembatan 300.000.000 350.000.000 Dinas PUD Pengaspalan jalan dengan hotmix ke Mesjid Akbar Al-Ikhlas Kel. Aek Tampang kec. Psp. Selatan Meningkatnya kualitas jalan dan jembatan Terpenuhinya kualitas jalan dan jembatan 100.000.000 150.000.000 Dinas PUD Rehab jalan pembangunan dari komplek DPRD Lk. I ke Lk. II Kel. Ujung Padang Kec. Psp. Selatan Meningkatnya kualitas jalan dan jembatan Terpenuhinya kualitas jalan dan jembatan 200.000.000 250.000.000 Dinas PUD Rehab jalan Cahaya ke Jalan Lestari Kel. Sihitang Kec. Psp. Tenggara Meningkatnya kualitas jalan dan jembatan Terpenuhinya kualitas jalan dan jembatan 100.000.000 150.000.000 Dinas PUD Lanjutan Rehab jalan Malayu Lubis Lk. IV Kel. Sihitang Kec. Psp. Tenggara Meningkatnya kualitas jalan dan jembatan Terpenuhinya kualitas jalan dan jembatan 150.000.000 200.000.000 Dinas PUD Lanjutan Rehab jalan Dwikora I dan II Pal IV Pijorkoling Kec. Psp. Tenggara Meningkatnya kualitas jalan dan jembatan Terpenuhinya kualitas jalan dan jembatan 100.000.000 150.000.000 Dinas PUD Rencana Program dan Kegiatan Prioritas Tahun 2015 Bidang Pekerjaan Umum Lembar : 30 dari 87
  • 129.
    SKPD Jenis Keg Ket Tolok Ukur TargetTolok Ukur Target Tolok Ukur Target 1/2/3 1/2/3 1/2/3 2 3 4 5 6 8 10 12 13 14 15 161 Pagu Indikatif Prakiraan Maju Keterangan Hasil Program Keluaran Kegiatan Hasil KegiatanNomor Urusan/Bidang Urusan Pemerintahan Daerah Dan Program/Kegiatan Prioritas Daerah Sasaran Daerah Lokasi Indikator kinerja Rehab jalan pemakaman umum Pal IV Pijorkoling Kec. Psp. Tenggara Meningkatnya kualitas jalan dan jembatan Terpenuhinya kualitas jalan dan jembatan 500.000.000 550.000.000 Dinas PUD Pengaspalan jalan Pendidikan Pal IV Pijorkoling Kec. Psp. Tenggara Meningkatnya kualitas jalan dan jembatan Terpenuhinya kualitas jalan dan jembatan 500.000.000 550.000.000 Dinas PUD Lanjutan Pengaspalan hotmix Dusun I Desa Salambue Kec. Psp. Tenggara Meningkatnya kualitas jalan dan jembatan Terpenuhinya kualitas jalan dan jembatan 400.000.000 450.000.000 Dinas PUD Rehab jalan SMPN 8 Dusun I Desa Salambue Kec. Psp. Tenggara Meningkatnya kualitas jalan dan jembatan Terpenuhinya kualitas jalan dan jembatan 200.000.000 250.000.000 Dinas PUD Rehab jalan depan Mesjid Taqwa sampai ujung Kel. Pijorkoling Kec. Psp. Tenggara Meningkatnya kualitas jalan dan jembatan Terpenuhinya kualitas jalan dan jembatan 100.000.000 150.000.000 Dinas PUD Rehab jalan dan parit Mgr. Imbang desa Lk. II Kec. Psp. Tenggara Meningkatnya kualitas jalan dan jembatan Terpenuhinya kualitas jalan dan jembatan 100.000.000 150.000.000 Dinas PUD Peningkatan jalan menuju mesjid Baitul Rahman Desa Huta Koje Kec. Psp. Tenggara Meningkatnya kualitas jalan dan jembatan Terpenuhinya kualitas jalan dan jembatan 120.000.000 170.000.000 Dinas PUD Peningkatan Jalan Al-Abror Desa Huta Padang Desa Huta Padang Kec. Psp. Tenggara Meningkatnya kualitas jalan dan jembatan Terpenuhinya kualitas jalan dan jembatan 400.000.000 450.000.000 Dinas PUD Peningkatan jalan Aek Najaji ke Desa Simirik Kec. Psp. Batunadua Meningkatnya kualitas jalan dan jembatan Terpenuhinya kualitas jalan dan jembatan 1.000.000.000 1.050.000.000 Dinas PUD Peningkatan jalan Desa Siloting Lk. I Desa Siloting Kec. Psp. Batunadua Meningkatnya kualitas jalan dan jembatan Terpenuhinya kualitas jalan dan jembatan 100.000.000 150.000.000 Dinas PUD Peningkatan jalan Bersama Lk. II Kel. Losungbatu Kec. Psp. Utara Meningkatnya kualitas jalan dan jembatan Terpenuhinya kualitas jalan dan jembatan 750.000.000 Dinas PUD Peningkatan jalan Batunadua jae menuju Purwodadi Kec. Psp. Batunadua Meningkatnya kualitas jalan dan jembatan Terpenuhinya kualitas jalan dan jembatan 1.000.000.000 Dinas PUD Peningkatan jalan Batu Lanja Kec. Psp. Angkola Julu Meningkatnya kualitas jalan dan jembatan Terpenuhinya kualitas jalan dan jembatan 750.000.000 Dinas PUD Peningkatan jalan Labuhan Rasoki - Manunggang Jae Kec. Psp. Tenggara Meningkatnya kualitas jalan dan jembatan Terpenuhinya kualitas jalan dan jembatan 1.000.000.000 Dinas PUD Lanjutan rehabilitasi jalan Ompu Sutan MAN Kec. Psp. Angkola Julu Meningkatnya kualitas jalan dan jembatan Terpenuhinya kualitas jalan dan jembatan 2.000.000.000 Dinas PUD Rehabilitasi jalan Joring Natobang - Huta Padang Kec. Psp. Angkola Julu Meningkatnya kualitas jalan dan jembatan Terpenuhinya kualitas jalan dan jembatan 1.000.000.000 Dinas PUD Rehabilitasi jalan Singali - Sabungan - Sipabangun - Tinjoman' Kec. Psp. Hutaimbaru Meningkatnya kualitas jalan dan jembatan Terpenuhinya kualitas jalan dan jembatan 1.000.000.000 Dinas PUD Rehabilitasi jalan Sutan Maujalo Kec. Psp. Selatan Meningkatnya kualitas jalan dan jembatan Terpenuhinya kualitas jalan dan jembatan 1.000.000.000 Dinas PUD Rencana Program dan Kegiatan Prioritas Tahun 2015 Bidang Pekerjaan Umum Lembar : 31 dari 87
  • 130.
    SKPD Jenis Keg Ket Tolok Ukur TargetTolok Ukur Target Tolok Ukur Target 1/2/3 1/2/3 1/2/3 2 3 4 5 6 8 10 12 13 14 15 161 Pagu Indikatif Prakiraan Maju Keterangan Hasil Program Keluaran Kegiatan Hasil KegiatanNomor Urusan/Bidang Urusan Pemerintahan Daerah Dan Program/Kegiatan Prioritas Daerah Sasaran Daerah Lokasi Indikator kinerja Program pengembangan dan pengelolaan jaringan irigasi, rawa dan jaringan pengairan lainnya 4.600.000.000 800.000.000 Rehabilitasi Jaringan Irigasi D.I Losung Batu Kec. Psp Utara Peningkatan jumlah debit air Meningkatnya jumlah persawahan yang diairi 200.000.000 250.000.000 Dinas PUD Rehabilitasi Jaringan Irigasi D.I Partihaman Saroha Kec. Psp Hutaimbaru Peningkatan jumlah debit air Meningkatnya jumlah persawahan yang diairi 200.000.000 250.000.000 Dinas PUD Rehabilitasi Bendung dan Jaringan Irigasi D.I Hanopan Kec. Psp Angkola Selatan Peningkatan jumlah debit air Meningkatnya jumlah persawahan yang diairi 250.000.000 300.000.000 Dinas PUD Rehabilitasi Bendung Dan Jaringan Irigasi D.I Hutaimbaru Kec. Psp Hutaimbaru Peningkatan jumlah debit air Meningkatnya jumlah persawahan yang diairi 400.000.000 Dinas PUD Rehabilitasi Bendung Dan Jaringan Irigasi D.I Sabungan Julu Kec. Psp Hutaimbaru Peningkatan jumlah debit air Meningkatnya jumlah persawahan yang diairi 400.000.000 Dinas PUD Rehabilitasi Bendung Dan Jaringan Irigasi D.I Sabungan Komplek Kec. Psp Hutaimbaru Peningkatan jumlah debit air Meningkatnya jumlah persawahan yang diairi 400.000.000 Dinas PUD Rehabilitasi Jaringan Irigasi Pal-IV Maria Kec. Psp Hutaimbaru Peningkatan jumlah debit air Meningkatnya jumlah persawahan yang diairi 300.000.000 Dinas PUD Rehabilitasi Bendung Dan Jaringan Irigasi D.I Pintu Langit Kec. Psp Angkola Julu Peningkatan jumlah debit air Meningkatnya jumlah persawahan yang diairi 300.000.000 Dinas PUD Rehabilitasi Bendung Dan Jaringan Irigasi D.I Rimba Soping Kec. Psp Angkola Julu Peningkatan jumlah debit air Meningkatnya jumlah persawahan yang diairi 300.000.000 Dinas PUD Rehabilitasi Bendung Dan Jaringan Irigasi D.I Bargot Topong Kec. Psp Batunadua Peningkatan jumlah debit air Meningkatnya jumlah persawahan yang diairi 500.000.000 Dinas PUD Rehabilitasi Jaringan Irigasi D.I Simatohir Kec. Psp Angkola Julu Peningkatan jumlah debit air Meningkatnya jumlah persawahan yang diairi 250.000.000 Dinas PUD Rehabilitasi Jaringan Irigasi D.I Batubola Kec. Psp Batunadua Peningkatan jumlah debit air Meningkatnya jumlah persawahan yang diairi 250.000.000 Dinas PUD Rehabilitasi Jaringan Irigasi D.I Padangsibio-bio Kec. Psp Batunadua Peningkatan jumlah debit air Meningkatnya jumlah persawahan yang diairi 250.000.000 Dinas PUD Rehabilitasi Jaringan Irigasi D.I Salambue Kec. Psp Tenggara Peningkatan jumlah debit air Meningkatnya jumlah persawahan yang diairi 200.000.000 Dinas PUD Rehabilitasi Jaringan Irigasi D.I Tarutung Baru Kec. Psp Tenggara Peningkatan jumlah debit air Meningkatnya jumlah persawahan yang diairi 200.000.000 Dinas PUD Rehabilitasi Jaringan Irigasi D.I Pijorkoling Kec. Psp Tenggara Peningkatan jumlah debit air Meningkatnya jumlah persawahan yang diairi 200.000.000 Dinas PUD Program pengendalian banjir 2.700.000.000 1.750.000.000 Pengendalian Daerah Aliran Sungai (DAS) Aek Batang Ayumi Gg. A Lubis Kec. Psp Utara Pengendalian Daerah Banjir Terkendalinya Banjir 200.000.000 250.000.000 Dinas PUD Pengendalian Daerah Aliran Sungai (DAS) Aek Sibontar Kel. Sadabuan Kec. Psp Utara Pengendalian Daerah Banjir Terkendalinya Banjir 200.000.000 250.000.000 Dinas PUD Pengendalian Daerah Aliran Sungai (DAS) Aek Batang Ayumi Kel. Wek V Kec. Psp Selatan Pengendalian Daerah Banjir Terkendalinya Banjir 400.000.000 Dinas PUD Pengendalian Daerah Aliran Sungai (DAS) Aek Sipogas Kel. Tano Bato Kec. Psp Utara Pengendalian Daerah Banjir Terkendalinya Banjir 200.000.000 250.000.000 Dinas PUD Pengendalian Daerah Aliran Sungai (DAS) Aek Ratta Desa Rimba Soping Kec. Psp Angkola Julu Pengendalian Daerah Banjir Terkendalinya Banjir 200.000.000 250.000.000 Dinas PUD Rencana Program dan Kegiatan Prioritas Tahun 2015 Bidang Pekerjaan Umum Lembar : 32 dari 87
  • 131.
    SKPD Jenis Keg Ket Tolok Ukur TargetTolok Ukur Target Tolok Ukur Target 1/2/3 1/2/3 1/2/3 2 3 4 5 6 8 10 12 13 14 15 161 Pagu Indikatif Prakiraan Maju Keterangan Hasil Program Keluaran Kegiatan Hasil KegiatanNomor Urusan/Bidang Urusan Pemerintahan Daerah Dan Program/Kegiatan Prioritas Daerah Sasaran Daerah Lokasi Indikator kinerja Pengendalian Daerah Aliran Sungai (DAS) Aek Batang Ayumi Desa Simatohir Kec. Psp Angkola Julu Pengendalian Daerah Banjir Terkendalinya Banjir 300.000.000 Dinas PUD Pengendalian Daerah Aliran Sungai (DAS) Aek Bayur Kec. Psp Batunadua Pengendalian Daerah Banjir Terkendalinya Banjir 200.000.000 250.000.000 Dinas PUD Pemeliharaan Talud / Bronjong Di Kota Padangsidimpuan Kota Padangsidimpuan Pengendalian Daerah Banjir Terkendalinya Banjir 200.000.000 250.000.000 Dinas PUD Pembangunan Dek Pengaman Mesjid Al-Ubudiyah Kec. Psp Utara Pengendalian Daerah Banjir Terkendalinya Banjir 200.000.000 250.000.000 Dinas PUD Pengendalian Daerah Aliran Sungai (DAS) Aek Sibontar Kel. Timbangan Kec. Psp Utara Pengendalian Daerah Banjir Terkendalinya Banjir 300.000.000 Dinas PUD Pembangunan Dek Pengaman Pemukiman Sibulan- bulan Kec. Psp Selatan Pengendalian Daerah Banjir Terkendalinya Banjir 300.000.000 Dinas PUD Program Pengembangan Penyehatan Lingkungan Permukiman 11.500.000.000 Penyediaan/Peningkatan Infrastuktur Permukiman Kawasan Kumuh Kota Padangsidimpuan Meningkatkan Kualitasi kesehatan masyarakat Lingkungan permukiman 6 Kws 6.000.000.000 Dinas PUD Pembangunan Saluran Drainase Primer Kota Padangsidimpuan Kota Padangsidimpuan Meningkatkan Kualitasi kesehatan masyarakat Lingkungan permukiman 2 Km 2.000.000.000 Dinas PUD Penyusunan Rencana Induk Sistem Drainase Perkotaan di Wilayah Kota Padangsidimpuan Kota Padangsidimpuan Meningkatkan Kualitasi kesehatan masyarakat Lingkungan permukiman 1 Pkt 600.000.000 Dinas PUD Penyusunan Rencana Detail Tata Bangunan dan Lingkungan (RTBL) Kawasan Strategis di Wilayah Kota Padangsidimpuan Kota Padangsidimpuan Pembenahan tata ruang kota Kawasan strategis 1 Pkt 400.000.000 Dinas PUD Pembangunan SPAM untuk Masyarakat Berpenghasilan Rendah (MBR) di Kota Padangsidimpuan dan Pendampingan Dana APBN Kota Padangsidimpuan Pembenahan tata ruang kota Kawasan strategis 1 Pkt 2.500.000.000 Dinas PUD 164.719.904.002 31.216.500.000 P2,APBD,APB N Program Peningkatan Prasarana dan Sarana Aparatur 1.700.000.000 Pembangunan Balai Desa Perkebunan Pijorkoling Desa Perkebunan Pijorkoling Kec. Psp. Tenggara Peningkatan daya tampung ruangan kerja Meningkatnya daya tampung ruang kerja 600.000.000 Dinas PUD Rehab Kantor Lurah Batang Ayumi Julu Kel. Batang Ayumi Julu Kec. Psp Utara Peningkatan daya tampung ruangan kerja Meningkatnya daya tampung ruang kerja 250.000.000 Dinas PUD Rehab Kantor Lurah Lembah Lubuk Manik/MCK Kelurahan Lembah Lubuk Manik Lk. I Kec. Psp. Hutaimbaru Peningkatan infrastruktur daerah Sarana pemerintahan 250.000.000 Dinas PUD Pembangunan Kantor Kepala Desa Huta Padang Desa Huta Padang Kec. Psp. Hutaimbaru Peningkatan infrastruktur daerah Sarana pemerintahan 600.000.000 Dinas PUD Program Pembangunan Infrastruktur Pedesaan 7.306.000.000 Pembangunan Gedung Serba Guna Desa Pintu Langit Jae Desa Pintu Langit Jae Kec. Psp. Angkola Julu Meningkatkan jumlah sarana infrastruktur pedesaan Meningkatnya Kesehatan masyarakat pedesaan 400.000.000 Dinas PUD Pengadaan air bersih Desa Pintu Langit Jae Desa Pintu Langit Jae Kec. Psp. Angkola Julu Meningkatkan jumlah sarana infrastruktur pedesaan Meningkatnya Kesehatan masyarakat pedesaan 250.000.000 Dinas PUD Rencana Program dan Kegiatan Prioritas Tahun 2015 Bidang Pekerjaan Umum Lembar : 33 dari 87
  • 132.
    SKPD Jenis Keg Ket Tolok Ukur TargetTolok Ukur Target Tolok Ukur Target 1/2/3 1/2/3 1/2/3 2 3 4 5 6 8 10 12 13 14 15 161 Pagu Indikatif Prakiraan Maju Keterangan Hasil Program Keluaran Kegiatan Hasil KegiatanNomor Urusan/Bidang Urusan Pemerintahan Daerah Dan Program/Kegiatan Prioritas Daerah Sasaran Daerah Lokasi Indikator kinerja Pengadaan prasarana air minum dann pembuatan bak air bersih Lk. I Kel. Sihitang Kec. Psp. Tenggara Meningkatkan jumlah sarana infrastruktur pedesaan Meningkatnya Kesehatan masyarakat pedesaan 350.000.000 Dinas PUD Pemasangan Paving blok gg. Sumur batu Lk. III Kel. Sadabuan Kec. Psp. Utara Meningkatkan jumlah sarana infrastruktur pedesaan Meningkatnya Kesehatan masyarakat pedesaan 50.000.000 Dinas PUD Pengadaan aliran air bersih jalan Suprapto Gg. Setia Budi Kel. Kantin Kec. Psp. Utara Meningkatkan jumlah sarana infrastruktur pedesaan Meningkatnya Kesehatan masyarakat pedesaan 180.000.000 Dinas PUD Pembuatan Sumber air bersih Kel. Wek V Lk. I Kel. Wek. V Kec. Psp. Selatan Meningkatkan jumlah sarana infrastruktur pedesaan Meningkatnya Kesehatan masyarakat pedesaan 250.000.000 Dinas PUD Rehabilitasi MCK Desa Purwodadi Lingkungan permukiman Desa Purwodadi Kec. Psp. Batunadua Peningkatan infrastruktur daerah Lingkungan permukiman 1 keg 100.000.000 Dinas PUD Pembangunan Saluran Air Bersih dari mata air Rappa sampai tempat pemandian umum Dusun II jior Lingkungan permukiman Desa Bargot Topong Kec. Psp. Batunadua Peningkatan infrastruktur daerah Lingkungan permukiman 1 keg 400.000.000 Dinas PUD Pengadaan air bersih Desa Tinjoman Kualitas kesehatan masyarakat Desa Tinjoman Kec. Psp. Hutaimbaru Peningkatan infrastruktur daerah Kualitas kesehatan masyarakat 1 keg 250.000.000 Dinas PUD Pembuatan bak air bersih dan dan pemasangan pipa PAM Kualitas kesehatan masyarakat Kel. Wek II Kec. Psp. Utara Peningkatan infrastruktur daerah Kualitas kesehatan masyarakat 1 keg 250.000.000 Dinas PUD Pengadaan air bersih Jl. H. Umar Nasution ujung Lk. I Kualitas kesehatan masyarakat Kel. Kayuombun Kec. Psp. Utara Peningkatan infrastruktur daerah Kualitas kesehatan masyarakat 1 keg 200.000.000 Dinas PUD Pembuatan bak penampungan air bersih / minum Lk. I kelurahan Wek VI Kualitas kesehatan masyarakat Kel. Wek VI Kec. Psp. Selatan Peningkatan infrastruktur daerah Kualitas kesehatan masyarakat 1 keg 450.000.000 Dinas PUD Pembangunan bak pada sumber air desa Simatohir Kualitas kesehatan masyarakat PSP Angkola Julu Peningkatan infrastruktur daerah Kualitas kesehatan masyarakat 1 keg 2.576.000.000 Dinas PUD Rehabilitasi Kantor Lurah Batunadua Jae Peningkatan kualitas/kwantit as infrastruktur Kec. Psp Batunadua Perkantoran Pemerintahan 1 keg. 250.000.000 Dinas PUD Rehab Kantor Kepala Desa Labuhan Rasoki Peningkatan kualitas/kwantit as infrastruktur Dusun II Desa Labuhan Rasoki Kec. Psp. Tenggara Perkantoran Pemerintahan 1 keg. 250.000.000 Dinas PUD Rehab Kantor Lurah Sadabuan Peningkatan kualitas/kwantit as infrastruktur Kec. Psp Utara Perkantoran Pemerintahan 1 keg. 250.000.000 Dinas PUD Pembuatan Pagar dan Rehab Kantor Lurah Wek I Peningkatan kualitas/kwantit as infrastruktur Kel. Wek I Kec. Psp. Utara Perkantoran Pemerintahan 1 keg. 250.000.000 Dinas PUD Pembangunan Aula Kantor Lurah Kantin Peningkatan kualitas/kwantit as infrastruktur Kel. Kantin Kec. Psp. Utara Perkantoran Pemerintahan 1 keg. 600.000.000 Dinas PUD Program Pembangunan Jalan dan Jembatan 200.000.000 350.000.000 Pembangunan Jalan kelurahan Sidangkal menuju Lk. IV Kec. Psp. Selatan Meningkatnya akses perkotaan Meningkatnya akses jalan dan jembatan di perkotaan 75.000.000 125.000.000 Dinas PUD Rencana Program dan Kegiatan Prioritas Tahun 2015 Bidang Pekerjaan Umum Lembar : 34 dari 87
  • 133.
    SKPD Jenis Keg Ket Tolok Ukur TargetTolok Ukur Target Tolok Ukur Target 1/2/3 1/2/3 1/2/3 2 3 4 5 6 8 10 12 13 14 15 161 Pagu Indikatif Prakiraan Maju Keterangan Hasil Program Keluaran Kegiatan Hasil KegiatanNomor Urusan/Bidang Urusan Pemerintahan Daerah Dan Program/Kegiatan Prioritas Daerah Sasaran Daerah Lokasi Indikator kinerja Pembukaan Jalan ke sawah kelurahan Sidangkal Lk. III Kec. Psp. Selatan Meningkatnya akses perkotaan Meningkatnya akses jalan dan jembatan di perkotaan 75.000.000 125.000.000 Dinas PUD Pembangunan Jalan ke sungai Sialang Lk. IV Kel. Sidangkal Kec. Psp. Selatan Meningkatnya akses perkotaan Meningkatnya akses jalan dan jembatan di perkotaan 50.000.000 100.000.000 Dinas PUD Program Rehabilitasi/Pemeliharaan Jalan dan Jembatan 127.646.800.000 19.124.500.000 Peningkatan jalan Mandailing Kampung Marancar Kec. Psp. Utara Meningkatnya kualitas jalan dan jembatan Terpenuhinya kualitas jalan dan jembatan 300.000.000 350.000.000 Dinas PUD Peningkatan jalan S. Parman Kec. Psp. Utara Meningkatnya kualitas jalan dan jembatan Terpenuhinya kualitas jalan dan jembatan 500.000.000 550.000.000 Dinas PUD Rehabilitasi jalan dan parit beton jalan Selamet Riadi Kec. Psp. Utara Meningkatnya kualitas jalan dan jembatan Terpenuhinya kualitas jalan dan jembatan 750.000.000 800.000.000 Dinas PUD Rehabilitasi jembatan pada jalan Janji Raja Wek I Kel. Wek I Kec. Psp. Utara Meningkatnya kualitas jalan dan jembatan Terpenuhinya kualitas jalan dan jembatan 100.000.000 150.000.000 Dinas PUD Lanjutan Perbaikan Lantai Baseman kantor Lurah Bonan Dolok Kel. Bonan Kec. Psp. Utara Meningkatnya kualitas jalan dan jembatan Terpenuhinya kualitas jalan dan jembatan 100.000.000 150.000.000 Dinas PUD Lanjutan pelebaran jalan Abd. Gani Siregar Kel. Silandit Kec. Selatan Meningkatnya kualitas jalan dan jembatan Terpenuhinya kualitas jalan dan jembatan 250.000.000 300.000.000 Dinas PUD Rehab jalan Maduma I s/d VI Kel. Sitamiang Baru Kec. Psp. Selatan Meningkatnya kualitas jalan dan jembatan Terpenuhinya kualitas jalan dan jembatan 300.000.000 350.000.000 Dinas PUD Rehabilitasi jalan Swadaya Lk. VIII Kel. Ujung Padang Kec. Psp. Selatan Meningkatnya kualitas jalan dan jembatan Terpenuhinya kualitas jalan dan jembatan 75.000.000 125.000.000 Dinas PUD Rehab jalan Situmba ke jalan Sinar Lk. III Kel. Sihitang Kec. Psp. Tenggara Meningkatnya kualitas jalan dan jembatan Terpenuhinya kualitas jalan dan jembatan 50.000.000 100.000.000 Dinas PUD Rehab jalan Sutan Halomoan Lk. I Kel. Pijorkoling Kec. Psp. Tenggara Meningkatnya kualitas jalan dan jembatan Terpenuhinya kualitas jalan dan jembatan 100.000.000 150.000.000 Dinas PUD Peningkatan jalan Sihar Kel. Batunadua Jae Kec. Psp. Batunadua Meningkatnya kualitas jalan dan jembatan Terpenuhinya kualitas jalan dan jembatan 300.000.000 350.000.000 Dinas PUD Peningkatan Jalan Desa Batang Bahal Desa Batang Bahal Kec. Psp. Batunadua Meningkatnya kualitas jalan dan jembatan Terpenuhinya kualitas jalan dan jembatan 400.000.000 450.000.000 Dinas PUD Pelebaran jalan Sutan Sosogoron Desa Joring Natobang Kec. Psp. Batunadua Meningkatnya kualitas jalan dan jembatan Terpenuhinya kualitas jalan dan jembatan 500.000.000 550.000.000 Dinas PUD Pelebaran Jembatan pada Jalan Provinsi dalam Kota Padangsidimpuan Kota Padangsidimpuan Jalan-jalan dalam kota Peningkatan Kualitas/kwantitas infrastruktur 6 unit 5.000.000.000 Dinas PUD Peningkatan Jalan Provinsi Ruas Kel. Hutaimbaru - Kel. Hanopan (Ringroad Lintas Barat) Kec. Psp. Hutaimbaru - Kec. Psp Batunadua Jalan-jalan dalam kota Peningkatan Kualitas/kwantitas infrastruktur 8 km 15.000.000.000 Dinas PUD Rencana Program dan Kegiatan Prioritas Tahun 2015 Bidang Pekerjaan Umum Lembar : 35 dari 87
  • 134.
    SKPD Jenis Keg Ket Tolok Ukur TargetTolok Ukur Target Tolok Ukur Target 1/2/3 1/2/3 1/2/3 2 3 4 5 6 8 10 12 13 14 15 161 Pagu Indikatif Prakiraan Maju Keterangan Hasil Program Keluaran Kegiatan Hasil KegiatanNomor Urusan/Bidang Urusan Pemerintahan Daerah Dan Program/Kegiatan Prioritas Daerah Sasaran Daerah Lokasi Indikator kinerja Rehabilitasi Jalan Provinsi Ruas Padangsidimpuan Hutaimbaru - Padangsidimpuan Batunadua (Ring Road Utara) Kec. Psp. Hutaimbaru - Kec. Psp. Batunadua Jalan-jalan dalam kota Peningkatan Kualitas/kwantitas infrastruktur 10,5 km 20.000.000.000 Dinas PUD Rehabilitasi Jalan Jend. Besar AH Nasution (Jl. By Pass Ring Road Lintas Timur) Pijorkoling - Batunadua Kec. Psp. Tenggara - Kec. Psp. Batunadua Jalan-jalan dalam kota Peningkatan Kualitas/kwantitas infrastruktur 2 km 6.000.000.000 Dinas PUD Rehab jalan dan parit beton Lopo Ujung menuju Labuhan Labo Kec. Psp. Batunadua Peningkatan infrastruktur daerah Memperlancar arus lalulintas 1 keg 1.000.000.000 Dinas PUD Rehab jalan dan parit beton Lembah Lubuk Manik menuju Simarsayang Kec. Psp. Hutaimbaru Peningkatan infrastruktur daerah Memperlancar arus lalulintas 1 keg 800.000.000 Dinas PUD Rehabilitasi Jalan Sabungan Indah Kec. Psp. Hutaimbaru Peningkatan infrastruktur daerah Memperlancar arus lalulintas 1 keg 750.000.000 Dinas PUD Rehabilitasi Jalan dan Parit Beton jalan Saidi Rambe Kelurahan Silandit Kec. Psp. Selatan Peningkatan infrastruktur daerah Memperlancar arus lalulintas 1 keg 500.000.000 Dinas PUD Rehabilitasi Jalan Cendana Kelurahan Silandit Kec. Psp. Selatan Peningkatan infrastruktur daerah Memperlancar arus lalulintas 1 keg 400.000.000 Dinas PUD Rehabilitasi Jalan Simapil - apil Kec. Psp. Hutaimbaru Peningkatan infrastruktur daerah Memperlancar arus lalulintas 1 keg 1.000.000.000 Dinas PUD Rehabilitasi Jalan Simapil apil - Tinjoman Kec. Psp. Hutaimbaru Peningkatan infrastruktur daerah Memperlancar arus lalulintas 1 keg 1.000.000.000 Dinas PUD Rehabilitasi Jalan Losungbatu - Sabungan Kel. Tobat Kec Psp Utara Peningkatan infrastruktur daerah Memperlancar arus lalulintas 1 keg 1.150.000.000 Dinas PUD Peningkatan Jalan , Kel. Hutaimbaru/ Kel. Hanopan (Ring Road Linntas Barat) Kec. Psp. Hutaimbaru - Kec. Psp. Selatan Peningkatan infrastruktur daerah Memperlancar arus lalulintas 1 keg 15.000.000.000 Dinas PUD Pelebaran Jembatan pada Jalan Nasional dalam Kota Padangsidimpuan Kota Padangsidimpuan Peningkatan kualitas/kwantitas infrastruktur Jalan-jalan dalam kota 8 unit 6.400.000.000 Dinas PUD Pelebaran Jalan Nasional dalam Kota (Jalan SM. Raja Simpang By Pass - Batas Kota Simirik) Kec. Psp Batunadua Peningkatan kualitas/kwantitas infrastruktur Jalan-jalan dalam kota 3 km 4.000.000.000 Dinas PUD Rehabilitasi Jalan Nasional dalam Kota (jalan Merdeka Tugu Siborang - Batas kota Plamboyan) Kec. Psp.Utara - Kec. Psp. Hutaimbaru Peningkatan kualitas/kwantitas infrastruktur Jalan-jalan dalam kota 7,3 km 15.000.000.000 Dinas PUD Pelebaran Jalan Nasional dalam Kota (Jalan Imam Bonjol Simpang Silandit - Batas Kota Desa Manegen) Kec. Psp. Selatan - Kec. Psp. Tenggara Peningkatan kualitas/kwantitas infrastruktur Jalan-jalan dalam kota 8 km 17.000.000.000 Dinas PUD Pemeliharaan Jalan Kota Pdangsidimpuan 650.000.000 652.000.000 Dinas PUD Pemeliharaan Jembatan Kota Padangsidimpuan 250.000.000 2.552.000.000 Dinas PUD Pemeliharaan Pembabatan Rumput Bahu Jalan dan Drainase Kota Padangsidimpuan 250.000.000 252.000.000 Dinas PUD Lanjutan Rehabilitasi Jalan Alboin Hutabarat Batas Kota Kecamatan Padangsidimpuan Selatan 1.717.000.000 1.719.000.000 Dinas PUD Pemeliharaan Pemeriksaan Torki Jembatan Rangka Baja Kota Padangsidimpuan 50.000.000 52.000.000 Dinas PUD Rencana Program dan Kegiatan Prioritas Tahun 2015 Bidang Pekerjaan Umum Lembar : 36 dari 87
  • 135.
    SKPD Jenis Keg Ket Tolok Ukur TargetTolok Ukur Target Tolok Ukur Target 1/2/3 1/2/3 1/2/3 2 3 4 5 6 8 10 12 13 14 15 161 Pagu Indikatif Prakiraan Maju Keterangan Hasil Program Keluaran Kegiatan Hasil KegiatanNomor Urusan/Bidang Urusan Pemerintahan Daerah Dan Program/Kegiatan Prioritas Daerah Sasaran Daerah Lokasi Indikator kinerja Pembangunan Jl Siterjeng Kelurahan Panyanggar Kec. Padangsidimpuan Utara 935.600.000 937.000.000 Dinas PUD Rehabilitasi Jalan Syekh Zainal Abidin Kecamatan Padangsidimpuan Batunadua 983.500.000 955.500.000 Dinas PUD Rehabilitasi J.l Keliling Sopo Indah Kecamatan Padangsidimpuan Tenggara 770.000.000 790.000.000 Dinas PUD Rehabilitasi Jalan Keliling Harahap Ujung Kelurahan Bonan Dolok Kecamatan padangsidimpuan Utara 739.000.000 750.000.000 Dinas PUD Rehabilitasi Jalan H.M Sukur Sori Tua Kecamataan Padangsidimpuan Utara 548.000.000 550.000.000 Dinas PUD Rehabilitasi Jalan Partihaman saroha Batas kota Kecamatan Padangsidimpuan utara 1.793.000.000 1.800.000.000 Dinas PUD Rehabilitasi Jalan Keliling Pudun Jae Menuju Jl. Syekh Zainal Abidin Kecamatan Padangsidimpuan Kecamatan Batunadua 1.689.400.000 170.000.000 Dinas PUD Rehabilitasi Jalan UMTS Kecamatan Padangsidimpuan Utara 546.300.000 550.000.000 Dinas PUD Rehabilitasi Jalan Dr. Wahidin Jalan Thamrin, Jalan Mongonsidi, Jalan Patrice Lumumb, Jalan Muda Siregar, Jalan Abd Rasyid Nasution dan Jalan Agus Salim. 3.000.000.000 3.020.000.000 Dinas PUD Program pengembangan dan pengelolaan jaringan irigasi, rawa dan jaringan pengairan lainnya 8.184.901.002 5.790.000.000 Rehabilitasi Jaringan Irigasi D.I Silandit Kec. Psp Selatan Peningkatan jumlah debit air Meningkatnya jumlah persawahan yang diairi 200.000.000 250.000.000 Dinas PUD Rehabilitasi Jaringan Irigasi D.I Manunggang Jae Kec. Psp Tenggara Peningkatan jumlah debit air Meningkatnya jumlah persawahan yang diairi 200.000.000 250.000.000 Dinas PUD Rehabilitasi Jaringan Irigasi D.I Ujung Gurap Kec Psp Batunadua Peningkatan jumlah debit air Meningkatnya jumlah persawahan yang diairi 200.000.000 250.000.000 Dinas PUD Rehabilitasi Jaringan irigasi D.I Sihitang Kec. Psp Tenggara Peningkatan infrastruktur daerah Peningkatan hasil produksi pertanian 1 keg 300.000.000 Dinas PUD Peningkatan Jaringan irigasi D.I Labuhan Labo Kec. Psp Tenggara Peningkatan infrastruktur daerah Peningkatan hasil produksi pertanian 1 keg 250.000.000 Dinas PUD Peningkatan Jaringan irigasi D.I Batang Bahal Kec. Psp Batunadua Peningkatan infrastruktur daerah Peningkatan hasil produksi pertanian 1 keg 200.000.000 Dinas PUD Peningkatan Jaringan irigasi D.I Simirik Kec. Psp Batunadua Peningkatan infrastruktur daerah Peningkatan hasil produksi pertanian 1 keg 250.000.000 Dinas PUD Rehabilitasi Bendung dan Jaringan irigasi D.I Mompang Kec. Psp Angkola Julu Peningkatan infrastruktur daerah Peningkatan hasil produksi pertanian 1 keg 400.000.000 Dinas PUD Rehabilitasi Jaringan Irigasi D.I Joring Lombang Kec. Psp Angkola Julu Peningkatan infrastruktur daerah Peningkatan hasil produksi pertanian 1 keg 250.000.000 255.000.000 Dinas PUD Rehabilitasi Jaringan Irigasi D.I Batu Layan Kec. Psp Angkola Julu Peningkatan infrastruktur daerah Peningkatan hasil produksi pertanian 1 keg 250.000.000 Dinas PUD Rehabilitasi Jaringan Irigasi D.I Huta Padang Kec. Psp Hutaimbaru Peningkatan infrastruktur daerah Peningkatan hasil produksi pertanian 1 keg 250.000.000 Dinas PUD Rencana Program dan Kegiatan Prioritas Tahun 2015 Bidang Pekerjaan Umum Lembar : 37 dari 87
  • 136.
    SKPD Jenis Keg Ket Tolok Ukur TargetTolok Ukur Target Tolok Ukur Target 1/2/3 1/2/3 1/2/3 2 3 4 5 6 8 10 12 13 14 15 161 Pagu Indikatif Prakiraan Maju Keterangan Hasil Program Keluaran Kegiatan Hasil KegiatanNomor Urusan/Bidang Urusan Pemerintahan Daerah Dan Program/Kegiatan Prioritas Daerah Sasaran Daerah Lokasi Indikator kinerja Rehabilitasi Jaringan Irigasi D.I Sidakkal Kec. Psp Selatan Peningkatan infrastruktur daerah Peningkatan hasil produksi pertanian 1 keg 250.000.000 Dinas PUD Rehabilitasi Jaringan Irigasi D.I Aek Sipogas Kec. Psp Utara Peningkatan infrastruktur daerah Peningkatan hasil produksi pertanian 1 keg 250.000.000 Dinas PUD Rehabilitasi Jaringan Irigasi D.I Lembah Lubuk Manik Kec. Psp Hutaimbaru Peningkatan infrastruktur daerah Peningkatan hasil produksi pertanian 1 keg 350.000.000 370.000.000 Dinas PUD Rehabilitasi Jaringan Irigasi D.I Simasom Kec. Psp Angkola Julu Peningkatan infrastruktur daerah Peningkatan hasil produksi pertanian 1 keg 200.000.000 Dinas PUD Rehabilitasi Jaringan Irigasi D.I Simangornop Simolang Kec. Psp Angkola Julu Peningkatan infrastruktur daerah Peningkatan hasil produksi pertanian 1 keg 320.000.000 350.000.000 Dinas PUD Rehabilitasi Jaringan Irigasi D.I Batu Gajah Kec. Psp Angkola Julu Peningkatan infrastruktur daerah Peningkatan hasil produksi pertanian 1 keg 250.000.000 Dinas PUD Rehabilitasi Jaringan Irigasi D.I Sihoring Koring Kec. Psp Batunadua Peningkatan infrastruktur daerah Peningkatan hasil produksi pertanian 1 keg 250.000.000 270.000.000 Dinas PUD Rehabilitasi Jaringan Irigasi D.I Labuhan Rasoki 270.000.000 290.000.000 Dinas PUD Rehabilitasi Bendung dan Jaringan irigasi D.I Sabungan Komplek 300.000.000 320.000.000 Dinas PUD Rehabilitasi Bendung dan Jaringan Irigasi D.I Rimba Soping 344.901.002 350.000.000 Dinas PUD Rehabilitasi Jaringan Irigasi D.I Batang Bahal 250.000.000 255.000.000 Dinas PUD Rehabilitasi Jaringan Irigasi D.I Tarutung Baru 250.000.000 270.000.000 Dinas PUD Rehabilitasi Bendungan dan Jaringan Irigasi D.I Partihaman Saroha 200.000.000 220.000.000 Dinas PUD Rehabilitasi Bendung dan Jaringan Irigasi D.I Bargot Topong 500.000.000 520.000.000 Dinas PUD Rehabilitasi Jaringan Irigasi D.I Pal IV Maria 300.000.000 320.000.000 Dinas PUD Rehabilitasi Jaringan Irigasi D.I Batu Bola 150.000.000 170.000.000 Dinas PUD Rehabilitasi Jaringan Irigasi D.I Padang Sibio-bio 200.000.000 220.000.000 Dinas PUD Rehabilitasi Jaringan Irigasi D.I Kota Padangsidimpuan 400.000.000 420.000.000 Dinas PUD Rehabilitasi Bendung D.I Kota Padangsidimpuan 200.000.000 220.000.000 Dinas PUD Pengerukan Sendimen dan Pembabatan D.I Kota Padangsidimpuan 200.000.000 220.000.000 Dinas PUD Rencana Program dan Kegiatan Prioritas Tahun 2015 Bidang Pekerjaan Umum Lembar : 38 dari 87
  • 137.
    SKPD Jenis Keg Ket Tolok Ukur TargetTolok Ukur Target Tolok Ukur Target 1/2/3 1/2/3 1/2/3 2 3 4 5 6 8 10 12 13 14 15 161 Pagu Indikatif Prakiraan Maju Keterangan Hasil Program Keluaran Kegiatan Hasil KegiatanNomor Urusan/Bidang Urusan Pemerintahan Daerah Dan Program/Kegiatan Prioritas Daerah Sasaran Daerah Lokasi Indikator kinerja Program pengendalian banjir 5.750.000.000 870.000.000 Pengendalian Daerah Aliran Sungai (DAS) Aek Sipogas Kel. Bincar Kec. Psp Utara Pengendalian Daerah Banjir Terkendalinya Banjir 200.000.000 250.000.000 Dinas PUD Pengendalian Daerah Aliran Sungai (DAS) Aek Batang Kumal dan Pengaman Saliran D.I Padang Sibio - bio Kec Psp Angkola Julu Pengendalian Daerah Banjir Terkendalinya Banjir 250.000.000 300.000.000 Dinas PUD Pembuatan Dek Pangaman (DAS) Sungai Batang Angkola Jembatan Sihitang Kec. Psp. Tenggara Peningkatan Kualitas/kwantitas infrastruktur Kualitas lingkungan 5.000.000.000 Dinas PUD Pengendalian Daerah Aliran Sungai (DAS) Pengamanan Pemukiman Desa Huta Padang 300.000.000 320.000.000 Dinas PUD Program Lingkungan Sehat Perumahan 9.085.000.000 Perbaikan Tali Air Desa Pudun Julu Desa Pudun Julu Kec. Psp. Batunadua Peningkatan kualitas/kwantitas infrastruktur Lingkungan Permukiman 1 keg. 135.000.000 Dinas PUD Rehabilitasi Tali Air MCK Desa Tinjoman Dusun I Desa Tinjoman Kec. Psp. Hutaimbaru Peningkatan kualitas/kwantitas infrastruktur Lingkungan Permukiman 1 keg. 150.000.000 Dinas PUD Pembangunan Gedung PKK Desa Huta Padang Desa Huta Padang Kec. Psp. Tenggara Peningkatan kualitas/kwantitas infrastruktur Lingkungan Permukiman 1 keg. 400.000.000 Dinas PUD Pembangunan MCK sekitar mesjid Dusun I Desa Singali Kec. Psp. Hutaimbaru Peningkatan kualitas/kwantitas infrastruktur Lingkungan Permukiman 1 keg. 400.000.000 Dinas PUD Rehabilitasi Rumah Tidak Layak Huni Padangsidimpuan Pengurangan persebaran penduduk miskin Masyarakat Berpenghasilan Rendah (MBR) 1.000 Unit 2.000.000.000 Dinas PUD Penataan Perumahan pada Kawasan Permukiman Padat Padangsidimpuan Peningkatan kesehatan masyarakat Masyarakat Berpenghasilan Rendah (MBR) 6 Kws 6.000.000.000 Dinas PUD Program Pemberdayaan Komunitas Perumahan 2.356.973.000 2.502.000.000 Biaya Pendukung DAK Sanitasi Berbasis Masyarakat 297.400.000 300.000.000 Dinas PUD Pembangunan MCK Lingkungan IV Sihitang Kecamatan Padangsidimpuan Tenggara 279.939.000 300.000.000 Dinas PUD Pembangunan MCK Kelurahan Pijorkoling Kecamatan Padangsidimpuan Tenggara 279.939.000 300.000.000 Dinas PUD Pembangunan MCK Desa Aek Najaji Kecamatan Padangsidimpuan Batunadua 279.939.000 300.000.000 Dinas PUD Pembangunan MCK Nusa Indah Kecamatan Padangsidimpuan Selatan 279.939.000 300.000.000 Dinas PUD Pembangunan MCK Ujung Gurap Kecamatan Padangsidimpuan Batunadua 279.939.000 300.000.000 Dinas PUD Pembangunan MCK Kelurahan Wek I Kampung Salak Kecamatan padangsidimpuan Utara 279.939.000 300.000.000 Dinas PUD Rencana Program dan Kegiatan Prioritas Tahun 2015 Bidang Pekerjaan Umum Lembar : 39 dari 87
  • 138.
    SKPD Jenis Keg Ket Tolok Ukur TargetTolok Ukur Target Tolok Ukur Target 1/2/3 1/2/3 1/2/3 2 3 4 5 6 8 10 12 13 14 15 161 Pagu Indikatif Prakiraan Maju Keterangan Hasil Program Keluaran Kegiatan Hasil KegiatanNomor Urusan/Bidang Urusan Pemerintahan Daerah Dan Program/Kegiatan Prioritas Daerah Sasaran Daerah Lokasi Indikator kinerja Pembangunan MCK Desa Singali Kecamatan Padangsidimpuan Hutaimbaru 279.939.000 300.000.000 Dinas PUD Pemeliharaan Bangunan Infrastruktur Sanitasi 100.000.000 102.000.000 Dinas PUD Program Rehabilitasi/Pemeliharaan Talud/Bronjong 200.000.000 220.000.000 Pemeliharaan Talud dan Bronjong D.I Kota Padangsidimpuan 200.000.000 220.000.000 Dinas PUD Program Pengembangan Kinerja Pengelolaan Air Minum dan Air Limbah 2.290.230.000 2.360.000.000 Pembangunan SPAM Lingkungan AL-Ansor Kec.Psp Tenggara 312.890.000 320.000.000 Dinas PUD Pembangunan SPAM Lingkungan II Sihitang Kelurahan Sihitang Kec.Psp. Tenggara 312.890.000 320.000.000 Dinas PUD Pembangunan SPAM pada Lingkungan Asrama Kodim Sihitang Kelurahan Sihitang Kec. Psp. Tenggara 312.890.000 320.000.000 Dinas PUD Pembangunan SPAM pada Desa Joring Natobang Kec. Psp. Angkola Julu 312.890.000 320.000.000 Dinas PUD Pembangunan SPAM pada Desa Rimba Soping Kec.Psp. Batunadua 312.890.000 320.000.000 Dinas PUD Pembangunan SPAM pada Lapas Kota Padangsidimpuan Kec.Psp. Tenggara 312.890.000 320.000.000 Dinas PUD Pembangunan SPAM pada Desa Bargot Topong Lingkungan V Halumpang Kec.Psp.Batunadua 312.890.000 320.000.000 Dinas PUD Pemeliharaan Bangunan Infrastruktur Air Minum 100.000.000 120.000.000 Dinas PUD Rencana Program dan Kegiatan Prioritas Tahun 2015 Bidang Pekerjaan Umum Lembar : 40 dari 87
  • 139.
    SKPD Jenis Keg TolokUkur Tolok Ukur Tolok Ukur 1/2/3 1/2/3 1/2/3 2 3 4 5 6 8 10 12 13 14 15 15 01 URUSAN WAJIB 01 04 BIDANG PERUMAHAN 3.260.000.000 1.735.000.000 P1 Program Peningkatan Kesiagaan dan Pencegahan bahaya Kebakaran 1.635.000.000 Pengadaan Sarana dan Prasarana Pencegahan Bahaya Kebakaran Meningkatnya Pelayanan di Bidang Pencegahan Kebakaran Meningkatnya kualitas dan kuantitas sarana dan prasarana Padangsidimpuan Meningkatnya Pelayanan di Bidang Pencegahan kebakaran 125.000.000 Dinas KP2K Pemeliharaan Sarana dan Prasarana Pencegahan Bahaya Kebakaran Terlaksananya Pemeliharaan Sarana dan Prasarana Pencegahan Bahaya Kebakaran Padangsidimpuan 1.510.000.000 Dinas KP2K Program Lingkungan Sehat Perumahan 100.000.000 Percepatan Pembangunan Sanitasi Permukiman 100.000.000 Bappeda 1.525.000.000 P2 Program Peningkatan Kesiagaan dan Pencegahan Kebakaran 30.000.000 Kegiatan Pendidikan dan Pelatihan Pertolongan Pencegahan Kebakaran - Pelatihan Anggota Pemadam Kebakaran Meningkatnya pengetahuan aparatur Meningkatnya Kualitas Aparatur Padangsidimpuan Meningkatnya Pengetahuan Aparatur dlm Pencegahan Kebakaran Pelatihan Anggota Pemadam Kebakaran Menambah keterampilan anggota pemadam kebakaran 30.000.000 Dinas KP2K Pengadaan Sarana dan Prasarana Pencegahan Bahaya Kebakaran Bertambahnya Sarana dan Prasarana Pencegahan Kebakaran 1.040.000.000 Dinas KP2K - Pembuatan Bak Penampungan Air Terpeliharanya Sarana dan Prasarana Pencegahan Kebakaran Padangsidimpuan 1 unit 200.000.000 Dinas KP2K - Pengadaan Mobil Pemadam Kebakaran Bertambahnya Sarana dan Prasarana Pencegahan Kebakaran Padangsidimpuan 1 unit 600.000.000 Dinas KP2K - Pengadaan Mesin Tempel Bertambahnya Sarana dan Prasarana Pencegahan Kebakaran Padangsidimpuan 2 unit 240.000.000 Dinas KP2K 85 org 85 org 85 org Ket 1 7 Keterangan 11 Target Target 9 Target Rencana Program dan Kegiatan Prioritas Daerah Tahun 2015 Kota Padangsidimpuan Nomor Urusan/Bidang Urusan Pemerintahan Daerah Dan Program/Kegiatan Prioritas Daerah Sasaran Daerah Lokasi Indikator kinerja Pagu Indikatif (Rp) Hasil Program Prakiraan Maju (Rp) Keluaran Kegiatan Hasil Kegiatan Rencana Program dan Kegiatan Prioritas Tahun 2015 Bidang Perumahan Lembar : 41 dari 87
  • 140.
    SKPD Jenis Keg TolokUkur Tolok Ukur Tolok Ukur 1/2/3 1/2/3 1/2/3 2 3 4 5 6 8 10 12 13 14 15 15 Ket 1 7 Keterangan 11 Target Target 9 Target Nomor Urusan/Bidang Urusan Pemerintahan Daerah Dan Program/Kegiatan Prioritas Daerah Sasaran Daerah Lokasi Indikator kinerja Pagu Indikatif (Rp) Hasil Program Prakiraan Maju (Rp) Keluaran Kegiatan Hasil Kegiatan Program Pengelolaan Areal Pemakaman 455.000.000 Penyusunan kebijakan,norma,standar,prosedur dan manual pengelolaan areal pemakaman Berfungsinya dengan baik sarana dan prasarana pemakaman dalam menambah keindahan kota Padangsidimpuan 55.000.000 Dinas KP2K Pemeliharaan Sarana dan Prasarana Pemakaman Berfungsinya dengan baik sarana dan prasarana pemakaman dalam menambah keindahan kota 200.000.000 Dinas KP2K - Penataan Lahan Pekuburan Terpeliharanya Lahan Perkuburan Jl. Saidi rambe 1 paket 200.000.000 Dinas KP2K Rencana Program dan Kegiatan Prioritas Tahun 2015 Bidang Perumahan Lembar : 42 dari 87
  • 141.
    SKPD Jenis KegKeterangan Tolok Ukur Tolok Ukur Tolok Ukur 1/2/3 1/2/3 1/2/3 2 3 4 5 6 8 10 12 13 14 15 16 0 1 URUSAN WAJIB 0 1 0 5 BIDANG PENATAAN RUANG 670.000.000 100.000.000 520.000.000 100.000.000 P1 Program Perencanaan Tata Ruang 2 Keg 425.000.000 100.000.000 Penyusunan Kebijakan tentang penyusunan rencana tata ruang Tersusunnya Dokumen RDTR Kota Padangsidimpuan yang terintegrasi 1 Dok Tersedianya Dokumen sebagai acuan pemanfaatan ruang di Kota Padangsidimpuan 1 Dok 250.000.000 Bappeda Sosialisasi Peraturan Perundangan- undangan tentang RTR Padangsidimpuan Tersosialisasinya Perda tentang RTRW Kota Padangsidimpuan Pada Masyarakat dan Pemangku kepentingan 6 Kec. Tertatanya Kota Padangsidimpuan sesuai dengan Perda Tata Ruang 6 Kec. 175.000.000 Bappeda Program Pemanfaatan Ruang 1 Keg 95.000.000 100.000.000 Penyusunan Kebijakan Pengendalian Pemanfaatan Ruang Padangsidimpuan Rekomendasi Pemanfaatan Ruang sesuai RTRW 12 rekomendasi Terkendalinya Pemanfaatan Ruang sesuai RTRW 12 rekomendasi 95.000.000 100.000.000 Bappeda 150.000.000 P2 Program Perencanaan Tata Ruang 150.000.000 Penetepan Kebijakan Tentang RDTRK, RTRK & RTBL Padangsidimpuan Perda RDTRK,RTRK, & RTBL 1 Perda Terpedomaninya Perda RDTRK, RTRK, & RTBL untuk pemanfaatan & pengendalian Tata Ruang 1 Perda 150.000.000 0 Bappeda Rencana Program dan Kegiatan Prioritas Daerah Tahun 2015 Kota Padangsidimpuan Nomor Urusan/Bidang Urusan Pemerintahan Daerah Dan Program/Kegiatan Prioritas Daerah Sasaran Daerah Lokasi Indikator kinerja Prakiraan Maju Keterangan Hasil Program Keluaran Kegiatan Hasil Kegiatan Target Pagu Indikatif Target Target 1 7 9 11 Rencana Program dan Kegiatan Prioritas Tahun 2015 Bidang Penataan Ruang Lembar : 43 dari 87
  • 142.
    SKPD Jenis KegKet Tolok Ukur Target Tolok Ukur Target Tolok Ukur Target 1/2/3 1/2/3 2 3 4 5 6 7 8 9 10 11 12 13 14 15 16 01 URUSAN WAJIB 01 06 BIDANG PERENCANAAN PEMBANGUNAN 7.658.842.860 5.842.199.000 5.598.363.860 5.179.199.000 P1 Program Pelayanan Administrasi Perkantoran Terpenuhinya Pelayanan Administrasi Perkantoran 12 Keg. 1.283.727.000 1.483.410.000 Penyediaan Jasa Surat Menyurat Padangsidimpuan 1 Thn Uang Lembur 8640OJ 1 Thn 167.000.000 192.000.000 Bappeda Honorarium 120 OB Penyediaan Jasa Komunikasi, Sumber Daya Air dan Listrik Padangsidimpuan 1 Thn Listrik, telepon, internet dan penambahan daya 1 Thn Terpenuhinya sarana komunikasi dan informasi yang mendukung kelancaran tugas 1 Thn 87.300.000 76.000.000 Bappeda Penyediaan Jasa Pemeliharaan dan Perizinan Kenderaan Dinas Operasional Padangsidimpuan 1 Thn Jasa service, BBM, pelumas, suku cadang dan STNK 1 Thn Terpeliharanya kenderaan dinas operasional 1 Thn 70.000.000 118.000.000 Bappeda Penyediaan Jasa Perbaikan Peralatan Kerja Padangsidimpuan 1 Thn Service komputer, printer, AC dan Mesin Tik 1 Thn terpeliharanya sarana perkantoran 1 Thn 28.750.000 33.100.000 Bappeda Penyediaan Alat Tulis Kantor Padangsidimpuan 1 Thn ATK 1 Thn Terpenuhinya kebutuhan ATK 1 Thn 78.000.000 74.000.000 Bappeda Penyediaan Barang Cetakan dan Penggandaan Padangsidimpuan 1 Thn Cetakan dan Penggandaan 1 Thn Terpenuhinya kebutuhan cetakan dan penggandaan kantor 1 Thn 80.000.000 107.800.000 Bappeda Penyediaan Komponen Instalasi Listrik / Penerangan Bangunan Kantor Padangsidimpuan 1 Thn Alat - alat listrik 1 Thn Terpenuhinya penerangan kantor 1 Thn 15.312.000 17.609.000 Bappeda Penyediaan Peralatan Rumah Tangga Padangsidimpuan 1 Thn Alat - alat kebersihan 1 Thn Terpenuhinya peralatan kebersihan kantor 1 Thn 20.365.000 22.401.000 Bappeda Penyediaan Bahan Bacaan dan Peraturan Perundang-undangan Padangsidimpuan 1 Thn Buku Perundang - undangan, Surat Kabar 1 Thn Tersedianya Bahan Bacaan untuk peningkatan SDM 1 Thn 22.000.000 7.500.000 Bappeda Penyediaan Makanan dan Minuman Padangsidimpuan 1 Thn Uang Makan Harian Pegawai, Makan dan Minum Tamu, makan lembur dan rapat 1 Thn Terpenuhinya kebutuhan konsumsi urusan kedinasan 1 Thn 200.000.000 200.000.000 Bappeda Rapat-rapat Koordinasi dan Konsultasi ke Luar Daerah Luar Daerah 1 Thn Perjalanan Dinas Luar Daerah 1 Thn Memperlancar urusan kedinasan 1 Thn 500.000.000 600.000.000 Bappeda Rapat-rapat Koordinasi dan Konsultasi ke Dalam Daerah Padangsidimpuan 1 Thn Perjalanan Dinas Dalam Daerah 1 Thn Memperlancar urusan kedinasan 1 Thn 15.000.000 35.000.000 Bappeda Program Peningkatan Sarana dan Prasarana Aparatur Terpenuhinya dan terpeliharanya sarana dan prasarana perkantoran 2 Keg. 444.000.000 125.000.000 Pengadaan Perlengkapan Gedung Kantor Padangsidimpuan Komputer, Printer, TV, Proyektor, Handycam, Kamera, Mesin Tik, AC, GPS, Fax, Mesin Pompa, Box Water, mesin Pemotong kertas 1 Thn Terpenuhinya Perlengkapan gedung Kantor 1 Thn 56.000.000 60.000.000 Bappeda Pemeliharaan rutin/berkala Gedung Kantor Padangsidimpuan Peningkatan Aula Kantor Bappeda 1 Paket Terpeliharanya Gedung Kantor 1 Paket 60.000.000 45.000.000 Bappeda 1 Terpenuhinya kesejahteraan Pegawai Pagu Indikatif Prakiraan Maju Keterangan Hasil Program Keluaran Keg Hasil Keg Rencana Program dan Keg Prioritas Daerah Tahun 2015 Kota Padangsidimpuan Nomor Urusan/Bidang Urusan Pemerintahan Daerah Dan Program/Keg Prioritas Daerah Sasaran Daerah Lokasi Indikator kinerja Rencana Program dan Kegiatan Prioritas Tahun 2015 Bidang Perencanaan Pembangunan Lembar : 44 dari 87
  • 143.
    SKPD Jenis KegKet Tolok Ukur Target Tolok Ukur Target Tolok Ukur Target 1/2/3 1/2/3 2 3 4 5 6 7 8 9 10 11 12 13 14 15 161 Pagu Indikatif Prakiraan Maju Keterangan Hasil Program Keluaran Keg Hasil KegNomor Urusan/Bidang Urusan Pemerintahan Daerah Dan Program/Keg Prioritas Daerah Sasaran Daerah Lokasi Indikator kinerja Pemeliharaan rutin/berkala PerlengkapanGedung Kantor Padangsidimpuan 18.000.000 20.000.000 Bappeda Pengadaan kenderaan dinas operasional Padangsidimpuan 310.000.000 Bappeda Program Peningkatan Disiplin Aparatur Meningkatkan Displin Pegawai dan Kerapihan Pegawai 3 Keg. 35.000.000 37.000.000 Pengadaan Pakaian Khusus Hari-Hari tertentu Padangsidimpuan Pakaian Training 65 Stel Peningkatkan disiplin dan kerapian Pegawai 65 Stel 35.000.000 37.000.000 Bappeda Program Peningkatan Kapasitas Kelembagaan Perencanaan Pembangunan Daerah Peningkatan Kemampuan dan Pengetahuan Aparatur 5 Keg. 749.147.360 1.150.000.000 Peningkatan Kemampuan Teknis Aparat Perencana Padangsidimpuan Bintek, Diklat dan kursus - kursus singkat 1 Thn Peningkatan pengetahuan Aparatur 1 Thn 240.000.000 280.000.000 Bappeda Rencana Aksi Daerah Pencegahan & Pemberantasan Korupsi Padangsidimpuan Dok. Laporan Koordinasi RAD-PPK 4 Dok Terpedomaninya Dok.Laporan Koordinasi RAD-PPK 4 Dok 200.000.000 220.000.000 Bappeda Penyusunan Kebijakan Penerapan Ilmu Pengetahuan & Teknologi Padangsidimpuan Lap.Tentang kemajuan IPTEK untuk mendukung perkembangan Perencanaan Pembangunan Daerah 3 Dok Terpedomaninya Hasil Laporan DRD 2 Dok 276.147.360 650.000.000 Bappeda konsultan pihak ke 3 Seminar Pembangunan Kota Padangsidimpuan Berbasis Riset Padangsidimpuan Seminar Pembangunan Berbasis Riset 75 org Terinformasikannya Pembangunan Kota Padangsidimpuan Berbasis riset 75 org 33.000.000 Bappeda Program Peningkatan Pengembangan Sistem Pelaporan capaian kinerja dan keuangan Terpedomaninya Laporan Keuangan, Prognosisi, Renja dan Lakip untuk peningkatan capaian kinerja dan keuangan 3 Keg. 34.683.000 39.463.000 Penyusunan Laporan Prognosis realisasi anggaran Padangsidimpuan Laporan Realisasi Anggaran san Prognosisi 1 Dok Dipedomaninya LRA dan Prognosisi 1 Dok 4.000.000 4.500.000 Bappeda Penyusunan Laporan keuangan akhir tahun Padangsidimpuan Laporan Keuangan dan Asset 3 Dok. Dipedomaninya Laporan Keuangan dan Asset 3 Dok. 7.150.000 7.900.000 Bappeda Penyusunan Laporan Rencana kinerja dan Anggaran Padangsidimpuan Renja dan Lakip 2 Dok Terpedomaninya dokumen Lakip dan Renja Bappeda Kota Padangsidimpuan 3 Dok 23.533.000 27.063.000 Bappeda Renja (2015 & 2016) dan Lakip Bappeda Program Perencanaan Pembangunan Daerah 9 Keg. 1.219.752.000 1.526.826.000 Pengembangan partisipasi masyarakat dalam perumusan program dan kebijakan layanan publik Padangsidimpuan Terselenggaranya Forum SKPD 1 Dok Dipedomaninya Notulen Hasil Musrenbang ,Terpedomanya hasil musrenbang kecamatan dalam program kegiatan SKPD 1 Dok 130.000.000 150.000.000 Bappeda - Konsultasi Publik - Forum SKPD ( penentuan arah kebijakan daerah dan terakomodirny a hasil Penyusunan Rancangan RKPD Padangsidimpuan Draft RKPD 1 Dok Tersedianya Bahan untuk Musrenbang RKPD 1 Dok 180.000.000 198.375.000 Bappeda - Rancangan Awal RKPD/Draft RKPD hasil Rencana Program dan Kegiatan Prioritas Tahun 2015 Bidang Perencanaan Pembangunan Lembar : 45 dari 87
  • 144.
    SKPD Jenis KegKet Tolok Ukur Target Tolok Ukur Target Tolok Ukur Target 1/2/3 1/2/3 2 3 4 5 6 7 8 9 10 11 12 13 14 15 161 Pagu Indikatif Prakiraan Maju Keterangan Hasil Program Keluaran Keg Hasil KegNomor Urusan/Bidang Urusan Pemerintahan Daerah Dan Program/Keg Prioritas Daerah Sasaran Daerah Lokasi Indikator kinerja Musrenbang RKPD Padangsidimpuan Terselenggaranya Musrenbang RKPD 1 Dok Tersedianya Bahan Penyempurnaan Rancangan Awal RKPD 1 Dok 250.000.000 231.000.000 Bappeda - Musrenbang RKPD Penetapan RKPD Padangsidimpuan Dokumen RKPD 1 Dok Dipedomaninya RKPD untuk perencanaan pembangunan selanjutnya 1 Dok 75.000.000 125.637.000 Bappeda - Finalisasi RKPD - Penjilidan Koordinasi penyusunan Laporan kinerja pemerintah daerah Padangsidimpuan Dokumen Lakip Kota Padangsidimpuan 1 Dok Diketahuinya capaian kinerja Pemerintah Kota Padangsidimpuan 1 Dok 90.000.000 124.100.000 Bappeda - Koordinasi Penyusunan Lakip ke Propinsi dan Pusat, dan Koordinasi penyusunan Laporan keterangan pertanggungjawaban (LKPJ) 1 Tahun Padangsidimpuan Dokumen LKPJ Tahunan 1 Dok Tersedianya dokumen LKPJ Walikota Padangsidimpuan 1 Dok 125.000.000 200.000.000 Bappeda - Penyusunan buku LKPJ Monitoring, Evaluasi dan Pelaporan Padangsidimpuan Dokumen laporan monitoring dan evaluasi Perencanaan Pembangunan Daerah 4 Dok Dipedomaninya laporan hasil monitoring untuk perencanaan selanjutnya 4 Dok 150.000.000 180.000.000 Bappeda - Monitoring pelaksanaan kegiatan pembangunan di Kota Padangsidimp uanEvaluasi Pelaksanaan RKPD Padangsidimpuan Dokumen Evaluasi RKPD 1 Dok Terevaluasinya Pelaksanaan RKPD 1 Dok 89.752.000 137.714.000 Bappeda - Laporan RKPD per triwulan Review RPJMD Padangsidimpuan Dokumen evaluasi RPJMD 1 Dok Terpedomaninya dokumen evaluasi RPJMD untuk pelaksanaannya perencanaan pembangunan 1 Dok 130.000.000 180.000.000 Bappeda - Laporan Evaluasi RPJMD per semester dilaporkan ke propinsi - Dokumen Program Pengembangan Data dan Informasi 2 Keg 637.054.500 582.500.000 Penyusunan dan pengumpulan Data/Informasi Kebutuhan Peny. Dokumen Perencanaan Kec. Psp Tenggara dan Kec. Psp Batunadua Dokumen identifikasi daerah irigasi 2 Kec. Acuan untuk perencanaan pembangunan sektor irigasi dan pertanian 2 Kec. 120.000.000 250.000.000 Bappeda - Pemetaan Kawasan kumuh Penyusunan Sistem Informasi Perencanaan Pembangunan Daerah Padangsidimpuan Sistem Informasi Perencanaan Pembangunan Daerah 1 Dok Dipedomaninya Sistem Informasi Perencanaan Pembangunan Daerah sebagai pedoman untuk mewujudkan perencanaan yang terarah dan akurat 1 Dok 150.000.000 160.000.000 Bappeda Penyusunan Buku Indikator Perencanaan Pembangunan Padangsidimpuan Tersusunnya Buku Indikator Perencanaan Pembangunan 1 Dok. Buku Indikator Perencanaan Pembangunan 1 Dok Dipedomaninya buku Indikator Perencanaan Pembangunan untuk perencanaan pembangunan selanjutnya 1 Dok 162.054.500 172.500.000 Bappeda Study Potensi Investasi Daerah Padangsidimpuan Kajian Potensi Investasi Daerah 6 Kec. Tersedianya Data Potensi Investasi Daerah 6 Kec. 205.000.000 Bappeda Program Perencanaan Pembangunan Bidang Ekonomi 2 Keg. 575.000.000 0 Rencana Program dan Kegiatan Prioritas Tahun 2015 Bidang Perencanaan Pembangunan Lembar : 46 dari 87
  • 145.
    SKPD Jenis KegKet Tolok Ukur Target Tolok Ukur Target Tolok Ukur Target 1/2/3 1/2/3 2 3 4 5 6 7 8 9 10 11 12 13 14 15 161 Pagu Indikatif Prakiraan Maju Keterangan Hasil Program Keluaran Keg Hasil KegNomor Urusan/Bidang Urusan Pemerintahan Daerah Dan Program/Keg Prioritas Daerah Sasaran Daerah Lokasi Indikator kinerja Penyusunan Master Plan Pembangunan Ekonomi Kota Padangsidimpuan Padangsidimpuan Master Plan Pembangunan Ekonomi Kota Padangsidimpuan 1 Dok Dipedomaninya Master Plan Pembangunan Ekonomi Kota Padangsidimpuan 1 Dok 345.000.000 0 Bappeda - Konsultan (pihak ketiga) Penyusunan Indikator dan pemetaan Daerah Rawan Pangan Padangsidimpuan Master Plan Daerah Rawan Pangan 1 Dok Dipedomaninya Master Plan untuk antisipasi dan Penanganan Rawan Pangan 1 Dok 230.000.000 0 Bappeda Program Kerjasama Pembangunan 2 Keg. 320.000.000 150.000.000 Koordinasi Penanggulangan Kemiskinan Daerah Padangsidimpuan Tersedianya koordinasi penanggulangan kemiskinan 1 Dok Tersedianya Data kemiskinan Kota Padangsidimpuan 1 Dok 120.000.000 150.000.000 Bappeda Fasilitasi Kerjasama dengan dunia usaha/lembaga Dokumen Bisnis Plan Bagi PDAM Tirta ayumiKota Padangsidimpuan 1 Dok Tersedianya Dokumen Acuan Bagi Pengembangan PDAM Tirta Ayumi 1 Dok 200.000.000 Bappeda Program Perencanaan Sosial dan Budaya 1 Keg. 300.000.000 85.000.000 Koordinasi Peny.Master Plan Pendidikan Padangsidimpuan Masterplan Pendidikan Kota Padangsidimpuan 1 Dok Terpenuhinya Master Palan Untuk perencanaan pembangunan 1 Dok 250.000.000 - Bappeda Penyusunan Perencanaan Pembangunan Sosial Budaya Padangsidimpuan Koordinasi Program dan Kegiatan Pembangunan Bidang Sosial Budaya 1 Lap Dipedomaninya Laporan Bidang Pendidikan 1 Lap 50.000.000 85.000.000 Bappeda 2.060.479.000 663.000.000 P2 Program Peningkatan Sarana dan Prasarana Aparatur Terpenuhinya dan terpeliharanya sarana dan prasarana perkantoran 4 Keg. 1.070.000.000 137.000.000 Pembangunan AULA, Mushollah, dan Rumah Jaga Padangsidimpuan Aula,Musholla,Rumah dan Pos Jaga 3 Paket Meningkatkan keamanan dan keindahan gedung kantor 3 Paket 1.000.000.000 Bappeda Pengadaan Mobileur Padangsidimpuan meja kerja,meja raapat,kursi kerja Thn Terpenuhinya Mobileur kantor Thn 35.000.000 92.000.000 Bappeda Pemeliharaan rutin/berkala Perlengkapan Gedung Kantor Padangsidimpuan Pemeliharaan Meja, Kursi dan Sofa 1 Paket Terpeliharanya Perlengkapan Kantor 1 Paket 35.000.000 45.000.000 Bappeda Program Peningkatan Disiplin Aparatur Meningkatkan Displin Pegawai dan Kerapihan Pegawai 3 Keg. 190.750.000 45.000.000 Pengadaan Pakaian Dinas beserta perlengkapannya Padangsidimpuan Pakaian Dinas dan perlegkapannya 65 stel Peningkatkan disiplin dan kerapian Pegawai 65 stel 40.750.000 45.000.000 Bappeda Pengadaan Mesin/Kartu Absensi Padangsidimpuan Mesin/Kartu Absensi 1 Set Peningkatkan disiplin pegawai 1 Set 150.000.000 - Bappeda Program Perencanaan Sosial dan Budaya 2 Keg. 200.000.000 0 Koordinasi Peny.Master Plan Kesehatan Padangsidimpuan Dokumen Master Plan Kesehatan 1 Dok Terpenuhinya Master Palan Untuk perencanaan pembangunan 1 Dok 200.000.000 - Bappeda Rencana Program dan Kegiatan Prioritas Tahun 2015 Bidang Perencanaan Pembangunan Lembar : 47 dari 87
  • 146.
    SKPD Jenis KegKet Tolok Ukur Target Tolok Ukur Target Tolok Ukur Target 1/2/3 1/2/3 2 3 4 5 6 7 8 9 10 11 12 13 14 15 161 Pagu Indikatif Prakiraan Maju Keterangan Hasil Program Keluaran Keg Hasil KegNomor Urusan/Bidang Urusan Pemerintahan Daerah Dan Program/Keg Prioritas Daerah Sasaran Daerah Lokasi Indikator kinerja Program Perencanaan Pembangunan Bidang Ekonomi 1 Keg. 100.000.000 0 Penyusunan Indikator Ekonomi Daerah Padangsidimpuan Buku Indikator Ekonomi Kota PSP 1 Dok Terpedomaninya Indikator Ekonomi 1 Dok 100.000.000 0 Bappeda - Konsultan (pihak ketiga) Program Kerjasama Pembangunan 2 Keg. 135.000.000 175.000.000 Identifikasi Sumber-sumber PAD Padangsidimpuan Buku sumber-sumber PAD Meningkatkan PAD 135.000.000 175.000.000 Bappeda Program Perencanaan Pembangunan Daerah 2 Keg. 110.000.000 121.000.000 Koordinasi & Sinkronisasi Perencanaan Pembangunan Daerah Padangsidimpuan Dokumen Rancangan APBD 1 Dok Tersedianya Dokumen Rancangan Penyusunan APBD 1 Dok 110.000.000 121.000.000 Bappeda Program Pengembangan Data dan Informasi 109.729.000 Pengembangan Kapasitas SDM Padangsidimpuan Peningkatan Kapasitas pengetahuan Sumber Daya Aparatur Pemerintah 38 SKPD Pelatihan bidang statistik 38 SKPD Peningkatan pengetahuan aparatur pemerintah di bidang statistik 38 SKPD 109.729.000 0 Bappeda Program Perencanaan Pengembangan Kota- Kota Menengah dan Besar 1 Keg 90.000.000 125.000.000 Koordinasi Perencanaan Air Minum, Drainase, dan sanitasi perkotaan Padangsidimpuan Dokumen Jaringan Air Minum ( Air Bersih) 3 Kec. Terpedomaninya Dokumen Jaringan Air Minum (Air Bersih) untuk Peningkatan Kapasitas Air Minum di 3 Kec. 90.000.000 125.000.000 Bappeda Program Peningkatan Kapasitas Kelembagaan Perencanaan Pembangunan Daerah 55.000.000 60.000.000 Koordinasi Rencana Aksi Daerah Padangsidimpuan Dok.Lap Aksi Mitigasi & Adaptasi Perubahan Iklim Kota Padangsidimpuan 1 Dok Tersedianya Informasi Keseimbangan Efek Gas Rumah Kaca (GRK) terhadap kapasitas RTH 1 Dok 55.000.000 60.000.000 Bappeda Rencana Aksi Nasional dan Rencana Aksi Propinsi Rencana Program dan Kegiatan Prioritas Tahun 2015 Bidang Perencanaan Pembangunan Lembar : 48 dari 87
  • 147.
    SKPD Jenis Keg Ket Tolok Ukur TolokUkur Tolok Ukur 1/2/3 1/2/3 1/2/3 2 3 4 5 6 8 10 12 13 14 15 16 01 URUSAN WAJIB 01 07 BIDANG PERHUBUNGAN 19.689.505.500 16.302.883.550 3.965.960.500 4.287.284.050 P1 Program Pelayanan Administrasi Perkantoran 1.100.000.000 1.216.200.000 Peyediaan Jasa Surat Menyurat DISHUB Terlaksananya pelayanan surat menyurat 100 Bantuan transportasi dan lembur 100 Terlaksananya pelayanan surat menyurat 100 12.000.000 13.200.000 DISHUB Penyediaan Jasa Komunikasi, Sumber Daya Air dan Listrik DISHUB Jasa Komunikasi, Sumber Daya Air dan Listrik Yang Terpenuhi 100 Listrik, Telepon, Air, fasilitas Interet dan Surat Kabar. 100 Jasa Komunikasi, Sumber Daya Air dan Listrik Yang Terpenuhi 100 160.000.000 176.000.000 DISHUB Penyediaan Jasa Kebersihan Kantor DISHUB Kebersihan Kantor 100 Kebersihan dan Peralatan Kebersihan Kantor 100 Kebersihan Kantor 100 88.000.000 96.800.000 DISHUB Penyediaan Alat Tulis Kantor DISHUB Tersedianya ATK 100 ATK 100 Tersedianya ATK 100 110.000.000 121.000.000 DISHUB Penyediaan Barang Cetakan dan Penggandaan DISHUB Tersedianya Barang Cetakan 100 Barang Cetakan dan Penggandaan 100 Tersedianya Barang Cetakan 100 200.000.000 220.000.000 DISHUB Penyediaan Peralatan Rumah Tangga DISHUB 21.000.000 24.000.000 DISHUB Penyediaan Bahan Bacaan dan Peraturan Perundang-undangan 12.000.000 14.000.000 DISHUB Penyediaan Makanan dan Minuman DISHUB Meningkatkan Kesejahteraan PNS 100 Uang Makan Harian PNS 100 Meningkatkan Kesejahteraan PNS 100 240.000.000 264.000.000 DISHUB Rapat-rapat Koordinasi dan Konsultasi Keluar Daerah DISHUB Terlaksananya Urusan Kedinasan 100 Perjalanan Dinas 100 Terlaksananya Urusan Kedinasan 100 200.000.000 220.000.000 DISHUB Penyediaan Jasa Keamanan Kantor DISHUB Keamanan kantor 100 Keamanan kantor 100 Keamanan kantor 100 57.000.000 67.200.000 DISHUB Program Peningkatan Sarana dan Prasarana Aparatur Peningkatan kualitas infrastruktur mendukung pembangunan ekonomi Terbangunnya sarana dan prasaranan daerah sebagai proses pendukung pembangunan 582.775.000 641.052.500 Pengadaan Mebeleur DISHUB Inventaris kantor 100 Mebeleur 100 Inventaris kantor 100 363.330.000 399.663.000 DISHUB Pemeliharaan Rutin/Berkala Gedung Kantor DISHUB Gedung kantor yang nyaman 100 Pemeliharaan Gedung kantor 100 Gedung kantor yang nyaman 100 25.000.000 27.500.000 DISHUB Pemeliharaan Rutin/Berkala Kenderaan Dinas/Operasional DISHUB Pemeliharaan Kend. Dinas operasional 100 Kenderaan dinas/operasional 100 Pemeliharaan Kend. Dinas operasional 100 194.445.000 213.889.500 DISHUB Program Peningkatan Disiplin Aparatur 149.447.000 157.319.200 Pengadaan Pakaian Dinas Beserta Perlengkapan DISHUB Peningkatan disiplin aparatur 100 PDH 100 Peningkatan disiplin aparatur 100 68.472.000 75.319.200 DISHUB Pengadaan Pakaian Khusus Hari-hari Tertentu DISHUB Peningkatan Kinerja PNS 100 Pakaian Hari-hari Tertentu 100 Peningkatan Kinerja PNS 100 80.975.000 82.000.000 DISHUB Program Peningkatan Kapasitas Sumber Daya Aparatur 270.529.500 297.582.450 Pendidikan dan Pelatihan Formal DISHUB aparatur yang terdidik dan terlatih 100 Pendidikan dan pelatihan formal 100 aparatur yang terdidik dan terlatih 100 110.035.500 121.039.050 DISHUB Bimbingan Teknis Implementasi Peraturan Perundang-undangan DISHUB Peningkatan SDM aparatur 100 Bimbingan teknis 100 Peningkatan SDM aparatur 100 160.494.000 176.543.400 DISHUB Program Peningkatan Pengembangan Sistem Pelaporan Capaian Kinerja dan Keuangan 13.240.000 14.564.000 Penyusunan Laporan Capaian Kinerja dan Ikhtisar Realisasi Kinerja SKPD DISHUB Terlaksananya tugas-tugas dan Laporan Capaian Kinerja Keuangan 100 Uang lembur PNS 100 Terlaksananya tugas-tugas dan Laporan Capaian Kinerja Keuangan 100 7.376.000 8.113.600 DISHUB Rencana Program dan Kegiatan Prioritas Daerah Tahun 2015 Kota Padangsidimpuan Nomor Urusan/Bidang Urusan Pemerintahan Daerah Dan Program/Kegiatan Prioritas Daerah Sasaran Daerah Lokasi Indikator kinerja Pagu Indikatif (Rp) Prakiraan Maju (Rp) Keterangan Hasil Program Keluaran Kegiatan Hasil Kegiatan Target Target Target 1 7 9 11 Rencana Program dan Kegiatan Prioritas Tahun 2015 Bidang Perhubungan Lembar : 49 dari 87
  • 148.
    SKPD Jenis Keg Ket Tolok Ukur TolokUkur Tolok Ukur 1/2/3 1/2/3 1/2/3 2 3 4 5 6 8 10 12 13 14 15 16 Nomor Urusan/Bidang Urusan Pemerintahan Daerah Dan Program/Kegiatan Prioritas Daerah Sasaran Daerah Lokasi Indikator kinerja Pagu Indikatif (Rp) Prakiraan Maju (Rp) Keterangan Hasil Program Keluaran Kegiatan Hasil Kegiatan Target Target Target 1 7 9 11 Penyusunan Pelaporan Prognosis Realisasi Anggaran DISHUB Laporan Realisasi Anggaran 100 Uang lembur PNS 100 Laporan Realisasi Anggaran 100 3.768.000 4.144.800 DISHUB Penyusunan Pelaporan Keuangan Akhir Tahun DISHUB Laporan Akhir Tahun 100 Uang lembur PNS 100 Laporan Akhir Tahun 100 2.096.000 2.305.600 DISHUB Program Pembangunan Prasarana dan Fasilitas Perhubungan 135.969.000 144.565.900 Perencanaan Pembangunan Prasarana dan Fasilitas Perhubungan DISHUB Pembangunan Sarana dan Fasilitas Perhubungan 100 Jasa konsultasi 100 Pembangunan Sarana dan Fasilitas Perhubungan 100 65.969.000 72.565.900 DISHUB Koordinaasi dalam Pembangunan Prasarana dan Fasilitas Perhubungan DISHUB 70.000.000 72.000.000 DISHUB Program Rehabilitasi dan Pemeliharaan Prasarana dan Fasilitas LLAJ 50.000.000 60.000.000 Rehabilitasi/Pemeliharaan Terminal/Pelabuhan 50.000.000 60.000.000 DISHUB Program Peningkatan Pelayanan Angkutan 1.044.000.000 1.076.000.000 Kegiatan Peningkatan Disiplin Masyarakat DISHUB Tertib administrasi 100 Rajia Surat-surat Kenderaan 100 Tertib administrasi 100 DISHUB Menggunakan Angkutan Bermotor Kegiatan Pengendalian Disiplin Pengoperasian DISHUB Peningkatan Disiplin 100 Pengendalian Disiplin 100 Peningkatan Disiplin 100 DISHUB Angkutan Umum Dijalan Raya Berlalu Lintas Berlalu Lintas Berlalu Lintas Pengawasan Trayek DISHUB Pengumpulan Data Angkutan 100 Pengawasan Trayek 100 Pengumpulan Data Angkutan 100 54.000.000 56.000.000 DISHUB Program Pengendalian dan Pengamanan Lalu Lintas 550.000.000 600.000.000 Pengadaan Rambu-rambu Lalu Lintas DISHUB Memberikan Kenyamanan 100 Tersedianya Rambu-rambu 100 Memberikan Kenyamanan 100 DISHUB Bagi Pengguna Jalan Lalu Lintas Bagi Pengguna Jalan Program Peningkatan Kelaikan Pengoperasian Kenderaan Bermotor 70.000.000 80.000.000 Pelaksanaan Uji Petik Kenderaan Bermotor DISHUB Meningkatkan PAD 100 Pelaksanaan Uji Petik PKB 100 Meningkatkan PAD 100 70.000.000 80.000.000 DISHUB 15.723.545.000 12.015.599.500 P2 Program Peningkatan Sarana dan Prasarana Aparatur 479.445.000 527.389.500 Pengadaan Kenderaan Dinas/Operasional DISHUB Peningkatan kend. Dinas 100 Kenderaan Dinas Operasional 100 Peningkatan kend. Dinas 100 194.445.000 213.889.500 DISHUB Pemeliharaan Rutin/Berkala Mebeleur DISHUB Mebeleur yang Bisa Terus Dimanfaatkan 100 Peralatan Mebeleur Yang terpelihara 100 Mebeleur yang Bisa Terus Dimanfaatkan 100 25.000.000 27.500.000 DISHUB Rehabilitasi sedang/Berat Gedung Kantor DISHUB Peningkatan kwalitas gedung 100 Rehab gedung 100 Peningkatan kwalitas gedung 100 260.000.000 286.000.000 DISHUB Program Peningkatan Disiplin Aparatur 141.131.000 155.244.100 Pengadaan Pakaian Kerja Lapangan DISHUB Peningkatan kinerja petugas lapangan 100 Pakaian petugas lapangan 100 Peningkatan kinerja petugas lapangan 100 141.131.000 155.244.100 DISHUB Program Peningkatan Kapasitas Sumber Daya Aparatur 119.969.000 131.965.900 Sosialisasi Peraturan Perundang-undangan DISHUB Peningkatan pengetahuan aparatur 100 Sosialisasi perundang- undangan 100 Peningkatan pengetahuan aparatur 100 119.969.000 131.965.900 DISHUB Program Pembangunan Sarana dan Prasarana Perhubungan 9.565.000.000 9.999.000.000 Pembangunan Terminal Angkutan di Pusat Kota ± 1 Ha DISHUB Tersedianya Sarana dan Prasarana Perhubungan 100 Pembangunan Terminal 100 Tersedianya Sarana dan Prasarana Perhubungan 100 3.000.000.000 3.300.000.000 DISHUB Terminal Terpadu DISHUB Tersedianya Sarana dan Prasarana Perhubungan 100 Pembangunan Terminal 100 Tersedianya Sarana dan Prasarana Perhubungan 100 2.000.000.000 2.200.000.000 DISHUB Direncanakan di Jl. By Pass Kec. PSP Batunadua dengan luas ± 3 Ha Terminal Tipe C DISHUB Tersedianya Sarana dan Prasarana Perhubungan 100 Pembangunan Terminal 100 Tersedianya Sarana dan Prasarana Perhubungan 100 1.500.000.000 1.650.000.000 DISHUB Direncanakan di Sibatu Kec. PSP Selatan dengan luas ± 2 Ha 100.000.00080.000.000 910.000.000 920.000.000 550.000.000 600.000.000 Rencana Program dan Kegiatan Prioritas Tahun 2015 Bidang Perhubungan Lembar : 50 dari 87
  • 149.
    SKPD Jenis Keg Ket Tolok Ukur TolokUkur Tolok Ukur 1/2/3 1/2/3 1/2/3 2 3 4 5 6 8 10 12 13 14 15 16 Nomor Urusan/Bidang Urusan Pemerintahan Daerah Dan Program/Kegiatan Prioritas Daerah Sasaran Daerah Lokasi Indikator kinerja Pagu Indikatif (Rp) Prakiraan Maju (Rp) Keterangan Hasil Program Keluaran Kegiatan Hasil Kegiatan Target Target Target 1 7 9 11 Penyusunan Detail Enginering Design (DED) terminal tipe B Kota Padangsidimp uan Peningkatan infrastruktur daerah Dokumen Perencanaan Bidang Perhubungan 1keg. 500.000.000 Pembangunan Gedung Terminal DISHUB Arsitektur Terminal 100 Pembangunan Terminal 100 Arsitektur Terminal 100 625.000.000 687.500.000 DISHUB Jasa Konsultan Penyusunan DED Pembangunan Terminal Rehabilitasi sedang/berat Halte DISHUB halte lebih memadai 100 Rehabilitasin halte 100 halte lebih memadai 100 170.000.000 187.000.000 DISHUB Pembangunan Traffight Light DISHUB Berfungsinya Traffight Light 100 Pembangunan Traffight Light 100 Berfungsinya Traffight Light 100 1.770.000.000 1.974.500.000 DISHUB Program Pengendalian dan Pengamanan Lalu Lintas 450.000.000 495.000.000 Pengadaan Marka Jalan DISHUB Memberikan Kenyamanan 100 Tersedianya Marka Jalan 100 Memberikan Kenyamanan 100 DISHUB Bagi Pengguna Jalan Bagi Pengguna Jalan Pengadaan Pagar Pengaman Jalan DISHUB Memberikan Kenyamanan 100 Tersedianya Fasilitas 100 Memberikan Kenyamanan 100 DISHUB Bagi Pengguna Jalan Pengamanan Bagi Pengguna Bagi Pengguna Jalan Jalan Program Peningkatan Kelaikan Pengoperasian Kenderaan Bermotor 200.000.000 220.000.000 Pembangunan Pengujian Kenderaan Bermotor DISHUB Tersedianya fasilitas gedung PKB 100 Jalan Masuk/keluar gedung PKB 100 Tersedianya fasilitas gedung PKB 100 200.000.000 220.000.000 DISHUB Program Peningkatan dan Pengembangan Pengelolaan Keuangan Daerah 470.000.000 487.000.000 Optimalisasi Pendapatan Asli Daerah DISHUB Peningkatan PAD 100 Optimalisasi PAD 100 Peningkatan PAD 100 470.000.000 487.000.000 DISHUB Program Pengendalian dan Pengamanan Lalu Lintas 4.298.000.000 Pengadaan/pemasangan Rambu Jalan Kota Padangsidimp uan Peningkatan kualitas/kwantitas infrastruktur Keselamatan transportasi darat 70 buah 105.000.000 DISHUB Pengadaan Marka Jalan Kota Padangsidimp uan Peningkatan kualitas/kwantitas infrastruktur Keselamatan transportasi darat 3000 m 450.000.000 DISHUB Pengadaan / pemasangan Paku Jalan Kota Padangsidimp uan Peningkatan kualitas/kwantitas infrastruktur Keselamatan transportasi darat 1000 buah 350.000.000 DISHUB Pengadaan Speed Beam Kota Padangsidimp uan Peningkatan kualitas/kwantitas infrastruktur Keselamatan transportasi darat 360 buah 315.000.000 DISHUB Pengadaan APILL : Kota Padangsidimp uan Peningkatan kualitas/kwantitas infrastruktur Keselamatan transportasi darat DISHUB - Traffight Light Simpang 4 Solar Cell 2 un it 850.000.000 - Traffight Light Simpang 3 Solar Cell 3 unit 1.200.000.000 - Warning Light Tiang Lengkung Solar Cell 10 unit 348.000.000 - Warning Light Tiang Lurus Solar Cell 25 unit 680.000.000 250.000.000 275.000.000 200.000.000 220.000.000 Rencana Program dan Kegiatan Prioritas Tahun 2015 Bidang Perhubungan Lembar : 51 dari 87
  • 150.
    SKPD Jenis KegKet Tolok Ukur Target Tolok Ukur Target Tolok Ukur Target 1/2/3 1/2/3 1/2/3 2 3 4 5 6 7 8 9 10 11 12 13 14 15 16 1 URUSAN WAJIB 1 08 BIDANG LINGKUNGAN HIDUP 34.218.822.451 3.550.278.750 2.410.562.451 2.565.078.750 P1 Program Pelayanan Administrasi Perkantoran 728.812.451 693.328.750 Penyediaan Jasa Komunikasi, Sumber Daya Air dan Listrik Padangsidimpuan tersedianya sarana listrik, air dan telepon 1 tahun tersedianya sarana listrik, air dan telepon 1 tahun 39.600.000 39.600.000 KLH Penyediaan Jasa Pemeliharaan dan Perizinan Kendaraan Dinas/Operasional Padangsidimpuan tersedianya kendaraan dinas yg siap pakai 1 tahun tersedianya kendaraan dinas yg siap pakai 1 tahun 72.859.500 72.859.500 KLH Penyediaan Jasa Kebersihan Kantor Padangsidimpuan Meningkatnya kebersihan kantor 1 tahun Meningkatnya kebersihan kantor 1 tahun 49.000.000 49.200.000 KLH Penyediaan Jasa Perbaikan Peralatan Kerja Padangsidimpuan terpeliharanya peralatan kerja 1 tahun terpeliharanya peralatan kerja 1 tahun 40.000.000 40.000.000 KLH Penyediaan Alat Tulis Kantor Padangsidimpuan terpenuhinya kebutuhan ATK 1 tahun terpenuhinya kebutuhan ATK 1 tahun 70.000.000 70.000.000 KLH Penyediaan Barang Cetakan dan Penggandaan Padangsidimpuan terpenuhinya kebutuhan cetakan di kantor 1 tahun terpenuhinya kebutuhan cetakan di kantor 1 tahun 64.500.000 64.500.000 KLH Penyediaan Bahan Bacaan dan Peraturan Perundang-undangan Padangsidimpuan tersedianya bahan bacaan 1 tahun tersedianya bahan bacaan 1 tahun 15.000.000 15.000.000 KLH Penyediaan Makanan dan Minuman Padangsidimpuan tersedianya makan minum pegawai 1 tahun tersedianya makan minum pegawai 1 tahun 79.200.000 79.200.000 KLH Rapat-rapat Koordinasi dan Konsultasi ke Luar Daerah Padangsidimpuan adanya informasi yang ter up-date 336 hari adanya informasi yang ter up-date 336 hari 247.652.951 207.969.250 KLH Penyediaan Jasa Keamanan Kantor Padangsidimpuan 1 tahun 1 tahun 51.000.000 55.000.000 KLH Program Peningkatan Sarana dan Prasarana Aparatur 371.000.000 61.000.000 Pengadaan Kenderaan Dinas/Operasional Padangsidimpuan Adanya kenderaan Dinas/Operasional 1 unit Adanya kenderaan Dinas/Operasional 1 unit 310.000.000 KLH Pengadaan Perlengkapan Gedung Kantor Padangsidimpuan adanya perlengkapan gedung kantor 1 tahun adanya perlengkapan gedung kantor 1 tahun 40.000.000 40.000.000 KLH Pemeliharaan Rutin / Berkala Gedung Kantor Padangsidimpuan adanya gedung kantor yang terpelihara 1 tahun adanya gedung kantor yang terpelihara 1 tahun 21.000.000 21.000.000 KLH Program Peningkatan Disiplin Aparatur 25.000.000 25.000.000 Pengadaan Pakaian khusus hari-hari tertentu Padangsidimpuan adanya pakaian dinas beserta perlengkapannya 1 tahun adanya pakaian dinas beserta perlengkapannya 1 tahun 25.000.000 25.000.000 KLH Program Peningkatan Kapasitas Sumber Daya Aparatur 80.750.000 80.750.000 Bimbingan Teknis Implementasi Peraturan Perundang-undangan Padangsidimpuan meningkatnya SDM aparatur BLH 1 tahun meningkatnya SDM aparatur BLH 1 tahun 80.750.000 80.750.000 KLH 1 Rencana Program dan Kegiatan Prioritas Daerah Tahun 2015 Kota Padangsidimpuan Nomor Urusan/Bidang Urusan Pemerintahan Daerah Dan Program/Kegiatan Prioritas Daerah Sasaran Daerah Lokasi Indikator kinerja Pagu Indikatif (Rp) Prakiraan Maju (Rp) Keterangan Hasil Program Keluaran Kegiatan Hasil Kegiatan Rencana Program dan Kegiatan Prioritas Tahun 2015 Bidang Lingkungan Hidup Lembar : 52 dari 87
  • 151.
    SKPD Jenis KegKet Tolok Ukur Target Tolok Ukur Target Tolok Ukur Target 1/2/3 1/2/3 1/2/3 2 3 4 5 6 7 8 9 10 11 12 13 14 15 161 Nomor Urusan/Bidang Urusan Pemerintahan Daerah Dan Program/Kegiatan Prioritas Daerah Sasaran Daerah Lokasi Indikator kinerja Pagu Indikatif (Rp) Prakiraan Maju (Rp) Keterangan Hasil Program Keluaran Kegiatan Hasil Kegiatan Program Peningkatan Pengembangan Sistem Pelaporan Capaian Kinerja dan Keuangan 16.000.000 16.000.000 Penyusunan Laporan Capaian Kinerja dan Ikhtisar Realisasi Kinerja SKPD Padangsidimpuan tersedianya LAKIP 1 tahun tersedianya LAKIP 1 tahun 16.000.000 16.000.000 KLH Program Pengendalian Pencemaran dan Perusakan Lingkungan Hidup 766.000.000 766.000.000 Pemantauan Kualitas Lingkungan Padangsidimpuan 45.000.000 45.000.000 KLH Pengkajian Dampak Lingkungan Padangsidimpuan 36.000.000 36.000.000 KLH Peningkatan peran seerta masyarakat dalam pengendalian lingkungan hidup 600.000.000 600.000.000 KLH Monitoring, Evaluasi dan Pelaporan Padangsidimpuan 85.000.000 85.000.000 KLH Program Pengelolaan Ruang Terbuka Hijau (RTH) 28.000.000 28.000.000 Peningkatan peran serta masyarakat dalam pengelolaan RTH Padangsidimpuan 28.000.000 28.000.000 KLH Program Perlindungan & konservasi Sumber Daya Alam (SDA) 95.000.000 95.000.000 Pengendalian Dampak Perubahan Iklim 65.000.000 65.000.000 KLH Monitoring, Evaluasi dan Pelaporan Padangsidimpuan 30.000.000 30.000.000 KLH Program Peningkatan Pengendalian Polusi 300.000.000 300.000.000 Pembangunan tempat pembuangan benda padat/cair yang menimbulkan polusi Padangsidimpuan 300.000.000 300.000.000 KLH 985.200.000 985.200.000 P2 Program Pelayanan Administrasi Perkantoran 40.200.000 40.200.000 Penyediaan Jasa Surat Menyurat Padangsidimpuan 1 tahun 1 tahun 9.600.000 9.600.000 KLH Penyediaan Jasa Administrasi Keuangan Padangsidimpuan tercapainya laporan yg tepat waktu 1 tahun tercapainya laporan yg tepat waktu 1 tahun 30.600.000 30.600.000 KLH Program Pengendalian Pencemaran dan Perusakan Lingkungan Hidup Padangsidimpuan 100.000.000 100.000.000 Koordinasi pengelolaan prokasih (Pembersihan hamparan sungai) Padangsidimpuan 100.000.000 100.000.000 KLH Program Pengelolaan Ruang Terbuka Hijau (RTH) 525.000.000 225.000.000 Penataan RTH (Penanaman u wilayah pemukiman & perkebunan Rakyat. Padangsidimpuan 525.000.000 225.000.000 KLH Program Perlindungan & konservasi Sumber Daya Alam (SDA) 60.000.000 60.000.000 Pengelolaan keanekaragaman hayati & ekosistem Padangsidimpuan 30.000.000 30.000.000 KLH Pengendalian kerusakan hutan dan lahan (biomassa) Padangsidimpuan 30.000.000 30.000.000 KLH Program Pengembangan Kinerja Pengelolaan Persampahan 200.000.000 500.000.000 Penyedian prasarana & sarana pengelolaan persampahan Padangsidimpuan a. Bank Sampah 100.000.000 400.000.000 KLH b. Pengadaan Tong Sampah 100.000.000 100.000.000 KLH Rencana Program dan Kegiatan Prioritas Tahun 2015 Bidang Lingkungan Hidup Lembar : 53 dari 87
  • 152.
    SKPD Jenis KegKet Tolok Ukur Target Tolok Ukur Target Tolok Ukur Target 1/2/3 1/2/3 1/2/3 2 3 4 5 6 7 8 9 10 11 12 13 14 15 161 Nomor Urusan/Bidang Urusan Pemerintahan Daerah Dan Program/Kegiatan Prioritas Daerah Sasaran Daerah Lokasi Indikator kinerja Pagu Indikatif (Rp) Prakiraan Maju (Rp) Keterangan Hasil Program Keluaran Kegiatan Hasil Kegiatan Program Peningkatan Pengendalian Polusi 60.000.000 60.000.000 Pengujian emisi/polusi udara akibat aktifitas industri Padangsidimpuan 30.000.000 30.000.000 KLH Pemantauan kualitas air Padangsidimpuan 30.000.000 30.000.000 KLH 14.505.060.000 P1 Program Pelayanan Administrasi Perkantoran 932.470.000 Penyediaan Jasa Komunikasi, Sumber Daya Air dan Listrik Padangsidimpuan Rekening Komunikasi, sumber daya air dan listrik 1 tahun 50.000.000 KP2K Penyediaan Jasa Kebersihan Kantor Padangsidimpuan Jasa Kebersihan Kantor 1 tahun 10.500.000 KP2K Penyediaan Jasa Perbaikan Peralatan Kerja Padangsidimpuan Jasa Perbaikan Peralatan Kerja 1 tahun 26.000.000 KP2K Penyediaan Alat Tulis Kantor Padangsidimpuan Alat Tulis Kantor 1 tahun 105.500.000 KP2K Penyediaan Barang Cetakan dan Penggandaan Padangsidimpuan Barang Cetakan dan Penggandaan 1 tahun 170.000.000 KP2K Penyediaan Peralatan dan Perlengkapan Kantor Padangsidimpuan Peralatan dan Perlengkapan Kantor 1 tahun 95.070.000 KP2K Penyediaan Peralatan Rumah Tangga Padangsidimpuan Peralatan Rumah Tangga 1 tahun 50.000.000 KP2K Penyediaan Bahan Bacaan dan Peraturan Perundang-undangan Padangsidimpuan Penyediaan Bahan Bacaan dan Peraturan Perundang-undangan 1 tahun 25.000.000 KP2K Penyediaan Makanan dan Minuman Padangsidimpuan Pembayaran uang makanan dan minuman 1 tahun 180.000.000 KP2K Rapat-rapat Koordinasi dan Konsultasi ke Luar Daerah Padangsidimpuan Rapat-rapat koordinasi dan perjalanan dinas 1 tahun 210.000.000 KP2K Penyediaan jasa Keamanan Kantor Padangsidimpuan 10.400.000 KP2K Program Peningkatan Sarana dan Prasarana Aparatur 110.000.000 Pemeliharaan Rutin/Berkala Kendaraan Dinas/ Operasional Padangsidimpuan Terlaksananya pemeliharaan kendaraan dinas/operasional 70.000.000 KP2K Rehabilitasi Sedang/Berat Gedung Kantor Padangsidimpuan 40.000.000 KP2K Program Peningkatan Disiplin Aparatur 52.000.000 Pengadaan Pakaian Dinas Beserta Perlengkapannya Padangsidimpuan Pakaian Dinas dan Kelengkapannya 52.000.000 KP2K Program Peningkatan Kapasitas Sumber Daya Aparatur 120.000.000 Pendidikan dan Pelatihan Formal Padangsidimpuan Peserta Diklat 120.000.000 KP2K Program Peningkatan Pengembangan Sistem Pelaporan Capaian Kinerja dan Keuangan 56.500.000 Rencana Program dan Kegiatan Prioritas Tahun 2015 Bidang Lingkungan Hidup Lembar : 54 dari 87
  • 153.
    SKPD Jenis KegKet Tolok Ukur Target Tolok Ukur Target Tolok Ukur Target 1/2/3 1/2/3 1/2/3 2 3 4 5 6 7 8 9 10 11 12 13 14 15 161 Nomor Urusan/Bidang Urusan Pemerintahan Daerah Dan Program/Kegiatan Prioritas Daerah Sasaran Daerah Lokasi Indikator kinerja Pagu Indikatif (Rp) Prakiraan Maju (Rp) Keterangan Hasil Program Keluaran Kegiatan Hasil Kegiatan Penyusunan Laporan Capaian Kinerja dan Iktisar Realisasi Kinerja SKPD Padangsidimpuan Laporan capaian kinerja dan ikhtisar realisasi kinerja (LAKIP) 46.500.000 KP2K Penyusunan Pelaporan Keuangan Semester Padangsidimpuan Laporan Keuangan Smesteran 5.000.000 KP2K Penyusunan Pelaporan Keuangan Akhir Tahun Padangsidimpuan Laporan Keuangan Akhir Tahun 5.000.000 KP2K Program Pengembangan Kinerja Pengelolaan Persampahan 7.460.000.000 Peningkatan Operasi dan Pemeliharaan Prasarana dan Sarana Persampahan Berfungsinya dengan baik Sarana dan Prasarana pegelolaan persampahan 7.250.000.000 KP2K Penyediaan Prasarana dan Sarana Pengelolaan Persampahan Bertambahnya Prasarana dan Sarana Pengelolaan Persampahan 210.000.000 KP2K Program Pengelolaan Ruang Terbuka Hijau 5.774.090.000 Penataan RTH 2.100.000.000 KP2K Pemeliharaan RTH 3.674.090.000 KP2K 16.318.000.000 P2 Program Peningkatan Sarana dan Prasarana Aparatur 50.000.000 Pengadaan Kendaraan Dinas/Operasional Padangsidimpuan Kendaraan Dinas Roda 2 50.000.000 KP2K Penyediaan Prasarana dan Sarana Pengelolaan Persampahan Bertambahnya Prasarana dan Sarana Pengelolaan Persampahan - Study kelayakan lahan TPA Padangsidimpuan Tersedianya Lahan TPA Lahan TPA 7.000.000.000 KP2K - Pengadaan Lahan TPA Padangsidimpuan Tersedianya Lahan TPA Lahan TPA 4.000.000.000 KP2K - Pengadaan Beco Loader Padangsidimpuan Bertambahnya Kinerja Persampahan 1 unit 900.000.000 KP2K - Sosialisasi tentang pengelolaan sampah 6 kecamatan Bertambahnya Kinerja Persampahan 6 paket KP2K - Pengadaan Beca Sampah Padangsidimpuan Bertambahnya Kinerja Persampahan 60 unit 1.800.000.000 KP2K - Pengadaan Tong Sampah 6 kecamatan Bertambahnya Kinerja Persampahan 6 paket 300.000.000 KP2K Program Pengelolaan Ruang Terbuka Hijau 9.268.000.000 Penataan RTH Kegiatan Pengelolaan Ruang Terbuka Hijau Terwujudnya Suasa Kota yang Indah dan Segar - Pembuatan Taman Perkantoran Pijorkoling Bertambahnya Keindahan Kota 1 Paket Rencana Program dan Kegiatan Prioritas Tahun 2015 Bidang Lingkungan Hidup Lembar : 55 dari 87
  • 154.
    SKPD Jenis KegKet Tolok Ukur Target Tolok Ukur Target Tolok Ukur Target 1/2/3 1/2/3 1/2/3 2 3 4 5 6 7 8 9 10 11 12 13 14 15 161 Nomor Urusan/Bidang Urusan Pemerintahan Daerah Dan Program/Kegiatan Prioritas Daerah Sasaran Daerah Lokasi Indikator kinerja Pagu Indikatif (Rp) Prakiraan Maju (Rp) Keterangan Hasil Program Keluaran Kegiatan Hasil Kegiatan - Pembuatan Taman Batunadua Bertambahnya Keindahan Kota 1 Paket - Pembuatan Pot Bunga di Pinggir Jalan Jl. SM. Raja Psp Bertambahnya Keindahan Kota 1 Paket 200.000.000 KP2K - Pemasangan LPJU Jl. H.A Nasution Bertambahnya Penerangan Kota 1 Paket 3.500.000.000 KP2K - Pemasangan LPJU 6 kecamatan Bertambahnya Penerangan Kota 6 Paket 300.000.000 KP2K - Renovasi Jaringan dan Meterisasi LPJU Padangsidimpuan Bertambahnya Penerangan Kota 2 Paket - Pembuatan Taman 6 kecamatan Bertambahnya Keasrian Kota 6 Paket - Pengadaan Mobil Tangga Lampu Penerangan Jalan Padangsidimpuan Bertambahnya Sarana dan Prasarana Pertamanan 1 Paket 1.000.000.000 KP2K - Pengadaan Mobil Coltdiesel Operasional Padangsidimpuan Bertambahnya Sarana dan Prasarana Pertamanan 1 Paket 500.000.000 KP2K Kegiatan Pemeliharaan Ruang Terbuka Hijau Terlaksananya Kegiatan Pemeliharaan Taman & LPJU 3.768.000.000 KP2K Rencana Program dan Kegiatan Prioritas Tahun 2015 Bidang Lingkungan Hidup Lembar : 56 dari 87
  • 155.
    SKPD Jenis KegKeterangan Tolok Ukur Target Tolok Ukur Target Tolok Ukur Target 1/2/3 1/2/3 1/2/3 2 3 4 5 6 8 10 12 13 14 15 16 01 URUSAN WAJIB 01 10 BIDANG KEPENDUDUKAN DAN CATATAN SIPIL 4.675.704.200 4.911.031.920 3.755.704.200 3.899.031.920 P1 Program Pelayanan Administrasi Perkantoran 1.288.704.200 1.294.531.920 Penyediaan Jasa Surat Menyurat Duk Capil Jasa Surat Menyurat 1 thn Terlaksa urusan surat menyurat 1 thn 85.000.000 92.620.000 Dinas Duk Capil Penyediaan Jasa Komunikasi,sumber Daya air dan listrik Duk Capil Jasa Komunikasi,sumber Daya air dan listrik 1 thn Terpenuhinya Jasa Komunikasi,sumber Daya air dan listrik 1 thn 60.000.000 48.400.000 Dinas Duk Capil Penyediaan Jasa Kebersihan Kantor Duk Capil Jasa Kebersihan Kantor 1 thn Kantor dalam keadaan bersih 1 thn 50.000.000 78.191.300 Dinas Duk Capil Penyediaan Alat Tulis Kantor Duk Capil Alat Tulis Kantor 1 thn Tersedianya Alat Tulis Kantor 1 thn 200.000.000 275.000.000 Dinas Duk Capil Penyediaan Barang Cetakan dan Penggandaan Duk Capil Barang Cetakan dan Penggandaan 1 thn Tersedianya Barang Cetakan dan Penggandaan 1 thn 300.000.000 222.046.000 Dinas Duk Capil Penyediaan Komponen Instalasi Listrik/Penerangan Bangunan Kantor Duk Capil Komponen Instalasi Listrik/Penerangan Bangunan Kantor 1 thn Instalasi Listrik/Penerangan Bangunan Kantor 1 thn 17.504.200 19.254.620 Dinas Duk Capil Penyediaan bahan bacaan dan Peraturan Perundang- undangan Duk Capil bahan bacaan dan Peraturan Perundang- undangan 1 thn Tersedianya bahan bacaan dan Peraturan Perundang- undangan 1 thn 30.000.000 33.000.000 Dinas Duk Capil Penyediaan makanan dan minuman Duk Capil makanan dan minuman 1 thn Tersedianya makanan dan minuman 1 thn 200.200.000 220.220.000 Dinas Duk Capil Rapat-rapat Koordinasi dan Konsultasi keluar daerah Luar Daerah Rapat-rapat Koordinasi dan Konsultasi keluar daerah 1 thn Terlaksananya perjalanan dinas keluar daerah 1 thn 250.000.000 236.500.000 Dinas Duk Capil Rapat-rapat Koordinasi dan Konsultasi dalam daerah Kota Psp Rapat-rapat Koordinasi dan Konsultasi kedalam daerah 1 thn Terlaksananya perjalanan dinas dalam daerah 1 thn 25.000.000 27.500.000 Dinas Duk Capil Penyediaan jasa keamanan kantor Duk Capil Jasa keamanan kantor 1 thn kantor dalam keadaan aman terjaga 1 thn 45.000.000 41.800.000 Dinas Duk Capil Penyediaan Peralatan rumah tangga Dinas Duk Capil 1 thn 26.000.000 Program Peningkatam Sarana dan Prasarana Aparatur Duk Capil 310.000.000 372.000.000 Pengadaan Peralatan Gedung Kantor Duk Capil Peralatan Gedung Kantor 1 thn Adanya Peralatan Gedung Kantor 1 thn 120.000.000 150.000.000 Dinas Duk Capil Pemeliharaan Rutin/berkala Kendaraan Dinas Operasional Duk Capil Pemeliharaan Kendaraan Dinas Operasional 1 thn Kendaraan Dinas Operasional dalam keadaan baik 1 thn 100.000.000 120.000.000 Dinas Duk Capil Pemeliharaan rutin berkala Peralatan gedung kantor Duk Capil Pemeliharaan Peralatan gedung kantor 1 thn Peralatan gedung kantor dalam keadaan baik 1 thn 35.000.000 37.000.000 Dinas Duk Capil Pemeliharaan rutin berkala gedung kantor Duk Capil Pemeliharaan rutin berkala gedung kantor 1 thn Terpeliharanya gedung kantor 1 thn 55.000.000 65.000.000 Dinas Duk Capil Program Peningkatan Disiplin Aparatur Padangsidimpuan 35.000.000 45.000.000 Rencana Program dan Kegiatan Prioritas Daerah Tahun 2015 Kota Padangsidimpuan Nomor Urusan/Bidang Urusan Pemerintahan Daerah Dan Program/Kegiatan Prioritas Daerah Sasaran Daerah Lokasi Indikator kinerja Pagu Indikatif Keterangan Hasil Program Keluaran Kegiatan Hasil Kegiatan Prakiraan Maju 1 Rencana Program dan Kegiatan Prioritas Tahun 2015 Bidang Kependudukan dan Catatan Sipil Lembar : 57 dari 87
  • 156.
    SKPD Jenis KegKeterangan Tolok Ukur Target Tolok Ukur Target Tolok Ukur Target 1/2/3 1/2/3 1/2/3 2 3 4 5 6 8 10 12 13 14 15 16 Nomor Urusan/Bidang Urusan Pemerintahan Daerah Dan Program/Kegiatan Prioritas Daerah Sasaran Daerah Lokasi Indikator kinerja Pagu Indikatif Keterangan Hasil Program Keluaran Kegiatan Hasil Kegiatan Prakiraan Maju 1 Pengadaan Pakaian Dinasbeserta Perlengkapannya Duk Capil Pakaian Dinas Harian beserta Perlengkapannya Tersedianya Pakaian Dinas beserta Perlengkapannya 35.000.000 45.000.000 Dinas Duk Capil Program Peningkatan Kapasitas Sumber Daya Aparatur Kota Psp 200.000.000 220.000.000 Bimbingan Teknis Implementasi Peraturan Perundang undangan Duk Capil Bimbingan teknis Terikutinya Bimbingan Teknis 200.000.000 220.000.000 Dinas Duk Capil Program Peningkatan Pengembangan Sistem Pelaporan Capaian Kinerja dan Keuangan 22.000.000 25.500.000 Penyusunan Laporan Capaian Kinerja dan Iktisar Realisasi Kinerja SKPD Duk Capil Laporan Capaian Kinerja dan Iktisar Realisasi Kinerja SKPD Laporan Capaian Kinerja dan Iktisar Realisasi Kinerja SKPD 12.000.000 13.500.000 Dinas Duk Capil Penyusunan Pelaporan Keuangan Akhir Tahun Duk Capil 10.000.000 12.000.000 Dinas Duk Capil Program Penataan Administrasi Kependudukan Kota Psp 1.900.000.000 1.942.000.000 Pelatihan Tenaga Pengelola SIAK Duk Capil Pelatihan Tenaga Adanya Tenaga terlatih 100.000.000 110.000.000 Dinas Duk Capil Peningkatan kapasitas Aparat kependudukan dan Catatan Sipil Duk Capil kapasitas kelembagaan kependudukan Meningktanya kapasitas kelembagaan kependudukan 110.000.000 115.000.000 Dinas Duk Capil Sosialisasi Kebijakan Kependudukan Duk Capil 125.000.000 130.000.000 Dinas Duk Capil Peningkatan Kapasitas Kelembagaan dan Kependudukan 350.000.000 320.000.000 Dinas Duk Capil Pemutakhiran Data Duk Capil Pemutakhiran Data 180.000.000 200.000.000 Dinas Duk Capil Penerapan Pelayanan E KTP Duk Capil 380.000.000 400.000.000 Dinas Duk Capil Publikasi Data Kependudukan melalui Web Site Dinas Kependudukan dan Pencacatan Sipil Kota Padangsidimpuan Duk Capil 85.000.000 78.000.000 Dinas Duk Capil Dispensasi Biaya pembuktian telah terjadinya perkawinan(isbat Nikah) bagi penduduk beragama islam 250.000.000 256.000.000 Dinas Duk Capil Pengolahan dalam Penyusunan Laporan Informasi Kependudukan Duk Capil Penyusunan Laporan Informasi Kependudukan Adanya Laporan Informasi Kependudukan 150.000.000 165.000.000 Dinas Duk Capil Penyusunan Profil Perkembangan Kependudukan Duk Capil Profil Perkembangan Kependudukan Adanya Profil Perkembangan Kependudukan 170.000.000 168.000.000 Dinas Duk Capil 920.000.000 1.012.000.000 P2 Program Pelayanan Administrasi Perkantoran 35.000.000 38.500.000 Penyiaran iklan Kota Psp Penyiaran iklan Penyiaran iklan 35.000.000 38.500.000 Dinas Duk Capil Program Peningkatam Sarana dan Prasarana Aparatur Duk Capil 35.000.000 38.500.000 Rencana Program dan Kegiatan Prioritas Tahun 2015 Bidang Kependudukan dan Catatan Sipil Lembar : 58 dari 87
  • 157.
    SKPD Jenis KegKeterangan Tolok Ukur Target Tolok Ukur Target Tolok Ukur Target 1/2/3 1/2/3 1/2/3 2 3 4 5 6 8 10 12 13 14 15 16 Nomor Urusan/Bidang Urusan Pemerintahan Daerah Dan Program/Kegiatan Prioritas Daerah Sasaran Daerah Lokasi Indikator kinerja Pagu Indikatif Keterangan Hasil Program Keluaran Kegiatan Hasil Kegiatan Prakiraan Maju 1 Pengadaan Perlengkapan Gedung Kantor Duk Capil Pengadaan Perlengkapan Gedung Kantor 1 thn Adanya Perlengkapan Gedung Kantor 1 thn 35.000.000 38.500.000 Dinas Duk Capil Program Peningkatam Sarana dan Prasarana Aparatur 850.000.000 935.000.000 Pengadaan Camera CCTV Duk Capil Tersedianya keadaaan aman dan nyaman 50.000.000 55.000.000 Dinas Duk Capil Pengembangan data base Kependudukan Duk Capil data base Kependudukan Tersedianya data base Kependudukan Dinas Duk Capil Penyusunan Data Kependudukan kota padangsidimpuan(desa/ kel.) Duk Capil Data Kependudukan kota padangsidimpuan(desa/ kel.) tersedianya Data Kependudukan kota padangsidimpuan(desa/ kel.) Dinas Duk Capil Up.Dating System Administrasi Kependudukan Duk Capil Up.Dating System Administrasi Kependudukan Up.Dating System Administrasi Kependudukan Dinas Duk Capil Pengadaan Mobil Kelilling Pembuatan KTP dan Peralatannya Duk Capil Mobil Kelilling Pembuatan KTP dan Peralatannya mempermudah Masyarakat dalam Pembuatan KTP 800.000.000 880.000.000 Dinas Duk Capil Rencana Program dan Kegiatan Prioritas Tahun 2015 Bidang Kependudukan dan Catatan Sipil Lembar : 59 dari 87
  • 158.
    SKPD Jenis Keg Ket Tolok Ukur TolokUkur Tolok Ukur 1/2/3 1/2/3 1/2/3 2 3 4 5 6 8 10 12 13 14 15 16 01 URUSAN WAJIB 01 11 BIDANG PEMBERDAYAAN PEREMPUAN 1.390.000.000 1.190.000.000 730.000.000 743.000.000 P1 Program Penguatan Kelembagaan Pengarusutamaan Gender dan Anak 350.000.000 370.000.000 Fasilitasi Pengembangan Pusat Pelayanan Terpadu Pemberdayaan Perempuan dan Anak (P2TP2A) Padangsidimpuan Peningkatan Kesehatan Kaum Perempuan dan Angka Harapan Hidup Perempuan 1 Keg Pembentukan Wadah P2TP2A 1 Keg Terbentuknya Wadah P2TP2A 1 Keg 350.000.000 370.000.000 Badan KB Program Peningkatan Kualitas Hidup dan Perlindungan Perempuan 270.000.000 251.000.000 Pelaksanaan Kebijakan Perlindungan Perempuan di Daerah Padangsidimpuan Meningkatnya Pemahaman Perempuan tentang Reproduksi Sehat dan Hak Reproduksi 1 Keg Penyusunan Perda tentang Perlindungan Perempuan 1 Keg Terbentuknya Perda tentang Perlindungan Perempuan 1 Keg 100.000.000 101.000.000 Badan KB Fasilitasi Upaya Perlindungan Perempuan terhadap Tindak Kekerasan Padangsidimpuan Meningkatnya Pemahaman Perempuan tentang Reproduksi Sehat dan Hak Reproduksi 1 Keg Tim Fasilitasi KDRT 1 Keg Tersedianya Tim Fasilitasi KDRT 1 Keg 170.000.000 150.000.000 Badan KB Program Peningkatan Peran Serta Dan Kesejahteraan Gender dalm Pembangunan 110.000.000 122.000.000 Kegiatan Penyuluhan bagi Ibu Rumah Tangga dalam Membangun Keluarga Sejahtera Padangsidimpuan Peningkatan Keterampilan dan Kualitas SDM Kaum Perempuan 6 Keg Penyuluhan bagi Ibu Rumah Tangga Keluarga Sejahtera 6 Keg Terlaksananya Penyuluhan bagi Ibu Rumah Tangga Keluarga Sejahtera 6 Keg 100.000.000 95.000.000 Badan KB Kegiatan Bimbingan Manajeman Usaha bagi Perempuan dalam Mengelola Usaha Padangsidimpuan Peningkatan Keterampilan dan Kualitas SDM Kaum Perempuan 12 Bln Pembinaan bagi Kelompok UPPKS 12 Bln Terlaksananya Pembinaan bagi Kelompok UPPKS 12 Bln 10.000.000 27.000.000 Badan KB 660.000.000 447.000.000 P2 Program Keserasian Kebijakan Peningkatan Kualitas Anak dan Perempuan 60.000.000 60.000.000 Pelaksanaan Sosialisasi yang terkait dengan Kesetaraan Gender, Pemberdayaan Perempuan dan Perlindungan Anak Padangsidimpuan Meningkatnya Kualitas Hidup Perempuan di Bidang Ilmu Pengetahuan, Politik dan Jabatan Publik 3 Keg Perumusan Kebijakan Perempuan di Bidang Ilmu Pengetahuan 3 Keg Terlaksannya Sosialisasi Kesetaraan Gender Pemberdayaan Perempuan dan Perlindungan Anak 3 Keg 60.000.000 60.000.000 Badan KB Program Keserasian Kebijakan Peningkatan Kualitas Anak dan Perempuan 60.000.000 60.000.000 Pelaksanaan Sosialisasi yang terkait dengan Kesetaraan Gender, Pemberdayaan Perempuan dan Perlindungan Anak s Padangsidimpuan 3 Keg 3 Keg 3 Keg 60.000.000 60.000.000 Badan KB Program Peningkatan Kualitas Hidup dan Perlindungan Perempuan 175.000.000 225.000.000 Sosialisasi Sistem Pencatatan dan pelaporan KDRT Padangsidimpuan Meningkatnya Pemahaman Perempuan tentang Reproduksi Sehat dan Hak Reproduksi 1 Keg Sosialisasi Pencatatan Pelaporan KDRT 1 Keg Terlaksananya Sosialisasi Pencatatan Pelaporan KDRT 1 Keg 25.000.000 25.000.000 Badan KB Sosilalisasi Undang-Undang Perlindungan Perempuan Terhadap Tindak Kekerasan Padangsidimpuan Meningkatnya Pemahaman Perempuan tentang Reproduksi Sehat dan Hak Reproduksi 25 Keg Sosialisasi UU Nomor 32 Tahun 2004 25 Keg Terlaksanya Sosialisasi UU Nomor 32 Tahun 2002 25 Keg 150.000.000 200.000.000 Badan KB Program Penguatan Kelembagaan Pengarusutamaan Gender dan Anak 115.000.000 120.000.000 Rencana Program dan Kegiatan Prioritas Daerah Tahun 2015 Kota Padangsidimpuan Nomor Urusan/Bidang Urusan Pemerintahan Daerah Dan Program/Kegiatan Prioritas Daerah Sasaran Daerah Lokasi Indikator kinerja Pagu Indikatif Keterangan Hasil Program Keluaran Kegiatan Hasil Kegiatan Target Target Prakiraan Maju Target 1 7 9 11 Rencana Program dan Kegiatan Prioritas Tahun 2015 Bidang Pemberdayaan Perempuan Lembar : 60 dari 87
  • 159.
    SKPD Jenis Keg Ket Tolok Ukur TolokUkur Tolok Ukur 1/2/3 1/2/3 1/2/3 2 3 4 5 6 8 10 12 13 14 15 16 Nomor Urusan/Bidang Urusan Pemerintahan Daerah Dan Program/Kegiatan Prioritas Daerah Sasaran Daerah Lokasi Indikator kinerja Pagu Indikatif Keterangan Hasil Program Keluaran Kegiatan Hasil Kegiatan Target Target Prakiraan Maju Target 1 7 9 11 Pemetaan Potensi dan Lembaga Masyarakat yang berperan dalam Pemberdayaan Perempuan dan Anak Padangsidimpuan 2 Keg Pemetaan Potensi Pemberdayaan Perempuan dan Perlindungan Anak 2 Keg 2 Keg 15.000.000 30.000.000 Badan KB Pengembangan Materi dan Pelaksanaan KIE tentang Kesetaraan dan Keadilan Gender (KKG) Padangsidimpuan 1 Keg 1 Keg 1 Keg 10.000.000 10.000.000 Badan KB Penguatan Kelembagaan dan Pengarusutamaan Gender dan Anak Padangsidimpuan 2 Keg 2 Keg 2 Keg 10.000.000 10.000.000 Badan KB Pengembangan Sistem Informasi Gender dan Anak Padangsidimpuan 2 Keg 2 Keg 2 Keg 20.000.000 20.000.000 Badan KB Worshop Anak Peningkatan Peranan Perempuan dalam Pengambilan Keputusan Padangsidimpuan 2 Keg 2 Keg 2 Keg 30.000.000 40.000.000 Badan KB Pemberdayaan Lembaga yang berbasis Gender Padangsidimpuan 1 Keg 1 Keg 1 Keg 30.000.000 10.000.000 Badan KB Program Peningkatan Peran Serta Dan Kesejahteraan Gender dalm Pembangunan 250.000.000 267.000.000 Kegiatan Pembinaan Organisasi Perempuan Padangsidimpuan Peningkatan Keterampilan dan Kualitas SDM Kaum Perempuan 1 Keg Pembinaan Organisasi Perempuan 1 Keg Terlaksananya Pembinaan Organisasi Perempuan 1 Keg 30.000.000 30.000.000 Badan KB Kegiatan Pendidikan dan Pelatihan Peningkatan Peran serta dan Kesetaraan Gender Padangsidimpuan Peningkatan Keterampilan dan Kualitas SDM Kaum Perempuan 1 Keg Diklat Kesetaraan Gender 1 Keg Terlaksananya Diklat Kesetaraan Gender 1 Keg 30.000.000 30.000.000 Badan KB Kegiatan Pameran Hasil Karya Perempuan dibidang Pembangunan Padangsidimpuan Peningkatan Keterampilan dan Kualitas SDM Kaum Perempuan 1 Keg Pameran Hasil Kelompok UPPKS 1 Keg Terlaksananya Pameran Hasil Kelompok UPPKS 1 Keg 30.000.000 30.000.000 Badan KB Kegiatan Pembinaan Organisasi Perempuan Padangsidimpuan 1 Keg 1 Keg 1 Keg 30.000.000 30.000.000 Badan KB Kegiatan Pendidikan dan Pelatihan Peningkatan Peran serta dan Kesetaraan Gender Padangsidimpuan 1 Keg 1 Keg 1 Keg 30.000.000 30.000.000 Badan KB Kegiatan Penyuluhan bagi Ibu Rumah Tangga dalam Membangun Keluarga Sejahtera Padangsidimpuan 6 Keg 6 Keg 6 Keg 60.000.000 60.000.000 Badan KB Kegiatan Bimbingan Manajeman Usaha bagi Perempuan dalam Mengelola Usaha Padangsidimpuan 12 Bln 12 Bln 12 Bln 10.000.000 27.000.000 Badan KB Kegiatan Pameran Hasil Karya Perempuan dibidang Pembangunan Padangsidimpuan 1 Keg 1 Keg 1 Keg 30.000.000 30.000.000 Badan KB Rencana Program dan Kegiatan Prioritas Tahun 2015 Bidang Pemberdayaan Perempuan Lembar : 61 dari 87
  • 160.
    SKPD Jenis Keg Tolok Ukur Tolokkur Tolok Ukur 1/2/3 1/2/3 2 3 4 5 6 8 10 12 13 14 15 01 URUSAN WAJIB 01 12 BIDANG KELUARGA BERENCANA DAN KELUARGA SEJAHTERA 9.168.192.000 5.445.340.000 5.509.092.000 4.143.340.000 Program Pelayanan Administrasu Perkantoran 667.592.000 714.040.000 Penyediaan Jasa Surat Menyurat Padangsidimpuan Meningkatnya Pelayanan Perkantoran 12 Bln Jasa surat menyurat 12 Bln Terlaksananya urusan surat menyurat di Badan KB 12 Bln 4.800.000 6.000.000 Badan KB Penyediaan Jasa Komunikasi, Sumber Daya Air dan Listrik Padangsidimpuan Meningkatnya Pelayanan Perkantoran 12 Bln Jasa Komunikasi, air, listrik dan faximile Kantor 12 Bln Terpenuhinya kebutuhan telepon, air, listrik dan faximile Kantor 12 Bln 47.392.000 50.000.000 Badan KB Penyediaan Jasa Kebersihan Kantor Padangsidimpuan Meningkatnya Pelayanan Perkantoran 12 Bln Jasa kebersihan kantor 12 Bln Terpenuhinya kebersihan kantor setiap hari 12 Bln 20.000.000 18.000.000 Badan KB Penyediaan Alat Tulis Kantor Padangsidimpuan Meningkatnya Pelayanan Perkantoran 12 Bln Terpenuhinya Kebutuhan ATK 12 Bln Terpenuhinya kebutuhan Alat Tulis Kantor 12 Bln 57.600.000 60.000.000 Badan KB Penyediaan Barang Cetakan dan Penggandaan Padangsidimpuan Meningkatnya Pelayanan Perkantoran 12 Bln Terpenuhinya Cetakan dan penggandaan 12 Bln Terpenuhinya kebutuhan barang cetakan dan penggandaan 12 Bln 58.200.000 57.000.000 Badan KB Penyediaan Komponen Instalasi Listrik/Penerangan Bangunan Kantor Padangsidimpuan Meningkatnya Pelayanan Perkantoran 12 Bln Terpenuhinya Kebutuhan Alat Listrik 12 Bln Kebutuhan alat listrik untuk penerangan kantor terpenuhi 12 Bln 10.800.000 3.000.000 Badan KB Penyediaan Peralatan Rumah tangga Padangsidimpuan 12 Bln 12 Bln 12 Bln 3.000.000 3.200.000 Badan KB Penyediaan Bahan Bacaan dan Peraturan Perundang-undangan Padangsidimpuan Meningkatnya Pelayanan Perkantoran 12 Bln Tersedianya Bahan Bacaan 12 Bln Tersedianya bahan bacaan koran, majalah dan buku perundang-undangan 12 Bln 22.800.000 23.000.000 Badan KB Penyediaan Makanan dan Minuman Padangsidimpuan Meningkatnya Pelayanan Perkantoran 12 Bln Terpenuhinya Makanan Minuman PNS 12 Bln Tersedianya makanan dan minuman untuk pegawai, rapat dan tamu 12 Bln 125.000.000 150.840.000 Badan KB Rapat-rapat Koordinasi dan Konsultasi ke Luar Daerah Padangsidimpuan Meningkatnya Pelayanan Perkantoran 12 Bln Terlaksananya Konsultasi Luar Daerah 12 Bln Terlaksananya kegiatan rapat- rapat koordinasi dan konsultasi ke luar daerah 12 Bln 280.000.000 300.000.000 Badan KB Rapat-rapat Koordinasi dan Konsultasi ke Luar Daerah Padangsidimpuan Meningkatnya Pelayanan Perkantoran 12 Bln Terlaksananya Konsultasi Dalam Daerah 12 Bln Terlaksananya kegiatan rapat- rapat koordinasi dan konsultasi dalam daerah 12 Bln 15.000.000 17.000.000 Badan KB penyediaan Jasa Keamanan Kantor Padangsidimpuan 12 Bln 12 Bln 12 Bln 15.000.000 16.000.000 Badan KB Penyediaan Jasa Sewa Gedung Padangsidimpuan Meningkatnya Pelayanan Perkantoran 12 Bln Tersedianya Sarana Gedung Kantor 12 Bln Tersedianya Sarana Gedung Kantor 12 Bln 8.000.000 10.000.000 Badan KB Program Peningkatan Sarana Prasarana Aparatur 333.000.000 235.000.000 Pengadaan Perlengkapan Gedung Kantor Padangsidimpuan Peningk. Kualitas/Kuantitas Sarana Pra Sarana 1 Pkt Terpenuhinya Sarana Perlengkapan Kantor 1 Pkt Terlaksananya pengadaan perlengkapan gedung kantor 1 Pkt 11.000.000 - Badan KB Pengadaan Peralatan Gedung Kantor Padangsidimpuan Peningk. Kualitas/Kuantitas Sarana Pra Sarana 1 Pkt Terpenuhinya Sarana Peralatan Kantor 1 Pkt Terlaksananya pengadaan peralatan gedung kantor 1 Pkt 50.000.000 - Badan KB Pengadaan Mebeleur Padangsidimpuan Peningk. Kualitas/Kuantitas Sarana Pra Sarana 1 Pkt Terpenuhinya Sarana Mebeleur 1 Pkt Terlaksananya pengadaan peralatan gedung kantor 1 Pkt 20.000.000 - Badan KB Pemeliharaan Rutin/Berkala Gedung Kantor Padangsidimpuan Peningk. Kualitas/Kuantitas Sarana Pra Sarana 7 ktr Pemeliharaan Gedung Kantor 7 ktr Terlaksananya perawatan gedung kantor 7 ktr 45.000.000 20.000.000 Badan KB Pemeliharaan Rutin/Berkala Kenderaan Dinas/Operasional Padangsidimpuan Peningk. Kualitas/Kuantitas Sarana Pra Sarana 7 unit Pemeliharaan Kenderaan Dinas/Opers. 7 unit Terlaksananya perawatan kendaraan dinas / operasional 7 unit 160.000.000 170.000.000 Badan KB Pemeliharaan Rutin/Berkala Perlengkapan Gedung Kantor Padangsidimpuan 12 Bln 12 Bln 12 Bln 10.000.000 10.000.000 Badan KB Pemeliharaan Rutin/Berkala Peralatan Gedung Kantor Padangsidimpuan Peningk. Kualitas/Kuantitas Sarana Pra Sarana 12 Bln Pemeliharaan Peralatan Kantor 12 Bln Terlaksananya perawatan komputer / note book 12 Bln 25.000.000 20.000.000 Badan KB Pemeliharaan Rutin/Berkala Mebeleur Padangsidimpuan Peningk. Kualitas/Kuantitas Sarana Pra Sarana 12 Bln Pemeliharaan Mebeleur 12 Bln Terlaksananya perawatan mebeleur 12 Bln 12.000.000 15.000.000 Badan KB Program Peningkatan Disiplin Aparatur 37.500.000 35.000.000 Rencana Program dan Kegiatan Prioritas Daerah Tahun 2015 Kota Padangsidimpuan Nomor Urusan/Bidang Urusan Pemerintahan Daerah Dan Program/Kegiatan Prioritas Daerah Sasaran Daerah Lokasi Indikator kinerja Pagu Indikatif Keterangan Hasil Program Keluaran Kegiatan Hasil Kegiatan Target Target Prakiraan Maju Target 1 7 9 11 Rencana Program dan Kegiatan Prioritas Tahun 2015 Bidang Keluarga Berencana Lembar : 62 dari 87
  • 161.
    SKPD Jenis Keg Tolok Ukur Tolokkur Tolok Ukur 1/2/3 1/2/3 2 3 4 5 6 8 10 12 13 14 15 Nomor Urusan/Bidang Urusan Pemerintahan Daerah Dan Program/Kegiatan Prioritas Daerah Sasaran Daerah Lokasi Indikator kinerja Pagu Indikatif Keterangan Hasil Program Keluaran Kegiatan Hasil Kegiatan Target Target Prakiraan Maju Target 1 7 9 11 Pengadaan Pakaian Dinas beserta Perlengkapannya Padangsidimpuan Peningkatan Disiplin Aparatur 65 Org Pengadaan Pakaian PNS 65 Org Peningkatan Kesejahteraan PNS 65 Org 37.500.000 35.000.000 Badan KB Program Peningkatan Kapasitas Sumber Daya Aparatur 35.000.000 37.000.000 Pendidikan dan Pelatihan Formal Padangsidimpuan Peningkatan Kulaitas Aparatur 12Bln Pendidikan dan Pelatihan 12Bln Meningkatnya SDM Aparatur 12Bln 35.000.000 37.000.000 Badan KB Program Peningkatan Pengembangan Sistem Pelaporan Capaian Kinerja dan Keuangan 88.000.000 98.000.000 Penyusunan Laporan, Capaian Kinerja Iktisar Realisasi Kinerja SKPD Padangsidimpuan Peningkatan Kulaitas dan Kuantiotas Pelaporan 2 Keg Laporan Lakip, Renja dan Tahunan 2 Keg Tersusunnya Laporan Lakip/Renja/Tahunan 2 Keg 15.000.000 15.000.000 Badan KB Penyusunan Pelaporan Prognosis Realisasi Anggaran Padangsidimpuan Peningkatan Kulaitas dan Kuantiotas Pelaporan 2 Keg Laporan Prognosis Semester Pertama 2 Keg Tersusunnya Laporan Prognosis 2 Keg 8.000.000 8.000.000 Badan KB Penyusunan Laporan Keuangan Akhir Tahun Padangsidimpuan Peningkatan Kulaitas dan Kuantiotas Pelaporan 2 Keg Laporan Keuangan dan Aset 2 Keg Tersusunnya Laporan Keuangan dan Aset 2 Keg 15.000.000 15.000.000 Badan KB Penyusunan Laporan, Rencana Kerja dan Anggaran Padangsidimpuan Peningkatan Kulaitas dan Kuantiotas Pelaporan 2 Keg Laporan RKA APBD dan PAPBD 2 Keg Tersusunnya RKA APBD dan PAPBD 2 Keg 50.000.000 60.000.000 Badan KB Program Keluarga Berencana 2.395.500.000 1.180.000.000 Pelayanan KIE Padangsidimpuan Meningkatnya Pemahaman PUS tentang KB 12Bln Penyebarluasan Informasi Program KB 12Bln Terlaksananya Penyebarluasan Informasi Program KB melalui Media Massa dan Mupen KB 12Bln 60.000.000 50.000.000 Badan KB Promosi Pelayanan Kelangsungan Hidup Bayi dan Anak (KHIBA) Padangsidimpuan Meningkatnya Pemahaman PUS tentang KB 6 Keg Pelatihan PLKB, Toga, Toma dan Todat 6 Keg Terlaksananya Pelatihan Program KB kepada PLKB, Toga, Toma dan Todat 6 Keg 25.000.000 30.000.000 Badan KB Pembinaan Keluarga Berencana Padangsidimpuan Meningkatnya Pemahaman PUS tentang KB 12Bln Pembinaan KB 12Bln Terlaksananya Pembinaan KB 12Bln 220.000.000 150.000.000 Badan KB Pengadaan Sarana Mobilitas Tim KB Keliling Padangsidimpuan Meningkatnya Pemahaman PUS tentang KB 1 Pkt Sarana Prasarana Pelayanan KB 1 Pkt Tersedianya Sarana Prasarana Pelayanan KB 1 Pkt 1.200.000.000 Badan KB Kegiatan Terpadu TNI Manungggal KB Kesehatan Kota/Kec Meningkatnya Pemahaman PUS tentang KB 6 Bln Pelayanan KB melalui Kegiatan TMKK 6 Bln Terlaksananya Pelayanan KB melalui Kegiatan TMKK 6 Bln 90.500.000 60.000.000 Badan KB Kegiatan Terpadu Kesatuan Gerak PKK KB Kesehatan Kota/Kec Meningkatnya Pemahaman PUS tentang KB 3 Bln Pelayanan KB melalui PKK- KB-Kes 3 Bln Terlaksananya Pelayanan KB melalui Kegiatan PKK-KB-Kes 3 Bln 150.000.000 120.000.000 Badan KB Kegiatan Terpadu Bulan Bhakti KB IBI Kota/Kec Meningkatnya Pemahaman PUS tentang KB 3 Bln Pelayanan KB melalui Bulan Bhakti KB IBI 3 Bln Terlaksananya Pelayanan KB melalui Kegiatan Bulan Bhakti KB IBI 3 Bln 55.000.000 60.000.000 Badan KB Kegiatan Pelayanan Tim KB Keliling (TKBK) Kota/Kec Meningkatnya Pemahaman PUS tentang KB 158 Keg Pelayanan KB melalui TKBK 158 Keg Terlaksananya Pelayanan KB melalui TKBK 158 Keg 170.000.000 150.000.000 Badan KB Jambore Institusi Program KB Padangsidimpuan Meningkatnya Pemahaman PUS tentang KB 1 Keg Jambore IMP 1 Keg Terlaksananya Jambore IMP 1 Keg 60.000.000 100.000.000 Badan KB Penilaian Pelaksanaan Program KB Padangsidimpuan Meningkatnya Pemahaman PUS tentang KB 6 Keg Penilaian Pelaksanaa Program KB 6 Keg Terlaksananya Penilaian Pelaksanaa Program KB 6 Keg 50.000.000 52.000.000 Badan KB Kegiatan Terpadu KB Kes Bhayangkara Padangsidimpuan Meningkatnya Pemahaman PUS tentang KB 1 Keg Pelayanan KB melalui Bhayangkara 1 Keg Terlaksananya Pelayanan KB melalui Bhayangkara 1 Keg 60.000.000 50.000.000 Badan KB Rencana Program dan Kegiatan Prioritas Tahun 2015 Bidang Keluarga Berencana Lembar : 63 dari 87
  • 162.
    SKPD Jenis Keg Tolok Ukur Tolokkur Tolok Ukur 1/2/3 1/2/3 2 3 4 5 6 8 10 12 13 14 15 Nomor Urusan/Bidang Urusan Pemerintahan Daerah Dan Program/Kegiatan Prioritas Daerah Sasaran Daerah Lokasi Indikator kinerja Pagu Indikatif Keterangan Hasil Program Keluaran Kegiatan Hasil Kegiatan Target Target Prakiraan Maju Target 1 7 9 11 Hari Keluarga Nasional (Harganas) Padangsidimpuan Meningkatnya Pemahaman PUS tentang KB Keg Kegiatan Harganas Keg Terlaksananya Kegiatan Harganas Keg 80.000.000 150.000.000 Badan KB Orientasi peningkatan jaringan informasi program KB bagi Tokoh Agama, Tokoh Masyarakat, dan Tokoh Adat Padangsidimpuan 6 Keg 6 Keg 6 Keg 75.000.000 100.000.000 Badan KB Kegiatan Koalisi untuk Indonesia Kependudukan Padangsidimpuan Meningkatnya Pemahaman PUS tentang KB 6 Keg Kegiatan Koalisi Kependudukan 6 Keg Terlaksananya Kegiatan Koalisi Kependudukan 6 Keg 20.000.000 23.000.000 Badan KB Kegiatan Pusat Pelayanan Keluarga Sejahtera (PPKS) Padangsidimpuan Meningkatnya Pemahaman PUS tentang KB 6 Keg Kegiatan PPPKS 6 Keg Terlaksananya Kegiatan PPKS 6 Keg 80.000.000 85.000.000 Badan KB Program Pelayanan Kontrasepsi 326.200.000 543.000.000 Pelayanan Konseling KB Kecamatan Meningkatnya Peserta KB Baru dan KB Aktif 12Bln Tenaga Pernghubung KB di Desa/Kel. 12Bln Tersedianya Tenaga Pernghubung KB di Desa/Kelurahan 12Bln 50.000.000 53.000.000 Badan KB Pelayanan Pemasangan Kontrasepsi KB Kecamatan Meningkatnya Peserta KB Baru dan KB Aktif 12Bln Pelayanan KB di Klinik-klinik KB 12Bln Terlaksananya Pelayanan KB di Klinik-klinik KB 12Bln 61.200.000 70.000.000 Badan KB Pengadaan Kontrasepsi dan Obat Side Effeck Padangsidimpuan Meningkatnya Peserta KB Baru dan KB Aktif 1 Keg Alat Kontrasepsi dan Obat Side Effeck 1 Keg Tersedianya Alat Kontrasepsi dan Obat Side Effeck 1 Keg 100.000.000 300.000.000 Badan KB Pelayanan KB Medis Operasi (MOP/MOW) Kota/Kec Meningkatnya Peserta KB Baru dan KB Aktif 1 Keg Pelayanan Kontap 1 Keg Terlaksananya Pelayanan Kontap 1 Keg 90.000.000 100.000.000 Badan KB Pelatihan Pencatatan dan Pelaporan Program KB Padangsidimpuan Meningkatnya Peserta KB Baru dan KB Aktif 1 Keg Pelatihan RR bagi Petugas Klinik KB 1 Keg Terlaksananya Pelatihan RR bagi Petugas Klinik KB 1 Keg 25.000.000 20.000.000 Badan KB Program Pembinaan Peran Serta Masyarakat Dalam Pelayanan KB/KR Yang Mandiri 1.205.800.000 961.300.000 Operasional Kelompok Masyarakat Peduli KB Padangsidimpuan 1 PPKBD 175.000.000 Badan KB Koordinasi Pengelolaan Program KB Padangsidimpuan Meningkatnya Pel. KB/Pemberd. Ekonomi Kel. 12Bln Rapat Konsultasi Program KB 12Bln Terlaksananya RaPAT Konsultasi Program KB setiap bulannya 12Bln 160.000.000 120.000.000 Badan KB Pengelolaan Data dan Informasi Program KB Kota/Kec Meningkatnya Pel. KB/Pemberd. Ekonomi Kel. 12Bln Pemutakhiran Data Keluarga 12Bln Terlaksananya Pemutakhiran Data Keluarga 12Bln 60.000.000 70.000.000 Badan KB Latihan Pemberdayaan Ekonomi Keluarga (Kelompok UPPKS) Kecamatan Meningkatnya Pel. KB/Pemberd. Ekonomi Kel. 18 Keg Pelatihan Kelompok UPPKS 18 Keg Terlaksananya Pelatihan Kelompok UPPKS 18 Keg 85.000.000 90.000.000 Badan KB Rapat Kerja Daerah (Rakerda) Program KB Padangsidimpuan Meningkatnya Pel. KB/Pemberd. Ekonomi Kel. 1 Keg Rapat Kerja Daerah Program KB 1 Keg Terlaksananya Rapat Kerja Daerah Program KB 1 Keg 50.000.000 40.000.000 Badan KB Rapat Koordinasi Program KB (Rakoor ) Tingkat Kecamatan Kecamatan Meningkatnya Pel. KB/Pemberd. Ekonomi Kel. 6 Keg Rakoor KB Tk. Kecamatan 6 Keg Terlaksananya Rakoor KB Tk. Kecamatan 6 Keg 150.000.000 110.000.000 Badan KB oreintasi pendataan/ pemuktahiran Data Keluaraga Kecamatan 6 Keg 6 Keg 6 Keg 15.000.000 15.500.000 Badan KB orperasional pendataan/ pemuktahiran Data Keluaraga Padangsidimpuan 1 Keg 1 Keg 1 Keg 190.000.000 200.000.000 Badan KB Expose hasill pendataan/ pemuktahiran Data Keluaraga Kecamatan 1 Keg 1 Keg 1 Keg 70.000.000 75.000.000 Badan KB Bantuan ALADIN dan Listrik Kencana bagi Rumah Keluarga Pra Sejahtera Kecamatan Meningkatnya Pel. KB/Pemberd. Ekonomi Kel. 2 Keg Pembangunan Aladin/Listrik Kencana 2 Keg Terlaksananya Pembangunan Aladin/Listrik Kencana 2 Keg 240.000.000 230.000.000 Badan KB Operasional Petugas BP-4 Kecamatan Tersedianya Data Perkawinan dari KUA 12bln Pembangunan Aladin/Listrik Kencana 12bln Terlaksananya Pembangunan Aladin/Listrik Kencana 12bln 10.800.000 10.800.000 Badan KB Program Promosi Kesehatan Ibu Bayi Dan Anak Melalui Kegiatan Kelompok Masyarakat 165.500.000 210.000.000 Penyuluhan Kesehatan ibu, bayi dan anak melalui kelompok kegiatan dimasyarakat Kota/Kec Meningkatnya Pemaham Masyarakat tentang Kesehatan Ibu, Bayi dan Anak 6 Keg Penyuluhan Kesehatan Ibun Bayi dan Anak 6 Keg Terlaksananya Penyuluhan Kesehatan Ibun Bayi dan Anak 6 Keg 60.000.000 60.000.000 Badan KB Rencana Program dan Kegiatan Prioritas Tahun 2015 Bidang Keluarga Berencana Lembar : 64 dari 87
  • 163.
    SKPD Jenis Keg Tolok Ukur Tolokkur Tolok Ukur 1/2/3 1/2/3 2 3 4 5 6 8 10 12 13 14 15 Nomor Urusan/Bidang Urusan Pemerintahan Daerah Dan Program/Kegiatan Prioritas Daerah Sasaran Daerah Lokasi Indikator kinerja Pagu Indikatif Keterangan Hasil Program Keluaran Kegiatan Hasil Kegiatan Target Target Prakiraan Maju Target 1 7 9 11 Penyuluhan Hukum Bagi Perlindungan Anak Kota/Kec Meningkatnya Pemahaman Masyarakat tentang UU Nomor 32 Tahun 2002 15 Keg Penyuluhan UU Nomor 32 Tahun 2004 15 Keg Terlaksananya Penyuluhan UU Nomor 32 Tahun 2004 15 Keg 90.000.000 100.000.000 Badan KB Kegiatan Komisi Perlindungan Anak Indonesia Daerah (KPAID) Padangsidimpuan Pembentukan KPAID Kota Padangsidimpuan 1 Keg Wadah KPAID 1 Keg Tersedianya Wadah KPAID 1 Keg 15.500.000 50.000.000 Badan KB Program Pengembangan Pusat Pelayanan Informasi Dan Konseling KRR 60.000.000 50.000.000 Pendirian Pusat Pelayanan Informasi dan Konseling KRR Kota/Kec 6 Keg 6 Keg 6 Keg 60.000.000 50.000.000 Badan KB Program Penyiapan Tenaga Pendamping Kelompok Bina Keluarga 75.000.000 80.000.000 Pelatihan tenaga pendamping kelompok Bina Keluarga di Kecamatan 75.000.000 80.000.000 Badan KB Program Peningkatan Penanggulangan Narkoba, PMS Termasuk HIV/AIDS 65.000.000 75.000.000 Penyuluhan Penanggulangan Narkoba dan PMS termasuk HIV/AIDS Kota/Kec Meningkatnya Pengetahuan Remaja akan bahaya Narkoba, PMS termasuk HIV/AIDS 1260 OB Penyuluhan Narkoba, PMS termasuk HIV/AIDS 1260 OB Terlaksananya Penyuluhan Narkoba, PMS termasuk HIV/AIDS 1260 OB 60.000.000 75.000.000 Badan KB Program Pengembangan Model Operasional BKB-Posyandu-PADU 55.000.000 0 Pengkajian Pengembangan Model Operasional BKB-Posyandu-PAUD Padangsidimpuan Peningkatan dan Pembinaan Tumbuh Kembang Anak 1 Keg Pengembangan BKB, Posyandu, PADU 1 Keg Terlaksananya Pengembangan BKB, Posyandu, PADU 1 Keg 55.000.000 Badan KB 3.659.100.000 1.302.000.000 Program Peningkatan Sarana Prasarana Aparatur 1.500.000.000 20.000.000 Pembangunan Aula (Ruang Rapat) Gedung Kantor Padangsidimpuan 1 Pkt 1 Pkt 1 Pkt 200.000.000 - Badan KB Pembangunan Dek Pengaman/Penimbunan Halapan Depan dan Pembuatan Parit Gedung Kantor Padangsidimpuan 1 Pkt 1 Pkt 1 Pkt 300.000.000 - Badan KB Pembangunan Pagar dan Taman Gedung Kantor Padangsidimpuan 1 Pkt 1 Pkt 1 Pkt 500.000.000 - Badan KB Pengaspalan (Lapen) Halaman Gedung Kantor Padangsidimpuan 1 Pkt 1 Pkt 1 Pkt 300.000.000 Badan KB Pembangunan Garasi Mobil Moyan KB, Mupen KB dan Mobil Pengangkut Akseptor KB Padangsidimpuan 1 Kntr 1 Kntr 1 Kntr 200.000.000 20.000.000 Badan KB Program Peningkatan Disiplin Aparatur 32.500.000 35.000.000 Pengadaan Pakaian Khusus Hari- hari tertentu (Batik KB) Padangsidimpuan 65 org 65 org 65 org 32.500.000 35.000.000 Badan KB Program Peningkatan Kapasitas Sumber Daya Manusia 25.000.000 25.000.000 Sosialisasi Peraturan Perundang-undangan Padangsidimpuan 12Bln 12Bln 12Bln 25.000.000 25.000.000 Badan KB Program Kesehatan Reproduksi Remaja (KRR) 200.000.000 165.000.000 Orientasi Pengelola KIE KRR Padangsidimpuan 1 Keg 1 Keg 1 Keg 20.000.000 30.000.000 Badan KB Orientasi Petugas KIE KRR Padangsidimpuan 2 Keg 2 Keg 2 Keg 30.000.000 30.000.000 Badan KB Orientasi Program KRR bagi Mitra Kerja (Lintas Sektor, LSM, Kelompok Remaja, Organisasi Pemuda, Organisasi Keagamaan dll) Padangsidimpuan 3 Keg 3 Keg 3 Keg 60.000.000 60.000.000 Badan KB Rencana Program dan Kegiatan Prioritas Tahun 2015 Bidang Keluarga Berencana Lembar : 65 dari 87
  • 164.
    SKPD Jenis Keg Tolok Ukur Tolokkur Tolok Ukur 1/2/3 1/2/3 2 3 4 5 6 8 10 12 13 14 15 Nomor Urusan/Bidang Urusan Pemerintahan Daerah Dan Program/Kegiatan Prioritas Daerah Sasaran Daerah Lokasi Indikator kinerja Pagu Indikatif Keterangan Hasil Program Keluaran Kegiatan Hasil Kegiatan Target Target Prakiraan Maju Target 1 7 9 11 Study Banding Program KRR Padangsidimpuan 1 Keg 1 Keg 1 Keg 50.000.000 - Badan KB Rapat Koordinasi Program KRR Padangsidimpuan 1 Keg 1 Keg 1 Keg 10.000.000 15.000.000 Badan KB Advokasi KIE tentang Kesehatan Reproduksi Remaja (KRR) Padangsidimpuan 1 Keg 1 Keg 1 Keg 30.000.000 30.000.000 Badan KB Program Pelayanan Kontrasepsi 75.000.000 140.000.000 Pup Smeer Padangsidimpuan 1 Keg 1 Keg 1 Keg 25.000.000 50.000.000 Badan KB Komplikasi/Pencabutan Implant dan IUD Padangsidimpuan 1 bln 1 bln 1 bln 20.000.000 50.000.000 Badan KB Penyimpanan, pemeliharaan dan pengiriman alokon Padangsidimpuan 12bln 12bln 12bln 10.000.000 20.000.000 Badan KB Pertemuan Koordinasi, Pembentukan Tim dan Pengembangan JKK di Tk. Kota Padangsidimpuan 1 Keg 1 Keg 1 Keg 20.000.000 20.000.000 Badan KB Program Pembinaan Peran Serta Masyarakat Dalam Pelayanan KB/KR Yang Mandiri 610.100.000 367.000.000 Operasional Kader PPKBD/Sub PPKBD Kecamatan Meningkatnya Pel. KB/Pemberd. Ekonomi Kel. 6 Bln Operasional Kader PPKBD/Sub PPKBD 6 Bln Tersedianya Operasional Kader PPKBD/Sub PPKBD 6 Bln 136.200.000 231.000.000 Badan KB Review Program KB Padangsidimpuan Meningkatnya Pel. KB/Pemberd. Ekonomi Kel. 1 Keg Evaluasinya Program KB semester I 1 Keg Terevaluasinya Program KB semester Pertama 1 Keg Badan KB Pemberdayaan Ekonomi Keluarga Padangsidimpuan Meningkatnya Pel. KB/Pemberd. Ekonomi Kel. 1 Keg Pemberdayaan Ekonomi Keluarga 1 Keg Terlaksananya Pemberdayaan Ekonomi Keluarga 1 Keg 25.000.000 50.000.000 Badan KB Rapat Pengendalian Proyek (Rayek) Program KB Padangsidimpuan Meningkatnya Pel. KB/Pemberd. Ekonomi Kel. 4 Keg Rakon dan Rayek setiap bulannya 4 Keg Terlaksananya Rakon dan Rayek setiap bulannya 4 Keg Badan KB Pengadaan Pakaian Kader KB 12.1. Pengadaan Pakaian Kader PPKBD Kecamatan Meningkatnya Kesejahteraan PPKBD 79 Pengadaan Pakaian Kader KB 79 Meningkatnya Kesejahteraan PPKBD 79 Badan KB 12.2. Pengadaan Pakaian Kader Sub PPKBD Kecamatan Meningkatnya Kesejahteraan Sub PPKBD 227 Pengadaan Pakaian Kader KB 227 Meningkatnya Kesejahteraan Sub PPKBD 227 Badan KB 12.3. Pengadaan Pakaian Kader Bina Keluarga Balita (BKB) Kecamatan Meningkatnya Kesejahteraan BKB 220 Pengadaan Pakaian Kader KB 220 Meningkatnya Kesejahteraan BKB 220 Badan KB Orientasi Program KB bagi Kader PPKBD/Sub PPKBD Kecamatan Meningkatnya Pel. KB/Pemberd. Ekonomi Kel. 4 Keg Orientasi bagi Kader PPKBD/Sub PPKBD 4 Keg Terlaksananya Oriantasi bagi Kader PPKBD/Sub PPKBD 4 Keg 60.000.000 6.000.000 Badan KB Review Program KB Padangsidimpuan 1 Keg 1 Keg 1 Keg 15.000.000 30.000.000 Badan KB Pemberdayaan Ekonomi Keluarga Padangsidimpuan 1 Keg 1 Keg 1 Keg 25.000.000 50.000.000 Badan KB Padangsidimpuan 1 SubPPK BD 272.400.000 Badan KB Pengadaan Baju Kader Kelompok Masyarakat Peduli KB Padangsidimpuan Padangsidimpuan 1 PPKBD 19.750.000 Badan KB 1 SubPPK BD 56.750.000 Badan KB Program Penyiapan Tenaga Pendamping Kelompok Bina Keluarga 400.000.000 300.000.000 Pelatihan Kader Bina Keluarga Balita (BKB) Kota/Kec Meningkatnya Kapasitas Tumbuh Kembang Anak 6 Keg Pelatihan bagi Kader BKB 6 Keg Terlaksananya Pelatihan bagi Kader BKB 6 Keg 120.000.000 150.000.000 Badan KB Pelatihan Kader Bina Keluarga Remaja (BKR) Kota/Kec Meningkatnya Kapasitas Tumbuh Kembang Anak 6 Keg Pelatihan bagi Kader BKR 6 Keg Terlaksananya Pelatihan bagi Kader BKR 6 Keg Badan KB Pelatihan Kader Bina Keluarga Lansia (BKL) Kota/Kec Meningkatnya Kapasitas Tumbuh Kembang Anak 6 Keg Pelatihan bagi Kader BKL 6 Keg Terlaksananya Pelatihan bagi Kader BKL 6 Keg Badan KB Operasional Kader Bina Keluarga Balita (BKB) Kec 12 Keg 12 Keg 12 Keg 280.000.000 150.000.000 Badan KB Program Pengembangan Pusat Pelayanan Informasi Dan Konseling KRR 88.000.000 190.000.000 Rencana Program dan Kegiatan Prioritas Tahun 2015 Bidang Keluarga Berencana Lembar : 66 dari 87
  • 165.
    SKPD Jenis Keg Tolok Ukur Tolokkur Tolok Ukur 1/2/3 1/2/3 2 3 4 5 6 8 10 12 13 14 15 Nomor Urusan/Bidang Urusan Pemerintahan Daerah Dan Program/Kegiatan Prioritas Daerah Sasaran Daerah Lokasi Indikator kinerja Pagu Indikatif Keterangan Hasil Program Keluaran Kegiatan Hasil Kegiatan Target Target Prakiraan Maju Target 1 7 9 11 Saka Kencana Kota/Kec Informasi KRR kepada Generasi Muda 6 Keg Kegiatan Saka Kencana bagi Pramuka 6 Keg Terlaksananya Kegiatan Saka Kencana bagi Pramuka 6 Keg 36.000.000 120.000.000 Badan KB Orientasi Petugas PIK KRR Bagi Pengelola, Pendidik Sebaya dan Konselor sebaya Kota/Kec 2 Keg 2 Keg 2 Keg 40.000.000 60.000.000 Badan KB Dukungan Dana Operasional PIK KRR Kecamatan 6 Bln 6 Bln 6 Bln 12.000.000 10.000.000 Badan KB Program Pengembangan Bahan Informasi Tentang Pengasuhan dan Pembinaan Tumbuh Kembang Anak 10.000.000 60.000.000 Pengumpulan bahan informasi tentang Pengasuhan dan Pembinaan Tumbuh Kembang Anak Padangsidimpuan 6 Keg 6 Keg 6 Keg 10.000.000 60.000.000 Badan KB Program Keluarga Berencana 30.000.000 20.000.000 Peningkatan Perlindungan Hak Reproduksi Remaja Padangsidimpuan Meningkatnya Pemahaman PUS tentang KB 6 Keg Pelatihan PIK KRR 6 Keg Terlaksananya Pelatihan PIK KRR 6 Keg 30.000.000 20.000.000 Badan KB Program pengembangan model operasional BKB-Posyandu-PADU 688.500.000 Operasional Kader Kelompok Bina Keluarga Balita (BKB) Padangsidimpuan 1 keg 1 keg. 486.000.000 Badan KB Pengadaan Baju Kader Kelompok Bina Keluarga Balita (BKB) Padangsidimpuan 1 keg 1 keg. 202.500.000 Badan KB Rencana Program dan Kegiatan Prioritas Tahun 2015 Bidang Keluarga Berencana Lembar : 67 dari 87
  • 166.
    Keteangan 1/2/3 16 P1 an Kegiatan PrioritasDaerah Tahun 2015 Kota Padangsidimpuan Keterangan Rencana Program dan Kegiatan Prioritas Tahun 2015 Bidang Keluarga Berencana Lembar : 68 dari 87
  • 167.
    Keteangan 1/2/3 16 Keterangan Rencana Program danKegiatan Prioritas Tahun 2015 Bidang Keluarga Berencana Lembar : 69 dari 87
  • 168.
    Keteangan 1/2/3 16 Keterangan Rencana Program danKegiatan Prioritas Tahun 2015 Bidang Keluarga Berencana Lembar : 70 dari 87
  • 169.
    Keteangan 1/2/3 16 Keterangan P2 Rencana Program danKegiatan Prioritas Tahun 2015 Bidang Keluarga Berencana Lembar : 71 dari 87
  • 170.
    Keteangan 1/2/3 16 Keterangan Rencana Program danKegiatan Prioritas Tahun 2015 Bidang Keluarga Berencana Lembar : 72 dari 87
  • 171.
    Keteangan 1/2/3 16 Keterangan Rencana Program danKegiatan Prioritas Tahun 2015 Bidang Keluarga Berencana Lembar : 73 dari 87
  • 172.
    SKPD Jenis Keg Ket Tolok Ukur TolokUkur Tolok Ukur 1/2/3 1/2/3 1/2/3 2 3 4 5 6 8 10 12 13 14 15 16 01 URUSAN WAJIB 01 13 BIDANG SOSIAL 16.202.612.750 17.166.533.875 3.517.538.750 2.953.663.875 P1 Program Pelayanan Administrasi Perkantoran Terwujudnya Pelayanan Administrasi Perkantoran Meningkatkan penyediaan jasa surat menyurat Pelayanan Administrasi Perkantoran yang semakin baik 629.038.750 645.041.750 Penyediaan Jasa Surat Menyurat Padangsidimpuan 1 Thn Terwujudnya pengadaan Jasa Surat Menyurat 1 Thn Tersedianya Jasa Surat Menyurat 1 Thn 20.000.000 18.000.000 Dinas Sosial Naker Penyediaan Jasa Komunikasi, Sumber Daya Air dan Listrik Padangsidimpuan 1 Thn Meningkatkan Jasa Komunikasi, Sumber Daya Air dan Listrik 1 Thn Tersedianya Jasa Komunikasi, Sumber Daya Air dan Listrik 1 Thn 19.000.000 18.000.000 Dinas Sosial Naker Penyediaan jasa kebersihan kantor Padangsidimpuan 1 Thn 1 Thn 1 Thn 95.000.000 90.000.000 Dinas Sosial Naker Penyediaan ATK Padangsidimpuan 1 Thn Tersedianya ATK 1 Thn Tersedianya ATK 1 Thn 85.000.000 83.000.000 Dinas Sosial Naker Penyediaan Barang Cetakan dan Penggandaan Padangsidimpuan 1 Thn Terseduanya Barang Cetakan dan Penggandaan urusan dinas 1 Thn Terseduanya Barang Cetakan dan Penggandaan urusan dinas 1 Thn 42.991.250 45.994.250 Dinas Sosial Naker Penyediaan peralatan dan perlengkapan kantor Padangsidimpuan 1 Thn 1 Thn 7.000.000 7.500.000 Dinas Sosial Naker Penyediaan Makanan dan Minuman Padangsidimpuan 1 Thn Peningkatan Kesejahteraan Pegawai 1 Thn Peningkatan Kesejahteraan Peg. 1 Thn 105.320.000 115.320.000 Dinas Sosial Naker Rapat- rapat koordinasi dan Konsultasi ke luar daerah Dalam dan Luar Daerah 1 Thn terlaksananya rapat dan konsultasi ke luar daerah 1 Thn terlaksananya rapat dan konsultasi ke luar daerah 1 Thn 170.000.000 180.000.000 Dinas Sosial Naker Rapat- rapat koordinasi dan Konsultasi ke luar daerah Dalam dan Luar Daerah 1 Thn terlaksananya rapat dan konsultasi ke luar daerah 1 Thn terlaksananya rapat dan konsultasi ke luar daerah 1 Thn 6.000.000 5.500.000 Dinas Sosial Naker Penyediaan Jasa keamanan kantor Padangsidimpuan 1 Thn 1 Thn 51.000.000 52.000.000 Dinas Sosial Naker Penyediaan Peralatan Rumah Tangga Padangsidimpuan 1 Thn Tersedianya Peralatan Rumah Tangga 1 Thn Penyediaan Peralatan Rumah Tangga 1 Thn 12.227.500 13.227.500 Dinas Sosial Naker Penyediaan Bahan bacaan dan Peraturan perundang-undangan Padangsidimpuan 1 Thn Tersedianya Bahan bacaan dan Peraturan perundang- undangan 1 Thn Penyediaan Bahan bacaan dan Peraturan perundang- undangan 1 Thn 15.500.000 16.500.000 Dinas Sosial Naker Program Peningkatan Sarana dan Prasarana Aparatur Adanya Peningkatan Sarana dan prasarana aparatur Meningkatkan kualitas dan kuantitas sarana dan prasarana aparatur 540.000.000 554.000.000 Pembangunan Gedung Kantor Padangsidimpuan Tersedianya Tempat Parkir 150.000.000 155.000.000 Dinas Sosial Naker Pengadaan kenderaan dinas/operasional Padangsidimpuan Tersedianya Kenderaan dinas 2 Unit Tersedianya Kenderaan dinas 2 Unit 75.000.000 74.000.000 Dinas Sosial Naker Rencana Program dan Kegiatan Prioritas Daerah Tahun 2015 Kota Padangsidimpuan Nomor Urusan/Bidang Urusan Pemerintahan Daerah Dan Program/Kegiatan Prioritas Daerah Sasaran Daerah Lokasi Indikator kinerja Pagu Indikatif Keterangan Hasil Program Keluaran Kegiatan Hasil Kegiatan Target Target Prakiraan Maju Target 1 7 9 11 Rencana Program dan Kegiatan Prioritas Tahun 2015 Bidang Sosial Lembar : 74 dari 87
  • 173.
    SKPD Jenis Keg Ket Tolok Ukur TolokUkur Tolok Ukur 1/2/3 1/2/3 1/2/3 2 3 4 5 6 8 10 12 13 14 15 16 Nomor Urusan/Bidang Urusan Pemerintahan Daerah Dan Program/Kegiatan Prioritas Daerah Sasaran Daerah Lokasi Indikator kinerja Pagu Indikatif Keterangan Hasil Program Keluaran Kegiatan Hasil Kegiatan Target Target Prakiraan Maju Target 1 7 9 11 Pengadaan Peralatan gedung kantor Padangsidimpuan Tersedianya Peralatan Gedung 1 Thn Tersedianya Peralatan Gedung 1 Thn 60.000.000 65.000.000 Dinas Sosial Naker Pengadaan Perlengkapan gedung kantor Padangsidimpuan Tersedianya Perlengkapan Gedung 1 Thn Tersedianya Perlengkapan Gedung 1 Thn 197.000.000 200.000.000 Dinas Sosial Naker pemeliharaan rutin/berkala kenderaan dinas operasional Padangsidimpuan Meningkatnya pemeliharaan kenderaan dinas 1 Thn Meningkatnya pemeliharaan kenderaan dinas 1 Thn 48.000.000 50.000.000 Dinas Sosial Naker pemeliharaan rutin/berkala peralatan gedung kantor Padangsidimpuan Meningkatnya pemeliharaan peralatan gedung Meningkatnya pemeliharaan peralatan gedung 10.000.000 10.000.000 Dinas Sosial Naker Program Peningkatan Kapasitas Sumber Daya Aparatur Adanya Peningkatan kapasitas sumber daya aparatur Meningkatkan kualitas Sumber Daya Aparatur Meningkatnya kualitas sumber daya aparatur 140.000.000 150.000.000 Pendidikan dan Pelatihan Formal Dalam dan Luar Daerah Pendidikan dan Pelatihan formal Aparatur Pendidikan dan Pelatihan formal Aparatur 140.000.000 150.000.000 Dinas Sosial Naker Program Peningkatan Disiplin Aparatur 24.000.000 25.000.000 Pengadaan Pakaian Dinas Beserta Perlengkapannya Meningkatnya Kesejahteraan Peg. Padangsidimpuan Pengadaan Pakaian dinas beserta perlengkapannya 24.000.000 25.000.000 Dinas Sosial Naker Program Peningkatan Pengembangan Sistem Pelaporan Capaian Kenerja Keuangan adanya peningkatan penyusunan laporan capaian kinerja dan realisasi keuangan SKPD Peningkatan sistem pelaporan capaian kinerja keuangan Meningkatnya sistem pelaporan capaian kinerja keuangan 15.000.000 18.000.000 Penyusunan laporan capaian Kinerja & Ikhtisar Realisasi Kinerja SKPD Padangsidimpuan 17 17 Doku men Laporan capaian kinerja dan realisasi kinerja keuangan SKPD 17 Dokum en Tersedianya laporan capaian kinerja dan realisasi kinerja SKPD yang valid 17 Dokum en 15.000.000 18.000.000 Dinas Sosial Naker Program Pemberdayaan Fakir Miskin, Komunikasi Adat Terpencil (KAT) dan Penyandang Masalah Kesejahteraan Sosial (PMKS) lainnya Terwujudnya penanganan masalah penyandang masalah kesejahteraan dan perlindungan sosial Pelayanan dan perlindungan sosial bagi fakir miskin Tertanganinya masalah PMKS 6 Kec 6 Kec 380.000.000 325.000.000 Pelatihan Keterampilan dan Pembentukan Kelompok Usaha Bersama bagi keluarga Miskin Padangsidimpuan Terbentuknya Kelompok Usaha Bersama keluarga miskin 60 KK Terbentuknya Kelompok Usaha Bersama keluarga miskin 60 KK 60 KK 300.000.000 250.000.000 Dinas Sosial Naker Pembinaan Sosial bagi Anak Gelandangan dan Pengemis Padangsidimpuan Terbinanya Anak Gelandangan dan Pengemis 50 org 50 org 50 org 80.000.000 75.000.000 Dinas Sosial Naker Program Pelayanan dan Rehabilitasi Kesejahteraan Sosial Terwujudnya pelayanan dan rehabilitasi sosial Melaksanakan bimbingan dan fasilitasi penyandang masalah kessos dan perlindungan sosial Meningkatkan pelayanan bagi penyandang masalah PMKS 844.500.000 632.000.000 Pelayanan Sosial untuk Anak SD dan Menengah Keluarga Kurang mampu Padangsidimpuan Pakaian dan Peralatan Sekolah 1020 0rg Pakaian dan Peralatan Sekolah 1020 0rg 1020 0rg 600.000.000 580.000.000 Dinas Sosial Naker Pemulangan orang-orang terlantar ke daerah asal Padangsidimpuan 4.500.000 4.000.000 Dinas Sosial Naker Rencana Program dan Kegiatan Prioritas Tahun 2015 Bidang Sosial Lembar : 75 dari 87
  • 174.
    SKPD Jenis Keg Ket Tolok Ukur TolokUkur Tolok Ukur 1/2/3 1/2/3 1/2/3 2 3 4 5 6 8 10 12 13 14 15 16 Nomor Urusan/Bidang Urusan Pemerintahan Daerah Dan Program/Kegiatan Prioritas Daerah Sasaran Daerah Lokasi Indikator kinerja Pagu Indikatif Keterangan Hasil Program Keluaran Kegiatan Hasil Kegiatan Target Target Prakiraan Maju Target 1 7 9 11 Pelayanan sosial dan pengobatan gratis bagi lanjut usia Padangsidimpuan 190.000.000 Dinas Sosial Naker Pembinaan dan pelatihan bagi anggota IPSM,TAGANA, TKSK dan Karang Taruna 50.000.000 48.000.000 Dinas Sosial Naker Program Pemberdayaan Kelembagaan Kessos 350.000.000 357.000.000 Pembinaan terhadap Kelompok Kegiatan Keagamaan Padangsidimpuan Terbinanya kelompok keagamaan 100 org Terbinanya kelompok keagamaan 100 org 100 org 350.000.000 357.000.000 Dinas Sosial Naker Program Pembinaan Panti Asuhan/Panti Jompo Peningkatan Kesejahteraan Penghuni Panti Asuhan 595.000.000 247.622.125 Pelayanan Sosial untuk Penghuni Panti Jompo Padangsidimpuan Peningkatan Kesejahteraan Penghuni Panti Jompo 70 org Peningkatan Kesejahteraan Penghuni Panti Jompo 70 org 70 org 57.000.000 47.622.125 Dinas Sosial Naker Pendidikan dan Pelatihan Bagi Penghuni Panti Asuhan Bidang Tata Boga Padangsidimpuan 78.000.000 Dinas Sosial Naker Pendidikan dan Pelatihan Bagi Penghuni Panti Asuhan Bidang Elektronik Padangsidimpuan 92.000.000 Dinas Sosial Naker Pengobatan Gratis Bagi Penghuni Panti Jompo dan Panti Asuhan Padangsidimpuan 158.000.000 Dinas Sosial Naker Pelayan Sosial untuk Penghuni Panti Asuhan Padangsidimpuan Peningkatan Kesejahteraan Penghuni Panti Asuhan 150 org Peningkatan Kesejahteraan Penghuni Panti Asuhan 150 org 150 org 210.000.000 200.000.000 Dinas Sosial Naker 7.304.174.000 7.458.370.000 P2 Program Peningkatan Sarana dan Prasarana Aparatur Adanya Peningkatan Sarana dan prasarana aparatur Meningkatkan kualitas dan kuantitas sarana dan prasarana aparatur 45.000.000 50.000.000 pemeliharaan rutin/berkala gedung kantor Padangsidimpuan Meningkatnya pemeliharaan gedung 1 Thn Meningkatnya pemeliharaan gedung 1 Thn 45.000.000 50.000.000 Dinas Sosial Naker Program Peningkatan Pengembangan Sistem Pelaporan Capaian Kenerja Keuangan adanya peningkatan penyusunan laporan capaian kinerja dan realisasi keuangan SKPD Peningkatan sistem pelaporan capaian kinerja keuangan Meningkatnya sistem pelaporan capaian kinerja keuangan 8.900.000 9.500.000 Pelaporan Capaian Kenerja Keuangan Padangsidimpuan Penyusunan Pelaporan Keuangan Akhir Tahun Padangsidimpuan Tersedianya laporan keuangan akhir tahun 1 set Tersedianya laporan keuangan akhir tahun 1 set 8.900.000 9.500.000 Dinas Sosial Naker Program Pemberdayaan Fakir Miskin, Komunikasi Adat Terpencil (KAT) dan Penyandang Masalah Kesejahteraan Sosial (PMKS) lainnya 1.330.000.000 1.430.000.000 Razia PSK Padangsidimpuan Terbinanya PSK 2 keg 2 keg 2 keg 60.000.000 65.000.000 Dinas Sosial Naker Rencana Program dan Kegiatan Prioritas Tahun 2015 Bidang Sosial Lembar : 76 dari 87
  • 175.
    SKPD Jenis Keg Ket Tolok Ukur TolokUkur Tolok Ukur 1/2/3 1/2/3 1/2/3 2 3 4 5 6 8 10 12 13 14 15 16 Nomor Urusan/Bidang Urusan Pemerintahan Daerah Dan Program/Kegiatan Prioritas Daerah Sasaran Daerah Lokasi Indikator kinerja Pagu Indikatif Keterangan Hasil Program Keluaran Kegiatan Hasil Kegiatan Target Target Prakiraan Maju Target 1 7 9 11 Pembangunan Panti Sosial Padangsidimpuan Tertampungnya PMKS 1 unit 1 unit 1 unit 400.000.000 450.000.000 Dinas Sosial Naker Khitanan Massal Padangsidimpuan Terlaksananya sunat rasul 300 Orang Terlaksananya khitanan bagi penyandang masalah PMKS 300 Orang Terlaksananya khitanan bagi penyandang masalah PMKS 300 Orang 70.000.000 65.000.000 Dinas Sosial Naker Gerakan Pembangunan Kampung Padangsidimpuan Meningkatnya Kesejahteraan Masyarakat Desa 4 desa Meningkatnya Kesejahteraan Masyarakat Desa 4 desa 4 desa 800.000.000 850.000.000 Dinas Sosial Naker Program Pelayanan dan Rehabilitasi Kesejahteraan Sosial 5.236.274.000 5.283.870.000 Pelayanan Sosial bagi orang terlantar Padangsidimpuan Terpulangkannya orang terlantar ke Daerah Asal Terpulangkannya orang terlantar ke Daerah Asal 6.000.000 7.000.000 Dinas Sosial Naker Pembinaan bagi Anggota Karang Taruna Padangsidimpuan Terbinanya Anggota Karang Taruna 150 org Terbinanya Anggota Karang Taruna 150 org 150 org 132.000.000 160.000.000 Dinas Sosial Naker Pengadaan Saranan Prasarana Penanganan Korban Bencana Padangsidimpuan Terpenuhinya sarana dan Prasarana bencana 4.681.870.000 4.681.870.000 Dinas Sosial Naker Pembinaan Taruna Siaga Bencana (TAGANA) Padangsidimpuan Terbinanya Taruna Siaga Bencana 1 keg Terbinanya Taruna Siaga Bencana 1 keg 1 keg 35.000.000 40.000.000 Dinas Sosial Naker Pembinaan bagi Ikatan Pekerja Sosial Masyarakat ( IPSM ) Padangsidimpuan Terbinanya Anggota Pekerja IPSM 50 org Terbinanya Anggota Pekerja IPSM 50 org 50 org 50.000.000 55.000.000 Dinas Sosial Naker Pelatihan Keterampilan Berusaha Bagi Keluarga Miskin Padangsidimpuan Meningkatnya Keterampilan Berusaha Keluarga Miskin 60KK 60KK 60KK 296.404.000 300.000.000 Dinas Sosial Naker Pembinaan Bagi Tenaga Kesejahteraan Sosial Masyarakat (TKSK) Padangsidimpuan Terbinanya Anggota TKSK 1 keg Terbinanya Anggota TKSK 1 keg 1 keg 35.000.000 40.000.000 Dinas Sosial Naker Program Pelayanan dan Rehabilitasi Kesejahteraan sosial 19.000.000 20.000.000 Pengadaan Beras untuk Jompo ( Lanjut Usia) Padangsidimpuan Terlaksananya bantuan beras 1000 kg Terlaksananya bantuan beras 1000 kg 1000 kg 19.000.000 20.000.000 Dinas Sosial Naker Program Pemberdayaan Kelembagaan Kesejahteraan Sosial 665.000.000 665.000.000 Pengadaan Alat-alat untuk Keagamaan Padangsidimpuan Terlaksananya Pengadaan Peralatan keagamaan 4 paket Terlaksananya Pengadaan Peralatan keagamaan 4 paket 4 paket 65.000.000 65.000.000 Dinas Sosial Naker Pengadaan sarana dan prasarana peribadatan (Pengadaan Mobil Jenazah) Padangsidimpuan Peningkatan sarana peribadatan 2 unit Peningkatan sarana peribadatan 2 unit 2 unit 600.000.000 600.000.000 Dinas Sosial Naker 2.880.900.000 2.754.500.000 P1 1 13 01 01 Program Pelayanan Adminstrasi Perkantoran 629.800.000 685.500.000 Penyediaan Jasa Surat Menyurat Padangsidimpuan Meningkatnya Pelayanan Perkantoran 1 Thn Tersedianya Jasa Surat Menyurat 1 Thn Terpenuhinya Jasa Surat Menyurat 1 Thn 1.500.000 2.000.000 BPBD Pelayanan Jasa Komunikasi ,sumberdaya Air dan Listrik Padangsidimpuan Meningkatnya Pelayanan Perkantoran 1 Thn Tersedianya Jasa Komunikasi ,sumberdaya Air dan Listrik 1 Thn Terpenuhinya Jasa Komunikasi ,sumberdaya Air dan Listrik 1 Thn 17.000.000 20.000.000 BPBD Rencana Program dan Kegiatan Prioritas Tahun 2015 Bidang Sosial Lembar : 77 dari 87
  • 176.
    SKPD Jenis Keg Ket Tolok Ukur TolokUkur Tolok Ukur 1/2/3 1/2/3 1/2/3 2 3 4 5 6 8 10 12 13 14 15 16 Nomor Urusan/Bidang Urusan Pemerintahan Daerah Dan Program/Kegiatan Prioritas Daerah Sasaran Daerah Lokasi Indikator kinerja Pagu Indikatif Keterangan Hasil Program Keluaran Kegiatan Hasil Kegiatan Target Target Prakiraan Maju Target 1 7 9 11 Penyediaan jasa Pemeliharaan dan perizinan kenderaan dinas operasional 1 Thn 1 Thn 1 Thn 8.000.000 10.000.000 BPBD Penyediaan jasa kebersihan kantor Padangsidimpuan Meningkatnya Pelayanan Perkantoran 1 Thn Tersedianya jasa kebersihan kantor 1 Thn Terpenuhinya jasa kebersihan kantor 1 Thn 40.000.000 41.500.000 BPBD Penyediaan alat tulis kantor Padangsidimpuan Meningkatnya Pelayanan Perkantoran 1 Thn Tersedianya alat tulis kantor 1 Thn Terpenuhinya alat tulis kantor 1 Thn 40.000.000 41.500.000 BPBD Penyediaan barang cetakan dan penggandaan Padangsidimpuan Meningkatnya Pelayanan Perkantoran 1 Thn Tersedianya barang cetakan dan penggandaan 1 Thn Terpenuhinya barang cetakan dan penggandaan 1 Thn 17.500.000 17.500.000 BPBD Penyediaan komponen instalasi listrik/penerangan bangunan kantor Padangsidimpuan Meningkatnya Pelayanan Perkantoran 1 Thn Tersedianya komponen instalasi listrik/penerangan bangunan kantor 1 Thn Terpenuhinya komponen instalasi listrik/penerangan bangunan kantor 1 Thn 5.000.000 10.000.000 BPBD Penyediaan peralatan dan perlengkapan kantor Padangsidimpuan Meningkatnya Pelayanan Perkantoran 1 Thn Tersedianya peralatan dan perlengkapan kantor 1 Thn Terpenuhinya peralatan dan perlengkapan kantor 1 Thn 75.000.000 80.000.000 BPBD Penyediaan peralatan rumah tangga 1 Thn 1 Thn 1 Thn 35.000.000 40.000.000 BPBD Penyediaan bahan bacaan dan peraturan perundang-undangan Padangsidimpuan Meningkatnya Pelayanan Perkantoran 1 Thn Tersedianya bahan bacaan dan peraturan perundang- undangan 1 Thn Terpenuhinya bahan bacaan dan peraturan perundang-undangan 1 Thn 5.000.000 5.000.000 BPBD Penyediaan makanan dan minuman Padangsidimpuan Meningkatnya Pelayanan Perkantoran 1 Thn Tersedianya makanan dan minuman 1 Thn Terpenuhinya makanan dan minuman 1 Thn 55.000.000 60.000.000 BPBD Rapat-rapat koordinasi dan konsultasi ke luar derah Padangsidimpuan Meningkatnya Pelayanan Perkantoran 1 Thn Rapat-rapat koordinasi dan konsultasi ke luar derah 1 Thn Rapat-rapat koordinasi dan konsultasi ke luar derah 1 Thn 200.000.000 220.000.000 BPBD Penyediaan Jasa keamanan Kantor Padangsidimpuan Meningkatnya keamanan Perkantoran 1 Thn Tersedianya Jasa keamanan Kantor 1 Thn Terpenuhinya Jasa keamanan Kantor 1 Thn 40.800.000 50.000.000 BPBD Penyediaan Jasa administrasi Perkantoran Padangsidimpuan Meningkatnya Pelayanan Perkantoran 1 Thn Tersedianya Jasa administrasi Perkantoran 1 Thn Terpenuhinya Jasa administrasi Perkantoran 1 Thn 90.000.000 88.000.000 BPBD Program Peningkatan sarana dan Prasarana aparatur 207.500.000 193.000.000 Pengadaan Kenderaan dinas operasional Padangsidimpuan 3 unit 3 unit 45.000.000 BPBD Pengadaan perlengkapan gedung kantor Padangsidimpuan 1 Thn 2 unit 2 unit 12.500.000 13.000.000 BPBD Pengadaan peralatan gedung kantor Padangsidimpuan 1 Thn 1 Thn 1 Thn 42.000.000 45.000.000 BPBD Pemeliharaan rutin/ berkala mobil jabatan Padangsidimpuan 1 Thn Pemeliharaan rutin/ berkala kendaraan dinas/ operasional 1 Thn Terpenuhinya Pemeliharaan rutin/ berkala kendaraan dinas/ operasional 1 Thn 60.000.000 80.000.000 BPBD Pemeliharaan rutin/ berkala kendaraan dinas operasional Padangsidimpuan 1 Thn Pemeliharaan rutin/ berkala kendaraan dinas/ operasional 1 Thn Terpenuhinya Pemeliharaan rutin/ berkala kendaraan dinas/ operasional 2 unit 42.000.000 45.000.000 BPBD Pemeliharaan rutin/ berkala Perlengkapan gedung kantor Padangsidimpuan 1 Thn Pemeliharaan rutin/ berkala Perlengkapan gedung kantor 1 Thn Terpenuhinya Pemeliharaan rutin/ berkala Perlengkapan gedung kantor 1 buah 6.000.000 10.000.000 BPBD Program Peningkatan Kapasitas sumber Daya Aparatur 210.000.000 110.000.000 Pendidikan dan Pelatihan Formal Padangsidimpuan Tersedianya biaya bintek 1 Thn Terlaksananya bintek bagi PNS 1 Thn Meningkatnya SDM pegawai 20 org 100.000.000 110.000.000 BPBD Rencana Program dan Kegiatan Prioritas Tahun 2015 Bidang Sosial Lembar : 78 dari 87
  • 177.
    SKPD Jenis Keg Ket Tolok Ukur TolokUkur Tolok Ukur 1/2/3 1/2/3 1/2/3 2 3 4 5 6 8 10 12 13 14 15 16 Nomor Urusan/Bidang Urusan Pemerintahan Daerah Dan Program/Kegiatan Prioritas Daerah Sasaran Daerah Lokasi Indikator kinerja Pagu Indikatif Keterangan Hasil Program Keluaran Kegiatan Hasil Kegiatan Target Target Prakiraan Maju Target 1 7 9 11 Sosialisasi Peraturan perundang-undangan Padangsidimpuan 1 Thn 1 Thn 1 Thn 110.000.000 BPBD Program Pencegahan dini dan penanggulangan korban bencana alam 1.833.600.000 1.766.000.000 Pemantauan dan Penyebarluasan Informasi Potensi Bencana Alam Padangsidimpuan 1 Thn 50 sekolah 50 sekolah 50.000.000 60.000.000 BPBD Kegiatan Bulan Pengurangan Resiko Bencana Padangsidimpuan 1 Thn 1 kali 22.600.000 24.000.000 BPBD Peningkatan Kesiapsiagaan dan Penanggulangan Korban Bencana Padangsidimpuan 1 Thn 60 org 60 org 850.000.000 900.000.000 BPBD Pengadaan sarana Prasaran Evakuasi Penduduk Terhadap ancaman bencana alam Padangsidimpuan 1 Thn 65.000.000 100.000.000 BPBD Pelatihan pencegahan dan Penanggulangan Bencana alam Padangsidimpuan 1 Thn 4 keg 4 keg 320.000.000 318.000.000 BPBD Penyusunan norma,standar prosedur dan manual pencegahan dan penanggulangan bencana Padangsidimpuan 1 Thn 1 SOP 1 SOP 16.000.000 15.000.000 BPBD Pembuatan peta rawan bencana Padangsidimpuan 1 Thn 1 Peta 1 Peta 215.000.000 BPBD Pembentukan desa siaga bencana Padangsidimpuan 1 Thn 25 Desa 25 Desa 240.000.000 300.000.000 BPBD Kemitraan dalam penanggulangan bencana Padangsidimpuan 1 Thn 1 keg 1 keg 30.000.000 19.000.000 BPBD Rapat Koordinasi penanggulangan bencan tingkat kota Padangsidimpuan 1 Thn 2 keg 2 keg 25.000.000 30.000.000 BPBD 2.500.000.000 4.000.000.000 P2 Program Peningkatan sarana dan Prasarana aparatur 2.629.750.000 4.167.250.000 Pengadaan meubelair Padangsidimpuan Pengadaan meubelair Terpenuhinya Pengadaan meubelair 12 unit 80.000.000 120.000.000 BPBD Pemeliharaan rutin/ berkala Peralatan gedung kantor Padangsidimpuan 1 Thn Pemeliharaan rutin/ berkala Peralatan gedung kantor 1 Thn Terpenuhinya Pemeliharaan rutin/ berkala Peralatan gedung kantor 1 Thn 4.500.000 4.500.000 BPBD Program Peningkatan Disiplin Aparatur 37.500.000 45.000.000 Pengadaan Pakaian Kerja Lapangan Padangsidimpuan Peningkatan disiplin aparatur 1 Thn Pakaian Kerja Lapangan 1 Thn Tersedianya Pakaian Kerja Lapangan 50 org 37.500.000 45.000.000 BPBD Program Peningkatan Pengembangan Sistem Pelaporan Capaian Kinerja dan keuangan 10.000.000 10.000.000 Penyusunan Pelaporan Kinerja Padangsidimpuan Peningkatan kualitas dan kuantitas pelaporan 1 Thn Tersedianya laporan kinerja 1 Thn 10 buku 5.000.000 5.000.000 BPBD Penyusunan Laporan Keuangan Padangsidimpuan Peningkatan kualitas dan kuantitas pelaporan 1 Thn Tersedianya laporan keuangan 1 Thn 10 buku 5.000.000 5.000.000 BPBD Program Perencanaan Pengembangan Kota- Kota Menengah dan Besar 1 Thn 20.000.000 20.000.000 Koordinasi Penanggulangan dan Penyelesaian Bencana Padangsidimpuan 1 Thn 1 kali 20.000.000 20.000.000 BPBD Program Perencanaan Pembagunan Daerah Rawan Bencana 20.000.000 30.000.000 Pemetaan Kawasan Rawan Bencana Padangsidimpuan 1 Thn 1 kali 20.000.000 30.000.000 BPBD Rencana Program dan Kegiatan Prioritas Tahun 2015 Bidang Sosial Lembar : 79 dari 87
  • 178.
    SKPD Jenis Keg Ket Tolok Ukur TolokUkur Tolok Ukur 1/2/3 1/2/3 1/2/3 2 3 4 5 6 8 10 12 13 14 15 16 Nomor Urusan/Bidang Urusan Pemerintahan Daerah Dan Program/Kegiatan Prioritas Daerah Sasaran Daerah Lokasi Indikator kinerja Pagu Indikatif Keterangan Hasil Program Keluaran Kegiatan Hasil Kegiatan Target Target Prakiraan Maju Target 1 7 9 11 Program Pencegahan dini dan penanggulangan korban bencana alam 2.500.000.000 4.000.000.000 Pengadaan Mobil Dinas Operasional Pengadaan Mobil Operasional Rescue 1 unit 1 unit 1 unit 500.000.000 500.000.000 BPBD Pengadaan Mobil Dapur Umum 1 unit 1 unit 1 unit 1.000.000.000 1.000.000.000 BPBD Pengadaan Mobil Sanitasi 1 unit 1 unit 1 unit 1.000.000.000 1.000.000.000 BPBD Program Peningkatan Sarana dan Prasarana Aparatur Pengadaan Gedung Kantor 1.500.000.000 BPBD Rencana Program dan Kegiatan Prioritas Tahun 2015 Bidang Sosial Lembar : 80 dari 87
  • 179.
    SKPD Jenis Keg Ket Tolok Ukur TolokUkur Tolok Ukur 1/2/3 1/2/3 1/2/3 2 3 4 5 6 8 10 12 13 14 15 16 01 URUSAN WAJIB 01 14 BIDANG TENAGA KERJA 3.973.783.375 4.048.879.900 2.199.907.000 2.241.379.900 P1 Program Peningkatan Kualitas dan Produktifitas Tenaga Kerja Meningkatkan data base ketenagakerjaan Meningkatnya data base pencari kerja Adanya data base ketenagakerjaan daerah 1.576.023.500 1.638.379.900 Pendidikan dan Pelatihan Keterampilan Bidang Elektronik UPTD BLK Pendidikan dan pelatihan keterampilan 3 paket Pendidikan dan pelatihan keterampilan 3 paket 386.013.700 400.000.000 Dinas Sosial Naker Pendidikan dan Pelatihan Keterampilan Bidang Menjahit UPTD BLK 3 paket 3 paket 286.013.700 300.000.000 Dinas Sosial Naker Pendidikan dan Pelatihan Keterampilan Bidang Tata Rias UPTD BLK 3 paket 3 paket 285.616.200 300.000.000 Dinas Sosial Naker Pendidikan dan Pelatihan Keterampilan Bidang Bordir Sulam UPTD BLK 1 paket 1 paket 250.000.000 270.000.000 Dinas Sosial Naker Pendidikan dan Pelatihan Keterampilan Bidang Tata Boga 3 paket 3 paket 368.379.900 368.379.900 Dinas Sosial Naker Program Peningkatan Kesempatan Kerja Tersedianya informasi bursa tenaga kerja dengan permintaan pasar yang siap pakai Melaksanakan dan mengikuti pelatihan bagi para pencari kerja Tercapainya kerjasama pendidikan dan pelatihan anatar pencari kerja dan dunia usaha 129.966.500 116.000.000 Penyebarluasan Informasi Bursa Tenaga Kerja Padangsidimpuan Tersedianya Informasi Bursa Tenaga Kerja 6 kec Pencari kerja menerima informasi bursa tenaga kerja 6 kec 14.966.500 16.000.000 Dinas Sosial Naker Sosialisasi Prosedur penempatan,perlindungan dan peluang kerja TKI ke Luar Negeri Padangsidimpuan 105.000.000 100.000.000 Dinas Sosial Naker Penyusunan Informasi Bursa Kerja Padangsidimpuan 6 kec 6 kec 10.000.000 Dinas Sosial Naker Program Perlindungan dan Pengembangan Lembaga Ketenagakerjaan Terwujudnya hubungan kerja yang harmonis, selaras antara pengusaha dan pekerja Meningkatkan pengawasan ketenagakerjaan thdp tenaga kerja/buruh Tercapainya Penegakan Hukum, Keselamatan dan Kesehatan Kerja 493.917.000 487.000.000 Rencana Program dan Kegiatan Prioritas Daerah Tahun 2015 Kota Padangsidimpuan Nomor Urusan/Bidang Urusan Pemerintahan Daerah Dan Program/Kegiatan Prioritas Daerah Sasaran Daerah Lokasi Indikator kinerja Pagu Indikatif Keterangan Hasil Program Keluaran Kegiatan Hasil Kegiatan Target Target Prakiraan Maju Target 1 7 9 11 Rencana Program dan Kegiatan Prioritas Tahun 2015 Bidang Tenaga Kerja Lembar : 81 dari 87
  • 180.
    SKPD Jenis Keg Ket Tolok Ukur TolokUkur Tolok Ukur 1/2/3 1/2/3 1/2/3 2 3 4 5 6 8 10 12 13 14 15 16 Nomor Urusan/Bidang Urusan Pemerintahan Daerah Dan Program/Kegiatan Prioritas Daerah Sasaran Daerah Lokasi Indikator kinerja Pagu Indikatif Keterangan Hasil Program Keluaran Kegiatan Hasil Kegiatan Target Target Prakiraan Maju Target 1 7 9 11 Monitoring, Evaluasi dan Pelaporan Padangsidimpuan Terbinanya perusahaan dan tenagakerja (buruh) 104 perusah aan Terbinanya perusahaan dan tenagakerja (buruh) 104 perusah aan 75.000.000 80.000.000 Dinas Sosial Naker Penyusunan Upah Minimum Kota P.Sidimpuan Padangsidimpuan Terwujudnya Penetapan Upah Minimum Daerah 1 vdok Terwujudnya Penyusunan Upah Minimum Daerah 1 vdok 60.000.000 67.000.000 Dinas Sosial Naker Sosialisasi Pertolongan Pertama pada kecelakaan kerja di tempat kerja Terpenuhinya penyuluhan pertolongan pertama di tempat kerja Terpenuhinya penyuluhan pertolongan pertama di tempat kerja 150 org Terpenuhinya penyuluhan pertolongan pertama di tempat kerja 150 org 150 org 300.000.000 280.000.000 Dinas Sosial Naker Pembentukan dan pembinaan lembaga kerja sama Tripartit Padangsidimpuan Terwujudnya peran aktif LKS Tripartit Kota Dalam penyelesaian hubungan industrial 1 lembaga Terwujudnya peran aktif LKS Tripartit Kota Dalam penyelesaian hubungan industrial 1 lembaga 58.917.000 60.000.000 Dinas Sosial Naker 1.773.876.375 1.807.500.000 P2 Program Perlindungan dan Pengembangan Lembaga Ketenagakerjaan 166.376.375 175.000.000 Sosialisasi berbagai peraturan pelaksanaan tentang ketenagakerjaan Padangsidimpuan Tersosialisasikannya peraturan pelaksanaan tentang ketenagakerjaan 150 0rg Tersosialisasikan nya peraturan pelaksanaan tentang 150 0rg 58.376.375 60.000.000 Dinas Sosial Naker Verifikasi Keanggotaan Serikat Pekerja/serikat buruh Terpenuhinya keanggotaan Terpenuhinya keanggotaan 50 unit kerja Terpenuhinya keanggotaan 50 unit kerja 50 unit kerja 50.000.000 55.000.000 Dinas Sosial Naker Sosialisasi BPJS Ketenagakerjaan Tersosialisasinya peraturan pelaksanaan BPJS Tersosialisasinya peraturan pelaksanaan BPJS 150 org Tersosialisasinya peraturan pelaksanaan BPJS 150 org 150 org 58.000.000 60.000.000 Dinas Sosial Naker Program Peningkatan Kesempatan Kerja 1.120.000.000 1.120.000.000 Perluasan Kesempatan Kerja dan Pengembangan tenaga kerja kektor Berkurangnya angka pengangguran Berkurangnya angka pengangguran 1 paket Berkurangnya angka pengangguran 1 paket 1 paket 320.000.000 320.000.000 Dinas Sosial Naker informal padat karya infrastruktur padat karya produktif Berkurangnya angka pengangguran Berkurangnya angka pengangguran 4 paket Berkurangnya angka pengangguran 4 paket 4 paket 800.000.000 800.000.000 Dinas Sosial Naker Program Peningkatan dan Produktivitas tenaga kerja 487.500.000 512.500.000 Diklat Otomotif UPTD BLK 2 paket 2 paket 200.000.000 210.000.000 Dinas Sosial Naker Pendidikan dan Pelatihan Keterampilan bagi pencari kerja bidang pembuatan bermacam macam kerajinan daerah Terlatihnya Keterampilan bagi Pencari Kerja UPTD BLK Terlatihnya Keterampilan bagi Pencari Kerja 1 paket Terlatihnya Keterampilan bagi Pencari Kerja 1 paket 1 paket 7.500.000 7.500.000 Dinas Sosial Naker Pendidikan dan Pelatihan Tata Boga dan tata cara membangkitkan ekonomi rumah tangga Terlatihnya Keterampilan bagi Pencari Kerja UPTD BLK Terlatihnya Keterampilan bagi Pencari Kerja 2 paket Terlatihnya Keterampilan bagi Pencari Kerja 2 paket 2 paket 200.000.000 210.000.000 Dinas Sosial Naker Pelatihan Pembuatan Tahu dan Tempe Terlatihnya Keterampilan bagi Pencari Kerja UPTD BLK Terlatihnya Keterampilan bagi Pencari Kerja 2 paket Terlatihnya Keterampilan bagi Pencari Kerja 2 paket 2 paket 80.000.000 85.000.000 Dinas Sosial Naker Rencana Program dan Kegiatan Prioritas Tahun 2015 Bidang Tenaga Kerja Lembar : 82 dari 87
  • 181.
    SKPD Jenis Keg Ket Tolok Ukur TolokUkur Tolok Ukur 1/2/3 1/2/3 1/2/3 2 3 4 5 6 8 10 12 13 14 15 16 Nomor Urusan/Bidang Urusan Pemerintahan Daerah Dan Program/Kegiatan Prioritas Daerah Sasaran Daerah Lokasi Indikator kinerja Pagu Indikatif Keterangan Hasil Program Keluaran Kegiatan Hasil Kegiatan Target Target Prakiraan Maju Target 1 7 9 11 Rencana Program dan Kegiatan Prioritas Tahun 2015 Bidang Tenaga Kerja Lembar : 83 dari 87
  • 182.
    SKPD Jenis KegKet Tolok Ukur Tolok Ukur Tolok Ukur 1/2/3 1/2/3 1/2/3 2 3 4 5 6 8 10 12 13 14 15 16 01 URUSAN WAJIB 01 15 BIDANG KOPERASI DAN USAHA KECIL MENENGAH 4.232.634.100 2.164.500.000 3.345.850.000 1.019.500.000 P1 Program Pelayanan Administrasi Perkantoran 577.850.000 602.500.000 Penyediaan Jasa Komunikasi,Sumber Daya Listrk Padangsidimpuan Terbayarnya Biaya Listrik, Telepon dan Fax 1 Thn Pelayanan Jasa Komunikasi, Sumber Daya Listrik 1 Thn Terbayarnya Biaya Listrik, Telepon dan Fax 1 Thn 23.050.000 27.500.000 Diskop, UKM, Perindag & Pasar Penyediaan Jasa Jaminan Barang Milik Daerah Padangsidimpuan Terbayarnya Dana Penyediaan Jasa Administrasi Barang Milik Daerah 1 Thn Tersedianya Dana Penyediaan Jasa Administrasi Barang Milik Daerah 1 Thn Terbayarnya Dana Penyediaan Jasa Admnistrasi Barang Milik Daerah 1 Thn 10.800.000 15.000.000 Diskop, UKM, Perindag & Pasar Penyediaan jasa kebersihan kantor Padangsidimpuan 1 Thn 1 Thn 52.000.000 55.000.000 Diskop, UKM, Perindag & Pasar Penyediaan Alat Tulis Kantor Padangsidimpuan Terpenuhinya Kebutuhan Jasa Surat menyurat 1 Thn Jumlah Surat Menyurat yang dikeluarkan 1 Thn Terpenuhinya Kebutuhan Jasa Surat Menyurat 1 Thn 25.000.000 35.000.000 Diskop, UKM, Perindag & Pasar Penyediaan Barang Cetakan Padangsidimpuan Terpenuhinya Kebutuhan Barang Cetakan dan Penggandaan 1 Thn Jumlah Barang Cetakan dan Penggandaan yang dikeluarkan 1 Thn Terpenuhinya Kebutuhan Barang Cetakan dan Penggandaan 1 Thn 120.000.000 45.000.000 Diskop, UKM, Perindag & Pasar Penyediaan Peralatan Rumah Tangga Padangsidimpuan Tersedianya Kebutuhan Alat- alat listrik , Elektronik 1 Thn Terpenuhinya Penyediaan Peralatan Rumah Tangga 1 Thn Tersedianya Kebutuhan Alat- alat listrik, Elektronik 1 Thn 22.000.000 40.000.000 Diskop, UKM, Perindag & Pasar Penyediaan Bahan Bacan dan Perundang-undangan Padangsidimpuan Terbayarnya Biaya Bahan Bacaan Surat Kabar, Majalah dan Buletin 1 Thn Pelayanan Penyediaan Bahan Bacaan dan Peraturan Perundang- undangan 1 Thn Terbayaranya Biaya Bahan Bacaan Surat Kabar, Majalah/Buletin 1 Thn 20.000.000 30.000.000 Diskop, UKM, Perindag & Pasar Penyediaan Makan dan Minuman Padangsidimpuan Terbayarnya Biaya Konsumsi / Snack Kegiatan Rapat 1 Thn Terpenuhinya Penyediaan Makanan dan Minuman 1 Thn Terbayarnya Biaya Konsumsi/Snack Kegiatan Rapat 1 Thn 144.000.000 170.000.000 Diskop, UKM, Perindag & Pasar Rapat Kordinasi Dan Konsultasi ke Luar Daerah Padangsidimpuan Terbayarnya Biaya Perjalanan rapat koordinasi dan konsultasi ke luar daerah 1 Thn Tersedianya Dana Rapat- rapat Koordinasi dan Konsultasi Luar dan Dalam Daerah 1 Thn Terbayarnya Biaya Perjalanan Rapat Koordinasi dan Konsultasi Dalam dan Luar Daerah 1 Thn 140.000.000 160.000.000 Diskop, UKM, Perindag & Pasar Penyediaan jasa keamanan kantor Padangsidimpuan 1 Thn 1 Thn 21.000.000 25.000.000 Diskop, UKM, Perindag & Pasar Program Peningkatan Sarana dan Prasarana 2.299.000.000 170.000.000 Pembangunan Gedung Kantor Padangsidimpuan Terlaksananya Peningkatan Sarana dan Prasana Pasar 1 Thn Peningkatan Sarana Pembangunan 1 Thn Terlaksananya Peningkatan Sarana dan Prasarana Pasar 1 Thn 2.140.000.000 Diskop, UKM, Perindag & Pasar Rencana Program dan Kegiatan Prioritas Daerah Tahun 2015 Kota Padangsidimpuan Nomor Urusan/Bidang Urusan Pemerintahan Daerah Dan Program/Kegiatan Prioritas Daerah Sasaran Daerah Lokasi Indikator kinerja Prakiraan Maju Keterangan Hasil Program Keluaran Kegiatan Hasil Kegiatan Target Pagu Indikatif Target Target 1 7 9 11 Rencana Program dan Kegiatan Prioritas Tahun 2015 Bidang Koperasi dan UKM Lembar : 84 dari 87
  • 183.
    SKPD Jenis KegKet Tolok Ukur Tolok Ukur Tolok Ukur 1/2/3 1/2/3 1/2/3 2 3 4 5 6 8 10 12 13 14 15 16 Nomor Urusan/Bidang Urusan Pemerintahan Daerah Dan Program/Kegiatan Prioritas Daerah Sasaran Daerah Lokasi Indikator kinerja Prakiraan Maju Keterangan Hasil Program Keluaran Kegiatan Hasil Kegiatan Target Pagu Indikatif Target Target 1 7 9 11 Pengadaan perlengkapan gedung kantor Padangsidimpuan 1 Thn 1 Thn 70.000.000 75.000.000 Diskop, UKM, Perindag & Pasar Pengadaan Peralatan Gedung Kantor Padangsidimpuan Tersedianya Peralatan Gedung Kantor 1 Thn Tersedianya Dana Pengadaan Peralatan Gedung Kantor 1 Thn Tersedianya Peralatan Gedung Kantor 1 Thn 27.000.000 30.000.000 Diskop, UKM, Perindag & Pasar Pemeliharaan Rutin/Berkala Kenderaan Dinas/Opr Padangsidimpuan Terlaksananya Pemeliharaan Kendaraan Dinas/Operasional 1 Thn Terpenuhinya Pemeliharaan Kendaraan Dinas/Operiaonal 1 Thn Terlaksananya Pemeliharaan Kendaraan Dinas/Operasional 1 Thn 32.000.000 31.000.000 Diskop, UKM, Perindag & Pasar Pemeliharaan Rutin/Berkala Perlengkapan Gedung Kantor Padangsidimpuan Perlengkapan Gedung Kantor yang siap pakai 1 Thn Pemeliharaan Bangunan 1 Thn Perlengkapan Gedung Kantor yang siap pakai 1 Thn 15.000.000 17.000.000 Diskop, UKM, Perindag & Pasar Pemeliharaan Rutin/Berkala Peralatan Gedung Kantor Padangsidimpuan Peralatan Kantor yang siap pakai 1 Thn Pemeliharaan Peralatan 1 Thn Peralatan Kantor yang siap pakai 1 Thn 15.000.000 17.000.000 Diskop, UKM, Perindag & Pasar Program Peningkatan Disiplin Aparatur 70.000.000 Pengadaan pakain dinas beserta perlengkapannya Padangsidimpuan 1 Thn 1 Thn 1 Thn 70.000.000 Program Peningkatan Kapasitas Sumber Daya Aparatur 40.000.000 70.000.000 Pendidikan dan Pelatihan Formal Padangsidimpuan Aparatur yang berdaya saing 1 Thn Aparatur Mengikuti Bimtek 1 Thn Aparatur yang berdaya saing 1 Thn 40.000.000 70.000.000 Diskop, UKM, Perindag & Pasar Program Peningkatan Pengembangan Sistem Pelaporan Capaian Kinerja dan Keuangan 21.000.000 22.000.000 Penyusunan Laporan, Capaian Kinerja Iktisar Realisasi Kinerja SKPD Padangsidimpuan Peningkatan Kulaitas dan Kuantiotas Pelaporan 2 Keg Laporan Lakip, Renja dan Tahunan 2 Keg Tersusunnya Laporan Lakip/Renja/Tahunan 2 Keg 10.500.000 11.000.000 Diskop, UKM, Perindag & Pasar Penyusunan Laporan Keuangan Akhir Tahun Padangsidimpuan Peningkatan Kulaitas dan Kuantiotas Pelaporan 2 Keg Laporan Keuangan dan Aset 2 Keg Tersusunnya Laporan Keuangan dan Aset 2 Keg 10.500.000 11.000.000 Diskop, UKM, Perindag & Pasar Program Peningkatan Kualitas kelembagaan Koperasi 228.000.000 - Rencana Program dan Kegiatan Prioritas Tahun 2015 Bidang Koperasi dan UKM Lembar : 85 dari 87
  • 184.
    SKPD Jenis KegKet Tolok Ukur Tolok Ukur Tolok Ukur 1/2/3 1/2/3 1/2/3 2 3 4 5 6 8 10 12 13 14 15 16 Nomor Urusan/Bidang Urusan Pemerintahan Daerah Dan Program/Kegiatan Prioritas Daerah Sasaran Daerah Lokasi Indikator kinerja Prakiraan Maju Keterangan Hasil Program Keluaran Kegiatan Hasil Kegiatan Target Pagu Indikatif Target Target 1 7 9 11 Koordinasi pelaksanaan kebijakan dan program pembangunan koperasi 1 Thn 1 Thn 1 Thn 55.000.000 Diskop, UKM, Perindag & Pasar Peningkatan sarana dan prasarana pendidikan dan pelatihan perkoperasian 1 Thn 1 Thn 1 Thn 93.000.000 Diskop, UKM, Perindag & Pasar Sosialisasi prinsip-prinsip pemahaman perkoperasian 1 Thn 1 Thn 1 Thn 80.000.000 Diskop, UKM, Perindag & Pasar Program Pengembangan Sistim Pendukung Usaha Bagi UMKM 77.000.000 115.000.000 - Sosialisasi Dukungan Informasi Penyediaan Permodalan Optimalnya Informasi Penyediaan Permodalan UKM 1 Thn 1 Thn Optimalnya Informasi Penyediaan Permodalan UKM 1 Thn 45.000.000 80.000.000 Diskop, UKM, Perindag & Pasar - Pengembangan Sarana Pemasaran Produk UMKM Meningkatnya Kualitas dan Kuantitas Produk UMKM 1 Thn Tersalurnya Sarana Pemasaran 1 Thn Meningkatnya Kualitas dan Kuantitas Produk UMKM 1 Thn 32.000.000 35.000.000 Diskop, UKM, Perindag & Pasar Program Penciptaan Iklim Usaha Menengah yang Kondusif 33.000.000 40.000.000 Perencanaan,koordinasi dan Pengembangan UMKM Tercapainya Perkembangan UMKM 1 Thn Berkembangnya Usaha Mikro Kecil Menengah 1 Thn Tercapainya Perkembangan UMKM 1 Thn 33.000.000 40.000.000 Diskop, UKM, Perindag & Pasar 886.784.100 1.145.000.000 P2 Program Peningkatan Sarana dan Prasarana 430.000.000 585.000.000 Pengadaan Kendaraan Dinas/Operasional Padangsidimpuan Terlaksananya Pengadaan Kendaraan Dinas 1 Thn Terpenuhinya Pengadaan Kendaraan Dinas 1 Thn Terlaksananya Pengadaan Kendaraan Dinas 1 Thn 155.000.000 250.000.000 Diskop, UKM, Perindag & Pasar Pengadaan Pakaian Dinas Padangsidimpuan Kesejahteraan Pegawai 1 Thn Tersdianya Pakaian Dinas 1 Thn Kesejahteraan Pegawai 1 Thn 75.000.000 125.000.000 Diskop, UKM, Perindag & Pasar Pengadaan Peralatan Gedung Kantor Padangsidimpuan Peningkatan Kinerja Dinas 1 Thn Tersedianya Fasilitas Gedung Kantor 1 Thn Peningkatan Kinerja Dinas 1 Thn 200.000.000 210.000.000 Diskop, UKM, Perindag & Pasar Program Peningkatan Kualitas kelembagaan Koperasi 120.000.000 140.000.000 Bimbingan Teknis Koodinasi di Daerah Padangsidimpuan Koperasi Aktif dan Berprestasi meningkat dengan Adanya Koordinasi ke Propinsi dan Pusat 1 Thn Pelaksanaan Bimbingan Teknis Bagi Lembaga Koperasi 1 Thn Koperasi Aktif dan Berprestasi meningkat dengan Adanya Koordinasi ke Propinsi dan Pusat 1 Thn 30.000.000 40.000.000 Diskop, UKM, Perindag & Pasar Koordinasi ke Propinsi dan Pusat Padangsidimpuan Pembinaan Bersinergi antara Pemerintah Propinsi, Pusat dan Daerah 1 Thn Terlakananya Koordinasi Ke Propinsi dan Pusat 1 Thn Pembinaan Bersinergi antara Pemerintah Propinsi, Pusat dan Daerah 1 Thn 90.000.000 100.000.000 Diskop, UKM, Perindag & Pasar Rencana Program dan Kegiatan Prioritas Tahun 2015 Bidang Koperasi dan UKM Lembar : 86 dari 87
  • 185.
    SKPD Jenis KegKet Tolok Ukur Tolok Ukur Tolok Ukur 1/2/3 1/2/3 1/2/3 2 3 4 5 6 8 10 12 13 14 15 16 Nomor Urusan/Bidang Urusan Pemerintahan Daerah Dan Program/Kegiatan Prioritas Daerah Sasaran Daerah Lokasi Indikator kinerja Prakiraan Maju Keterangan Hasil Program Keluaran Kegiatan Hasil Kegiatan Target Pagu Indikatif Target Target 1 7 9 11 Program Pendidikan dan Pengembangan Sumber Daya Manusia (SDM) Koperasi 235.000.000 300.000.000 - Pendidikan/Pelatihan secara sistematis dan berkelanjutan bagi pengurus, pengawasa dan anggota koperasi Meningkatnya pengetahuan pengelola koperasi melalui pelaksanaan pendidikan /latihan secara sistematis dan berkelanjutan 1 Thn Terlaksannya Diklat Akuntansi Perkoperasian 1 Thn Meningkatnya pengetahuan pengelola koperasi melalui pelaksanaan pendidikan /latihan secara sistematis dan berkelanjutan 1 Thn 150.000.000 200.000.000 Diskop, UKM, Perindag & Pasar - Peringatan HUT Koperasi ke-68 Membagikan Literatur Koparesi Meningkatnya Citra Koperasi di Masyarakat 1 Thn Pelaksanaan Peringatan Hari Koperasi ke 68 1 Thn Meningkatnya Citra Koperasi di Masyarakat 1 Thn 85.000.000 100.000.000 Diskop, UKM, Perindag & Pasar Program Pengembangan Sistim Pendukung Usaha Bagi UMKM 101.784.100 120.000.000 - Penyelenggaraan Promosi Produk UMKM Dikenalnya Potensi Produk UMKM Kota Padangsidimpuan 1 Thn Terlaksananya Produk UMKM 1 Thn Dikenalnya Potensi Produk UMKM Kota Padangsidimpuan 1 Thn 101.784.100 120.000.000 Diskop, UKM, Perindag & Pasar Rencana Program dan Kegiatan Prioritas Tahun 2015 Bidang Koperasi dan UKM Lembar : 87 dari 87
  • 186.
    SKPD Jenis KegKet Tolok Ukur Target Tolok Ukur Target Tolok Ukur Target 1/2/3 1/2/3 1/2/3 2 3 4 5 6 7 8 9 10 11 12 13 14 15 16 01 URUSAN WAJIB 01 17 BIDANG KEBUDAYAAN 734.000.000 628.000.000 734.000.000 628.000.000 P1 Program pengelolaan kekayaan budaya Padangsidimpuan 220.000.000 230.000.000 Pengembangan kebudayaan dan pariwisata 4 kegiatan 4 kegiatan 160.000.000 170.000.000 Dispora Budpar Pelatihan penggunaan alat musik tradisional 1 kegiatan 1 kegiatan 60.000.000 60.000.000 Dispora Budpar Program Pengembangan Nilai Budaya Padangsidimpuan 85.000.000 88.000.000 Dispora Budpar Pembinaan Budaya daerah 85.000.000 88.000.000 Program pengelolaan keragaman budaya Padangsidimpuan 429.000.000 310.000.000 Fasilitasi penyelenggaraan festival budaya daerah 2 kegiatan 2 kegiatan 185.000.000 185.000.000 Dispora Budpar Pengembangan kesenian dan kebudayaan daerah 119.000.000 Dispora Budpar Seminar dalam rangka revitalisasi dan reaktualisasi budaya lokal 1 kegiatan 1 kegiatan 80.000.000 80.000.000 Dispora Budpar Fasilitasi penyelenggaraan dialog kebudayaan 1 kegiatan 1 kegiatan 45.000.000 45.000.000 Dispora Budpar 1 Rencana Program dan Kegiatan Prioritas Daerah Tahun 2015 Kota Padangsidimpuan Nomor Urusan/Bidang Urusan Pemerintahan Daerah Dan Program/Kegiatan Prioritas Daerah Sasaran Daerah Lokasi Indikator kinerja Pagu Indikatif Terlaksananya pengembangan database dan informasi sejarah purbakala Lestari dan berkembangnya pengembangan database budaya tradisional Prakiraan Maju Keterangan Hasil Program Keluaran Kegiatan Hasil Kegiatan Rencana Program dan Kegiatan Prioritas Tahun 2015 Bidang Budaya Lembar : 1 dari 74
  • 187.
    SKPD Jenis KegKeterangan Tolok Ukur Target Tolok Ukur Target Tolok Ukur Target 1/2/3 1/2/3 1/2/3 2 3 4 5 6 7 8 9 10 11 12 13 14 15 16 01 URUSAN WAJIB 01 18 BIDANG PEMUDA DAN OLAH RAGA 4.617.900.000 4.714.900.000 4.317.900.000 4.414.900.000 P1 Program Pelayanan Administrasi Perkantoran Padangsidimpuan 865.400.000 919.900.000 Penyediaan Jasa Surat Menyurat 3.850 kali 1.200.000 1.200.000 Dispora Budpar Penyediaan Jasa Komunikasi, Sumber Daya Air dan Listrik 48 rekening 50.000.000 50.000.000 Dispora Budpar Penyediaan Jasa Peralatan dan Perlengkapan Kantor 10 kali 75.000.000 75.000.000 Dispora Budpar Penyediaan Jasa pemeliharaan dan perizinan kenderaan dinas.operasional 2 unit 20.000.000 20.000.000 Dispora Budpar Penyediaan Jasa kebersihan kantor 4 unit / 16 orang 1.200.000 1.200.000 Dispora Budpar Penyediaan Jasa perbaikan peralatan kerja 30 unit 15.000.000 15.000.000 Dispora Budpar Penyediaan Alat tulis kantor 40 jenis 65.000.000 66.000.000 Dispora Budpar Penyediaan Barang Cetakan dan Penggandaan 10 jenis 40.000.000 42.000.000 Dispora Budpar Penyediaan Instalasi listrik/penerangan bangunan 100 buah 5.000.000 5.500.000 Dispora Budpar Penyediaan peralatan dan perlengkapan kantor 1 paket 12.000.000 12.000.000 Dispora Budpar Penyediaan peralatan rumah tangga 1 thn 11.000.000 12.000.000 Dispora Budpar Penyediaan bahan bacaan dan perundang- undangan 3 jenis 30.000.000 35.000.000 Dispora Budpar Rapat-rapat koordinasi dan konsultasi ke luar daerah 50 kali 200.000.000 270.000.000 Dispora Budpar Rapat-rapat koordinasi dan konsultasi dalamdaerah 30.000.000 35.000.000 Dispora Budpar Penyediaan jasa keamanan kantor 4 unit / 12 orang 180.000.000 150.000.000 Dispora Budpar Penyediaan makanan dan minuman 42 orang 110.000.000 100.000.000 Dispora Budpar Penyediaan jasa administrasi perkantoran 12 orang 20.000.000 30.000.000 Dispora Budpar Program peningkatan sarana dan Prasarana Aparatur Padangsidimpuan Optimalnya pelaksanaan kegiatan kantor 299.500.000 325.000.000 Pengadaan Mebeleur 1 paket 70.000.000 70.000.000 Dispora Budpar Pengadaan peralatan gedung kantor 120.000.000 130.000.000 Dispora Budpar Pemeliharaan rutin/berkala gedung kantor 1 paket 25.000.000 30.000.000 Dispora Budpar Pemeliharaan rutin/berkala perlengkapan gedung kantor 1 paket 2.500.000 5.000.000 Dispora Budpar Pemeliharaan rutin/berkala kenderaan dinas/operasional 3 unit 82.000.000 90.000.000 Dispora Budpar Program Peningkatan disiplin aparatur Padangsidimpuan Meningkatnya disiplin aparatur 45.000.000 47.000.000 1 Rencana Program dan Kegiatan Prioritas Daerah Tahun 2015 Kota Padangsidimpuan Nomor Urusan/Bidang Urusan Pemerintahan Daerah Dan Program/Kegiatan Prioritas Daerah Sasaran Daerah Lokasi Indikator kinerja Pagu Indikatif Prakiraan Maju Keterangan Hasil Program Keluaran Kegiatan Hasil Kegiatan Terlaksananya pelayanan administrasi perkantoran dengan lancar, Teragendanya dan terdistribusinya surat keluar dan surat masuk Rencana Program dan Kegiatan Prioritas Tahun 2015 Bidang Pemuda Olahraga Lembar : 2 dari 74
  • 188.
    SKPD Jenis KegKeterangan Tolok Ukur Target Tolok Ukur Target Tolok Ukur Target 1/2/3 1/2/3 1/2/3 2 3 4 5 6 7 8 9 10 11 12 13 14 15 161 Nomor Urusan/Bidang Urusan Pemerintahan Daerah Dan Program/Kegiatan Prioritas Daerah Sasaran Daerah Lokasi Indikator kinerja Pagu Indikatif Prakiraan Maju Keterangan Hasil Program Keluaran Kegiatan Hasil Kegiatan Pengadaan Pakaian Dinas beserta perlengkapannya 42 stel 45.000.000 47.000.000 Dispora Budpar Program peningkatan kapasitas sumber daya aparatur Padangsidimpuan Meningkatnya sumber daya aparatur 195.000.000 225.000.000 Pendidikan dan pelatihan formal 10 orang 120.000.000 150.000.000 Dispora Budpar Bimbingan teknis implementasi perpu 5 orang 75.000.000 75.000.000 Dispora Budpar Prog.peningkatan pengemb. Sistim pelaporan capaian kinerja dan keuangan Padangsidimpuan Tersusunnya rencana laporan kinerja dan anggaran 65.000.000 65.000.000 Penyusunan laporan, rencana kinerja dan anggaran 1 laporan 30.000.000 30.000.000 Dispora Budpar Penyusunan laporan capaian kinerja dan ikhtisar realisasi kinerja SKPD 25.000.000 25.000.000 Dispora Budpar Penyusunan laporan keuangan akhir tahun 1 laporan 10.000.000 10.000.000 Dispora Budpar Program pengembangan dan keserasian kebijakan pemuda Padangsidimpuan 247.000.000 247.000.000 Penyusunan rancangan pola kemitraan antar pemuda dengan masyarakat 6 kec 92.000.000 92.000.000 Dispora Budpar Perluasan peny.rencana aksi daerah bidang kepemudaan 6 kec 155.000.000 155.000.000 Dispora Budpar Program peningkatan peran serta kepemudaan Padangsidimpuan 572.000.000 561.000.000 Pendidikan dan pelatihan dasar kepemimpinan 1 keg 290.000.000 270.000.000 Dispora Budpar Fasilitasi aksi bhakti sosial kepemudaan 6 kec 52.000.000 55.000.000 Dispora Budpar Fasilitasi pekan temu wicara organisasi pemuda 6 kec 65.000.000 66.000.000 Dispora Budpar Lomba Kreasi dan karya tulis ilmiah di kalangan pemuda 6 kec 85.000.000 85.000.000 Dispora Budpar Peringatan Hari Sumpah Pemuda 1 keg 80.000.000 85.000.000 Dispora Budpar Program pembinaan dan pemasyarakatan olahraga Padangsidimpuan 1.894.000.000 1.905.000.000 Pembibitan dan pembinaan olahragawan berbakat 3 cabor 250.000.000 250.000.000 Dispora Budpar Pembinaan cabor prestasi di tingkat daerah 3 cabor 300.000.000 300.000.000 Dispora Budpar Peningkatan kesegaran jasmani dan rekreasi 88 kali 78.000.000 80.000.000 Dispora Budpar Penyelenggaraan kompetisi olahraga 11 cabor 550.000.000 550.000.000 Dispora Budpar Pemassalan olahraga bagi pelajar, mahasiswa dan masyarakat 1 keg 86.000.000 90.000.000 Dispora Budpar Pemberian penghargaan bagi insan olahraga yang berdedikasi dan berprestasi 1 keg 130.000.000 135.000.000 Dispora Budpar Peningkatan jaminan kesejahteraan bagi masa depan atlet, pelatih dan teknisi olahraga 10 cabor 100.000.000 100.000.000 Dispora Budpar Pembinaan olahraga yang berkembang di masyarakat 2 keg 400.000.000 400.000.000 Dispora Budpar Program peningkatan sarana dan prasarana olahraga 135.000.000 120.000.000 Pemeliharaan rutin / berkala sarana dan prsarana olaharaga Padangsidimpuan 2 lokasi 110.000.000 120.000.000 Dispora Budpar Peningkatan pembangunan sarana dan prasarana olahraga 25.000.000 Dispora Budpar 300.000.000 300.000.000 P2 Terlaksananya rancangan pola kemitraan antar pemuda dengan masyarakat Tertanamnya rasa solidaritas dan jiwa kepemimpinan bagi pemuda serta cinta tanah air Terlaksananya kegiatan memasyarakatkan olahraga dan mengolahragakan masyarakat Tersedianya dan terpeliharanya sarana dan prasarana olahraga Rencana Program dan Kegiatan Prioritas Tahun 2015 Bidang Pemuda Olahraga Lembar : 3 dari 74
  • 189.
    SKPD Jenis KegKeterangan Tolok Ukur Target Tolok Ukur Target Tolok Ukur Target 1/2/3 1/2/3 1/2/3 2 3 4 5 6 7 8 9 10 11 12 13 14 15 161 Nomor Urusan/Bidang Urusan Pemerintahan Daerah Dan Program/Kegiatan Prioritas Daerah Sasaran Daerah Lokasi Indikator kinerja Pagu Indikatif Prakiraan Maju Keterangan Hasil Program Keluaran Kegiatan Hasil Kegiatan Program pembinaan dan pemasyarakatan olahraga Padangsidimpuan 300.000.000 300.000.000 Pelaksanaan identifikasi dan pengembangan olahraga unggulan daerah 6 cabor 300.000.000 300.000.000 Dispora Budpar Rencana Program dan Kegiatan Prioritas Tahun 2015 Bidang Pemuda Olahraga Lembar : 4 dari 74
  • 190.
    SKPD Jenis KegKet Tolok Ukur Target Tolok Ukur Target Tolok Ukur Target 1/2/3 1/2/3 1/2/3 2 3 4 5 6 8 10 12 13 14 15 16 01 URUSAN WAJIB 01 19 BIDANG KESATUAN BANGSA DAN POLITIK DALAM NEGERI 13.364.340.000 12.481.440.000 5.913.540.000 5.030.640.000 P1 Program Pelayanan Administrasi Perkantoran 1.215.500.000 1.215.500.000 Penyediaan Jasa Surat Menyurat Padangsidimpuan Meningkatnya pelayanan perkantoran 1 Thn Penyediaan Jasa Surat Menyurat 1 Thn Tersedianya Jasa Surat Menyurat 1 Thn 35.000.000 35.000.000 Kantor kesbang Penyediaan Jasa Komunikasi,Sumber Daya Air dan Listrik Padangsidimpuan Meningkatnya pelayanan perkantoran 1 Thn Penyediaan Jasa Komunikasi,Sum ber Daya Air dan Listrik 1 Thn Tersedianya Jasa Komunikasi,Sum ber Daya Air dan Listrik 1 Thn 37.000.000 37.000.000 Kantor kesbang Penyediaan Jasa Pemeliharaan dan Perizinan kendaraan Dinas/Operasional Padangsidimpuan Meningkatnya pelayanan perkantoran 1 Thn Penyediaan Jasa Pemeliharaan dan Perizinan kendaraan Dinas/Operasiona l 1 Thn tersedianya Jasa Pemeliharaan dan Perizinan kendaraan Dinas/Operasion al 1 Thn 2.500.000 2.500.000 Kantor kesbang Penyediaan Jasa Kebsrsihan Kantor Padangsidimpuan Meningkatnya pelayanan perkantoran 1 Thn Penyediaan Jasa Kebsrsihan Kantor 1 Thn Tersedianya Jasa Kebsrsihan Kantor 1 Thn 62.000.000 62.000.000 Kantor kesbang Penyediaan Alat Tulis Kantor Padangsidimpuan Meningkatnya pelayanan perkantoran 1 Thn Penyediaan Alat Tulis Kantor 1 Thn Tersedianya Alat Tulis Kantor 1 Thn 292.000.000 292.000.000 Kantor kesbang Penyediaan barang Cetakan dan Penggandaan Padangsidimpuan Meningkatnya pelayanan perkantoran 1 Thn Penyediaan barang Cetakandan Penggandaan 1 Thn Tersedianya barang Cetakandan Penggandaan 1 Thn 215.000.000 215.000.000 Kantor kesbang Penyediaan Komponen Instalasi Listrik/Penerangan Bangunan Kantor Padangsidimpuan Meningkatnya pelayanan perkantoran 1 Thn Penyediaan Komponen Instalasi Listrik/Peneranga n Bangunan Kantor 1 Thn Tersedianya Komponen Instalasi Listrik/Penerang an Bangunan Kantor 1 Thn 18.500.000 18.500.000 Kantor kesbang Penyediaan Peralatan Rumah tangga Padangsidimpuan Meningkatnya pelayanan perkantoran 1 Thn Penyediaan Peralatan Rumah tangga 1 Thn Tersedianya Peralatan Rumah tangga 1 Thn 13.500.000 13.500.000 Kantor kesbang Rencana Program dan Kegiatan Prioritas Daerah Tahun 2015 Kota Padangsidimpuan Nomor Urusan/Bidang Urusan Pemerintahan Daerah Dan Program/Kegiatan Prioritas Daerah Sasaran Daerah Lokasi Indikator kinerja 1 Pagu Indikatif Prakiraan Maju Keterangan Hasil Program Keluaran Kegiatan Hasil Kegiatan Rencana Program dan Kegiatan Prioritas Tahun 2015 Bidang Kesbang Lembar : 5 dari 74
  • 191.
    SKPD Jenis KegKet Tolok Ukur Target Tolok Ukur Target Tolok Ukur Target 1/2/3 1/2/3 1/2/3 2 3 4 5 6 8 10 12 13 14 15 16 Nomor Urusan/Bidang Urusan Pemerintahan Daerah Dan Program/Kegiatan Prioritas Daerah Sasaran Daerah Lokasi Indikator kinerja 1 Pagu Indikatif Prakiraan Maju Keterangan Hasil Program Keluaran Kegiatan Hasil Kegiatan Penyediaan Bahan Bacaan dan Peraturan Perundang - undang Padangsidimpuan Meningkatnya pelayanan perkantoran 1 Thn Penyediaan Bahan Bacaan dan Peraturan Perundang - undang 1 Thn Tersedianya Bahan Bacaan dan Peraturan Perundang - undang 1 Thn 18.000.000 18.000.000 Kantor kesbang Penyediaan Makanan dan Minuman Padangsidimpuan Meningkatnya pelayanan perkantoran 1 Thn Penyediaan Makanan dan Minuman 1 Thn Tersedianya Makanan dan Minuman 1 Thn 97.000.000 97.000.000 Kantor kesbang Rapar - rapat koordinasi dan konsultasi ke luar Daerah Padangsidimpuan Meningkatnya pelayanan perkantoran 1 Thn Rapar - rapat koordinasi dan konsultasi ke luar Daerah 1 Thn Rapar - rapat koordinasi dan konsultasi ke luar Daerah 1 Thn 310.000.000 310.000.000 Kantor kesbang Rapar - rapat koordinasi dan konsultasi ke luar Daerah Padangsidimpuan Meningkatnya pelayanan perkantoran 1 Thn Rapar - rapat koordinasi dan konsultasi ke dalam Daerah 1 Thn Rapar - rapat koordinasi dan konsultasi ke dalam Daerah 1 Thn 10.000.000 10.000.000 Kantor kesbang Penyediaan Jasa Keamanan Kantor Padangsidimpuan Meningkatnya pelayanan perkantoran 1 Thn Penyediaan Jasa Keamanan Kantor 1 Thn Tersedianya Jasa Keamanan Kantor 1 Thn 105.000.000 105.000.000 Kantor kesbang Program Peningkatan Sarana dan Prasarana Aparatur 1.370.690.000 494.690.000 Pembangunan Gedung Kantor 725.000.000 Kantor kesbang Pengadaan Kenderaan Dinas/Operasional 151.000.000 Kantor kesbang Pengadaan Perlengkapan Gedung Kantor Padangsidimpuan Peningkatan kualitas/kuantitas sarana dan prasarana Pengadaan Perlengkapan Gedung Kantor Pengadaan Perlengkapan Gedung Kantor 50.000.000 50.000.000 Kantor kesbang Pengadaan Peralatan Gedung Kantor Peningkatan kualitas/kuantitas sarana dan prasarana Pengadaan Peralatan Gedung Kantor Tersedianya Perlengkapan Gedung Kantor 300.000.000 300.000.000 Kantor kesbang Pemeliharaan Rutin/ Berkala Gedung Kantor Padangsidimpuan Peningkatan kualitas/kuantitas sarana dan prasarana Pemeliharaan Rutin/ Berkala Gedung Kantor Tersedianya Pemeliharaan Rutin/ Berkala Gedung Kantor 29.000.000 29.000.000 Kantor kesbang Pemeliharaan Rutin/Berkala kendaraan Dinas/Operasional Padangsidimpuan Peningkatan kualitas/kuantitas sarana dan prasarana Pemeliharaan Rutin/Berkala kendaraan Dinas/Operasiona l Tersedianya Pemeliharaan Rutin/Berkala kendaraan Dinas/Operasion al 115.690.000 115.690.000 Kantor kesbang Program Peningkatan Disiplin Aparatur 19.000.000 19.000.000 Pengadaan Pakaian khusus hari-hari tertentu Padangsidimpuan 19.000.000 19.000.000 Kantor kesbang Rencana Program dan Kegiatan Prioritas Tahun 2015 Bidang Kesbang Lembar : 6 dari 74
  • 192.
    SKPD Jenis KegKet Tolok Ukur Target Tolok Ukur Target Tolok Ukur Target 1/2/3 1/2/3 1/2/3 2 3 4 5 6 8 10 12 13 14 15 16 Nomor Urusan/Bidang Urusan Pemerintahan Daerah Dan Program/Kegiatan Prioritas Daerah Sasaran Daerah Lokasi Indikator kinerja 1 Pagu Indikatif Prakiraan Maju Keterangan Hasil Program Keluaran Kegiatan Hasil Kegiatan Program Peningkatan Kapasitas Sumber Daya Aparatur 170.000.000 170.000.000 Bimbingan Teknis Implementasi Peraturan Perundang-undangan 170.000.000 170.000.000 Kantor kesbang Program Peningkatan Pengembangan Sistem Pelaporan Capaian Kinerja dan Keuangan 33.450.000 26.550.000 Penyusunan Pelaporan Keuangan Akhir Tahun Padangsidimpuan Penyusunan Pelaporan Keuangan Akhir Tahun Tercapainya penyusunan keuangan yang baik Tersedianya laporan Keuangan Akhir Tahun 12.750.000 12.750.000 Kantor kesbang Penyusunan Renstra 6.900.000 Kantor kesbang Penyusunan Renja 6.900.000 6.900.000 Kantor kesbang Penyusunan RKA SKPD 6.900.000 6.900.000 Kantor kesbang Program Pemeliharaan Kantrantibmas dan Pencegahan Tindak Kriminal 805.700.000 805.700.000 Peningkatan kerjasama dengan aparat keamanan dalam teknik pencegahan kejahatan Padangsidimpuan 298.600.000 298.600.000 Kantor kesbang Peningkatan kapasitas aparat dalam rangka pelaksanaan siskamswakarsa di daerah Padangsidimpuan 325.100.000 325.100.000 Kantor kesbang Sosialisasi Kewaspadaan Dini Masyarakat Padangsidimpuan 182.000.000 182.000.000 Kantor kesbang Program Pengembangan Wawasan Kebangsaan Padangsidimpuan 787.500.000 787.500.000 Peningkatan toleransi dan kerukunan dalam kehidupan umat beragama Padangsidimpuan 332.000.000 332.000.000 Kantor kesbang Peningkatan rasa solidaritas dan ikatan sosial di kalangan masyarakat Padangsidimpuan 261.500.000 261.500.000 Kantor kesbang Sosialisasi tentang pentingnya kerukunan umat beragama dan wawasan persatuan bangsa 194.000.000 194.000.000 Kantor kesbang Program Kemitraan Pengembangan Wawasan Kebangsaan 146.500.000 146.500.000 Seminar, talkshow, diskusi peningkatan wawasan kebangsaan 78.000.000 78.000.000 Verifikasi organisasi kemasyarakatan Padangsidimpuan 68.500.000 68.500.000 Kantor kesbang Program Peningkatan Pemberantasan Penyakit Masyarakat 1.240.000.000 1.240.000.000 Penyuluhan pencegahan peredaran/penggunaan minuman keras dan narkoba Padangsidimpuan 220.000.000 220.000.000 Kantor kesbang Sosialisasi tentang bahaya narkoba di tingkat SD 1.020.000.000 1.020.000.000 Rencana Program dan Kegiatan Prioritas Tahun 2015 Bidang Kesbang Lembar : 7 dari 74
  • 193.
    SKPD Jenis KegKet Tolok Ukur Target Tolok Ukur Target Tolok Ukur Target 1/2/3 1/2/3 1/2/3 2 3 4 5 6 8 10 12 13 14 15 16 Nomor Urusan/Bidang Urusan Pemerintahan Daerah Dan Program/Kegiatan Prioritas Daerah Sasaran Daerah Lokasi Indikator kinerja 1 Pagu Indikatif Prakiraan Maju Keterangan Hasil Program Keluaran Kegiatan Hasil Kegiatan Program Pendidikan Politik Masyarakat 125.200.000 125.200.000 Monitoring, Evaluasi dan Pelaporan Padangsidimpuan 50.000.000 50.000.000 Kantor kesbang Verifikasi Bantuan Keuangan Kepada Partai Politik Padangsidimpuan 75.200.000 75.200.000 Kantor kesbang 760.000.000 760.000.000 P2 Program peningkatan sarana dan prasarana aparatur 500.000.000 500.000.000 Pengadaan perlengkapan gedung kantor Padangsidimpuan Perlengkapan gedung kantor Perlengkapan gedung kantor Tersedianya Perlengkapan gedung kantor 500.000.000 500.000.000 Kantor kesbang Program pemeliharaan kantrantibmas dan pencegahan tindak kriminal 200.000.000 200.000.000 Sosialisasi pencegahan terorisme bagi masyarakat kota padangsidimpuan Padangsidimpuan 200.000.000 200.000.000 Kantor kesbang Program pendidikan politik masyarakat 60.000.000 60.000.000 Kantor kesbang Kegiatan talk show sosialisasi penyuluhan kepada organisasi kemasyarakatan dan lembaga swadaya masyarakat Padangsidimpuan Meningkatnya pelayanan perkantoran Penyediaan Alat Tulis Kantor Tersedianya Alat Tulis Kantor 60.000.000 60.000.000 Kantor kesbang 6.690.800.000 6.690.800.000 P1 Program Pelayanan Administrasi Perkantoran 3.020.890.000 2.246.000.000 Penyediaan Jasa Komunikasi, Sumber Daya Air dan Listrik Padangsidimpuan Meningkatnya pelayanan perkantoran 12 Bulan Terlaksananya pembayaran rekening telepon, air dan listrik 12 Bulan Terlaksananya pembayaran rekening telepon, air dan listrik 12 Bulan 27.000.000 27.000.000 Kantor Satpol PP Penyediaan Jasa Jaminan Pemeliharaan Kesehatan PNS Padangsidimpuan Meningkatnya pelayanan perkantoran 155 org Tersedianya jaminan pemeliharaan kesehatan PNS 155 org Tersedianya jaminan pemeliharaan kesehatan PNS 155 org 19.000.000 25.000.000 Kantor Satpol PP Penyediaan Jasa Jaminan Barang Milik Daerah Padangsidimpuan Meningkatnya pelayanan perkantoran 13 Pucuk Terlaksananya pembayaran izin senjata api 13 Pucuk Terlaksananya pembayaran izin senjata api 13 Pucuk 58.000.000 58.000.000 Kantor Satpol PP Penyediaan Jasa Kebersihan Kantor Padangsidimpuan Meningkatnya pelayanan perkantoran 12 Bulan Terlaksananya kebersihan kantor 12 Bulan Terlaksananya kebersihan kantor 12 Bulan 35.000.000 35.000.000 Kantor Satpol PP Penyediaan Alat Tulis kantor Padangsidimpuan Meningkatnya pelayanan perkantoran 1 Thn Tersedianya alat tulis kantor 1 Thn Tersedianya alat tulis kantor 1 Thn 35.000.000 35.000.000 Kantor Satpol PP Penyediaan Barang Cetakan dan Penggandaan Padangsidimpuan Meningkatnya pelayanan perkantoran 12 Bulan Tersedianya barang cetakan 12 Bulan Tersedianya barang cetakan 12 Bulan 27.000.000 27.000.000 Kantor Satpol PP Rencana Program dan Kegiatan Prioritas Tahun 2015 Bidang Kesbang Lembar : 8 dari 74
  • 194.
    SKPD Jenis KegKet Tolok Ukur Target Tolok Ukur Target Tolok Ukur Target 1/2/3 1/2/3 1/2/3 2 3 4 5 6 8 10 12 13 14 15 16 Nomor Urusan/Bidang Urusan Pemerintahan Daerah Dan Program/Kegiatan Prioritas Daerah Sasaran Daerah Lokasi Indikator kinerja 1 Pagu Indikatif Prakiraan Maju Keterangan Hasil Program Keluaran Kegiatan Hasil Kegiatan Penyediaan Komponen Instalasi Listrik/Penerangan Bangunan kantor Padangsidimpuan Meningkatnya pelayanan perkantoran 1 Thn Tersedianya komponen instalasi listrik 1 Thn Tersedianya komponen instalasi listrik 1 Thn 3.000.000 3.000.000 Kantor Satpol PP Penyediaan Peralatan Rumah Tangga 6.500.000 6.500.000 Penyediaan Bahan Bacaan dan Peraturan Perundang- undangan Padangsidimpuan Meningkatnya pelayanan perkantoran 12 Bulan Tersedianya bahan bacaan 12 Bulan Tersedianya bahan bacaan 12 Bulan 25.000.000 25.000.000 Kantor Satpol PP Penyediaan Makanan dan Minuman Padangsidimpuan Meningkatnya pelayanan perkantoran 12 Bulan Terlaksananya makan minum rapat tamu,pegawai dan penjagaan 12 Bulan Terlaksananya makan minum rapat tamu,pegawai dan penjagaan 12 Bulan 665.000.000 665.000.000 Kantor Satpol PP Rapat-rapat Koordinasi dan Konsultasi Ke Luar Daerah Dalam dan Luar Daerah Meningkatnya pelayanan perkantoran 1181 OH Terlaksananya perjalanan dinas 1181 OH Terlaksananya perjalanan dinas 1181 OH 672.890.000 672.890.000 Kantor Satpol PP Rapat-rapat Koordinasi dan Konsultasi Dalam Daerah 32.500.000 32.500.000 Kantor Satpol PP Penyediaan Jasa Keamanan Kantor Padangsidimpuan Meningkatnya pelayanan perkantoran 110 org Tersedianya jasa keamanan Kantor 110 org Tersedianya jasa keamanan Kantor 110 org 1.310.000.000 1.310.000.000 Kantor Satpol PP Penyediaan Jasa Administrasi Perkantoran Padangsidimpuan Meningkatnya pelayanan perkantoran 11 org terlaksananya jasa administrasi 11 org terlaksananya jasa administrasi 11 org 105.000.000 107.000.000 Kantor Satpol PP Program Peningkatan Sarana dan Prasarana Aparatur 1.123.100.000 1.123.500.000 Pengadaan Kenderaan Dinas/Operasional Padangsidimpuan Peningkatan kualitas/kuantitas sarana dan prasarana 3 Unit bertambah kenderaan dinas/operasional 3 Unit bertambah kenderaan dinas/operasiona l 3 Unit 615.000.000 615.000.000 Kantor Satpol PP Pengadaan Perlengkapan Gedung Kantor Padangsidimpuan Peningkatan kualitas/kuantitas sarana dan prasarana 78 bh/set Tersedianya Perlengkapan Kantor 78 bh/set Tersedianya Perlengkapan Kantor 78 bh/set 5.500.000 5.500.000 Kantor Satpol PP Pengadaan Peralatan Gedung Kantor Padangsidimpuan Peningkatan kualitas/kuantitas sarana dan prasarana 19 Unit Tersedianya peralatan kantor 19 Unit Tersedianya peralatan kantor 19 Unit 60.000.000 60.000.000 Kantor Satpol PP Pengadaan Mebeleur 52.500.000 52.500.000 Kantor Satpol PP Pemeliharaan Rutin/Berkala Gedung Kantor Padangsidimpuan Peningkatan kualitas/kuantitas sarana dan prasarana 1 Kali Terjaganya Keutuhan Bangunan Kantor 1 Kali Terjaganya Keutuhan Bangunan Kantor 1 Kali 9.600.000 10.000.000 Kantor Satpol PP Pemeliharaan Rutin/Berkala Kenderaan Dinas/Operasional Padangsidimpuan Pengadaan Pakaian Dinas Beserta Perlengkapannya 11 Unit Terlaksananya perbaikan, service dan BBM kenderaan 11 Unit Terlaksananya perbaikan, service dan BBM kenderaan 11 Unit 310.000.000 310.000.000 Kantor Satpol PP Rencana Program dan Kegiatan Prioritas Tahun 2015 Bidang Kesbang Lembar : 9 dari 74
  • 195.
    SKPD Jenis KegKet Tolok Ukur Target Tolok Ukur Target Tolok Ukur Target 1/2/3 1/2/3 1/2/3 2 3 4 5 6 8 10 12 13 14 15 16 Nomor Urusan/Bidang Urusan Pemerintahan Daerah Dan Program/Kegiatan Prioritas Daerah Sasaran Daerah Lokasi Indikator kinerja 1 Pagu Indikatif Prakiraan Maju Keterangan Hasil Program Keluaran Kegiatan Hasil Kegiatan Pemeliharaan Rutin/Berkala Peralatan Gedung Kantor Padangsidimpuan 1 thn Terlaksananya pemeliharaan peralatan gedung kantor 1 Tahun Terlaksananya pemeliharaan peralatan gedung kantor 1 Tahun 5.500.000 5.500.000 Kantor Satpol PP Pengadaan alat peersenjataan/keamanan 65.000.000 65.000.000 Kantor Satpol PP Program Peningkatan Disiplin Aparatur 282.860.000 282.860.000 Pengadaan Pakaian Dinas Beserta Perlengkapannya Padangsidimpuan Tersedianya pakaian Dinas PNS 158 Stel Tersedianya pakaian Dinas PNS 158 Stel Tersedianya pakaian Dinas PNS 158 Stel 280.000.000 280.000.000 Kantor Satpol PP Pengadaan Pakaian Khusus Hari-hari Tertentu Padangsidimpuan Tersedianya pakaian khusus hari-hari tertentu PNS 158 stel Tersedianya pakaian khusus hari-hari tertentu PNS 158 stel Tersedianya pakaian khusus hari-hari tertentu PNS 158 stel 2.860.000 2.860.000 Kantor Satpol PP Program Penigkatan Kapasitas Sumber Daya Aparatur 205.000.000 205.000.000 Pembinaan Peningkatan Sumber Daya Aparatur Padangsidimpuan Meningkatnya Sumberdaya Aparatur 1 kegiata n 205.000.000 205.000.000 Kantor Satpol PP Program Peningkatan Pengembangan Sistem Pelaporan Capaian Kinerja dan Keuangan 13.950.000 13.950.000 Penyusunan Laporan Capaian Kinerja dan Ikhtisar Realisasi Kinerja SKPD Padangsidimpuan Terselenggaranya laporan capaian SKPD 448 OJ Terselenggaranya laporan capaian SKPD 448 OJ Terselenggaranya laporan capaian SKPD 448 OJ 8.500.000 8.500.000 Kantor Satpol PP Penyusunan Laporan Keuangan Akhir Tahun Padangsidimpuan Terselenggaranya laporan keuangan akhir tahun 384 OJ Terselenggaranya laporan keuangan akhir tahun 384 OJ Terselenggaranya laporan keuangan akhir tahun 384 OJ 5.450.000 5.450.000 Kantor Satpol PP Program Peningkatan Keamanan dan Kenyaman Lingkungan 1.255.000.000 1.255.000.000 Penyiapan tenaga Pengendali Keamanan dan Kenyamanan Lingkungan Padangsidimpuan Terselenggaranya pelatihan 135 Kali Terselenggaranya pelatihan 135 Kali Terselenggaranya pelatihan 135 Kali 150.000.000 150.000.000 Kantor Satpol PP Pengendalian Keamanan Lingkungan Padangsidimpuan Terselenggaranya pengendalian keamanan lingkungan 1 Thn Terselenggaranya pengendalian keamanan lingkungan 1 Thn Terselenggaranya pengendalian keamanan lingkungan 1 Thn 595.000.000 595.000.000 Kantor Satpol PP Monitoring Evaluasi dan Pelaaporan 510.000.000 510.000.000 Kantor Satpol PP Program Pemeliharaan Kantrantibmas dan Pencegahan Tindak Kriminal 520.000.000 520.000.000 Pengawasan Pengendalian dan Evaluasi Kegiatan Polisi Pamong Praja Padangsidimpuan Terlaksananya suasana kondusif 1 Thn Terlaksananya suasana kondusif 1 Thn Terlaksananya suasana kondusif 1 Thn 520.000.000 520.000.000 Kantor Satpol PP Rencana Program dan Kegiatan Prioritas Tahun 2015 Bidang Kesbang Lembar : 10 dari 74
  • 196.
    SKPD Jenis KegKet Tolok Ukur Target Tolok Ukur Target Tolok Ukur Target 1/2/3 1/2/3 1/2/3 2 3 4 5 6 8 10 12 13 14 15 16 Nomor Urusan/Bidang Urusan Pemerintahan Daerah Dan Program/Kegiatan Prioritas Daerah Sasaran Daerah Lokasi Indikator kinerja 1 Pagu Indikatif Prakiraan Maju Keterangan Hasil Program Keluaran Kegiatan Hasil Kegiatan Program Penigkatan pemberantasan Penyakit Masyarakat ( Pekat ) 160.000.000 160.000.000 Penyuluhan Pencegahan Eksploitasi anak bawah umur Padangsidimpuan 1 Thn 1 Thn 1 Thn 160.000.000 160.000.000 Kantor Satpol PP Program Pemberdayaan Masyarakat Untuk Menjaga Ketertiban Dan Keamanan 110.000.000 110.000.000 Pembentukan Satuan Keamanan Lingkungan di Masyarakat Padangsidimpuan Terbentuknya Satuan Keamanan Lingkungan di Masyarakat 6 kecama tan Terbentuknya Satuan Keamanan Lingkungan di Masyarakat 6 kecamat an Terbentuknya Satuan Keamanan Lingkungan di Masyarakat 6 kecamat an 110.000.000 110.000.000 Kantor Satpol PP Rencana Program dan Kegiatan Prioritas Tahun 2015 Bidang Kesbang Lembar : 11 dari 74
  • 197.
    SKPD Jenis KegKet Tolok Ukur Tolok Ukur Tolok Ukur 1/2/3 1/2/3 1/2/3 2 3 4 5 6 8 10 12 13 14 15 16 01 URUSAN WAJIB 01 20 BIDANG PEMERINTAHAN UMUM 92.080.224.242 63.036.822.278 15.225.000.000 13.518.500.000 Program Pelayanan Administrasi Perkantoran 5.706.500.000 7.093.500.000 Penyediaan Jasa Surat Menyurat Padangsidimpuan Terlaksananya tugas-tugas diluar jam kerja Terlaksananya tugas-tugas diluar jam kerja 90% Terlaksananya tugas-tugas diluar jam kerja 90% 76.000.000 80.000.000 Setda Penyediaan Jasa Komunikasi, Sumber Daya Air dan Listrik Padangsidimpuan Terpenuhinya Jasa Pihak Ketiga Terpenuhinya Jasa Pihak Ketiga 100% Terpenuhinya Jasa Pihak Ketiga 100% 451.000.000 650.000.000 Setda Penyediaan Jasa Peralatan dan Perlengkapan Kantor Padangsidimpuan Tersedianya Peralatan dan Perlengkapan Kantor Tersedianya Peralatan dan Perlengkapan Kantor 80% Tersedianya Peralatan dan Perlengkapan Kantor 80% 254.000.000 300.000.000 Setda Penyediaan Jasa Pemeliharaan dan Perizinan Kendaraan Dinas/Operasional Padangsidimpuan Terlaksananya pemamfaatan dan Penggunaan Aset Daerah Terlaksananya pemamfaatan dan Penggunaan Aset Daerah 85% Terlaksananya pemamfaatan dan Penggunaan Aset Daerah 85% 125.000.000 900.000.000 Setda Penyediaan Jasa Kebersihan Kantor Padangsidimpuan Terpenuhinya Petugas Kebersihan Gedung / Kantor dan Rumah Dinas Terpenuhinya Petugas Kebersihan Gedung / Kantor dan Rumah Dinas 100% Terpenuhinya Petugas Kebersihan Gedung / Kantor dan Rumah Dinas 100% 385.000.000 450.000.000 Setda Penyediaan Alat Tulis Kantor Padangsidimpuan Terlaksananya Sarana dan Prasarana Kerja Pegawai Terlaksananya Sarana dan Prasarana Kerja Pegawai 85% Terlaksananya Sarana dan Prasarana Kerja Pegawai 85% 200.000.000 275.000.000 Setda Penyediaan Barang Cetakan dan Penggandaan Padangsidimpuan Terlaksananya Sarana dan Prasarana Kerja Pegawai Terlaksananya Sarana dan Prasarana Kerja Pegawai 85% Terlaksananya Sarana dan Prasarana Kerja Pegawai 85% 280.000.000 200.000.000 Setda Penyediaan Komponen Instalasi Listrik/Penerangan Bangunan Kantor Padangsidimpuan Pemeliharaan dan Penggantian Perlengkapan Kantor dan Rumah Dinas Pemeliharaan dan Penggantian Perlengkapan Kantor dan Rumah Dinas 80% Pemeliharaan dan Penggantian Perlengkapan Kantor dan Rumah Dinas 80% 160.000.000 190.000.000 Setda Penyediaan Peralatan dan Perlengkapan Kantor Padangsidimpuan Jumlah Perlatan dan Perlengkapan Inventaris Jumlah Perlatan dan Perlengkapan Inventaris 75% Jumlah Perlatan dan Perlengkapan Inventaris 75% 102.000.000 100.000.000 Setda Penyediaan Peralatan Rumah Tangga Padangsidimpuan Tersedianya Peralatan Rumah Tangga Tersedianya Peralatan Rumah Tangga Tersedianya Peralatan Rumah Tangga 23.000.000 23.000.000 Setda Penyediaan Makanan dan Minuman Padangsidimpuan Tersedianya Makan dan Minum Pegawai dan Tamu serta KDH Tersedianya Makan dan Minum Pegawai dan Tamu serta KDH 90% Tersedianya Makan dan Minum Pegawai dan Tamu serta KDH 90% 1.100.000.000 1.300.000.000 Setda Rapat-rapat koordinasi dan Konsultasi ke Luar Daerah Dalam dan Luar Daerah Tersedianya Biaya Koordinasi Keluar Daerah Tersedianya Biaya Koordinasi Keluar Daerah 90% Tersedianya Biaya Koordinasi Keluar Daerah 90% 1.350.000.000 1.400.000.000 Setda Penyediaaan Jasa Keamanan Kantor Padangsidimpuan Terpenuhinya Petugas Keamanan Kantor Terpenuhinya Petugas Keamanan Kantor 90% Terpenuhinya Petugas Keamanan Kantor 90% 205.000.000 225.000.000 Setda Penyediaan jasa administrasi perkantoran Padangsidimpuan Terlaksannya Pelaksanaan Kegiatan rutin Perkantoran Terlaksannya Pelaksanaan Kegiatan rutin Perkantoran 100% Terlaksannya Pelaksanaan Kegiatan rutin Perkantoran 100% 595.000.000 600.000.000 Setda Penyediaan bahan bacaan dan peraturan perundang-undangan 390.000.000 390.000.000 Setda Penyediaan jasa perbaikan peralatan kerja 9.000.000 9.000.000 Setda Penyediaan Peralatan Rumah Tangga Padangsidimpuan Tersedianya Peralatan Rumah Tangga Tersedianya Peralatan Rumah Tangga Tersedianya Peralatan Rumah Tangga 1.500.000 1.500.000 Setda Program Peningkatan Sarana dan Prasarana Aparatur 8.629.000.000 5.365.000.000 Rencana Program dan Kegiatan Prioritas Daerah Tahun 2015 Kota Padangsidimpuan Nomor Urusan/Bidang Urusan Pemerintahan Daerah Dan Program/Kegiatan Prioritas Daerah Sasaran Daerah Lokasi Indikator kinerja Pagu Indikatif Prakiraan Maju Keterangan Hasil Program Keluaran Kegiatan Hasil Kegiatan Target Target Target 1 7 9 11 Rencana Program dan Kegiatan Prioritas Tahun 2015 BIDANG PEMERINTAHAN UMUM Lembar 12 dari 74
  • 198.
    SKPD Jenis KegKet Tolok Ukur Tolok Ukur Tolok Ukur 1/2/3 1/2/3 1/2/3 2 3 4 5 6 8 10 12 13 14 15 16 Nomor Urusan/Bidang Urusan Pemerintahan Daerah Dan Program/Kegiatan Prioritas Daerah Sasaran Daerah Lokasi Indikator kinerja Pagu Indikatif Prakiraan Maju Keterangan Hasil Program Keluaran Kegiatan Hasil Kegiatan Target Target Target 1 7 9 11 Pengadaan Mobil Jabatan Padangsidimpuan 1.800.000.000 Setda Pengadaan Kendaraan Dinas/Operasional Padangsidimpuan Penyediaan Sarana Mobilitas Kerja Penyediaan Sarana Mobilitas Kerja 1 unit Penyediaan Sarana Mobilitas Kerja 1 unit 1.950.000.000 1.000.000.000 Setda Pengadaan Perlengkapan Rumah Jabatan/Dinas Padangsidimpuan Penyediaan Rencana Kebutuhan Alat dan Peralatan Rumah Tangga Penyediaan Rencana Kebutuhan Alat dan Peralatan Rumah Tangga 90% Penyediaan Rencana Kebutuhan Alat dan Peralatan Rumah Tangga 90% 222.000.000 150.000.000 Setda Pengadaan Perlengkapan Gedung Kantor Padangsidimpuan Rencana Kebutuhan Inventaris Kantor Rencana Kebutuhan Inventaris Kantor 90% Rencana Kebutuhan Inventaris Kantor 90% 760.000.000 500.000.000 Setda Pengadaan Peralatan Rumah Jabatan/ Dinas Padangsidimpuan Rencana Kebutuhan Inventaris Rumah Jabatan/Dinas Rencana Kebutuhan Inventaris Rumah Jabatan/Dinas 90% Rencana Kebutuhan Inventaris Rumah Jabatan/Dinas 90% 47.000.000 50.000.000 Setda Pengadaan Peralatan Gedung Kantor Padangsidimpuan Rencana Kebutuhan Inventaris Kantor Rencana Kebutuhan Inventaris Kantor 90% Rencana Kebutuhan Inventaris Kantor 90% 400.000.000 500.000.000 Setda Pengadaan Mebeleur Padangsidimpuan Penyediaan Rencana Kebutuhan Mebeleur Gedung / Kantor dan Rumah Dinas Penyediaan Rencana Kebutuhan Mebeleur Gedung / Kantor dan Rumah Dinas 85% Penyediaan Rencana Kebutuhan Mebeleur Gedung / Kantor dan Rumah Dinas 85% 240.000.000 300.000.000 Setda Pemeliharaan Rutin/Berkala Rumah Jabatan Padangsidimpuan Terpeliharanya Fisk Bangunan Rumah Jabatan Terpeliharanya Fisk Bangunan Rumah Jabatan 80% Terpeliharanya Fisk Bangunan Rumah Jabatan 80% 100.000.000 350.000.000 Setda Pemeliharaan Rutin/Berkala Gedung Kantor Padangsidimpuan Terpeliharanya Fisk Bangunan Gedung / Kantor dan Mess Terpeliharanya Fisk Bangunan Gedung / Kantor dan Mess 80% Terpeliharanya Fisk Bangunan Gedung / Kantor dan Mess 80% 160.000.000 350.000.000 Setda Pemeliharaan Rutin/Berkala Mobil Jabatan Padangsidimpuan Terpeliharanya Kualitas Mobil Jabatan/ Dinas Terpeliharanya Kualitas Mobil Jabatan/ Dinas 80% Terpeliharanya Kualitas Mobil Jabatan/ Dinas 80% 215.000.000 225.000.000 Setda Pemeliharaan Rutin/Berkala Kenderaan Dinas Operasional Padangsidimpuan Terpeliharanya Kualitas Kenderaan Dinas Operasional Terpeliharanya Kualitas Kenderaan Dinas Operasional 80% Terpeliharanya Kualitas Kenderaan Dinas Operasional 80% 1.215.000.000 1.450.000.000 Setda Pemeliharaan Rutin/Berkala Perlengkapan Rumah Jabatan/Dinas Padangsidimpuan Terpeliharanya Kualitas Inventaris Rumah Dinas Terpeliharanya Kualitas Inventaris Rumah Dinas 80% Terpeliharanya Kualitas Inventaris Rumah Dinas 80% 15.000.000 75.000.000 Setda Pemeliharaan Rutin/Berkala Perlengkapan Gedung Kantor Padangsidimpuan Terpeliharanya Inventaris Gedung / Kantor dan Mess Terpeliharanya Inventaris Gedung / Kantor dan Mess 80% Terpeliharanya Inventaris Gedung / Kantor dan Mess 80% 130.000.000 160.000.000 Setda Pemeliharaan Rutin/Berkala Peralatan Rumah Jabatan/Dinas Padangsidimpuan Terpeliharanya Peralatan / Rumah Tangga Rumah Dinas Terpeliharanya Peralatan / Rumah Tangga Rumah Dinas 80% Terpeliharanya Peralatan / Rumah Tangga Rumah Dinas 80% 22.000.000 30.000.000 Setda Pemeliharaan Rutin/Berkala Peralatan Gedung Kantor Padangsidimpuan Terpeliharanya Peralatan Gedung dalam Menunjang Pelayanan Kerja Aparatur Terpeliharanya Peralatan Gedung dalam Menunjang Pelayanan Kerja Aparatur 80% Terpeliharanya Peralatan Gedung dalam Menunjang Pelayanan Kerja Aparatur 80% 78.000.000 75.000.000 Setda Pemeliharaan Rutin/Berkala Mebeleur Padangsidimpuan Terpeliharanya Kualitas Mebeleur Gedung / Kantor Terpeliharanya Kualitas Mebeleur Gedung / Kantor 80% Terpeliharanya Kualitas Mebeleur Gedung / Kantor 80% 50.000.000 75.000.000 Setda Rehabilitasi Sedang/Berat Gedung Kantor Padangsidimpuan Terpeliharanya Kualitas Gedung / Kantor Terpeliharanya Kualitas Gedung / Kantor 80% Terpeliharanya Kualitas Gedung / Kantor 80% 1.225.000.000 75.000.000 Setda Program Peningkatan Disiplin Aparatur 442.000.000 495.000.000 Pengadaan Pakaian Dinas beserta perlengkapannya 100.000.000 120.000.000 Setda Pengadaan Pakaian Dinas beserta perlengkapannya 315.000.000 345.000.000 Setda Rencana Program dan Kegiatan Prioritas Tahun 2015 BIDANG PEMERINTAHAN UMUM Lembar 13 dari 74
  • 199.
    SKPD Jenis KegKet Tolok Ukur Tolok Ukur Tolok Ukur 1/2/3 1/2/3 1/2/3 2 3 4 5 6 8 10 12 13 14 15 16 Nomor Urusan/Bidang Urusan Pemerintahan Daerah Dan Program/Kegiatan Prioritas Daerah Sasaran Daerah Lokasi Indikator kinerja Pagu Indikatif Prakiraan Maju Keterangan Hasil Program Keluaran Kegiatan Hasil Kegiatan Target Target Target 1 7 9 11 Pengadaan Pakaian Kerja Lapangan 27.000.000 30.000.000 Setda Program Peningkatan Kapasitas Sumber Daya Aparatur 365.000.000 475.000.000 Pendidikan dan Pelatihan Formal Padangsidimpuan Pemahaman dan Pelaksanaan Peraturan Perundang-undangan yang Pemahaman dan Pelaksanaan Peraturan Perundang-undangan yang 90% Pemahaman dan Pelaksanaan Peraturan Perundang-undangan yang 90% 100.000.000 200.000.000 Setda Pendidikan dan Pelatihan Formal Pemahaman dan Pelaksanaan Peraturan Perundang-undangan yang Pemahaman dan Pelaksanaan Peraturan Perundang-undangan yang Pemahaman dan Pelaksanaan Peraturan Perundang-undangan yang 265.000.000 275.000.000 Setda Program Peningkatan Pengembangan Sistem Pelaporan Capaian Kinerja dan Keuangan 82.500.000 90.000.000 Penyusunan Laporan Capaian Kinerja dan Ikhtisar Realisasi Kinerja SKPD Padangsidimpuan Laporan capaian kinerja dan iktisar realisasi anggaran persemester Laporan capaian kinerja dan iktisar realisasi anggaran persemester 90% Laporan capaian kinerja dan iktisar realisasi anggaran persemester 90% 35.000.000 40.000.000 Setda Penyusunan Perjanjian Kinerja Kota Padangsidimpuan Padangsidimpuan 47.500.000 50.000.000 Setda 2.462.500.000 2.020.500.000 Program Pelayanan Administrasi Perkantoran 9.000.000 9.000.000 Penyediaan Bahan Bacaan dan Peraturan Perundang-undangan Padangsidimpuan Meningkatnya Pelayanan Perkantoran Peningkatan pelayanan administrasi 1 Thn Peningkatan pelayanan administrasi 1 Thn 9.000.000 9.000.000 Setda Program Peningkatan Kapasitas Sumber Daya Aparatur 65.000.000 65.000.000 Bimbingan Teknis Implementasi Peraturan Perundang-undangan Dalam dan Luar Daerah Peningkatan Etos kerja dan rasa tanggungjawab aparatur menuju pelayanan prima 7 kali Peningkatan Etos kerja dan rasa tanggungjawab aparatur menuju pelayanan prima 7 kali 65.000.000 65.000.000 Setda Penyelesaian Konflik-Konflik Pertanahan 69.000.000 70.000.000 Penyelesaian aset Tanah Pemerintah Kota Padangsidimpuan Terselesaikannya Konflik mengenai aset Tanah 1 Thn Terselesaikannya Konflik mengenai aset Tanah 1 Thn 69.000.000 70.000.000 Setda Program Peningkatan Pelayanan Kedinasan Kepala Daerah/Wakil Kepala Daerah 13.500.000 14.500.000 Rapat Koordinasi Pejabat Pemerintahan Daerah Dalam dan Luar Daerah Peningkatan koordinasi penyusunan perumusan kebijakan pemerintahan dan pelayanan publik 37 SKPD Peningkatan koordinasi penyusunan perumusan kebijakan pemerintahan dan pelayanan publik 37 SKPD 6.000.000 6.000.000 Setda Pelaporan Pejabat Pembuat Akta Tanah Padangsidimpuan Merangkum Laporan dari Pejabat Pembuat Akta Tanah 6 Kecamatan Merangkum Laporan dari Pejabat Pembuat Akta Tanah 6 Kecamatan 7.500.000 8.500.000 Setda Program Peningkatan Sistem Pengawasan Internal dan Pengendalian Pelaksanaan Kebijakan KDH 70.000.000 70.000.000 Administrasi Penunjang Kegiatan Bagian Administasi Bagian Pemerintahan Umum Padangsidimpuan Terselenggaranya Administrasi Kegiatan Bagian Pemerintahan Umum 1 Thn Terselenggaranya Administrasi Kegiatan Bagian Pemerintahan Umum 1 Thn 10.000.000 10.000.000 Setda Evaluasi Penyelenggaraan Pemerintahan Daerah Padangsidimpuan Peningkatan Kinerja Aparatur 1 Kegiatan Peningkatan Kinerja Aparatur 1 Kegiatan 60.000.000 60.000.000 Setda Program Optimalisasi Pemanfaatan Teknologi Informasi 635.000.000 650.000.000 Penyebarluasan Informasi Penyelenggaraan Pemerintahan Daerah Padangsidimpuan Terselesaikannya Laporan Informasi Penyelenggraaan Pemerintah Daerah beserta Suplemennya 37 SKPD Terselesaikannya Laporan Informasi Penyelenggraaan Pemerintah Daerah beserta Suplemennya 37 SKPD 635.000.000 650.000.000 Setda Program Peningkatan Kerjasama Antar Pemerintah Daerah 330.000.000 330.000.000 Rencana Program dan Kegiatan Prioritas Tahun 2015 BIDANG PEMERINTAHAN UMUM Lembar 14 dari 74
  • 200.
    SKPD Jenis KegKet Tolok Ukur Tolok Ukur Tolok Ukur 1/2/3 1/2/3 1/2/3 2 3 4 5 6 8 10 12 13 14 15 16 Nomor Urusan/Bidang Urusan Pemerintahan Daerah Dan Program/Kegiatan Prioritas Daerah Sasaran Daerah Lokasi Indikator kinerja Pagu Indikatif Prakiraan Maju Keterangan Hasil Program Keluaran Kegiatan Hasil Kegiatan Target Target Target 1 7 9 11 Rapat APEKSI Luar daerah Terjalinnya Hubungan kinerja yang baik antar Pemerintah Daerah Kota 1 Kegiatan Terjalinnya Hubungan kinerja yang baik antar Pemerintah Daerah Kota 1 Kegiatan 285.000.000 285.000.000 Setda Forum Sekretaris Daerah Seluruh Indonesia Luar daerah Terjalinnya Hubungan kinerja yang baik antar Sekretaris Daerah seluruh Indonesia 1 Kegiatan Terjalinnya Hubungan kinerja yang baik antar Sekretaris Daerah seluruh Indonesia 1 Kegiatan 45.000.000 45.000.000 Setda Program Penataan Daerah Otonomi Baru 635.000.000 176.000.000 Fasilitasi Penyiapan data dan informasi pendukung proses pemekaran daerah 300.000.000 Fasilitasi Percepatan Penyelesaian Tapal Batas Wilayah Administrasi Antar daerah Padangsidimpuan Adanya batas wilayah yang jelas 1 Kegiatan Adanya batas wilayah yang jelas 1 Kegiatan 135.000.000 176.000.000 Setda Pembuatan pilar batas desa/kelurahan Padangsidimpuan 200.000.000 Setda Program Peningkatan Kualitas Pelayan Publik 205.000.000 205.000.000 Percepatan Penerapan Pelayan Terpadu Kecamatan (PATEN) Padangsidimpuan Terselenggaranya PATEN di Kecamatan 1 Kegiatan Terselenggaranya PATEN di Kecamatan 1 Kegiatan 205.000.000 205.000.000 Setda Program Perencanaan Pembangunan Wilayah Strategis dan Cepat Tumbuh 431.000.000 431.000.000 Penilaian Kecamatan Terbaik Padangsidimpuan Adanya kecamatan terbaik 1 Kegiatan Adanya kecamatan terbaik 1 Kegiatan 110.000.000 110.000.000 Setda Perencanaan Pengadaan Tanah Perkantoran Pemerintah Kota Padangsidimpuan Padangsidimpuan 1 Kegiatan 1 Kegiatan 100.000.000 100.000.000 Setda Persiapan Pengadaan Tanah Perkantoran Pemerintah Kota Padangsidimpuan 55.000.000 55.000.000 Setda Pelaksanaan Pengadaaan Tanah Perkantoran Pemerintah Kota Padangsidimpuan 166.000.000 166.000.000 Setda 1.129.500.000 1.156.000.000 Program Penataan Peraturan Perundang- Undangan 494.500.000 494.500.000 Koordinasi Kerjasama Permasalahan Peraturan Perundang-undangan Ibukota Propinsi dan Pusat Meningkatnya sumber daya aparatur dalam penyelenggaraan urusan 25 kali Menyatukan Kebijakan antara pemerintah pusat dan daerah 1 Thn 76.500.000 76.500.000 Setda Legislasi Rancangan Peraturan Perundang- undangan Padangsidimpuan Tercapainya Harmonisasi penyusunan produk hukum 600 peraturan Terciptanya Produk Hukum yang tidak bertentangan dengan peraturan yang 1 Thn 145.000.000 145.000.000 Setda Fasilitasi Sosialisasi Peraturan Perundang- undangan Padangsidimpuan Meningkatnya Kegiatan Sosialisasi di bidang hukum kepada masyarakat 5 kali Terwujudnya masyarakat yang sadar hukum 1 Thn 75.000.000 75.000.000 Setda Publikasi Peraturan Perundang-undangan Padangsidimpuan Tersedianya produk hukum daerah 125 buku Meningkatnya produk hukum 1 Thn 33.000.000 33.000.000 Setda Pembinaan Desa Sadar Hukum Padangsidimpuan Terlaksananya pembinaan desa sadar hukum 1 desa Meningkatnya Kesadaran Hukum Masyarakat 1 Thn 80.000.000 80.000.000 Setda Pelaksanaan RAN HAM Penanganan Pelanggaran HAM 1 Kebijakan Penanganan Pelanggaran HAM 1 Thn 85.000.000 85.000.000 Setda Program Peningkatan Kapasitas Sumber Daya Aparatur 161.000.000 167.500.000 Bimbingan Teknis, Workshop, Sosialisasi dan Legal Drafting Bidang Hukum serta Peningkatan SDM Bidang Hukum lainnya Propsu, Pusat Meningkatnya Sumber Daya Aparatur dalam penyusunan dan pengajuan 30 kali Peningkatan Kapasitas Sumberdaya Aparatur 1 Thn 95.000.000 97.500.000 Setda Sosialisasi Reformasi Birokrasi 66.000.000 70.000.000 Setda Rencana Program dan Kegiatan Prioritas Tahun 2015 BIDANG PEMERINTAHAN UMUM Lembar 15 dari 74
  • 201.
    SKPD Jenis KegKet Tolok Ukur Tolok Ukur Tolok Ukur 1/2/3 1/2/3 1/2/3 2 3 4 5 6 8 10 12 13 14 15 16 Nomor Urusan/Bidang Urusan Pemerintahan Daerah Dan Program/Kegiatan Prioritas Daerah Sasaran Daerah Lokasi Indikator kinerja Pagu Indikatif Prakiraan Maju Keterangan Hasil Program Keluaran Kegiatan Hasil Kegiatan Target Target Target 1 7 9 11 Program Peningkatan Sistem Pengawasan Internal dan Pengendalian Pelaksanaan Kebijakan KDH 144.000.000 144.000.000 Penanganan Kasus Pengaduan di Lingkungan Pemerintah Daerah Padangsidimpuan Terwujudnya Penegakan Hukum 3 Kasus Berkurangnya Kasus Pelanggaran Hukum 1 Thn 144.000.000 144.000.000 Setda Program Pembinaan dan Pengembangan Aparatur 330.000.000 350.000.000 Pelaksanaan Tugas PPNS (Penyidik Pegawai Negeeri Sipil) Padangsidimpuan Meningkatnya kesejahteraan bagi aparat teknis 5 Kasus Perda Tercapainya pelaksanaan tugas-tugas dengan baik 1 Thn 160.000.000 180.000.000 Setda Penyusunan Pedoman Pakaian Dinas PNS Padangsidimpuan 35.000.000 35.000.000 Setda Pelaksanaan Analisis Jabatan dan Analisis Beban Kerja 135.000.000 135.000.000 Setda 1.693.000.000 1.555.000.000 Program Pelayanan Administrasi Perkantoran 910.000.000 960.000.000 Penyediaan Jasa Surat Menyurat Padangsidimpuan Jumlah sarana dan prasarana yang disediakan 32 SKPD Terkirimnya surat dinas 32 SKPD 60.000.000 60.000.000 Setda Rapat-rapat Koordinasi dan Konsultasi ke Luar Daerah Luar Daerah Pelaksanaan Rakornis/Rakernis, Penjajakan Teknis serta 250 Kali Terikutinya Tugas Luar Daerah 250 Kali 850.000.000 900.000.000 Setda Program Penataan Kelembagaan dan Ketatalaksanaan 100.000.000 0 Penataan Organisasi dan Tata Kerja Perangkat Daerah Lainnya Padangsidimpuan 3 Perda Peraturan Daerah Tentang organisasi Perangkat Daerah 3 Perda 55.000.000 - Setda Penyusunan Uraian Tugas Organisasi dan Tata Kerja Perangkat Daerah Padangsidimpuan 4 PW Pelaksanaan tugas sesuai dengan tupoksi 4 PW 45.000.000 - Setda Program Pengelolaan SDM Aparatur 90.000.000 90.000.000 Mengikuti workshop dan diklat/kursus singkat di bidang kelembagaan, tata laksana Padangsidimpuan Jumlah SDM yang mengikuti bintek, workshop 12 kali Meningkatnya SDM Aparatur 12 kali 90.000.000 90.000.000 Setda Program Penerapan Kepemerintahan yang Baik 75.000.000 75.000.000 Kormonev pelaksanaan Inpres Nomor 5 Tahun 2004 Padangsidimpuan 2 Laporan Laporan Kormonev 2 Laporan 75.000.000 75.000.000 Setda Program Peningkatan Kualitas Pelayanan publik 450.000.000 360.000.000 Bimbingan Teknis Administrasi Pemaketan kegiatan dan penyusunan HPS Pengadaan Barang/Jasa Padangsidimpuan 165.000.000 165.000.000 Setda Bimbingan Teknis Penyusunan dan Managemen kontrak pengadaan Barang/Jasa Padangsidimpuan 165.000.000 165.000.000 Setda Penyusunan Standar Operasional Prosedur (SOP) Padangsidimpuan 55.000.000 Setda Penyusunan IKM Padangsidimpuan 3 SKPD Meningkatnya Kualitas Pelayanan Publik 3 SKPD 30.000.000 30.000.000 Setda Penyusunan dan Penerapan SPM Padangsidimpuan 15 Laporan Jumlah Laporan Penerapan SPM 15 Laporan 35.000.000 0 Setda Program Peningkatan Akuntabilitas Aparatur 68.000.000 70.000.000 Penyusunan laporan akuntabilitas kinerja sekretariat daerah Padangsidimpuan Jumlah dokumen perencanaan dan laporan yang disusun 1 dok Diketahuinya Kinerja sesuai dengan perencanaan 1 dok 28.000.000 30.000.000 Setda Rencana Program dan Kegiatan Prioritas Tahun 2015 BIDANG PEMERINTAHAN UMUM Lembar 16 dari 74
  • 202.
    SKPD Jenis KegKet Tolok Ukur Tolok Ukur Tolok Ukur 1/2/3 1/2/3 1/2/3 2 3 4 5 6 8 10 12 13 14 15 16 Nomor Urusan/Bidang Urusan Pemerintahan Daerah Dan Program/Kegiatan Prioritas Daerah Sasaran Daerah Lokasi Indikator kinerja Pagu Indikatif Prakiraan Maju Keterangan Hasil Program Keluaran Kegiatan Hasil Kegiatan Target Target Target 1 7 9 11 Pengkoordinasian dan Penyusunan Penetapan Kinerja Instansi Pemerintah Kota Padangsidimpuan Padangsidimpuan Terwujudnya sistem perencanaan yang efektif 2 dok Penerapan Kinerja sesuai dengan Rencana Strategis SKPD 2 dok 40.000.000 40.000.000 Setda 2.505.400.000 2.325.360.000 Program Peningkatan Pelayanan Kedinasan Kepala Daerah/ Wakil Kepala Daerah 50.000.000 100.000.000 Pendampingan Kerja Kepala Daerah dan Wakil Kepala Daerah Pusat/Provinsi 100% 50.000.000 100.000.000 Setda Program Pelayanan Administrasi Perkantoran 530.370.000 552.000.000 Belanja publikasi dan dokumentasi Padangsidimpuan 100% 90.346.000 95.000.000 Setda Penggandaan dan penjilitan pidato dan kliping koran Padangsidimpuan 100% 5.024.000 7.000.000 Setda Rapat-rapat Koordinasi dan Konsultasi ke Luar Daerah Pusat/Provinsi Pelaksanaan Rakornis/rakernis, penjajakan serta studi Terlaksananya rakor dan raker tk.regional dan nasional serta 100% 435.000.000 450.000.000 Setda Program Peningkatan Kapasitas Sumber Daya Aparatur 185.000.000 195.000.000 Pendidikan dan Pelatihan Formal Pusat/Provinsi 100% 185.000.000 195.000.000 Setda Program Optimalisasi Pemanfaatan Teknologi Informasi 188.030.000 216.360.000 Penyusunan Sistem Informasi Terhadap Layanan Publik, Iklan dan Promosi Padangsidimpuan 100% 188.030.000 216.360.000 Setda Program kerjasama informasi dengan mass media 170.000.000 172.000.000 Penyebaran informasi penyelengaraan dan pembangunan pemerintah daerah Padangsidimpuan 100% 150.000.000 152.000.000 Setda Belanja spanduk/baliho Padangsidimpuan 100% 20.000.000 20.000.000 Setda Program Peningkatan Kwalitas Pelayanan Informasi 50.000.000 75.000.000 Mengadakan Bimbingan Teknis Pejabat Pengelola Informasi dan Dokumentasi (PPID) 100% 50.000.000 75.000.000 Setda Program Penyelamatan dan Pelestarian dokumen/ arsip daerah 130.000.000 130.000.000 Pendataan dan Penataan Dokumen / arsip daerah Padangsidimpuan 100% 60.000.000 60.000.000 Setda Penduplikatan dokumen/ arsip dalam bentuk informatika Padangsidimpuan 100% 70.000.000 70.000.000 Setda Program Perbaikan sistim informasi Kerasipan 145.000.000 145.000.000 Pembangunan database Informasi Kerasipan Padangsidimpuan 100% 70.000.000 70.000.000 Setda Pengumpulan Data Padangsidimpuan 100% 75.000.000 75.000.000 Setda Program Peningkataan Kualitas Pelayanan Informasi 427.000.000 Sosialisasi Undang-Undang No. 14 Tahun 2008 Tentang Keterbukaan Informasi Publik 97.000.000 Setda Sosialisasi Undang-Undang No. 40 Tahun 1999 115.000.000 Setda Sosialisasi tentang MC dan keprotokolan 110.000.000 Setda Rencana Program dan Kegiatan Prioritas Tahun 2015 BIDANG PEMERINTAHAN UMUM Lembar 17 dari 74
  • 203.
    SKPD Jenis KegKet Tolok Ukur Tolok Ukur Tolok Ukur 1/2/3 1/2/3 1/2/3 2 3 4 5 6 8 10 12 13 14 15 16 Nomor Urusan/Bidang Urusan Pemerintahan Daerah Dan Program/Kegiatan Prioritas Daerah Sasaran Daerah Lokasi Indikator kinerja Pagu Indikatif Prakiraan Maju Keterangan Hasil Program Keluaran Kegiatan Hasil Kegiatan Target Target Target 1 7 9 11 Sosialsiasi tentang pejabat pengelola informasi dan dokumentasi 105.000.000 Setda Program Pengembangan Komunikasi Informasi dan Media Massa 260.000.000 260.000.000 melaksanakan peliputan kegiatan pejabat daerah oleh rekan pers Padangsidimpuan 100% 60.000.000 60.000.000 Setda Operasional Pejabat Pengelola Informasi Dokumen Padangsidimpuan 100% 200.000.000 200.000.000 Program kerjasama informasi dengan mass media 370.000.000 480.000.000 Belanja jasa penyebaran informasi penyelenggaraan dan pembangunan pemerintah daerah melalui media cetak Padangsidimpuan 100% 200.000.000 250.000.000 Setda Belanja jasa penyebaran informasi penyelenggaraan dan pembangunan pemerintah daerah melalui radio dan televisi Padangsidimpuan 100% 100.000.000 150.000.000 Setda Belanja jasa pemberitaan Padangsidimpuan 100% 70.000.000 80.000.000 Setda 671.340.000 706.750.000 P1 Program Pelayanan Administrasi Perkantoran 5.090.000 6.750.000 Kegiatan Penyediaan Jasa Perbaikan Peralatan Kerja Padangsidimpuan Termanfaatkannya Peralatan kerja dengan baik Lancarnya Kegiatan Adm.Perkantoran Lancarnya Kegiatan Adm.Perkantoran 2.500.000 3.500.000 Setda Kegiatan Penyediaan Peralatan Rumah Tangga Padangsidimpuan Tersedianya Peralatan Rumah Tangga Lancarnya Kegiatan Adm.Perkantoran Lancarnya Kegiatan Adm.Perkantoran 590.000 750.000 Setda Kegiatan Penyediaan Bahan Bacaan dan Peraturan Perundang-undangan Padangsidimpuan Tersedianya Bahan Bacaan dan Peraturan Perundang- undangan Lancarnya Kegiatan Adm.Perkantoran Lancarnya Kegiatan Adm.Perkantoran 2.000.000 2.500.000 Setda Program Peningkatan Sarana dan Prasarana Aparatur 54.000.000 60.000.000 Pendidikan dan Pelatihan Formal Padangsidimpuan Terlaksananya Kegiatan Bimbingan Teknis dan Pelatihan Meningkatnya Kualitas Sumber Daya Aparatur Meningkatnya Kualitas Sumber Daya Aparatur 54.000.000 60.000.000 Setda Program Peningkatan Pengembangan Sistem Pelaporan Capaian Kinerja dan Keuangan 82.250.000 100.000.000 Penyusunan Laporan Hasil-Hasil Pembangunan Padangsidimpuan Terlaksananya Kegiatan Penysunan Laporan Hasil- hasil Pembangunan Tersusunnya Laporan Hasil- Hasil Pembangunan dan Dokumentasi Tersusunnya Laporan Hasil- Hasil Pembangunan dan Dokumentasi 35.000.000 40.000.000 Setda Administrasi Umum dan Penunjang Kegiatan Pembangunan Padangsidimpuan Penyediaan Administrasi Umum dan Penunjang Kegiatan Pembangunan Lancaranya Kegiatan Administrasi Pembangunan Lancaranya Kegiatan Administrasi Pembangunan 47.250.000 60.000.000 Setda Program Optimalisasi Pemanfaatan Teknologi Informasi 375.000.000 385.000.000 Kegiatan Penyusunan Sistem Informasi Terhadap Layanan Publik Padangsidimpuan Terlaksananya proses pengadaan barang/jasa Pemerintah secara efektif, transparan dan akuntebel Termanfaatkannya Sistem Teknologi dan Informasi dalam pelaksanaan kegiatan pembangunan Termanfaatkannya Sistem Teknologi dan Informasi dalam pelaksanaan kegiatan pembangunan 240.000.000 250.000.000 Setda Penyusunan Laporan Penyelenggaraan Pemerintah Daerah 135.000.000 135.000.000 Setda Rencana Program dan Kegiatan Prioritas Tahun 2015 BIDANG PEMERINTAHAN UMUM Lembar 18 dari 74
  • 204.
    SKPD Jenis KegKet Tolok Ukur Tolok Ukur Tolok Ukur 1/2/3 1/2/3 1/2/3 2 3 4 5 6 8 10 12 13 14 15 16 Nomor Urusan/Bidang Urusan Pemerintahan Daerah Dan Program/Kegiatan Prioritas Daerah Sasaran Daerah Lokasi Indikator kinerja Pagu Indikatif Prakiraan Maju Keterangan Hasil Program Keluaran Kegiatan Hasil Kegiatan Target Target Target 1 7 9 11 Program Mengintensifkan Penanganan Pengaduan Masyarakat 75.000.000 75.000.000 Penataan dan Pengendalian Pelaksanaan Kegiatan Pembangunan Padangsidimpuan Terlaksananya Kegiatan Penataan dan Pengendalian Pelaksanaan Kegiatan Pembangunan Terlaksananya Kegiatan Penataan dan Pengendalian Pelaksanaan Kegiatan Pembangunan Kegiatan Terlaksananya Kegiatan Penataan dan Pengendalian Pelaksanaan Kegiatan Pembangunan 75.000.000 75.000.000 Setda Program Peningkatan Kerjasama antar Pemerintah Daerah 80.000.000 80.000.000 Sinkronisasi dan Koordinasi Pembangunan Daerah Padangsidimpuan Terpenuhinya Kegiatan Sinkronisasi dan Koordinasi Pembangunan Daerah Tersusun dan Sinkronnya kegiatan Pembangunan Tersusun dan Sinkronnya kegiatan Pembangunan 80.000.000 80.000.000 Setda 500.000.000 500.000.000 P2 Program Peningkatan Sarana dan Prasarana Aparatur 200.000.000 200.000.000 Kegiatan Sosialisasi Pengadaan Barang/Jasa Perangkat Unit Layanan Pengadaan (ULP) Kota Padangsidimpuan Padangsidimpuan Terlaksananya Sosialisasi Pengadaan Barang/Jasa Perangkat ULP Meningkatnya Kualitas Sumber Daya Aparatur Meningkatnya Kualitas Sumber Daya Aparatur 200.000.000 200.000.000 Setda Program Mengintensikan Penangannan Pengaduan Masyarakat 300.000.000 300.000.000 Kegiatan Pelaksanaan Pengadaan Barang/Jasa di Kota Padangsidimpuan (Operasional Unit Layanan Pengadaan Barang/ Jasa Kota Padangsidimpuan) Padangsidimpuan Terlaksananya kegiatan Pengadaan Barang/jasa di Kota padangsidimpuan Lancarnya kegiatan Pengadaan Barang/Jasa di Kota Padangsidimpuan Lancarnya kegiatan Pengadaan Barang/Jasa di Kota Padangsidimpuan 300.000.000 300.000.000 Setda 5.940.500.000 - Program Peningkatan Kapasitas Sumber Daya Aparatur 120.000.000 Bimbingan Teknis, Workshop, Sosialisasi dan Legal Drafting Bidang Hukum serta Peningkatan SDM Bidang Lainnya di Luar Propinsi Sumatera Utara dilaksanakannya workshop bimbingan teknis di bidang ekonomi dan sosial 1 Thn meningkatnya kapasitas pengetahuan aparatur pemerintah daerah khususnya di bidang perekonomian dan kesra 1 Thn 120.000.000 Setda Program Peringatan Hari-Hari Besar Nasional, Daerah dan Keagamaan Terlaksananya Hari Besar Keagamaan dan Nasional, serta meningkatnya kesejahteraan masyarakat 1 Thn 2.882.000.000 - Pelaksanaan HUT RI meningkatnya rasa nasionalisme Masyarakat dan Aparatur Pemerintah Padangsidimpuan Terlaksananya hari besar nasional 1 Keg meningkatnya rasa cinta tanah air 1 Keg 250.000.000 Setda Pelaksanaan Maulid Nabi Muhammad SAW Meningkatnya Rasa Keagamaan Masyarakat dan Aparatur Pemerintah Padangsidimpuan Terlaksananya hari besar keagamaan 1 Keg Terciptanya kecintaan terhadap agama 1 Keg 33.000.000 Setda Pelaksanaan Perayaan Idul Fithri Meningkatnya Rasa Keagamaan Masyarakat dan Aparatur Pemerintah Padangsidimpuan Terlaksananya hari besar keagamaan 1 Keg Terciptanya kecintaan terhadap agama 1 Keg 45.000.000 Setda Pelaksanaan Idul Adha Meningkatnya Rasa Keagamaan Masyarakat dan Aparatur Pemerintah Padangsidimpuan Terlaksananya hari besar keagamaan 1 Keg Terciptanya kecintaan terhadap agama 1 Keg 45.000.000 Setda Rencana Program dan Kegiatan Prioritas Tahun 2015 BIDANG PEMERINTAHAN UMUM Lembar 19 dari 74
  • 205.
    SKPD Jenis KegKet Tolok Ukur Tolok Ukur Tolok Ukur 1/2/3 1/2/3 1/2/3 2 3 4 5 6 8 10 12 13 14 15 16 Nomor Urusan/Bidang Urusan Pemerintahan Daerah Dan Program/Kegiatan Prioritas Daerah Sasaran Daerah Lokasi Indikator kinerja Pagu Indikatif Prakiraan Maju Keterangan Hasil Program Keluaran Kegiatan Hasil Kegiatan Target Target Target 1 7 9 11 Pelaksanaan Isra Mi'raj Nabi Muhammad SAW Meningkatnya Rasa Keagamaan Masyarakat dan Aparatur Pemerintah Padangsidimpuan Terlaksananya hari besar keagamaan 1 Keg Terciptanya Kecintaan Terhadap Agama 1 Keg 33.000.000 Setda Pelaksanaan Hari Kebangkitan Nasional Terciptanya Rasa Persatuan dan Kesatuan dalam Bingkai NKRI Masyarakat dan Aparatur Pemerintah Padangsidimpuan Terlaksananya hari besar nasional 1 Keg Meningkatkan Rasa Nasionalisme 1 Keg 45.000.000 Setda Pelaksanaan Hari Kesaktian Pancasila Terciptanya Rasa Persatuan dan Kesatuan dalam Bingkai NKRI Masyarakat dan Aparatur Pemerintah Padangsidimpuan Terlaksananya hari besar nasional 1 Keg Meningkatkan Rasa Nasionalisme 1 Keg 37.000.000 Setda Hari Pendidikan Nasional Terciptanya Rasa Persatuan dan Kesatuan dalam Bingkai NKRI Masyarakat dan Aparatur Pemerintah Padangsidimpuan Terlaksananya hari besar nasional 1 Keg Meningkatkan Rasa Nasionalisme 1 Keg 37.000.000 Setda Pelaksanaan HUT PEMKO Meningkatkan Evaluasi Terhadap Pembangunan Masyarakat dan Aparatur Pemerintah Padangsidimpuan Terlaksananya Perayaan HUT PEMKO Padangsidimpuan 1 Keg Terciptanya Persatuan dan Kesatuan antara Masyarakat dan pemerintah 1 Keg 550.000.000 Setda Pelaksanaan Hari Pahlawan Terciptanya Rasa Persatuan dan Kesatuan dalam Bingkai NKRI Masyarakat dan Aparatur Pemerintah Padangsidimpuan Terlaksananya hari besar nasional 1 Keg Meningkatkan Rasa Nasionalisme 1 Keg 90.000.000 Setda Pelaksanaan Safari Ramadhan Meningkatnya Pemahaman dan Pengalaman di bidang Keagamaan Masyarakat dan Aparatur Pemerintah Padangsidimpuan Terlaksananya Safari Ramadhan di tiap Kecamatan Kota Padangsidimpuan 6 kecamatan Terlaksananya Safari Ramadhan di tiap Kecamatan Kota Psp 6 kecamatan 56.000.000 Setda Pelaksanaan Pembinaan Pemberangkatan dan Pemulangan Jama'ah Haji Meningkatnya Pemahaman Masyarakat tentang Haji Aparatur Pemerintah dan Calon Jamaah Haji Padangsidimpuan Terlaksananya Pembinaan Pemberangkatan dan Pemulangan Jama'ah Haji Keg Meningkatnya Pengetahuan dalam Bidang Haji Keg 750.000.000 Setda Pelaksanaan Peringatan Nuzul Qur'an Meningkatnya Rasa Keagamaan Masyarakat dan Aparatur Pemerintah Padangsidimpuan Terlaksananya hari besar keagamaan 1 Keg Terciptanya kecintaan terhadap agama 1 Keg 25.000.000 Setda Pelaksanaan Hari Kesadaran Nasional Terciptanya Rasa Persatuan dan Kesatuan dalam Bingkai NKRI Aparatur Pemerintah Padangsidimpuan Terlaksananya hari kesadaran nasional kali Meningkatkan Rasa Nasionalisme kali 59.000.000 Setda Pelaksanaan Manasik Haji Meningkatkan Pemahaman dan Pengamalan tentang Manasik Haji Aparatur Pemerintah dan Calon Jamaah Haji Padangsidimpuan Terlaksananya Pelaksanaan Manasik Haji 1 Keg Meningkatkan Pemahaman dan Pengamalan tentang Manasik Haji 1 Keg 62.000.000 Setda Peringatan Tahun Baru Islam (1 Muharram) Padangsidimpuan Terlaksananya hari besar keagamaan 1 Keg 1 Keg 165.000.000 Setda Peringatan Hari Kartini Padangsidimpuan Terlaksananya hari besar nasional 1 Keg 1 Keg 100.000.000 Setda Perayaan pergantian Tahun Padangsidimpuan Terlaksananya Perayaan pergantian Tahun 1 Keg 1 Keg 500.000.000 Setda Program Pengembangan Kemasyarakatan 950.000.000 Pelaksanaan MTQ Terbina Pemahaman Masyarakat Kota Psp tentang MTQ Masyarakat dan Aparatur Pemerintah Kota Psp dan di Luar Kota Dilaksanakannya MTQ dan Pengiriman Peserta ke Tk Provsu 2 Keg Meningkatnya Kegiatan Keagamaan 2 Keg 600.000.000 Setda Pelaksanaan Festival Nasyid Meningkatnya Pemahaman dan Pengalaman Agama Masyarakat dan Aparatur Pemerintah Kota Psp dan di Luar Kota Dilaksanakannya festival Nasyid Kota dan Tingkat propinsi 2 Keg Meningkatnya Kegiatan Keagamaan 2 Keg 350.000.000 Setda Rencana Program dan Kegiatan Prioritas Tahun 2015 BIDANG PEMERINTAHAN UMUM Lembar 20 dari 74
  • 206.
    SKPD Jenis KegKet Tolok Ukur Tolok Ukur Tolok Ukur 1/2/3 1/2/3 1/2/3 2 3 4 5 6 8 10 12 13 14 15 16 Nomor Urusan/Bidang Urusan Pemerintahan Daerah Dan Program/Kegiatan Prioritas Daerah Sasaran Daerah Lokasi Indikator kinerja Pagu Indikatif Prakiraan Maju Keterangan Hasil Program Keluaran Kegiatan Hasil Kegiatan Target Target Target 1 7 9 11 Program Peningkatan Promosi dan Kerjasama Investasi Terlaksananya Investasi dan Promosi Daerah Kota Padangsidimpuan 1.100.000.000 - Pameran Investasi dan Promosi 700.000.000 Setda Pekan Raya Sumatera Utara Terpromokasikannya hasil produksi pertanian, Home Industri, Kerajinan, dan Adat Budaya Kota Psp Masyarakat, Pengusaha dan Investor Medan 1Keg Terlaksananya Pekan Raya Sumatera Utara Meningkatnya Investasi dan pendapatan masyarakat 1Keg 400.000.000 Setda Program Perlindungan konsumen dan pengamanan perdagangan 888.500.000 - Pendistribusian Raskin Dilaksanankannya Pendistribusian Raskin 500.000.000 - Setda Tim Pengendalian Inflasi Daerah terbentuknya tim pengendalian imflasi daerah kota psp 98.500.000 - Setda Pengawasan Pupuk dan Pestisida serta Rencana Defenitif Kebutuhan Terlaksananya pengawasan pupuk dan pestisida di pasaran 190.000.000 - Setda Pengendalian Pelaksanaan Penanaman Modal Terlaksananya pengendalian pelaksanaan penanaman modal 100.000.000 - Setda 16.568.796.000 18.303.455.600 P1 Program Pelayanan Administrasi Perkantoran Terlaksananya administrasi perkantoran Padangsidimpuan 100% 100% 4.970.000.000 5.623.630.000 Penyediaan Jasa Surat Menyurat Meningkatnya Pelayanan Perkantoran 1 Thn Jasa Surat Menyurat Terpenuhinya Jasa Surat Menyurat 1 Thn 625.000.000 650.000.000 Setwan Penyedian Jasa Komunikasi, Sumber Daya Air dan Listrik Meningkatnya Pelayanan Perkantoran 1 Thn Jasa Komunikasi, Sumber Daya Air dan Listrik Terpenuhinya Jasa Komunikasi, Sumber Daya Air dan Listrik 1 Thn 170.000.000 250.000.000 Setwan Penyediaan Jasa Administrasi Keuangan Meningkatnya Pelayanan Perkantoran 1 Thn Jasa Administrasi Keuangan Jasa Administrasi Keuangan 1 Thn 115.000.000 125.000.000 Setwan Penyediaan Jasa Kebersihan Kantor Meningkatnya Pelayanan Perkantoran 1 Thn Jasa Kebersihan Kantor Terpenuhinya Jasa Kebersihan Kantor 1 Thn 75.000.000 80.000.000 Setwan Penyediaan Alat Tulis Kantor Meningkatnya Pelayanan Perkantoran 1 Thn Terpenuhinya kebutuhan Alat Tulis Kantor Terpenuhinya kebutuhan Alat Tulis Kantor 1 Thn 195.000.000 200.000.000 Setwan Rencana Program dan Kegiatan Prioritas Tahun 2015 BIDANG PEMERINTAHAN UMUM Lembar 21 dari 74
  • 207.
    SKPD Jenis KegKet Tolok Ukur Tolok Ukur Tolok Ukur 1/2/3 1/2/3 1/2/3 2 3 4 5 6 8 10 12 13 14 15 16 Nomor Urusan/Bidang Urusan Pemerintahan Daerah Dan Program/Kegiatan Prioritas Daerah Sasaran Daerah Lokasi Indikator kinerja Pagu Indikatif Prakiraan Maju Keterangan Hasil Program Keluaran Kegiatan Hasil Kegiatan Target Target Target 1 7 9 11 Penyediaan Barang Cetakan dan Penggandaan Meningkatnya Pelayanan Perkantoran 1 Thn Terpenuhinya Barang Cetakan dan Penggandaan Terpenuhinya Barang Cetakan dan Penggandaan 1 Thn 150.000.000 160.000.000 Setwan Penyediaan Komponen Instalasi Listrik/Penerangan Bagunan Kantor Meningkatnya Pelayanan Perkantoran 1 Thn Terpenuhinya kebutuhan Instalasi Listrik/Penerangan Bagunan Kantor Terpenuhinya kebutuhan Instalasi Listrik/Penerangan Bagunan Kantor 1 Thn 175.000.000 185.000.000 Setwan Penyediaan Peralatan Rumah Tangga Meningkatnya Pelayanan Perkantoran 1 Thn Terpenuhinya kebutuhan Peralatan Rumah Tangga Terpenuhinya kebutuhan Peralatan Rumah Tangga 1 Thn 215.000.000 220.000.000 Setwan Penyediaan Makan dan Minum Meningkatnya Pelayanan Perkantoran 1 Thn Terpenuhinya Makan dan Minum Terpenuhinya Makan dan Minum 1 Thn 175.000.000 168.630.000 Setwan Rapat-rapat Koordinasi dan Konsultasi ke Luar Daerah Meningkatnya Pelayanan Perkantoran 1 Thn Terlaksananya Koordinasi dan Konsultasi ke Luar Daerah Terlaksananya Koordinasi dan Konsultasi ke Luar Daerah 1 Thn 3.000.000.000 3.500.000.000 Setwan Penyediaan Jasa Keamanan Meningkatnya Pelayanan Perkantoran 1 Thn Tersedianya Jasa Keamanan kantor Tersedianya Jasa Keamanan kantor 1 Thn 75.000.000 85.000.000 Setwan Program Peningkatan Sarana dan Prasarana Aparatur Terpenuhinya Sarana dan Prasarana Aparatur 100% 100% 3.256.761.000 3.492.937.100 Pengadaan Peralatan Gedung Kantor Padangsidimpuan Peningkatan kualitas dan kuantitas sarana dan prasarana 1 Thn Tersedianya peralatan gedung/kantor Tersedianya peralatan gedung/kantor 1 Thn 875.000.000 900.000.000 Setwan Pemeliharaan Rutin/ Berkala Gedung Kantor Padangsidimpuan Peningkatan kualitas dan kuantitas sarana dan prasarana 1 Thn Pemeliharaan Gedung Kantor Terlaksananya Pemeliharaan Gedung Kantor 1 Thn 610.000.000 650.000.000 Setwan Pemeliharaan Rutin/ Berkala Kenderaan Dinas/ Operasional Padangsidimpuan Peningkatan kualitas dan kuantitas sarana dan prasarana 1 Thn PemeliharaanKenderaan Dinas/ Operasional Terlaksananya PemeliharaanKenderaan Dinas/ Operasional 1 Thn 1.686.761.000 1.855.437.100 Setwan Pemeliharaan Rutin/ Berkala Peralatan Gedung Kantor Padangsidimpuan Peningkatan kualitas dan kuantitas sarana dan prasarana 1 Thn Pemeliharaan Peralatan Gedung Kantor Terlaksananya Pemeliharaan Peralatan Gedung Kantor 1 Thn 85.000.000 87.500.000 Setwan Program Peningkatan Disiplin Aparatur Berjalannya Disiplin Aparatur 100% 100% 270.000.000 280.000.000 Pengadaan Pakaian dinas beserta perlengkapannya Padangsidimpuan Peningkatan disiplin aparatur 1 Thn Pengadaan pakaian PNS Peningkatan kesejahteraan PNS 1 Thn 270.000.000 280.000.000 Setwan Program Peningkatan Kapasitas Sumber Daya Aparatur Terpenuhinya Sumber Daya Aparatur 100% 100% 420.000.000 450.000.000 Bimbingan Teknis Implementasi Peraturan Perundang-Undangan Padangsidimpuan 1 Thn 1 Thn 420.000.000 450.000.000 Setwan Program Peningkatan Pengembangan Sistem Pelaporan Capaian Kinerja dan Keuangan Tersusunnya Laporan Capaian Kinerja dan Keuangan 100% 100% 481.500.000 534.650.000 Penyusunan Laporan Capaian Kinerja dan Ikhtisar Realisasi Kinerja SKPD Padangsidimpuan Peningkatan kualitas dan kuantitas pelaporan 31.500.000 34.650.000 Setwan Penyusunan Laporan, Kinerja dan Anggaran Padangsidimpuan Peningkatan kualitas dan kuantitas pelaporan 450.000.000 500.000.000 Setwan Program Peningkatan kapasitas lembaga perwakilan rakyat daerah Terwujudnya Lembaga Perwakilan 100% 100% 6.500.235.000 7.122.458.500 Pembahasan Rancangan Peraturan Daerah Padangsidimpuan Peningkatan kapasitas lembaga perwakilan rakyat daerah 1 Tahun Anggaran 1 Tahun Anggaran 200.000.000 250.000.000 Setwan Hearing/Dialog dan Koordinasi dengan Pejabat Pemerintah dan Tokoh Masyarakat/Tokoh Agama Padangsidimpuan Peningkatan kapasitas lembaga perwakilan rakyat daerah 1 Tahun Anggaran 1 Tahun Anggaran 75.000.000 82.500.000 Setwan Rapat-Rapat Alat Kelengkapan Dewan 1 Tahun Anggaran 1 Tahun Anggaran 543.000.000 587.300.000 Setwan Rapat-Rapat Paripurna 1 Tahun Anggaran 1 Tahun Anggaran 125.000.000 144.200.000 Setwan Kegiatan Reses 1 Tahun Anggaran 1 Tahun Anggaran 812.235.000 893.458.500 Setwan Rencana Program dan Kegiatan Prioritas Tahun 2015 BIDANG PEMERINTAHAN UMUM Lembar 22 dari 74
  • 208.
    SKPD Jenis KegKet Tolok Ukur Tolok Ukur Tolok Ukur 1/2/3 1/2/3 1/2/3 2 3 4 5 6 8 10 12 13 14 15 16 Nomor Urusan/Bidang Urusan Pemerintahan Daerah Dan Program/Kegiatan Prioritas Daerah Sasaran Daerah Lokasi Indikator kinerja Pagu Indikatif Prakiraan Maju Keterangan Hasil Program Keluaran Kegiatan Hasil Kegiatan Target Target Target 1 7 9 11 Kunjungan Kerja Pimpinan dan Anggota DPRD Dalam Daerah 1 Tahun Anggaran 1 Tahun Anggaran 2.100.000.000 2.200.000.000 Setwan Peningkatan Kapasitas Pimpinan dan Anggota DPRD 1 Tahun Anggaran 1 Tahun Anggaran 2.450.000.000 2.750.000.000 Setwan Rapat-Rapat Khusus 1 Tahun Anggaran 1 Tahun Anggaran 195.000.000 215.000.000 Setwan Program Peningkatan dan Pengembangan Pengelolaan Keuangan Daerah Padangsidimpuan Terlaksananya Peningkatan dan Pengembangan Pengelolaan Keuangan Daerah 538.700.000 611.020.000 Penyusunan Rancangan Peraturan Daerah Tentang APBD Padangsidimpuan 1 Tahun Anggaran 1 Tahun Anggaran 100.000.000 114.950.000 Setwan Penyusunan Rancangan Peraturan Daerah Tentang Perubahan APBD Padangsidimpuan 1 Tahun Anggaran 1 Tahun Anggaran 104.500.000 114.950.000 Setwan Penyusunan Rancangan Peraturan Daerah Tentang Pertanggungjawaban Pelaksanaan APBD Padangsidimpuan 1 Tahun Anggaran 1 Tahun Anggaran 119.200.000 131.120.000 Setwan Penyusunan KUA dan PPAS Padangsidimpuan 1 Tahun Anggaran 1 Tahun Anggaran 215.000.000 250.000.000 Setwan Program Peringatan Hari-hari besar nasional, daerah dan keagamaan Padangsidimpuan Terwujudnya Perekonomian dan Kesejahteraan 56.600.000 62.260.000 Pelaksanaan HUT RI Padangsidimpuan 1 Tahun Anggaran 1 Tahun Anggaran 28.300.000 31.130.000 Setwan Pelaksanaan HUT PEMKO Padangsidimpuan Padangsidimpuan 1 Tahun Anggaran 1 Tahun Anggaran 28.300.000 31.130.000 Setwan Program Peningkatan Sistem Pengawasan Internal dan Pengendalian Pelaksanaan Kebijakan KDH Padangsidimpuan Berjalannya Pengawasan Internal dan Pengendalian Pelaksanaan Kebijakan 75.000.000 126.500.000 Penanganan Kasus Pengaduan di Lingkungan DPRD Padangsidimpuan 1 Tahun Anggaran 1 Tahun Anggaran 75.000.000 126.500.000 Setwan 748.750.000 823.625.000 P2 Program Pelayanan Administrasi Perkantoran 540.000.000 594.000.000 Penyediaan Jasa Jaminan Pemeliharaan Kesehatan DPRD Meningkatnya Pelayanan Perkantoran 1 Thn Tersedianya Jasa Jaminan Pemeliharaan Kesehatan DPRD Tersedianya Jasa Jaminan Pemeliharaan Kesehatan DPRD 1 Thn 540.000.000 594.000.000 Setwan Program Peningkatan Disiplin Aparatur 208.750.000 229.625.000 Pengadaan Pakaian Khusus Hari-hari tertentu Padangsidimpuan Peningkatan disiplin aparatur 1 Thn Pengadaan pakaian PNS Peningkatan kesejahteraan PNS 1 Thn 208.750.000 229.625.000 Setwan 01 20 695.611.800 704.568.700 P1 Program Pelayanan Administrasi Perkantoran 278.573.000 289.529.900 Penyediaan Jasa Komunikasi, Sumber Daya Air dan Listrik Padangsidimpuan Tersedianya Jasa Komunikasi, Sumber Daya Air dan Listrik 1 Thn Terlaksananya Jasa Komunikasi, Sumber Daya Air dan Listrik 1 Thn Dimanfaatkannya fasilitas kantor 1 Thn 28.800.000 28.800.000,00 Sekretariat KORPRI Penyediaan Jasa Kebersihan Kantor Padangsidimpuan Tersedianya peralatan kebersihan kantor 1 Thn Terlaksananya peralatan kebersihan kantor 1 Thn Terpeliharanya kebersihan kantor 1 Thn 19.191.000 19.191.000,00 Sekretariat KORPRI Penyediaan Jasa Perbaikan Peralatan Kerja Padangsidimpuan Terpeliharanya peralatan kantor 1 Thn Terlaksananya peralatan kantor 1 Thn Terawatnya peralatan kantor 1 Thn 2.800.000 2.800.000,00 Sekretariat KORPRI Penyediaan Alat Tulis Kantor Padangsidimpuan Tersedinya alat tulis kantor 1 Thn Tersedinya alat tulis kantor 1 Thn Lancarnya kegiatan adm kantor 1 Thn 17.000.000 21.956.900,00 Sekretariat KORPRI Penyediaan Barang Cetakan dan Penggandaan Padangsidimpuan Tersedianya barang cetakan dan penggandaan 1 Thn Terlaksananya barang cetakan dan penggandaan 1 Thn Lancarnya kegiatan adm kantor 1 Thn 12.374.000 12.374.000,00 Sekretariat KORPRI Penyediaan Peralatan dan Perlengkapan Kantor Padangsidimpuan Tersedianya peralatan dan perlengkapan kantor 1 Thn Terlaksananya peralatan dan perlengkapan kantor 1 Thn 1 Thn 45.000.000 46.000.000,00 Sekretariat KORPRI Rencana Program dan Kegiatan Prioritas Tahun 2015 BIDANG PEMERINTAHAN UMUM Lembar 23 dari 74
  • 209.
    SKPD Jenis KegKet Tolok Ukur Tolok Ukur Tolok Ukur 1/2/3 1/2/3 1/2/3 2 3 4 5 6 8 10 12 13 14 15 16 Nomor Urusan/Bidang Urusan Pemerintahan Daerah Dan Program/Kegiatan Prioritas Daerah Sasaran Daerah Lokasi Indikator kinerja Pagu Indikatif Prakiraan Maju Keterangan Hasil Program Keluaran Kegiatan Hasil Kegiatan Target Target Target 1 7 9 11 Penyediaan Peralatan Rumah Tangga 1 Thn 1 Thn 1.600.000 1.600.000,00 Sekretariat KORPRI Penyediaan Makanan dan Minuman Padangsidimpuan Tersedianya makanan dan minuman PNS 1 Thn Terlaksananya makanan dan minuman PNS 1 Thn 1 Thn 39.600.000 39.600.000,00 Sekretariat KORPRI Rapat-Rapat Koordinasi dan Konsultasi Ke Luar Daerah Padangsidimpuan Tersedianya biaya perjalanan dinas 1 Thn Terlaksananya biaya perjalanan dinas 1 Thn Terlaksananya perjalanan dinas luar daerah 1 Thn 90.000.000 95.000.000,00 Sekretariat KORPRI Penyediaan jasa keamanan kantor Padangsidimpuan Tersedianya keamanan kantor 1 Thn Terlaksananya keamanan kantor 1 Thn Terjaganya kantor 1 Thn 9.000.000 9.000.000,00 Sekretariat KORPRI Penyediaan jasa administrasi perkantoran Padangsidimpuan Tersedianya administrasi kantor 2 Thn Terlaksananya administrasi kantor 2 Thn 2 Thn 13.208.000 13.208.000,00 Sekretariat KORPRI Program Peningkatan Sarana dan Prasarana Aparatur Padangsidimpuan 85.648.800 87.648.800 Pengadaan Kendaraan Dinas/Operasional Padangsidimpuan Tersedianya kendaraan dinas 1 Thn Terpenuhinya kenderaan dinas 1 Thn 1 Thn 55.000.000 57.000.000 Sekretariat KORPRI Pemeliharaan Rutin/Berkala Kendaraan Dinas/Operasional Padangsidimpuan Terpeliharanya kendaraan dinas 1 Thn Terpeliharanya kenderaan dinas 1 Thn 1 Thn 30.648.800 30.648.800 Sekretariat KORPRI Program Peningkatan Disiplin Aparatur Padangsidimpuan 1 Thn 1 Thn 1 Thn 16.475.000 17.475.000 Pengadaan Pakaian Dinas beserta perlengkapannya Padangsidimpuan Tersedinya biaya pakaian dinas 1 Thn Terlaksananya pengadaan pakaian dinas 1 Thn 1 Thn 9.000.000 10.000.000 Sekretariat KORPRI Pengadaan Pakaian Khusus Hari-Hari tertentu Padangsidimpuan Tersedinya biaya pakaian khusus 1 Thn Terlaksananya pakaian khusus 1 Thn 1 Thn 7.475.000 7.475.000 Sekretariat KORPRI Program Peringatan Hari-hari Besar Nasional, Daerah dan Keagamaan 57.475.000 57.475.000 HUT KORPRI Padangsidimpuan Terlaksananya perayaan HUT Korpri 1 Thn Terlaksananya upacara dengan baik 1 Thn 1 Thn 57.475.000 57.475.000 Sekretariat KORPRI Program Pengembangan Kemasyarakatan 115.000.000 110.000.000 Pengiriman peserta Bimbingan Tes/Bimbingan Belajar 1 Thn 1 Thn 115.000.000 110.000.000 Sekretariat KORPRI Program Peningkatan Kapasitas Sumber Daya Aparatur Padangsidimpuan 1 Thn 1 Thn 1 Thn 10.000.000 10.000.000 Pendidikan dan Pelatihan Formal Padangsidimpuan Tersedinya biaya bimtek 1 Thn Terlaksananya biaya bintek 1 Thn Meningkatnya kualitas SDM 1 Thn 10.000.000 10.000.000 Sekretariat KORPRI Program Pembinaan dan Pengembangan Aparatur Padangsidimpuan 1 Thn 1 Thn 1 Thn 41.860.000 41.860.000 Penyelenggaraan Rapat Kerja Daerah Padangsidimpuan Terlaksananya rapat kerja daerah 1 Thn 1 Thn 1 Thn 41.860.000 41.860.000 Sekretariat KORPRI Program Perekonomian dan Kesejahteraan Rakyat Padangsidimpuan 1 Thn 1 Thn 1 Thn 4.000.000 4.000.000 Pelaksanaan MTQ dan Pengiriman Peserta ke Tingkat Provsu Padangsidimpuan Terkirimnya peserta MTQ ke Provinsi 1 Thn Terkirimnya peserta MTQ ke Provinsi 1 Thn Peserta dapat mengikuti MTQ di Tk. Provinsi 1 Thn 4.000.000 4.000.000 Sekretariat KORPRI Program Peningkatan Sumber Daya Masyarakat Padangsidimpuan 1 Thn 1 Thn 1 Thn 86.580.000 86.580.000 Pengiriman Peserta Bimbingan Test / Bimbingan Belajar Padangsidimpuan Terkirimnya siswa siswi untuk mengikuti bintek menghadapi SPMB 1 Thn Terkirimnya siswa siswi untuk mengikuti bintek menghadapi SPMB 1 Thn Terkirimnya siswa siswi untuk mengikuti bintek menghadapi SPMB 1 Thn 86.580.000 86.580.000 Sekretariat KORPRI 776.000.000 776.000.000 P2 Program Pelayanan Administrasi Perkantoran Padangsidimpuan 776.000.000 776.000.000 Pelantikan Unit, Sub Unit, Koordinator Teknis kegiatan se Kota Padangsidimpuan Padangsidimpuan Terbentuknya Pengurus Unit, Sub Unit, Koordinator Teknis kegiatan se Kota Padangsidimpuan 60.000.000,00 60.000.000,00 Sekretariat KORPRI Rencana Program dan Kegiatan Prioritas Tahun 2015 BIDANG PEMERINTAHAN UMUM Lembar 24 dari 74
  • 210.
    SKPD Jenis KegKet Tolok Ukur Tolok Ukur Tolok Ukur 1/2/3 1/2/3 1/2/3 2 3 4 5 6 8 10 12 13 14 15 16 Nomor Urusan/Bidang Urusan Pemerintahan Daerah Dan Program/Kegiatan Prioritas Daerah Sasaran Daerah Lokasi Indikator kinerja Pagu Indikatif Prakiraan Maju Keterangan Hasil Program Keluaran Kegiatan Hasil Kegiatan Target Target Target 1 7 9 11 Pembentukan Badan Usaha Pengurus KORPRI Padangsidimpuan Tersedianya Usaha Pengurus KORPRI 50.000.000,00 50.000.000,00 Sekretariat KORPRI Peningkatan Sumber Daya Anak-anak KORPRI melalui Bimbel untuk SD dan SMP Padangsidimpuan Tersedianya SDM 400.000.000,00 400.000.000,00 Sekretariat KORPRI Insentif Bagi Dewan Pengurus KORPRI Padangsidimpuan Meningkatnya Kesejahteraan Pegawai KORPRI 1 Thn 1 Thn 1 Thn 156.000.000,00 156.000.000,00 Sekretariat KORPRI Turnamen Olahraga antar anggota KORPRI Padangsidimpuan Terlaksananya kegiatan olahraga 50.000.000,00 50.000.000,00 Sekretariat KORPRI Pelaksanaan pengajian anggota KORPRI se Kota Padangsidimpuan Padangsidimpuan Terlaksananya kegiatan keagamaan 60.000.000,00 60.000.000,00 Sekretariat KORPRI 16.808.200.000 15.101.410.000 P1 Program Pelayanan Administrasi Perkantoran Tersedianya sarana dan prasaran kantor yang dibutuhkan 4.743.200.000 4.999.310.000 Penyediaan Jasa Komunikasi, Sumber Daya Air dan Listrik Dinas PPKAD Jasa telepon, Sumber Daya Air, dan listrik dipergunakan untuk tugas kantor 1 Thn Jasa telepon, Sumber Daya Air, dan listrik dipergunakan untuk tugas kantor 1 Thn 72.000.000 74.000.000 Dinas PPKAD Penyediaan Jasa Pemeliharaan dan Perizinan Kendaraan Dinas/Operasional Dinas PPKAD Kenderaan dinas dimanfaatkan untuk tugas kedinasan 4 unit Kenderaan dinas dimanfaatkan untuk tugas kedinasan 4 unit 11.400.000 13.110.000 Dinas PPKAD Penyediaan Jasa Kebersihan Kantor Dinas PPKAD Terpeliharannya kebersihan kantor 1 Thn Terpeliharannya kebersihan kantor 1 Thn 164.000.000 170.000.000 Dinas PPKAD Penyediaan Alat Tulis Kantor Dinas PPKAD ATK dimanfaatkan untuk tugas kedinasan 1 Thn ATK dimanfaatkan untuk tugas kedinasan 1 Thn 198.000.000 200.000.000 Dinas PPKAD Penyediaan Barang Cetakan dan Penggandaan Dinas PPKAD Barang Cetakan dan Penggandaan dimanfaatkan untuk tugas kedinasan 1 Thn Barang Cetakan dan Penggandaan dimanfaatkan untuk tugas kedinasan 1 Thn 240.800.000 285.200.000 Dinas PPKAD Penyediaan Komponen Instalasi Listrik/Penerangan Bangunan Kantor Dinas PPKAD Listrik berfungsi dengan baik 1 Thn Listrik berfungsi dengan baik 1 Thn 75.000.000 80.000.000 Dinas PPKAD Penyediaan Peralatan dan Perlengkapan Kantor Dinas PPKAD Dimanfaatkannya peralatan dan perlengkapan kantor untuk tugas kedinasan 1 Keg Dimanfaatkannya peralatan dan perlengkapan kantor untuk tugas kedinasan 1 Keg 905.000.000 950.000.000 Dinas PPKAD Peenyediaan Peralatan Rumah Tangga Dinas PPKAD 1 Thn 1 Thn 10.000.000 12.000.000 Dinas PPKAD Penyediaan bahan bacaan dan peraturan perundangan-undangan Dinas PPKAD Dimanfaatkannya bahan bacaan dan peraturan perundang-undangan untuk tugas kedinasan 1 Thn Dimanfaatkannya bahan bacaan dan peraturan perundang-undangan untuk tugas kedinasan 1 Thn 27.000.000 30.000.000 Dinas PPKAD Penyediaan Makanan dan Minuman Dinas PPKAD Terpenuhinya kebutuhan konsumsi untuk urusan kedinasan 1 Thn Terpenuhinya kebutuhan konsumsi untuk urusan kedinasan 1 Thn 280.000.000 300.000.000 Dinas PPKAD Rapat-Rapat Koordinasi dan Konsultasi Ke Luar Daerah Dinas PPKAD terlaksananya kegiatan pemda dalam menyamakan persepsi dengan pemda 1 thn terlaksananya kegiatan pemda dalam menyamakan persepsi dengan pemda 1 thn 875.000.000 890.000.000 Dinas PPKAD Penyediaan Jasa Administrasi Perkantoran Dinas PPKAD terselesaikannya tugas- tugas dinas PPKAD 12 bln terselesaikannya tugas- tugas dinas PPKAD 12 bln 1.700.000.000 1.800.000.000 Dinas PPKAD Penyediaan Jasa Keamanan Kantor Dinas PPKAD Terpeliharannya keamanan kantor 12 bln Terpeliharannya keamanan kantor 12 bln 185.000.000 195.000.000 Dinas PPKAD Rencana Program dan Kegiatan Prioritas Tahun 2015 BIDANG PEMERINTAHAN UMUM Lembar 25 dari 74
  • 211.
    SKPD Jenis KegKet Tolok Ukur Tolok Ukur Tolok Ukur 1/2/3 1/2/3 1/2/3 2 3 4 5 6 8 10 12 13 14 15 16 Nomor Urusan/Bidang Urusan Pemerintahan Daerah Dan Program/Kegiatan Prioritas Daerah Sasaran Daerah Lokasi Indikator kinerja Pagu Indikatif Prakiraan Maju Keterangan Hasil Program Keluaran Kegiatan Hasil Kegiatan Target Target Target 1 7 9 11 Program Peningkatan Sarana dan Prasarana Aparatur 2.320.000.000 374.000.000 Pengadaan Kenderaaan Dinas/Operasional Dinas PPKAD 1 unit 1 unit 718.000.000 Dinas PPKAD Pemeliharaan Rutin/Berkala Gedung Kantor Dinas PPKAD 1 Thn 1 Thn 100.000.000 150.000.000 Dinas PPKAD Pemeliharaan Rutin/Berkala Kendaraan Dinas/Operasional Dinas PPKAD Tersedianya kendaraan yang baik Terpeliharanya kenderaan dinas 1 Thn Tersedianya kendaraan yang baik 1 Thn 180.000.000 190.000.000 Dinas PPKAD Pemeliharaan Rutin/Berkala Peralatan Gedung Kantor Dinas PPKAD Terlaksananya perbaikan pelatan gedung kantor Terpeliharanya peralatan gedung kantor 1 Thn Terlaksananya perbaikan pelatan gedung kantor 1 Thn 32.000.000 34.000.000 Dinas PPKAD Pembangunan Gudang Berkas dan Asset Dinas PPKAD 1 paket 1 paket 200.000.000 Dinas PPKAD Pembangunan Pagar Keliling Kantor Dinas PPKAD 1 paket 1 paket 200.000.000 Dinas PPKAD Pemasangan Paving Blok Dinas PPKAD 1 paket 1 paket 190.000.000 Dinas PPKAD Pembangunan Taman Kantor Dinas PPKAD 1 paket 1 paket 100.000.000 Dinas PPKAD Pembngunan Tempat Parkir Kanotr Dinas PPKAD 1 paket 1 paket 200.000.000 Dinas PPKAD Pembangunan Dek Penahan Dinas PPKAD 1 paket 1 paket 400.000.000 Dinas PPKAD Program Peningkatan Disiplin Aparatur 2 Keg 155.000.000 175.000.000 Pengadaan Pakaian Dinas Beserta Perlengkapannya Dinas PPKAD terlayaninya sarana pendukung aparatur 100 stel terlayaninya sarana pendukung aparatur 100 stel 70.000.000 80.000.000 Dinas PPKAD Pengadaan pakaian khusus hari- hari tertentu Dinas PPKAD terlayaninya sarana pendukung aparatur 100 stel terlayaninya sarana pendukung aparatur 100 stel 85.000.000 95.000.000 Dinas PPKAD Program Peningkatan Kapasitas Sumber Daya Aparatur 6 Keg 2.208.000.000 1.808.000.000 Bimbingan Teknis Implementasi Peraturan Perundang-Undangan Dinas PPKAD Meningkatnya pengetahuan SDM Thn Meningkatnya pengetahuan SDM 1 Thn 960.000.000 980.000.000 Dinas PPKAD Bimbingan Teknis Penatausahaan Keuangan Desa Dinas PPKAD 1 Keg 1 Keg 153.000.000 153.000.000 Dinas PPKAD Bimbingan Teknis Penyusunan Neraca Awal Dinas PPKAD 1 Keg 1 Keg 130.000.000 135.000.000 Dinas PPKAD Pendampingan Penatausahaan Keuangan dengan Aplikasi SIMDA Berbasil Akrual Jawa Tengah dan Sumbar 1 k 1 k 115.000.000 Dinas PPKAD Study Banding Peningkatan PAD Jawa Tengah dan Sumbar 1 Keg 1 Keg 340.000.000 Dinas PPKAD Sosialisasi PBB Pedesaan dan Perkotaan Dinas PPKAD 1 Keg 1 Keg 510.000.000 540.000.000 Dinas PPKAD Rencana Program dan Kegiatan Prioritas Tahun 2015 BIDANG PEMERINTAHAN UMUM Lembar 26 dari 74
  • 212.
    SKPD Jenis KegKet Tolok Ukur Tolok Ukur Tolok Ukur 1/2/3 1/2/3 1/2/3 2 3 4 5 6 8 10 12 13 14 15 16 Nomor Urusan/Bidang Urusan Pemerintahan Daerah Dan Program/Kegiatan Prioritas Daerah Sasaran Daerah Lokasi Indikator kinerja Pagu Indikatif Prakiraan Maju Keterangan Hasil Program Keluaran Kegiatan Hasil Kegiatan Target Target Target 1 7 9 11 Program Peningkatan Pengembangan Sistem Pelaporan Capaian Kinerja dan Keuangan 6 Keg 321.000.000 344.000.000 Penyusunan Laporan Capaian Kinerja dan Ikhtisar Realisasi Kinerja SKPD Dinas PPKAD Tersedianya informasi tentang kinerja keuagan 1 dok Tersedianya informasi tentang kinerja keuagan 1 dok 5.000.000 8.000.000 Dinas PPKAD Penyusunan Pelaporan Keuangan Semesteran Dinas PPKAD Terpenuhinya informasi Laporan Keuangan Semesteran 1 dok Terpenuhinya informasi Laporan Keuangan Semesteran 1 dok 40.000.000 45.000.000 Dinas PPKAD Penyusunan Pelaporan Keuangan Akhir Tahun Dinas PPKAD Terpenuhinya informasi Laporan Keuangan akhir tahun 1 dok Terpenuhinya informasi Laporan Keuangan akhir tahun 1 dok 155.000.000 160.000.000 Dinas PPKAD Penyusunan Laporan, Rencana Kinerja dan Anggaran Dinas PPKAD Tersedianya informasi tentang rencana kinerja keuagan 1 dok Tersedianya informasi tentang rencana kinerja keuagan 1 dok 5.000.000 8.000.000 Dinas PPKAD Penyusunan Laporan Barang Pengguna Semesteran Dinas PPKAD Terpenuhinya informasi tentang asset daerah Semesteran 1 dok Terpenuhinya informasi tentang asset daerah Semesteran 1 dok 50.000.000 55.000.000 Dinas PPKAD Penyusunan Laporan Barang Pengguna Tahunan Dinas PPKAD Terpenuhinya informasi tentang asset daerah tahunan 1 dok Terpenuhinya informasi tentang asset daerah tahunan 1 dok 66.000.000 68.000.000 Dinas PPKAD Program Peningkatan dan Pengembangan Pengelolaan Keuangan Daerah 26 Keg 6.841.000.000 7.231.100.000 Penyusunan Standar Satuan Harga Dinas PPKAD Dipedomaninya buku standar satuan harga dalam penyusunan APBD 1 buku Dipedomaninya buku standar satuan harga dalam penyusunan APBD 1 buku 199.000.000 200.000.000 Dinas PPKAD Penyusunan Rancangan Peraturan Daerah Tentang APBD Dinas PPKAD implementasikannya APBD tahun 2016 1 perda implementasikannya APBD tahun 2016 1 perda 55.000.000 60.000.000 Dinas PPKAD Penyusunan Rancangan Peraturan KDH Tentang Penjabaran APBD Dinas PPKAD implementasikannya Peraturan KDH tentang penjabaran APBD tahun 2016 1 peraturan implementasikannya Peraturan KDH tentang penjabaran APBD tahun 2016 1 peraturan 154.000.000 177.100.000 Dinas PPKAD Penyusunan Rancangan Peraturan Daerah Tentang Perubahan APBD Dinas PPKAD implementasikannya perubahan APBD tahun 2015 1 perda implementasikannya perubahan APBD tahun 2015 1 perda 52.000.000 55.000.000 Dinas PPKAD Penyusunan Rancangan Peraturan KDH Tentang Penjabaran Perubahan APBD Dinas PPKAD implementasikannya Peraturan KDH tentang penjabaran perubahan APBD tahun 2015 1 peraturan implementasikannya Peraturan KDH tentang penjabaran perubahan APBD tahun 2015 1 peraturan 160.000.000 170.000.000 Dinas PPKAD Penyusunan Rancangan Peraturan Daerah Tentang Pertanggungjawaban Pelaksanaan APBD Dinas PPKAD diterimanya pertanggungjawaban tentang pelaksanaan APBD 1 perda diterimanya pertanggungjawaban tentang pelaksanaan APBD 1 perda 155.000.000 170.000.000 Dinas PPKAD Penyusunan Rancangan Peraturan KDH Tentang Penjabaran Pertanggungjawaban Pelaksanaan APBD Dinas PPKAD diterimanya tentang pertanggungjawaban tentang pelaksanaan penjabaran APBD 1 peraturan diterimanya tentang pertanggungjawaban tentang pelaksanaan penjabaran APBD 1 peraturan 40.000.000 42.000.000 Dinas PPKAD Intensifikasi dan Ekstensifikasi Sumber- Sumber Pendapatan Daerah Dinas PPKAD Meningkatnya PAD pemko PSP 1 Lap Meningkatnya PAD pemko PSP 1 Lap 560.000.000 600.000.000 Dinas PPKAD Penelitian dan pengesahan RKA/DPA Dinas PPKAD pedoman pelaksanaa anggaran seluruh SKPD 1 dok pedoman pelaksanaa anggaran seluruh SKPD 1 dok 65.000.000 70.000.000 Dinas PPKAD Penelitian dan pengesahan perubahan RKA/DPA Dinas PPKAD pedoman pelaksanaa perubahan anggaran seluruh SKPD 1 dok pedoman pelaksanaa perubahan anggaran seluruh SKPD 1 dok 66.000.000 72.000.000 Dinas PPKAD Penyusunan KUA dan PPAS Dinas PPKAD implementasi KUA dan PPAS 1 dok implementasi KUA dan PPAS 1 dok 125.000.000 130.000.000 Dinas PPKAD Rencana Program dan Kegiatan Prioritas Tahun 2015 BIDANG PEMERINTAHAN UMUM Lembar 27 dari 74
  • 213.
    SKPD Jenis KegKet Tolok Ukur Tolok Ukur Tolok Ukur 1/2/3 1/2/3 1/2/3 2 3 4 5 6 8 10 12 13 14 15 16 Nomor Urusan/Bidang Urusan Pemerintahan Daerah Dan Program/Kegiatan Prioritas Daerah Sasaran Daerah Lokasi Indikator kinerja Pagu Indikatif Prakiraan Maju Keterangan Hasil Program Keluaran Kegiatan Hasil Kegiatan Target Target Target 1 7 9 11 Penyusunan Perubahan KUA dan PPAS Dinas PPKAD implementasi perubahan KUA dan PPAS 1 dok implementasi perubahan KUA dan PPAS 1 dok 125.000.000 130.000.000 Dinas PPKAD Optimalisasi Pendapatan Asli Daearah Dinas PPKAD Meningkatnya PAD pemko PSP 1 Keg Meningkatnya PAD pemko PSP 1 Keg 430.000.000 430.000.000 Dinas PPKAD Penghapusan Barang Milik Daerah Dinas PPKAD tersedianya data jumlah barang yang dihapuskan 1 dok tersedianya data jumlah barang yang dihapuskan 1 dok 280.000.000 280.000.000 Dinas PPKAD Monitoring dan evaluasi Asset Barang Daerah Dinas PPKAD Terpenuhinya informasi tentang asset daerah 1 laporan Terpenuhinya informasi tentang asset daerah 1 laporan 160.000.000 170.000.000 Dinas PPKAD Peningkatan Pelayanan Pajak Bumi dan Bangunan Dinas PPKAD 1 Keg 1 Keg 1.100.000.000 1.200.000.000 Dinas PPKAD Pendataan Objek Pajak Dinas PPKAD 1 Keg 1 Keg 110.000.000 120.000.000 Dinas PPKAD Penyusunan Basis Data Retribusi Daerah Dinas PPKAD 1 Keg 1 Keg 50.000.000 55.000.000 Dinas PPKAD Penyusunan Standard Pelayanan PBB-P2 Dinas PPKAD 1 Keg 1 Keg 150.000.000 160.000.000 Dinas PPKAD Penyediaan Jasa Konsultasi Pemetaan dan Optimalisasi Pajak Daerah Dinas PPKAD 1 Dok 1 Dok 655.000.000 700.000.000 Dinas PPKAD Penyediaan Aplikasi Pajak Daaerah Dinas PPKAD 1 Dok 1 Dok 450.000.000 500.000.000 Dinas PPKAD Pengamanan Asset Pemerintah Kota Padangsidimpuan Dinas PPKAD 1 Dok 1 Dok 45.000.000 50.000.000 Dinas PPKAD Penyelesaian Pemindahtanganan Asset antar Pemerintah Dinas PPKAD 1 Keg 1 Keg 360.000.000 360.000.000 Dinas PPKAD Penjualan Asset Daerah Dinas PPKAD 1 Keg 1 Keg 380.000.000 380.000.000 Dinas PPKAD Pengamanan Fisik Barang Milik Daerah Dinas PPKAD 1 Keg 1 Keg 445.000.000 450.000.000 Dinas PPKAD Inventarisasi Barang Milik Daerah Dinas PPKAD 1 Keg 1 Keg 470.000.000 500.000.000 Dinas PPKAD Program Pembinaan dan Fasilitasi Pengelolaan Keuangan Kabupaten/Kota 6 Keg 220.000.000 170.000.000 Evaluasi Rancangan Peraturan Daerah Tentang APBD Kabupaten/Kota Dinas PPKAD Implementasi Laporan Evaluasi Ranperda tentang APBD dari Propinsi 1 dok Implementasi Laporan Evaluasi Ranperda tentang APBD dari Propinsi 1 dok 40.000.000 50.000.000 Dinas PPKAD Evaluasi Rancangan Peraturan KDH Tentang Penjabaran APBD Kabupaten/Kota Dinas PPKAD Implementasi Laporan Evaluasi Ranperda dan KDH tentang APBD dari Propinsi 1 dok Implementasi Laporan Evaluasi Ranperda dan KDH tentang APBD dari Propinsi 1 dok 40.000.000 50.000.000 Dinas PPKAD Evaluasi Rancangan Peraturan Daerah Tentang Perubahan APBD Kabupaten/Kota Dinas PPKAD Implementasi Laporan Evaluasi Ranperda dan KDH tentang APBD dari Propinsi 1 dok Implementasi Laporan Evaluasi Ranperda dan KDH tentang APBD dari Propinsi 1 dok 40.000.000 50.000.000 Dinas PPKAD Evaluasi Rancangan Peraturan KDH Tentang Penjabaran Perubahan APBD Kabupaten/Kota Dinas PPKAD Implementasi Laporan Evaluasi Ranperda dan KDH tentang APBD dari Propinsi 1 dok Implementasi Laporan Evaluasi Ranperda dan KDH tentang APBD dari Propinsi 1 dok 40.000.000 50.000.000 Dinas PPKAD Rencana Program dan Kegiatan Prioritas Tahun 2015 BIDANG PEMERINTAHAN UMUM Lembar 28 dari 74
  • 214.
    SKPD Jenis KegKet Tolok Ukur Tolok Ukur Tolok Ukur 1/2/3 1/2/3 1/2/3 2 3 4 5 6 8 10 12 13 14 15 16 Nomor Urusan/Bidang Urusan Pemerintahan Daerah Dan Program/Kegiatan Prioritas Daerah Sasaran Daerah Lokasi Indikator kinerja Pagu Indikatif Prakiraan Maju Keterangan Hasil Program Keluaran Kegiatan Hasil Kegiatan Target Target Target 1 7 9 11 Evaluasi rancangan peraturan Daerah tentang pertanggungjawaban pelaksanaan APBD Dinas PPKAD Implementasi Laporan Evaluasi Ranperda pertanggungjawaban pelaksanaan APBD dari Propinsi 1 dok Implementasi Laporan Evaluasi Ranperda pertanggungjawaban pelaksanaan APBD dari Propinsi 1 dok 30.000.000 35.000.000 Dinas PPKAD Evaluasi rancangan Peraturan KDH tentang Penjabaran Pertanggungjawaban Pelaksanaan APBD Kabupaten/Kota Dinas PPKAD Implementasi Laporan Evaluasi Ranperda dan KDH tentang perubahan APBD dari Propinsi 1 dok Implementasi Laporan Evaluasi Ranperda dan KDH tentang perubahan APBD dari Propinsi 1 dok 30.000.000 35.000.000 Dinas PPKAD 4.000.569.880 4.600.655.362 P2 Program Peningkatan Kapasitas Sumber Daya Aparatur 283.000.000 325.450.000 Sosialisasi peraturan perundang undangan Dinas PPKAD Meningkatnya pemahaman SDM terhadap peraturan perundang undangan 1 kegiatan Meningkatnya pemahaman SDM terhadap peraturan perundang undangan 1 kegiatan 283.000.000 325.450.000 Dinas PPKAD Program Peningkatan dan Pengembangan Pengelolaan Keuangan Daerah 3.717.569.880 4.275.205.362 Penyusunan sistem dan prosedur pengelolaan keuangan daerah Dinas PPKAD Dipedomaninya SOP pengelolaan keuangan daerah 1 peraturan Dipedomaninya SOP pengelolaan keuangan daerah 1 peraturan 889.977.960 1.023.474.654 Dinas PPKAD Sosialisasi Paket Regulasi Tentang Pengelolaan Keuangan Daerah Dinas PPKAD Meningkatnya SDM pengelolaan keuangan daerah 1 kegiatan Meningkatnya SDM pengelolaan keuangan daerah 1 kegiatan 837.977.960 963.674.654 Dinas PPKAD Peningkatan manajemen asset / barang daerah Dinas PPKAD Meningkatnya SDM PNS menggunakan aplikasi SIMDA BMD 1 kegiatan Meningkatnya SDM PNS menggunakan aplikasi SIMDA BMD 1 kegiatan 36.952.000 42.494.800 Dinas PPKAD Revaluasi / appraisal asset / barang daerah Dinas PPKAD Tersedianya nilai asset / barang daerah yang mutahir 1 dok Tersedianya nilai asset / barang daerah yang mutahir 1 dok 889.977.960 1.023.474.654 Dinas PPKAD Pemutakhiran Data Base PBB Dinas PPKAD Meningkatnya PAD pemko PSPdari sektor PBB 5% Meningkatnya PAD pemko PSPdari sektor PBB 5% 1.062.684.000 1.222.086.600 Dinas PPKAD 2.531.605.862 2.863.327.034 P1 Program Pelayanan Administrasi Perkantoran 1.269.605.862 1.371.327.034 Penyediaan Jasa Surat Menyurat Padangsidimpuan Terpenuhinya Jasa Surat Menyurat 1 Thn Terpenuhinya Jasa Surat Menyurat 1 Thn 5.000.000 5.000.000 KP2T Penyediaan Jasa Komunikasi, Sumber Daya Air dan Listrik Padangsidimpuan Terpenuhinya Jasa Komunikasi, Sumber Daya Air dan Listrik 1 Thn Terpenuhinya Jasa Komunikasi, Sumber Daya Air dan Listrik 1 Thn 142.000.000 143.000.000 KP2T Penyediaan Jasa Kebersihan Kantor Padangsidimpuan Terpenuhinya Jasa Kebersihan Kantor 1 Thn Terpenuhinya Jasa Kebersihan Kantor 1 Thn 175.000.000 178.000.000 KP2T Penyediaan Alat Tulis Kantor Padangsidimpuan Tersedianya Alat Tulis Kantor 1 Thn Tersedianya Alat Tulis Kantor 1 Thn 128.833.862 154.600.634 KP2T Penyediaan Barang Cetakan dan Pengadaan Padangsidimpuan Tersedianya Barang Cetakan dan Penggadaan 1 Thn Tersedianya Barang Cetakan dan Penggadaan 1 Thn 150.000.000 155.000.000 KP2T Rencana Program dan Kegiatan Prioritas Tahun 2015 BIDANG PEMERINTAHAN UMUM Lembar 29 dari 74
  • 215.
    SKPD Jenis KegKet Tolok Ukur Tolok Ukur Tolok Ukur 1/2/3 1/2/3 1/2/3 2 3 4 5 6 8 10 12 13 14 15 16 Nomor Urusan/Bidang Urusan Pemerintahan Daerah Dan Program/Kegiatan Prioritas Daerah Sasaran Daerah Lokasi Indikator kinerja Pagu Indikatif Prakiraan Maju Keterangan Hasil Program Keluaran Kegiatan Hasil Kegiatan Target Target Target 1 7 9 11 Penyediaan Komponen Instalasi Listrik/Penerangan Bangunan Kantor Padangsidimpuan Tersedianya Komponen Instalasi Listrik/Penerangan Bangunan Kantor 1 Thn Tersedianya Komponen Instalasi Listrik/Penerangan Bangunan Kantor 1 Thn 10.000.000 9.600.000 KP2T Penyediaan Bahan Bacaan dan Peraturan Perundang-Undangan Padangsidimpuan Tersedianya Bahan Bacaan dan Peraturan Perundang- undangan 1 Thn Tersedianya Bahan Bacaan dan Peraturan Perundang- undangan 1 Thn 20.000.000 22.000.000 KP2T Penyediaan Makanan dan Minuman Padangsidimpuan Tersedianya Makan dan Minum Aparatur dan Tamu 1 Thn Tersedianya Makan dan Minum Aparatur dan Tamu 1 Thn 170.000.000 165.000.000 KP2T Rapat-Rapat Koordinasi dan Konsultasi Ke Luar Daerah Dalam dan Luar daerah Terlaksananya Rapat-rapat Koordinasi dan Kunsultasi ke Luar Daerah 1 Thn Terlaksananya Rapat-rapat Koordinasi dan Kunsultasi ke Luar Daerah 1 Thn 324.272.000 389.126.400 KP2T Penyediaan Jasa Keamanan Kantor Padangsidimpuan Tersedianya jasa keamanan kantor 1 Thn Tersedianya jasa keamanan kantor 1 Thn 125.000.000 130.000.000 KP2T Penyediaan Jasa Administrasi Perkantoran Padangsidimpuan Terpenuhinya Jasa Administrasi Perkantoran 1 Thn Terpenuhinya Jasa Administrasi Perkantoran 1 Thn 19.500.000 20.000.000 KP2T Program Peningkatan Saranan dan Prasarana Aparatur Pelayanan Perizinan Terpadu Daerah Kota Padangsidimpuan 80.000.000 85.000.000 Pemeliharaan Rutin/Berkala Kendaraan Dinas/Operasional Padangsidimpuan Pemeliharaan Kendaraan Dinas/Operasional 1 Thn Terpeliharanya kenderaan dinas operasional 1 Thn 80.000.000 85.000.000 KP2T Program Peningkatan Kapasitas Sumber Daya Aparatur Terlaksananya Peningkatan Kualitas dan Kompetensi Aparatur dalam rangka pelayanan prima 700.000.000 710.000.000 Pendidikan dan Pelatihan Formal Padangsidimpuan Pendidikan dan Pelatihan Formal 1 Thn Tersedianya pendidikan dan pelatihan formal 1 Thn Peningkatan kinerja dan tugas-tugas kantor 1 Thn 700.000.000 710.000.000 KP2T Program Peningkatan Pengembangan Sistem Pelaporan Capian Kinerja dan Keuangan 50.000.000 44.000.000 Penyusunan Laporan, Rencana Kinerja dan Anggaran Padangsidimpuan Laporan Keuangan Semesteran 1 Thn Tersedianya penyusunan laporan rencana kinerja dan anggaran 1 Thn Peningkatan tugas-tugas kantor 1 Thn 25.000.000 22.000.000 KP2T Penyusunan Pelaporan Keuangan Akhir Tahun 1 Thn 1 Thn 1 Thn 25.000.000 22.000.000 KP2T Program Perbaikan Sistem Administrasi Kearsipan 75.000.000 78.000.000 Penyusunan Sistem Katalog Data Padangsidimpuan Dokumen Sistem Katalog Data 1 Thn Tersusunnya katalog data 1 Thn Lancarnya tugas-tugas kantor 1 Thn 75.000.000 78.000.000 KP2T Program Penataan dan Penyempurnaan Kebijakan Sistem dan Prosedur Pengawasan Terwujudnya Penyelenggaraan Pelayanan Perizinan secara Terpadu 72.000.000 75.000.000 Penyusunan Pengukuran Indeks Kepuasan Masyarakat Padangsidimpuan Survey Kepuasan Masyarakat 1 Thn 1 Thn 1 Thn 72.000.000 75.000.000 KP2T Rencana Program dan Kegiatan Prioritas Tahun 2015 BIDANG PEMERINTAHAN UMUM Lembar 30 dari 74
  • 216.
    SKPD Jenis KegKet Tolok Ukur Tolok Ukur Tolok Ukur 1/2/3 1/2/3 1/2/3 2 3 4 5 6 8 10 12 13 14 15 16 Nomor Urusan/Bidang Urusan Pemerintahan Daerah Dan Program/Kegiatan Prioritas Daerah Sasaran Daerah Lokasi Indikator kinerja Pagu Indikatif Prakiraan Maju Keterangan Hasil Program Keluaran Kegiatan Hasil Kegiatan Target Target Target 1 7 9 11 Program Penataan Perundang-Undangan 125.000.000 150.000.000 Fasilitas Sosialisasi Peraturan Perundang- Undangan Padangsidimpuan Sosialisasi Peraturan Perundang-Undangan 1 Thn 1 Thn 1 Thn 125.000.000 150.000.000 KP2T 2.858.426.025 2.792.220.194 P2 Program Pelayanan Administrasi Perkantoran 298.906.595 358.687.914 Penyediaan Peralatan dan Perlengkapan Kantor Padangsidimpuan Tersedianya Sarana Peralatan dan Perlengkapan Kantor 1 Thn Tersedianya Sarana Peralatan dan Perlengkapan Kantor 1 Thn 298.906.595 358.687.914 KP2T Program Peningkatan Saranan dan Prasarana Aparatur Pelayanan Perizinan Terpadu Daerah Kota Padangsidimpuan 1.071.931.330 1.368.426.560 Pembangunan Gedung Kantor Padangsidimpuan Pembangunan Gedung Kantor 843.991.330 KP2T Kendaraan Dinas/Operasional Padangsidimpuan Terpenuhinya Kendaraan Dinas/Operasional Tersedianya kenderaan dinas operasional 76.220.000 91.464.000 KP2T Pemeliharaan Rutin/Berkala Gedung Kantor Padangsidimpuan Pemeliharaan Gedung Kantor 1 Thn Terpeliharanya gedung kantor 1 Thn 100.000.000 120.000.000 KP2T Pemeliharaan Rutin/Berkala Peralatan Gedung Kantor Padangsidimpuan Pemeliharaan Peralatan dan Perlengkapan Kantor 1 Thn Terpeliharanya peralatan gedung kantor 1 Thn 51.720.000 62.064.000 KP2T Rehabilitasi Sedang/Berat Gedung Kantor Padangsidimpuan Rehabilitas Gedung Kantor 1 Thn Terpeliharanya gedung kantor 1 Thn - 950.000.000 KP2T Program Peningkatan Disiplin Aparatur 120.748.800 144.898.560 Pengadaan Pakaian Dinas Beserta Perlengkapannya Padangsidimpuan Pakaian Dinas beserta dan Perlengkapannya 1 Thn Terpenuhinya pakaian dinas 1 Thn 32.718.000 39.261.600 KP2T Pengadaan Pakaian Kerja Lapangan Padangsidimpuan Pakaian Kerja Lapangan 1 Thn Terpenuhinya pakaian kerja lapangan 1 Thn 62.358.000 74.829.600 KP2T Pengadaan Pakaian Khusus Hari-hari tertentu Padangsidimpuan Pakaian Khususu Hari-hari tertentu 1 Thn Terpenuhinya pakaian khusus hari tertentu 1 Thn 25.672.800 30.807.360 KP2T Program Peningkatan Kapasitas Sumber Daya Aparatur Terlaksananya Peningkatan Kualitas dan Kompetensi Aparatur dalam rangka pelayanan prima 380.199.300 456.239.160 Sosialisasi Peraturan Perundang-Undangan Padangsidimpuan Sosialisasi Peraturan Perundang-Undangan 1 Thn Terpenuhinya kegiatan sosialisasi peraturan perundang-undangan 1 Thn Peningkatan tugas-tugas kantor 1 Thn 166.479.300 199.775.160 KP2T Kunjungan Kerja Padangsidimpuan Kunjungan Kerja 213.720.000 256.464.000 KP2T Program Penataan dan Penyempurnaan Kebijakan Sistem dan Prosedur Pengawasan Terwujudnya Penyelenggaraan Pelayanan Perizinan secara Terpadu 386.640.000 463.968.000 Peningkatan Kapasitas Pelayanan Perizinan dan Non Perizinan Padangsidimpuan Terpenuhinya Pelayanan Perizinan dan Non Perizinan dengan Baik 1 Thn 1 Thn 1 Thn 386.640.000 463.968.000 KP2T Program Peningkatan Saranan dan Prasarana Aparatur 600.000.000 Rencana Program dan Kegiatan Prioritas Tahun 2015 BIDANG PEMERINTAHAN UMUM Lembar 31 dari 74
  • 217.
    SKPD Jenis KegKet Tolok Ukur Tolok Ukur Tolok Ukur 1/2/3 1/2/3 1/2/3 2 3 4 5 6 8 10 12 13 14 15 16 Nomor Urusan/Bidang Urusan Pemerintahan Daerah Dan Program/Kegiatan Prioritas Daerah Sasaran Daerah Lokasi Indikator kinerja Pagu Indikatif Prakiraan Maju Keterangan Hasil Program Keluaran Kegiatan Hasil Kegiatan Target Target Target 1 7 9 11 Pembangunan Tempat Parkir Depan dan Belakang Kantor Padangsidimpuan Pembangunan Tempat Parkir Depan dan Belakang Kantor 1 Thn 1 Thn 1 Thn 250.000.000 KP2T Pembangunan Papan Merk Kantor Padangsidimpuan Pembangunan Papan Merk Kantor 1 Thn 1 Thn 1 Thn 150.000.000 KP2T Pembangunan Pos Satpam Depan dan Belakang Kantor Padangsidimpuan Pembangunan Pos Satpam Depan dan Belakang Kantor 1 Thn 1 Thn 1 Thn 150.000.000 KP2T Pembangunan Petunjuk Arah Kantor Padangsidimpuan Pembangunan Petunjuk Arah Kantor 1 Thn 1 Thn 1 Thn 50.000.000 KP2T 2.561.900.000 2.558.357.000 P1 Program Pelayanan Administrasi Perkantoran 490.900.000 509.140.000 Penyediaan Jasa Komunikasi, Sumber Daya Air dan Listrik Padangsidimpuan Meningkatnya pelayanan perkantoran 1 Thn Tersedianya Komunikasi , listrik dan sumber daya air 1 Thn 35.000.000 33.000.000 Inspektorat Penyediaan Jasa Kebersihan Kantor Padangsidimpuan Meningkatnya pelayanan perkantoran 1 Thn Pembayaran Honorarium Petugas Kebersihan 1 Thn 22.000.000 24.000.000 Inspektorat Penyediaan Alat Tulis Kantor Padangsidimpuan Meningkatnya pelayanan perkantoran 1 Thn Pelaksanaan Penyediaan alat tulis kantor 1 Thn 37.000.000 40.000.000 Inspektorat Penyediaan Barang Cetakan dan Penggandaan Padangsidimpuan Meningkatnya pelayanan perkantoran 1 Thn Pelaksanaan Penyediaan Barang cetakan dan penggandaan 1 Thn 56.000.000 60.000.000 Inspektorat Penyediaan Komponen Instalasi Listrik/Penerangan Bangunan Kantor Padangsidimpuan Meningkatnya pelayanan perkantoran 1 Thn Tersedianya alat penerangan/elektronik Kantor 1 Thn 2.400.000 2.640.000 Inspektorat Penyediaan Peralatan Rumah Tangga Padangsidimpuan 1 Thn 1 Thn 3.500.000 3.500.000 Inspektorat Penyediaan bahan Bacaan dan Peraturan Perundang-undangan Padangsidimpuan Meningkatnya pelayanan perkantoran 1 Thn Tersedianya Bahan Bacaan dan Perundang-undangan 1 Thn 32.000.000 32.000.000 Inspektorat Penyediaan Makanan dan Minuman Padangsidimpuan Meningkatnya pelayanan perkantoran 1 Thn Adanya pembayaran makanan dan minuman bagi pegawai 1 Thn 32.000.000 32.000.000 Inspektorat Rapat-Rapat Koordinasi dan Konsultasi Ke Luar Daerah Padangsidimpuan Meningkatnya pelayanan perkantoran 1 Thn Pelaksanaan koordinasi dan konsultasi ke luar daerah 1 Thn 240.000.000 250.000.000 Inspektorat Penyediaan Jasa Keamanan Perkantoran Padangsidimpuan 1 Thn 1 Thn 31.000.000 32.000.000 Inspektorat Program Peningkatan Sarana dan Prasarana Aparatur 417.000.000 449.892.000 Pengadaan Perlengkapan Gedung Kantor Padangsidimpuan Peralatan Gedung Kantor 1 Keg Terpenuhinya pengadaan peralatan gedung kantor 1 Keg 100.000.000 110.000.000 Inspektorat Pengadaan Peralatan Gedung Kantor Padangsidimpuan Peralatan Gedung Kantor 1 Keg Terpenuhinya pengadaan peralatan gedung kantor 1 Keg 90.000.000 95.000.000 Inspektorat Pengadaan Mebeleur Padangsidimpuan Mebeleur 1 Unit terpenuhinya pengadaan mebeleur 1 Unit 92.000.000 101.200.000 Inspektorat Pemeliharaan rutin/berkala gedung kantor Padangsidimpuan 1 Thn 1 Thn 40.000.000 42.000.000 Inspektorat Pemeliharaan rutin/berkala peralatan gedung kantor Padangsidimpuan 1 Thn 1 Thn 20.000.000 25.000.000 Inspektorat Pemeliharaan Rutin/Berkala Kendaraan Dinas/Operasional Padangsidimpuan Kendaraan Dinas/Operasional 1Thn Pelaksanaan pemeliharaan kenderaan dinas 1Thn 75.000.000 76.692.000 Inspektorat Program Peningkatan Disiplin Aparatur 15.000.000 16.500.000 Rencana Program dan Kegiatan Prioritas Tahun 2015 BIDANG PEMERINTAHAN UMUM Lembar 32 dari 74
  • 218.
    SKPD Jenis KegKet Tolok Ukur Tolok Ukur Tolok Ukur 1/2/3 1/2/3 1/2/3 2 3 4 5 6 8 10 12 13 14 15 16 Nomor Urusan/Bidang Urusan Pemerintahan Daerah Dan Program/Kegiatan Prioritas Daerah Sasaran Daerah Lokasi Indikator kinerja Pagu Indikatif Prakiraan Maju Keterangan Hasil Program Keluaran Kegiatan Hasil Kegiatan Target Target Target 1 7 9 11 Pengadaan Pakaian Dinas Beserta Perlengkapannya Padangsidimpuan Tersedianya pakaian dinas PNS 27 Org Pelaksanaan pengadaan pakaian dinas 27 Org 15.000.000 16.500.000 Inspektorat Program Peningkatan Pengembangan Sistem Pelaporan Capaian Kinerja dan Keuangan 135.000.000 140.000.000 Penyusunan Laporan Capaian Kinerja Ikhtisar Realisasi Kinerja SKPD Padangsidimpuan Peningkatan kualitas dan kuantitas pelaporan 36 SKPD Penyusunan dan Pendataan LP2P PNS se- Pemko Padangsidimpuan 36 SKPD 135.000.000 140.000.000 Inspekorat Program Peningkatan Sistem Pengawasan internal dan pengendalian Pelaksanaan Kebijakan 744.000.000 735.500.000 Pelaksanaan Pengawasan Internal Secara Berkala Padangsidimpuan Pengawasan internal 51 obrik Terlaksananya Pemeriksaan Reguler 51 obrik 220.000.000 192.500.000 Inspekorat Penanganan Kasus Pengaduandi Lingkungan Pemerintah Daerah Padangsidimpuan Penganganan kasus-kasus di lingk. Pemda LHP Terlaksananya Pengawasan Pemeriksaan kasus/ khusus dan serah terima jabatan LHP 73.000.000 75.000.000 Inspekorat Pengendalian Manajemen Pelaksanaan Kebijakan KDH Padangsidimpuan Terlaksananya reviw keuangan Laporan Review Keuangan Laporan 60.000.000 70.000.000 Inspekorat Tindak Lanjut Hasil Temuan Pengawasan Padangsidimpuan Monitoring tindak lanjut hasil pemeriksaan LHP Melakukan Monitoring Tindak Lanjut Hasil Pemeriksaan LHP 175.000.000 180.000.000 Inspektorat Koordinasi Pengawasan yang lebih Komprehensif Padangsidimpuan Terlaksananya koordinasi/rakorwasnas 1 Thn Terlaksananya Koordinasi / Rakorwasnas 1 Thn 216.000.000 218.000.000 Inspektorat Program Peningkatan Profesionalisme Tenaga Pemeriksa dan Aparatur Pengawasan 760.000.000 707.325.000 Pelatihan Pengembangan Tenaga pemeriksa dan Aparatur Pengawasan Padangsidimpuan Terkirimnya pegawai melalui diklat dan sertifikasi 27 Org Meningkatnya Kualitas SDM Tenaga Pemeriksa dan aparatur Pengawasan 27 Org 130.000.000 127.325.000 Inspektorat Pelatihan Teknis Pengawasan dan Penilaian Akuntabilitas Kinerja Padangsidimpuan Terlaksananya PKS teknis pemeriksaan dan pelaporan 27 Org Terlaksananya Pelatihan Teknis Pemeriksaan dan Pelaporan 27 Org 630.000.000 580.000.000 Inspektorat 71.250.000 78.375.000 P2 Program Peningkatan Sistem Pengawasan Internal dan Pengendalian Pelaksanaan Kebijakan KDH 71.250.000 78.375.000 Pengendalian Manajemen Pelaksanaan Kebijakan KDH Padangsidimpuan 1 Keg Terlaksananya Kerjasama dengan BPKP untuk penyelenggaraan Sosialisasi SPIP di Lingkungan Pemerintah Kota Padangsidimpuan 1 Keg 71.250.000 78.375.000 Inspektorat 2.628.398.400 2.669.398.400 P1 Program Pelayanan Administrasi Perkantoran 821.898.400 823.898.400 Penyediaan Jasa Komunikasi, Sumber Daya Air dan Listrik Padangsidimpuan Meningkatnya pelayanan perkantoran 1 Thn Jasa Komunikasi, Sumber Daya Air dan Listrik 1 Thn Tersedianya Jasa Komunikasi, Sumber Daya Air dan Listrik 1 Thn 62.000.000 62.000.000 BKD Penyediaan Jasa Kebersihan Kantor Padangsidimpuan Meningkatnya pelayanan perkantoran 1 Thn Jasa Kebersihan Kantor 1 Thn Tersedianya Jasa Kebersihan Kantor 1 Thn 22.600.000 22.600.000 BKD Rencana Program dan Kegiatan Prioritas Tahun 2015 BIDANG PEMERINTAHAN UMUM Lembar 33 dari 74
  • 219.
    SKPD Jenis KegKet Tolok Ukur Tolok Ukur Tolok Ukur 1/2/3 1/2/3 1/2/3 2 3 4 5 6 8 10 12 13 14 15 16 Nomor Urusan/Bidang Urusan Pemerintahan Daerah Dan Program/Kegiatan Prioritas Daerah Sasaran Daerah Lokasi Indikator kinerja Pagu Indikatif Prakiraan Maju Keterangan Hasil Program Keluaran Kegiatan Hasil Kegiatan Target Target Target 1 7 9 11 Penyediaan Alat Tulis Kantor Padangsidimpuan Meningkatnya pelayanan perkantoran 1 Thn Alat Tulis Kantor 1 Thn Tersedianya Alat Tulis Kantor 1 Thn 66.157.650 66.157.650 Penyediaan Barang Cetakan dan Penggandaan Padangsidimpuan Meningkatnya pelayanan perkantoran 1 Thn Barang Cetakan dan Penggandaan 1 Thn Tersedianya Barang Cetakan dan Penggandaan 1 Thn 39.404.750 39.404.750 BKD Penyediaan Peralatan dan Perlengkapan Kantor Padangsidimpuan Meningkatnya pelayanan perkantoran 1 Thn Peralatan dan Perlengkapan Kantor 1 Thn Tersedianya Peralatan dan Perlengkapan Kantor 1 Thn 110.000.000 112.000.000 BKD Penyediaan Peralatan rumah tangga Padangsidimpuan Meningkatnya pelayanan perkantoran 1 Thn Peralatan rumah tangga 1 Thn Tersedianya Peralatan rumah tangga 1 Thn 11.000.000 11.000.000 BKD Penyediaan Bahan Bacaan dan Perundang- undangan Padangsidimpuan Meningkatnya pelayanan perkantoran 1 Thn Bahan Bacaan dan Perundang-undangan 1 Thn Tersedianya Bahan Bacaan dan Perundang-undangan 1 Thn 20.000.000 20.000.000 BKD Penyediaan Makanan dan Minuman Padangsidimpuan Meningkatnya pelayanan perkantoran 1 Thn Makanan dan Minuman 1 Thn Tersedianya Makanan dan Minuman 1 Thn 98.736.000 98.736.000 BKD Rapat-Rapat Koordinasi dan Konsultasi Ke Luar Daerah Padangsidimpuan Meningkatnya pelayanan perkantoran 336 hari Rapat-Rapat Koordinasi dan Konsultasi Ke Luar Daerah 336 hari Rapat-Rapat Koordinasi dan Konsultasi Ke Luar Daerah 336 hari 320.000.000 320.000.000 BKD Penyediaan jasa keamanan kantor Padangsidimpuan 336 hari 336 hari 336 hari 32.000.000 32.000.000 BKD Penyediaan jasa administrasi perkantoran Padangsidimpuan Meningkatnya pelayanan perkantoran 1 Thn jasa administrasi perkantoran 1 Thn Tersedianya jasa administrasi perkantoran 1 Thn 40.000.000 40.000.000 BKD Program Peningkatan Sarana dan Prasarana Aparatur 96.000.000 98.500.000 Pemeliharaan rutin /berkala kenderaan dinas operasional Padangsidimpuan 68.000.000 70.000.000 BKD Pemeliharaan rutin/ berkala gedung/ kantor Padangsidimpuan 1 Thn Tersedianaya Pemeliharaan gedung/ kantor 1 Thn Terlaksananya Pemeliharaan rutin/ berkala gedung/ kantor 1 Thn 12.000.000 12.000.000 BKD Pemeliharaan rutin/ berkala peralatan gedung/ kantor Padangsidimpuan 1 Thn Tersedianaya Peralatan gedung/ kantor 1 Thn Terlaksananya Peralatan rutin/ berkala gedung/ kantor 1 Thn 16.000.000 16.500.000 BKD Program Peningkatan Disiplin Aparatur 54.500.000 56.000.000 Pengadaan Pakaian Dinas Beserta Perlengkapannya Padangsidimpuan 1 Keg 1 Keg 1 Keg 26.500.000 27.000.000 BKD Pengadaan Pakaian Khusus hari-hari tertentu Padangsidimpuan 1 Keg 1 Keg 1 Keg 28.000.000 29.000.000 BKD Program Peningkatan Kapasitas Sumber Daya Aparatur 1.000.000.000 1.015.000.000 Pendidikan dan Pelatihan Formal Padangsidimpuan 1 Thn 1 Thn 1 Thn 770.000.000 780.000.000 BKD Pendidikan dan pelatihan Prajabatan bagi Calon PNS Daerah Padangsidimpuan 1 Thn 1 Thn 1 Thn 120.000.000 120.000.000 BKD Sosialisasi Peratuaran Pemerintah No 46 Tahun 2011 tentang sasaran kerja pegawai (PNS) Padangsidimpuan 1 Thn 1 Thn 1 Thn 110.000.000 115.000.000 BKD Program Pembinaan dan Pengembangan Aparatur 656.000.000 676.000.000 Penyusunan Rencana Pembinaan Karir PNS Padangsidimpuan 6 Keg 6 Keg 6 Keg 95.000.000 100.000.000 BKD Proses Penanganan kasus-kasus Pelanggaran Disiplin PNS 6 Keg 6 Keg 6 Keg 65.000.000 66.000.000 BKD Penyusunan Daftar Urut Kepangkatan (DUK) Padangsidimpuan 1 Thn 1 Thn 1 Thn 40.000.000 40.000.000 BKD Rencana Program dan Kegiatan Prioritas Tahun 2015 BIDANG PEMERINTAHAN UMUM Lembar 34 dari 74
  • 220.
    SKPD Jenis KegKet Tolok Ukur Tolok Ukur Tolok Ukur 1/2/3 1/2/3 1/2/3 2 3 4 5 6 8 10 12 13 14 15 16 Nomor Urusan/Bidang Urusan Pemerintahan Daerah Dan Program/Kegiatan Prioritas Daerah Sasaran Daerah Lokasi Indikator kinerja Pagu Indikatif Prakiraan Maju Keterangan Hasil Program Keluaran Kegiatan Hasil Kegiatan Target Target Target 1 7 9 11 Pelaksanaan Sumpah Janji PNS Padangsidimpuan 1 Thn 1 Thn 1 Thn 24.000.000 24.000.000 BKD Pemuktahiran/ pemerajaan database kepegawaian Padangsidimpuan 1 Thn 1 Thn 1 Thn 30.000.000 32.000.000 BKD Pengusulan dan Penyelesaian kenaikan Pangkat PNS Padangsidimpuan 2 Keg 2 Keg 2 Keg 32.000.000 32.000.000 BKD Sosialisasi Pembekalan Calon Pensiun PNS Padangsidimpuan 2 Keg 2 Keg 2 Keg 90.000.000 92.000.000 BKD Sosialisasi Bahay narkoba dan test urine PNS Padangsidimpuan 2 Keg 2 Keg 2 Keg 280.000.000 290.000.000 BKD 647.751.600 647.751.600 P2 Program Peningkatan Kapasitas Sumber Daya Aparatut 300.000.000 300.000.000 Diklat Bendahara Pengeluaran Dalam danLuar Daerah 1 Thn Tersedianya PNS yang siap membidangi pengeluaran 1 Thn Terpenuhinya PNS sebagai pengelola keuangan 1 Thn 150.000.000 150.000.000 BKD Diklat Pengurus Barang Dalam danLuar Daerah 1 Thn Tersedianya PNS yang siap membidangi barang 1 Thn 1 Thn 150.000.000 150.000.000 BKD Program Pelayanan Administrasi Perkantoran 74.179.600 74.179.600 Penyediaan Jasa Pemeliharaan dan Perijinan Kendaraan Dinas Operasioanl Padangsidimpuan Meningkatnya pelayanan perkantoran 1 Thn s 1 Thn Tersedianya Jasa Pemeliharaan dan Perijinan Kendaraan Dinas Operasioanl 1 Thn 74.179.600 74.179.600 BKD Program Peningkatan Sarana dan Prasarana Aparatur 146.730.000 146.730.000 Pengadaan mebeleur Padangsidimpuan 1 Thn Tersedianya mebeleur 1 Thn Terlaksananya Pengadaan mebeleur 1 Thn 26.730.000 26.730.000 BKD Pengadaan Konstruksi/ pembelian bangunan Padangsidimpuan 1 Thn Tersedianya Pengadaan Konstruksi/ pembelian bangunan 1 Thn Terlaksananya Pengadaan Konstruksi/ pembelian bangunan 1 Thn 103.000.000 103.000.000 BKD Pemeliharaan rutin/ berkala peralatan gedung kantor Padangsidimpuan 1 Thn Tersedianya Pemeliharaan peralatan gedung kantor 1 Thn Terlaksananya Pemeliharaan rutin/ berkala peralatan gedung kantor 1 Thn 17.000.000 17.000.000 BKD Program Pembinaan dan Pengembangan Aparatur 126.842.000 126.842.000 Pelaksanaan Monitoring/ Operasi sayang PNS Padangsidimpuan 1 Keg 1 Keg 1 Keg 26.120.000 26.120.000 BKD Pelaksanaan Kenaikan Pangkat penyesuaian Ijasah Padangsidimpuan 1 Thn 1 Thn 1 Thn 23.518.500 23.518.500 BKD Sosialisasi Peraturan Tentang Kepegawaian Padangsidimpuan 1 Thn 1 Thn 1 Thn 77.203.500 77.203.500 BKD 1.982.944.800 1.991.400.000 P1 Program Pelayanan Administrasi Perkantoran 1.216.900.800 1.565.900.000 Penyediaan Jasa Surat Menyurat Kantor Camat Meningkatnya Pelayanan Perkantoran Terbayarnya Honor Kepling, Petugas Kebersihan dan Keamanan 53 org Kepling, Petugas Kebersihan dan keamanan sejahtera 53 org 0 526.800.000 Ktr. Camat Psp. Utara penyediaan peralatan rumah tangga 6.000.000 Penyediaan Jasa Komunikasi, Sumber Daya Air dan Listrik Kantor Camat Meningkatnya Pelayanan Perkantoran Tersedianya jasa komunikasi, sumber daya air dan listrik 1 Thn Terlaksananya jasa komunikasi sumber daya air dan listrik 17 Ktr 27.620.800 28.000.000 Ktr. Camat Psp. Utara Penyediaan Peralatan dan Perlengkapan Kantor Kantor Camat dan Kantor Lurah Meningkatnya Pelayanan Perkantoran Terselenggaranya penyediaan peralatan dan perlengkapan kantor 1 Thn Tercukupinya penyediaan peralatan dan perlengkapan kantor 1 Thn 159.000.000 175.000.000 Ktr. Camat Psp. Utara penyediaan jasa keamanan kantor 21.500.000 Penyediaan Jasa Kebersihan Kantor Kantor Camat Meningkatnya Pelayanan Perkantoran Tersedianya jasa kebersihan kantor 1 Thn Terpenuhinya peralatan kebersihan kantor dan honorarium petugas 1 Thn 13.900.000 15.500.000 Ktr. Camat Psp. Utara Rencana Program dan Kegiatan Prioritas Tahun 2015 BIDANG PEMERINTAHAN UMUM Lembar 35 dari 74
  • 221.
    SKPD Jenis KegKet Tolok Ukur Tolok Ukur Tolok Ukur 1/2/3 1/2/3 1/2/3 2 3 4 5 6 8 10 12 13 14 15 16 Nomor Urusan/Bidang Urusan Pemerintahan Daerah Dan Program/Kegiatan Prioritas Daerah Sasaran Daerah Lokasi Indikator kinerja Pagu Indikatif Prakiraan Maju Keterangan Hasil Program Keluaran Kegiatan Hasil Kegiatan Target Target Target 1 7 9 11 Penyediaan Alat Tulis Kantor Kantor Camat dan Kantor Lurah Meningkatnya Pelayanan Perkantoran Tersedianya Alat Tulis Kantor 17 kantor Terpenuhinya penyediaan Alat Tulis Kantor 17 kantor 44.000.000 45.500.000 Ktr. Camat Psp. Utara Penyediaan Barang Cetakan dan Penggandaan Kantor Camat dan Kantor Lurah Meningkatnya Pelayanan Perkantoran Terselenggaranya penyediaan barang cetakan dan penggandaan 1 Thn Tercukupinya penyediaan barang cetakan dan penggandaan 1 Thn 23.000.000 27.000.000 Ktr. Camat Psp. Utara Penyediaan Komponen Instalasi Listrik/Penerangan Bangunan Kantor Kantor Camat Meningkatnya Pelayanan Perkantoran Tersedianya komponen instalasi listrik/penerangan bangunan kantor 1 Thn Instalasi listrik dan penerangan bangunan kantor semakin baik 1 Thn 1.880.000 2.300.000 Ktr. Camat Psp. Utara Penyediaan Bahan Bacaan dan Peraturan Perundang-undangan Kantor Camat Meningkatnya Pelayanan Perkantoran Tersedianya Bahan bacaan yang mendukung kinerja pegawai 1 Thn Adanya bahan bacaan untuk meningkatkan pengetahuan pegawai 1 Thn 18.000.000 15.000.000 Ktr. Camat Psp. Utara Penyediaan Makanan dan Minuman Kantor Camat dan Kantor Lurah Meningkatnya Pelayanan Perkantoran Tersedianya uang makan dan minum pegawai 145org Terbayarkannya uang makan dan minum harian pegawai 150 org 360.000.000 594.000.000 Ktr. Camat Psp. Utara rapat rapat koordinasi dan konsultasi ke dalam daerah 36.500.000 Rapat-rapat Koordinasi dan Konsultasi ke Luar Daerah Kantor Camat dan Kantor Lurah Meningkatnya Pelayanan Perkantoran Terselenggaranya kegiatan rapat koordinasi dan konsultasi pegawai 1 Thn Kegiatan rapat koordinasi dan konsultasi untuk menunjang kinerja Pegawai terlaksana dengan baik 1 Thn 65.500.000 123.000.000 Ktr. Camat Psp. Utara Penyediaan Jasa Administrasi Perkantoran Kantor Camat Meningkatnya Pelayanan Perkantoran Tersedianya jasa administrasi perkantoran 1 thn Kinerja pegawai semakin meningkat dan pelayanan lebih baik 1 thn 440.000.000 13.800.000 Ktr. Camat Psp. Utara Program Peningkatan Sarana dan Prasarana Aparatur 411.000.000 98.500.000 Pemeliharaan Rutin/Berkala gedung kantor Kantor Camat dan Kantor Lurah Peningk. Kualitas/Kuantitas Sarana Pra Sarana Tersedianya pemeliharaan rutin/berkala gedung kantor 17 Ktr Terawatnya gedung dan fasilitas kantor lainnya 2 Ktr 29.500.000 20.000.000 Ktr. Camat Psp. Utara pengadaan kenderaan dinas/operasional 235.000.000 pengadaan peralatan gedung kantor 91.000.000 pengadaan perlengkapan gedung kantor 11.500.000 Pemeliharaan Rutin/Berkala Kenderaan Dinas/Operasional Kantor Camat Peningk. Kualitas/Kuantitas Sarana Pra Sarana Tersedianya pemeliharaan rutin/berkala kenderaan dinas/operasional 1 Thn Kenderaan Dinas/Operasional dapat dipergunakan dengan baik 1 Thn 36.000.000 46.000.000 Ktr. Camat Psp. Utara Pemeliharaan Rutin/Berkala Peralatan Gedung Kantor Kantor Camat dan Kantor Lurah Peningk. Kualitas/Kuantitas Sarana Pra Sarana Tersedianya pemeliharaan untuk peralatan kantor 53 Unit Peralatan kantor dapat terpelihara dengan baik untuk menunjang kinerja Pegawai 58 Unit 8.000.000 32.500.000 Ktr. Camat Psp. Utara Program Peningkatan Disiplin Aparatur 1 Thn 50.000.000 60.000.000 Pengadaan Pakaian Khusus Hari-hari tertentu Kantor Camat dan Kantor Lurah Tersedianya pakaian khusus hari-hari tertentu 140 Orang Keseragaman pakaian aparatur Kecamatan dan Kelurahan 150 Org 50.000.000 Ktr. Camat Psp. Utara Pengadaan Pakaian Dinas Beserta Perlengkapan- 140 Orang 150 Org 0 60.000.000 Ktr. Camat Psp. Utara Program Peningkatan Kapasitas Sumber Daya Aparatur 1 Thn 70.000.000 29.000.000 Rencana Program dan Kegiatan Prioritas Tahun 2015 BIDANG PEMERINTAHAN UMUM Lembar 36 dari 74
  • 222.
    SKPD Jenis KegKet Tolok Ukur Tolok Ukur Tolok Ukur 1/2/3 1/2/3 1/2/3 2 3 4 5 6 8 10 12 13 14 15 16 Nomor Urusan/Bidang Urusan Pemerintahan Daerah Dan Program/Kegiatan Prioritas Daerah Sasaran Daerah Lokasi Indikator kinerja Pagu Indikatif Prakiraan Maju Keterangan Hasil Program Keluaran Kegiatan Hasil Kegiatan Target Target Target 1 7 9 11 Pendidikan dan Pelatihan Formal Kantor Camat Tersedianya pendidikan dan pelatihan formal untuk menunjang kinerja 1 Thn Pengetahuan aparatur meningkat untuk menunjang kinerja 1 Thn 70.000.000 29.000.000 Ktr. Camat Psp. Utara Program Peningkatan Pengembangan Sistem Pelaporan Capaian Kinerja dan Keuangan 1 Thn 23.044.000 19.500.000 Penyusunan Laporan Capaian Kinerja dan Ikhtisar Realisasi Kinerja SKPD Kantor Camat Peningkatan Kulaitas dan Kuantiotas Pelaporan Tersedianya kegiatan laporan capaian kinerja dan ikhtisar kinerja 7 org Laporan capaian kinerja dan ikhtisar realisasi kinerja tersusun dan terkirim tepat waktu 7 org 6.200.000 5.500.000 Ktr. Camat Psp. Utara Penyusunan Pelaporan Keuangan Akhir Tahun Kantor Camat Peningkatan Kulaitas dan Kuantiotas Pelaporan Tersedianya dana penyusunan pelaporan keuangan akhir tahun 7 org Laporan keuangan tersusun dan dapat dikirim tepat waktu 7 org 6.844.000 7.000.000 Ktr. Camat Psp. Utara Penyusunan Laporan, Rencana Kinerja dan Anggaran Kantor Camat Peningkatan Kulaitas dan Kuantiotas Pelaporan Tersedianya dana penyusunan laporan, Rencana Kinerja dan Anggaran 7 org Rencana Kinerja dan Anggaran dapat dilaporkan tepat waktu 7 org 10.000.000 7.000.000 Ktr. Camat Psp. Utara Program Perencanaan Pembangunan Daerah Tertampungnya aspirasi dari masyarakat untuk pembangunan 30.000.000 32.000.000 Penyelenggaraan Musrenbang Kecamatan Kantor Camat dan Kantor Lurah Terlaksananya Musrenbang Tingkat Kelurahan dan Kecamatan 1 Thn Tertampungnya dana untuk musrenbang Kecamatan dan Kelurahan 17 kantor Usulan-usulan dari masyarakat dapat tertampung untuk pembangunan 17 kantor 30.000.000 32.000.000 Ktr. Camat Psp. Utara Program Peringatan Hari-hari Besar Nasional, Daerah dan Keagamaan Kesadaran dalam memperingati Hari-hari Besar Nasional, Daerah dan Keagamaan meningkat 1 Thn 33.000.000 43.000.000 Pelaksanaan HUT Pemko Terlaksananya HUT PEMKO 1 keg 1 keg 16.000.000 25.000.000 Pelaksanaan Festival Nasyid Kantor Camat dan Kantor Lurah Terlaksananya Festival Nasyid 1 keg Meningkatkan Syiar Agama Islam melalui lagu-lagu religi 1 keg 17.000.000 18.000.000 Ktr. Camat Psp. Utara Program Peningkatan Kualitas Pelayanan Publik 71.500.000 75.000.000 Percepatan Penerapan Pelayanan Administrasi Terpadu ( PATEN ) Tersedianya Pelayanan Administrasi Terpadu ( PATEN ) 71.500.000 75.000.000 Ktr. Camat Psp. Utara Program Pengembangan Kemasyarakatan Terwujudnya SDM Masyarakat yang semakin baik 1 Thn 77.500.000 68.500.000 Pengembangan Kebudayaan Masyarakat Kantor Camat dan Kantor Lurah Terkembangkannya kinerja anggota PKK 1 Thn Kegiatan PKK Kecamatan semakin lancar dan dapat dilaksanakan 1 Thn 20.000.000 24.500.000 Ktr. Camat Psp. Utara festival nasid 14.500.000 MTQ Tingkat Kecamatan Kantor Camat dan Kantor Lurah Terselenggaranya MTQ Tingkat Kecamatan 40 org Semakin meningkatnya kecintaan masyarakat terhadap Al-Qur'an 40 org 43.000.000 44.000.000 Ktr. Camat Psp. Utara 2.139.395.000 1.864.313.909 P1 Program Pelayanan Adminstrasi Perkantoran Kantor Camat Meningkatnya Pelayanan Perkantoran 1 Thn 1.422.400.000 1.300.503.059 Penyediaan Jasa komunikasi,Sumber Daya Air dan Listrik Kantor Camat Meningkatnya Pelayanan Perkantoran Tersedianya jasa Komunikasi, Sumber Daya Air dan Listrik 1 Thn Terlaksananya jasa komunikasi,sumber daya air dan listrik 1 Thn 46.500.000 41.712.000 Ktr Camat Psp selatan Penyedia jasa Kebersihan kantor Kantor Camat Meningkatnya Pelayanan Perkantoran Tersedianya Jasa kebersihan kantor 1 Thn Terpenuhinya peralatan kebersihan kantor 1 Thn 11.500.000 12.000.000 Ktr Camat Psp selatan Penyediaan jasa Perbaikan Peralatan Kantor Kantor Camat Meningkatnya Pelayanan Perkantoran Terrsedianyan jasa perbaikan pralatan kantor 1 Thn Terlaksananya perbaikan peralatan kantor 1 Thn 20.000.000 15.930.090 Ktr Camat Psp selatan Rencana Program dan Kegiatan Prioritas Tahun 2015 BIDANG PEMERINTAHAN UMUM Lembar 37 dari 74
  • 223.
    SKPD Jenis KegKet Tolok Ukur Tolok Ukur Tolok Ukur 1/2/3 1/2/3 1/2/3 2 3 4 5 6 8 10 12 13 14 15 16 Nomor Urusan/Bidang Urusan Pemerintahan Daerah Dan Program/Kegiatan Prioritas Daerah Sasaran Daerah Lokasi Indikator kinerja Pagu Indikatif Prakiraan Maju Keterangan Hasil Program Keluaran Kegiatan Hasil Kegiatan Target Target Target 1 7 9 11 Penyediaan Alat Tulis Kantor Kantor camat dan Kelurahan Meningkatnya Pelayanan Perkantoran Tersedianya Alat Tulis Kantor 1 Thn Terpenuhinya penyediaan alat tulis kantor 1 Thn 115.500.000 62.889.629 Ktr Camat Psp selatan Penyediaan Barang Cetakan dan Penggandaan Kantor camat dan Kelurahan Meningkatnya Pelayanan Perkantoran Terselerggaranya penyediaan barang cetakan dan penggandaan 1 Thn Tercukupinya penyediaan barang cetakan dan penggandaan 1 Thn 38.500.000 35.571.140 Ktr Camat Psp selatan Penyediaan Komponen Instalasi Listrik/Penerangan Bangunan Kantor Kantor Camat Meningkatnya Pelayanan Perkantoran Tersedianya komponen Instalasi Listrik/Penerangan Bangunan Kantor 1 Thn Instalasi listrik dan penerangan bangunan kantor semakin baik 1 Thn 5.500.000 5.230.500 Ktr Camat Psp selatan Penyediaan Peralatan dan Perlengkapan Kantor Kantor camat dan Kelurahan Meningkatnya Pelayanan Perkantoran Penyediaan Peralatan dan Perlengkapan Kantor 1 Thn Tercukupinya Penyediaan Peralatan dan Perlengkapan Kantor 1 Thn 225.600.000 27.282.200 Ktr Camat Psp selatan Penyediaan Makanan dan Miunuman Kantor camat dan Kelurahan Meningkatnya Pelayanan Perkantoran Tersedianya uang makan dan minum pegawai 115 org Terbayarkannya uang makan dan minum pegawai 115 org 300.000.000 349.537.500 Ktr Camat Psp selatan rapat-rapat koordinasi dan Konsultasi ke dalam daerah 41.500.000 Rapat-rapat Koordinasi dan Konsultasi ke luar Daerah Kantor camat dan Kelurahan Meningkatnya Pelayanan Perkantoran Terselenggaranya kegiatan rapat koordinasi dan konsultasi pegawai 1 Thn Menunjang kinerja pegawai terlaksana dengan baik 1 Thn 75.500.000 128.150.000 Ktr Camat Psp selatan Penyedia jasa keamanan Kantor Kantor Camat Meningkatnya Pelayanan Perkantoran Tersedianyan Jasa keamanan kantor 1 Thn Terpenuhinya peralatan kemanan kantor 1 Thn 21.500.000 27.000.000 Ktr Camat Psp selatan Penyediaan jasa administrasi perkantoran Kantor Camat Meningkatnya Pelayanan Perkantoran Tersedianyan Jasa admintrasi perkantoran 62 org Terpenuhinya Jasa admintrasi perkantoran 62 org 520.800.000 595.200.000 Ktr Camat Psp selatan Program Peningkatan Sarana dan Prasarana Aparatur Sarana dan prasarana Aparatur yang memadai Terawatnya fasilitas perkantoran Sarana dan Prasarana yang menunjang kinerja semakin baik 1 Thn 356.010.000 135.761.000 Pengadaan Perlengkapan Gedung Kantor Kantor camat dan Kelurahan Peningk. Kualitas/Kuantitas Sarana Pra Sarana Tersedianya Pengadaan Perlengkapan Gedung Kantor 13 ktr Terpenuhinya kebutuhan perlengkapan kantor 13 ktr 10.000.000 0 Ktr Camat Psp selatan Pemeliharaan Rutin/Berkala Gedung Kantor Kantor camat dan Kelurahan Peningk. Kualitas/Kuantitas Sarana Pra Sarana Tersedianya pemeliharaan rutin/berkala gedung kantor 13 ktr Terawatnya gedung dan fasilitas kantor lainnya 13 ktr 3.500.000 100.000.000 Ktr Camat Psp selatan Pemeliharaan Rutin/Berkala Kendaraan Dinas/Operasional Kantor Camat Peningk. Kualitas/Kuantitas Sarana Pra Sarana Tesedianya Pemeliharaan Rutin/Berkala Kendaraan Dinas/Operasional 1 Thn Kendaraan Dinas/Operasional dapat dipergunakan dengan baik 1 Thn 32.510.000 35.761.000 Ktr Camat Psp selatan Pengadaan Pertapakan kantor Kantor camat dan Kelurahan Peningk. Kualitas/Kuantitas Sarana Pra Sarana Tersedianya tanah pertapakan kantor Terawatnya Peralatan Kantor 310.000.000 0 Ktr Camat Psp selatan Program Peningkatan Disiplin Aparatur Disiplin Aparatur semakin membaik 1 Thn 1 Thn 8.100.000 61.500.000 Pengadaan Pakaian Khusus Hari-hari tertentu Kantor camat dan Kelurahan Tesedianya pakaian khusus hari-hari tertentu 130 org Keseragaman pakaian aparatur kecamatan dan kelurahan 130 org 5.500.000 58.500.000 Ktr Camat Psp selatan Pengadaan Pakaian Dinas Beserta Perlengkapannya 130 org 130 org 2.600.000 3.000.000 Ktr Camat Psp selatan Program Peningkatan Kapasitas Sumber Daya Aparatur Kemampuan aparatur meningkat 1 Thn 1 Thn 80.500.000 20.000.000 Bimbingan Teknis Implementasi Peraturan Perundang-undangan Kantor Camat Tersedianya Pendidikan dan pelatihan formal 1 Thn Pengtahuan Aparatur meningkat 1 Thn 80.500.000 20.000.000 Ktr Camat Psp selatan Program Peningkatan Pengembangan Sistem Pelaporan Capaian Kinerja dan Keuangan Laporan-laporan kinerja dan keuangan semakin membaik 1 Thn 7.400.000 10.445.600 Rencana Program dan Kegiatan Prioritas Tahun 2015 BIDANG PEMERINTAHAN UMUM Lembar 38 dari 74
  • 224.
    SKPD Jenis KegKet Tolok Ukur Tolok Ukur Tolok Ukur 1/2/3 1/2/3 1/2/3 2 3 4 5 6 8 10 12 13 14 15 16 Nomor Urusan/Bidang Urusan Pemerintahan Daerah Dan Program/Kegiatan Prioritas Daerah Sasaran Daerah Lokasi Indikator kinerja Pagu Indikatif Prakiraan Maju Keterangan Hasil Program Keluaran Kegiatan Hasil Kegiatan Target Target Target 1 7 9 11 Penyusunan laporan Capaian Kinerja dan Ikhtisar Realisasi Kinerja SKPD Kantor Camat Tersedianya kegiatan laporan capaian kinerja dan ikhtisar kinerja 1 Thn Laporan capaian kinerja dan ikhtisar tersusun dan terkirim tepat waktu 1 Thn 2.000.000 1.874.400 Ktr Camat Psp selatan Penyusunan Pelaporan Keuangan Semester Kantor Camat Tersedianya dana penyusunan pelaporan 1 Thn Laporan tersusun dgn baik dan dapat dikirim tepat waktu 1 Thn 1.800.000 1.914.000 Ktr Camat Psp selatan Penyusunan Pelaporan Keuangan Akhir Tahun Kantor Camat Tersedianya dana penyusunan pelaporan 1 Thn Laporan tersusun dgn baik dan dapat dikirim tepat waktu 1 Thn 1.800.000 1.914.000 Ktr Camat Psp selatan Penyusunan Laporan, Rencana Kinerja dan Anggaran Kantor Camat Tersedianya dana penyusunan pelaporan 1 Thn Laporan tersusun dgn baik dan dapat dikirim tepat waktu 1 Thn 1.800.000 4.743.200 Ktr Camat Psp selatan Program Perencanaan Pembangunan Daerah Tertampungnya aspirasi dari masyarakat untuk pembangunan 1 Thn 35.500.000 35.000.000 Penyelenggaraan Musrenbang Kecamatan Kantor camat dan Kelurahan Terlaksananya Musrenbang Tingkat Kelurahan dan Kecamatan Tertampungnya dana untuk musrembang kecamatan dan kelurahan 13 kegiatan Usulan-usulan dari masyarakat dapat tertampung untuk pembangunan 13 kegiatan 35.500.000 35.000.000 Ktr Camat Psp selatan Program Peningkatan Semangat Gotong Royong 22.560.000 28.750.000 Peningkatan Semangat Gotong Royong Terlaksananya Gotong Royong 12 kelurahan 12 kelurahan 22.560.000 28.750.000 Ktr Camat Psp selatan Program Peringatan Hari-hari Besar Nasional, Daerah dan Keagamaan Meningkatnya Kesadaran dalam memperingati hari- hari besar nasional,daerah dan keagamaan 1 Thn 61.925.000 57.115.500 Ktr Camat Psp selatan Pelaksanaan Maulid Nabi Muhammad SAW Kantor Camat Meningkatan Kecintaan Terhadap Nabi Besar Tersedianya dana Pelaksanaan Maulid Nabi Muhammad SAW 1 kali Meningkatnya kecintaan kepada Nabi Mhammmad SAW 1 kali 8.462.500 9.308.750 Ktr Camat Psp selatan Pelaksanaan Isra Mi’raj Nabi Muhammmad SAW Kantor Camat Meningkatan Kecintaan Terhadap Nabi Besar Tersedianya dana Pelaksanaan Isra Mi’raj Nabi Muhammmad SAW 1 kali Menambah Keimanan dan ketaqwaan 1 kali 8.462.500 9.308.750 Ktr Camat Psp selatan Pelaksanaan HUT Pemko Meningkatnya kekompakan masyarakat 1 kali 1 kali 1 kali 45.000.000 38.498.000 Program Pengembangan Kemasyarakatan Terlaksananya program pengembangan kemasyarakatan 1 Thn 112.500.000 115.238.750 Pengembangan Kebudayaan Masyarakat Peningkatan Pengembangan yang berhubungan dengan masyarakat Terlaksananya pembinaan terhadap kelompok nasyid 12 kelurahan Tercapainya prestasi yang menggembirakan 12 kelurahan 43.500.000 20.740.500 Ktr Camat Psp selatan Pengembangan Kemasyarakatan Peningkatan Pengembangan yang berhubungan dengan masyarakat Terlaksananya kegiatan Tim Penggerak PKK 12 kelurahan Tercapainya tujuan kegiatan Tim Penggerak PKK 12 kelurahan 19.500.000 25.850.000 Ktr Camat Psp selatan MTQ Tingkat Kecamatan Terlaksananya kegiatan MTQ Tingkat Kecamatan 1 kali Adanya Qori maupun Qoriah yang berprestasi 1 kali 49.500.000 68.648.250 Ktr Camat Psp selatan Program Peningkatan Kualitas Pelayanan Publik 32.500.000 100.000.000 Percepatan Penerapan Pelayanan Administrasi Terpadu Kecamatan ( PATEN ) Tersedianya Pelayanan Administrasi Terpadu ( PATEN ) 1 Thn 1 Thn 32.500.000 100.000.000 Ktr Camat Psp selatan 1.792.000.000 P1 Program Pelayanan Administrasi Perkantoran Kantor Camat Padangsidimpuan Tenggara Terwujudnya pelayanan yang prima kepada masyarakat 1.210.000.000 - Rencana Program dan Kegiatan Prioritas Tahun 2015 BIDANG PEMERINTAHAN UMUM Lembar 39 dari 74
  • 225.
    SKPD Jenis KegKet Tolok Ukur Tolok Ukur Tolok Ukur 1/2/3 1/2/3 1/2/3 2 3 4 5 6 8 10 12 13 14 15 16 Nomor Urusan/Bidang Urusan Pemerintahan Daerah Dan Program/Kegiatan Prioritas Daerah Sasaran Daerah Lokasi Indikator kinerja Pagu Indikatif Prakiraan Maju Keterangan Hasil Program Keluaran Kegiatan Hasil Kegiatan Target Target Target 1 7 9 11 Penyediaan Jasa Surat Menyurat Meningkatnya Pelayanan Perkantoran Gaji Kades/Perangkat Desa 18 desa/kelur ahan 14.500.000 - Ktr Camat Psp Tenggara Penyediaan Jasa Komunikasi, Sumber Daya Air dan Listrik Meningkatnya Pelayanan Perkantoran Dana listrik, telepon dan surat kabar 1 Thn 38.500.000 - Ktr Camat Psp Tenggara Penyediaan jasa administrasi keuangan 1 Thn 13.000.000 Ktr Camat Psp Tenggara Penyediaan Jasa Kebersihan Kantor Meningkatnya Pelayanan Perkantoran Alat kebersihan dan honorarium THL 1 Thn 48.500.000 - Ktr Camat Psp Tenggara Penyediaan Jasa Perbaikan Peralatan Kerja Meningkatnya Pelayanan Perkantoran Dana perbaikan peralatan kantor 1 Thn 17.500.000 - Ktr Camat Psp Tenggara Penyediaan Alat Tulis Kantor Meningkatnya Pelayanan Perkantoran ATK Kantor 1 Thn 34.000.000 - Ktr Camat Psp Tenggara Penyediaan Barang Cetakan dan Penggandaan Meningkatnya Pelayanan Perkantoran Blangko/formulir PBB/Kependudukan/surat masuk/keluar dan lain-lain 1 Thn 14.500.000 - Ktr Camat Psp Tenggara Penyediaan Komponen Instalasi Listrik/Penerangan Bangunan Kantor Meningkatnya Pelayanan Perkantoran Bohlam/kabel dan lain-lain 1 Thn 2.500.000 - Ktr Camat Psp Tenggara Penyediaan Peralatan dan Perlengkapan Kantor Meningkatnya Pelayanan Perkantoran Mobiler/komputer dan lain- lain 1 Thn 21.000.000 - Ktr Camat Psp Tenggara Penyediaan Makanan dan Minuman Meningkatnya Pelayanan Perkantoran Uang makan PNS Kantor Camat 1 Thn 110.000.000 - Ktr Camat Psp Tenggara Rapat-Rapat Koordinasi dan Konsultasi Ke Luar Daerah Meningkatnya Pelayanan Perkantoran Biaya SPPD PNS 1 Thn 75.000.000 - Ktr Camat Psp Tenggara Penyediaan jasa keamanan kantor Meningkatnya Pelayanan Perkantoran Honorarium THL 1 Thn 41.000.000 - Ktr Camat Psp Tenggara Penyediaan jasa administrasi perkantoran Meningkatnya Pelayanan Perkantoran Honor Kades 1 Thn 780.000.000 - Ktr Camat Psp Tenggara Program Peningkatan Sarana dan Prasarana Aparatur 360.500.000 - Pengadaan Kenderaan Dinas Operasional 1 Unit 250.000.000 Pemeliharaan Rutin/Berkala Gedung Kantor Peningk. Kualitas/Kuantitas Sarana Pra Sarana Terpeliharanya Gedung Kantor camat 1 Thn 87.000.000 - Ktr Camat Psp Tenggara Pemeliharaan Rutin/Berkala Mobil Dinas Camat Terpeliharanya mobil dinas camat 1 Thn 23.500.000 - Ktr Camat Psp Tenggara Program Peningkatan Kapasitas Sumber Daya Aparatur 50.000.000 - Bimtek Implementasi Peraturan Perundang- undangan Tersedianya dana Bimtek 3 org Dana Bimtek 3 org 50.000.000 - Ktr Camat Psp Tenggara Program Peningkatan Disiplin Aparatur 45.000.000 Pengadaan Pakaian Khusus Hari-hari tertentu 41 buah 21.000.000 Pengadaan Pakaian Dinas 41 buah 24.000.000 Ktr Camat Psp Tenggara Program Peningkatan Pengembangan Sistem Pelaporan Capaian Kinerja dan Keuangan Kantor Camat 16.000.000 Ktr Camat Psp Tenggara Penyusunan Laporan Capaian Kinerja dan Ikhtisar Realisasi Kinerja SKPD Peningkatan Kulaitas dan Kuantiotas Pelaporan 1.800.000 Ktr Camat Psp Tenggara Penyusunan Laporan Hasil-hasil Pembangunan 1.800.000 Rencana Program dan Kegiatan Prioritas Tahun 2015 BIDANG PEMERINTAHAN UMUM Lembar 40 dari 74
  • 226.
    SKPD Jenis KegKet Tolok Ukur Tolok Ukur Tolok Ukur 1/2/3 1/2/3 1/2/3 2 3 4 5 6 8 10 12 13 14 15 16 Nomor Urusan/Bidang Urusan Pemerintahan Daerah Dan Program/Kegiatan Prioritas Daerah Sasaran Daerah Lokasi Indikator kinerja Pagu Indikatif Prakiraan Maju Keterangan Hasil Program Keluaran Kegiatan Hasil Kegiatan Target Target Target 1 7 9 11 Penyusunan Pelaporan Keuangan Semesteran Peningkatan Kulaitas dan Kuantiotas Pelaporan 1.800.000 Ktr Camat Psp Tenggara Penyusunan Pelaporan Keuangan Akhir Tahun Peningkatan Kulaitas dan Kuantiotas Pelaporan 1.800.000 Ktr Camat Psp Tenggara Penyusunan Laporan, Rencana Kinerja dan Anggaran Peningkatan Kulaitas dan Kuantiotas Pelaporan 5.200.000 Ktr Camat Psp Tenggara Penyusunan Laporan Barang Pengguna Semesteran 1 berkas 1.800.000 Penyusunan Laporan Barang Pengguna Tahunan Peningkatan Kulaitas dan Kuantiotas Pelaporan 1.800.000 Ktr Camat Psp Tenggara Program Perencanaan Pembangunan Daerah Tersusunnya perencanaan pembangunan kecamatan yang berkualitas 18 desa/ke lurahan 24.500.000 - Penyelenggaraan Musrenbang Kecamatan Terlaksananya Musrenbang Tingkat Kelurahan dan Kecamatan Terlaksananya Musrenbang Tingkat Kelurahan dan Kecamatan yang berkualitas 18 desa/kelur ahan Adanya Perencanaan Pembangunan Kec. Psp Tenggara yang Berkualitas 18 desa/kelur ahan 24.500.000 Ktr Camat Psp Tenggara Program Pengembangan Kemasyarakatan 38.000.000 - Pelaksanaan Festival Nasyid 1 keg 15.000.000 Ktr Camat Psp Tenggara Pengembangan kemasyarakatan 18 desa/kelur ahan 6.000.000 MTQ Tingkat Kecamatan MTQ Tk Kecamatan 1 kali 30 org/7cbg 32.000.000 Ktr Camat Psp Tenggara Program Peningkatan Hari-Hari Besar Nasional/Daerah/Keagamaan Meningkatnya rasa nasionalisme masyarakat dan ketakwaan terhadap Tuhan YME 24.500.000 - HUT RI Terlaksananya HUT RI 5 perlomb aan Peringatan HUT RI Tk. Kecamatan 1 kali Adanya kegiatan olah raga dan seni 1 kali 12.000.000 Ktr Camat Psp Tenggara HUT Pemko 5 perlomb aan 8.500.000 Ktr Camat Psp Tenggara Peringatan Isra' Mikraj Meningkatan Kecintaan Terhadap Nabi Besar 100 org Peringatan Isra' Mikraj 1 kali Adanya kegiatan peringatan isra' mikraj 1 kali 4.000.000 Ktr Camat Psp Tenggara Program Peningkatan Kualitas Pelayanan Publik 23.500.000 Percepatan Penerapan Pelayanan Administrasi Terpadu Kecamatan 23.500.000 Ktr Camat Psp Tenggara 1.792.000.000 1.718.453.000 P1 Program Pelayanan Administrasi Perkantoran Peningkatan Pelayanan Administrasi Perkantoran 1.328.600.000 1.210.120.000 Penyediaan Jasa Surat Menyurat Kantor Camat Terbayarnya Honorarium Kepala Lingkungan dan Petugas Keamanan 96 org Honorarium Pegawai Honor Tidak Tetap, Sewa Kantor Kelurahan 96 org Honorarium pegawai dapat dibayarkan dan gedung kantor bisa digunakan 96 org 784.000.000 784.000.000 Ktr Camat Psp Batunadua Rencana Program dan Kegiatan Prioritas Tahun 2015 BIDANG PEMERINTAHAN UMUM Lembar 41 dari 74
  • 227.
    SKPD Jenis KegKet Tolok Ukur Tolok Ukur Tolok Ukur 1/2/3 1/2/3 1/2/3 2 3 4 5 6 8 10 12 13 14 15 16 Nomor Urusan/Bidang Urusan Pemerintahan Daerah Dan Program/Kegiatan Prioritas Daerah Sasaran Daerah Lokasi Indikator kinerja Pagu Indikatif Prakiraan Maju Keterangan Hasil Program Keluaran Kegiatan Hasil Kegiatan Target Target Target 1 7 9 11 Penyediaan Jasa Komunikasi, Sumber Daya Air dan Listrik Kantor Camat Tersedianya Jasa Komunikasi, Sumber Daya Air dan Listrik 1 Thn Rekening Listrik, Air, dan Telepon 1 Thn Listrik, Air, dan Telepon bisa digunakan 1 Thn 20.100.000 22.000.000 Ktr Camat Psp Batunadua Penyediaan Jasa Peralatan dan Perlengkapan kantor Kantor Camat Tersedianya Peralatan dan Perlengkapan kantor 1 Thn Peralatan dan perlengkapan kantor 1 Thn Memperlancar Urusan Administrasi Kantor 1 Thn 10.000.000 12.000.000 Ktr Camat Psp Batunadua Penyediaan Jasa Kebersihan Kantor Kantor Camat Terpenuhinya peralatan kebersihan kantor dan honorarium petugas 1 Thn Kebersihan Kantor 1 Thn Kantor Menjadi Bersih 1 Thn 24.000.000 23.000.000 Ktr Camat Psp Batunadua Penyediaan Alat Tulis Kantor Kantor Camat dan Kantor Lurah Tersedianya Alat Tulis Kantor 1 Thn Alat Tulis Kantor 1 Thn Terlaksananya pelayanan administrasi yang baik 1 Thn 50.000.000 42.300.000 Ktr Camat Psp Batunadua Penyediaan Barang Cetakan dan Penggandaan Kantor Camat dan Kantor Lurah Terpenuhinya barang cetakan dan penggandaan 1 Thn Barang Cetakan dan Penggandaan 1 Thn Tersedianya Barang Cetakan dan Penggandaan yg bisa langsung dipergunakan 1 Thn 22.000.000 29.400.000 Ktr Camat Psp Batunadua Penyediaan Jasa perbaikan Peralatan Kerja 12 bulan 4.500.000 5.000.000 Penyediaan Peralatan Rumah Tangga 12 Bulan 7.500.000 8.000.000 Penyediaan Bahan Bacaan dan Peraturan Perundang-undangan 12 bulan 14.000.000 14.000.000 Penyediaan Jasa Administrasi Perkantoran 12 Bulan 15.000.000 1.500.000 Penyediaan Komponen Instalasi Listrik/Penerangan Bangunan Kantor Kantor Camat Tersedianya komponen instalasi listrik/penerangan 1 Thn Komponen instalasi Listrik 1 Thn Kantor Terawat dengan Baik 1 Thn 6.500.000 6.000.000 Ktr Camat Psp Batunadua Penyediaan Makanan dan Minuman Kantor Camat dan Kantor Lurah Tersedianya makanan dan minuman pegawai 99 org Makanan dan minuman 99 org Kesejahteraan Pegawai dan Tamu Kantor 99 org 134.500.000 140.500.000 Ktr Camat Psp Batunadua Rapat-rapat Koordinasi dan Konsultasi Ke Luar Daerah Kantor Camat Terselenggaranya kegiatan rapat koordinasi dan konsultasi pegawai 1 Thn Rapat rapat koordinasi dan konsultasi luar dan dalam daerah 1 Thn Meningkatkan SDM Aparatur 1 Thn 78.000.000 75.020.000 Ktr Camat Psp Batunadua Penyediaan jasa keamanan kantor Kantor Camat Penyediaan jasa keamanan kantor 1 Thn Penyediaan jasa keamanan kantor 1 Thn Penyediaan jasa keamanan kantor 1 Thn 22.000.000 32.400.000 Ktr Camat Psp Batunadua Penyediaan Peralatan dan Perlengkapan Kantor Kantor Camat Penyediaan Peralatan dan Perlengkapan Kantor 1 Thn Penyediaan Peralatan dan Perlengkapan Kantor 1 Thn Penyediaan Peralatan dan Perlengkapan Kantor 1 Thn 136.500.000 15.000.000 Ktr Camat Psp Batunadua Program Peningkatan Sarana dan Prasarana Aparatur Sarana dan Prasarana Aparatur yang Memadai 338.500.000 311.000.000 Pengadaan kenderaan Dinas/Operasional 12 bulan 82.000.000 82.000.000 Pemeliharaan Rutin/Berkala Kenderaan Dinas/Operasional Kantor Camat Tersedianya pemeliharaan rutin/berkala kenderaan dinas/operasional 1 unit Pemeliharaan rutin/berkala kenderaan dinas/operasional 1 unit Kenderaan dinas bisa dioperasikan dengan baik 1 unit 36.000.000 37.500.000 Ktr Camat Psp Batunadua Pemeliharaan Rutin/Berkala Perlengkapan Gedung Kantor Kantor Camat Tersedianya pemeliharaan untuk rehab gedung Kantor 1 Thn Pemeliharaan Rutin/berkala Gedung Kantor 1 Thn Kantor Terawat dengan Baik 1 Thn 60.500.000 11.500.000 Ktr Camat Psp Batunadua Pembangunan musholla 60.000.000 70.000.000 Ktr Camat Psp Batunadua Pembuatan lantai keramik 100.000.000 110.000.000 Ktr Camat Psp Batunadua Program Peningkatan Disiplin Aparatur Peningkatan Disiplin dari Aparatur 26.500.000 15.000.000 Pengadaan Pakaian Khusus Hari-hari Tertentu Kantor Camat dan Kantor Lurah Tersedianya Pakaian Khusus hari-hari tertentu 50 org Pakaian Dinas Pegawai 50 org Pakaian Dinas Harian Pegawai tertampung 50 org 26.500.000 15.000.000 Ktr Camat Psp Batunadua Rencana Program dan Kegiatan Prioritas Tahun 2015 BIDANG PEMERINTAHAN UMUM Lembar 42 dari 74
  • 228.
    SKPD Jenis KegKet Tolok Ukur Tolok Ukur Tolok Ukur 1/2/3 1/2/3 1/2/3 2 3 4 5 6 8 10 12 13 14 15 16 Nomor Urusan/Bidang Urusan Pemerintahan Daerah Dan Program/Kegiatan Prioritas Daerah Sasaran Daerah Lokasi Indikator kinerja Pagu Indikatif Prakiraan Maju Keterangan Hasil Program Keluaran Kegiatan Hasil Kegiatan Target Target Target 1 7 9 11 Program Peningkatan Kapasitas Sumber Daya Aparatur Peningkatan Pengetahuan dan Kemampuan Aparatur dalam Bekerja 41.500.000 35.000.000 Pendidikan dan Pelatihan Formal Kantor Camat Tersedianya pendidikan dan pelatihan formal untuk menunjang kinerja 1 Thn Bimbingan Teknis, Worksop, Sosialisasi dan Legal Drafting Bidang Hukum serta peningkatan SDM Lainnya 1 Thn Meningkatkan SDM Aparatur 1 Thn 41.500.000 35.000.000 Ktr Camat Psp Batunadua Program Peningkatan Pengembangan Sistem Pelaporan Capaian Kinerja dan Keuangan Peningkatan Kemampuan dibidang Pembuatan Laporan-laporan Capaian Kinerja dan Keuangan 18.796.000 21.488.000 Penyusunan Laporan Capaian Kinerja dan Ikhtisar Realisasi Kinerja SKPD Kantor Camat Tersedianya Laporan Capaian Kinerja dan Ikhtisar Realisasi Kinerja SKPD 32 org Tersediannya Dana Penyusunan LAKIP dan RKA 32 org LAKIP dan RKA dapat dibuat tepat waktu 32 org 8.348.000 8.348.000 Ktr Camat Psp Batunadua Penyusunan Pelaporan Keuangan semesteran Kantor Camat Tersedianya Penyusunan Pelaporan Keuangan Semesteran 7 org Tersedianya dana penyusunan Laporan keuangan 7 org Laporan Keuangan dapat dikerjakan dengan baik 7 org 2.100.000 2.100.000 Ktr Camat Psp Batunadua Penyusunan Pelaporan Keuangan Akhir Tahun Kantor Camat Tersedianya Penyusunan Pelaporan 8 org Tersedianya data keuangan 8 org Data-data Keuangan Tersusun Rapi 8 org 8.348.000 11.040.000 Ktr Camat Psp Batunadua Program Perencanaan Pembangunan Daerah Peningkatan Pengembangan Pembangunan Daerah 25.000.000 27.000.000 Penyelenggaraan Musrenbang Kecamatan Kantor Camat dan Kantor Lurah Terlaksananya Musrenbang Tingkat Kelurahan dan Kecamatan 1 kantor,1 5 desa Musrembang Tingkat Kecamatan, Kelurahan dan Desa 1 kantor,15 desa Masukan Untuk Pembangunan Desa dan Kelurahan dari Masyarakat 1 kantor,15 desa 25.000.000 27.000.000 Ktr Camat Psp Batunadua Program Pengembangan Kemasyarakatan Peningkatan Pengembangan yang berhubungan dengan masyarakat 70.000.000 69.500.000 Pengembangan Kebudayaan Masyarakat Kantor Camat dan Kantor Lurah Peningkatan Pemberdayaan Perempuan untuk Kesejahteraan Keluarga 2 kegiatan Kinerja PKK kecamatan 2 kegiatan Kegiatan PKK menjadi lancar dan kegiatan penyuluhan berjalan dengan baik 2 kegiatan 16.000.000 22.000.000 Ktr Camat Psp Batunadua Pengembangan kebudayaan masyarakat/nasyid 16.500.000 8.500.000 Ktr Camat Psp Batunadua MTQ Tingkat Kecamatan Kantor Camat dan Kantor Lurah Terselenggaranya MTQ Tingkat Kecamatan 1 kegiatan MTQ Tingkat Kecamatan 1 kegiatan Meningkatkan Iman dan taqwa serta minat Baca Alqur'an makin bertambah 1 kegiatan 37.500.000 39.000.000 Ktr Camat Psp Batunadua Program Peringatan Hari-hari Besar Nasional, daerah dan keagamaan 42.640.000 29.345.000 Pelaksanaan Maulid Nabi Muhammad SAW 8.000.000 8.000.000 Pelaksanaan Isra' Mi'raj Nabi Muhammad SAW 8.000.000 8.000.000 Pelaksanaan HUT RI Terselenggaranya pelaksanaan HUT RI 14.640.000 18.975.000 Ktr Camat Psp Batunadua Pelaksanaan HUT PEMKO Terselenggaranya pelaksanaan HUT pemko 12.000.000 10.370.000 Ktr Camat Psp Batunadua 1.584.722.875 1.384.624.625 P1 Program Pelayanan Administrasi Perkantoran Peningkatan Pelayanan Administrasi Perkantoran 869.100.000 955.428.625 Rencana Program dan Kegiatan Prioritas Tahun 2015 BIDANG PEMERINTAHAN UMUM Lembar 43 dari 74
  • 229.
    SKPD Jenis KegKet Tolok Ukur Tolok Ukur Tolok Ukur 1/2/3 1/2/3 1/2/3 2 3 4 5 6 8 10 12 13 14 15 16 Nomor Urusan/Bidang Urusan Pemerintahan Daerah Dan Program/Kegiatan Prioritas Daerah Sasaran Daerah Lokasi Indikator kinerja Pagu Indikatif Prakiraan Maju Keterangan Hasil Program Keluaran Kegiatan Hasil Kegiatan Target Target Target 1 7 9 11 Penyediaan Jasa Surat Menyurat Kantor Camat Terbayarnya Honorarium Kepala Lingkungan dan Petugas Keamanan org Honorarium Pegawai Honor Tidak Tetap, Sewa Kantor Kelurahan org Honorarium pegawai dapat dibayarkan dan Gedung Kantor Bisa Dipergunakan org 493.400.000 551.770.000 Ktr Camat Psp Hutaimbaru Penyediaan Jasa Komunikasi, Sumber Daya Air dan Listrik Kantor Camat Tersedianya Jasa Komunikasi, Sumber Daya Air dan Listrik 1 Thn Rekening Listrik dan Air,telepon 1 Thn Listrik dan telopn/air bisa digunakan 1 Thn 14.400.000 15.120.000 Ktr Camat Psp Hutaimbaru Penyediaan Jasa Kebersihan Kantor Kantor Camat Terpenuhinya peralatan kebersihan kantor dan honorarium petugas 1 Thn Kebersihan Kantor 1 Thn Kantor Menjadi Bersih dan Asri 1 Thn 31.000.000 35.000.000 Ktr Camat Psp Hutaimbaru Penyediaan Alat Tulis Kantor Kantor Camat dan Kantor Lurah Tersedianya Alat Tulis Kantor 1 Thn Alat Tulis Kantor 1 Thn Lancarnya Administrasi 1 Thn 41.500.000 42.023.625 Ktr Camat Psp Hutaimbaru Penyediaan Barang Cetakan dan Penggandaan Kantor Camat dan Kantor Lurah Terpenuhinya barang cetakan dan penggandaan 1 Thn Barang Cetakan dan Penggandaan 1 Thn Tersedianya Barang Cetakan dan Penggandaan yg bisa langsung dipergunakan 1 Thn 20.000.000 16.000.000 Ktr Camat Psp Hutaimbaru Penyediaan Komponen Instalasi Listrik/Penerangan Bangunan Kantor Kantor Camat Tersedianya komponen instalasi listrik/penerangan bangunan kantor 1 Thn Komponen instalasi Listrik 1 Thn Peralatan listrik bisa dipergunakan 1 Thn 6.200.000 7.500.000 Ktr Camat Psp Hutaimbaru Penyedian Perlengkapan dan Peralatan Kantor Kantor Camat Tersedianya peralatan kantor yang baik 1 Thn Peralatan dan perlengkapan kantor 1 Thn Memperlancar urursan Administrasi dan urusan kantor 1 Thn 15.000.000 50.000.000 Ktr Camat Psp Hutaimbaru penyediaan peralatan rumah tangga Kantor Camat 7.600.000 Ktr Camat Psp Hutaimbaru Penyediaan Makanan dan Minuman Kantor Camat dan Kantor Lurah Tersedianya makanan dan minuman pegawai 14257 Orang/ Hari/Bu lan makanan dan minuman 14257 Orang/Har i/Bulan Kesejahteraan pegawai dan tamu kantor 14257 Orang/Har i/Bulan 150.000.000 150.565.000 Ktr Camat Psp Hutaimbaru rapat-rapat koordinasi dan konsultasi ke dalam Daerah 1 thn 1 thn 1 thn 6.000.000 7.000.000 Ktr Camat Psp Hutaimbaru Rapat-rapat Koordinasi dan Konsultasi Ke Luar Daerah Kantor Camat Terselenggaranya kegiatan rapat koordinasi dan konsultasi pegawai 1 Thn Rapat rapat koordinasi dan konsultasi luar dan dalam Daerah 1 Thn Meningkatkan SDM Aparatur 1 Thn 37.500.000 40.000.000 Ktr Camat Psp Hutaimbaru Penyediaan Jasa Keamanan Kantor Kantor Camat Terjaminnya Keamanan Kantor 1 Thn Jasa Keamanan Kantor 1 Thn Terjaminnya Keamanan di Kantor 1 Thn 31.000.000 31.000.000 Ktr Camat Psp Hutaimbaru Penyediaan Jasa Administrasi Perkantoran Kantor Camat Tersedianya jasa administrasi perkantoran 1 Thn Pelayanan administrasi semakin meningkat 1 Thn Terlaksananya pelayanan administrasi dengan baik 1 Thn 15.500.000 9.450.000 Ktr Camat Psp Hutaimbaru Program Peningkatan Sarana dan Prasarana Aparatur Sarana dan Prasarana Aparatur yang 341.510.375 122.000.000 Pemeliharaan Rutin/Berkala Gedung Kantor Kantor Camat dan Kantor Lurah Tersedianya pemeliharaan rutin/gedung kantor dan sewa kantor 3 kantor Pemeliharaan Rutin/berkala Gedung Kantor 3 kantor Kantor Terawat dengan Baik 3 kantor 73.000.000 80.000.000 Ktr Camat Psp Hutaimbaru Pengadaan Kenderaan Dinas/Operasional 1 unit 1 unit 230.000.000 Ktr Camat Psp Hutaimbaru Pemeliharaan Rutin/Berkala Kenderaan Dinas/Operasional Kantor Camat Tersedianya pemeliharaan rutin/berkala kenderaan dinas/operasional Unit Pemeliharaan rutin/berkala kenderaan dinas /Operasional Unit Kenderaan dinas bisa dioperasikan dengan baik Unit 32.510.375 35.000.000 Ktr Camat Psp Hutaimbaru Pemeliharaan Rutin/Berkala Perlengkapan Gedung Kantor Kantor Camat Tersedianya pemeliharaan untuk peralatan kantor 12 Bln Pemeliharaan rutin/berkala perlengkapan kantor/gedung 12 Bln Peralatan Kantor Bisa digunakan dengan baik 12 Bln 6.000.000 7.000.000 Ktr Camat Psp Hutaimbaru Program Peningkatan Disiplin Aparatur Peningkatan Disiplin dari Aparatur 27.000.000 27.500.000 Rencana Program dan Kegiatan Prioritas Tahun 2015 BIDANG PEMERINTAHAN UMUM Lembar 44 dari 74
  • 230.
    SKPD Jenis KegKet Tolok Ukur Tolok Ukur Tolok Ukur 1/2/3 1/2/3 1/2/3 2 3 4 5 6 8 10 12 13 14 15 16 Nomor Urusan/Bidang Urusan Pemerintahan Daerah Dan Program/Kegiatan Prioritas Daerah Sasaran Daerah Lokasi Indikator kinerja Pagu Indikatif Prakiraan Maju Keterangan Hasil Program Keluaran Kegiatan Hasil Kegiatan Target Target Target 1 7 9 11 Pengadaan Pakaian Dinas beserta perlegkapannya Kantor Camat dan Kantor Lurah Tersedianya Pakaian Dinas 48 org Pakaian Dinas Pegawai 48 org Pakaian Dinas Harian Pegawai tertampung 48 org 27.000.000 27.500.000 Ktr Camat Psp Hutaimbaru Program Peningkatan Kapasitas Sumber Daya Aparatur Peningkatan Pengetahuan dan Kemampuan Aparatur dalam Bekerja 103.416.500 45.000.000 pendidikan dan pelatihan formal 60.000.000 70.000.000 Ktr Camat Psp Hutaimbaru Bimbingan Teknis,Worksop,Sosialisasi dan Legal Drafting Bidang Hukum serta peningkatan SDM Lainnya Kantor Camat Tersedianya pendidikan dan pelatihan formal untuk menunjang kinerja 1 Thn Bimbingan Teknis,Worksop,Sosialisasi dan Legal Drafting Bidang Hukum serta peningkatan SDM Lainnya 1 Thn Meningkatkan SDM Aparatur 1 Thn 43.416.500 45.000.000 Ktr Camat Psp Hutaimbaru Program Peningkatan Pengembangan Sistem Pelaporan Capaian Kinerja dan Keuangan Kantor Camat Peningkatan Kemampuan dibidang Pembuatan Laporan-laporan Capaian Kinerja dan Keuangan 1 Thn 1 Thn 1 Thn 13.696.000 13.696.000 Penyusunan Laporan Capaian Kinerja dan Ikhtisar Realisasi Kinerja SKPD Kantor Camat Tersedianya Laporan Capaian Kinerja dan Ikhtisar Realisasi Kinerja SKPD 1 Thn Tersediannya Dana Penyusunan LAKIP dan RKA 1 Thn LAKIP dan RKA dapat dibuat tepat waktu 1 Thn 6.848.000 6.848.000 Ktr Camat Psp Hutaimbaru Penyusunan Pelaporan Keuangan Akhir Tahun Kantor Camat Tersedianya Penyusunan Pelaporan 1 Thn Tersedianya dana penyusunan Laporan Keuangan 1 Thn Laporan Keuangan dapat dikerjakan dengan baik 1 Thn 6.848.000 6.848.000 Ktr Camat Psp Hutaimbaru Program Perencanaan Pembangunan Daerah Peningkatan Pengembangan Pembangunan Daerah 15.000.000 15.000.000 Penyelenggaraan Musrenbang Kecamatan Kantor Camat dan Kantor Lurah Terlaksananya Musrenbang Tingkat Kelurahan dan Kecamatan 1 Thn Musrembang Tk.Kecamatan,Kelurahan dan Desa 1 Thn Musrembang Tk.Kecamatan,Kelurahan dan Desa Terlaksana dengan baik 1 Thn 15.000.000 15.000.000 Ktr Camat Psp Hutaimbaru Program Peringatan Hari-hari Besar Nasional,Daerah dan Keagamaan Kesadaran dalam memperingati Hari-hari Besar Nasional, Daerah dan Keagamaan meningkat 37.500.000 22.000.000 Pelaksanaan HUT RI 11.500.000 Pelaksanaan HUT Pemko Kecamatan 1 Thn Pelaksanaan HUT Pemko 1 Thn Pelaksanaan HUT-Pemko dengan Baik 1 Thn 14.000.000 10.000.000 Ktr Camat Psp Hutaimbaru Pelaksanaan Maulid Nabi Muhammad SAW Meningkatan Kecintaan Terhadap Nabi Besar Tersedianya dana peringatan maulid nabi tk kec. 6.000.000 6.000.000 Ktr Camat Psp Hutaimbaru Pelaksanaan Isra Mi'krat Nabi Muhammad SAW Meningkatan Kecintaan Terhadap Nabi Besar Tersedianya dana Pelaksanaan Isra Mi’raj Nabi Muhammmad SAW 6.000.000 6.000.000 Ktr Camat Psp Hutaimbaru Program Peningkatan Kualitas Pelayanan Publik 100.000.000 120.000.000 Percepatan Penerapan Pelayanan Terpadu Kecamatan 100.000.000 120.000.000 Ktr Camat Psp Hutaimbaru Program Pengembangan Kemasyarakatan Peningkatan Pengembangan yang berhubungan dengan masyarakat 77.500.000 64.000.000 Rencana Program dan Kegiatan Prioritas Tahun 2015 BIDANG PEMERINTAHAN UMUM Lembar 45 dari 74
  • 231.
    SKPD Jenis KegKet Tolok Ukur Tolok Ukur Tolok Ukur 1/2/3 1/2/3 1/2/3 2 3 4 5 6 8 10 12 13 14 15 16 Nomor Urusan/Bidang Urusan Pemerintahan Daerah Dan Program/Kegiatan Prioritas Daerah Sasaran Daerah Lokasi Indikator kinerja Pagu Indikatif Prakiraan Maju Keterangan Hasil Program Keluaran Kegiatan Hasil Kegiatan Target Target Target 1 7 9 11 Pengembangan Kebudayaan Masyarakat Kecamatan dan Kelurahan Peningkatan Pemberdayaan Perempuan untuk Kesejahteraan Keluarga 1 Thn Kinerja PPK kecamatan 1 Thn Kegiatan PKK menjadi lancar dan kegiatan penyuluhan dapat dilaksanakan dengan baik 1 Thn 15.000.000 12.000.000 Ktr Camat Psp Hutaimbaru pelaksanaan festival Nasid 10.000.000 Pengembangan Kemasyarakatan 15.000.000 16.000.000 MTQ Tingkat Kecamatan Kecamatan dan Kelurahan Terselenggaranya MTQ Tingkat Kecamatan 1 Thn MTQ Tingkat Kecamatan 1 Thn Semakin meningkatnya kecintaan masyarakat kepada Al-quran 1 Thn 37.500.000 36.000.000 Ktr Camat Psp Hutaimbaru 1.764.662.000 1.851.620.000 P1 Program Pelayanan Administrasi Perkantoran Kantor Camat Pelayanan administrasi perkantoran semakin baik 1 Thn 958.000.000 958.150.000 Penyediaan jasa komunikasi sumber daya air & listrik Meningkatnya Pelayanan Perkantoran tersedianya jasa komunikasi sumber daya air & listrik 1 Thn terlaksananya jasa komunikasi sumber daya air & listrik 1 Thn 7.500.000 18.500.000 Ktr Camat Psp Angkola Julu Penyediaan jasa pemeliharaan dan perizinan kenderaan dinas/ operasional Meningkatnya Pelayanan Perkantoran tersedianya jasa pemeliharaan perizinan ked.dinas/operasional 1 Thn terlaksananya jasa pemeliharaan perizinan ked.dinas/operasional 1 Thn 31.500.000 30.000.000 Ktr Camat Psp Angkola Julu Penyediaan jasa administrasi keuangan Meningkatnya Pelayanan Perkantoran tersedianya jasa adm.keuangan 1 Thn terbayarnya jasa adm.keuangan 1 Thn 41.500.000 5.000.000 Ktr Camat Psp Angkola Julu Penyediaan jasa kebersihan kantor Meningkatnya Pelayanan Perkantoran tersedianya jasa kebersihan kantor 1 Thn terpenuhinya jasa kebersihan kantor 1 Thn 30.500.000 37.500.000 Ktr Camat Psp Angkola Julu Penyediaan Peralatan alat Rumah Tangga 1 thn 10.000.000 10.000.000 Penyediaan alat tulis kantor Meningkatnya Pelayanan Perkantoran tersedianya alat tulis kantor 1 Thn terpenuhinya alat tulis kantor 1 Thn 45.000.000 51.000.000 Ktr Camat Psp Angkola Julu Penyediaan Bahan bacaan dan Peraturan Perundang-undangan 1 thn 7.000.000 7.000.000 Ktr Camat Psp Angkola Julu Penyediaan barang cetakan dan penggandaan Meningkatnya Pelayanan Perkantoran tersedianya barang cetakan dan penggandaan 1 Thn tercakupinya barang cetakan dan penggandaan 1 Thn 15.000.000 25.000.000 Ktr Camat Psp Angkola Julu Penyediaan komponen instalasi listrik/penerangan bangunan kantor Meningkatnya Pelayanan Perkantoran tersediayan komp.instalasi listrik/penerangan bangunan kantor 1 Thn komp.instalasi listrik/penerangan bangunan kantor semakin baik 1 Thn 5.500.000 9.500.000 Ktr Camat Psp Angkola Julu Penyediaan makanan dan minuman Meningkatnya Pelayanan Perkantoran tersedianya makanan dan minuman 1 Thn terbayarkannya makanan & minuman 1 Thn 61.500.000 66.750.000 Ktr Camat Psp Angkola Julu Rapat-rapat Koordinasi dan Konsultasi Kedalam Daerah 1 thn 1 thn 31.500.000 32.000.000 Ktr Camat Psp Angkola Julu Rapat-rapat koordinasi dan konsultasi ke luar daerah Meningkatnya Pelayanan Perkantoran tersedianya Rapat-rapat koordinasi dan konsultasi ke luar daerah 1 Thn terlaksananya rapat-rapat koordinasi dan konsultasi ke luar daerah 1 Thn 120.000.000 65.000.000 Ktr Camat Psp Angkola Julu Penyediaan jasa keamanan kantor Meningkatnya Pelayanan Perkantoran tersedianya jasa keamanan kantor 1 Thn terbayarnya jasa keamanan kantor 1 Thn 21.500.000 19.500.000 Ktr Camat Psp Angkola Julu Penyediaan jasa administrasi perkantoran Meningkatnya Pelayanan Perkantoran tersedianya jasa adm. perkantoran 1 Thn kinerja pegawai semakin meningkat dan pelayanan lebih baik 1 Thn 515.000.000 551.400.000 Ktr Camat Psp Angkola Julu penyediaan jasa peralatan dan perelengkapan kantor 15.000.000 30.000.000 Ktr Camat Psp Angkola Julu Program Peningkatan Saranan dan Prasarana Aparatur Kantor Camat sarana dan prasarana yang menunjang kinerja semakin baik 1 thn 482.500.000 500.650.000 Pengadaan kenderaan dinas/ operasional Peningk. Kualitas/Kuantitas Sarana Pra Sarana Adanya kenderaan dinas 1 Thn terpenuhinya kenderaan dinas 235.000.000 235.000.000 Ktr Camat Psp Angkola Julu Rencana Program dan Kegiatan Prioritas Tahun 2015 BIDANG PEMERINTAHAN UMUM Lembar 46 dari 74
  • 232.
    SKPD Jenis KegKet Tolok Ukur Tolok Ukur Tolok Ukur 1/2/3 1/2/3 1/2/3 2 3 4 5 6 8 10 12 13 14 15 16 Nomor Urusan/Bidang Urusan Pemerintahan Daerah Dan Program/Kegiatan Prioritas Daerah Sasaran Daerah Lokasi Indikator kinerja Pagu Indikatif Prakiraan Maju Keterangan Hasil Program Keluaran Kegiatan Hasil Kegiatan Target Target Target 1 7 9 11 Pengadaan peralatan gedung kantor Peningk. Kualitas/Kuantitas Sarana Pra Sarana Adanya peralatan gedung kantor 1 Thn terpenuhinya peralatan gedung 1 Thn 36.500.000 36.500.000 Ktr Camat Psp Angkola Julu Pengadaan mobeleur Peningk. Kualitas/Kuantitas Sarana Pra Sarana Adanya mobeleur 1 Thn terpenuhinya mobeleur kantor 1 Thn 10.500.000 12.500.000 Ktr Camat Psp Angkola Julu Pemeliharaan rutin/berkala gedung kantor Peningk. Kualitas/Kuantitas Sarana Pra Sarana Terpeliharanya gedung kantor 1 Thn terlaksananya pemeliharaan gedung kantor 1 Thn 170.500.000 175.000.000 Ktr Camat Psp Angkola Julu Pemeliharaan rutin/berkala kenderaan dinas/operasional Peningk. Kualitas/Kuantitas Sarana Pra Sarana Terpeliharanya kenderaan dinas (mobil) kantor 1 Thn Kenderaan dinas/operasional dapat digunakan dengan baik 1 Thn 13.500.000 26.650.000 Ktr Camat Psp Angkola Julu Pemeliharaan rutin/berkala peralatan gedung kantor Peningk. Kualitas/Kuantitas Sarana Pra Sarana Terpeliharannya peralatan gedung kantor 1 Thn peralatan kantor dapat terpelihara dengan baik 1 Thn 16.500.000 15.000.000 Ktr Camat Psp Angkola Julu Program Peningkatan Disiplin Aparatur Kantor Camat disiplin aparatur semakin membaik 1 Thn 17.500.000 25.550.000 Pengadaan pakaian dinas beserta perlengkapannya Adanya pakaian dinas keseragaman pakaian aparatur kecamatan 1 Thn 17.500.000 25.550.000 Ktr Camat Psp Angkola Julu Program Peningkatan Kapasitas Sumber Daya Aparatur Kantor Camat kemampuan aparatur meningkat 1 Thn 78.000.000 104.000.000 Bimbingan teknis implementasi peraturan perundang-undangan Dikirimnya aparatur Kec. Untuk mengikuti Bimtek 1 Thn Pengetahuan aparatur meningkat untuk menunjang kinerja 1 Thn 60.000.000 85.000.000 Ktr Camat Psp Angkola Julu Peningkatan kapasitas camat dan lurah Meningkatnya kapasitas camat beserta kepala desa 1 Thn meningkatnya kapasitas camat dan kepala desa 1 Thn 18.000.000 19.000.000 Ktr Camat Psp Angkola Julu Program Peningkatan Pengembangan Sistem Pelaporan Capaian Kinerja dan Keuangan Kantor Camat laporan - laporan kinerja dan keuangan semakin baik sesuai dengan peraturan yang berlaku 1 thn 15.820.000 15.820.000 Penyusunan Laporan Capaian kinerja dan Ikhtisar Realisasi Kinerja SKPD 1 thn 5.550.000 6.000.000 Penyusunan pelaporan keuangan semesteran Peningkatan Kulaitas dan Kuantiotas Pelaporan Adanya pelaporan keuangan 1 Thn tersusunya pelaporan keuangan 1 Thn 4.400.000 4.400.000 Ktr Camat Psp Angkola Julu Penyusunan pelaporan keuangan akhir tahun Peningkatan Kulaitas dan Kuantiotas Pelaporan Adanya pelaporan keuangan 1 Thn tersusunya pelaporan keuangan 1 Thn 4.400.000 4.400.000 Ktr Camat Psp Angkola Julu Penyusunan laporan, rencana kinerja dan anggaran Peningkatan Kulaitas dan Kuantiotas Pelaporan Adanya laporan, rencana, kinerja dan anggaran 1 Thn tersusunnya laporan, rencana, kinerja dan anggaran 1 Thn 7.020.000 7.020.000 Ktr Camat Psp Angkola Julu Program Perencanaan Pembangunan Daerah Kantor Camat tertampungnya aspirasi dari masyarakat utk pembg. 1 Thn 17.500.000 35.000.000 Penyelenggaraan musrembang Musrembang kecamatan 1 Thn usulan-usulan dari masyarakat dapat tertampung untuk pembangunan 1 Thn 17.500.000 35000000 Ktr Camat Psp Angkola Julu Program Peningkatan Semangat Gotong Royong Kantor Camat 1 Thn 37.342.000 42.500.000 Peningkatan semangat gotong royong Peningkatan semangat gotong royong 1 Thn gotong royong di desa dapat terlaksana dengan baik 1 Thn 37.342.000 42.500.000 Ktr Camat Psp Angkola Julu Program Pengembangan Kemasyarakatan Kantor Camat terwujudnya SDM masy. yang semakin baik 1 Thn 85.500.000 105.950.000 Pengembangan kebudayaan masyarakat Terlaksananya program pengembangan kemasyarakatan Nasyid 1 Thn meningkatnya syiar agama islam 1 Thn 14.500.000 14.250.000 Ktr Camat Psp Angkola Julu Rencana Program dan Kegiatan Prioritas Tahun 2015 BIDANG PEMERINTAHAN UMUM Lembar 47 dari 74
  • 233.
    SKPD Jenis KegKet Tolok Ukur Tolok Ukur Tolok Ukur 1/2/3 1/2/3 1/2/3 2 3 4 5 6 8 10 12 13 14 15 16 Nomor Urusan/Bidang Urusan Pemerintahan Daerah Dan Program/Kegiatan Prioritas Daerah Sasaran Daerah Lokasi Indikator kinerja Pagu Indikatif Prakiraan Maju Keterangan Hasil Program Keluaran Kegiatan Hasil Kegiatan Target Target Target 1 7 9 11 festival Nasid 1 thn 16.500.000 16.000.000 Pengembangan kemasyarakatan Terlaksananya program pengembangan kemasyarakatan PKK dan Kepemudaan 1 Thn kegiatan PKK Kec. dapat terlaksana 1 Thn 20.000.000 40.000.000 Ktr Camat Psp Angkola Julu MTQ tingkat kecamatan MTQ kecamatan 1 Thn meningkatnya kecintaan masyarakat terhadap alqur'an 1 Thn 34.500.000 35.700.000 Ktr Camat Psp Angkola Julu Program Peringatan Hari-hari Besar Nasional, daerah dan keagamaan Kesadaran dalam memperingati Hari-hari Besar Nasional, Daerah dan Keagamaan meningkat 46.000.000 44000000 HUT RI Terlaksananya HUT RI Tersedianya dana peringatan HUT RI tk kec. 16.500.000 16000000 Ktr Camat Psp Angkola Julu HUT Pemko Terlaksananya HUT Pemko Tersedianya dana peringatan HUT Pemko tk kec. 19.500.000 17000000 Ktr Camat Psp Angkola Julu Pelaksanaan Isra' Mi'raj Nabi Muhammad SAW 1 thn 5.000.000 5000000 Maulid Nabi Meningkatan Kecintaan Terhadap Nabi Besar Tersedianya dana peringatan maulid nabi tk kec. 5.000.000 6000000 Ktr Camat Psp Angkola Julu Program Peningkatan kualitas pelayanan publik 26.500.000 20000000 Pelayanan Administrasi Terpadu kecamatan ( paten ) Tersedianya Pelayanan Administrasi Terpadu ( PATEN ) 26.500.000 20000000 Ktr Camat Psp Angkola Julu Rencana Program dan Kegiatan Prioritas Tahun 2015 BIDANG PEMERINTAHAN UMUM Lembar 48 dari 74
  • 234.
    SKPD Jenis Keg Ket Tolok Ukur TolokUkur 1/2/3 1/2/3 1/2/3 2 3 4 5 6 8 10 12 13 14 15 16 01 URUSAN WAJIB 01 21 BIDANG KETAHANAN PANGAN 19.417.610.000 11.551.910.000 3.297.300.000 1.547.400.000 P1 Program Pelayanan Administrasi Perkantoran Meningkatnya Pelayanan Aparatur 782.000.000 74.000.000 Penyediaan Jasa Komunikasi, Sumber Daya Air dan Listrik Padangsidimpuan Tersedianya Pelayanan Administrasi Perkantoran Terpenuhinya Jasa Komunikasi, Air dan Listrik 13.500.000 BKP3 Penyediaan Jasa peralatan dan perlengkapan kantor 1 thn 11.500.000 Penyediaan Jasa Kebersihan Kantor Padangsidimpuan Terpeliharanya Kebersihan Kantor 6 Org Meningkatnya Semangat Kerja Aparatur 6 Org 105.500.000 12.000.000 BKP3 Penyediaan Peralatan dan Perlengkapan Kantor 12 unit 75.500.000 Penyediaan Peralatan Rumah tangga 1 thn 4.500.000 Penyediaan Alat Tulis Kantor Padangsidimpuan Terlaksananya Penyediaan ATK 1 paket Tersedianya ATK 1 paket 78.500.000 62.000.000 BKP3 Penyediaan Barang Cetakan dan Penggandaan Padangsidimpuan Terlaksananya Cetak dan Penggandaan Tersedianya Cetak dan Penggandaan 13.500.000 BKP3 Penyediaan Bahan Bacaan dan Peraturan Perundang - undangan Padangsidimpuan Terlaksananya Bahan Bacaan dan Peraturan Perundang - undangan Tersedianya Bahan Bacaan dan Peraturan Perundang - undangan 14.000.000 BKP3 Penyediaan Makanan dan Minuman Pegawai Padangsidimpuan Tersedianya Makanan dan Minuman Pegawai Meningkatnya Kesejahteraan Pegawai 130.000.000 BKP3 Rapat-rapat Koordinasi dan Konsultasi kedalam Daerah 1 thn 10.000.000 Rapat - rapat Koordinasi dan Konsultasi Keluar Daerah Padangsidimpuan Terlaksananya Rapat - rapat Koordinasi dan Konsultasi ke Luar Daerah Terpenuhinya Koordinasi dan Konsultasi 325.500.000 BKP3 Program Peningkatan Disiplin Aparatur Meningkatnya Pelayanan Disiplin Aparatur 71.500.000 Pengadaan pakaian khusus hari-hari tertentu 65 org 43.500.000 1 7 9 11 Target Target Rencana Program dan Kegiatan Prioritas Daerah Tahun 2015 Kota Padangsidimpuan Nomor Urusan/Bidang Urusan Pemerintahan Daerah Dan Program/Kegiatan Prioritas Daerah Sasaran Daerah Lokasi Indikator kinerja Pagu Indikatif Prakiraan Maju Keterangan Hasil Program Keluaran Kegiatan Hasil Kegiatan Target Rencana Program dan Kegiatan Prioritas Tahun 2015 Bidang Ketahanan Pangan Lembar : 49 dari 74
  • 235.
    SKPD Jenis Keg Ket Tolok Ukur TolokUkur 1/2/3 1/2/3 1/2/3 2 3 4 5 6 8 10 12 13 14 15 161 7 9 11 Target Target Nomor Urusan/Bidang Urusan Pemerintahan Daerah Dan Program/Kegiatan Prioritas Daerah Sasaran Daerah Lokasi Indikator kinerja Pagu Indikatif Prakiraan Maju Keterangan Hasil Program Keluaran Kegiatan Hasil Kegiatan Target Penyediaan Pakaian Batik Daerah Aparatur Padangsidimpuan Terlaksananya Pengadaan Pakaian batik daerah 65 Org Terlaksananya Pengadaan Pakaian batik daerah 65 Org 28.000.000 BKP3 Program Peningkatan Sarana dan Prasarana Aparatur Padangsidimpuan 330.000.000 328.000.000 BKP3 Pengadaan Perlengkapan Gedung Kantor Padangsidimpuan Terlaksananya Pengadaan Perlengkapan Gedung Kantor 5 Unit Tersedianya Perlengkapan Gedung Kantor 5 Unit 50.000.000 75.000.000 BKP3 Pengadaan Mebeleur Padangsidimpuan Terlaksananya Pengadaan Mobiler 15 Unit Tersedianya Pengadaan Mobiler 15 Unit 30.500.000 50.000.000 BKP3 Pengadaan Peralatan Gedung Kantor Padangsidimpuan Terlaksananya Pemeliharaan peralatan Gedung Kantor 6 Unit Terpeliharanya peralatan Gedung Kantor 6 Unit 35.000.000 50.000.000 BKP3 Pemeliharaan rutin/berkala Gedung Kantor Padangsidimpuan Terlaksananya Pemeliharaan Rutin / Berkala Gedung Kantor 1 Unit Terpeliharanya Gedung Kantor 1 Unit 50.000.000 50.000.000 BKP3 Pemeliharaan rutin / berkala Mobil Jabatan Padangsidimpuan Terlaksananya Pemeliharaan Rutin / Berkala Mobil Jabatan 2 Unit Tersedianya Mobil Jabatan 2 Unit 96.500.000 35.000.000 BKP3 Pemeliharaan rutin / berkala Perlengkapan Gedung Kantor Padangsidimpuan Terlaksananya Pemeliharaan Rutin / Berkala Perlengkapan Gedung Kantor 5 Unit Terpeliharanya Perlengkapan Gedung Kantor 5 Unit 30.000.000 30.000.000 BKP3 Pemeliharaan rutin / berkala Peralatan Gedung Kantor Padangsidimpuan Terlaksananya Pemeliharaan Rutin / Berkala Peralatan Gedung Kantor 6 Unit Terpelihara Peralatan Gedung Kantor 6 Unit 38.000.000 38.000.000 BKP3 Program Peningkatan Kapasitas Sumber Daya Aparatur Peningkatan Pengetahuan Aparatur 153.500.000 75.000.000 Bimbingan Tekhnis Implementasi Peraturan Perundang - undangan Aparatur Luar Daerah Terlaksananya Bimbingan Dan Pelatihan 10Org Meningkatnya Pengetahuan Aparatur 10Org 153.500.000 75.000.000 BKP3 Program Peningkatan Pengembangan Sistem Pelaporan Capaian Kinerja dan Keuangan Meningkatnya KulaitasPelaporan 58.000.000 31.000.000 Penyusunan Pelaporan Prognosis realisasi anggaran 1 thn 14.500.000 Penyusunan Laporan Capaian Kinerja dan Ikhtisar Realisasi Kinerja SKPD Aparatur Padangsidimpuan Terlaksananya Penyusunan Laporan Capaian Kinerja dan Ikhtisar Realisasi Kinerja SKPD 5 Dok Dipedomaninya Laporan SKPD 5 Dok 29.500.000 15.000.000 BKP3 Penyusunan Laporan Keuangan Semesteran Aparatur Padangsidimpuan Terlaksananya Penyusunan Laporan Keuangan Semesteran 2 Dok Tersusunnya Laporan Keuangan 2 Dok 12.000.000 12.000.000 BKP3 Rencana Program dan Kegiatan Prioritas Tahun 2015 Bidang Ketahanan Pangan Lembar : 50 dari 74
  • 236.
    SKPD Jenis Keg Ket Tolok Ukur TolokUkur 1/2/3 1/2/3 1/2/3 2 3 4 5 6 8 10 12 13 14 15 161 7 9 11 Target Target Nomor Urusan/Bidang Urusan Pemerintahan Daerah Dan Program/Kegiatan Prioritas Daerah Sasaran Daerah Lokasi Indikator kinerja Pagu Indikatif Prakiraan Maju Keterangan Hasil Program Keluaran Kegiatan Hasil Kegiatan Target Penyusunan Laporan Keuangan Akhir Tahun Aparatur Padangsidimpuan Terlaksananya Penyusunan Laporan Keuangan Akhir Tahun 5 Dok Tersusunnya Laporan Keuangan Akhir Tahun 5 Dok 2.000.000 4.000.000 BKP3 Program Peningkatan Kesejahteraan Petani Tercapainya Peningkatan SDM Petani 617.100.000 314.000.000 Peningkatan Sistem Insentif dan Disentetif bagi Petani/ Kel. Tani Padangsidimpuan Adanya biaya operasional 30 org/thnMeningkatnya kinerja KTNA 30 org/thn 27.500.000 30.000.000 BKP3 Penilaian Petani Berprestasi Padangsidimpuan Adanya bimbingan tekhnis 3 Org Meningkatnya pengetahuan 3 Org 15.000.000 17.000.000 BKP3 Peningkatan kemampuan lembaga petani 11.500.000 Demonstrasi farmi petani (demfarm) 100.000.000 Penilaian Kelompok Tani Berprestasi Padangsidimpuan Adanya bimbingan tekhnis 3 klmpk Meningkatnya pengetahuan 3 klmpk 17.000.000 22.000.000 BKP3 Ahli teknologi kab.karo 15 org 15 org 35.000.000 40.000.000 BKP3 Penyuluhan dan pemdampingan petani dan pelaku agribisnis 10 demplot 140.600.000 Pemanfaatan lahan pekarangan 70.000.000 Demplot Petani Tanaman Hortikultura Padangsidimpuan Terlaksananya Demplot 17 org Meningkatnya pengetahuan penyuluh 17 org 170.000.000 170.000.000 BKP3 Pelatihan Petani dan Pelaku Agribisnis Padangsidimpuan Terlaksananya pelatihan TTG 60 org Meningkatnya pengetahuan 60 org 30.500.000 35.000.000 BKP3 Program Peningkatan Ketahanan Pangan - Terpenuhinya Kebutuhan Pangan 567.400.000 500.000.000 Penyusunan Data Base Potensi Produksi Pangan Padangsidimpuan Terlaksananya Penyusunan Data Base komsumsi pangan 3B 4 Dok Tersusunnya Data Base Konsumsi Pangan 3B 4 Dok 45.500.000 30.000.000 BKP3 Pengembangan Desa Mandiri Pangan Padangsidimpuan Terlaksananya Desa Mandiri Pangan 2 Desa Meningkatanya Kemampuan Masyarakat 2 Desa 50.000.000 50.000.000 BKP3 Pengembangan Diversifikasi Pangan Lokal Padangsidimpuan Terlaksananya Pangembangan produk pangan lokal 1 Paket Meningkatnya Produksi pangan lokal 1 Paket 125.000.000 50.000.000 BKP3 Pengembangan Sistim Informasi Pasar Padangsidimpuan Terlaksananya sistim informasi pasar 4 Dok Berkembangnya sistim informasi pasar 4 Dok 65.400.000 45.000.000 BKP3 Pengembangan Mutu dan Keamanan Pangan Padangsidimpuan Terlaksananya koordinasi kebijakan keamanan dan mutu pangan 1 Paket Terpedomaninya hasil keputusan koordinasi 1 Paket 45.000.000 60.000.000 BKP3 Penyuluhan Sumber Pangan Alternatif/hari pangan sedunia Padangsidimpuan Terlaksananya Penyuluhan sunber Pangan Alternatif 1 Paket Meningkatnya Pengetahuan tentang sumber Pangan 1 Paket 60.000.000 100.000.000 BKP3 Rapat Dewan Ketahanan Pangan Padangsidimpuan Terlaksananya Rapat Dewan Ketahanan Pangan 1 Paket Terkoordinasinya masalah yang timbul dalam rapat 1 Paket 76.500.000 50.000.000 BKP3 Rencana Program dan Kegiatan Prioritas Tahun 2015 Bidang Ketahanan Pangan Lembar : 51 dari 74
  • 237.
    SKPD Jenis Keg Ket Tolok Ukur TolokUkur 1/2/3 1/2/3 1/2/3 2 3 4 5 6 8 10 12 13 14 15 161 7 9 11 Target Target Nomor Urusan/Bidang Urusan Pemerintahan Daerah Dan Program/Kegiatan Prioritas Daerah Sasaran Daerah Lokasi Indikator kinerja Pagu Indikatif Prakiraan Maju Keterangan Hasil Program Keluaran Kegiatan Hasil Kegiatan Target Penghargaan Adhikarya Pangan Nusantara Padangsidimpuan Terlaksananya Pemberian Penghargaan Adhikarya Pangan Nusantara 2 Paket Meningkatnya semangat Petani/ Masyarakat 2 Paket 60.000.000 70.000.000 BKP3 Pemanfaatan pekarangan untuk pengembangan pangan Padangsidimpuan 1 Paket Terlakasanya Rencana Kerja 1 Paket 40.000.000 45.000.000 BKP3 Program Pemberdayaan Penyuluh Pertanian/Perkebunan -Tercapainya Peningkatan SDM Penyuluh 717.800.000 225.400.000 HonorariumTHL - TB PP Padangsidimpuan Tersedianya Honorarium PPL THL - TB 44 Org Meningkatnya Kesejahteraan Penyuluh 44 Org 77.400.000 77.400.000 BKP3 Peningkatan kesejahteraan tenaga penyuluh pertanian/perkebunan 74.500.000 rencana kerja program kerja tingkat kecamatan/kota 28.500.000 rapat posko 95.000.000 penyediaan demplot tanaman padi 78.000.000 penyediaan demplot tanaman pangan 33.000.000 pembuatan buku rencana kerja harian dan buku pintar 52.500.000 penyediaan demplot bagi penyuluh pertanian 66.900.000 penilaian ppl pns teladan 16.000.000 Pertemuan BPP Padangsidimpuan Terlaksananya pertemuan BPP 1 thn Dipedomaninya hasil pertemuan 1 thn 62.500.000 45.000.000 BKP3 Penilaian Penyuluh PNS Teladan Padangsidimpuan Terlaksananya penilaian penyuluh 6 Org Meningkatnya kinerja penyuluh 6 Org 17.000.000 23.000.000 BKP3 Jambore Penyuluh Tingkat Provinsi Pusat Terlaksananya Jambore Penyuluhan 15 Org Meningkatnya pengetahuan penyuluh 20 org 86.500.000 50.000.000 BKP3 Pembuatan Rencana Kerja Program dan Program Penyuluhan Padangsidimpuan Terlaksananya penyusunan program 90 Eks Adanya program dan rencana kerja petugas 90 Eks 30.000.000 30.000.000 BKP3 16.120.310.000 10.004.510.000 P2 Program Peningkatan Sarana dan Prasarana Aparatur 1.951.510.000 1.951.510.000 Pembangunan Gedung Kantor Pembangunan Gedung Kantor 5 Unit Tersedianya Gedung Kantor 5 Unit 400.000.000 400.000.000 BKP3 Pengadaan Mobil Jabatan Pengadaan Mobil Jabatan 15 Unit Tersedianya Mobil Jabatan 15 Unit 400.000.000 400.000.000 BKP3 Pengadaan Kendaraan Dinas / Operasional Pengadaan Kendaraan Dinas / Operasional 6 Unit Tersedianya Kendaraan Dinas / Operasional 6 Unit 80.000.000 80.000.000 BKP3 Rehabilitasi Atap dan Plafon Gedung Kantor Rehabilitasi Atap dan Plafon Gedung Kantor 1 Unit Rehabilitasi Atap dan Plafon Gedung Kantor 1 Unit 181.510.000 181.510.000 BKP3 Rencana Program dan Kegiatan Prioritas Tahun 2015 Bidang Ketahanan Pangan Lembar : 52 dari 74
  • 238.
    SKPD Jenis Keg Ket Tolok Ukur TolokUkur 1/2/3 1/2/3 1/2/3 2 3 4 5 6 8 10 12 13 14 15 161 7 9 11 Target Target Nomor Urusan/Bidang Urusan Pemerintahan Daerah Dan Program/Kegiatan Prioritas Daerah Sasaran Daerah Lokasi Indikator kinerja Pagu Indikatif Prakiraan Maju Keterangan Hasil Program Keluaran Kegiatan Hasil Kegiatan Target Pengadaan Kenderaan Penyuluhan Roda 4 Adanya kenderaan Operasional Penyuluhan 1 Unit 1 Unit 350.000.000 350.000.000 BKP3 Pengadaan Kenderaan Roda 2 Adanya kenderaan Operasional Penyuluhan 12 Unit 12 Unit 240.000.000 240.000.000 BKP3 Rehabilitasi Kantor BPP Terlaksanya rahabilitasi kantor BPP 2 Unit 2 Unit 180.000.000 180.000.000 BKP3 Pengadaan komputer cyber extension Tersedianya komputer BPP 3 Kec. 3 Kec. 120.000.000 120.000.000 BKP3 Program Peningkatan Kapasitas Sumber Daya Aparatur Peningkatan Pengetahuan Aparatur 55.000.000 55.000.000 Pelatihan Petugas dalam Pemantapan Ketahanan Pangan Aparatur Medan Terlaksananya Bimbingan Dan Pelatihan 30 Org Meningkatnya Pengetahuan Aparatur 30 Org 55.000.000 55.000.000 BKP3 Lanjutan Program Peningkatan Pengembangan Sistem Pelaporan Capaian Kinerja dan Keuangan Meningkatnya KulaitasPelaporan 6.000.000 6.000.000 Penyusunan Laporan Prognosis Realisasi Anggaran Aparatur Padangsidimpuan Penyusunan Laporan Prognosis Realisasi Anggaran 5 Dok Dipedomaninya Laporan SKPD 5 Dok 6.000.000 6.000.000 BKP3 Lanjutan Program Peningkatan Kesejahteraan Petani Tercapainya Peningkatan SDM Petani 4.359.000.000 4.359.000.000 Demplot Petani Tanaman Pangan Tercapainya Penataan Lembaga 30 Org 30 Org 30 Org 120.000.000 120.000.000 BKP3 Denfram Tanaman Padi Meningkatnya Denfram Tanaman Padi 15 Org 15 Org 15 Org 135.000.000 135.000.000 BKP3 Demplot Tanaman Kedelai Meningkatnya Tanaman Kedelai 20 Org 20 Org 20 Org 35.000.000 35.000.000 BKP3 Demplot Tanaman Padi Organik Terlaksananya Tanaman Padi Organik 30 Org 30 Org 30 Org 150.000.000 150.000.000 BKP3 Demplot Pengangkar Benih Meningkatnya Pengetahuan dan Penghasilan Petani 30 Org 30 Org 30 Org 210.000.000 210.000.000 BKP3 Rapat Posko Meningkatkan Pengetahuan Penyuluh Pertanian Lapangan 180 org 180 org 180 org 124.000.000 124.000.000 BKP3 Demplot Pembuatan Pupuk Organik Meningkatnya Pengetahuan Petani 30 Klpk 30 Klpk 30 Klpk 120.000.000 120.000.000 BKP3 Pengembangan Sapi Terciptanya Stok Sapi 6 Klpk 6 Klpk 6 Klpk 470.000.000 470.000.000 BKP3 Pembuatan Pakan Ternak Sapi Tersedianya Pakan Sapi 6 Klpk 6 Klpk 6 Klpk 108.000.000 108.000.000 BKP3 Rencana Program dan Kegiatan Prioritas Tahun 2015 Bidang Ketahanan Pangan Lembar : 53 dari 74
  • 239.
    SKPD Jenis Keg Ket Tolok Ukur TolokUkur 1/2/3 1/2/3 1/2/3 2 3 4 5 6 8 10 12 13 14 15 161 7 9 11 Target Target Nomor Urusan/Bidang Urusan Pemerintahan Daerah Dan Program/Kegiatan Prioritas Daerah Sasaran Daerah Lokasi Indikator kinerja Pagu Indikatif Prakiraan Maju Keterangan Hasil Program Keluaran Kegiatan Hasil Kegiatan Target Penyuluhan dan Bimbingan Pemanfaatan Produktifitas Lahan Tidur Meningkatkan Pendapatan Asli Daerah 1 Paket 1 Paket 1 Paket 340.000.000 340.000.000 BKP3 Pelatihan petani inseminasi buatan terlaksananya pelatihan petani 15 Org 15 Org 15 Org 225.000.000 225.000.000 BKP3 Magang Petani Hortikultura terlaksananya pelatihan petani 20 Org 20 Org 20 Org 140.000.000 140.000.000 BKP3 Demfarm petani tanaman pangan Tersedianya demfarm petani 18 Unit 18 Unit 18 Unit 126.000.000 126.000.000 BKP3 Demplot Petani Tanman Holtikultura Tersedianya demplot tanaman holtikultura 18 Unit 18 Unit 18 Unit 180.000.000 180.000.000 BKP3 Pelatihan Kewirausahaan Petani Terlaksananya Pelatihan kewirausahaan 20 Org 20 Org 20 Org 180.000.000 180.000.000 BKP3 Pengembangan Hortikultura Terlaksananya Penanaman Cabe Merah BKP3 Penanaman Cabe Merah Seluas ± 4 Ha 640.000.000 640.000.000 BKP3 Monitoring, Evaluasi dan Pembinaan 64.000.000 64.000.000 BKP3 Penanaman Bawang Merah Seluas ± 2Ha 320.000.000 320.000.000 BKP3 Monitoring, Evaluasi dan Pembinaan 32.000.000 32.000.000 BKP3 Pembangunan saung Tani Tersedianya wadah berkumpul petani 4 Unit 280.000.000 280.000.000 BKP3 Pengadaan Kenderaan Roda 2 Adanya kenderaan Operasional Penyuluhan 6 Unit 120.000.000 120.000.000 BKP3 Pengadaan Mobiler BPP Tersedianya mobiler BPP 6 Kec. 240.000.000 240.000.000 BKP3 Program Peningkatan Ketahanan Pangan Pertanian / Perkebunan - Terpenuhinya Kebutuhan Pangan 2.320.300.000 2.470.000.000 Analisa Rasio Jumlah Penduduk terhadap Jumlah Kebutuhan Pangan Padangsidimpuan Diperolehnya Data Jumlah Kebutuhan Pangan Penduduk serta tersusunnya Data PPH untuk Padangsidimpuan 1 paket 1 paket 60.000.000 60.000.000 BKP3 Pemanfaatan lahan pekarangan meningkatkan pendapatankeluarga 12 unit 12 unit 600.000.000 600.000.000 BKP3 Pengembangan Lumbung Pangan Masyarakat Terlaksananya Pengembangan Lumbung Pangan Masyarakat 2 Desa 2 Desa 170.000.000 170.000.000 BKP3 Pengembangan Desa Mandiri Pangan Terlaksananya Pengembangan Desa Mandiri Pangan 3 Desa 3 Desa 120.000.000 120.000.000 BKP3 Pemanfaatan Lahan Pekarangan Terlaksananya Pemanfaatan Lahan Pekarangan BKP3 Kec. Psp a.julu,batunadu a,tenggara, ht.baru Kec. Psp a.julu,batunadu a,tenggara, ht.baru Kec. Psp a.julu,batunadu a,tenggara, ht.baru Tenggara,bt dua Tenggara,bt dua 12 Desa di 6 kec se kota psp 12 Desa di 6 kec se kota psp Rencana Program dan Kegiatan Prioritas Tahun 2015 Bidang Ketahanan Pangan Lembar : 54 dari 74
  • 240.
    SKPD Jenis Keg Ket Tolok Ukur TolokUkur 1/2/3 1/2/3 1/2/3 2 3 4 5 6 8 10 12 13 14 15 161 7 9 11 Target Target Nomor Urusan/Bidang Urusan Pemerintahan Daerah Dan Program/Kegiatan Prioritas Daerah Sasaran Daerah Lokasi Indikator kinerja Pagu Indikatif Prakiraan Maju Keterangan Hasil Program Keluaran Kegiatan Hasil Kegiatan Target Bansos 360.000.000 360.000.000 BKP3 Monitoring, Evaluasi dan Pembinaan 240.000.000 240.000.000 BKP3 Pemberdayaan Kelompok Akses Pangan Terlaksananya pemberdayaan Kelompok 5 Desa 150.000.000 150.000.000 BKP3 Pengembangan Lumbung pangan masyarakat Terlaksananya Pengembangan lumbung pangan 1 Desa 250.000.000 250.000.000 BKP3 Analisa konsumsi kebutuhan pangan masyarakat terlaksananya survey analisa rasio lumlah penduduk terhadap jumlah kebutuhan pangan 6 Kec. 100.000.000 100.000.000 BKP3 Manggadong Agar petani memproduksi hasil lokal/ non beras 6 Kec. 100.000.000 100.000.000 BKP3 Gerakan makan Beragam, Bergizi, seimbang dan aman bagi ibu hamil, menyusui, SD/MI Agar masyarakat mengkonsumsi makanan B2SA 6 Kec. 160.000.000 160.000.000 BKP3 Analisa Rasio Jumlah Penduduk terhadap jumlah kebutuhan pangan ( PPH ) terlaksananya survey analisa rasio lumlah penduduk terhadap jumlah kebutuhan pangan 6 Kec. 10.300.000 160.000.000 BKP3 Program Pemberdayaan Penyuluh Pertanian / Perkebunan Lapangan 1.009.500.000 1.163.000.000 Demplot Penyuluh Tanaman Pangan Meningkatkan Pengetahuan Penyuluh 30 Org 30 Org 30 Org 150.000.000 150.000.000 BKP3 Demplot Penyuluh Tanaman Hortikultura Meningkatkan Pengetahuan Penyuluh 12 Org 12 Org 12 Org 115.000.000 115.000.000 BKP3 Demplot Penyuluh Perbenihan Padi Meningkatkan Pengetahuan Penyuluh 30 Org 30 Org 30 Org 150.000.000 150.000.000 BKP3 Demplot Penyuluh Pembibitan Perkebunan Meningkatkan Pengetahuan Penyuluh 12 Org 12 Org 12 Org 144.000.000 144.000.000 BKP3 Pelatihan Penyuluh Tanaman Holtikultura Terlaksananya pelatihan penyuluh 20 Org 20 Org 20 Org 140.000.000 140.000.000 BKP3 Operasional Penyuluh Swadaya Terlaksananya Operasional Penyuluh 12 Org 12 Org 12 Org 96.000.000 96.000.000 BKP3 Pengadaan Demplot Penyuluh Swadaya Adanya demplot penyuluh swadaya 12 Org 12 Org 12 Org 60.000.000 60.000.000 BKP3 Demplot Penyuluh Pertanian Adanya demplot penyuluh 44 Org 44 Org 44 Org 66.500.000 220.000.000 BKP3 12 Desa di 6 kec se kota psp 12 Desa di 6 kec se kota psp Rencana Program dan Kegiatan Prioritas Tahun 2015 Bidang Ketahanan Pangan Lembar : 55 dari 74
  • 241.
    SKPD Jenis Keg Ket Tolok Ukur TolokUkur 1/2/3 1/2/3 1/2/3 2 3 4 5 6 8 10 12 13 14 15 161 7 9 11 Target Target Nomor Urusan/Bidang Urusan Pemerintahan Daerah Dan Program/Kegiatan Prioritas Daerah Sasaran Daerah Lokasi Indikator kinerja Pagu Indikatif Prakiraan Maju Keterangan Hasil Program Keluaran Kegiatan Hasil Kegiatan Target Demplot Balai Penyuluh Pertanian Adanya demplot BPP 6 BPP 6 BPP 6 BPP 48.000.000 48.000.000 BKP3 Diklat Dasar Penyuluh Pertanian Lapangan Terlaksananya diklat dasar 4 Org 4 Org 4 Org 40.000.000 40.000.000 BKP3 Program Ketahanan Pangan dan diversifikasi pangan 2.030.000.000 Penguatan usaha kelompok dalam rangka peningkaatan Akses Pangan 5 desa 150.000.000 Pengembangan Lumbung pangan masyarakat 1 desa 250.000.000 Analisa konsumsi kebutuhan pangan masyarakat 6 kec 100.000.000 Manggadong 6 kec 100.000.000 Gerakan makan Beragam, Bergizi, seimbang dan aman bagi ibu hamil, menyusui, SD/MI 6 kec 160.000.000 Analisa Rasio Jumlah Penduduk terhadap jumlah kebutuhan pangan ( PPH ) 6 kec 160.000.000 Pemberdayaan kelompok wanita melalui pengembangan kawasan Rumah Pangan Lestari (KRPL) 6 kec 150.000.000 Pendampingan industri pengolahan pangan lokal dan tepung - tepungan pada kelompok Home Industri dan kelompok wanita tani 6 kec 120.000.000 Pemberdayaan masyarakat miskin melalui Program Aksi Gerakan Masyarakat Mandiri Pangan ( GEMA PANGAN) 6 kec 240.000.000 Pemberdayaan Daerah Rawan Pangan Transien dan Kronis 6 kec 200.000.000 Sistem Kewaspadaan Pangan dan Gizi (SKPG) 6 kec 100.000.000 Pembinaan dan Penanggulangan Gizi Kurang di Daerah Rawan Pangan 6 kec 150.000.000 Fasilitasi Koordinasi dan Penguatan Dewan Ketahanan Pangan Provinsi Sumatera Utara 6 kec 150.000.000 Program pemantapan sistem penyuluhan pertanian 1.998.000.000 Pembangunan Saung penyuluhan / Posluhdes Padangsidimpuan 4 unit 360.000.000 Pendampingan Penyuluh Pertanian, Perikanan dan Kehutanan di Lapangan Padangsidimpuan 30 0rg 300.000.000 Peningkatan Kualitas Penyuluh, Pelaku Utama / Pelaku Usaha Sumut 4 Org 60.000.000 Penguatan kelembagaan penyuluhan dan pelaku utama Sumut 30 unit 210.000.000 Pengembangan dan Penerapan Paket teknologi melalui demplot dan denfam Sumut 28 unit 308.000.000 Terlaksananya Pertemuan dengan Lembaga terkait, Swasta, KTNA, Perhiptani, Komisi Penyuluhan Sumut 2 kali 60.000.000 Rencana Program dan Kegiatan Prioritas Tahun 2015 Bidang Ketahanan Pangan Lembar : 56 dari 74
  • 242.
    SKPD Jenis Keg Ket Tolok Ukur TolokUkur 1/2/3 1/2/3 1/2/3 2 3 4 5 6 8 10 12 13 14 15 161 7 9 11 Target Target Nomor Urusan/Bidang Urusan Pemerintahan Daerah Dan Program/Kegiatan Prioritas Daerah Sasaran Daerah Lokasi Indikator kinerja Pagu Indikatif Prakiraan Maju Keterangan Hasil Program Keluaran Kegiatan Hasil Kegiatan Target Tersedianya Sarana dan Prasarana Penyuluhan Sumut 1 paket 700.000.000 Program Peningkatan Diversifikasi dan Ketahanan Pangan Masyarakat 1.653.000.000 Pengembangan ketersediaan dan penanganan Rawan Pangan (PDRP) 2 paket 2 paket 305.000.000 Pengembangan Sistem Distribusi dan Stabilitas Harga Pangan 4 kelompo k 4 kelompok 344.000.000 Pengembangan Penganekaragaman Konsumsi pangan dan Peningkatan Keamanan Pangan Segar 4 paket 4 paket 950.000.000 Dukungan Manajemen dan Teknis Lainnya Badan Ketahanan Pangan 2 paket 2 paket 54.000.000 Program Pemberdayaan Penyuluhan Pertanian/Perkebunan Lapangan 738.000.000 Penguatan Sistem Penyuluh Pertanian Padi 18 kelompo k 18 kelompok 387.500.000 Penguatan Sistem Penyuluh Pertanian Sapi/kerbau 3 kelompo k 3 kelompok 161.000.000 Penguatan Sistem Penyuluh Pertanian Jagung 12 kelompo k 12 kelompok 189.500.000 Rencana Program dan Kegiatan Prioritas Tahun 2015 Bidang Ketahanan Pangan Lembar : 57 dari 74
  • 243.
    SKPD Jenis KegKet Tolak Ukur Target Tolak Ukur Target Tolak Ukur Target 1/2/3 1/2/3 1/2/3 2 3 4 5 6 7 8 9 10 11 12 13 14 15 16 01 URUSAN WAJIB 01 22 BIDANG PEMBERDAYAAN MASYARAKAT DAN DESA 18.995.130.000 11.173.630.000 6.060.500.000 2.845.000.000 P1 Program Pelayanan Administrasi Perkantoran 418.000.000 433.000.000 Penyediaan Jasa Surat Menyurat Padangsidimpuan Terselenggaranya Admininstrasi Perkantoran 100% Terselenggaranya Admininstrasi Perkantoran 100% 25.000.000 5.000.000 BPMD Peny. Jasa Komunikasi, Sumber Daya Air dan Listrik Padangsidimpuan Tersedianya Komunikasi, SDA dan Listrik Kantor 100% Tersedianya Komunikasi, SDA dan Listrik Kantor 100% 36.000.000 50.000.000 BPMD Penyediaan Jasa Kebersihan Kantor Padangsidimpuan Tercapainya Kebersihan Kantor 100% Tercapainya Kebersihan Kantor 100% 32.500.000 35.000.000 BPMD Penyediaan ATK Padangsidimpuan Tersedianya Alat Tulis Kantor 100% Tersedianya Alat Tulis Kantor 100% 25.500.000 35.000.000 BPMD Penyediaan Barang Cetakan dan Penggandaan Padangsidimpuan Tersedianya Sarana dan Prasarana Perkantoran 100% Tersedianya Sarana dan Prasarana Perkantoran 100% 30.000.000 35.000.000 BPMD Penyediaan Makanan dan Minuman Padangsidimpuan Tersedianya Makanan dan Minuman Pegawai 100% Tersedianya Makanan dan Minuman Pegawai 100% 80.000.000 30.000.000 BPMD penyediaan bahan bacaan dan peraturan perundang-undangan 18.500.000 19.000.000 Rapat Rapat Koordinasi dan Konsultasi dalam dan Luar Daerah Dalam dan Luar Kota Psp Terselenggaranya Perjalanan Dinas 100% Terselenggaranya Perjalanan Dinas 100% 150.000.000 200.000.000 BPMD Penyediaan jasa Keamanan Kantor Padangsidimpuan Tercapainya Keamanan Kantor 100% Tercapainya Keamanan Kantor 100% 20.500.000 24.000.000 BPMD Program Peningkatan Sarana dan Prasarana Aparatur 503.000.000 475.000.000 Pengadaan Peralatan Gedung Kantor Padangsidimpuan Tersedianya Peralatan Kantor 100% Tersedianya Peralatan Kantor 100% 210.000.000 250.000.000 BPMD Pengadaan Perlengkapan Gedung Kantor Padangsidimpuan Tersedianya Perlengkapan Kantor 100% Tersedianya Perlengkapan Kantor 100% 60.000.000 15.000.000 BPMD Pengadaan Mebileur Padangsidimpuan Tersedianya Mebeleur Kantor 100% Tersedianya Mebeleur Kantor 100% 36.000.000 30.000.000 BPMD Pengadaan Pakaian Dinas Beserta Perlengkapan Padangsidimpuan Tersdianya Pakaian Dinas 100% Tersdianya Pakaian Dinas 100% 40.000.000 20.000.000 BPMD Pengadaan Pakaian Khusus dan Hari hari tertentu Padangsidimpuan Tersedianya Pakaian Hari hari tertentu 100% Tersedianya Pakaian Hari hari tertentu 100% 20.000.000 30.000.000 BPMD Pengadaan Peralatan Rumah Tangga Padangsidimpuan Tersedianya Peralatan Rumah tangga kantor 100% Tersedianya Peralatan Rumah tangga kantor 100% 40.000.000 15.000.000 BPMD Pemeliharaan Rutin/ Berkala Gedung Kantor Padangsidimpuan Terlaksananya Pemeliharaan Gedung kantor 100% Terlaksananya Pemeliharaan Gedung kantor 100% 10.500.000 25.000.000 BPMD Pemeliharaan Rutin/ Berkala Mobil Jabatan Padangsidimpuan Terpeliharanya Kenderaan Dinas Kantor 100% Terpeliharanya Kenderaan Dinas Kantor 100% 66.500.000 65.000.000 BPMD Pemeliharaan Rutin/Berkala Peralatan Gedung Kantor Padangsidimpuan Terpeliharanya Peralatan Kantor 100% Terpeliharanya Peralatan Kantor 100% 20.000.000 25.000.000 BPMD 1 Rencana Program dan Kegiatan Prioritas Daerah Tahun 2015 Kota Padangsidimpuan Nomor Urusan/Bidang Urusan Pemerintahan Daerah Dan Program/Kegiatan Prioritas Daerah Sasaran Daerah Lokasi Indikator kinerja Pagu Indikatif Prakiraan Maju Keterangan Hasil Program Keluaran Kegiatan Hasil Kegiatan Rencana Program dan Kegiatan Prioritas Tahun 2015 Bidang Pemberdayaan Masyarakat Lembar : 58 dari 74
  • 244.
    SKPD Jenis KegKet Tolak Ukur Target Tolak Ukur Target Tolak Ukur Target 1/2/3 1/2/3 1/2/3 2 3 4 5 6 7 8 9 10 11 12 13 14 15 161 Nomor Urusan/Bidang Urusan Pemerintahan Daerah Dan Program/Kegiatan Prioritas Daerah Sasaran Daerah Lokasi Indikator kinerja Pagu Indikatif Prakiraan Maju Keterangan Hasil Program Keluaran Kegiatan Hasil Kegiatan Program Peningkatan Kapasitas Sumber Daya Aparatur 100.000.000 125.000.000 Bimbingan Tekhnis Implementasi Peraturan Perundang undangan Meningkatkan sumber daya aparatur 1 Thn Meningkatkan sumber daya aparatur 1 Thn 50.000.000 75.000.000 BPMD Penyusunan Laporan capaian kinerja dan ikhtisar realisasi kinerja SKPD Padangsidimpuan Peningkatan Pengembangan sistem Pelaporan capaian kinerja dan Keuangan 1 Thn Peningkatan Pengembangan sistem Pelaporan capaian kinerja dan Keuangan 1 Thn 50.000.000 50.000.000 BPMD Program Peningkatan Keberdayaan masyarakat pedesaan 2.048.000.000 895.000.000 Penyelenggaraan Diseminasi Informasi bagi Masyarakat Desa Padangsidimpuan Termotifasinya Masyarakat untuk meningkatkan Keberdayaan dlm membangun Desa 100% Termotifasinya Masyarakat untuk meningkatkan Keberdayaan dlm membangun Desa 100% 92.500.000 130.000.000 BPMD Bimbingan Tekhnis BPD dalam tugas Di Desa 140.000.000 Sosialisasi 4 Pilar Kebangsaan Bagi Aparatur desa 130.000.000 bimbingan tekhnis Aparatur Pemerintah Desa 120.000.000 Sosialisasi pencegahan penggunaan Narkoba Bagi Masyarakat Desa 140.000.000 Pelatihan dan Pemanfaatan TTG dalam Ketrampilan Usaha/Industri Kerajinan 75.500.000 bimbingan tekhnis dan Fasilitasi UU No.6 Tentang Desa dan Penyuluhan Peraturan Desa, RPJMDes, dan RKP Desa 200.000.000 sosialisasi dan pelatihan LPM dalam Peningkatan fungsi LPM 270.000.000 pelatihan pemanfaatan sumber daya alam berbasis tekhnologi tepat guna (TTG) 115.000.000 Penyelenggaraan Diseminasi Informasi bagi Masyarakat Desa Padangsidimpuan Termotifasinya Masyarakat untuk meningkatkan Keberdayaan dlm membangun Desa 100% Termotifasinya Masyarakat untuk meningkatkan Keberdayaan dlm membangun Desa 100% 130.000.000 130.000.000 BPMD Rencana Program dan Kegiatan Prioritas Tahun 2015 Bidang Pemberdayaan Masyarakat Lembar : 59 dari 74
  • 245.
    SKPD Jenis KegKet Tolak Ukur Target Tolak Ukur Target Tolak Ukur Target 1/2/3 1/2/3 1/2/3 2 3 4 5 6 7 8 9 10 11 12 13 14 15 161 Nomor Urusan/Bidang Urusan Pemerintahan Daerah Dan Program/Kegiatan Prioritas Daerah Sasaran Daerah Lokasi Indikator kinerja Pagu Indikatif Prakiraan Maju Keterangan Hasil Program Keluaran Kegiatan Hasil Kegiatan Pengelolaan Sumber Daya Alam Berbasis TTG. 6 Kec Terbentuknya Posyantek hasil Revitalisasi. 100% Terbentuknya Posyantek hasil Revitalisasi. 100% 90.000.000 90.000.000 BPMD Pasilitasi Pemilihan Kepala Desa 42 Desa Terlaksananya Pemilihan Kepala Desa 100% Terlaksananya Pemilihan Kepala Desa 100% 420.000.000 420.000.000 BPMD Pelatihan Aparatur Desa dalam bidang Manajemen Pemerintahan Desa 42 Desa Termotifasinya Aparatur Desa untuk meningkatkan Pengetahuan dalam Manajemen dan Pengelolaan Keuangan Desa. 100% Termotifasinya Aparatur Desa untuk meningkatkan Pengetahuan dalam Manajemen dan Pengelolaan Keuangan Desa. 100% 125.000.000 125.000.000 BPMD Program Peningkatan partisipasi masyarakat dalam membangun desa 1.415.500.000 375.000.000 Pencanangan dan Pelaksanaan Bulan Bahkti Gotong Royong Masyarakat Padngsidimpuan, Provinsi dan Nasional Termotisifasinya keikutseraan Masyarakat dalam melaksanakan Gerakan Gotong Royong Masyarakat 100% Termotisifasinya keikutseraan Masyarakat dalam melaksanakan Gerakan Gotong Royong Masyarakat 100% 280.000.000 175.000.000 BPMD Penunjang Bantuan Program Pemberdayaan Desa 135.500.000 Pemilihan Kepala Desa 480.000.000 Belanja Opersional Badan Permusyawaratan Desa 370.000.000 Distribusi ADD/ADK Padangsidimpuan Terlaksananya pembangunan desa dengan keswadayaan masyarakat 100% Terlaksananya pembangunan desa dengan keswadayaan masyarakat 100% 150.000.000 200.000.000 BPMD Program Penyelenggaraan Disiminasi Informasi Bagi masyarakat 319.500.000 335.000.000 Mengikuti Jambore TTG Tingkat Provinsi Provinsi Meningkatkan Pemahaman Aparat dan Masyrakat tentang Pelastarian SDA dan Pemanfaatan TTG 100% Meningkatkan Pemahaman Aparat dan Masyrakat tentang Pelastarian SDA dan Pemanfaatan TTG 100% 134.500.000 165.000.000 BPMD Mengikuti Jambore TTG Tingkat Nasional Nasional Meningkatkan Pemahaman Aparat dan Masyrakat tentang Pelastarian SDA dan Pemanfaatan TTG 100% Meningkatkan Pemahaman Aparat dan Masyrakat tentang Pelastarian SDA dan Pemanfaatan TTG 100% 105.000.000 90.000.000 BPMD Peningkatan Peran Serta Masyarakat dalam Pemasyarakatan dan Pendayagunaan TTG Padangsidimpuan Terbentuknya Posyantek hasil Revitalisasi. 100% Terbentuknya Posyantek hasil Revitalisasi. 100% 80.000.000 80.000.000 BPMD Program Peningkatan Pemberdayaan Perempuan 1.256.500.000 207.000.000 Rencana Program dan Kegiatan Prioritas Tahun 2015 Bidang Pemberdayaan Masyarakat Lembar : 60 dari 74
  • 246.
    SKPD Jenis KegKet Tolak Ukur Target Tolak Ukur Target Tolak Ukur Target 1/2/3 1/2/3 1/2/3 2 3 4 5 6 7 8 9 10 11 12 13 14 15 161 Nomor Urusan/Bidang Urusan Pemerintahan Daerah Dan Program/Kegiatan Prioritas Daerah Sasaran Daerah Lokasi Indikator kinerja Pagu Indikatif Prakiraan Maju Keterangan Hasil Program Keluaran Kegiatan Hasil Kegiatan pelatihan Perempuan Diperdesaaan dalam bidang usaha Ekonomi Produktif 140.000.000 sosialisasi dan Pelatihan Peningkatan Partisipasi PKK dalam Pembangunan desa/Kelurahan 127.500.000 sosialisasi dan Revitalisasi Posyandu 248.000.000 Monitoring dan penilaian Desa Binaan PT.P2W- KSS 34.500.000 penunjang kegiatan TP. PKK Kota Padangsidimpuan 342.500.000 Monitoring dan Penilaian Desa Percontohan 10 program pokok PKK 87.000.000 bimbingan dan Pelatihan Informasi Manajemen PKK 70.000.000 Pembinaan Desa/ Kel/ PTP2WKSS/PKK Percontohan dan Daerah Menuju Wisata Padangsidimpuan Meningkatnya Keikutsertaan Perempuan Perdesaan dalam Pembangunan Desa/Kelurahan 100% Meningkatnya Keikutsertaan Perempuan Perdesaan dalam Pembangunan Desa/Kelurahan 100% 207.000.000 207.000.000 BPMD 12.934.630.000 8.328.630.000 P2 Program Peningkatan Sarana dan Prasarana Aparatur 56.000.000 250.000.000 Pengadaan Peralatan Gedung Kantor Padangsidimpuan Tersedianya Peralatan Kantor 100% Tersedianya Peralatan Kantor 100% 56.000.000 250.000.000 BPMD Program Peningkatan Kapasitas Sumber Daya Aparatur 300.000.000 100.000.000 Studi banding ke Luar Daearah Padangsidimpuan Meningkatkan Sumber Daya Aparatur 1 Thn Meningkatkan Sumber Daya Aparatur 1 Thn 200.000.000 50.000.000 BPMD Penyusunan Laporan capaian kinerja dan ikhtisar realisasi kinerja SKPD Padangsidimpuan Peningkatan Pengembangan sistem Pelaporan capaian kinerja dan Keuangan 1 Thn Peningkatan Pengembangan sistem Pelaporan capaian kinerja dan Keuangan 1 Thn 100.000.000 50.000.000 BPMD Program Peningkatan Keberdayaan Masyarakat Pedesaan 3.795.000.000 3.795.000.000 Penyusunan Legislasi Daerah Padangsidimpuan Terlaksananya Penyusunan Peraturan Daerah Tentang Desa/Kel 100% Terlaksananya Penyusunan Peraturan Daerah Tentang Desa/Kel 100% 100.000.000 100.000.000 BPMD Bantuan Operasional Lembaga dan Organisasi Masyarakat Desa/Kel 79 Des/Kel Meningkatkatkan Peran Lembaga sbg Mitra dalam pembangunan Desa/Kel 100% Meningkatkatkan Peran Lembaga sbg Mitra dalam pembangunan Desa/Kel 100% 790.000.000 790.000.000 BPMD Pasilitasi Penyusunan RPJM Desa dan RKP Desa 42 desa Tersedianya RPJM Desa dan RKP Desa yang terarah 100% Tersedianya RPJM Desa dan RKP Desa yang terarah 100% 150.000.000 150.000.000 BPMD Pengelolaan Sumber Daya Alam Berbasis TTG. 6 Kec Terbentuknya Posyantek hasil Revitalisasi. 100% Terbentuknya Posyantek hasil Revitalisasi. 100% 90.000.000 90.000.000 BPMD Penyelenggaraan Pendidikan dan Pelatihan Tekhnis Masyarakat (Kader Pemberdayaan Masyarakat) Padangsidimpuan Termotifasinya Masyarakat untuk meningkatkan Keberdayaan dlm membangun Desa 100% Termotifasinya Masyarakat untuk meningkatkan Keberdayaan dlm membangun Desa 100% 135.000.000 135.000.000 BPMD Pembinaan Admininstrasi Pemerintah Desa 42 Desa Terlaksananya Administrasi Pemerintahan Desa 100% Terlaksananya Administrasi Pemerintahan Desa 100% 280.000.000 280.000.000 BPMD Rencana Program dan Kegiatan Prioritas Tahun 2015 Bidang Pemberdayaan Masyarakat Lembar : 61 dari 74
  • 247.
    SKPD Jenis KegKet Tolak Ukur Target Tolak Ukur Target Tolak Ukur Target 1/2/3 1/2/3 1/2/3 2 3 4 5 6 7 8 9 10 11 12 13 14 15 161 Nomor Urusan/Bidang Urusan Pemerintahan Daerah Dan Program/Kegiatan Prioritas Daerah Sasaran Daerah Lokasi Indikator kinerja Pagu Indikatif Prakiraan Maju Keterangan Hasil Program Keluaran Kegiatan Hasil Kegiatan Pasilitasi Peningkatan Desa Menjadi Kelurahan 10 Desa Termotifasinya keswadayaan masyarakat Pembangunan Desa 100% Termotifasinya keswadayaan masyarakat Pembangunan Desa 100% 2.250.000.000 2.250.000.000 BPMD Program Peningkatan Partisipasi Masyarakat Dalam Membangun Desa 8.703.630.000 4.103.630.000 Pembangunan Kantor Kepala Desa 29 Desa Terlaksananya sarana dan prasarana pemerintah desa 100% 100% 4.600.000.000 BPMD Bantuan Keuangan Bagi Pemerintah Desa 42 desa Pembangunan desa dengan keswadayaan masyarakat 100% 100% 2.100.000.000 2.100.000.000 BPMD Pelaksanaan Perlombaan Desa dan Perlombaan Kelurahan Padangsidimpuan Termotifasinya Keikutbsertaan Masyarakat dalam Pembangunan Desa. 100% Termotifasinya Keikutbsertaan Masyarakat dalam Pembangunan Desa. 100% 130.000.000 130.000.000 BPMD Penyusunan Profil Desa dan Kelurahan Padangsidimpuan Terlaksananya Program dlm Penyusunan Profil di 6 Kecamatan 100% Terlaksananya Program dlm Penyusunan Profil di 6 Kecamatan 100% 1.873.630.000 1.873.630.000 BPMD Program Penyelenggaraan Disiminasi Informasi Bagi Masyarakat 80.000.000 80.000.000 Peningkatan Peran Serta Masyarakat dalam Pemasyarakatan dan Pendayagunaan TTG Padangsidimpuan Terbentuknya Posyantek hasil Revitalisasi. 100% Terbentuknya Posyantek hasil Revitalisasi. 100% 80.000.000 80.000.000 BPMD Rencana Program dan Kegiatan Prioritas Tahun 2015 Bidang Pemberdayaan Masyarakat Lembar : 62 dari 74
  • 248.
    SKPD Jenis Keg Ket Tolok Ukur TolokUkur Tolok Ukur 1/2/3 1/2/3 1/2/3 2 3 4 5 6 8 10 12 13 14 15 16 01 URUSAN WAJIB 01 25 BIDANG KOMUNIKASI DAN INFORMATIKA 352.560.000 375.416.000 257.560.000 270.916.000 P1 Program Pengembangan Komunikasi, Informasi dan Media Massa 194.000.000 203.000.000 Pembinaan dan Pengembangan Sumber daya Komunikasi dan Informasi 30.000.000 33.000.000 DISHUB Pengadaan alat studio dan komunikasi 8.000.000 10.000.000 DISHUB Pengkajian dan Pengembangan Sistem Informasi 58.000.000 60.000.000 DISHUB Perencanaan dan Pengembangan kebijakan komunikasi dan informasi 98.000.000 100.000.000 DISHUB Program Kerjasama Informasi Dengan Mass Media 63.560.000 67.916.000 Penyebarluasan Informasi yang Barsifat Penyuluhan Bagi Masyarakat DISHUB Informasi yang Tersampaikan Kepada Masyarakat 100 Penyebarluasan Informasi 100 Informasi yang Tersampaikan Kepada Masyarakat 100 23.560.000 25.916.000 DISHUB Penyebarluasan Informasi pembangunan daerah DISHUB 40.000.000 42.000.000 DISHUB 95.000.000 104.500.000 P2 Program Fasilitas Peningkatan SDM Bidang Komunikasi dan Informasi 95.000.000 104.500.000 Pementasan Media Tradisional Dalam Bidang Komunikasi dan Informasi se Sumatera Utara DISHUB Mempromosikan Budaya Tradisional 100 Mengikuti Pementasan Budaya 100 Mempromosikan Budaya Tradisional 100 30.000.000 33.000.000 DISHUB Pelatihan SDM Dalam Bidang Komunikasi dan Informasi DISHUB Peningkatan SDM 100 Kursus-kursus 100 Peningkatan SDM 100 40.000.000 44.000.000 DISHUB Mengikuti Pementasan Media Tradisional Dalam Bidang Komunikasi dan Informasi se Sumatera Utara DISHUB Mempromosikan budaya daerah Mengikuti pementasan budaya tradisional Mempromosikan budaya daerah 25.000.000 27.500.000 DISHUB Rencana Program dan Kegiatan Prioritas Daerah Tahun 2015 Kota Padangsidimpuan Nomor Urusan/Bidang Urusan Pemerintahan Daerah Dan Program/Kegiatan Prioritas Daerah Sasaran Daerah Lokasi Indikator kinerja Pagu Indikatif (Rp) Keterangan Hasil Program Keluaran Kegiatan Hasil Kegiatan Target Target Prakiraan Maju (Rp) Target 1 7 9 11 Rencana Program dan Kegiatan Prioritas Tahun 2015 Bidang Informatika Lembar : 63 dari 74
  • 249.
    SKPD Jenis KegKet Tolok Ukur Tolok Ukur Tolok Ukur 1/2/3 1/2/3 1/2/3 2 3 4 5 6 8 10 12 13 14 15 16 02 URUSAN PILIHAN 02 01 BIDANG PERTANIAN 13.219.625.000 3.314.500.000 4.297.500.000 1.914.500.000 P1 Program Pelayanan Administrasi Perkantoran 1.119.500.000 1.169.500.000 Penyediaan Jasa Komunikasi, Sumberdaya Air dan Listrik Padangsidimpuan Dimanfaatkannya telepon, air dan listrik Dimanfaatkannya telepon, air dan listrik 40.000.000 40.000.000 Dinas P2KD Penyediaan Jasa Pemeliharaan dan Perizinan Kendaraan Dinas/Operasional Padangsidimpuan Dimanfaatkannya kendaraan dinas untuk tugas kedinasan Dimanfaatkannya kendaraan dinas untuk tugas kedinasan 21.000.000 23.000.000 Dinas P2KD Penyediaan Jasa Kebersihan Kantor Padangsidimpuan Lingkungan Kantor Besih Lingkungan Kantor Besih 62.000.000 65.000.000 Dinas P2KD Penyediaan Jasa Perbaikan Peralatan Kantor Padangsidimpuan Dimanfaatkannya peralatan untuk tugas kedinasan Dimanfaatkannya peralatan untuk tugas kedinasan 21.000.000 25.000.000 Dinas P2KD Penyediaan ATK Padangsidimpuan Dimanfaatkannya ATK untuk tugas kedinasan Dimanfaatkannya ATK untuk tugas kedinasan 70.000.000 65.000.000 Dinas P2KD Penyediaan Barang Cetakan dan Penggandaan Padangsidimpuan Dimanfaatkannya barang cetakan dan penggandaan Dimanfaatkannya barang cetakan dan penggandaan 22.000.000 25.000.000 Dinas P2KD Penyediaan Komponen Instalasi Listrik/Penerangan Bangunan Kantor Padangsidimpuan Listrik berfungsi dengan baik Listrik berfungsi dengan baik 16.000.000 18.000.000 Dinas P2KD Penyediaan Peralatan dan Perlengkapan Kantor Padangsidimpuan Dimanfaatkannya peralatan dan perlengkapan kantor untuk tugas kedinasan berupa Laptop dan Komputer,Printer,Filling Kabinet, mini brankas dan Gorden) Dimanfaatkannya peralatan dan perlengkapan kantor untuk tugas kedinasan berupa Laptop dan Komputer,Printer,Filling Kabinet, mini brankas dan Gorden) 53.000.000 55.000.000 Dinas P2KD Penyediaan peralatan rumah tangga Padangsidimpuan 32.000.000 35.000.000 Dinas P2KD Penyediaan Bahan Bacaan dan Peraturan Perundang-undangan Padangsidimpuan Dimanfaatkannya informasi dari bahan bacaan dan peraturan perundang- undangan untuk menambah pengetahuan aparatur Dimanfaatkannya informasi dari bahan bacaan dan peraturan perundang- undangan untuk menambah pengetahuan aparatur 17.500.000 20.000.000 Dinas P2KD Penyediaan Makanan dan Minuman Padangsidimpuan Dibayarkannya uang makan pegawai Dibayarkannya uang makan pegawai 150.000.000 160.000.000 Dinas P2KD Rapat-rapat Koordinasi dan Konsultasi ke Luar Daerah Padangsidimpuan Dipedomaninya notulen rapat koordinasi dan konsultasi Dipedomaninya notulen rapat koordinasi dan konsultasi 500.000.000 520.000.000 Dinas P2KD Rapat-rapat Koordinasi dan Konsultasi ke dalam Daerah Padangsidimpuan Dipedomaninya notulen rapat koordinasi dan konsultasi Dipedomaninya notulen rapat koordinasi dan konsultasi 18.000.000 18.500.000 Dinas P2KD Penyediaan jasa administrasi perknatoran Padangsidimpuan 35.000.000 37.000.000 Dinas P2KD Rencana Program dan Kegiatan Prioritas Daerah Tahun 2015 Kota Padangsidimpuan Nomor Urusan/Bidang Urusan Pemerintahan Daerah Dan Program/Kegiatan Prioritas Daerah Sasaran Daerah Lokasi Indikator kinerja Pagu Indikatif Prakiraan Maju Keterangan Hasil Program Keluaran Kegiatan Hasil Kegiatan Target Target Target 1 7 9 11 Rencana Program dan Kegiatan Prioritas Tahun 2015 Bidang Pertanian Lembar : 64 dari 74
  • 250.
    2 3 45 6 8 10 12 13 14 15 161 7 9 11 Penyediaan jasa keamanan kantor Padangsidimpuan 62.000.000 63.000.000 Dinas P2KD Program Peningkatan Sarana dan Prasarana Aparatur 334.000.000 344.500.000 Pemeliharaan Rutin/Berkala Mobil jabatan Padangsidimpuan Berfungsinya dengan baik kendaraan dinas/operasional untuk tugas kedinasan Berfungsinya dengan baik kendaraan dinas/operasional untuk tugas kedinasan 40.000.000 42.000.000 Dinas P2KD Pemeliharaan rutin/berkala gedung kantor Padangsidimpuan 203.000.000 205.000.000 Dinas P2KD Pemeliharaan rutin/berkala perelengkapan gedung kantor Padangsidimpuan 20.000.000 23.000.000 Dinas P2KD Pemeliharaan rutin/berkala mobiler Padangsidimpuan 4.000.000 4.500.000 Dinas P2KD Pemeliharaan Rutin/Berkala Kenderaan dinas operasional Padangsidimpuan Berfungsinya dengan baik kendaraan dinas/operasional untuk tugas kedinasan Berfungsinya dengan baik kendaraan dinas/operasional untuk tugas kedinasan 67.000.000 70.000.000 Dinas P2KD Program Peningkatan Kapasitas Sumberdaya Aparatur 30.000.000 40.000.000 Pendidikan dan Pelatihan Formal Padangsidimpuan Peningkatan pengetahuan aparatur Peningkatan pengetahuan aparatur 30.000.000 40.000.000 Dinas P2KD Program Peningkatan Disiplin Aparatur 66.000.000 67.000.000 Pengadaan Pakaian Dinas beserta perlengkapannya Padangsidimpuan Meningkatnya disiplin aparatur Meningkatnya disiplin aparatur 35.000.000 35.000.000 Dinas P2KD Pengadaan Pakaian Khusus Hari-hari Tertentu Padangsidimpuan Meningkatnya disiplin aparatur Meningkatnya disiplin aparatur 31.000.000 32.000.000 Dinas P2KD Program Peningkatan Sistem Pelaporan Capaian Kinerja dan Keuangan 36.000.000 32.500.000 Penyusunan laporan capaian kinerja dan Ikhtisar realisasi kinerja SKPD Padangsidimpuan Dimanfaatkannya informasi dalam laporan Dimanfaatkannya informasi dalam laporan 14.000.000 10.000.000 Dinas P2KD Penyusunan laporan prognosis realisasi anggaran Padangsidimpuan Dimanfaatkannya informasi dalam laporan Dimanfaatkannya informasi dalam laporan 22.000.000 22.500.000 Dinas P2KD Program Peningkatan Pemasaran Hasil Produksi Pertanian/ Perkebunan 64.000.000 66.000.000 Promosi atas hasil Produksi pertanian/Perkebunan unggulan daerah 64.000.000 66.000.000 Dinas P2KD Program Peningkatan Produksi Pertanian/ Perkebunan 2.455.000.000 - Pengembangan Bibit Unggul pertanian/perkebunan 43.000.000 Dinas P2KD Penyediaan sarana produksi perkebunan 42.000.000 Dinas P2KD Penyediaan sarana produksi pertanian/perkebunan Padangsidimpuan Tersedianya sarana dan prasarana pertanian/perkebunan Tersedianya sarana dan prasarana pertanian/perkebunan 2.370.000.000 Dinas P2KD Program Peningkatan Kesejahteraan Petani 37.000.000 40.000.000 Peningkatan kemampuan lembaga petani Padangsidimpuan Meningkatnya keterampilan petani Meningkatnya keterampilan petani 37.000.000 40.000.000 Dinas P2KD Program Peningkatan Produksi Hasil Peternakan 83.000.000 85.000.000 Rencana Program dan Kegiatan Prioritas Tahun 2015 Bidang Pertanian Lembar : 65 dari 74
  • 251.
    2 3 45 6 8 10 12 13 14 15 161 7 9 11 Pendistribusian bibit ternak kepada masyarakat 83.000.000 85.000.000 Dinas P2KD Program Pencegahan dan Penanggulangan Penyakit Ternak 73.000.000 70.000.000 Pemeliharaan Kesehatan dan Pencegahan Penyakit Menular Ternak Padangsidimpuan Berkurangnya populasi ternak yang terkena penyakit menular Berkurangnya populasi ternak yang terkena penyakit menular 73.000.000 70.000.000 Dinas P2KD 8.922.125.000 1.400.000.000 P2 Program Pelayanan Administrasi Perkantoran 50.000.000 50.000.000 Penyediaan Jasa Peralatan dan Perlengkapan Kantor Padangsidimpuan Dimanfaatkannya peralatan dan perlengkapan kantor Dimanfaatkannya peralatan dan perlengkapan kantor 50.000.000 50.000.000 Dinas P2KD Program Peningkatan Sarana dan Prasarana Aparatur 268.125.000 290.000.000 Rehab Sedang/Berat Gedung Kantor Padangsidimpuan Terlaksananya dengan baik Pemasangan Keramik Kantor seluas ± 138 M2 (Ruang Kerja dan Musholla) Terlaksananya dengan baik Pemasangan Keramik Kantor seluas ± 138 M2 (Ruang Kerja dan Musholla) 43.125.000 50.000.000 Dinas P2KD Balai Benih Ikan Padangsidimpuan Dimanfaatkannya alat dan bahan operasional Balai Benih Ikan Dimanfaatkannya alat dan bahan operasional Balai Benih Ikan 75.000.000 80.000.000 Dinas P2KD Balai Kesehatan Hewan dan Inseminasi Buatan Padangsidimpuan Dimanfaatkannya alat dan bahan operasional Balai Kesehatan Hewan dan Inseminasi Buatan Dimanfaatkannya alat dan bahan operasional Balai Kesehatan Hewan dan Inseminasi Buatan 75.000.000 80.000.000 Dinas P2KD Balai Benih Induk Hortikultura Padangsidimpuan Dimanfaatkannya alat dan bahan operasional Balai Benih Induk Hortikultura Dimanfaatkannya alat dan bahan operasional Balai Benih Induk Hortikultura 75.000.000 80.000.000 Dinas P2KD Program Peningkatan Sistem Pelaporan Capaian Kinerja dan Keuangan 4.000.000 10.000.000 Penyusunan pelaporan keuangan akhir tahun Padangsidimpuan Dimanfaatkannya informasi dalam laporan Dimanfaatkannya informasi dalam laporan 4.000.000 10.000.000 Dinas P2KD Program Peningkatan Produktivitas Pertanian/Perkebunan 350.000.000 700.000.000 Bantuan benih,pupuk dan obat-obatan kepada masyarakat Padangsidimpuan Dimanfaatkannya sarana dan prasarana teknologi pertanian tepat guna Dimanfaatkannya sarana dan prasarana teknologi pertanian tepat guna 350.000.000 700.000.000 Dinas P2KD Program Peningkatan Kesejahteraan Petani 200.000.000 300.000.000 Pelatihan petani dan pelaku agribisnis Padangsidimpuan Meningkatnya keterampilan petani Meningkatnya keterampilan petani 100.000.000 200.000.000 Dinas P2KD Program Peningkatan Produksi Peternakan 100.000.000 100.000.000 Kegiatan penyuluhan penerapan teknologi peternakan tepat guna Padangsidimpuan Dimanfaatkannya sarana dan prasarana teknologi peternakan tepat guna Dimanfaatkannya sarana dan prasarana teknologi peternakan tepat guna 100.000.000 100.000.000 Dinas P2KD Program Peningkatan Produksi Peternakan 950.000.000 Pengembangan Budidaya Unggas Lokal ( itik) di Pedesaan Padangsidimpuan Peningkatan Produksi dan produktifitas peternakan unggas (itik) di Kota Padangsidimpuan 100 ekor 150.000.000 Dinas P2KD Pengembangan Budidaya Sapi potong Padangsidimpuan Peningkatan Produksi dan produktifitas peternakan sapi potong di Kota Padangsidimpuan 20 ekor 300.000.000 Dinas P2KD Rencana Program dan Kegiatan Prioritas Tahun 2015 Bidang Pertanian Lembar : 66 dari 74
  • 252.
    2 3 45 6 8 10 12 13 14 15 161 7 9 11 Pengembangan Budidaya ternak kambing Padangsidimpuan Peningkatan Produksi dan produktifitas peternakan kambing di Kota Padangsidimpuan 60 ekor 300.000.000 Dinas P2KD Pengadaan mesin penetas telur Padangsidimpuan Peningkatan Produksi dan produktifitas peternakan unggas di Kota Padangsidimpuan 25 unit 50.000.000 Dinas P2KD Pengadaan peralatan inseminasi buatan Padangsidimpuan Peningkatan Produksi dan produktifitas ternak besar di Kota Padangsidimpuan 1 paket 150.000.000 Dinas P2KD Program Peningkatan Produksi Pertanian/Perkebunan 1.520.000.000 Penyediaan Sarana Produksi Pertanian/Perkebunan 750.000.000 Dinas P2KD Pembangunan/ Rehabilitasi Jaringan Irigasi Desa Peningkatan sarana prasarana pertanian 700.000.000 Dinas P2KD Optimalisasi Lahan Pertanian Tanaman Pangan Peningkatan sarana prasarana pertanian 70.000.000 Dinas P2KD Program Peningkatan Produksi Tanaman Pangan 80.000.000 Pengembangan Penangkar Benih (Benih Padi) Peningkatan Produksi,produktifitas dan daya saing produk 10 Ha 80.000.000 Dinas P2KD Program Pengembangan Teknologi Pertanian 5.300.000.000 Pengembangan Jalan Pertanian Peningkatan Produksi,produktifitas dan daya saing produk pertanian, kelautan dan perikanan 2000 m 600.000.000 Dinas P2KD Optimalisasi Lahan Peningkatan Produksi,produktifitas dan daya saing produk pertanian, kelautan dan perikanan 700 Ha 2.100.000.000 Dinas P2KD Pengembangan/Rehabilitasi Jaringan Irigasi Peningkatan Produksi,produktifitas dan daya saing produk pertanian, kelautan dan perikanan 2000Ha 2.600.000.000 Dinas P2KD Program Pengembangan Agribisnis 150.000.000 Pengadaan alat mesin sarana paska panen (power treser) Peningkatan Produksi,produktifitas dan daya saing produk pertanian, kelautan dan perikanan 10 unit 150.000.000 Dinas P2KD Rencana Program dan Kegiatan Prioritas Tahun 2015 Bidang Pertanian Lembar : 67 dari 74
  • 253.
    SKPD Jenis KegKet Tolok Ukur Tolok Ukur 1/2/3 1/2/3 1/2/3 2 3 4 5 6 8 10 12 13 14 15 16 02 URUSAN PILIHAN 02 02 BIDANG KEHUTANAN 2.420.000.000 850.000.000 1.630.000.000 350.000.000 P1 Program Perlindungan dan Konservasi Sumber Daya Hutan 100.000.000 150.000.000 Penyuluhan kesadaran masyarakat mengenai dampak kerusakan hutan Padangsidimpuan Meningkatnya kesadaran masyarakat Meningkatnya kesadaran masyarakat 100.000.000 150.000.000 Dinas P2KD Program Rehabilitasi Hutan dan Lahan 1.530.000.000 200.000.000 Pengadaan sarana dan prasarana rehabilitasi hutan dan lahan 550.000.000 Dinas P2KD Pembuatan DAM pengendali 350.000.000 Dinas P2KD Penghijaun lingkungan 350.000.000 Dinas P2KD Pembuatan kebun bibit desa 160.000.000 Dinas P2KD Peningkatan Peran Serta Masyarakat dalam Rehabilitasi Hutan dan Lahan Padangsidimpuan Berkurangnya lahan kritis Berkurangnya lahan kritis 120.000.000 200.000.000 Dinas P2KD 790.000.000 500.000.000 P2 Program Rehabilitasi Hutan dan Lahan 490.000.000 300.000.000 Peningkatan Peran serta masyarakat dalam rehabilitasi hutan dan lahan Padangsidimpuan Berkurangya lahan kritis 370.000.000 300.000.000 Dinas P2KD Penanaman Pohon dan Gerakan Kebersihan Lingkungan pada Peringatan Hari-hari Besar Nasional 120.000.000 Dinas P2KD Program Perlindungan dan Konservasi Sumber Daya Hutan 300.000.000 200.000.000 Penyuluhan Kesadaran masyarakat mengenai dampak kerusakan hutan Padangsidimpuan Meningkatnya kelestarian hutan 250.000.000 200.000.000 Dinas P2KD Koordinasi Penyelenggaraan Reboisasi dan Penghijauan Hutan 50.000.000 Dinas P2KD Rencana Program dan Kegiatan Prioritas Daerah Tahun 2015 Kota Padangsidimpuan Nomor Urusan/Bidang Urusan Pemerintahan Daerah Dan Program/Kegiatan Prioritas Daerah Sasaran Daerah Lokasi Indikator kinerja Pagu Indikatif Keterangan Hasil Program Keluaran Kegiatan Hasil Kegiatan Target Target Prakiraan Maju Target 1 7 9 11 Rencana Program dan Kegiatan Prioritas Tahun 2015 Bidang Kehutanan Lembar : 68 dari 74
  • 254.
    SKPD Jenis KegKet Tolok Ukur Tolok Ukur 1/2/3 1/2/3 1/2/3 2 3 4 5 6 8 10 12 13 14 15 16 02 URUSAN PILIHAN 02 05 BIDANG KELAUTAN DAN PERIKANAN 8.006.000.000 1.758.000.000 2.756.000.000 1.758.000.000 P1 Program Pengembangan Budidaya Perikanan 2.756.000.000 1.758.000.000 Pengembangan Bibit Ikan Unggul 56.000.000 58.000.000 Dinas P2KD Pembinaan dan Pengembangan Perikanan Padangsidimpuan Meningkatnya produksi perikanan Meningkatnya produksi perikanan 2.700.000.000 1.700.000.000 Dinas P2KD 5.250.000.000 P2 Program Pengembangan Budidaya Perikanan 5.250.000.000 Pengadaan benih ikan patin dan gurame unggul BBI Peningkatan kualitas benih 1 paket 200.000.000 Dinas P2KD Pengadaan calon induk unggul Padangsidimpuan Peningkatan kualitas induk 1 paket 100.000.000 Dinas P2KD Peningkatan sarana dan prasarana penunjang usaha budidaya air tawar (pengadaan kenderaan roda 3 untuk BBI dan UPR ) Padangsidimpuan Meningkatnya produksi perikanan budidaya dan pendapatan pembudidaya 5 unit 250.000.000 Dinas P2KD Pengadaan pakan ikan Padangsidimpuan Peningkatan produksi ikan 1 paket 100.000.000 Dinas P2KD Pengadaan benih ikan lubuk larangan (restocking) Padangsidimpuan Terpeliharanya ekosistem perairan umum 20 lokasi 100.000.000 Dinas P2KD Penyediaan Induk /calon induk dan pakan Padangsidimpuan Peningkatan kualitas benih ikan 50 petani ikan 250.000.000 Dinas P2KD Pengadaan Peralatan BBI/ UPR/ HCRT Padangsidimpuan Tersedianya peralatan 1 BBI,10 UPR, 200.000.000 Dinas P2KD Pengembangan sarana dan prasarana Balai Benih Ikan Padangsidimpuan Peningkatan produksi perikanan 1 kegiatan 500.000.000 Dinas P2KD Pengembangan Perbenihan Rakyat (HCRT) Padangsidimpuan Bertambahnya peluang usaha rumah tangga 20 RT 1.500.000.000 Dinas P2KD Rehabilitasi kolam rakyat Padangsidimpuan Peningkatan kualitas kolam 15 unit kolam 450.000.000 Dinas P2KD Pegembangan kelompok pembudidaya ikan ( pmuk ) Padangsidimpuan 20 kel 400.000.000 Dinas P2KD Pengadaan peralatan untuk pembudidaya ikan ( pmuk ) Padangsidimpuan Tersedianya peralatan 18 kel 300.000.000 Dinas P2KD Pengembangan usaha mina pedesaan perikanan budidaya Padangsidimpuan Meningkatnya diversifikasi usaha pedesaan 5 kel 900.000.000 Dinas P2KD Rencana Program dan Kegiatan Prioritas Daerah Tahun 2015 Kota Padangsidimpuan Nomor Urusan/Bidang Urusan Pemerintahan Daerah Dan Program/Kegiatan Prioritas Daerah Sasaran Daerah Lokasi Indikator kinerja Pagu Indikatif Keterangan Hasil Program Keluaran Kegiatan Hasil Kegiatan Target Target Prakiraan Maju Target 1 7 9 11 Rencana Program dan Kegiatan Prioritas Tahun 2015 Bidang Perikanan Lembar : 69 dari 74
  • 255.
    SKPD Jenis KegKet Tolok Ukur Tolok Ukur 1/2/3 1/2/3 1/2/3 2 3 4 5 6 8 10 12 13 14 15 16 02 URUSAN PILIHAN 02 06 BIDANG PERDAGANGAN 2.145.478.000 835.000.000 665.000.000 200.000.000 P1 Program Perlindungan Konsumen dan Pengamanan Perdagangan 55.000.000 85.000.000 Peningkatan Pengawasan Peredaran Barang dan jasa Terlindunginya Pelaku Usahan dan Konsumen 1 Thn Terlaksananya Pengawasan Barang dan Jas 1 Thn Terlindunginya Pelaku Usahan dan Konsumen 1 Thn 55.000.000 85.000.000 Diskop, UKM, Perindag & Pasar Program Peningkatan Efesiensi Perdagangan Dalam Negeri 610.000.000 115.000.000 Pengembangan Pasar dan Distributor Barang/Produk 1 Thn 1 Thn 1 Thn 26.000.000 30.000.000 Diskop, UKM, Perindag & Pasar Pengembangan kelembagaan kerjasama kemitraan 1 Thn 1 Thn 1 Thn 23.000.000 25.000.000 Diskop, UKM, Perindag & Pasar Peningkatan Sistem Jaringan Informasi Perdagangan Tersedianya Data sebagai bahan kebijakan dalam membuat suatu keputusan 1 Thn Terlaksananya Pendataan dan Evaluasi Perkembangan Harga Pokok dan Strategis lainnya 1 Thn Tersedianya Data sebagai bahan kebijakan dalam membuat suatu keputusan 1 Thn 40.000.000 60.000.000 Diskop, UKM, Perindag & Pasar Fasilitasi peningkatan pelyanan pasar/sarana pendukung pasar lainnya 1 Thn 1 Thn 1 Thn 415.000.000 Diskop, UKM, Perindag & Pasar Pendataan dan Penetapan Retribusi 1 Thn 1 Thn 1 Thn 90.000.000 Diskop, UKM, Perindag & Pasar Penyusunan dan pengajuan ranperda menjadi perda 1 Thn 1 Thn 1 Thn 16.000.000 Diskop, UKM, Perindag & Pasar 1.480.478.000 635.000.000 P2 Program Peningkatan Efisiensi Perdagangan 300.000.000 Bantuan Peralatan Tenda Bagi Pedagang Kaki Lima Pasar tradisional Pijorkoling,Sitamiang,Hutaimbaru,L osung Batu Meningkatkan Kebersihan Pasar 120 paket 120 paket 120 paket 300.000.000 Diskop, UKM, Perindag & Pasar Program Peningkatan Efisiensi Perdagangan Dalam Negeri 950.478.000 360.000.000 Rehabilitasi/Peningkatan Sarana dan Prsarana Pasar Tradisional Dalihan Natolu Kel. Sadabuan Psp Utara Peningkatan kualitas/ s 1 paket 350.000.000 Diskop, UKM, Perindag & Pasar Rencana Program dan Kegiatan Prioritas Daerah Tahun 2015 Kota Padangsidimpuan Nomor Urusan/Bidang Urusan Pemerintahan Daerah Dan Program/Kegiatan Prioritas Daerah Sasaran Daerah Lokasi Indikator kinerja Prakiraan Maju Keterangan Hasil Program Keluaran Kegiatan Hasil Kegiatan Target Pagu Indikatif Target Target 1 7 9 11 Rencana Program dan Kegiatan Prioritas Tahun 2015 Bidang Perdagangan Lembar : 70 dari 74
  • 256.
    SKPD Jenis KegKet Tolok Ukur Tolok Ukur 1/2/3 1/2/3 1/2/3 2 3 4 5 6 8 10 12 13 14 15 16 Nomor Urusan/Bidang Urusan Pemerintahan Daerah Dan Program/Kegiatan Prioritas Daerah Sasaran Daerah Lokasi Indikator kinerja Prakiraan Maju Keterangan Hasil Program Keluaran Kegiatan Hasil Kegiatan Target Pagu Indikatif Target Target 1 7 9 11 Rehabilitasi/Peningkatan Sarana dan Prsarana Pasar Tradisional Saroha Kel Pdg Matinggi Psp Selatan kualitas infrastruktur 1 paket 350.000.000 Diskop, UKM, Perindag & Pasar Peningkatan Pelayanan Pasar/Sarana Pasar Lainnya Terciptanya Pasar Asri 1 Thn Pemeliharaan dan Rehap Pasar 1 Thn Terciptanya Pasar Asri 1 Thn 130.478.000 160.000.000 Diskop, UKM, Perindag & Pasar Pengembangan Kerjasama Kemitraan tersedianya peluang pasar 1 Thn Kerjasama kemitraan antara pemerintahan daerah/usaha dan antar pelaku usaha 1 Thn tersedianya peluang pasar 1 Thn 70.000.000 130.000.000 Diskop, UKM, Perindag & Pasar Sosialisasi dan Publikasi Pemasaran Hasil Agrobisnis Pengenalan Produk Hasil Agrobisnis 1 Thn Terlaksananya Sosialisasi kepada pedagang hasil agrobisnis 1 Thn Pengenalan Produk Hasil Agrobisnis 1 Thn 50.000.000 70.000.000 Diskop, UKM, Perindag & Pasar Program Peningkatan Perdagangan Luar Negeri 75.000.000 85.000.000 Pelatihan Peningkatan Bahan Olah Komiditi Ekspor Meningkatnya Daya Saing Komiditi Ekspor 1 Thn Terlaksananya Pelatihan BOKOR ( Bahan Komiditi Ekspor ) 1 Thn Meningkatnya Daya Saing Komiditi Ekspor 1 Thn 75.000.000 85.000.000 Diskop, UKM, Perindag & Pasar Program Pembinaan Pedagang Kakilima dan Asongan 155.000.000 190.000.000 Penyuluhan Peningkatan Disiplin Pedagang Kaki lima dan Asongan Terciptanya Pedagangan keki lima dan asongan yang taat aturan 1 Thn Penyuluhan dan Sosialisasi Pembinaan Pedagang Kaki lima dan Asongan 1 Thn Terciptanya Pedagangan keki lima dan asongan yang taat aturan 1 Thn 50.000.000 70.000.000 Diskop, UKM, Perindag & Pasar Penataan Tempat Berusaha bagi Pedagang Kaki lima dan Asongan Terciptanya Kenyamanan Berusaha 1 Thn Peralatan Usaha yang memadai 1 Thn Terciptanya Kenyamanan Berusaha 1 Thn 105.000.000 120.000.000 Diskop, UKM, Perindag & Pasar Rencana Program dan Kegiatan Prioritas Tahun 2015 Bidang Perdagangan Lembar : 71 dari 74
  • 257.
    SKPD Jenis KegKet Tolok Ukur Tolok Ukur 1/2/3 1/2/3 1/2/3 2 3 4 5 6 8 10 12 13 14 15 02 URUSAN PILIHAN 02 07 BIDANG PERINDUSTRIAN 1.903.000.000 945.000.000 534.000.000 213.000.000 P1 Program Peningkatan Kapasitas Iptek Sistem Produksi Disko p, UKM, 1 Thn 1 Thn 1 Thn 45.000.000 67.000.000 Pengembangan Sisten Inovasi Teknologi Industri (TPL) Keikutsertaan Siswa dalam seleksi beasiswa TPL Industri 1 Thn Terlaksananya Sosialisasi Beasiswa TPL Industri 1 Thn Keikutsertaan Siswa dalam seleksi beasiswa TPL Industri 1 Thn 45.000.000 67.000.000 Diskop, UKM, Perindag & Pasar Program Pengembangan Industri Kecil dan Menengah 1 Thn 1 Thn 1 Thn 489.000.000 146.000.000 Pelenggaraan Promosi IKM Terlaksananya Pameran 1 Thn Dikenalnya Produk IKM kota Padangsidimpuan 1 Thn Terlaksananya Pameran 1 Thn 145.000.000 146.000.000 Diskop, UKM, Perindag & Pasar Pelatihan pembuatan tenun ulos 1 Thn 1 Thn 1 Thn 166.000.000 Diskop, UKM, Perindag & Pasar Kegiatan fasilitasi bagi IKM melalui Dewan kerajinan nasional 1 Thn 1 Thn 1 Thn 178.000.000 Diskop, UKM, Perindag & Pasar 02 07 1.369.000.000 732.000.000 P2 5 2 17 Program Peningkatan Kemampuan Teknologi Industri 940.000.000 265.000.000 Pengembangan dan Pelayanan Teknologi Industri (GKM) Pelaku IKM yang memenuhi Standar Mutu 1 Thn Pembinaan dan Keikutsertaan IKM dalam Lomba GKM 1 Thn Pelaku IKM yang memenuhi Standar Mutu 1 Thn 67.000.000 85.000.000 Diskop, UKM, Perindag & Pasar Perluasan Penerapan SNI untuk mendoron Daya Saing Industri Manufaktur Air isi ulang dan kemasan yang memenuhi standar baku air minum 1 Thn Pengujian Air Minum isi ulang dan Kemasan 1 Thn Air isi ulang dan kemasan yang memenuhi standar baku air minum 1 Thn 73.000.000 90.000.000 Diskop, UKM, Perindag & Pasar Pengembangan Kewirausahaan bagi IKM Terciptanya IKM yang berdaya saing 1 Thn Bimbingan dan Penyuluhan kepada Pelaku IKM 1 Thn Terciptanya IKM yang berdaya saing 1 Thn 75.000.000 90.000.000 Diskop, UKM, Perindag & Pasar Bantuan Peralatan Mesin Packaging (Three Side Seal ) dan Mixer Muatan Kapasitas 100 liter PSP Meningkatkan hasil produksi 1 paket 150.000.000 Bantuan Peralatan Pencetak Batu Bata dan Mesin Pelumat Tanah PSP Meningkatkan hasil produksi 1 paket 75.000.000 Bantuan Peralatan ATBM Ulos PSP Meningkatkan hasil produksi 5 paket 300.000.000 Bantuan Peralatan Mesin Jahit PSP Meningkatkan hasil produksi 1 paket 200.000.000 Program Pengembangan Industri Kecil dan Menengah 1 Thn 1 Thn 1 Thn 429.000.000 467.000.000 Pekan Promosi Potensi Unggulan Kota Padangsidimpuan Terlaksananya Pameran 1 Thn Dikenalnya Produk IKM kota Padangsidimpuan 1 Thn Terlaksananya Pameran 1 Thn 282.000.000 300.000.000 Diskop, UKM, Perindag & Pasar Pembinaan dan Pendataan IKM Data IKM 1 Thn Meningkatnya Mutu dan Produksi IKM 1 Thn Data IKM 1 Thn 50.000.000 70.000.000 Diskop, UKM, Perindag & Pasar Rencana Program dan Kegiatan Prioritas Daerah Tahun 2015 Kota Padangsidimpuan Nomor Urusan/Bidang Urusan Pemerintahan Daerah Dan Program/Kegiatan Prioritas Daerah Sasaran Daerah Lokasi Indikator kinerja Pagu Indikatif Prakiraan Maju Keterangan Hasil Program Keluaran Kegiatan Hasil Kegiatan Target Target Target 1 7 9 11 Rencana Program dan Kegiatan Prioritas Tahun 2015 Bidang Perindustrian Lembar : 72 dari 74
  • 258.
    SKPD Jenis KegKet Tolok Ukur Tolok Ukur 1/2/3 1/2/3 1/2/3 2 3 4 5 6 8 10 12 13 14 15 Nomor Urusan/Bidang Urusan Pemerintahan Daerah Dan Program/Kegiatan Prioritas Daerah Sasaran Daerah Lokasi Indikator kinerja Pagu Indikatif Prakiraan Maju Keterangan Hasil Program Keluaran Kegiatan Hasil Kegiatan Target Target Target 1 7 9 11 Peningkatan Mutu IKM Peningjkatan Hasil Produksi 1 Thn Terlaksananya Pelatihan 1 Thn Peningjkatan Hasil Produksi 1 Thn 97.000.000 97.000.000 Diskop, UKM, Perindag & Pasar s Rencana Program dan Kegiatan Prioritas Tahun 2015 Bidang Perindustrian Lembar : 73 dari 74
  • 259.
    SKPD Jenis KegKet Tolak Ukur Target Tolak Ukur Target Tolak Ukur Target 1/2/3 1/2/3 1/2/3 2 3 4 5 6 7 8 9 10 11 12 13 14 15 16 02 URUSAN PILIHAN 02 04 BIDANG PARIWISATA 203.000.000 206.000.000 203.000.000 206.000.000 P1 Program Pengembangan Destinasi Pariwisata 38.000.000 38.500.000 Pemantauan dan evaluasi pelaksanaan program pengembangan destinasi pemasaran pariwisata 38.000.000 38.500.000 Dispora Budpar Program pengembangan pemasaran pariwisata Padangsidimpuan 165.000.000 167.500.000 Koordinasi dengan sektor pendukung pariwisata 1 kegiatan 1 kegiatan 50.000.000 50.000.000 Dispora Budpar Pengembangan jaringan kerjasama promosi pariwisata 42.000.000 42.500.000 Dispora Budpar Pelaksanaan promosi pariwisata nusantara di dalam dan luar negeri 1 kegiatan 1 kegiatan 73.000.000 75.000.000 Dispora Budpar 1 Rencana Program dan Kegiatan Prioritas Daerah Tahun 2015 Kota Padangsidimpuan Nomor Urusan/Bidang Urusan Pemerintahan Daerah Dan Program/Kegiatan Prioritas Daerah Sasaran Daerah Lokasi Indikator kinerja Pagu Indikatif Terlaksananya promosi pariwisata di dalam dan luar negeri Prakiraan Maju Keterangan Hasil Program Keluaran Kegiatan Hasil Kegiatan Rencana Program dan Kegiatan Prioritas Tahun 2015 Bidang Pariwisata Lembar : 74 dari 74
  • 260.
    Sasaran Pembangunan TahunanKabupaten/Kota : Dinas Kesehatan Indikator Urusan / Bidang Urusan Kinerja Program No Sasaran Kode Pemerintahan Daerah dan (Outcome) / SKPD Program / Kegiatan Kegiatan (Output) K Rp. K Rp. K Rp. K Rp. K Rp. K Rp. K Rp. K Rp. K Rp. K Rp. Wajib Kesehatan 01 Program Pelayanan Administrasi Perkantoran 01.02 Penyediaan jasa komunikasi sumber daya air dan istrik Jasa Komunikasi, Sumber daya air, Listrik dan Internet 1 Tahun 61.500.000 9 Bulan 26.789.956 39.713.994 01.07 Penyediaan jasa Administrasi keuangan Terlaksananya administrasi keuangan 1 Tahun 40.098.000 9 Bulan 18.502.700 38.257.300 01.08 Penyediaan jasa kebersihan kantor Terlaksananya penyediaan alat kebersihan kantor, jasa kebersihan, dan jasa keamanan kantor 1 Tahun 255.800.000 9 Bulan 186.396.375 255.192.750 01.09 Penyediaan jasa perbaikan peralatan kerja Terlaksanaya perbaikan peralatan kerja 1 Tahun 20.000.000 9 Bulan 6.000.000 20.000.000 01.10 Penyediaan alat tulis kantor Terlaksanaya penyediaan ATK 1 Tahun 65.200.000 9 Bulan 65.200.000 65.200.000 01.11 Penyediaan barang cetakan dan penggandaan Terlaksanaya penyediaan barang cetakan dan penggandaan 1 Tahun 182.151.800 9 Bulan 163.536.350 180.026.600 01.12 Penyediaan komponen instalasi listrik / penerangan bangunan kantor Tersedianya komponen instalasi listrik / penerangan bangunan kantor 1 Tahun 20.000.000 9 Bulan 9.999.900 19.999.900 01.13 Penyediaan peralatan dan perlengkapan kantor Tersedianya peralatan dan perlengkapan kantor 1 Tahun 104.100.000 9 Bulan 65.300.000 88.650.000 01.15 Penyediaan bahan bacaan dan peraturan perundang-undangan Tersedianya bahan bacaan dan Perpu 1 Tahun 11.000.000 9 Bulan 5.305.000 7.585.000 01.17 Penyediaan makanan dan minuman Tersedianya biaya makan dan minum harian pegawai 375 Orang 889.450.000 612.300.000 826.460.000 01.18 rapat-rapat koordinasi dan konsultasi luar daerah Terlaksananya rapat-rapat koordinasi dan konsultasi ke luar daerah 1 Tahun 263.500.000 9 Bulan 159.975.700 214.991.700 01.19 Penyediaan jasa medik, para medik dan non medik Tersediany jasa pelayanan medik, paramedik dan non medik 1 Tahun 436.178.000 9 Bulan 206.806.567 411.988.947 01.20 Penyediaan jasa Sewa gedung Tersedianya jasa sewa gedung 4 Pustu 10.000.000 4 Pustu 10.000.000 10.000.000 02 Program peningkatan sarana dan prasarana 02.05 Pengadaan kenderaan dinas / Operasional Terlaksananya pengadaan dinas / operasional 3 Unit 1.233.606.000 0 - 1.109.172.000 15 = 14/6*100%7 8 9 10 11 12 1 2 3 4 5 6 Tahun Lalu Dievaluasi yang Dievaluasi RKPD Tahun ……) 13 14 = 7 + 13 (%) (n-2) IV v (Akhir Tahun Kabupaten/Kota Penanggun g JawabKabupaten/Kota Tahun (n-1) yang Kabupaten/Kota Pelaksanaan s/d Tahun ….. III(Akhir Periode RPJMD) RKPD Tahun Berjalan I II RPJMD Kabupaten/Kota Kabupaten/Kota Anggaran RKPD Capaian Kinerja Kabupaten/Kota Realisasi Anggaran pada Tahun sampai dengan Kabupaten/Kota dan Anggaran s/d Tahun ……. KOTA PADANGSIDIMPUAN Kinerja dan Anggaran EVALUASI TERHADAP HASIL RKPD TAHUN 2013 Realisasi Realisasi Kinerja pada Triwulan Realisasi Capaian Kinerja Kinerja dan Anggaran Tingkat Capaian Target RPKMD RPJMD Target Kinerja dan Realisasi RPJMD 1 dari 21
  • 261.
    K Rp. KRp. K Rp. K Rp. K Rp. K Rp. K Rp. K Rp. K Rp. K Rp. 15 = 14/6*100%7 8 9 10 11 12 1 2 3 4 5 6 13 14 = 7 + 13 02.10 Pengadaan mebeleur Terlaksananya pengadaan Mobileur 1 Tahun 173.000.000 142.900.000 165.900.000 02.22 Pemeliharaan rutin / berkala gedung kantor Terlaksananya pemelihraan rutin / berkala gedung kantor 1 Tahun 40.000.000 - 39.800.000 02.24 Pemerilharaan rutin / berkala kenderaan dinas operasional Terlaksananya pemelihraan rutin / berkalakenderaan dinas operasional 1 Tahun 302.614.000 183.309.043 297.705.043 02.41 Rehabilitasi sedang / berat rumah dinas Terlaksananya rehabilitasi rumah medis , paramedis 5 Unit 507.268.000 - 500.110.350 02.42 Rehabilitasi sedang / berat gedung kantor Terlaksananya rahabilitasi Puskesmas 2 Puskesamas 140.000.000 - 132.551.600 05 Program peningkatan kapasitas sumber daya 05.01 Pendidikan dan pelatihan formal Terlaksananya pendidikan dan pelatihan formal 1 Tahun 145.550.000 63.852.000 65.114.000 06 Program Peningkatan Sistem Pelaporan Kinerja dan Keuangan 06.01 penyusunan laporan capaian kinerja dan ikhtisar realisasi kinerja SKPD Adanya laporan akuntabilitas kinerja instansi pemerintah ( LAKIP ) 1 Dokumen 3.571.000 1 Dok 3.458.500 1 Dok 3.458.500 06.03 Penyusunan Pelaporan Prognosis Realisasi Anggaran Adanya Laporan prognosis realisasi anggaran 1 Dokumen 20.720.000 1 Dok 7.340.000 1 Dok 11.290.000 15 Program Obat dan Perbekalan Kesehatan 15,04 Peningkatan mutu pelayanan farmasi komunitas dan RS Terlaksananya monitoring pelayan an sediaan farmasi pada Toko Obat, Apotik dan Puskesmas 75% 180 55% 5.100.000 5.099.800 5.099.800 15,05 Peningkatan mutu penggunaan obat dan perbekalan kesehatan Terlaksananya pengadaan obat dan perbekalan kesehatan serta pemeliharaan instalasi fasrmasi 100% 9888'632 100% 1.798.698.000 - 1.531.792.000 16 Program upaya kesehatan masyarakat 16,01 Pelayanan kesehatan penduduk miskin di puskesmas dan Puskesmas pembantu Melaksanakan pelayanan kesehatan terhadap masyarakat miskin yang tidak masuk quota 100% 2673'4 40% 381.810.000 85.390.000 330.477.500 16,02 Pemeliharaan dan pemulihan kesehatan Terlaksananya pelayanan kesehatan terhadap jemaah haji 100% 292 100% 44.368.000 21.283.000 41.611.000 16,03 Pengadaan, peningkatan dan perbaikan sarana dan prasarana Puskesmas dan jaringannya Meningkatnya kualitas pelayanan kesehatan di Puskesmas dan jaringannya 100% 2.010 100% 210.000.000 - 209.240.000 16,09 Peningkatan kesehatan masyarakat Terlaksananya pemantauan kasus kecelakaan hari libur dan hari besar dan terlaksananya penjaringan 100% 563'1 100% 69.040.000 26.830.000 68.290.000 16,11 Peningkatan pelayanan kesehatan bagi pengungsi korban bencana Terlaksananya pelayanan kesehatan bagi daerah bencana 5 Tahun 139'5 1 Tahun 19.500.000 - - 16,12 Peningkatan pelayanan dan penanggulangan masalah kesehatan Adanya sarana dan prasarana perawatan kesehatan akibat dampak rokok 100% 115 0 142.332.000 - 141.224.000 16,13 Penyediaan biaya operasional dan pemeliharaan Adanya operasional Puskesmas rawat inap 7 Pusk 1 Pusk 86.900.000 43.260.000 80.860.000 2 dari 21
  • 262.
    K Rp. KRp. K Rp. K Rp. K Rp. K Rp. K Rp. K Rp. K Rp. K Rp. 15 = 14/6*100%7 8 9 10 11 12 1 2 3 4 5 6 13 14 = 7 + 13 19 Promosi kesehatan dan pemberdayaan masyarakat 19,01 Pengembangan media promosi dan informasi sadar hidup sehat Terlaksananya perayaan HKN 5 Kali 540 1 Kali 13.000.000 - 12.999.700 19,04 Peningkatan pendidikan tenaga penyuluh kesehatan Terlaksananya pembinaan UKS 65% 1.335 45% 22.150.000 15.245.000 22.145.000 20 Program perbaikan gizi masyarakat - - - - 20,02 Pemberian mtambahan makanan dan vitamin Terlaksananya pemberian tambahan makanan dan vitamin 100% 2.225 0 226.080.000 - - 201.916.000 201.716.000 - - - - - - 22 Program pencegahan dan penanaggulangan penyakit menular 22,01 Penyemprotan / fogging sarang nyamuk Terlaksananya fogging 310 Kali 209'6 40 Kali 21.900.000 - - 11.100.000 21.900.000 - - 22,02 Pengadaan alat fogging dan bahan- bahan foging Tersedianya Alat fogging dan bahan fogging 100% 535'7 100% 147.300.000 84.350.000 97.300.000 22,08 Peningkatan Imunisasi Terlaksananya pelayanan Imunisasi lengkap Bayi 50% 2858'468 20% 183.860.000 - - 4.268.000 122.624.000 - - 22,09 Peningkatan Survailance Efidemiologi dan penanggulangan wabah Terlaksananya survailance Efidemiologi dan penanggulangan wabah 100% 1091'32 98% 141.320.000 52.720.000 134.920.000 22,11 Monitoring, evaluasi dan pelaporan Terlaksananya bimbingan pencatatan, pelaporan Pneumonia, Diare dan TB Paru 100% 121'482 100% 6.482.000 3.602.000 6.482.000 - - - - 23 Program Standarisasi Pelayanan kesehatan 23,01 Penyusunan standar pelayanan kesehatan Penyusunan Standar Kesehatan 5 Pusk 1.250 1 Puskesmas 250.000.000 - - - 250.000.000 - - 23,02 Evaluasi dan penembangan tandar pelayanan kesehatan Melaksanakan pembuatan profil dinas kesehatan dan puskesmas dan survey kesehatan masyarakat 440150 50 Dokumen 10 Dokumen 40.150.000 - 38.879.000 23,05 Penyusunan standar analisis belanja pelayanan kesehatan Tersusunnya rencana strategi kegiatan 1 Dokumen 90'372 1 Dokumen 79.372.500 - - - 52.067.500 - - 25 Program pengadaan, peningkatan dan perbaikan sarana dan prasarana puskesmas dan jaringannya 25,07 Pengadaan sarana dan prasarana Puskesmas Terlaksananya pengadaan sarana dan prasarana Puskesmas dan Administrasi Proyek DAK 2 Paket 1.000 0 1.199.335.100 4.200.000 1.055.221.100 25,21 Rehabilitasi sedang / berat Puskesmas Pembantu Terlaksananya rehabilitasi sedang / berat Puskesmas Pembantu 8 Pustu 482 4 Pustu 241.000.000 - - - 234.022.100 - - 28 Program kemitraan peningkatan pelayanan kesehatan - - - - 28,01 Kemitraan Askes Masyarakat Tersedianya operasional pelaksanaan administrasi Askes 0 - 0 25.100.000 19.394.950 25.094.950 28,02 Kemitraan pencegahan dan pemberantasan penyakit menular Terlaksananya pelayanan kesehatan di daerah lintas batas 100% 107'3 100% 7.300.000 - 7.300.000 28,08 Monitoring, Evaluasi dan pelaporan Adanya dana operasiuonal FKK Kota Padangsidimpuan 100% 110 100% 10.000.000 - 7.249.900 3 dari 21
  • 263.
    K Rp. KRp. K Rp. K Rp. K Rp. K Rp. K Rp. K Rp. K Rp. K Rp. 15 = 14/6*100%7 8 9 10 11 12 1 2 3 4 5 6 13 14 = 7 + 13 29 Program peningkatan pelayanan kesehatan anak balita 29,01 Penyuluhan kesehatan anak balita Adanya operasional Posyandu balita 675 Posy 2.150 135 Posyandu 210.760.000 149.324.750 206.334.750 30 Program peningkatan pelayanan kesehatan Lansia 30,01 Pelayanan pemeliharaan kesehatan Lansia Adanya operasional posyandu Usila 340 Posy 1182'29 68 Posyandu 82.290.000 60.764.850 80.789.850 31 Program pengawasan dan pengendalian kesehatan 31,01 Pengawasan keamanan dan kesehatan makanan hasil industri Melaksanakan pembinaan dan pengawasan tempat pengolahan makanan 75% 214'85 60% 19.850.000 - - 19.849.700 19.849.700 - - 31,02 Pengawasan dan pengendalkian keamnanan dan kesehatan makanan hasil produksi Rumah Tangga Melaksanakan pembinaan dan pengawasan ke IRTP 75% 152'9 60% 12.900.000 11.149.250 12.899.250 10.623.204.400 - - 2.756.719.391 9.521.556.784 - - Rata-rata capaian kinerja (%) Predikat Kinerja Faktor pendorong keberhasilan kinerja : Faktor penghambat pencapaian kinerja : Tindaklanjut yang diperlukan dalam triwulan berikutnya : Tindaklanjut yang diperlukan dalam RKPD berikutnya : 4 dari 21
  • 264.
    Sasaran Pembangunan TahunanKota Padangsidimpuan RSUD Kota Padangsidimpuan K Rp Jt K Rp Jt K Rp Jt K Rp Jt K Rp Jt K Rp Jt K Rp Jt K Rp Jt K Rp Jt K Rp Jt 1 Meningkat- 1.02 .1.02 .02 .01 Program Pelayanan Adminis- Terlaksananya 6 141.529 1 4.289 1 5.558 3 11.670 3 1.306,23 3 1.461 3 1.704,34 1 16.150,56 2 20.440 0,33333 0,14 nya kualitas trasi Perkantoran pelayanan Thn Thn Thn Bln Bln Bln Bln Thn sarana/pra Kegiatan : administrasi sarana dan 1.02 .1.02 .02 .01 .01 Penyediaan Jasa Surat-Menyurat perkantoran 2.100 7 - 350 5 3 0,5 0 3 0,5 0 350 8 350 5 0,16667 0,71 aparatur dengan lancar Lmbr Lmbr Bln Bln Lmbr 1.02 .1.02 .02 .01 .02 Penyediaan Jasa Komunikasi, Sumber 149 1.692 25 290 25 300 3 155 0 3 145 0 25 303 25 593 0,16779 0,35 Tercapai- Daya Air dan Listrik Mtr Mtr Mtr Bln Bln Mtr nya penge- lolaan adm. 1.02 .1.02 .02 .01 .06 Penyediaan Jasa Pemeliharaan dan 30 13,75 6 4 6 5 3 5 0 0 0 6 5 12 9 0,4 0,65 dan keuang Perizinan Kenderaan Dinas/Operasio- Unit Unit Unit Bln Unit an yang nal akuntabel 1.02 .1.02 .02 .01 .08 Penyediaan Jasa Kebersihan Kantor 120 753,12 20 144 20 225 3 93,75 3 18,75 3 93,75 3 18,75 20 234 40 378 0,33333 0,50 Org Org Org Bln Bln Bln Bln Org 1.02 .1.02 .02 .01 .10 Penyediaan Alat Tulis Kantor 237 439,998 41 88,069 41 90 3 45,843 3 44,156 0 0 41 92,999 82 181 0,34599 0,41 Item Item Item Bln Bln Item 1.02 .1.02 .02 .01 .12 Penyediaan Komponen Instalasi Lis- 100 127,255 17 18,562 17 20,001 3 10.128 3 9,873 0 216,18 17 10,14 34 29 0,34 0,23 trik/Penerangan Bangunan Kantor Item Item Item Bln Bln Item 1.02 .1.02 .02 .01 .13 Penyediaan Peralatan dan Perleng- 2 357,297 - 1 20,132 0 3 20,132 0 37,292 1 60,42 1 20 0,5 0,06 kapan Kantor Thn Thn Bln Thn 1.02 .1.02 .02 .01 .15 Penyediaan Bahan Bacaan dan Per- 6 43,68 1 8 1 9 3 2,25 3 2,25 3 2,25 3 2,25 1 18 2 26 0,33333 0,60 aturan Perundang-Undangan Thn Thn Thn Bln Bln Bln Bln Thn 0 1.02 .1.02 .02 .01 .17 Penyediaan Makanan dan Minuman 6 4.828,31 1 855,52 1 876,48 3 219,12 3 219,12 3 219,12 3 219,12 1 885,48 2 1.741 0,33333 0,36 FORMULIR VII F.8 Evaluasi Terhadap Hasil RKPD Tahun 2013 No sasaran Kode Urusan / Bidang urusan Pemerintah Daerah dan Program / Kegiatan Indikator Kinerja Program (Outcome)Kegi- atan (Output) Target RPJMD Kota Padangsidimpuan Tahun 2008 s/d 2013 (Akhir Priode RPJMD) Realisasi Capaian Kinerja RPJMD Kota s/d RKPD Kota Tahun Lalu (n- 2) (2012) Target Kinerja dan Anggaran RKPD Kota Tahun Berjalan (Tahun n- 1) yang Dievaluasi (2013) Realisasi Kinerja Pada Triwulan Realisasi Capaian Kinerja dan Anggaran RKPD Kota yang Dievaluasi Realisasi Kinerja dan Anggaran RPJMD Kota s/d Tahun 2018 (Akhir Tahun Pelaksanaan RKPD Tahun 2018) Tingkat Capaian Kinerja dan Realisasi Anggaran RPJMD Kota s/d Tahun 2018 (%) I 1 2 3 4 5 II III IV SKPD Penangg ung Jawab 11 12 13 14 = 7 + 13 15 = 14 / 6 * 100%6 7 8 9 10 5 dari 21
  • 265.
    Thn Thn ThnBln Bln Bln Bln Thn 1.02 .1.02 .02 .01 .18 Rapat-Rapat Koordinasi dan Konsul- 6 1.276,75 1 141,3 1 348,45 3 105,65 3 77,2 3 85,8 296 1 570,65 2 712 0,33333 0,56 tasi Ke Luar Daerah Thn Thn Thn Bln Bln Bln Thn 1.02 .1.02 .02 .01 .19 Penyediaan Jasa Pelayanan Medik, 5 131.990 1 2.739,70 1 3.659 3 914,75 3 914,75 3 914,7 3 914,75 1 3.667,95 2 6.408 0,4 0,05 Paramedik dan Non Medik Thn Thn Thn Bln Bln Bln Bln Thn 2 1.02 .1.02 .02 .02 Program Peningkatan Sarana Optimalnya 6 683,48 1 369,5 1 163 3 75,514 3 34,412 3 44,6196 3 7,196 1 176,74 2 546 0,33333 0,80 dan Prasarana Aparatur Pelaksanaan Thn Thn Thn Bln Bln Bln Bln Thn Kegiatan : Kegiatan 1.02 .1.02 .02 .01 .04 Pengadaan Mobil Jabatan 1 300 1 300 Thn Unit 1.02 .1.02 .02 .01 .05 Pengadaan Kenderaan Dinas/Opera- Kantor 1 28 - 2 28 3 26,818 0 0 0 2 26,818 2 28 2 1,00 sional Thn Unit Bln Unit 1.02 .1.02 .02 .01 .23 Pemeliharaan Rutin/Berkala Mobil 6 164,604 1 19,5 2 35 3 11,196 3 9,412 3 7,1196 3 7,196 2 43,92 3 63 0,5 0,39 Jabatan Thn Unit Unit Bln Bln Bln Bln Unit 1.02 .1.02 .02 .01 .26 Pemeliharaan Rutin/Berkala Perleng- 4 185,664 1 50 1 100 3 37,5 3 25 3 37,5 0 1 106 2 156 0,5 0,84 kapan Gedung Kantor Thn Thn Thn Bln Bln Bln Thn 1.02 .1.02 .02 .01 .29 Pemeliharaan Rutin/Berkala Mebeleur 1 5,212 Thn 3 1.02 .1.02 .03 Program Peningkatan Disiplin Meningkatnya 6 358,169 - 1 150 3 15 0 0 0 1 15 1 15 0,16667 0,04 Aparatur Disiplin Thn Thn Bln Thn Kegiatan : Aparatur 1.02 .1.02 .02 .03 .02 Pengadaan Pakaian Dinas Beserta 2 343,169 Perlengkapannya Thn 1.02 .1.02 .02 .03 .03 Pengadaan Pakaian Kerja Lapangan 1 15 - 1 150 3 15 0 0 0 1 15 1 15 1 1,00 Thn Thn Bln Thn 4 Meningkat- 1.02 .1.02 .02 .05 Program Peningkatan Kapasi- Meningkatnya 6 1.547,25 1 233 1 300 3 49 3 49 3 49 3 49 1 205 2 438 0,33333 0,28 nya kualitas tas Sumber Daya Aparatur Wawasan dan Thn Thn Thn Bln Bln Bln Bln Thn dan kuanti- Kegiatan : Pengetahuan tas aparatur 1.02 .1.02 .02 .05 .01 Pendidikan dan Pelatihan Formal PNS 6 1.547,25 1 233 1 300 3 49 3 49 3 49 3 49 1 205 2 438 0,33333 0,28 Thn Thn Thn Bln Bln Bln Bln Thn 5 1.02 .1.02 .02 .06 Program Peningkatan Pengem- Tersusunnya 6 194,01 - 1 15 3 3,75 3 3,75 3 3,75 3 3,75 1 24 1 15 0,16667 0,08 bangan sistem Pelaporan Capa- laporan capai- Thn Thn Bln Bln Bln Bln Thn ian Kinerja dan Keuangan an Kinerja dan Kegiatan: Ikhtisar 1.02 .1.02 .02 .06 .01 Penyusunan Laporan Capaian Kinerja Realisasi 1 15 - 1 15 3 3,75 3 3,75 3 3,75 3 8,05 1 28,30 1 15 1 1,00 dan Ikhtisar Realisasi Kinerja SKPD Kinerja SKPD Thn Thn Bln Bln Bln Bln Thn 1.02 .1.02 .02 .06 .02 Penyusunan Laporan Semesteran 3 179,01 Smstr 6 dari 21
  • 266.
    6 Meningkat- 1.02.1.02 .02 .26 Program Pengadaan, Pening- Persentase 6 31.190,53 1 6.163,07 1 10.587,24 3 1.421,12 3 963,52 3 2.862,36 3 5926,64 1 11.182,64 2 17.346 0,33333 0,56 nya kualitas katan Sarana dan Prasarana ketersediaan Thn Thn Thn Bln Bln Bln Bln Thn dan kuanti- Rumah Sakit/Rumah Sakit Ji- Sarana dan tas sarana wa/Rumah Sakit Paru-Paru/ Prasarana dan prasa- rumah Sakit Mata rumah sakit rana Kegiatan : 1.02 .1.02 .02 .26 .01 Pembangunan Rumah Sakit 2 5.285,01 - 1 0 0 3 0 3 0,00 3 0 1 9,00 1 5.000 0,5 0,95 Tercapai- Thn Thn Bln Bln Bln Thn nya akredi- 1.02 .1.02 .02 .26 .02 Pembangunan Sarana dan Prasarana 2 5.285,01 - 1 5.000 0 3 0 3 0,00 3 5.000 1 5.009,00 1 5.000 0,5 0,95 tasi rumah Bidang Kesehatan Daerah P.Sidimpuan Thn Thn Bln Bln Bln Thn sakit 1.02 .1.02 .02 .26 .12 Pembangunan Ruang Bayi 2 175 - 1 100 0 0 3 0 100 103 100 0 0,57 Thn Thn Bln 1.02 .1.02 .02 .26 .17 Rehabilitasi Bangunan Rumah 2 175 - 1 100 0 0 3 100 0 103 100 0 0,57 Sakit Thn Thn Bln 1.02 .1.02 .02 .26 .18 Pengadaan Alat-Alat Kesehatan 6 11.503,72 2 3.609,44 2 1.939,40 0 3 12,544 3 1.924,38 3 2,475 2 1948,398 4 5.558 0,66667 0,48 Rumah Sakit Pkt Paket Paket Bln Bln Bln Paket 1.02 .1.02 .02 .26 .19 Pengadaan Obat-Obatan Rumah 6 4.996,62 1 846,8 1 1.420 3 600 3 450 3 370 0 1 1.426 2 2.273 0,33333 0,45 Sakit Pkt Paket Paket Bln Bln Bln Paket 1.02 .1.02 .02 .26 .20 Pengadaan Mobil Ambulance/Mobil Je 2 773,932 2 400 - 2 400 1 0,52 nazah Unit Unit 1.02 .1.02 .02 .26 .22 Pengadaan Perlengkapan Rumah- 6 1.869,04 1 89,683 1 202,472 3 63,424 3 111,748 3 16,38 3 87,781 1 288,33 2 378 0,33333 0,20 Sakit (Dapur,Ruang Pasien,Laun- Pkt Paket Paket Bln Bln Bln Bln Paket dry Ruang Tunggu dan Lain-Lain) 1.02 .1.02 .02 .26 .23 Pengadaan Bahan-Bahan Logistik 6 4.736,03 1 850 1 1.525,37 3 512,495 3 337,63 3 400 3 575,231 1 1.834,36 2 2.684 0,33333 0,57 Rumah Sakit Thn Thn Thn Bln Bln Bln Bln Thn 1.02 .1.02 .02 .26 .24 Pengadaan Pencetakan Administrasi 6 978,129 1 128,706 1 200 3 185 3 5 3 5 3 114,552 1 318,552 2 447 0,33333 0,46 dan Surat menyurat Rumah sakit Thn Thn Thn Bln Bln Bln Bln Thn 1.02 .1.02 .02 .26 .25 Pengembangan Tipe Rumah Sakit 12 873,046 5 238,446 5 200 3 60,2 3 46,6 3 46,6 3 46,6 5 209 10 447 0,83333 0,51 7 1.02 .1.02 .02 .27 Program Pemeliharaan Sarana Terpenuhinya 6 24.740,05 1 219,676 1 570,5 3 170,221 3 182,695 3 159,888 3 77,695 1 599,50 2 819 0,30833 0,03 dan Prasarana Rumah Sakit/ kebutuhan Thn Thn Thn Bln Bln Bln Bln Thn Rumah Sakit Jiwa/Rumah Sakit saranana dan /Rumah Sakit Paru-Paru/Ru- prasarana mah Sakit Mata pelayanan Kegiatan : di rumah sakit 1.02 .1.02 .02 .27 .01 Pemeliharaan Rutin/Berkala sesuai 2 1.285,59 1 56,176 1 200 3 36,222 3 123,778 3 36,222 3 3,778 1 209 2 265 1 0,21 Rumah Sakit standart Kgtn Kgtn Kgtn Bln Bln Bln Bln Kgtn 7 dari 21
  • 267.
    1.02 .1.02 .02.27 .16 Pemeliharaan Rutin/Berkala Instalasi 5 220,3 1 50 1 70,5 3 0 3 35,25 0 35,25 1 73,50 2 124 0,4 0,56 Pengolahan Limbah Rumah Sakit Thn Thn Thn Bln Bln Thn 1.02 .1.02 .02 .27 .17 Pemeliharaan Rutin/Berkala Alat- 6 394,675 1 50 1 200 3 100 3 0 3 100 3 0 1 209 2 259 0,33333 0,66 Alat Kesehatan Rumah Sakit Thn Thn Thn Bln Bln Bln Bln Thn 1.02 .1.02 .02 .27 .18 Pemeliharaan Rutin/Berkala 6 545,908 1 63,5 1 100 3 33,999 3 23,667 3 23,666 3 38,667 1 128,999 2 192 0,33333 0,35 Mobil Ambulance/Jenazah Thn Thn Thn Bln Bln Bln Bln Thn 1.02 .1.02 .02 .27 .28 Pemeliharaan Rutin Gedung Kantor 1 27,571 0 0,00 Thn 8 1.02 .1.02 .02 .28 Program Kemitraan Pening- Jumlah pasien 6 3.309,24 1 245 1 10.384,24 3 3.997,09 3 2.391,43 3 2.401,43 3 1.594,29 1 10.393,24 2 10.638 0,33333 3,21 katan Pelayanan Kesehatan kurang Thn Thn Thn Bln Bln Bln Bln Thn Kegiatan : mampu 1.02 .1.02 .02 .28 .07 Kemitraan Pengobatan Bagi 3 3.309,24 1 245 1 10.384,24 3 3.997,09 3 2.391,43 3 2.401,43 3 2.764,29 1 11.563,24 2 11.808 0,66667 3,57 Pasien Kurang Mampu Thn Thn Thn Bln Bln Bln Bln Thn Faktor pendorong keberhasilan kinerja: Tersedianya anggaran Faktor penghambat pencapaian kinerja: Pengesahan anggaran yang terlalu lama Tindaklanjut yang diperlukan dalam triwulan berikutnya: Mempercepat pengesahan anggaran Tindaklanjut yang diperlukan dalam RKPD berikutnya: Rata-rata capaian kinerja (%) Predikat kerja 8 dari 21
  • 268.
    K Rp. KRp. K Rp. K Rp. K Rp. K Rp. K Rp. K Rp. K Rp. K % 1 Masyaraka t 1 07 Dinas Perhubungan, Dinas Perhubungan, Komunikasi dan Komunikasi dan Informatika Informatika 1 07 01 01 17 Program Peningkatan 835.945.000 401.360.000 Pelayanan Angkutan 1 07 01 17 02 Keg. Peningkatatan - Terciptanya Lalu Lintas 2 Keg 150.000.000 2 Keg 97.220.000 - - 1 keg 49.572.500 - - 1 keg 45.472.500 2 keg 95.045.000 2 keg 95.045.000 2 keg 63 Disiplin Masyarakat angkutan yang nyaman, Menggunakan aman,tertip dan lancar Angkutan - Pengawasan dan pengaman lalulintas 1 07 01 17 05 Keg. Pengendalian - Terciptanya Lalu Lintas 4 Keg 670.945.000 4 Keg 291.000.000 1 keg 66.450.000 1 69.600.000 1 43.670.000 1 keg 90.105.000 4 keg 269.825.000 4 keg 269.825.000 4 keg 40 Disiplin Pengoperasian angkutan yang nyaman, Angkutan Umum aman,tertip dan lancar di Jalan Raya - Pengawasan dan pengaman lalulintas 1 07 01 17 20 Pengawasan Trayek - Terciptanya ketertipan 2 Keg 15.000.000 2 Keg 13.140.000 - - - - - - 2 keg 13.140.000 2 keg 13.140.000 2 keg 13.140.000 2 keg 87 pengawasan Trayek - Pengamanan dan pengawasan Trayek 1 07 01 18 Program kerjasama 25.000.000 19.080.000 informasi dengan masmedia 1 07 01 18 03 Penyebar luasan - Sosialisasi bagi masyarakat 12 Bln 25.000.000 12 Bln 19.080.000 1 4.770.000 1 4.770.000 1 4.770.000 1 keg 4.770.000 4 keg 19.080.000 4 keg 19.080.000 4 keg 76 informasi yang bersifat tentang peraturan perlalu penyuluhan bagi lintasan melalui iklan dan masyarakat radio Sasaran Pembangunan Tahunan Kota Padangsidimpuan Formulir VII.F.8 Evaluasi Terhadap Hasil RKPD Kota Padangsidimpuan Tahun 2013 Dinas Perhubungan No. Sasaran Kode Urusan / Bidang Urusan Pemerintahan Daerah dan Program/Kegiatan Indikator Kinerja Program (Outcome)/ Kegiatan (Output) Target RPJMD Kabupaten/Kota pada Tahun 2017 (Akhir Periode RPJMD) Realisasi Capaian Kinerja RPJMD Kabupaten/Ko ta sampai dengan RKPD Kabupaten/Ko ta Tahun Lalu Target Kinerja dan Anggaran RKPD Kabupaten/Kota Tahun Berjalan (Tahun n-1) yang Dievaluasi Realisasi Kinerja Pada Triwulan Realisasi Capaian Kinerja dan Anggaran RKPD Kabupaten/Kota yang dievaluasi Realisasi Kinerja dan Anggaran RPJMD Kabupaten/Kota s/d Tahun 2013 (Akhir Tahun Pelaksanaan RKPD Tahun 2013) Tingkat Capaian Kinerja dan Realisasi Anggaran RPJMD Kabupaten/Ko ta s/d Tahun 2013 (%) SKPD Penanggung JawabI II III IV 2 3 4 5 6 13 14 = 7 + 13 15 = 14/6 * 100%7 8 9 10 11 12 1 9 dari 21
  • 269.
    - Meningkatkan pemahaman danpengetahuan bagi masyarakat tentang perlalu lintasan. 1 07 01 19 Program pengendalian 800.000.000 2.073.285.000 dan pengaman lalu lintas 1 07 01 19 01 Pengadaan rambu - - pemasangan rambu - 12 bl 150.000.000 6 Pkt 1.495.875.000 - - 1 28.784.500 - - 5 pkt 1.419.532.500 6 pkt 1.448.317.000 6 pkt 1.448.317.000 6 pkt 965 rambu lalu lintas rambu lalu lintas - Terciptanya Lalu Lintas angkutan yang nyaman, aman,tertip dan lancar 1 07 01 19 02 Pengadaan marka - Pengadaan marka 12 bl 250.000.000 1 Pkt 81.915.500 - - - - 1 pkt 81.424.000 1 pkt 81.424.000 1 pkt 81.424.000 1 pkt 32 jalan jalan - Terciptanya Lalu Lintas angkutan yang nyaman, aman,tertip dan lancar 03 Pengadaan Pagar - Pengadaan patokn tikungan 12 bl 400.000.000 2 Keg 495.494.500 - - - - 2 keg 477.267.500 2 keg 477.267.500 2 keg 477.267.500 2 keg 119 pengaman jalan dan pagar pengaman jalan - Terciptanya Lalu Lintas angkutan yang nyaman, aman,tertip dan lancar Faktor penghambat pencapaian kinerja : Keterbatasan sarana prasarana dalam melaksanakan kegiatan Tindaklanjut yang diperlukan dalam triwulan berikutnya : Melaksanakan kegiatan yang sudah diprogramkan kiranya dapat dilaksanakan tepat waktunya Tindaklanjut yang diperlukan dalam RKPD berikutnya : Kiranya dapat terpenuhi kekurangan sarana prasarana untuk memenuhi kebutuhan dalam pelasanaan kegiatan Rata - rata capaian kinerja (%) Predikat Kinerja Faktor pendorong keberhasilan kinerja : Kesediaan dan kesigapan para personil dalam melaksanakan tugas 10 dari 21
  • 270.
    Sasaran Pembangunan TahunanKota Padangsidimpuan KANTOR LINGKUNGAN HIDUP DAERAH KOTA PADANGSIDIMPUAN 16 K Rp. K Rp. K Rp. K Rp. K Rp. K Rp. K Rp. K Rp. K Rp. K Rp. 1 URUSAN WAJIB Bidang Lingkungan Hidup 5.2.01. Program Pelayanan Administrasi Perkantoran 5.2.01.01 Penyediaan Jasa Surat Menyurat Outcome : tersedianya kelengkapan surat menyurat peningkatan kualitas kelembagaan 8.000.000 - - peningkatan kualitas kelembagaan 15.000.000 - 1.500.000 - 1.500.000 - 8.250.000 - 3.750.000 peningkatan kualitas kelembagaan 15.000.000 peningkata n kualitas kelembagaa n 15.000.000 peningkatan kualitas kelembagaa n 1 Kantor Lingku ngan Hidup Output : terpenuhinya surat kedinasan 5.2.01.02 Penyediaan Jasa Komunikasi, Sumber Daya Air dan Listrik Outcome : tersedianya sarana listrik, air dan telepon peningkatan kualitas kelembagaan 40.000.000 - - peningkatan kualitas kelembagaan 7.000.000 - - - - - 6.500.000 - 500.000 peningkatan kualitas kelembagaan 7.000.000 peningkata n kualitas kelembagaa n 7.000.000 peningkatan kualitas kelembagaa n 1 Kantor Lingku ngan Hidup Output : terpenuhinya sarana listrik, air dan telepon 5.2.01.06 Penyediaan Jasa Pemeliharaan dan Perizinan Kendaraan Dinas/Operasional Outcome : tersedianya kendaraan dinas yg siap pakai peningkatan kualitas kelembagaan 70.000.000 - - peningkatan kualitas kelembagaan 66.000.000 - 7.489.375 - 7.489.375 - 35.987.858 - 8.842.650 peningkatan kualitas kelembagaan 59.809.258 peningkata n kualitas kelembagaa n 59.809.258 peningkatan kualitas kelembagaa n 0,9062 Kantor Lingku ngan Hidup Output : terpeliharanya kendaraan dinas 5.2.01.07 Penyediaan Jasa Administrasi Keuangan Outcome : tercapainya laporan yg tepat waktu peningkatan kualitas kelembagaan 25.000.000 - - peningkatan kualitas kelembagaan 22.600.000 - 2.652.000 - 2.652.000 - - - - peningkatan kualitas kelembagaan 5.304.000 peningkata n kualitas kelembagaa n 5.304.000 peningkatan kualitas kelembagaa n 0,2347 Kantor Lingku ngan Hidup Output : tersedianya dana lembur 5.2.01.08 Penyediaan Jasa Kebersihan Kantor Outcome : Meningkatnya kebersihan kantor peningkatan kualitas kelembagaan 81.600.000 - - peningkatan kualitas kelembagaan 49.000.000 - 8.824.500 - 8.824.500 - 21.440.000 - 8.749.000 peningkatan kualitas kelembagaan 47.838.000 peningkata n kualitas kelembagaa n 47.838.000 peningkatan kualitas kelembagaa n 0,9763 Kantor Lingku ngan Hidup Output : Terpeliharanya kebersihan kantor5.2.01.09 Penyediaan Jasa Perbaikan Peralatan Kerja Outcome : terpeliharanya peralatan kerja peningkatan kualitas kelembagaan 18.000.000 - - peningkatan kualitas kelembagaan 13.000.000 - 1.437.500 - 1.437.500 - 10.000.000 - - peningkatan kualitas kelembagaan 12.875.000 peningkata n kualitas kelembagaa n 12.875.000 peningkatan kualitas kelembagaa n 0,9904 Kantor Lingku ngan Hidup Output : adanya peralatan kerja yang siap pakai 1 EVALUASI TERHADAP HASIL RKPD KOTA PADANGSIDIMPUAN TAHUN 2013 No. Sasaran Kode Urusan / Bidang Pemerintahan Daerah Dan Program Kegiatan Indikator Kinerja Program (Outcome) / Kegiatan(Outp ut) Target RPJMD Kota pada Tahun 2017 Realisasi Capaian Kinerja RPJMD Kota s/d RKPD 15=14/6*100% 2 3 4 5 Formulir VII F.8 SKPD penang gung jawab I II III IV Target Kinerja dan Anggaran RKPD kota tahun 2013 yg dievaluasi Realisasi Kinerja pada Triwulan Realisasi Capaian Kinerja dan Anggaran RKPD Kota yang dievaluasi Realisasi kinerja dan anggaran RPJMD kota s/d tahun 2017 Tingkat Capaian Kinerja dan Realisasi Anggaran RPJMD Kota s/d tahun….. (%) 6 97 8 Peningkatan Kuantitas dan Kualitas Sumber Daya Manusia 13 14=1310 11 12 11 dari 21
  • 271.
    16 K Rp. KRp. K Rp. K Rp. K Rp. K Rp. K Rp. K Rp. K Rp. K Rp. 1 15=14/6*100% 2 3 4 5 6 97 8 13 14=1310 11 12 5.2.01.10 Penyediaan Alat Tulis Kantor Outcome : terpenuhinya kebutuhan alat tulis kantor peningkatan kualitas kelembagaan 60.000.000 - - peningkatan kualitas kelembagaan 55.893.500 - NIHIL - 12.900.500 - 29.985.600 - 13.007.400 peningkatan kualitas kelembagaan 55.893.500 peningkata n kualitas kelembagaa n 55.893.500 peningkatan kualitas kelembagaa n 1 Kantor Lingku ngan Hidup Output : tersedianya alat tulis kantor 5.2.01.11 Penyediaan Barang Cetakan dan Penggandaan Outcome : terpenuhinya kebutuhan cetakan di kantor peningkatan kualitas kelembagaan 70.000.000 - - peningkatan kualitas kelembagaan 63.750.000 - NIHIL - NIHIL - 44.772.800 - 18.227.200 peningkatan kualitas kelembagaan 63.000.000 peningkata n kualitas kelembagaa n 63.000.000 peningkatan kualitas kelembagaa n 0,9882 Kantor Lingku ngan Hidup Output : tersedianya cetakan di kantor 5.2.01.15 Penyediaan Bahan Bacaan dan Peraturan Perundang-undangan Outcome : tersedianya bahan bacaan peningkatan kualitas kelembagaan - - - peningkatan kualitas kelembagaan - - - - - - - - - peningkatan kualitas kelembagaan - peningkata n kualitas kelembagaa n - peningkatan kualitas kelembagaa n - Kantor Lingku ngan Hidup Output : adanya buku-buku dan koran u dibaca 5.2.01.17 Penyediaan Makanan dan Minuman Outcome : tersedianya makan minum pegawai peningkatan kualitas kelembagaan 132.000.000 - - peningkatan kualitas kelembagaan 60.720.000 - 5.225.000 - 5.225.000 - 20.690.000 - 9.290.000 peningkatan kualitas kelembagaan 40.430.000 peningkata n kualitas kelembagaa n 40.430.000 peningkatan kualitas kelembagaa n 0,6658 Kantor Lingku ngan Hidup Output : meningkatnya kesejahteraan pegawai 5.2.01.18 Rapat-rapat Koordinasi dan Konsultasi ke Luar Daerah Outcome : adanya informasi yang ter up-date peningkatan kualitas kelembagaan 250.000.000 - - peningkatan kualitas kelembagaan 286.700.000 - 52.380.800 - 52.380.800 - 131168000 - 42.774.000 peningkatan kualitas kelembagaan 278.703.600 peningkata n kualitas kelembagaa n 278.703.600 peningkatan kualitas kelembagaa n 0,9721 Kantor Lingku ngan Hidup Output : tersedianya dana untuk mengikuti rapat dan konsultasi ke pusat dan provinsi 2 5.2.02 Program Peningkatan Sarana dan Prasarana Aparatur 5.2.02.07 Pengadaan Perlengkapan Gedung Kantor Outcome : adanya perlengkapan gedung kantor Tersedianya sarana dan prasarana Badan Lingkungan Hidup 70.000.000 - - Tersedianya sarana dan prasarana Kantor Lingkungan Hidup 60.000.000 - 9.836.000 - - 46.694.775 - - Tersedianya sarana dan prasarana Kantor Lingkungan Hidup 56.530.775 Tersedianya sarana dan prasarana Kantor Lingkungan Hidup 56.530.775 Tersedianya sarana dan prasarana Kantor Lingkungan Hidup 0,9422 Kantor Lingku ngan Hidup Output : tersedianya pemeliharaan gedung kantor Peningkatan kuantitas Sarana dan Prasarana Kelembagaan 12 dari 21
  • 272.
    16 K Rp. KRp. K Rp. K Rp. K Rp. K Rp. K Rp. K Rp. K Rp. K Rp. 1 15=14/6*100% 2 3 4 5 6 97 8 13 14=1310 11 12 5.2.02.22 Pemeliharaan Rutin / Berkala Gedung Kantor Outcome : adanya gedung kantor yang terpelihara Tersedianya sarana dan prasarana Badan Lingkungan Hidup 21.000.000 - - Tersedianya sarana dan prasarana Kantor Lingkungan Hidup 21.000.000 - NIHIL - NIHIL - 21.000.000 - - Tersedianya sarana dan prasarana Kantor Lingkungan Hidup 21.000.000 Tersedianya sarana dan prasarana Kantor Lingkungan Hidup 21.000.000 Tersedianya sarana dan prasarana Kantor Lingkungan Hidup 1 Kantor Lingku ngan Hidup Output : terpeliharanya gedung kantor 3 5.2.03 Program Peningkatan Disiplin Aparatur 5.2.03.02 Pengadaan Pakaian Dinas Beserta Perlengkapannya Outcome : adanya pakaian dinas beserta perlengkapanny a Tersedianya sarana dan prasarana Badan Lingkungan Hidup 30.000.000 - - Tersedianya sarana dan prasarana Kantor Lingkungan Hidup 16.100.000 - - - - - - - 16.100.000 Tersedianya sarana dan prasarana Kantor Lingkungan Hidup 16.100.000 Tersedianya sarana dan prasarana Kantor Lingkungan Hidup 16.100.000 Tersedianya sarana dan prasarana Kantor Lingkungan Hidup 1 Kantor Lingku ngan Hidup Output : tersedianya pakaian dinas beserta perlengkapanny a 4 5.2.05 Program Peningkatan Kapasitas Sumber Daya Aparatur 5.2.05.01 Pendidikan dan Pelatihan Formal Outcome : meningkatnya SDM aparatur BLH Peningkatan Kapasitas Sumber Daya Aparatur 48.900.000 - - Peningkatan Kapasitas Sumber Daya Aparatur 46.160.000 - - - - - 46.160.000 - - Peningkatan Kapasitas Sumber Daya Aparatur 46.160.000 Peningkata n Kapasitas Sumber Daya Aparatur 46.160.000 Peningkatan Kapasitas Sumber Daya Aparatur 1 Kantor Lingku ngan Hidup Output : tercapainya aparatur yang berkualitas 5.2.05.02 Sosialisasi Peraturan Perundang-undangan Outcome : meningkatnya SDM aparatur BLH Peningkatan Kapasitas Sumber Daya Aparatur 45.000.000 - - Peningkatan Kapasitas Sumber Daya Aparatur 42.000.000 - - - 26.954.000 - - - - Peningkatan Kapasitas Sumber Daya Aparatur 26.954.000 Peningkata n Kapasitas Sumber Daya Aparatur 26.954.000 Peningkatan Kapasitas Sumber Daya Aparatur 0,6418 Kantor Lingku ngan Hidup Output : tercapainya aparatur yang berkualitas 5.2.05.03 Bimbingan Teknis Implementasi Peraturan Perundang-undangan Outcome : meningkatnya SDM aparatur BLH Peningkatan Kapasitas Sumber Daya Aparatur 100.000.000 - - Peningkatan Kapasitas Sumber Daya Aparatur 80.750.000 - 13.450.000 - 13.450.000 - 51.982.000 - - Peningkatan Kapasitas Sumber Daya Aparatur 78.882.000 Peningkata n Kapasitas Sumber Daya Aparatur 78.882.000 Peningkatan Kapasitas Sumber Daya Aparatur 0,9769 Kantor Lingku ngan Hidup Output : tercapainya aparatur yang berkualitas Peningkatan Kuantitas dan Kualitas Sumber Daya Manusia Peningkatan Kuantitas Sarana dan Prasarana Kelembagaan 13 dari 21
  • 273.
    16 K Rp. KRp. K Rp. K Rp. K Rp. K Rp. K Rp. K Rp. K Rp. K Rp. 1 15=14/6*100% 2 3 4 5 6 97 8 13 14=1310 11 12 5 5.2.06 Program Peningkatan Pengembangan Sistem Pelaporan Capaian Kinerja dan Keuangan 5.2.06.01 Penyusunan Laporan Capaian Kinerja dan Ikhtisar Realisasi Kinerja SKPD Outcome: tersedianya LAKIP adanya data yang up-date 10.000.000 - - adanya data yang up-date - - NIHIL - NIHIL - - - - adanya data yang up-date - adanya data yang up-date - adanya data yang up- date - Kantor Lingku ngan Hidup Output : adanya data LAKIP 6 5.2.15 Program Pengembangan Kinerja Pengelolaan Persampahan 5.2.15.02 Penyediaan Sarana dan Prasarana Pengelolaan Persampahan Outcome : adanya sarana dan prasarana persampahan bertambahny a sarana dan prasarana dari DAK 889.709.000 - - bertambahn ya sarana dan prasarana dari DAK 889.709.000 - - - NIHIL - 18.712.000 - 751.568.000 bertambahny a sarana dan prasarana dari DAK 770.280.000 bertambah nya sarana dan prasarana dari DAK 770.280.000 bertambahn ya sarana dan prasarana dari DAK 0,8658 Kantor Lingku ngan Hidup output: tersedianya sarana dan prasarana persampahan 7 5.2.19 Program Peningkatan Kualitas dan Akses Informasi Sumber Daya Alam dan Lingkungan Hidup 5.2.19.01 Peningkatan Edukasi dan Komunikasi Masyarakat di Bidang Lingkungan Outcome: meningkatnya jumlah siswa yang memahami tentang pengelolaan Lingkungan Hidup meningkatny a jumlah siswa yang memahami tentang LH 130.000.000 - - meningkatny a jumlah siswa yang memahami tentang LH 92.000.000 - - NIHIL - 83.250.000 - - meningkatny a jumlah siswa yang memahami tentang LH 83.250.000 meningkatn ya jumlah siswa yang memahami tentang LH - meningkatn ya jumlah siswa yang memahami tentang LH - Kantor Lingku ngan Hidup Output: pembinaan kepada siswa 5.2.19.02 Pengembangan Data dan Informasi Lingkungan Outcome: terkumpulnya data untuk pembuatan SLHD meningkatny a wawasan pelaku usaha 45.000.000 - - meningkatny a wawasan pelaku usaha 33.300.000 - - - NIHIL - - - - meningkatny a wawasan pelaku usaha - meningkatn ya wawasan pelaku usaha - meningkatn ya wawasan pelaku usaha - Kantor Lingku ngan Hidup Output: pengumpulan data-data dari kecamatan 5.2.20 Program Peningkatan Pengendalian Polusi 5.2.20.02 Pengujian Emisi/Polusi Udara akibat Aktivitas Industri Outcome: tersedianya laporan bertambahny a pengetahuan masyarakat tentang LH 80.000.000 - - bertambahn ya pengetahuan masyarakat tentang LH 80.000.000 - - - NIHIL - - - - bertambahny a pengetahuan masyarakat tentang LH NIHIL bertambah nya pengetahua n masyarakat tentang LH - bertambahn ya pengetahua n masyarakat tentang LH - Kantor Lingku ngan Hidup Output: melaksanakan monitoring Peningkatan Kuantitas dan Kualitas Sumber Daya Manusia Menambah wawasan dan ilmu pengetahuan Aparatur dalam meningkatkan pengetahuan tentang teknologi u diimplementas ikan kepada masyarakat Meningkatkan wawasan pelaku usaha / kegiatan / industri tentang arti pentingnya pengelolaan Lingkungan Hidup 14 dari 21
  • 274.
    16 K Rp. KRp. K Rp. K Rp. K Rp. K Rp. K Rp. K Rp. K Rp. K Rp. 1 15=14/6*100% 2 3 4 5 6 97 8 13 14=1310 11 12 8 5.2.24 Program Pengeloaan Ruang Terbuka Hijau (RTH) 5.2.24.02 Sosialisasi Kebijakan, Norma, Standar,Prosedur dan Manual Pengelolaan RTH Outcome: bertambahnya wawasan tentang RTH meningkatny a wawasan pelaku industri tentang RTH 50.000.000 - - meningkatny a wawasan pelaku industri tentang RTH 42.000.000 - - - NIHIL - 26.991.000 - - meningkatny a wawasan pelaku industri tentang RTH 26.991.000 meningkatn ya wawasan pelaku industri tentang RTH - meningkatn ya wawasan pelaku industri tentang RTH - Kantor Lingku ngan Hidup Output: meningkatnya wawasan tentang RTH 5.2.24.05 Penataan RTH Outcome: bertambahnya kawasan RTH bertambahny a kawasan RTH 36.000.000 - - bertambahn ya kawasan RTH 36.000.000 - - - - - - - 35.950.000 bertambahny a kawasan RTH 35.950.000 bertambah nya kawasan RTH 35.950.000 bertambahn ya kawasan RTH 0,9986 Kantor Lingku ngan Hidup Output: meningkatnya kawasan RTH 102.795.175 132.813.675 603.584.033 908.758.250 1.747.951.133 ############ 16,159 Faktor Pendorong keberhasilan kinerja : Peraturan dan Undang-undang tentang Pengelolaan Lingkungan Hidup Faktor penghambat pencapaian kinerja : Kurangnya SDM pada Kantor Lingkungan Hidup Tindaklanjut yang diperlukan dalam triwulan berikutnya : Penambahan SDM pada Kantor Lingkungan Hidup Tindaklanjut yang diperlukan dalam RKPD berikutnya : Meningkatkan sarana dan prasarana pada Kantor Lingkungan Hidup Predikat Kinerja Tersedianya Ruang Terbuka Hijau Rata-rata capaian Kinerja (%) 15 dari 21
  • 275.
    Sasaran Pembangunan TahunanKota PADANGSIDIMPUAN DINAS KEBERSIHAN, PERTAMANAN dan PENCEGAHAN KEBAKARAN K Rp K Rp K Rp K Rp K Rp K Rp K Rp K Rp K Rp K Rp 1 5 4.880.000.000 1 975.930.000 883.894.753 883.894.753 883.894.753 18,1% Penyediaan Jasa Komunikasi, Sumber Daya Air dan Listrik Dimanfaatkannya alat komunikasi, sumber daya air dan listrik dalam pelayanan kantor 5 114.000.000 1 21.600.000 18.535.253 18.535.253 18.535.253 16,3% Penyediaan Jasa Peralatan dan Perlengkapan Kantor Dimanfaatkannya peralatan dan perlengkapan kantor dalam pelayanan kantor 5 250.000.000 1 50.000.000 50.000.000 50.000.000 50.000.000 20,0% Penyediaan Jasa Kebersihan Kantor Terpeliharanya kebersihan kantor 5 95.000.000 1 18.800.000 18.800.000 18.800.000 18.800.000 19,8% Penyediaan Jasa Perbaikan Peralatan Kerja Berfungsinya dengan baik peralatan kerja dalam pelayanan kantor 5 38.000.000 1 6.000.000 6.000.000 6.000.000 6.000.000 15,8% Penyediaan Alat Tulis Kantor Dimanfaatkannya Alat Tulis Kantor dalam Pelayanan Kantor 5 445.000.000 1 85.000.000 85.000.000 85.000.000 85.000.000 19,1% Penyediaan Barang Cetakan dan Penggandaan Dimanfaatkannya Barang Cetakan dan Penggandaan dalam Pelayanan Kantor 5 622.000.000 1 142.000.000 142.000.000 142.000.000 142.000.000 22,8% Penyediaan Peralatan dan Perlengkapan Kantor Dimanfaatkannya peralatan dan perlengkapan kantor 5 843.000.000 1 162.530.000 152.280.000 152.280.000 152.280.000 18,1% Penyediaan Peralatan Rumah Tangga Dimanfaatkannya peralatan rumah tangga 5 180.000.000 1 36.000.000 36.000.000 36.000.000 36.000.000 20,0% Penyediaan Makanan dan Minuman 5 1.223.000.000 1 243.000.000 166.310.000 166.310.000 166.310.000 13,6% Rapat-Rapat Koordinasi dan Konsultasi Ke Luar Daerah Dilaksanakannya hasil rapat/konsultasi 5 1.070.000.000 1 211.000.000 208.969.500 208.969.500 208.969.500 19,5% 2 5 900.000.000 1 98.760.000 91.927.250 91.927.250 91.927.250 10,2% Pengadaan Kendaraan Dinas/Operasional Peningkatan Sarana dan Prasarana 5 420.000.000 1 39.000.000 35.480.000 35.480.000 35.480.000 8,4% Pemeliharaan Rutin Berkala Kendaraan Dinas/Operasional Terlaksananya Pemeliharaan Kendaraan Dinas/Operasional 5 480.000.000 1 59.760.000 56.447.250 56.447.250 56.447.250 11,8% 3 Program Peningkatan Disiplin Aparatur 5 230.000.000 1 38.700.000 35.480.000 35.480.000 35.480.000 15,4% Pengadaan Pakaian Dinas beserta kelengkapannya Meningkatnya Disipli Aparatur 5 230.000.000 1 38.700.000 35.480.000 35.480.000 35.480.000 15,4% 4 5 480.000.000 1 90.000.000 89.730.000 89.730.000 89.730.000 18,7% Pendidikan dan Pelatihan Formal Peningkatan Pengetahuan Aparatur 5 480.000.000 1 90.000.000 89.730.000 89.730.000 89.730.000 18,7% 5 5 195.000.000 1 37.000.000 31.200.000 31.200.000 31.200.000 16,0% Penyusunan laporan capaian kinerja dan ikhtisar realisasi kinerja SKPD Laporan capaian kinerja dan ikhtisar realisasi kinerja (LAKIP) 5 113.000.000 1 21.600.000 21.600.000 21.600.000 21.600.000 19,1% Penyusunan laporan keuangan semesteran Dimanfaatkannya informasi dalam laporan semesteran 5 34.000.000 1 6.500.000 4.350.000 4.350.000 4.350.000 12,8% Penyusunan Pelaporan Keuangan akhir tahun Laporan Keuangan Akhir Tahun 5 48.000.000 1 8.900.000 5.250.000 5.250.000 5.250.000 10,9% Meningkatkat Pelaporan capaian Kenerja keuangan Program Peningkatan Pengembangan Sistem Pelaporan Capaian Kinerja dan Dinas Kebersihan, P2K Peningkatan serta terpeliharanya kendraan Dinas Program Peningkatan Sarana dan Prasarana Aparatur Dinas Kebersihan, P2K Meningkat Rasa Disiplin Apartur Dinas Kebersihan, P2K Meningkat Kapasitas SDM Aparatur Program Peningkatan Kapasitas Sumber Daya Aparatur Dinas Kebersihan, P2K 13 14 15= 14/6*100% Menigkatkan pelayanan Administrasi Kantor Program Pelayanan Administrasi Perkantoran Dinas Kebersihan, P2K 7 8 9 10 11 12 1 2 3 4 5 6 Tingkat capaian Kinerja dan Realisasi Anggaran RPJMD Kabupaten/Kota s/d tahun 2013 SKPD Penanggung JawabI II III IV Target RPJMD Kabupaten/Kota Pada tahun 2017 (akhir Periode RPJMD) Realisasi Capaian Kinerja RPJMD Kabupaten / Kota s/d RKPD Kabupaten / Kota Tahun Lalu (n-2) Target Kinerja dan Anggaran RKPD Kabupaten/Kota Tahun Berjalan (tahun n-1) yang di evaluasi Realisasi Kinerja pada Triwulan Realisasi capaian Kinerja dan Anggaran RKPD Kabupaten / Kota yang Dievaluasi Realisasi Kinerja dan Anggaran RPJMD Kabupaten/Kota s/d Tahun 2017 (akhir tahun Pelaksanaan RKPD tahun No. Sasaran Kode Urusan / Bidang Urusan Pemerintahan Daerah dan Program/Kegiatan Indikator Kinera Program (Outcome ) / Kegiatan (Output) FORMULIR VII. F.8 EVALUASI TERHADAP HASIL RKPD KOTA PADANGSIDIMPUAN TAHUN 2013 16 dari 21
  • 276.
    K Rp KRp K Rp K Rp K Rp K Rp K Rp K Rp K Rp K Rp 6 5 38.800.000.000 1 6.883.914.000 6.427.697.408 6.427.697.408 6.427.697.408 16,6% Penyediaan Prasarana dan Sarana Pengelolaaan Persampahan Bertambahnya Sarana dan Prasarana pengelolaan persampahan 5 3.000.000.000 1 157.580.000 143.280.000 143.280.000 143.280.000 4,8% Peningkatan operasi dan pemeliharaan saran dan prasarana persampahan Berfungsinya dengan baik Sarana dan Prasarana pegelolaan persampahan 5 35.800.000.000 1 6.726.334.000 6.284.417.408 6.284.417.408 6.284.417.408 17,6% 7 5 8.500.000.000 1 1.470.939.500 1.435.714.000 1.435.714.000 1.435.714.000 16,9% Pengadaan Sarana dan Prasarana Pencegahan Bahaya Kebakaran Bertambahnya Sarana dan Prasarana Pencegahan Kebakaran 5 990.000.000 1 119.600.000 110.780.000 110.780.000 110.780.000 11,2% Pemeliharaan Sarana dan Prasarana Pencegahan Bahaya Kebakaran Terlaksananya Pemeliharaan Sarana dan Prasarana Pencegahan Bahaya Kebakaran 5 7.510.000.000 1 1.351.339.500 1.324.934.000 1.324.934.000 1.324.934.000 17,6% 8 5 19.980.000.000 1 6.743.457.000 5.166.838.599 5.166.838.599 5.166.838.599 25,9% Penataan RTH Tertatanya RTH 5 2.700.000.000 1 592.712.000 588.042.000 588.042.000 588.042.000 21,8% Pemeliharaan RTH Berfungsinya dengan baik RTH sebagai penambah keindahan kota 5 17.280.000.000 1 4.050.745.000 3.928.030.199 3.928.030.199 3.928.030.199 22,7% Pengadaan dan Pemasangan Lampu Penerang Jalan di Kota Padangsidimpuan 2.100.000.000 650.766.400 650.766.400 650.766.400 9 Pemanfaat Lahan TPA 5 2.200.000.000 1 0 0 0 0 0,0% Penataan Penguasaan, Pemilikan, Penggunaan dan Pemanfaatan Tanah 5 2.200.000.000 1 0 0 0 0 0,0% 10 Program Pengelolaan Areal Pemakaman 5 1.900.000.000 1 0 0 0 0 0,0% Pembangunan Sarana dan Prasarana Pemakaman Dimanfaatkannya sarana dan prasarana pemakaman 5 250.000.000 1 0 0 0 0 0,0% Pemeliharaan Sarana dan Prasarana Pemakaman Berfungsinya dengan baik sarana dan prasarana pemakaman dalam menambah keindahan kota 5 1.650.000.000 1 0 0 0 0 0,0% Faktor Pendorong keberhasilan Kinerja : Tersedianya Dana, SDM yang cukup dan perencanaan yang matang. Faktor penghambat pencapaian Kinerja : Masih kurangnya dana yang memadai serta proses dan peraturan yang sangat sulit Tindak Lanjut yang di perlukan dalam Triwulan berikutnya : Tindak Lanjut yang di perlukan dalam RKPD berikutnya : Program Penataan Penguasaan, Pemilikan, Penggunaan dan Pemanfaatan Tanah Dinas Kebersihan, P2K 13 14 15= 14/6*100% Realisasi Kinerja dan Anggaran RPJMD Kabupaten/Kota s/d Tahun 2017 (akhir tahun Pelaksanaan RKPD tahun Tingkat capaian Kinerja dan Realisasi Anggaran RPJMD Kabupaten/Kota s/d tahun 2013 SKPD Penanggung Jawab Penyediaan pemeliharaan dan sarana Pemakamaman Umun Dinas Kebersihan, P2K Rata-Rata capaian Kinerja (%) Prediksi Kinerja Siaga dan Pencegahan Bahaya Kebakaran Program Peningkatan Kesiagaan dan Pencegahan Bahaya Kebakaran Dinas Kebersihan, P2K Tertatanya serta penambahan RTH keindahan kota Program Pengelolaan Ruang Terbuka Hijau (RTH) Dinas Kebersihan, P2K Bertambah dan ber fungsinya dengan baik Sarana dan Prasarana pegelolaan persampahan Program Pengembangan Kinerja Pengelolaan Persampahan Dinas Kebersihan, P2K 7 8 9 10 11 12 1 2 3 4 5 6 Target Kinerja dan Anggaran RKPD Kabupaten/Kota Tahun Berjalan (tahun n-1) yang di evaluasi Realisasi Kinerja pada Triwulan Realisasi capaian Kinerja dan Anggaran RKPD Kabupaten / Kota yang DievaluasiI II III IV No. Sasaran Kode Urusan / Bidang Urusan Pemerintahan Daerah dan Program/Kegiatan Indikator Kinera Program (Outcome ) / Kegiatan (Output) Target RPJMD Kabupaten/Kota Pada tahun 2017 (akhir Periode RPJMD) Realisasi Capaian Kinerja RPJMD Kabupaten / Kota s/d RKPD Kabupaten / Kota Tahun Lalu (n-2) 17 dari 21
  • 277.
    Sasaran Pembangunan TahunanKota : Padangsidimpuan Badan KB,PP dan PA Rp. K Rp. K Rp. K Rp. K Rp. K Rp. K Rp. K Rp. K Rp. K Rp. I BIDANG KB DAN KELUARGA SEJAHTERA 43.502.081 - 7,94 3.454.466 - - - - - - 94,14 3.252.136 94,14 3.252.136 94,14 3.252.136 7,48 0,07 1 12 01 15 Program Keluarga Berencana 12.377.906 - 11,10 1.374.531 - - - - - - 94,72 1.301.923 94,72 1.301.923 94,72 1.301.923 10,52 0,11 Pemutaran Film KB 12 01 15 02 Pelayanan KIE Tersebarnya informasi KB ke seluruh Desa/Kel 60 Keg 432.800 - - 7,58 32.800 - - - - - - 67,84 22.250 67,84 22.250 67,84 22.250 1,13 0,05 Badan KB Pelayanan Pup Smeer 12 01 15 04 Promosi Pelayanan Kelangsungan Hidup Bayi dan Anak (KHIBA)Peserta KB Baru dan Aktif 10 Bln 355.550 - - 56,53 201.000 - - - - - - 97,81 196.590 97,81 196.590 97,81 196.590 1,63 0,33 Badan KB Operasional Petugas KIE 12 01 15 05 Pembinaan Keluarga Berencana Operasional Petugas KIE PLKB Non PNS 60 Bln 595.550 - - 22,33 133.000 - - - - - - 96,87 128.840 96,87 128.840 96,87 128.840 3,87 0,10 Badan KB Sarana Pelayanan KB 12 01 15 06 Pengadaan Sarana Mobilitas Tim KB Keliling Meningkatnya Sarana Pelayanan KB 25 Keg 1.333.000 - - 38,65 515.156 - - - - - - 92,11 474.508 92,11 474.508 92,11 474.508 3,07 0,28 Badan KB Kegiatan TMKK 12 01 15 07 Kegiatan Terpadu TNI Manungggal KB Kesehatan Terlaksananya Pelay.KB secara terpadu 30 Bln 1.715.156 - - 5,13 88.000 - - - - - - 95,00 83.600 95,00 83.600 95,00 83.600 6,33 0,16 Badan KB Kegiatan PKK-KB Kes 12 01 15 08 Kegiatan Terpadu Kesatuan Gerak PKK KB Kesehatan Terlaksananya Pelay.KB secara terpadu 15 Bln 536.400 - - 10,51 56.400 - - - - - - 100,00 56.400 100 56.400 100,00 56.400 6,67 0,13 Badan KB Kegiatan Bulan Bhakti KB IBI 12 01 15 09 Kegiatan Terpadu Bulan Bhakti KB IBI Terlaksananya Pelay.KB secara terpadu 15 Bln 437.300 - - 9,60 42.000 - - - - - - 97,86 41.100 97,86 41.100 97,86 41.100 0,12 0,03 Badan KB Kegiatan Pelay. TKBK 12 01 15 10 Kegiatan Pelayanan Tim KB Keliling (TKBK) Terlaksananya Kegiatan Pelay. KB di 79 Desa 790 keg 1.332.000 - - 9,91 132.000 - - - - - - 99,28 131.050 99,28 131.050 99,28 131.050 0,06 0,10 Badan KB Jambore Institusi 12 01 15 11 Jambore Institusi Program KB Terlaksananya Jambore IMP Tk. Kota, Provinsi, Nasional 1.530 Org 1.314.100 - - 2,22 29.200 - - - - - - 100,00 29.200 100 29.200 100,00 29.200 3,33 0,02 Badan KB Kegiatan Penilaian 12 01 15 12 Penilaian Pelaksanaan Program KB Terlaksananya Penilaian KegiatanProgram KB 30 keg 1.234.375 - - 2,78 34.375 - - - - - - 96,51 33.175 96,51 33.175 96,51 33.175 3,22 0,08 Badan KB Kegiatan KB Bhayangkara 12 01 15 13 Kegiatan Terpadu KB Kes Bhayangkara Terlaksananya Pelay.KB secara terpadu 30 Keg 431.975 - - 9,26 40.000 - - - - - - 93,75 37.500 93,75 37.500 93,75 37.500 18,75 0,03 Badan KB Penyuluhan KB 12 01 15 14 Hari Keluarga Nasional (Harganas) Peserta KB Pria 5 Keg 1.259.700 - - 5,60 70.600 - - - - - - 95,91 67.710 95,91 67.710 95,91 67.710 2,00 0,07 Badan KB Kegiatan PPKS 12 01 15 15 Kegiatan Pusat Pelayanan Keluarga Sejahtera (PPKS) Terbentuknya PPKS di Kota Padangidimpuan 48 Bln 1.000.000 - - - - - - - - - - - - - - - - - - Badan KB Kegiatan Koalisai Kependudukan 12 01 15 16 Pembentukan Koalisi untuk Indonesia Kependudukan dan PembangunanTerbentuknya KPKP dI Kota Padangidimpuan 24 Keg 400.000 - - - - - - - - - - - - - - - - - - Badan KB 2. 12 01 16 Program Kesehatan Reproduksi Remaja (KRR) 1.420.000 - - - - - - - - - - - - - - - - Remaja dalam rangka persiapan menuju perkawinan 12 01 16 01 Orientasi Pengelola KIE KRR Meningkatnya Pengetahuan Remaja dalam rangka persiapan menuju perkawinan 24 Keg 240.000 - - - - - - - - - - - - - - - - - - Badan KB Remaja dalam rangka persiapan menuju perkawinan 12 01 16 02 Latihan Petugas KIE KRR Meningkatnya Pengetahuan Remaja dalam rangka persiapan menuju perkawinan 24 Keg 240.000 - - - - - - - - - - - - - - - - - - Badan KB Remaja dalam rangka persiapan menuju perkawinan 12 01 16 03 Orientasi Program KRR bagi mitra kerja (lintas sektor, LSM, Kelompok remaja, organisasi pemuda, organisasi keagaan dll)Meningkatnya Pengetahuan Remaja dalam rangka persiapan menuju perkawinan 24 Keg 480.000 - - - - - - - - - - - - - - - - - - Badan KB Remaja dalam rangka persiapan menuju perkawinan 12 01 16 04 Study Banding Program KRR Meningkatnya Pengetahuan Remaja dalam rangka persiapan menuju perkawinan 4 Keg 100.000 - - - - - - - - - - - - - - - - - - Badan KB Remaja dalam rangka persiapan menuju perkawinan 12 01 16 05 Rapat Koordinasi Program KRR Meningkatnya Pengetahuan Remaja dalam rangka persiapan menuju perkawinan 24 Keg 120.000 - - - - - - - - - - - - - - - - - - Badan KB Remaja dalam rangka persiapan menuju perkawinan 12 01 16 06 Advokasi KIE tentang Kesehatan Reproduksi Remaja (KRR) Meningkatnya Pengetahuan Remaja dalam rangka persiapan menuju perkawinan 24 Keg 240.000 - - - - - - - - - - - - - - - - - - Badan KB 3. 12 01 17 Program Pelayanan Kontrasepsi 6.522.890 - 4,03 262.990 - - - - - - 76,39 200.911 76,39 200.911 76,39 200.911 3,08 0,03 Kepala Desa/Lurah sebagai tenaga penghubung 12 01 17 01 Pelayanan Konseling KB Meningkatnya Kesejahteraan Tenaga penghubung 4.266 Ob 805.800 - - 5,88 47.400 - - - - - - - - - - - - - - Badan KB Peserta KB Aktif dan Ulangan 12 01 17 02 Pelayanan Pemasangan Kontrasepsi KB Terpenuhinya Hak-Hak Reproduksi 165 KKB 592.340 - - 7,58 44.880 - - - - - - 100 44.880 100 44.880 100 44.880 0,61 0,08 Badan KB 33 Klinik KB se Kota Padangsidimpuan 12 01 17 03 Pengadaan Kontrasepsi dan Obat Side Effeck Adanya Jaminan ketersediaana Kontrasepsi 6 Pkt 2.535.000 - - 1,38 35.000 - - - - - - 99,79 34.925 99,8 34.925 100 34.925 16,63 0,01 Badan KB Peserta KB Keluarga Para Sejahtera dan KS I 12 01 17 04 Pelayanan KB Medis Operasi (MOW/MOP) Meningkatnya Peserta KB Medis Operasi Wanita 750 Kss 1.296.450 - - 8,84 114.550 - - - - - - 92,76 106.255 92,8 106.255 93 106.255 0,12 0,08 Badan KB EVALUASI TERHADAP HASIL RKPD KOTA PADANGSIDIMPUAN TAHUN 2013 No. Sasaran Kode Urusan/Bidang Urusan Pemerintahan Daerah dan Program/Kegiatan Indikator Kinerja Program (Outcome)/Kegiatan (Output) Target RPJMD Kab/Kota pada Tahun 2017 (Akhir priode RPJMD) (Dalam ribuan) Realisasi Capaian Kinerja RPJMD Kab/Kota s.d RKPD Kab/Kota Tahun Lalu (n-2) I II III IV Target Kinerja dan Anggaran Kab/Kota Tahun berjalan (Tahun n-1) yang di evaluasi Realisasi Kinerja pada Triwulan Target Kinerja dan Anggaran RKPD Kab/Kota yang di evaluasi Realisasi Kinerja dan Anggaran RPJMD Kab/Kota s.d Tahun 2013 (Akhir Tahun Pelaksanaan RKPD Tahun 2013) Tingkat Capaian Kinerja dan Realisasi Anggaran RPJMD Kab/Kota Tahun 2013 (%) Penangg ung jawab 16 K 7 8 9 10 11 126 13=9+10+11+12 14=7+13 15=14/6* 100%1 2 3 4 5 18 dari 21
  • 278.
    Rp. K Rp.K Rp. K Rp. K Rp. K Rp. K Rp. K Rp. K Rp. K Rp. PLKB dan Petugas Klinik KB 12 01 17 05 Pelatihan Pencatatan dan Pelaporan Program KB Meningkatnya Ketrampilan Petugas r/r 240 Org 173.300 - - 12,21 21.160 - - - - - - 70,18 14.851 70,18 14.851 70,18 14.851 0,29 0,09 Badan KB Pangan Usian Subur (PUS) 12 01 17 05 Pup Smeer Meningkatnya Kesehatan Reproduksi PUS 400 Kss 400.000 - - - - - - - - - - - - - - - - - - Badan KB Pangan Usian Subur (PUS) 12 01 17 06 Komplikasi/Pencabutan Implant dan IUD Meningkatnya Kesehatan Reproduksi PUS 400 kss 400.000 - - - - - - - - - - - - - - - - - - Badan KB Gudang Alkon 12 01 17 06 Penyimpanan, pemeliharaan dan pengiriman alokon Terpeliharanya Kebersihan Alkon 48 Bln 160.000 - - - - - - - - - - - - - - - - - - Badan KB PLKB dan Petugas Klinik KB 12 01 17 06 Pertemuan Koordinasi, pembentukan Tim dan Pengembangan JKK di Tk. Kota Tersedianya Jaminan Alat Kontrasepsi 24 Keg 160.000 - - - - - - - - - - - - - - - - Badan KB 4. 12 01 18 Program Pembinaan Peran Serta Masyarakat dalam Pelayanan KB/KR yang Mandiri 13.260.445 - 9,82 1.302.105 - - - - - - 96,36 1.254.712 96,36 1.254.712 96,36 1.254.712 9,46 0,09 Kader KB (PPKBD/Sub PPKBD) 12 01 18 02 Orientasi Program KB bagi Kader PPKBD/Sub PPKBD Meningkatnya Pengetahuan Kader KB (PPKBD/Sub PPKBD) 24 Keg 480.000 - - - - - - - - - - - - - - - - - - Badan KB Kader KB (PPKBD/Sub PPKBD) 12 01 18 03 Operasional Kader PPKBD/Sub PPKBD Meningkatnya Kesejahteraan Kader KB 54 Bln 1.988.700 - - 8,34 165.900 - - - - - - 99,76 165.500 99,76 165.500 100 165.500 1,85 0,08 Badan KB Seluruh Pegawai Badan KB 12 01 18 04 Koordinasi Pengelolaan Program KB Terevaluasinya Kegiatan Program KB setiap Bulan 60 Bln 1.082.705 - - 12,36 133.805 - - - - - - 98,92 132.365 98,92 132.365 99 132.365 1,65 0,12 Badan KB Evaluasi Program KB Semester I 12 01 18 05 Review Program KB Evaluasi Tahun 2012 dan Rencana Tahun 2013 Tk. Kec 4 Keg 240.000 - - 4,63 11.100 - - - - - - - - - - - - - - Badan KB Keluarga Pra Sejahtera 12 01 18 06 Pemberdayaan Ekonomi Keluarga Peningkatan Ekonomi Keluarga 14 Keg 670.600 - - 40,35 270.600 - - - - - - 99,95 270.455 99,95 270.455 100 270.455 7,14 0,40 Badan KB PLKB dan Kader KB 12 01 18 07 Pengelolaan Data dan Informasi Program KB Tersedianya Data KB yang akurat ####### KK 1.452.110 - - 11,16 162.000 - - - - - - 95,18 154.192 95,18 154.192 95 154.192 0,00 0,11 Badan KB Kecamatan se Kota Padangsidimpuan 12 01 18 08 Latihan Pemberdayaan Ekonomi Keluarga Meningkatnya Ketrampilan Ekonomi Keluarga 1.500 Org 519.550 - - 43,23 224.600 - - - - - - 100 224.600 100 224.600 100 224.600 0,07 0,43 Badan KB Rakerda Program KB 12 01 18 09 Rapat Kerja Daerah (Rakerda) Program KB Evaluasi Program KB Tahun 2013 5 Keg 350.600 - - 7,64 26.800 - - - - - - 100 26.800 100 26.800 100 26.800 20,00 0,08 Badan KB Kecamatan se Kota Padangsidimpuan 12 01 18 10 Rapat Koordinasi Program KBTingkat Kecamatan Evaluasi Program KB di Kecamatan Tahun 2013 3.032 Org 982.620 - - 20,89 205.240 - - - - - - 100 205.240 100 205.240 100 205.240 0,03 0,21 Badan KB Seluruh Pejabat Struktural Badan KB 12 01 18 11 Rapat Pengendalian Proyek (Rayek) Program KB Evaluasi Kegiatan Keuangan setiap triwulan 16 Keg 48.000 - - 55,21 26.500 - - - - - - - - - - - - - - Badan KB Lurah Kepala Desa, Camat Dsb 12 01 18 12 Exspose Hasil Pendataan keluarga Evaluasi Hasil Pendataan Keluarga 6 Keg 75.560 - - 100 75.560 - - - - - - 100 75.560 100 75.560 100 75.560 16,67 1,00 Badan KB Kelompok UPPKS 12 01 18 13 Bantuan Alat Tehnologi Tepat Guna Bantuan Sarana Kelompok UPPKS 1 Keg 100.000 - - - - - - - - - - - - - - - - - - Badan KB Pra Sejahtera 12 01 18 14 Bantuan ALADIN dan Listrik Kencana bagi Rumah Keluarga Pra SejahteraMeningkatnya Tahapan Keluarga Pra Sejahtera 96 Rmh 5.270.000 - - - - - - - - - - - - - - - - - - Badan KB 5. 12 01 19 Program Promosi Kesehatan Ibu bayi dan Anak melalui Kegiatan Kelompok di Masyarakat 3.293.750 - 9,34 307.750 - - - - - - 93,42 287.500 93,42 287.500 93,42 287.500 8,73 0,09 Kegiatan Penyuluhan Kesehatan Anak 12 01 19 01 Penyuluhan Kesehatan ibu, bayi dan anak melalui kegiatan kelompok di masyarakat Meningkatnya Pengetahuan Masyarakat 1.800 Org 551.500 - - 11,88 65.500 - - - - - - 98,47 64.500 98,47 64.500 98,47 64.500 0,05 0,12 Badan KB Kegiatan Sosialisasi Undang-Undang 12 01 19 02 Penyuluhan Hukum bagi Perlindungan Anak Meningkat Pengetahuan Masyarakat, Guru-guru Sekolah 12.500 Org 2.224.750 - - 10,10 224.750 - - - - - - 99,22 223.000 99,22 223.000 99,22 223.000 0,01 0,10 Badan KB Pembentukan KPAID 12 01 19 03 Kegiatan Komisi Perlindungan Anak Indonesia Daerah Terbentuknya KPAID Kota Padangsidimpuan 60 Bln 517.500 - - 3,38 17.500 - - - - - - - - - - - - - - Badan KB 6. 12 01 20 Program Pengembangan pusat pelayanan informasi dan Konseling KRR 1.755.550 - 0,89 15.550 - - - - - - 100 15.550 100 15.550 100 15.550 0,89 0,01 Kegiatan Penyuluhan 12 01 20 01 Pendirian Pusat Pelayanan Informasi dan Konseling KRR Meningkatnya Pengetahuan Remaja tentang Program KB - Org 80.000 - - - - - - - - - - - - - - - - - - Badan KB Kegiatan Penyuluhan 12 01 20 02 Orientasi Petugas PIK KRR Bagi Pengelola, Pendidik Sebaya dan Konselor sebaya Meningkatnya Pengeta huan Remaja tentang Bahaya Narkoba 486 Org 400.000 - - - - - - - - - - - - - - - - - - Badan KB Sarana PIK KRR 12 01 20 03 Fasilitasi, dukungan sarana prasarana PIK KRR Meningkatnya Pelayanan PIK-KRR 4 Keg 20.000 - - - - - - - - - - - - - - - - - - Badan KB Operasional Petugas PIK KRR 12 01 20 04 Dukungan Dana Operasional PIK KR Meningkatnya Kesejahteraan Petugas PIK-KRR 48 Bln 80.000 - - - - - - - - - - - - - - - - - - Badan KB Kegiatan Penyuluhan 12 01 20 05 Saka Kencana Meningkatnya Pengetahuan Remaja Pramuka tentang Keluarga Berencana 1.800 Org 975.550 - - 1,59 15.550 - - - - - - 100 15.550 100 15.550 100 15.550 0,06 0,02 Badan KB Kegiatan Penyuluhan 12 01 20 06 Pertasi Kencana Meningkatnya keterpaduab KB 240 Org 200.000 - - - - - - - - - - - - - - - - - - Badan KB 7. 12 01 20 Program Peningkatan Penanggulangan Narkoba, PMS termasuk HIV/AIDS 663.350 - 9,55 63.350 - - - - - - 100,00 63.350 100,0 63.350 100 63.350 9,55 0,10 Kegiatan Penyuluhan 12 01 21 01 Penyuluhan Penanggulangan Narkoba dan PMS Meningkatnya Pengeta huan Remaja tentang Bahaya Narkoba 1.800 Org 663.350 - - 9,55 63.350 - - - - - - 100 63.350 100 63.350 100 63.350 0,06 0,10 Badan KB 8. 12 01 22 Program Pengembangan Bahan Informasi tentang Pengasuhan dan Pembinaan Tumbuh Kembang Anak 480.000 - - - - - - - - - - - - - - - - - Petugas Lapangan dan Kelompok Bina Keluarga Balita 12 01 22 01 Pengumpulan Bahan Informasi tentang Pengasuhan dan Pembinaan Tumbuh Kembang Anak Meningkatnya Pengeta huan PLKB tentang BKB 1.440 Org 480.000 - - - - - - - - - - - - - - - - - - Badan KB 1 2 3 4 5 6 13 14=7+13 15=14/6* 100% 16 K 7 8 9 10 10 11 19 dari 21
  • 279.
    Rp. K Rp.K Rp. K Rp. K Rp. K Rp. K Rp. K Rp. K Rp. K Rp. 9. 12 01 23 Program Penyiapan Tenaga Pendamping Kelompok Bina Keluarga 3.568.190 - 3,59 128.190 - - - - - - 100 128.190 100 128.190 100 128.190 3,59 0,04 Kegiatan Penyuluhan 12 01 23 01 Pelatihan Tenaga Pendamping Kelompok Bina Kel. Meningkatnya Pengetahuan Kader BKB 1.800 Org 1.328.190 - - 9,65 128.190 - - - - - - 100 128.190 100 128.190 100 128.190 0,06 0,10 Badan KB Kegiatan Penyuluhan 12 01 23 02 Pelatihan Kader Bina Keluarga Remaja (BKR) Meningkatnya Pengetahuan Kader BKR 1.440 Org 1.120.000 - - - - - - - - - - - - - - - - - - Badan KB Kegiatan Penyuluhan 12 01 23 02 Pelatihan Kader Bina Keluarga Lansia (BKL) Meningkatnya Pengetahuan Kader BKL 1.440 Org 1.120.000 - - - - - - - - - - - - - - - - - - Badan KB 10. 12 01 24 Program Pengembangan Model Operasional BKB Posyandu-Padu 160.000 - - - - - - - - - - - - - - - - - Operasional Kader BKB 12 01 24 01 Operasional Pengembangan BKB-Pos Yandu-Padu Meningkatnya Kesejahteraan Kader BKB 4 Keg 160.000 - - - - - - - - - - - - - - - - - - Badan KB II. 11 01 BIDANG PEMBERDAYAAN PEREMPUAN 6.903.300 - 5,96 411.400 - - - - - - 99,59 409.696 99,59 409.696 97,58 409.696 17,78 0,06 1. 11 01 15 Program Keserasian Kebijakan Peningkatan kualitas Anak dan Perempuan 580.000 - - - - - - - - - - - - - - - - Penyusunan Peraturan Daerah tentang Pemberdayaan Perempuan 11 01 15 01 Perumusan Kebijakan Peningkatan Kualitas Hidup Perempuan Dibidang Ilmu Pengetahuan dan Tehnologi Tersedianya Peraturan Daerah tentang Peningkatan SDM Perempuan 1 Keg 50.000 - - - - - - - - - - - - - - - - - - Badan KB Penyusunan Peraturan Daerah tentang Pemberdayaan Perempuan 11 01 15 02 Perumusan Kebijakan Peningkatan Kualitas Hidup Perempuan dibidang Politik dan jabatan Publik Tersedianya Peraturan Daerah tentang Peningkatan SDM Perempuan 1 Keg 50.000 - - - - - - - - - - - - - - - - - - Badan KB Kegiatan Sosialisasi Kesetaraan Gender 11 01 15 03 Pelaksanaan sosialisasi yang terkait dengan Kesetaraan Gender, Pemberdayaan Perempuan dan Perlindungan Anak Meningkatnya Pengetahuan Masyarakat tentang Kesetaraan Gender 1 Keg 480.000 - - - - - - - - - - - - - - - - - - Badan KB 2. 11 01 16 Program Penguatan Kelembagaan Pengarusutamaan Gender dan Anak 1.280.000 - 5,49 70.300 - - - - - - 97,58 68.596 97,58 68.596 97,58 68.596 5,36 0,05 Rumah Penampungan sementara korban KDRT 11 01 16 01 Fasilitasi Pengembangan Pusat Pelayanan Terpadu Pemberdayaan Perempuan (P2TP2) Tersedianya Rumah Penampungan sementara korban KDRT 30 Keg 240.000 - - 29,29 70.300 - - - - - - 97,58 68.596 97,58 68.596 97,58 68.596 3,25 0,29 Badan KB Pemutakhiran data perempuan dan anak 11 01 16 02 Pemetaan Potensi dan Lembaga Masyarakat yang berperan dalam Pemberdayaan Perempuan dan Anak Terlaksananya Pemutakhiran data perempuan dan anak 8 Keg 80.000 - - - - - - - - - - - - - - - - - - Badan KB Masyarakat laki-laki dan perempuan 11 01 16 03 Pengembangan materi dan pelaksanaan KIE tentang Kesetaraan dan Keadilan Gender (KKG) Meningkatnya Pengetahuan Masyarakat laki-laki dan perempuan 4 Keg 80.000 - - - - - - - - - - - - - - - - - - Badan KB Penyiapan wadah/kumpulan gender 11 01 16 04 Penguatan Kelembagaan dan Pengarusutamaan Gender dan Anak Tersedianya Penyiapan wadah/kumpulan gender 8 Keg 160.000 - - - - - - - - - - - - - - - - - - Badan KB Pembentukan Komisi Perlindungan Perempuan 11 01 16 05 Peningkatan Kapasitas dan Jaringan Kelembagaan Pemberdayaan Perempuan dan Anak Pembentukan Komisi Perlindungan Perempuan 8 Keg 160.000 - - - - - - - - - - - - - - - - - - Badan KB Pembentukan Komisi Perlindungan Anak 11 01 16 06 Pengembangan Sistem Informasi Gender dan Anak Pembentukan Komisi Perlindungan Anak 8 Keg 160.000 - - - - - - - - - - - - - - - - - - Badan KB Pokja PUG 11 01 16 07 Worshop Anak/Peningkatan Perann Perempuan dalam Pengambilan Keputusan Terlaksananya Pokja PUG 8 Keg 320.000 - - - - - - - - - - - - - - - - - - Badan KB Gabungan Organisasi Wanita (GOW) 11 01 16 08 Pemberdayaan Lembaga yang Berbasis Gender Terbentuknya Gabungan Organisasi Wanita (GOW) 4 Keg 80.000 - - - - - - - - - - - - - - - - - - Badan KB 3. 11 01 17 Program Peningkatan Kualitas Hidup dan Perlindungan Perempuan 3.344.500 - 7,91 264.500 - - - - - - 100 264.500 100 264.500 100 264.500 7,91 0,08 Perlindungan bagi korban KDRT 11 01 17 01 Pelaksanaan kebijakan perlindungan perempuan di daerah Adanya Perlindungan bagi korban KDRT 4 Keg 80.000 - - - - - - - - - - - - - - - - - - Badan KB Pembentukan pengurus perlindungan perempuan 11 01 17 02 Pelatihan bagi pelatih (TOT) SDM Pelayanan dan pendampingan korban KDRT Pembentukan pengurus perlindungan perempuan 4 Keg 200.000 - - - - - - - - - - - - - - - - - - Badan KB Tenaga dan Unit Pengelola Pelaporan KDRT 11 01 17 03 Sosialisasi dan advokasi kebijakan Perlindungan Tenaga Kerja Perempuan Terselenggaranya Sosialisasi Pencatatan Pelaporan KDRT 4 Keg 200.000 - - - - - - - - - - - - - - - - - - Badan KB 1 2 3 4 5 6 13 14=7+13 15=14/6* 100% 16 K 7 8 9 10 10 11 20 dari 21
  • 280.
    Rp. K Rp.K Rp. K Rp. K Rp. K Rp. K Rp. K Rp. K Rp. K Rp. Kegiatan Penyuluhan 11 01 17 04 Sosialisasi Sistem Pencatatan dan pelaporan KDRT Meningkatnya Pemaha man Masyarakat ttg Perlindungan KDRT 4 Keg 200.000 - - - - - - - - - - - - - - - - - - Badan KB Kegiatan Penyuluhan 11 01 17 05 Penyusunan profil perlindungan perempuan lansia dan cacat Meningkatnya Pemahaman Tenaga Kerja Indonesia 4 Keg 200.000 - - - - - - - - - - - - - - - - - - Badan KB Kegiatan Penyuluhan 11 01 17 06 Fasilitasi upaya perlindungan perempuan terhadap tindak kekerasan Tersedianya Data yang akurat tentang KDRT 30 Keg 464.500 - - 56,94 264.500 - - - - - - 100 264.500 100 264.500 100 264.500 3,33 0,57 Badan KB Pengumpulan dan Pengolahan Data 11 01 17 07 Sosilalisasi Undang-Undang Perlindungan Perempuan Terhadap Tindak Kekerasan Tersedianya Data yang akurat Perempuan Lansia 10.000 Keg 2.000.000 - - - - - - - - - - - - - - - - - - Badan KB 4. 11 01 18 Program Peningkatan Peran serta dan Kesetaraan Gender dalam Pembangunan 1.698.800 - 4,51 76.600 - - - - - - 100 76.600 100 76.600 100 76.600 4,51 0,05 Kegiatan Penyuluhan 11 01 18 01 Kegiatan Pembinaan Organisasi Perempuan Terbinanya Gabungan Organisasi Perempuan (GOW) 480 Org 240.000 - - - - - - - - - - - - - - - - - - Badan KB Kegiatan Penyuluhan 11 01 18 02 Kegiatan Pendidikan dan Pelatihan Peningkatan Peran Serta dan Kesetaraan Gender Meningkatnya Pengetahuan Masyarakat Tentang Kesetaraan Gender 480 Org 240.000 - - - - - - - - - - - - - - - - - - Badan KB Kegiatan Penyuluhan 11 01 18 03 Kegiatan Penyuluhan bagi ibu Rumah Tangga dalam Membangun Keluarga Sejahtera Meningkatnya Pengetahuan Masyarakat Tentang Keluarga Sejahtera 1.800 Org 513.800 - - 13,16 67.600 - - - - - - 100 67.600 100 67.600 100 67.600 0,06 0,13 Badan KB Kegiatan Penyuluhan 11 01 18 04 Kegiatan Bimbingan Manajeman Usaha bagi Perempuan dalam Mengelola Usaha Meningkatnya Pengeta huan Masyarakat akan Kesejahteraan Keluarga 200 Klp 225.000 - - 4,00 9.000 - - - - - - 100 9.000 100 9.000 100 9.000 0,50 0,04 Badan KB Kegiatan Penyuluhan 11 01 18 05 Kegiatan Pameran Hasil Karya Perempuan dibidang Pembangunan Meningkatnya Ekonomi Keluarga 480 Org 240.000 - - - - - - - - - - - - - - - - - - Badan KB Kegiatan Pameran 11 01 18 06 Kegiatan Orientasi bagi Kader GISS Meningkatnya Ekonomi Keluarga 480 Org 240.000 - - - - - - - - - - - - - - - - - - Badan KB 50.405.381 - 7,67 3.865.866 - - - - - - 95 3.661.832 94,72 3.661.832 94,72 3.661.832 28,29 0,16 50.405.381 - 7,67 3.865.866 - - - - - - 95 3.661.832 94,72 3.661.832 94,72 3.661.832 28,29 0,16 7 8 9 10 10 11 Rata-rata capaian kinerja (%) Predikat Kinerja Faktor pendorong : Faktor penghambat pencapaian kinerja : Tidak terdapat faktor penghambat dalam pelaksanaan program dan kegiatan untuk pencapaian kinerja Tindaklanjut yang diperlukan dalam dalam triwulan berikutnya : Diharapkan realisasi keuangan dapat terealisasi cepat dan tepat waktu agar pelaksanaan kegiatan sesuai dengan jadwal yang telah direncanakan Tindaklanjut yang diperlukan dalam RKPD berikutnya : Diharapkan Program dan kegiatan yang belum terlaksana agar dapat dilaksanakan secepatnya agar realisasi pada semester berikutnya sudah mencapai 100 % 13 14=7+13 15=14/6* 100% 16 K 1 2 3 4 5 6 21 dari 21
  • 281.
    Sasaran Pembangunan TahunanKota : Padangsidimpuan Dinas Sosial 1 2 4 5 16 K Rp. K Rp. K Rp. K Rp. K Rp. K Rp. K Rp. K Rp. K Rp. K Rp. URUSAN WAJIB SOSIAL 1 1 13 1 13 01 01 100% 3.214.000.000 564.796.350 - - 44% 256.433.646 16% 92.555.498 86% 488.171.916 86% 488.171.916 100% 488.171.916 15% Dinsosr naker 01 Penyediaan Jasa Surat Menyurat 56.000.000 - - 23% 13.021.000 26% 14.250.000 100% 55.839.000 100% 55.839.000 100% 55.839.000 02 21.950.000 - - 28% 4.815.996 20% 3.313.498 91% 19.990.016 91% 19.990.016 91% 19.990.016 08 Penyediaan Jasa Kebersihan Kantor 12.227.500 - - 48% 5.839.000 1% 200.000 100% 12.227.500 100% 12.227.500 100% 12.227.500 10 Penyediaan Jasa Alat Tulis kantor 75.202.900 - - 66% 49.763.250 19% 13.830.300 98% 73.402.900 98% 73.402.900 98% 73.402.900 11 49.175.950 - - 50% 22.933.400 21% 9.700.700 96% 47.278.500 96% 47.278.500 96% 47.278.500 17 Penyediaan makanan dan Minuman 113.240.000 - - 22% 24.351.000 19% 21.721.000 78% 88.200.000 78% 88.200.000 78% 88.200.000 18 237.000.000 - - 68% 135.710.000 15% 29.540.000 81% 191.234.000 81% 191.234.000 81% 191.234.000 2 1 13 1 13 01 02 100% 427.000.000 330.658.000 36% 119.095.000 5% 17.030.000 96% 317.767.000 96% 317.767.000 96% 317.767.000 74% Dinsosr naker 05 Pengadaan Kendaraan Dinas/Operasional 34.000.000 - - 91% 31.098.000 0% 0 91% 31.098.000 91% 31.098.000 91% 31.098.000 09 Pengadaan Peralatan Gedung Kantor 232.158.000 - - 98% 68.850.000 1% 1.050.000 97% 224.558.000 97% 224.558.000 97% 224.558.000 22 Pemeliharaan Rutin/Berkala Gedung Kantor 9.600.000 - - 42% 4.000.000 8% 800.000 100% 9.600.000 100% 9.600.000 100% 9.600.000 24 Pemeliharaan Rutin/Berkala Kendaraan Dinas/Operasional 42.900.000 - - 27% 11.657.000 24% 10.237.000 99% 42.648.000 99% 42.648.000 99% 42.648.000 28 12.000.000 - - 29% 3.490.000 41% 4.943.000 82% 9.863.000 82% 9.863.000 82% 9.863.000 PROGRAM PENINGKATAN DISIPLIN APARATUR Pengadaan Pakaian Dinas dan Perlengkapannya 18.490.000 - - - - - - 100% 18.490.000 100% 18.490.000 100% 18.490.000 No. Sasaran Kode Urusan /Bidang Urusan Pemerintah Daerah Dan Program/kegiatan Indikator Kinerja Program (outcome) / Kegiatan (out put) Target RPJMD Kab./Kota pada Tahun 2017 (Akhir Periode RPJMD) SKPD Penanggu ng Jawab Formulir VII.F.8 Evaluasi Terhadap Hasil RKPD Kota Padangsidimpuan Tahun 2013 Triwulan IV Realisasi Capaian Kinerja RPJMD Kab./Kota s.d RKPD Kab./Kota Tahun Lalu (n-2) Target Kinerja dan Anggaran RKPD Kab./Kota Tahun Berjalan (Tahun n-1) yang dievaluasi Tahun 2013 Realisasi Kinerja Pada Triwulan Realisasi Capaian Kinerja dan Anggaran RKPD Kab./Kota yang dievaluasi Tahun 2013 Realisasi Kinerja dan Anggaran RPJMD Kab./Kota s.d Tahun 2013 (Akhir Tahun Pelaksanaan RKPD) Tingkatt Capaian Kinerja dan Realisasi Anggaran RPJMD Kab./Kota s.d Tahun 2013 (%) I II III IV 14=7+13 15=14/6*100% Dinsosnaker PROGRAM PELAYANAN ADMINISTRASI PERKANTORAN Pelayanan Adm.Perkan.Berjala n baik Penyediaan Jasa Komunikasi, Sumber daya Air &Listrik 3 6 7 8 9 10 Penyediaan Barang Cetakan dan Penggandaan Rapat - rapat Koordinasi dan Konsultasi Keluar Daerah Dinsosnaker PROGRAM PENINGKATAN SARANA DAN PRASARANA APARATUR Meningkatnya kualitas &kuantitas Prasarana aparatur Pemelliharaan Rutin/Berkala Peralatan Gedung Kantor 11 12 13 1 dari 17
  • 282.
    1 2 45 16 K Rp. K Rp. K Rp. K Rp. K Rp. K Rp. K Rp. K Rp. K Rp. K Rp. 3 1 13 1 13 01 05 100% 1.299.000.000 120.000.000 24% 16.750.000 20.980.000 Dinsosr naker 01 Pendidikan dan Pelatihan Formal 120.000.000 - - 24% 16.750.000 30% 20.980.000 100% 119.990.000 100% 37.730.000 100% 37.730.000 3% 4 1 13 1 13 01 06 Dinsosr 100% 130.000.000 11.990.200 37% 4.430.200 16% 1.920.000 89% 10.730.200 89% 10.730.200 89% 10.730.200 8% naker 01 11.990.200 - - 37% 4.430.200 17% 1.920.000 89% 10.730.200 89% 10.730.200 89% 10.730.200 Penyusunan Pelaporan Keuangan Akhir Tahun 8.400.000 - - - - - - 100% 8.371.000 100% 8.371.000 100% 8.371.000 5 1 13 1 14 01 15 Dinsosr naker 06 516 2.740.000.000 36 140.338.500 - - 44% 62.200.100 53% 73.512.400 100% 140.322.500 97% 135.712.500 97% 135.712.500 0% 5% Org Org 6 1 13 1 13 01 Dinsosr naker 180 300.000.000 - - - - - - - - - - - - 0 Org Pemutakhiran Data PMKS 6 420.000.000 - - - - - - - - - - - - 0 Kec. 7 1 13 1 13 01 16 Dinsosr naker 01 88.055.000 - - - - - - 100 60.714.500 69% 60.714.500 69% 60.714.500 Org Khitanan Massal 1200 560.000.000 - - - - - - - - - - - - 0 ORg 12 1500 430.000.000 250 65.000.000 - - 95% 61.875.000 4,4% 2.705.000 250 64.580.000 99,4% 64.580.000 99,4% 64.580.000 0% 99% Org Org Org 15 80 130.000.000 20 20.000.000 - - 0 - 1,25% 250.000 3 810.000 1,25% 250.000 1,25% 250.000 0 Org Org Org 90 750.000.000 - - - - 0 Unit 8 1 13 1 13 01 19 Dinsosr naker 60 240.000.000 - - - - 0 Org 07 Pelayanan Sosial untuk Penghuni Panti Jompo 19.905.000 - - - - - - 1 19.905.000 1 19.905.000 1 19.905.000 Keg Keg Keg 12 13 14 15=14/6*100% Dinsosnaker PROGRAM PENINGKATAN KAPASITAS SUMBER DAYA APARATUR Meningkatnya Pelayanan Aparatur 3 6 7 8 9 10 Dinsosnaker PROGRAM PENINGKATAN PENGEMBANGAN SISTEM PELAPORAN CAPAIAN KINERJA & KEUANGAN Pelaporan Capaian Kinerja Keuangan baik Penyusunan Laporan Capaian Kinerja & Ikhtisar Realisasi Kinerja SKPD Tenaga Kerja PROGRAM PENINGKATAN KUALITAS & PRODUKTIVITAS TENAGA KERJA Peningkatan kualitas& Prod.TK Pendidikan dan Pelatihan Ketrampilan Bagi Pencari Kerja 11 Pelayanan Sosial untuk Anak SD dan Menengah Keluarga Kurang mampu Pemulangan orang - orang terlantar ke daerah asal Pengadaan Kursi Roda bagi Penyandang Cacat dan Lansia Penghuni Panti Asuhan / Panti Jompo PROGRAM PEMBINAAN PANTI ASUHAN / PANTI JOMPO Peningkatan Keterampilan Penghuni Panti Asuhan/JompoPendidikan dan Pelatihan bagi Penghuni Panti Asuhan Fakir Miskin Program Pemberdayaan Fakir Miskin, KAT & PMKS Lainnya Meningkatnya Pelayanan bagi Fakir MiskinPelatihan Keterampilan dan Pembentukan KUB bagi Kel.Miskin PMKS PROGRAM PELAYANAN & REHABILITASI KESEJAHTERAAN SOSIAL Meningkatkan Kesejahteraan PMKS Pengembangan Kebijakan tentang Akses Sarana dan Prasarana Publik bagi Penyandang Cacat dan Lansia 2 dari 17
  • 283.
    1 2 45 16 K Rp. K Rp. K Rp. K Rp. K Rp. K Rp. K Rp. K Rp. K Rp. K Rp. 08 Pelayanan Sosial untuk Penghuni Panti Asuhan 35.892.600 - - - - - - 4 34.192.600 4 34.192.600 4 34.192.600 Ton Ton Ton 9 1 13 1 13 01 Dinsosr naker 72 504.000.000 - - - - - - - - - - - - 0 Org 10 1 14 1 13 01 16 Dinsosr naker 02 30 90.700.000 6 10.761.500 - - 100% 10.761.500 0% 0 6 10.761.500 6 10.761.500 6 10.761.500 20% 12% (6 Kec) Kec Kec Kec Kec 11 1 14 1 13 01 17 Dinsosr naker 04 260 225.000.000 60 14.954.900 - - 98% 14.654.900 0% 0 60 14.654.900 60 14.654.900 60 14.654.900 23% 7% Org Org Org Org Org 94 220.000.000 - - - - - - - - - - - - - - - - Prsh 18 Monitoring, evaluasi dan pelaporan 94 150.000.000 36.188.000 - - - - - - 94 36.141.000 94 36.141.000 94 36.141.000 Prsh Prsh Prsh Prsh 9 27.909.600 - - - - - - 50 27.909.600 50 27.909.600 50 27.909.600 ORg ORg ORg 10 Penetapan Upah Minimum Daerah 5 431.460.000 1 31.459.450 - - - - 0% 0 1 31.459.450 1 31.459.450 1 31.459.450 0 Dok Dok Dok Dok 11 1 258.500.000 30 13.585.700 - - 0 0 30 3.702.000 30 12.987.700 30 3.702.000 27% 3.702.000 0 lemb Org Org Org Org 12 16.067.100 - - - - - - 50 16.067.100 50 16.067.100 50 16.067.100 Org Org Org 13 16.652.100 - - - - - - 50 16.652.100 50 16.652.100 50 16.652.100 Org Org Org 14 25.294.600 - - - - - - 97 23.794.600 97 23.794.600 97 23.794.600 Org Org Org 12 1 13 1 13 01 21 Dinsosr naker 05 500 500.000.000 100 50.000.000 - - 100% 19.077.500 0% 0 100 50.000.000 100 50.000.000 100 50.000.000 20% 10% Org Org Org Org Org 01 150 180.000.000 46.364.250 - - - - - - 75 46.194.250 75 46.194.250 75 46.194.250 0 Org Org Org Org Pembinaan bagi Anggota Karang Taruna 450 480.000.000 - - - - - - - - - - - - 0 Org 12 13 14 15=14/6*100% Penyandan g Cacat & Trauma PROGRAM PEMBINAAN PARA PENYANDANG CACAT & TRAUMA Peningkatan Keterampilan Penyandang CacatPendidikan dan Pelatihan bagi penyandang cacat 3 6 7 8 9 10 Pelatihan bagi para Pencari Kerja PROGRAM PENINGKATAN KESEMPATAN KERJA Terinformasikannya Pasar Kerja Penyebarluasan informasi bursa tenaga kerja Peningkata n Pengawas an Ketenagak erjaan thdp pengusaha dan PROGRAM PERLINDUNGAN DAN PENGEMBANGAN LEMBAGA KETENAGA KERJAAN Tercapainya Penegakan Hukum dan K3 Sosialisasi Berbagai Peraturan Pelaksanaan tentang Ketenagakerjaan 11 Pemberday aan Kelembaga an Kessos PROGRAM PEMBERDAYAAN KELEMBAGAAN KESEJAHTERAAN SOSIAL Meningkatnya pel.thdp kel.kessos Pembinaan terhadap kelompok kegiatan keagamaan(Pelatihan Bilal Mayit) Peningkatan Peran Aktif Masyarakat dan Dunia Usaha Peningkatan pengawasan, perlindungan dan penegakan hukum thdp K3 Sosialisasi Pembuatan Peraturan dan Perjanjian Kerja Sama Pembentukan dan Pembinaan Lembaga Kerja Sama Tripartit Sosialisasi Manfaat Jamsostek pada Tenaga Kerja Konstruksi Bangunan Konsolidasi Pencatatan, Verifikasi dan ketentuan SP/SB Penyuluhan Pertolongan Pertama pada Kecelakaan di Tempat Kerja 3 dari 17
  • 284.
    1 2 45 16 K Rp. K Rp. K Rp. K Rp. K Rp. K Rp. K Rp. K Rp. K Rp. K Rp. 03 76.088.000 - - - - - - 120 75.918.000 120 75.918.000 120 75.918.000 Org Org Org 06 6 67.000.000 15.800.000 - - - - - - 6 15.630.000 6 15.630.000 6 15.630.000 0 Kec Kec Kec Kec 6 1.890.000.000 - - - - - - - - - - - - - - Unit Rata-rata capaian kinerja(%) 26% Faktor Pendorong Keberhasilan Kinerja : Faktor Penghambat Pencapaian Kinerja : Tindaklanjut yang diperlukan dalam triwulan berikutnya : Tindaklanjut yang diperlukan dalam RKPD berikutnya : 3 Pengadaan Sarana dan Prasarana Peribadatan (pengadaan Mobil Jenazah) Predikat Kinerja 12 13 14 15=14/6*100% Peningkatan Kualitas SDM Kesejahteraan Sosial Masyarakat Pendataan Organisasi Sosial dan Keagamaan 6 7 8 9 10 11 4 dari 17
  • 285.
    SASARAN : PEMBANGUNANTAHUNAN KOTA PADANGSIDIMPUAN K Rp K Rp K Rp K Rp K Rp K Rp K Rp K Rp K Rp 5.2 Belanja Langsung 5.2.01 Program Pelayanan Administrasi Perkantoran 100% 858.890.000 100% 734.822.207 100% 685.783.405 23% 200.566.481 23% 200.530.891 26% 220.537.008 21% 182.649.343 94% 804.283.723 179% 1.539.105.930 5.2.01.01 Penyediaaan Jasa Surat Menyurat 100% 429.250.000 100% 288.600.000 100% 429.250.000 23% 96.750.000 23% 96.750.000 30% 129.000.000 23% 96.750.000 98% 419.250.000 245% 707.850.000 5.2.01.01.1.02.02 Honorarium Pegawai Honorer/Tidak Tetap 100% 419.250.000 100% 288.600.000 100% 419.250.000 23% 96.750.000 23% 96.750.000 31% 129.000.000 23% 96.750.000 100% 419.250.000 245% 707.850.000 5.2.01.01.1.03.01 Uang Lembur PNS 100% 10.000.000 100% - 100% 10.000.000 0% - 0% - 0% - 0% - 0% - 0% - 5.2.01.02 Penyediaan Jasa Komunikasi, Sumber Daya Air dan Listrik 100% 23.050.000 100% 9.831.407 100% 23.050.000 16% 3.581.876 12% 2.734.341 11% 2.532.408 11% 2.563.743 50% 11.412.368 216% 21.243.775 5.2.01.02.2.03.01 Belanja Telepon 100% 7.000.000 100% 901.038 100% 7.000.000 9% 645.455 16% 1.108.790 15% 1.062.976 11% 789.342 52% 3.606.563 500% 4.507.601 5.2.01.02.2.03.03 Belanja Listrik 100% 16.050.000 100% 8.930.369 100% 16.050.000 18% 2.936.421 10% 1.625.551 9% 1.469.432 11% 1.774.401 49% 7.805.805 187% 16.736.174 5.2.01.05 Penyediaan Jasa Jaminan Barang Milik Daerah 100% 10.800.000 100% - 100% 10.800.000 25% 2.700.000 25% 2.700.000 25% 2.700.000 25% 2.700.000 100% 10.800.000 100% 10.800.000 5.2.01.05.1.01.02 Honorarium Tim Pengadaan Barang dan Jasa 100% 10.800.000 100% - 100% 10.800.000 25% 2.700.000 25% 2.700.000 25% 2.700.000 25% 2.700.000 100% 10.800.000 100% 10.800.000 5.2.01.10 Penyediaan Alat Tulis Kantor 100% 20.000.000 100% 19.878.000 100% 19.580.000 32% 6.421.200 16% 3.200.000 45% 8.984.200 5% 974.600 98% 19.580.000 199% 39.458.000 5.2.01.10.2.01.01 Belanja Alat Tulis Kantor 100% 20.000.000 100% 19.878.000 100% 19.580.000 32% 6.421.200 16% 3.200.000 45% 8.984.200 5% 974.600 98% 19.580.000 199% 39.458.000 5.2.01.11 Penyediaan Barang Cetakan dan Penggandaan 100% 25.000.000 100% 84.979.800 100% 6.489.700 26% 6.489.700 44% 11.066.800 20% 5.004.200 0% - 90% 22.560.700 127% 107.540.500 5.2.01.11.2.06.01 Belanja Cetak 100% 17.768.000 100% 77.747.800 100% 4.125.200 23% 4.125.200 45% 8.066.800 18% 3.262.200 0% - 87% 15.454.200 120% 93.202.000 5.2.01.11.2.06.02 Belanja Penggandaan 100% 7.232.000 100% 7.232.000 100% 2.364.500 33% 2.364.500 41% 3.000.000 24% 1.742.000 0% - 98% 7.106.500 198% 14.338.500 5.2.01.14 Penyediaan Peralatan Rumah Tangga 100% 20.000.000 100% 19.973.000 100% 5.938.705 30% 5.938.705 42% 8.497.750 26% 5.159.200 1% 249.000 99% 19.844.655 199% 39.817.655 5.2.01.14.2.01.03 Belanja Alat Listrik dan Elektronik (Lampu Pijar, Battery Kering)100% 5.000.000 100% 4.973.200 100% 2.951.000 59% 2.951.000 36% 1.800.000 0% - 5% 249.000 100% 5.000.000 201% 9.973.200 5.2.01.14.2.01.05 Belanja Peralatan Kebersihan Dan Bahan Pembersih 100% 15.000.000 100% 14.999.800 100% 2.987.705 20% 2.987.705 45% 6.697.750 34% 5.159.200 0% - 99% 14.844.655 199% 29.844.455 5.2.01.15 Penyediaan Bahan Bacaan dan Peraturan Perundang-Undangan 100% 20.000.000 100% 19.990.000 100% 4.775.000 24% 4.775.000 25% 5.000.000 26% 5.125.000 26% 5.100.000 100% 20.000.000 200% 39.990.000 5.2.01.15.2.03.05 Belanja Surat Kabar/Majalah 100% 20.000.000 100% 19.990.000 100% 4.775.000 24% 4.775.000 25% 5.000.000 26% 5.125.000 26% 5.100.000 100% 20.000.000 200% 39.990.000 5.2.01.17 Penyediaan Makanan dan Minuman 100% 144.000.000 100% 134.440.000 100% 144.000.000 22% 32.010.000 23% 33.450.000 21% 30.090.000 20% 28.940.000 86% 124.490.000 193% 258.930.000 5.2.01.17.2.11.01 Belanja Makanan Dan Minuman Harian Pegawai 100% 144.000.000 100% 134.440.000 100% 144.000.000 22% 32.010.000 23% 33.450.000 21% 30.090.000 20% 28.940.000 86% 124.490.000 193% 258.930.000 5.2.01.18 Rapat-Rapat Koordinasi dan Konsultasi Ke Luar Daerah 100% 166.790.000 100% 157.130.000 100% 41.900.000 25% 41.900.000 22% 37.132.000 19% 31.942.000 27% 45.372.000 94% 156.346.000 200% 313.476.000 5.2.01.18.2.15.01 Belanja Perjalanan Dinas Dalam Daerah 100% 7.890.000 100% 7.630.000 100% - 0% - 0% - 0% - 0% - 0% - 100% 7.630.000 5.2.01.18.2.15.02 Belanja Perjalanan Dinas Luar Daerah 100% 158.900.000 100% 149.500.000 100% 41.900.000 26% 41.900.000 23% 37.132.000 20% 31.942.000 29% 45.372.000 98% 156.346.000 205% 305.846.000 Realisasi Kinerja dan Anggaran RPJMD Kabupaten/Kota s/d Tahun 2013(Akhir Tahun Pelaksanaan RKPD Tahun 2013) SKPD Penanggung Jawab I II III IV FORMULIR VII.F8 DINAS KOPERASI, UKM, PERINDUSTRIAN, PERDAGANGAN DAN PASAR DAERAH KOTA PADANGSIDIMPUAN TAHUN 2013 NO SASARAN KODE REKENING URAIAN / BIDANG URUSAN PEMERINTAHAN DAERAH DAN PROGRAM / KEGIATAN INDIKATOR KINERJA PROGRAM (OUTCOME) / KEGIATAN (OUTPUT) Target RPJMD Kabupaten/Kota pada Tahun 2013 (Akhir Periode RPJMD) Realisasi Capaian Kinerja dan Anggaran RKPD Kabupaten/Kota Tahun Berjalan (Tahun N-2) yang Dievaluasi 1 2 3 4 5 6 Target RPJMD Kabupaten/Kota pada Tahun 2013 (Akhir Periode RPJMD) Realisasi Kinerja Pada Triwulan Realisasi Capaian Kinerja dan Anggaran RPJMD Kabupaten/Kota yang dievaluasi Pelayanan Jasa Administrasi Barang Milik Daerah Terbayarnya dana penyediaan jasa administrasi barang milik daerah Dinas Koperasi,UK M,Perindag dan Pasar Pelayanan Adiministrasi Surat Menyurat/Admi nistrasi Terpenuhinya Kebutuhan Jasa Surat Menyurat Dinas Koperasi,UK M,Perindag dan Pasar 13 14=7+13 Pelayanan Jasa Administrasi Keuangan Terbayarnya Dana Penyediaan Jasa Administrasi Keuangan Dinas Koperasi,UK M,Perindag dan Pasar Pelayanan Jasa Komunikasi, Sumber Daya Air dan Listrik Terbayarnya Biaya Listrik, Telepon dan Fax Dinas Koperasi,UK M,Perindag dan Pasar 7 8 9 10 11 12 Pelayanan Penyediaan Bahan Bacaan dan Peraturan Perundang- Terbayarnya Biaya Bahan Bacaan dan Peraturan Perundang- Undangan Dinas Koperasi,UK M,Perindag dan Pasar Pelayanan Penyediaan Makanan dan Minuman Terbayarnya biaya konsumsi / snack kegiatan rapat Dinas Koperasi,UK M,Perindag dan Pasar Pelayanan Kebutuhan Barang Cetakan dan penggandaan Terbutuhinya Kebutuhan Barang Cetakan dan Penggandaan Dinas Koperasi,UK M,Perindag dan Pasar Pelayanan Penyediaan Peralatan Rumah Tangga Tersedianya Kebutuhan Alat- alat listrik, elektronik dan Dinas Koperasi,UK M,Perindag dan Pasar Pelayanan Biaya Perjalanan Rapat- Rapat Koordinasi dan Konsultasi Ke Luar Daerah Terbayarnya Biaya Perjalanan Rapat-Rapat Koordinasi dan Konsultasi Ke Luar Daerah Dinas Koperasi,UK M,Perindag dan Pasar 5 dari 17
  • 286.
    K Rp KRp K Rp K Rp K Rp K Rp K Rp K Rp K Rp 5.2.02 Program Peningkatan Sarana dan Prasarana Aparatur 100% 1.261.824.000 100% 82.429.100 100% 1.129.377.000 4% 52.695.650 11% 136.878.000 4% 50.471.100 75% 947.417.000 94% 1.187.461.750 101% 1.269.890.850 - - - - - 5.2.02.03 Pembangunan Gedung Kantor 100% 1.009.026.000 0% - 100% 1.009.026.000 0% 2.670.000 0,01311 13.228.900 0% 978.600 0,9322 940.645.000 95% 957.522.500 95% 957.522.500 5.2.02.03.1.01.01 Honorarium Panitia Pelaksana Kegiatan 100% 1.315.000 0% - 100% 1.315.000 0% - 100% 1.315.000 0% - 0 - 100% 1.315.000 100% 1.315.000 5.2.02.03.1.01.02 Honorarium Tim Pengadaan Barang dan Jasa 100% 2.362.500 0% - 100% 2.362.500 0% - 100% 2.362.500 0% - 0 - 100% 2.362.500 100% 2.362.500 5.2.02.03.2.01.01 Belanja Alat Tulis Kantor 1.500.000 0% - 100% 1.500.000 0% - 100% 1.500.000 0% 0 100% 1.500.000 100% 1.500.000 5.2.02.03.2.01.02 Belanja Dokumen/Administrasi Tender 100% 1.320.000 0% - 100% 1.320.000 0% - 23% 300.000 0% - 0 - 23% 300.000 23% 300.000 5.2.02.03.2.06.01 Belanja Cetak 100% 1.200.000 0% - 100% 1.200.000 0% - 89% 1.071.400 11% 128.600 0 - 100% 1.200.000 100% 1.200.000 5.2.02.03.2.06.02 Belanja Penggandaan 100% 1.500.000 0% - 100% 1.500.000 0% - 43% 650.000 57% 850.000 0 - 100% 1.500.000 100% 1.500.000 5.2.02.03.2.15.01 Belanja Perjalanan Dinas Dalam Daerah 100% 17.652.500 0% - 100% 17.652.500 15% 2.670.000 34% 6.030.000 0% - 0 - 49% 8.700.000 49% 8.700.000 5.2.02.03.2.15.02 Belanja Perjalanan Dinas Luar Daerah 21.150.000 0% - 100% 21.150.000 0% - 0% - 0% 0 0% - 0% - 5.2.02.03.3.26.01 Belanja Modal Pengadaan Konstruksi/Pembelian Gedung Kantor100% 961.026.000 0% - 100% 961.026.000 0% - 0% - 0% - 98% 940.645.000 98% 940.645.000 98% 940.645.000 5.2.02.05 Pengadaan Kendaraan Dinas/Operasional 100% 35.000.000 0% - 0% - 0% - 0% - 100% 34.320.000 0% - 98% 34.320.000 98% 34.320.000 5.2.02.05.3.03.12 Belanja Modal Pengadaan Alat-Alat Angkutan Darat Bermotor Sepeda Motor 100% 35.000.000 0% - 0% - 0% - 0% - 100% 34.320.000 0% - 98% 34.320.000 98% 34.320.000 5.2.02.09 Pengadaan Peralatan Gedung Kantor 100% 100.900.000 0% - 0% - 0% - 100% 100.900.000 0% - 0% - 100% 100.900.000 100% 100.900.000 5.2.02.09.3 Belanja Modal 100% 100.900.000 0% - 0% - 0% - 100% 100.900.000 0% - 0% - 100% 100.900.000 100% 100.900.000 5.2.02.09.3.10.01 Belanja Modal Pengadaan Mesin Tik 100% 26.400.000 100% - 0% - 0% - 100% 26.400.000 0% - 0% - 100% 26.400.000 100% 26.400.000 5.2.02.09.3.12.02 Belanja Modal Pengadaan Komputer/PC 100% 13.000.000 0% - 0% - 0% - 100% 13.000.000 0% - 0% - 100% 13.000.000 100% 13.000.000 5.2.02.09.3.12.03 Belanja Modal Pengadaan Komputer Note Book 100% 45.500.000 0% - 0% - 0% - 100% 45.500.000 0% - 0% - 100% 45.500.000 100% 45.500.000 5.2.02.09.3.12.04 Belanja Modal Pengadaan Printer 100% 9.000.000 0% - 0% - 0% - 100% 9.000.000 0% - 0% - 100% 9.000.000 100% 9.000.000 5.2.02.09.3.16.01 Belanja Modal Pengadaan Kamera 100% 7.000.000 0% - 0% - 0% - 100% 7.000.000 0% - 0% - 100% 7.000.000 100% 7.000.000 5.2.02.24 Pemeliharaan Rutin/Berkala Kendaraan Dinas/Operasional 100% 35.798.000 100% 28.487.500 100% 35.798.000 27% 9.729.500 6% 2.255.000 27% 9.715.500 19% 6.772.000 80% 28.472.000 159% 56.959.500 5.2.02.24.2.05.01 Belanja Jasa Service 100% 858.000 100% 858.000 100% 858.000 0% - 0% - 0% - 0% - 0% - 100% 858.000 5.2.02.24.2.05.02 Belanja Penggantian Suku Cadang 100% 13.300.000 100% 11.002.000 100% 13.300.000 38% 5.117.000 0% - 34% 4.550.000 11% 1.442.000 84% 11.109.000 166% 22.111.000 5.2.02.24.2.05.03 Belanja Bahan Bakar Minyak/Gas Dan Pelumas 100% 16.640.000 100% 16.627.500 100% 16.640.000 28% 4.612.500 14% 2.255.000 24% 3.997.500 32% 5.330.000 97% 16.195.000 197% 32.822.500 5.2.02.24.2.05.05 Belanja Surat Tanda Nomor Kendaraan 100% 5.000.000 100% - 100% 5.000.000 0% - 0% - 23% 1.168.000 0% - 23% 1.168.000 23% 1.168.000 5.2.02.26 Pemeliharaan Rutin/Berkala Perlengkapan Gedung Kantor 100% 55.600.000 100% 24.988.600 100% 55.600.000 68% 38.066.150 18% 10.098.600 6% 3.174.500 0% - 92% 51.339.250 137% 76.327.850 5.2.02.26.1.02.01 Honorarium Tenaga Ahli/Instruktur/Narasumber 100% 6.000.000 100% 5.988.600 100% 6.000.000 29% 1.733.000 33% 1.975.000 38% 2.282.500 0% - 100% 5.990.500 200% 11.979.100 5.2.02.26.2.02.01 Belanja Bahan Baku Bangunan 100% 19.600.000 100% 19.000.000 100% 19.600.000 34% 6.721.150 41% 8.123.600 5% 892.000 0% - 80% 15.736.750 177% 34.736.750 5.2.02.26.3.15.04 Belanja gorden jendela 100% 30.000.000 100% - 100% 30.000.000 99% 29.612.000 0% - 0% - 0% - 99% 29.612.000 99% 29.612.000 5.2.02.28 Pemeliharaan Rutin/Berkala Peralatan Gedung Kantor 100% 25.500.000 100% 28.953.000 100% 28.953.000 9% 2.230.000 41% 10.395.500 9% 2.282.500 0% - 58% 14.908.000 172% 43.861.000 5.2.02.28.1.02.01 Honorarium Tenaga Ahli/Instruktur/Narasumber 100% 6.500.000 100% 9.153.000 100% 9.153.000 34% 2.230.000 30% 1.975.000 35% 2.282.500 0% - 100% 6.487.500 241% 15.640.500 5.2.02.28.2.03.17 Belanja Pemeliharaan Peralatan Kantor 100% 19.000.000 100% 19.800.000 100% 19.800.000 0% - 44% 8.420.500 0% - 0% - 44% 8.420.500 149% 28.220.500 5.2.05 Program Peningkatan Kapasitas Sumber Daya Aparatur 100% 50.000.000 100% 34.100.000 100% 50.000.000 0% - 0% - 18% 9.060.000 80% 39.780.000 98% 48.840.000 166% 82.940.000 5.2.05.01 Pendidikan dan Pelatihan Formal 100% 50.000.000 100% 34.100.000 100% 50.000.000 0% - 0% - 18% 9.060.000 80% 39.780.000 98% 48.840.000 166% 82.940.000 5.2.05.01.2.17.01 Belanja Kursus-Kursus Singkat/Pelatihan 100% 50.000.000 100% 34.100.000 100% 50.000.000 0% - 0% - 18% 9.060.000 80% 39.780.000 98% 48.840.000 166% 82.940.000 5.2.15 Program Penciptaan Iklim Usaha Usaha Kecil Menengah yang Konduksif 100% 44.842.100 100% 39.674.100 100% 44.842.100 0% - 0% - 83% 37.388.000 5% 2.042.100 88% 39.430.100 176% 79.104.200 5.2.15.06 Perencanaan, Koordinasi, dan Pengembangan Usaha Kecil Menengah100% 44.842.100 100% 39.674.100 100% 44.842.100 0% - 0% - 83% 37.388.000 100% 2.042.100 88% 39.430.100 176% 79.104.200 5.2.15.06.1.01.01 Honorarium Panitia Pelaksana Kegiatan 100% 1.700.000 100% 1.700.000 100% 1.700.000 0% - 0% - 0% - 100% 1.700.000 100% 1.700.000 200% 3.400.000 5.2.15.06.2.01.01 Belanja Alat Tulis Kantor 100% 342.100 100% 342.100 100% 342.100 0% - 0% - 0% - 100% 342.100 100% 342.100 200% 684.200 5.2.15.06.2.15.01 Belanja Perjalanan Dinas Dalam Daerah 100% 3.500.000 100% 3.500.000 100% 3.500.000 0% - 0% - 0% - 100% - 0% - 100% 3.500.000 5.2.15.06.2.15.02 Belanja Perjalanan Dinas Luar Daerah 100% 39.300.000 100% 34.132.000 100% 39.300.000 0% - 0% - 95% 37.388.000 100% - 95% 37.388.000 182% 71.520.000 Realisasi Kinerja dan Anggaran RPJMD Kabupaten/Kota s/d Tahun 2013(Akhir Tahun Pelaksanaan RKPD Tahun SKPD Penanggung JawabI II III IV SASARAN KODE REKENING URAIAN / BIDANG URUSAN PEMERINTAHAN DAERAH DAN PROGRAM / KEGIATAN INDIKATOR KINERJA PROGRAM (OUTCOME) / KEGIATAN Target RPJMD Kabupaten/Kota pada Tahun 2013 (Akhir Periode RPJMD) Realisasi Capaian Kinerja dan Anggaran RKPD Kabupaten/Kota Tahun Berjalan (Tahun N-2) yang Dievaluasi 1 2 3 4 5 6 Target RPJMD Kabupaten/Kota pada Tahun 2013 (Akhir Periode RPJMD) Realisasi Kinerja Pada Triwulan Realisasi Capaian Kinerja dan Anggaran RPJMD Kabupaten/Kota yang dievaluasi NO. Aparatur Tersedianya Peralatan Gedung Kantor Dinas Koperasi,U KM,Perinda g dan Pasar Pelayanan Pemeliharaan Rutin/Berkala Kendaraan Dinas/Operasion al Terlaksananya Pemeliharaan Rutin/Berkala Kendaraan Dinas/Operasional Dinas Koperasi,U KM,Perinda g dan Pasar 13 14=7+13 Dinas Koperasi,U KM,Perinda g dan Pasar Pembangunan dan Pengembangan Sarana Perdagangan Terlaksananya Peningkatan Sarana dan Prasarana Pasar Pelayanan Pengadaan Kenderaan Dinas Terlaksananya Pengadaan Kenderaan Dinas Dinas Koperasi,U KM,Perinda g dan Pasar 7 8 9 10 11 12 Pelayanan Pendidikan dan Pelatihan Formal Meningkatnya sumber daya aparatur Dinas Koperasi,U KM,Perinda g dan Pasar Pelayanan Perencanaan dan Pengembangan Meningkatnya pendapatan Usaha Kecil Menengah Dinas Koperasi,U KM,Perinda g dan Pasar Dinas Koperasi,U KM,Perinda g dan Pasar Terpeliharanya Perlengkapan Gedung Kantor Pelayanan Pemeliharaan Rutin Perlengkapan Gedung Kantor Dinas Koperasi,U KM,Perinda g dan Pasar Pelayanan Pemeliharaan Rutin/Berkala Peralatan Terpeliharanya peralatan gedung kantor Dinas Koperasi,U KM,Perinda g dan Pasar 6 dari 17
  • 287.
    K Rp KRp K Rp K Rp K Rp K Rp K Rp K Rp K Rp 5.2.15 Program Perlindungan Konsumen dan Pengamanan Perdagangan 100% 61.612.000 100% 56.087.000 100% 61.612.000 9.452.500 15.360.000 23.191.500 7.760.000 91% 55.764.000 182% 111.851.000 5.2.15.03 Peningkatan Pengawasan Peredaran Barang dan Jasa 100% 61.612.000 100% 56.087.000 100% 61.612.000 15% 9.452.500 25% 15.360.000 38% 23.191.500 13% 7.760.000 91% 55.764.000 182% 111.851.000 5.2.15.03.1.01.01 Honorarium Panitia Pelaksana Kegiatan 100% 5.400.000 100% 5.400.000 100% 5.400.000 25% 1.350.000 25% 1.350.000 25% 1.350.000 25% 1.350.000 100% 5.400.000 200% 10.800.000 5.2.15.03.1.02.01 Honorarium Tenaga Ahli/Instruktur/Narasumber 100% 14.400.000 100% 12.800.000 100% 14.400.000 25% 3.600.000 25% 3.600.000 25% 3.600.000 25% 3.600.000 100% 14.400.000 189% 27.200.000 5.2.15.03.1.02.02 Honorarium Pegawai Honorer/Tidak Tetap 100% 800.000 100% - 100% 800.000 25% 200.000 25% 200.000 25% 200.000 25% 200.000 100% 800.000 100% 800.000 5.2.15.03.2.01.01 Belanja Alat Tulis Kantor 100% 355.000 100% 270.000 100% 355.000 100% 355.000 0% - 0% - 0% - 100% 355.000 176% 625.000 5.2.15.03.2.01.02 Belanja Dokumen/Administrasi Tender 100% 2.617.000 100% 2.617.000 100% 2.617.000 28% 737.500 23% 600.000 26% 679.500 23% 600.000 100% 2.617.000 200% 5.234.000 5.2.15.03.2.03.14 Belanja iklan dan promosi 100% 2.400.000 100% 2.400.000 100% 2.400.000 25% 600.000 25% 600.000 25% 600.000 25% 600.000 100% 2.400.000 200% 4.800.000 5.2.15.03.2.15.01 Belanja Perjalanan Dinas Dalam Daerah 100% 7.080.000 100% 7.080.000 100% 7.080.000 25% 1.770.000 25% 1.770.000 42% 2.970.000 8% 570.000 100% 7.080.000 200% 14.160.000 5.2.15.03.2.15.02 Belanja Perjalanan Dinas Luar Daerah 100% 15.200.000 100% 15.210.000 100% 15.200.000 0% - 42% 6.400.000 21% 3.140.000 0% - 63% 9.540.000 163% 24.750.000 5.2.15.03.2.15.03 Belanja Perjalanan Lainnya 100% 3.360.000 100% 2.800.000 100% 3.360.000 25% 840.000 25% 840.000 25% 840.000 25% 840.000 100% 3.360.000 183% 6.160.000 5.2.15.03.3.12.03 Belanja Modal Pengadaan Komputer Note Book 100% 10.000.000 100% 7.510.000 100% 10.000.000 0% - 0% - 98% 9.812.000 0% - 98% 9.812.000 173% 17.322.000 5.2.16 Program Pengembangan Industri Kecil dan Menengah 100% 130.300.000 100% - 100% 130.300.000 0% - 0% - 0% - 69% 90.535.000 69% 90.535.000 69% 90.535.000 5.2.16.08 Apkesi Pelatihan Promosi Produk Perkotaan 100% 31.700.000 100% - 100% 31.700.000 0% - 0% - 0% - 0% - 0% - 0% - 5.2.16.08.2.01.01 Belanja Alat Tulis Kantor 100% 760.000 100% - 100% 760.000 0% - 0% - 0% - 0% - 0% - 0% - 5.2.16.08.2.01.02 Belanja Dokumen/Administrasi Tender 100% 90.000 100% - 100% 90.000 0% - 0% - 0% - 0% - 0% - 0% - 5.2.16.08.2.15.02 Belanja Perjalanan Dinas Luar Daerah 100% 22.850.000 100% - 100% 22.850.000 0% - 0% - 0% - 0% - 0% - 0% - 5.2.16.08.2.17.01 Belanja Kursus-Kursus Singkat/Pelatihan 100% 8.000.000 100% - 100% 8.000.000 0% - 0% - 0% - 0% - 0% - 0% - 5.2.16.09 Penyelenggaraan Promosi Industri Kecil dan Menengah 100% 98.600.000 0% - 100% 98.600.000 0% - 0% - 0% - 92% 90.535.000 92% 90.535.000 92% 90.535.000 5.2.16.09.1.01.01 Honorarium Panitia Pelaksana Kegiatan 100% 1.900.000 0% - 100% 1.900.000 0% - 0% - 0% - 100% 1.900.000 100% 1.900.000 100% 1.900.000 5.2.16.09.2.01.01 Belanja Alat Tulis Kantor 100% 200.000 0% - 100% 200.000 0% - 0% - 0% - 100% 200.000 100% 200.000 100% 200.000 5.2.16.09.2.01.02 Belanja Dokumen/Administrasi Tender 100% 180.000 0% - 100% 180.000 0% - 0% - 0% - 100% 180.000 100% 180.000 100% 180.000 5.2.16.09.2.02.06 Belanja Bahan Pameran dan Cindera Mata 100% 20.000.000 0% - 100% 20.000.000 0% - 0% - 0% - 100% 20.000.000 100% 20.000.000 100% 20.000.000 5.2.16.09.2.07.02 Belanja Sewa Gedung/Kantor/Tempat 100% 15.000.000 0% - 100% 15.000.000 0% - 0% - 0% - 100% 15.000.000 100% 15.000.000 100% 15.000.000 5.2.16.09.2.14.05 Belanja Pakaian Seragam Kegiatan 100% 3.000.000 0% - 100% 3.000.000 0% - 0% - 0% - 100% 3.000.000 100% 3.000.000 100% 3.000.000 5.2.16.09.2.15.01 Belanja Perjalanan Dinas Dalam Daerah 100% 1.420.000 0% - 100% 1.420.000 0% - 0% - 0% - 97% 1.380.000 97% 1.380.000 97% 1.380.000 5.2.16.09.2.15.02 Belanja Perjalanan Dinas Luar Daerah 100% 51.900.000 0% - 100% 51.900.000 0% - 0% - 0% - 94% 48.875.000 94% 48.875.000 94% 48.875.000 5.2.16.09.2.15.03 Belanja Perjalanan Lainnya 100% 5.000.000 0% - 100% 5.000.000 0% - 0% - 0% - 0% - 0% - 0% - 5.2.17 Program Pengembangan Sistem Pendukung Usaha Bagi Usaha Mikro Kecil Menengah100% 52.490.000 0% - 100% 52.490.000 0% - 31% 16.400.000 67% 35.276.500 0% - 98% 51.676.500 98% 51.676.500 5.2.17.06 Pengembangan Sarana Pemasaran Produk Usaha Mikro Kecil Menengah100% 52.490.000 0% - 100% 52.490.000 0% - 31% 16.400.000 67% 35.276.500 0% - 98% 51.676.500 98% 51.676.500 5.2.17.06.1.01.01 Honorarium Panitia Pelaksana Kegiatan 100% 1.700.000 0% - 100% 1.700.000 0% - 0% - 100% 1.700.000 0% - 100% 1.700.000 100% 1.700.000 5.2.17.06.1.02.01 Honorarium Tenaga Ahli/Instruktur/Narasumber 100% 3.000.000 0% - 100% 3.000.000 0% - 0% - 100% 3.000.000 0% - 100% 3.000.000 100% 3.000.000 5.2.17.06.2.01.01 Belanja Alat Tulis Kantor 100% 470.000 0% - 100% 470.000 0% - 0% - 100% 470.000 0% - 100% 470.000 100% 470.000 5.2.17.06.2.01.02 Belanja Dokumen/Administrasi Tender 100% 570.000 0% - 100% 570.000 0% - 0% - 100% 570.000 0% - 100% 570.000 100% 570.000 5.2.17.06.2.07.02 Belanja Sewa Gedung/Kantor/Tempat 100% 700.000 0% - 100% 700.000 0% - 0% - 100% 700.000 0% - 100% 700.000 100% 700.000 5.2.17.06.2.11.02 Belanja Makanan Dan Minuman Rapat 100% 2.000.000 0% - 100% 2.000.000 0% - 0% - 100% 2.000.000 0% - 100% 2.000.000 100% 2.000.000 5.2.17.06.2.15.01 Belanja Perjalanan Dinas Dalam Daerah 100% 3.600.000 0% - 100% 3.600.000 0% - 100% 3.600.000 0% - 0% - 100% 3.600.000 100% 3.600.000 5.2.17.06.2.15.02 Belanja Perjalanan Dinas Luar Daerah 100% 39.300.000 0% - 100% 39.300.000 0% - 33% 12.800.000 65% 25.686.500 0% - 98% 38.486.500 98% 38.486.500 5.2.17.06.2.15.03 Belanja Perjalanan Lainnya 100% 1.150.000 0% - 100% 1.150.000 0% - 0% 100% 1.150.000 0% - 100% 1.150.000 100% 1.150.000 Realisasi Capaian Kinerja dan Anggaran RPJMD Kabupaten/Kota yang dievaluasi Realisasi Kinerja dan Anggaran RPJMD Kabupaten/Kota s/d Tahun 2013(Akhir Tahun Pelaksanaan RKPD Tahun 2013) SKPD Penanggung JawabI II III IV NO. SASARAN KODE REKENING URAIAN / BIDANG URUSAN PEMERINTAHAN DAERAH DAN PROGRAM / KEGIATAN INDIKATOR KINERJA PROGRAM (OUTCOME) / KEGIATAN (OUTPUT) Target RPJMD Kabupaten/Kota pada Tahun 2013 (Akhir Periode RPJMD) 1 2 3 4 5 6 Realisasi Capaian Kinerja dan Anggaran RKPD Kabupaten/Kota Tahun Berjalan (Tahun N-2) yang Dievaluasi Target RPJMD Kabupaten/Kota pada Tahun 2013 (Akhir Periode RPJMD) Realisasi Kinerja Pada Triwulan IKM Kota Padangsidimpua n Dikenalnya Produk IKM Kota Padangsidimpuan Terpenuhinya Sarana Pemasaran Produk Usaha Mikro Kecil Menengah Meningkatnya Pendapatan Pelaku UMKM Dinas Koperasi,U KM,Perinda g dan Pasar 13 14=7+13 Pedagang Makanan dan Minuman di Kota Padangsidimpua n Terlindunginya Masyarakat Konsumen Dinas Koperasi,U KM,Perinda g dan Pasar IKM Kota Padangsidimpua n Pengembangan IKM' Dinas Koperasi,U KM,Perinda g dan Pasar 7 8 9 10 11 12 Dinas Koperasi,UK M,Perindag dan Pasar 7 dari 17
  • 288.
    K Rp KRp K Rp K Rp K Rp K Rp K Rp K Rp K Rp 5.2.17 Program Peningkatan Kemampuan Teknologi Industri 100% 61.500.000 100% 50.941.500 100% 61.500.000 23% 13.880.000 45% 27.650.000 0% - 32% 19.970.000 100% 61.500.000 183% 112.441.500 5.2.17.02 Pengembangan dan Pelayanan Teknologi Industri 100% 61.500.000 100% 50.941.500 100% 61.500.000 23% 13.880.000 45% 27.650.000 0% - 32% 19.970.000 100% 61.500.000 183% 112.441.500 5.2.17.02.1.01.01 Honorarium Panitia Pelaksana Kegiatan 100% 1.900.000 100% 2.150.000 100% 1.900.000 100% 1.900.000 0% - 0% - 0% - 100% 1.900.000 213% 4.050.000 5.2.17.02.1.01.04 Honorarium Tenaga Ahli/Instruktur/Narasumber (PNS) 100% 2.000.000 100% - 100% 2.000.000 100% 2.000.000 0% - 0% - 0% - 100% 2.000.000 100% 2.000.000 5.2.17.02.2.01.01 Belanja Alat Tulis Kantor 100% 550.000 100% 920.400 100% 550.000 0% - 100% 550.000 0% - 0% - 100% 550.000 267% 1.470.400 5.2.17.02.2.01.02 Belanja Dokumen/Administrasi Tender 100% 180.000 100% 109.600 100% 180.000 50% 90.000 50% 90.000 0% - 0% - 100% 180.000 161% 289.600 5.2.17.02.2.14.05 Belanja Pakaian Seragam Kegiatan 100% 1.400.000 100% - 100% 1.400.000 0% - 100% 1.400.000 0% - 0% - 100% 1.400.000 100% 1.400.000 5.2.17.02.2.15.01 Belanja Perjalanan Dinas Dalam Daerah 100% 6.070.000 100% 3.320.000 100% 6.070.000 51% 3.090.000 49% 2.980.000 0% - 0% - 100% 6.070.000 155% 9.390.000 5.2.17.02.2.15.02 Belanja Perjalanan Dinas Luar Daerah 100% 49.400.000 100% 39.731.500 100% 49.400.000 14% 6.800.000 46% 22.630.000 0% - 40% 19.970.000 100% 49.400.000 180% 89.131.500 5.2.17.02.2.15.03 Belanja Perjalanan Lainnya 0% - 100% 3.000.000 0% - 0% - 0% - 0% - 0% - 0% - 100% 3.000.000 5.2.17.02.2.11.02 Belanja Makanan dan Minuman Rapat 0% - 100% 960.000 0% - 0% - 0% - 0% - 0% - 0% - 100% 960.000 5.2.17.02.2.15.03 Belanja Sewa Ruang/ Rapat Pertemuan 0% - 100% 750.000 0% - 0% - 0% - 0% - 0% - 0% - 100% 750.000 5.2.18 Program Peningkatan Efisiensi Perdagangan Dalam Negeri100% 175.910.000 226.337.300 403.310.000 29% 50.790.000 46% 81.661.500 53% 93.891.500 28% 48.492.000 156% 274.835.000 285% 501.172.300 5.2.18.03 Pengembangan Pasar dan Distribusi Barang/Produk 100% 90.210.000 100% 101.605.400 100% 90.210.000 13% 11.700.000 24% 21.309.500 28% 25.188.000 29% 26.190.000 94% 84.387.500 206% 185.992.900 5.2.18.03.1.01.01 Honorarium Panitia Pelaksana Kegiatan 100% 22.800.000 100% 22.800.000 100% 22.800.000 25% 5.700.000 25% 5.700.000 25% 5.700.000 25% 5.700.000 100% 22.800.000 200% 45.600.000 5.2.18.03.1.02.01 Honorarium Tenaga Ahli/Instruktur/Narasumber 100% 24.000.000 100% 24.000.000 100% 24.000.000 25% 6.000.000 25% 6.000.000 25% 6.000.000 25% 6.000.000 100% 24.000.000 200% 48.000.000 5.2.18.03.2.01.01 Belanja Alat Tulis Kantor 100% 280.000 100% 918.000 100% 280.000 0% - 100% 280.000 0% - 0% - 100% 280.000 428% 1.198.000 5.2.18.03.2.15.01 Belanja Perjalanan Dinas Dalam Daerah 100% 8.680.000 100% 11.520.000 100% 8.680.000 0% - 25% 2.170.000 24% 2.070.000 51% 4.440.000 100% 8.680.000 233% 20.200.000 5.2.18.03.2.15.02 Belanja Perjalanan Dinas Luar Daerah 100% 34.450.000 100% 40.905.400 100% 34.450.000 0% - 21% 7.159.500 33% 11.418.000 29% 10.050.000 83% 28.627.500 202% 69.532.900 5.2.18.03.2.01.05 Belanja Peralatan Kebersihan dan Bahan Pembersih 0% - 100% 1.462.000 0% - 0% - 0% 0% - 0% - 0% - 100% 1.462.000 5.2.18.04 Pengembangan Kelembagaan Kerjasama Kemitraan 100% 54.300.000 55.347.400 100% 54.300.000 0% - 22% 11.900.000 9% 5.000.000 15% 8.302.000 46% 25.202.000 148% 80.549.400 5.2.18.04.1.01.01 Honorarium Panitia Pelaksana Kegiatan 100% 1.350.000 100% 1.350.000 100% 1.350.000 0% - 100% - 0% - 0% - 0% - 100% 1.350.000 5.2.18.04.2.01.01 Belanja Alat Tulis Kantor 100% 540.000 100% 540.000 100% 540.000 0% - 100% - 0% - 0% - 0% - 100% 540.000 5.2.18.04.2.01.02 Belanja Dokumen/Administrasi Tender 100% 260.000 100% 140.000 100% 260.000 0% - 100% - 0% - 0% - 0% - 54% 140.000 5.2.18.04.2.15.02 Belanja Perjalanan Dinas Luar Daerah 100% 52.150.000 100% 53.317.400 100% 52.150.000 0% - 100% 11.900.000 10% 5.000.000 16% 8.302.000 48% 25.202.000 151% 78.519.400 5.2.18.06 Peningkatan Sistem dan Jaringan Informasi Perdagangan 100% 31.400.000 100% 29.384.500 100% 31.400.000 10% 3.070.000 19% 5.890.000 9% 2.690.000 1% 240.000 38% 11.890.000 131% 41.274.500 5.2.18.06.1.01.01 Honorarium Panitia Pelaksana Kegiatan 100% 4.400.000 100% 4.400.000 100% 4.400.000 25% 1.100.000 25% 1.100.000 25% 1.100.000 0% - 75% 3.300.000 175% 7.700.000 5.2.18.06.2.01.01 Belanja Alat Tulis Kantor 100% 149.000 100% 149.000 100% 149.000 100% 149.000 0% - 0% - 0% - 100% 149.000 200% 298.000 5.2.18.06.2.01.02 Belanja Dokumen/Administrasi Tender 100% 231.000 100% 231.000 100% 231.000 61% 141.000 13% 30.000 13% 30.000 0% - 87% 201.000 187% 432.000 5.2.18.06.2.03.07 Belanja Paket/Pengiriman 100% 2.400.000 100% 2.400.000 100% 2.400.000 0% - 0% - 0% - 0% - 0% - 100% 2.400.000 5.2.18.06.2.03.14 Belanja iklan dan promosi 100% 960.000 100% 960.000 100% 960.000 25% 240.000 25% 240.000 25% 240.000 0% - 75% 720.000 175% 1.680.000 5.2.18.06.2.15.01 Belanja Perjalanan Dinas Dalam Daerah 100% 5.760.000 100% 5.760.000 100% 5.760.000 25% 1.440.000 23% 1.320.000 23% 1.320.000 4% 240.000 75% 4.320.000 175% 10.080.000 5.2.18.06.2.15.02 Belanja Perjalanan Dinas Luar Daerah 100% 17.500.000 100% 15.484.500 100% 17.500.000 0% - 18% 3.200.000 0% - 0% - 18% 3.200.000 107% 18.684.500 5.2.18.07 Sosialisasi Peningkatan Penggunaan Produk Dalam Negeri 100% 68.000.000 0% - 100% 68.000.000 0% - 0 - 67% 45.453.500 20% 13.760.000 87% 59.213.500 87% 59.213.500 5.2.18.07.1.01.01 Honorarium Panitia Pelaksana Kegiatan 100% 1.900.000 0% - 100% 1.900.000 0% - 0% - 100% 1.900.000 0% - 100% 1.900.000 100% 1.900.000 5.2.18.07.1.01.04 Honorarium Tenaga Ahli/Instruktur/Narasumber (PNS) 100% 1.000.000 0% - 100% 1.000.000 0% - 0% - 100% 1.000.000 0% - 100% 1.000.000 100% 1.000.000 5.2.18.07.2.01.01 Belanja Alat Tulis Kantor 100% 660.000 0% - 100% 660.000 0% - 0% - 100% 660.000 0% - 100% 660.000 100% 660.000 5.2.18.07.2.01.02 Belanja Dokumen/Administrasi Tender 100% 6.890.000 0% - 100% 6.890.000 0% - 0% - 82% 5.640.000 0% - 82% 5.640.000 82% 5.640.000 5.2.18.07.2.07.02 Belanja Sewa Gedung/Kantor/Tempat 100% 750.000 0% - 100% 750.000 0% - 0% - 100% 750.000 0% - 100% 750.000 100% 750.000 5.2.18.07.2.11.02 Belanja Makanan Dan Minuman Rapat 100% 960.000 0% - 100% 960.000 0% - 0% - 100% 960.000 0% - 100% 960.000 100% 960.000 5.2.18.07.2.15.01 Belanja Perjalanan Dinas Dalam Daerah 100% 1.440.000 0% - 100% 1.440.000 0% - 0% - 100% 1.440.000 0% - 100% 1.440.000 100% 1.440.000 5.2.18.07.2.15.02 Belanja Perjalanan Dinas Luar Daerah 100% 47.450.000 0% - 100% 47.450.000 0% - 0% - 63% 30.103.500 29% 13.760.000 92% 43.863.500 92% 43.863.500 5.2.18.07.2.15.03 Belanja Perjalanan Lainnya 100% 6.950.000 0% - 100% 6.950.000 0% - 0% - 43% 3.000.000 0% - 43% 3.000.000 43% 3.000.000 5.2.18.09 Pendataan dan Penetapan Retribusi 100% 134.200.000 100% 40.000.000 100% 134.200.000 27% 36.020.000 25% 33.430.000 12% 15.560.000 0% - 63% 85.010.000 93% 125.010.000 5.2.18.09.1.01.01 Honorarium Panitia Pelaksana Kegiatan 100% 2.400.000 100% 1.650.000 100% 2.400.000 100% 2.400.000 0% - 0% - 0% - 100% 2.400.000 169% 4.050.000 5.2.18.09.2.01.01 Belanja Alat Tulis Kantor 100% 1.560.000 100% 390.000 100% 1.560.000 50% 780.000 0% - 0% - 0% - 50% 780.000 75% 1.170.000 5.2.18.09.2.06.01 Belanja Cetak 100% 99.800.000 100% - 100% 99.800.000 24% 23.630.000 23% 23.410.000 16% 15.560.000 0% - 63% 62.600.000 63% 62.600.000 5.2.18.09.2.15.01 Belanja Perjalanan Dinas Dalam Daerah 100% 6.840.000 100% 5.160.000 100% 6.840.000 25% 1.710.000 0% - 0% - 0% - 25% 1.710.000 100% 6.870.000 5.2.18.09.2.15.02 Belanja Perjalanan Dinas Luar Daerah 100% 23.600.000 100% 32.800.000 100% 23.600.000 32% 7.500.000 42% 10.020.000 0% - 0% - 74% 17.520.000 213% 50.320.000 1 2 3 4 5 6 Realisasi Capaian Kinerja dan Anggaran RKPD Kabupaten/Kota Tahun Berjalan (Tahun N-2) yang Dievaluasi Target RPJMD Kabupaten/Kota pada Tahun 2013 (Akhir Periode RPJMD) Realisasi Kinerja Pada Triwulan I II III IV NO. SASARAN KODE REKENING URAIAN / BIDANG URUSAN PEMERINTAHAN DAERAH DAN PROGRAM / KEGIATAN INDIKATOR KINERJA PROGRAM (OUTCOME) / KEGIATAN (OUTPUT) Target RPJMD Kabupaten/Kota pada Tahun 2013 (Akhir Periode RPJMD) IKM Kota Padangsidimpua n IKM yang memenuhi standar mutu Dinas Koperasi,U KM,Perinda g dan Pasar 6 (enam) Pasar di Kota Padangsidimpua n meningkatnya transaksi dan pendistribusian barang/produk Dinas Koperasi,U KM,Perinda g dan Pasar 7 8 9 10 11 12 IKM Kota Padangsidimpua n Peningkatan Penggunaan Produksi Dalam Negeri Dinas Koperasi,U KM,Perinda g dan Pasar Pedagang di Kota Padangsidimpua n Tersedianya data retribusi pasar Dinas Koperasi,U KM,Perinda g dan Pasar Pemasaran Produk - Produk UKM Kota Padangsidimpua n Tersedianya peluang pasar komoditi andalan Dinas Koperasi,U KM,Perinda g dan Pasar Informasi Harga Barang Kebutuhan Pokok dan Strategis di Kota Padangsidimpua n Tersedianya Informasi Harga Kebutuhan Pokok dan Strategi Lainnya Dinas Koperasi,U KM,Perinda g dan Pasar Realisasi Capaian Kinerja dan Anggaran RPJMD Kabupaten/Kota yang dievaluasi Realisasi Kinerja dan Anggaran RPJMD Kabupaten/Kota s/d Tahun 2013(Akhir Tahun Pelaksanaan RKPD Tahun 2013) SKPD Penanggung Jawab 13 14=7+13 8 dari 17
  • 289.
    K Rp KRp K Rp K Rp K Rp K Rp K Rp K Rp K Rp 5.2.18.10 Fasilitasi Peningkatan Pelayanan Pasar / Sarana Pendukung Pasar Lainnya100% 25.200.000 0% - 100% 25.200.000 0% - 36% 9.132.000 0% - 0% - 36% 9.132.000 36% 9.132.000 5.2.18.10.1.01.01 Honorarium Panitia Pelaksana Kegiatan 100% 2.400.000 0% - 100% 2.400.000 0% - 100% 2.400.000 0% - 0% - 100% 2.400.000 100% 2.400.000 5.2.18.10.2.01.01 Belanja Alat Tulis Kantor 100% 5.152.000 0% - 100% 5.152.000 0% - 25% 1.308.000 0% - 0% - 25% 1.308.000 25% 1.308.000 5.2.18.10.2.01.05 Belanja Peralatan Kebersihan Dan Bahan Pembersih 100% 4.848.000 0% - 100% 4.848.000 0% - 50% 2.424.000 0% - 0% - 50% 2.424.000 50% 2.424.000 5.2.18.10.2.15.01 Belanja Perjalanan Dinas Dalam Daerah 100% 6.000.000 0% - 100% 6.000.000 0% - 50% 3.000.000 0% - 0% - 50% 3.000.000 50% 3.000.000 5.2.18.10.2.15.02 Belanja Perjalanan Dinas Luar Daerah 100% 6.800.000 0% - 100% 6.800.000 0% - 0% 0% - 0% - 0% - 0% - 5.2.18 Program Peningkatan Kualitas Kelembagaan Koperasi 100% 352.304.500 100% 142.762.600 100% 352.304.500 17% 58.830.000 18% 63.353.225 31% 108.525.725 34% 120.545.050 100% 351.254.000 140% 494.016.600 5.2.18.01 Koordinasi Pelaksanaan Kebijakan dan Program Pembangunan Koperasi100% 99.331.600 100% 43.880.600 100% 99.331.600 2% 2.150.000 13% 12.500.000 25% 25.200.000 59% 58.944.600 99% 98.794.600 144% 142.675.200 5.2.18.01.1.01.01 Honorarium Panitia Pelaksana Kegiatan 100% 2.000.000 100% 2.000.000 100% 2.000.000 100% 2.000.000 0% - 0% - 0% - 100% 2.000.000 200% 4.000.000 5.2.18.01.1.02.02 Honorarium Pegawai Honorer/Tidak Tetap 100% 450.000 100% 450.000 100% 450.000 33% 150.000 0% - 33% 150.000 33% 150.000 100% 450.000 200% 900.000 5.2.18.01.2.01.01 Belanja Alat Tulis Kantor 100% 371.200 100% 92.800 100% 371.200 0% - 0% - 0% - 100% 371.200 100% 371.200 125% 464.000 5.2.18.01.2.01.02 Belanja Dokumen/Administrasi Tender 100% 11.110.400 100% 2.782.800 100% 11.110.400 0% - 0% - 0% - 100% 11.110.400 100% 11.110.400 125% 13.893.200 5.2.18.01.2.06.02 Belanja Penggandaan 100% 1.700.000 100% 425.000 100% 1.700.000 0% - 0% - 0% - 100% 1.700.000 100% 1.700.000 125% 2.125.000 5.2.18.01.2.11.02 Belanja Makanan Dan Minuman Rapat 100% 18.500.000 100% 3.300.000 100% 18.500.000 0% - 0% - 0% - 100% 18.500.000 100% 18.500.000 118% 21.800.000 5.2.18.01.2.15.01 Belanja Perjalanan Dinas Dalam Daerah 100% 7.400.000 100% 2.880.000 100% 7.400.000 0% - 0% - 0% - 100% 7.400.000 100% 7.400.000 139% 10.280.000 5.2.18.01.2.15.02 Belanja Perjalanan Dinas Luar Daerah 100% 42.800.000 100% 31.950.000 100% 42.800.000 0% - 29% 12.500.000 23% 10.050.000 23% 10.050.000 76% 32.600.000 151% 64.550.000 5.2.18.01.2.15.03 Belanja Perjalanan Lainnya 100% 15.000.000 100% - 100% 15.000.000 0% - 0% - 100% 15.000.000 64% 9.663.000 164% 24.663.000 164% 24.663.000 5.2.18.02 Peningkatan Sarana dan Prasarana Pendidikan dan Pelatihan Perkoperasian100% 65.472.900 100% 24.000.000 100% 65.472.900 24% 15.850.000 28% 18.163.225 24% 15.513.225 24% 15.946.450 100% 65.472.900 137% 89.472.900 5.2.18.02.1.01.01 Honorarium Panitia Pelaksana Kegiatan 100% 2.000.000 100% 2.000.000 100% 2.000.000 0% - 100% 2.000.000 0% - 0% - 100% 2.000.000 200% 4.000.000 5.2.18.02.1.02.02 Honorarium Pegawai Honorer/Tidak Tetap 100% 300.000 100% 300.000 100% 300.000 50% 150.000 50% 150.000 0% - 0% - 100% 300.000 200% 600.000 5.2.18.02.2.01.01 Belanja Alat Tulis Kantor 100% 18.444.900 100% 4.518.000 100% 18.444.900 24% 4.518.000 25% 4.611.225 25% 4.611.225 26% 4.704.450 100% 18.444.900 124% 22.962.900 5.2.18.02.2.01.02 Belanja Dokumen/Administrasi Tender 100% 712.000 100% 178.000 100% 712.000 25% 178.000 25% 178.000 25% 178.000 25% 178.000 100% 712.000 125% 890.000 5.2.18.02.2.06.02 Belanja Penggandaan 100% 14.720.000 100% 3.680.000 100% 14.720.000 25% 3.680.000 25% 3.680.000 25% 3.680.000 25% 3.680.000 100% 14.720.000 125% 18.400.000 5.2.18.02.2.07.02 Belanja Sewa Gedung/Kantor/Tempat 100% 5.600.000 100% 1.400.000 100% 5.600.000 25% 1.400.000 25% 1.400.000 25% 1.400.000 25% 1.400.000 100% 5.600.000 125% 7.000.000 5.2.18.02.2.11.02 Belanja Makanan Dan Minuman Rapat 100% 5.376.000 100% 1.344.000 100% 5.376.000 25% 1.344.000 25% 1.344.000 25% 1.344.000 25% 1.344.000 100% 5.376.000 125% 6.720.000 5.2.18.02.2.15.01 Belanja Perjalanan Dinas Dalam Daerah 100% 8.720.000 100% 4.580.000 100% 8.720.000 25% 2.180.000 28% 2.400.000 22% 1.900.000 26% 2.240.000 100% 8.720.000 153% 13.300.000 5.2.18.02.2.15.03 Belanja Perjalanan Lainnya 100% 9.600.000 100% 6.000.000 100% 9.600.000 25% 2.400.000 25% 2.400.000 25% 2.400.000 25% 2.400.000 100% 9.600.000 163% 15.600.000 5.2.18.05 Pembinaan, Pengawasan, dan Perhargaan Koperasi Berprestasi 100% 187.500.000 74.882.000 100% 187.500.000 22% 40.830.000 17% 32.690.000 36% 67.812.500 24% 45.654.000 100% 186.986.500 140% 261.868.500 5.2.18.05.1.01.01 Honorarium Panitia Pelaksana Kegiatan 100% 8.000.000 100% 8.000.000 100% 8.000.000 25% 2.000.000 25% 2.000.000 25% 2.000.000 25% 2.000.000 100% 8.000.000 200% 16.000.000 5.2.18.05.1.02.02 Honorarium Pegawai Honorer/Tidak Tetap 100% 600.000 100% 600.000 100% 600.000 25% 150.000 25% 150.000 25% 150.000 25% 150.000 100% 600.000 200% 1.200.000 5.2.18.05.2.01.01 Belanja Alat Tulis Kantor 100% 3.000.000 100% 750.000 100% 3.000.000 25% 750.000 25% 750.000 25% 750.000 25% 750.000 100% 3.000.000 125% 3.750.000 5.2.18.05.2.15.01 Belanja Perjalanan Dinas Dalam Daerah 100% 67.200.000 100% 16.800.000 100% 67.200.000 19% 12.930.000 22% 14.770.000 31% 20.640.000 28% 18.800.000 100% 67.140.000 125% 83.940.000 5.2.18.05.2.15.02 Belanja Perjalanan Dinas Luar Daerah 100% 108.700.000 100% 48.732.000 100% 108.700.000 23% 25.000.000 14% 15.020.000 41% 44.272.500 22% 23.954.000 100% 108.246.500 144% 156.978.500 Realisasi Capaian Kinerja dan Anggaran RKPD Kabupaten/Kota Tahun Berjalan (Tahun N-2) yang Dievaluasi Target RPJMD Kabupaten/Kota pada Tahun 2013 (Akhir Periode RPJMD) Realisasi Kinerja Pada Triwulan I II III IV NO. SASARAN KODE REKENING URAIAN / BIDANG URUSAN PEMERINTAHAN DAERAH DAN PROGRAM / KEGIATAN INDIKATOR KINERJA PROGRAM (OUTCOME) / KEGIATAN (OUTPUT) Target RPJMD Kabupaten/Kota pada Tahun 2013 (Akhir Periode RPJMD) Lembaga Koperasi meningkatnya kualitas kelembagaan koperasi keterampilan 7 8 9 10 11 12 1 2 3 4 5 6 Pelatihan Akuntansi meningkatnya kualitas kelembagaan koperasi keterampilan Dinas Koperasi,U KM,Perinda g dan Pasar Koperasi Fungsional dan Non Fungsional meningkatnya keterampilan kelembagaan koperasi Dinas Koperasi,U KM,Perinda g dan Pasar 13 14=7+13 6 (enam) Pasar di Kota Padangsidimpua n terlaksananya kegiatan peningkatan pelayanan pasar Dinas Koperasi,U KM,Perinda g dan Pasar Realisasi Capaian Kinerja dan Anggaran RPJMD Kabupaten/Kota yang dievaluasi Realisasi Kinerja dan Anggaran RPJMD Kabupaten/Kota s/d Tahun 2013(Akhir Tahun Pelaksanaan RKPD Tahun 2013) SKPD Penanggung Jawab Dinas Koperasi,U KM,Perinda g dan Pasar 9 dari 17
  • 290.
    K Rp KRp K Rp K Rp K Rp K Rp K Rp K Rp K Rp 5.2.19 Program Pembinaan Pedagang Kakilima dan Asongan 100% 18.332.000 100% - 100% 18.332.000 0% - 0% - 0% - 96% 17.622.000 96% 17.622.000 96% 17.622.000 5.2.19.02 Kegiatan Penyuluhan Peningkatan Disiplin Pedagang Kakilima dan Asongan100% 18.332.000 100% - 100% 18.332.000 0% - 0% - 0% - 96% 17.622.000 96% 17.622.000 96% 17.622.000 5.2.19.02.1.01.01 Honorarium Panitia Pelaksana Kegiatan 100% 1.400.000 100% - 100% 1.400.000 0% - 0% - 0% - 100% 1.400.000 100% 1.400.000 100% 1.400.000 5.2.19.02.1.02.01 Honorarium Tenaga Ahli/Instruktur/Narasumber 100% 2.400.000 100% - 100% 2.400.000 0% - 0% - 0% - 100% 2.400.000 100% 2.400.000 100% 2.400.000 5.2.19.02.1.02.02 Honorarium Pegawai Honorer/Tidak Tetap 100% 300.000 100% - 100% 300.000 0% - 0% - 0% - 100% 300.000 100% 300.000 100% 300.000 5.2.19.02.2.01.01 Belanja Alat Tulis Kantor 100% 1.952.000 100% - 100% 1.952.000 0% - 0% - 0% - 100% 1.952.000 100% 1.952.000 100% 1.952.000 5.2.19.02.2.01.02 Belanja Dokumen/Administrasi Tender 100% 350.000 100% - 100% 350.000 0% - 0% - 0% - 100% 350.000 100% 350.000 100% 350.000 5.2.19.02.2.07.02 Belanja Sewa Gedung/Kantor/Tempat 100% 750.000 100% - 100% 750.000 0% - 0% - 0% - 67% 500.000 67% 500.000 67% 500.000 5.2.19.02.2.11.02 Belanja Makanan Dan Minuman Rapat 100% 1.440.000 100% - 100% 1.440.000 0% - 0% 0% - 100% 1.440.000 100% 1.440.000 100% 1.440.000 5.2.19.02.2.15.01 Belanja Perjalanan Dinas Dalam Daerah 100% 1.440.000 100% - 100% 1.440.000 0% - 0% - 0% - 100% 1.440.000 100% 1.440.000 100% 1.440.000 5.2.19.02.2.15.02 Belanja Perjalanan Dinas Luar Daerah 100% 6.800.000 100% - 100% 6.800.000 0% - 0% - 0% - 93% 6.340.000 93% 6.340.000 93% 6.340.000 5.2.19.02.2.15.03 Belanja Perjalanan Lainnya 100% 1.500.000 100% - 100% 1.500.000 0% - 0% - 0% - 100% 1.500.000 100% 1.500.000 100% 1.500.000 1 2 3 4 5 6 Realisasi Capaian Kinerja dan Anggaran RKPD Kabupaten/Kota Tahun Berjalan (Tahun N-2) yang Dievaluasi Target RPJMD Kabupaten/Kota pada Tahun 2013 (Akhir Periode RPJMD) Realisasi Kinerja Pada Triwulan I II III IV NO. SASARAN KODE REKENING URAIAN / BIDANG URUSAN PEMERINTAHAN DAERAH DAN PROGRAM / KEGIATAN INDIKATOR KINERJA PROGRAM (OUTCOME) / KEGIATAN (OUTPUT) Target RPJMD Kabupaten/Kota pada Tahun 2013 (Akhir Periode RPJMD) Para Pedagang Kaki Lima meningkatnya disiplin pedagang kaki lima Dinas Koperasi,U KM,Perinda g dan Pasar 7 8 9 10 11 12 13 14=7+13 Realisasi Capaian Kinerja dan Anggaran RPJMD Kabupaten/Kota yang dievaluasi Realisasi Kinerja dan Anggaran RPJMD Kabupaten/Kota s/d Tahun 2013(Akhir Tahun Pelaksanaan RKPD Tahun 2013) SKPD Penanggung Jawab 10 dari 17
  • 291.
    Sasaran Pembangunan TahunanKabupaten/Kota :Padangsidimpuan Dispora K Rp K Rp K Rp K Rp K Rp K Rp K Rp K Rp K Rp K Rp 1 2 4 5 16 1 Meningkatnya pembinaan1 18 01 15 8 370.000.000 2 keg 185.000.000 - - - - - - 2 keg 160.900.000 2 keg 160.900.000 2 160.900.000 0,25 0,43 Dinas potensi pemuda Pemuda Olahrag a Kebuday aan dan 1 18 01 15 07 6 100.000.000 1 keg 50.000.000 - - - - - - 1 keg 25.900.000 1 keg 25.900.000 1 25.900.000 0,1667 0,26 Pariwisa ta Daerah 1 18 01 15 08 Kegiatan : Perluasan 2 270.000.000 1 Keg 135.000.000 - - - - - - 1 Keg 135.000.000 1 Keg 135.000.000 1 135.000.000 0,5 0,50 2 1 18 01 16 20 2.125.000.000 5 keg 505.463.000 - - 1 keg 226.463.000 4 keg 274.940.000 5 keg 501.403.000 5 501.403.000 0,25 0,24 1 18 01 16 02 Pembentukan Tim 5 955.000.000 1 keg 230.463.000 1 keg 226.463.000 1 keg 226.463.000 1 226.463.000 0,2 0,24 PASKIBRA 1 18 01 16 03 Kegiatan : Fasilitasi Aksi Bhakti Sosial Kepemudaan Terlaksananya Bakti Sosial Pemuda 5 250.000.000 1 Keg 50.000.000 1 keg 49.940.000 1 keg 49.940.000 1 49.940.000 0,2 0,20 1 18 01 16 04 Telaksananya 4 400.000.000 1 Keg 100.000.000 1 Keg 100.000.000 1 Keg 100.000.000 1 100.000.000 0,25 0,25 Sosialisasi Tentang Kenakalan Remaja 1 18 01 16 06 Terlaksananya Lomba 3 210.000.000 1 Keg 75.000.000 1 Keg 75.000.000 1 Keg 75.000.000 1 75.000.000 0,3333 0,36 Pengibaran Bendera Tingkat SMA Sekota Padangsidimpuan 1 18 01 16 10 Terlaksananya Upacara 5 310.000.000 1 Keg 50.000.000 1 Keg 50.000.000 1 Keg 50.000.000 1 50.000.000 0,2 0,16 Hari Sumpah Pemuda Formulir VII.F.B EVALUASI TERHADAP HASIL RKPD Kota Padangsidimpuan Tahun 2013 NO Sasaran Kode Urusan/Bidang Urusan Pemerintah Daerah dan Program Kegiatan Indikator Kinerja Program (Outcome) / Kegiatan (Output) Target RPJMD Kabupaten / Kota pada Tahun 2017 (Akhir periode RPJMD) Realisasi Capaian Kinerja RPJMD Kabupaten/Kota sampai dengan RKPD Kabupaten /Kota Tahun Lalu (2012) Target Kinerja dan Anggaran RKPD Kabupaten/Kota Tahun Berjalan (2013) yang dievaluasi Realisasi Kinerja pada Triwulan Realisasi Capaian Kinerja dan Anggaran RKPD Kabupaten/Kota yang dievaluasi (2013) Realisasi Kinerja dan Anggaran RPJMD Kabupaten/Kota s/d Tahun 2013 (Akhir Tahun Pelaksanaan RKPD Tahun 2013) 3 6 7 8 9 15=14/6X100% SKPD Penang gung Jawab I II III IV Tingkat Capaian Kinerja dan Realisasi Anggaran RPJMD Kbupaten/Kota s/d Tahun 2013 (%) 10 11 12 13 14=7+13 Program Pengembangan dan Keserasian Kebijakan Pemuda Meningkatnya Pemuda Berprestasi Di Bidangnya Kegiatan : Penyusunan rancangan pola kemitraan antar pemuda dengan masyarakat Terkirimnya duta Kota Padangsidimpuan pada Bhakti Pemuda Antar Propinsi ( BPAP ) Terlaksananya kegiatan Musyawarah Naposo Nauli Bulung Se Kota Padangsidimpuan Penyusunan Rencana Aksi Daerah Bidang Kepemudaan Meningkatnya pembinaan potensi pemuda Program peningkatan peran serta kepemudaan Menurunnya Tingkat Kenakalan Remaja Kegiatan :Pendidikan dan Pelatihan Dasar Kepepmimpinan Kegiatan :Fasilitasi Pekan Temu Wicara Organisasi Pemuda Kegiatan : Lomba Kreasi Karya Tulis Ilmiah Dikalangan Pemuda Kegiatan : Peringatan Hari Sumpah Pemuda 11 dari 17
  • 292.
    K Rp KRp K Rp K Rp K Rp K Rp K Rp K Rp K Rp K Rp 1 2 4 5 16 NO Sasaran Kode Urusan/Bidang Urusan Pemerintah Daerah dan Program Kegiatan Indikator Kinerja Program (Outcome) / Kegiatan (Output) Target RPJMD Kabupaten / Kota pada Tahun 2017 (Akhir periode RPJMD) Realisasi Capaian Kinerja RPJMD Kabupaten/Kota sampai dengan RKPD Kabupaten /Kota Tahun Lalu (2012) Target Kinerja dan Anggaran RKPD Kabupaten/Kota Tahun Berjalan (2013) yang dievaluasi Realisasi Kinerja pada Triwulan Realisasi Capaian Kinerja dan Anggaran RKPD Kabupaten/Kota yang dievaluasi (2013) Realisasi Kinerja dan Anggaran RPJMD Kabupaten/Kota s/d Tahun 2013 (Akhir Tahun Pelaksanaan RKPD Tahun 2013) 3 6 7 8 9 15=14/6X100% SKPD Penang gung Jawab I II III IV Tingkat Capaian Kinerja dan Realisasi Anggaran RPJMD Kbupaten/Kota s/d Tahun 2013 (%) 10 11 12 13 14=7+13 Program Pengembangan dan Keserasian Kebijakan Pemuda Meningkatnya Pemuda Berprestasi Di Bidangnya 3 1 18 01 17 Program Peningkatan Meningkatnya Pemuda 2 200.000.000 2 Klompok 202.225.000 - - - - - - - - - 0 0 0 0 0,00 Upaya Penumbuhan Berprestasi Kewirausahaan dan Di Bidangnya Kecakapan Hidup Pemuda 1 18 01 17 01 Kegiatan : Pelatihan Terlaksananya 2 200.000.000 2 Klompok 202.225.000 - - - - - - - - - 0 0 0 0 0,00 Kewirausahaan Bagi Pembinaan KUPP Pemuda 4 1 18 01 19 Program Pengembangan Kebijakan dan Manajemen Olahraga Meningkatnya Kualitas Organisasi Olahraga dalam Membina Atlet 1 300.000.000 1 Tahun 300.000.000 - - - - - - - - - 0 0 0 0 0,00 1 18 01 19 05 Kegiatan : Pembinaan Terlaksananya 1 300.000.000 1 Tahun 300.000.000 - - - - - - - - - 0 0 0 0 0,00 Manajemen Organisasi Pembinaan dan prestasi Olahraga olahraga tingkat pelajar 5 1 18 01 20 113 4.570.000.000 15 Keg. 1.945.000.000 2 keg 246.948.000 5 keg 398.442.500 5 keg 739.855.000 12 Keg 1.385.245.500 12 1.385.245.500 0,1062 0,30 1 18 01 20 03 Meningkatnya kualitas 10 500.000.000 2 Cabor 100.000.000 2 Cabor 100.000.000 2 Cabor 100.000.000 2 100.000.000 0,2 0,20 atlit 1 18 01 20 04 Terkirimnya kontingen 55 650.000.000 4 Keg 390.000.000 1 keg 199.948.000 1 keg 30.013.000 2 Keg 229.961.000 2 229.961.000 0,0364 0,35 POSPEDA, PORWIL dan POSPENAS serta pemantau POPNAS 1 18 01 20 05 Meningkatnya 5 215.000.000 1 Tahun 120.000.000 6 Bln 47.000.000 1 Bln 9.400.000 5 Bln 41.600.000 1 Tahun 98.000.000 1 98.000.000 0,2 0,46 kesegaran masyarakat 1 18 01 20 06 Terlaksananya 25 1.000.000.000 4 Keg 800.000.000 2 keg 499.955.000 2 keg 499.955.000 2 499.955.000 0,08 0,50 Kejuaraan Piala Walikota Kegiatan : Pembibitan dan Pembinaan Olahragawan Berbakat Kegiatan : Pembinaan cabang olahraga prestasi tingkat daerah Kegiatan : Peningkatan kesegaran jasmani dan rekreasi Terlaksananya kegiatan memasyarakatkan olahraga dan mengolahragakan masyarakat Meningkatnya pembinaan potensi pemuda Penjaringan dan pembinaan atlit dan pelatih berprestasi Penjaringan dan pembinaan atlit dan pelatih berprestasi Program Pembinaan dan Pemasyarakatan Olahraga Kegiatan : Penyelenggaraan Kompetisi Olahraga 12 dari 17
  • 293.
    K Rp KRp K Rp K Rp K Rp K Rp K Rp K Rp K Rp K Rp 1 2 4 5 16 NO Sasaran Kode Urusan/Bidang Urusan Pemerintah Daerah dan Program Kegiatan Indikator Kinerja Program (Outcome) / Kegiatan (Output) Target RPJMD Kabupaten / Kota pada Tahun 2017 (Akhir periode RPJMD) Realisasi Capaian Kinerja RPJMD Kabupaten/Kota sampai dengan RKPD Kabupaten /Kota Tahun Lalu (2012) Target Kinerja dan Anggaran RKPD Kabupaten/Kota Tahun Berjalan (2013) yang dievaluasi Realisasi Kinerja pada Triwulan Realisasi Capaian Kinerja dan Anggaran RKPD Kabupaten/Kota yang dievaluasi (2013) Realisasi Kinerja dan Anggaran RPJMD Kabupaten/Kota s/d Tahun 2013 (Akhir Tahun Pelaksanaan RKPD Tahun 2013) 3 6 7 8 9 15=14/6X100% SKPD Penang gung Jawab I II III IV Tingkat Capaian Kinerja dan Realisasi Anggaran RPJMD Kbupaten/Kota s/d Tahun 2013 (%) 10 11 12 13 14=7+13 Program Pengembangan dan Keserasian Kebijakan Pemuda Meningkatnya Pemuda Berprestasi Di Bidangnya 1 18 01 20 07 Terlaksananya kegiatan 5 800.000.000 1 Paket 150.000.000 1 paket 149.269.500 1 paket 149.269.500 1 149.269.500 0,2 0,19 olahraga dalam rangka HUT RI 1 18 01 20 08 Terlaksananya Upacara 5 530.000.000 1 Keg 100.000.000 1 Keg 98.300.000 1 Keg 98.300.000 1 98.300.000 0,2 0,19 Hari Olahraga Nasional ( HAORNAS ) 1 18 01 20 11 Kegiatan : Pengembangan Olahraga Rekreasi Terlaksananya Senam Ayo Bergerak Indonesia 3 195.000.000 1 Keg 60.000.000 1 Keg 60.000.000 1 Keg 60.000.000 1 60.000.000 0,3333 0,31 1 18 01 20 12 Kegiatan : Peningkatan Jaminan Kesejahteraan Bagi Masa Depan Atlet, Pelatih dan Teknisi Olahraga Terlaksananya pemberian Bea Siswa untuk atlit pelajar berprestasi dan potensial 5 180.000.000 1 Tahun 75.000.000 - - - - - - - - - 0 0 0 0 0,00 1 18 01 20 14 Kegiatan : Pembinaan Olahraga yang Berkembang Di Masyarakat Terlaksananya fasilitasi alat - alat olahraga untuk masyarakat 5 500.000.000 1 Tahun 150.000.000 1 Keg 149.760.000 - - 1 Keg 149.760.000 1 149.760.000 0,2 0,30 6 Meningkatnya peran 1 18 01 21 Meningkatnya kualitas 5 10.400.000.000 1 Tahun 120.000.000 21.536.100 68.463.350 5.808.100 95.807.550 1 95.807.550 0,2 0,01 masyarakat untuk sarana prasarana melestarikan adat dan olahraga budaya 1 18 01 21 07 Terpeliharanya sarana 5 10.400.000.000 1 Tahun 120.000.000 - - - 21.536.100 68.463.350 5.808.100 95.807.550 1 95.807.550 0,2 0,01 dan prasarana masyarakat 7 1 17 01 15 Meningkatnya partisipasi 18 428.600.000 2 Keg 50.000.000 2 Keg 50.000.000 2 Keg 50.000.000 2 50.000.000 0,1111 0,12 masyarakat dalam pelestarian budaya 1 17 01 15 01 Terlaksananya Pelatihan 8 260.000.000 1 Keg 25.000.000 1 Keg 25.000.000 1 Keg 25.000.000 1 25.000.000 0,125 0,10 Pemakaian Alat Musik Tradisional Kegiatan : Pemassalan Olahraga Bagi Pelajar, Mahasiswa dan Masyarakat Kegiatan : Pemberian Penghargaan Bagi Insan Olahraga Yang Berdedikasi dan Berprestasi Program Peningkatan Sarana dan Prasarana Olahraga Kegiatan : Pemeliharaan rutin/berkala sarana dan prasarana olahraga Meningkatnya peran masyarakat untuk melestarikan adat dan budaya Program Pengembangan Nilai Budaya Kegiatan : Pelestarian dan Aktualisasi Adat Budaya Daerah 13 dari 17
  • 294.
    K Rp KRp K Rp K Rp K Rp K Rp K Rp K Rp K Rp K Rp 1 2 4 5 16 NO Sasaran Kode Urusan/Bidang Urusan Pemerintah Daerah dan Program Kegiatan Indikator Kinerja Program (Outcome) / Kegiatan (Output) Target RPJMD Kabupaten / Kota pada Tahun 2017 (Akhir periode RPJMD) Realisasi Capaian Kinerja RPJMD Kabupaten/Kota sampai dengan RKPD Kabupaten /Kota Tahun Lalu (2012) Target Kinerja dan Anggaran RKPD Kabupaten/Kota Tahun Berjalan (2013) yang dievaluasi Realisasi Kinerja pada Triwulan Realisasi Capaian Kinerja dan Anggaran RKPD Kabupaten/Kota yang dievaluasi (2013) Realisasi Kinerja dan Anggaran RPJMD Kabupaten/Kota s/d Tahun 2013 (Akhir Tahun Pelaksanaan RKPD Tahun 2013) 3 6 7 8 9 15=14/6X100% SKPD Penang gung Jawab I II III IV Tingkat Capaian Kinerja dan Realisasi Anggaran RPJMD Kbupaten/Kota s/d Tahun 2013 (%) 10 11 12 13 14=7+13 Program Pengembangan dan Keserasian Kebijakan Pemuda Meningkatnya Pemuda Berprestasi Di Bidangnya 1 17 01 15 03 Terlaksananya 10 168.600.000 1 Keg 25.000.000 1 Keg 25.000.000 1 Keg 25.000.000 1 25.000.000 0,1 0,15 Silaturahmi Seniman dan Budayawan 8 2 04 01 15 9 800.000.000 2 Keg 150.000.000 2 Keg 136.997.060 2 Keg 136.997.060 2 136.997.060 0,2222 0,17 2 04 01 15 04 Kegiatan : Koordinasi Terlaksananya 4 300.000.000 1 Keg 100.000.000 1 Keg 99.997.060 1 Keg 99.997.060 1 99.997.060 0,25 0,33 Dengan Sektor Kunjungan Balasan Pendukung Dengan Masyarakat Pariwisata Mandailing Malaysia 2 04 01 15 05 Terpilihnya putra-putri 5 500.000.000 1 Keg 50.000.000 1 Keg 37.000.000 1 Keg 37.000.000 1 37.000.000 0,2 0,07 duta wisata Kota Padangsidimpuan 9 Meningkatnya peran masyarakat untuk melestarikan adat dan budaya 1 17 01 16 Program : Pengelolaan Kekayaan Budaya Meningkatnya minat masyarakat dalam pengelolaan adat budaya 30 823.999.992 5 Keg 250.000.000 2 Keg 118.720.000 1 Keg 49.325.000 2 Keg 81.684.000 5 Keg 249.729.000 5 249.729.000 0,1667 0,30 1 17 01 16 02 Kegiatan : Pelestarian Tersedianya 6 336.999.992 1 Paket 50.000.000 1 Keg 50.000.000 1 Keg 50.000.000 1 50.000.000 0,1667 0,15 Fisik dan Kandungan seperangkat Bahan Pustaka pakaian adat daerah Termasuk Naskah Kuno 1 17 01 16 06 Kegiatan : Terlaksananya event 29 487.000.000 4 Keg 200.000.000 2 Keg 118.720.000 1 Keg 49.325.000 1 Keg 31.684.000 4 Keg 199.729.000 4 199.729.000 0,1379 0,41 Pengembangan budaya dan pariwisata Kebudayaan dan tingkat provinsi dan Pariwisata nasional 10 2 04 01 16 5 150.000.000 1 Keg 25.000.000 - - - - - - - - - 0 0 0 0 0,00 2 04 01 16 05 Terlaksananya 5 150.000.000 1 Keg 25.000.000 - - - - - - - - - 0 0 0 0 0,00 pendataan dan pengawasan objek dan sarana prasarana pariwisata Kegiatan :Pemantauan dan evaluasi pelaksanaan program pengembangan destinasi pemasaran pariwisata Terbinanya tujuan wisata Program : Pengembangan Pemasaran Pariwisata Kegiatan : Pelaksanaan promosi pariwisata di dalam dan luar negeri Terbinanya tujuan wisata Program Pengembangan Destinasi Pariwisata Terwujudnya Padangsidimpuan menjadi kota tujuan wisata Kegiatan : Penyusunan Kebijakan Tentang Budaya Lokal Daerah 14 dari 17
  • 295.
    K Rp KRp K Rp K Rp K Rp K Rp K Rp K Rp K Rp K Rp 1 2 4 5 16 NO Sasaran Kode Urusan/Bidang Urusan Pemerintah Daerah dan Program Kegiatan Indikator Kinerja Program (Outcome) / Kegiatan (Output) Target RPJMD Kabupaten / Kota pada Tahun 2017 (Akhir periode RPJMD) Realisasi Capaian Kinerja RPJMD Kabupaten/Kota sampai dengan RKPD Kabupaten /Kota Tahun Lalu (2012) Target Kinerja dan Anggaran RKPD Kabupaten/Kota Tahun Berjalan (2013) yang dievaluasi Realisasi Kinerja pada Triwulan Realisasi Capaian Kinerja dan Anggaran RKPD Kabupaten/Kota yang dievaluasi (2013) Realisasi Kinerja dan Anggaran RPJMD Kabupaten/Kota s/d Tahun 2013 (Akhir Tahun Pelaksanaan RKPD Tahun 2013) 3 6 7 8 9 15=14/6X100% SKPD Penang gung Jawab I II III IV Tingkat Capaian Kinerja dan Realisasi Anggaran RPJMD Kbupaten/Kota s/d Tahun 2013 (%) 10 11 12 13 14=7+13 Program Pengembangan dan Keserasian Kebijakan Pemuda Meningkatnya Pemuda Berprestasi Di Bidangnya 11 1 17 01 17 Program : Pengelolaan Kekayaan Budaya Meningkatnya partisipasi 5 168.600.000 1 Keg 80.000.000 1 Keg 75.750.000 1 Keg 75.750.000 1 75.750.000 0,2 0,45 Keragaman Budaya masyarakat dalam pelestarian budaya 1 17 01 17 03 Kegiatan : Terlaksananya 5 168.600.000 1 Keg 80.000.000 1 Keg 75.750.000 1 Keg 75.750.000 1 75.750.000 0,2 0,45 Penyelenggaraan seminar adat dan Dialog Kebudayaan budaya Meningkatnya peran masyarakat untuk melestarikan adat dan budaya 15 dari 17
  • 296.
    K Rp. KRp. K Rp K Rp K Rp K Rp K Rp K Rp K Rp K Rp 19 1 19 01 19 Program Peningkatan sasaran dan Prasarana Aparatur Peningkata n Fasilitas kantor 02 07 Pengadaan Perlengkapan Gedung Kantor Tercapaianya Fasilitas PNS Kantor 5 Th 1.845.450.000 - - - 369.090.000 - - - 29.000.000 3bl 170.045.000 - 170.045.000 - 100% - 100% - 20% Peningkata n Fasilitas kantor 02 22 Pemeliharaan Rutin/Berkala Gedung Kantor Tercapaianya Fasilitas PNS Kantor 5 Th 77.550.000 - - - 15.510.000 3bl 3.877.500 3bl 3.877.500 3bl 3.877.500 - 3.877.500 100% - 100% - 20% Peningkata n Fasilitas kantor 02 24 Pemeliharaan Rutin/Berkala Gedung kantor Tercapaianya Fasilitas PNS Kantor 5 Th 354.900.000 - - 70.980.000 3bl 17.745.000 3bl 17.745.000 3bl 17.745.000 - 17.745.000 - 100% - 100% - 20% 06 Prongram Penigkatan Pengembangan Sistem Pelaporan Capaian Kinerja Dan Keuangan Pencapaian targer Kinerja 04 Penyusunan Pelaporan Keuangan Akhir Tercapaianya Penyusunan Laporan keuangan yang baik 5 Th 16.500.000 - 3.300.000 - - - - - - - 3.300.000 - 100% - 100% - 20% 16 Program Pemeliharaan kantrantibnas dan pencegahan tindak kriminal Sosialisasi pada Masyaraka t 02 Peningkatan Kerja sama dengan aparat Keamanan dalam teknik Pencegahan Kejahatan Terciptanya Keamnan dimasyarakat 5 Th 546.000.000 - 109.200.000 3 bl 27.300.000 3 bl 27.300.000 3bl 27.300.000 - 27.300.000 - 100% - 100% - 20% Sosialisasi pada Masyaraka t 04 Peningkatan Kapasitas Aparat Dalam Rangka Pelaksanaan Siskamswakarsa di Daerah Terciptanya Keamnan dimasyarakat 5 Th 847.175.000 - 169.435.000 3 bl 42.358.750 3bl 42.358.750 3bl 42.358.750 - 42.358.750 - 100% - 100% - 20% 17 Program pengembangan wawasan kebangsaan 14=7+13 15=14/6*100 % FORMULIR VII.F.8 EVALUASI TERHADAP HASIL RKPD KOTA PADANGSIDIMPUAN TAHUN 2013 Kantor Kesbang Sasaran Pembangunan Tahunan Kota Padangsidimpuan No Sasaran kode Urusan/Bidang Urusan Pemerintah Daerah dan Program/ Kegiatan Indikator Kinerja Program ( Outceme)/ Kegiatan ( Output ) 4 5 6 Tingkat Kinerja dan anggaran RPJMD Kabupaten/K ota s/dTahun 2013 ( AkhirTahun Pelaksanaan RKPD Tahun SKPD Penang gung Jawab I II III IV Realisasi Kinerja dan anggaran RPJMD Kabupaten/Ko ta s/d Tahun 2013 ( Akhir Tahun Pelaksanaan RKPD Tahun Target RPJMD Kabupaten/Kota Pada Tahun 2017 ( Akhir Periode RPJMD ) Realisasi Capaian Kinerja RPJMD Kabupaten/K ota sampai dengan RKPD Kabupaten/K ota tahun Lalu ( n-2) Target Kinerja dan Anggaran RKPD Kabupaten/Kota Tahun Berjalan ( tahun n-1) yang Dievaluasi 2013 Realisasi Kinerja Pada Triwulan Realisasi Capaian Kinerja dan Anggaran RKPD Kabupaten/K ota yang dievaluasi 13127 8 9 10 11 1 2 3 16 dari 17
  • 297.
    Sosialisasi pada Masyaraka t 17 01 PeningkatanToleransi dan kerukunan dalam kehidupan beragama Tercapainya kerukunan antar sesama dalam umat beragama 5 Th 760.950.000 - 152.190.000 3 bl 38.047.500 3 bl 38.047.500 3bl 38.047.500 - 38.047.500 - 100% - 100% - 20% Sosialisasi pada Masyaraka t 17 02 Peningkatan Solidaritas dan Ikatan Sosial Dikalangan Masyarakat Terciptanya Solidaritas dan ikatan sosial di masyarakat 5 Th 487.700.000 - 97.540.000 3 bl 24.385.000 3 bl 24.385.000 - - - 48.770.000 - 100% - 100% - 20% Program Kemitraan Pengembangan Wawasan Kebangsaan Administra si Ormas Verivikasi Organisasi Kemasyarakatan Tercapaianya Organisasi yang baik antar masyarakat 5 Th 165.000.000 24 33.000.000 3bl 8.250.000 3bl 8.250.000 3bl 8.250.000 - 8.250.000 - 100% - 100% - 20% 20 Program Peningkatan Pemberantasan Penyakit Masyarakat ( Pekat ) 21 Program Pendidikan Politik Masyarakat Administra si Ormas 05 Monitoring, Evaluasi dan Pelaporan Tertibnya administrasi yang baik 5 Th 75.900.000 - 15.180.000 3bl 3.795.000 3bl 3.795.000 3bl 3.795.000 - 3.795.000 - 100% - 100% - 20% Administra si Ormas 06 Administrasi Bantuan Keuangan kepada Partai Politik Tertibnya administrasi yang baik 5 Th 256.500.000 - 53.100.000 - - - - - - - 53.100.000 - 100% - 100% - 20% Faktor pendorong keberhasilan Kinerja: SDM PNS dan kerjasama Faktor Penghambat Pencapaian Kinerja : Sumber daya Manusia/SDM PNS Tindaklanjut yang diperlukan dalam triwulan berikutnya :Peningkatan kerjasama Tindak lanjut yang diperlukan dalam RKPD berikutnya : Peningkatan SDM Rata-rata capaian Kinerja (%) 100% Predikat Kinerja 17 dari 17
  • 298.
    K Rp. KRp. K Rp. K Rp. K Rp. K Rp. K Rp. K Rp. K Rp. K Rp. 1 Peningkatan kapasitas sumberdaya Aparatur - Mengikuti Pendidikan Peningkatan Kinerja 35 x 755.000.000 0 0 7 x 105.000.000 0 0 39 41.330.000 0 10.060.000 0 20.640.000 7 x 72.030.000 7 x 51.390.000 0,2 57,62 Bag dan pelatihan paratur Tapem 2 Peningkatan Pelayanan kedinasan KDH dan Wakil KDH Peningkatan tindak 60 x 33.000.000 0 0 4 x 2.074.000.000 0 0 37 770.000 0 0 0 0 12 x 770.000 4 x 770.000 0,06 37,12 Sda - Rapat Koordinasi Pe lanjut keputusan jabat pemerintahan rapat koordinasi Daerah pemerintahan 3 Peningkatan kualitas . . Pelayanan Publik Adanya Keputusan 60 x 39.000.000 0 0 0 0 0 0 0 0 0 0 0 0 12 x 0 0 0 0 0 Sda - Rapat Koordinasi bersama unsur Unsur Muspida muspida 4 Peningkatan kualitas Pelayanan Publik Merangkum laporan 5 x 30.000.000 0 0 1 x 5.180.000 0 0 0 0 0 0 0 4.700.000 1 x 4.700.000 1 x 4.700.000 0 90,73 Sda - Pelaporan PPAT dari pejabat PPAT 5 Peningkatan sistim pengawasan internal dan pengendalian pe laksanaan kebijakan KDH - Administrasi penun Terlaksananya adm 20 x 28.000.000 0 0 1 x 27.728.000 0 0 20 5.570.000 0 2.940.000 0 2.270.000 4 x 10.780.000 1 x 8.510.000 0,05 38,87 Sda jang kegiatan bagian kegiatan Adm.Pemum - Desk Pemilihan Kepa Terlaksananya 5 x 200.000.000 0 0 1 x 116.792.000 0 0 73 86.222.000 0 0 0 0 1 x 86.222.000 1 x 86.222.000 0,2 73,82 Sda la Daerah Pilkada,Pileg dan Pilpres 6 Optimalisasi pemanfaat an teknologi informasi - Penyebar luasan in Peningkatan tindak 5 x 602.000.000 0 0 1 x 51.778.000 0 0 74 38.522.000 0 8.158.000 0 0 1 x 46.680.000 1 x 46.680.000 0,2 90,15 Sda formasi penyelenggara lanjut LPPD an pemerintah daerah - Sosialisasi penyusu Peningkatan kinerja 5 x 0 0 0 1 x 40.625.000 0 0 - 0 0 6.526.000 0 30.032.500 1 x 36.558.500 1 x 6.526.000 0,2 89,99 Sda nan dan evaluasi lapo Aparatur ran penyelenggaraan Pemerintah daerah 7 Peningkatan kerjasama Peningkatan kerja 10 x 156.000.000 0 0 2 x 244.980.000 0 0 66 162.450.000 0 0 0 6.000.000 2 x 168.450.000 2 x 162.450.000 0,2 78,35 Sda antar pemerintah daerah sama sesama ang - Rapat APEKSI gota APEKSI 13 14 = 7 + 13 15=14/6 * 100% 16 12 1 2 3 4 5 6 7 8 9 10 11 Tingkat Capaian Kinerja dan Realisasi Anggaran RPJMD Kota s/d Tahun 2013 (%) SKPD Penang gung Jawab I II III IV Realisasi Kinerja dan Anggaran RPJMD Kota s/d Tahun 2013 (Akhir Tahun Pelaksanaan RKPD Tahun 2013) Target RPJMD Kota pada Tahun 2017 (Akhir Periode RPJMD) Realisasi Capaian Kinerja RPJMD Kota sampai dengan RKPD Kota Tahun Lalu (n- 2) Target Kinerja dan Anggaran RKPD Kota Tahun Berjalan (Tahun n-1) yang Dievaluasi Realisasi Kinerja Pada Triwulan Realisasi Capaian Kinerja dan Anggaran RKPD Kota yang dievaluasi Sasaran Pembangunan Tahunan :2013 Bagian Adm. Pemerintahan Umum FORMULIR VII.F8 EVALUASI TERHADAP HASIL RKPD KOTA PADANGSIDIMPUAN TAHUN 2013 Triwulan IV No Sa sa ran Kode Urusan/Bidang Urusan Pemerintahan Daerah dan Program/Kegiatan Indikator Kinerja Program (Outcome)/Kegiatan (Output) 1 dari 67
  • 299.
    8 Penataan DaerahOtono mi baru - Fasilitasi percepatan adanya batas wila 5 x 50.000.000 0 0 1 x 185.655.000 0 0 3 7.150.000 0 4.668.000 0 0 1 x 11.818.000 1 x 11.818.000 0,2 6,04 Sda penyelesaian tapal ba yah yang jelas tas adm antar daerah/ penataan batas wilayah 9 Penataan Daerah Otono mi baru - Pembakuan nama rupa adanya nama rupa 5 x 1.200.000.000 0 0 1 x 0 0 0 0 0 0 0 0 0 1 x 0 1 x 0 0,2 0 Sda bumi bumi yang baku 10 Perencanaan pembangu nan wilayah strategis dan cepat tumbuh adanya kecamatan 10 x 80.000.000 0 0 1 x 68.667.000 0 0 47 32.302.000 0 7.175.000 0 0 2 x 39.477.000 1 x 39.477.000 0,1 57,49 Sda - Penilaian Kec Terbaik terbaik 11 Peningkatan kualitas pela yanan publik - Pelayanan Adm terpadu Terselenggaranya 5 x 900.000.000 0 0 0 0 0 0 0 0 0 0 0 0 1 x 0 0 0 0 0 Sda kecamatan (PATEN) PATEN di kecamatan Faktor pendorong keberhasilan kinerja : 1.Tersedianya anggaran pelaksanaan Kinerja. 2.Adanya Sumber Daya Aparatur yg menguasai Tupoksi. 3. Tersedianya Sarana dan Prasarana penunjang pelaksanaan tugas. Faktor penghambat pencapaian kinerja : 2. Terbatasnya anggaran pelaksanaan kinerja. 2. Kurangnya sumber daya aparatur yg menguasai Tupoksi. 3. Keterbatasan sarana dan prasarana penunjang pelaksanaan tugas. Tindak lanjut yang diperlukan dalam triwulan berikutnya : Mempersiapkan pelaksanaan kinerja secara administrasi dan keuangan. Tindak lanjut yang diperlukan dalam RKPD berikutnya : 1.Mempersiapkan anggaran pelaksanaan kinerja sesuai kebutuhan. 2.Meningkatkan sumber daya aparatur yg menguasai dan memahami tupoksi. 3.Mempersiapkan sarana dan prasarana sebagai penunjang pelaksanaan kinerja. 4.Memberdayakan seluruh perangkat untuk mencapai kinerja i Predikat Kinerja 2 dari 67
  • 300.
    K Rp. KRp. K Rp. K Rp. K Rp. K Rp. K Rp. K Rp. K Rp. K Rp. 1 1 20 Urusan Wajib 26 Program Penataan Peraturan Perundang- Kegiatan 01 Koordinasi Kerjasama Meningkatnya 120 kali 317.750.000 24kali 63.550.000 0 0 22 37.959.000 0 0 24 63.495.400 24 63.495.000 24 63.495.000 20 19.98 Bag.Hkm Permasalahan Perat. Sumber daya Perundang-undangan Aparatur dalam penyelenggaraan urusan pmrthan 03 Legislasi Rancangan Tercapainya 1250 345.750.000 250 69.150.500 0 0 200 32.760.000 0 0 380 52.673.700 380 52.673.700 380 52.673.700 30 15,23 Sda Perat. Perundang- harmonisasi Perat . Perundang-undangan Penyusunan Produk hkm 04 Fasilitasi Sosialisasi Meningkatnya 25 kali 275.000.000 2 Kali 54.019.000 0 0 0 0 0 0 2 52.599.000 2 52.599.000 2 52.599.000 8 19,12 Sda Perat. Perundang- Kegiatan Sosialisasi undangan di bidang hkm kpd masyarakat 05 Publikasi Perat. Tersedianya Produk 625 135.000.000 125 26.776.300 0 0 0 0 0 0 125 26.766.300 125 26.766.300 125 26.766.300 20 19,82 Sda undangan Hkm Daerah Buku Buku Buku 2 05 Program Peningkatan Sumber Daya Aparatur Kegiatan 07 Bimbingan Teknis, Meningkatnya 150 kali 430.000.000 30 Kali 85.787.725 0 0 12 56.070.000 0 0 13 80.460.000 13 80.460.000 13 80.460.000 8,6 18,7 Sda Workshop, Sosialisasi Kapasitas sumber Legal Drafting serta daya aparatur dlm peningkatan SDM penyusunan dan Bidang lainnya pengajuan produk hkm daerah dan perat.perundang- undangan 3 30 Program Pembinaan dan Pengembangan Aparatur Kegiatan 17 Pelaksanaan Tugas Meningkatnya 25 340.000.000 5 Kali 68.836.200 0 0 2 28.721.900 0 0 5 60.205.200 5 60.205.200 5 60.205.200 20 17,7 Sda PPNS kesejahteraan bagi Kasus aparat teknis 4 20 Program Peningkatan sistem Pengawasan Internal dan Pengendalian Pelaksanaan Kebijakan KDH Kegiatan 16 7 8 9 10 11 12 1 2 3 4 5 6 13 SKPD Penang gung Jawab Target RPJMD Kota pada Tahun 2017 (Akhir Periode RPJMD) Realisasi Capaian Kinerja RPJMD Kota sampai dengan RKPD Kota Tahun Lalu (n-2) Target Kinerja dan Anggaran RKPD Kota Tahun Berjalan (Tahun n-1) yang Dievaluasi I II III IV 14 = 7 + 13 15=14/6 * 100% Realisasi Kinerja Pada Triwulan Realisasi Capaian Kinerja dan Anggaran RKPD Kota yang dievaluasi Realisasi Kinerja dan Anggaran RPJMD Kota s/d Tahun 2013 (Akhir Tahun Pelaksanaan RKPD Tahun 2013) Tingkat Capaian Kinerja dan Realisasi Anggaran RPJMD Kota s/d Tahun 2013 (%) Sasaran Pembangunan Tahunan Kab/Kota Bagian Hukum FORMULIR VII.F8 EVALUASI TERHADAP HASIL RKPD KOTA PADANGSIDIMPUAN TAHUN 2013 Triwulan IV No Sa sa ran Kode Urusan/Bidang Urusan Pemerintahan Daerah dan Program/Kegiatan Indikator Kinerja Program (Outcome)/Kegiatan (Output) 3dari 67
  • 301.
    02 Penanganan KasusTerwujudnya 15 720.000.000 3Kasus 143.352.000 0 0 0 0 0 0 3 84.247.700 3 84.247.700 3 84.247.700 20 11,7 Sda Pengaduan di Penegakan Hkm Kasus Lingkungan Pemda Faktor pendorong keberhasilan kinerja : 1.Tersedianya anggaran pelaksanaan Kinerja. 2.Adanya Sumber Daya Aparatur yg menguasai Tupoksi. 3. Tersedianya Sarana dan Prasarana penunjang pelaksanaan tugas. Faktor penghambat pencapaian kinerja : 2. Terbatasnya anggaran pelaksanaan kinerja. 2. Kurangnya sumber daya aparatur yg menguasai Tupoksi. 3. Keterbatasan sarana dan prasarana penunjang pelaksanaan tugas. Tindak lanjut yang diperlukan dalam triwulan berikutnya : Mempersiapkan pelaksanaan kinerja secara administrasi dan keuangan. Tindak lanjut yang diperlukan dalam RKPD berikutnya : 1.Mempersiapkan anggaran pelaksanaan kinerja sesuai kebutuhan. 2.Meningkatkan sumber daya aparatur yg menguasai dan memahami tupoksi. 3.Mempersiapkan sarana dan prasarana sebagai penunjang pelaksanaan kinerja. 4.Memberdayakan seluruh perangkat untuk mencapai kinerja Predikat Kinerja 4dari 67
  • 302.
    Sasaran Pembangunan TahunanKota Padangsidimpuan Bagian Administrasi Perekonomian dan Kesra Bagian Perekonomian dan Kesra 1 2 4 5 5 K Rp. K Rp. K Rp. K Rp. K Rp. K Rp. K Rp. K Rp. K Rp. K Rp. 1 Urusan Wajib 1 20 Urusan Wajib Otonomi Daerah, Pemerintahan Umum, Administrasi Keuangan Daerah, Perangkat Daerah, Kepegawaian dan Persandian 1 20 05 Program Peningkatan Kapasitas Sumber Daya Aparatur 1 20 05 07 Bimbingan Teknis, Workshop, Sosialisasi dan Legal Drafting Bidang Hukum serta Peningkatan SDM Bidang Lainnya Adanya biaya Bimbingan Teknis, Workshop, Sosialisasi dan Legal Drafting Bidang Hukum serta Perekonomian dan kesra 100% 800.000.000 20% 160.000.000 99% 159.839.400 99% 159.839.400 99,00% 159.839.400 99% 19,98 Adm P. & kesra 1 20 32 Program Peringatan Hari - Hari Besar Nasional, Daerah dan Keagamaan 1 20 32 01 Pelaksanaan HUT RI Pelaksanaan Upacara Peringatan HUT RI dan Ramah Tamah 100% 811.500.000 162.300.000 1 20 32 02 Pelaksanaan Maulid Nabi Muhammad SAW Peringatan Maulid Nabi dengan ceramah agama 100% 226.750.000 45.350.000 1 20 32 03 Pelaksanaan Perayaan Idul Fithri Malam Takbiran di Alaman Bolak dan Sholat Ied di mesjid Raya 100% 150.250.000 30.050.000 1 20 32 04 Pelaksanaan Idul Adha Malam Takbiran di Alaman Bolak dan Sholat Ied di mesjid Raya 100% 150.250.000 20% 30.050.000 100% 30.050.000 100% 30.050.000 100,00% 30.050.000 100% 20,00 Adm P. & kesra 1 20 32 05 Pelaksanaan Isra Mi'raj Nabi Muhammad SAW Peringatan Isra Miraj dengan ceramah agama 100% 155.000.000 31.000.000 1 20 32 06 Pelaksanaan Hari Kebangkitan Nasional Pelaksanaan Upacara dan Ziarah Hari Kebangkitan 100% 186.500.000 37.300.000 Meningkatnya kemampuan dan kualitas SDM Sekretariat Daerah Meningkatnya pembinaan persatuan dan kesatuan bangsa, kesetiakawanan korps serta pemahaman dan pengamalan agama 9 15 = 14/6 * 100% SKPD Penanggu ng Jawab II III IV 10 11 12 13 14 = 7 + 13 I Realisasi Kinerja pada Triwulan 3 6 7 8 Realisasi Capaian Kinerja RPJMD Kabupaten / Kota sampai dengan RKPD Kabupaten / Kota Tahun Target Kinerja dan Anggaran RKPD Kabupaten / Kota Tahun berjalan (Tahun n-1) yang dievaluasi Formulir VII.F.8 Evaluasi Terhadap Hasil RKPD Kota Padangsidimpan Tahun 2013 Realisasi Capaian Kinerja dan Anggaran RKPD Kabupaten / Kota yang dievaluasi Realisasi Kinerja dan Anggaran RPJMD Kabupaten / Kota s/d Tahun 2013 (Akhir Tahun Pelaksanaan RKPD Tahun 2013 Target Capaian Kinerja dan Realisasi Anggaran RPJMD Kabupaten/Kota s/d Tahun (%) No. Sasaran Kode Urusan/Bidang Urusan Pemerintahan Daerah dan Program/Kegiatan Indikator Kinerja Program (Outcome) / Kegiatan (Output) Target RPJMD Kabupaten / Kota Pada Tahun 2013 (Akhir Periode RPJMD) 5 dari 67
  • 303.
    1 2 45 5 K Rp. K Rp. K Rp. K Rp. K Rp. K Rp. K Rp. K Rp. K Rp. K Rp. 9 15 = 14/6 * 100% SKPD Penanggu ng Jawab II III IV 10 11 12 13 14 = 7 + 13 I Realisasi Kinerja pada Triwulan 3 6 7 8 Realisasi Capaian Kinerja RPJMD Kabupaten / Kota sampai dengan RKPD Kabupaten / Kota Tahun Target Kinerja dan Anggaran RKPD Kabupaten / Kota Tahun berjalan (Tahun n-1) yang dievaluasi Realisasi Capaian Kinerja dan Anggaran RKPD Kabupaten / Kota yang dievaluasi Realisasi Kinerja dan Anggaran RPJMD Kabupaten / Kota s/d Tahun 2013 (Akhir Tahun Pelaksanaan RKPD Tahun 2013 Target Capaian Kinerja dan Realisasi Anggaran RPJMD Kabupaten/Kota s/d Tahun (%) No. Sasaran Kode Urusan/Bidang Urusan Pemerintahan Daerah dan Program/Kegiatan Indikator Kinerja Program (Outcome) / Kegiatan (Output) Target RPJMD Kabupaten / Kota Pada Tahun 2013 (Akhir Periode RPJMD) 1 20 32 07 Pelaksanaan Hari Kesaktian Pancasila Pelaksanaan Upacara Hari Kesaktian 100% 167.750.000 33.550.000 1 20 32 08 Hari Pendidikan Nasional Pelaksanaan Upacara Hari Pendidikan 100% 169.500.000 33.900.000 1 20 32 09 Pelaksanaan HUT PEMKO Pelaksanaan Upacara dan Mendengarkan Pidato dan Resepsi 100% 1.406.400.000 20% 281.280.000 100% 281.280.000 100% 281.280.000 100,00% 281.280.000 100% 20,00 Adm P. & kesra 1 20 32 10 Pelaksanaan Hari Pahlawan Pelaksanaan Upacara dan Ziarah Hari Pahlawan dan Ramah tamah 100% 479.500.000 20% 95.900.000 98% 94.100.000 98% 94.100.000 98,00% 94.100.000 98% 19,62 Adm P. & kesra 1 20 32 11 Pendistribusian Raskin Pendistribusian Raskin ke RTS 100% 3.083.634.500 20% 616.726.900 99% 613.436.900 99% 613.436.900 99,00% 613.436.900 99% 19,89 Adm P. & kesra 1 20 32 14 Pelaksanaan MTQ dan Pengiriman Peserta ke Tingkat Provsu melaksanakan MTQ dan mengirim peserta ke Tk Propinsi 100% 2.222.550.000 444.510.000 1 20 32 15 Pelaksanaan Festival Nasyid melaksanakan Festival Nasyid dan mengirim peserta ke Tk Propinsi 100% 1.379.750.000 275.950.000 1 20 32 16 Pelaksanaan Safari Ramadhan Kunjungan Safari Ramadhan ke Mesjid tiap Kecamatan 100% 361.500.000 72.300.000 1 20 32 17 Pelaksanaan Pembinaan Pemberangkatan dan Pemulangan Jama'ah Haji melaksanakan pemberangkatan dan penjemputan jama'ah haji 100% 2.834.375.000 20% 566.875.000 98% 554.115.000 98% 554.115.000 98,00% 554.115.000 98% 19,55 Adm P. & kesra 1 20 32 18 Pelaksanaan Peringatan Nuzul Qur'an 100% 87.625.000 17.525.000 1 20 32 23 Hari Kesadaran Nasional Pelaksanaan Upacara hari kesadaran 100% 174.000.000 20% 34.800.000 100% 34.800.000 100% 34.800.000 100,00% 34.800.000 100% 20,00 Adm P. & kesra 1 20 32 24 Pelaksanaan Manasik Haji melaksanakan manasik haji sekota Psp 100% 285.000.000 57.000.000 1 20 43 Program Kerjasama Investasi dan Promosi 1 20 43 04 Kegiatan Expo mengikuti kegiatan expo 100% 1.445.972.260 289.194.452 1 20 43 06 Pekan Raya Sumatera Utara mengikuti kegiatan PRSU 100% 1.504.767.615 300.953.523 1 20 46 Program Peningkatan Sistem Pengawasan Internal dan Pengendalian Pelaksanaan Kebijakan DPRD 6 dari 67
  • 304.
    1 2 45 5 K Rp. K Rp. K Rp. K Rp. K Rp. K Rp. K Rp. K Rp. K Rp. K Rp. 9 15 = 14/6 * 100% SKPD Penanggu ng Jawab II III IV 10 11 12 13 14 = 7 + 13 I Realisasi Kinerja pada Triwulan 3 6 7 8 Realisasi Capaian Kinerja RPJMD Kabupaten / Kota sampai dengan RKPD Kabupaten / Kota Tahun Target Kinerja dan Anggaran RKPD Kabupaten / Kota Tahun berjalan (Tahun n-1) yang dievaluasi Realisasi Capaian Kinerja dan Anggaran RKPD Kabupaten / Kota yang dievaluasi Realisasi Kinerja dan Anggaran RPJMD Kabupaten / Kota s/d Tahun 2013 (Akhir Tahun Pelaksanaan RKPD Tahun 2013 Target Capaian Kinerja dan Realisasi Anggaran RPJMD Kabupaten/Kota s/d Tahun (%) No. Sasaran Kode Urusan/Bidang Urusan Pemerintahan Daerah dan Program/Kegiatan Indikator Kinerja Program (Outcome) / Kegiatan (Output) Target RPJMD Kabupaten / Kota Pada Tahun 2013 (Akhir Periode RPJMD) Pengawasan Tim Pengendalian Inflasi Daerah 100% 600.000.000 20% 120.000.000 54% 79.514.000 54% 79.514.000 54,00% 79.514.000 54% 13,25 Adm P. & kesra 0,00% 6,49 tindaklanjut yang diperlukan dalam triwulan berikutnya : mempersiapkan langkah-langkah program kerja yang akan dilaksanakan tindaklanjut yang diperlukan dalam RKPD berikutnya : Rata - rata capaian kinerja (%) Predikat Kinerja Faktor pendorong keberhasilan kinerja: tercapainya program kerja yang baik Faktor penghambat keberhasilan kinerja : tidak ada 7 dari 67
  • 305.
    Sasaran Pembangunan TahunKabupaten / Kota Padangsidimpuan Bagian Organisasi K Rp. K Rp. K Rp. K Rp. K Rp. K Rp. K Rp. K Rp. K Rp. K Rp. 1.20.03.06.37 1.20.03.06.37.02 - Penyusunan Penetapan Kinerja Sekretariat Daerah Pelaksanaan penyusunan PK Setda Tahun 20112 1 dokumen 23.115.000 - - 1 dokumen 23.115.000 1 Dokumen - - 23.115.000 - - - - 1 dokumen 23.115.000 1 dokumen 23.115.000 100 100 1.20.03.06.37.03 - Penyusunan Laporan Akuntabilitas Kinerja Sekretariat Daerah Pelaksanaan penyusunan LAKIP Setda 2011 5 Laporan 165.665.000 - - 1 Laporan 35.113.000 - - 1 laporan 33.133.000 - - - - 1 laporan 33.133.000 1 laporan 33.133.000 20 20 1.20.03.06.06 1.20.03.06.06.13 - Penyusunan Renstra Adanya dokumen Renstra Sekretariat Daerah 1 dokumen 23.031.000 - - 1 dokumen 23.031.000 - - - - - 1 dokumen 18.275.000 1 dokumen 18.275.000 1 dokumen 18.275.000 100 79,35 1.20.03.06.01 1.20.03.06.01.01 - Penyediaan Jasa Surat Menyurat Adanya biaya pengiriman surat-surat dinas SKPD 10 Semester 300.000.000 - - 2 Semester 60.000.000 - - 1 semester 27.756.000 - - 1 semester 32.112.000 2 semester 27.756.000 2 semester 59.868.000 20 19,96 1.20.03.06.01.18 - Rapat-rapat Koordinasi dan Konsultasi Keluar Daerah Adanya biaya perjalanan dinas luar daerah aparatur Sekretariat Daerah 1205 kali 3.725.716.000 - - 241 kali 725.716.000 - 129 kali 434.325.000 53 kali 128.422.000 132 kali 261.694.200 314 kali 824.441.200 314 kali 824.441.200 26,06 22,13 3. 1.20.03.06.34 1.20.03.06.34.01 - Penyusunan dan Pembentukan Organisasi dan Tata Kerja Perangkat Daerah Lainnya Pelaksanaan penyusunan OPD lainnya sesuai dengan kebutuhan dan kemampuan daerah 8 perda 216.000.000 - - 2 perda 17.653.000 - - - 2 perda 15.847.000 - 2 perda 15,847,000 2 perda 15.847.000 25 7,34 1.20.03.06.26 1.20.03.06.26.08 - Penyusunan dan Pengajuan Ranperda menjadi Perda Terwujudnya produk hukum daerah sesuai kebutuhan 2 perda 54.104.000 - - 2 perda 54.104.000 - - - - - - - - - - - FORMULIR VII.F8 EVALUASI TERHADAP HASIL RKPD KOTA PADANGSIDIMPUAN Tersusunnya Kebijakan tentang kelembagaan/organisasi perangkat daerah sesuai kebutuhan dan kemampuan daerah Penataan Kelembagaan dan Ketatalaksanaan Penataan Peraturan Perundang- undangan 1. Meningkatnya sistem perencanaan yang efektif Peningkatan Akuntabilitas Aparatur Peningkatan Pengembangan Sistem Pelaporan Caoaian Kinerja dan Keuangan 2. Meningkatnya efektivitas pelaksanaan kerja Sekretariat Daerah Pelayanan Administrasi Perkantoran URUSAN PEMERINTAHAN UMUM URUSAN WAJIB 13 14 = 7 + 13 15 = 14/6*100%8 9 10 11 12 1 2 3 4 5 6 7 TAHUN 2013 No. Sasaran Kode Urusan/Bidang Urusan Pemerintahan Daerah dan Program/Kegiatan Indikator Kinerja Program (Outcome)/Kegiatan (Output) Target Renstra Seketariat Daerah pada Tahun 2017 Realisasi Capaian Kinerja Renstra Seketariat Daerah sampai dengan Renja Setda Tahun Lalu (n-2) Target Kinerja dan Anggaran Renja Seketariat Daerah Tahun 2013 (n-1) Realisasi Kinerja pada Triwulan Realisasi Capaian Kinerja dan Anggaran Renja Tahun 2013 Realisasi Kinerja dan Anggaran Renstra Seketariat Daerah Tahun 2013 s/d Tahun 2017 Tingkat Capaian Kinerja dan Realisasi Anggaran Renstra Setda s/d Tahun 2013 (%) I II III IV 8 dari 67
  • 306.
    K Rp. KRp. K Rp. K Rp. K Rp. K Rp. K Rp. K Rp. K Rp. K Rp. URUSAN WAJIB 13 14 = 7 + 13 15 = 14/6*100%8 9 10 11 12 1 2 3 4 5 6 7 1.20.03.06.37 1.20.03.06.37.04 - Pengkoordinasian dan penyusunan Penetapan Kinerja Pemerintah Kota Padangsidimpuan Pelaksanaan penyusunan PK Instansi Pemerintah Kota Padangsidimpuan Tahun 2012 5 Dokumen 173.207.000 - - 1 Dokumen 33.207.000 - - 1 dokumen 31.680.000 - - 1 dokumen 31.680.000 1 dokumen 31.680.000 20 18,29 1.20.03.06.36 1.20.03.06.36.01 - Kormonev Pelaksanaan Inpres No. 5 Tahun 2004 Pelaksanaan Kormonev Kota Padangsidimpuan Tahun 2012 10 Laporan 375.203.000 - - 2 Laporan 75.205.000 - - 1 laporan - 26.892.500 1 laporan 27.444.500 2 laporan 54.337.000 2 laporan 54.337.000 20 14,48 1.20.03.06.35. 1.20.03.06.34 1.20.03.06.34.09 - Pelimpahan Sebagian Kewenangan Walikota Padangsidimpuan kepada SKPD Kota Padangsidimpuan Adanya peraturan di bidang ketatalaksanaan 2 peraturan 37.185.500 - - 2 peraturan 37.185.500 - - - - - 2 peraturan 31.573.500 2 peraturan 31.573.500 2 peraturan 31.573.500 100 84,91 11,11 0 49 47,63 14,33 14,69 43 31,79 Tindak lanjut yang diperlukan dalam triwulan berikutnya: Mempersiapkan langkah-langkah program kerja yang akan dilaksanakan Tindak lanjut yang diperlukan dalam Renja berikutnya: Merencanakan kinerja dengan perbandingan hasil kinerja tahun sebelumnya Rata-rata capaian kinerja (%) Predikat kinerja Faktor pendorong keberhasilan kinerja: Terencananya program kerja dengan baik Faktor penghambat pencapaian kinerja: Adanya koordinasi dan penghimpunan data dari SKPD 87.340.000 15 19 7. Tersusunnya kebijakan dalam rangka peningkatan ketatalaksanaan perangkat daerah Penataan Kelembagaan dan Ketatalaksanaan 11.064.000 3 kali 35.258.000 9 kali 87.340.000 9 kali91.750.000 - - 5 kali 41.018.000 1 kaliAdanya biaya mengikuti Workshop dan Diklat/ Kursus- kursus singkat 60 kali 459.750.000 - - 12 kali 5. Terselenggaranya Kormonev pelaksanaan Inpres No. 5 Tahun 2004 tentang Percepatan Pemberantasan Korupsi Penerapan Kepemerintahan yang Baik 6. Peningkatan kualitas dan disiplin aparatur Pengelolaan SDM Aparatur 1.20.03.06.35.01 - Mengikuti Workshop dan Diklat/Kursus singkat bidang kelembagaan, tatalaksana dan anjab 4. Meningkatnya satuan kerja perangkat daerah yang akuntabel Peningkatan Akuntabilitas Aparatur 9 dari 67
  • 307.
    Sasaran Pembangunan TahunKabupaten / Kota Padangsidimpuan Bagian Umum 1 2 4 5 16 K Rp. K Rp. K Rp. K Rp. K Rp. K Rp. K Rp. K Rp. K Rp. K Rp. 1 Pelayana n Administra si Perkantor an 1 Urusan Wajib 1 .20. Otonomi Daerah, Pemerintahan Umum, Administrasi Keuangan Daerah, Perangkat Daerah Kepegawaian dan Persandian 1 20 03. 07. 01. Program Pelayanan Administrasi Perkantoran Persentase Peningkatan Pelayanan Administrasi Perkantoran dalam Kualitas dan Kuantitas Sarana dan Prasarana yang disediakan 100% 25.328.110.000 100% 4.329.757.000 - - 24,50% 1.014.117.600 49,28% 2.128.525.504 87,63% 3.794.251.373 87,63% 3.794.251.373 49% 3.794.251.373 49,3% 15,0% Bagian Umum Setda Kota Padangsidim puan 1 20 03. 07. 01. 01. Penyediaan Jasa Surat Menyurat Tersedianya Honorarium Pegawai dalam melaksanakan kegiatan dan tugas-tugas di luar jam kerja/hari kerja (lembur) 100% 450.000.000 100% 65.920.000 - - - - 36,89% 24.318.000 94,04% 61.989.487 94,04% 61.989.487 37% 61.989.487 37% 13,8% Bagian Umum Setda Kota Padangsidim puan 1 20. 03. 07. 01. 02. Penyediaan Jasa Komunikasi, Sumber Daya Air dan Listrik Terpenuhinya Jasa pemakaian layanan telepon,air dan listrik Pihak Ke Tiga 100% 2.851.000.000 100% 451.000.000 - - 19,28% 86.962.477 35,20% 158.733.419 57,95% 261.339.572 57,95% 261.339.572 57,95% 261.339.572 57,95% 9,2% Bagian Umum Setda Kota Padangsidim puan 1 20. 03. 07. 01. 03. Penyediaan Jasa Peralatan dan Perlengkapan Kantor Tersedianya Sewa Rumah Jabatan Wakil Kepala Daerah dan Sewa tempat pertemuan/Peng inapan tamu 100% 1.250.000.000 2 Kegiatan 245.000.000 - - 38,09% 93.310.000 45,66% 111.850.000 63,56% 155.725.000 63,56% 155.725.000 63,56% 155.725.000 64% 12% Bagian Umum Setda Kota Padangsidim puan 11 12 13 14 = 7 + 13 15 = 14 / 6 * 100 %3 6 7 8 Formulir VII. F. 8 9 10 SKPD Penanggun g Jawab I II III IV Tingkat Capaian Kinerja dan Realisasi Anggaran RPJMD Kabupaten / Kota s/d Tahun 2013 [%] Evaluasi Terhadap Hasil RKPD Kota Padangsidimpuan Tahun 2013 Triwulan IV No. Sasaran Kode Realisasi Kinerja Pada Triwulan Realisasi Capaian Kinerja dan Anggaran RKPD Kabupaten / Kota yang Dievaluasi Realisasi Kinerja dan Anggaran RPJMD Kabupaten / Kota S/D Tahun Urusan/ Bidang Urusan Pemerintahan Daerah dan Program / Kegiatan Indikator Kinerja Program (Outcome) / Kegiatan (Output) Target RPJMD Kabupaten / Kota Pada Tahun 2017 (Akhir Periode RPJMD) Realisasi Capaian Kinerja RPJMD Kabupaten / Kota sampai dengan Target kinerja dan Anggaran RKPD Kabupaten / Kota Tahun Berjalan (tahun n-1) yang Dievaluasi 10 dari 67
  • 308.
    1 2 45 16 K Rp. K Rp. K Rp. K Rp. K Rp. K Rp. K Rp. K Rp. K Rp. K Rp. 11 12 13 14 = 7 + 13 15 = 14 / 6 * 100 %3 6 7 8 9 10 1 20. 03. 07. 01. 06. Penyediaan Jasa Pemeliharaan dan Perizinan Kendaraan Dinas/Operasional Terpenuhinya Surat Tanda Nomor Kenderaan (STNK) dan Perawatan Kenderaan Dinas Jabatan/Operasi onal 100% 6.050.000.000 34 unit 1.021.630.000 - - 16,24% 164.323.000 46,42% 469.604.970 92,06% 940.494.220 92,06% 940.494.220 92% 940.494.220 92% 16% Bagian Umum Sekretariat Daerah Kota Padangsidim puan 1 20. 03. 07. 01. 08. Penyediaan Jasa Kebersihan Kantor Jasa Petugas Kebersihan Kantor,Rumah Dinas Jabatan KDH/WKDH,Me ss Pemko dan Mesjid 100% 2.815.000.000 35 Orang 315.000.000 - - 25,00% 78.750.000 75% 236.250.000 100% 315.000.000 100% 315.000.000 100% 315.000.000 100% 11% Bagian Umum Sekretariat Daerah Kota Padangsidim puan 1 20. 03. 07. 01. 10 Penyediaan Alat Tulis Kantor Tersedianya dan Terpenuhinya Alat Tulis Kantor Sekretariat setiap bulannya 100% 1.000.000.000 1 Kegiatan 200.000.000 - - 49,29% 98.579.000 99% 197.006.000 98,50% 197.006.000 99,29% 197.006.000 99% 197.006.000 99% 19,7% Bagian Umum Sekretariat Daerah Kota Padangsidim puan 1 20. 03. 07. 01. 11 Penyediaan Barang Cetakan dan Penggandaan Tersedianya dan Terpenuhinya Cetakan dan Penggandaan Surat Dinas Seluruh Bagian padasetiap bulannya 100% 1.400.000.000 1 Kegiatan 280.000.000 - - 49,39% 118.700.000 87,99% 246.353.000 99,17% 277.673.000 99,17% 277.673.000 99% 277.673.000 99,17% 19,8% Bagian Umum Sekretariat Daerah Kota Padangsidim puan 1 20. 03. 07. 01. 12 Penyediaan Komponen Instalasi Listrik/Penerangan Bangunan Kantor Tersedianya Belanja Komponen Instalasi Listrik / penerangan Bangunan Gedung/ Kantor 100% 510.000.000 4 Kegiatan 101.097.000 - - 16,82% 17.000.000 57,65% 58.281.500 99,80% 100.891.000 99,80% 100.891.000 100% 100.891.000 100% 19,8% Bagian Umum Sekretariat Daerah Kota Padangsidim puan 1 20. 03. 07. 01. 13 Penyediaan Peralatan dan Perlengkapan Kantor Tersedianya Belanja Alat-alat Pembersih dan Kebersihan serta belanja Internet dan TV Satelit Gedung Kantor Sekretariat Daerah, Gedung Nasional, Mess Pemko di Medan dan Rumah Dinas KDH dan WKDH 100% 540.000.000 4 Kegiatan 108.000.000 - - 18,90% 20.413.123 58,69% 63.381.534 88,19% 95.244.094 88,19% 95.244.094 88% 95.244.094 88,19% 17,6% Bagian Umum Sekretariat Daerah Kota Padangsidim puan 1 20. 03. 07. 01. 17 Penyediaan Makanan dan Minuman Tersedianya Makan Minum Pegawai,acara rapat dan jamuan tamu serta kebutuhan sehari hari KDH/WKDH 100% 5.164.000.000 1 Kegiatan 964.000.000 - - 20,73% 199.840.000 43,46% 418.925.500 87,05% 839.129.000 87,05% 839.129.000 87% 839.129.000 87,05% 16,2% Bagian Umum Sekretariat Daerah Kota Padangsidim puan 11 dari 67
  • 309.
    1 2 45 16 K Rp. K Rp. K Rp. K Rp. K Rp. K Rp. K Rp. K Rp. K Rp. K Rp. 11 12 13 14 = 7 + 13 15 = 14 / 6 * 100 %3 6 7 8 9 10 1 20. 03. 07. 01. 19 Penyediaan Jasa Keamanan Kantor Petugas Keamanan Kantor 100% 324.000.000 6 Orang 54.000.000 - - 25,00% 13.500.000 75% 40.500.000 100% 54.000.000 100% 54.000.000 100% 54.000.000 ####### 16,7% Bagian Umum Sekretariat Daerah Kota Padangsidim puan 1 20. 03. 07. 01. 20 Penyediaan jasa administrasi perkantoran Tersedianya Honorarium Pegawai / Non PNS Pelaksanaan Kegiatan,Kors Musik dan Paduan Suara 100% 2.974.110.000 1 Tahun 524.110.000 - - 23,43% 122.740.000 50% 262.055.000 94,59% 495.760.000 94,59% 495.760.000 94,59% 495.760.000 94,59% 16,7% Bagian Umum Sekretariat Daerah Kota Padangsidim puan 2 Sarana dan Prasarana 1 20. 03. 07. 02. Program Peningkatan Sarana dan Prasarana Aparatur Peningkatan Kualitas dan Kuantitas Sarana Prasarana Kerja Aparatur 3179 Unit 13.099.086.600 624 Unit 5.621.565.000 31,00% 1.731.290.680 36% 2.023.844.680 95% 5.325.607.740 95% 5.325.607.740 616 Unit 5.325.607.740 19,0% 40,7% Bagian Umum Sekretariat Daerah Kota Padangsidim puan 1 20. 03. 07. 02. 05. Pengadaan Kenderaan Dinas / Operasional Jumlah kenderaan Dinas / Operasional/Poll Micro Bus dan Sedan Roda 4 dan Roda 6 serta Roda 2 54 Unit 6.500.000.000 12 Unit 3.585.000.000 - - 70% 791.075.680 70% 791.075.680 94,21% 3.377.344.740 94,21% 3.377.344.740 12 Unit 3.377.344.740 22,00% 52,0% Bagian Umum Sekretariat Daerah Kota Padangsidim puan 1 20. 03. 07. 02. 06. Pengadaan Perlengkapan Rumah Jabatan Dinas Tersedianya Penghias Ruangan /Gorden Jendela Rumah Dinas 7 Unit 350.000.000 3 Unit 96.000.000 - - 97,21% 87.490.000 97,21% 87.490.000 97,39% 93.490.000 97% 93.490.000 3 Unit 93.490.000 42,85% 26,7% Bagian Umum Sekretariat Daerah Kota Padangsidim puan 1 20. 03. 07. 02. 07. Pengadaan Perlengkapan Gedung Kantor Keluaran : Tersedianya Komputer,Filling cabinet,AC,Lapt op,Printer,Mesin Tik,HT,Brankas, Tempat Tidur,Flapon Taratak,Bendera ,Genset dan lainnya 540 Unit 4.250.000.000 s 1.046.400.000 - - 79,28% 579.465.000 79,28% 579.465.000 94,92% 993.295.000 94,92% 993.295.000 129 Unit 993.295.000 23,88% 23,4% Bagian Umum Sekretariat Daerah Kota Padangsidim puan 1 20. 03. 07. 02. 08. Pengadaan Peralatan Rumah Jabatan / Dinas Keluaran : Kursi Tamu,Sofa,alma ri,Tempat Tidur dll 50 Unit 392.750.000 10 Unit 78.550.000 - - 81,60% 64.100.000 81,60% 64.100.000 95,61% 75.100.000 95,61% 75.100.000 10 Unit 75.100.000 20,00% 19,12% Bagian Umum Sekretariat Daerah Kota Padangsidim puan 1 20. 03. 07. 02. 10 Pengadaan Mebeleur Tersedianya Kursi, Meja dan jenis lainya mebeleur gedung / Kantor 1550 Unit 1.288.000.000 320 Unit 177.600.000 - - 92,32% 117.800.000 92,32% 117.800.000 86,32% 153.300.000 86,32% 153.300.000 316 Unit 153.300.000 20,38% 11,9% Bagian Umum Sekretariat Daerah Kota Padangsidim puan 1 20. 03. 07. 02. 21. Pemeliharaan Rutin/ berkala Rumah Dinas Pemeliharaan Rumah Dinas KDH/WKDH 10 Unit 500.000.000 - - 2 Unit 100.000.000 - - 65,39% 65.390.000 84,83% 84.830.000 99,87% 99.865.000 99,87% 99.865.000 2 Unit 99.865.000 20,00% 20,0% Bagian Umum Sekretariat Daerah Kota Padangsidim puan 12 dari 67
  • 310.
    1 2 45 16 K Rp. K Rp. K Rp. K Rp. K Rp. K Rp. K Rp. K Rp. K Rp. K Rp. 11 12 13 14 = 7 + 13 15 = 14 / 6 * 100 %3 6 7 8 9 10 1 20. 03. 07. 02. 22. Pemeliharaan Rutin/berkala Gedung Kantor Pemeliharaan gedung Kantor Walikota,Gedun g Nasional dan Mess Pemko 15 Unit 750.000.000 3 Unit 190.000.000 - - - - 61,33% 95.056.000 99,46% 188.971.000 99,46% 188.971.000 3 Unit 188.971.000 20,00% 25,2% Bagian Umum Sekretariat Daerah Kota Padangsidim puan 1 20. 03. 07. 02. 25. Pemeliharaan Rutin/berkala perlengkapan Rumah Jabatan /Dinas Pemeliharaan Mebeleur Rumah Dinas 10 Unit 75.000.000 2 Unit 5.000.000 - - - - 41,00% 2.050.000 93,00% 4.650.000 93,00% 4.650.000 2 Unit 4.650.000 20,00% 6,2% Bagian Umum Sekretariat Daerah Kota Padangsidim puan 1 20. 03. 07. 02. 26. Pemeliharaan Rutin/berkala perlengkapan Gedung Kantor Pemeliharaan AC,Kulkas,TV,G enset,Mesin Cuci,Kipas Angin dll 250 Unit 548.977.000 40 Unit 88.977.000 - - 20% 18.195.000 58,71% 52.239.000 99,79% 88.789.000 99,79% 88.789.000 40 Unit 88.789.000 16,00% 16,2% Bagian Umum Sekretariat Daerah Kota Padangsidim puan 1 20. 03. 07. 02. 27. Pemeliharaan Rutin/berkala peralatan Rumah Jabatan /Dinas Pemeliharaan AC,Kulkas,TV 65 Unit 70.600.000 10 Unit 5.520.000 - - - - 59,46% 3.282.000 94,91% 5.239.000 94,91% 5.239.000 9 Unit 5.239.000,00 14% 7% Bagian Umum Sekretariat Daerah Kota Padangsidim puan 1 20. 03. 07. 02. 28. Pemeliharaan Rutin/berkala peralatan Gedung Kantor Pemeliharaan PC,Editing Video,Laptop,Pri nter,Mesin Tik,CCTV,Finger Print,Penghancu r Kertas 350 Unit 315.518.000 50 Unit 61.518.000 - - - - 59,51% 36.608.000 97,92% 60.240.000 97,92% 60.240.000 47 Unit 60.240.000 13,42% 11,6% Bagian Umum Sekretariat Daerah Kota Padangsidim puan 1 20. 03. 07. 02. 29. Pemeliharaan Rutin/berkala Mebeuler Terpeliharanya mebeleur Gedung Kantor Walikota,Gedun g Nasional dan Mess Pemko 300 Unit 272.000.000 40 Unit 42.000.000 - - 18,50% 7.775.000 36,28% 15.235.000 98% 41.160.000 98% 41.160.000 40 Unit 41.160.000 13,33% 15,1% Bagian Umum Sekretariat Daerah Kota Padangsidim puan 1 20. 03. 07. 02. 42. Rehabilisasi gedung Kantor Rehabilitasi Aula Kantor Walikota,Rehabil itasi Gedung Nasional,Rehabil itasi Mess Pemko 7 Kegiatan 1.045.000.000 - - 3 Unit 145.000.000 - - - 65,26% 94.614.000 99,42% 144.164.000 99,42% 144.164.000 3 Unit 144.164.000 43% 14% Bagian Umum Sekretariat Daerah Kota Padangsidim puan - - 3 Kualitas dan Disiplin Aparatur 1 20. 03. 07. 03. Program Peningkatan Disiplin Aparatur Peningkatan disiplin aparatur 51 Kegiatan( 170 Org) 2.926.256.000 11 Kegiatan 323.756.000 - - 71,47% 231.400.000 71,47% 231.400.000 71,47% 231.400.000 71,47% 231.400.000 10 Kegiatan 231.400.000 19,6% 7,9% Bagian Umum Sekretariat Daerah Kota Padangsidim puan 1 20. 03. 07. 03. 03. Pengadaan Pakaian Kerja Lapangan Seragam Protokol/ADC dan Petugas Kebersihan serta Petugas Keamanan 14 Kegiatan 384.956.000 2 Kegiatan 22.956.000 - - 97,03% 22.275.000 97,03% 22.275.000 97,03% 22.275.000 97,03% 22.275.000 2 Kegiatan 22.275.000 14% 5,8% Bagian Umum Sekretariat Daerah Kota Padangsidim puan 1 20. 03. 07. 03. 02. Pengadaan Pakaian Dinas Beserta Perlengkapannya Tersedianya Pakaian Dinas Harian dan Pakaian Linmas KDH/WKDH serta PNS Sekretariat 15 Kegiatan 1.225.000.000 7 Kegiatan 184.500.000 - - 98,77% 182.225.000 98,77% 182.225.000 98,77% 182.225.000 98,77% 182.225.000 7 Kegiatan 182.225.000 46.6% 14,9% Bagian Umum Sekretariat Daerah Kota Padangsidim puan 13 dari 67
  • 311.
    1 2 45 16 K Rp. K Rp. K Rp. K Rp. K Rp. K Rp. K Rp. K Rp. K Rp. K Rp. 11 12 13 14 = 7 + 13 15 = 14 / 6 * 100 %3 6 7 8 9 10 1 20. 03. 07. 03. 05. Pengadaan Pakaian Khusus hari-hari tertentu Pakaian Olah Raga,Pakaian Batik Daerah dan Pakaian Sipil Lengkap serta Pakaian Sipil Harian Pegawai dan Pimpinan 22 Kegiatan 1.316.300.000 2 Kegiatan 116.300.000 - - 23,13% 26.900.000 23,13% 26.900.000 23,13% 26.900.000 23,13% 26.900.000 1 Kegiatan 26.900.000 5% 2,0% Bagian Umum Sekretariat Daerah Kota Padangsidim puan 4 Peningkat an pengetah uan aparatur 1 20. 03. 07. 05. Program Peningkatan Kapasitas Sumber Daya Aparatur Kemampuan dan Penguasahan pegawai bag umum terhadap peraturan perundang- undangan dalam melaksanakan tugas. 100 Orang 700.000.000 20 Orang 120.000.000 - - 14,63% 17.550.000 61,02% 73.213.700 98,23% 118.600.700 98,23% 118.600.700 16 Orang 118.600.700 16,0% 16,9% Bagian Umum Sekretariat Daerah Kota Padangsidim puan 1 20. 03. 07. 05. 01. Pendidikan dan Pelatihan Formal Diklat dan Bintek Kepala Bagian,Kasubag ,Pengurus Barang,Bendaha ra,Penyimpan barang dan Panitia Pengadaan serta Staf Bagian Umum 100 Orang 700.000.000 20 Orang 120.000.000 - - 14,63% 17.550.000 61,02% 73.213.700 98,23% 118.600.700 98,23% 118.600.700 16 Orang 118.600.700 16,0% 16,9% Bagian Umum Sekretariat Daerah Kota Padangsidim puan 42.053.452.600 100% 10.395.078.000 91,92% 9.555.459.813 91,92% 9.555.459.813 23% 14 dari 67
  • 312.
    SASARAN PEMBANGUNAN TAHUNANKOTA : PADANGSIDIMPUAN Bag.Adm Pembangunan 16 K Rp. K Rp. K Rp. K Rp. K Rp. K Rp. K Rp. K Rp. K Rp. K Rp. 1.20. Urusan Wajib 3. Bidang Pemerintahan Umum 06. Program Peningkatan Pengembangan Sistem Pelaporan Capaian Kinerja dan Keuangan. 08. Kegiatan Penyusunan Laporan Hasil-Hasil Pembangunan 1.20. Urusan Wajib 3. Bidang Pemerintahan Umum 06. Program Peningkatan Pengembangan Sistem Pelaporan Capaian Kinerja dan Keuangan. 09. Kegiatan Administrasi Umum dan Penunjang Kegiatan Pembangunan 92.912.297 1 Tahun 92.912.297 1 Tahun 92,91 Bagian Administrasi Pembangunan - 1 Tahun 31.600.000 - 92.912.297 1 Tahun- 1 Tahun 100.000.000 - - -2 Lancarnya Kegiatan Administrasi Pembangunan Tersedianya Administrasi Umum dan Penunjang Kegiatan Pembangunan 1 Tahun 100.000.000 - 37.661.000 Buku Laporan Penyusunan Laporan Hasil- Hasil Pembangunan dan Dokumentasi 37.661.000 Buku Laporan Penyusunan Laporan Hasil- Hasil Pembangunan dan Dokumentasi 57,94 Bagian Administrasi Pembangunan - Buku Laporan Penyusunan Laporan Hasil- Hasil Pembangunan dan Dokumentasi 13.810.000 - 37.661.000 Buku Laporan Penyusunan Laporan Hasil- Hasil Pembangunan dan Dokumentasi Tingkat Capaian Kinerja dan Realisasi Anggaran RPJMD Kota s/d Tahun 2013 ( % ) SKPD Penanggungjawab 15 = 14/6 * 100 %9 10 11 1 Tersusunnya Laporan Hasil- Hasil Pembangunan dan Dokumentasi Terlaksananya Kegiatan Penyusunan Laporan Hasil-Hasil Pembangunan dan Dokumentasi Buku Laporan Penyusunan Laporan Hasil-Hasil Pembangunan dan Dokumentasi 65.000.000 - 6 7 8 - Buku Laporan Penyusunan Laporan Hasil- Hasil Pembanguna n dan Dokumentasi 42.492.000 - - - 12 13 14 = 7 + 13 1 2 3 4 5 Target Kinerja dan Anggaran RKPD Kota Tahun Berjalan (tahun n-1) yang Dievaluasi Realisasi Kinerja Pada Triwulan Realisasi Capaian Kinerja dan Anggaran RKPD Kota yang Dievaluasi FORMULIR VII. F.8 EVALUASI TERHADAP HASIL RKPD KOTA PADANGSIDIMPUAN TAHUN 2013 Triwulan IV No. Sasaran Kode Urusan/Bidang Urusan Pemerintahan Daerah dan Program/Kegiatan Indikator Kinerja Program (Outcome)/ Kegiatan (Output) Target RPJMD Kota pada Tahun 2017 (Akhir Periode RPJMD) Realisasi Capaian Kinerja RPJMD Kota s/d RKPD Kota Tahun Lalu (n-2) I II III IV Realisasi Kinerja dan Anggaran RPJMD Kota s/d Tahun 2013 (Akhir Tahun Pelaksanaan RKPD Tahun 2013) 15 dari 67
  • 313.
    1 2 34 5 16 1.20. Urusan Wajib 3. Bidang Pemerintahan Umum 23. Program Optimalisasi Pemanfaatan Teknologi Informasi 01. Kegiatan Penyusunan Sistem Informasi Terhadap Layanan Publik 1.20. Urusan Wajib 3. Bidang Pemerintahan Umum 24. Program Mengintensifkan Penanganan Pengaduan Masyarakat 04. Kegiatan Pemantauan Teknis Pelaksanaan dan Evaluasi Pemanfaatan Dana APBN dan APBD 44.448.297 Buku Laporan Realisasi Proyek Fisik 44.448.297 Buku Laporan Realisasi Proyek Fisik 29,63 Bagian Administrasi Pembangunan - Buku Laporan Realisasi Proyek Fisik 12.280.000 - 44.448.297 Buku Laporan Realisasi Proyek Fisik - Buku Laporan Realisasi Proyek Fisik 150.000.000 - - -4 Terlaksananya Pemantauan Teknis Pelaksanaan dan Evaluasi Pemanfaatan Dana APBN dan APBD Terpantau dan Terevaluasinya Pemanfaatan Dana APBN dan APBD dalam Bidang Pembangunan Buku Laporan Realisasi Proyek Fisik 150.000.000 - 210.127.501 1 Kegiatan 76,41 Bagian Administrasi Pembangunan - 1 Kegiatan 104.118.319 - 210.127.501 1 Kegiatan 15 = 14/6 * 100 % 3 Terlaksananya Proses Pengadaan Barang/Jasa Pemerintah secara Efektif, Transparan dan Akuntabel Termanfaatkannya Sistem Teknologi dan Informasi dalam Pelaksanaan Kegiatan Pembangunan 1 Kegiatan dalam 1 Tahun 275.000.000 - 6 7 8 9 10 11 - 1 Kegiatan 267.978.000 - - - 12 13 14 = 7 + 13 210.127.501 1 Kegiatan 16 dari 67
  • 314.
    1 2 34 5 16 1.20. Urusan Wajib 3. Bidang Pemerintahan Umum 25. Program Peningkatan Kerjasama Antar Pemerintah Daerah 05. Kegiatan Sinkronisasi dan Koordinasi Pembangunan Daerah 4. Memberdayakan Seluruh Perangkat untuk Mencapai Kinerja. Rata-Rata Capaian Kinerja ( % ) Predikat Kinerja Faktor Pendorong Keberhasilan Kinerja : 1. Tersedianya Anggaran Pelaksanaan Kinerja. 2. Adanya Sumber Daya Aparatur yang Menguasai Tupoksi. 3. Tersedianya Sarana dan Prasarana Penunjang Pelaksanaan Tugas. Faktor Penghambat Pencapaian Kinerja : 1. Terbatasnya Anggaran Pelaksanaan Kinerja. 2. Kurangnya Sumber Daya Aparatur yang Menguasai Tupoksi. 3. Keterbatasan Sarana dan Prasarana Penunjang Pelaksanaan Tugas. Tindaklanjut yang diperlukan dalam triwulan berikutnya : 1. Mempersiapkan Pelaksanaan Kinerja secara Administrasi dan Keuangan. Tindaklanjut yang diperlukan dalam RKPD berikutnya : 1. Mempersiapkan Anggaran Pelaksanaan Kinerja sesuai Kebutuhan. 2. Meningkatkan Sumber Daya Aparatur yang Menguasai dan Memahami Tupoksi. 3. Mempersiapkan Sarana dan Prasarana Penunjang Pelaksanaan Kinerja 40.035.000 3 kali Rapat Sinkronisasi dan Koordinasi Pembangunan 40.035.000 3 kali Rapat Sinkronisasi dan Koordinasi Pembangunan 47,10 Bagian Administrasi Pembangunan - 3 kali Rapat Sinkronisasi dan Koordinasi Pembangunan 21.461.000 - 40.035.000 3 kali Rapat Sinkronisasi dan Koordinasi Pembangunan - 3 kali Rapat Sinkronisasi dan Koordinasi Pembanguna n 44.331.000 - - - 12 13 14 = 7 + 13 15 = 14/6 * 100 % 5 Tercapainya Sinkronisasi dan Koordinasi Pembangunan Daerah Tersusun dan Sinkronnya Kegiatan Pembangunan 3 kali Rapat Sinkronisasi dan Koordinasi Pembangunan 85.000.000 - 6 7 8 9 10 11 17 dari 67
  • 315.
    Sasaran Pembangunan Tahunan: Bagian Humas dan Arsip K (%) Rp. (juta) K (%) Rp. (juta) K (%) Rp. (juta) K (%) Rp. (juta) K (%) Rp. (juta) K (%) Rp. (juta) K (%) Rp. (juta) K (%) Rp. (juta) K (%) Rp. (juta) K (%) Rp. (juta) Urusan Wajib 1 10 Program peningkatan pelayanan kedinasan kepala daerah/ wakil kepala daerah 1 dialog/audensi dengan tokoh- tokoh masyarakat,pimpinan, anggota organisasi sosial dan masyarakat Terlaksananya kegiatan dialog/audensi walikota/ wakil walikota 100% 80 3 rapat koordinasi dengan unsur muspida Terlaksananya rapat koordinasi dengan unsur muspida 100% 80 4 Rapat/koordinasi dengan pemerintah pusat dan pemerintah lainnya (sppd) Terlaksananya rapat/koordinasi dengan pemerintah pusat dan pemerintah lainnya 100% 2.650 675 41% 281100 41% 326607750 63% 417137900 63% 417137900 63% 417137900 15% 2 11 Program penyelamatan dan pelestarian dokumen/ arsip daerah 2 Pendataan dan penataan dokumen/arsip daerah Tersimpannya dokumen/arsip daerah secara baik dan rapi 100% 140 3 Penduplikatan dokumen/arsip daerah dalam bentuk informatika Tersedia duplikat dokumen/arsip daerah dengan baik dan rapi 100% 175 1 Pengadaan sarana pengolahan dan penyimpanan arsip Tersimpannya dokumen/arsip daerah secara baik dan rapi 100% 160 12 13 14=7+13 15=14/6*100% Bidang Urusan Otda, PUM, Keuangan Daerah, Perangkat Daerah, Kepegawaian 6 7 8 9 10 11 I II Target Kinerja dan Anggaran RKPD Kota Tahun 2013 Berjalan (Tahun n-1) yang Dievaluasi Realisasi Kinerja Pada Triwulan 1 2 3 4 5 FORMULIR VII.F8 Evaluasi Terhadap Hasil RKPD Kota Padangsidimpuan Tahun 2013 Triwulan IV Realisasi Capaian Kinerja dan Anggaran RKPD Kota yang dievaluasi Realisasi Kinerja dan Anggaran RPJMD Kota s/d Tahun 2013 (Akhir Tahun Pelaksanaan RKPD Tahun 2013) Tingkat Capaian Kinerja dan Realisasi Anggaran RPJMD Kota s/d Tahun 2013 (%) No Sasaran Kode Urusan/Bidang Urusan Pemerintahan Daerah dan Program/Kegiatan Indikator Kinerja Program (Outcome)/Kegiatan (Output) Target RPJMD Kota pada Tahun 2013 s/d 2017 (Akhir Periode RPJMD) III IV Realisasi Capaian Kinerja RPJMD Kota sampai dengan RKPD Kota Tahun 2010 (n-2) 18 dari 67
  • 316.
    3 1 ProgramPelayanan Administrasi Perkantoran 11 Penyediaan Barang Cetakan dan Penggandaan Tersedianya Publikasi dan Dokumentasi Kegiatan dan penjilitan pidato Pejabat Daerah 100% 520 84.846 21% 66811 51% 43591 63% 53720 83% 70068 83% 70068 83% 70068 13% 4 13 Program peningkatan kwalitas pelayanan informasi 4 Belanja Surat Kabar Harian, Mingguan dan Majalah Terpantaunya semua berita yang ada di pusat dan daerah 100% 810.150 162.030 33% 53856 74% 121176 99% 161568 99% 161568 99% 161568 19% 5 Pengumpulan Kliping koran pemda baik berita yang baik dan menyudutkan Terpantaunya berita baik dan buruk dalam daerah 100% 550 110 34% 37875 50% 56050 99% 109575 99% 109575 99% 109575 19% 1 Melaksanakan peliputan setiap kegiatan pejabat daerah oleh rekan pers Terpublikasinya kegiatan pejabat daerah kepada masyarakat melalui mas media 100% 60 3 Mengikuti sosialisasi/ penyuluhan kearsipan dilingkungan instansi pemerintah/ swasta Terciptanya arsip yang baik di setiap instansi pemerintah/swasta 100% 300 5 14 Program perbaikan sistim administrasi kearsipan 1 Pembangunan data base informasi kearsipan Terciptanya data base administrasi arsip kota baik dan mudah diakses 100% 80 2 Pengumpulan data Tekumpulnya data yang akurat 100% 80 6 18 Program kerjasama informasi dengan mas media 2 Penyebarluasan informasi penyelenggaraan pemerintah daerah ( iklan ) terciptanya informasi penyelenggaraan pemerintahan kepada daerah lain 100% 300 45 6% 5 15% 11950 31% 14180 59% 26980 59% 26980 59% 26980 8% 7 2 Program peningkatan sarana dan prasarana aparatur 11 Pengadaan camera nikon 100% 50 12 Pengadaan handycam 100% 50 8 5 Program Peningkatan kapasitas Sumber Daya Aparatur 19 dari 67
  • 317.
    1 Pendidikan,Pelatihan Formal Kehumasan,Kearsipan dan Protokoler Meningkatnya KapasitasSumber Daya Aparatur 100% 400 107500 0% 0% 38% 41118 46% 49667 95% 102644 95% 102644 95% 102644 25% 3 Bimtek dan sosialisasi tentang kehumasan,protokoler dan arsip 100% 280 Rata-rata capaian kinerja (%) Predikat kinerja Faktor pendorong keberhasilan kinerja Faktor penghambat pencapaian kinerja Tindak lanjut yang diperlukan dalam triwulan berikutnya Tindak lanjut yang diperlukan dalam RKPD berikutnya 20 dari 67
  • 318.
    1 2 45 K Rp. K Rp. K Rp. K Rp. K Rp. K Rp. K Rp. K Rp. K Rp. K Rp. 1 Pemba- 1 20 1 20 4 01 Program Pelayanan Tersedianya Pelayanan Administrasi100% 11.220.203.916 100% 6.536.121.004 89,18 5.828.620.445 89,18 5.828.620.445 89,18 5.828.620.445 89,18 51,948 Sekr. ngunan Administrasi Perkantoran Perkantoran DPRD Tahuna n 1 20 1 20 4 01 01 - Penyediaan Jasa Surat Menyurat Tersedianya Jasa Surat Menyurat 1.290.241.911 796.700.000 73,49 585.502.420 73,49 585.502.420 73,49 585.502.420 Kota Kota 1 20 1 20 4 01 02 -Penyedian Jasa Komunikasi, Tersedianya Jasa Komunikasi, 388.345.857 222.038.004 68,74 152.619.804 68,74 152.619.804 68,74 152.619.804 Psp. Psp Sumber Daya Air dan Listrik Sumber Daya Air dan Listrik 1 20 1 20 4 01 08 -Penyediaan Jasa Kebersihan Kantor Tersedianya Jasa Kebersihan Kantor 265.324.248 186.700.000 99,54 185.846.500 99,54 185.846.500 99,54 185.846.500 1 20 1 20 4 01 10 -Penyediaan Alat Tulis Kantor Tersedianya Alat Tulis Kantor 341.056.219 215.000.000 100,00 215.000.000 100,00 215.000.000 100,00 215.000.000 1 20 1 20 4 01 11 -Penyediaan Barang Cetakan & Penggandaan Tersedianya Barang Cetakan&Penggandaan 314.821.125 220.000.000 100,00 220.000.000 100,00 220.000.000 100,00 220.000.000 1 20 1 20 04 01 13 -Penyediaan Peralatan & Perlengkapan -Tersedianya Peralatan&Perlengkapan 157.410.563 90.000.000 87,22 78.500.000 87,22 78.500.000 87,22 78.500.000 1 20 1 20 4 01 12 -Penyediaan Komponen Instalasi Listrik/ Tersedianya Komponen Instalasi Listrik/ 148.665.531 85.000.000 93,75 79.687.500 93,75 79.687.500 93,75 79.687.500 Penerangan Bagunan Kantor Penerangan Bagunan Kantor 1 20 1 20 4 01 14 -Penyediaan Peralatan Rumah Tangga Tersedianya Peralatan Rumah Tangga 61.215.219 35.000.000 57,14 20.000.000 57,14 20.000.000 57,14 20.000.000 1 20 1 20 4 01 17 -Penyediaan Makan dan Minum Tersedianya Makan dan Minum 292.084.044 167.000.000 64,74 108.116.000 64,74 108.116.000 64,74 108.116.000 1 20 1 20 4 01 18 -Rapat-rapat Koordinasi dan Tersedianya Rapat-rapat Koordinasi dan 6.586.320.286 3.732.683.000 99,90 3.728.977.789 99,90 3.728.977.789 99,90 3.728.977.789 Konsultasi ke Luar Daerah Konsultasi ke Luar Daerah 1 20 1 20 04 01 19 - Penyediaan Jasa Keamanan Kantor - Tersedianya Penyediaan Jasa Keamanan 62.964.225 36.000.000 24,31 8.750.000 24,31 8.750.000 24,31 8.750.000 1 20 1 20 4 01 19 -Penyediaan Jasa Jaminan Tersedianya Jasa Jaminan 750.000.000 59,42 445.620.432 59,42 445.620.432 59,42 445.620.432 Pemeliharaan Kesehatan DPRD Pemeliharaan Kesehatan DPRD 1.311.754.688 2 1 20 1 20 4 02 Program Peningkatan Sarana Tersedianya Sarana dan Prasarana 100% 5.447.887.222 100% 4.427.619.200 84,52 3.742.405.250 84,52 3.742.405.250 84,52 3.742.405.250 84,52 68,695 dan Prasarana Aparatur Aparatur 1 20 1 20 4 02 05 -Pengadaan Kenderaan Dinas/ Tersedianya Pengadaan Kenderaan Dinas/ 2.098.807.500 2.010.000.000 93,66 1.882.561.240 93,66 1.882.561.240 93,66 1.882.561.240 operasional operasional 1 20 1 20 4 02 09 -Pengadaan Peralatan Gedung Kantor Tersedianya Pengadaan Peralatan Gedung 304.122.804 328.655.200 58,10 190.944.750 58,10 190.944.750 58,10 190.944.750 1 20 1 20 4 02 22 -Pemeliharaan Rutin/ Berkala Gedung Tersedianya Pemeliharaan Rutin/ Berkala 131.175.469 75.000.000 100,00 75.000.000 100,00 75.000.000 100,00 75.000.000 Kantor Gedung Kantor 1 20 1 20 4 02 24 -Pemeliharaan Rutin/ Berkala Tersedianya Pemeliharaan Rutin/ Berkala 2.782.605.980 1.938.964.000 82,20 1.593.899.260 82,20 1.593.899.260 82,20 1.593.899.260 Kenderaan Dinas/ Operasional Kenderaan Dinas/ Operasional 1 20 1 20 4 02 28 -Pemeliharaan Rutin/ Berkala Tersedianya Pemeliharaan Rutin/ Berkala 131.175.469 75.000.000 0 0 0 0 0,00 0 Peralatan Gedung Kantor Peralatan Gedung Kantor 3 1 20 1 20 4 03 Program Peningkatan Disiplin Tersedianya Peningkatan Disiplin 100% 302.709.257 100% 227.037.500 92,16 209.227.500 92,16 209.227.500 92,16 209.227.500 92,16 69,118 Aparatur Aparatur 1 20 1 20 4 03 05 -Pengadaan Pakaian Khusus Hari- Hari Tersedianya Pengadaan Pakaian Khusus 263.225.441 227.037.500 92,16 209.227.500 92,16 209.227.500 92,16 209.227.500 tertentu Hari-hari tertentu 4 1 20 1 20 4 05 Program Peningkatan Kapasitas Tersedianya Peningkatan Kapasitas 100% 608.654.175 100% 590.000.000 96,04 566.632.500 96,04 566.632.500 96,04 566.632.500 96,04 93,096 Sumber Daya Aparatur Sumber Daya Aparatur 1 20 1 20 4 05 03 -Bimbingan Teknis Implementasi Tersedianya Bimbingan Teknis 608.654.175 590.000.000 96,04 566.632.500 96,04 566.632.500 96,04 566.632.500 Peraturan Perundang-Undangan Implementasi Peraturan Perundang2 an Tingkat Capaian Kinerja dan Realisasi Anggaran RPJMD Kota s.d Tahun 7 8 9 10 11 12 13 14 = 7 + 13 15 = 14/6 * 100% SKPD Penang gung Jawab I II III IV 3 6 EVALUASI TERHADAP HASIL RKPD KOTA PADANGSIDIMPUAN TAHUN 2013 Sekretariat Dewan No. Sasaran Kode Bidang Urusan Pemerintahan dan Program Prioritas Pembangunan Indikator Kinerja Program (Outcome)/Kegiatan (Output) Target RPJMD Kota pada Tahun 2017 (Akhir Periode RPJMD) Sasaran Pembangunan Tahunan Kota Padangsidimpuan Realisasi Capaian Kinerja RPJMD Kota sampai dengan RKPD Kota Tahun Lalu Target Kinerja dan Anggaran RKPD Kota Tahun Berjalan (Tahun n-1) yang Dievaluasi Tahun 2013 Realisasi Kinerja Pada Triwulan Realisasi Capaian Kinerja dan Anggaran RKPD Kota yang Dievaluasi Realisasi Kinerja DAN Anggaran RPJMD Kota s.d Tahun 2013 (Akhir Tahun Pelaksanaan RKPD Tahun 2014) 21 dari 67
  • 319.
    5 1 201 20 4 06 Program Peningkatan Pengembangan Tersedianya Peningkatan Pengem- 100% 664.709.825 100% 380.050.000 82,11 312.046.100 82,11 312.046.100 82,11 46,945 Sistem Pelaporan Capaian bangan Sistem Pelaporan Capaian Kinerja dan Keuangan Kinerja dan Keuangan 1 20 1 20 4 06 01 -Penyusunan Laporan Capaian Kinerja Tersedianya Penyusunan Laporan Capaian 55.093.697 31.500.000 50,80 16.001.500 50,80 16.001.500 dan Ikhtisar Realisasi Kinerja SKPD Kinerja'dan Ikhtisar Realisasi Kinerja SKPD1 20 1 20 4 06 06 -Penyusunan Laporan, Kinerja dan Tersedianya Penyusunan Laporan, Kinerja 609.616.128 348.550.000 84,94 296.044.600 84,94 296.044.600 Anggaran dan Anggaran 6 1 20 1 20 4 15 Program Peningkatan Kapasitas Tersedianya Peningkatan Kapasitas 100% 8.109.048.853 100% 3.924.835.000 79,27 3.111.365.672 79,27 3.111.365.672 79,27 38,369 Lembaga Perwakilan Rakyat Daerah Lembaga Perwakilan Rakyat Daerah1 20 1 20 4 15 01 -Pembahasan Rancangan Peraturan Tersedianya Pembahasan Rancangan 266.373.652 152.300.000 - 0 0,00 0 Daerah Peraturan Daerah 1 20 1 20 4 15 02 - Hearing/Dialog dan Koordinasi Tersedianya Hearing/Dialog dan Koordinasi 262.350.938 150.000.000 8,67 13.000.000 8,67 13.000.000 dengan Pejabat Pemerintah dan dengan Pejabat Pemerintah dan Tokoh Masyarakat/Tokoh Agama Tokoh Masyarakat/Tokoh Agama 1 20 1 20 4 15 03 - Rapat-Rapat Alat Tersedianya Rapat-Rapat Alat 722.339.581 413.000.000 80,49 332.405.500 80,49 332.405.500 Kelengkapan Dewan Kelengkapan Dewan 1 20 1 20 4 15 04 -Rapat-Rapat Paripurna Tersedianya Rapat-Rapat Paripurna 309.136.855 253.125.000 54,42 137.757.000 54,42 137.757.000 - Pelantikan anggota/pimpinan DPRD - Tersedianya Pelantikan anggota DPRD 0 1 20 1 20 4 15 05 -Kegiatan Reses Tersedianya Kegiatan Reses 2.119.332.088 32.020.000 - 0 0,00 0 1 20 1 20 4 15 06 -Kunjungan Kerja Pimpinan dan Tersedianya Kunjungan Kerja Pimpinan dan 2.134.294.837 1.220.290.000 95,77 1.168.653.779 95,77 1.168.653.779 Anggota DPRD Dalam Daerah Anggota DPRD Dalam Daerah 1 20 1 20 4 15 07 -Peningkatan Kapasitas Pimpinan Tersedianya Peningkatan Kapasitas 1.814.768.885 1.429.400.000 98,84 1.412.754.393 98,84 1.412.754.393 dan Anggota DPRD Pimpinan dan Anggota DPRD 1 20 1 20 4 15 09 -Rapat-Rapat Khusus Tersedianya Rapat-Rapat Khusus 480.452.017 274.700.000 17,03 46.795.000 17,03 46.795.000 7 1 20 1 20 4 17 Program Peningkatan dan Pengembangan Tersedianya Peningkatan & Pengem- 100% 748.426.009 100% 372.100.000 59,65 221.942.000 59,65 221.942.000 59,65 29,655 Pengelolaan Keuangan Daerah bangan Pengelolaan Keuangan Daerah1 20 1 20 4 17 32 -Penyusunan Rancangan Peraturan Tersedianya Penyusunan Rancangan 108.700.738 62.150.000 70,82 44.013.500 70,82 44.013.500 Daerah Tentang APBD Peraturan Daerah Tentang APBD 1 20 1 20 4 17 33 -Penyusunan Rancangan Peraturan Tersedianya Penyusunan Rancangan 131.437.820 75.150.000 69,04 51.882.000 69,04 51.882.000 Daerah Tentang Perubahan APBD Peraturan Daerah Ttg. Perubahan APBD1 20 1 20 4 17 34 -Penyusunan Rancangan Peraturan Daerah Tersedianya Rancangan Peraturan Daerah 242.849.518 138.850.000 32,28 44.823.500 32,28 44.823.500 Ttg. Pertanggungjawaban Pelaksanaan APBD Tentang Pertanggungjawaban Pelaksanaan 1 20 1 20 4 17 35 -Penyusunan KUA dan PPAS Tersedianya Penyusunan KUA dan PPAS 95.950.000 84,65 81.223.000 84,65 81.223.000 8 1 20 1 20 4 32 Program Perekonomian dan Kesejahteraan Tersedianya Perekonomian dan Kesejahteraan 100% 151.983.177 100% 75.562.500 14,16 10.700.000 14,16 10.700.000 14,16 7,040 Kesejahteraan Rakyat Kesejahteraan Rakyat 1 20 1 20 4 32 01 -Pelaksanaan HUT RI Tersedianya Pelaksanaan HUT RI 65.172.345 37.262.500 14,36 5.350.000 14,36 5.350.000 1 20 1 20 4 32 09 -Pelaksanaan HUT PEMKO Tersedianya Pelaksanaan HUT PEMKO 49.496.877 28.300.000 18,90 5.350.000 18,90 5.350.000 1 20 1 20 4 32 16 -Pelaksanaan Safari Ramadhan Tersedianya Pelaksanaan Safari Ramadhan 17.490.063 10.000.000 - 0 0,00 0 9 1 20 1 20 4 46 Program Peningkatan Sistem Pengawasan Tersedianya Peningkatan Sistem Pengawasan 100% 329.862.579 100% 164.000.000 0,00 0 - 0,00 0,00 0,00 0,00 0,000 Internal dan Pengendalian Kebijakan Internal dan Pengendalian Kebijakan1 20 1 20 4 46 01 - Penanganan Kasus Pengaduan Tersedianya Penanganan Kasus Pengaduan 286.837.025 164.000.000 0,00 0 - 0,00 0,00 0,00 di Lingkungan DPRD di Lingkungan DPRD Rata-rata capaian kinerja (%) Predikat Kinerja Faktor pendorong keberhasilan kinerja : SDM, Dana, Sarana dan Prasarana Perkantoran Faktor penghambat pencapaian kinerja : Tingkat Pemahaman terhadap aturan dan perundang-undangan masih lemah Tindaklanjut yang diperlukan dalam triwulan berikutnya : Program Peningkatan Kapasitas Sumber Daya Manusia Tindaklanjut yang diperlukan dalam RKPD berikutnya : Program Peningkatan SDM 22 dari 67
  • 320.
    Sasaran Pembangunan TahunanKota : Padangsidimpuan PPKAD K Rp. K Rp. K Rp. K Rp. K Rp. K Rp. K Rp. K Rp. K Rp. K Rp. URUSAN WAJIB BIDANG PEMERINTAH UMUM Meningkatka n Manajemen Aparatur dalam pengelolaan keuangan secara transparan dan tertib Program Peningkatan Pengembangan Sistem Pelaporan Capaian Kinerja dan Keuangan Penyusunan Laporan Capaian Kinerja dan Ikhtisar Realisasi Kinerja SKPD Tersedia nya dokumen LAKIP 5 dokume n 22.000.000 1 dokum en 4.300.000 1 dokume n 4.300.000 1 doku men 4.300.000 4 dokume n 20% Penyusunan Pelaporan Keuangan Semesteran Terpenuh inya Laporan Keuanga n Semester an 5 dokume n 148.000.000 1 dokum en 29.675.000 1 dokume n 29.675.000 1 doku men 29.675.000 4 dokume n 20% Penyusunan Pelaporan Keuangan Akhir Tahun Terpenuh inya Laporan Keuanga n Akhir Tahun tepat waktu 5 dokume n 1.244.000.000 1 dokum en 94.514.000 1 dokume n 94.514.000 1 doku men 94.514.000 4 dokume n 8% Penyusunan Laporan, Rencana Kinerja dan Anggaran Tersedia nya dokumen RENJA 5 dokume n 44.000.000 1 dokum en - 4.300.000 1 dokume n 4.300.000 1 doku men 4.300.000 4 dokume n 10% 6 7 8 9 1 2 3 4 5 10 11 SKPD Penang gung Jawab I II III IV Tingkat Kinerja dan Realisasi Anggaran RPJMD Kabupaten/Kota s/d Tahun 2013 % 12 13 14 15 16 Evaluasi Terhadap Hasil RKPD Kota Padangsidimpuan Tahun 2013 No Sasaran Kode Urusan/Bidang Urusan Pemerintah Daerah dan Program/Kegiatan Indikato r Kinerja Progra m (Outco me)/ Kegiata n Target RPJMD Kabupaten/Kota pada Tahun 2017 (Akhir Periode RJMD) Realisasi Capaian Kinerja RPJMD Kabupaten/Kota sampai dengan RKPD Kabupaten/Kota Tahun Lalu (n-2) Target Kinerja dan Anggaran RKPD Kabupaten/Kota Tahun Berjalan (Tahun n-1) yang dievaluasi Realisasi Kinerja Pada Triwulan Realisasi Capaian Kinerja danAnggaran RKPD Kabupaten/Kota yang dievaluasi Realisasi Kinerja dan Anggaran RPJMD Kabupaten/Kota s/d Tahun 2013 (Akhir Tahun Pelaksanaan RKPD Tahun 2013) 23 dari 67
  • 321.
    Penyusunan Laporan Barang Pengguna Semesteran Terpenuh inya Laporan Barang Penggun a Semester an 5 dokume n 98.000.0001 dokum en 6.389.300 1 dokume n 6.389.300 1 doku men 6.389.300 4 dokume n 7% Penyusunan Laporan Barang Pengguna Tahunan Terpenuh inya Barang Penggun a Tahun tepat waktu 5 dokume n 1.277.000.000 1 dokum en 27.684.300 1 dokume n 27.684.300 1 doku men 27.684.300 4 dokume n 2% Penyusunan Renstra Tersedia nya dokumen RENST RA 1 dokume n 3.550.000 1 dokum en 3.550.000 1 dokume n 3.550.000 1 doku men 3.550.000 1 dokume n 100% Program Peningkatan dan Pengembangan Pengelolaan Keuangan Daerah Penyusunan Standar Satuan Harga Dipedom aninya buku standar satuan harga dalam penyusun an APBD 5 buku 841.000.000 1 buku 123.660.000 1 buku 123.660.000 1 buku 123.660.000 4 buku 15% Penyusunan sistem dan prosedur pengelolaan keuangan daerah Dipedom aninya SOP pengelol aan keuangan daerah 1 peratura n 150.000.000 1 peratura n 0% Penyusunan Rancangan Peraturan Daerah Tentang APBD Terimple mentasik annya APBD 5 perda 198.000.000 4 per da 34.516.900 4 perda 34.516.900 4 perda 34.516.900 5 perda 17% Penyusunan Rancangan Peraturan KDH Tentang Penjabaran APBD Terimple mentasik annya Peraturan KDH tentang penjabar an APBD 5 peratura n KDH 770.000.000 1 peratura n KDH 146.653.500 1 peratu ran KDH 146.653.500 4 peratura n KDH 19% 24 dari 67
  • 322.
    Penyusunan Rancangan Peraturan DaerahTentang Perubahan APBD Terimple mentasik annya perubaha n APBD 5 perda 195.000.000 1 perda 31.529.700 1 perda 31.529.700 1 perda 31.529.700 4 perda 16% Penyusunan Rancangan Peraturan KDH Tentang Penjabaran Perubahan APBD Terimple mentasik annya Peraturan KDH tentang penjabar an perubaha n APBD 5 peratura n KDH 719.000.000 1 peratur an KDH 135.573.900 1 peratura n KDH 135.573.900 1 peratu ran KDH 135.573.900 4 peratura n KDH 19% Penyusunan Rancangan Peraturan Daerah Tentang Pertanggungjawaban Pelaksanaan APBD Tersedia nya Perda tentang pertangg ungjawa ban tentang pelaksan aan APBD 5 perda 728.000.000 1 perda 135.175.000 1 perda 135.175.000 1 perda 135.175.000 4 perda 19% Penyusunan Rancangan Peraturan KDH Tentang Penjabaran Pertanggungjawaban Pelaksanaan APBD Tersedia nya peraturan KDH tentang pertangg ungjawa ban tentang pelaksan aan penjabar an APBD 5 peratura n KDH 162.000.000 1 peratur an KDH 30.250.000 1 peratura n KDH 30.250.000 1 peratu ran KDH 30.250.000 4 peratura n KDH 19% Sosialisasi Paket Regulasi Tentang Pengelolaan Keuangan Daerah Meningk atnya SDM bendahar a 3 keg 511.000.000 - - - 5 keg 0% Bimbingan teknis implementasi paket regulasi tentang pengelolaan keuangan daerah Meningk atnya SDM PNS menggun akan aplikasi SIMDA 1 keg 221.000.000 2 keg 0% Intensifikasi dan Ekstensifikasi Sumber- Sumber Pendapatan Daerah Meningk atnya PAD pemko PSP 100% 1.242.000.000 279.591.900 1doku men 57.529.400 1doku men 57.529.400 4 dokume n 5% 25 dari 67
  • 323.
    Penelitian dan pengesahan RKA/DPA Tersedia nya dokumen RKA/ DPA seluruh SKPD 5 dokume n 316.000.000 1 dokum en 57.467.800 1 dokume n 57.467.800 1 doku men 57.467.800 4 dokume n 18% Penelitian dan pengesahan perubahan RKA/DPA Tersedia nya dokumen perubaha n RKA / DPA seluruh SKPD 5 dokume n 316.000.000 1 dokum en 57.529.400 1 dokume n 57.529.400 1 doku men 57.529.400 4 dokume n 18% Penyusunan KUA dan PPAS Tersedia nya dokumen KUA dan PPAS 5 dokume n 569.000.000 - 1 lap ora n 109.338.250 1 laporan 109.338.250 1 lapora n 109.338.250 4 laporan 19% Perubahan KUA dan PPAS Tersedia nya dokumen perubaha n KUA dan PPAS 5 dokume n 544.000.000 1 dokum en 104.927.450 1 dokume n 104.927.450 1 doku men 104.927.450 4 dokume n 19% Monitoring Asset Barang Daerah Tersedia nya Laporan Monitori ng Asset Barang Daerah 5 laporan 302.000.000 1 laporan 65.011.200 1 laporan 65.011.200 1 lapora n 65.011.200 4 laporan 22% Peningkatan Status Kepemilikan Hak Atas Asset Daerah Meningk atnya status kepemili kan hak atas asset daerah 5 keg 3.662.000.000 1 keg 242.360.000 1 keg 242.360.000 1 keg 242.360.000 4 keg 7% Penghapusan Barang Milik Daerah teroptim alkannya barang milik daerah 5 dokume n 637.000.000 1 dokum en 12.143.300 1 dokume n 12.143.300 1 doku men 12.143.300 4 dokume n 2% Pendampingan Persiapan Pengalihan PBB Pedesaan dan Perkotaan Terlaksa nanya pengalih an PBB pedesaan dan perkotaa n 1 keg 1.618.000.000 1 keg 1.179.615.000 1 keg 1.179.615.000 1 keg 1.179.615.000 1 keg 73% 26 dari 67
  • 324.
    Penyusunan Rancangan Peraturan DaerahTentang APBD Tahun Anggaran 2013 Terimple mentasik annya APBD TA. 2013 1 perda 30.000.000 1 perda 30.122.400 1 perda 30.122.400 1 perda 30.122.400 1 perda 100% Penyusunan Rancangan Peraturan KDH Tentang Penjabaran APBD Tahun Anggaran 2013 Terimple mentasik annya Peraturan KDH tentang penjabar an APBD TA. 2013 1 peratura n KDH 139.000.000 1 peratur an KDH 139.072.100 1 peratura n KDH 139.072.100 1 peratu ran KDH 139.072.100 1 peratura n KDH 100% Penyusunan KUA dan PPAS Tahun Anggaran 2013 Tersedia nya dokumen KUA dan PPAS TA. 2013 1 dokume n 113.000.000 1 dokum en 112.877.850 1 dokume n 112.877.850 1 doku men 112.877.850 1 dokume n 100% Peningkatan manajemen asset / barang daerah Meningk atnya SDM PNS menggun akan aplikasi SIMDA BMD 5 keg 1.687.000.000 1keg 170520000 1keg 170520000 1keg 170520000 4 keg 10% Revaluasi / appraisal asset / barang daerah Tersedia nya data asset / barang daerah yang mutahir 1 dokume n 150.000.000 0% Optimalisasi Pendapatan Asli Daearah Meningk atnya PAD pemko PSP 25% 252.000.000 1 dok um en 53.000.000 1 dokume n 53.000.000 1 doku men 53.000.000 4 dokume n 21% Pemutakhiran Data Base PBB Meningk atnya PAD pemko PSPdari sektor PBB 4 keg 4.294.000.000 0% 27 dari 67
  • 325.
    Sensus Barang milik daerah Tersedia nyadata barang yang benar benar dan dapat diapertan gungjaw abkan serta akurat 1 dok 121.000.000 0% Penyusunan kebijakan akuntansi dan kapitalisasi sesuai dengan PP 71 tahun 2010 impleme ntasi kebijaka n akuntansi dan kapitalisa si sesuai dengan PP 71 tahun 2010 1 dok 92.000.000 0% Update simda sesuai PP 71 tahun 2010 Meningk anya SDM PNS dalam tentang pengelol aan keuangan daerah 1 dok 80.000.000 0% Program Pembinaan dan Fasilitasi Pengelolaan Keuangan Kabupaten/Kota Evaluasi Rancangan Peraturan KDH Tentang Penjabaran APBD Kabupaten/Kota Terimple mentasik annya Laporan Evaluasi Ranperd a dan KDH tentang APBD dari Propinsi 5 dokume n 365.000.000 - - - 5 dokume n 0% 28 dari 67
  • 326.
    Evaluasi rancangan peraturan Daerahtentang pertanggungjawaban pelaksanaan APBD Terimple mentasik annya Laporan Evaluasi Ranperd a pertangg ungjawa ban pelaksan aan APBD dari Propinsi 5 dokume n 363.000.000 1 dokum en 47.730.000 1 dokume n 47.730.000 1 doku men 47.730.000 4 dokume n 13% Evaluasi rancangan Perda dan KDH tentang perubahan APBD Terimple mentasik annya Laporan Evaluasi Ranperd a dan KDH tentang perubaha n APBD dari Propinsi 5 dokume n 365.000.000 1 dokum en 61.920.000 1 dokume n 61.920.000 1 doku men 61.920.000 4 dokume n 17% Evaluasi rancangan Perda dan KDH tentang APBD Tahun Anggaran 2013 Terimple mentasik annya Laporan Evaluasi Ranperd a dan KDH tentang APBD TA. 2013 dari Propinsi 1 dokume n 64.400.000 1 dokum en 64.400.000 1 dokume n 64.400.000 1 doku men 64.400.000 1 dokume n 100% Evaluasi rancangan Perda dan KDH tentang APBD Tahun 2014 Terimple mentasik annya Laporan Evaluasi Ranperd a dan KDH tentang APBD TA. 2014 dari Propinsi 1 dokume n 70.000.000 0% 29 dari 67
  • 327.
    Meningkatny a Sumber Daya aparatur dalam pengelolaan keuangan Program Peningkatan DisiplinAparatur Pengadaan Pakaian Dinas Beserta Perlengkapannya Meningk atnya disiplin aparatur 4 keg 273.000.000 1 keg 38.270.000 1 keg 38.270.000 1 keg 38.270.000 3 keg 14% Pengadaan pakaian khusus hari- hari tertentu Meningk atnya disiplin aparatur 3 keg 355.000.000 1 keg 77.220.000 1 keg 77.220.000 1 keg 77.220.000 3 keg 22% Program Peningkatan Kapasitas Sumber Daya Aparatur Bimbingan Teknis Implementasi Peraturan Perundang-Undangan Meningk atnya kapasitas SDM 5 tahun 1.292.000.000 1 tah un 220.532.200 1 tahun 220.532.200 1 tahun 220.532.200 4 tahun 17% 30 dari 67
  • 328.
    Sosialisasi peraturan perundang undangan Meningk atnya pemaha man SDM terhadap peraturan perundan g undanga n 4keg 855.000.000 0% Sosialisasi pelaksanaan PP nomor 71 tahun 2010 Meningk atnya pemaha man SDM terhadap peraturan perundan g undanga n 1 keg 187.000.000 0% Sosialisasi pedoman teknis pengelolaan barang milik daerah Meningk atnya pemaha man SDM terhadap pengelol aan barang milik daerah 1 keg 254.000.000 0% Sosialisasi pengalihan PBB pedesaan dan perkotaan sebagai pajak daerah peningka tan PAD dari sektor PBB pedesaan dan perkotaa n 1 keg 700.000.000 0% Tersedianya Sarana dan Prasarana kantor yang dibutuhkan Program Pelayanan Administrasi Perkantoran 31 dari 67
  • 329.
    Penyediaan Jasa Komunikasi, Sumber DayaAir dan Listrik Jasa telepon, Sumber Daya Air, dan listrik dipergun akan untuk tugas kantor 5 tahun 251.000.000 1 tah un 34.079.646 1 tahun 34.079.646 1 tahun 34.079.646 4 tahun 14% Penyediaan Jasa Pemeliharaan dan Perizinan Kendaraan Dinas/Operasional Terpeliha rannya kebersiha n kantor 5 tahun 59.000.000 1 tah un 4.864.590 1 tahun 4.864.590 1 tahun 4.864.590 4 tahun 8% Penyediaan Jasa Kebersihan Kantor Dana 5 tahun 546.000.000 1 tah un 72.060.000 1 tahun 72.060.000 1 tahun 72.060.000 1 tahun 13% Penyediaan Alat Tulis Kantor ATK dimanfaa tkan untuk tugas kedinasa n 5 tahun 984.000.000 1 tah un 195.121.800 1 tahun 195.121.800 1 tahun 195.121.800 4 tahun 20% Penyediaan Barang Cetakan dan Penggandaan Barang Cetakan dan Penggan daan dimanfaa tkan untuk tugas kedinasa n 5 tahun 1.238.000.000 1 tah un 243.040.000 1 tahun 243.040.000 1 tahun 243.040.000 4 tahun 20% Penyediaan Komponen Instalasi Listrik/Penerangan Bangunan Kantor Listrik berfungsi dengan baik 5 tahun 40.000.000 1 tah un 1.999.000 1 tahun 1.999.000 1 tahun 1.999.000 4 tahun 5% Penyediaan Peralatan dan Perlengkapan Kantor Dimanfa atkannya peralatan dan perlengk apan kantor untuk tugas kedinasa n 5 tahun 1.629.000.000 1 tah un 128.100.000 1 tahun 128.100.000 1 tahun 128.100.000 4 tahun 8% 32 dari 67
  • 330.
    Penyediaan bahan bacaan danperaturan perundangan- undangan Dimanfa atkannya bahan bacaan dan peraturan perundan g- undanga n untuk tugas kedinasa n 3 paket 16.000.000 0% Penyediaan Makanan dan Minuman Terpenuh inya kebutuha n konsumsi untuk urusan kedinasa n 5 tahun 1.473.000.000 1 tah un 214.853.000 1 tahun 214.853.000 1 tahun 214.853.000 4 tahun 15% Rapat-Rapat Koordinasi dan Konsultasi Ke Luar Daerah terlaksan anya kegiatan pemda dalam menyam akan persepsi dengan pemda lainnya(P ropinsi& pusat) 5 tahun 3.327.000.000 82 kali 623.669.200 82 kali 623.669.200 82 kali 623.669.200 19% Penyediaan Jasa Keamanan Kantor Terpeliha rannya keamana n kantor 5 tahun 550.000.000 1 tah un 82.200.000 1 tahun 82.200.000 1 tahun 82.200.000 4 tahun 15% Penyediaan Jasa Administrasi Perkantoran terselesai kannya tugas- tugas dinas PPKAD 5 tahun 2.941.000.000 56 kali 501.132.000 56 kali 501.132.000 56 kali 501.132.000 17% Program Peningkatan Sarana dan Prasarana Aparatur 33 dari 67
  • 331.
    Pengadaan keneraan dinas operasional Terpenuh inya kebutuha n kenderaa ndinas untuk urusan kedinasa n 20 unit 332.000.000 Pengadaan perelengkapan gedung kantor Tersedia nya pereleng kapan gedung kantor 1 paket 224.000.000 0% Pemeliharaan rutin / berkala gedung kantor Terciptan ya keutuhan gedung kantor 1 tahun 30.000.000 0% Pemeliharaan Rutin/Berkala Kendaraan Dinas/Operasional Tersedia nya kendaraa n yang baik 5 tahun 655.000.000 1 tah un 97.194.250 1 tahun 97.194.250 1 tahun 97.194.250 4 tahun 15% Pemeliharaan Rutin/Berkala Peralatan Gedung Kantor Terlaksa nanya perbaika n pelatan gedung kantor 5 tahun 216.000.000 1 tah un 49.039.000 1 tahun 49.039.000 1 tahun 49.039.000 4 tahun 23% Predikat Kinerja Faktor pendorong keberhasilan kinerja : Koordinasi antar bidang lebih aktif Faktor pengambat pencapaian kinerja : Keterlambatan dalam penetapan Perda APBD Tindaklanjut yang diperlukan dalam triwulan berikutnya : Memaksimalkan peneyarapan Anggaran yang telah ditetapkan Tindaklanjut yang diperlukan dalam RKPD berikutnya : Penetapan Perda APBD tepat waktu Rata-rata capaian kinerja (%) 34 dari 67
  • 332.
    Sasaran Pembangunan TahunanKota Padangsidimpuan Inspektorat 4 5 K Rp. K Rp. K Rp. K Rp. K Rp. K Rp. K Rp. K Rp. K Rp. K Rp. 1. Terwujudnya kelembagaan dan ketatalaksanaan pemerintah daerah yang berkualitas, sehat dan berwibawa 1 URUSAN WAJIB - - 06 BIDANG PEMERINTAHAN UMUM 20 Program peningkatan Sistem Pengawasan Internal dan Pengendalian Pelaksanaan Kebijakan KDH menurunnya jumlah kasus penyalahgunaan wewenang dan kasus KKN serta peningkatan terhadap pelayanan pengaduan masyarakat 34 SKPD 663.237.300 - - 34 SKPD 453.000.000 34 SKPD 0 34 SKPD 57.730.000 34 SKPD 196.828.800 - 189.079.700 34 SKPD 443.638.500 34 SKPD 443.638.500 34 SKPD 67% Inspektorat Daerah Kota Padangsidim puan 1 Pelaksanaan Pengawasan Internal secara berkala Dilaksanakannya pengawasan internal secara berkala 34 SKPD 226.935.500 - - 34 SKPD 155.000.000 34 SKPD 34 SKPD 22.720.000 34 SKPD 69.100.000 - 61.020.000 34 SKPD 152.840.000 34 SKPD 152.840.000 34 SKPD 67% Inspektorat Daerah Kota Padangsidim puan 14=7+13 15=14/6*100%8 9 10 11 12 13 I II III IV SKPD Penanggun g Jawab 1 2 3 6 7 Formulir VII F. 8 Evaluasi Terhadap Hasil RKPD Kota Padangsidimpuan Tahun 2013 No Sasaran Kode Urusan/Bidang Urusan Pemerintahan Daerah dan Program/Kegiat an Indikator Kinerja Program (Outcome)/Kegi atan (Output) Target RPJMD Kota pada Tahun 2017 (Akhir Periode RPJMD) Realisasi Capaian Kinerja RPJMD Kota sampai dengan RKPD Kota Tahun Lalu (n-2) Target Kinerja dan Anggaran RKPD Kota Tahun Berjalan (Tahun n-1) yang Dievaluasi Realisasi Kinerja Pada Triwulan Realisasi Capaian Kinerja dan Anggaran RKPD Kota yang dievaluasi Realisasi Kinerja dan Anggaran RPJMD Kota s/d Tahun 2013(Akhir Tahun Pelaksanaan RKPD Tahun 2013) Tingkat Capaian Kinerja dan Realisasi Anggaran RPJMD Kota s/d Tahun 2017 (%) 35dari 67
  • 333.
    1 2 45 2 Penanganan kasus pengaduan di lingkungan Pemerintah Daerah Pemeriksaan kasus-kasus dan serah terima jabatan 1 Tahun 51.243.500 - - 1 Tahun 40.000.000 1 Tahun 1 Tahun 4.900.000 1 Tahun 25.000.000 - 9.700.000 1 Tahun 39.600.000 1 Tahun 39.600.000 1 Tahun 77% Inspektorat Daerah Kota Padangsidim puan 3 Pengendalian Manajemen Pelaksanaan Kebijakan KDH terlaksananya reviu keuangan 1 kali 4.392.300 - - 1 kali 3.000.000 1 kali 1 kali 3.000.000 - - - - 1 kali 3.000.000 3.000.000 1 kali 68% Inspektorat Daerah Kota Padangsidim puan 4 Tindak lanjut hasil temuan pengawasan Melakukan monitoring tindak lanjut hasil pemeriksaan 34 SKPD 87.846.000 - - 34 SKPD 60.000.000 34 SKPD 34 SKPD 14.400.000 34 SKPD 16.550.000 - 19.340.000 34 SKPD 50.290.000 34 SKPD 50.290.000 34 SKPD 57% Inspektorat Daerah Kota Padangsidim puan 5 Koordinasi pengawasan yang lebih komprehensif terlaksananya koordinasi/rakorw asnas 1 tahun 292.820.000 - - 1 tahun 200.000.000 - - 1 tahun 12.710.000 1 tahun 86.178.800 - 99.019.700 1 tahun 197.908.500 1 tahun 197.908.500 1 tahun 68% Inspektorat Daerah Kota Padangsidim puan 21 Program Peningkatan Profesionalisme Tenaga Pemeriksa dan Aparatur Pengawasan meningkatnya profesionalisme dan kompetensi aparat pengawas melalui diklat dan sertifikasi 27 0rang 462.783.376 - - 27 0rang 316.087.500 27 0rang 0 27 0rang 81.680.000 27 0rang 167.601.400 27 0rang 61.643.600 27 0rang 310.925.000 27 0rang 310.925.000 33 0rang 67% Inspektorat Daerah Kota Padangsidim puan 1 Pelatihan Pengembangan tenaga pemeriksa dan aparatur pengawasan terlaksananya PKS (Pelatihan Kalangan Sendiri) teknis pemeriksaan dan pelaporan 27 0rang 169.963.376 - - 27 0rang 116.087.500 - - 27 0rang 27 0rang 110.936.400 27 0rang 0 27 0rang 110.936.400 27 0rang 110.936.400 33 0rang 65% Inspektorat Daerah Kota Padangsidim puan 13 14 153 6 7 8 9 10 11 12 36dari 67
  • 334.
    1 2 45 2 Pelatihan Teknis Pengawasan dan penilaian Akuntabilitas Kinerja terkirimnya pegawai melalui diklat dan sertifikasi 27 0rang 292.820.000 - - 27 0rang 200.000.000 27 0rang 27 0rang 81.680.000 27 0rang 56.665.000 - 61.643.600 27 0rang 199.988.600 27 0rang 199.988.600 33 0rang 68% Inspektorat Daerah Kota Padangsidim puan 0% 18% 47% 33% 98% Faktor pendorong kebehasilan kinerja : Faktor penghambat pencapaian kinerja : Tindaklanjut yang diperlukan dalam triwulan berikutnya : Tindaklanjut yang diperlukan dalam RKPD berikutnya : 12 13 14 15 Rata - rata capaian kinerja (%) Predikat Kinerja Peraturan perundang-undangan,adanya SDM,tersedianya PKPT Kuantitas/kualitas SDM masih rendah,sarana prasarana masih kurang,dana yang masih rendah Komitmen seluruh pegawai Inspektorat untuk meningkatkan kinerja, dimanfaatkannya sarana prasarana yang ada untuk mewujudkan pengawasan yang lebih baik Memanfaatkan berbagai diklat untuk meningkatkan kualitas SDM, mengupayakan sarana prasarana yang lebih baik untuk mendukung kelancaran tugas 3 6 7 8 9 10 11 37dari 67
  • 335.
    Sasaran Pembangunan TahunanKota Padangsidimpuan Badan Kepegawaian Daerah 1 2 4 5 K Rp. K Rp. K Rp. K Rp. K Rp. K Rp. K Rp. K Rp. K Rp. K Rp. 1 20 Kepegawaian 1 20 07 01 Pelayanan Adm. Perkantoran 100 3.909.000.000 0,0 100 767.032.500 15,6 119.816.672 27,7 212.764.950 6,2 47.702.776 41,6 319.390.572 91,2 699.674.970 91,2 699.674.970 0,9 0,2 1 Terjangkaunya pelayanan administrasi kepegawaian terhadap seluruh instansi 1 20 07 01 02 Penyediaan Jasa Komunikasi Sumber Daya Air dan Listrik Tersedianya jasa komunikasi sumber daya air dan listrik 100 368.000.000 0,0 100 72.192.000 21,2 15.270.672 19,4 13.988.700 3,0 2.192.776 23,9 17.230.328 67,4 48.682.476 67,4 48.682.476 0,7 0,1 BKD 2 1 20 07 01 06 Penyediaan Jasa Pemeliharaan dan Perizinan Kenderaan Dinas dan Operasional Tersedianya pemeliharaan dan perizinan kenderaan dinas operasional 100 209.000.000 0,0 100 40.100.000 0,0 0 24,5 9.833.150 4,5 1.800.000 58,2 23.333.294 87,2 34.966.444 87,2 34.966.444 0,9 0,2 BKD 3 1 20 07 01 08 Penyediaan Jasa Kebersihan Kantor Tersedianya jasa kebersihan kantor 100 60.000.000 0,0 100 10.800.000 31,5 3.400.000 23,6 2.550.000 14,8 1.600.000 24,5 2.650.000 94,4 10.200.000 94,4 10.200.000 0,9 0,2 BKD 4 1 20 07 01 10 Penyediaan Alat tulis Kantor Tersedisnya alat tulis kantor 100 247.000.000 0,0 100 47.896.750 0,0 0 45,6 21.863.200 0,0 0 54,0 25.887.550 99,7 47.750.750 99,7 47.750.750 1,0 0,2 BKD 5 1 20 07 01 11 Penyediaan Barang Cetakan dan Penggandaan Terdedianya barang cetakan dan penggandaan 100 185.000.000 0,0 100 34.773.750 0,0 0 45,8 15.921.900 0,0 0 53,7 18.660.600 99,5 34.582.500 99,5 34.582.500 1,0 0,2 BKD 6 1 20 07 01 17 Penyediaan makanan dan Minuman Tersedianya pembayaran makanan dan minuman 100 445.000.000 0,0 100 87.120.000 17,8 15.510.000 20,6 17.940.000 0,0 0 35,8 31.170.000 74,2 64.620.000 74,2 64.620.000 0,7 0,1 BKD 7 1 20 07 01 18 Rapat-rapat Koordinasi dan Konsultasi ke Luar Daerah Terlaksana rapat-rapat kordinasi dan konsultasi 100 1.968.000.000 0,0 100 389.900.000 19,6 76.540.000 23,6 92.082.000 9,0 35.042.000 9,4 36.716.100 61,7 240.380.100 61,7 240.380.100 0,6 0,1 BKD 8 1 20 07 01 20 Penyediaan Jasa Administrasi Perkantoran Tersedianya jasa administrasi perkantoran 100 427.000.000 0,0 100 84.250.000 10,8 9.096.000 45,8 38.586.000 8,4 7.068.000 33,8 28.468.000 98,8 83.218.000 98,8 83.218.000 1,0 0,2 BKD Tercipyanya kualitas pekerjaan 1 20 07 02 Peningkatan Sarana dan Prasarana Aparatur 100 202.302.500 0,0 100 190.966.800 0,5 1.010.000 20,0 38.154.000 0,0 0 70,8 135.274.700 91,3 174.438.700 91,3 174.438.700 0,9 0,9 1 20 07 02 10 Pengadaan Mebeleur Mebeleur tersedia 100 109.302.500 0,0 100 172.881.100 0,0 0 20,2 34.900.000 0,0 0 75,1 129.883.000 95,3 164.783.000 95,3 164.783.000 1,0 1,5 1 20 07 02 22 Pemeliharaan rutin/Berkala Perlengkapan Gedung Kantor Adanya pemeliharaan rutin / berkala perlengkapan gedung kantor 100 44.000.000 0,0 100 8.285.700 0,0 0 15,6 1.289.000 0,0 0 60,8 5.041.700 76,4 6.330.700 76,4 6.330.700 0,8 0,1 BKD 7 8 103 6 9 15 = 14/6 * 100 % SKPD Penanggu ng JawabI II III IV Realisasi Kinerja Pada Triwulan 13 14 = 7 + 1311 12 Formulir VII.F.8 Evaluasi Terhadap Hasil RKPD Kota Padangsidimpuan Tahun 2013 Realisasi Capaian Kinerja dan Anggaran RKPD Kabupaten / Kota yang dievaluasi Realisasi Kinerja dan Anggaran RPJMD Kabupaten / Kota s/d Tahun ….. (Akhir Tahun Pelaksanaan RKPD Tahun 2017 ) Tingkat Capaian Kinerja dan Realisasi Anggaran RPJMD Kabupaten / Kota s/d Tahun 2017 (%) No . Sasaran Kode Urusan / Bidang Urusan Pemerintahan Daerah dan Program / Kegiatan Indikator Kinerja Program (Outcome)/ Kegiatan (Output) Target RPJMD Kabupaten / Kota pada Tahun 2017 (Akhir Periode RPJMD) Realisasi Capaian Kinerja RPJMD Kabupaten / Kota sampai dengan RKPD Kabupaten / Kota Tahun Lalu (n-2) Target Kinerja dan Anggaran RKPD Kabupaten / Kota Tahun Berjalan (Tahun n-1) yang Dievaluasi 38 dari 67
  • 336.
    1 20 0702 28 Pemeliharaan rutin/Berkala Peralatan Gedung Kantor Adanya pemeliharaan rutin / berkala peralatan gedung kantor 100 49.000.000 0,0 100 9.800.000 10,3 1.010.000 20,1 1.965.000 0,0 0 3,6 350.000 33,9 3.325.000 33,9 3.325.000 0,3 0,1 BKD Meningkatnya disiplin dan motivasi kerja aparatur 1 20 07 03 Peningkatan Disiplin Aparatur 100 350.000.000 0,0 100 110.559.000 0,0 0 0,0 0 0,0 0 91,6 101.280.000 91,6 101.280.000 91,6 101.280.000 0,9 0,3 1 20 07 03 02 Pengadaan Pakaian Dinas beserta perlengkapannya Tersedianya pakaian dinas beserta perlengkapanny a 100 110.000.000 0,0 100 20.295.000 0,0 0 0,0 0 0,0 0 91,1 18.480.000 91,1 18.480.000 91,1 18.480.000 0,9 0,2 BKD 6 1 20 07 01 13 Penyediaan peralatan dan perlengkapan kantor Tersedianya peralatan dan perlengkapan kantor 100 240.000.000 0,0 100 90.264.000 0,0 0 0,0 0 0,0 0 91,7 82.800.000 91,7 82.800.000 91,7 82.800.000 0,9 0,3 BKD Meningkatnya kualitas kerja aparatur pada pemko padangsidimpua n 1 20 07 05 Peningkatan Kapasitas Sumber Daya Aparatur 100 2.220.000.000 0,0 100 370.000.000 0,0 30,3 112.000.000 0,0 0 24,0 88.815.400 54,3 200.815.400 54,3 200.815.400 0,5 0,1 BKD 14 1 20 07 05 01 Pendidikan dan Pelatihan Formal Peningkatan SDM Aparatur 100 2.220.000.000 0,0 100 370.000.000 0,0 0 30,3 112.000.000 0,0 - 24,0 88.815.400 54,3 200.815.400 54,3 200.815.400 0,5 0,1 BKD Meningkatnya kualitas kerja aparatur pada pemko padangsidimpua n 1 20 07 29 Peningkatan Kapasitas Sumber Daya Aparatur 100 545.000.000 0,0 100 34.000.000 0,0 0 0,0 0 47,1 16.000.000 0,0 0 47,1 16.000.000 47,1 16.000.000 0,5 0,0 15 1 20 07 29 01 Pendidikan dan Pelatihan Prajabatan bagi CPNSD Terlaksananya pendidikan dan pelatihan prajabatan bagi CPNSD 100 545.000.000 0,0 100 34.000.000 0,0 0 0,0 0 47,1 16.000.000 0,0 - 47,1 16.000.000 47,1 16.000.000 0,5 0,0 BKD Terwujudnya formasi yang sesuai dengan kebutuhan 1 20 07 30 Pembinaan dan Pengembangan Aparatur 100 1.315.016.000 0,0 100 544.287.000 12,7 69.270.000 8,4 45.569.000 10,9 59.142.000 40,1 218.497.026 72,1 392.478.026 72,1 392.478.026 0,7 0,3 16 1 20 07 30 01 Penyusunan Rencana Pembinaan Karir PNS Terlaksananya Baperjakat 100 342.000.000 0,0 100 68.400.000 2,5 1.700.000 0,0 0 0,0 0 20,7 14.150.000 23,2 15.850.000 23,2 15.850.000 0,2 0,0 BKD 17 1 20 07 30 09 Proses Penanganan Kasus- kasus Pelanggaran Disiplin PNS Kasus pelanggaran disiplin dapat diselesaikan 100 237.000.000 0,0 100 47.100.000 15,3 7.200.000 45,9 21.600.000 0,0 0 30,6 14.400.000 91,7 43.200.000 91,7 43.200.000 0,9 0,2 BKD 18 1 20 07 30 20 Penyusunan Daftar Urut Kepengkatan(DUK) DUK tersedia 100 43.000.000 0,0 100 8.500.000 0,0 0 0,0 0 0,0 0 99,8 8.480.000 100 8.480.000 100 8.480.000 1,0 0,2 BKD 19 1 20 07 30 22 Pelaksanaan Monitoring/Operas i Sayang PNS Meningkatnya disiplin PN S 100 179.000.000 0,0 100 19.200.000 0,0 0 0,0 0 0,0 0 92,1 17.687.500 92 17.687.500 92 17.687.500 0,9 0,1 BKD 20 1 20 07 30 23 Pemutakhiran/Per emajaan Data Base Kepegawaian Tersedia data base yang mutakhir 100 45.000.000 0,0 100 8.800.000 0,0 0 0,0 0 0,0 0 99,8 8.781.250 100 8.781.250 100 8.781.250 1,0 0,2 BKD 21 1 20 07 30 28 Pengusulan dan Penyelesaian Kenaikan Pangkat PNS Terbitnya pangkat PNS 100 95.000.000 0,0 100 18.900.000 0,0 0 50,0 9.450.000 0,0 0 47,6 9.000.000 97,6 18.450.000 97,6 18.450.000 1,0 0,2 BKD 22 1 20 7 30 32 Pengangkatan CPNS dari Tenaga Honorer Kategori I Tenaga Honorer K I menjadi CPNS 100 47.000.000 0,0 100 46.660.000 99,0 46.210.000 0,0 0 0,0 0 0,0 99,0 46.210.000 99,0 46.210.000 1,0 0,0 BKD 39 dari 67
  • 337.
    23 1 207 30 33 Pengangkatan CPNS dari Tenaga Honorer Kategori II Terlaksananya Seleksi dan Terangkatnya Honorer Kategori II 100 238.000.000 0,0 100 237.711.000 6,0 14.160.000 6,1 14.519.000 0,0 0 58,0 137.913.276 70,1 166.592.276 70,1 166.592.276 0,7 0,0 BKD 24 1 20 07 30 37 Sosialisasi Kartu Pegawai Elektronik (KPE) Sosialisasi terlaksana dan PNS mengerti manfaat KPE 100 89.016.000 0,0 100 89.016.000 0,0 0 0,0 0 66,4 59.142.000 9,1 8.085.000 75,5 67.227.000 75,5 67.227.000 0,8 0,0 BKD Faktor pendorong keberhasilan kinerja : Sumber Daya Manusia Aparatur Faktor penghambat pencapaian kinerja : Tindaklanjut yang diperlukan dalam triwulan berikutnya : percepatan realisasi anggaran Tindaklanjut yang diperlukan dalam RKPD berikutnya : Program dan Kegiatan yang berkesinambungan Rata - rata capaian kinerja (%) Predikat Kinerja 40 dari 67
  • 338.
    Sasaran Pembangunan TahunanKota : K Rp. K Rp. K Rp. K Rp. K Rp. K Rp. K Rp. K Rp. K Rp. K Rp. Urusan Wajib Kesatuan Bangsa dan Politik Dalam Negeri SATUAN POLISI PAMONG PRAJA 1.19.02.01 1.19.02.01.02 Penyediaan jasa komunikasi, sumber daya air dan listrik Outcome : Terpenuhinya kelancaran rekening Outputs: Terlaksananya pembayaran rekening 1.Thn 2013= 12 Bln 2.Thn 2014= 12 Bln 3.Thn 2015= 12 Bln 4.Thn 2016= 12 Bln 5.Thn 2017= 12 Bln 1.Thn 2013= 12.600.000 2.Thn 2014= 13.104.000 3.Thn 2015= 13.608.000 4.Thn 2016= 14.112.000 5.Thn 2017= 14.490.000 Jumlah Rp. 67.914.000,- - - 12 bulan 13.800.000 3 Bln 2.902.540 3 Bln 3.188.684 3 Bln 1.590.182 3 Bln 5.262.664 12 Bln 12.944.070 12 Bln 12.944.070 20% 19% Satpol-PP 1.19.02.01.04 Penyediaan jasa jaminan pemeliharaan kesehatan PNS Outcome : Terpenuhinya kesehatan PNS Outputs: Tersedianya jaminan pemeliharaan kesehatan PNS 1.Thn 2013= 12 Bln 2.Thn 2014= 12 Bln 3.Thn 2015= 12 Bln 4.Thn 2016= 12 Bln 5.Thn 2017= 12 Bln 1.Thn 2013= 17.340.000 2.Thn 2014= 18.033.600 3.Thn 2015= 18.727.200 4.Thn 2016= 19.420.800 5.Thn 2017= 19.941.000 Jumlah Rp. 93.462.600,- - - (1 Tahun) 102 Orang 17.340.000 - - - - (1 Tahun) 102 Orang 17.340.000 - - - 17.340.000 (1 Tahun) 102 Orang 17.340.000 20% 26% Satpol-PP 1.19.02.01.05 Penyediaan jasa jaminan barang milik daerah Outcome : Terpenuhinya kelancaran tugas Outputs: Terlaksananya pembayaran izin senjata api dan izin mutasi 1.Thn 2013= 12 Bln 2.Thn 2014= 12 Bln 3.Thn 2015= 12 Bln 4.Thn 2016= 12 Bln 5.Thn 2017= 12 Bln 1.Thn 2013= 38.000.000 2.Thn 2014= 39.520.000 3.Thn 2015= 41.040.000 4.Thn 2016= 42.560.000 5.Thn 2017= 43.700.000 Jumlah Rp. 204.820.000,- - - (1 Tahun) 11 pucuk 38.000.000 - - - - - - (1 Tahun) 7 Pucuk 30.000.000 (1 Tahun) 7 Pucuk 30.000.000 (1 Tahun) 7 Pucuk 30.000.000 20 % 12,72 % 14,65 % Satpol-PP 1.19.02.01.08 Penyediaan jasa kebersihan kantor Outcome : Tersedianya petugas kebersihan Outputs: Terlaksanya kebersihan kantor 1.Thn 2013= 12 Bln 2.Thn 2014= 12 Bln 3.Thn 2015= 12 Bln 4.Thn 2016= 12 Bln 5.Thn 2017= 12 Bln 1.Thn 2013= 25.536.000 2.Thn 2014= 26.557.440 3.Thn 2015= 27.578.880 4.Thn 2016= 28.600.320 5.Thn 2017= 29.366.400 Jumlah Rp. 137.639.040 - - (12 Bln) 2 Orang 25.536.000 (3 Bln) 2 Orang - (3 Bln) 2 Orang 10.955.000 (3 Bln) 2 Orang 6.980.000 (3 Bln) 2 Orang 7.601.000 (12 Bln) 2 Orang 25.536.000 (12 Bln) 2 Orang 25.536.000 20% 18,55% Satpol-PP 1.19.02.01.10 Penyediaan alat tulis kantor Outcome : Bertambahnya persediaan alat tulis kantor Outputs: Tersedianya alat tulis kantor 1.Thn 2013= 12 Bln 2.Thn 2014= 12 Bln 3.Thn 2015= 12 Bln 4.Thn 2016= 12 Bln 5.Thn 2017= 12 Bln 1.Thn 2013= 30.025.000 2.Thn 2014= 31.226.000 3.Thn 2015= 32.427.000 4.Thn 2016= 33.628.000 5.Thn 2017= 34.528.750 Jumlah Rp. 161.834.750 - - 12 Bln 30.025.000 3 Bln 11.168.450 3 Bln 6.146.900 3 Bln 6.567.200 3 Bln 6.140.600 12 Bln 30.023.150 12 Bln 30.023.150 20% 18,55% Satpol-PP 1.19.02.01.11 Penyediaan barang cetakan dan penggandaan Outcome : Terpenuhinya barang cetakan Outputs: Tersedianya barang cetakan 1.Thn 2013= 12 Bln 2.Thn 2014= 12 Bln 3.Thn 2015= 12 Bln 4.Thn 2016= 12 Bln 5.Thn 2017= 12 Bln 1.Thn 2013= 20.783.000 2.Thn 2014= 21.614.000 3.Thn 2015= 22.445.000 4.Thn 2016= 23.276.000 5.Thn 2017= 23.900.450 - - 12 Bln 20.783.000 3 Bln 5.180.200 3 Bln 4.723.800 3 Bln 4.584.450 3 Bln 6.294.300 12 Bln 20.782.750 12 Bln 20.782.750 20% 41% Satpol-PP 1.19.02.01.12 Penyediaan Komponen Instalasi Listrik/Penerangan Bangunan Kantor outcome : terpenuhinya komponen instalasi listrik/penerangan bangunan kantor outputs : tersedianya komponen listrik/penerangan bangunan kantor 1.Thn 2013= 12 Bln 2.Thn 2014= 12 Bln 3.Thn 2015= 12 Bln 4.Thn 2016= 12 Bln 5.Thn 2017= 12 Bln 1.Thn 2013= 3.000.000 2.Thn 2014= 3.120.000 3.Thn 2015= 3.240.000 4.Thn 2016= 3.360.000 5.Thn 2017= 3.450.000 Jumlah Rp. 16.170.000 - - 12 Bln 3.000.000 3 Bln 750.000 3 Bln 750.000 3 Bln 265.000 3 Bln 1.233.000 12 Bln 2.998.000 12 Bln 2.998.000 20% 18,54% Satpol-PP 1.19.02.01.15 Penyediaan bahan bacaan dan peraturan perundang- undangan Outcome : Bertambahnya bahan bacaan Outputs: Tersedianya bahan bacaan 1.Thn 2013= 12 Bln 2.Thn 2014= 12 Bln 3.Thn 2015= 12 Bln 4.Thn 2016= 12 Bln 5.Thn 2017= 12 Bln 1.Thn 2013= 12.000.000 2.Thn 2014= 12.480.000 3.Thn 2015= 12.960.000 4.Thn 2016= 13.440.000 5.Thn 2017= 13.800.000 Jumlah Rp. 63.680.000 - - 12 bulan 14.400.000 3 Bln - 3 Bln 5.429.000 3 Bln 465.000 3 Bln 7.735.000 12 Bln 13.629.000 12 Bln 13.629.000 20% 21,40% Satpol-PP EVALUSI TERHADAP HASIL RKPD TAHUN 2013 KANTOR SATPOL PP KOTA PADANGSIDIMPUAN 15=14/6*100% 16 Program Pelayanan Administrasi Perkantoran 9 10 11 12 13 14= 7+138 Tingkat Capaian Kinerja dan Realisasi Anggaran RPJMD Kabupaten/Kota s/d Tahun 3 4 5 6 7 FORMULIR VIII. F.8 Kantor Satpol PP Target Kinerja dan Anggaran RKPD Kabupaten/Kota Tahun Berjalan (Tahun n-1) yang Kode Urusan / Bidang Urusan Pemerintahan Daerah dan Program/Kegiatan Indikator Kinerja Program (Outcome) Kegiatan (Output) Target RPJMD Kabupaten/Kota pada Tahun2013- 2017 (Akhir Periode RPJMD) Realisasi Capaian Kinerja RPJMD Kabupaten/Kota I II III IV Realisasi Kinerja Pada Triwulan Realisasi Capaian Kineja dan Anggaran RKPD Kabupaten/Kota yang dievaluasi Realisasi Kinerja dan Anggaran RPJMD Kabupaten/Kota s/d Tahun 2013 (Akhir Tahun Pelaksanaan SKPD Penanggung Jawab 41 dari 67
  • 339.
    1.19.02.01.17 Penyediaan makanan dan minuman Outcome: Terpenuhinya makan-minum pegawai, anggota dan tamu Outputs: Terlaksananya makan-minum pegawai, anggota dan tamu 1.Thn 2013= 12 Bln 2.Thn 2014= 12 Bln 3.Thn 2015= 12 Bln 4.Thn 2016= 12 Bln 5.Thn 2017= 12 Bln 1.Thn 2013= 322.580.000 2.Thn 2014= 335.483.200 3.Thn 2015= 348.386.400 4.Thn 2016= 361.289.600 5.Thn 2017= 370.967.000 Jumlah Rp. 1.738.706.200 - - (12 bulan) 91 orang 363.940.000 3 Bln - 3 Bln 100.451.500 3 Bln 72.706.500 3 Bln 159.026.500 12 Bln 332.184.500 12 Bln 332.184.500 20% 19,10% Satpol-PP 1.19.02.01.18 Rapat-rapat koordinasi dan konsultasi ke luar daerah Outcome : Terpenuhinya pegawai yang melakukan perjalanan dinas Outputs: Terlaksananya perjalanan dinas 1.Thn 2013= 12 Bln 2.Thn 2014= 12 Bln 3.Thn 2015= 12 Bln 4.Thn 2016= 12 Bln 5.Thn 2017= 12 Bln 1.Thn 2013= 436.250.000 2.Thn 2014= 453.700.000 3.Thn 2015= 471.150.000 4.Thn 2016= 488.600.000 5.Thn 2017= 501.687.500 Jumlah Rp. 2.351.387.500 - - (12 bln) 468 OH 306.310.000 3 Bln - 3 Bln 166.134.000 3 Bln 17.980.000 3 Bln 305.302.000 12 Bln 489.416.000 12 Bln 489.416.000 20% 12,98% Satpol-PP 1.19.02.01.19 Penyediaan jasa Keamanan Kantor Outcome : Terpenuhinya keamanan kantor Outputs: Tersedianya jasa petugas keamanan kantor 1.Thn 2013= 12 Bln 2.Thn 2014= 12 Bln 3.Thn 2015= 12 Bln 4.Thn 2016= 12 Bln 5.Thn 2017= 12 Bln 1.Thn 2013= 352.400.000 2.Thn 2014= 366.496.000 3.Thn 2015= 380.529.000 4.Thn 2016= 394.688.000 5.Thn 2017= 405.260.000 Jumlah Rp. 1.899.373.000 - - (12 bulan) 45 orang 455.400.000 3 Bln - 3 Bln 142.200.000 3 Bln 93.500.000 3 Bln 218.950.000 12 Bln 454.650.000 12 Bln 454.650.000 20% 23,93% Satpol-PP 1.19.02.01.21 Penyediaan jasa administrasi perkantoran Outcome : Terpenuhinya kesejahteraan honorarium Outputs: Terlaksananya jasa administrasi 1.Thn 2013= 12 Bln 2.Thn 2014= 12 Bln 3.Thn 2015= 12 Bln 4.Thn 2016= 12 Bln 5.Thn 2017= 12 Bln 1.Thn 2013=129.200.000 2.Thn 2014= 134.368.000 3.Thn 2015= 139.536.000 4.Thn 2016= 144.704.000 5.Thn 2017= 148.580.000 Jumlah Rp. 696.388.000 - - (12 bulan) 13 orang 116.600.000 3 Bln - 3 Bln 54.850.000 3 Bln 28.750.000 3 Bln 51.350.000 12 Bln 65.250.000 12 Bln 65.250.000 20% 16,74% Satpol-PP 1.19.02.02 1.19.02.02.02 Pembangunan Gedung Kantor Outcome : Terpenuhinya area parkir pegawai Outputs: Tersedianya area parkir - - - 1 kali 87.600.000 - - - - - - - - 1 kali 87.550.000 1 kali 87.550.000 100% 99,94% - 1.19.02.02.05 Pengadaan Kendaraan dinas roda dua - - - - - - - - - - - - - - - - - - - - - - 1.19.02.02.07 Pengadaan Perlengkapan Gedung Kantor Outcome : Bertambahnya inventaris kantor Outputs: Tersedianya perlengkapan gedung kantor - - - - - - - - - - - - - - - - - - - - - 1.19.02.02.09 Pengadaan Peralatan Gedung Kantor Outcome : Bertambahnya inventaris kantor Outputs: Tersedianya peralatan gedung kantor 1.Thn 2013= 12 Bln 2.Thn 2014= 12 Bln 3.Thn 2015= 12 Bln 4.Thn 2016= 12 Bln 5.Thn 2017= 12 Bln 1.Thn 2013= 353.200.000 2.Thn 2014= 367.328.000 3.Thn 2015= 381.456.000 4.Thn 2016= 395.584.000 5.Thn 2017= 406.180.000 Juamlah Rp. 1.903.784.000 - - 12 bulan 356.200.000 3 Bln - 3 Bln 343.860.000 3 Bln - 3 Bln 9.000.000 12 Bln 352.860.000 12 Bln 352.860.000 20% 18,54% Satpol-PP 1.19.02.02.22 Pemeliharaan rutin/berkala gedung kantor Outcome : Terlaksananya pemeliharaan gedung dan kantor Outputs: Terciptanya keutuhan gedung kantor 1.Thn 2013= 12 Bln 2.Thn 2014= 12 Bln 3.Thn 2015= 12 Bln 4.Thn 2016= 12 Bln 5.Thn 2017= 12 Bln 1.Thn 2013= 11.846.000 2.Thn 2014= 12.319.840 3.Thn 2015= 12.793.680 4.Thn 2016= 13.267.520 5.Thn 2017= 13.622.900 Jumlah Rp. 63.849.940 - - 12 bulan 11.846.000 3 Bln - 3 Bln 11.846.000 3 Bln - 3 Bln - 12 Bln 11.846.000 12 Bln 11.846.000 20% 18,56% Satpol-PP 1.19.02.02.24 Pemeliharaan rutin/berkala kendaraan dinas/operasional Outcome : Terlaksananya perbaikan kenderaan Outputs: Tersedianya kenderaan yang baik 1.Thn 2013= 12 Bln 2.Thn 2014= 12 Bln 3.Thn 2015= 12 Bln 4.Thn 2016= 12 Bln 5.Thn 2017= 12 Bln 1.Thn 2013= 263.158.500 2.Thn 2014= 273.684.840 3.Thn 2015= 284.211.180 4.Thn 2016= 294.737.520 5.Thn 2017= 302.632.275 - - 12 bulan 263.158.500 3 Bln - 3 Bln 188.965.329 3 Bln 36.379.500 3 Bln 58.259.500 12 Bln 283.604.329 12 Bln 283.604.329 20% 20% Satpol-PP 1.19.02.02.28 Pemeliharaan rutin/berkala peralatan gedung kantor Outcome : Terciptanya keutuhan peralatan gedung kantor Outputs: Terlaksananya pemeliharaan gedung dan kantor 1.Thn 2013= 12 Bln 2.Thn 2014= 12 Bln 3.Thn 2015= 12 Bln 4.Thn 2016= 12 Bln 5.Thn 2017= 12 Bln 1.Thn 2013= 4.000.000 2.Thn 2014= 4.160.000 3.Thn 2015= 4.320.000 4.Thn 2016= 4.480.000 5.Thn 2017= 4.600.000 Jumlah Rp. 21.650.000 - - 12 bulan 4.000.000 3 Bln 1.750.000 3 Bln 750.000 3 Bln - 3 Bln 1.500.000 12 Bln 4.000.000 12 Bln 4.000.000 20% 18,48% Satpol-PP Prgram Peningkatan Sarana dan Prasarana Aparatur 42 dari 67
  • 340.
    1.19.02.02.42 Rehabilitasi Sedang/ berat GedungKantor Outcome : Terciptanya keutuhan gedung kantor Outputs: Terlaksananya rehab sedang/berat gedung kantor - - - - - - - - - - - - - - - - - - - - - 1.19.02.03 1.19.02.03.02 Pengadaan Pakian Dinas Beserta Perlengkapannya Outcome : Terpenuhinya pakaian dinas pegawai Outputs: Tersedianya pakaian dinas pegawai - (12 bulan) 144 stel 182.539.000 - 182.080.000 - - - - 12 bln 182.080.000 12 bln 182.080.000 20% 18,51% Satpol-PP - 1.Thn 2013= 12 Bln 2.Thn 2014= 12 Bln 3.Thn 2015= 12 Bln 4.Thn 2016= 12 Bln 5.Thn 2017= 12 Bln 1.Thn 2013= 14.490.000 2.Thn 2014= 14.490.000 3.Thn 2015= 14.490.000 4.Thn 2016= 14.490.000 5.Thn 2017= 370.967.000 - - 1.Thn 2013= 12 Bln 2.Thn 2014= 12 Bln 3.Thn 2015= 12 Bln 4.Thn 2016= 12 Bln 5.Thn 2017= 12 Bln 1.Thn 2013= 14.490.000 2.Thn 2014= 14.490.000 3.Thn 2015= 14.490.000 4.Thn 2016= 14.490.000 5.Thn 2017= 370.967.000 - - 1.19.02.03.05 Pengadaan Pakian Khusus Hari-Hari Tertentu Outcome : Terpenuhinya pakaian khusus Pegawai Outputs: Tersedianya pakaian Khusus pegawai 1.Thn 2013= 12 Bln 2.Thn 2014= 12 Bln 3.Thn 2015= 12 Bln 4.Thn 2016= 12 Bln 5.Thn 2017= 12 Bln 1.Thn 2013= 102.399.000 2.Thn 2014= 106.494.960 3.Thn 2015= 110.590.920 4.Thn 2016= 114.686.880 5.Thn 2017= 117.758.850 Jumlah Rp. 551.930.610 - - (12 bulan) 214 stel 102.399.000 3 Bln - 101.650.000 - - - - 12 bln 101.650.000 12 bln 101.650.000 20% 18,42% Satpol-PP 1.19.02.06 1.19.02.06.01 Penysunan Laporan Capaian Kinerja dan Ikhtisar Realisasi Kinerja SKPD Outcome : Tersusunnya laporan capaian kinerja Outputs: Terlaksananya penyusunan laporan 1.Thn 2013= 12 Bln 2.Thn 2014= 12 Bln 3.Thn 2015= 12 Bln 4.Thn 2016= 12 Bln 5.Thn 2017= 12 Bln 1.Thn 2013= 5.344.000 2.Thn 2014= 5.557.760 3.Thn 2015= 5.771.520 4.Thn 2016= 5.985.000 5.Thn 2017= 6.145.600 Jumlah Rp. 26.583.880 - - (12 bln) 448 OH 5.344.000 3 Bln - 5.344.000 - - - - 12 bln 5.344.000 12 bln 5.344.000 20% 20,11% Satpol-PP 1.19.02.06.04 Penyusunan Laporan Keuangan Akhir Tahun Outcome : Tersusunnya laporan keuangan akhir tahun Outputs: Terlaksananya penyusunan laporan 1.Thn 2013= 12 Bln 2.Thn 2014= 12 Bln 3.Thn 2015= 12 Bln 4.Thn 2016= 12 Bln 5.Thn 2017= 12 Bln 1.Thn 2013= 4.512.000 2.Thn 2014= 4.692.480 3.Thn 2015= 4.872.960 4.Thn 2016= 5.053.440 5.Thn 2017= 5.188.800 Jumlah Rp. 19.319.680 - - (12 bln) 384 OH 4.512.000 3 Bln - 4.512.000 - - - - 12 bln 4.512.000 12 bln 4.512.000 20% 23,36% Satpol-PP 1.19.02.15 1.19.02.15.01 Penyiapan tenaga pengendali keamanan dan kenyamanan lingkungan Outcome : Tersedianya aparat yang terlatih Outputs: Terselenggaranya pelatihan 1.Thn 2013= 12 Bln 2.Thn 2014= 12 Bln 3.Thn 2015= 12 Bln 4.Thn 2016= 12 Bln 5.Thn 2017= 12 Bln 1.Thn 2013= 55.500.000 2.Thn 2014= 57.720.000 3.Thn 2015= 59.940.000 4.Thn 2016= 62.160.000 5.Thn 2017= 63.825.000 Jumlah Rp. 299.145.000 - - (12 bln) 90 kali 55.500.000 3 Bln - 3 Bln 18.050.000 3 Bln 15.100.000 3 Bln 21.650.000 12 bln 33.150.000 12 bln 33.150.000 20% 11,09% Satpol-PP 1.19.02.15.03 Pelatihan Pengendalian Keamanan dan Kenyamanan Lingkungan Outcome : Terciptanya aparat yang terlatih Outputs: Terselenggaranya pelatihan 1.Thn 2013= 12 Bln 2.Thn 2014= 12 Bln 3.Thn 2015= 12 Bln 4.Thn 2016= 12 Bln 5.Thn 2017= 12 Bln 1.Thn 2013= 98.235.400 2.Thn 2014= 102.164.816 3.Thn 2015= 106.094.232 4.Thn 2016= 110.032.648 5.Thn 2017= 112.970.710 Jumlah Rp. 529.497.806 - - (1 Tahun) 110 0rang 98.235.400 3 Bln - 91.130.200 - - 1 Tahun 91.130.200 1 Tahun 91.130.200 20% 17,21% Satpol-PP 1.19.02.15.05 Pengendalian keamanan lingkungan Outcome : Terciptanya keamanan lingkungan Outputs: Terselenggaranya pengendalian keamanan lingkungan 1.Thn 2013= 12 Bln 2.Thn 2014= 12 Bln 3.Thn 2015= 12 Bln 4.Thn 2016= 12 Bln 5.Thn 2017= 12 Bln 1.Thn 2013= 316.240.000 2.Thn 2014= 328.889.600 3.Thn 2015= 341.539.200 4.Thn 2016= 354.188.800 5.Thn 2017= 363.676.000 Jumlah Rp. 1.704.531.600 - - 1 Tahun 316.240.000 3 Bln - 3 Bln 80.660.000 3 Bln 119.060.000 3 Bln 116.320.000 12 bln 316.040.000 12 bln 316.040.000 20% 21,48% Satpol-PP Program Peningkatan Pengembangan Sistem Pelaporan Capaian Kinerja dan Keuangan Program Peningkatan Keamanan dan Kenyamanan Lingkungan Program Peningkatan Disiplin Aparatur 1.Thn 2013= 12 Bln 2.Thn 2014= 12 Bln 3.Thn 2015= 12 Bln 4.Thn 2016= 12 Bln 5.Thn 2017= 12 Bln 1.Thn 2013= 182.539.000 2.Thn 2014= 189.840.560 3.Thn 2015= 197.142.120 4.Thn 2016= 204.443.680 5.Thn 2017= 209.919.850 Jumlah Rp. 983.885.210 - 43 dari 67
  • 341.
    1.19.02.16 1.19.02.16.01 Pengawasan pengendalian dan evaluasikegiatan polisi pamong praja Outcome : Tercegahnya gangguan ketentraman, ketertiban dan pelanggaran perda Outputs: Terlaksananya patroli 1.Thn 2013= 12 Bln 2.Thn 2014= 12 Bln 3.Thn 2015= 12 Bln 4.Thn 2016= 12 Bln 5.Thn 2017= 12 Bln 1.Thn 2013= 649.076.000 2.Thn 2014= 675.039.040 3.Thn 2015= 701.002.080 4.Thn 2016= 726.965.120 5.Thn 2017= 746.437.400 Jumlah Rp. 3.498.519.640 - - 1 tahun 649.076.000 3 Bln - 3 Bln 139.910.000 - 90.760.000 - 401.546.500 12 bln 632.216.500 12 bln 632.216.500 50% 18,07% Satpol-PP 1.19.02.16.05 Monitoring, evaluasi dan pelaporan Outcome : Terciptanya monitoring,evaluasi dan pelaporan Outputs: Terlaksananya monitoring evaluasi dan pelaporan 1.Thn 2013= 12 Bln 2.Thn 2014= 12 Bln 3.Thn 2015= 12 Bln 4.Thn 2016= 12 Bln 5.Thn 2017= 12 Bln 1.Thn 2013= 209.840.000 2.Thn 2014= 218.233.600 3.Thn 2015= 226.627.200 4.Thn 2016= 235.020.800 5.Thn 2017= 241.316.000 Jumlah Rp. 1.131.037.600 - - 1 tahun 209.840.000 3 Bln - 3 Bln 43.160.000 - 75.960.000 - 102.520.000 12 bln 221.640.000 12 bln 221.640.000 20% 19,60% Satpol-PP 1.19.02.19 1.19.02.19.01 Pembentukan Satuan Keamanan Lingkungan di Masyarakat Outcome : Terpenuhinya fasilitasi Desa/Kel. pembentukan petugas keamanan lingkungan Outputs: Terbentuknya satuan keamanan lingkungan di masyarakat - - - - - - - - - - - - - - - - - - - - - 1.19.02.20 1.19.02.20.09 Penyuluhan Pencegahan Perilaku Sex Bebas Outcome : Terpenuhinya Penyuluhan pencegahan sex bebas Outputs: terlaksananya penyuluhan 1.Thn 2013= 12 Bln 2.Thn 2014= 12 Bln 3.Thn 2015= 12 Bln 4.Thn 2016= 12 Bln 5.Thn 2017= 12 Bln 1.Thn 2013= 652.600.000 2.Thn 2014= 678.704.000 3.Thn 2015= 704.808.000 4.Thn 2016= 730.912.000 5.Thn 2017= 750.490.000 Jumlah Rp. 3.517.514.000 - - 1 tahun 947.870.000 3 Bln 622.767.300 3 Bln - - - - 284.524.400 1 tahun 907.291.700 1 tahun 907.291.700 20% 25,80% Satpol-PP : Adanya semangat, percaya diri dan etos kerja yang baik dari aparatur serta tersedianya peraturan yang menjadi pedoman dalam pelaksanaan tugas. : Peningkatan tingkat kemampuan dan kualitas aparatur dan sarana prasarana : Peningkatan tingkat kemampuan dan kualitas aparatur dan sarana prasarana serta pengusulan penambahan anggaran Program Pemeliharaan Kantrantibmas dan Pencegahan Tindak Kriminal Program Pemberdayaan Masyarakat Untuk Menjaga Ketertiban dan Keamanan Program Peningkatan Pemberantasan Penyakit Masyarakat (Pekat) 44 dari 67
  • 342.
    K Rp. KRp. K Rp. K Rp. K Rp. K Rp. K Rp. K Rp. K Rp. K Rp. I WAJIB I A 1.970.116.642 824.609.933 1.474.004.105 1.785.158.642 1.785.158.642 1.785.158.642 90,61 1 1.752.016.642 785.459.933 1.304.954.105 1.576.458.642 1.576.458.642 1.576.458.642 89,98 2 159.600.000 39.150.000 115.050.000 154.200.000 154.200.000 154.200.000 96,62 3 58.500.000 - 54.000.000 54.500.000 54.500.000 54.500.000 93,16 II 1.414.590.450 471.023.951 818.049.972 1.385.252.464 1.385.252.464 1.385.252.464 97,93 B 1 1.164.040.450 342.725.801 675.442.372 1.134.954.964 1.134.954.964 1.134.954.964 97,50 - Penyediaan Jasa Surat Menyurat 45.000.000 5.000.000 - 3.704.000 4.984.000 4.984.000 4.984.000 99,68 - Penyediaan Jasa Komunikasi, Sumber Daya Air dan Listrik 180.900.000 37.000.000 10.111.651 15.057.672 22.714.214 22.714.214 22.714.214 61,39 - Penyediaan Jasa Kebersihan Kantor 203.660.000 43.822.000 11.178.000 25.466.700 43.822.000 43.822.000 43.822.000 100,00 - Penyediaan Jasa Perbaikan Peralatan Kerja 65.360.000 13.706.000 5.260.000 9.463.000 13.702.000 13.702.000 13.702.000 99,97 - Penyediaan Alat Tulis Kantor 197.530.000 20.794.700 10.324.450 15.510.100 20.794.500 20.794.500 20.794.500 100,00 - Penyediaan Barang Cetakan dan Penggandaan 130.830.000 15.837.750 6.842.700 10.493.900 15.834.250 15.834.250 15.834.250 99,98 - Penyediaan Komponen Instalasi Listrik/Penerangan Bangunan Kantor 24.860.000 6.720.000 5.429.000 6.079.000 6.719.000 6.719.000 6.719.000 99,99 - Penyediaan Peralatan dan Perlengkapan Kantor 240.300.000 76.800.000 52.290.000 59.790.000 76.785.000 76.785.000 76.785.000 99,98 - Penyediaan Bahan Bacaan dan Peraturan Perundang- Undangan 15.000.000 3.000.000 - 3.000.000 3.000.000 3.000.000 3.000.000 100,00 - Penyediaan Makanan dan Minuman 567.960.000 102.960.000 22.520.000 61.205.000 88.220.000 88.220.000 88.220.000 85,68 - Rapat-Rapat Koordinasi dan Konsultasi Ke Luar Daerah 592.000.000 80.000.000 29.170.000 53.473.000 79.980.000 79.980.000 79.980.000 99,98 - Penyediaan jasa keamanan kantor 90.000.000 18.000.000 4.500.000 10.500.000 18.000.000 18.000.000 18.000.000 100,00 - Penyediaan jasa administrasi perkantoran 3.700.000 740.400.000 185.100.000 401.700.000 740.400.000 740.400.000 740.400.000 100,00 2 1.170.000.000 122.674.000 64.413.150 52.136.600 122.673.000 122.673.000 122.673.000 100,00 - Pengadaan Meubelair 50.000.000 7.000.000 999.000 6.000.000 6.999.000 6.999.000 6.999.000 99,99 - Pemeliharaan Rutin/Berkala Mobil Dinas Camat 430.000.000 25.564.000 12.054.150 15.386.600 25.564.000 25.564.000 25.564.000 100,00 - Pemeliharaan Rutin/Berkala Gedung Kantor 690.000.000 82.110.000 51.360.000 30.750.000 82.110.000 82.110.000 82.110.000 100,00 - Rehabilitasi sedang/berat kendaraan dinas operasional 40.000.000 8.000.000 - - 8.000.000 8.000.000 8.000.000 100,00 3 16.000.000 6.000.000 6.000.000 16.000.000 16.000.000 16.000.000 100,00 - Bimtek 136.000.000 16.000.000 6.000.000 6.000.000 16.000.000 16.000.000 16.000.000 100,00 14 = 7 + 13 15 = 14/6 * 100% Belanja Tidak Langsung Gaji dan Tunjangan Tambahan Penghasilan Berdasarkan Beban Kerja 8 9 10 11 12 137 Realisasi Capaian Kinerja RPJMD Kabupaten/Kota sampai dengan RKPD Kabupaten/Kota Tahun Lalu (n-2) Kode Program Peningkatan Kapasitas Sumberdaya Aparatur Tunjangan Kesejahtearaan Pegawai Lainnya Belanja Langsung Program Pelayanan Administrasi Perkantoran Program Peningkatan Sarana dan Prasarana Aparatur 1 2 4 5 6 Formulir VII.F.8 Evaluasi Terhadap Hasil RKPD Kota Padangsidimpuan Tahun 2013 Sasaran Pembangunan Tahunan Kota : Kecamatan PSP Tenggara No. Sasaran Urusan / Bidang Urusan Pemerintahan Daerah dan Program/Kegiatan Indikator Kinerja Program (Outcome)/ Kegiatan (Output) Target RPJMD Kabupaten/Kota pada Tahun .................. (Akhir Periode RPJMD) SKPD Penanggu ng Jawab I II Realisasi Kinerja dan Anggaran RPJMD Kabupaten/Kota s/d Tahun ......... (Akhir Tahun Pelaksanaan RKPD Tahun ......) Tingkat Capaian Kinerja dan Realisasi Anggaran RPJMD Kabupaten/Kota s/d Tahun ............ (%) III IV Target Kinerja dan Anggaran RKPD Kabupaten/Kota Tahun Berjalan (Tahun n-1) yang Dievaluasi Realisasi Kinerja Pada Triwulan Realisasi Capaian Kinerja dan Anggaran RKPD Kabupaten/Kota yang dievaluasi 45 dari 67
  • 343.
    K Rp. KRp. K Rp. K Rp. K Rp. K Rp. K Rp. K Rp. K Rp. K Rp. 14 = 7 + 13 15 = 14/6 * 100%8 9 10 11 12 137 1 2 4 5 6 4 99.630.000 12.400.000 4.650.000 10.850.000 - 12.400.000 12.400.000 12.400.000 100,00 - Penyusunan Laporan Capaian Kinerja dan Ikhtisar Realisasi Kinerja SKPD 11.070.000 1.550.000 - 1.550.000 1.550.000 1.550.000 1.550.000 100,00 - Penyusunan Pelaporan Keuangan Semesteran 11.070.000 1.550.000 - 1.550.000 1.550.000 1.550.000 1.550.000 100,00 - Penyusunan Pelaporan Keuangan Akhir Tahun 11.070.000 1.550.000 1.550.000 1.550.000 1.550.000 1.550.000 1.550.000 100,00 - Penyusunan Laporan, Rencana Kinerja dan Anggaran 44.280.000 4.650.000 1.550.000 3.100.000 4.650.000 4.650.000 4.650.000 100,00 Penyusunan Laporan Barang Pengguna Semesteran 11.070.000 1.550.000 - 1.550.000 1.550.000 1.550.000 1.550.000 100,00 - Penyusunan Laporan Barang Pengguna Tahunan 11.070.000 1.550.000 1.550.000 1.550.000 1.550.000 1.550.000 1.550.000 100,00 5 110.070.000 18.000.000 17.760.000 17.760.000 17.760.000 17.760.000 17.760.000 98,67 - Penyelenggaraan Musrenbang Kecamatan 110.070.000 18.000.000 17.760.000 17.760.000 17.760.000 17.760.000 17.760.000 98,67 6 55.850.000 11.176.000 - 5.337.000 11.165.500 11.165.500 11.165.500 99,91 - Peningkatan semangat gotong royong 55.850.000 11.176.000 - 5.337.000 11.165.500 11.165.500 11.165.500 99,91 7 329.980.000 38.850.000 5.000.000 19.074.000 38.849.000 38.849.000 38.849.000 100,00 - HUT RI 146.020.000 14.775.000 - - 14.775.000 14.775.000 14.775.000 100,00 - Festival Nasyid 121.990.000 14.075.000 - 14.074.000 14.074.000 14.074.000 14.074.000 99,99 - Peringatan Maulid Nabi 19.000.000 5.000.000 5.000.000 5.000.000 5.000.000 5.000.000 5.000.000 100,00 - Peringatan Isra' Mikraj 42.970.000 5.000.000 - - 5.000.000 5.000.000 5.000.000 100,00 8 167.970.000 31.450.000 30.475.000 31.450.000 31.450.000 31.450.000 31.450.000 100,00 - MTQ Tingkat Kecamatan 167.970.000 31.450.000 30.475.000 31.450.000 31.450.000 31.450.000 31.450.000 100,00 33 58 98 98,11 Faktor penghambat pencapaian kinerja : Tindaklanjut yang diperlukan dalam triwulan berikutnya : Tindaklanjut yang diperlukan dalam RKPD berikutnya : Program Peningkatan Semangat Gotong Royong Program Peningkatan Hari-Hari Besar Nasional/Daerah/Keagamaan Program Pengembangan Kemasyarakatan Rata - rata capaian kinerja (%) Predikat Kinerja Faktor pendorong keberhasilan kinerja : Program Peningkatan Pengembangan Sistem Pelaporan Capaian Kinerja dan Keuangan Program Perencanaan Pembangunan Daerah 46 dari 67
  • 344.
    Sasaran Pembangunan TahunanKota : Kecamatan PSP Selatan Indikator Urusan /Bidang Urusan Kinerja Program SKPD No Sasaran Pemerintahan Daerah dan (Outcome)/ Penanggung Program / Kegiatan Kegiatan Jawab (Output) K Rp K Rp K Rp K Rp K Rp K Rp K Rp K Rp K Rp K Rp Meningkatnya Kualitas / 1 20 Pemerintahan Umum profesionalisme aparatur 1 20 09 21 Program Perencanaan Pembangunan Tersusunnya 14,74 0 12 kel 14,3 8,06 8,06 Krt Camat sehingga terwujudya Daerah perencanaan Psp - Sel pelaksanaan pemerintahan Pembangunan yang modern kecamatan yang berkualitas 1 20 09 21 14 Penyelenggaraan Musrenbang Adanya perencanaan 14,74 0 12 kel 14,3 8,06 0 0 0 8,06 8,06 0,546811 Krt Camat Kecamatan pembangunan se- Psp - Sel kecamatan yang berkualitas 1 20 09 31 Program Peningkatan Semangat Terlaksananya 25,62 0 12 kel 0 0 0 Krt Camat Gotong Royong Program semangat Psp - Sel gotong-royong 1 20 09 31 01 Peningkatan Semangat Gotong Terciptanya 25,62 0 12 kel 0 0 0 0 0 0 0 0 Krt Camat Royong lingkungan yang Psp - Sel bersih dan indah 1 20 09 32 Program Perekonomian dan Terlaksananya 17,91 0 12 kel 17,82 17,82 17,82 Krt Camat Kesejahteraan Rakyat Program Perekono Psp - Sel mian dan kesejah teraan rakyat 1 20 09 32 02 Pelaksanaan Maulid Nabi Meningkatnya 8,955 0 1 kali 8,955 8,75 0 0 0 8,75 8,75 0,977108 Krt Camat Muhammad SAW kecintaan kepada Psp - Sel Nabi Muhammad SAW 1 20 09 32 05 Pelaksanaan Isra Mi’raj Nabi Menambah 8,955 0 1 kali 8,955 0 8,75 0 0 8,75 8,75 0,977108 Krt Camat Muhammad SAW keimanan dan Psp - Sel Ketaqwaan 1 20 09 38 Program Pengembangan Terlaksananya 107,1 0 12 kel 107,03 93,602 93,602 Krt Camat Kemasyarakatan Program Pengem Psp - Sel bangan kemasya rakatan 1 20 09 38 01 Pengembangan Kebudayaan Terciptanya 32,83 0 12 group 32,82 0 27,84 0 0 27,835 27,835 0,847853 Krt Camat Masyarakat prestasi yang Psp - Sel menggembirakan 1 20 09 38 02 Pengembangan Kemasyarakatan Tercapainya tujuan 29,39 0 12 kel 29,38 8,8 8,19 4,2 0 21,19 21,19 0,720994 Krt Camat kegiatan Tim Psp - Sel penggerak PKK 1 20 09 38 03 MTQ Tingkat Kecamatan Adanya Qori 44,88 0 1 kali 44,83 44,577 0 0 0 44,577 44,577 0,993249 Krt Camat maupun Qoriah Psp - Sel yang berprestasi Tindak lanjut yang diperlukan dalam triwulan berikutnya : berusaha semaksimal mungkin untuk mencapai tujuan program/kegiatan yang dimaksud Tindak lanjut yang diperlukan dalam RKPD berikutnya : mengupayakan agar program/kegiatan yang akan datang bisa lebih mensejahterakan masyarakat 15 = 14/6 * 100 % 16 Rata - rata caaian kinerja ( % ) Predikat Kinerja Faktor pendorong keberhasilan kinerja : adanya partisifasi semua pihak Faktor penghambat pencapaian kinerja : keterbatasan dana 9 10 11 12 13 14 = 13 RKPD Tahun 2018 ) ( % ) 1 2 3 4 5 6 7 8 ( n - 2 ) yang di evaluasi Kota yg dievaluasi Pelaksanaan s/d Tahun 2018 Anggaran RPJM ) Kota Tahun Lalu ( Tahun n - 1 ) I II III IV RKPD (Akhir Tahun s/d Tahun 2018 RPJMD Kota Kode ( Akhir Periode sampai dengan RKPD Kota Tahun Berjalan dan Anggaran Rformulir VII F.8 EVALUASI TERHADAP HASIL RKPD KOTA PADANGSIDIMPUAN TAHUN 2013 Triwulan IV Realisasi Realisasi Kinerja Pada Realisasi Kinerja Tingkat Capaian Kinerja dan Kota pada Tahun 2017 RKPD Kota / dan Anggaran RKPD Capaian Kinerja RPJMD Kota Realisasi dan AnggaranTarget RPJM Capaian Kinerja Target Kinerja Triwulan Realisasi 47 dari 67
  • 345.
    Sasaran Pembangunan TahunanKota : KEC. PADANGSIDIMPUAN UTARA Urusan/Bidang Urusan Indikator Pemerintahan Daerah dan Kinerja Program SKPD Program/Kegiatan (Outcome)/ Penanggung Kegiatan Jawab (Output) K Rp. K Rp. K Rp. K Rp. K Rp. K Rp. K Rp. K Rp. K Rp. K Rp. 1 Terwujudnya 1. Program Pelayanan Administrasi - Peningkatan Pelaya- 7.189.073.400 1.225.837.772 470.275.128 230.052.266 1.197.021.566 1.197.021.566 17 Kelembagaan Perkantoran nan Administrasi dan Ketatalak- 1 20 08 01 01 a. Penyediaan Jasa Surat Menyurat Perkantoran 273 Org 2.398.200.000 - - 53 Org 446.400.000 53 Org 0 53 Org 114.600.000 53 Org 108.600.000 53 Org 223.200.000 53 Org 446.400.000 53 Org 446.400.000 53 Org 19 sanaan Peme- 1 20 08 01 02 b. Penyediaan Jasa Komunikasi, Sum 5 Tahun 161.560.000 - - 1 Tahun 19.520.000 1 Tahun 0 1 Thn 3.436.628 1 Tahun 2.545.766 1 Tahun 2.757.072 1 Thn 8.739.466 1 Thn 8.739.466 1 Thn 5 rintah Daerah ber Daya Air dan Listrik yang berkuali- 1 20 08 01 03 c. Penyediaan Jasa Peralatan dan 5 Tahun 828.742.000 - - 1 Tahun 218.922.000 1 Tahun 0 1 Thn 216.665.000 1 Tahun 0 1 Tahun 7.500.000 1 Thn 224.165.000 1 Thn 224.165.000 1 Thn 27 tas, Sehat dan Perlengkapan Kantor Berwibawa 1 20 08 01 08 d. Penyediaan Jasa Kebersihan 5 Tahun 73.977.400 - - 1 Tahun 13.677.400 1 Tahun 0 1 Thn 4.920.000 1 Tahun 3.090.000 1 Tahun 5.667.400 1 Thn 13.677.400 1 Thn 13.677.400 1 Thn 18 Kantor 5 Org 1 Org 1 Org 1 Org 1 Org 1 Org 1 Org 1 Org 1 Org 1 20 08 01 10 e. Penyediaan Alat Tulis Kantor 85 Kntr 210.936.000 - - 17 Kntr 37.936.140 17 Kntr 0 17 Kntr 13.800.500 17 Kntr 14.647.100 17 Kntr 9.482.400 17 Kntr 37.930.000 17 Kntr 37.930.000 17 Kntr 18 1 20 08 01 11 f. Penyediaan Barang Cetakan dan 5 Tahun 124.626.000 - - 1 Tahun 21.626.200 1 Tahun 0 1 Thn 12.499.000 1 Tahun 3.406.400 1 Tahun 4.520.800 1 Thn 20.426.200 1 Thn 20.426.200 1 Thn 16 Penggandaan 1 20 08 01 12 g. Penyediaan Komponen Instalasi 5 Tahun 10.652.000 - - 1 Tahun 1.776.032 1 Tahun 0 1 Thn 444.000 1 Tahun 888.000 1 Tahun 444.000 1 Thn 1.776.000 1 Thn 1.776.000 1 Thn 17 Listrik/Penerangan Bangunan Kantor 1 20 08 01 15 h. Penyediaan Bahan Bacaan dan Pe- 5 Tahun 57.420.000 - - 1 Tahun 9.420.000 1 Tahun 0 1 Thn 3.320.000 1 Tahun 2.465.000 1 Tahun 3.635.000 1 Thn 9.420.000 1 Thn 9.420.000 1 Thn 16 raturan Perundang-Undangan 1 20 08 01 17 i. Penyediaan Makanan dan Minuman 735 Org 2.725.800.000 - - 140 Org 369.600.000 134 Org 0 134 Org 73.800.000 134 Org 80.040.000 134 Org 155.755.500 134 Org 309.595.500 134 Org 309.595.500 134 Org 11 1 20 08 01 18 j. Rapat-rapat Koordinasi dan Konsul 5 Tahun 528.160.000 - - 1 Tahun 73.160.000 1 Tahun 0 1 Thn 21.040.000 1 Tahun 13.220.000 1 Tahun 76.832.000 1 Thn 111.092.000 1 Thn 111.092.000 1 Thn 21 tasi ke Luar Daerah 1 20 08 01 20 k. Penyediaan Jasa Administrasi Per- 20 Orang 69.000.000 - - 4 Org 13.800.000 4 Org 0 4 Org 5.750.000 4 Org 1.150.000 4 Org 6.900.000 4 Org 13.800.000 4 Org 13.800.000 4 Org 20 kantoran 2. Program Peningkatan Sarana dan - Sarana dan Prasara 463.688.000 63.856.050 18.757.720 18.605.450 272.341.620 272.341.620 59 Prasarana Aparatur na Aparatur yang me- 1 20 08 02 22 a. Pemeliharaan Rutin/Berkala Ge- madai 5 Tahun 100.000.000 - - 1 Tahun 12.000.000 1 Thn 0 1 Thn 4.000.000 1 Thn 8.000.000 1 Thn 20.000.000 1 Thn 32.000.000 1 Thn 32.000.000 1 Thn 32 dung Kantor 1 20 08 02 24 b. Pemeliharaan Rutin/Berkala Ken- 5 Tahun 228.581.000 - - 1 Tahun 43.581.050 1 Thn 0 1 Thn 12.087.720 1 Thn 7.065.450 1 Thn 15.188.000 1 Thn 34.341.170 1 Thn 34.341.170 1 Thn 15,0 deraan Dinas/Operasional 1 20 08 02 26 Pemeliharaan Rutin/Berkala Perleng- 277 Unit 135.107.000 - - 4 Unit 8.275.000 4 Unit 0 4 Unit 2.670.000 4 Unit 3.540.000 4 Unit 2.064.000 4 Unit 8.274.000 4 Unit 8.274.000 4 Unit 6 kapan Gedung Kantor 1 20 08 02 45 Pengadaan Tanah Pertapakan Kantor 2 Unit 270.000.000 - - 2 Unit 270.000.000 2 Unit 0 2 Unit 0 2 Unit 0 2 Unit 0 2 Unit 197.726.450 2 Unit 197.726.450 2 Unit 73 3. Program Peningkatan Disiplin Apa- - Peningkatan Disiplin 162.000.000 42.000.000 40.500.000 0 40.500.000 40.500.000 25 ratur dari Aparatur 1 20 08 03 05 a. Pengadaan Pakaian Khusus Hari- 440 Org 162.000.000 - - 140 Org 42.000.000 135 Org 0 135 Org 40.500.000 135 Org 0 135 Org 0 135 Org 40.500.000 135 Org 40.500.000 135 Org 25 hari Tertentu Kecamatan Padangsidimp uan Utara Tahun lalu (n-2) Dievaluasi naan RKPD Tahun (%) 1 2 3 4 5 6 13 14 = 7 + 13 15 = 14/6 *100%7 8 9 10 11 12 evaluasi (Akhir Tahun Pelaksa Kota s/d Tahun Kinerja dan Anggaran dan Anggaran Renstra Kinerja dan Realisasi (Akhir Periode Kota sampai Kota Tahun Berjalan RKPD Kota yang di- Kota s/d Tahun 2013 Anggaran Renstra FORMULIR VII F.8 EVALUASI TERHADAP HASIL RKPD KOTA PADANGSIDIMPUAN TAHUN 2013 No. Sasaran Kode Target Renstra Kota Realisasi Capaian Target Kinerja dan Realisasi Kinerja Pada Triwulan Realisasi Capaian Realisasi Kinerja Tingkat Capaian pada Tahun 2017 Kinerja Renstra Anggaran RKPD I II III IV Renstra) dengan RKPD Kota (Tahun n-1) yang 48 dari 67
  • 346.
    Urusan/Bidang Urusan Indikator PemerintahanDaerah dan Kinerja Program SKPD Program/Kegiatan (Outcome)/ Penanggung Kegiatan Jawab (Output) K Rp. K Rp. K Rp. K Rp. K Rp. K Rp. K Rp. K Rp. K Rp. K Rp. 4. Program Peningkatan Kapasitas Sum - Peningkatan Penge- 136.000.000 25.000.000 0 0 16.000.000 16.000.000 12 ber Daya Aparatur tahuan dan Kemam- 1 20 08 05 01 a. Pendidikan dan Pelatihan Formal puan Aparatur dalam 25 orang 136.000.000 - - 5 Org 25.000.000 5 Org 0 5 Org 0 5 Org 0 5 Org 16.000.000 5 Org 16.000.000 5 Org 16.000.000 5 Org 12 5. Program Peningkatan Pengembangan - Peningkatan Kemam 94.980.000 18.366.000 4.678.000 0 18.366.000 18.366.000 18 Sistem Pelaporan Capaian Kinerja dan puan dibidang Pembu Keuangan atan Laporan-laporan 1 20 08 06 01 a. Penyusunan Laporan Capaian Kiner Capaian Kinerja dan 35 Orang 25.856.000 - - 7 Org 4.678.000 7 Org 0 7 Org 4.678.000 7 Org 0 7 Org 0 7 Org 4.678.000 7 Org 4.678.000 7 Org 18 ja dan Ikhtisar Realisasi Kinerja SKPD Keuangan 1 20 08 06 04 b. Penyusunan Pelaporan Keuangan 35 Orang 34.592.000 - - 7 Org 6.844.000 7 Org 0 7 Org 0 7 Org 0 7 Org 6.844.000 7 Org 6.844.000 7 Org 6.844.000 7 Org 0 Akhir Tahun 1 20 08 06 06 c. Penyusunan Laporan, Rencana Kiner 35 Orang 34.532.000 - - 7 Org 6.844.000 7 Org 0 7 Org 0 7 Org 0 7 Org 6.844.000 7 Org 6.844.000 7 Org 6.844.000 7 Org 0 ja dan Anggaran 6. Program Perencanaan Pembangunan - Peningkatan Pengem 147.605.000 24.605.000 24.605.000 0 24.605.000 24.605.000 17 Daerah bangan Pembangunan 1 20 08 21 14 a. Penyelenggaraan Musrenbang Ke- Daerah 85 Kntr 147.605.000 - - 17 Kntr 24.605.000 17 Kntr 0 17 Kntr 24.605.000 17 Kntr 0 17 Kntr 0 17 Kntr 24.605.000 17 Kntr 24.605.000 17 Kntr 17 camatan 7. Program Peringatan Hari-hari Besar - Peringatan Hari Be- 82.495.000 13.435.000 0 13.435.000 13.435.000 13.435.000 16 Nasional, Daerah dan Keagamaan sar Keagamaan 1 20 08 32 15 a. Pelaksanaan Festival Nasyid 30 Kec. 82.495.000 - - 6 Kec. 13.435.000 6 Kec. 0 6 Kec. 0 6 Kec. 13.435.000 6 Kec. 0 6 Kec. 13.435.000 6 Kec. 13.435.000 6 Kec. 16 8. Program Pengembangan Kemasyara- - Peningkatan Pengem 326.127.000 57.427.800 42.446.000 3.773.300 57.425.900 57.425.900 18 katan bangan yang berhubu- 1 20 08 38 01 a. Pengembangan Kebudayaan Masya ngan dengan masya- 80 Kel. 114.675.000 - - 16 Kel. 19.975.300 4 Kel. 0 4 Kel. 4.994.000 4 Kel. 3.773.300 4 Kel. 11.206.600 8 Kel. 19.973.900 8 Kel. 19.973.900 8 Kel. 17 rakat rakat 1 20 08 38 03 b. MTQ Tingkat Kecamatan 80 Kel. 211.452.000 - - 16 Kel. 37.452.500 16 Kel. 0 16 Kel. 37.452.000 16 Kel. 0 16 Kel. 0 16 Kel. 37.452.000 16 Kel. 37.452.000 16 Kel. 18 30 Kec. 6 Kec. 6 Kec. 6 Kec. 6 Kec. 6 Kec. 6 Kec. 6 Kec. 6 Kec. 8.601.968.400 1.470.527.622 601.261.848 265.866.016 1.639.695.086 1.639.695.086 19 13 14 = 7 + 13 15 = 14/6 *100% Realisasi Capaian Realisasi Kinerja Tingkat Capaian evaluasi (Akhir Tahun Pelaksa Kota s/d Tahun Kinerja dan Anggaran dan Anggaran Renstra Kinerja dan Realisasi RKPD Kota yang di- Kota s/d Tahun 2013 Anggaran Renstra JUMLAH TOTAL Rata-rata Capaian Kinerja (%) 7 8 9 10 11 12 Tahun lalu (n-2) Dievaluasi naan RKPD Tahun (%) 1 2 3 4 5 6 Renstra) dengan RKPD Kota III IV No. Sasaran Kode Target Renstra Kota Realisasi Capaian Target Kinerja dan Realisasi Kinerja Pada Triwulan (Tahun n-1) yang (Akhir Periode Kota sampai Kota Tahun Berjalan pada Tahun 2017 Kinerja RPJMD Anggaran RKPD I II 49 dari 67
  • 347.
    Sasaran Pembangunan TahunanKota PADANGSIDIMPUAN Kecamatan PSP Angkola Julu Urusan/Bidang Urusan SKPD No. Sasaran Pemerintahan Daerah Penanggungjawab dan Program/Kegiatan 1 2 4 16 K Rp. K Rp. K Rp. K Rp. K Rp. K Rp. K Rp. K Rp. K Rp. K Rp. 1 Meningkatnya kualitas/ 1 20 Pemerintahan Umum profesionalisme aparatur sehingga terwujudnya 1 20 13 21 Program perencanaan Tersusunnya perencanaan 14.175 8 desa 14.087 pelaksanaan pemerintahan pembangunan daerah pembangunan daerah Kec. yang modern yang berkualitas 1 20 13 21 14 Penyelenggaraan Adanya perencanaan 14.087 8 desa 14.087 14.087 0 0 14.087 14.087 100 musrembang kecamatan pembangunan se-Kec. yang berkualitas 1 20 13 31 Program peningkatan Terlaksananya program 41.500 8 desa 41.414 semangat gotong royong semangat gotong royong 1 20 13 31 01 Peningkata n semangat Terciptanya lingkungan 41.414 8 desa 41.414 0 0 0 0 41.414 41.414 100 gotong royong yang bersih dan indah 1 20 13 38 Program pengembangan Terlaksananya program 82.950 8 desa 82.165 kemasyarakatan pengembangan kemasy. 1 20 13 38 01 Pengembangan kebudayaan Terlaksananya kegiatan 11.550 1 group 11.550 0 11.550 0 0 11.550 11.550 100 masyarakat nasyid dengan baik 1 20 13 38 02 Pemngembangan Kemasy. Terlaksananya PKK Kec. 40.000 8 desa 40.000 20.000 10.500 5.000 3.500 40.000 40.000 100 1 20 13 38 03 MTQ Tk. Kecamatan Terlaksananya MTQ 30.615 1 kali 30.615 30.615 0 0 0 30.615 30.615 100 dengan baik Faktor pendorong keberhasilan kinerja : adanya partisifasi semua pihak Faktor penghambat pencapaian kinerja : keterbatasan dana Tindaklanjut yang diperlukan dalam triwulan berikutnya : berusaha semaksimal mungkin untuk mencapai tujuan program/kegiatan yang dimaksud Tindaklanjut yang diperlukan dalam RKPD berikutnya : menupayakan agar program/kegiatan yang akan datang bisa lebih mensejahterakan masyarakat Kantor Camat PSP ANGKOLA JULU Kantor Camat PSP ANGKOLA JULU Kantor Camat PSP ANGKOLA JULU 10 11 12 13 14 (13) 15 (14/6 x 100%)3 5 6 7 8 9 Rata-rata capaian kinerja ( % ) Predikat Kinerja (Output) RPJMD ) Tahun lalu (Tahun n-1 ) yang Dievaluasi Pelaksanaan s/d Tahun 2018 (n-2) yang Dievaluasi RKPD Tahun … ( % ) Target RPJMD Capaian Kinerja Target Kinerja Triwulan Realisasi s/d tahun 2018 Anggaran Kegiatan ( Akhir Periode RKPD Kota Tahun Berjalan I II III IV RKPD Kota (Akhir tahun RPJMD Kota Formulir VIII. F.8 EVALUSI TERHADAP HASIL RKPD KOTA PADANGSIDIMPUAN TAHUN 2013 Realisasi Realisasi Kinerja pada Realisasi Kinerja Tingkat Capaian Kode (Outcome) / tahun 2017 sampai dengan RKPD Kota dan Anggaran dan Anggaran Kinerja dan Kinerja Program Kota pada RPJMD Kota dan Anggaran Capaian Kinerja RPJMD Kota Realisasi Indikator 50 dari 67
  • 348.
    Kec. PSP Hutaimbaru IndikatorSKPD Urusan /Bidang Urusan Kinerja Program Penang No Sasaran Pemerintahan Daerah dan (Outcome)/ gung Program / Kegiatan Kegiatan Jawab (Output) RPJM ) Rp Rp K Rp K Rp K Rp K Rp K Rp K Rp K Rp K Rp Meningkatnya Kualitas / 1 20 Pemerintahan Umum profesionalisme aparatur 1 20 12 21 Program Perencanaan PembangunanTersusunnya 50,00 10 Desa 10.0 10.0 sehingga terwujudya Daerah perencanaan Kel pelaksanaan pemerintahan Pembangunan yang modern kecamatan yang berkualitas 1 20 12 21 14 Penyelenggaraan Musrenbang Adanya perencanaan 50,00 10 Desa / kel 10,00 10,00 0,00 0,00 0,00 10.0 10,00 1,67 Kec. Psp Kecamatan pembangunan se- Kel kecamatan yang berkualitas 1 20 12 32 Program Peningkatan Hari - Hari BesarTerlaksananya 58,25 10 Desa / kel 11,65 Nasional Program semangat Kel Nasionalisme 1 20 12 32 01 Pelaksanaan HUT - RI Terciptanya 58,25 10 Desa / kel 11,65 11,65 11,65 0,00 0,00 11,65 11,65 1,94 Kec. Psp Rasa Kecintaan Kepada Kel Bangssa dan Negara 1 20 12 38 Program Pengembangan Terlaksananya 261,85 10 Desa 52,33 Kemasyarakatan Program Pengem Kel bangan kemasya rakatan 1 20 12 38 01 Pengembangan Kebudayaan Terciptanya 34,90 1 Grup 6,94 0,00 6,94 0,00 0,00 6,94 6,94 1,16 Kec. Psp Masyarakat prestasi yang menggembirakan 1 20 12 38 02 Pengembangan KemasyarakatanTercapainya tujuan 75,00 10 Desa 15,00 3,75 3,75 0,00 0,00 7,50 7,50 1,25 Kec. Psp kegiatan Tim Kel penggerak PKK 1 20 12 38 03 MTQ Tingkat Kecamatan Adanya Qori 151,95 1 kali 30,39 0,00 30,39 0,00 0,00 30,39 30,39 5,07 Kec. Psp maupun Qoriah yang berprestasi Hutaimb aru Hutaimb aru Hutaimb aru Hutaimb aru Hutaimb aru Tindak lanjut yang diperlukan dalam triwulan berikutnya : berusaha semaksimal mungkin untuk mencapai tujuan program/kegiatan yang dimaksud Tindak lanjut yang diperlukan dalam RKPD berikutnya : mengupayakan agar program/kegiatan yang akan datang bisa lebih mensejahterakan masyarakat Sasaran Pembangunan Tahunan Kota Padangsidimpuan Formulir VII F.8 15 = 14/6 * 100 % 16 Rata - rata caaian kinerja ( % ) Predikat Kinerja Faktor pendorong keberhasilan kinerja : adanya partisifasi semua pihak Faktor penghambat pencapaian kinerja : keterbatasan dana 9 10 11 12 13 14 = 7 + 13 RKPD Tahun 2017 ) ( % ) 1 2 3 4 5 6 7 8 ( n - 2 ) yang di evaluasi Kota yg dievaluasi Pelaksanaan s/d Tahun 2018 III IV RKPD (Akhir Tahun RPJMD Kota( Akhir Periode Kota Tahun Lalu ( Tahun n - 1 ) I II Kode pada tahun 2017 sampai dengan RKPD Kota Tahun Berjalan dan Anggaran Realisasi Target RPJM Capaian Kinerja Target Kinerja Triwulan Realisasi s/d Tahun 2017 Anggaran EVALUASI TERHADAP RKPD KOTA PADANGSIDIMPUAN TAHUN 2013 Realisasi Realisasi Kinerja Pada Realisasi Kinerja Tingkat Capaian dan Anggaran Kinerja dan Kota pada RKPD Kota / dan Anggaran RKPD Capaian Kinerja RPJMD Kota 51 dari 67
  • 349.
    Sasaran Pembangunan TahunanKota: Padangsidimpuan Dinas Pertanian 1 2 3 4 5 16 K Rp K Rp K Rp K Rp K Rp K Rp K Rp K Rp K Rp K Rp Pilihan Pertanian/Keh utanan/Perikan an 1 Peningkatan Hasil dan Jenis Produk Pertanian 15 Program Peningkatan Kesejahteraan Petani Peningkatan pendapatan petani 75% 50.000.000 0 0 75% 49.230.000 0 0 60,89% 29.980.000 65% 32.580.000 65% 41.580.000 65,00% 41.580.000 65,00% 41.580.000 87% 83,00% DPPK 15.01 Pelatihan Petani dan Pelaku Agribisnis Peningkatan pengetahuan petani 25 orang 50.000.000 0 0 25 orang 49.230.000 0 0 25 orang 29.980.000 25 orang 32.580.000 0 41.580.000 25 orang 41.580.000 25 orang 41.580.000 100% 83% DPPK 2 Peningkatan fungsi hutan dan lahan 16 Program Rehabilitasi Hutan dan Lahan Berkurangny a lahan kritis 20 Ha 70.000.000 0 0 20 Ha 65.820.000 0 0 0 0 0 0 20 Ha 65.820.00 20 Ha 65.820.000 20 Ha 65.820.000 100% 94% DPPK 16.06 Peningkatan Peran Serta Masyarakat Dalam Rehabilitasi Hutan dan Lahan Berkurangny a lahan kritis 20 Ha 70.000.000 0 0 20 Ha 65.820.000 0 0 0 0 0 0 20 Ha 65.820.000 20 Ha 65.820.000 20 Ha 65.820.000 100% 94% DPPK 3 Peningkatan hasil dan jenis produk pertanian 19 Program Peningkatan Produksi Pertanian/Perk ebunan Peningkatan produktivita s pertanian /perkebuna n 1 Ton/Ha 80.000.000 0 0 1 Ton/Ha 76.933.500 0 0 0 0 0 0 1 Ton/Ha 75.385.400 1 Ton/Ha 75.385.400 1 Ton/Ha 75.385.400 100% 94% DPPK 19.02 Penyediaan Sarana Produksi Pertanian/Perk ebunan Terpenuhiny a sarana produksi pertanian /perkebuna n 100 unit 80.000.000 0 0 100 unit 76.933.500 0 0 0 0 0 0 100 unit 75.385.400 100 unit 75.385.400 100 unit 75.385.400 100% 94% DPPK 4 Peningkatan hasil ternak 21 Program Pencegahan dan Penanggulanga n Penyakit Ternak Peningkatan kesehatan hewan ternak 100 ekor 105.000.000 0 0 100% 103.633.000 0 0 100 ekor 101.992.400 100 ekor 102.857.400 100 ekor 102.857.400 100% 102.857.400 100 ekor 102.857.400 100% 97% DPPK 21.02 Pemeliharaan Kesehatan dan Pencegahan Penyakit Menular Ternak Peningkatan kesehatan hewan ternak 100 ekor 105.000.000 0 0 100 ekor 103.633.000 0 0 100 ekor 101.992.400 100 ekor 102.857.400 100 ekor 102.857.400 100 ekor 102.857.400 100 ekor 102.857.400 100% 97% DPPK SKPD Penang gung JawabI II III IV 6 7 8 9 10 Realisasi Capaian Kinerja RPJMD Kab/Kota sampai dengan RKPD Kab/Kota Tahun Lalu(n-2) Target Kinerja dan Anggaran RKPD Kab/Kota Tahun Berjalan(n-1) yang Dievaluasi Realisasi Kinerja Pada Triwulan 11 12 13 14 =7 +13 15=14/6*100% Realisasi Capaian Kinerja dan Anggaran RKPD Kab/Kota yang dievaluasi Realisasi Kinerja dan Anggaran RPJMD Kab/Kota s/d Tahun 2013 Tingkat Capaian Kinerja dan Realisasi Anggaran RPJMD Kab/Kota sampai tahun 2013( %) FORMULIR VII.F.8 EVALUASI TERHADAP HASIL RKPD KOTA PADANGSIDIMPUAN TAHUN 2013 Target RPJMD Kab/Kota pada Tahun Lalu (n-2)No Sasaran Kode Urusan/Bidang Urusan Pemerintahan Daerah dan Program/Kegiat an Indikator Kinerja Program (Outcome) /Kegiatan (Output) 52 dari 67
  • 350.
    5 Peningkatan hasil ternak 22 Program Peningkatan Produksi Hasil Peternakan Peningkatan produksi hasilternak 1 Ton 192.000.000 0 0 1 Ton 183.563.000 0 0 0 66.077.000 0 66.857.000 0 1 Ton 182.477.000 1 Ton 182.477.000 100% 95% DPPK 22.03 Pendistribusian Bibit Ternak Kepada Masyarakat Peningkatan produksi hasil ternak 100 ekor 180.000.000 0 0 100 ekor 173.340.000 0 0 0 56.099.000 0 56.879.000 0 0 100 ekor 172.499.000 100 ekor 172.499.000 100% 96% DPPK 22.04 Penyuluhan Pengelolaan Bibit Ternak Yang Didistribusikan Kepada Masyarakat Peningkatan produksi hasil ternak 1 Ton 12.000.000 0 0 1 Ton 10.223.000 0 0 0 9.978.000 0 9.978.000 0 0 1 Ton 9.978.000 1 Ton 9.978.000 100% 83% DPPK 6 Peningkatan Hasil dan Jenis Produk Pertanian 16 Program Peningkatan Ketahanan Pangan Peningkatan produktivita s pertanian 6 Ton/Ha 24.000.000 0 0 6 Ton/Ha 23.560.000 0 0 0 14.640.000 0 17.280.000 0 0 4 Ton/Ha 23.560.000 4 Ton/Ha 23.560.000 100,00% 98,00% DPPK 16.09 Pemanfaatan Pekarangan Untuk Pengembangan Pangan Peningkatan luas pemanfaatan pekarangan 5 Ha 24.000.000 0 0 5 Ha 23.560.000 0 0 0 14.640.000 0 17.280.000 0 0 3 Ha 23.560.000 3 Ha 23.560.000 100% 98,00% DPPK 7 Peningkatan Produksi Perikanan 20 Program Pengembangan Budidaya Perikanan Peningkatan produksi perikanan 4 Ton/Tahu n 1.550.000.000 0 0 4Ton /Tahun 1.552.760.000 0 0 0 179.184.000 0 182.484.000 0 0 2 Ton 1.543.590.500 4 Ton/Tahun 1.543.590.500 100% 99,00% DPPK 20.03 Pembinaan dan Pengembangan Perikanan Peningkatan produksi perikanan 4 Ton/Tahu n 1.550.000.000 0 0 4 Ton /Tahun 1.552.760.000 0 0 2 Ton 179.184.000 0 182.484.00 0 0 2 Ton 1.543.590.500 4 Ton/Tahun 1.543.590.500 100% 99,00% DPPK 98,00% 93,00% DPPK Baik Baik DPPK Faktor Pendorong Keberhasilan Kinerja: Dukungan pemerintah pusat dan provinsi, kinerja pegawai yang bagus dan dukungan dana dari APBD Faktor Penghambat Pencapaian Kinerja: kelemahan manajerial, lemahnya budaya kerja petani dan kurangnya penguasaan teknologi Tindak Lanjut yang diperlukan dalam triwulan berikutnya: penyuluhan terhadap petani Tindak lanjut yang diperlukan dalam RKPD berikutnya: percepatan pengesahan APBD Rata-rata capaian kinerja (%) Predikat kinerja 53 dari 67
  • 351.
    Sasaran Pembangunan TahunanKota Padangsidimpuan Badan Ketahanan Pangan dan Penyuluhan Pertanian Daerah Kota Padangsidimpuan K Rp. K Rp. K Rp. K Rp. K Rp. K Rp. K Rp. K Rp. K Rp. K Rp. Wajib Ketahanan Pangan 1 21 1 15 Program Peningkatan Kesejahteraan Petani Kegiatan : 1 21 1 15 01 Pelatihan Petani dan Pelaku Agribisnis 1 Pkt 137.000.000 24.479.500 - - - 24.479.500 24.479.500 24.479.500 0,179 BKP3 1 21 1 15 02 Penyuluhan dan Pendampingan Petani dan Pelaku Agribisnis 1 Thn 28.630.000 28.630.000 - - - 28.540.000 28.540.000 28.540.000 0,997 BKP3 1 21 1 15 03 Peningkatan Kemampuan Lembaga Petani 4 Bln 14.935.000 14.935.000 - - 13.135.000 1.780.000 14.915.000 14.915.000 0,999 BKP3 KTNA 1 21 1 15 04 Peningkatan Insentif dan Disnisentif bagi Petani/ Kelompok Tani 5 Klpk 125.312.000 1 Thn 16.400.000 - 1 Thn 1.500.000 - 14.884.000 1 Thn 16.384.000 16.384.000 0,131 BKP3 1 21 1 15 09 Mimbar Sarasehan Kelompok Tani / Nelayan 1 Pkt 20.240.000 20.240.000 - - - 20.240.000 20.240.000 20.240.000 1,000 BKP3 KK Miskin / 1 21 1 15 11 Dana Sharing Desa Mandiri Pangan 1 Pkt 300.000.000 6 Bln 53.640.000 - - - 51.660.000 51.660.000 51.660.000 0,172 BKP3 Kel. Tani / Masyarakat Dana Sharing Gerakan Mandiri Pangan - - - - - - - - - - 0,000 BKP3 1 21 1 15 12 60 Org 160.000.000 - - - - - - - 0,000 BKP3 1 21 1 15 13 Keikutsertaan Petani Dalam Pekan Daerah KTNA Nasional KTNA 25 Org 200.000.000 - - - - - - - 0,000 BKP3 1 21 1 15 14 Penilaian Petani berprestasi 12 Org 74.900.000 - - - - - - - 0,000 BKP3 1 21 1 15 15 Penilaian kelompok tani berprestasi 24 klpk 80.000.000 - - - - - - - 0,000 BKP3 1 21 1 15 16 magang petani Hortikultura 55 Org 311.400.000 - - - - - - - 0,000 BKP3 1 21 1 15 17 Magang Petani Agribisnis tanaman Pangan 57 org 311.400.000 - - - - - - - 0,000 BKP3 1 21 1 15 18 Magang Petani Agribisnis Perkebunan 42 org 178.100.000 - - - - - - - 0,000 BKP3 1 21 1 15 19 Magang Petani Agribisnis Hortikultura 48 Org 296.400.000 - - - - - - - 0,000 BKP3 1 21 1 15 20 Pelatihan Petani Tata Guna Air 6 Org 45.000.000 - - - - - - - 0,000 BKP3 1 21 1 15 21 pelatihan Petani Inseminasi Buatan 6 Org 45.000.000 - - - - - - - 0,000 BKP3 1 21 1 15 22 Pelatihan Petani Alat Mekanisasi 6 Org 45.000.000 - - - - - - - 0,000 BKP3 1 21 1 15 23 Pelatihan Petani Tanaman Pangan dan Hortikultura 144 org 122.500.000 - - - - - - - 0,000 BKP3 1 21 1 15 24 Alih Tekhnologi 4 Pkt 306.400.000 - - - - - - - 0,000 BKP3 1 21 1 15 25 Demplot petani tanaman pangan 120 unit 480.000.000 - - - - - - - 0,000 BKP3 1 21 1 15 26 Demplot Petani Hortikultura 72 Unit 720.000.000 - - - - - - - 0,000 BKP3 13 14 = 7 + 13 15 = 14 / 6 *100% Keikutsertaan Petani Dalam Pekan Daerah KTNA Provinsi Sumatera Utara 10 116 7 8 9 12 1 2 3 4 5 Target RPJMD Kota pada tahun 2013 (Akhir Periode RPJMD) FORMULIR VII.F.8 EVALUASI TERHADAP HASIL RKPD KOTA PADANGSIDIMPUAN TAHUN 2013 Realisasi Capaian Kinerja RPJMD Kota sampai dengan RKPD Kota Tahun Lalu (n- 2) / 2012 Target Kinerja dan Anggaran RKPD Kota Tahun Berjalan (Tahun n-1) yang dievaluasi / 2013 Realisasi Kinerja pada Triwulan Realisasi Capaian Kinerja dan Anggaran RKPD Kota yang dievaluasi (2013) Realisasi Kinerja dan Anggaran RPJMD Kota S/D Tahun 2012 S/D 2013 (Akhir Tahun Pelaksanaan RKPD Tahun 2013) SPKD Penan ggung Jawab I II III IV Tingkat Capaian Kinerja dan Realisasi Anggaran RPJMD Kota s/d Tahun 2013 (%) NO Sasaran Kode Urusan / Bidang Urusan Pemerintahan Daerah dan Program / Kegiatan Indikator Kinerja Program (Outcome) /Kegiatan (Output) 54dari 67
  • 352.
    1 2 45 16 1 21 1 15 27 Denfarm Padi 75 Org 540.000.000 - - - - - - - 0,000 BKP3 1 21 1 15 28 Demplot kedelai 25 Klpk 140.000.000 - - - - - - - 0,000 BKP3 1 21 1 15 29 Demplot Padi Organik 108 Org 540.000.000 - - - - - - - 0,000 BKP3 1 21 1 15 30 Demplot Tanaman Sayuran Organik 108 Org 756.000.000 - - - - - - - 0,000 BKP3 1 21 1 15 31 Pembuatan Pupuk Organik 150 Klpk 360.000.000 - - - - - - - 0,000 BKP3 1 21 1 15 32 Pembibitan Sapi 24 klpk 108.000.000 - - - - - - - 0,000 BKP3 1 21 1 15 33 Pembuatan Pakan Ternak sapi 24 klpk 432.000.000 - - - - - - - 0,000 BKP3 1 21 1 15 34 5 Pkt 13.600.000 - - - - - - - 0,000 BKP3 1 21 1 15 35 Jambore Penyuluh Nasional 61 org 573.800.000 - - - - - - - 0,000 BKP3 1 21 1 16 Program Peningkatan Ketahanan Pangan Pertanian / Perkebunan Kegiatan : 2 01 04 16 01 Penanganan Daerah Rawan Pangan 20 Desa 400.000.000 2 21 1 16 02 Penyusunan Data Base Potensi Produksi Pangan 20 Dok 156.050.000 - 1 Thn#### 200.000 2.550.000 8.207.000 1 Thn 14.767.000 14.767.000 0,095 BKP3 2 21 1 16 04 Analisa Rasio Jumlah Penduduk terhadap Jumlah Kebutuhan Pangan 4 Dok 210.000.000 - - - - - - - 0,000 BKP3 2 01 04 16 07 Monitoring Evaluasi dan Pelaporan Kebijakan Perberasan 8 Dok 120.000.000 - - - - - - - 0,000 BKP3 2 21 1 16 09 Pemanfaatan Pekarangan Untuk Pengembangan Pangan 4 Pkt 160.000.000 - - - - - - - 0,000 BKP3 2 01 04 16 10 Pemantauan dan Analisis Akses Pangan masyarakat 16 Dok 110.000.000 - - - - - - - 0,000 BKP3 2 01 04 16 11 Pemantauan dan analisis Harga Pangan Pokok 20 Dok 40.000.000 - - - - - - - 0,000 BKP3 2 01 04 16 12 penanganan Pasca Panen dan Pengolahan hasil Pertanian 4 Pkt 260.000.000 - - - - - - - 0,000 BKP3 2 01 04 16 13 Pembinaan Cadangan Pangan 4 Klpk 110.000.000 - - - - - - - 0,000 BKP3 2 01 04 16 14 Pengembangan Desa Mandiri Pangan 4 Desa 600.000.000 - - - - - - - 0,000 BKP3 2 01 04 16 18 Pengembangan Lumbung pangan desa 3 desa 390.000.000 - - - - - - - 0,000 BKP3 2 21 1 16 21 Pengembangan Sistem Informasi Pasar 20 Dok 200.000.000 1 Thn 32.090.000 1 Thn#### 100.000 9.480.000 18.994.000 1 Thn 31.634.000 31.634.000 0,158 BKP3 2 21 1 16 22 Peningkatan Mutu dan Keamanan Pangan 5 Pkt 220.000.000 3 Bln 35.125.500 - - 29.425.500 5.650.000 1 Thn 35.075.500 35.075.500 0,159 BKP4 2 01 04 16 23 Koordinasi Kebijakan Perberasan 6 Pkt 60.000.000 - - - - - - - 0,000 BKP3 - - - 31.250.000 31.250.000 31.250.000 0,077 BKP3 2 21 1 16 33 Pengembangan Diversifikasi Pangan Lokal 5 Pkt 210.000.000 34.150.000 - - 28.450.500 5.650.000 34.100.500 34.100.500 0,162 BKP3 Kel.Tani 2 01 04 16 35 Penghargaan Adhikarya Pangan Nusantara / Tingkat Kota 5 Pkt 278.200.000 6 Bln 28.142.000 - - 16.442.000 9.774.000 26.216.000 26.216.000 0,094 BKP3 2 21 1 16 37 Rapat Dewan Ketahanan Pangan 5 Dok 239.200.000 39.220.000 - - 13.174.200 25.138.000 38.312.200 38.312.200 0,160 BKP3 2 21 1 16 38 Monitoring Evaluasi dan Pelaporan 4 Pkt 80.000.000 - - - - - - - - 0,000 BKP3 Kel. Tani / Masyarakat 405.000.000 KWT dan PKK Binaan sekota Psp 2 21 1 16 15,000 31.350.00030 Penyuluhan Sumber Pangan Alternatif 10 11 12 13 143 6 7 8 9 Penyuluhan dan Bimbingan Pemanfaatan dan Produktifitas lahan tidur 5 Pkt 55dari 67
  • 353.
    1 2 45 16 2 01 04 16 38 Sistem Kewaspadaan pangan dan Gizi (SKPG) 4 Pkt 105.000.000 - - - - - - - 0,000 BKP3 2 01 04 16 39 Penyusunan SPM Ketahanan Pangan 8 Dok 70.000.000 - - - - - - - 0,000 BKP3 1 21 1 17 Program Peningkatan Pemasaran Hasil Produksi Pertanian / Perkebunan Kegiatan : 1 21 1 17 07 Promosi atas hasil produksi pertanian / perkebunan unggulan daerah 20 Org 48.195.000 0 - - - - - 0 0,000 1 21 1 20 Program Pemberdayaan Penyuluh Pertanian / Perkebunan Lapangan Kegiatan : PPL PNS 1 21 1 20 01 Honorarium THL - TB PP / Peningkatan Kesejahteraan Tenaga Penyuluh Pertanian / Perkebunan 80 Org 192.000.000 3 Bln 75.000.000 - - - 72.000.000 72.000.000 72.000.000 0,375 BKP3 PPL THL TB 1 21 1 20 02 BOP Penyuluh PNS / Peningkatan Kapasitas Tenaga Penyuluh Pertanian / Perkebunan 250 Org 435.000.000 2 Bln 11.086.000 - - - 10.786.000 10.786.000 10.786.000 0,025 BKP3 1 21 1 20 04 Pertemuan BPP 250 Org 230.000.000 1 Thn 34.450.000 1 Thn#### 1 Thn 1.750.000 - - 1 Thn 8.440.000 8.440.000 0,037 BKP3 1 21 1 20 05 Penyediaan Demplot Bagi penyuluh pertanian / perkebunan lapangan 1 Thn 53.765.000 53.765.000 - - - 53.765.000 53.765.000 53.765.000 1,000 BKP3 1 21 1 20 06 Rapat Posko 900 Org 583.200.000 1 Thn 60.000.000 1 Thn#### 1 Thn 13.855.000 - - 1 Thn 15.780.000 15.780.000 0,027 BKP3 1 21 1 20 08 Pembuatan buku rencana kerja harian dan buku pintar 1.040 buah 213.525.000 13.525.000 - - 12.325.000 1.200.000 13.525.000 13.525.000 0,063 BKP3 1 21 1 20 09 Rencana Kerja, Program Kerja Tk. Kecamatan / Kota 450 Buah 145.730.000 25.730.000 - - - - 25.730.000 25.730.000 0,177 BKP3 1 21 1 20 10 Pengadaan Sarana dan Prasarana Penyuluhan 5 Pkt 230.000.000 - - - - - - - 0,000 BKP3 1 21 1 20 11 Penilaian Penyuluh PNS Teladan 30 Org 86.080.000 - - - - - - - 0,000 BKP3 1 21 1 20 12 Penilaian Penyuluh Swadaya Teladan 12 Org 55.000.000 - - - - - - - 0,000 BKP3 1 21 1 20 13 Penilaian BPP Teladan 24 Unit 80.000.000 - - - - - - - 0,000 BKP3 1 21 1 20 14 Magang Penyuluh tanaman pangan / perikanan 44 Org 307.168.000 - - - - - - - 0,000 BKP3 1 21 1 20 15 Magang Penyuluh tanaman hortikultura 48 Org 379.968.000 - - - - - - - 0,000 BKP3 1 21 1 20 16 Magang Penyuluh Tanaman Perkebunan/Peternakan 8 Org 60.000.000 - - - - - - - 0 BKP3 1 21 1 20 17 Pelatihan Penyuluh Agribisnis Tanaman Hortikultura 120 Org 79.200.000 - - - - - - - 0 BKP3 1 21 1 20 18 Pelatihan Penyuluh Tata Guna Air 140 Org 96.900.000 - - - - - - - 0 BKP3 1 21 1 20 19 Pelatihan Penyuluh Alat Mekanisasi 128 org 83.250.000 - - - - - - - 0 BKP3 1 21 1 20 20 Pelatihan Penyuluhan Perbenihan Tanaman pangan / Hortikultura 140 Org 134.100.000 - - - - - - - 0 BKP3 1 21 1 20 21 Demplot Penyuluh Tanaman Pangan 150 Org 653.765.000 - - - - - - - 0 BKP3 1 21 1 20 22 Demplot penyuluh Perbenihan padi 120 org 600.000.000 - - - - - - - 0 BKP3 1 21 1 20 23 Demplot Penyuluh Hortikultura 51 Org 488.630.000 - - - - - - - 0 BKP3 1 21 1 20 24 Demplot penyuluh Pembibitan perkebunan 48 Org 576.000.000 - - - - - - - 0 BKP3 1 21 1 20 25 Pembuatan Brosur, Liflet Penyuluhan 24.000 Lbr 750.000.000 - - - - - - - 0 BKP3 9 15,00010 11 12 13 14 PPL THL TB dan PPL PNS Petugas Lapangan 3 6 7 8 56dari 67
  • 354.
    1 2 45 16 1 21 1 20 26 Jambore Penyuluh Provinsi 76 Org 220.800.000 48.195.000 - - - 48.086.000 48.086.000 48.086.000 0,217780797 BKP3 BKP3 JUMLAH 18.671.343.000 615.685.700 0,032974902 Faktor pendorong keberhasilan kinerja : Faktor penghambat pencapaian kinerja : Tindaklanjut yang diperlukan dalam triwulan berikutnya : Tindaklanjut yang diperlukan dalam RKPD berikutnya : 9 15,00010 11 12 13 14 Rata - rata Capaian Kinerja (%) Predikat Kinerja 3 6 7 8 57dari 67
  • 355.
    K Rp KRp K Rp K Rp K Rp K Rp K Rp K Rp K Rp K % 1 22 1 22 1 1 15 PROG. PENINGKATAN KEBERDAYAAN MASYARAKAT PEDESAAN 1 Terbentuknya Lembaga tk. Desa/Kel 1 22 1 22 1 1 15 1 Bantuan Operasional Lembaga dan Organisasi Masyarakat Desa/Kel Meningkatkatkan Peran Lembaga sbg Mitra 79 Des/ Kel 350.000.000 79 BPMK 2 Termotifasinya Masyarakat untuk meningkatkan Keberdayaan dlm membangun Desa 1 22 1 22 1 1 15 3 Penyelenggaraan Diseminasi Informasi bagi Masyarakat Desa Termotifasinya Masyarakat untuk meningkatkan Keberdayaan dlm membangun Desa 300 Org 589.000.000 60 48.760.100 60 5.600.000 60 33.230.100 60 Org 38.830.100 60 38.830.100 60 7 3 Terciptanya RPJM Desa dan RKPDesa yang terarah dan akuntabel 1 22 1 22 1 1 15 7 Pasilitasi Penyusunan RPJM Desa dan RKP Desa Tersedianya RPJM Desa dan RKP Desa yang terarah 790 Org 1.355.000.000 790 67.683.500 24.553.500 24.553.500 24.553.500 2 4 1 22 1 22 1 1 15 8 Pengelolaan Sumber Daya Alam Berbasis TTG. Terbentuknya Posyantek hasil Revitalisasi. 6 Kec 540.000.000 5 1 22 1 22 1 1 15 Penyelenggaraan Pendidikan dan Pelatihan Tekhnis Masyarakat ( Kader Pemberdayaan Masyarakat ) Termotifasinya Masyarakat untuk meningkatkan Keberdayaan dlm membangun Desa 2700 Org 870.000.000 6 Terlaksananya Pemilihan Kepala Desa 1 22 1 22 1 1 15 Pasilitasi Pemilihan Kepala Desa Terlaksananya Pemilihan Kepala Desa 42 Des 420.000.000 7 1 22 1 22 1 1 15 Pembinaan Admininstrasi Pemerintah Desa Terlaksananya Administrasi Pemerintahan Desa 42 Des 280.000.000 8 1 22 1 22 1 1 15 Pasilitasi Peningkatan Desa Menjadi Kelurahan Termotifasinya keswadayaan masyarakat Pembangunan Desa 10 Des 2.250.000.000 9 1 22 1 22 1 1 15 Pelatihan Aparatur Desa dalam bidang Manajemen Pemerintahan Desa Termotifasinya Aparatur Desa untuk meningkatkan Pengetahuan dalam Manajemen dan Pengelolaan Keuangan Desa. 42 Des 855.000.000 1 22 1 22 1 1 17 PROGRAM PENINGKATAN PARTISIFASI MASYARAKAT DALAM MEMBANGUN DESA RPJMD RPJMD Realisasi LAPORAN HASIL EVALUASI RKPD KOTA PADANGSIDIMPUAN TAHUN 2013 BADAN PEMBERDAYAAN MASYARAKAT DAERAH KOTA PADANGSIDIMPUAN No Sasaran kode urusan/Bid. Urusan Pemerintah Daerah dan Prog/Keg Indikator Kinerja Program ( Outcome)/ Kegiatan ( Output Target RPJMD Kab/ Kota Pada Tahun 2017 ( Akhir Periode RPJMD ) SKPD PENANG GUNG JAWAB Anggaran RKPD Triwulan Realiasi Kinerja Tingkat Capaian dan Anggaran Kinerja dan Kab/ Kota I II III IV Tahun berjalan RKPD Kab/Kota Anggaran ( Tahun n - 1 yang Kab/Kota S/d Tahun ... 6 7 8 dievaluasi yang di evaluasi Realisasi Capaian Kinerja RPJMD Kab/Kota sampai dengan RPKD Kab/ Kota ( n-2 ) dan Anggaran Target Kinerja dan Realisasi Kinerja pada Realisasi Capaian Kinerja 1 2 3 4 5 15 = 14/6* 100%9 10 11 12 13 14= 7+13 RKPD Tahun.... ) ( % ) ( Akhir Tahun Kab/Kota Pelaksanaan S/d Tahun..... 58 dari 67
  • 356.
    10 1 221 22 1 1 17 6 Pelaksanaan Perlombaan Desa dan Perlombaan Kelurahan Termitifasinya Keikutbsertaan Masyarakat dalam Pembangunan Desa. 5 Keg 737.000.000 1 106.526.000 1 2.920.000 1 58.546.000 1 61.466.000 1 61.466.000 20 8 BPMK 11 1 22 1 22 1 1 17 9 Pencanangan dan Pelaksanaan Bulan Bahkti Gotong Royong Masyarakat 2050 Org 1.133.000.000 350 133.333.200 350 60.450.000 68.945.700 - 350 133.333.200 350 133.333.200 12 BPMK 12 1 22 1 22 1 1 17 8 Distribusi ADD/ADK Terlaksananya pembangunan desa dengan keswadayaan masyarakat 42 Des 18.640.000.000 42 89.808.600 38.298.600 42 38.298.600 42 38.298.600 42 0 13 1 22 1 22 1 1 17 12 Penyusunan Profil Desa dan Kelurahan Terlaksananya Program dlm Penyusunan Profil di 6 Kecamatan 6 Kec 14.525.000.000 1 352.165.000 1 6.038.000 1 4.200.000 47.140.000 1 57.378.000 1 57.378.000 16,66667 0 BPMK 1 22 1 22 1 1 21 PROG. PENYELENGGARAAN DISIMINASI INFORMASI BAGI MASYARAKAT 14 1 22 1 22 1 1 21 1 Mengikuti Jambore TTG Tingkat Provinsi Meningkatkan Pemahaman Aparat dan Masyrakat tentang Pelastarian SDA dan Pemanfaatan TTG 7 Posy ante k 1.016.800.000 2 96.849.550 2 77.189.550 2 77.189.550 2 77.189.550 28,57143 8 15 1 22 1 22 1 1 21 2 Mengikuti Jambore TTG Tingkat Nasional Meningkatkan Pemahaman Aparat dan Masyrakat tentang Pelastarian SDA dan Pemanfaatan TTG 44 Org 593.800.000 6 68.847.100 53.481.100 53.481.100 53.481.100 9 16 1 22 1 22 1 1 21 3 Peningkatan Peran Serta Masyarakat dalam Pemasyarakatan dan Pendayagunaan TTG Terbentuknya Posyantek hasil Revitalisasi. 24 Posy ante k 490.000.000 1 22 1 22 1 1 22 PROG. PENINGKATAN PEMBERDAYAAN PEREMPUAN 17 1 22 1 22 1 1 22 1 Pembinaan Desa/ Kel/PTP2WKSS/PKK Percontohan dan Daerah Menuju Wisata Meningkatkan Pemahaman Aparat dan Masyrakat tentang Pelastarian SDA dan Pemanfaatan TTG 79 Des/ Kel 2.516.500.000 2 130.507.000 2 31.050.000 2 Desa 5.100.000 27.638.000 2 63.788.000 2 63.788.000 2,531646 3 BPMK 6268 47.161.100.000 1333 1.094.480.050 548.318.050 458 548.318.050 7,306956 1 : : 6268 47.161.100.000 1333 1.094.480.050 RATA RATA CAPAIAN KINERJA ( % ) 458 548.318.050 7,306956 1,162649 BPMK PREDIKAT KINERJA PAKTOR PENDORONG KEBERHASILAN KINERJA : Berlangsungnya Komunikasi yang baik dan meningkatnya Sumber Daya Masyarakat Masyarakat FAKTOR PENGHAMBAT PENCAPAIAN KINERJA : Tidak tepatnya waktu Penetapan Jadwal RKPD TINDAK LANJUT YANG DIPERLUKAN DALAM TRIWULAN BERIKUTNYA : Jadwal tepat waktu TINDAK LANJUT YANG DIPERLUKAN DALAM RKPD BERIKUTNYA: Penyusunan RKPD diharapkan sesuai dengan RPJM 59 dari 67
  • 357.
    KP2T K Rp. KRp. K Rp. K Rp. K Rp. K Rp. K Rp. K Rp. K Rp. K % URUSAN WAJIB I Belanja Tidak Langsung II Belanja Langsung 1 Program Pelayanan Administrasi Perkantoran KP2T 1 Penyediaan Jasa Surat MenyuratMasukan :Dana 114.710.528 30.000.000 36.000.000 - 17.847.264 9.734.932 8.864.332 36.446.528 66.446.528 57,93% Keluaran :Terpenuhinya Jasa Surat Menyurat5 Tahun 1 Tahun 1 Tahun 1 Tahun 1 Tahun 1 Tahun 1 Tahun 1 Tahun 1 Tahun 1 Tahun Hasil :Terlaksananya Surat Menyurat 5 Tahun 1 Tahun 1 Tahun 1 Tahun 1 Tahun 1 Tahun 1 Tahun 1 Tahun 1 Tahun 1 Tahun 2 Penyediaan Jasa Komunikasi, Masukan :Dana 499.764.038 14.550.700 19.750.000 - 6.676.887 4.193.753 4.695.867 15.566.507 30.117.207 6,03% Sumber Daya Air dan Listrik Keluaran :Terpenuhinya Jasa Komunikasi, Sumber Daya Air dan Listrik 5 Tahun 1 Tahun 1 Tahun 1 Tahun 1 Tahun 1 Tahun 1 Tahun 1 Tahun 1 Tahun 1 Tahun Hasil :Terlaksananya Jasa Komunikasi, Sumber Daya Air dan Listrik 5 Tahun 1 Tahun 1 Tahun 1 Tahun 1 Tahun 1 Tahun 1 Tahun 1 Tahun 1 Tahun 1 Tahun 3 Penyediaan Jasa Peralatan dan Masukan :Dana 51.500.000 - - - 1.750.000 1.750.000 8.045.418 11.545.418 11.545.418 22,42% Perlengkapan Kantor Keluaran :Terpenuhinya Jasa Peralatan dan Perlengkapan Kantor 2 Tahun - - 1 Tahun 1 Tahun 1 Tahun 1 Tahun 1 Tahun 1 Tahun 1 Tahun Hasil :Terlaksananya Jasa Peralatan dan Perlengkapan Kantor 2 Tahun - - 1 Tahun 1 Tahun 1 Tahun 1 Tahun 1 Tahun 1 Tahun 1 Tahun 8 Penyediaan Jasa Kebersihan Kantor Masukan :Dana 619.445.958 15.977.600 15.616.500 - 14.251.940 14.989.700 17.866.350 47.107.990 63.085.590 10,18% Keluaran :Honor Harian Lepas 5 Tahun 1 Tahun 1 Tahun 1 Tahun 1 Tahun 1 Tahun 1 Tahun 1 Tahun 1 Tahun 1 Tahun Hasil :Meningkatnya Kebersihan Kantor5 Tahun 1 Tahun 1 Tahun 1 Tahun 1 Tahun 1 Tahun 1 Tahun 1 Tahun 1 Tahun 1 Tahun 10 Penyediaan Alat Tulis Kantor Masukan :Dana 941.409.383 60.903.900 99.999.800 - 49.948.300 47.972.800 23.979.100 121.900.200 182.804.100 19,42% Keluaran :Tersedianya Alat Tulis Kantor 5 Tahun 1 Tahun 1 Tahun 1 Tahun 1 Tahun 1 Tahun 1 Tahun 1 Tahun 1 Tahun 1 Tahun Hasil :Peningkatan Kinerja Aparatur 5 Tahun 1 Tahun 1 Tahun 1 Tahun 1 Tahun 1 Tahun 1 Tahun 1 Tahun 1 Tahun 1 Tahun 11 Penyediaan Barang Cetakan dan Masukan :Dana 838.330.718 91.534.600 164.800.000 - 50.563.900 42.926.400 23.824.500 117.314.800 208.849.400 24,91% Penggandaan Keluaran :Tersedianya Barang Cetakan dan Pengadaan 5 Tahun 1 Tahun 1 Tahun 1 Tahun 1 Tahun 1 Tahun 1 Tahun 1 Tahun 1 Tahun 1 Tahun Hasil :Peningkatan Kinerja Aparatur 5 Tahun 1 Tahun 1 Tahun 1 Tahun 1 Tahun 1 Tahun 1 Tahun 1 Tahun 1 Tahun 1 Tahun 12 Penyediaan Komponen Instalasi Masukan : Dana 60.944.000 - 7.491.500 - 1.400.000 100.000 8.499.000 9.999.000 9.999.000 16,41% Listrik/Penerangan Bangunan Kantor Keluaran :Tersedianya Komponen Instalasi listrik/Penerangan Bangunan Kantor 5 Tahun 1 Tahun 1 Tahun 1 Tahun 1 Tahun 1 Tahun 1 Tahun 1 Tahun 1 Tahun Hasil :Peningkatan Kinerja Aparatur 5 Tahun 1 Tahun 1 Tahun 1 Tahun 1 Tahun 1 Tahun 1 Tahun 1 Tahun 1 Tahun 14 Penyediaan Peralatan Rumah Masukan : Dana - 11.050.000 9.000.000 - 3.200.000 7.690.000 7.024.000 17.914.000 28.964.000 Tangga Keluaran :Tersedianya Peralatan Rumah Tangga - 1 Tahun 1 Tahun 1 Tahun 1 Tahun 1 Tahun 1 Tahun 1 Tahun 1 Tahun 1 Tahun Hasil :Meningkatnya Kebersihan Kantor - 1 Tahun 1 Tahun 1 Tahun 1 Tahun 1 Tahun 1 Tahun 1 Tahun 1 Tahun 1 Tahun 15 Penyediaan Bahan Bacaan dan Masukan : Dana 267.352.000 21.120.000 9.000.000 - - - - - 21.120.000 7,90% Peraturan Perundang-Undangan Keluaran :Tersedianya Bahan Bacaan dan Peraturan Perundang- Undangan 5 Tahun 1 Tahun 1 Tahun 1 Tahun 1 Tahun - - - 1 Tahun 1 Tahun Hasil :Meningkatnya Pengetahuan Aparatur5 Tahun 1 Tahun 1 Tahun 1 Tahun 1 Tahun - - - 1 Tahun 1 Tahun 17 Penyediaan Makanan dan MinumanMasukan :Dana 752.010.880 18.000.000 91.920.000 - 13.392.000 15.466.000 23.626.000 52.484.000 70.484.000 9,37% Keluaran :Tersedianya Makan dan Minum Aparatur dan Tamu 5 Tahun 1 Tahun 1 Tahun 1 Tahun 1 Tahun 1 Tahun 1 Tahun 1 Tahun 1 Tahun 1 Tahun Hasil :Peningkatan Kinerja Aparatur 5 Tahun 1 Tahun 1 Tahun 1 Tahun 1 Tahun 1 Tahun 1 Tahun 1 Tahun 1 Tahun 1 Tahun 18 Rapat-Rapat Koordinasi dan Masukan :Dana 2.364.294.096 188.900.000 398.840.000 - 73.860.000 47.288.000 41.106.600 162.254.600 351.154.600 14,85% Konsultasi ke Luar Daerah Keluaran :Terlaksananya Rapat-rapat Koordinasi dan Konsultasi ke Luar Daerah 5 Tahun 1 Tahun 1 Tahun 1 Tahun 1 Tahun 1 Tahun 1 Tahun 1 Tahun 1 Tahun 1 Tahun No. Sasar an Kode Urusan / Bidang Urusan Pemerintahan Daerah dan Program/Kegiatan Indikator Kinerja Program (Outcome)/kegiatan (Output) EVALUASI TERHADAP HASIL RKPD KOTA PADANGSIDIMPUAN TAHUN 2013 Sasaran Pembangunan Tahunan Kota Target RPJMD Kabupaten/Kota pada Tahun 2013-2017 (Akhir Periode RPJMD) Realisasi Capaian Kinerja RPJMD Kabupaten/Kota sampai dengan RKPD Kabupaten/Kota Tahun Lalu (n-2) Target Kinerja dan Anggaran RKPD Kabupaten/Kota Tahun Berjalan (Tahun n-1) yang Dievaluasi Realisasi Kinerja Pada Triwulan Realisasi Capaian Kinerja dan Anggaran RKPD Kabupaten/Kota yang dievaluasi Tingkat Capaian Kinerja dan Realisasi Anggaran RPJMD Kabupaten/Kota s/d Tahun........(%) SKPD Penan ggung jawab I II III IV Realisasi Kinerja dan Anggaran RPJMD Kabupaten/Kota s/d Tahun (Akhir Tahun Pelaksanaan RKPD Tahun........) 1 2 4 5 7 8 9 106 13 14 = 7 + 13 15 = 14/6 * 100%11 12 60 dari 67
  • 358.
    Hasil :Meningkatnya PengetahuanAparatur5 Tahun 1 Tahun 1 Tahun 1 Tahun 1 Tahun 1 Tahun 1 Tahun 1 Tahun 1 Tahun 1 Tahun 19 Penyediaan jasa keamanan kantorMasukan :Dana 513.414.240 - 14.540.184 - 15.000.000 6.300.000 15.000.000 36.300.000 36.300.000 7,07% Keluaran :Honor Harian Lepas 5 Tahun - 1 Tahun 1 Tahun 1 Tahun 1 Tahun 1 Tahun 1 Tahun 1 Tahun 1 Tahun Hasil :Meningkatnya Keamanan Fasilitas Kantor 5 Tahun - 1 Tahun 1 Tahun 1 Tahun 1 Tahun 1 Tahun 1 Tahun 1 Tahun 1 Tahun 20 Penyediaan jasa administrasi Masukan :Dana 39.958.720 9.180.000 14.130.000 - - - - - 9.180.000 22,97% Perkantoran Keluaran :Terpenuhinya Jasa Administrasi Perkantoran 5 Tahun 1 Tahun 1 Tahun 1 Tahun 1 Tahun 1 Tahun 1 Tahun 1 Tahun 1 Tahun 1 Tahun Hasil :Tersedianya Fasilitas Pendukung Kinerja 5 Tahun 1 Tahun 1 Tahun 1 Tahun 1 Tahun 1 Tahun 1 Tahun 1 Tahun 1 Tahun 1 Tahun 2 Program Peningkatan Sarana dan Prasarana Aparatur 5 Pengadaan Kenderaan Dinas/ Masukan :Dana 710.368.960 - 359.140.000 - - - 219.502.000 219.502.000 219.502.000 30,90% Operasional Keluaran :Terpenuhinya Kenderaan Dinas/Operasional 7 Unit - 1 Tahun 1 Tahun 1 Tahun 1 Tahun 1 Tahun 1 Tahun 1 Tahun 1 Tahun Hasil :Tersedianya Sarana Pendukung Operasional Lapangan 7 Unit - 1 Tahun 1 Tahun 1 Tahun 1 Tahun 1 Tahun 1 Tahun 1 Tahun 1 Tahun 7 Pengadaan Perlengkapan GedungMasukan :Dana 70.068.194 - 186.134.312 - 50.000.000 0 20.050.000 70.050.000 70.050.000 99,97% Kantor Keluaran :Perlengkapan Gedung Kantor 1 Paket - 1 Paket 1 Paket 1 Paket 1 Paket 1 Paket 1 Paket 1 Paket 1 Paket Hasil :Tersedianya Sarana Pendukung Perlengkapan Kantor 1 Paket - 1 Paket 1 Paket 1 Paket 1 Paket 1 Paket 1 Paket 1 Paket 1 Paket 9 Pengadaan Peralatan Gedung Masukan :Dana 650.000.000 495.006.500 - - 995.000 26.682.500 105.800.000 133.477.500 628.484.000 96,69% Kantor Keluaran :Peralatan Gedung Kantor 1 Paket 1 Tahun - 1 Paket 1 Paket 1 Paket 1 Paket 1 Paket 1 Paket 1 Paket Hasil :Tersedianya Sarana Pendukung 1 Paket 1 Tahun - 1 Paket 1 Paket 1 Paket 1 Paket 1 Paket 1 Paket 1 Paket 10 Pengadaan Mebeleur Masukan :Dana 63.000.000 - - - - 53.400.000 3.000.000 56.400.000 56.400.000 89,52% Keluaran :Mebeleur 1 Paket - - 1 Paket 1 Paket 1 Paket 1 Paket 1 Paket 1 Paket 1 Paket Hasil :Tersedianya Sarana Pendukung Mebeleur Kantor 1 Paket - - 1 Paket 1 Paket 1 Paket 1 Paket 1 Paket 1 Paket 1 Paket 22 Pemeliharaan Rutin/Berkala Masukan :Dana 356.292.960 - - - 39.950.000 0 0 39.950.000 39.950.000 11,21% Gedung Kantor Keluaran :Pemeliharaan Gedung Kantor 5 Tahun - - 1 Tahun 1 Tahun 1 Tahun 1 Tahun 1 Tahun 1 Tahun 1 Tahun Hasil :Meningkatnya Kualitas Gedung Kantor 5 Tahun - - 1 Tahun 1 Tahun 1 Tahun 1 Tahun 1 Tahun 1 Tahun 1 Tahun 24 Pemeliharaan Rutin/Berkala Masukan :Dana 947.249.535 17.641.000 17.750.000 - 7.697.100 7.357.650 11.855.990 26.910.740 44.551.740 4,70% Kendaraan Dinas/Operasional Keluaran :Pemeliharaan Kenderaan Dinas/Operasional 5 Tahun 1 Tahun 1 Tahun 1 Tahun 1 Tahun 1 Tahun 1 Tahun 1 Tahun 1 Tahun 1 Tahun Hasil :Meningkatnya Kualitas Kenderaan Dinas/Operasional 5 Tahun 1 Tahun 1 Tahun 1 Tahun 1 Tahun 1 Tahun 1 Tahun 1 Tahun 1 Tahun 1 Tahun 26 Pemeliharaan Rutin/Berkala Masukan :Dana 356.292.960 2.407.500 8.960.000 - - - - - 2.407.500 0,68% Perlengkapan Gedung Kantor Keluaran :Pemeliharaan Perlengkapan Gedung Kantor 5 Tahun 1 Tahun 1 Tahun - - - - - 1 Tahun 1 Tahun Hasil :Meningkatnya Kualitas Perlengkapan Gedung Kantor 5 Tahun 1 Tahun 1 Tahun - - - - - 1 Tahun 1 Tahun 28 Pemeliharaan Rutin/Berkala Masukan :Dana 356.292.960 - 8.960.000 - 11.900.000 3.500.000 12.700.000 28.100.000 28.100.000 7,89% Peralatan Gedung Kantor Keluaran :Pemeliharaan Peralatan dan Perlengkapan Gedung Kantor 5 Tahun - 1 Tahun 1 Tahun 1 Tahun 1 Tahun 1 Tahun 1 Tahun 1 Tahun 1 Tahun Hasil :Meningkatnya Kualitas Peralatan dan Perlengkapan Gedung Kantor 5 Tahun - 1 Tahun 1 Tahun 1 Tahun 1 Tahun 1 Tahun 1 Tahun 1 Tahun 1 Tahun 42 Rehabilitasi Sedang/Berat GedungMasukan :Dana - - 23.500.000 0 Kantor Keluaran :Tersedianya Jerjak Kantor - - 1 Tahun Hasil :Terciptanta Keamanan Kantor - - 1 Tahun 46 Pembangunan Gedung Kantor Masukan :Dana 1.861.506.330 - - - - 406.520.000 29.002.000 435.522.000 435.522.000 23,40% Keluaran :Pembangunan Gedung Kantor 3 Paket - - 1 Paket 1 Paket 1 Paket 1 Paket 1 Paket 1 Paket 1 Paket Hasil :Bertambahnya Ruang Kerja Aparatur3 Paket - - 1 Paket 1 Paket 1 Paket 1 Paket 1 Paket 1 Paket 1 Paket 3 Program Peningkatan Disiplin Aparatur 2 Pengadaan Pakaian Dinas Beserta Masukan : Dana 211.495.224 - - - 8.600.000 8.600.000 0 17.200.000 17.200.000 8,13% Perlengkapannya Keluaran :Pakaian Dinas Beserta Perlengkapannya 5 Keg - - 1 Keg 1 Keg 1 Keg 1 Keg 1 Keg 1 Keg 1 Keg Hasil :Peningkatan Pelayanan Aparatur 5 Keg - - 1 Keg 1 Keg 1 Keg 1 Keg 1 Keg 1 Keg 1 Keg 5 Pengadaan Pakaian Khusus Hari-Masukan :Dana 180.225.590 - 16.770.000 - 21.020.000 21.020.000 0 42.040.000 42.040.000 23,33% Hari Tertentu Keluaran :Pakaian Khusus Hari-hari tertentu5 Keg - 1 Keg 1 Keg 1 Keg 1 Keg 1 Keg 1 Keg 1 Keg 1 Keg Hasil :Peningkatan Pelayanan Aparatur 5 Keg - 1 Keg 1 Keg 1 Keg 1 Keg 1 Keg 1 Keg 1 Keg 1 Keg 5 Program Peningkatan Kapasitas Sumber Daya Aparatur 61 dari 67
  • 359.
    1 Pendidikan dan Pelatihan Formal Masukan: Dana 4.886.303.024 48.650.000 100.000.000 - 20.280.000 20.280.000 93.374.500 133.934.500 182.584.500 3,74% Keluaran :Pendidikan dan Pelatihan Formal5 Tahun 1 Tahun 1 Tahun 1 Tahun 1 Tahun 1 Tahun 1 Tahun 1 Tahun 1 Tahun 1 Tahun 62 dari 67
  • 360.
    Hasil :Meningkatnya Pengetahuan danPemahaman Aparatur 5 Tahun 1 Tahun 1 Tahun 1 Tahun 1 Tahun 1 Tahun 1 Tahun 1 Tahun 1 Tahun 1 Tahun 2 Sosialisasi Peraturan Perundang- Masukan : Dana - - 227.625.080 - - - - - 0 Undangan Keluaran :Terpenuhinya Kegiatan Sosialisasi Peraturan Perundang-Undangan Aparatur - - 1 Tahun - - - - - Hasil :Peningkatan Pelaksanaan Tugas-Tugas Kantor - - 1 Tahun - - - - - 3 Bimbingan Teknis Implementasi Masukan : Dana 103.774.500 - - - - - 61.386.300 61.386.300 61.386.300 59,15% Peraturan Perundang-Undangan Keluaran :Bimbingan Teknis Implementasi Peraturan Perundang-Undangan 1 Keg - - 1 Keg 1 Keg 1 Keg 1 Keg 1 Keg 1 Keg 1 Keg Hasil :Bertambahnya Ilmu Pengetahuan Aparatur di Bidang Perizinan dan Non perizinan 1 Keg - - 1 Keg 1 Keg 1 Keg 1 Keg 1 Keg 1 Keg 1 Keg 7 Bimbingan Teknis, Workshop, Masukan : Dana 105.000.000 - - - - - 65.312.600 65.312.600 65.312.600 62,20% Sosialisasi dan Legal Drafting Bidang Hukum serta Peningkatan SDM Bidang Lainnya Keluaran :Bimbingan Teknis, Workshop, Sosialisasi dan Legal Drafting bidang Hukum dan Peningkatan SDM bidang Lainnya 1 Keg - - 1 Keg 1 Keg 1 Keg 1 Keg 1 Keg 1 Keg 1 Keg Hasil :Meningkatnya Pengetahuan dan Pemahaman Aparatur 1 Keg - - 1 Keg 1 Keg 1 Keg 1 Keg 1 Keg 1 Keg 1 Keg 8 Kunjungan Kerja Masukan :Dana 1.325.348.960 - 149.200.000 - 87.570.000 87.570.000 5.028.000 180.168.000 180.168.000 13,59% Keluaran :Kunjungan Kerja 4 Tahun 1 Tahun 1 Tahun 1 Tahun 1 Tahun 1 Tahun 1 Tahun 1 Tahun 1 Tahun 1 Tahun Hasil :Meningkatnya Pengetahuan dan Pemahaman Aparatur 4 Tahun 1 Tahun 1 Tahun 1 Tahun 1 Tahun 1 Tahun 1 Tahun 1 Tahun 1 Tahun 1 Tahun 6 Program Peningkatan Pengembangan Sistem Pelaporan Capaian Kinerja dan Keuangan 1 Penyusunan Laporan Capaian Masukan : Dana 91.780.000 - - - - 15.780.000 60.230.000 76.010.000 76.010.000 82,82% Ikhtisar Realisasi Kinerja SKPD Keluaran :Laporan Capaian Kinerja dan Ikhtisar Realisasi Kinerja 1 Dok - - 1 Dok 1 Dok 1 Dok 1 Dok 1 Dok 1 Dok 1 Dok Hasil :Tersedianya Informasi Capaian Kinerja dan Ikhtisar Realisasi Kinerja 1 Dok - - 1 Dok 1 Dok 1 Dok 1 Dok 1 Dok 1 Dok 1 Dok 6 Penyusunan Laporan, Rencana Masukan : Dana 256.604.524 - - - - - 19.598.000 19.598.000 19.598.000 7,64% Kinerja dan Anggaran Keluaran :Laporan Keuangan Semesteran 5 Dok - - 1 Dok 1 Dok 1 Dok 1 Dok 1 Dok 1 Dok 1 Dok Hasil :Tersedianya Informasi Keuangan Semesteran 5 Dok - - 1 Dok 1 Dok 1 Dok 1 Dok 1 Dok 1 Dok 1 Dok 13 Penyusunan Renstra Masukan :Dana 73.028.120 - - - - - 24.490.000 24.490.000 24.490.000 33,54% Keluaran :Terselenggaranya Penyusunan Renstra 1 Dok - - 1 Dok 1 Dok 1 Dok 1 Dok 1 Dok 1 Dok 1 Dok Hasil :Renstra SKPD 1 Dok - - 1 Dok 1 Dok 1 Dok 1 Dok 1 Dok 1 Dok 1 Dok # Program Perbaikan Sistem Administrasi Kearsipan 4 Penyusunan Sistem Katalog Data Masukan : Dana 721.401.933 - - - - - 66.634.300 66.634.300 66.634.300 9,24% Keluaran :Dokumen Sistem Katalog Data 5 Dok - - 1 Dok 1 Dok 1 Dok 1 Dok 1 Dok 1 Dok 1 Dok Hasil :Tersedianya Informasi Sistem Katalog Data 5 Dok - - 1 Dok 1 Dok 1 Dok 1 Dok 1 Dok 1 Dok 1 Dok # Program Penataan dan Penyempurnaan Kebijakan Sistem dan Prosedur Pengawasan 3 Penyusunan dan Penerapan Masukan :Dana 23.566.700 - - - - 23.566.700 0 23.566.700 23.566.700 ###### Standar Operasional Prosedur Keluaran :Terselenggaranya Penyusunan dan Penerapan Standar Operasional Prosedur 1 Dok - - 1 Dok 1 Dok 1 Dok 1 Dok 1 Dok 1 Dok 1 Dok Hasil :Tersedianya Informasi tentang Standar Operasional Prosedur 1 Dok - - 1 Dok 1 Dok 1 Dok 1 Dok 1 Dok 1 Dok 1 Dok # Program Penataan Peraturan Perundang-Undangan 4 Fasilitasi Sosialisasi Peraturan Masukan : Dana - - 172.018.400 - - - - - 0 63 dari 67
  • 361.
    Perundang-Undangan Keluaran :TerpenuhinyaKegiatan Peraturan Perundang- Undangan untuk Masyarakat - - 1 Tahun - - - - - 64 dari 67
  • 362.
    Hasil :Meningkatnya Jumlah MasyarakatMengurus Izin - - 1 Tahun - - - - - # Program Pengembangan Jasa Konstruksi 1 Bimtek Pengadaan Barang dan JasaMasukan :Dana 58.560.000 - - - - 15.780.000 13.230.000 29.010.000 29.010.000 49,54% Pemerintah Keluaran :Bimtek Pengadaan Barang dan Jasa Pemerintah 1 Tahun - - 1 Tahun 1 Tahun 1 Tahun 1 Tahun 1 Tahun 1 Tahun 1 Tahun Hasil :Pelaksanaan Proses Pengadaan Barang dan Jasa Pemerintah 1 Tahun - - 1 Tahun 1 Tahun 1 Tahun 1 Tahun 1 Tahun 1 Tahun 1 Tahun 20.471.295.035 1.024.921.800 2.151.145.776 0 495.902.391 888.468.435 993.724.857 2.378.095.683 3.403.017.483 16,62% : : : :Tindaklanjut yang diperlukan dalam RKPD berikutnya JUMLAH Rata - rata capaian kinerja (%) Predikat Kinerja Faktor pendorong keberhasilan kinerja Faktor penghambat pencapaian kinerja Tindaklanjut yang diperlukan dalam triwulan berikutnya 65 dari 67
  • 363.
    SEKRETARIAT DEWAN PENGURUSKORPRI K Rp. K Rp. K Rp. K Rp. K Rp. K Rp. K Rp. K Rp. K Rp. K Rp. Program Pelayanan Administrasi Perkantoran Penyediaan Jasa Komunikasi, Sumber Daya Air dan Listrik Tersedianya Jasa Komunikasi, Sumber Daya Air dan Listrik - 20.600.000 - 3.501.910 20.600.000 - - - 544.655 5.420.339,00 1.542.248 7.507.242 11.009.152 53,44 Penyediaan Jasa Kebersihan Kantor Tersedianya peralatan kebersihan kantor - 19.191.000 - 13.164.200 19.191.000 - - - 6.591.000 3.400.000,00 8.250.000 18.241.000 31.405.200 163,65 Penyediaan Jasa Perbaikan Peralatan Kerja Terpeliharanya peralatan kantor - 2.800.000 - - 2.800.000 - - - 1.350.000 700.000 2.050.000 2.050.000 73,21 Penyediaan Alat Tulis Kantor Tersedinya alat tulis kantor - 16.016.500 - 9.832.000 16.016.500 - - - 10.516.500 2.733.000,00 2.767.000 16.016.500 25.848.500 161,39 Penyediaan Barang Cetakan dan Penggandaan Tersedianya barang cetakan dan penggandaan - 12.374.000 - 12.588.500 12.374.000 - - - 5.370.250 2.871.750,00 4.130.500 12.372.500 24.961.000 201,72 Penyediaan Peralatan dan Perlengkapan Kantor Tersedianya peralatan dan perlengkapan kantor - 14.390.000 - 77.750.250 14.390.000 - - - - 14.390.000,00 - 14.390.000 92.140.250 640,31 Penyediaan Peralatan Rumah Tangga Tersedianya peralatan dapur - - - 613.900 - - - - - - - 613.900 Penyediaan Bahan Bacaan dan Peraturan Perundang-Undangan Tersedianya bacaan mengenai perundang-undangan - - - - - - - - - - - - Penyediaan Makanan dan Minuman Tersedianya makanan dan minuman PNS - 34.320.000 - 30.670.000 34.320.000 - - - 10.210.000 3.980.000,00 13.180.000 27.370.000 58.040.000 169,11 Rapat-Rapat Koordinasi dan Konsultasi Ke Luar Daerah Tersedianya biaya perjalanan dinas - 75.000.000 - 45.200.000 75.000.000 - - - 20.850.000 21.716.000,00 32.396.000 74.962.000 120.162.000 160,22 Penyediaan jasa keamanan kantor Tersedianya keamanan kantor - 9.000.000 - 7.200.000 9.000.000 - - - 3.000.000 1.500.000,00 4.500.000 9.000.000 16.200.000 180,00 Program Peningkatan Sarana dan Prasarana Aparatur - - - - - - - - - Pengadaan Kendaraan Dinas/Operasional Tersedianya kendaraan dinas - 18.000.000 - 17.300.000 18.000.000 - - - - - 17.300.000 96,11 Pemeliharaan Rutin/Berkala Gedung Kantor Terpeliharanya gedung kantor - - - 4.000.000 - - - - - - - 4.000.000 Pemeliharaan Rutin/Berkala Kendaraan Dinas/Operasional Terpeliharanya kendaraan dinas - 28.914.000 - 17.212.000 28.914.000 - - - 9.430.000 7.808.400,00 10.720.000 27.958.400 45.170.400 156,22 Program Peningkatan Disiplin Aparatur - - - - - - - - - Pengadaan Pakaian Dinas beserta Perlengkapannya Tersedinya pakaian dinas pegawai - - - 6.750.000 - - - - - - - 6.750.000 Pengadaan Pakaian Korpri Tersedinya pakaian korpri - 770.700.000 - 3.150.000 770.700.000 - - - - 2.800.000,00 757.712.500 760.512.500 763.662.500 99,09 Program Peningkatan Kapasitas Sumber Daya Aparatur - - - - - - - - - Pendidikan dan Pelatihan Formal Tersedinya biaya bimtek - 15.000.000 - 4.000.000 15.000.000 - - - - 11.068.000 11.068.000 15.068.000 100,45 Sosialisasi Peraturan Perundang- Undangan Terselenggaranya kegiatan sosialisasi - - - 33.200.000 - - - - - - 33.200.000 Program Peningkatan Pengembangan Sistem Pelaporan Capaian Kinerja dan Keuangan - - - - - - - - - - - Penyusunan Laporan Capaian Kinerja dan Ikhtisar Realisasi Kinerja SKPD Tersedianya laporan aset dan keuangan - 3.500.000 - 7.400.000 3.500.000 - - - - - 7.400.000 211,43 Program Pembinaan dan Pengembangan Aparatur - - - - - - - - - HUT KORPRI Terlaksananya perayaan HUT Korpri - 57.475.000 - 42.680.000 57.475.000 - - - - 57.475.000 57.475.000 100.155.000 174,26 Penyelenggaraan Rapat Kerja Daerah Terlaksananya rapat kerja pengurus korpri - 32.600.000 - - 32.600.000 - - - - 32.600.000,00 32.600.000 32.600.000 100,00 Program Perekonomian dan Kesejahteraan Rakyat - - - - - - - - - - - Pelaksanaan MTQ dan Pengiriman Peserta ke Tingkat Provsu Terkirimnya peserta MTQ ke Provinsi - 4.000.000 - - 4.000.000 - - - - - - EVALUASI TERHADAP HASIL RKPD KOTA PADANGSIDIMPUAN TAHUN 2013 SKPD Penangg ung Jawab I II III IV No Sasaran Kode Urusan /Bidang Urusan Pemerintahan Daerah dan Program Kegiatan Indikator Kinerja Program (Outcome) / Kegiatan (Output) 6 Realisasi Kinerja Pada Triwulan Realisasi Capaian Kinerja dan Anggaran RKPD Kota yang dievaluasi Realisasi Kinerja dan Anggaran RPJMD Kota s/d Tahun 2013 (Akhir Tahun Pelaksanaan RKPD Tahun 2014) Tingkat Capaian Kinerja dan Realisasi Anggaran RPJMD Kota s/d Tahun 13 14 = 7 + 13 15 = 14/6 * 100% Target RPJMD Kota pada Tahun 2013 Realisasi Capaian Kinerja RPJMD Kota sampai dengan RKPD Kota Tahun Lalu (n-2) Target Kinerja dan Anggaran RKPD Kota Tahun Berjalan (Tahun n-1) yang dievaluasi 1 2 3 4 5 16 7 8 9 10 11 12 66 dari 67
  • 364.
    Program Penataan Kelembagaandan Ketatalaksanaan - - - - - - - - - - - Penyusunan dan Pembentukan Organisasi dan Tata Kerja Perangkat Daerah lainnya Terkirimnya peserta MTQ ke Provinsi - 39.835.000 - - 39.835.000 - - - - - - Program Peningkatan Sumber Daya Masyarakat - - - - - - - - - Pengiriman Peserta Bimbingan Test / Bimbingan Belajar Terkirimnya siswa/siswi untuk mengikuti bimbingan belajar untuk menghadapi SPMB - 86.580.000 - 79.880.000 86.580.000 - - - - 86.180.000,00 86.180.000 166.060.000 191,80 1.260.295.500 416.092.760 1.260.295.500 1.157.703.142 1.573.795.902 67 dari 67