Se asigna una variable a la ultima corriente
de rama y se procede de regreso hacia la
fuente, manteniendo asignada esta
corriente
SERIE
     I5 = I6    Req 1 = R 5 + R 6

               PARALELO
               V 4 = V R eq 1
                         V4
               I6
                     R eq 1
                         V4
               I6
                     1        2
       V4
I6              V4       I6 3
      3
V4
            I4
                  R4
           I6 3           1
 I4                           I6
            6      2
           PARALELO
           I3 = I4 + I6
       1                  3
I3 =         I6 + I6          I6
       2                  2
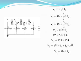
V3 = R 3 × I 3

                 3
  V3 = 4     ×            I6
                 2
                 3
  V3 = 4     ×            I6
                 2
    V3 = 6           I6

    PARALELO
   V2 = V 3 + V 4

V2 = 6      I6 + I6 3

     V2 = 9               I6
V2
             I2
                       R2
            I6 9             3
       I2                         I6
              6      2
            PARALELO
            I1 = I 2 + I 3
        3          3
I1 =        I6 +        I6       3 I6
        2          2
V1 = R 1 × I1

                      V1 = 5     ×3    I6

                       V1 = 15        I6

                     VOLTAJE DE ENTRADA
                     (SERIE)

                       V E = V1 + V 2
 V6 = R 6 × I 6   240 V = 15      I6 + 9    I6
V6 = 2   × 10 A                  240 V
                         I6 =
   V 6 = 20 V                    24
                           I 6 = 10 A

Redes en escalera

  • 1.
    Se asigna unavariable a la ultima corriente de rama y se procede de regreso hacia la fuente, manteniendo asignada esta corriente
  • 2.
    SERIE I5 = I6 Req 1 = R 5 + R 6 PARALELO V 4 = V R eq 1 V4 I6 R eq 1 V4 I6 1 2 V4 I6 V4 I6 3 3
  • 3.
    V4 I4 R4 I6 3 1 I4 I6 6 2 PARALELO I3 = I4 + I6 1 3 I3 = I6 + I6 I6 2 2
  • 4.
    V3 = R3 × I 3 3 V3 = 4 × I6 2 3 V3 = 4 × I6 2 V3 = 6 I6 PARALELO V2 = V 3 + V 4 V2 = 6 I6 + I6 3 V2 = 9 I6
  • 5.
    V2 I2 R2 I6 9 3 I2 I6 6 2 PARALELO I1 = I 2 + I 3 3 3 I1 = I6 + I6 3 I6 2 2
  • 6.
    V1 = R1 × I1 V1 = 5 ×3 I6 V1 = 15 I6 VOLTAJE DE ENTRADA (SERIE) V E = V1 + V 2 V6 = R 6 × I 6 240 V = 15 I6 + 9 I6 V6 = 2 × 10 A 240 V I6 = V 6 = 20 V 24 I 6 = 10 A