• Eicosanoids are a class of oxylipids (oxygenated lipids). They are derived
from polyunsaturated fatty acids, particularly arachidonic acid, and play
essential roles in inflammation, immune response, and cell signaling.
• Eicosanoids themselves are generally considered non-essential because the
body can synthesize them from essential fatty acids
• The primary sources of eicosanoids are indeed unsaturated fatty acids.
• Arachidonic acid is one of the most common unsaturated fatty acids used as
a precursor for eicosanoid synthesis.
Sources of arachidonic acid;
Dietary Sources(Meat,Poultry,Fish,Dairy Products,Organ Meats,rich
sources,Vegetable oils )
Metabolic Pathway:The body can convert linoleic acid (an essential fatty acid
found in many plant oils) into arachidonic acid through elongation and
desaturation processes
cont...
• Storage of arachidonic acid in cell membrane
• Arachidonic acid is stored at the sn-2 position of the glycerol backbone
in phospholipids through a process called esterification
• Synthesis of eicosanoids
• Eicosanoid synthesis is triggered by various signals, primarily related to
cellular activation and physiological processes
• The synthesis of eicosanoids involves a complex set of biochemical
reactions
• The key point is that eicosanoids are derived primarily from arachidonic
acid (AA) (an omega-6 fatty acid) and eicosapentaenoic acid (EPA) (an
omega-3 fatty acid).
Steps in Eicosanoid Synthesis
• 1.Release of Arachidonic Acid (AA) or Eicosapentaenoic Acid
(EPA)
Arachidonic acid and eicosapentaenoic acid (EPA) are stored in
the phospholipids of cell membranes, particularly in
phosphatidylinositol and phosphatidylcholine.
• These fatty acids are released into the cytoplasm by the action of
phospholipase A2 (PLA2).
• Alternatively, EPA can be released and converted into eicosanoids
like resolvins or protectins with anti-inflammatory effects.
cont...
• 2.Conversion to Eicosanoids: After release, the fatty acids (AA
or EPA) undergo enzymatic conversion by a series of enzymes.
The primary enzymes involved in eicosanoid synthesis are:
• A .Cyclooxygenases (COX) — for prostaglandins (PGs) and
thromboxanes (TXs).
• B.Lipoxygenases (LOX) — for leukotrienes (LTs), lipoxins (LXs),
and other oxygenated metabolites.
• C.Cytochrome P450 enzymes — for various eicosanoids such as
epoxyeicosatrienoic acids (EETs).
• D.Aldo-keto reductases — for other metabolites like resolvins,
maresins, and protectins.
cont...
• nonenzymatic Production
Eicosanoids can also be produced nonenzymatically
through reactions catalyzed by free radicals in vivo,
although these reactions typically lack stereospecificity.
• In both enzymatic and nonenzymatic pathways, the
addition of oxygen is a critical step in the conversion of
fatty acids to eicosanoids.
cont...
Prostaglandins
• Prostaglandins are a group of lipid compounds that are
derived from arachidonic acid and act as powerful local
hormones in the body.
• They are bioactive lipids that exert their effects in the area
where they are synthesized, meaning they generally act
locally (paracrine signaling) rather than traveling long
distances in the bloodstream.
Prostaglandin Nomenclature Rules
Letter Designation (PGE, PGF, PGI, PGD):
cont...
Indicates the type of prostaglandin, reflecting the type of functional group (e.g.,
hydroxyl group or cyclopropane ring) and its biological function.
E: For PGE - Hydroxyl group at position 15.
F: For PGF - Hydroxyl group at position 9.
I: For PGI - Prostacyclin, contains a cyclopropane ring at position 6.
D: For PGD - Hydroxyl group at position 15 and a double bond at position 9.
Subscript Number:Indicates the number of double bonds in the side chain (the
hydrocarbon tail) attached to the cyclopentane ring.
For example, PGE2 refers to a prostaglandin type E with 2 double bonds in its
side chain.Alpha (α) or Beta (β) Subscripts:
Alpha (α): Refers to the trans configuration of a particular double bond.
Beta (β): Refers to the cis configuration of the double bond.
cont...
Structures of Prostaglandins
• Prostaglandins are derived from arachidonic acid (a 20-carbon
polyunsaturated fatty acid) and share a common cyclopentane ring structure
with various substituents depending on the type (PGE, PGF, PGI, PGD).
Biosynthesis of Prostaglandins
• Prostaglandins are synthesized from arachidonic acid (a polyunsaturated
fatty acid), which is derived from the phospholipid bilayer of cell membranes.
1.Release of Arachidonic Acid:This step is considered the rate-limiting
step in the production of prostaglandins and other eicosanoids.
phospholipase A2 (PLA2), which cleaves arachidonic acid from the
phospholipids in the membrane.
Phospholipase A2 (PLA2) Activation
Cytokines: Growth Factors(VEGF)
Phosphorylation of PLA2: Protein kinases (e.g., PKC, MAPK)
Phospholipase A2 (PLA2) Inhibitors
Glucocorticoids: Hormones like cortisone and prednisone Lipocortin-1
cont...
• 2.Cyclooxygenase (COX) Enzyme Activation:
• Once arachidonic acid is released, it can be metabolized by the enzyme
cyclooxygenase (COX), which exists in two isoforms:
• COX-1: Constitutively expressed, responsible for maintaining normal
physiological functions.
• COX-2: Induced during inflammation and stress; mainly involved in the
production of prostaglandins during inflammation, pain, and fever.
• 3.Cyclooxygenase Reaction:The COX enzymes convert arachidonic
acid into prostaglandin H2 (PGH2) through the following reactions:
The first step is the addition of two oxygen molecules (O ) to the arachidonic
₂
acid, forming a prostaglandin endoperoxide (PGG2).
• PGG2 is then converted to PGH2 by the action of peroxidase activity in the
COX enzyme, which reduces the hydroperoxide group in PGG2 to a hydroxyl
group.
cont...
• Cyclooxygenase (COX) Enzymes Activation
• COX-2 Inducers:Inflammatory Stimuli: Inflammatory mediators like
bradykinin, interleukins ,growth factors, and lipopolysaccharides (LPS).
• COX-1 Activation;Constitutive in most tissues:COX-1 is always expressed at
a low level in tissues and is involved in maintaining normal physiological
functions (e.g., gastric mucosal protection, platelet aggregation).
• Estrogen: Estrogen can increase the expression of COX-2 in certain tissues,
enhancing the synthesis of prostaglandins involved in menstrual cycle
regulation.
• Angiotensin II: This hormone can also induce COX-2 expression in vascular
smooth muscle and contribute to the regulation of blood pressure.
• Cyclooxygenase (COX) Inhibitors;Nonsteroidal Anti-Inflammatory Drugs
(NSAIDs):
cont...
• Aspirin: Inhibits both COX-1 and COX-2 irreversibly by acetylating a serine
residue in the enzyme’s active site. Aspirin is commonly used for pain relief,
fever reduction, and anti-inflammatory effects.Ibuprofen, Naproxen,
Indomethacin: These drugs are reversible COX inhibitors. They bind to the
active site of COX enzymes to prevent arachidonic acid from being
metabolized into prostaglandins
• 4.Formation of Specific Prostaglandins:PGH2 is the common precursor for all
prostaglandins, thromboxanes, and prostacyclins. Depending on which
specific synthases act on PGH2, different types of prostaglandins are formed:
• Prostaglandins (PGE2, PGF2α, PGD2): Formed by specific prostaglandin
synthases.
• Thromboxanes (TXA2): Formed by thromboxane synthase.
• Prostacyclin (PGI2): Formed by prostacyclin synthase.
cont...
• 5.Further Modifications:Depending on the tissue-specific synthases,
PGH2 can be converted into several different prostanoids, including:
• PGE2: Involved in inflammation, fever, and pain.
• PGF2α: Involved in uterine contractions and regulating vascular tone.
• PGI2 (prostacyclin): Involved in vasodilation and inhibition of platelet
aggregation.
• TXA2 (thromboxane A2): Involved in platelet aggregation and
vasoconstriction.
cont...
• Regulation of Prostaglandin Synthesis
• COX-1 is constitutively expressed in most tissues and involved in normal
homeostasis (e.g., gastric protection, renal function).
• COX-2 is inducible and is mainly expressed during inflammation or injury. It is
responsible for the production of prostaglandins that mediate pain, fever, and
inflammation.
• Genetic Regulation;The expression of COX enzymes (particularly COX-2)
can be modulated by genetic factor
• Inhibition by NSAIDs:Nonsteroidal anti-inflammatory drugs (NSAIDs), such as
ibuprofen, aspirin, and naproxen, inhibit COX enzymes, particularly COX-2,
to reduce the production of inflammatory prostaglandins (e.g., PGE2).
• Other inhibitors;Dietary Fatty Acids,Vitamin E,and Vitamin C.
Function of prostaglandins
• Abortion
• Induction/augmentation of
labour-
• Cervical priming (ripening);
Postpartum haemorrhage
Glaucoma
Peptic ulcer
To avoid platelet damage
Pulmonary hypertension
PGI-2
Inflammation and immune response:
promote vasodilation, increase vascular
permeability and enhance recruitment of
immune cells
.Cardiovascular regulation promote blood
flow and preventing excessive clotting.
Reproductive process involve in
contraction of uterus during labor and
menstruation.
GI protection and renal function
Pain and fever by acting on the
hypothalamus to increase body
temperature.
Catabolism of prostaglandin
• The major prostaglandin degradation mechanism is 15 – Hydroxyl prostaglandin
dehydrogenase pathway which is:
 An enzymatic oxidation of the 15- hydroxyl group of prostaglandins by the
enzyme 15-hydroxyl prostaglandin dehydrogenase in order to convert the 15-
hydroxyl group in PGs in to a keto group leading to the formation of 15-keto
prostaglandin which is a less active metabolite
metabolites released by the above pathway then excrete and remove from the body
through urine and bile.
 What are the consequences of deregulation of prostaglandins ?
 Inflammatory disorders like rheumatoid arteritis
 Reproductive disorder
 Gastric ulcers
 Renal disorder
 Promote cancer development
 Dysregulation of prostaglandins at any step of synthesis, degradation or signaling can have
implications for various disease and condition.
Prostacyclin
• Prostacyclin (PGI2) is a type of prostaglandin that plays a key role in the regulation of vascular tone
and platelet function. It is synthesized from arachidonic acid via the enzyme COX-2 and prostacyclin
synthase in the endothelial cells of blood vessels.
• The major differences between prostacyclins (PGI2) and other prostaglandins lie in their functions,
synthesis, and effects on the cardiovascular system:
• 1.Function:Prostacyclins (PGI2) primarily promote vasodilation and inhibit platelet aggregation,
which helps in reducing clot formation and regulating blood pressure.
• Other prostaglandins (like PGE2, PGF2α) generally have pro-inflammatory effects and can promote
vasoconstriction (e.g., PGF2α) or contribute to pain and fever (e.g., PGE2).
• 2.Synthesis:Prostacyclin is mainly produced in the vascular endothelium via the enzyme prostacyclin
synthase, following the action of COX-2.
• Other prostaglandins, like PGE2 and PGF2α, are synthesized in various tissues and have different
enzymes involved, such as COX-1 and COX-2.
• 3.Cardiovascular Effects:Prostacyclin plays a protective role in the cardiovascular system by
preventing platelet aggregation and inducing vasodilation, which lowers blood pressure.
• Other prostaglandins may contribute to platelet aggregation (e.g., TXA2) and vasoconstriction (e.g.,
PGF2α, TXA2), increasing the risk of clot formation and hypertension.
Anabolism of prostacyclin
Metabolism of prostacyclin takes place in the liver.
Since both prostacyclin and prostaglandin are prostanoids, they have the
same steps of anabolism (cyclooxygenase system) except the last step in
which PGH2 converts into different types of prostaglandins and also
prostacyclin. This step during prostacyclin synthesis is described as
follows:
PGH2 is will be metabolized by the enzyme prostacyclin synthase. which
catalyzes the conversion of PGH2 to prostacyclin.
This involves the addition of a cyclic ring and further modifications to the
PGH2 molecule to form PGI2.
Catabolism of prostacyclin
 The catabolism of prostacyclin involves its breakdown into in active
metabolites through a series of enzymatic and chemical reaction
• The primary pathway of catabolism for prostacyclin involves its conversion to
6-keto prostaglandin F1α [6 -keto-PGF1α] by the enzyme 15-
hydroxyprostaglandin dehydrogenase and β-oxidation enzymes.
• This reaction is catalyzed by the addition of two oxygen atoms to the
prostaglandin molecule.
 Subsequently, 6 -keto –PGF1α undergoes further metabolism through
various pathways leading to the formation of inactive metabolites.
 The inactive metabolites that are released after degradation of prostacyclin
then excrete from the body through urine.
prostacyclin cont...
• structure of Prostacyclin Function of Prostacyclin
Vasodilation
Inhibition of Platelet Aggregation:
Vascular Protection
Anti-inflammatory Effects
Bronchodilation
Clinical corrletion
Rheumatoid Arthritis: Elevated levels of prostaglandin E2 (PGE2) contribute to joint inflammation and pain.
Asthma: Prostaglandins play a role in bronchoconstriction and airway inflammation. ·
Gastric Ulcers: Increased PGE2 levels can disrupt the gastric mucosal barrier, leading to ulcer formation.
Cardiovascular Diseases: affect blood clotting and vessel constriction, impacting heart health.
Menstrual Disorders: Prostaglandins are involved in dysmenorrhea (painful menstruation) due to their role
in uterine contractions.
Thromboxane
• Thromboxane is a member of the family of lipids known as eicosanoids.
 it Is another prostanoid produced by platelets and vascular smooth muscle
cells and act primarily to promote vasoconstriction (narrowing of blood
vessels)
 Also termed as platelets aggregating factor(PAF).
 is derived from arachidonic acid via cyclooxygenase pathway .
 Named for its action in producing blood clots(thrombi).
• The two major thromboxanes are thromboxane A2 and thromboxane B2. The
distinguishing feature of thromboxanes is a 6-membered ether-containing
ring.
Cont..
• 1.Thromboxane A2 (TXA2); Thromboxane A2 (TXA2) is the most
biologically active thromboxane. It contains a cyclic ether ring structure with
oxygen and hydroxy groups at specific positions.
• TXA2 is highly unstable and quickly hydrolyzes to thromboxane B2 (TXB2).
• 2.Thromboxane B2 (TXB2);TXB2 is the inactive metabolite of TXA2. It lacks
the cyclic ether group that is characteristic of thromboxane A2.
• Elevated levels of TXB2 in blood or urine can indicate increased
thromboxane production and suggest platelet activation or increased
thrombosis risk.
• TXA2 is produced by activated platelets and has vasoconstrictive effects,
promoting platelet aggregation and aiding in the formation of blood clots.
While TXB2 is the derivative of TXA2. so it doesn’t possess vasoconstrictive
or platlet aggregating activities.
Biosynthesis of thromboxane
The biosynthesis system of thromboxane is the same as
prostaglandin and prostacyclin (cycloxygenase system) except the
last step that is accomplished by thromboxane synthase (TXAS)
using prostaglandin H2 (PGH2) as the substrate. the formation of
TXA2 is accompanied by those of 12-L-hydroxy-5,8,10-
heptadecatrienoic acid (HHT) which are a precursors for TXA2 and
malondialdehyde (MDA), serves as a source of reactive carbonyl
groups that are involved in the formation of endoperoxides.
 PGH2 converted to the thromboxane by
thromboxanesynthase .
 Thromboxane synthase enzyme is present in high concentration
in platelets.
The two types of thromboxane
Catabolism of thromboxane
 The mechanism of thromboxane degrdation primarily involves enzymatic transformations.
 Initially, thromboxane A2 is enzymatially converted to thromboxane B2 by cleaving the
endoperoxide bond of TXB2. This process is catalyzed by the enzyme thromboxane-A
synthase(TAS).
 This conversion represents a crucial step in the regulation of platelet activation and
vasoconstriction.
 Then, the further degradation of thromboxane B2 involves a series of enzymatic processes,
ultimately leading to the formation of various stable and inactive metabolites. One of the key
pathways involves the enzyme 11-dehydrothromboxane B2 (11-dTxB2) reductase, which
reduces TXB2 to 11- dehydrothromboxane B2, followed by subsequent oxidation and
hydrolysis steps to yield inactive compounds
Regulation of thromboxane
Type Activators Inhibitors
Arachidonic Acid Release Phospholipase A2 activation
Corticosteroids (reduce PLA2
activity indirectly)
Cyclooxygenase Activity
COX-1 and COX-2 activation via
various stimuli (e.g., calcium,
inflammatory cytokines)
Aspirin (irreversibly inhibits COX-
1 and COX-2), NSAIDs (reversible
COX inhibition)
Thromboxane Synthesis
Thromboxane Synthase enzyme
activity
Thromboxane Synthase Inhibitors
(e.g., ridogrel)
Platelet Activation
Platelet aggregation, calcium
influx, collagen exposure
TXA2 Receptor Antagonists (e.g.,
ifetrobann
The key regulatory step in the synthesis of thromboxanes is the conversion of arachidonic acid to
prostaglandin H2 (PGH2) by the COX enzyme. This step is crucial because PGH2 is the precursor
for all subsequent products.
• Factors for myocardial infarction and stroke.
Function of Thromboxane
 Thromboxane is a known vasoconstrictor.
 It contributes inflammatory response
 It enhances platelet aggregation.
 It favors blood clot formation during blood coagulation.
 It is believed to be a crucial factor contributing to a variety of
cardiovascular and pulmonary diseases such as;
o Atherosclerosis,
o Myocardial infarction, and
o Primary pulmonary hypertension
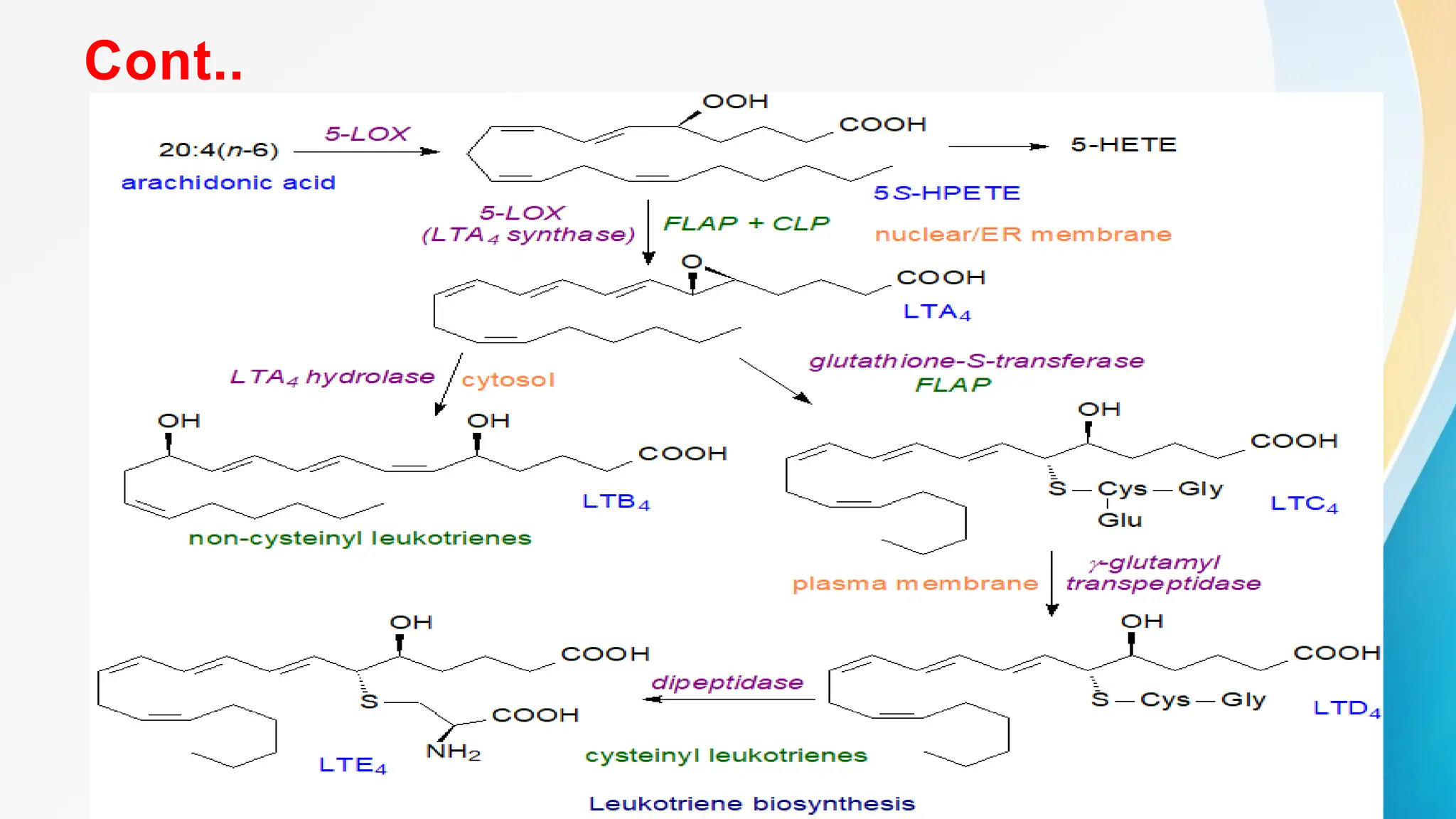
Leukotriene
• Leukotrienes are a family of conjugated trienes synthesized from arachidonic acid
in leukocytes, mast cells, platelets, and macrophages via the lipoxygenase
pathway. They are produced in response to both immunologic and
nonimmunologic stimuli.Leukotrienes do not exist preformed in cells.
• Lipoxygenases: Three different lipoxygenases (5-, 12-, and 15-lipoxygenase)
insert oxygen at specific positions on arachidonic acid, generating hydroperoxides
(HPETE).
• 5-Lipoxygenase: Only this enzyme specifically catalyzes the formation of
leukotrienes.
• Lipoxins: These are conjugated tetraenes produced in leukocytes through the
combined action of multiple lipoxygenases, functioning in resolving inflammation.
Biosynthesis of leukotriene
 The biosynthesis pathway of leukptrienes is known as lipoxygenase system unlike
prostanoides which are synthesized by cyclooxygenase system.
 The first steps in the generation of leukotrienes are catalyzed by the calcium and ATP-
dependent enzyme, 5-lipoxygenase.
 This is one of a family of lipoxygenase enzymes that metabolize arachidonic acid to
hydroperoxyeicosatetraenoic acids (HPETE).
 Each enzyme catalyses the insertion of an oxygen moiety at a specific position in
thearachidonic acid backbone.
 5-lipoxygenase forms 5-HPETE, the precursor of the leukotrienes.
Cont..
Catabolism of leukotriens
• the catabolism processes for different types of leukotriens are different due to their structural
simplicity difference for example,
• The degradation of cysteinyl leukotriens (LTC4, LTD4, and LTE4) mainly involve the removal
of glutathione moiety and subsequent enzymatic modifications that result a less biologically
active metabolites. The enzymes for those processes are ;
1. γ–glutamyl transpeptidase:- the enzyme used to remove glutathion moiety from LTC4,
leading to the formation of LTD4.
2. Dipeptidase:- facilitate the conversion of LTD to LTE4
3. Leukotriene C4 hydrolase and arylacetamide deacetylase:-facilitate the breakdown of
LTC4 to LTD4.
4. N-acetyltransferases:-involve in the metabolism of LTE4, leading to the formation of N-
acetyle LTE4.

Presentation1NNNNNNNNNNNNNNNNNNNNNNNNNNNNNNNNNNNNNNNNNNNNNN.pptx

  • 3.
    • Eicosanoids area class of oxylipids (oxygenated lipids). They are derived from polyunsaturated fatty acids, particularly arachidonic acid, and play essential roles in inflammation, immune response, and cell signaling. • Eicosanoids themselves are generally considered non-essential because the body can synthesize them from essential fatty acids • The primary sources of eicosanoids are indeed unsaturated fatty acids. • Arachidonic acid is one of the most common unsaturated fatty acids used as a precursor for eicosanoid synthesis. Sources of arachidonic acid; Dietary Sources(Meat,Poultry,Fish,Dairy Products,Organ Meats,rich sources,Vegetable oils ) Metabolic Pathway:The body can convert linoleic acid (an essential fatty acid found in many plant oils) into arachidonic acid through elongation and desaturation processes
  • 4.
    cont... • Storage ofarachidonic acid in cell membrane • Arachidonic acid is stored at the sn-2 position of the glycerol backbone in phospholipids through a process called esterification • Synthesis of eicosanoids • Eicosanoid synthesis is triggered by various signals, primarily related to cellular activation and physiological processes • The synthesis of eicosanoids involves a complex set of biochemical reactions • The key point is that eicosanoids are derived primarily from arachidonic acid (AA) (an omega-6 fatty acid) and eicosapentaenoic acid (EPA) (an omega-3 fatty acid).
  • 5.
    Steps in EicosanoidSynthesis • 1.Release of Arachidonic Acid (AA) or Eicosapentaenoic Acid (EPA) Arachidonic acid and eicosapentaenoic acid (EPA) are stored in the phospholipids of cell membranes, particularly in phosphatidylinositol and phosphatidylcholine. • These fatty acids are released into the cytoplasm by the action of phospholipase A2 (PLA2). • Alternatively, EPA can be released and converted into eicosanoids like resolvins or protectins with anti-inflammatory effects.
  • 6.
    cont... • 2.Conversion toEicosanoids: After release, the fatty acids (AA or EPA) undergo enzymatic conversion by a series of enzymes. The primary enzymes involved in eicosanoid synthesis are: • A .Cyclooxygenases (COX) — for prostaglandins (PGs) and thromboxanes (TXs). • B.Lipoxygenases (LOX) — for leukotrienes (LTs), lipoxins (LXs), and other oxygenated metabolites. • C.Cytochrome P450 enzymes — for various eicosanoids such as epoxyeicosatrienoic acids (EETs). • D.Aldo-keto reductases — for other metabolites like resolvins, maresins, and protectins.
  • 7.
    cont... • nonenzymatic Production Eicosanoidscan also be produced nonenzymatically through reactions catalyzed by free radicals in vivo, although these reactions typically lack stereospecificity. • In both enzymatic and nonenzymatic pathways, the addition of oxygen is a critical step in the conversion of fatty acids to eicosanoids.
  • 8.
  • 9.
    Prostaglandins • Prostaglandins area group of lipid compounds that are derived from arachidonic acid and act as powerful local hormones in the body. • They are bioactive lipids that exert their effects in the area where they are synthesized, meaning they generally act locally (paracrine signaling) rather than traveling long distances in the bloodstream. Prostaglandin Nomenclature Rules Letter Designation (PGE, PGF, PGI, PGD):
  • 10.
    cont... Indicates the typeof prostaglandin, reflecting the type of functional group (e.g., hydroxyl group or cyclopropane ring) and its biological function. E: For PGE - Hydroxyl group at position 15. F: For PGF - Hydroxyl group at position 9. I: For PGI - Prostacyclin, contains a cyclopropane ring at position 6. D: For PGD - Hydroxyl group at position 15 and a double bond at position 9. Subscript Number:Indicates the number of double bonds in the side chain (the hydrocarbon tail) attached to the cyclopentane ring. For example, PGE2 refers to a prostaglandin type E with 2 double bonds in its side chain.Alpha (α) or Beta (β) Subscripts: Alpha (α): Refers to the trans configuration of a particular double bond. Beta (β): Refers to the cis configuration of the double bond.
  • 11.
    cont... Structures of Prostaglandins •Prostaglandins are derived from arachidonic acid (a 20-carbon polyunsaturated fatty acid) and share a common cyclopentane ring structure with various substituents depending on the type (PGE, PGF, PGI, PGD).
  • 12.
    Biosynthesis of Prostaglandins •Prostaglandins are synthesized from arachidonic acid (a polyunsaturated fatty acid), which is derived from the phospholipid bilayer of cell membranes. 1.Release of Arachidonic Acid:This step is considered the rate-limiting step in the production of prostaglandins and other eicosanoids. phospholipase A2 (PLA2), which cleaves arachidonic acid from the phospholipids in the membrane. Phospholipase A2 (PLA2) Activation Cytokines: Growth Factors(VEGF) Phosphorylation of PLA2: Protein kinases (e.g., PKC, MAPK) Phospholipase A2 (PLA2) Inhibitors Glucocorticoids: Hormones like cortisone and prednisone Lipocortin-1
  • 13.
    cont... • 2.Cyclooxygenase (COX)Enzyme Activation: • Once arachidonic acid is released, it can be metabolized by the enzyme cyclooxygenase (COX), which exists in two isoforms: • COX-1: Constitutively expressed, responsible for maintaining normal physiological functions. • COX-2: Induced during inflammation and stress; mainly involved in the production of prostaglandins during inflammation, pain, and fever. • 3.Cyclooxygenase Reaction:The COX enzymes convert arachidonic acid into prostaglandin H2 (PGH2) through the following reactions: The first step is the addition of two oxygen molecules (O ) to the arachidonic ₂ acid, forming a prostaglandin endoperoxide (PGG2). • PGG2 is then converted to PGH2 by the action of peroxidase activity in the COX enzyme, which reduces the hydroperoxide group in PGG2 to a hydroxyl group.
  • 14.
    cont... • Cyclooxygenase (COX)Enzymes Activation • COX-2 Inducers:Inflammatory Stimuli: Inflammatory mediators like bradykinin, interleukins ,growth factors, and lipopolysaccharides (LPS). • COX-1 Activation;Constitutive in most tissues:COX-1 is always expressed at a low level in tissues and is involved in maintaining normal physiological functions (e.g., gastric mucosal protection, platelet aggregation). • Estrogen: Estrogen can increase the expression of COX-2 in certain tissues, enhancing the synthesis of prostaglandins involved in menstrual cycle regulation. • Angiotensin II: This hormone can also induce COX-2 expression in vascular smooth muscle and contribute to the regulation of blood pressure. • Cyclooxygenase (COX) Inhibitors;Nonsteroidal Anti-Inflammatory Drugs (NSAIDs):
  • 15.
    cont... • Aspirin: Inhibitsboth COX-1 and COX-2 irreversibly by acetylating a serine residue in the enzyme’s active site. Aspirin is commonly used for pain relief, fever reduction, and anti-inflammatory effects.Ibuprofen, Naproxen, Indomethacin: These drugs are reversible COX inhibitors. They bind to the active site of COX enzymes to prevent arachidonic acid from being metabolized into prostaglandins • 4.Formation of Specific Prostaglandins:PGH2 is the common precursor for all prostaglandins, thromboxanes, and prostacyclins. Depending on which specific synthases act on PGH2, different types of prostaglandins are formed: • Prostaglandins (PGE2, PGF2α, PGD2): Formed by specific prostaglandin synthases. • Thromboxanes (TXA2): Formed by thromboxane synthase. • Prostacyclin (PGI2): Formed by prostacyclin synthase.
  • 16.
    cont... • 5.Further Modifications:Dependingon the tissue-specific synthases, PGH2 can be converted into several different prostanoids, including: • PGE2: Involved in inflammation, fever, and pain. • PGF2α: Involved in uterine contractions and regulating vascular tone. • PGI2 (prostacyclin): Involved in vasodilation and inhibition of platelet aggregation. • TXA2 (thromboxane A2): Involved in platelet aggregation and vasoconstriction.
  • 17.
    cont... • Regulation ofProstaglandin Synthesis • COX-1 is constitutively expressed in most tissues and involved in normal homeostasis (e.g., gastric protection, renal function). • COX-2 is inducible and is mainly expressed during inflammation or injury. It is responsible for the production of prostaglandins that mediate pain, fever, and inflammation. • Genetic Regulation;The expression of COX enzymes (particularly COX-2) can be modulated by genetic factor • Inhibition by NSAIDs:Nonsteroidal anti-inflammatory drugs (NSAIDs), such as ibuprofen, aspirin, and naproxen, inhibit COX enzymes, particularly COX-2, to reduce the production of inflammatory prostaglandins (e.g., PGE2). • Other inhibitors;Dietary Fatty Acids,Vitamin E,and Vitamin C.
  • 18.
    Function of prostaglandins •Abortion • Induction/augmentation of labour- • Cervical priming (ripening); Postpartum haemorrhage Glaucoma Peptic ulcer To avoid platelet damage Pulmonary hypertension PGI-2 Inflammation and immune response: promote vasodilation, increase vascular permeability and enhance recruitment of immune cells .Cardiovascular regulation promote blood flow and preventing excessive clotting. Reproductive process involve in contraction of uterus during labor and menstruation. GI protection and renal function Pain and fever by acting on the hypothalamus to increase body temperature.
  • 19.
    Catabolism of prostaglandin •The major prostaglandin degradation mechanism is 15 – Hydroxyl prostaglandin dehydrogenase pathway which is:  An enzymatic oxidation of the 15- hydroxyl group of prostaglandins by the enzyme 15-hydroxyl prostaglandin dehydrogenase in order to convert the 15- hydroxyl group in PGs in to a keto group leading to the formation of 15-keto prostaglandin which is a less active metabolite metabolites released by the above pathway then excrete and remove from the body through urine and bile.  What are the consequences of deregulation of prostaglandins ?  Inflammatory disorders like rheumatoid arteritis  Reproductive disorder  Gastric ulcers  Renal disorder  Promote cancer development  Dysregulation of prostaglandins at any step of synthesis, degradation or signaling can have implications for various disease and condition.
  • 20.
    Prostacyclin • Prostacyclin (PGI2)is a type of prostaglandin that plays a key role in the regulation of vascular tone and platelet function. It is synthesized from arachidonic acid via the enzyme COX-2 and prostacyclin synthase in the endothelial cells of blood vessels. • The major differences between prostacyclins (PGI2) and other prostaglandins lie in their functions, synthesis, and effects on the cardiovascular system: • 1.Function:Prostacyclins (PGI2) primarily promote vasodilation and inhibit platelet aggregation, which helps in reducing clot formation and regulating blood pressure. • Other prostaglandins (like PGE2, PGF2α) generally have pro-inflammatory effects and can promote vasoconstriction (e.g., PGF2α) or contribute to pain and fever (e.g., PGE2). • 2.Synthesis:Prostacyclin is mainly produced in the vascular endothelium via the enzyme prostacyclin synthase, following the action of COX-2. • Other prostaglandins, like PGE2 and PGF2α, are synthesized in various tissues and have different enzymes involved, such as COX-1 and COX-2. • 3.Cardiovascular Effects:Prostacyclin plays a protective role in the cardiovascular system by preventing platelet aggregation and inducing vasodilation, which lowers blood pressure. • Other prostaglandins may contribute to platelet aggregation (e.g., TXA2) and vasoconstriction (e.g., PGF2α, TXA2), increasing the risk of clot formation and hypertension.
  • 21.
    Anabolism of prostacyclin Metabolismof prostacyclin takes place in the liver. Since both prostacyclin and prostaglandin are prostanoids, they have the same steps of anabolism (cyclooxygenase system) except the last step in which PGH2 converts into different types of prostaglandins and also prostacyclin. This step during prostacyclin synthesis is described as follows: PGH2 is will be metabolized by the enzyme prostacyclin synthase. which catalyzes the conversion of PGH2 to prostacyclin. This involves the addition of a cyclic ring and further modifications to the PGH2 molecule to form PGI2.
  • 22.
    Catabolism of prostacyclin The catabolism of prostacyclin involves its breakdown into in active metabolites through a series of enzymatic and chemical reaction • The primary pathway of catabolism for prostacyclin involves its conversion to 6-keto prostaglandin F1α [6 -keto-PGF1α] by the enzyme 15- hydroxyprostaglandin dehydrogenase and β-oxidation enzymes. • This reaction is catalyzed by the addition of two oxygen atoms to the prostaglandin molecule.  Subsequently, 6 -keto –PGF1α undergoes further metabolism through various pathways leading to the formation of inactive metabolites.  The inactive metabolites that are released after degradation of prostacyclin then excrete from the body through urine.
  • 23.
    prostacyclin cont... • structureof Prostacyclin Function of Prostacyclin Vasodilation Inhibition of Platelet Aggregation: Vascular Protection Anti-inflammatory Effects Bronchodilation Clinical corrletion Rheumatoid Arthritis: Elevated levels of prostaglandin E2 (PGE2) contribute to joint inflammation and pain. Asthma: Prostaglandins play a role in bronchoconstriction and airway inflammation. · Gastric Ulcers: Increased PGE2 levels can disrupt the gastric mucosal barrier, leading to ulcer formation. Cardiovascular Diseases: affect blood clotting and vessel constriction, impacting heart health. Menstrual Disorders: Prostaglandins are involved in dysmenorrhea (painful menstruation) due to their role in uterine contractions.
  • 24.
    Thromboxane • Thromboxane isa member of the family of lipids known as eicosanoids.  it Is another prostanoid produced by platelets and vascular smooth muscle cells and act primarily to promote vasoconstriction (narrowing of blood vessels)  Also termed as platelets aggregating factor(PAF).  is derived from arachidonic acid via cyclooxygenase pathway .  Named for its action in producing blood clots(thrombi). • The two major thromboxanes are thromboxane A2 and thromboxane B2. The distinguishing feature of thromboxanes is a 6-membered ether-containing ring.
  • 25.
    Cont.. • 1.Thromboxane A2(TXA2); Thromboxane A2 (TXA2) is the most biologically active thromboxane. It contains a cyclic ether ring structure with oxygen and hydroxy groups at specific positions. • TXA2 is highly unstable and quickly hydrolyzes to thromboxane B2 (TXB2). • 2.Thromboxane B2 (TXB2);TXB2 is the inactive metabolite of TXA2. It lacks the cyclic ether group that is characteristic of thromboxane A2. • Elevated levels of TXB2 in blood or urine can indicate increased thromboxane production and suggest platelet activation or increased thrombosis risk. • TXA2 is produced by activated platelets and has vasoconstrictive effects, promoting platelet aggregation and aiding in the formation of blood clots. While TXB2 is the derivative of TXA2. so it doesn’t possess vasoconstrictive or platlet aggregating activities.
  • 26.
    Biosynthesis of thromboxane Thebiosynthesis system of thromboxane is the same as prostaglandin and prostacyclin (cycloxygenase system) except the last step that is accomplished by thromboxane synthase (TXAS) using prostaglandin H2 (PGH2) as the substrate. the formation of TXA2 is accompanied by those of 12-L-hydroxy-5,8,10- heptadecatrienoic acid (HHT) which are a precursors for TXA2 and malondialdehyde (MDA), serves as a source of reactive carbonyl groups that are involved in the formation of endoperoxides.  PGH2 converted to the thromboxane by thromboxanesynthase .  Thromboxane synthase enzyme is present in high concentration in platelets.
  • 27.
    The two typesof thromboxane
  • 28.
    Catabolism of thromboxane The mechanism of thromboxane degrdation primarily involves enzymatic transformations.  Initially, thromboxane A2 is enzymatially converted to thromboxane B2 by cleaving the endoperoxide bond of TXB2. This process is catalyzed by the enzyme thromboxane-A synthase(TAS).  This conversion represents a crucial step in the regulation of platelet activation and vasoconstriction.  Then, the further degradation of thromboxane B2 involves a series of enzymatic processes, ultimately leading to the formation of various stable and inactive metabolites. One of the key pathways involves the enzyme 11-dehydrothromboxane B2 (11-dTxB2) reductase, which reduces TXB2 to 11- dehydrothromboxane B2, followed by subsequent oxidation and hydrolysis steps to yield inactive compounds
  • 29.
    Regulation of thromboxane TypeActivators Inhibitors Arachidonic Acid Release Phospholipase A2 activation Corticosteroids (reduce PLA2 activity indirectly) Cyclooxygenase Activity COX-1 and COX-2 activation via various stimuli (e.g., calcium, inflammatory cytokines) Aspirin (irreversibly inhibits COX- 1 and COX-2), NSAIDs (reversible COX inhibition) Thromboxane Synthesis Thromboxane Synthase enzyme activity Thromboxane Synthase Inhibitors (e.g., ridogrel) Platelet Activation Platelet aggregation, calcium influx, collagen exposure TXA2 Receptor Antagonists (e.g., ifetrobann The key regulatory step in the synthesis of thromboxanes is the conversion of arachidonic acid to prostaglandin H2 (PGH2) by the COX enzyme. This step is crucial because PGH2 is the precursor for all subsequent products. • Factors for myocardial infarction and stroke.
  • 30.
    Function of Thromboxane Thromboxane is a known vasoconstrictor.  It contributes inflammatory response  It enhances platelet aggregation.  It favors blood clot formation during blood coagulation.  It is believed to be a crucial factor contributing to a variety of cardiovascular and pulmonary diseases such as; o Atherosclerosis, o Myocardial infarction, and o Primary pulmonary hypertension
  • 31.
    Leukotriene • Leukotrienes area family of conjugated trienes synthesized from arachidonic acid in leukocytes, mast cells, platelets, and macrophages via the lipoxygenase pathway. They are produced in response to both immunologic and nonimmunologic stimuli.Leukotrienes do not exist preformed in cells. • Lipoxygenases: Three different lipoxygenases (5-, 12-, and 15-lipoxygenase) insert oxygen at specific positions on arachidonic acid, generating hydroperoxides (HPETE). • 5-Lipoxygenase: Only this enzyme specifically catalyzes the formation of leukotrienes. • Lipoxins: These are conjugated tetraenes produced in leukocytes through the combined action of multiple lipoxygenases, functioning in resolving inflammation.
  • 32.
    Biosynthesis of leukotriene The biosynthesis pathway of leukptrienes is known as lipoxygenase system unlike prostanoides which are synthesized by cyclooxygenase system.  The first steps in the generation of leukotrienes are catalyzed by the calcium and ATP- dependent enzyme, 5-lipoxygenase.  This is one of a family of lipoxygenase enzymes that metabolize arachidonic acid to hydroperoxyeicosatetraenoic acids (HPETE).  Each enzyme catalyses the insertion of an oxygen moiety at a specific position in thearachidonic acid backbone.  5-lipoxygenase forms 5-HPETE, the precursor of the leukotrienes.
  • 33.
  • 34.
    Catabolism of leukotriens •the catabolism processes for different types of leukotriens are different due to their structural simplicity difference for example, • The degradation of cysteinyl leukotriens (LTC4, LTD4, and LTE4) mainly involve the removal of glutathione moiety and subsequent enzymatic modifications that result a less biologically active metabolites. The enzymes for those processes are ; 1. γ–glutamyl transpeptidase:- the enzyme used to remove glutathion moiety from LTC4, leading to the formation of LTD4. 2. Dipeptidase:- facilitate the conversion of LTD to LTE4 3. Leukotriene C4 hydrolase and arylacetamide deacetylase:-facilitate the breakdown of LTC4 to LTD4. 4. N-acetyltransferases:-involve in the metabolism of LTE4, leading to the formation of N- acetyle LTE4.