Embed presentation
Download to read offline









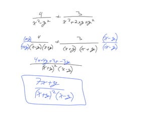
This document is a pre-test for rational expressions and equations that contains 3 problems: 1) Find the value of k given that two rational expressions are defined. 2) State all the non-permissible values of x. 3) Janice walks to her cottage and back at different speeds, taking a total of 3 hours, calculate how far she walked total.







