t       V(t)       Tolerancia     t    V(t)    Tolerancia
  0        0                        0     0
  3   22.60716691   22.60716691     3    29.4      29.4
  6   35.64175156   13.03458465     6   42.61     13.21
  9   43.15708499    7.51533342     9   48.55      5.94
 12   47.49019095    4.33310596    12   51.21      2.67
 15   49.98852419    2.49833324    15   52.41      1.2
 18   51.42898491    1.44046073    18   52.95      0.54                  60
 21   52.25950947    0.83052456    21   53.19      0.24
 24   52.73836393    0.47885446    24    53.3      0.11
                                                                         50
 27   53.01445641    0.27609249    27   53.35      0.05
 30   53.17364270    0.15918628    30   53.37      0.02
 33   53.26542453    0.09178183    33   53.38      0.01                  40
 36   53.31834305    0.05291853    36   53.39       0




                                                             Velocidad
 39   53.34885422    0.03051117    39   53.39       0                    30
 42   53.36644600    0.01759178    42   53.39       0
 45   53.37658888    0.01014287    45   53.39       0                    20
 48   53.38243694    0.00584806    48   53.39       0
 51   53.38580875    0.00337181    51   53.39       0                    10
 54   53.38775283    0.00194408    54   53.39       0
 57   53.38887372    0.00112090    57   53.39       0                     0
 60   53.38952000    0.00064627    60   53.39       0                         0   10
 63   53.38989262    0.00037262    63   53.39       0
 66   53.39010746    0.00021484    66   53.39       0
 69   53.39023133    0.00012387    69   53.39       0
 72   53.39030275    0.00007142    72   53.39       0
 75   53.39034393    0.00004118    75   53.39       0
 78   53.39036767    0.00002374    78   53.39       0
 81   53.39038136    0.00001369    81   53.39       0
 84   53.39038925    0.00000789    84   53.39       0
 87   53.39039380    0.00000455    87   53.39       0
 90   53.39039643    0.00000262    90   53.39       0
 93   53.39039794    0.00000151    93   53.39       0
 96   53.39039881    0.00000087    96   53.39       0
 99   53.39039932    0.00000050    99   53.39       0
102   53.39039961    0.00000029   102   53.39       0
105   53.39039977    0.00000017   105   53.39       0
108   53.39039987    0.00000010   108   53.39       0
111   53.39039992    0.00000006   111   53.39       0
114   53.39039996    0.00000003   114   53.39       0
117   53.39039997    0.00000002   117   53.39       0
120   53.39039999    0.00000001   120   53.39       0
123   53.39039999    0.00000001   123   53.39       0
126   53.39040000    0.00000000   126   53.39       0
129   53.39040000    0.00000000   129   53.39       0
132   53.39040000    0.00000000   132   53.39       0
135   53.39040000    0.00000000   135   53.39       0
138   53.39040000    0.00000000   138   53.39       0
141   53.39040000    0.00000000   141   53.39       0
144   53.39040000    0.00000000   144   53.39       0
147   53.39040000    0.00000000   147   53.39       0
150   53.39040000    0.00000000   150   53.39       0
m=          68.1
                                                                C=          12.5
                                                                g=           9.8


                                Solución Analítica
            60

            50

            40
Velocidad




            30
                                                                     Column B
                                                                     Column E
            20

            10

             0
                 0   10   20   30   40       50       60   70   80     90       100
                                         Tiempo (t)
mn B
mn E




       100
m      68.1
 g       9.8
 t       12    No.      a      b     f(a)    f(b)
V(t)   53.48    1      10     11      1.8   -1.54
                2     10.5    11     0.09   -1.54
                3     10.5   10.75   0.09   -0.74
                4     10.5   10.63   0.09   -0.33
                5     10.5   10.56   0.09   -0.12
                6     10.5   10.53   0.09   -0.01
                7    10.52   10.53   0.04   -0.01
                8    10.52   10.53   0.01   -0.01
                9    10.52   10.53   0.01      0
               10    10.53   10.53   0.01      0
               11    10.53   10.53     0       0
               12    10.53   10.53     0       0
               13    10.53   10.53     0       0
               14    10.53   10.53     0       0
               15    10.53   10.53     0       0
               16    10.53   10.53     0       0
               17    10.53   10.53     0       0
               18    10.53   10.53     0       0
               19    10.53   10.53     0       0
               20    10.53   10.53     0       0
               21    10.53   10.53     0       0
               22    10.53   10.53     0       0
               23    10.53   10.53     0       0
               24    10.53   10.53     0       0
               25    10.53   10.53     0       0
               26    10.53   10.53     0       0
               27    10.53   10.53     0       0
               28    10.53   10.53     0       0
               29    10.53   10.53     0       0
               30    10.53   10.53     0       0
               31    10.53   10.53     0       0
               32    10.53   10.53     0       0
Xm     f(Xm)   Tolerancia   f(a)*f(xm)       n     Funcion
 10.5    0.09                        0.16     10       1.8
10.75   -0.74     0.25              -0.07   10.05     1.63
10.63   -0.33     0.13              -0.03    10.1     1.45
10.56   -0.12     0.06              -0.01   10.15     1.28
10.53   -0.01     0.03                  0    10.2     1.11
10.52    0.04     0.02                  0   10.25     0.94
10.52    0.01     0.01                  0    10.3     0.76
10.53     0        0                    0   10.35     0.59
10.53    0.01      0                    0    10.4     0.43
10.53     0        0                    0   10.45     0.26
10.53     0        0                    0    10.5     0.09
10.53     0        0                    0   10.55    -0.08
10.53     0        0                    0    10.6    -0.24
10.53     0        0                    0   10.65    -0.41
10.53     0        0                    0    10.7    -0.57
10.53     0        0                    0   10.75    -0.74
10.53     0        0                    0    10.8     -0.9
10.53     0        0                    0   10.85    -1.06
10.53     0        0                    0    10.9    -1.22
10.53     0        0                    0   10.95    -1.38
10.53     0        0                    0     11     -1.54
10.53     0        0                    0   11.05     -1.7
10.53     0        0                    0    11.1    -1.86
10.53     0        0                    0   11.15    -2.01
10.53     0        0                    0    11.2    -2.17
10.53     0        0                    0   11.25    -2.33
10.53     0        0                    0    11.3    -2.48
10.53     0        0                    0   11.35    -2.64
10.53     0        0                    0    11.4    -2.79
10.53     0        0                    0   11.45    -2.94
10.53     0        0                    0    11.5    -3.09
10.53     0        0                    0   11.55    -3.25
3

2

1

0

-1                                                               Column N

-2

-3

-4
     9.8   10   10.2   10.4   10.6   10.8   11   11.2   11.4   11.6   11.8
Interpolación Lineal
 m      68.1
 g       9.8
 t       12      No.      a       b     f(a)    f(b)    Xm
V(t)   53.48      1      10      11     1.8    -1.54   10.54
                  2      10     10.54   1.8    -0.04   10.53
                  3      10     10.53   1.8       0    10.53
                  4      10     10.53   1.8       0    10.53
                  5      10     10.53   1.8       0    10.53
                  6      10     10.53   1.8       0    10.53
                  7      10     10.53   1.8       0    10.53
                  8      10     10.53   1.8       0    10.53
                  9      10     10.53   1.8       0    10.53
                 10     10.53   10.53    0        0    10.53
                 11     10.53   10.53    0        0    10.53
                 12     10.53   10.53    0        0    10.53
                 13     10.53   10.53    0        0    10.53
                 14     10.53   10.53    0        0    10.53
                 15     10.53   10.53    0        0    10.53
                 16     10.53   10.53    0        0    10.53
                 17     10.53   10.53    0        0    10.53
                 18     10.53   10.53    0        0    10.53
                 19     10.53   10.53    0        0    10.53
                 20     10.53   10.53    0        0    10.53
                 21     10.53   10.53    0        0    10.53
                 22     10.53   10.53    0        0    10.53
                 23     10.53   10.53    0        0    10.53
                 24     10.53   10.53    0        0    10.53
                 25     10.53   10.53    0        0    10.53
                 26     10.53   10.53    0        0    10.53
                 27     10.53   10.53    0        0    10.53
                 28     10.53   10.53    0        0    10.53
                 29     10.53   10.53    0        0    10.53
                 30     10.53   10.53    0        0    10.53
                 31     10.53   10.53    0        0    10.53
                 32     10.53   10.53    0        0    10.53
f(Xm)   Tolerancia   fa*fxm     n     Funcion
-0.04                 -0.07     10       1.8
  0       0.01          0     10.05     1.63
  0        0            0      10.1     1.45
  0        0            0     10.15     1.28
  0        0            0      10.2     1.11
  0        0            0     10.25     0.94
  0        0            0      10.3     0.76
  0        0            0     10.35     0.59
  0        0            0      10.4     0.43
  0        0            0     10.45     0.26
  0        0            0      10.5     0.09
  0        0            0     10.55    -0.08
  0        0            0      10.6    -0.24
  0        0            0     10.65    -0.41
  0        0            0      10.7    -0.57
  0        0            0     10.75    -0.74
  0        0            0      10.8     -0.9
  0        0            0     10.85    -1.06
  0        0            0      10.9    -1.22
  0        0            0     10.95    -1.38
  0        0            0       11     -1.54
  0        0            0     11.05     -1.7
  0        0            0      11.1    -1.86
  0        0            0     11.15    -2.01
  0        0            0      11.2    -2.17
  0        0            0     11.25    -2.33
  0        0            0      11.3    -2.48
  0        0            0     11.35    -2.64
  0        0            0      11.4    -2.79
  0        0            0     11.45    -2.94
  0        0            0      11.5    -3.09
  0        0            0     11.55    -3.25
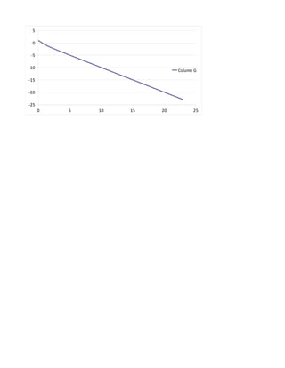
Xi          F(Xi)          F'(Xi)           Tol          X        F(x)           delta
        0              1               -2                     0              1           1
      0.5           0.11            -1.61          0.5        1          -0.63
     0.57              0            -1.57         0.07        2          -1.86
     0.57              0            -1.57            0        3          -2.95
     0.57              0            -1.57            0        4          -3.98
     0.57              0            -1.57            0        5          -4.99
     0.57              0            -1.57            0        6             -6
     0.57              0            -1.57            0        7             -7
     0.57              0            -1.57            0        8             -8
     0.57              0            -1.57            0        9             -9
     0.57              0            -1.57            0       10            -10
                                                             11            -11
                                                             12            -12
                                                             13            -13
                                                             14            -14
                                                             15            -15
                                                             16            -16
                                                             17            -17
                                                             18            -18
                                                             19            -19
                                                             20            -20
                                                             21            -21
                                                             22            -22
                                                             23            -23
5

 0

 -5

-10
                             Column G

-15

-20

-25
      0   5   10   15   20         25
Xi          F(Xi)          F'(Xi)           Tol
        0              1
      0.2           0.62            -1.91          0.2
     0.52           0.07             -1.7         0.32
     0.56              0            -1.58         0.04
     0.57              0            -1.57            0
     0.57              0            -1.57            0
     0.57              0            -1.57            0
     0.57              0            -1.57            0
     0.57              0                             0
n        x        f(X)         g(x)
     1       -3          -42               5
     2       -2          -17            1.83
     3       -1           -4            0.67
     4        0            3             0.5
     5        1           10            0.33
     6        2           23           -0.83
     7        3           48              -4
     8        4           91          -10.17
     9        5          158          -20.33
    10        6          255           -35.5
    11        7          388          -56.67
                                               500

                                               400

                                               300

                                               200

                                               100

                                                 0

                                               -100
                                                      -4   -2   0   2
f(X)
                n
                g(x)




0   2   4   6          8

Plantilla metodos

  • 1.
    t V(t) Tolerancia t V(t) Tolerancia 0 0 0 0 3 22.60716691 22.60716691 3 29.4 29.4 6 35.64175156 13.03458465 6 42.61 13.21 9 43.15708499 7.51533342 9 48.55 5.94 12 47.49019095 4.33310596 12 51.21 2.67 15 49.98852419 2.49833324 15 52.41 1.2 18 51.42898491 1.44046073 18 52.95 0.54 60 21 52.25950947 0.83052456 21 53.19 0.24 24 52.73836393 0.47885446 24 53.3 0.11 50 27 53.01445641 0.27609249 27 53.35 0.05 30 53.17364270 0.15918628 30 53.37 0.02 33 53.26542453 0.09178183 33 53.38 0.01 40 36 53.31834305 0.05291853 36 53.39 0 Velocidad 39 53.34885422 0.03051117 39 53.39 0 30 42 53.36644600 0.01759178 42 53.39 0 45 53.37658888 0.01014287 45 53.39 0 20 48 53.38243694 0.00584806 48 53.39 0 51 53.38580875 0.00337181 51 53.39 0 10 54 53.38775283 0.00194408 54 53.39 0 57 53.38887372 0.00112090 57 53.39 0 0 60 53.38952000 0.00064627 60 53.39 0 0 10 63 53.38989262 0.00037262 63 53.39 0 66 53.39010746 0.00021484 66 53.39 0 69 53.39023133 0.00012387 69 53.39 0 72 53.39030275 0.00007142 72 53.39 0 75 53.39034393 0.00004118 75 53.39 0 78 53.39036767 0.00002374 78 53.39 0 81 53.39038136 0.00001369 81 53.39 0 84 53.39038925 0.00000789 84 53.39 0 87 53.39039380 0.00000455 87 53.39 0 90 53.39039643 0.00000262 90 53.39 0 93 53.39039794 0.00000151 93 53.39 0 96 53.39039881 0.00000087 96 53.39 0 99 53.39039932 0.00000050 99 53.39 0 102 53.39039961 0.00000029 102 53.39 0 105 53.39039977 0.00000017 105 53.39 0 108 53.39039987 0.00000010 108 53.39 0 111 53.39039992 0.00000006 111 53.39 0 114 53.39039996 0.00000003 114 53.39 0 117 53.39039997 0.00000002 117 53.39 0 120 53.39039999 0.00000001 120 53.39 0 123 53.39039999 0.00000001 123 53.39 0 126 53.39040000 0.00000000 126 53.39 0 129 53.39040000 0.00000000 129 53.39 0 132 53.39040000 0.00000000 132 53.39 0 135 53.39040000 0.00000000 135 53.39 0 138 53.39040000 0.00000000 138 53.39 0 141 53.39040000 0.00000000 141 53.39 0 144 53.39040000 0.00000000 144 53.39 0 147 53.39040000 0.00000000 147 53.39 0 150 53.39040000 0.00000000 150 53.39 0
  • 2.
    m= 68.1 C= 12.5 g= 9.8 Solución Analítica 60 50 40 Velocidad 30 Column B Column E 20 10 0 0 10 20 30 40 50 60 70 80 90 100 Tiempo (t)
  • 3.
  • 4.
    m 68.1 g 9.8 t 12 No. a b f(a) f(b) V(t) 53.48 1 10 11 1.8 -1.54 2 10.5 11 0.09 -1.54 3 10.5 10.75 0.09 -0.74 4 10.5 10.63 0.09 -0.33 5 10.5 10.56 0.09 -0.12 6 10.5 10.53 0.09 -0.01 7 10.52 10.53 0.04 -0.01 8 10.52 10.53 0.01 -0.01 9 10.52 10.53 0.01 0 10 10.53 10.53 0.01 0 11 10.53 10.53 0 0 12 10.53 10.53 0 0 13 10.53 10.53 0 0 14 10.53 10.53 0 0 15 10.53 10.53 0 0 16 10.53 10.53 0 0 17 10.53 10.53 0 0 18 10.53 10.53 0 0 19 10.53 10.53 0 0 20 10.53 10.53 0 0 21 10.53 10.53 0 0 22 10.53 10.53 0 0 23 10.53 10.53 0 0 24 10.53 10.53 0 0 25 10.53 10.53 0 0 26 10.53 10.53 0 0 27 10.53 10.53 0 0 28 10.53 10.53 0 0 29 10.53 10.53 0 0 30 10.53 10.53 0 0 31 10.53 10.53 0 0 32 10.53 10.53 0 0
  • 5.
    Xm f(Xm) Tolerancia f(a)*f(xm) n Funcion 10.5 0.09 0.16 10 1.8 10.75 -0.74 0.25 -0.07 10.05 1.63 10.63 -0.33 0.13 -0.03 10.1 1.45 10.56 -0.12 0.06 -0.01 10.15 1.28 10.53 -0.01 0.03 0 10.2 1.11 10.52 0.04 0.02 0 10.25 0.94 10.52 0.01 0.01 0 10.3 0.76 10.53 0 0 0 10.35 0.59 10.53 0.01 0 0 10.4 0.43 10.53 0 0 0 10.45 0.26 10.53 0 0 0 10.5 0.09 10.53 0 0 0 10.55 -0.08 10.53 0 0 0 10.6 -0.24 10.53 0 0 0 10.65 -0.41 10.53 0 0 0 10.7 -0.57 10.53 0 0 0 10.75 -0.74 10.53 0 0 0 10.8 -0.9 10.53 0 0 0 10.85 -1.06 10.53 0 0 0 10.9 -1.22 10.53 0 0 0 10.95 -1.38 10.53 0 0 0 11 -1.54 10.53 0 0 0 11.05 -1.7 10.53 0 0 0 11.1 -1.86 10.53 0 0 0 11.15 -2.01 10.53 0 0 0 11.2 -2.17 10.53 0 0 0 11.25 -2.33 10.53 0 0 0 11.3 -2.48 10.53 0 0 0 11.35 -2.64 10.53 0 0 0 11.4 -2.79 10.53 0 0 0 11.45 -2.94 10.53 0 0 0 11.5 -3.09 10.53 0 0 0 11.55 -3.25
  • 6.
    3 2 1 0 -1 Column N -2 -3 -4 9.8 10 10.2 10.4 10.6 10.8 11 11.2 11.4 11.6 11.8
  • 7.
    Interpolación Lineal m 68.1 g 9.8 t 12 No. a b f(a) f(b) Xm V(t) 53.48 1 10 11 1.8 -1.54 10.54 2 10 10.54 1.8 -0.04 10.53 3 10 10.53 1.8 0 10.53 4 10 10.53 1.8 0 10.53 5 10 10.53 1.8 0 10.53 6 10 10.53 1.8 0 10.53 7 10 10.53 1.8 0 10.53 8 10 10.53 1.8 0 10.53 9 10 10.53 1.8 0 10.53 10 10.53 10.53 0 0 10.53 11 10.53 10.53 0 0 10.53 12 10.53 10.53 0 0 10.53 13 10.53 10.53 0 0 10.53 14 10.53 10.53 0 0 10.53 15 10.53 10.53 0 0 10.53 16 10.53 10.53 0 0 10.53 17 10.53 10.53 0 0 10.53 18 10.53 10.53 0 0 10.53 19 10.53 10.53 0 0 10.53 20 10.53 10.53 0 0 10.53 21 10.53 10.53 0 0 10.53 22 10.53 10.53 0 0 10.53 23 10.53 10.53 0 0 10.53 24 10.53 10.53 0 0 10.53 25 10.53 10.53 0 0 10.53 26 10.53 10.53 0 0 10.53 27 10.53 10.53 0 0 10.53 28 10.53 10.53 0 0 10.53 29 10.53 10.53 0 0 10.53 30 10.53 10.53 0 0 10.53 31 10.53 10.53 0 0 10.53 32 10.53 10.53 0 0 10.53
  • 8.
    f(Xm) Tolerancia fa*fxm n Funcion -0.04 -0.07 10 1.8 0 0.01 0 10.05 1.63 0 0 0 10.1 1.45 0 0 0 10.15 1.28 0 0 0 10.2 1.11 0 0 0 10.25 0.94 0 0 0 10.3 0.76 0 0 0 10.35 0.59 0 0 0 10.4 0.43 0 0 0 10.45 0.26 0 0 0 10.5 0.09 0 0 0 10.55 -0.08 0 0 0 10.6 -0.24 0 0 0 10.65 -0.41 0 0 0 10.7 -0.57 0 0 0 10.75 -0.74 0 0 0 10.8 -0.9 0 0 0 10.85 -1.06 0 0 0 10.9 -1.22 0 0 0 10.95 -1.38 0 0 0 11 -1.54 0 0 0 11.05 -1.7 0 0 0 11.1 -1.86 0 0 0 11.15 -2.01 0 0 0 11.2 -2.17 0 0 0 11.25 -2.33 0 0 0 11.3 -2.48 0 0 0 11.35 -2.64 0 0 0 11.4 -2.79 0 0 0 11.45 -2.94 0 0 0 11.5 -3.09 0 0 0 11.55 -3.25
  • 9.
    Xi F(Xi) F'(Xi) Tol X F(x) delta 0 1 -2 0 1 1 0.5 0.11 -1.61 0.5 1 -0.63 0.57 0 -1.57 0.07 2 -1.86 0.57 0 -1.57 0 3 -2.95 0.57 0 -1.57 0 4 -3.98 0.57 0 -1.57 0 5 -4.99 0.57 0 -1.57 0 6 -6 0.57 0 -1.57 0 7 -7 0.57 0 -1.57 0 8 -8 0.57 0 -1.57 0 9 -9 0.57 0 -1.57 0 10 -10 11 -11 12 -12 13 -13 14 -14 15 -15 16 -16 17 -17 18 -18 19 -19 20 -20 21 -21 22 -22 23 -23
  • 10.
    5 0 -5 -10 Column G -15 -20 -25 0 5 10 15 20 25
  • 11.
    Xi F(Xi) F'(Xi) Tol 0 1 0.2 0.62 -1.91 0.2 0.52 0.07 -1.7 0.32 0.56 0 -1.58 0.04 0.57 0 -1.57 0 0.57 0 -1.57 0 0.57 0 -1.57 0 0.57 0 -1.57 0 0.57 0 0
  • 12.
    n x f(X) g(x) 1 -3 -42 5 2 -2 -17 1.83 3 -1 -4 0.67 4 0 3 0.5 5 1 10 0.33 6 2 23 -0.83 7 3 48 -4 8 4 91 -10.17 9 5 158 -20.33 10 6 255 -35.5 11 7 388 -56.67 500 400 300 200 100 0 -100 -4 -2 0 2
  • 13.
    f(X) n g(x) 0 2 4 6 8