MINISTERUL AGRICULTURII ŞI DEZVOLTĂRII RURALE

                           Direcţia Generală Dezvoltare Rurală
                          Autoritate de Management pentru PNDR




        Plan de Dezvoltare Locală – „Alutus” 2011 - 2013

                                                CUPRINS


I. Introducere ............................................................................................8
II. Dosarul de candidatură ........................................................................9
  II.1. Lista localităţilor cuprinse în teritoriu ....................................................... 9
  II.2. Planul de dezvoltare a teritoriului .......................................................... 14
  II.3. Planul de finanţare .............................................................................. 306
III. Realizarea parteneriatului şi funcţionarea GAL ...............................311
  III.1. Prezentarea procesului de elaborare a Planului de dezvoltare Locală
         (parteneriatul care realizează Planul de Dezvoltare Locală) ............. 311
  III.2. Modurile de asociere a diferiţilor parteneri ......................................... 316
  III.3. Prezentarea parteneriatului decizional............................................... 328
  III.4. Resurse umane – animare - comunicare ........................................... 341
  III.5. Implementarea proiectelor în cadrul GAL .......................................... 379
  III.6. Implicarea GAL în acţiunile de cooperare şi în RNDR ....................... 393
IV. Bibliografie ...................................................................................... 398
                                                                                                        301H
I. Introducere ............................................................................................8
II. Dosarul de candidatură ........................................................................9
  II.1. Lista localităţilor cuprinse în teritoriu ....................................................... 9
  II.2. Planul de dezvoltare a teritoriului .......................................................... 14
     II.2.1 Prezentarea geografică şi fizică ............................................................................14
     II.2.2 Analiza Actorilor implicaţi.....................................................................................135
     II.2.3 Tipul de strategie ales pe baza analizei SWOT...................................................157
     II.2.4 Arborele problemelor ...........................................................................................157
     II.2.5 Arborele obiectivelor............................................................................................170
     II.2.6 Matricea Cadru Logic ..........................................................................................193
     II.2.7 Analiza de risc .....................................................................................................198
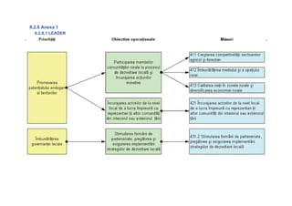
     II.2.8 Anexa 1 ...............................................................................................................203
     II.2.9 Fişele tehnice ale măsurilor.................................................................................207
     II.2.10 Consultări între toţi partenerii ............................................................................285
  II.3. Planul de finanţare .............................................................................. 306
III. Realizarea parteneriatului şi funcţionarea GAL ...............................311
  III.1. Prezentarea procesului de elaborare a Planului de dezvoltare Locală
         (parteneriatul care realizează Planul de Dezvoltare Locală) ............. 311
     III.1.1 Consultări pe plan local ......................................................................................311
  III.2. Modurile de asociere a diferiţilor parteneri ......................................... 316
     III.2.1 Căutarea leader -ului; .........................................................................................317
     III.2.2 O analiză sumară (localizare geografică, tipuri de localităţi – oraşe, comune, sate,
     număr de locuitori etc.) a localităţilor cuprinse în teritoriului dorit pentru viitorul potenţial
     GAL; .............................................................................................................................317
     III.2.3 Identificarea persoanelor-resursă (cu care se va colabora). Acestea se vor stabili
     cu ajutorul autorităţilor din localităţile respective şi al DADR –urilor;............................317
     III.2.4 Pregătirea materialelor de prezentare a programului LEADER şi gruparea lor în
     vederea prezentării în cadrul întâlnirilor ce vor avea loc la iniţiativa leader -ului în
     prezenţa DADR -ului;....................................................................................................317
     III.2.5 Organizarea grupurilor de lucru (combinarea competenţelor) şi adunarea acestora
     în diferite întâlniri. .........................................................................................................317
  III.3. Prezentarea parteneriatului decizional............................................... 328
     III.3.1 Descrierea partenerilor .......................................................................................328
     III.3.2 Crearea şi funcţionarea GAL - ului .....................................................................334
  III.4. Resurse umane – animare - comunicare ........................................... 341
     III.4.1 Resurse umane ..................................................................................................341
     III.4.2 Resursele umane ale structurilor partenere .......................................................356
     III.4.3 Descrierea resurselor materiale (echipamente, localuri disponibile) ..................361
     III.4.4 Buget indicativ anual de funcţionare a GAL .......................................................363
     III.4.5 Dispozitivul de comunicare şi informare .............................................................368
  III.5. Implementarea proiectelor în cadrul GAL .......................................... 379
     III.5.1 Dispozitivul de monitorizare, evaluare şi control implementat de GAL...............379
  III.6. Implicarea GAL în acţiunile de cooperare şi în RNDR ....................... 393
     III.6.1 Cooperare...........................................................................................................393
     III.6.2 Crearea şi implementarea reţelei .......................................................................396
IV. Bibliografie ...................................................................................... 398                       340H
I. Introducere ............................................................................................8
II. Dosarul de candidatură ........................................................................9
  II.1. Lista localităţilor cuprinse în teritoriu ....................................................... 9
  II.2. Planul de dezvoltare a teritoriului .......................................................... 14
PARTEA I: Prezentarea teritoriului – Analiza diagnostic ........................14
     II.2.1 Prezentarea geografică şi fizică ............................................................................14
        II.2.1.1 Prezentarea principalelor caracteristici geografice (amplasament, relief, altitudine,…)
        .................................................................................................................................................. 14
            II.2.1.1.1 Amplasarea teritoriului..........................................................................................................14
            II.2.1.1.2 Relief ....................................................................................................................................14
            II.2.1.1.3 Principalele tipuri de sol predominante.................................................................................15
            II.2.1.1.4 Resursele naturale ...............................................................................................................16
            II.2.1.1.5 Vegetaţia ..............................................................................................................................18
            II.2.1.1.6 Comentarii privind principalele caracteristici geografice .......................................................19
        II.2.1.2 Hărţi – planul localizării teritoriului................................................................................ 20
        II.2.1.3 Populaţie - demografie ................................................................................................. 22
            II.2.1.3.1 Informaţii privind comunităţile prezente ................................................................................22
            II.2.1.3.2 Tendinţele demografice ........................................................................................................24
            II.2.1.3.3 Şomajul pe termen lung........................................................................................................29
            II.2.1.3.4 Diversitate etnică ..................................................................................................................33
            II.2.1.3.5 Comentarii privind populaţia - demografia ............................................................................33
        II.2.1.4 Patrimoniu de mediu .................................................................................................... 35
            II.2.1.4.1 Relief ....................................................................................................................................35
            II.2.1.4.2 Geologie ...............................................................................................................................35
            II.2.1.4.3 Biodiversitate........................................................................................................................36
            II.2.1.4.4 Ape .......................................................................................................................................39
            II.2.1.4.5 Comentarii privind patrimoniul de mediu ..............................................................................43
        II.2.1.5 Patrimoniu arhitectural şi cultural ................................................................................. 45
            II.2.1.5.1 biserici şi mănăstiri; ..............................................................................................................45
            II.2.1.5.2 case memoriale; ...................................................................................................................49
            II.2.1.5.3 monumente dispărute...........................................................................................................52
            II.2.1.5.4 castre (roman, dacic etc.); ....................................................................................................52
            II.2.1.5.5 cetăţi şi castele; ....................................................................................................................58
            II.2.1.5.6 meşteşuguri specifice (pictură pe sticlă, cojocărit, port specific etc.);...................................60
            II.2.1.5.7 herghelii de cai relevante (specifice); ...................................................................................62
            II.2.1.5.8 tipuri de turism practicate .....................................................................................................62
            II.2.1.5.9 obiceiuri locale, etc. ..............................................................................................................63
            II.2.1.5.10 Comentarii privind patrimoniul arhitectural şi cultural .........................................................63
        II.2.1.6 Economia locală ........................................................................................................... 64
            II.2.1.6.1 Repartizarea populaţiei active ..............................................................................................66
            II.2.1.6.2 Agricultură ............................................................................................................................68
            II.2.1.6.3 Comentarii privind economia locală......................................................................................78
            II.2.1.6.4 Industrie – IMM – Micro-întreprinderi....................................................................................80
            II.2.1.6.5 Comentarii privind industria locală........................................................................................98
            II.2.1.6.6 Comerţ şi sector de servicii ..................................................................................................99
            II.2.1.6.7 Comentarii privind comerţul şi serviciile................................................................................99
            II.2.1.6.8 Comentarii privind economia locală....................................................................................100
        II.2.1.7 Servicii şi infrastructuri medico-sociale ...................................................................... 101
            II.2.1.7.1 Echipamente prezente sau accesibilitate ...........................................................................105
            II.2.1.7.2 Comentarii privind serviciile şi infrastructurile medico-sociale ............................................109
        II.2.1.8 Activităţi sociale şi instituţii locale............................................................................... 110
            II.2.1.8.1 Instituţii locale.....................................................................................................................110
            II.2.1.8.2 Asociaţii de comune, de consilii..........................................................................................113
            II.2.1.8.3 ONG-uri, asociaţii locale.....................................................................................................113
            II.2.1.8.4 Comentarii privind activităţile sociale şi instituţii locale .......................................................116
        II.2.1.9 Bilanţul politicilor întreprinse în teritoriu ..................................................................... 117
            II.2.1.9.1 Concluzii privind Bilanţul politicilor întreprinse în teritoriu ...................................................125
        II.2.1.10 Elemente complementare privind prezentarea teritoriului........................................ 126
            II.2.1.10.1 Infrastructura rutieră .........................................................................................................126
            II.2.1.10.2 Infrastructura de cale ferată..............................................................................................129
II.2.1.10.3 Infrastructura de comunicaţii ............................................................................................130
            II.2.1.10.4 Infrastructura de utilităţi ....................................................................................................132

PARTEA a II-a: Analiza SWOT ............................................................135
     II.2.2 Analiza Actorilor implicaţi.....................................................................................135
        II.2.2.1 Evaluarea Actorilor implicaţi ....................................................................................... 139
        II.2.2.2 Comentarii privind Evaluarea Actorilor implicaţi......................................................... 140
        II.2.2.3 SWOT – TERITORIU ................................................................................................. 141
        II.2.2.4 SWOT – POPULAŢIA ................................................................................................ 146
        II.2.2.5 SWOT - ACTIVITĂŢI ECONOMICE........................................................................... 148
        II.2.2.6 SWOT - ORGANIZAREA SOCIALĂ ŞI INSTITUŢIONALĂ........................................ 151
        II.2.2.7 SWOT - Potenţialul de producţie agricolă (producţia primară) .................................. 153
        II.2.2.8 SWOT – Calitatea vieţii – Dezvoltare rurală............................................................... 155
     II.2.3 Tipul de strategie ales pe baza analizei SWOT...................................................157
PARTEA a – III - a: priorităţi .................................................................157
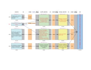
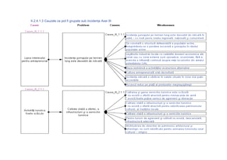
     II.2.4 Arborele problemelor ...........................................................................................157
        II.2.4.1 Definirea cauzelor primare ale problemelor ............................................................... 158
            II.2.4.1.1 Cauzele ce pot fi grupate sub incidenţa Axei I....................................................................159
            II.2.4.1.2 Cauzele ce pot fi grupate sub incidenţa Axei II...................................................................161
            II.2.4.1.3 Cauzele ce pot fi grupate sub incidenţa Axei III..................................................................163
        II.2.4.2 Structura arborelui problemă...................................................................................... 165
            II.2.4.2.1 Arborele problemelor pentru Axa I......................................................................................166
            II.2.4.2.2 Arborele problemelor pentru Axa II.....................................................................................167
            II.2.4.2.3 Arborele problemelor pentru Axa III....................................................................................168
            II.2.4.2.4 Arborele problemelor pentru Axa IV ...................................................................................169
     II.2.5 Arborele obiectivelor............................................................................................170
        II.2.5.1 Structura Arborelui obiectivelor .................................................................................. 170
            II.2.5.1.1 Arborele obiectivelor pentru Axa I ......................................................................................171
            II.2.5.1.2 Analiza sensibilităţii pentru Axa II .......................................................................................172
            II.2.5.1.3 Arborele obiectivelor pentru Axa II .....................................................................................177
            II.2.5.1.4 Analiza sensibilităţii pentru Axa II .......................................................................................178
            II.2.5.1.5 Arborele obiectivelor pentru Axa III ....................................................................................183
            II.2.5.1.6 Analiza sensibilităţii pentru Axa III ......................................................................................184
            II.2.5.1.7 Arborele obiectivelor pentru Axa IV ....................................................................................188
            II.2.5.1.8 Analiza sensibilităţii pentru Axa IV......................................................................................189
     II.2.6 Matricea Cadru Logic ..........................................................................................193
     II.2.7 Analiza de risc .....................................................................................................198
        II.2.7.1 Riscuri globale asociate cu Proiectul.......................................................................... 198
        II.2.7.2 Riscuri locale asociate cu Scopul Proiectului............................................................. 199
        II.2.7.3 Analiza de Risk cu Metoda Monte Carlo .................................................................... 201
            II.2.7.3.1 Riscul de cost .....................................................................................................................201
            II.2.7.3.2 Riscul de durată .................................................................................................................202
     II.2.8 Anexa 1 ...............................................................................................................203
        II.2.8.1 LEADER ..................................................................................................................... 203
        II.2.8.2 Creşterea competitivităţii sectoarelor agricol şi forestier............................................ 204
        II.2.8.3 Îmbunătăţirea mediului şi a spaţiului rural.................................................................. 205
        II.2.8.4 Calitatea vieţii în zonele rurale şi diversificarea economiei rurale ............................. 206

PARTEA a – IV – a: Măsura.................................................................207
     II.2.9 Fişele tehnice ale măsurilor.................................................................................207
        II.2.9.1 Axa I Creşterea competitivităţii sectoarelor agricol şi forestier .................................. 207
            II.2.9.1.1 Măsura: 111 Formare profesională (training), informare şi difuzare de cunoştinţe.............207
            II.2.9.1.2 Măsura: 112 Instalarea tinerilor fermieri .............................................................................212
            II.2.9.1.3 Măsura: 113 Pensionarea timpurie a fermierilor şi lucrătorilor agricoli ...............................215
            II.2.9.1.4 Măsura: 114 Utilizarea serviciilor de consiliere...................................................................217
            II.2.9.1.5 Măsura: 121 Modernizarea exploataţiilor agricole ..............................................................219
            II.2.9.1.6 Măsura: 122 Îmbunătăţirea valorii economice a pădurii .....................................................223
            II.2.9.1.7 Măsura: 123 Creşterea valorii adăugate a produselor agricole şi forestiere.......................226
              II.2.9.1.8 Măsura: 125 Îmbunătăţirea şi dezvoltarea infrastructurii legate de dezvoltarea şi adaptarea
             ..........................................................................................................................................................231
II.2.9.1.9 Măsura: 141 Sprijinirea fermelor agricole de semi-subzistenţă ..........................................234
           II.2.9.1.10 Măsura: 142 Înfiinţarea grupurilor de producători.............................................................238
       II.2.9.2 Axa II Îmbunătăţirea mediului şi a spaţiului rural........................................................ 245
           II.2.9.2.1 Măsura: 211 Sprijin pentru Zona Montană Defavorizată ....................................................245
           II.2.9.2.2 Măsura: 212 Sprijin pentru zone defavorizate – altele decât zona montană ......................248
           II.2.9.2.3 Măsura: 213 Plăţi Natura 2000 pe teren agricol .................................................................250
           II.2.9.2.4 Măsura: 214 Plăţi de Agro-mediu .......................................................................................252
           II.2.9.2.5 Măsura: 221 Prima împădurire a terenurilor agricole .........................................................256
           II.2.9.2.6 Măsura: 223 Prima împădurire a terenurilor non-agricole ..................................................259
           II.2.9.2.7 Măsura: 224 Plăţi Natura 2000 pe teren forestier ...............................................................260
       II.2.9.3 Axa III Calitatea vieţii în zonele rurale şi diversificarea economiei rurale .................. 261
           II.2.9.3.1 Măsura: 312 Sprijin pentru crearea şi dezvoltarea de micro-întreprinderi ..........................261
           II.2.9.3.2 Măsura: 313 Încurajarea activităţilor turistice .....................................................................265
                II.2.9.3.3 Măsura: 322 Renovarea, dezvoltarea satelor, îmbunătăţirea serviciilor de bază pentru
           economia şi populaţia rurală şi punerea în valoare a moştenirii rurale..............................................269
            II.2.9.3.4 Măsura: 341 Dobândire de competenţe, animare şi implementarea strategiilor de dezvoltare
           locală.................................................................................................................................................274
       II.2.9.4 Axa IV LEADER.......................................................................................................... 276
           II.2.9.4.1 Măsura: 411 Creşterea competitivităţii sectoarelor agricol şi forestier................................276
           II.2.9.4.2 Măsura: 412 Îmbunătăţirea mediului şi a spaţiului rural......................................................277
           II.2.9.4.3 Măsura: 413 Calitatea vieţii în zonele rurale şi diversificarea economiei rurale..................278
               II.2.9.4.4 Măsura: 421 Încurajarea actorilor de la nivel local de a lucra împreună cu reprezentan ţii
           altor ...................................................................................................................................................280
              II.2.9.4.5 Măsura: 431.2 Stimularea formării de parteneriate, pregătirea şi asigurarea implementării
            ..........................................................................................................................................................283
    II.2.10 Consultări între toţi partenerii ............................................................................285
       II.2.10.1 Macheta chestionarului ............................................................................................ 285
       II.2.10.2 Proiecte pe Localităţi ................................................................................................ 288
           II.2.10.2.1 Chestionare completate....................................................................................................288
           II.2.10.2.2 Idei de proiecte pe localităţi ..............................................................................................289
           II.2.10.2.3 Tabel sintetic proiecte pe localităţi şi măsuri ....................................................................290
           II.2.10.2.4 Tabel sintetic proiecte pe măsuri şi localităţi ....................................................................291
           II.2.10.2.5 Pondere normalizată pe axe.............................................................................................293
           II.2.10.2.6 Ponderea normalizată pe axe...........................................................................................293
           II.2.10.2.7 Ponderea axelor pe localităţi ............................................................................................294
           II.2.10.2.8 Ponderea măsurilor pe localităţi .......................................................................................294
           II.2.10.2.9 Clase de măsuri ...............................................................................................................298
           II.2.10.2.10 Idei de proiecte ...............................................................................................................300
           II.2.10.2.11 Harta tematică cu idei de proiecte ..................................................................................305
  II.3. Planul de finanţare .............................................................................. 306
III. Realizarea parteneriatului şi funcţionarea GAL ...............................311
PARTEA a – V – a: Parteneriatul .........................................................311
  III.1. Prezentarea procesului de elaborare a Planului de dezvoltare Locală
         (parteneriatul care realizează Planul de Dezvoltare Locală) ............. 311
    III.1.1 Consultări pe plan local ......................................................................................311
  III.2. Modurile de asociere a diferiţilor parteneri ......................................... 316
    III.2.1 Căutarea leader -ului; .........................................................................................317
    III.2.2 O analiză sumară (localizare geografică, tipuri de localităţi – oraşe, comune, sate,
    număr de locuitori etc.) a localităţilor cuprinse în teritoriului dorit pentru viitorul potenţial
    GAL; .............................................................................................................................317
    III.2.3 Identificarea persoanelor-resursă (cu care se va colabora). Acestea se vor stabili
    cu ajutorul autorităţilor din localităţile respective şi al DADR –urilor;............................317
    III.2.4 Pregătirea materialelor de prezentare a programului LEADER şi gruparea lor în
    vederea prezentării în cadrul întâlnirilor ce vor avea loc la iniţiativa leader -ului în
    prezenţa DADR -ului;....................................................................................................317
    III.2.5 Organizarea grupurilor de lucru (combinarea competenţelor) şi adunarea acestora
    în diferite întâlniri. .........................................................................................................317
       III.2.5.1 Temele grupurilor de lucru ........................................................................................ 317
       III.2.5.2 Componenţa grupurilor de lucru................................................................................ 318
III.2.5.3 Prima întâlnire ........................................................................................................... 319
       III.2.5.4 A doua întâlnire ......................................................................................................... 325
       III.2.5.5 A treia întâlnire: ......................................................................................................... 326
  III.3. Prezentarea parteneriatului decizional............................................... 328
    III.3.1 Descrierea partenerilor .......................................................................................328
       III.3.1.1 Membrii supleanţi ...................................................................................................... 330
       III.3.1.2 Regula „dublului cvorum” .......................................................................................... 331
           III.3.1.2.1 Prezenţă minimă obligatorie ..............................................................................................331
           III.3.1.2.2 Prezenţă peste cvorumul minim obligatoriu + 1.................................................................331
           III.3.1.2.3 Prezenţă peste cvorumul minim obligatoriu + 2.................................................................332
           III.3.1.2.4 Prezenţă peste cvorumul minim obligatoriu + 3.................................................................332
           III.3.1.2.5 Prezenţă peste cvorumul minim obligatoriu + 4.................................................................333
    III.3.2 Crearea şi funcţionarea GAL - ului .....................................................................334
       III.3.2.1 Organele Asociaţiei ................................................................................................... 334
       III.3.2.2 Adunarea generala .................................................................................................... 335
       III.3.2.3 Consiliul director ........................................................................................................ 336
       III.3.2.4 Cenzorul .................................................................................................................... 337
       III.3.2.5 Comitetul de selectare a proiectelor.......................................................................... 338
       III.3.2.6 Compartimentul administrativ.................................................................................... 339
  III.4. Resurse umane – animare - comunicare ........................................... 341
PARTEA a – VI – a: Organizarea GAL-ului ..........................................341
    III.4.1 Resurse umane ..................................................................................................341
       III.4.1.1 Activităţi desfăşurate la nivelul GAL .......................................................................... 341
           III.4.1.1.1 FIŞA POSTULUI - Responsabil administrativ – Director executiv al Asociaţiei .................342
           III.4.1.1.2 FIŞA POSTULUI - Consultant extern financiar - contabil ..................................................347
           III.4.1.1.3 FIŞA POSTULUI - Consultant extern Dezvoltare Rurală & Identitate Vizuală & Informare348
           III.4.1.1.4 FIŞA POSTULUI - Activităţi de secretariat ........................................................................349
           III.4.1.1.5 FIŞA POSTULUI - Animator ..............................................................................................351
           III.4.1.1.6 FIŞA POSTULUI - Expert Tehnic ......................................................................................353
    III.4.2 Resursele umane ale structurilor partenere .......................................................356
    III.4.3 Descrierea resurselor materiale (echipamente, localuri disponibile) ..................361
       III.4.3.1 Sediul central - Bodoc ............................................................................................... 361
       III.4.3.2 Punct de lucru - Baraolt............................................................................................. 362
    III.4.4 Buget indicativ anual de funcţionare a GAL .......................................................363
       III.4.4.1 Circuitul financiar pentru măsura 431 (sub-măsura 431.2)....................................... 366
    III.4.5 Dispozitivul de comunicare şi informare .............................................................368
       III.4.5.1 Metodologia ............................................................................................................... 369
       III.4.5.2 Instrumentele necesare pentru informare şi comunicare .......................................... 370
           III.4.5.2.1 întâlniri – conferinţe tematice.............................................................................................371
           III.4.5.2.2 seminarii ad-hoc ................................................................................................................371
           III.4.5.2.3 grupuri de lucru .................................................................................................................372
           III.4.5.2.4 afişe, publicaţii...................................................................................................................375
           III.4.5.2.5 acces la baze de date........................................................................................................375
           III.4.5.2.6 elaborare şi diseminare de materiale.................................................................................376
           III.4.5.2.7 mas-media.........................................................................................................................377
  III.5. Implementarea proiectelor în cadrul GAL .......................................... 379
PARTEA a – VII – a: Mecanismul de implementare.............................379
    III.5.1 Dispozitivul de monitorizare, evaluare şi control implementat de GAL...............379
       III.5.1.1 Monitorizare............................................................................................................... 379
           III.5.1.1.1 Logica de intervenţie şi indicatorii......................................................................................380
           III.5.1.1.2 M1.1-E3.8 FISA DE VERIFICARE PE TEREN..................................................................381
       III.5.1.2 Evaluare .................................................................................................................... 384
           III.5.1.2.1 Evaluarea Ex - Ante...........................................................................................................384
           III.5.1.2.2 Evaluarea intermediară .....................................................................................................385
           III.5.1.2.3 Întrebări de evaluare..........................................................................................................385
           III.5.1.2.4 Evaluarea Ex - Post...........................................................................................................389
           III.5.1.2.5 Activităţile dispozitivului de monitorizare, evaluare şi control implementat de GAL...........389
III.5.1.2.6 Controlul ............................................................................................................................390
            III.5.1.2.7 Sarcinile dispozitivului de monitorizare, evaluare şi control implementat de GAL .............391
  III.6. Implicarea GAL în acţiunile de cooperare şi în RNDR ....................... 393
PARTEA a -VIII – a: Cooperare şi crearea şi implementarea reţelei.... 393
     III.6.1 Cooperare...........................................................................................................393
        III.6.1.1 Aspecte financiare ..................................................................................................... 393
     III.6.2 Crearea şi implementarea reţelei .......................................................................396
        III.6.2.1 modul în care GAL intenţionează să participe la crearea şi implementarea reţelei la
        nivel naţional şi european....................................................................................................... 396
        III.6.2.2 Resursele pe care GAL intenţionează să le aloce .................................................... 396
            III.6.2.2.1 Resurse umane .................................................................................................................396
            III.6.2.2.2 Contribuţie „în natură”........................................................................................................396
        III.6.2.3 Iniţiativele GAL pe care le va avea pentru a-şi face cunoscute teritoriul .................. 396
        III.6.2.4 Acţiunile GAL pe care le realizează pentru a-şi face cunoscute teritoriul ................. 397

IV. Bibliografie ...................................................................................... 398                                             57H
I. Introducere
Spaţiul rural românesc se confruntă cu numeroase carenţe, acestea reprezentând şi motivul
pentru disparităţile între urban-rural prin prisma tuturor componentelor sale: economia rurală,
potenţialul demografic, sănătate, şcoală, cultură, etc.
Pentru reducerea acestor disparităţi, una dintre soluţii o reprezintă elaborarea şi
implementarea unor strategii integrate de dezvoltare de către comunităţile locale, având ca
punct de plecare nevoile identificate la nivel local şi potenţialul endogen.
Implicarea actorilor locali în dezvoltarea propriilor zone, va contribui la realizarea unei
dezvoltări dinamice, sprijinită de o strategie de dezvoltare locală elaborată şi implementată
local şi administrată de reprezentanţi ai GAL-ului, care vor reprezenta interlocutorii populaţiei
din teritoriile respective, în vederea îmbunătăţirii continue a strategiei şi a acţiunilor ce vor fi
implementate.
Practic, dezvoltarea teritoriilor rurale acoperite de abordarea LEADER, va fi programată şi
coordonată de actorii locali ce vor reprezenta factorul decizional şi care vor purta
responsabilitatea evoluţiei în timp.
Prezenta lucrare este rezultat ale eforturilor conjugate depuse de către partenerii instituţionali,
iniţiatori ai Asociaţiei „Alutus” pe de o parte, pe de altă parte a ajutorului pe care participanţii
la întâlnirile organizate pe parcursul derulării proiectului ni l-au oferit prin completarea
chestionarelor şi formularea unor opinii şi observaţii legate de conţinutul prezentei Strategii
de dezvoltare locală.
Nutrim speranţa că această comunitate va reuşi să fructifice oportunităţile pe care Politica
Agrară Comună prin pilonul Dezvoltării rurale ni l-a oferit.

             János DEMETER                                        István CSUTAK
    Vicepreşedinte al Consiliului Judeţean                          Coordonator
                  Covasna
II. Dosarul de candidatură
     II.1. Lista localităţilor cuprinse în teritoriu
Anexa 3 - Lista localităţilor
Teritoriu
                                                                                                  Suprafaţa
           Codul                       Numele localităţii                   Nr. locuitori                     Densitate
                                                                                                   totală
         comunelor
                                                                            Din      Total
           INSSE          Comune              Oraşe                 Sate                            km2       loc./km2
                                                                           oraşe   teritoriu
           63777     AITA MARE                                                        1,777           67.97          26
            63786                                           AITA MARE                       935

            63795                                           AITA MEDIE                      842
           65113     ARCUŞ                                                            1,305           33.53          39
            64924                                           ARCUŞ                      1,305
           63802     BĂŢANI                                                           4,521          280.00          16
            63820                                           AITA SEACĂ                      906

            63811                                           BĂŢANII MARI               1,912

            63839                                           BĂŢANII MICI                    572

            63848                                           HERCULIAN                  1,075

            63857                                           OZUNCA-BĂI                       56
           63866     BELIN                                                            2,652           70.70          38
            63875                                           BELIN                      1,575

            63884                                           BELIN-VALE                 1,077
           65121     BIXAD                                                            1,789           60.57          30
            64522                                           BIXAD                      1,789
Suprafaţa
  Codul                 Numele localităţii                      Nr. locuitori                     Densitate
                                                                                       totală
comunelor
                                                                Din      Total
  INSSE        Comune          Oraşe                  Sate                              km2       loc./km2
                                                               oraşe   teritoriu
  63893     BODOC                                                         2,503           81.65          31
  63900                                      BODOC                         1,299

  63919                                      OLTENI                             593

  63928                                      ZĂLAN                              611
  64041     BRĂDUŢ                                                        4,686          173.36          27
  64050                                      BRĂDUŢ                        1,036

  64069                                      DOBOŞENI                      1,472

  64078                                      FILIA                         1,371

  64087                                      TĂLIŞOARA                          807
  64345     GHIDFALĂU                                                     2,607           42.00          62
  64363                                      ANGHELUŞ                           695

  64372                                      FOTOŞ                              388

  64354                                      GHIDFALĂU                     1,136

  64381                                      ZOLTAN                             388
  64504     MALNAŞ                                                        1,211           37.30          32
  64531                                      MALNAŞ                             570

  64540                                      MALNAŞ-BĂI                         462

  64559                                      VALEA ZĂLANULUI                    179
  65139     MICFALĂU                                                      1,877           35.58          53
  64513                                      MICFALĂU                      1,877
Suprafaţa
  Codul                      Numele localităţii                     Nr. locuitori                     Densitate
                                                                                           totală
comunelor
                                                                    Din       Total
  INSSE        Comune               Oraşe                 Sate                              km2       loc./km2
                                                                   oraşe    teritoriu
  63447                       ORAŞ BARAOLT                                     3,673         128.48          29
  63456                         BARAOLT                             5,940

  63465                                           BIBORŢENI                         756

  63474                                           BODOŞ                             398

  63483                                           CĂPENI                        1,111

  63492                                           MICLOŞOARA                        496

  63508                                           RACOŞUL DE SUS                    913
  64906     VALEA CRIŞULUI                                                     2,152          27.85          77
  64933                                           CALNIC                        1,607

  64915                                           VALEA CRIŞULUI                    545
  64997     VÂRGHIŞ                                                            1,904          70.24          27
  65002                                           VÂRGHIŞ                       1,904
  Total                                                            5,940     32,657        1,109.23          29
    %
locuitori
oraşe din
                                                                      18              -           -              -
   total
locuitori
 (≤25%)           -                   -                     -
Prin domeniul de intervenţie şi domeniul de activitate ONG reprezintă temele de interes
pentru locuitorii zonei. Desigur aceste organizaţii îşi desfăşoară activitate bazându-se pe
segmentul de cea mai mar mobilitate a locuitorilor. Acest segment – din fericire – nu poate fi
clasificat ca aparţinând unui segment de vârstă, de pregătire sau orice alt criteriu. Componenţa
membrilor activi este atât de diversificată, încât se poate afirma că este reprezentativă pentru
locuitorii zonei.
La cooptarea sectorului privat s-a avut în vedere atragerea unor organizaţii acoperind o cât
mai mare diversitate de activităţi relevante pentru zonă.
Totodată dispersia diferiţilor actori instituţionali ai GAL (NGO, privat, public) este destul de
uniformă în ceea ce priveşte acoperirea geografică. Astfel din 13 localităţi reşedinţă
cuprinzând în total 35 de localităţi componente, dispersia geografică arată în felul următor
                                  Tip de actor În localităţi
                                  ONG                    15
                                  Culte                   4
                                  IMM                    13
                                  public                 11
Din totalul de 13 localităţi reşedinţă cuprinzând 35 localităţi componente 14 localităţi
componente nu sunt reprezentate de către nici un actor printre fondatorii GAL. Desigur
fiecare dintre cele 13 localităţi reşedinţă sunt reprezentate în GAL.
Tabelul de mai jos prezintă distribuţia tipurilor de actorilor GAL pe localităţi. Localităţile
componente care nu au actori sunt semnalate prin „!!!”.
                                                                                                   Grand
                                                SIRUTA   apl       cult       imm       ong        Total
                           AITA MARE            63786          1                               1           2
      AITA MARE
                           AITA MEDIE           63795                               1                      1
         ARCUŞ             ARCUŞ                64924          1          2         1          3           7
                           AITA SEACĂ           63820                                              !!!
                           BĂŢANII MARI         63811          1                               1           2
         BĂŢANI            BĂŢANII MICI         63839                                          1           1
                           HERCULIAN            63848                                              !!!
                           OZUNCA-BĂI           63857                                              !!!
                           BELIN                63875          1                    1          1           3
          BELIN
                           BELIN-VALE           63884                                              !!!
  BIXAD                    BIXAD                64522          1          1         1          1           4
                           BODOC                63900          1                    3                      4
         BODOC             OLTENI               63919                                              !!!
                           ZĂLAN                63928                                              !!!
                           BRĂDUŢ               64050          1                                           1
                           DOBOŞENI             64069                                              !!!
        BRĂDUŢ
                           FILIA                64078                               1          1           2
                           TĂLIŞOARA            64087                                          1           1
                           ANGHELUŞ             64363                               1                      1
                           FOTOŞ                64372                               1          1           2
      GHIDFALĂU
                           GHIDFALĂU            64354          1                    2          1           4
                           ZOLTAN               64381                                              !!!
                           MALNAŞ               64531                     1                                1
        MALNAŞ             MALNAŞ-BĂI           64540                                              !!!
                           VALEA ZĂLANULUI      64559                                              !!!
       MICFALĂU            MICFALĂU             64513          1          2         2          2           7
                           BARAOLT              63456                               3          5           8
                           BIBORŢENI            63465                                              !!!
                           BODOŞ                63474                                              !!!
    ORAŞ BARAOLT
                           CĂPENI               63483                               1                      1
                           MICLOŞOARA           63492                                              !!!
                           RACOŞUL DE SUS       63508                                          1           1
                           CALNIC               64933                                          1           1
   VALEA CRIŞULUI
                           VALEA CRIŞULUI       64915                                              !!!
        VÂRGHIŞ            VÂRGHIŞ              65002          1                               1           2
  Grand Total                                              10             6     18            22
II.2. Planul de dezvoltare a teritoriului
       PARTEA I: Prezentarea teritoriului – Analiza diagnostic
      II.2.1 Prezentarea geografică şi fizică
          II.2.1.1 Prezentarea principalelor caracteristici geografice
            (amplasament, relief, altitudine,…)
              II.2.1.1.1 Amplasarea teritoriului
Referinţe cardinale
Din punct de vedere geografic judeţul Covasna se află aproape în centrul României (între
meridianele 43o04' şi 44 o05' longitudine estică şi paralela 45 o032' şi 46 o 018' latitudine
nordică), în partea interioară a arcului Carpaţilor Orientali. Vecinătăţile judeţului sunt: la est
judeţele Bacău, Vrancea si Buzău, la sud şi vest judeţul Braşov, iar la nord judeţul Harghita.
Centrul ariei geografice acoperite de către potenţialul GAL „Alutus” este la paralela 46o
latitudine nordică şi meridianul 25o5’ longitudine estică.
Intersecţia cu unele căi de comunicare
Zona acoperită de potenţialul GAL este străbătută de DN 12 respectiv calea ferată 400. Cel
mai apropiat centru urban important este Braşov la cca. 60 km distanţă de la cel mai
îndepărtat punct al zonei în discuţie.




De fapt aria geografică este formată din două microregiuni tradiţionale „Depresiunea Baraolt”
şi „Oltul superior”.
Aceste două microregiuni au limite naturale: depresiunea Baraolt şi partea superioară a
depresiunii văii Oltului, râul Olt fiind „firul de legătură” între cele două entităţi. De aici şi
numele potenţialului GAL: „Alutus”.
             II.2.1.1.2 Relief
Suprafaţa totală a judeţului este de 3,705 km2 (dintre cele mai mici din ţară, depăşind din
acest punct de vedere doar judeţele Ilfov şi Giurgiu). Suprafaţa totală a potenţialului GAL este
de 915,60 km2, adică o suprafaţă relativ mică.
Relieful potenţialului GAL ”Alutus” aparţine unei singure unităţi de relief – Carpaţii
Orientali, cu următoarele subunităţi:
Munţii Harghita – situaţi în N-V GAL, cu altitudinea medie cuprinsă între 520 – 1558 m,
pantă între 10 –50 %, suprafaţă de 33,900 ha, au pe teritoriul GAL următoarea subdiviziune:
etajul platoului vulcanic, depresiunea Ozunca – Bixad
Munţii Bodoc - situaţi în partea sudică a GAL cu altitudinea medie cuprinsă între 600 – 1,240
m, panta între 20 –50 %, suprafaţă de 40,500 ha, sunt delimitaţi spre V, S si E de depresiuni
tectonice (Bixad si Braşov)
Munţii Baraolt - situaţi în partea de V a GAL, cu altitudinea medie cuprinsă între 490 – 1,019
m, pantă între 20 –50 %, suprafaţa de 44,000 ha, puternic afectaţi de o reţea de falii tectonice,
rezultând, prin urmare, o serie de subunităţi:
a) subunităţi muntoase (Hatod, Şugaş, Ariuşd Dealul Fagului) separate prin depresiuni;
b) subunităţi depresionare tectonice cu altitudine medie de 608 m (Băţani, Bodoş, Aita Seacă,
Aita Medie, Cocoş, Valea Mică, Belin Vale – toate alcătuind culoarul depresionar Băţani –
Belin Vale; Iarăş, Debren, Vâlcele);
c) subunităţi depresionare de eroziune (670 m)- reprezintă nişte lărgiri ale unor văi – Hetea si
Valea Zălanului.
Munţii Perşani ( denumiţi si Munţii Vârghişului)- situaţi în extremitatea vestică a GAL, cu
altitudinea medie cuprinsă între 470 – 893 m, pantă între 20 – 50 %, suprafaţa de 7,180 ha, au
relief mai variat datorită apariţiei unor suprafeţe cu roci mai dure – calcare si magmatite
mezozoice.
Clima predominantă
Poziţia geografică a potenţialului GAL, aproximativ în centrul ţării, unde se interferează
influenţele climatice estice cu cele vestice şi particularităţile suprafeţei subiacente creează
premisele unui topoclimat specific de depresiune intramontană, cu nuanţe excesive,
caracterizat prin frecvente şi intense inversiuni termice, temperaturi minime foarte scăzute şi o
circulaţie a aerului diminuată. Temperatura medie anuală a aerului oscilează între 7,1oC şi
7,6oC.
Caracteristice, îndeosebi pentru sezonul rece, sunt frecvenţa şi intensitatea mare a
inversiunilor termice. Prezenţa lor poate explica de ce temperatura medie din luna ianuarie
este egală sau chiar mai scăzută pe fundul depresiunii, decât pe înălţimile de peste 1,000 m
din jur.
Îngheţul este, de asemenea, un fenomen caracteristic depresiunii. Primul îngheţ apare de
regulă la sfârşitul lunii septembrie pe fundul depresiunii, şi în a doua jumătate a lunii
octombrie pe piemont. Primăvara, ultimul îngheţ se poate produce, în medie, la sfârşitul lunii
aprilie. În aceste condiţii, intervalul afectat de îngheţ depăşeşte 200 de zile anual. În condiţii
sinoptice speciale (invazii de aer polar), îngheţul poate să apară chiar de la începutul lunii
septembrie (Sfîntu Gheorghe, 15 septembrie 1960), iar primăvara se poate produce până în
luna iunie (Târgu Secuiesc, 8 iunie 1958, Sfîntu Gheorghe, 13 iunie 1950).
Cantitatea precipitaţiilor, raportată la altitudinea medie este scăzută. În medie cad anual 500-
580 mm pe fundul depresiunii şi 700-800 mm pe piemonturile înalte. Cele mai reduse cantităţi
de precipitaţii se produc iarna, sub 30 mm în partea joasă şi peste 130 mm pe piemont,
minimul fiind în luna februarie (20 mm). În intervalul mai-august cad cele mai abundente
precipitaţii (peste 80-100 mm), luna cea mai ploioasă fiind iunie.
              II.2.1.1.3 Principalele tipuri de sol predominante 1
Solurile brune si brune acide de pădure au o răspândire mai mare in munţii Baraolt, dar apar
insular şi în munţii Bodoc.
Aceste soluri s-au format in condiţiile unui climat rece şi umed, sub păduri de fag, gorun sau
amestec. Se remarcă o repartiţie diferenţiată a solurilor din această grupă, astfel pe versanţii
cu o pantă mai accentuată întâlnim soluri brune acide, în timp ce pe versanţii cu pante mai
domoale se găsesc soluri cu caractere podzolice evidente.

1
    http://www.apmcv.ro/veche/html/2007.html
Cea mai mare extindere pe judeţ o reprezintă solurile brune şi argiloiluviale podzolice, aceste
soluri le întâlnim în special pe culmile largi şi joase, precum şi pe versanţii slab înclinaţi ai
munţilor Bodoc şi Baraolt. De asemenea aceste soluri se găsesc şi pe relieful depresionar unde
acoperă in întregime zona piemontană, şi o parte din terasele Oltului şi Râului Negru, ele fiind
caracteristice etajului de pădure in care predomină stejarul, gorunul şi uneori in amestec cu
fagul. O parte din aceste soluri sunt folosite pentru culturi de cartofi, secară, orz, ovăz, pajisti
şi fâneţe naturale.
              II.2.1.1.4 Resursele naturale
Izvoarele minerale sunt o caracteristică remarcabilă a regiunii. La contactul munţilor cu
depresiunea, pe Valea Oltului şi în bazinul Râului Negru, izvoarele minerale au o compoziţie
carbogazoasă, clorosodică, calcică.
Din sol
        Zăcăminte naturale - Resurse de cărbune
Bazinul carbonifer Baraolt - este situat pe partea de N.V. a judeţului Covasna şi în general
coincide cu Depresiunea Baraolt. În extindere spre S îi aparţine şi ulucul Oltului pe
aliniamentul Căpeni – Ariuşd.
Accesul în regiune se face pe calea ferată Bucureşti – Braşov – Teiuş (linia 300), gara cea mai
apropiată fiind Augustin la cca. 6 km de oraşul Baraolt, centrul industrial şi cultural al acestui
bazin. Căile de comunicaţie principale sunt: drumul nr. 131 Măieruş – Baraolt – Odorheiu
Secuiesc şi drumul nr. 131 B Baraolt – Malnaş Băi.
Depresiunea este străbătută în partea sudică de râul Olt precum şi de afluenţii săi: pârâul
Baraolt, Cormoş şi Vârghiş. Rama muntoasă ce înconjoară bazinul este formată din lanţul
Munţilor Baraolt la este, Harghita de Sud şi la N.E. şi N. Şi Munţii Perşani la V. Morfologic
depresiunea, are un aspect deluros, cu altitudini cuprinse între 500 şi 600 m.
Cu toate că acest bazin a fost cercetat de foarte multă vreme, nici în momentul de faţă nu
posedă o hartă geologică la scara potrivită care să reflecte rezumativ rezultatele cercetărilor
efectuate.
Prin lucrările de prospecţiune şi explorare prin sondaje s-a constatat în acest bazin prezenţa a
5 straturi de cărbune, numerotate de la I – V în ordinea depunerii.
Lignitul din bazinul Baraolt – Căpeni are culoarea şi urma brună închis şi aspect foarte
compact şi dur. Este format dintr-o masă de bază cărbunoasă în care se observă incluziuni de
benzi şi filamente fine de xylit şi metoxylit cu grosimi de la 0,1 – 2 mm, foarte rar ajungând la
4 mm. Metoxylitul este semilucios, iar vitritul are luciu puternic. Săpătura este
semiconcoidală, iar textura paralelă din cauza benzilor de xylit şi metaxylit, orientate paralel
cu stratificaţia. Cu ochiul liber se pot observa rare cuiburi de fuzit cu luciu mătăsos şi de
culoare neagră. Ca substanţe minerale s-au observat rare cuiburi de pirită cu dimensiuni până
la 0,5 mm şi pelicule formate din minerale argiloase. În masa de bază cărbunoasă se observă
macro şi microscopic cuticule şi incluziuni fine de răşină.
Calitatea zăcământului a fost stabilită pe cale de laborator în baza unor analize colectate atât
din lucrările de explorare, cât şi din cele de exploatare. Conţinutul de cenuşă medie pe bazin
oscilează între 22 – 26% (raportată la proba de laborator), iar umiditatea totală ajunge la 52%.
Puterea calorifică medie superioară este de 2400 kg cal/kg.
S-au conturat următoarele câmpuri miniere:
1. Câmpul minier Vârghiş Est
2. Câmpul minier Vârghiş Vest
3. Câmpul minier Vârghiş Sud
4. Câmpul minier Racoş
5. Câmpul minier Baraolt Nord
6. Câmpul minier Baraolt Sud
7. Câmpul minier Căpeni Nord
8. Câmpul minier Bodoş
9. Câmpul minier Aita Seacă
Primele exploatări sporadice plasate în zonele de afloriment datează încă din anul 1839.
În aceste câmpuri miniere în perioada 1951 – 1970 au fost executate cca. 90.000 ml foraje cu
un număr de peste 500 de sondaje. La aceasta se adaugă programul de cercetări efectuate
prin lucrări miniere geologice, foraje subterane şi lucrări de asecare.
În ultimii ani au fost închise majoritatea exploatărilor miniere şi ecologizate fostele mine:
Baraolt, Vârghiş, Căpeni, Racoş.
Din apă
        Zăcăminte naturale - Rezerve hidrominerale
O caracteristică specifică zonei (situând-o pe unele din primele locuri din ţară) este abundenţa
şi varietatea izvoarelor minerale pe care le întâlnim pe toata raza judeţului (Bixad, Malnaş–
Băi, Bodoc, Biborţeni, etc.).
Izvoarele de apă minerală şi emanaţiile uscate de gaze mofetice reprezintă principala bogăţie
naturală ale zonei. Acestea au fost folosite de localnici încă din timpurile străvechi în scopuri
curative, sub formă de băi reci şi/sau calde, sau pur şi simplu, consumate ca atare.
Această bogăţie naturală unică a constituit bazele unei activităţi balneare înfloritoare încă din
secolul al XVIII-lea, când s-a început crearea unei întregi reţele de mici staţiuni balneare.
Apele minerale exploatate şi îmbuteliate (Malnaş-Băi, Bodoc, Biborţeni, Belin, etc.) au
căpătat renume ca ape de consum şi ape medicinale.
Astăzi, majoritatea acestor mici staţiuni balneare şi balneoclimaterice sunt într-o stare de
degradare avansată. Reabilitarea şi revitalizarea acestora reprezintă probabil cea mai
stringentă prioritate pentru zonă, atât din considerente economice, cât şi sociale.
Multe fapte sugerează o afiliaţie genetică a apelor minerale cu procese magmatice profunde,
sunt:
- cantitatea mare de CO2, şi chimismul apei mineralizate de adâncime, ce apare strict pe
fracturi (Viorica Iancu şi A. Apostol, 1978);
- excesul de Na+;
- prezenţa acidului metasilicic;
- prezenţa unor elemente minore ca: Pb, Cu, Zn;
- prezenţa unor elemente ca: As, B (sub formă de HBO2);
- pH-ul ridicat, care după Rankama şi Sahama (1970) creşte la sursele cu apă de adâncime;
- depunerile de sulf, realgar, auripigment, şi aragonit din cimentul breciei ce însoţeşte falia
Covasna.
În ceea ce priveşte distribuţia geografică a aureolelor mofetice şi solfatariene, respectiv a
izvoarelor de ape minerale carbogazoase, acestea pot fi grupate pe aliniamente, dirijate în
general pe direcţii nord-sudice:
Aliniamentul central constituit din ivirile de pe pârâul Bradului, zona Ozunca, Micfalău,
Malnaş, Zălan şi Bodoc este situat de-a lungul Oltului şi pe versanţii acestuia, reprezentat la
est de Munţii Bodocului, iar la vest de Munţii Baraoltului. Pe acest aliniament, bioxidul de
carbon adus spre suprafaţă pe fracturi de cuvertură dirijate aproximativ V-E, impregnează
complexele acvifere din formaţiunile vulcanogen-sedimentare, din cele cretacice şi în sfârşit
pe cele din depozitele sedimentare ale luncii Oltului. Cele mai nordice iviri apar în masivul
Baraolt în bazinele pârâurilor Bradului şi Şarpelui unde apa minerală, dar mai ales puternicele
barbotări de CO2, au fost puse în legătură cu o linie de fractură orientată NNV-SSE, care se
continuă spre Băile Ozunca şi Malnaş. Apele minerale din acest aliniament sunt în general
bicarbonatate, alcaline, calcice, magneziene, uneori clorurate şi sodice, cu depuneri de
hidroxizi de fier.
Aliniamentul vestic înglobează izvoarele naturale şi sondele din depresiunea Baraolt. Pe rama
estică a acestei depresiuni, la contactul cu flişul sau în interiorul acestuia, apar o serie de
izvoare naturale (Herculian, Băţani, Aita Seacă), iar în interiorul bazinului, prin puţuri şi
foraje se cunoaşte existenţa în formaţiuni pliocene şi cuaternare, a unor strate acvifere
mineralizate cu CO2 (Biborţeni şi Vârghiş). Apele minerale au caracter bicarbonatat, alcalin,
calcic-magnezian şi carbogazos.
Din aer
In cursul anului 2007 nu au fost identificate zone critice sub aspectul poluării atmosferice.
Luând în considerare rezultatele analizelor precum si a calculelor din declaraţia utilizatorilor
de combustibil precum şi a celorlalte substanţe generatoare de gaze evacuabile putem s-a
constatat că în judeţul Covasna (implicit în aria potenţialului GAL) aerul nu este contaminat.
        Reţeaua hidrografică
Potenţialul GAL este amplasat în bazinul mijlociu al Oltului.
Densitatea medie a reţelei hidrografice este de 0,45 - 0,70 km/km2 în depresiuni şi de
0,60 - 0,80 km/km2 în munţi.
Scurgerea medie lichidă are valori mici, de 2-3 l/s/km2 (63-95 mm/an) în cea mai mare parte a
zonei, Munţii Baraolt şi Bodoc; valori medii de 3-7 l/s/kmp (95- 220 mm/an) şi chiar mari, de
7-20 l/s/km2 (220-630 mm/an) – în munţi.
Scurgerea medie de aluviuni în suspensie are valori mici de 0,5 –1,0 t/ha/an - în Munţii
Baraolt şi valori foarte mici în restul munţilor. Aceste valori reflectă eroziunea actuală redusă
pe ansamblul terenurilor judeţului.
Râurile din judeţ aparţin tipului carpatic (ape mari de lungă durată), subtipului cu ape mari de
primăvară şi viituri de vară şi iarnă, alimentare pluvial.
             II.2.1.1.5 Vegetaţia
Vegetaţia naturală este variată, prezentând o etajare altitudinală. Astfel, în regiunile mai
joase se întâlnesc păduri de foioase, iar la altitudini mari, păşuni subalpine şi alpine, etajele
intermediare fiind ocupate de pădurile de amestec de foioase şi conifere şi de pădurile de
conifere.
Vegetaţia silvică a favorizat şi dezvoltarea unei variate şi bogate faune de animale sălbatice
pentru vânat.
Relieful muntos care ocupă o parte însemnată a teritoriului, favorizează menţinerea vegetaţiei
naturale.
II.2.1.1.6 Comentarii privind principalele caracteristici geografice
Se constată deci, că din punct de vedere al circumstanţelor geografice şi de mediu
•   relief (forme, pondere – suprafaţă etc.);
•   clima predominantă (temperatură, umiditate etc.);
•   principalele tipuri de sol predominante;
•   resursele naturale (din sol, apă, aer etc.);
•   vegetaţia (peisajul natural şi cultivat etc.).
potenţialul GAL este omogen şi unitar.
II.2.1.2 Hărţi – planul localizării teritoriului




Cea mai mare localitate: Oraş Baraolt, fără cale ferată. Localităţile de pa malul râului Olt
(Bixad, Micfalău, Malnaş, Bodoc, Ghidfalău) sun legate de DN12 (E578)
II.2.1.3 Populaţie - demografie
            II.2.1.3.1 Informaţii privind comunităţile prezente
                                                                                   Soldul          Soldul                          Populaţia
                                                          Soldul     Soldul       natural         natural       Sub 14   Peste       activă
                                              Evoluţie/
   Populaţie        1999     2008     2009                migrării   migrării   (natalitatea-   (natalitatea-     ani    60 ani   (persoanele
                                              Regresie
                                                           1999       2008      mortalitate)    mortalitate)     2008     2008    între 14 -60
                                                                                    1999            2008                            de ani)
AITA MARE          1,735
                      1,750 1,790                 40                    1           -23             -5           283      425       1,042
ARCUŞ                 1,372 1,300                -72                   1                            -1           212      224        936
BĂŢANI          4,314 4,580 4,509                -71                   -1           -1               1           943      900      2,737
BELIN           2,508 2,746 2,652                -94                                30              14           685      438       1,623
BIXAD                 1,949 1,817               -132                                                             295      432       1,222
BODOC           2,705 2,421 2,500                 79                                 15               3          401      485       1,535
BRĂDUŢ          4,667 4,812 4,671               -141                                 33              41         1,032     887       2,893
GHIDFALĂU       2,615 2,684 2,537               -147                                 11               6          438      499       1,747
MALNAŞ          4,900 1,149   600               -549        -1          1           -43               3          182      253        714
MICFALĂU              1,875 1,871                 -4                                                -15          227      469       1,179
ORAŞ BARAOLT   10,531 9,526 6,483              -3,043       -1         -1            -4             -11         1,431    1,768     6,327
VALEA CRIŞULUI 3,308  2,357 1,538               -819         1                      -34              15          452      419       1,486
VÂRGHIŞ         1,964 1,826 1,904                 78                    1             1             -23          278      414      1,134
TOTAL          39,247 39,047 34,172            -4,875       -1          2           -15              28         6,859    7,613     24,575
Obs. 1. Direcţia Judeţeană de Statistică a judeţului Covasna nu a putut furniza date defalcate referitoare la şomaj. Rata şomajului pe
     judeţ la finele anului 2006 a fost de 7,1%. Din totalul populaţiei de 223,770 persoana 6,561 au fost şomeri înregistraţi, din care
     4,453 ne-indemnizaţi.
Obs. 2. Comunele fără populaţie în 1999, s-au desprins ulterior.
Don graficul ponderilor populaţiei se constată, că Oraşul Baraolt reprezintă 19% din populaţie potenţialului GAL.

                                                                   Populaţie



                                                            VÂRGHIŞ       AITA MARE
                                         VALEA CRIŞULUI       6%              5% ARCUŞ
                                               5%                                   4%


                                                                                               BĂŢANI
                                                                                                13%
                              ORAŞ BARAOLT
                                  19%


                                                                                                   BELIN
                                                                                                    8%


                                     MICFALĂU                                                    BIXAD
                                        5%                                                        5%
                                         MALNAŞ
                                           2%
                                          GHIDFALĂU                                       BODOC
                                              7%                                            7%
                                                                      BRĂDUŢ
                                                                        14%
II.2.1.3.2 Tendinţele demografice
                                                                                Soldul        Soldul
                                           Evoluţie/
                                                        Soldul     Soldul      natural       natural
                                           Regresie
    Populaţie       1999    2008    2009               migrării   migrării   (natalitatea- (natalitatea-
                                           raportat
                                                         1999       2008     mortalitate) mortalitate)
                                            la 2008
                                                                                 1999          2008
AITA MARE       1,735 1,750 1,790            2.29%           0.0571%              -1.33%         -0.29%
ARCUŞ                 1,372 1,300           -5.25%           0.0729%                             -0.07%
BĂŢANI          4,314 4,580 4,509           -1.55%          -0.0218%              -0.02%          0.02%
BELIN           2,508 2,746 2,652           -3.42%                                 1.20%          0.51%
BIXAD                 1,949 1,817           -6.77%
BODOC           2,705 2,421 2,500            3.26%                                 0.55%          0.12%
BRĂDUŢ          4,667 4,812 4,671           -2.93%                                 0.71%          0.85%
GHIDFALĂU       2,615 2,684 2,537           -5.48%                                 0.42%          0.22%
MALNAŞ          4,900 1,149   600          -47.78% -0.0204% 0.0870%               -0.88%          0.26%
MICFALĂU              1,875 1,871           -0.21%                                               -0.80%
ORAŞ BARAOLT   10,531 9,526 6,483          -31.94% -0.0095% -0.0105%              -0.04%         -0.12%
VALEA CRIŞULUI 3,308 2,357 1,538           -34.75% 0.0302%                        -1.03%          0.64%
VÂRGHIŞ         1,964 1,826 1,904            4.27%           0.0548%               0.05%         -1.26%
MEDIA                                      -12.48% -0.0025% 0.0051%               -0.04%          0.07%
Populaţia
                                     Sub 14   Peste       activă
   Populaţie    1999   2008   2009     ani    60 ani   (persoanele
                                      2008     2008    între 14 -60
                                                         de ani)
AITA MARE       1,735 1,750 1,790 16.17%      24.29%       59.54%
ARCUŞ                 1,372 1,300 15.45%      16.33%       68.22%
BĂŢANI          4,314 4,580 4,509 20.59%      19.65%       59.76%
BELIN           2,508 2,746 2,652 24.95%      15.95%       59.10%
BIXAD                 1,949 1,817 15.14%      22.17%       62.70%
BODOC           2,705 2,421 2,500 16.56%      20.03%       63.40%
BRĂDUŢ          4,667 4,812 4,671 21.45%      18.43%       60.12%
GHIDFALĂU       2,615 2,684 2,537 16.32%      18.59%       65.09%
MALNAŞ          4,900 1,149   600 15.84%      22.02%       62.14%
MICFALĂU              1,875 1,871 12.11%      25.01%       62.88%
ORAŞ BARAOLT   10,531 9,526 6,483 15.02%      18.56%       66.42%
VALEA CRIŞULUI 3,308 2,357 1,538 19.18%       17.78%       63.05%
VÂRGHIŞ         1,964 1,826 1,904 15.22%      22.67%       62.10%
MEDIA                             17.57%      19.50%       62.94%
Soldul migrării 1999    Soldul migrării 2008
            0.1000%




            0.0800%
                              ARCUŞ



            0.0600%




            0.0400%
                                                                                                VALEA CRIŞULUI


            0.0200%




            0.0000%
                      AITA MARE                                                                            VÂRGHIŞ MEDIA

                                                                                         ORAŞ BARAOLT
           -0.0200%
                                      BĂŢANI                                  MALNAŞ



           -0.0400%

Datele reprezentate nu întotdeauna sunt concludente, de exemplu în cazul comunei Malnaş, al cărei solduri în valori absolute sunt
egale. Datorită scindării comunei, pentru aceeaşi valoare absolută, în 2008 apare un procentaj mult mai mare decât în anul 1999.
Evoluţie/ Regresie raportat la 2008

               10.00%

                                                                                                                  VÂRGHIŞ
                                                                   BODOC
                         AITA MARE

                0.00%
                                                                                             MICFALĂU
                                         BĂŢANI
                                                  BELIN                    BRĂDUŢ
                                 ARCUŞ                                          GHIDFALĂU
                                                           BIXAD
               -10.00%

                                                                                                                            MEDIA


               -20.00%




               -30.00%

                                                                                                 ORAŞ BARAOLT
                                                                                                        VALEA CRIŞULUI

               -40.00%




               -50.00%                                                                  MALNAŞ


Din graficul de mai sus se constată că în medie populaţia potenţialului GAL a scăzut cu peste 10%.
Evoluţia/regresia a fost calculată pentru anii 2009 – 2008, ca să poată fi examinate şi localităţile scindate/nou apărute de la 1999.
Regresie semnificativă, mult peste media teritoriului înregistrează 3 localităţi.
Se prognozează reduceri semnificative ale populaţiei şcolare (faţă de 2003):
                    Grupă de vârstă         2003        2013    2025
                           7 - 14         100.00% -15.00% -29.10%
                          15 - 24         100.00% -28.10% -38.93%
                          14 - 18         100.00% -35.70% -38.93%
Cel mai însemnat declin se proiectează pentru grupul ţintă principal , în care se
încadrează elevii de liceu / şcoală de arte şi meserii.
100.00%




90.00%

                                                        7 - 14, 85.00%


80.00%


                                                    15 - 24, 71.90%           7 - 14, 70.90%

70.00%

                               14 - 18, 64.30%
                                                                             15 - 24, 61.07%
                                                                              14 - 18, 61.07%
60.00%




50.00%
                    2003                         2013                      2025
II.2.1.3.3 Şomajul pe termen lung 2
Incidenţa şomajului pe termen lung este deosebit de ridicată în judeţ – cu mult peste
media regională, naţională şi comunitară.
        Incidenţa şomajului pe termen lung (%).

                         EU15*            EU12*           România*      Regiunea Covasna*
                                                          *             CENTRU *
                                                                        **
        Mai mult                      -               -            69,9      66,7     71,0
        de 6 luni
        Mai mult                 46,1             47,0             47,1             39,5             52,1
        de 12 luni
        *Sursă: CE, Unity, solidarity, diversity for Europe, its people and its territory. Second report on
        Economic          and         Social         Cohesion.        Statistical        annex,       2001.
        **Sursa: Raportul asupra Dezvoltării Umane 2001-2002, PNUD.


Malnaş
La mijlocul sec. XVIII aceste izvoare şi băi erau enumerate în lucrările de specialitate.
Localitatea şi-a câştigat un bine meritat renume pentru izvoarele şi băile de apă minerală.
În ultimele două decenii întreaga infrastructură balneară şi turistică, precum şi piaţă de
muncă legată de serviciile aferente s-a distrus.
O semnificativă parte a forţei de muncă a fost nevoită să părăsească localitate, datorită
reducerea drastică a exploatării andezitului 3, cu toate că aceste valuri de migrare/emigrare
nu s-au înregistrat formal.
Conform strategiei de dezvoltare a localităţii: „Malnaş poate fi invocat ca un exemplu al
migraţiei forţei de munca spre Ungaria sau Israel – destinaţie populara în aceste sate,
datorita unei reţele informale bine organizate în acest sens – munca de îngrijitor pentru
oameni în vârsta sau bolnavi, care primesc ajutor de stat pentru a-şi plăti un îngrijitor.” 4

Valea Crişului
Conform strategiei de dezvoltare a localităţii 5 structura populaţiei se prezintă astfel:
                             Populaţia activă
    Populaţia                              Populaţia
    totală           Total  Ocupată Şomeri inactivă
      100.00%        38.67% 20.51% 18.16% 61.33%
Evident majoritatea şomerilor şi a populaţiei inactive (cca. 60%) sunt femei. Se constată
cu jumătate din populaţia activă este în şomaj.



2
  Strategia de dezvoltare pe termen mediu a judeţului Covasna, pag. 39
3
  Strategia de dezvoltare pe termen mediu a judeţului Covasna, pag. 188
4
  Strategia de dezvoltare pe termen lung a comunei Malnaş, pag. 59
5
  Structura primului draft, Comuna Valea Crişului – Strategia 2020, pag. 11
Localitatea situându-se în apropiere de reşedinţei de judeţ, iar populaţia majoritară fiind
rromă, s-a generat un adevărat val de migraţiune spre „oraş

Baraolt
Prima exploatare de lignit din Baraolt a fost deschisă la 1839. În ultimii ani au fost
închise majoritatea exploatărilor miniere şi ecologizate fostele mine : Baraolt, Vârghiş,
Căpeni, Racoş. 6 În Oraşul Baraolt funcţionează doar un liceu industrial, motiv pentru care
tinerii mai dotaţi sunt aproape constrânşi să părăsească de timpuriu zona.
Scădere a ponderii populaţiei urbane este cu totul contrară tendinţei internaţionale şi ne
atrage atenţia asupra gravelor probleme economice generate de restructurarea industrială.
Migraţia dinspre oraşe spre sate înseamnă de fapt acceptarea condiţiilor sociale şi de
locuit inferioare, în schimbul unei siguranţe de trai mai ridicate. 7




6
  PLAN DE DEZVOLTARE A JUDEŢULUI COVASNA PE TERMEN MEDIU (2006 – 2013),
AGENDA 21 LOCALĂ A JUDEŢULUI COVASNA, pag. 41
7
  Strategia de dezvoltare pe termen mediu a judeţului Covasna, pag. 14
Soldul natural (natalitatea-mortalitate) 1999     Soldul natural (natalitatea-mortalitate) 2008
1.50%




1.00%




                                                             GHIDFALĂU
0.50%



                                                                               ORAŞ BARAOLT
0.00%
                      BĂŢANI   BELIN                                                                    MEDIA
                  ARCUŞ                     BODOC BRĂDUŢ



-0.50%




                                                                            MICFALĂU
                                                                   MALNAŞ
-1.00%
                                                                                       VALEA CRIŞULUI


                                                                                                   VÂRGHIŞ
      AITA MARE
-1.50%
Sub 14 ani 2008         Peste 60 ani 2008         Populaţia activă (persoanele între 14 -60 de ani)
80.00%


70.00%


60.00%


50.00%


40.00%


30.00%


20.00%


10.00%


0.00%
         AITA MARE


                         ARCUŞ




                                                                                        MALNAŞ




                                                                                                                                            VÂRGHIŞ


                                                                                                                                                      MEDIA
                                          BELIN


                                                  BIXAD


                                                          BODOC




                                                                            GHIDFALĂU
                                                                  BRĂDUŢ




                                                                                                 MICFALĂU
                                 BĂŢANI




                                                                                                            ORAŞ BARAOLT


                                                                                                                           VALEA CRIŞULUI
II.2.1.3.4 Diversitate etnică
                                 La nivelul judeţului Covasna


                                               Altele,
                                   Rromi,      0.51%       Romani,
                                   4.19%                   20.90%




                              Maghiari,
                              74.40%




Proporţia maghiarilor este peste 95% în localităţile Baraolt (95,9%), Bodoc (96,3%),
Ghidfalău (97,4%), Lemnia (98,5%), Malnaş (96,3%), Moacşa (98,0%), Poian (98,8%), Valea
Crişului (97,2%) şi Vârghiş (98,2%).
Localitatea unde românii sunt prezenţi în număr mai mare estet Belin (39,4%).
               II.2.1.3.5 Comentarii privind populaţia - demografia
Există diversitate etnică care poate fi pusă în valoare datorită abordării LEADER.
Populaţia cunoaşte la ora actuală un proces de regres accentuat datorat îmbătrânirii, scăderii
fertilităţii şi migraţiei. În perspectivă, aceste fenomene vor creşte în intensitate şi vor genera
efecte multiple în societate.
Se pot distinge două intervale distincte ca evoluţie, şi anume perioada 2003-2010, cu o
scădere moderată într-un ritm mediu de 0,2%/an şi 2010-2025, perioadă în care fenomenele
demografice intră în declin accentuat-scădere cu 0,54%/an. Factorul cel mai important care va
influenţa acest fenomen este scăderea naturală.
La nivel naţional, judeţul Covasna va avea şi în anul 2025 ca şi în anul 2003, cel mai mic
număr de tineri, conform prognosticului complex.
Populaţia vârstnică a crescut continuu în ultimii 50 ani, atât numeric cât şi procentual.
Procesul de îmbătrânire demografică va continua.
Raportul de dependenţă arată că în 2003, la 1,000 persoane potenţial active (15-64 ani)
reveneau 437 persoane inactive (0-14 ani şi peste 65 ani). În 2025, la numărul persoanelor
inactive va creşte la 453.
Din punct de vedere a raportului tineri/bătrâni, în 2003, la nivel regional, la 1,000 de tineri
reveneau 719 bătrâni, iar în 2025, raportul se va modifica în favoarea bătrânilor (1,282 bătrâni
la 1,000 tineri) datorită procesului de îmbătrânire accelerată.
Declinul demografic va afecta judeţul Covasna, dar nu scăderea în sine a numărului populaţiei
este evoluţia cea mai îngrijorătoare, ci faptul că acestei evoluţii i se asociază o degradare
continuă a structurii pe vârste datorată procesului de îmbătrânire a populaţiei, ceea ce
înseamnă, că grupele tinere de vârstă se vor diminua, în schimb cele de vârstă înaintată vor
creşte.
Fenomenul de îmbătrânire a populaţiei coroborat cu migraţia populaţiei tinere în afara
judeţului va cauza în termeni de zece ani diminuarea populaţiei în vârstă de muncă cu 10,000-
14,000 de persoane.
În viitorul apropiat pe piaţa forţei de muncă se va resimţi un deficit de forţă tânără de lucru,
grupa de vârstă între 15 şi 25 de ani se va reduce în mod evident. Pe piaţă vor lipsi tinerii
specializaţi în diverse profesii, datorită insuficienţei numărului de persoane. Profesiile cele
mai afectate vor fi cele din domeniul IT, medicină, automatizări, construcţii şi instalaţii, etc.
Reducerea numărului populaţiei tinere, care reprezintă un potenţial pentru dezvoltarea unei
anumite zone, poate deveni un factor perturbator de limitare al dezvoltării. Se constată o
tendinţă contrară privind migraţia internă, aceasta manifestându-se dinspre rural spre urban.
Rata netă de migrare internaţională este, de asemenea, semnificativă şi este legată în principal
de categoria de vârstă mai tânără, din spaţiul rural.
Migrarea în străinătate se manifestă, dar nu creează probleme sociale. Nu se manifestă
separări ale membrilor familiilor, nu există copiii ce rămân în grija rudelor din ţară.
Cu toate acestea migrarea în exterior a populaţiei tinere, alături de îmbătrânirea populaţiei
rurale, conduce la un declin al forţei de muncă disponibile.
Investiţiile din mediul rural trebuie bine fundamentate datorită procesului de îmbătrânire a
populaţiei de la sate şi lipsei de atractivitate pentru acele aşezări care nu au potenţial de
dezvoltare.
II.2.1.4 Patrimoniu de mediu 8
             II.2.1.4.1 Relief
Relieful potenţialului GAL ”Alutus” aparţine unei singure unităţi de relief – Carpaţii
Orientali, cu următoarele subunităţi:
Munţii Harghita – situaţi în N-V GAL, cu altitudinea medie cuprinsă între 520 – 1558 m,
pantă între 10 –50 %, suprafaţă de 33,900 ha, au pe teritoriul GAL următoarea
subdiviziune: etajul platoului vulcanic, depresiunea Ozunca – Bixad
Munţii Bodoc - situaţi în partea sudică a GAL cu altitudinea medie cuprinsă între 600 –
1,240 m, panta între 20 –50 %, suprafaţă de 40,500 ha, sunt delimitaţi spre V, S si E de
depresiuni tectonice (Bixad si Braşov)
Munţii Baraolt - situaţi în partea de V a GAL, cu altitudinea medie cuprinsă între 490 –
1,019 m, pantă între 20 –50 %, suprafaţa de 44,000 ha, puternic afectaţi de o reţea de falii
tectonice, rezultând, prin urmare, o serie de subunităţi:
a) subunităţi muntoase (Hatod, Şugaş, Ariuşd Dealul Fagului) separate prin depresiuni;
b) subunităţi depresionare tectonice cu altitudine medie de 608 m (Băţani, Bodoş, Aita
Seacă, Aita Medie, Cocoş, Valea Mică, Belin Vale – toate alcătuind culoarul depresionar
Băţani – Belin Vale; Iarăş, Debren, Vâlcele);
c) subunităţi depresionare de eroziune (670 m)- reprezintă nişte lărgiri ale unor văi –
Hetea si Valea Zălanului.
Munţii Perşani ( denumiţi si Munţii Vârghişului)- situaţi în extremitatea vestică a GAL,
cu altitudinea medie cuprinsă între 470 – 893 m, pantă între 20 – 50 %, suprafaţa de
7,180 ha, au relief mai variat datorită apariţiei unor suprafeţe cu roci mai dure – calcare si
magmatite mezozoice.
             II.2.1.4.2 Geologie
Din punct de vedere geologic, zona aparţine unităţii Carpaţilor Orientali a cărei evoluţie
desfăşurată în mai multe cicluri de sedimentare afectate de cicluri tectonice, faze de
activitate vulcanică si eroziune, au determinat complexitatea structurală si petrografia.
Sub aspect stratigrafic, depozitele acumulate aparţin mezozoicului si paleogen –
neogenului (zona flişului, zona vulcanitelor neogene si extremitatea vestică a zonei
cristalino-mezozoice, care se suprapun reliefului muntos).
În ansamblu, formaţiunile geologice de suprafaţă din sunt reprezentate de:
1. roci eruptive
2. roci sedimentare mezozoice
3. roci sedimentare paleogene
4. roci sedimentare cuaternare
Din punct de vedere morfostructural teritoriul judeţului Covasna aparţine unităţii
Carpatice muntoase care în acest sector are 3 subunităţi:
a) subunitatea de flis (munţii din sudul Carpaţilor Orientali)
b) subunitatea neovulcanică (munţii Harghita)


8
    http://www.apmcv.ro/veche/html/2007.html
II.2.1.4.3 Biodiversitate
           Habitate naturale 9
Nr.                                                                              Cod NATURA
         Tip de habitat
crt.                                                                                 2000
                               Categoria 2 Habitate de ape dulci
    1    Lacuri eutrofe naturale cu vegetaţie de tip Magnopotamion sau              3150
         Hydrocharition
    2    Vegetaţie herbacee de pe malurile râurilor montane                         3220
    3    Tufărişuri dacice de cătină mică                                           3230

Nr.                                                                              Cod NATURA
         Tip de habitat
crt.                                                                                 2000
                             Categoria 3 Habitate de pajişti si tufărişuri
    4    Pajişti alpine si boreale                                                  4060
    5    Tufărişuri sud-est carpatice de afin cu iarbă neagră                       4030
    6    Tufărişuri sud-est carpatice de jneapăn cu smirdar                         4070
    7    Tufărişuri ponto panonice de migdal pitic                                 40A0*
                                           Pajişti naturale
8        Pajişti boreale si alpine pe substrat silicios                             6150
9        Pajişti calcifile alpine si subalpine                                      6170
10       Pajişti uscate seminaturale si faciesuri de acoperire cu tufişuri pe       6210
         substrat calcaros
11       Pajişti montane de Nardus bogate în specii, pe substraturi                 6230
         silicioase
12       Asociaţii de lizieră cu ierburi înalte de la nivelul câmpiilor la cel      6430
         montan si alpin
13       Pajişti aluviale de Chidion dubii                                          6440
14       Pajişti de altitudine joasă                                                6510
15       Fâneţe montane                                                             6520

Nr.                                                                              Cod NATURA
         Tip de habitat
crt.                                                                                 2000
                              Categoria 4 Habitate din turbării si mlaştini
16       Turbării active                                                            7110
17       Mlaştini turboase de tranziţie si turbării oscilante                       7140




9
    OUG 57/2007 referitor la regimul ariilor protejate, anexa 2
Nr.                                                                          Cod NATURA
       Tip de habitat
crt.                                                                             2000
                          Categoria 5 Habitate de stâncării si peşteri
18     Grohotişuri silicioase din etajul montan până la cel alpin                  8110
19     Grohotişuri medioeuropene calcaroase ale etajelor colinar si                8160
       montan
20     Versanţi stâncoşi cu vegetaţie chasmofitică pe roci calcaroase              8210

21     Peşteri închise accesului public                                            8310

Nr.                                                                          Cod NATURA
       Tip de habitat
crt.                                                                             2000
                               Categoria 6. Habitate de pădure
22     Păduri de fag tip Luzulo-Fagetum                                            9110
23     Păduri de fag tip Asperulo-Fagetum                                          9130
24     Păduri de stejar cu carpen de tip Galio-Carpinetum                          9170
25     Păduri de Tilio-Acerion pe versanţi abrupţi , grohotişuri si                9180
       ravene
26     Păduri acidofile cu Picea din etajele alpine montane                        9410
27     Turbării cu vegetaţie forestieră                                           91D0*
28     Păduri aluviale cu Alnus glutinosa si Fraxinus excelsior                    91E0
29     Păduri dacice de fag                                                        91V0
30     Păduri relictare de Pinus sylvestris                                        91Q0
31     Păduri dacice de stejar si carpen                                          91Y0

        Flora şi fauna sălbatică
Din inventarul speciilor rezultă că există 5 specii de plante, 98 specii de păsări si 54
specii de animale de interes comunitar.
LISTA SPECIILOR CARE PREZINTĂ INTERES PE PLAN JUDEJEAN
            Nr. crt. Denumirea stiin0ifică               Denumirea populară
            1        Adonis vernalis                     Rusculiţa primăvăratică
            2        Aconitum moldavicum                 Omag
            3        Aldrovanda vesiculosa               -
            4        Amygdalus nana                      Migdal pitic
            5        Andromeda polifolia                 Ruginare
            6        Asparagus officinalis               Asparag
            7        Bruckenthalia spiculifolia          Coacăză
            8        Caldesia parnassifoliaa             Caldesia
            9        Calla palustris                     Coada zmeului
            10       Calluna vulgaris                    Iarbă neagră
            11       Castanea sativa                     Castan comestibil
            12       Comarum palustre                    Mapta degete
            13       Crocus vernus                       Brânduşa de primăvară
Nr. crt.   Denumirea stiin0ifică             Denumirea populară
           14         Cypripedium calceolus             Papucul doamnei
           15         Daphne cneorum                    Tulichină
           16         Daphne mezereum                   Tulichină
           17         Dianthus spiculifolius            Garofiţă
           18         Dictamnus albus                   Frăsinel
           19         Drosera rotundifolia              Roua cerului
           20         Erythronium dens-canis            Măseaua ciutei
           21         Fritillaria meleagris             Laleaua pestriţă
           22         Gladiolus palustris               Sabiuţă
           23         Gynko biloba                      Gynko
           24         Hepatica transsilvanica           Crucea voinicului
           25         Hepatica nobilis                  Crucea voinicului
           26         Iris germanica                    Stânjenel
           27         Lilium martagon                   Crin de pădure
           28         Lysimachia thyrsiflora            Găbăjoară
           29         Narcissus angustifolius           Narcisă
           30         Nuphar luteum                     Nufăr galben
           31         Nymphea alba                      Nufăr alb
           32         Pedicularis palustris             Darie
           33         Pedicularis sceptrum carolinum    Darie
           34         Pulsatilla Montana                Dediţei
           35         Pulsatilla patens                 Dediţei
           36         Salvia nutans                     Salvie
           37         Spiraea salicifolia               Cununiţă
           38         Stellaria longifolia              Rocoţea
           39         Stipa joannis                     Colilie
           40         Taxus baccata                     Tisă
           41         Trientalis europaea               Trientalis
           42         Trollius europaeus                Bulbuci de munte
           43         Utricularia bremii                Orăţel
           44         Utricularia vulgaris              Orăţel
           45         Vaccinium oxycocos                Răchiţele

Specii din flora si fauna sălbatică valorificate economic inclusiv ca resurse genetice
- specii de plante sălbatice valorificate economic în judeţ:
- plante medicinale (podbal, păpădie, tei, muguri de brad si pin, sunătoare, salcâm, salvie,
    afin, crusân, cimbrişor)
- fructe de pădure (frăguţe, afin, zmeură, mure, măcieşe, mere si pere pădureţe, castan
    porcesc, ghindă)
- ciuperci (hribi, gălbiori, ghebe, iuţari)
II.2.1.4.4 Ape
        Râuri
Importantele resurse acvifere, alcătuite din depozitele aluvionare, au rezerve bogate. Aria
este foarte bogată in izvoare de ape minerale răspândite pe tot teritoriul său. Cele mai
multe izvoare de ape minerale se înşiruie de-a lungul a două linii orientate pe direcţia
nord-sud, dintre care prima, pe versantul vestic al Munţilor Bodoc (izvoarele de la,
Bixad, Micfalău, Malnaş - Băi, Bodoc, Arcuş, toate având ape carbogazoase, cloruro-
sodice, bicarbonate, potasice, calcice, magneziene etc.
Unele izvoare de ape minerale din zonă au fost cunoscute de oameni încă din antichitate.
Astfel, cu ocazia amenajării bazinului izvorului Lukaskő de la Doboşeni
(SIRUTA: 64069, Comuna: BRĂDUŢ) s-au găsit cioburi de ceramică romană.
Primele documente scrise despre localităţile, vestite pentru apele lor curative, datează din
secolul al XVI-lea. În aceste cronici ale evului mediu sunt amintite şi izvoarele curative
din Olteni (1591) (SIRUTA: 63919, Comuna: BODOC), Zălan (1593) (SIRUTA: 63928,
Comuna: BODOC).
Primele menţiuni scrise despre apele sulfuroase sunt cunoscute din secolul al XVII-lea.
La ora actuală doar o mică parte a acestei resurse importante este exploatată prin
îmbuteliere sau prin utilizare balneo-terapeutică.
Firmele de îmbuteliere a apelor minerale din judeţul Covasna.

Nr.                                                                             Logo/denumire
           Firma                      Localitatea
crt.                                                                            produs
1.         SC Bibco SA                Biborţeni (SIRUTA: 63465, ORAŞ BARAOLT)   Aqua viva,
                                                                                Aqua magnesia,
                                                                                Aqua leggera
2.         SC Perla Covasnei          Malnaş Băi (SIRUTA: 64540, Comuna:        Perla Covasnei
           SA                         MALNAŞ)
3.         SC Favorit SA              Bodoc (SIRUTA: 63900)                     Bodoc


Oltul este principala arteră hidrografică. Colectează apele majorităţii râurilor ce străbat
radiar teritoriul. Oltul, are un curs domol, meandrat, cu maluri joase, frecvent inundabile
la ploi abundente. Debitul mediu anual al Oltului este de 7,85 m3/s la intrarea în judeţ
(postul Micfalău) şi creşte la 27 m3/s la ieşire (postul Araci).
Reţeaua hidrografică dezvoltată, bogăţia izvoarelor minerale si diversitatea conţinutului
lor in săruri fac ca teritoriul să dispună de un potenţial însemnat de resurse de apă.
        Resursele de apă
               -B.H. OLT –sector: Bixad confl. cu R. Negru 358,3 mil. mc
               -B.H. Cormos                                      222,1 mil. mc
               -B.H. Aita                                          18,4 mil. mc
               -B.H. Ozunca                                        12,6 mil. mc
               -B.H. Baraolt                                       27,7 mil. mc
               -B.H. Vîrghis                                       90,5 mil. mc
Clase de calitate /categorii de calitate
                                          Potabilizare: P     Tip monitoring: S, O, R, (R*, CBSD), IH, HS, CAPM, ZV, CI si IC
                          Tip                                                                                                  Stare
 Râul     Secţiunea                                                                                                   Indic
                        Monitoring               Indic. de                                                    Încadr.         chimică
                                       Încadr.                RTA RO NUTR SAL PTSON AICR                                de
                                                 calit                                                         finală        Prioritate
                                                                                                                       calit
                                                                                                                              /pericul
                                                                                                                        Fe
          Micfalău       O(N), IH         -           -         I    II      II       I       I          I       II              B
                                                                                                                      total
 R.Olt
                        O(N), IH,
             Ilieni                       -           -         I      II     II       I        II        I        II              P(Cu, Pb)
                        ZV, CAPM
          Amonte
                           HS, R          -           -         I      II      I       I        I*        II       II                   -
          Filia
  pr.                                             CBO5,
Cormos      Amonte                               coliformi
                        P, HS            A2                     -      -       -       -        -         -        -         -          -
            captare                               totali si
                                                   fecali
  pr.                    O(SO, N),
          Baraolt                         -           -         I      V      III      I        II        II     IV-V                  B
Baraolt                     IH
           Amonte
   pr.
           Băşanii         R, IH          -           -           I    I       I       I       I*       I        I                      -
Ozunca
           Mari
           Amonte
pr. Aita Aita              R, IH          -           -           I    I       I       I       I*       I        I                      -
           Medie
* - s-a determinat un singur indicator de calitate – Fe total fiind considerat poluant natural
Din punct de vedere biologic, in secţiunile de supraveghere ale apelor de suprafaţă, calitatea apelor este încadrat in clasele I, II si III de
calitate.
Prescurtări folosite:
- pentru grupe de indicatori:
        RTA – regim termic de acidifiere
        RO – regim de oxigen
        NUTR – regim de nutrien_i
        SAL – grad de mineralizare
        PTSON – poluan_i toxici specifici de origine naturală
        AICR – indicatori chimici relevanţi (fenoli, detergenţi, AOX)
        - pentru tipul de monitoring:
                 S – supraveghere:
                 O – operaţional
                 R, R* (râuri cu secare temporară)
                 CBSD – cea mai bună secţiune disponibilă – referinţă
                 IH – ihtiofaună
                 HS – habitate si specii
                 CAPM – corp de apă puternic modificat
                 ZV – zone vulnerabile
                 CI – convenţii internaţionale
                 IC – intercalibrare
        Lacuri
Lacul Belin are suprafaţa de 3 ha, fiind sensibil la varia_iile termice si la cantitatea
precipitaţiilor. Alimentarea lacului este deficitară, mai ales in lunile de vară când este secetă.

          Media         Media         Media O2        Media index        Media index
         CCOMn          CBO5          dizolvat          saprobic           saprobic       Clasa de
Lacul     mgO2/l       mgO2/l          mgO2/l         zooplancton         fitobentos      calitate
Belin      6.66           5.5           8.11              1.44                 2             III
Lacul Belin - elemente biologice
                                      index                       index
                   Luna     saprobic zooplancton 1.55    saprobic fitobentos 2.17
                   Apr-07               1.6                        2.12
                                       1.65                        1.74
                   Media                1.6                        2.01
                                       1.08                        3.99
                   Jun-07              1.45                        2.23
                                       1.42                        1.72
                   Media          1.316666667                 2.646666667
                                       1.77                        1.26
                   Aug-07              1.43                        1.52
                                       1.03                        1.32
                   Media               1.41                   1.366666667
Lacul Belin (calitatea apei din punct de vedere chimic)
                                 Luna       pH    CCOMn        O2 dizolvat   CBO5
                                           8,7     3,17           5,01        2,24
                                 apr.07    8,16    3,72            6,3         2,9
                                           8,17    3,49           5,63        2,28
                                 Media     8,34    3,46           5,64        2,47
                                           8,54    3,55          10,19        3,14
                                 iun.07    8,11    5,22           6,41        5,46
                                           8,07    5,06           5,97        2,45
                                 Media     8,24    4,61           7,52        3,68
                                           8,8     12,07          10,1        9,53
                                 aug.07    8,8     11,75          9,93        9,17
                                           8,94    11,91          13,5       12,35
                                 Media     8,84    11,91         11,17       10,35
Arii naturale protejate
Lista ariilor protejate cu o suprafaţă de 33.273 ha, puse sub protecţie provizorie propuse de
Consiliul Judeţean Covasna 10
                                  Numele zonei                 Suprafaţa în ha
                           Rezervaţia geologica Bodvai                  216.00
                          Rezervaţia paleontologica Galat                3.1.00
                         Rezervaţia ornitologica Doboşeni                  1.50
                          Rezervaţia botanica Kankoskert                   3.00
                       Valea Vârghişului zona carstica Godra          2,970.00
                            Rezervaţia de la Micloşoara                    5.00
                                 Rezervaţia Kop                            2.50
                         Rezervaţia geologica Vl. Crişului                 2.00
                               Mlaştina Ozunca Băi                         6.00
Rezervaţia Cheile Vârghişului cu zona tampon în judeţul Covasna prezintă numeroase
fenomene carstice. Cheile Vârghişului cu acces din localitatea Vîrghiş sunt deosebite si din
punct de vedere carstic prin cele 122 de peşteri cât si datorită peisajului creat de cursul
Vîrghişului în aceste calcare.
Prezentarea zonelor existente sau propuse pentru reţeaua Natura 2000 şi/sau
rezervaţi 11:
                                              Caracteristici principale (clasificarea directivelor
     Numele zonei          Suprafaţa în ha
                                                privind Habitatele, Păsări, Habitate şi Păsări)
        Herculian                 12,846.00                  pSCI OM 1964/2008
    Cheile Vârghişului              830.00                     pSCI 1964/2008
  Munţii Bodoc Baraolt            58,021.00                  SPA HG. 1284/2007

Aria acoperită de potenţialul GAL se situează într-o zonă de munte, sub-alpină, cu
temperatură medie relativ scăzută. Teritoriul este drenat de o reţea hidrografică bine
organizată, cu debite ridicate în tot cursul anului, cu un caracter convergent. Densitatea a
reţelei hidrografice este variază între 0,40-0,70 km/km2.

10
     prin Hotărârea 75/2006 la nivel de judeţ
11
     http://www.arpm7c.ro/Harta-arii-naturale-protejate-4111
Pe lângă izvoarele de apă minerală, aerul ozonat, puternic ionizat, în special în ioni negativi
conferă multor zone din judeţ caracteristici climaterice exploatabile în scopuri terapeutice.
Turismul balnear este probabil forma de turism cu cea mai mare tradiţie din zonă, începuturile
acestuia datându-se din secolul al XVIII-lea. Perioada de glorie a turismului balnear din judeţ
a fost începând cu secolul al XIX-lea până la mijlocul secolului al XX-lea.
Spiritualitatea spaţiului rural, mediul nealterat, gastronomia specifică atrag anual din ce în ce
mai mulţi turişti.
Aceste ultime două elemente sunt componentele cele mai pregnante ale unei identităţii locale
puternice.
               II.2.1.4.5 Comentarii privind patrimoniul de mediu
Calitatea aerului: În judeţul Covasna, nu se efectuează determinări asupra nivelului poluării
de fond. 12 Studiul comparativ al poluanţilor cu concentraţiile maxime admisibile din
atmosfera liberă a oraşelor (unde se înregistrează cele mai semnificative poluări atmosferice)
judeţului Covasna a relevat faptul că atmosfera acestora este de bună şi de foarte bună
calitate, valorile medii anuale ale acestora fiind cu mult sub limitele maxime admise, şi chiar
şi depăşirile accidentale ale maximelor pe termen scurt sunt foarte rare. 13
Calitatea apelor de suprafaţă: În judeţul Covasna apele de suprafaţă au în general calitate
bună.
Apele râului Olt, pe sectorul Bixad (intrarea Oltului in judeţ) - Araci (ieşirea Oltului din
judeţ), sunt corespunzătoare din punct de vedere calitativ, nedepăşindu-se gradul II de calitate,
conform STAS 4706/88. 14
Poluările apelor de suprafaţă sunt, cu câteva excepţii, accidentale şi de scurtă durată.
Principalii poluanţi sunt suspensiile antrenate de apele meteorice, atât de pe platformele
industriale ale celor două municipii, cât şi de pe reţeaua stradală a localităţilor. Astfel, se
evacuează în râul Olt, cantităţi însemnate de hidrocarburi policiclice aromate (HPA), care au
un efect cancerigen. Suspensiile, asociate cu HPA, rezultă din bitumul acoperirilor asfaltice -
mai ales din cel proaspăt, utilizat în reparaţia străzilor, dar mai ales de pe platformele
industriale, care au porţiuni întinse din incintă acoperite cu uleiuri şi produse petroliere. 15
Calitatea apelor subterane: Raportul Direcţiei de Sănătate Publică a judeţului Covasna
constată că, din totalul probelor de apă recoltate şi analizate numai 53,90% se încadrează în
limita de admisibilitate a nitraţilor (sub 45 mg-dm3).
Această situaţie se datorează în cea mai mare măsură nepăsării şi neglijenţei populaţiei, şi
anume:
• utilizării pe scară largă şi fără discernământ a îngrăşămintelor chimice;
• poluarea solului cu ape reziduale organice, care prin descompunere pun în libertate nitraţi
    şi nitriţi;
• depozitarea reziduurilor menajere şi animale în apropierea surselor de apă.
Cele mai afectate localităţi în privinţa concentraţiei de nitraţi sunt următoarele: Aita Mare şi
Belin.




12
   PLAN DE DEZVOLTARE A JUDEŢULUI COVASNA PE TERMEN MEDIU (2006 – 2013), AGENDA 21
LOCALĂ A JUDEŢULUI COVASNA, pag. 246
13
   Strategia de dezvoltare pe termen mediu a judeţului Covasna, pag. 107
14
   Strategia de dezvoltare pe termen mediu a judeţului Covasna, pag. 108
15
   Strategia de dezvoltare pe termen mediu a judeţului Covasna, pag. 108
Din datele furnizate de Sistemul de Gospodărire a Apelor, se poate observa că apele subterane
din judeţ sunt caracterizate de concentraţii mari în fier total, atingând în unele zone 7 mg/l.
Acest aspect este legat de condiţiile geologice din judeţ, deci are cauze naturale, nu
antropice. 16
Starea solurilor: Se constată o agresiune manifestată asupra solului provocată atât de factorii
naturali, cât şi prin intervenţia brutală a omului - poluări produse prin utilizarea
necorespunzătoare a substanţelor fitosanitare şi îngrăşămintelor chimice, precum şi erodare
datorită alunecărilor de teren şi viiturilor (cauzate de defrişări şi de întreţinerea
necorespunzătoare a digurilor de protecţie). 17

Elemente de identitate locală
Zona montană, izvoarele/băile de ape minerale, vânatul/pescuitul sportiv, mai nou echitaţia –
fac parte integrantă, uneori chiar hotărâtoare a identităţii locale. Aceste elemente sunt
percepute generic de locuitorii zonei ca şi „frumuseţi ale naturii”.
Rezervaţiile, ariile naturale protejate, siturile Natura 2000 nu reprezintă o prioritate conştient
asumată. Deşi majoritatea acestor arii sunt aproape intacte, acest fapt se datorează în primul
rând a fluxului redus de turişti (infrastructură de transport, balneară, de servicii turistice
precară) şi a reducerii activităţii agricole. Altminteri folosirea neraţională a fertilizanţilor
chimici şi a pesticidelor, acolo unde este acest lucru se întâmplă, afectează serios moştenirea
naturală.
Locuitorii zonei văd cel mai des ca breşă de scăpare din situaţia actuală, promovarea
turismului. Vizavi de această opinie destul de răspândită, GAL ia în consideraţie potenţialul
agro-turistic ca una dintre şansele de ieşire din actuala situaţie.
Susţinerea mediului este un şansa strategică a zonei. Diferitele forme de compensaţii atribuite
fermierilor şi/sau administratorilor corelate cu informarea intensă şi asistenţa prin consultanţă
pot duce la ameliorarea situaţiei actuale.




16
     Strategia de dezvoltare pe termen mediu a judeţului Covasna, pag. 109
17
     Strategia de dezvoltare pe termen mediu a judeţului Covasna, pag. 110
II.2.1.5 Patrimoniu arhitectural şi cultural
Aria geografică a potenţialului GAL „Alutus” are clasificate 49 biserici şi mănăstiri, 46 case –
gospodării tradiţionale, 119 situri arheologice, 21 cetăţi şi castele. Se înregistrează în mod
oficial 9 obiective de patrimoniu dispărute.
Patrimoniul arhitectural, împreună cu cel imaterial, conferă un profil specific acestei zone.
Acest patrimoniu reflectă o mixtură multiculturală a tradiţiilor a patru confesiuni: reformată,
romano-catolică, unitariană şi ortodxă,
Punerea în circuitul turistic internaţional al castelului Kálnoky de la Micloşoara este un
exemplu relevant de bună practică în exploatarea resurselor endogene.
Contabilizarea oficială a dispariţiei unor obiective de patrimoniu atrage atenţia asupra unui
risc ce poate fi diminuat cu instrumentele Politicilor de Dezvoltare Rurală.
Poate cel mai puternic element în menţinerea unei identităţi locale este patrimoniul construit.
Aceasta poate fi una din principalele resurse endogene ce merită a fi valorificate.
Punerea în valoare a acestor resurse ale moştenirii culturale, împreună cu mediul înconjurător,
mediu al cărui degradare definitivă poate fi stopată şi reconvertită spre o dezvoltare durabilă,
este – în percepţia localnicilor – una dintre căile de ameliorare a condiţiilor de viaţă.
Condiţiile climatice sunt severe – de munte.
Aria geografică acoperită de către potenţialul GAL se caracterizează prin dominanţa
activităţilor de subzistenţă. Competenţele specifice sunt pe cale de dispariţie, până în prezent
neputând fi surse de valoare adăugată.
Patrimoniul arhitectural şi cultural local la olaltă cu agricultura, zootehnia, industria de
prelucrarea a produselor zootehnice, exploatarea lemnului şi prelucrarea acestuia, industria
alimentară etc., pot sprijini dezvoltarea zonei prin diversificarea economiei rurale. Printr-o
abordare integrată, având ca scop generarea de valoare adăugată, se poate iniţia dezvoltarea
locală durabilă.
              II.2.1.5.1 biserici şi mănăstiri; 18


                                        biserici şi mănăstiri                49
                                              AITA MARE                       6
                                      AITA MARE, SIRUTA:63786                 3
                                      AITA MEDIE, SIRUTA:63795                3
                                                 ARCUŞ                        3
                                         ARCUŞ, SIRUTA:64924                  3
                                                 BĂŢANI                       3
                                      AITA SEACĂ, SIRUTA:63820                1
                                    BĂŢANII MARI, SIRUTA:63811                2
                                                  BELIN                       4
                                         BELIN, SIRUTA:63875                  4
                                                  BIXAD                       1
                                         BIXAD, SIRUTA:64522                  1




18
     http://www.cultura.ro/sectiuni/Patrimoniu/Monumente/lista/covasna.pdf
biserici şi mănăstiri                     49
                                                       BODOC                              6
                                             BODOC, SIRUTA:63900                          3
                                              ZĂLAN, SIRUTA:63928                         3
                                                       BRĂDUŢ                             5
                                           DOBOŞENI, SIRUTA:64069                         1
                                                  FILIA, SIRUTA:64078                     3
                                           TĂLIŞOARA, SIRUTA:64087                        1
                                                     GHIDFALĂU                            4
                                          GHIDFALĂU, SIRUTA:64354                         3
                                             ZOLTAN, SIRUTA:64381                         1
                                                   ORAŞ BARAOLT                         11
                                            BARAOLT, SIRUTA:63456                         4
                                           BIBORŢENI, SIRUTA:63465                        1
                                             CĂPENI, SIRUTA:63483                         3
                                      RACOŞUL DE SUS, SIRUTA:63508                        3
                                                  VALEA CRIŞULUI                          3
                                      VALEA CRIŞULUI, SIRUTA:64915                        3
                                                      VÂRGHIŞ                             3
                                            VÂRGHIŞ, SIRUTA:65002                         3


                                                                                                Cod LMI 2004
                                    biserici şi mănăstiri                                                         49
                                           AITA MARE                                                                 6
                                 AITA MARE, SIRUTA:63786                                                             2
 1   Ansamblul bisericii unitariene                       sec. XIV-XIX                          CV-II-a-A-13117
 2   Biserica unitariană                                  sec. XIV, transf. sec. XV-XVI         CV-II-m-A-13117.01
 3   Biserica "Sf. Gheorghe”                              1866                                  CV-II-m-B-13115

                                AITA MEDIE, SIRUTA:63795                                                             3
 4   Ansamblul bisericii reformate                        sec. XVI-XVIII                        CV-II-a-B-13118
 5   Biserica reformată                                   sec. XVI, transf. 1777, 1795, 1882.   CV-II-m-B-13118.01
 6   Zid de incintă cu turn-clopotniţă                    1794                                  CV-II-m-B-13118.02

                                              ARCUŞ                                                                  3
                                     ARCUŞ, SIRUTA:64924                                                             3
 7   Ansamblul bisericii unitariene fortificate           sec. XVI-XIX                          CV-II-a-A-13127
 8   Biserica unitariană                                  1568, ref., ext. 1830- 1844           CV-II-m-A-13127.01
 9   Capelă                                               sec. XIX                              CV-II-m-A-13128.02

                                              BĂŢANI                                                                 3
                                AITA SEACĂ, SIRUTA:63820                                                             1
10   Biserica reformată                                   1790, ref. şi turn 1804               CV-II-m-B-13119

                               BĂŢANII MARI, SIRUTA:63811                                                            2
11   Biserica reformată                                   sec. XV, transf. 1679, 1798-1801      CV-II-m-A-13134
12   Biserica catolică                                                                          CV-II-m-B-20287
Cod LMI 2004
                                             BELIN                                                                4
                                      BELIN, SIRUTA:63875                                                         4
13   Ansamblul bisericii unitariene                  sec. XVI-XIX                            CV-II-a-A-13140
14   Biserica "Adormirea Maicii Domnului”            1776                                    CV-II-m-A-13138
15   Biserica unitariană                             1893-1895                               CV-II-m-A-13140.01
16   Biserica reformată                              1770 (biserica), 1911 (turn)            CV-II-m-B-13141

                                            BIXAD                                                                 1
                                      BIXAD, SIRUTA:64522                                                         1
     Biserica "Sf. Gheorghe”                         1712, ref. 1835                         CV-II-m-A-13149

                                            BODOC                                                                 6
                                   BODOC, SIRUTA:63900                                                            3
18   Ansamblul bisericii reformate                   sec. XV-XIX                             CV-II-a-A-13150
19   Biserica reformată                              sec. XV, transf. 1651, sec. XVIII-XIX   CV-II-m-A-13150.01
20   Zid de incintă cu turn-clopotniţă               sec. XVIII                              CV-II-m-A-13150.02

                                      ZĂLAN, SIRUTA:63928                                                         3
21   Ansamblul bisericii reformate                   sec. XIV-XVII                           CV-II-a-A-13334
22   Biserica reformată                              1319, transf. 1821-1825                 CV-II-m-A-13334.01
23   Zid de incintă cu turn clopotniţă               sec. XVII                               CV-II-m-A-13334.02

                                            BRĂDUŢ                                                                5
                                DOBOŞENI, SIRUTA:64069                                                            1
24   Biserica ortodoxă                               sec. XIX                                CV-II-m-B-13210

                                      FILIA, SIRUTA:64078                                                         3
25   Ansamblul fostei biserici romano-catolice       sec. XIII-XVII                          CV-II-a-A-13214
26   Biserică romano-catolică (ruine)                sec. XIII-XVII                          CV-II-m-A-13214.01
27   Capelă                                          sec. XVI                                CV-II-m-A-13214.02

                                TĂLIŞOARA, SIRUTA:64087                                                           1
     Biserica veche românească                                                               CV-II-m-B-20306

                                         GHIDFALĂU                                                                4
                               GHIDFALĂU, SIRUTA:64354                                                            3
29   Ansamblul bisericii reformate                   sec. XV-XVIII                           CV-II-a-A-13218
30   Biserica reformată                              sec. XIII-XVII, transf. 1787            CV-II-m-A-13218.01
31   Zid de incintă cu turn de poartă                sec. XV                                 CV-II-m-A-13218.02

                                  ZOLTAN, SIRUTA:64381                                                            1
     Biserica reformată                              1792                                    CV-II-m-B-13338
Cod LMI 2004
                                          ORAŞ BARAOLT                                                               11
                                  BARAOLT, SIRUTA:63456                                                                 4
33   Ansamblul bisericii romano-catolice ”Sf. Adalbert"   sec. XVI-XIX                             CV-II-a-A-13132
34   Biserica romano-catolică " Sf. Adalbert"             1564, ref. 1691, 1760, 1821              CV-II-m-A-13132.01
35   Zid de incintă, cu turn-clopotniţă                   sec. XVIII                               CV-II-m-A-13132.02
36   Capela romano-catolică "Sf. Maria Mică"              1755                                     CV-II-m-B-13130

                                BIBORŢENI, SIRUTA:63465                                                                 1
37   Biserica reformată                                   sec. XIII-XIV, transf sec. XVI, 1761,    CV-II-m-A-13145

                                   CĂPENI, SIRUTA:63483                                                                 3
38   Ansamblul bisericii reformate                        sec. XIV-XIX                             CV-II-a-A-13160
39   Biserica reformată                                   sec. XIV, transf. 1767, 1794, sec. XIX   CV-II-m-A-13160.01
40   Zid de incintă, cu turn-clopotniţă                   1802 (turn), 1818- 1819 (incintă)        CV-II-m-A-13160.02

                            RACOŞUL DE SUS, SIRUTA:63508                                                                3
41   Ansamblul bisericii unitariene                       sec. XVIII                               CV-II-a-B-13257
42   Biserica unitariană                                  sec. XVIII                               CV-II-m-B-13257.01
43   Zid de incintă cu turn-clopotniţă                    sec. XVIII                               CV-II-m-B-13257.02

                                         VALEA CRIŞULUI                                                                 3
                            VALEA CRIŞULUI, SIRUTA:64915                                                                3
44   Ansamblul bisericii romano-catolice "Sf. Treime"     sec. XIII-XIX                            CV-II-a-A-13303
45   Biserica romano-catolică "Sf. Treime"                sec. XIII-XVI, transf. sec. XVII         CV-II-m-A-13303.01
46   Ruinele capelei (Veresbaratok Tornya)                sec. XV                                  CV-II-m-B-13304

                                             VÂRGHIŞ                                                                    3
                                  VÂRGHIŞ, SIRUTA:65002                                                                 3
47   Ansamblul bisericii de lemn "SF. ARHANGHELI"         sec. XIX                                 CV-II-a-B-13312
48   Biserica de lemn "Sf. Arhangheli”                    1807                                     CV-II-m-B-13312.01
49   Clopotniţă de lemn                                   sec. XIX                                 CV-II-m-B-13312.02
II.2.1.5.2 case memoriale; 19
                                              casă memorială                 46
                                                   AITA MARE                  4
                                         AITA MARE, SIRUTA:63786              4
                                                    BĂŢANI                    2
                                       BĂŢANII MARI, SIRUTA:63811             2
                                                     BELIN                    4
                                           BELIN, SIRUTA:63875                4
                                                    BODOC                     2
                                          BODOC, SIRUTA:63900                 2
                                                    BRĂDUŢ                    1
                                            FILIA, SIRUTA:64078               1
                                              ORAŞ BARAOLT                    2
                                         BARAOLT, SIRUTA:63456                1
                                          CĂPENI, SIRUTA:63483                1
                                             VALEA CRIŞULUI                   2
                                    VALEA CRIŞULUI, SIRUTA:64915              2
                                                   VÂRGHIŞ                   29
                                         VÂRGHIŞ, SIRUTA:65002               29


                                       casă memorială                                           46
                                          AITA MARE                                                 4
                                AITA MARE, SIRUTA:63786                                             4
                  1   Ansamblul conacului Dónáth          sf. sec. XIX            CV-II-a-B-13116
                  2   Conacul Dónáth                      sf. sec. XIX            CV-II-m-B-13116.01
                  3   Grânar                              sf. sec. XIX            CV-II-m-B-13116.02
                  4   Poartă                              sf. sec. XIX            CV-II-m-B-13116.03

                                            BĂŢANI                                                  2
                               BĂŢANII MARI, SIRUTA:63811                                           2
                  5   Casă cu arcade                      sec. XIX                CV-II-m-B-13133
                  6   Şură                                sec. XIX                CV-II-m-B-20288

                                             BELIN                                                  4
                                    BELIN, SIRUTA:63875                                             4
                  7   Casă                                sec. XIX                CV-II-m-B-13139
                  8   Casă                                sec. XVIII              CV-II-m-B-13142
                  9   Casă                                1868                    CV-II-m-B-13143
                 10   Casă                                1885                    CV-II-m-B-13144

                                            BODOC                                                   2
                                   BODOC, SIRUTA:63900                                              2
                 11   Poartă de lemn (poartă secuiască)   1934                    CV-II-m-B-13151
                 12   Poartă secuiască                    1940                    CV-II-m-B-13152



19
     http://www.cultura.ro/sectiuni/Patrimoniu/Monumente/lista/covasna.pdf
casă memorială                                            46
                                          BRĂDUŢ                                                   1
                                   FILIA, SIRUTA:64078                                             1
            13   Poartă                            sec. XIX                     CV-II-m-A-13215.02

                                    ORAŞ BARAOLT                                                   2
                               BARAOLT, SIRUTA:63456                                               1
            14   Casă                              sec. XIX                     CV-II-m-B-13131

                                  CĂPENI, SIRUTA:63483                                             1
            15   Monumentul "1848”                 1973                         CV-III-m-B-13344

                                   VALEA CRIŞULUI                                                  2
                          VALEA CRIŞULUI, SIRUTA:64915                                             2
            16   Cavoul Familiei Kalnoky           sec. XIX                     CV-II-m-A-13303.02
            17   Zid de incintă                    sec. XVI-XVII                CV-II-m-A-13303.03

                                       VÂRGHIŞ                                                    29
                                VÂRGHIŞ, SIRUTA:65002                                             29
            18   Gospodărie ţărănească             sec. XVIII-XIX               CV-II-a-A-13322
            19   Gospodărie ţărănească                                          CV-II-a-B-13315
            20   Gospodărie ţărănească             1874                         CV-II-a-B-13320
            21   Gospodărie ţărănească             1820                         CV-II-a-B-13323
            22   Ansamblul conacului Imecs         sec. XVII-XIX                CV-II-a-B-13324
            23   Casă                              1773                         CV-II-m-A-13322.01
            24   Şură                              sec. XVIII-XIX               CV-II-m-A-13322.02
            25   Hambar                            sec. XVIII-XIX               CV-II-m-A-13322.03
            26   Fântână cu cumpănă                sec. XVIII-XIX               CV-II-m-A-13322.04
            27   Poartă de lemn şi gard            sec. XVIII-XIX               CV-II-m-A-13322.05
            28   Casă                              sec. XVIII                   CV-II-m-B-13313
            29   Casă de zid                                                    CV-II-m-B-13314
            30   Casă                              1873                         CV-II-m-B-13315.01
            31   Şură                              1873                         CV-II-m-B-13315.02
            32   Hambar                            1873                         CV-II-m-B-13315.03
            33   Fântână cu cumpănă                1873                         CV-II-m-B-13315.04
            34   Poartă                            1873                         CV-II-m-B-13315.05
            35   Casă                              1868                         CV-II-m-B-13317
            36   Casă de lemn şi poartă            1879 (casa), 1910 (poarta)   CV-II-m-B-13318
            37   Casă şi şură                      înc. sec. XX                 CV-II-m-B-13319
            38   Casă cu cerdac                    1874                         CV-II-m-B-13320.01
            39   Gard şi poartă                    1874                         CV-II-m-B-13320.02
            40   Casa de lemn Tóth Mihály          1844                         CV-II-m-B-13321
            41   Casă de lemn                      1820                         CV-II-m-B-13323.01
            42   Poartă de lemn                    820                          CV-II-m-B-13323.02
            43   Conacul Imecs, azi locuinţă       1779                         CV-II-m-B-13324.01
            44   Şură cu grajd                     1843                         CV-II-m-B-13324.02
            45   Casă                              1827                         CV-II-m-B-20309
            46   Casă                              1920                         CV-II-m-B-20310



În afară de obiectivele consacrate de patrimoniu, în zonă se găsesc case memoriale dedicate
unor personalităţi importante pentru cultura zonei:
Aita Mare
•      Casa memorială "Kriza János"
•      Casa parohială unitariană cu placa memorială "Kriza János"
•      Casa memorială Moyses Márton
•      Casa “Rabocskai” – cea mai veche casă din localitate
•      Casa de cultură „Kriza János” – construită 1904 – 1908
•      Conacul „Cserey” sec. XVIII. – construcţie specifică
•      Casa „Darkó”
•      Casa şi farmacia „- Dezső Miklós”
•      Casa „-        Polgári Léta”
•      Casa „Gazdag” – frontispiciu clasicist
•      Casa „Péterfi” – în curte grajd transformat în capelă romano-catolică
•      Casa „-        Kutlik”
•      Casa „Ferenczy” – fosta maternitate, actualmente cabinet medical
•      Casa „-        Kisgyörgy Dávid” – găzduieşte o mică colecţie istorică realizată de
către Dr. Kisgyörgy Árpád şi Kisgyörgy Zoltán
•      Bust „Kriza János” (Péter Jecza, 1991)
•      Monument comemorativ al revoluţiei paşoptiste (Péter Jecza, 2000)
•      Monument dedicat victimelor locale ale represiunilor de după revoluţia din Ungaria
din 1956, (Barta István. 2000)
Aita Medie
•      Colecţie de mobilier ţărănesc pictat în şcoala generală „Benkő József”
•      Bust „- Benkő József” (1993)
•      Monument comemorativ al revoluţiei paşoptiste
Baraolt
•      Muzeul Depresiunii Baraolt
Băţanii Mici
•      Casa memorială „Benedek Elek”
•      Casa de cultură reformată proiectată din Koós Károly
•      Furnalul Bodvaly
Ghidfalău
•      Casa memorială "Czetz János"
II.2.1.5.3 monumente dispărute 20

                                                                                      Cod
                                                                                      1992
                                                  BĂŢANI                                     9
                                   BĂŢANII MARI, SIRUTA:63811                                 9
                             1   Gard, sec. XIX                                       15B0049
                             2   Casă, înc. sec. XIX                                  15B0049
                             3   Casă, sec. XIX                                       15B0049
                             4   Casă, 1867                                           15B0051
                             5   Casă, 1863                                           15B0052
                             6   Gard cărămidă, sec. XIX                              15B0053
                             7   Casă de lemn, 1800                                   15B0053
                             8   Casă de lemn, sec. XIX                               15B0053
                             9   Anexe, sec. XIX                                      15B0053

                                                   BELIN                                     1
                                        BELIN, SIRUTA:63875                                   1
                            10   Casă, 1868                                           15B0062

                                                   BODOC                                     1
                                        ZĂLAN, SIRUTA:63928                                   1
                            11   Conacul Sera, sec. XVII – XVIII                      15B0284

                                          ORAŞ BARAOLT                                       1
                                   MICLOŞOARA, SIRUTA:63492                                   1
                            12   Ruinele bisericii vechi ortodoxe, sec. XVIII - XIX   15B0292

                                                                            Total:           12

            II.2.1.5.4 castre (roman, dacic etc.);21
În aria acoperită de GAL Alutus există 119 situri arheologice.

                                                  AITA MARE                           5
                                       AITA MARE, SIRUTA:63786                        1
                                       AITA MEDIE, SIRUTA:63795                       4
                                                     ARCUŞ                            8
                                           ARCUŞ, SIRUTA:64924                        8
                                                    BĂŢANI                            3
                                      BĂŢANII MICI, SIRUTA:63839                      1
                                       HERCULIAN, SIRUTA:63848                        2
                                                       BELIN                          3
                                           BELIN, SIRUTA:63875                        3
                                                       BIXAD                          3
                                           BIXAD, SIRUTA:64522                        3



20
     http://www.cultura.ro/sectiuni/Patrimoniu/Monumente/lista/disparute.pdf
21
     http://cimec.ro/scripts/ARH/RAN/sel.asp
BODOC                18
    BODOC, SIRUTA:63900         6
    OLTENI, SIRUTA:63919        8
    ZĂLAN, SIRUTA:63928         4
         BRĂDUŢ                12
   BRĂDUŢ, SIRUTA:64050         6
  DOBOŞENI, SIRUTA:64069        4
    FILIA, SIRUTA:64078         1
  TĂLIŞOARA, SIRUTA:64087       1
       GHIDFALĂU               21
  GHIDFALĂU, SIRUTA:64354       3
  ANGHELUŞ, SIRUTA:64363       10
    FOTOŞ, SIRUTA:64372         4
   ZOLTAN, SIRUTA:64381         4
         MALNAŞ                11
   MALNAŞ, SIRUTA:64531         6
  MALNAŞ-BĂI, SIRUTA:64540      5
        MICFALĂU                1
  MICFALĂU, SIRUTA:64513        1
      ORAŞ BARAOLT             20
   BARAOLT, SIRUTA:63456        7
  BIBORŢENI, SIRUTA:63465       5
    CĂPENI, SIRUTA:63483        3
 MICLOŞOARA, SIRUTA:63492       3
RACOŞUL DE SUS, SIRUTA:63508    2
     VALEA CRIŞULUI             7
VALEA CRIŞULUI, SIRUTA:64915    3
    CALNIC, SIRUTA:64933        4
         VÂRGHIŞ                7
   VÂRGHIŞ, SIRUTA:65002        7
                      Total: 119
Cod
                                                                                                                        RAN
                                                  AITA MARE                                                                    5
                                        AITA MARE, SIRUTA:63786                                                                1
 1   Topor preistoric la Aita Mare                                                                                      63786.01
                                       AITA MEDIE, SIRUTA:63795                                                                4
     Descoperirea Coţofeni de la Aita Medie - "Vârful Curat". la cca. 3,5 km NE de sat, pe malul stâng al pârâului
 2   Aita                                                                                                               63795.01
 3   Situl arheologic de la Aita Medie. in cuprinsul satului                                                            63795.03
 4   Valul de pământ de la Aita Mare - "Dealul Cetăţii". între Pârâul Cetăţii şi Păstrăvăria                            63795.02
 5   Aşezarea eneoltică de la Aita Medie - Tsza Berc                                                                    63795.04

                                                       ARCUŞ                                                                   8
                                           ARCUŞ, SIRUTA:64924                                                                 8

 6   Valul de pământ de la Arcuş - "Dealul Cetăţii". între pâraiele Egevsze şi Sugo                                     64924.04
 7   Aşezarea eneolitică de la Arcuş                                                                                    64924.08
 8   Descoperirea izolată neolitică de la Arcuş - "punctul Lângă Sat"                                                   64924.07
 9   Două topoare de bronz eneolitice de la Arcuş - "După Cheie"                                                        64924.02
     Biserica romanică de la Arcuş - "Loc de pivniţă". la intrarea în sat, pe partea dreaptă a drumului ce duce la
10   Valea Crişului                                                                                                     64924.06
11   Depozitul de bronzuri de la Arcuş                                                                                  64924.05
12   Situl neolitic de la Arcuş - "Vadea". la V de sat                                                                  64924.01
13   Aşezarea din epoca migraţiilor de la Arcuş - "Groapa Roşie"                                                        64924.03

                                                       BĂŢANI                                                                  3
                                      BĂŢANII MICI, SIRUTA:63839                                                               1
14   Topor neolitic la Băţanii Mici                                                                                     63839.01
                                       HERCULIAN, SIRUTA:63848                                                                 2

15   Cuptoarele de redus minereul de la Herculian. la 2 km V de sat, pe malul stâng al râului Tölgyes                   63848.01
16   Toporul Coţofeni de la Herculian - "Barnahágo"                                                                     63848.02

                                                       BELIN                                                                   3
                                            BELIN, SIRUTA:63875                                                                3
17   Situl preistoric de la Belin - "Cetatea Ciorii"                                                                    63875.03
18   Mormântul medieval de la Belin - "Hotarul satului"                                                                 63875.02
19   Depozitul de bronzuri de la Belin - "Umbra Luncii". pădurea Umbra Luncii                                           63875.01

                                                       BIXAD                                                                   3
                                            BIXAD, SIRUTA:64522                                                                3

     Fortificaţia medievală de la Bixad - Cetatea Şoimilor. pe dealul Piatra Şoimilor, la confluenţa pârâului Calului
20   cu Oltul                                                                                                           64522.02
     Situl arheologic de la Bixad - Cetatea - Vápa de la Bixad. la 2,5 km SV de Bixad, lângă gară, sub muntele
21   Murgăul Mic, pe malul drept al Oltului, între Olt şi pârâul Răchitaş                                               64522.01
22   Aşezarea eneolitică de la Bixad                                                                                    64522.03
Cod
                                                                                                                         RAN
                                                    BODOC                                                                      18
                                          BODOC, SIRUTA:63900                                                                   6
23   Aşezarea Ariuşd de la Bodoc - "Pădurea mestecenilor"                                                                63900.02
     Aşezarea hallstattiană de la Bodoc. la 20 m V de şoseaua Sfântu Gheorghe - Miercurea Ciuc, în dreptul
24   indicatorului Bodoc 1 km                                                                                            63900.06
25   Aşezarea Ariuşd de la Bodoc - "Cimitirul Catolic"                                                                   63900.03
26   Așezarea eneolitică de la Bodoc. în apropiere de Cetatea Comorii                                                    63900.05
27   Situl arheologic de la Bodoc - "Sat". din cuprinsul satului                                                         63900.04

28   Situl arheologic de la Bodoc - "Vârful cu comoară". în dreapta satului, la 7 km nord, pe malul stâng al Oltului     63900.01
                                          OLTENI, SIRUTA:63919                                                                  8
29   Aşezarea Latene de la Olteni - "Drumul cu gropi"                                                                    63919.06

30   Situl arheologic de la Olteni - "Cetatea Fetei". la NE de sat, pe malul stâng al Oltului, la V de pârâul lui Suta   63919.01
31   Situl arheologic de la Olteni - "Castelul Miko"                                                                     63919.08

32   Situl arheologic de la Olteni-în grădina castelului Mikó. la N de sat, pe malul drept al Oltului                    63919.02
33   Aşezarea Cucuteni-Ariuşd de la Olteni - "În dosul Cetăţii". între şosea şi albia Oltului                            63919.04
     Aşezarea Ariuşd de la Olteni - "Marginea satului". la marginea de N a satului, la 2 km N de În Dosul Cetăţii,
34   pe malul drept al Oltului                                                                                           63919.05

35   Situl arheologic de la Olteni - "Cariera de nisip". la marginea de S a satului, malul drept al Oltului              63919.03

36   Cetatea medievală de la Olteni - "Vârful Cetăţii". la N de sat, între Olteni şi Malnaş, pe malul stâng al Oltului   63919.07
                                           ZĂLAN, SIRUTA:63928                                                                  4
37   Biserica reformată din Zălan                                                                                        63928.04
38   Mormântul medieval de la Zălan. în hotarul satului                                                                  63928.03
39   Fortificaţia medievală de la Zălan - "Csutakostetö-Pincevár"                                                        63928.02

40   Situl arheologic de la Zălan - "Biserică". pe malul drept al Oltului, la 500 m E de pârâul Zălan                    63928.01

                                                   BRĂDUŢ                                                                      12
                                         BRĂDUŢ, SIRUTA:64050                                                                   6
41   Descoperirile Coţofeni de la Brăduţ                                                                                 64050.05
42   Aşezarea neolitică de la Brăduţ                                                                                     64050.06
43   Descoperirile paleolitice de la Brăduţ - "Agriş". în albia pârâului Agriş                                           64050.02
44   Deascoperirile din epoca bronzului de la Brăduţ - "Văgăuna Hoţilor"                                                 64050.04
45   Descoperirile paleolitice de la Brăduţ - "Cormoş". în albia pârâului Cormoş                                         64050.01
     Situl arheologic de la Brăduţ - "Dealul Rotund". la 4 km E de Brăduţ şi 3,5 km N de Biborţeni, pe platoul
46   Dealului Rotund şi al Dealului cu Cioturi                                                                           64050.03
                                       DOBOŞENI, SIRUTA:64069                                                                   4
47   Capela romanică de la Doboşeni. în hotarul satului                                                                  64069.04
48   Situl arheologic de la Doboşeni. la extremitatea vestică a satului                                                  64069.02
49   Aşezarea Cucuteni-Ariuşd de la Doboşeni. coada dealului                                                             64069.01
50   Mormântul geto-dacic de la Doboşeni - "Garatfarka"                                                                  64069.03
                                           FILIA, SIRUTA:64078                                                                  1

     Ruinele bisericii parohiale a satului medieval Dobó de la Filia. sat Dobó - dispărut, la 4 km V de Filia, malul
51   drept al pârâului Cormoş                                                                                            64078.01
                                       TĂLIŞOARA, SIRUTA:64087                                                                  1
52   Depozitul de bronzuri de la Tălişoara                                                                               64087.01
Cod
                                                                                                                    RAN
                                                GHIDFALĂU                                                                 21
                                       GHIDFALĂU, SIRUTA:64354                                                                3

53   Aşezarea din epoca bronzului de la Ghidfalău. în extremitatea nordică a intravilanului                         64354.01
54   Aşezarea din epoca migraţiilor de la Ghidfalău - "Şanţul Adânc"                                                64354.02
     Aşezarea geto-dacică de la Ghidfalău - "Bedehaza". la cca. 4 km SE de sat, la 60 m în amonte de podul de
55   cale ferată, la 2,5 km de gara Sf. Gheorghe, pe malul stâng al Oltului                                         64354.03
                                       ANGHELUŞ, SIRUTA:64363                                                             10
56   Locuire neolitică la Angheluș - la casa lui Forro Zoltan                                                       64363.09
57   Locuire neolitică la Angheluș - proprietatea C. Bojthe                                                         64363.1

58   Situl arheologic de la Angheluş - Mestecănişul bisericii. la extremitatea nordică a intravilanului             64363.01
59   Aşezarea romană de la Angheluş - Vatra satului. în vatra satului                                               64363.02
     Aşezarea Starcevo - Criş de la Angheluş - "Pârâul Fântânii". între Olt şi Râul Negru, pe o terasă înaltă,
60   până la valul Bobâlna                                                                                          64363.03
61   Locuire neolitică la Angheluș - Kutpataka                                                                      64363.08
62   Aşezarea neolitică de la Angheluş - "punctul Valea"                                                            64363.06
63   Situl arheologic de la Angheluş - "Telek". spre satul Beşeneu                                                  64363.05
64   Necropola romană de la Angheluş - "Şanţul Bobâlnei"                                                            64363.07
65   Aşezarea Cucuteni - Ariuşd de la Angheluş - "Grădina Secării"                                                  64363.04
                                           FOTOŞ, SIRUTA:64372                                                                4
66   Descoperire izolate neolitice la Fotoș - Malul Spart                                                           64372.03
67   Descoperire izolate neolitice la Fotoș - pe malul pârâului comunal                                             64372.04
68   Aşezarea Coțofeni de la Fotoş - "Sat". vatra satului                                                           64372.02
69   Aşezarea geto-dacică de la Fotoş - "Grădina lui Barda"                                                         64372.01
                                          ZOLTAN, SIRUTA:64381                                                                4

     Situl arheologic de la Zoltan - "Nisipărie". la 100 m N de biserica reformată, peste drum de Şcoala Primară,
70   la 500 m E de râul Olt                                                                                         64381.01

71   Situl arheologic de la Zoltan - "Dealul Bisericii". în spatele bisericii reformate, la E şi S de ea            64381.02
72   Aşezarea Coţofeni de la Zoltan - "Urcuş"                                                                       64381.04

73   Aşezarea Cucuteni - Ariuşd de la Zoltan - "Mestecăniş". lângă "Drumul cu Gropi" (Gödrösut)                     64381.03

                                                   MALNAŞ                                                                 11
                                          MALNAŞ, SIRUTA:64531                                                                6
74   Locuire Cucuteni la Malnaș - Pasul strigoiului                                                                 64531.06
75   Aşezarea Cucuteni - Ariuşd de la Malnaş - "Tăietură"                                                           64531.05
76   Aşezarea Cucuteni - Ariuşd de la Malnaş - "Pasul Stejarului"                                                   64531.04
77   Fortificaţia medievală de la Malnaş. la capătul de sud al satului                                              64531.01

78   Aşezarea Cucuteni - Ariuşd de la Malnaş - "Dealul nisipos". la cca. 800 m V de centrul localităţii             64531.02
79   Aşezarea Cucuteni - Ariuşd de la Malnaş - "Colţul Mesteacănului". între Olt şi şosea                           64531.03
                                      MALNAŞ-BĂI, SIRUTA:64540                                                                5
80   Siturile preistorice de la Malnaş Băi - "Cariera Podeiu"                                                       64540.04
81   Situl arheologic de la Malnaş Băi - "Cariera de bazalt"                                                        64540.03
82   Depozitul de bronzuri de la Malnaş Băi - "Carieră"                                                             64540.05

83   Situl arheologic de la Malnaş Băi - "Lunca". deasupra băilor, între râul Olt şi pârâul Şomoş                   64540.01
84   Situl arheologic de la Malnaş Băi - "Platoul Nisipos". la confluenţa între Olt şi Şomoş                        64540.02
Cod
                                                                                                                        RAN
                                                  MICFALĂU                                                                     1
                                        MICFALĂU, SIRUTA:64513                                                                 1

 85   Descoperirile Schneckenberg şi Precucuteni de la Micfalău. de pe teritoriul satului                               64513.01

                                             ORAŞ BARAOLT                                                                     20
                                          BARAOLT, SIRUTA:63456                                                                7


      Situl arheologic de la Baraolt - "Vecer". terasa Fecskefarka, pe dealul Vécer, între Baraolt şi Tălişoara, la
 86   NE de încrucişarea de drumuri Augustin - Baraolt cu Chepeţ - Racoşul de Sus                                       63456.01

 87   Situl arheologic de la Baraolt - "Pădurea Mare". Dealul Nagyerdõalja, pe malul drept al râului Baraolt            63456.02
      Aşezările preistorice de la Baraolt - "Cariera de nisip". la 2 km de cetatea de la Biborţeni, pe malul stâng al
 88   pârâului Baraolt                                                                                                  63456.05

 89   Aşezarea Wietenberg de la Baraolt - "Dongó". în albia pârâului Baraolt, la confluenţa cu pârâul Dongó             63456.04
 90   Aşezarea hallstattiană de la Baraolt - "Pârâul Hotarului"                                                         63456.03
 91   Descoperiri izolate din cuprinsul oraşului Baraolt                                                                63456.07

 92   Aşezarea din epoca bronzului târziu de la Baraolt - "Cariera de Nisip II". pe malul stâng al Baraoltului          63456.06
                                        BIBORŢENI, SIRUTA:63465                                                                5

 93   Aşezarea Wietenberg de la Biborţeni. la 3 km de Baraolt, pe malul stâng al pârâului Dongó                         63465.02
 94   Obiecte romane de la Biborţeni. din cuprinsul satului                                                             63465.06
 95   Biserica de stil romanic de la Biborţeni - "Biserica Reformată"                                                   63465.04
 96   Situl arheologic de la Biborţeni - "Dealul Rotund". la 300 m E de Dealul Rotund                                   63465.03

 97   Situl arheologic de la Biborţeni - "Cetatea Taborc". la s de sat, între pâraiele Baraolt şi Valea Cetăţii         63465.01
                                          CĂPENI, SIRUTA:63483                                                                 3
 98   Mormintele medievale de la Căpeni - "Köksukk"                                                                     63483.01

 99   Aşezarea geto-dacică de la Căpeni - "sat". în cuprinsul satului şi spre mina de cărbuni                           63483.03
100   Situl arheologic de la Căpeni - "Mina de Cărbuni"                                                                 63483.02
                                      MICLOŞOARA, SIRUTA:63492                                                                 3

      Cetatea medievală de la Micloşoara - "Tortogó". la NE de sat, între Valea Cetăţii (Várpatak) şi Apa Vântului
101   (Szélviz)                                                                                                         63492.02

102   Aşezarea preistorică de la Micloşoara - "Székalja". pe malul stâng al pârâului care duce spre sat                 63492.01
103   Castelul Kalnoki de la Micloşoara                                                                                 63492.03
                                   RACOŞUL DE SUS, SIRUTA:63508                                                                2

104   Descoperirile din epoca bronzului de la Racoşu de Sus - "Sat". din cuprinsul satului                              63508.02
      Complexul de fortificaţii medievale de la Racoşul de Sus - "Pădurea Rica". la 4,5 km VNV de sat, lanţul
      nordic al munţilor Perşinari, dealul Hegyes, între pârâurile Rica şi Nadeş, afluenţi ai pârâului Cormoş care
105   se varsă în Olt la Augustin, jud. Braşov                                                                          63508.01
Cod
                                                                                                                         RAN
                                                 VALEA CRIŞULUI                                                                 7
                                        VALEA CRIŞULUI, SIRUTA:64915                                                            3
106      Unelte eneolitice la Valea Crişului                                                                             64915.03
         Situl arheologic fortificat de la Valea Crişului - "Vârful cu mesteceni". între Valea Mare şi Valea Csudor,
107      dealul Nyirteto                                                                                                 64915.01
108      Castelul Kálnoki de la Valea Crişului                                                                           64915.02
                                               CALNIC, SIRUTA:64933                                                             4
109      Aşezarea geto-dacică de la Câlnic - "Valea Mare"                                                                64933.02
110      Biserica catolică din Câlnic                                                                                    64933.03
         Aşezarea Starčevo - Criş de la Câlnic - "Gaz Metan II". la 300 m V de DN Sf. Gheorghe - Miercurea Ciuc, la
         450 m S de drumul Valea Crişului - Ghidfalău, la 200 m S de pârâul Valea Crişului, pe traseul conductei de
111      gaz metan                                                                                                       64933.05
         Aşezarea Starčevo - Criş de la Câlnic - "Gaz Metan I". la 400 m V de DN Sf. Gheorghe - Miercurea Ciuc, la
         150 m N de drumul Valea Crişului - Ghidfalău, la 300 m N de pârâul Valea Crişului, pe traseul conductei de
112      gaz metan                                                                                                       64933.04

                                                     VÂRGHIŞ                                                                    7
                                               VÂRGHIŞ, SIRUTA:65002                                                            7
113      Tumulul din epoca bronzului de la Vârghiş - "Kövesbérec"                                                        65002.07
114      Ruinele bisericii de stil romanic de la Vârghiş - "Casa de rugăciune reformată"                                 65002.04

115      Vasul de bronz cu trei picioare din epoca medievală de la Vârghiş - "Albia râului Vârghiş"                      65002.03

116      Aşezarea Starčevo - Criş de la Cheile Vârghişului - "Peştera 1". pe malul stâng al râului                       65002.05
117      Aşezarea în peşteră de la Cheile Vârghişului - "Peştera 9"                                                      65002.06
118      Valul de pământ de la Vârghiş - "Muntele Rika". la V de sat                                                     65002.02
119      Fortificaţia medievală de la Vârghiş. pe dealul Hegyes                                                          65002.01

                                                                                                                Total:       119



                  II.2.1.5.5 cetăţi şi castele; 22


                                                    cetăţi şi castele                      21
                                                        AITA MARE                             1
                                                AITA MARE, SIRUTA:63786                       1
                                                           ARCUŞ                              4
                                                 ARCUŞ, SIRUTA:64924                          4
                                                            BELIN                             1
                                                  BELIN, SIRUTA:63875                         1
                                                            BIXAD                             2
                                                  BIXAD, SIRUTA:64522                         2
                                                           BODOC                              2
                                                 BODOC, SIRUTA:63900                          1
                                                 OLTENI, SIRUTA:63919                         1


22 22
        http://www.cultura.ro/sectiuni/Patrimoniu/Monumente/lista/covasna.pdf
cetăţi şi castele                21
                                                      BRĂDUŢ                        3
                                                FILIA, SIRUTA:64078                 2
                                             TĂLIŞOARA, SIRUTA:64087                1
                                                   GHIDFALĂU                        2
                                               ZOLTAN, SIRUTA:64381                 2
                                                 ORAŞ BARAOLT                       3
                                              BIBORŢENI, SIRUTA:63465               1
                                             MICLOŞOARA, SIRUTA:63492               1
                                       RACOŞUL DE SUS, SIRUTA:63508                 1
                                                 VALEA CRIŞULUI                     2
                                        VALEA CRIŞULUI, SIRUTA:64915                2
                                                     VÂRGHIŞ                        1
                                              VÂRGHIŞ, SIRUTA:65002                 1


                                       cetăţi şi castele                                                          21
                                             AITA MARE                                                             1
                                AITA MARE, SIRUTA:63786                                                            1
 1   Incinta fortificată                                   sec. XVI-XVII                     CV-II-m-A-13117.02

                                               ARCUŞ                                                               4
                                    ARCUŞ, SIRUTA:64924                                                            4
 2   Ansamblul castelului Szentkereszty                    sec. XIX                          CV-II-a-A-13128
 3   Incintă fortificată                                   1639-1640                         CV-II-m-A-13127.02
 4   Castelul Szentkereszty                                cca. 1860                         CV-II-m-A-13128.01
 5   Parc dendrologic                                      sec. XIX                          CV-II-m-A-13128.03

                                               BELIN                                                               1
                                    BELIN, SIRUTA:63875                                                            1
 6   Incintă fortificată                                   sec. XVI - XVII                   CV-II-m-A-13140.02

                                               BIXAD                                                               2
                                    BIXAD, SIRUTA:64522                                                            2
 7   Fortificaţie                                          sec. XIII - XIV Epoca medievală   CV-I-m-A-13044.01
     Fortificaţia medievală de la Bixad, punct "Cetatea
 8   Şoimilor"                                             sec. XIV - XV Epoca medievală     CV-I-s-B-13045

                                               BODOC                                                               2
                                   BODOC, SIRUTA:63900                                                             1
 9   Fortificaţia cu incintă "Kincsástető”                 sec. XIII – XIV Epoca medievală   CV-I-m-A-13046.01

                                   OLTENI, SIRUTA:63919                                                            1
10   Castelul Mikó                                         1827                              CV-II-m-A-13242
cetăţi şi castele                                                                        21
                                            BRĂDUŢ                                                                              3
                                     FILIA, SIRUTA:64078                                                                        2
11   Ansamblul conacului Ferenczy - Boda                        sec. XVIII-XIX                            CV-II-a-A-13215
12   Conacul Ferenczy - Boda                                    1713, modif. 1826                         CV-II-m-A-13215.01

                               TĂLIŞOARA, SIRUTA:64087                                                                          1
13   Castelul Daniel                                            1669, modif. 1884                         CV-II-m-A-13271

                                           GHIDFALĂU                                                                            2
                                  ZOLTAN, SIRUTA:64381                                                                          2
14   Conacul Benkő - Zágoni, azi locuinţă                       1832                                      CV-II-m-B-13335
15   Poarta barocă                                              sec. XVIII                                CV-II-m-B-13336

                                      ORAŞ BARAOLT                                                                              3
                               BIBORŢENI, SIRUTA:63465                                                                          1
16   Fortificaţie                                               sec XII - XIII Epoca medievală            CV-I-m-A-13041.03

                              MICLOŞOARA, SIRUTA:63492                                                                          1
                                                                sec. XVI-XVII, transf. sec. XVIII, XIX,
17   Castelul Kálnoky                                           XX                                        CV-II-m-A-13241

                           RACOŞUL DE SUS, SIRUTA:63508                                                                         1
18   Cetatea Rika de la Racoşul de Sus                          sec. XII Epoca medieval timpurie          CV-I-s-A-13076

                                     VALEA CRIŞULUI                                                                             2
                            VALEA CRIŞULUI, SIRUTA:64915                                                                        2
                                                                sec. XVII-XVIII (transf. 1752), sec.
19   Castelul Kálnoki                                           XIX                                       CV-II-m-A-13305
                                                                sec. XII - XIII Epoca medieval
20   Fortificaţia medievală de la Valea Crişului                timpurie                                  CV-I-s-B-13082

                                            VÂRGHIŞ                                                                             1
                                 VÂRGHIŞ, SIRUTA:65002                                                                          1
                                                                sec. XVI transf., ext. 1670, 1723,
21   Castelul Daniel, azi primărie                              1850, 1930                                CV-II-m-A-13316



                    II.2.1.5.6 meşteşuguri specifice (pictură pe sticlă, cojocărit, port specific
                      etc.);
                                     meşteşuguri specifice                          1
                                                   BRĂDUŢ                           1
                                        FILIA, SIRUTA:64078                         1
                                       1    Topitorie de fier   sec. XIX     CV-II-m-B-13216



Aita Mare
• Sculptură în lemn
• Brodat, cusut, ţesut
Aita Medie
• Cojocărit, tăbăcărit
• Împletit, ţesut
• Prelucrarea cânepii
• Brosare de mărgele
• Obiecte din pâslă
• Obiecte din gips
• Mobilă pictată
• Coşuri împletite
• Origami
• Înnodare
• Obiecte de decor
Micfalău
Creangă împodobită – Certificat OSIM 018611/2009.04.30
Este o prăjitură specifică localităţii. Începând cu anii 1830 se oferă drept cadou de nuntă. Este
un produs pentru care cererea este în creştere la târguri de meşteşuguri.




Meşteşugurile tradiţionale – odată cu ele competenţele specifice - sunt pe cale de dispariţie,
excepţie făcând într-o oarecare măsura acele meşteşuguri legate de prelucrare lemnului.
II.2.1.5.7 herghelii de cai relevante (specifice);
     Localitate               Denumire          Efectiv                   Profil
Arcuş                   Herghelia Barabás             15 echitaţie de agrement, instrucţii
                                                           de echitaţie
Ghidfalău, comuna       Herghelia Váncsa              35 atelaj, echitaţie de agrement,
Angheluş                                                   creşterea cailor de rasă
                                                      20 echitaţie de agrement, echitaţie
                                                           tradiţională: cavalerie de arcaşi şi
                                                           cavalerie uşoară, Asociaţia
                                                           „Csillagőrző” se ocupă de
                                                           păstrarea tradiţiei arcaşilor
                                                           călăreţi
Valea Crişului          Herghelie Contelui            12 echitaţie de agrement, anduranţă,
                        Kálnoky                            excursii montane călare; Efectiv
                        http://www.transylva               format din rasa Shagya Arab, care
                        niancastle.com/riding              se pretează foarte bine echitaţiei
                        .html                              de agrement
Oraş Baraolt            efectivul de cai a lui         5 instrucţii de echitaţie, agrement
                        Jozsef NAGY

             II.2.1.5.8 tipuri de turism practicate
(turism de agrement şi odihnă, alpinism, turism cultural şi religios, turism piscicol, turism
ecvestru, cicloturism, agroturism etc.).
Datorită abundenţei izvoarelor de apă minerală precum şi a peisajului atrăgător şi relativ intact
precum şi obiectivele moştenirii culturale zona geografică are o tradiţie în
•       turism balnear
•       turism de agrement şi odihnă
•       turism cultural
În ultimele două decenii infrastructura balneară s-a degradat total. În schimb, cu paşi timizi a
început să se dezvolte agroturismul.
Pentru turism de agrement şi odihnă nu există, deocamdată, infrastructură adecvată.
Multitudinea de obiective de patrimoniu arhitectural şi arheologic nu sunt valorificate pentru
animarea turismului cultural – religios.
Un remarcabil exemplu de bună practică este cel a descendenţilor familiei Kálnoky de la
Micloşoara. 23 După redobândirea proprietăţii, tinerii membrii ai familiei au părăsit Marea
Britanie în favoarea locurilor natale ale bunicilor. Prin forţe proprii au reabilitat vechiul castel
şi câteva gospodării din preajmă. Apoi au lansat un adevărat centru de turism rural. Aici, în
orice anotimp, turiştii, aproape în exclusivitate străini se bucură de posibilităţi specifice de
agrement şi de o ofertă gastronomică ce poartă amprenta locului.




23
     http://www.transylvaniancastle.com/
II.2.1.5.9 obiceiuri locale, etc. 24
Racoşul de Jos, Aita Mare, Belin, Ilieni şi Ozun (ultimele două localităţi nu fac parte din
       potenţialul GAL) au făcut parte din linia de fortificaţie menită să stăvilească
       incursiunile turcilor şi ale tătarilor. Acest fapt se păstrează puternic în memoria
       locuitorilor zonei.
Brăduţ - Satul Tălişoara - în secolul al XVI-lea domnitorul Ardealului Bethlen Gábor a adus
       meşteri italieni în ţară care s-au stabilit în zonă. De aici provine si denumirea localităţii respectiv
        satul italienilor.
Malnaş - În 1694 familia Kálnoky din Valea Crişului a construit aici o fabrică de sticlă, prima
        fabrică de acest gen din Transilvania. În această fabrică s-a confecţionat sticla colorată
        pentru ferestrele bisericii Sf. Mihail din Cluj si Biserica Neagră din Braşov. În 1860
        fabrica a fost distrusă de un incendiu şi nu s-a mai reconstruit.
Vârghiş - este remarcat pentru produsele sale de artă populară şi mai cu seamă pentru
        mobilierul decorat cu picturi şi sculpturi realizate pe plan local.
             II.2.1.5.10 Comentarii privind patrimoniul arhitectural şi cultural
Cea mai mare parte a localităţilor potenţialului GAL sunt menţionate în Registrul zecimal
Papal din 1332 – 1336.
Două localităţi (Baraolt - 1224, Aita Mare – 1211, Micloşoara - 1211) se regăsesc în
documentele secolului XIII.
O localitate (Malnaş – 1366) este menţionată în documente din secolul XIV, dar ceva mai
târziu decât perioada redactării documentului Papal.
O localitate (Bixad - 1876) a fost fondată în secolul XIX. Această localitate are o componenţă
etnică extrem de variată (maghiari, români, cehi, saşi, germani, italieni – fapt datorat
motivului întemeierii acestei localităţi. Conform documentelor, prima denumire a localităţii a
fost „Huta de Sticlă Bixad”).
Clasificarea naţională face referiri la 426 obiecte ale patrimoniului imaterial din judeţul
Covasna. Circa o treime dintre aceste obiecte provin din aria geografică a potenţialul GAL
„Alutus”.
Două localităţi Brăduţ 25 şi Baraolt şi împrejurimile 26 au pagini web. Aceste pagini precum şi
ce a muzeului Naţional Secuiesc 27 din reşedinţa de judeţ, Sfântu Gheorghe, conţin materiale
bine structurate referitoare la obiceiurile locale.
Fiind o zonă eminamente rurală, obiceiurile locului sunt în general legate de viaţa comunităţii
şi implicit de diferitele sărbători religioase.
O mică parte din aceste obiceiuri mai sunt practicate. Mai este încă în viaţă o generaţie care în
urmă cu 3-4 decenii practica o bună parte din aceste obiceiuri. Prin urmare aceste obiceiuri
încă mai pot fi recuperate în cadrul unor proiecte de dezvoltare rurală.




24
   http://www.cimec.ro/scripts/PCN/Clasate/Clasate.asp
25
   http://www.cosys.ro/bardoc/folapsz.html
26
   http://www.erdovidek.ro/
27
   http://www.sznm.ro/index_ro.php
II.2.1.6 Economia locală
În aria potenţialului GAL agricultura, zootehnia şi exploatarea lemnoasă sunt principalele
activităţi. Restul activităţilor se desfăşoară „pe lângă” preocuparea principală a
locuitorilor, preocupare care este subzistenţa.
Aita Mare
La nivel de comună există 9 unităţi comerciale care au între 1 şi 5 angajaţi fiecare, 6
magazine mixte şi alimentare, un magazin de materiale de construcţii şi un magazin de
piese auto şi agricole în Aita Mare şi 3 magazine mixte în satul Aita Medie. Din punct de
vedere al colectării laptelui, atât în Aita Mare cât şi în Aita Medie există câte o asociaţie
sau centru de colectare al acestui produs.
Arcuş
În comună funcţionează mai multe unităţi comerciale magazine mixte, baruri. Există şi
mai mulţi meşteşugari mai ales în prelucrarea lemnului (tâmplari, sculptori în lemn)
zidari, reparaţii auto.
Băţani
În comună funcţionează câte un oficiu poştal în fiecare localitate, o bancă, un atelier de
reparaţii auto, un salon de coafură-frizerie, patru centre de colectare a laptelui, patru
composesorate de pădure şi păşune, 11 magazine mixte, două restaurante, două baruri de
zi.
Bixad
În comună există o carieră cu profil de exploatare a pietrei, o fabrică de cărămidă, o
fabrică de producţie şi comercializare a hranei uscată pentru câini, unităţi de prelucrarea
lemnului, mai multe unităţi cu profil de cioplit piatră, diverşi meşteşugari cum ar fi
fierari, croitori, potcovari, cizmari şi dulgheri. De asemenea, comuna dispune de unităţi
comerciale: 9 magazine mixte, un magazin de produse industriale si 4 baruri.
Bodoc
În comună există o brutărie, o fabrică de îmbuteliat apa minerală., unităţi de transport
marfă, staţie de îmbuteliere a gazului, două cariere de nisip.
Ghidfalău
În comună există un centru de prelucrare a laptelui, în Zoltan se exploatează nisipul
aluvionar, în Angheluş şi în Ghidfalău funcţionează câte o tâmplărie. O parte a populaţiei
active lucrează în unităţile economice din municipiul Sfântu Gheorghe.
Micfalău
Pe raza localităţii funcţionează ateliere de tâmplărie, de prelucrare a pietrei. Totuşi, marea
majoritate a populaţiei se ocupă cu agricultura şi creşterea animalelor.
Valea Crişului
În ultimii ani, în locul carierei de lignit, se amenajează un lac de agrement.
Vârghiş
Localitatea a dispus odinioară de un însemnat potenţial economic datorat mineritului şi
unităţilor de îmbuteliere a apei minerale. Actualmente exploatarea minieră a devenit
nerentabilă iar apa minerală a secat, fapt care a dus la creşterea şomajului în rândurile
populaţiei. Locuitorii Vârghişului trăiesc din creşterea animalelor, din agricultură,
exploatarea şi prelucrarea lemnului, comerţ. Zona are un potenţial turistic ridicat care însă
nu este pus încă în valoare.
În aria potenţialului GAL
Majoritatea întreprinderilor sunt micro – întreprinderi. Dimensiunea întreprinderilor este
sub media naţională.
Îngrijorătoare este diminuarea continuă şi constantă a indicatorului număr de angajat pe
întreprindere, care coroborat cu scăderea continuă a numărului societăţilor active
determină scăderea continuă a populaţiei ocupate în sectorul productiv.
Deşi se raportează o creştere continuă a ratei de ocupare a populaţiei active şi scăderea
ratei de şomaj, acest fapt nu se datorează inserţiei forţei de muncă în sectorul productiv,
ci mai degrabă descreşterii numărului populaţiei active.
În zonă nu există mari investiţii nici de infrastructură nici de altă natură.
Se remarcă aportul foarte redus al turismului (sub 1% din cifra de afaceri a zonei,
jumătate din nivelul naţional), ţinând cont de potenţialul turistic ridicat al ariei acoperite
de către potenţialul GAL.
În mediul rural numărul societăţilor comerciale este extrem de mic. Circa 10% din
societăţile comerciale au profil agricol.
Majoritatea producătorilor din mediul rural sunt producători individuali, care în cel mai
bun caz au un certificat de persoană fizică autorizată sau lucrează prin asociaţie familială
şi producţia obţinută este valorificată în mod individual.
78,51% din cifra de afaceri la nivel judeţean este realizată în cele două municipii:
Sf. Gheorghe şi Tg. Secuiesc – ambele fiind destul de departe de aria potenţialului GAL.
Statutul de „zonă defavorizată” acordată oraşului Baraolt, a generat o oarecare
îmbunătăţire a situaţiei economice. Dar odată cu retragere facilităţilor acordate
producătorilor de carne (societăţi comerciale în majoritate cu capital Braşovean) se
observă o scădere bruscă a cifrei de afaceri şi a ratei profitului curent. În cazul oraşului
Baraolt trebuie să ne aşteptăm ori la scăderea continuă a productivităţii muncii şi a ratei
profitului curent, ori la stagnarea acestora pe seama descreşterii numărului de societăţi şi
a forţei de muncă ocupate.
Se poate concluziona că performanţele economice, stabilitatea şi competitivitatea
firmelor covăsnene are trenduri asemănătoare mediei naţionale, dar sub valoarea acesteia.
II.2.1.6.1 Repartizarea populaţiei active


                                              Sector
                                            industrial Sector          Sector
           Populaţia   Total        Sector     şi de     de            privind
            activă   economie       agricol artizanat comerţ          serviciile   Altele
Alutus        24,575    11,083        3,226       3,525 1,522             1,093      1,717
            100.00%    45.10%       13.13%     14.34% 6.19%              4.45%      6.99%
                      100.00%       29.11%     31.81% 13.73%             9.86%     15.49%




                  Structura populaţiei active

                   Şomeri                           Total economie
                înregistraţi şi                           45%
                neînregistraţi
                    55%
Se constată o structură defavorabilă a populaţiei active, înregistrându-se o pondere
excesivă a şomajului în rândul populaţiei active.

              Structura populaţiei ocupate/populaţie activă
                               Altele, 6.99%
                                                       Sector agricol,
                       Sector privind                     13.13%
                         serviciile,
                          4.45%

                         Sector de                    Sector
                       comerţ, 6.19%              industrial şi de
                                                     artizanat,
                                                      14.34%

Se constată o structură necompetitivă a populaţie ocupate, cu atât mai mult, cu cât în
sectorul „industrial şi de artizanat” ponderea covârşitoare o deţine sectorul industrial
necompetitiv. Aceeaşi structură se repetă, dacă calculele sunt făcute în raport cu numărul
total al persoanelor ocupate.
Structura populaţiei ocupate
                                Altele, 15.49%
                          Sector privind               Sector agricol,
                            serviciile,                   29.11%
                             9.86%

                         Sector de
                       comerţ, 13.73%                   Sector
                                                    industrial şi de
                                                       artizanat,
                                                        31.81%


Statisticile referitoare privind gradul de ocupare al forţei de muncă subestimează numărul
de persoane implicate în activităţi agricole.
Majoritatea locuitorilor lucrează pe cont propriu, în special în agricultură, unde
productivitatea şi veniturile medii continuă să rămână scăzute.
Investiţiile din mediul rural trebuie bine fundamentate datorită procesului de îmbătrânire
a populaţiei de la sate şi lipsei de atractivitate pentru acele aşezări care nu au potenţial de
dezvoltare.
II.2.1.6.2 Agricultură
Structura domeniului:
                                                                     din care:
                          Terenuri      Terenuri
                        arabile (Ha)                                         Viţă de     Viţă de
                                         arabile                 Păşuni
                         – pe zone                  Păşuni pe                 vie şi      vie şi
                                       (Ha) – pe                pe zonă
                         de relief –                 zonă de                livezi pe   livezi pe
                                        zone de                 de relief
                         montan -                    relief –                zonă de     zonă de
                                         relief -                   –
                             %                      montan -                 relief –    relief –
                                        montan                  montan
                                                     (Ha)%                  montan -     montan
                                                                 - (Ha)
                                                                             (Ha)%        - (Ha)
         Total               50.67%       22,522 47.89% 21,285          1.44%       641
   AITA MARE                 57.25%        1,413 41.00% 1,012           1.74%        43
   ARCUŞ                     55.32%          847 44.55%        682      0.13%         2
   BĂŢANI                    31.28%        2,718 68.45% 5,947           0.26%        23
   BELIN                     58.47%        1,677 40.13% 1,151           1.39%        40
   BIXAD                     45.40%          647 53.54%        763      1.05%        15
   BODOC                     56.84%        1,796 39.59% 1,251           3.58%       113
   BRĂDUŢ                    50.49%        3,275 48.45% 3,143           1.06%        69
   GHIDFALĂU                 81.26%        3,352 16.32%        673      2.42%       100
   MALNAŞ                    32.22%          435 67.70%        914      0.07%         1
   MICFALĂU                  34.41%          598 62.89% 1,093           2.70%        47
   ORAŞ BARAOLT              59.86%        3,748 38.62% 2,418           1.52%        95
   VALEA CRIŞULUI            48.23%        1,078 48.95% 1,094           2.82%        63
   VÂRGHIŞ                   44.41%          938 54.17% 1,144           1.42%        30
Obs.: Direcţia Judeţeană de Statistică Covasna nu a putu furniza date pentru coloanele din
tabelul original, care nu au fost introduse.
FONDUL FUNCIAR, DUPĂ MODUL DE FOLOSINŢĂ, LA 31 DECEMBRIE 2006
                                                       din care:                                               Vii şi      Livezi şi
                         Suprafaţa      Suprafaţa     proprietate                                            pepiniere     pepiniere
                            totală       agricolă       privată       Arabil     Păşuni       Fâneţe          viticole     pomicole
                              1             2              3            4          5            6                 7            8
                         2+9+10+11      4+5+6+7+8
    România               23,839,071    14,730,956     14,034,040   9,434,542    3,334,375     1,524,922       223,701       213,416
    7. Centru              3,409,972     1,913,240      1,804,331     770,704      643,514       476,410         8,322        14,290
    Covasna                  370,980       186,289        177,161      83,428       60,941        40,906         0             1,014
    Alutus                    91,669        54,556         43,776      22,522       21,285        10,108         0               641


                                                     din care:                                               Vii şi      Livezi şi
                        Suprafaţa    Suprafaţa      proprietate                                            pepinier      pepiniere
                          totală      agricolă        privată       Arabil      Păşuni       Fâneţe        e viticole    pomicole
                            1            2               3           4%          5%            6%             7%            8%
                        2+9+10+11    4+5+6+7+8

      România           23,839,071     14,730,956    14,034,040     64.05%       22.64%        10.35%         1.52%          1.45%
      7. Centru          3,409,972      1,913,240     1,804,331     40.28%       33.63%        24.90%         0.43%          0.75%
      Covasna              370,980        186,289       177,161     44.78%       32.71%        21.96%         0.00%          0.54%
      Alutus                91,669         54,556        43,776     41.28%       39.02%        18.53%         0.00%          1.17%
      delta
      Romania_Alutus                                                -35.55%      72.33%        79.01%      -100.00%        -18.97%
      delta
      7. Centru_Alutu
      s                                                              2.49%       16.01%       -25.59%      -100.00%         56.66%
60.00%
                              40.00%
                               20.00%
                                0.00%
                              -20.00%
                              -40.00%
                              -60.00%
                              -80.00%
                             -100.00%
                                                                      Vii şi  Livezi şi
                                        Arabil   Păşuni   Fâneţe    pepiniere pepiniere
                                                                     viticole pomicole
                România                 64.05%   22.64%   10.35%     1.52%      1.45%
                7. Centru               40.28%   33.63%   24.90%     0.43%      0.75%
                Alutus                  41.28%   39.02%   18.53%     0.00%      1.17%
                delta Romania_Alutus -35.55%     72.33%   79.01%   -100.00% -18.97%


                                                 Alutus
                                                          Livezi şi pepiniere
                   Vii şi pepiniere                           pomicole
                        viticole                                1.17%
                        0.00%


               Fâneţe
               18.53%
                                                                                 Arabil
                                                                                41.28%




                    Păşuni
                    39.02%

Se constată că după modul de folosinţă a fondului funciar domină categoriile „Păşuni” şi
„Fâneţe”.
Categoriile „Viţă de vie şi livezi” nu sunt semnificative pentru potenţialul GAL.
Prezentăm graficul ponderii pentru a ilustra şi în acest caz dezechilibrul din interiorul
teritoriului examinat.
Comparând ponderile diferitelor categorii putem examina deviaţia ponderii diferitelor
categorii din potenţialul GAL faţă de ponderea la nivel naţional.

                        60.00%
                        40.00%
                         20.00%
                          0.00%
                        -20.00%
                        -40.00%
                        -60.00%
                        -80.00%
                       -100.00%
                                                                 Vii şi  Livezi şi
                                  Arabil    Păşuni    Fâneţe   pepiniere pepiniere
                                                                viticole pomicole
           România                64.05%   22.64%    10.35%     1.52%     1.45%
           7. Centru              40.28%   33.63%    24.90%     0.43%     0.75%
           Alutus                 44.78%   32.71%    21.96%     0.00%     0.55%
           delta Romania_Alutus -30.09%    44.48%    112.17% -100.00% -62.40%


Formula de calcul a deviaţiei este:
delta România_Alutus = (%Arabil_Alutus - %Arabil_România)%Arabil_România
„Fâneţe” şi „Păşuni” au ponderi peste nivelul naţional, „Arabil” sub nivelul naţional,
„Livezi…” semnificativ sub nivelul naţional„Vii…” practic nu există.
Terenuri arabile (Ha) – pe zone de relief %



                                       VÂRGHIŞ, 4.16%    AITA MARE, 6.27%
                    VALEA CRIŞULUI, 4.79%
                                                                    ARCUŞ, 3.76%




                                                                              BĂŢANI, 12.07%
        ORAŞ BARAOLT, 16.64%




                                                                                    BELIN, 7.45%
          MICFALĂU, 2.66%

             MALNAŞ, 1.93%
                                                                                   BIXAD, 2.87%




                                                                            BODOC, 7.97%
                GHIDFALĂU, 14.88%



                                                        BRĂDUŢ, 14.54%




Patru aşezări (Oraş Baraolt, Ghidfalău, Brăduţ, Băţani) deţin peste 58% din terenurile
arabile ale potenţialului GAL..
La polul opus, Malnaş dispune de sub 2% din terenurile arabile ale potenţialului GAL.
Păşuni pe zonă de relief - montan - (Ha)%



                                   VÂRGHIŞ, 5.37% AITA MARE, 4.75%
                                                              ARCUŞ, 3.20%
               VALEA CRIŞULUI, 5.14%




     ORAŞ BARAOLT, 11.36%




                                                                             BĂŢANI, 27.94%

       MICFALĂU, 5.14%



         MALNAŞ, 4.29%


         GHIDFALĂU, 3.16%



                                                                    BELIN, 5.41%
                     BRĂDUŢ, 14.77%
                                                             BIXAD, 3.58%
                                                  BODOC, 5.88%




Trei localităţi (Băţani, Brăduţ, Oraş Baraolt) deţin 54% din păşuni.
La polul opus se află Arcuş, cu 3,20% din păşuni.
Categoriile „Viţă de vie şi livezi” nu sunt semnificative pentru potenţialul GAL.
Prezentăm graficul ponderii pentru a ilustra şi în acest caz dezechilibrul din interiorul
teritoriului examinat.
Viţă de vie şi livezi pe zonă de relief - montan - (Ha)%



                              VÂRGHIŞ, 5.37% AITA MARE, 4.75%
                                                         ARCUŞ, 3.20%
          VALEA CRIŞULUI, 5.14%




ORAŞ BARAOLT, 11.36%




                                                                         BĂŢANI, 27.94%

 MICFALĂU, 5.14%



    MALNAŞ, 4.29%


   GHIDFALĂU, 3.16%



                                                                BELIN, 5.41%
                BRĂDUŢ, 14.77%                          BIXAD, 3.58%
                                             BODOC, 5.88%
SUPRAFAŢA CULTIVATĂ, CU PRINCIPALELE CULTURI, ÎN ANUL 2006, hectare

                                                     Alutus

                           Furaje verzi din
                            teren arabil,
                              22.02%
           Pepeni verzi şi
           galbeni, 0.00%

            Legume, 2.28%
        Plante textile,                                                         Cereale pentru
           0.00%                                                                boabe, 47.75%
         Plante uleioase,
              0.09%

     Tutun, 0.00%

            Rădăcinoase
           furajere, 1.11%
                                       Cartofi - total,            Leguminoase
                                         24.22%                    pentru boabe,
            Sfeclă de zahăr,
                                                                      0.19%
                 3.32%
Se constată că pondere semnificativă au următoarele culturi: „Cereale pentru boabe”,
„Cartofi” şi „Furaje verzi din teren arabil”.
Examinăm deci componenţa principalelor culturi.
Cereale pentru boabe

                                       Cereale pentru boabe


                            Porumb boabe,
                               15.23%




                     Ovăz, 4.69%


                                                                      Grâu, 47.99%




                    Orz şi orzoaică,
                        30.13%


                                                   Secară, 1.17%

Se constată că „Grâul” şi „Orzul şi orzoaica” au ponderea cea mai mare.
Furaje verzi din teren arabil

                          Furaje verzi din teren arabil

                                                      Furaje verzi
                                                    anuale, 14.82%




                       Furaje perene,
                          85.18%
PRODUCŢIA MEDIE LA HECTAR, LA PRINCIPALELE CULTURI, ÎN ANUL 2006,
kg/ha
Examinăm producţia media la hectar la culturile cu cea mai mare pondere.
                             Grâu              Orz şi orzoaică         Porumb boabe
                               din care:               din care:             din care:
                              proprietate             proprietate           proprietate
                               majoritar               majoritar             majoritar
                      Total     privată      Total      privată      Total    privată
    România            2,746        2,738     2,331         2,331     3,565       3,567
    7. Centru          2,534        2,531     2,264         2,263     3,573       3,574
    Alutus               801          802       634           634     1,007       1,007
    Alutus/România   29.17%       29.30%    27.21%        27.18%    28.26%      28.24%


                                    Cartofi - total       Cartofi de toamnă
                                           din care:                din care:
                                         proprietate               proprietate
                                           majoritar                majoritar
                                 Total       privată      Total      privată
               România           14,191         14,197    14,361        14,360
               7. Centru         14,851         14,825    14,874        14,847
               Alutus             3,721          3,714     3,728         3,721
               Alutus/România   26.22%         26.16%    25.96%        25.91%


                                 Furaje verzi anuale        Furaje perene
                                           din care:               din care:
                                          proprietate             proprietate
                                           majoritar               majoritar
                                 Total      privată       Total     privată
               România           13,023        13,042     17,224       17,519
               7. Centru         14,171        14,213     17,507       17,581
               Alutus             3,237         3,344      3,352        3,428
               Alutus/România   24.85%        25.64%     19.46%       19.57%
Se constată, că în general media pe ha nu depăşeşte 25% din media naţională.
PRODUCŢIA MEDIE LA HECTAR Alutus/Naţional
                     29.17%     28.26%   27.21%    26.22%    25.96% 25.64%      25.64%
          30.00%
          29.00%
          28.00%
          27.00%
          26.00%
          25.00%
          24.00%
          23.00%
                      Grâu     Porumb Orz şi Cartofi -       Cartofi   Furaje   Furaje
                                boabe orzoaică total           de       verzi   perene
                                                            toamnă     anuale



                  SUPRAFAŢA CULTIVATĂ, CU PRINCIPALELE
                            CULTURI - hectare
                    4,851      4,851     4,790     4,589
          5,000
          4,000
                                                            2,881
          3,000
                                                                       1,456
          2,000
          1,000
                                                                                 20
              0
                   Cartofi -   Furaje Cartofi de   Grâu      Orz şi Porumb      Furaje
                    total      perene toamnă                orzoaică boabe       verzi
                                                                                anuale


Se constată aproape o proporţie inversă între nivelul producţiei la hectar şi mărimea
suprafeţelor cultivate. Astfel productivitatea la cartofi şi furaje, în raport cu media
naţională, ocupă ultimele locuri, pe când după suprafaţa cultivată se află pe primele
locuri.
Cea mai ridicată productivitate, aproape 30% din nivelul mediu naţional, se înregistrează
la grâu, orz, porumb, care sunt cultivate pe cele mai mici suprafeţe.
Suprafeţele mari alocate cartofilor şi furajelor se datorează în mare măsură rigidităţii cu
care locuitorii zonei perseverează în „respectarea” tradiţiilor şi nu reuşesc să dea un
răspuns provocărilor de piaţă şi de competitivitate.


Comentarii privind economia locală
În judeţ sunt înregistrate în total 991 exploataţii agricole din care:
Exploataţii comerciale 281 – 28%
Exploataţii familiale 710 – 72%
CÂŞTIGUL SALARIAL NET LUNAR ÎN ANUL 2006
                Total Bărbaţi Femei
 România         866      922   803
 7. Centru       777      832   719
 Alutus          656      630   684
 Alutus/România 76%      68%   85%
Se constată un nivel scăzut de trai al populaţiei şi lipsa de surse de venituri alternative.
Diversificarea activităţilor din zona rurală rămâne o problemă care trebuie rezolvată.
ŞOMERII ÎNREGISTRAŢI ŞI RATA ŞOMAJULUI, LA 31 DECEMBRIE 2006

                                   Numărul şomerilor             Şomeri              Rata
                                      înregistraţi            neindemnizaţi        şomajului
România                                         460,495              293,662             5.2%
                         Femei                  191,449              116,401            4.6%
7. Centru                                        66,988               39,969            6.1%
                         Femei                   28,663               15,831             5.6%
Alutus                                             6,561                4,453            7.1%
                         Femei                     2,661                1,715            6.0%

deviaţie Alutus_România                                                                 36.54%
deviaţie Femei Alutus_România                                                           30.43%
Se constată că nivelul de şomaj este cu mult peste media naţională.
              II.2.1.6.3 Comentarii privind economia locală
Principalele activităţi depind de resursele naturale locale disponibile, de relieful şi de
tradiţiile zonei.
Agricultura rămâne o ramură în limitele tradiţionalului.
Terenurile practic se împart în mod egal între arabil şi păşuni, restul fiind nesemnificativ.
Se constată fragmentarea excesivă a terenurilor şi structura proprietăţii din acest sector,
precum şi nivelul tehnologic relativ redus. Pondere importantă au fermele de semi-
subzistenţă activităţi agricole de cultivare a plantelor şi de creştere a animalelor, bazate
pe tradiţii specifice satului din România.
Aceste ferme se caracterizează printr-o structură de producţie foarte diversificată,
determinată de necesităţile gospodăriei, precum şi printr-o dotare tehnică redusă şi
necorespunzătoare, ceea ce împiedică creşterea productivităţii şi obţinerea unui surplus
de produse destinate vânzării
Structura, nefavorabilă în principal exploataţiilor agricole de semi-subzistenţă, precum şi
cooperarea insuficientă a producătorilor agricoli, a determinat o slabă dezvoltare a
sectorului, înregistrând o producţie medie pe ha cu mult sub nivelul naţional.
95.00% din terenurile agricole sunt gospodării mici particulare, sub 2 ha, media judeţeană
fiind de media fiind de 2.43 ha. Proprietarii acestora lucrează cu tehnologie depăşită, cu
logistică nesatisfăcătoare şi pricepere limitată, marcată de un tradiţionalism ce refuză
orice inovaţie. În anul 2005 procentul agriculturii raportat la cifra de afaceri a judeţului a
fost de 2%.
Se constată că pondere semnificativă au următoarele culturi: „Cereale pentru boabe” –
47.75%, „Cartofi” – 24.22% şi „Furaje verzi din teren arabil” – 22.02%.
Se constată aproape o proporţie inversă între nivelul producţiei la hectar şi mărimea
suprafeţelor cultivate.
În 2008 din zonă a fost înregistrat un singur producător ecologic. Procesatori ecologici nu
au fost înregistraţi din zonă.
Economia rurală este slab diversificată şi încă dependentă de activităţile agricole, ceea ce
are drept consecinţă venituri reduse pentru întreprinzătorii din mediul rural.
Date statistice comparative, referitoare la VAB, pentru economia rurală, nu sunt
disponibile.
La aceasta s-au adăugat reticenţa şi interesul scăzut al producătorilor agricoli faţă de
formele asociative, datorită:
• nivelului de conştientizare: lipsa de informaţii şi experienţă în astfel de activităţi,
conştientizarea redusă a fermierilor în ceea ce priveşte avantajele rezultate dintr-o acţiune
comună;
• aspectelor economice şi legislative: insuficienţa surselor de finanţare pentru începerea
unei activităţi economice, lipsa de interes a unităţilor de prelucrare a produselor primare
din agricultură şi sectorul forestier pentru a încheia contracte comerciale, modificarea
continuă a legislaţiei în domeniu;
• aspectelor privind pregătirea, consilierea şi consultanţa: gradul diferit de pregătire al
persoanelor implicate în formele asociative, precum şi înţelegerea diferită a scopurilor şi
principiilor de funcţionare ale acestora, insuficienţa serviciilor de consiliere şi consultanţă
şi concentrarea acestora pe aspectul cantitativ şi nu pe cel calitativ şi economic.
Agricultura, industria alimentară şi silvicultura sunt de o importanţă primordială pentru
economia rurală a zonei, prezenţa activităţilor nonagricole, legate de sectorul primar, mai
ales exploatarea resurselor naturale şi procesarea, fiind nesemnificative în termeni
economici activităţile non-agricole sunt derulate cu precădere de către micro-întreprinderi
şi întreprinderi mici şi mijlocii (IMM-uri).
II.2.1.6.4 Industrie – IMM – Micro-întreprinderi


                                   Micro-
                                întreprinderi Întreprinderi Întreprinderi   Întreprinderi
                    Total          cu 1-10     cu 10 - 50    cu 50 - 250    cu peste 250
                întreprinderi     salariaţi     salariaţi     salariaţi       salariaţi
                     19             18              1
AITA MARE
                   3.04%          94.74%         5.26%
                     35             32              2             1
ARCUŞ
                   5.59%          91.43%         5.71%         2.86%
                     53             51              1             1
BĂŢANI
                   8.47%          96.23%         1.89%         1.89%
                     17             16              1
BELIN
                   2.72%          94.12%         5.88%
                     25             21             4
BIXAD
                   3.99%          84.00%        16.00%
                     37             29             7              1
BODOC
                   5.91%          78.38%        18.92%         2.70%
                     58             49             7              2
BRĂDUŢ
                   9.27%          84.48%        12.07%         3.45%
                     44             38             6
GHIDFALĂU
                   7.03%          86.36%        13.64%
                     18             17              1
MALNAŞ
                   2.88%          94.44%         5.56%
                     24             24
MICFALĂU
                   3.83%         100.00%
ORAŞ                233             207            20             6
BARAOLT           37.22%          88.84%         8.58%         2.58%
VALEA                41             35             6
CRIŞULUI           6.55%          85.37%        14.63%
                     22             17             4              1
VÂRGHIŞ
                   3.51%          77.27%        18.18%         4.55%
   Total           626              554            60            12
                 100.00%          88.50%         9.58%         1.92%
Cele mai multe, respectiv cele mai puţine întreprinderi sunt înregistrate în comunele:
                                       Micro-
                                                  Întreprinderi         Întreprinderi cu
                          Total     întreprinderi
                                                   cu 10 - 50               50 - 250
                      întreprinderi    cu 1-10
                                                    salariaţi               salariaţi
                                      salariaţi


       max            BRĂDUŢ           BĂŢANI         BODOC             BRĂDUŢ




       min            BELIN            BELIN          MICFALĂU AITA MARE


Obs. În acest tabel nu s-a luat în considerare Oraşul Baraolt.

                                             Structura IMM

                             Întreprinderi           Întreprinderi
                              cu 10 - 50             cu 50 - 250
                               salariaţi,              salariaţi,
                                9.58%                   1.92%

                                                            Micro-
                                                        întreprinderi
                                                           cu 1-10
                                                          salariaţi,
                                                           88.50%

Această distribuţie este valabilă, cu devieri nesemnificative, pentru toate localităţile din
teritoriul potenţialului GAL.
Distributia IMM pe localitati
                                  AITA MARE,
                VÂRGHIŞ, 3.51%
                                     3.04%
         VALEA
     CRIŞULUI, 6.55%                 ARCUŞ, 5.59%
                                             BĂŢANI, 8.47%
                                         BELIN, 2.72%
                                             BIXAD, 3.99%
ORAŞ BARAOLT,                                BODOC, 5.91%
   37.22%
                                        BRĂDUŢ, 9.27%

                                     GHIDFALĂU,
                                       7.03%
      MICFALĂU,
        3.83%        MALNAŞ, 2.88%
Populatie% - IMM%

         40.00%

         35.00%

         30.00%

         25.00%

         20.00%

         15.00%

         10.00%

          5.00%

          0.00%
                                                                                                                         ORAŞ      VALEA
                      AITA M ARE   ARCUŞ   BĂŢANI   BELIN   BIXAD   BODOC    BRĂDUŢ   GHIDFALĂU   M ALNAŞ   M ICFALĂU                        VÂRGHIŞ
                                                                                                                        BARAOLT   CRIŞULUI

          populatie      5.27%     2.61%   13.36%   7.88%   3.65%    7.50%   16.40%     7.99%      2.56%      3.76%      21.07%    4.13%      3.82%
          imm           3.04%      5.59%   8.47%    2.72%   3.99%    5.91%    9.27%     7.03%      2.88%      3.83%      37.22%    6.55%      3.51%


                                                                         populatie    imm

Coeficientul de corelare între numărul locuitorilor unei localităţi şi numărul IMM din aceeaşi localitate este de 0.8. Practic există o
corelare directă între cele două şiruri de valori. Prin urmare se poate afirma că intenţia de a demara sau avea o mică afacere este
distribuită uniform pe teritoriul potenţialului GAL.
BELIN
                                                                                                             BIXAD
                                                                                                                                      ARCUŞ
                                                                                                                             BĂŢANI



                                                                                                     BODOC



                                                                       MALNAŞ
                                                                                            BRĂDUŢ




                  VÂRGHIŞ

          566
          Total
                                                            MICFALĂU
                                                                                                                                              AITA MARE




100.00%
                                                                                GHIDFALĂU



                                             ORAŞ BARAOLT
                            VALEA CRIŞULUI



          4
                                              1
                                                                                            1


                                                                       1
                                                                                                     1
                                                                                                                                                          Industrie extractivă




0.71%
                  5
                                                            4
                                                                       5



                             9
                                                                                                     7
                                                                                                             6
                                                                                                                     1
                                                                                                                                      6
                                                                                                                                              7




                                              45
                                                                                12
                                                                                            12
                                                                                                                             14




          133
                                                                                                                                                          Industrie prelucrătoare




23.50%
          2
                                                                                                             2
                                                                                                                                                          Energie electrică şi termică; gaze şi apă




0.35%
                                                                                            3
                                                                                                             3




                  3
                                                            3
                                                                       3
                                                                                4
                                                                                                                             3




                             7
                                                                                                     6
                                                                                                                     1
                                                                                                                                      3
                                                                                                                                              1




          68
                                              28
                                                                                                                                                          Construcţii




12.01%
                                                                                                                                                          Comerţ cu ridicata şi cu amânuntul, repararea şi întreţinerea




                  8
                                                                       3
                                                                                                                     4
                                                                                                                                              5




                                              75
                                                            13
                                                                                14
                                                                                            17
                                                                                                             10
                                                                                                                             19




                             13
                                                                                                     11
                                                                                                                                      14




          206
                                                                                                                                                          autovehiculelor şi motocicletelor şi a bunurilor personale casnice




36.40%
                  1
                                                                                                                     3




                                                            1
                                                                                1
                                                                                            5
                                                                                                                             6
                                                                                                                                              1




                             5
                                                                                                     4
                                                                                                                                      3




                                              19




          49
                                                                                                                                                          Hoteluri şi restaurante




8.66%
                                                                                                             1




                  1
                                                                                                                             2
                                                                                                                                              2




                                                            1
                                                                       4
                                                                                4
                                                                                            7
                                                                                                     6
                                                                                                                                      4




                                              22




          54
                                                                                                                                                          Transport, depozitare şi comunicaţii




9.54%
                                                                                                                                                          Tranzacţii imobiliare, închirieri şi activităţi de servicii prestate în




                  2
                                                                                                                             1




                             1
                                              4




          8
                                                                                                                                                          principal întreprinderilor




1.41%
                                                                       2
                                                            1
                                                                                5
                                                                                            3
                                                                                                                     1
                                                                                                                             5
                                                                                                                                      1




                             1
                                                                                                     1




                                              22




          42
                                                                                                                                                          Alte activităţi de servicii colective, sociale şi personale




7.42%
Distributia IMM pe ramuri

                                    Alte activităţi de servicii
                                      colective, sociale şi
                                          personale,
          Tranzacţii imobiliare,
                                             7.42%
         închirieri şi activităţi de
       servicii prestate în principal
              întreprinderilor,                            Industrie extractivă,
                 1.41%                                            0.71%

                                                                                   Industrie prelucrătoare,
            Transport, depozitare şi
                 comunicaţii,                                                             23.50%
                     9.54%


                                                                                             Energie electrică şi
        Hoteluri şi restaurante,
                                                                                            termică; gaze şi apă,
                8.66%
                                                                                                   0.35%


                                                                                           Construcţii,   12.01%




                          Comerţ cu ridicata şi cu
                          amânuntul, reparaea şi
                        întreţinerea autovehiculelor
                            şi motocicletelor şi a
                             bunurilor personale
                                  casnice,
                                   36.40%
Ponderea cea mai mare, ca număr, o reprezintă „Comerţul cu ridicata …”, „Industria
prelucrătoare”, „Construcţii”, „Transport …” şi doar pe locul cinci „Hoteluri şi
restaurante”.
2006 cifra de afaceri

                                                Industrie extractivă,
                                                      1.18%
            Alte activităţi de servicii
              colective, sociale şi
              personale, 20.44%
                                                                Industrie prelucrătoare,
      Tranzacţii imobiliare,
     închirieri şi activităţi de
                                                                         21.70%
       servicii prestate în
                                                                   Energie electrică şi
    principal întreprinderilor,
                                                                  termică; gaze şi apă,
             0.11%                                                        0.64%
            Transport, depozitare şi
              comunicaţii, 9.19%                                         Construcţii, 13.94%

               Hoteluri şi restaurante,
                        9.62%               Comerţ cu ridicata şi cu
                                             amânuntul, reparaea şi
                                          întreţinerea autovehiculelor
                                              şi motocicletelor şi a
                                               bunurilor personale
                                              casnice, 23.17%

Ponderea cea mai mare, la cifra de afaceri, o reprezintă „Comerţul cu ridicata …”,
„Industria prelucrătoare”, „Alte activităţi de servicii …”, „Construcţii”, şi doar pe locul
cinci „Hoteluri şi restaurante”.
Comparând ponderea numerică şi cea a cifrelor de afaceri, se observă că ponderea cifrelor de afaceri este mai echilibrată.

 40.00%
                                                               36.40%                                                                             Dacă numeric comerţul reprezintă
                                                                                                                                                  36%, la cifra de afaceri reprezintă
 35.00%                                                                                                                                           doar 23%. Vorbim de mici
                                                                                                                                                  comercianţi, comerţ cu
 30.00%
                                                                                                                                                  amănuntul.
                          23.50%
 25.00%             21.70%                                                                                                                        Domeniul „Alte servicii …” cu o
                                                      23.17%
                                                                                                                                                  pondere numerică de 7% aduce
  20.00%                                                                                                                                          20% în cifra de afaceri. Se vede
                                                                                                           20.44%                                 clar rentabilitatea acestui
  15.00%                                  13.94% 12.01%                                                                                           domeniu.
                                                                               8.66%
                                                                                               9.54%
  10.00%
                 0.71%                                                 9.62%
            1.18%                                                                   9.19%                                   7.42%
   5.00%                               0.35%
                                   0.64%                                                         0.11%
   0.00%                                                                                                  1.41%

            Industrie
                       Industrie                                                                                                 Unitati
           extractivă              Energie
                      prelucrăto              Construcţii
                                 electrică şi             Comerţ cu                                                            Cifra de afaceri
                          are                                         Hoteluri şi
                                  termică;                ridicata şi             Transport,
                                                                      restaurant               Tranzacţii
                                   gaze şi                     cu                 depozitare                    Alte
                                                                          e                    imobiliare,
                                     apă                  amânuntul,                  şi                    activităţi de
                                                                                              închirieri şi
                                                           reparaea               comunicaţii                 servicii
                                                                                              activităţi de
                                                               şi                                            colective,
                                                                                                 servicii
                                                         întreţinerea                                        sociale şi
                                                                                              prestate în
                                                          autovehicu                                        personale
                                                                                                principal
                                                            lelor şi
                                                                                              întreprinde
                                                         motociclete
                                                                                                   rilor
                                                            lor şi a
                                                           bunurilor
                                                          personale
Reprezentarea analitică, pe ramuri de activitate.


                                         Industrie prelucrătoare

    140.00%

    120.00%

    100.00%

     80.00%

     60.00%

     40.00%

     20.00%

      0.00%
                 Unitati locale active                  Personal          Cifra de afaceri
        2004          100.00%                           100.00%              100.00%
        2005           99.63%                           92.10%                9.89%
        2006           97.88%                           87.32%                10.27%

                                                 2004     2005     2006




                                          Industrie extractivă

    140.00%

    120.00%

    100.00%

     80.00%

     60.00%

     40.00%

     20.00%

      0.00%
                 Unitati locale active                  Personal          Cifra de afaceri
        2004           100.00%                          100.00%              100.00%
        2005           120.00%                          23.00%                6.23%
        2006           130.00%                          46.14%                5.67%

                                                 2004     2005     2006
Energie electrică şi termică; gaze şi apă

140.00%

120.00%

100.00%

80.00%

60.00%

40.00%

20.00%

 0.00%
          Unitati locale active            Personal            Cifra de afaceri
   2004        100.00%                     100.00%                100.00%
   2005         66.67%                     72.71%                  10.34%
   2006         40.00%                     67.96%                  8.17%

                                    2004     2005     2006




                                  Construcţii

140.00%

120.00%

100.00%

80.00%

60.00%

40.00%

20.00%

 0.00%
          Unitati locale active            Personal            Cifra de afaceri
   2004        100.00%                     100.00%                100.00%
   2005        112.50%                     102.00%                 9.85%
   2006        128.63%                     118.53%                 14.31%

                                    2004     2005     2006
Comerţ cu ridicata şi cu amânuntul, reparaea şi întreţinerea
          autovehiculelor şi motocicletelor şi a bunurilor personale casnice

140.00%
120.00%
100.00%
80.00%

60.00%
40.00%
20.00%
 0.00%
              Unitati locale active               Personal             Cifra de afaceri
   2004            100.00%                           100.00%              100.00%
   2005            102.22%                           106.25%               11.56%
   2006            105.64%                           121.62%               13.45%

                                              2004     2005     2006




                                      Hoteluri şi restaurante

140.00%

120.00%

100.00%

80.00%

60.00%

40.00%

20.00%

 0.00%
              Unitati locale active                  Personal          Cifra de afaceri
   2004            100.00%                           100.00%              100.00%
   2005            102.40%                           104.52%              12.50%
   2006            115.38%                           103.52%              16.36%

                                              2004     2005     2006
Transport, depozitare şi comunicaţii

140.00%

120.00%

100.00%

80.00%

60.00%

40.00%

20.00%

 0.00%
              Unitati locale active             Personal              Cifra de afaceri
   2004            100.00%                      100.00%                  100.00%
   2005            114.58%                      93.72%                    10.14%
   2006            127.08%                      99.19%                    12.00%

                                         2004     2005     2006




          Tranzacţii imobiliare, închirieri şi activităţi de servicii prestate în
                               principal întreprinderilor

140.00%
120.00%

100.00%
80.00%

60.00%
40.00%

20.00%
 0.00%
              Unitati locale active             Personal              Cifra de afaceri
   2004            100.00%                      100.00%                  100.00%
   2005            107.69%                      102.91%                   11.90%
   2006            117.80%                      115.18%                   15.43%

                                         2004     2005     2006
Alte activităţi de servicii colective, sociale şi personale

   140.00%

   120.00%

   100.00%

    80.00%

    60.00%

    40.00%

    20.00%

     0.00%
               Unitati locale active           Personal             Cifra de afaceri
       2004         100.00%                    100.00%                 100.00%
       2005         104.17%                    112.98%                  11.48%
       2006         115.28%                    97.54%                   7.38%

                                        2004     2005     2006

Domeniile acoperite de sectorul IMM din aria GAL:
                                   IMM Domenii de
                                       intervenţie
                              agro-zoo
                              comerţ
                              prelucrare lemn
                              prestări
                              producţie alimente
                              sănătate
                              servicii
                              silvicultura
                              transport
                              turism rural
Domenii de activitate acoperite de către IMM fondatoare a GAL:
 IMM
    Domeniu de
    intervenţie     Domeniu de activitate
 agro-zoo
                    creşterea animalelor
                    creşterea bovinelor de lapte
                    societate agricola
 comerţ
                    comerţ cu amănuntul in magazine nespecializate, cu vânzare
                    predominanta de produse nealimentare
                    comerţ cu ridicata a produselor chimice
 prelucrare lemn    tăierea si rindeluirea lemnului
 prestări
                    construcţii de clădiri şi lucrări de geniu
                    Întreţinerea si repararea autovehiculelor
 producţie
 alimente
                    Panificaţie
                    Producţia de băuturi răcoritoare nealcoolice; producţia de ape
                    minerale si alte ape îmbuteliate
 sănătate           sănătate
 servicii
                    Activităţi de studiere a pieţei şi de sondaj
                    alte activităţi de servicii prestate in principal întreprinderilor
                    Restaurante si alte activităţi de servicii de alimentaţie
 silvicultura       Silvicultura si exploatare forestiera
 transport          transporturi rutiere de mărfuri
 turism rural
                    Alte activităţi de cazare
                    Alte mijloace de cazare
Lista IMM fondatoare a GAL:
IMM
agro-zoo
 creşterea animalelor
   Micfalău SIRUTA: 64513                                     sc KICSI-FERMA-PROD srl

 creşterea bovinelor de lapte
   Ghidfalău SIRUTA: 64354                                    sc MILK PROD srl

 societate agricola
                                                              SOCIETATEA AGRICOLA SILV-
   Baraolt SIRUTA: 63456                                      ALIM

comerţ
 comerţ cu amănuntul in magazine nespecializate, cu vânzare predominanta de produse
 nealimentare
   Sfântu Gheorghe SIRUTA: 63401                              sc IMMER srl

 comerţ cu ridicata al produselor chimice
   Ghidfalău SIRUTA: 64354                                    sc AGRO DEPO srl

prelucrare lemn
 Tăierea şi rindeluirea lemnului                              sc KINCSES & MÜLLER srl
   Bixad SIRUTA: 64522
Prestări
 construcţii de clădiri şi lucrări de geniu
   Sfântu Gheorghe SIRUTA: 63401                              sc VERZOCON srl

 Întreţinerea si repararea autovehiculelor
                                                              sc Producţie Prestări şi Comerţ
   Arcuş SIRUTA: 64924                                        VANESSA srl

producţie alimente
 Panificaţie
                                                              sc CUPTORUL DE AUR –
   Bodoc SIRUTA: 63900                                        ARANYKEMENCE srl

 Producţia de băuturi răcoritoare nealcoolice; producţia de
 ape minerale şi alte ape îmbuteliate
   Bodoc SIRUTA: 63900                                        sc FAVORIT sa

sănătate
                                                              Cabinet Medical Medicina de
   Căpeni SIRUTA: 63483                                       Familie - Agoston Stefan
IMM
Servicii
 Activităţi de studiere a pieţei si de sondaj
   Baraolt SIRUTA: 63456                                              sc SERVICII EX LIBRIS srl

 alte activităţi de servicii prestate în principal întreprinderilor
   Fotoş SIRUTA: 64372                                                sc INCZENTER srl

 Restaurante si alte activităţi de servicii de alimentaţie
   Belin SIRUTA: 63875                                                sc VIKA IMPEX srl

silvicultura
 Silvicultura si exploatare forestiera
   Baraolt SIRUTA: 63456                                              sc EX-FOR srl

transport
 transporturi rutiere de mărfuri
   Angheluş SIRUTA: 64363                                             sc TWIN IMPEX srl
                                                                      sc PRODUCŢIE şi COMERCIALĂ
   Bodoc SIRUTA: 63900                                                TRIO IMPEX srl

   Micfalău SIRUTA: 64513                                             sc ARPI-TRANS srl

turism rural
 Alte activităţi de cazare
   Filia SIRUTA: 64078                                                sc EUROPAN srl

 Alte mijloace de cazare
   Aita Medie SIRUTA: 63795                                           sc DISCOVER srl
Fluctuaţii în 2006
faţă de 2004                        min                                 MAX
                                 Energie electrică şi
unităţi               -60.00%                             30.00% Industrie extractivă
                                 termică; gaze şi apă
                                                                 Comerţ cu ridicata şi cu
                                                                 amânuntul, repararea şi
                                                                 întreţinerea
personal              -53.86% Industrie extractivă        21.62% autovehiculelor şi
                                                                 motocicletelor şi a
                                                                 bunurilor personale
                                                                 casnice
cifra de afaceri      -94.33% Industrie extractivă       -83.64% Hoteluri şi restaurante

Se constată că numărul unităţilor a scăzut cel mai drastic în domeniul „Energie electrică
şi termică; gaze şi apă” pe când reducerile de personal şi scăderea cifrei de afaceri cel mai
semnificativ s-au manifestat în „Industria extractivă”. În schimb cel mai mult a crescut
numărul unităţilor din „Industria extractivă”, a crescut numărul angajaţilor din domeniul
„Comerţ cu ridicata …” şi cel mai puţin a scăzut cifra de afaceri în domeniul „Hoteluri
…”.
Scăderea drastică a numărului de unităţi din domeniul „Energie electrică şi termică; gaze
şi apă” se explică prin restructurările masive operate de companiile multinaţionale.
Scăderea drastică a cifrei de afaceri şi a numărului persoanelor angajate în domeniul
„Industrie extractivă” se datorează restructurărilor dictate de piaţă. Pe de altă parte,
creşterea numărului de unităţi din acelaşi domeniu „Industrie extractivă” poate să denote
o lipsă a abilităţilor de reorientare, o inerţie ce poate deveni un factor important în
creşterea decalajului faţă de media naţională în general.
Cifra de afaceri a unităţilor locale active din industrie, construcţii, comerţ şi alte servicii, pe
                               activităţi ale economiei naţionale, miliarde lei preturi curente raportate la anul 2004
                                                      Energie                                                                           Alte activităţi de
                                                                                                            Transport,
                                                                                                                                       servicii colective,
                                                                                               Hoteluri şi depozitare şi
                                                      electrică                  Comerţ
                        Industrie                                Construcţii                                                                sociale şi
                                      Industrie      şi termică;               cu ridicata
                       extractivă                                                             restaurante comunicaţii                       personale
                                    prelucrătoare   gaze şi apă            şi cu amânuntul,
            100.00%                                                           reparaea şi                            Tranzacţii imobiliare,
                                                                              întreţinerea                         închirieri şi activităţi de
             90.00%                                                       autovehiculelor şi                           servicii prestate
                                                                          motocicletelor şi a                             în principal
             80.00%                                                      bunurilor personale                            întreprinderilor
                                                                                casnice
             70.00%

             60.00%

             50.00%

             40.00%



                                                                            14.31%




                                                                                         13.45%




                                                                                                       16.36%




                                                                                                                                    15.43%
             30.00%




                                                                                                                     12.00%



                                                                                                                                   11.90%
                                                                                      11.56%




                                                                                                                                                    11.48%
                                         10.27%



                                                         10.34%




                                                                                                     2.50%




                                                                                                                    10.14%
                                         9.89%




                                                                       9.85%
                                                        8.17%




             20.00%




                                                                                                                                                  7.38%
                           6.23%
                           5.67%




             10.00%

               0.00%

                                                                               2004   2005        2006


Cea mai spectaculoasă cădere s-a înregistrat la cifrele de afaceri. Aceste căderi au ceai mai puternică influenţă negativă asupra stării
socio-economice a zonei.
II.2.1.6.5 Comentarii privind industria locală
Prelucrare lemnului, şi a pietrei brute sunt singurele activităţi prezente în zonă.
Nu există servicii pentru agricultură, depozite.
Nu există reţele de desfacere a produselor agro-alimentare şi nici lanţuri de procesare.
Pe zonă, raportat la 2004, numărul unităţilor a crescut cu 8%, numărul persoanelor
angajate a scăzut cu 4%, cifra de afaceri a scăzut cu 88%.
Se constată că numărul unităţilor a scăzut cel mai drastic în domeniul „Energie electrică
şi termică; gaze şi apă” pe când reducerile de personal şi scăderea cifrei de afaceri cel mai
semnificativ s-au manifestat în „Industria extractivă”. În schimb cel mai mult a crescut
numărul unităţilor din „Industria extractivă”, a crescut numărul angajaţilor din domeniul
„Comerţ cu ridicata …” şi cel mai puţin a scăzut cifra de afaceri în domeniul „Hoteluri
…”.
Prin urmare este de înţeles faptul că legăturile industriei locale cu celelalte domenii
economice ale zonei sau cu zone externe sunt sporadice, ocazionale, fără a exercita o
influenţă continuă asupra vieţii locuitorilor din arealul potenţialului GAL.
II.2.1.6.6 Comerţ şi sector de servicii
                     Tipuri de comerţ                                           % din
                                                                 Număr       numărul total
                       Comerţ cu ridicata şi cu amânuntul,
                     repararea şi întreţinerea autovehiculelor
      1                                                            206          100.00%
                         şi motocicletelor şi a bunurilor
                                personale casnice
     Total                                                                      100.00%



                                                                           % din numărul
     Întreprinderi din sectorul terţiar (servicii)               Număr         total
              1                    Industrie prelucrătoare        133
             Total                                                             100.00%
             II.2.1.6.7 Comentarii privind comerţul şi serviciile
Comerţul are o pondere semnificativ mai mică în realizarea cifrei de afaceri judeţene
decât la nivel naţional. Acest fapt se datorează, pe de o parte puterii de cumpărare destul
de reduse a pieţei covăsnene, pe de altă parte numărului insuficient de societăţi
comerciale cu profil de comerţ cu ridicata (depozite en-gros, centre comerciale etc.), ceea
ce facilitează şi exportul de capital covăsnean prin aprovizionarea în marile centre
comerciale din Braşov. 28
Comerţul şi serviciile sunt punctuale, fără a fi integrate în reţele, clustere sau bresle. De
fapt sunt mici afaceri, cu număr foarte redus de angajaţi care contribuie sau în cazuri mai
bune asigură o şansă de subzistenţă unor familii.
Prin urmare este de înţeles faptul că legăturile cu celelalte domenii economice ale zonei
sau cu zone externe sunt sporadice, ocazionale, fără a exercita o influenţă continuă asupra
vieţii locuitorilor din arealul potenţialului GAL.
Fără a avea o influenţă semnificativă asupra unor segmente ale comunităţilor locale, acest
domeniu asigură cca. 59% din locurile de muncă înregistrate ale potenţialul GAL.




28
 PLAN DE DEZVOLTARE A JUDEŢULUI COVASNA PE TERMEN MEDIU (2006 – 2013),
AGENDA 21 LOCALĂ A JUDEŢULUI COVASNA, pag. 103
II.2.1.6.8 Comentarii privind economia locală




Aria este caracterizată prin existenţa unui număr redus de micro-întreprinderi şi întreprinderi mici, cu număr restrâns de angajaţi.
II.2.1.7 Servicii şi infrastructuri medico-sociale
Reţeaua sanitară 29




                                                                                                                   întreţinute de fundaţii-
                                                 Cab. Med. de Familie




                                                                                                                                                         Lab. Tehnica Dentara
                                                                        Cab. Med. Specialist


                                                                                               Cab. Stomatologie




                                                                                                                                                                                Spital orăşenesc
                                                                                                                       Cabi. nonprofit

                                                                                                                       culte religioase

                                                                                                                                              Farmacie
                                       SIRUTA
AITA MARE
  Aita Mare                        63786          1
ARCUŞ
  Arcuş                            64924                                                                                                      1
BĂŢANI
  Băţanii Mari                     63811          2                                             1                                             1
BELIN
  Belin                            63875          1
BIXAD
  Bixad                            64522          1                                                                                           1
BODOC
  Bodoc                            63900          1
BRĂDUŢ
  Brăduţ                           64050          3
GHIDFALĂU
  Ghidfalău                        64354          1
MALNAŞ
  Malnaş                           64531          1
MICFALĂU
  Micfalău                         64513          1                                             1                                             1
ORAŞ BARAOLT
  Baraolt                          63456          4                      4                      3                                             2           2                      1
  Biborţeni                        63465          1
  Bodoş                            63474                                                                                    1
  Căpeni                           63483          1
VALEA CRIŞULUI
  Valea Crişului                   64915                                                        1
VÂRGHIŞ
  Vârghiş                          65002          1
Grand Total                                      22                      4                      6                           1                 6           2                      1

Localităţile Arcuş, Bodoş şi Valea Crişului nu au Cabinet de Medicină de Familie.
Comunele mai mari au farmacii. Medici specialişti au cabinete doar în Oraşul Baraolt.



29
     http://www.dspcovasna.ro/index.php?content=reteaua
La Spitalul orăşenesc BARAOLT (82 paturi), 29% din necesarul de personal medical este
neacoperit.




                                                                                                                superioare
                                                                                            personal
                                                                        asistent
                                                                        general



                                                                                             auxiliar
                                                   medic




                                                                                                                  studii
                                        existent



                                                                   existent



                                                                                       existent



                                                                                                           existent
                                                           lipsă



                                                                               lipsă



                                                                                                   lipsă



                                                                                                                          lipsă
                            ambulatoriu/járóbeteg gondozó
                Medică internă                     1
                   Chirurgie                          -1
            Obstetrică-ginecologie                 1
                   Pediatrie                       1
                  Neurologie             1         1
                 Oftalmologie                  -1
              Chirurgie plastică         1
                  Laborator                        2
               Medicină şcolară                -1  2
                 Kinetoterapie           1
                                        spital
             Chirurgie şi ortopedie
                  pediatrică                   -1
                   Chirurgie             3         5                                   5
                 Bloc operator                     3  -1                               1
                   Pediatrie             2         7                                   7           -1
               Medicină internă          2     -1  6                                   6           -1
                 Ginecologie             2     -1  5                                   4
                 Neonatologie                      3
               Cameră de gardă           1         3
                  Laborator              1         3                                   2                   2
            Radiologie şi imagistică     1         1
                   Farmacie                    -1  1                                   1
                                        15                 -6      45          -2      26          -2      2
                 Posturi total               21                           47                  28                      2
                 Personal lipsă              -6                           -2                  -2
                                            29%                           4%                  7%
Statistici raportate la nivel naţional şi regional(7 Centru)
Valori absolute
           25.0

                        21.7                              21.6

           20.0




           15.0




           10.0


                                                                                             6.2
                                                                          5.5
                                 4.9      4.6
              5.0                                                  4.4


                                                                                                     1.5    1.5

              0.0
                               Naţional                      Regiunea Centru                       Alutus

                       Medici la 10,000 locuitori   Stomatologi la 10,000 locuitori   Farmacişti la 10,000 locuitori

Valori procentuale 30
     40.00%


     35.00%                            34.09%
                                                                                                            32.61%
                         28.70%                     27.27%                        28.57%      30.61%
     30.00%


     25.00%


     20.00%


     15.00%


     10.00%


      5.00%


      0.00%
                            Alutus/Regiunea Centru                                        Alutus/Naţional

                    Medici la 10,000 locuitori      Stomatologi la 10,000 locuitori        Farmacişti la 10,000 locuitori



30
     http://www.insse.ro/cms/files/pdf/ro/cap7.pdf
Se poate observa că, media personalului medico-sanitar pe 10,000 de locuitori raportat la
nivel regional şi la nivel naţional se poziţionează la cca. 30%, adică acest personal este în
număr de trei ori mai mic decât nivelurile de referinţă. Cu alte cuvinte numărul cadrelor
medico – sanitare este la o treime din media naţională.
Starea generală a sănătăţii populaţiei
Indicatori demografici: sporului natural negativ i se adaugă migraţia populaţiei tinere,
                          contribuitoare la fondul de asigurări sociale. Astfel ponderea
                          populaţiei beneficiare dar necontributoare (vârstnici) creşte
                          constant. Majoritatea acestor persoane suferă de boli cronice.
Starea de sănătate este caracterizată de valori peste nivelul mediu naţional la
                    • boli cardio-vasculare
                    • osteoporoză
                    • boli respiratorii şi sfera ORL în sezonul rece
                    • consum etanolic cronic de la vârstă tânără pe tot parcursul vieţii, cu
                        patologia aferentă (hepatică, psihiatrică)
                    • prevalenţa bolilor psihice
                    • tentative de suicid
                    • patologie neoplazică în anumite sfere (ginecologie, respiratorie,
                        digestivă)
                    • diabet zaharat
Valori sub nivelul mediu naţional prezintă incidenţa şi prevalenţa tuberculozei, cu o
tendinţă de creştere în ultimii ani. Acest trend se datorează fondurilor foarte reduse
alocate prevenţiei.
Profilaxia şi prevenţia în toate domeniile sunt subfinanţate. Drept urmare, patologia este
depistată într-un stadiu evolutiv relativ înaintat, ceea ce duce la costuri de tratament mai
ridicate.
Posibilităţile de diagnostic sunt din ce în ce mai reduse din cauza lipsei reabilitării
infrastructurii medicale şi din cauza lipsei echipamentelor performante. Echipamentele
existente sunt depăşite tehnic (reparaţii cu mare frecvenţă) şi din punct de vedere al
capacităţii. Aceste deficienţe sunt accentuate de numărul foarte redus al medicilor de
specialitate. Rezultă suprasolicitarea cadrelor medico - sanitare care lucrează în zonă şi
accesul îngreunat al populaţiei paupere, bolnave şi îmbătrânite la serviciile de sănătate în
general şi la cele de specialitate în mod deosebit.
II.2.1.7.1 Echipamente prezente sau accesibilitate
Conform tabelului de mai jos, se vor completa principalele servicii de sănătate, educaţie,
recreare etc., care funcţionează pentru populaţie şi infrastructura medico – socială existentă
Servicii     Categorii                                  Observaţii*
             Preşcolar                             31
               Grădiniţa cu Program Normal         30
               Grădiniţa cu Program Prelungit       1
             Primar                                30
               Şcoala Cl. I-IV                      7
               Şcoala CL. I-VIII                   23
             Secundar                               1
               Grup Scolar                          1
Învăţământ                                              Reşedinţa de judeţ are secţii ale
                                                        Universităţii Babeş - Bolyai,
                                                        Cel mai apropiat centru universitar este
                                                        Braşov la max. 75 km de la cel mai
             Universitar
                                                        îndepărtat punct
                                                        Universitatea Sapientia din Miercurea
                                                        Ciuc la max. 90 km de la cel mai
                                                        îndepărtat punct
             Altele...                              2
               Palatul Copiilor                     1
               Şcoala Speciala                      1


Servicii Categorii                                                      Observaţii*
         Cabinet Medic de Familie                                    19
         Cabinet Medic Specialist                                     4
         Cabinet Stomatologie                                         6
Medicale Cabinete nonprofit întreţinute de fundaţii-culte religioase 1
         Farmacie                                                     6
         Laborator Tehnica Dentara                                    2
         Spital orăşenesc                                             1
Servicii                     Categorii                                                       Observaţii*
                  Baze Sportive - Terenuri
                  sportive (de fotbal, handbal,                             15
                  tenis...)
                                                                                din care:
                                                                                2 în construcţie,
                  Sala de Sport                                               8
                                                                                2 în fază de documentaţie
 Sportive                                                                       depusă
                  Piscine
                  Altele...
                  Asociaţie Sportiva                                          6
                  Asociaţie Sportiva Şcolară                                  8
                  Club Sportiv                                                3
* - in cazul inexistenţei, precizaţi modul de asigurare a acestora (distanţe, locaţii...)

Reţeaua şcolară 31
                                                        Grădiniţa cu
                                         SIRUTA




                                                         Program                                       Şcoala Cl.
                                                                                  Grup      Palatul     I-     I-     Şcoala
                                                   Normal        Prelungit
                                                                                  Scolar    Copiilor   IV     VIII   Speciala
     AITA MARE
        AITA MARE                      63786           1                                                       1
        AITA MEDIE                     63795           1                                                       1
     ARCUŞ
        ARCUŞ                          64924           1                                                       1
     BĂŢANI
        AITA SEACĂ                     63820           1                                                       2
        BĂŢANII MARI                   63811           1                                                       1
        BĂŢANII MICI                   63839           1                                               1
        HERCULIAN                      63848                                                                   1
     BELIN
        BELIN                          63875           1                                                       1
     BIXAD
        BIXAD                          64522           1                                                       1
     BODOC
        BODOC                          63900           1                                                       1
        OLTENI                         63919           1                                               1                1
     BRĂDUŢ
        BRĂDUŢ                         64050           1                                                       1
        DOBOŞENI                       64069           1                                                       1
        FILIA                          64078           2                                                       2
        TĂLIŞOARA                      64087           1                                               1
     GHIDFALĂU
        ANGHELUŞ                       64363           1                                               1
        GHIDFALĂU                      64354           1                                                       1
        ZOLTAN                         64381           1


31
     http://isj.educv.ro/
Grădiniţa cu




                     SIRUTA
                                 Program                               Şcoala Cl.
                                                   Grup     Palatul     I-     I-     Şcoala
                              Normal   Prelungit
                                                   Scolar   Copiilor   IV     VIII   Speciala
MALNAŞ
  MALNAŞ            64531       1                                              1
  MALNAŞ-BĂI        64540       1                                      1
  VALEA ZĂLANULUI   64559       1                                      1
MICFALĂU
  MICFALĂU          64513       1                                              1
ORAŞ BARAOLT
  BARAOLT           63456       1         1          1         1               1
  BIBORŢENI         63465       1                                              1
  CĂPENI            63483       1                                              1
  MICLOŞOARA        63492       1                                      1
  RACOŞUL DE SUS    63508       1                                              1
VALEA CRIŞULUI
  CALNIC            64933       1
  VALEA CRIŞULUI    64915       1                                              1
VÂRGHIŞ
  VÂRGHIŞ           65002       1                                              1
Grand Total                     30        1          1         1       7       23       1
Baze sportive – structuri sportive 32
                                                         Asociaţie
                                             Asociaţie   Sportivă     Baza       Club     Sala
                                 SIRUTA      Sportiva     Şcolară    sportiva   Sportiv   sport
         AITA MARE
           AITA MARE             63786           1          1
         ARCUŞ
           ARCUŞ                 64924                                  1
         BĂŢANI
           BĂŢANII MARI          63811                                  2
         BELIN
           BELIN                 63875           1          1           1
         BIXAD
           BIXAD                 64522                                                     1
         BODOC
           BODOC                 63900                      1           2         1        1
         BRĂDUŢ
           BRĂDUŢ                64050           1                      1
           FILIA                 64078                      1
           TĂLIŞOARA             64087           1                      1
         GHIDFALĂU
           GHIDFALĂU             64354                                  2                  1
           ZOLTAN                64381                                            1
         MALNAŞ
           MALNAŞ                64531                      1
         MICFALĂU
           MICFALĂU              64513                                  2         1        1
         ORAŞ BARAOLT
           BARAOLT               63456           1                      2                  2
           BIBORŢENI             63465                      1
           CĂPENI                63483                      1
         VALEA CRIŞULUI
           VALEA CRIŞULUI        64915           1          1           1                  1
         VÂRGHIŞ
           VÂRGHIŞ               65002                                                     1
         Grand Total                             6          8          15         3        8




32
     http://dsjcovasna.nd.ro/nd.php?name=Showcat&kn=25
II.2.1.7.2 Comentarii privind serviciile şi infrastructurile medico-sociale
În zonă nu există transport public. Calea ferată deserveşte doar localităţile de pe valea Oltului.
În zona Oraşului Baraolt singura modalitate de transport este cea rutieră. Starea drumurilor
judeţene şi comunale este foarte precară, circulaţia, prin urmare şi accesul se serviciile
medico – sanitare spitaliceşti sau ale medicilor specialişti, fiind îngreunată de aceste condiţii.
Cea mai apropiată unitate de învăţământ secundar este sau în reşedinţa de judeţ, Sfântu
Gheorghe – cca. 35 km distanţă de la cel mai îndepărtat punct, sau în Miercurea Ciuc,
reşedinţa judeţului Harghita. Cel mai apropiat centru universitar este la Braşov – cca. 70 km.
Baze de agrement funcţionale– ştrand cu apă minerală, se găsesc la Tuşnad Băi, localitate
limitrofă cu Bixad. Bazin acoperit se găseşte la Sfântu Gheorghe, reşedinţa de judeţ.
Restul bazinelor cu apă minerală, folosite în principal pentru tratamente Ozunca, Malnaş -
Băi, Bodoc – sunt nefuncţionale.
II.2.1.8 Activităţi sociale şi instituţii locale
             II.2.1.8.1 Instituţii locale
În zona potenţialului GAL funcţionează în 8 localităţi (din 13, adică în 60% din localităţi)
16 unităţi de servicii sociale din care:
•      14 de tip „Serviciu public de asistenţa”
•      2 de tip „Asociaţie”
Aceste servicii acoperă 5 domenii de mari de intervenţie:
1. Centru de tip rezidenţial
2. Informarea, îndrumarea, consilierea sociala si juridica, precum si gestiunea de
    probleme pentru cei aflaţi in situaţie de risc social
3. Îngrijire si asistenţă socio-medicală la domiciliu pentru persoane vârstnice
4. Serviciu de suport pentru activităţile instrumentale ale vieţii de zi cu zi pentru copii
    defavorizaţi
5. Serviciu pentru integrarea si participarea la viata sociala a tinerilor defavorizaţi


Grupurile ţintă ale acestor domenii de             Aceste activităţi se desfăşoară în 3 tipuri
intervenţie sunt:                                  de locaţii:
1. Comunităţi                                      1. Centre de zi, publice sau private
2. Familie                                         2. La domiciliu
3. Copii 0 – 6 ani                                 3. Servicii publice specializate
4. Copii 7 – 16 ani                                Tipuri de situaţii în care se intervine
5. Tineri 18 – 26                                  1. Boală cronică
6. Persoane vârstnice                              2. Handicap
                                                   3. Izolare socială
                                                   4. Situaţie de dificultate în familie
                                                   5. Sărăcie

Se poate conchide, că autorităţile locale manifestă sensibilitate socială şi în aceste
demersuri se bucură de susţinerea necondiţionată a locuitorilor zonei.
Lista furnizorilor autorizaţi de servicii sociale 33.
                                                                                                  Tipuri de                                             Tipuri de
                                       Servicii                                Beneficiari         situaţii             Tipuri de servicii               locaţii
Arcuş SIRUTA: 64924
Serviciu public de asistenta
                                                                                              Situaţie de
          Informarea, îndrumarea,consilierea sociala si gestiunea de                          dificultate in      Consiliere Sociala cu: lucrător    Servicii publice
          probleme pentru cei aflaţi in situaţie de risc social                Comunităţi     Familie             social                             specializate
                                                                                              Boala cronica,      Servicii de îngrijire social-
          Îngrijire si asistenţă socio-medicala la domiciliu pentru persoane   Persoane       Handicap,           medicala de natura sociala cu:
          vârstnice                                                            vârstnice      Izolare sociala     infirmiera, asistent medical       La domiciliu
Baraolt SIRUTA: 63456
Asociaţie
                                                                                              Handicap,           Servicii de suport pentru
                                                                               Copii 0-6      Situaţie de         activităţile instrumentale ale     Centre de zi,
          Serviciu de suport pentru activităţile instrumentale ale vieţii de   ani , Copii    dificultate in      vieţii de zi cu zi cu: educator,   publice sau
          zi cu zi pentru copii defavorizaţi                                   7-16 ani       Familie             psiholog                           private
                                                                                              Situaţie de                                            Centre de zi,
          Serviciu pentru integrarea si participarea la viata sociala a                       dificultate in      Educaţie sociala cu: educator      publice sau
          tinerilor defavorizaţi                                               Tineri 18-26   Familie             , psiholog                         private
Serviciu specializat la nivel local
                                                                                                                  Servicii de îngrijire social-
                                                                               Persoane                           medicala de natura sociala cu:     Servicii publice
          Centru de tip rezidenţial                                            vârstnice      Izolare sociala     asistent social, infirmiera        specializate
          Informarea, îndrumarea, consilierea sociala si juridica, precum                     Sărăcie, Situaţie   Identificare si evaluare;
          si gestiunea de probleme pentru cei aflaţi in situaţie de risc                      de dificultate in   Consiliere Sociala cu: asistent    Servicii publice
          social                                                               Comunităţi     Familie             social, lucrător social            specializate
Băţanii Mari SIRUTA: 63811
Serviciu public de asistenta
                                                                                              Situaţie de
                                                                                              dificultate in      Consiliere Sociala cu: lucrător    Servicii publice
          Consiliere sociala, informare si gestionarea problemelor sociale     Comunităţi     Familie             social                             specializate
                                                                                              Boala cronica,      Servicii de îngrijire social-
          Îngrijire si asistenta socio-medicala la domiciliu pentru persoane   Persoane       Handicap,           medicala de natura sociala cu:
          vârstnice                                                            vârstnice      Izolare sociala     infirmiera, asistent medical       La domiciliu


33
     http://sas.mmssf.ro/servicii_furnizori.php?judet=covasna
Tipuri de                                            Tipuri de
                                    Servicii                                Beneficiari        situaţii             Tipuri de servicii              locaţii
Belin SIRUTA: 63875
Serviciu public de asistenta
                                                                                                              Consiliere Sociala cu: jurist,    Servicii publice
       Consiliere sociala                                                   Comunităţi    Sărăcie             lucrător social                   specializate
Bodoc SIRUTA: 63900
Serviciu public de asistenta
                                                                                          Situaţie de
                                                                                          dificultate in      Consiliere Sociala cu: lucrător   Servicii publice
       Consiliere sociala, informare, stabilirea drepturilor sociale        Comunităţi    Familie             social                            specializate
                                                                                          Boala cronica,
       Serviciu medical si social de îngrijire la domiciliu pentru          Persoane      Handicap,           Consiliere Sociala cu: lucrător
       persoane vârstnice                                                   vârstnice     Izolare sociala     social                            La domiciliu
Brăduţ SIRUTA: 64050
Serviciu public de asistenta
                                                                                          Situaţie de
                                                                                          dificultate in      Consiliere Sociala cu: lucrător   Servicii publice
       Consiliere sociala, informare si gestionarea problemelor sociale     Comunităţi    Familie             social                            specializate
                                                                                                              Servicii de îngrijire social-
       Serviciu medical si social de îngrijire la domiciliu pentru          Persoane      Boala cronica,      medicala de natura sociala cu:
       persoane vârstnice                                                   vârstnice     Handicap            infirmiera, asistent medical      La domiciliu
Malnaş SIRUTA: 64531
Serviciu public de asistenta
                                                                                                              Informare in domeniu;
                                                                                          Sărăcie, Situaţie   Identificare si evaluare;
                                                                            Comunităţi,   de dificultate in   Consiliere Sociala cu: lucrător   Servicii publice
       Consiliere sociala, informare, stabilirea drepturilor sociale        Familie       Familie             social                            specializate
Valea Crişului SIRUTA: 64915
Serviciu public de asistenta
                                                                                                              Consiliere Sociala cu: lucrător   Servicii publice
       Consiliere sociala, informare, stabilirea drepturilor sociale        Comunităţi    Sărăcie             social                            specializate
                                                                                                              Servicii de îngrijire social-
       Îngrijire si asistenta socio-medicala la domiciliu pentru persoane   Persoane      Boala cronica,      medicala de natura sociala cu:
       vârstnice                                                            vârstnice     Izolare sociala     infirmiera, asistent medical      La domiciliu
•    Căminul de bătrâni Căpeni
     oferă servicii de îngrijire, asistenţă medicală, consiliere psihosocială pentru 12 persoane
     – Consiliul Local al oraşului Baraolt asigură funcţionarea acestei instituţii.
•    Fundaţia Creştină Diakonia – filiala Sf. Gheorghe
     Activează în Mun. Sf. Gheorghe, şi comunele: Arcuş, Aita Mare, (Brateş), Brăduţ,
     (Belin), Bodoc, (Comandău, Reci), Valea Crişului, Vârghiş.
     Nr. asistaţilor înregistraţi în luna ianuarie 2006: 256
     Nr. asistaţi ocazional: 986
     Nr. asistaţi dotaţi cu materiale: 92
     Unitatea urmăreşte: îmbunătăţirea calităţii vieţii persoanelor vârstnice, beneficiare de
     servicii sociale şi întărirea capacităţii acestor persoane de a utiliza resursele proprii.
     Obiectivele principale ale serviciului vizează :
     - organizarea şi asigurarea asistenţei socio-medicale la domiciliul persoanelor
     imobilizate la pat ;
     - creşterea gradului de integrare şi participare socială a persoanelor imobilizate la
     pat/domiciliu ;
     - scăderea gradului de solicitare pentru familiile care îngrijesc persoanele/rudele
     imobilizate la pat etc.;
            II.2.1.8.2 Asociaţii de comune, de consilii
În zonă nu există asociaţii de comune sau de consilii locale
            II.2.1.8.3 ONG-uri, asociaţii locale
Cel mai important şi cel mai influent ONG, cu cea mai mare aderenţă este Asociaţia Regio
Alutus – organizaţia înfiinţată pentru reprezentarea GAL, având următoarea componenţă:
                                    societate civilă 28 47%
                                        sector privat 20 34%
                                        sector public 11 19%
                                              Total 59 100%
                   sector public, 11,
                          19%




                                                                 societate civilă,
                                                                    28, 47%




               sector privat, 20,
                     34%

Societate civilă
22 organizaţii, 6 culte
ONG
                    Domeniu de intervenţie        Domeniu de activitate
                    asistenta sociala             tineri cu dizabilităţi severe
                    mediu                         mediu
                    moştenire culturala           moştenire culturală
                    profesionala                  profesională
                    profesionala, media           profesională - media
                    tineret                       cultural
                    tineret                       tineret

                           ONG Domenii de intervenţie
                           asistenta sociala                          1
                           mediu                                      3
                           moştenire culturala                       12
                           profesionala                               3
                           profesionala, media                        1
                           tineret                                    2

                                                       asistenta sociala
                               profesionala, tineret
                                               9%             5%
                                  media                              mediu
                                    5%                                13%


                          profesionala
                              14%




                                                             mostenire
                                                             culturala
                                                               54%
Peste jumătate din ONG se dedică moştenirii culturale – ceea ce dovedeşte existenţa unei
identităţi locale puternice precum şi intenţia cultivării acesteia.
Următoarea categorie sun organizaţiile profesionale şi apoi cele de mediu. Dacă existenţa
unor organizaţii profesionale este oarecum de aşteptat, un punct forte al zonei este interesul
manifestat pentru problemele de mediu.
La fel, este îmbucurătoare existenţa şi funcţionare unor organizaţii axate pe grupuri sociale
cum ar fi tineri sau cei cu nevoi de asistenţă socială.
Lista organizaţiilor non guvernamentale din zona GAL (toate sunt fondatoare ale GAL)

ong
asistenta sociala
 tineri cu dizabilităţi severe
   Arcuş SIRUTA: 64924           Fundaţia "KAPERNAUM"
mediu
   Arcuş SIRUTA: 64924           Asociaţia "BIOKULTÚRA" Covasna
                                 Asociaţia Speo-Turistica si de Protecţia Naturii „LUMEA
   Baraolt SIRUTA: 63456         PIERDUTA”
                                 Asociaţia Culturala de Tineret si de Protecţia Mediului "DR.
   Calnic SIRUTA: 64933          BEDO ALBERT"
moştenire culturala
   Aita Mare SIRUTA: 63786       Asociaţia "JURTA"
   Arcuş SIRUTA: 64924           Asociaţia Social Culturala "DAHLSTRÖM KÁLMÁN"
   Baraolt SIRUTA: 63456
                                 Asociaţia "Dr. FÁBIÁN LÁSZLÓ"
                                 Asociaţia Culturala "GAÁL MÓZES"
                                 Comisia Comemorativa si Fundaţia „BARÓTI SZABÓ DÁVID"
   Belin SIRUTA: 63875           Fundaţia "BÖLÖNI FARKAS SÁNDOR"
   Filia SIRUTA: 64078           Asociaţia "KORMOS"
   Fotoş SIRUTA: 64372           Asociaţia "CSILLAGŐRZŐ"
   Ghidfalău SIRUTA: 64354       Asociaţia de tineret "KALÁRIS"
   Micfalău SIRUTA: 64513
                                 Asociaţia "FANFARA TROMBON 1995"
                                 Asociaţia "FEJÉR ÁKOS"
   Tălişoara SIRUTA: 64087       Asociaţia "MESSZELÁTÓ "
profesionala
   Baraolt SIRUTA: 63456         Asociaţia Întreprinzătorilor "ERDŐVIDÉK"
   Băţanii Mari SIRUTA: 63811    Composesoratul de Pădure si Păşune Băţanii Mari
   Vârghiş SIRUTA: 65002         Asociaţia Crescătorilor de Animale din Comuna Vârghiş
profesionala, media
   Racoşul de Sus SIRUTA:
   63508                         Asociaţia "INTERMEDIA ERDŐVIDÉK"
tineret
 cultural
   Băţanii Mici SIRUTA: 63839    Asociaţia "BODVAJ"
 tineret
   Bixad SIRUTA: 64522           Asociaţia de tineret din comuna Bixad
6 Culte
                                   Arcuş SIRUTA: 64924
                               1   Parohia Reformată Arcuş
                               2   Parohia Unitariană Arcuş
                                   Bixad SIRUTA: 64522
                               3   Parohia Romano - Catolică Bixad
                                   Malnaş Sat SIRUTA: 64531
                               4   Parohia Reformata Malnaş Sat
                                   Micfalău SIRUTA: 64513
                               5   Parohia Reformată Micfalău
                               6   Parohia Romano - Catolică Micfalău


             II.2.1.8.4 Comentarii privind activităţile sociale şi instituţii locale
În zonă se manifestă o solidaritate socială atât în rândul populaţiei, respectiv printre
organizaţiile neguvernamentale, cât şi la nivelul autorităţilor locale, instituţiilor publice,
cultelor religioase.
Cea mai mare problemă o reprezintă lipsa de fonduri şi starea precară a infrastructurii şi
echipamentelor. Desigur lucrătorii din domeniu duc lipsa unor pregătiri profesionale la
standarde comunitare.
Majoritatea ONG – urilor sunt dedicate moştenirii culturale – o componentă încă foarte vie şi
determinantă a identităţii locale.
Este îmbucurătoare existenţa şi funcţionare unor organizaţii axate pe grupuri sociale cum ar fi
tineri sau cei cu nevoi de asistenţă socială.
II.2.1.9 Bilanţul politicilor întreprinse în teritoriu
Conform Strategiei de dezvoltare a judeţului Covasna 204 – 2015 34, în perioada 2000 –
2004 judeţul a beneficiat de următoarele granturi:
             Tabelul 43: Proiecte finanţate de U.E. în perioada
             2000-2004.
                                                        € Valoare totală         € Grant
 Phare       din care                                         12,159,095       8,347,295
             Phare infrastructură regională                    9,980,000       6,660,000
             Phare mică infrastructură                           491,444         446,772
             Phare servicii sociale                              179,767         163,425
             Phare resurse umane                                 298,032         212,916
             Phare IMM                                         1,209,852         864,182
 RICOP       din care                                          1,614,286       1,310,786
             RICOP servicii sociale                              633,387         509,632
             RICOP măsuri de ocupare                             101,911          86,096
             RICOP lucrări publice                               878,988         715,058
 ACCES                                                           464,211         239,664
 SAPARD                                                        4,000,000       4,000,000
 Altele                                                           86,522          51,021
             Total                                            18,324,114      13,948,766
Sursa amintită nu conţine detalii despre beneficiari sau localizarea proiectelor grantate,
nici date mai exacte referitoare la liniile de finanţare în cauză. Neavând date comparative
pentru nivelul regional şi/sau naţional este greu de apreciat eficacitatea judeţului în
atragerea de fonduri. Phare infrastructură regională se referă la proiectul de reabilitare al
DJ 131 în judeţele Braşov – Covasna – Harghita. Acest proiect a eşuat. Prin urmare suma
din tabel scade cu cca. 50%.




34
     Strategia de dezvoltare pe termen mediu a judeţului Covasna, pag. 113
O imagine ceva mai precisă poate fi formată din datele fostului centru de informare
„infoeuropa.ro”:
           Program           Jd   Finantare                Program          Jd    Finantare
 1   2002/000-586.03.02.                      22   RO02000-586.05.02.C.
 2   B700030.                                 23   RO03005-551.03.02.
 3   B700700.                                 24   RO9707.                 CV         23,680
 4   B702030.                CV      29,419   25   RO9709.02.
 5   B799300.                CV      81,883   26   RO9711.
 6   B799700.                                 27   RO9711.01.
 7   ComPrg00Lif.01.                          28   RO9807.01.              CV         16,002
 8   RO0004.02.                               29   RO9809.02.
 9   RO0004.02.02.                            30   RO9809.02.01.
10   RO0006.02.01.                            31   RO9904.02.              CV        646,152
11   RO0007.02.01.           CV     163,245   32   RO9904.04.              CV        544,468
12   RO0007.02.02.           CV     260,969   33   RO9904.05.              CV        245,540
13   RO0007.02.03.                            34   RO9905.
14   RO0008.                 CV     185,750   35   RO9905.02.              CV        107,320
15   RO0011.                                  36   RO990502.
16   RO0101.                                  37   SAPARD01.01.
17   RO0104.03.              CV     253,129   38   SAPARD01.02.
18   RO0108.03.02.                            39   SAPARD0102.
19   RO0108.03.04.                            40   ZZ9917.
20   RO02000-586.03.02.                            Total judet                     2,657,713
21   RO02000-586.05.02.B.    CV     100,156        Total national                363,758,302

Din 40 de Linii de finanţare doar cca. O treime (13 din 40) au fost accesibile în judeţul
Covasna, aplicanţii reuşind să 0.73% din totalul fondurilor disponibile la nivel naţional.
Comparând cifrele celor două tabele sumele atrase din Phare sun apropiate, deci putem
aprecia că pentru Phare suma este în jur de 2,700,000€.
Nici datele din „Strategie” nici cele de pe infoeuropa.ro nu conţin date referitoare la
locaţia proiectelor, deci nu putem aprecia granturile atrase în aria potenţialului GAL.
Date de o acurateţe mai mare pot fi găsite pe site -ul Ministerului Dezvoltării, dar şi
acestea referitoare doar la Phare.
GRANT CONTRACTS AWARDED DURING OCTOBER - NOVEMBER 2002
FINANCING SOURCE: Budget line RO0007.02.01
1. Grants awarded under Call for Proposal CP – 1/2001 published on June 2001

                              Phare RO0007.02.01 june

  3.50%
                   2.98%
  3.00%

  2.50%

  2.00%

  1.50%

  1.00%

  0.50%
                                             0.21%
                                                                           0.03%
  0.00%
          Reg 7 Centru din National      CV din National        Alutus - Baraolt din National


             Reg 7 Centru din
National     National                 CV din National      Alutus - Baraolt din National
88,474,444                2,640,661            188,800                                 27,134
  100.00%                     2.98%              0.21%                                 0.03%
                                      CV din Reg 7         Alutus - Baraolt din Reg 7
             Reg 7 Centru             Centru               Centru
                            100.00%              7.15%                                 1.03%
                                      CV                   Alutus - Baraolt din jud. CV
                                              100.00%                                 14.37%
GRANT CONTRACTS AWARDED DURING OCTOBER - NOVEMBER 2002
FINANCING SOURCE: Budget line RO0007.02.01
1. Grants awarded under Call for Proposal CP – 1/2001 published on 20 May 2001

                              RO0007.02.01 may
                  0.23%
  0.25%

  0.20%

  0.15%

  0.10%
                                           0.03%
  0.05%
                                                                  0.01%
  0.00%
              Reg 7 Centru din        CV din National        Alutus - Baraolt -
                 National                                    Bodoc din Nationa


               Reg 7 Centru din                                  Alutus - Baraolt - Bodoc din
 National      National                    CV din National       Nationa
 808,768,92
          4                   1,825,839              260,969                                80,245
   100.00%                       0.23%                 0.03%                                0.01%
                                           CV din Reg 7
               Reg 7 Centru                Centru                Alutus - Baraolt din Reg 7 Centru
                                 100.00%             14.29%                                   4.39%
                                           CV                    Alutus - Baraolt din jud. CV
                                                    100.00%                                 30.75%
GRANT CONTRACTS AWARDED DURING NOVEMBER 2003
FINANCING SOURCE: Budget line RO 0108.03.05
1. Grants awarded under Call for Proposal CP – 3/2002 published on 19 July 2002

                                  RO 0108.03.05 3-2002
                          17.58%
         20.00%

         15.00%

         10.00%

          5.00%
                                               1.24%                 0.32%
          0.00%
                     Reg 7 Centru din            CV             Alutus - Baraolt
                        National


               Reg 7 Centru din                             Alutus - Baraolt - Bodoc din
National       National                 CV din National     Nationa
36,021,529.2
           0             6,333,702.10          446,772.00                          116,966.00
    100.00%                   17.58%                1.24%                              0.32%
                                        CV din Reg 7
               Reg 7 Centru             Centru              Alutus - Baraolt din Reg 7 Centru
                              100.00%               7.05%                               1.85%
                                        CV                  Alutus - Baraolt din jud. CV
                                                 100.00%                               26.18%
Phare/2004/016-772.04.01.04.01.02
CFP 3/2006 published on August 2, 2006
Project Preparation Grant Scheme for private sector in the field of waste management

                             016-772.04.01.04.01.02

         25.00%
                        20.48%
         20.00%

         15.00%
                                              7.84%                 7.84%
         10.00%

          5.00%

          0.00%
                    Reg 7 Centru din            CV             Alutus - Baraolt -
                       National                                     Bradut


              Reg 7 Centru din                             Alutus - Baraolt - Bodoc din
 National     National                 CV din National     Nationa
 341,062.50                69,842.50           26,725.00                          26,725.00
   100.00%                    20.48%               7.84%                              7.84%
                                       CV din Reg 7        Alutus - Baraolt din Reg 7
              Reg 7 Centru             Centru              Centru
                             100.00%              38.26%                             38.26%
                                       CV                  Alutus - Baraolt din jud. CV
                                                100.00%                            100.00%
"Proiect RO 2005/017-553.04.01.04.01 „Schema de investiţii pentru sprijinirea
iniţiativelor sectorului public în sectoarele prioritare de mediu” (Schema de granturi:
Investiţii publice în sectoarele de mediu)”

                                   017-553.04.01.04.01
                         13.69%
         16.00%
         14.00%
         12.00%
         10.00%
          8.00%
          6.00%
                                               2.93%
          4.00%
                                                                     1.26%
          2.00%
          0.00%
                     Reg 7 Centru din            CV              Alutus - Baraolt
                        National


                Reg 7 Centru din                             Alutus - Baraolt - Bodoc din
 National       National                 CV din National     Nationa
 51,124,987.9
            5             7,000,880.61        1,497,265.79                          645,184.27
     100.00%                   13.69%               2.93%                                1.26%
                                         CV din Reg 7        Alutus - Baraolt din Reg 7
                Reg 7 Centru             Centru              Centru
                               100.00%             21.39%                                9.22%
                                         CV                  Alutus - Baraolt din jud. CV
                                                  100.00%                               43.09%
Total Phare
                                               National               Reg 7 Centru                    CV                      Alutus
          Phare   017-553.04.01.04.01        51,124,987.95                     7,000,880.61          1,497,265.79                 645,184.27
          Phare   016-772.04.01.04.01.02        341,062.50                       69,842.50              26,725.00                    26,725.00
          Phare   RO 0108.03.05 3-2002       36,021,529.20                     6,333,702.10            446,772.00                 116,966.00
          Phare   RO0007.02.01 may          808,768,924.00                     1,825,839.00            260,969.00                    80,245.00
          Phare   RO0007.02.01 june          88,474,443.66                     2,640,661.00            188,800.00                    27,134.00


                                            984,730,947.31                  17,870,925.21            2,420,531.79                 896,254.27
                                           National             Reg 7 Centru din National     CV din National        Alutus din National
                                                      100.00%                        1.81%                   0.25%                      0.09%
                                                                Reg 7 Centru                  CV din Reg 7 Centru    Alutus din Reg 7 Centru
                                                                                  100.00%                  13.54%                       5.02%
                                                                                              CV                     Alutus din CV
                                                                                                           100.00%                     37.03%

                                                                   Total Phare
                                                 1.81%
                                2.00%

                                1.50%

                                1.00%
                                                                           0.25%
                                0.50%
                                                                                                     0.09%
                                0.00%
                                           Reg 7 Centru din           CV din National          Alutus din National
                                              National
Total Pahre

           16.00%
                                13.54%
           14.00%
           12.00%
           10.00%
            8.00%
                                                                5.02%
            6.00%
            4.00%
            2.00%
            0.00%
                          CV din Reg 7 Centru           Alutus din Reg 7 Centru




                                          Total Pahre
                                100.00%
           100.00%

            80.00%

            60.00%
                                                                37.03%
            40.00%

            20.00%

             0.00%
                                   CV                        Alutus din CV


            II.2.1.9.1 Concluzii privind Bilanţul politicilor întreprinse în teritoriu
Procentul extrem de mic (sub 2%) faţă de totalul fondurilor Phare la nivel naţional atras de
către judeţul Covasna explică valoare absolută extrem de mică a acestor fonduri atrase în aria
potenţialului GAL.
Pentru restul fondurilor de pre-aderare nu am reuşit să găsim date detaliate.
II.2.1.10 Elemente complementare privind prezentarea teritoriului
              II.2.1.10.1 Infrastructura rutieră
Drumul Naţional nr. 12 se ramifică din DN 11 în dreptul localităţii Chichiş şi traversează
judeţul, pe o lungime de 40 de km pe direcţia nord-sud. Trece prin Sfântu Gheorghe, reşedinţa
de judeţ, şi urmărind în valea Oltului asigură legătura spre Miercurea-Ciuc (judeţul Harghita).




                                                          din care
                                                                     Cu
                                      Drumuri                   îmbrăcăminţi
                                      publice -                   uşoare
                                        total     Modernizate      rutiere
                     România         79,952.00     21,549.00      20,964.00
                     Reg. 7 Centru   10,211.00      2,447.00        2,881.00
                     jud. Covasna       839.00        295.00          275.00
                     Alutus               68.73          6.27           32.92
Localitatea                Indicativul                     Traseu                       Lungime
                                   drumului                                                     în km
            Baraolt                 DC 38              DJ 131 – Racoşul de Sus                      4.05
                                    DC 40             DJ 131 – Staţia de brichetare                 1.30
                                    DC 43                  DJ 122 – Bodoş                           2.55
                                                                       Total BARAOLT                7.90
            Arcuş                   DC 31                  DJ 121B - Arcuş                          1,45

            Băţani                  DC 44               Băţanii Mari – Aita Seacă                  11.45
                                    DC 45                  DJ 122 - Herculian                       7.93
                                    DC 47                 DJ 122 – Ozunca Băi                       3.35
                                                                         Total BĂŢANI              22.73
             Belin                  DC 37                DJ 103E – Belin Vale                       2.70

            Bodoc                   DC 29                   DN 12 - Bodoc                           1.39
                                    DC 48                    DN 12 - Zălan                          2.50
                                                                        Total BODOC                 3.89
            Brăduţ                  DC 41                 DJ 131 – Doboşeni                         2.46
                                    DC 42              Tălişoara – Brăduţ – Filia                   6.45
                                                                       Total BRĂDUŢ                 8.91
        Ghidfalău                  DC 20A                 DJ 13E – Angheluş                         2.50
                                   DC 28              DN 12 – Zoltan – Ghidfalău                    4.50
                                   DC 39              DJ 121A (Ghidfalău) – Fotoş                   2.60
                                                                   Total GHIDFALĂU                  9.60
            Malnaş                  DC 44             Valea Zălanului –Malnaş Băi                   7.00

     Valea Crişului                 DC 30          Valea Crişului (DJ 121A) – Calnic                3.00

            Vîrghiş                 DC 38          DJ 131 (Vîrghiş) – Racoşul de Sus                3.00
                                                                         Total Alutus              68.73



                                  Din total drumuri publice:
                                                                                               Densitatea
                       din care                                         din care               drumurilor
Drumuri                          Cu                Drumuri                        Cu           publice pe
                                                                                                         2
naţionale                   îmbrăcăminţi          judeţene                   îmbrăcăminţi       100 km
              Modernizate   uşoare rutiere      şi comunale    Modernizate   uşoare rutiere     teritoriu
15,983.00       14,501.00          1,176.00      63,969.00        7,048.00         19,788.00         33.5
 2,237.00        2,106.00             87.00       7,974.00          341.00          2,794.00         29.9
   269.00          243.00              2.00         570.00           52.00            273.00         22.6
                                                     68.73            6.27             32.92          6.2
Densitatea drumurilor publice pe 100 km2 teritoriu
                       100.00%
     100.00%
                                          89.25%
      90.00%
                                                           67.46%
      80.00%
      70.00%
      60.00%
      50.00%
      40.00%
      30.00%
                                                                              18.51%
      20.00%
      10.00%
       0.00%
                       Romania        Reg. 7 Centru     jud. Covasna           Alutus


Raportat la nivelul naţional, pe teritoriul potenţialului GAL densitatea drumurilor publica la
100 km2 este sub 20% din media naţională.


                       Densitatea drumurilor publice pe 100 km2 teritoriu

           120.00%
                                  100.00%
           100.00%

             80.00%

             60.00%
                                                                 27.43%
             40.00%

             20.00%

               0.00%
                                 jud. Covasna                       Alutus


Raportat la nivelul judeţean, pe teritoriul potenţialului GAL densitatea drumurilor publica la
100 km2 este sub 30% din media judeţeană. Prin urmare, dacă indicatorul judeţean este mult
sub cel naţional, cel al potenţialului GAL este mult sub cel judeţean. Din totalul drumurilor
publice 8% se află pe teritoriul potenţialului GAL.
41% din rumuri sunt de categoria clas III (necorespunzătoare) şi 22% unt de clasa IV (rele).
II.2.1.10.2 Infrastructura de cale ferată
Artera feroviară principală (linia 400) urmăreşte valea
Oltului (pe o distanţă de cca. 40 km pe teritoriul
judeţului din care 30 km în aria potenţialului GAL –
linia roşie) şi asigură legătura cu Braşovul (spre sud),
respectiv cu principalele localităţi din nordul
Transilvaniei (spre nord).




                                 din care:                                          Densitatea
                                electrificate      Linii cu ecartament normal        liniilor pe
                                                         Cu o                       1000 km2
                     Total                      Total    cale         Cu două căi     teritoriu
       România         10,789         3,965     10,731      7,722           3,009          45.3
       Reg. 7
       Centru           1,346           678      1,345      1,025            320           39.5
       jud.
       Covasna           116              44       116          116                        31.3
       Alutus             22              22        22           22                        19.8
Raportat la media naţională, densitatea căilor ferate în aria potenţialului GAL este sub 50%
din media naţională.

                          Densitatea liniilor pe 1000 km2 teritoriu
                                  100.00%
           100.00%

               80.00%
                                                                         63.26%
               60.00%

               40.00%

               20.00%

                0.00%
                                jud. Covasna                             Alutus


Raportat la media judeţeană, densitatea căilor ferate în aria potenţialului GAL este de 63% din
media judeţeană.
              II.2.1.10.3 Infrastructura de comunicaţii
Activităţi telefonice raportate la populaţie (la 1,000 de locuitori)
                                                   Convorbiri telefonice (mii minute)

                                     Interne
                                                                                                  Acces
                 Abonamente                                                                      special
                  telefonice   Interurbane     Locale   Internaţionale    Fix-Mobil    Fix-Fix   internet
România                 157            32        213                6             32        6          53
Reg. 7 Centru           168            33        209                7             29        7          75
jud. Covasna            137            25        142                5             24        4          67
Activităţi telefonice raportate la populaţie (la 1,000 de locuitori)

      160.00%

      140.00%

      120.00%

      100.00%

       80.00%

       60.00%

       40.00%
       20.00%

         0.00%
                    Abonamente                                                                   Acces special
                                  Interurbane   Locale    Internaţionale   Fix-Mobil   Fix-Fix
                     telefonice                                                                     internet

    România          100.00%       100.00%      100.00%     100.00%        100.00%     100.00%     100.00%
    Reg. 7 Centru    107.24%       102.67%      97.91%      118.73%        92.51%      118.81%     139.96%
    jud. Covasna      87.23%       76.99%       66.74%       92.73%        76.54%      72.08%      126.05%


Infrastructura de telecomunicaţii este sub nivelul mediu naţional şi evident sub cel regional.
Conform datelor statistice accesul special l internet este pete media naţională (şi evident sub
cea regională). Convorbirile internaţionale sunt la un nivel apropiat de media naţională, din
cauza celor plecaţi cu precădere în Ungaria.
                                                                 Acoperire Orang


Acoperire Vodafone




Acoperirea GSM reală este sub calitatea medie.
II.2.1.10.4 Infrastructura de utilităţi
Alimentare cu apă şi canalizare
Oraşul Baraolt având cca. 7.000 de consumatori este aprovizionat dintr-o sursă de suprafaţă
(pârâul Cormoş), sursă care nu se încadrează în STAS 4706-87, categoria I. de folosinţă, iar
apa este poluată şi de gospodăriile localităţilor din amonte, până când ajunge la staţia de
tratare. 35
Debitul captat este de 1740 mc/zi. Populaţia este deservită într-o proporţie de 68%. Consumul
mediu de apă este de 187 l/om/zi. O parte din populaţie utilizează ca apă de băut apă minerală
din surse locale.
În urma evaluării rezultatelor analizelor de laborator efectuate în cursul anului 2001 rezultă că
apa distribuită consumatorilor nu corespunde STAS 1342 – 91 Apă potabilă la următorii
parametrii:
                     substanţe organice la 65,51% din probele recoltate ;
                     coliformi totali      la 10,34% din probele recoltate ;
                     coli fecali           la 6,98% din probele recoltate.

Această situaţie se datorează şi faptului că staţia de tratare a fost proiectată iniţial pentru
furnizare de apă industrială şi tehnologia existentă de tratare a apei este inadecvată pentru a
aduce la parametrii de potabilitate.
Situaţia în mediul rural
In mediul rural populaţia consumă apă din sistem centralizat în proporţie de numai 17%, iar
apa furnizată de acestea corespunde calitativ parametrilor de potabilitate. Restul populaţiei se
aprovizionează cu apă din fântâni individuale şi publice ce au o adâncime de 4 – 20 m, care
corespunde indicatorilor de potabilitate numai în proporţie de 48,6%, putându-se remarca o
deteriorare continuă a calităţii ape din următoarele motive :
- utilizarea pe scară largă şi fără discernământ a îngrăşămintelor chimice ;
- poluarea solului cu ape reziduale organice care prin descompunere pun în libertate nitraţi şi
nitriţi ;
- depozitarea reziduurilor menajere şi animale în apropierea surselor de apă.
Cele mai afectate localităţi în privinţa concentraţiei de nitraţi sunt următoarele: Aita Mare,
Belin.
                                                 Locuinţe după dotarea cu instalaţii
                            Alimentare cu apă        Canalizare din                      Încălzire prin
                              in locuinţă (din       reţea publică                     termoficare sau
                            reţea publică sau         sau sistem        Instalaţie       prin centrală
                  Total      sistem propriu)            propriu         electrică           termică
România         8,110,407            4,313,803            4,146,814      7,809,356           2,954,592
Reg. 7 Centru     953,129              624,540              593,171        882,826             365,265
Covasna            85,594               50,361               48,189         82,549              27,213
Alutus             10,906                5,984                5,519          9,691               3,117




35
 PLAN DE DEZVOLTARE A JUDEŢULUI COVASNA PE TERMEN MEDIU (2006 – 2013), AGENDA 21
LOCALĂ A JUDEŢULUI COVASNA
.               Locuinţe după dotarea cu dependinţe




                                           Bucătărie             Baie
                       România                 7,156,693          4,059,107
                       Reg. 7 Centru             857,647            570,441
                       Covasna                    78,653             46,502
                       Alutus                      9,008              5,326

Situaţia utilităţilor la locuinţe raportată la media naţională este mai slabă, în special la
categoriile „Instalaţie electrică”, şi „Încălzire prin termoficare sau prin centrală termică”.
Aceeaşi situaţie raportată la media pe regiune în medie este cu 9 puncte procentuale sub
media regională.
Procente din Total locuinţe

100.00%
                                                       92.62% 96.44%                                  91.89%
                                              96.29%
90.00%                                                                                       89.98%
                                                                 88.86%
80.00%                                                                                 88.24%                  82.60%


70.00%        65.53%
                                 62.23%
                58.84%                                                                                                  59.85%
60.00%                               56.30%
                       54.87%                                                                                              54.33%
     53.19%
                            51.13%                                                                             50.05%
50.00%                                        50.61%
                                                                                                                                 48.83%
                                                                           38.32%
40.00%
                                                                  36.43%      31.79%
30.00%                                                                                 28.58%

20.00%

10.00%

 0.00%
          Alimentare cu apa Canalizare din retea Instalatie electrica     Incalzire prin         Bucatarie                Baie
            in locuinta (din publica sau sistem                       termoficare sau prin
          retea publica sau        propriu                              centrala termica
           sistem propriu)

                                                România    Reg. 7 Centru    Covasna     Alutus
PARTEA a II-a: Analiza SWOT
     II.2.2 Analiza Actorilor implicaţi
                                         Relaţia cu alţi                                                      Efecte     Posibile acţiuni orientate
            Interesele şi                    Actori                                                         negative ale către interesele Actorilor
              cum sunt    Capacitatea şi (parteneriat,      Obiectivele              Efecte pozitive ale     LEADER (aplanarea conflictelor,
 Actori      afectate de motivarea de a conflict, interese principale ale            LEADER asupra            asupra            încurajarea
Implicaţi   problemă(e) face schimbare complementare)        Actorului                   Actorului           Actorului       parteneriatului)
                           Dezvoltare,                                                 Identificarea       Tensiuni Suport pentru coordonare,
                            atragere de                             Creşterea     oportunităţilor, schimb             informare continuă în masă,
                                              Cooperare cu                                                   între
Fermieri Lipsa resurselor     fonduri,                          competitivităţii    de informaţii, reţea                pe înţelesul localnicilor,
                                               ONG, APL                                                    fermieri,
                           posibilitatea                         şi a profitului,  pentru producătorii                       plan de acţiune,
            financiare                        Conflicte cu                                                  efecte
                          realizării unor                      rămânerea/intrar     locali, schimbarea
                                              „concurenţa”                                                negative de implementarea planului de
                              produse                              ea pe piaţă     mentalităţii,ocuparea                  acţiune, îmbunătăţire
                                                                                                            mediu
                           competitive                                               forţei de muncă                    schimbului de informaţii
                                               Cooperare cu       Dezvoltarea       Coordonarea ofertelor,
                             Creşterea                                                                                    Susţinerea parteneriatelor,
                                              fermieri locali, turismului local,          identificarea
                             numărului                                                                        Tensiuni Suport pentru coordonare,
Pensiuni,                                          ONG           introducerea      oportunităţilor, reţea de
                            nopţilor de                                                                         între    Informare continuă în masă,
ofertanţi Lipsa resurselor     cazare,
                                               Conflicte cu      serviciilor de    parteneriate, schimbarea
                                                                                                             competitori, pe înţelesul localnicilor,
de cazare financiare şi a diversificarea     „concurenţa” şi      calitate mai        mentalităţii,crearea
                                                                                                               efecte           plan de acţiune,
           informaţiilor                           APL          bună, formarea       locurilor de muncă în
                             atracţiilor                                                                     negative de implementarea planului de
                                             Potenţial scăzut      identităţii          zonă, crearea şi
                           turistice şi de                                                                     mediu         acţiune, îmbunătăţire
                                             de iniţierea unei turistice locale     dezvoltarea surselor de
                             agrement                                                                                      schimbului de informaţii
                                             reţele sectoriale      coerente            venit alternative
Relaţia cu alţi                                                     Efecte     Posibile acţiuni orientate
                   Interesele şi                    Actori                                                        negative ale către interesele Actorilor
                     cum sunt    Capacitatea şi (parteneriat,      Obiectivele            Efecte pozitive ale      LEADER (aplanarea conflictelor,
 Actori             afectate de motivarea de a conflict, interese principale ale          LEADER asupra             asupra            încurajarea
Implicaţi          problemă(e) face schimbare complementare)        Actorului                 Actorului            Actorului       parteneriatului)
                                            Parteneriat cu
                                                                                  Identificarea                      Susţinerea parteneriatelor,
                                           APL şi cu unele                                               Tensiuni
   IMM                       Eliminarea                        Creşterea     oportunităţilor, schimb                 informare continuă în masă,
              Greutăţi în                   întreprinderi;                                                 între
Întreprinză extinderea sau obstacolelor ce   Conflicte cu
                                                           competitivităţii    de informaţii, reţea
                                                                                                        competitori,
                                                                                                                     pe înţelesul localnicilor,
    tori                    îngreunează                    prin ameliorarea pentru întreprinzătorii                  plan de acţiune,
             întemeierea                    populaţia, cu                                                 efecte
                            dezvoltarea                     infrastructurii    locali, schimbarea                    implementarea planului de
             unei afaceri                    activiştii de                                              negative de
                             afacerilor                        specifice    mentalităţii, noi locuri de              acţiune, îmbunătăţire
                                              mediu, cu                                                   mediu
                                                                             muncă pentru localnici                  schimbului de informaţii
                                            „concurenţa”;

                                       Expertiză                                                                       Poate
                        Lipsa                                           Extinderea
                                       specifică;                                                                     deveni
                  parteneriatelor;                    Cooperare cu    parteneriatului;                                            Îmbunătăţirea schimbului de
                                                                                        Îmbunătăţirea dialogului publică lipsa
  ONG                Livrare de iniţiativă; dialog întreprinzători,     Activitate in                                              informaţii; Participarea la
                                                                                         social; Creşte spaţiul de de iniţiativă,
                  informaţii către       social;       populaţie,        domeniul                                                    programe de formare;
                                                                                           manevră; Apar noi           lipsa
                   ceilalţi Actori; autoidentificare celelalte ONG,      specific;                                                    Iniţierea/extinderea
                                                                                               parteneriate         capacităţii
                     Formarea       a cu obiectivele      APL          Îmbunătăţirea                                                    dialogului social
                                                                                                                         de
                      adulţilor        populaţiei                      calităţii vieţii
                                                                                                                    cooperare


                                                                       Extinderea                                   Tensiuni
                                      Păstrarea                        surselor de                                    între
                     Lipsă de                                                             Oportunităţi de
                                     tradiţiilor;    Parteneriate cu venit alternativ                             competitori, Susţinerea parteneriatelor,
    Meşteşugari




                    notorietate,                                                        Parteneriate cu alţi
                                   Promovarea şi     ONG, Actorii    prin Creşterea                                 probleme Suport pentru coordonare,
                     Lipsă de                                                         meşteşugari, cu ONG, cu
                                     desfacerea     turismului rural notorietăţii şi                                legate de   promovarea produselor
                      fonduri                                                         Actorii turismului rural
                                     produselor                       Promovarea                                   promovare
                                                                       produselor                                 şi desfacere
Relaţia cu alţi                                                     Efecte     Posibile acţiuni orientate
             Interesele şi                    Actori                                                        negative ale către interesele Actorilor
               cum sunt    Capacitatea şi (parteneriat,      Obiectivele             Efecte pozitive ale     LEADER (aplanarea conflictelor,
 Actori       afectate de motivarea de a conflict, interese principale ale           LEADER asupra            asupra            încurajarea
Implicaţi    problemă(e) face schimbare complementare)        Actorului                  Actorului           Actorului       parteneriatului)
                          Eficientizarea
                          procesului de                                                                 Conflicte cu
Formatori Neconcordanţă     formare,
                                         Parteneriate cu
                                                            Armonizarea
                                                                              Conexiuni către celelalte
                                                                                                         alţi Actori       Susţinere pentru dialog
          între cerere şi                ONG şi instituţii                     sectoare, Parteneriate
                          Deţinerea unei                   cererii şi ofertei                           implicaţi în               social
              ofertă                      de învăţământ                            intersectoriale
                            expertize                                                                     formare
                            specifice

                             Are iniţiativă;
                                                                   Stabilirea de
                             are concepţie Parteneriat cu toţi                                               Apariţia
                                                                    parteneriate Cresc veniturile, dialog,
                                 despre          Actorii:                                                      unor
  APL                                                             pentru scopuri    echilibru între actorii
               Lipsă de    dezvoltare; este Interpretarea                                                   obligaţii în   Susţinere pentru dialog
                                                                   neimpuse de locali, inclusiv populaţia
               fonduri     conectat la surse     greşită a                                                  afara celor     social şi transparenţă
                                                                 lege; consiliere;   locală; încurajarea
                             de informaţii, propriului statut                                               impuse de
                                                                  Îmbunătăţirea        parteneriatelor
                              are obligaţii  de „competitor”                                                   lege
                                                                   calităţii vieţii
                            impuse de lege

                                                                                                            Apariţia
                                             Relaţii generate
                                                                  Parteneriate                                unor
Autorităţi    Deţin doar    Obligate prin     de exercitarea                           Pune în lumină
                                                                 pentru diferite                           obligaţii în Conectarea obiectivelor intr-
              informaţii     legislaţie,        funcţiilor,                        oportunităţi noi pentru
                                                                  iniţiative de                            afara celor      un sistem coerent
               parţiale       iniţiativă        Eventuale                          programe de dezvoltare
                                                                   dezvoltare                              impuse de
                                                 conflicte
                                                                                                              lege
Relaţia cu alţi                                                        Efecte     Posibile acţiuni orientate
              Interesele şi                    Actori                                                           negative ale către interesele Actorilor
                cum sunt    Capacitatea şi (parteneriat,      Obiectivele               Efecte pozitive ale      LEADER (aplanarea conflictelor,
 Actori        afectate de motivarea de a conflict, interese principale ale             LEADER asupra             asupra            încurajarea
Implicaţi     problemă(e) face schimbare complementare)        Actorului                    Actorului            Actorului       parteneriatului)


                                                                         Efect
                               Obligaţii
   Alte                                                              multiplicator
                              impuse de      Cooperare cu                                   Stabilirea unor         Nevoia
 Asociaţii   Limite în                                             prin extinderea
                            legislaţia UE; comunităţi şi/sau                           parteneriate; planificarea acomodării      Cooperare, parteneriat pe
 şi GAL      exerciţiul                                            parteneriatelor;
                           condiţionalitate    Asociaţii                               şi implementarea comună         în          parcursul planificării
           Parteneriatelor                                          Îmbunătăţirea
                               accesării      învecinate                                    a unor proiecte       parteneriate
                                                                   calităţii vieţii în
                              fondurilor
                                                                     mediul rural


                 Nu sunt
              interesate de
 Instituţii                     Cadru legal
                 piaţa de                                           Ameliorarea                                                    Semnalarea problemelor
 de credit                     inadecvat, nu   Slabă cooperare                                                      Nu se
               creditare a                                          condiţiilor de        Nu se întrevăd                           către Actori influenţi la
                                   pot fi      cu Actorii rurali                                                   întrevăd
              proiectelor de                                          creditare                                                  nivel naţional cum ar fi AM
                                influenţate
                dezvoltare
                  rurală

Constatările acestei analize constituie punct de plecare pentru analiza SWOT detaliată a zonei acoperite de potenţialul GAL.
II.2.2.1 Evaluarea Actorilor implicaţi
Metoda de calcul pentru valoare coeficientului de influenţă a unui actor:
                                CoefActori = CoefCorectiei * xi2 + y i2

coeficientul de corecţie ia valori funcţie de „Măsura în care Actorul susţine schimbarea” şi
„Capacitatea de influenţă asupra schimbării”:
                                                            Măsura în care Actorul susţine schimbarea
                                                            BLOCK        NEUTRAL          SUPPORT
                                                    MARE      0.25          1.00             1.50
       Capacitatea de influenţă asupra schimbării   MEDIE     0.50          1.00             1.25
                                                    MICĂ      0.75          1.00             1.10
                                                       n

                                                      ∑ CoefActor    i
                                   CoefGLOBAL =        1

                                                           n
          II.2.2.2 Comentarii privind Evaluarea Actorilor implicaţi
Poziţiile actorilor implicaţi sunt aproape rigide, foarte greu de schimbat.
Coeficientul GLOBAL pentru situaţia dată este de 0.72%. În cazul aplicării cu succes a unei
strategii minimale, adică schimbarea atitudinii „BLOCARE” în poziţia „NEUTRU” valoarea
Coeficientului GLOBAL creşte la 0,76%. Valoare maximă normalizată fiind de 100% ambele
valori sunt acceptabile, în apropiere de 0,75% - adică un risc acceptabil.
Din Analiza şi Evaluarea Actorilor implicaţi rezultă clar: riscurile asociate proiectului sunt mici,
cu siguranţă sub pragul de risc inacceptabil, cu excepţia posibilităţilor de credit, care sunt
necesare pentru co-finanţare. Acordarea pre-finanţării/avansului pare a fi singura soluţie viabilă.
II.2.2.3 SWOT – TERITORIU
În analiza SWOT s-a considerat ca entitate analizată, aria acoperită de potenţialul GAL,
restul actorilor (inclusiv nivelul judeţean) fiind consideraţi „externi”.
Punctele slabe haşurate constituie cauze generatoare de probleme sau efecte/probleme, şi
se regăsesc la baza Arborelui problemă.
Funcţie de eficacitatea cu care s-a reuşit formularea Punctelor Slabe, acestea se constituie
în:
• Cauze directe, la baza arborelui problemă sau
•Cauze compuse, care la rândul lor sunt reformulate din mai multe elemente pentru o mai
 bună pliere pe Axele şi Măsurile existente în PNDR.
Eticheta cauzei de la baza arborelui problemă se regăseşte în colana din dreapta ataşată
matricei SWOT („Cauzat de”).
Punctele slabe care nu pot fi tratate prin prezenta strategie se constituie în Riscuri/Ipoteze
şi apar în coloana aferentă a Matricei Cadru Logic.
Riscurile haşurate constituie Ipoteze, şi se regăsesc în coloana a 4 –a a Matricei Cadru
Logic. Pentru a avea un text mai concis în Ipoteze am inserat sinteza unor riscuri ce
periclitează domenii similare.
Localizarea teritoriului, prezentarea geografică şi fizică (caracteristici geografice – izolare
– deservire – infrastructuri), patrimoniu de mediu, patrimoniu arhitectural şi cultural
(centre de interes – patrimoniu –cultură – mediu înconjurător)
SWOT – TERITORIU
       PUNCTE TARI                             PUNCTE SLABE                     Cauzat de
             caracteristici geografice – izolare – deservire – infrastructuri
                                     Calitatea şi gama serviciilor turistice
                                     este scăzută:
                                     * nu există o ofertă atractivă pentru
Zonă montană, intactă                                                         Cause_III_2.1.1
                                     minivacanţa de iarnă
                                     * există foarte puţine servicii de
                                     agrement şi distracţie


                                    SWOT – TERITORIU
         OPORTUNITĂŢI                                  RISCURI                     LogFrame
                caracteristici geografice – izolare – deservire – infrastructuri
                                         Zona nu este străbătută de căi
                                         terestre de comunicare importante
                                         - zona Baraolt este izolată




                                                                                      Scopul proiectului
Interes crescând – generat de criza      Infrastructura de transport ce
economică - al turiştilor pentru         deserveşte zona este în stare
locaţii cu servicii de calitate la cost precară, densitatea sub media
redus                                    naţională - accesibilitatea zonelor
                                         turistice este slabă
                                         Deteriorarea şi mai accentuată a
                                         infrastructurii de transport –
                                         creşterea gradului de izolare fizică
SWOT – TERITORIU
          PUNCTE TARI                             PUNCTE SLABE                    Cauzat de
                                     patrimoniu de mediu
                                         Depozitarea de deşeuri în arii
Din punct de vedere al                                                         Cause_II_2.1.1,
                                         protejate în urma turismului şi
circumstanţelor geografice şi de                                               Cause_II_3.3.1,
                                         depozitarea de deşeuri menajere       Cause_II_2.2.1
mediu potenţialul GAL este unitar
                                         în arii protejate
                                                                               Cause_II_2.1.1,
izvoare minerale cu o compoziţie         Distrugerea sau furtul de panouri
                                                                               Cause_II_3.3.1,
carbogazoasă, clorosodică, calcică       indicatoare din rezervaţii            Cause_II_2.2.1
Nivel ridicat al biodiversităţii
asociate terenurilor agricole,
                                                                               Cause_II_2.1.1,
inclusiv suprafeţe largi de pajişti
                                         Incendierea păşunilor                 Cause_II_3.3.1,
semi-naturale, ce pot fi clasificate                                           Cause_II_2.2.1
ca teren agricol cu valoare naturală
înaltă
Existenţa pe suprafeţe largi de teren                                          Cause_I_3.2.1,
                                         Capacitate limitată a noilor          Cause_I_3.2.2,
agricol a practicilor agricole
                                         proprietari privaţi de pădure de a-   Cause_I_2.3.1,
tradiţional extensive, fapt ce
                                         şi gestiona pădurile într-un mod      Cause_II_2.1.1,
demonstrează existenţa sistemelor                                              Cause_II_3.3.1,
                                         durabil
agricole cu valoare naturală înaltă                                            Cause_II_2.2.1
                                         Grad scăzut de conştientizare al
                                         fermierilor privind importanţa        Cause_II_2.1.1,
                                         practicilor agricole durabile (care   Cause_II_3.3.1,
                                         protejează mediul şi favorizează      Cause_II_2.2.1
                                         conservarea solului)
                                         Sectorul agricultură ecologică în
                                         comparaţie cu media europeană
                                                                               Cause_I_1.1.1
                                         este slab dezvoltat, iar piaţa
                                         internă este una tânără
                                         Procesatorii interni la scară mică
                                         folosesc utilaje învechite şi
                                         ineficiente, fapt care conduce la o
                                                                               Cause_I_2.2.1
                                         calitate inconstantă a produselor
                                         şi o slabă respectare a normelor
                                         de protecţie a mediului
                                         Lipsa instalaţiilor şi
                                         echipamentelor necesare pentru        Cause_II_2.1.1,
Tradiţie îndelungată în gospodărirea
                                         managementul gunoiului de grajd       Cause_II_3.3.1,
obştească din unele zone                                                       Cause_II_2.2.1
                                         (în special pentru depozitarea
                                         acestuia) în fermele zootehnice
                                         Management foarte deficitar al
Resurse naturale neexploatate                                                  Cause_I_2.2.1
                                         deşeurilor domestice şi de grajd
Nivel ridicat al biodiversităţii pe      Activitate scăzută la nivelul         Cause_II_3.1.1,
suprafeţele agricole                     pepinierelor silvice private          Cause_II_3.2.1
SWOT – TERITORIU
          OPORTUNITĂŢI                                  RISCURI                      LogFrame
                                     patrimoniu de mediu
                                           Risc de a pierde suprafeţe
                                           importante de păşune, datorită
Creşterea gradului de conştientizare       standardelor sanitar-veterinare            Scopul
asupra conceptului de Înaltă Valoare       recent impuse fermierilor, standarde     proiectului
Naturală şi a importanţei acestuia         ce pot afecta sistemele tradiţionale        412
                                           de păşunat aflate în imposibilitatea
                                           de a se adapta rapid
Potenţial de a sprijini sistemele
agricole cu înaltă valoare naturală
prin intermediul unui complex de
                                           Destabilizarea microclimatelor, ca o       Scopul
intervenţii strategice şi practice,
                                           consecinţă a schimbărilor climatice      proiectului
incluzând şi dezvoltarea de pieţe
pentru produsele agricole tradiţionale,
sprijinul pentru agroturism, etc.
Potenţial de stimulare a comunităţilor
                                           Lipsa infrastructurii de canalizare şi
locale în vederea creşterii gradului de                                               Scopul
                                           de gospodărire a deşeurilor
conştientizare asupra nevoilor de                                                   proiectului
                                           domestice în multe localităţi rurale
conservare a biodiversităţii
Exploatarea rolului multifuncţional al
                                           Lipsa unor titluri de proprietate
pădurilor prin ecoturism, activităţi de                                               Scopul
                                           clare asupra suprafeţelor de pădure
recreere, recoltarea de produse                                                     proiectului
                                           descurajează gospodărirea pădurilor
nelemnoase, plăţi pentru servicii de                                                   412
                                           într-o manieră durabilă
protecţie a mediului
SWOT – TERITORIU
          PUNCTE TARI                          PUNCTE SLABE                     Cauzat de
                              patrimoniu arhitectural şi cultura
                                       Lipsa de competenţă
Obiective clasificate de patrimoniu
                                       managerială, profesională în
naţional în număr mare şi de mare                                             Cause_I_1.1.1
                                       păstrarea şi valorificarea
diversitate
                                       patrimoniului
Un excelent exemplu de bună            Accesul redus pe piaţă al             Cause_I_3.1.1,
practică la castelul Kálnoky           produselor meşteşugăreşti             Cause_II_1.1.1
                                       Calitate slabă a infrastructurii şi a
                                       serviciilor turistice
În majoritatea cazurilor proprietatea                                        Cause_III_2.1.1,
                                       • nu există o ofertă atractivă        Cause_III_2.1.3
sau administrarea este clarificată
                                       pentru valorificarea patrimoniului
                                       cultural, al tradiţiilor locale
În general sunt situate în afara
zonelor de risc natural cunoscute
Zona face parte dintr-o regiune
etnografică distinctă
Tradiţii culturale locale cu valoare
adăugată ce pot fi valorificate


                        SWOT – TERITORIU
         OPORTUNITĂŢI                          RISCURI                             LogFrame
                    patrimoniu arhitectural şi cultura
                                                                                   Rezultate
                                          Starea de cele mai multe ori avansat
Existenţa abordării LEADER                                                         aşteptate
                                          degradată a obiectivelor
                                                                                   313, 322
II.2.2.4 SWOT – POPULAŢIA
populaţie – demografie, repartizarea populaţiei active
(demografie – populaţia activă – îmbătrânire – nivel de instruire – cunoştinţe şi
competenţe specifice teritoriului)
                                   SWOT – POPULAŢIA
           PUNCTE TARI                           PUNCTE SLABE                    Cauzat de
      demografie – populaţia activă – îmbătrânire – nivel de instruire – cunoştinţe şi
                                competenţe specifice teritoriului
                                        Populaţia cunoaşte la ora actuală
                                        un proces de regres accentuat
Există diversitate etnică care poate
                                        datorat îmbătrânirii, scăderii         Cause_I_2.1.1,
fi pusă în valoare datorită abordării
                                        fertilităţii şi migraţiei. Procesul de Cause_I_2.1.2
LEADER
                                        îmbătrânire demografică va
                                        continua.
                                        Se prognozează o scădere drastică
Creşterea numărului de absolvenţi
                                        a numărului copiilor şi tinerilor de
ai facultăţilor de profil agricol
                                        vârstă şcolară
                                        Raportul de dependenţă la 1,000        Cause_I_2.1.1,
                                        persoane potenţial active 45%          Cause_I_2.1.2
                                        Diminuarea populaţiei în vârstă        Cause_I_2.1.1,
                                        de muncă                               Cause_I_2.1.2
                                        Pe piaţă vor lipsi tinerii
                                        specializaţi în diverse profesii,
                                        datorită insuficienţei numărului        LogFrame –
                                        de persoane. Profesiile cele mai         Rezultate
                                        afectate vor fi cele din domeniul        aşteptate
                                        IT, medicină, automatizări,
                                        construcţii şi instalaţii, etc.
                                        Incidenţa şomajului pe termen
                                                                               Cause_I_2.1.1,
                                        lung este deosebit de ridicată în
                                                                               Cause_I_2.1.2,
                                        judeţ – cu mult peste media            Cause_III_1.1.1
                                        regională, naţională şi comunitară
                                        Se constată o structură
                                        defavorabilă a populaţiei active,      Cause_I_2.1.1,
                                        înregistrându-se o pondere             Cause_I_2.1.2,
                                        excesivă a şomajului în rândul         Cause_III_1.1.1
                                        populaţiei active
                                        Pondere importantă a SAU este
                                                                               Cause_I_2.1.1,
                                        lucrată de agricultori mai             Cause_I_2.1.2
                                        vârstnici, din exploataţii mai mici
                                        Nivel scăzut de educaţie şi de
                                                                               Cause_I_1.1.1
                                        competenţă profesională
                                        Prezenţa redusă a femeilor pe          Cause_I_2.1.1,
                                        piaţa muncii                           Cause_I_2.1.2
SWOT – POPULAŢIA
          OPORTUNITĂŢI                                   RISCURI                 LogFrame
      demografie – populaţia activă – îmbătrânire – nivel de instruire – cunoştinţe şi
                               competenţe specifice teritoriului
Existenţa unor programe de asistenţă Accentuarea tendinţei tinerilor de a         Scopul
socială şi programe de pensii            părăsi zona                            proiectului
                                                                                  Scopul
Diversificarea activităţilor din zonele Majorarea costurilor salariale şi a
                                                                                proiectului
rurale poate fi sprijinită               fiscalităţii în general
                                                                                    411
Formarea profesională poate ajuta la                                              Scopul
îmbunătăţirea competenţelor              Lipsa investiţiilor                    proiectului
fermierilor                                                                         413
Reîntinerirea generaţiei de şefi de
exploataţii
II.2.2.5 SWOT - ACTIVITĂŢI ECONOMICE
industrie – IMM – micro-întreprinderi, comerţ şi sectorul de servicii (primar – secundar -
terţiar – servicii – turism), agricultura
                         SWOT - ACTIVITĂŢI ECONOMICE
           PUNCTE TARI                         PUNCTE SLABE                    Cauzat de
                          industrie – IMM – micro-întreprinderi
Existenţa unor meserii tradiţionale    Prelucrare lemnului, şi a pietrei
legate de prelucrarea lemnului şi      brute sunt singurele activităţi
cioplitul pietrei                      prezente în zonă
                                       Nu există reţele de desfacere a
                                       produselor agro-alimentare şi nici Cause_I_3.1.1
                                       lanţuri de procesare
                                       Legăturile industriei locale cu
                                       celelalte domenii economice ale
                                       zonei sau cu zone externe sunt
                                       sporadice, ocazionale, fără a         Cause_III_1.1.1
                                       exercita o influenţă continuă
                                       asupra vieţii locuitorilor din
                                       arealul potenţialului GAL
                                       În 2008 din zonă a fost înregistrat
                                                                             Cause_II_2.1.1,
                                       un singur producător ecologic.
                                                                             Cause_II_3.3.1,
                                       Procesatori ecologici nu au fost      Cause_II_2.2.1
                                       înregistraţi din zonă.
                                       Nivel scăzut de conformitate a        Cause_I_1.1.2,
                                       produselor cu normele UE              Cause_I_1.1.3
                                       Economia rurală este slab
                                       diversificată şi încă dependentă
                                       de activităţile agricole, ceea ce are
                                                                             Cause_I_2.1.3
                                       drept consecinţă venituri reduse
                                       pentru întreprinzătorii din mediul
                                       rural


                           SWOT - ACTIVITĂŢI ECONOMICE
          OPORTUNITĂŢI                                  RISCURI                   LogFrame
                             industrie – IMM – micro-întreprinderi
                                           Incapacitatea de a îmbunătăţi           Scopul
Creşterea cererii pentru produse
                                           calitatea materiilor prime conform    proiectului
tradiţionale, de calitate, ecologice
                                           standardelor UE                          411
                                           Gradul scăzut de predictibilitate a   Scopul
Existenţa abordării LEADER
                                           deciziilor administraţiei centrale    proiectului
SWOT - ACTIVITĂŢI ECONOMICE
                         PUNCTE TARI                                                         PUNCTE SLABE                                Cauzat de
                                                           comerţ şi sectorul de servicii - turism
                                                                      Baza restrânsă a activităţilor economice alternative            Cause_III_1.1.1
                                                                      Cultura antreprenorială slab dezvoltată                         Cause_III_1.1.1
                                                                      Accesul redus pe piaţă al produselor meşteşugăreşti             Cause_II_1.1.1
                                                                      Comerţul şi serviciile sunt punctuale, fără a fi integrate în
                                                                                                                                      Cause_II_1.1.1
                                                                      reţele, clustere sau bresle
Potenţial geografic şi de mediu foarte bun pentru activităţi
                                                                      Dependenţa faţă de agricultura de subzistenţă                   Cause_II_1.1.1
sportive de agrement
Resurse naturale şi produse locale Prezenţa facilităţilor de                                                                          Cause_III_2.1.1,
                                                                      Calitate slabă a infrastructurii şi a serviciilor turistice
confort rural                                                                                                                         Cause_III_2.1.3
                                                                      Pentru turism de agrement şi odihnă nu există, deocamdată,      Cause_III_2.1.1,
Diversitatea tipurilor de turism şi a locurilor care pot fi vizitate
                                                                      infrastructură adecvată                                         Cause_III_2.1.3
                                                                      Multitudinea de obiective de patrimoniu arhitectural şi
                                                                                                                                      Cause_III_2.1.1,
Moştenirea meseriilor tradiţionale – ceramică, lemn, lână             arheologic nu sunt valorificate pentru animarea turismului
                                                                                                                                      Cause_III_3.1.1
                                                                      rural cultural – religios
Există resurse pentru turism arhitectural, etnografic, ecoturism, Majoritatea bazinelor cu apă minerală, folosite în principal
                                                                                                                                      Cause_III_2.1.3
artă culinară şi în mai mică măsură turism cultural                   pentru tratamente sunt nefuncţionale
Zona geografică are o tradiţie în
• turism balnear,
                                                                      Baza restrânsă a activităţilor economice alternative            Cause_III_1.1.1
• turism de agrement şi odihnă
• turism cultural
Turismul balnear este forma de turism cu cea mai mare tradiţie
                                                                      Cultura antreprenorială slab dezvoltată                         Cause_III_1.1.1
din zonă
Spiritualitatea spaţiului rural, mediul nealterat, gastronomia
                                                                      Accesul redus pe piaţă al produselor meşteşugăreşti             Cause_II_1.1.1
specifică
Patrimoniul arhitectural, împreună cu cel imaterial, conferă un Comerţul şi serviciile sunt punctuale, fără a fi integrate în
                                                                                                                                      Cause_II_1.1.1
profil specific acestei zone                                          reţele, clustere sau bresle
A început să se dezvolte agroturismul                                 Dependenţa faţă de agricultura de subzistenţă                   Cause_II_1.1.1
Potenţial geografic şi de mediu foarte bun pentru activităţi
sportive de agrement
SWOT - ACTIVITĂŢI ECONOMICE
                    OPORTUNITĂŢI                                                          RISCURI                            LogFrame

                                                    comerţ şi sectorul de servicii - turism
                                                                Timp îndelungat necesar pentru dezvoltarea                    Scopul
Sprijin pentru agroturism şi ecoturism                                                                                      proiectului
                                                                infrastructurii rurale
Dezvoltarea patrimoniului natural şi a produselor aferente                                                                    Scopul
                                                                Tendinţa de îmbătrânire a populaţiei                        proiectului
turismului rural
Dezvoltarea produselor agroalimentare tradiţionale şi           Impunerea noilor norme sanitare, care limitează accesul       Scopul
ecologice                                                       produselor tradiţionale în agroturism                     proiectului 413
Dezvoltarea şi punerea în valoare a activităţilor
meşteşugăreşti
Dezvoltarea sectorului de servicii
Beneficii obţinute în urma aplicării programului LEADER
II.2.2.6 SWOT - ORGANIZAREA SOCIALĂ ŞI INSTITUŢIONALĂ
servicii pentru populaţie şi infrastructuri medico-sociale, activităţi sociale şi instituţii
locale, politicile de dezvoltare locală întreprinse în teritoriu
(activităţi asociative – ONG – organizare instituţională)
SWOT - ORGANIZAREA SOCIALĂ ŞI INSTITUŢIONALĂ
           PUNCTE TARI                             PUNCTE SLABE                  Cauzat de
                                 infrastructuri medico-sociale
Peste jumătate din localităţi dispun
de servicii sociale comunitare.           Starea de sănătate a populaţiei cel
                                                                               Cause_I_2.1.1,
Aceste demersuri se bucură de             puţin în cazul a 8 diagnostice       Cause_I_2.1.2
susţinerea necondiţionată a               majore peste media naţională
locuitorilor zonei.
                                          Reţeaua sanitară: acoperire slabă.
                                          Personal medico – sanitar cu mult
ONG acoperă o gamă largă de
                                          sub media naţională raportată la
activităţi inclusiv grupuri sociale
                                          10,000 locuitori - Suprasolicitarea
defavorizate
                                          cadrelor medico - sanitare care
                                          lucrează în zonă
                                          Posibilităţile de diagnostic sunt
                                          din ce în ce mai reduse din cauza
                                          lipsei reabilitării infrastructurii
                                          medicale şi din cauza lipsei
                                          echipamentelor performante
                                          Accesul îngreunat al populaţiei
                                          paupere, bolnave şi îmbătrânite la
                                                                               Cause_I_2.1.1,
                                          serviciile de sănătate în general şi Cause_I_2.1.2
                                          la cele de specialitate în mod
                                          deosebit
                                          Cea mai apropiată unitate de
                                          învăţământ secundar este la cca.      LogFrame -
                                          35 km                                  Rezultate
                                          Cel mai apropiat centru              aşteptate 111,
                                          universitar este la cca. 70 km       341, 112, 113,
                                                                                  114, 143
                                          Lipsa unor unităţi de calitate în
                                          domeniul educaţiei
                                          Lucrătorii din domeniul social
                                          duc lipsa unor pregătiri
                                                                               Cause_III_2.1.3
                                          profesionale la standarde
                                          comunitare.
                                          Deteriorarea în continuare a stării Cause_I_2.1.1,
                                          de sănătate a populaţiei             Cause_I_2.1.2
                                          Reducerea drastică a fondurilor
                                          centrale alocate sănătăţii
                                          Reducerea continuă a atractivităţii
                                          zonei pentru personalul medico -
                                          sanitar
II.2.2.7 SWOT - Potenţialul de producţie agricolă (producţia primară)
    SWOT - Potenţialul de producţie agricolă (producţia primară)
PUNCTE TARI                     PUNCTE SLABE                       Cauzat de
                  Pondere importantă a SAU este utilizată de
                  exploataţii de subzistenţă şi semi-            Cause_I_2.1.3
                  subzistenţă neperformante
                                                                 Cause_II_2.1.1,
                  Nivel scăzut de conformitate cu normele
                                                                 Cause_II_3.3.1,
                  UE                                             Cause_II_2.2.1
                  Dotare tehnică scăzută şi de slabă calitate în
                                                                 Cause_I_2.2.1
                  exploataţiile mai mici
                  Nivel scăzut de utilizare a energiei din surse Cause_II_2.1.1,
                                                                 Cause_II_3.3.1,
                  regenerabile                                   Cause_II_2.2.1
                  Infrastructură agricolă inadecvată             Cause_II_1.1.1
                  Nu există servicii pentru agricultură,
                                                                 Cause_II_1.1.1
                  depozite
                  Fragmentarea excesivă a terenurilor şi
                  structura proprietăţii din acest sector,       Cause_II_1.1.1
                  precum şi nivelul tehnologic relativ redus
                  Pondere importantă au fermele de semi-
                  subzistenţă activităţi agricole de cultivare a
                                                                 Cause_II_1.1.1
                  plantelor şi de creştere a animalelor, bazate
                  pe tradiţii specifice satului din România
                  Structura, nefavorabilă în principal
                  exploataţiilor agricole de semi-subzistenţă,
                                                                 Cause_II_1.1.1
                  precum şi cooperarea insuficientă a
                  producătorilor agricoli
                  Se lucrează cu tehnologie depăşită, cu
                  logistică nesatisfăcătoare şi pricepere
                                                                 Cause_II_1.1.1
                  limitată, marcată de un tradiţionalism ce
                  refuză orice inovaţie
                  Majoritatea producătorilor din mediul rural
                  sunt producători individuali, care în cel mai
                  bun caz au un certificat de persoană fizică
                                                                 Cause_II_1.1.1
                  autorizată sau lucrează prin asociaţie
                  familială şi producţia obţinută este
                  valorificată în mod individual
                  Reticenţa şi interesul scăzut al
                  producătorilor agricoli faţă de formele        Cause_II_1.1.1
                  asociative
SWOT - Potenţialul de producţie agricolă (producţia primară)
          OPORTUNITĂŢI                          RISCURI                 LogFrame


                                         Incapacitatea de a rezolva problema
                                         pieţelor-lipsă pentru exploataţiile      Scopul
Posibilitate diversificării culturilor   comerciale (piaţa funciară, credite,   proiectului
                                         servicii de consultanţă, servicii de      411
                                         marketing)
Introducere dinamică a agriculturii
ecologice în România
II.2.2.8 SWOT – Calitatea vieţii – Dezvoltare rurală

                       SWOT – Calitatea vieţii – Dezvoltare rurală
          PUNCTE TARI                           PUNCTE SLABE                      Cauzat de
                                      Calitatea vieţii
Moştenire rurală bogată (tradiţii,     Mod de viaţă nesănătos, din care
cadru natural, arhitectură             activitatea sportivă periodică
tradiţională)                          lipseşte
                                       Infrastructura rurală de bază slab
Identitate rurală – Identitate locală  dezvoltată (drumuri, apă/tratarea       Cause_III_2.1.3
                                       apei reziduale, energie şi gaze)
                                       Acces limitat la serviciile de bază
                                       (facilităţi pentru copii, vârstnici;
                                                                               Cause_III_2.1.3
                                       activităţi recreative şi spaţii
                                       recreaţionale)
                                       Degradare accentuată a
                                       aşezărilor/satelor cu valoare           Cause_III_2.1.3
                                       culturală
                                       Incidenţa ridicată a sărăciei în
                                       satele situate în zone mai puţin        Cause_III_1.1.1
                                       accesibile
                                       Bilanţul politicilor întreprinse în
                                       teritoriu: judeţul Covasna a atras
                                       cca. 2% din totalul Fondurilor de         LogFrame -
                                       Pre-Aderare, prin urmare şi zona           Rezultate
                                       potenţialului GAL a avut o rată de         aşteptate
                                       absorbţie (şi efecte pe măsură) cu
                                       mult sub media naţională.
                                       Densitatea infrastructurii rutiere şi     LogFrame -
                                       de cale ferate este cu mult sub              Scopul
                                       media naţională.                           proiectului
                                       Situaţia utilităţilor la locuinţe
                                       raportată la media naţională este
                                                                                LogFrame -
                                       mai slabă, în special la categoriile
                                                                                   Scopul
                                       „Instalaţie electrică”, şi „Încălzire   proiectului 413
                                       prin termoficare sau prin centrală
                                       termică”.
SWOT – Calitatea vieţii – Dezvoltare rurală
          PUNCTE TARI                        PUNCTE SLABE                     Cauzat de
                                    Dezvoltare rurală
                                     Incapacitatea de formare a unor
                                     parteneriate locale puternice şi de
                                                                           Cause_III_3.1.1
                                     promovare a potenţialului
                                     endogen al teritoriilor
                                     Lipsa experienţei colaborării între
Înfiinţarea Asociaţiei Alutus                                              Cause_III_3.1.1
                                     actorii
                                     Lipsa resurselor financiare             LogFrame -
Existenţa unor structuri asociative
                                     necesare investiţiilor şi                Rezultate
profesionale, ONG, etc.                                                       aşteptate
                                     cofinanţării proiectelor



                SWOT – Calitatea vieţii – Dezvoltare rurală
         OPORTUNITĂŢI                         RISCURI                           LogFrame
                             Calitatea vieţii
                                                                                Rezultate
                                        Dispariţia patrimoniului şi a
Existenţa abordării LEADER                                                      aşteptate
                                        tradiţiilor rurale
                                                                                   322
                                                                                Rezultate
                                        Depopularea zonelor rurale              aşteptate
                                                                                313, 312



                      SWOT – Calitatea vieţii – Dezvoltare rurală
          OPORTUNITĂŢI                                RISCURI                   LogFrame
                                   Dezvoltare rurală
Posibilitatea Acreditării GAL Alutus
                                      Incapacitatea de formare a unor
Valorificarea abordării LEADER
                                      parteneriate externe puternice şi de      Scopul
pentru întărirea capacităţilor de
                                      promovare a potenţialului endogen       proiectului
dezvoltarea rurală
                                      al teritoriilor
II.2.3 Tipul de strategie ales pe baza analizei SWOT
Au fost analizate următoarele posibile scenarii:
• Trend (evoluţia situaţiei în lumina tendinţele actuale, fără intervenţii din exterior)
• Ţintă A (Dezvoltare iniţiată de către investitori externi, orientaţi în exclusivitate pe
  profit.)
• Ţintă B (Dezvoltarea iniţiată de către investitori interni. Accentul se pune pe valorile
  tradiţionale.)
• Ţintă C (Dezvoltare bazată pe cooperarea actorilor sociali şi economici /autorităţi
  locale, întreprinzători, societatea civilă/. Pe lângă avantajele economice, se urmăreşte
  dezvoltarea durabilă, îmbunătăţirea calităţii vieţii, protecţia valorilor naturale şi
  culturale.)
         Scenariul „Trend” duce inevitabil către „Worst Case Scenario” – prin urmare ar
trebui evitat.
         Scenariul „Ţintă A” nu este realist, aria acoperită de GAL nefiind atractivă pentru
investitori externi (atât „externi” zonei, dar din ţară cât şi celor din afara ţării).
         Scenariul „Ţintă B” nu este realist, deoarece una dintre marile deficienţe ale zonei
este chiar lipsa de capital. Este o problemă chiar şi asigurarea co-finanţării din partea
beneficiarilor. Cu atât mai puţine şanse sunt, ca unele proiecte să poată fi finanţate
integral de către actori locali.
         Rămâne cel mai avantajos scenariu „Ţintă C”, care oferă şanse pentru întreg
teritoriul GAL.
Pornind de la faptul că:
• este de preferat un scenariu „Ţintă C” să se poată impune
• prezenta strategie şi bugetarea se face pentru o perioadă relativ scurtă (2011 – 2013)
• atât Punctele slabe cât şi RISCURIle întreţin o deteriorare lentă dar constantă a situaţiei
  generale
considerăm că merită formularea unei strategi de tip „Max – Max” (S - O) – adică o
„Strategie ofensivă”, care se bazează pe PUNCTEle TARI pentru a exploata
OPORTUNITĂŢIle existente.
                                       Strengths      Weaknesses

                       Opportunities S-O strategies W-O strategies

                       Threats         S-T strategies W-T strategies


                         PARTEA a – III - a: priorităţi
      II.2.4 Arborele problemelor
RISCURIle din Analiza SWOT nu au fost introduse în Arborele problemelor din lipsă de
spaţiu. Aceste RISCURI nu pot fi influenţate de către potenţialul GAL. Se vor regăsi deci
în coloana a 4 –a, a Matricei Cadru Logic.
II.2.4.1 Definirea cauzelor primare ale problemelor
PUNCTEle SLABE din analiza SWOT fundamentează Cauzele primare pe baza cărora
am încercat construirea unui Arbore al problemelor. Luând în considerare că avem la
îndemână un set de măsuri organizate pe axe prioritare, în conformitate cu liniile
directoare pentru dezvoltare rurală, s-a procedat la „translatarea” problemelor/cauzelor
într-o formulare care să permită stabilirea „diagnozei” în aşa fel, încât problemele să
poată fi conectate la axele prioritare, respectiv la măsurile acestor axe.
În principiu deci Punctele slabe, dacă s-a reuşit o formulare fericită, de fapt sunt
Probleme. Altminteri mai multe puncte slabe prin sinergie generează o problemă de bază,
o cauză.
                                 Problem              Causes         Weaknesses




Pe de altă parte această problemă de bază, astfel definită, este efectul unor cauze, care
deja sunt formulate în conformitate astfel, încât să fie compatibile cu măsurile existente
în PNDR.
       Cause                     Problem




Astfel se pot defini cauzele problemelor existente.
        Cause                    Problem              Causes         Weaknesses
II.2.4.1.1 Cauzele ce pot fi grupate sub incidenţa Axei I
II.2.4.1.2 Cauzele ce pot fi grupate sub incidenţa Axei II
II.2.4.1.3 Cauzele ce pot fi grupate sub incidenţa Axei III
II.2.4.2 Structura arborelui problemă


        Cauză                                                                          Efect


       Măsură           Obiectiv specific         Obiectiv strategic         Axă prioritară

Fiecare efect este suma cauzelor inferioare. Prin parametrii „weight” se modifică ponderea cu
care o cauză participă la generarea unui efect. Sub fiecare cauză/efect se reprezintă procentul cu
care respectivul element (cauză/efect) contribuie la efectul final.
Acest model este instrumentul prin care se stabileşte atât „diagnosticul”, cât şi tratamentul.
Aceleaşi relaţii de interdependenţă rămân valabile şi în cazul arborelui obiectivelor. În acest caz,
sub fiecare cauză/efect apare suma alocată (procentul din arborele problemelor) din totalul
alocat.
II.2.4.2.1 Arborele problemelor pentru Axa I
II.2.4.2.2 Arborele problemelor pentru Axa II
II.2.4.2.3 Arborele problemelor pentru Axa III
II.2.4.2.4 Arborele problemelor pentru Axa IV
II.2.5 Arborele obiectivelor
         II.2.5.1 Structura Arborelui obiectivelor

       Măsură            Obiectiv specific         Obiectiv strategic         Axă prioritară


        Instrument                                                                  Rezultat


Măsurile – adică instrumentele cu care se poate interveni asupra cauzelor problemelor – sunt
date. Toate problemele care nu pot fi soluţionate cu ajutorul măsurilor, trec la RISCURI. Prin
urmare, în arborele problemelor, şi implicit în cel al obiectivelor, sunt prezentate problemele
tratabile prin măsurile existente.
În acelaşi timp, cu ajutorul modelului prezentat se poate efectua şi analiza sensibilităţii, adică se
pot localiza măsurile ale căror implementare defectuoasă afectează în cel mai mare grad
realizarea obiectivelor fixate.
Arborele obiectivelor se stabileşte pe baza arborelui problemelor.
Procentajele folosite la ponderarea arborilor problemă le reproduc pe cele din PNDR.
La ponderarea arborilor obiectivelor ponderile din arborii problemă suferă uşoare modificări,
deoarece acest instrument în acelaşi timp este folosit şi pentru planificarea financiară (stabilirea
costurilor). Arborii obiectivelor sunt deopotrivă folosiţi şi ca arbori decizionali. Astfel în cazul
unor măsuri ce nu sunt aplicabile sau nu se doresc a fi aplicate, ponderile sunt de 0%, alocările
aferente transferându-se spre alte măsuri.
II.2.5.1.1 Arborele obiectivelor pentru Axa I
II.2.5.1.2 Analiza sensibilităţii pentru Axa II
Această analiză s-a efectuat examinând efectul modificării cu -10% a cauzelor de la
diferite nivele:
• Obiective strategice -> Axă
• Obiective specifice -> (Obiective strategice) -> Axă
• Măsuri -> (Obiective specifice -> (Obiective strategice) -> Axă
Obiective strategice -> Axă
 EfectCause_I_1         Effect     Se poate observa, că o scădere cu -10% la
      -10.1%            -0.7%      EffectCause_I_2 generează cea mai mare deviere (-
 EfectCause_I_2         Effect     5.8%) la Obiectivul Axei.
     -10.1%          -5.8%
 EfectCause_I_3      Effect
      -9.9%          -3.5%




                                                                     Effect



    EfectCause_I_1



                                    Effect



    EfectCause_I_2



                                                   Effect



    EfectCause_I_3


      -11.0 -10.0 -9.0% -8.0% -7.0% -6.0% -5.0% -4.0% -3.0% -2.0% -1.0% 0.0%
        %     %
Obiective specifice -> (Obiective strategice) -> Axă
 EfectCause_I_1.1 EfectCause_I_1 Effect        Cauza faţă de care Axa este cea mai
      -10.0%            -10.1%       -0.7%     sensibilă este I_3.1, continuare a efectului
 EfectCause_I_2.1 EfectCause_I_2 Effect        I_3.
      -10.0%                  0.0%          0.0%
 EfectCause_I_2.2        EfectCause_I_2    Effect
      -10.0%                  0.0%          0.0%
 EfectCause_I_2.3        EfectCause_I_2    Effect
      -10.0%                  0.0%          0.0%
 EfectCause_I_3.1        EfectCause_I_3    Effect
      -10.0%                  -7.0%        -2.5%
 EfectCause_I_3.2        EfectCause_I_3    Effect
      -10.0%                  0.0%          0.0%


                                                                             Effect

    EfectCause_I_1.1
                                                                                        Effect
                                                                                EfectCause_I_2
    EfectCause_I_2.1
                                                                                        Effect
                                                                                EfectCause_I_2
    EfectCause_I_2.2
                                                                                        Effect
                                                                                EfectCause_I_2
    EfectCause_I_2.3
                                                            Effect
                       EfectCause_I_3
    EfectCause_I_3.1
                                                                                        Effect
                                                                                EfectCause_I_3
    EfectCause_I_3.2

      -10.0%              -8.0%           -6.0%     -4.0%            -2.0%            0.0%
Măsuri -> (Obiective specifice -> (Obiective strategice) -> Axă
            Cause_I_1.1.1    EfectCause_I_1.1   EfectCause_I_1       Effect
               -10%                -1.5%             -1.4%           -0.1%
            Cause_I_1.1.2    EfectCause_I_1.1   EfectCause_I_1       Effect
               -10%                -5.5%             -4.3%           -0.3%
            Cause_I_1.1.3    EfectCause_I_1.1   EfectCause_I_1       Effect
               -10%                -3.0%             -2.9%           -0.2%
            Cause_I_2.1.1    EfectCause_I_2.1   EfectCause_I_2       Effect
               -10%                -6.8%             0.0%            0.0%
            Cause_I_2.1.2    EfectCause_I_2.1   EfectCause_I_2       Effect
               -10%                 0.0%             0.0%            0.0%
            Cause_I_2.1.3    EfectCause_I_2.1   EfectCause_I_2       Effect
               -10%                -3.2%             0.0%            0.0%
            Cause_I_2.2.1    EfectCause_I_2.2   EfectCause_I_2       Effect
               -10%               -10.0%             0.0%            0.0%
            Cause_I_2.3.1    EfectCause_I_2.3   EfectCause_I_2       Effect
               -10%               -10.0%             0.0%            0.0%
            Cause_I_3.1.1    EfectCause_I_3.1   EfectCause_I_3       Effect
               -10%                -4.0%             -2.8%           -1.0%
            Cause_I_3.2.1    EfectCause_I_3.1   EfectCause_I_3       Effect
               -10%                -6.0%             -4.2%           -1.5%
            Cause_I_3.2.1    EfectCause_I_3.2   EfectCause_I_3       Effect
               -10%                -6.0%             -4.2%           -1.5%
            Cause_I_3.2.2    EfectCause_I_3.2   EfectCause_I_3       Effect
               -10%                -4.0%             0.0%            0.0%


Se poate observa că o deviere cu -10% la nivelul cauzelor generează cea mai mare
deviere la nivelul axei în cazul Cause_I_3.2.1, continuare a efectului I_3.1.
Cu alte cuvinte implementarea Axei I (Măsura 411 LEADER) este cea mai sensibilă la
implementarea măsurii 123 Creşterea valorii adăugate a produselor agricole şi forestiere.
Effect
                                                                     EfectCause_I_1
                                                                  EfectCause_I_1.1
 Cause_I_1.1.1
                                                                                          Effect
                                           EfectCause_I_1
                               EfectCause_I_1.1
 Cause_I_1.1.2
                                                                                           Effect
                                                        EfectCause_I_1
                                                     EfectCause_I_1.1
 Cause_I_1.1.3
                                                                                                   Effect
                                                                                          EfectCause_I_2
                    EfectCause_I_2.1
 Cause_I_2.1.1
                                                                                                 Effect
                                                                                        EfectCause_I_2
                                                                                      EfectCause_I_2.1
 Cause_I_2.1.2
                                                                                                   Effect
                                                                                          EfectCause_I_2
                                                   EfectCause_I_2.1
 Cause_I_2.1.3
                                                                                                   Effect
                                                                                          EfectCause_I_2
 EfectCause_I_2.2
 Cause_I_2.2.1
                                                                                                   Effect
                                                                                          EfectCause_I_2
 EfectCause_I_2.3
 Cause_I_2.3.1
                                                                                 Effect
                                                         EfectCause_I_3
                                             EfectCause_I_3.1
 Cause_I_3.1.1
                                                                            Effect
                                             EfectCause_I_3
                          EfectCause_I_3.1
 Cause_I_3.2.1
                                                                            Effect
                                             EfectCause_I_3
                          EfectCause_I_3.2
 Cause_I_3.2.1
                                                                                                   Effect
                                                                                          EfectCause_I_3
                                             EfectCause_I_3.2
 Cause_I_3.2.2

  -10.0%               -8.0%            -6.0%             -4.0%            -2.0%                   0.0%



Graficul subsecvent prezintă cu inscripţionare roşie drumul cel mai sensibil al arborelui
obiectivelor. Adică o deviere de -10% în realizarea intervenţiei cauzează cea mai
semnificativă deviere la realizarea Obiectivului axei.
II.2.5.1.3 Arborele obiectivelor pentru Axa II
II.2.5.1.4 Analiza sensibilităţii pentru Axa II
Obiective strategice -> Axă
 EfectCause_II_1 Effect    Cel mai mare impact negativ, la nivelul Obiectivelor
     -10.0%        -4.7%   strategice îl poate avea eşecul măsurilor 211 şi 212, adică
 EfectCause_II_2 Effect    implementarea măsurilor de sprijin pentru zonele
     -10.0%        -4.3%   defavorizate.
 EfectCause_II_3      Effect
     -10.0%           -1.0%




                                             Effect



    EfectCause_II_1



                                                 Effect



    EfectCause_II_2



                                                                       Effect



    EfectCause_II_3


       -10.0%            -8.0%       -6.0%            -4.0%       -2.0%          0.0%
Obiective specifice -> (Obiective strategice) -> Axă
 EfectCause_II_1.1 EfectCause_II_1 Effect       De la acest nivel, al Obiectivelor
      -10.0%             -9.9%         -4.7%    Specifice, Axa este ceai mai sensibilă la
 EfectCause_II_1.2 EfectCause_II_1 Effect       implementarea măsurilor 211 Sprijin
      -10.0%             0.0%           0.0%    pentru Zona Montană Defavorizată.
 EfectCause_II_2.1    EfectCause_II_2    Effect
      -10.0%               -0.9%         -0.4%
 EfectCause_II_2.2    EfectCause_II_2    Effect
      -10.0%               -8.9%         -3.8%
 EfectCause_II_3.1    EfectCause_II_3    Effect
      -10.0%               -6.1%         -0.6%
 EfectCause_II_3.2    EfectCause_II_3    Effect
      -10.0%               -3.0%         -0.3%
 EfectCause_II_3.3    EfectCause_II_3    Effect
      -10.0%               -1.0%         -0.1%


                                             Effect
 EfectCause_II_1
 EfectCause_II_1.1
                                                                                            Effect
                                                                                  EfectCause_II_1
 EfectCause_II_1.2
                                                                                      Effect
                                                                    EfectCause_II_2
 EfectCause_II_2.1
                                                      Effect
 EfectCause_II_2
 EfectCause_II_2.2
                                                                                 Effect
                       EfectCause_II_3
 EfectCause_II_3.1
                                                                                       Effect
                                                  EfectCause_II_3
 EfectCause_II_3.2
                                                                                         Effect
                                                                    EfectCause_II_3
 EfectCause_II_3.3

  -10.0%             -8.0%          -6.0%             -4.0%             -2.0%                   0.0%
Măsuri -> (Obiective specifice -> (Obiective strategice) -> Axă
              Cause_II_1.1.1   EfectCause_II_1.1   EfectCause_II_1   Effect
                  -10%              -10.0%              -9.9%        -4.7%
              Cause_II_1.2.1   EfectCause_II_1.2   EfectCause_II_1   Effect
                  -10%              -10.0%               0.0%         0.0%
              Cause_II_2.1.1   EfectCause_II_2.1   EfectCause_II_2   Effect
                  -10%              -10.0%              -0.9%        -0.4%
          .
              Cause_II_2.2.1   EfectCause_II_2.2   EfectCause_II_2   Effect
                  -10%              -10.0%              -8.9%        -3.8%
              Cause_II_3.1.1   EfectCause_II_3.1   EfectCause_II_3   Effect
                  -10%              -10.0%              -6.1%        -0.6%
              Cause_II_3.2.1   EfectCause_II_3.2   EfectCause_II_3   Effect
                  -10%              -10.0%              -3.0%        -0.3%
              Cause_II_3.3.1   EfectCause_II_3.3   EfectCause_II_3   Effect
                  -10%              -10.0%              -1.0%        -0.1%
De la acest nivel de examinare Axa este cea mai sensibilă la implementarea măsurii
211 Sprijin pentru Zona Montană Defavorizată.
Effect

    EfectCause_II_1

    EfectCause_II_1.1

    Cause_II_1.1.1

                                                                                                  Effect

                                                                                   EfectCause_II_1

    EfectCause_II_1.2

    Cause_II_1.2.1

                                                                                       Effect

                                                                     EfectCause_II_2

    EfectCause_II_2.1

    Cause_II_2.1.1

                                                        Effect

    EfectCause_II_2

    EfectCause_II_2.2

    Cause_II_2.2.1

                                                                                  Effect

                          EfectCause_II_3

    EfectCause_II_3.1

    Cause_II_3.1.1

                                                                                       Effect

                                                   EfectCause_II_3

    EfectCause_II_3.2

    Cause_II_3.2.1

                                                                                         Effect

                                                                     EfectCause_II_3

    EfectCause_II_3.3

    Cause_II_3.3.1


     -10.0%             -8.0%          -6.0%            -4.0%            -2.0%                  0.0%

Graficul subsecvent prezintă cu inscripţionare roşie drumul cel mai sensibil al arborelui
obiectivelor. Adică o deviere de -10% în realizarea intervenţiei cauzează cea mai
semnificativă deviere la realizarea Obiectivului axei.
II.2.5.1.5 Arborele obiectivelor pentru Axa III
II.2.5.1.6 Analiza sensibilităţii pentru Axa III
Obiective strategice -> Axă
 EfectCause_III_1 Effect    La nivelul Obiectivelor strategice, Axa este cea mai sensibilă
       -10%          -3%    pentru Cauza_III_2.
 EfectCause_III_2      Effect
       -10%             -7%
 EfectCause_III_3      Effect
       -10%              0%


                                                      Effect



    EfectCause_III_1



                                Effect



    EfectCause_III_2



                                                                            Effect



    EfectCause_III_3


      -10.0%            -8.0%            -6.0%    -4.0%         -2.0%           0.0%
Obiective specifice -> (Obiective strategice) -> Axă
 EfectCause_III_1.1 EfectCause_III_1 Effect     La acest nivel, al Obiectivelor specifice,
       -10%               -10%           -3%    drumul cel mai sensibil este în
 EfectCause_III_2.1 EfectCause_III_2 Effect     continuarea nivelului anterior.
       -10%                   -10%          -7%
 EfectCause_III_3.1     EfectCause_III_3   Effect
       -10%                   -10%           0%

                                                        Effect

 EfectCause_III_1

 EfectCause_III_1.1

                              Effect

 EfectCause_III_2

 EfectCause_III_2.1

                                                                                Effect

 EfectCause_III_3

 EfectCause_III_3.1


  -10.0%              -8.0%            -6.0%        -4.0%          -2.0%            0.0%
Măsuri -> (Obiective specifice -> (Obiective strategice) -> Axă
 Cause_III_1.1.1        EfectCause_III_1.1    EfectCause_III_1     Effect   Axa este cea mai
     -10%                      -5%                   -5%            -2%     sensibilă la
 Cause_III_2.1.1        EfectCause_III_1.1    EfectCause_III_1     Effect   implementarea măsurii
     -10%                      -5%                   -5%            -5%     313 Încurajarea
 Cause_III_2.1.1        EfectCause_III_2.1    EfectCause_III_2     Effect   activităţilor turistice
     -10%                      -5%                   -5%            -5%
 Cause_III_2.1.2        EfectCause_III_2.1    EfectCause_III_2     Effect
     -10%                      -5%                   -5%            -3%
 Cause_III_3.1.1        EfectCause_III_3.1    EfectCause_III_3     Effect
     -10%                     -10%                  -10%            0%

                                                                             Effect

                                       EfectCause_III_1

                                      EfectCause_III_1.1

     Cause_III_1.1.1

                                                  Effect

                                       EfectCause_III_1

                                      EfectCause_III_1.1

     Cause_III_2.1.1

                                                  Effect

                                       EfectCause_III_2

                                      EfectCause_III_2.1

     Cause_III_2.1.1

                                                            Effect

                                       EfectCause_III_2

                                      EfectCause_III_2.1

     Cause_III_2.1.2

                                                                                       Effect

     EfectCause_III_3

     EfectCause_III_3.1

     Cause_III_3.1.1


        -10.0%              -8.0%            -6.0%         -4.0%            -2.0%          0.0%




Graficul subsecvent prezintă cu inscripţionare roşie drumul cel mai sensibil al arborelui
obiectivelor. Adică o deviere de -10% în realizarea intervenţiei cauzează cea mai
semnificativă deviere la realizarea Obiectivului axei.
II.2.5.1.7 Arborele obiectivelor pentru Axa IV
II.2.5.1.8 Analiza sensibilităţii pentru Axa IV
Obiective strategice -> Axă
 EfectCause_IV_1 Effect Programul LEADER este cel mai sensibil pentru
      -10.0%           -8.0% nivelul 1.
 EfectCause_IV_2 Effect
      -10.0%           -2.0%



                            Effect




             EfectCause_1




                                                       Effect




             EfectCause_2



             -10.0%            -8.0%   -6.0%   -4.0%      -2.0%   0.0%
Obiective specifice -> (Obiective strategice) -> Axă
 EfectCause_IV_1.1 EfectCause_IV_1 Effect                La nivelul Obiectivelor specifice
       -10%              -10%       -8%                  drumul cel mai sensibil este în
 EfectCause_IV_1.2 EfectCause_IV_1 Effect                continuarea nivelul anterior.
       -10%               0%        0%
 EfectCause_IV_2.1 EfectCause_IV_2 Effect
       -10%              -10%       -2%

                      Effect

    EfectCause_IV_1

    EfectCause_IV_1.1

                                                                                  Effect

                                                                         EfectCause_IV_1

    EfectCause_IV_1.2

                                                              Effect

    EfectCause_IV_2

    EfectCause_IV_2.1


     -10.0%              -8.0%     -6.0%         -4.0%           -2.0%         0.0%
Măsuri -> (Obiective specifice -> (Obiective strategice) -> Axă
Cause_IV_1.1.1       EfectCause_IV_1.1   EfectCause_IV_1          Effect    Succesul implementării
    -10%                    -5%                 -5%                -4%      Anex IV din PNDR,
Cause_IV_1.1.2       EfectCause_IV_1.1   EfectCause_IV_1          Effect    adică a Programului
    -10%                    -3%                 -3%                -2%
                                                                            LEADER la nivelul GAL
                                                                            este cel mai sensibil la
Cause_IV_1.1.3       EfectCause_IV_1.1   EfectCause_IV_1          Effect
                                                                            măsura LEADER 411
    -10%                    -3%                 -3%                -2%
                                                                            Creşterea competitivităţii
Cause_IV_1.2.1       EfectCause_IV_1.2   EfectCause_IV_1          Effect    sectoarelor agricol şi
    -10%                   -10%                 0%                  0%      forestier
Cause_IV_2.1.1       EfectCause_IV_2.1   EfectCause_IV_2          Effect
    -10%                   -10%                -10%                -2%


                                                       Effect
                                 EfectCause_IV_1
                                EfectCause_IV_1.1
 Cause_IV_1.1.1
                                                                           Effect
                                                     EfectCause_IV_1
                                                    EfectCause_IV_1.1
 Cause_IV_1.1.2
                                                                           Effect
                                                     EfectCause_IV_1
                                                    EfectCause_IV_1.1
 Cause_IV_1.1.3
                                                                                                Effect
                                                                                      EfectCause_IV_1
 EfectCause_IV_1.2
 Cause_IV_1.2.1
                                                                           Effect
 EfectCause_IV_2
 EfectCause_IV_2.1
 Cause_IV_2.1.1

  -10.0%              -8.0%           -6.0%               -4.0%              -2.0%           0.0%



Graficul subsecvent prezintă cu inscripţionare roşie drumul cel mai sensibil al arborelui
obiectivelor. Adică o deviere de -10% în realizarea intervenţiei cauzează cea mai
semnificativă deviere la realizarea Obiectivului axei.
II.2.6 Matricea Cadru Logic

                                                  Indicatori de realizare
                                                                          Surse si mijloace de
                         Operaţie logica            verificabili in mod                            Ipoteze
                                                                              verificare
                                                          obiectiv
                     Punerea în aplicare a         Cadrului Comun de         Raportul anul de
                     abordării LEADER în          Monitorizare şi           progrese privind
Obiective generale




                     cadrul programării           Evaluare (CMEF)           implementarea PNDR
                     generale a dezvoltării       indicatorilor comuni de   aprobat de Comitetul
                     rurale, prin intermediul     bază, financiari,         de Monitorizare
                     strategiei integrate de      realizare, rezultat şi
                     dezvoltare, elaborate de     impact
                     actorii locali, organizaţi
                     în Grup de Acţiune
                     Locală:
Indicatori de realizare



                                                                                                             Surse si mijloace de
                                                    verificabili in mod



                                                                                                                 verificare
                                                          obiectiv
                         Operaţie logica                                                                                                                                                                                          Ipoteze




                     Ameliorarea                                                                                                                                                                           Riscuri:                                                   Condiţii externe:
                     competitivităţii în                                                                                                                              • Majorarea costurilor salariale şi a fiscalităţii în general                  • Se ameliorează starea infrastructurii de
                     sectoarele agricol şi                                                                                                                            • Incapacitatea de a îmbunătăţi calitatea materiilor prime conform               transport – scade gradul de izolare fizică a
                     forestier prin sprijinul                                                                                                                          standardelor UE                                                                 zonei
                                                                                                                                                                      • Incapacitatea de a rezolva problema pieţelor-lipsă pentru exploataţiile
                                                                                                                  Raport anual al GAL aprobat de Comitetul Director
                     acordat în vederea
                                                                                                                                                                                                                                                     • Se ameliorează starea infrastructurii de
                                                          Indicatorii comuni UE, cu obiective cuantificate




                     restructurării,                                                                                                                                   comerciale (piaţa funciară, credite, servicii de consultanţă, servicii de       canalizare şi de gospodărire a deşeurilor
                     dezvoltării şi inovaţiei                                                                                                                          marketing)                                                                      domestice în localităţile rurale
                                                                                                                                                                                                      Condiţii externe:                              • Se reduce timpul necesar pentru dezvoltarea
                                                                                                                                                                      Se ameliorează dotarea cu infrastructură de canalizare şi de gospodărire a       infrastructurii rurale
                                                                                                                                                                      deşeurilor domestice în multe localităţi rurale
                                                                                                                                                                                                                                                     • Creşte capacitatea de formare a unor
Scopul proiectului




                     Ameliorarea mediului
                                                                                                                                                                                                           Riscuri:                                    parteneriate externe puternice şi de promovare
                     şi a spaţiului rural prin
                                                                                                                                                                      • Risc de a pierde suprafeţe importante de păşune, datorită standardelor         a potenţialului endogen al teritoriilor
                     sprijinul acordat în
                                                                                                                                                                       sanitar-veterinare recent impuse fermierilor, standarde ce pot afecta
                     vederea gestionării                                                                                                                                                                                                             • Riscuri:
                                                                                                                                                                       sistemele tradiţionale de păşunat aflate în imposibilitatea de a se adapta
                     terenurilor                                                                                                                                                                                                                     • Zona nu este străbătută de căi terestre de
                                                                                                                                                                       rapid
                                                                                                                                                                                                                                                       comunicare importante - zona Baraolt este
                                                                                                                                                                      • Lipsa unor titluri de proprietate clare asupra suprafeţelor de pădure          izolată
                                                                                                                                                                       descurajează gospodărirea pădurilor într-o manieră durabilă
                                                                                                                                                                                                                                                     • Densitatea infrastructurii rutiere şi de cale
                     Ameliorarea calităţii                                                                                                                                                            Condiţii externe:
                                                                                                                                                                                                                                                       ferate este cu mult sub media naţională.
                     vieţii în zonele rurale şi                                                                                                                       Există resurse pentru reabilitarea obiectivelor de patrimoniu cultural
                                                                                                                                                                                                                                                     • Se accelerează destabilizarea microclimatelor,
                     încurajarea                                                                                                                                                                           Riscuri:
                                                                                                                                                                                                                                                       ca o consecinţă a schimbărilor climatice
                     diversificării                                                                                                                                   • Lipsa investiţiilor
                                                                                                                                                                                                                                                     • Accentuarea tendinţei tinerilor de a părăsi
                     activităţilor economice                                                                                                                          • Impunerea noilor norme sanitare, care limitează accesul produselor
                                                                                                                                                                                                                                                       zona
                                                                                                                                                                       tradiţionale în agroturism
                                                                                                                                                                                                                                                     • Gradul scăzut de predictibilitate a deciziilor
                                                                                                                                                                      • Situaţia utilităţilor la locuinţe raportată la media naţională este mai
                                                                                                                                                                                                                                                       administraţiei centrale
                                                                                                                                                                       slabă, în special la categoriile „Instalaţie electrică”, şi „Încălzire prin
                                                                                                                                                                                                                                                     • Tendinţa de îmbătrânire a populaţiei
                                                                                                                                                                       termoficare sau prin centrală termică”.
– Surse
                                                                 – Indicatori
                                                                                        si
                                                                   de realizare
                                                                                     mijloa
                                   – Operaţie logica               verificabili                                                        – Ipoteze
                                                                                      ce de
                                                                     in mod
                                                                                     verific
                                                                     obiectiv
                                                                                       are
                                                                                                                                        • Aapar competenţele necesare planificării
                                                                – Aplicaţii        – Formu
                                                                                                                                         şi implementării proiectelor locale
                                                                  depuse      în        lar
                               – Consolidarea coerenţei
                                                                  cadrul             standar                                            • Există capacitatea de formare a unor
                                 teritoriale şi a                                                   –                                    parteneriate interne şi externe puternice şi
                                                                  proiectelor        d E2.2
                                 sinergiilor                                                                                             de promovare a potenţialului endogen al
                                                                  integrate pe       REGIS
                                                                  măsurile:          TRUL                                                teritoriilor
                                                                                       DE                                               • Există capacitate de co-finanţare din
                                                                                      INRE           – Riscuri:                          partea beneficiarilor
                                                                                     GISTR     • Cea mai apropiată unitate de           • Se îmbunătăţeşte capacitatea de
Rezultate aşteptate




                                                                                      ARE       învăţământ secundar este la cca. 35      absorbţie a zonei
                      •   Promovarea cunoştinţelor şi           – 111,    341,
                                                                  112,    113,           A      km                                      • Apariţia resurselor financiare necesare
                          ameliorarea potenţialului uman                                       • Cel mai apropiat centru universitar     investiţiilor şi cofinanţării proiectelor
                                                                  114, 143           CERE
                                                                                      RILO      este la cca. 70 km
                                                                                               • Lipsa unor unităţi de calitate în            – Riscuri:
                                                                                      R DE                                              • Sse găsesc surse de credit pentru
                                                                                      FINA      domeniul educaţiei
                      •    Restructurarea şi dezvoltarea                                                                                 finanţare pentru proiectelor
                                                                                     NTAR                                               • Pe piaţă vor lipsi tinerii specializaţi în
                          capitalului fizic şi promovarea       – 121,    122,
                                                                                         E          –                                    diverse profesii, datorită insuficienţei
                                                                  123, 125
–




                          inovaţiei
                                                                                                                                         numărului de persoane. Profesiile cele
                                                                – 114,    143,                                                           mai afectate vor fi cele din domeniul IT,
                      •   Facilitarea tranziţiei în noile         141,    142,                                                           medicină, automatizări, construcţii şi
                          state membre                                                              –
                                                                  211,    213,                                                           instalaţii, etc.
                                                                  214, 224




                      •   Dezvoltarea gestionării
                                                                – 141,     211,                     –
                          durabile a terenurilor agricole
                                                                  213,     214,
                          şi forestiere prin încurajarea
                                                                  224,     221,
                          agricultorilor şi a silvicultorilor
                                                                  223
                          să îşi gestioneze terenurile
                          conform unor metode
                          compatibile cu necesitatea de a
                          conserva mediul natural şi
                          peisajele şi de a proteja şi
ameliora resursele naturale
                                                         – Riscuri:
•   Diversificarea economiei                       • Starea de cele mai multe ori avansat
    rurale                            – 313, 312
                                                    degradată a obiectivelor 313
                                                   • Rezultate aşteptate 313, 312
                                                         – Riscuri:
•   Ameliorarea calităţii vieţii în                • Starea de cele mai multe ori avansat
    zonele rurale                     – 322         degradată a obiectivelor
                                                   • Dispariţia patrimoniului şi a
                                                    tradiţiilor rurale
•  Proiecte de cooperare              – 421             –
• Funcţionarea GAL, dobândirea
  de competenţe şi de animarea        – 431.2           –
  teritoriului
Indicatori de realizare verificabili in
            Operatie logica                                                                 Surse si mijloace de verificare
                                                      mod obiectiv                                                                                  Ipoteze
              Activităţi                                                                                 Surse
                                                        Mijloace
• Animarea teritoriului                 • Personalul compartimentului                • Contracte de muncă (8)                 • GAL reuşeşte pregătirea unor proiecte integrate
• Pregătirea de proiecte                  administrativ (8)                          • Ghidurile aplicantului                   şi aplicaţii de calitate
• Lansare de apeluri pe Măsurile        • Voluntari (cca. 40)                        • Aplicaţii depuse                       Condiţii externe:
  standard din PNDR                     • Formare şi training pentru personal şi     • Rapoarte de evaluare                   • Existenţa şi aplicarea transparentă unei
• Monitorizarea implementării             voluntari                                                                             metodologii predictibile de evaluare şi decizie
                                                                                        • Seminarii – animare 13/an
                                        • Publicaţii – studii – seminarii – întâlniri -                                       Riscuri:
                                                                                        • Publicaţie periodică 6/an
                                          cursuri                                                                             • Nu creşte predictibilitatea deciziilor
                                        • Birouri – Birotică - Echipamente              • Studii publicate 2/an                 administraţiei centrale
                                                                                     • Suport de curs 3/an + adeverinţe de
                                                                                       participare
                                                                                        Estimarea costului total pe
                                                                                                 măsură
411 Creşterea competitivităţii sectoarelor agricol şi forestier                      €1,695,571
412 Îmbunătăţirea mediului şi a spaţiului rural                                      €609,893
                                                                                                                              Există aplicaţii ce pot fi grantate.
413 Calitatea vieţii în zonele rurale şi diversificarea economiei rurale             €806,321
                                                                                                                              Beneficiarii reuşesc să implementeze proiectle
421 Încurajarea actorilor de la nivel local de a lucra împreună cu reprezentan ţii   €57,136                                  finanţate.
altor comunităţi din interiorul sau exteriorul ţării
431.2 Stimularea formării de parteneriate, pregătirea şi asigurarea implementării    €571,358
strategiilor de dezvoltare locală
                                                                         Grand Total €3,740,279
                                                                                                                              Conditii exterioare:
                                                                                                                              Teritoriul şi Asociaţia să fie selectate ca GAL
                                                                                                                              Pre-condiţii:
                                                                                                                              • Informarea şi sensibilizarea comunităţii locale
                                                                                                                              în domeniul abordării LEADER
                                                                                                                              • Existenţa unei Strategii de dezvoltare locală
                                                                                                                              susţinută de comunitate

Obs.: Riscurile identificate pe parcursul analizei SWOT ameninţă în primul rând atingerea Scopului proiectului.
II.2.7 Analiza de risc
        II.2.7.1 Riscuri globale asociate cu Proiectul
     Global Risks
                                                    Risk name                                          Chance        Outcome     Result   Distribution
                                                                                                                Relative cost
 1   Nu amelioreaza starea infrastructurii de transport - scade gradul de izolare fizica a zonei       95.00%                    15.00%     Uniform
                                                                                                                increase

     Nu amelioreaza starea infrastructurii de canalizare si de gospodarire a deseurilor domestice in
 2                                                                                                     95.00%   Relative delay   20.00%     Uniform
     localitatile rurale

                                                                                                                Relative cost
 3   Nu reduce timpul necesar pentru dezvoltarea infrastructurii rurale                                95.00%                    15.00%     Uniform
                                                                                                                increase

     Nu creste capacitatea de formare a unor parteneriate externe puternice si de promovare a
 4                                                                                                     55.00%   Relative delay   50.00%     Uniform
     potentialului endogen al teritoriilor


 5   Zona nu este strabatuta de cai terestre de comunicare importante - zona Baraolt este izolata      95.00%   Relative delay   60.00%     Uniform


 6   Densitatea infrastructurii rutiere si de cale ferate este cu mult sub media nationala.            95.00%   Relative delay   60.00%     Uniform

                                                                                                                Relative cost
 7   Se accelereaza destabilizarea microclimatelor, ca o consecinta a schimbarilor climatice           65.00%                    30.00%     Uniform
                                                                                                                increase
 8   Accentuarea tendintei tinerilor de a parasi zona                                                  65.00%   Relative delay   60.00%     Uniform
                                                                                                                Relative cost
 9   Gradul scazut de predictibilitate a deciziilor administratiei centrale                            85.00%                    40.00%     Uniform
                                                                                                                increase
10   Tendinta de imbatranire a populatiei                                                              95.00%   Relative delay   25.00%     Uniform
II.2.7.2 Riscuri locale asociate cu Scopul Proiectului
                                                  Local Risks
                                Task                                           Risk name                         Chance      Outcome       Result   Distribution
                                                              Majorarea costurilor salariale si a fiscalitatii            Relative cost
u



                                                          1                                                       95%                       25%       Uniform
                                                              in general                                                  increase
                  Ameliorarea competitivitatii in             Incapacitatea de a imbunatati calitatea
l




                                                          2                                                       65%     Relative delay    20%       Uniform
                sectoarele agricol si forestier prin          materiilor prime conform standardelor UE
          1
u




                   sprijinul acordat in vederea               Incapacitatea de a rezolva problema
               restructurarii, dezvoltarii si inovatiei       pietelor-lipsa pentru exploatatiile comerciale
t




                                                          3                                                       65%     Relative delay    25%       Uniform
                                                              (piata funciara, credite, servicii de
                                                              consultanta, servicii de marketing)
c
e




                                                              Nu Se amelioreaza dotarea cu
                                                              infrastructura de canalizare si de                          Relative cost
                                                          1                                                       95%                       30%       Uniform
I




                                                              gospodarire a deseurilor domestice in multe                 increase
                                                              localitati rurale
o




                                                              Risc de a pierde suprafete importante de
                                                              pasune, datorita standardelor sanitar-
               Ameliorarea mediului si a spatiului
r
    i




                                                              veterinare recent impuse fermierilor,                       Relative cost
          2   rural prin sprijinul acordat in vederea     2                                                       80%                       25%       Uniform
                                                              standarde ce pot afecta sistemele                           increase
p




                       gestionarii terenurilor
                                                              traditionale de pasunat aflate in
                                                              imposibilitatea de a se adapta rapid
                                                              Lipsa unor titluri de proprietate clare asupra
                                                              suprafetelor de padure descurajeaza
l




                                                          3                                                       75%     Relative delay    15%       Uniform
                                                              gospodarirea padurilor intr-o maniera
u




                                                              durabila
p




               Ameliorarea calitatii vietii in zonele         Nu Exista resurse pentru reabilitarea                       Relative cost
          3     rurale si incurajarea diversificarii      1                                                       75%                       40%       Uniform
                                                              obiectivelor de patrimoniu cultural                         increase
o




                     activitatilor economice                                                                              Relative cost
                                                          2   Lipsa investitiilor                                 85%                       30%       Uniform
                                                                                                                          increase
c




                                                              Impunerea noilor norme sanitare, care
                                                                                                                          Relative cost
                                                          3   limiteaza accesul produselor traditionale in        90%                       35%       Uniform
S




                                                                                                                          increase
                                                              agroturism
Local Risks
Task                           Risk name                    Chance     Outcome       Result   Distribution
           Situatia utilitatilor la locuinte raportata la
           media nationala este mai slaba, in special
                                                                     Relative cost
       4   la categoriile „Instalatie electrica”, si         90%                      45%       Uniform
                                                                     increase
           „Încalzire prin termoficare sau prin centrala
           termica.
II.2.7.3 Analiza de Risk cu Metoda Monte Carlo
             II.2.7.3.1 Riscul de cost




Scopului 3 Ameliorarea calitatii vietii in zonele rurale si incurajarea diversificarii activitatilor economice i s-au asociat zrnări în creşterea costului
relativ, dar şi riscul de cost rămâne în zona acceptabilă.
II.2.7.3.2 Riscul de durată




În cazul întârzierilor posibile toate cele trei Scopuri rămân în zona de risc acceptabilă.
II.2.8 Anexa 1
  II.2.8.1 LEADER
II.2.8.2 Creşterea competitivităţii sectoarelor agricol şi forestier
II.2.8.3 Îmbunătăţirea mediului şi a spaţiului rural
II.2.8.4 Calitatea vieţii în zonele rurale şi diversificarea economiei rurale
PARTEA a – IV – a: Măsura
      II.2.9 Fişele tehnice ale măsurilor
         II.2.9.1 Axa I Creşterea competitivităţii sectoarelor agricol şi forestier
            II.2.9.1.1 Măsura: 111 Formare profesională (training), informare şi difuzare de
             cunoştinţe
Obiectivul
Creşterea competitivităţii sectoarelor agricol şi forestier
Promovarea cunoaşterii şi îmbunătăţirea potenţialului uman
Asigurarea de training şi cunoaştere practică şi economică
Raportul cu strategia de dezvoltare
* SWOT – TERITORIU; patrimoniu arhitectural şi cultural;
PUNCTE SLABE:
Lipsa de competenţă managerială, profesională în păstrarea şi valorificarea patrimoniului
* SWOT – POPULAŢIA; demografie – populaţia activă – îmbătrânire – nivel de instruire – cunoştinţe şi
competenţe specifice teritoriului;
PUNCTE SLABE:
Nivel scăzut de educaţie şi de competenţă profesională
* SWOT – TERITORIU; patrimoniu de mediu;
PUNCTE SLABE:
Sectorul agricultură ecologică în comparaţie cu media europeană este slab dezvoltat, iar piaţa internă este una
tânără
Tip de acţiuni: Imateriale
Descriere beneficiari
Beneficiarii finali:
sunt persoane adulte care activează în domeniile agriculturii, silviculturii (inclusiv proprietari de pădure) şi
industriei agro-alimentare.
Beneficiarii direcţi:
furnizori ai acţiunilor de formare profesională, informare şi difuzare a cunoştinţelor, sunt entităţi publice sau
private care activează în domeniul formării profesionale a adulţilor şi/sau informării şi difuzării de cunoştinţe
care îndeplinesc criteriile de eligibilitate şi de selecţie.
Evaluarea numărului beneficiarilor: 11
Descriere acţiuni
1. Programe de formare profesională de scurtă durată (iniţiere, perfecţionare şi specializare), cu perioade
diferenţiate de pregătire, în funcţie de tematica cursului, grupul ţintă şi nivelul existent de pregătire al
solicitanţilor de formare profesională în vederea îmbunătăţirii şi perfecţionării cunoştinţelor privind
competenţele manageriale şi tehnice în domeniul agricol, forestier şi agro-alimentar, introducerea de noi
tehnologii şi inovaţii, protecţia mediului şi agricultură ecologică, cunoaşterea şi respectarea condiţiilor de
eco - condiţionalitate etc.
2. Acţiuni de informare şi difuzare de cunoştinţe privind schemele de sprijin ale PAC, a modului de aplicare
a măsurilor pentru dezvoltare rurală.
Acţiunile prevăzute a se efectua prin această măsură au un caracter colectiv şi nu individual.
Activităţi eligibile
a) Costurile legate de pregătirea şi desfăşurarea diferitelor acţiuni de formare profesională:
a1) Onorarii şi diurna pentru experţii din echipa de proiect a contractorului;
a2) Diurne pentru cursanţi (cazare şi masă);
a3) Cheltuieli de transport;
a4) Materiale didactice şi consumabile;
a5) Închirierea de echipamente specifice pentru implementarea proiectului;
a6) Închirierea de spaţii adecvate pentru desfăşurarea acţiunilor de formare profesională;
a7) Alte cheltuieli legate de implementarea acţiunilor de formare profesională.
b) Costurile privind diferite tipuri de acţiuni de informare şi difuzare de cunoştinţe:
b1) Cheltuieli de transport;
b2) Materiale informative;
b3) Alte cheltuieli legate de implementarea acţiunilor de informare şi difuzare de cunoştinţe.
Avans: 20.00%
Finanţare: Ajutorul public (FEADR + contribuţie publică naţională)%: 100.00%
Codul măsurii: 111
Măsura: Formare profesională (training), informare şi difuzare de cunoştinţe
ECB 29 Apr. 2010 1 EUR = 4.137 RON
   Nr de        Cost       Estimarea      Contribuţia      Contribuţia      Contribuţia       Contribuţia
  proiecte      total    costului total    FEADR –           publică          privată       publică (FEADR
 prevăzute     mediu      pe măsură         măsură          naţională                       + Naţiona) RON
     2        €5,238        €10,476          €8,380           €2,096            €0               43,339
                                          Contribuţia      Contribuţia      Contribuţia
                                           FEADR –           publică         privată%
                                           măsură%         naţională%
                                            79.99%           20.01%           0.00%
Alocare
                 financiară                                 Realizare                                                        Rezultat
                   măsuri                             (CCME nota de ghidare H)                                         (CCME nota de ghidare I)
                 2007-2013
   Măsuri        Cost Total
                                                          Indicatori                       Cuantificare                   Indicatori           Cuantificare
                  (Euro)
                 Cheltuială
                  Publică
                  (Euro)


                                         Axa 1 - Creşterea competitivităţii sectoarelor agricol şi forestier
                                                                                                               Număr de participanţi
111 - Formare                                                                                                    care au terminat cu
 profesională,                Număr participanţi conform CCME împărţit pe                                          succes formarea
 informare şi     €10,476     parcursul implementării după vârstă, gen, conţinutul                              profesională (Măsura
  difuzare de                 activităţii si tipul participanţilor                                             111) 80% din numărul
  cunoştinţe                                                                                                    total al beneficiarilor
                                                                                                                     măsurii 111
                                                                                                               • care au terminat cu
                              • număr de participanţi la activităţi de formare
                              profesională:
                                                                                      4                        succes formarea             3
                                                                                                               profesională:
                                                                                                               • care au beneficiat de
                              • număr de participanţi la acţiuni de informare şi
                                                                                      7                        acţiuni de informare şi     6
                              difuzare de cunoştinţe:
                                                                                                               difuzare de cunoştinţe:              9
                              • femei:                                                4          11            • femei:                    3
                              • tineri sub 40 de ani:                                 5                        • tineri sub 40 de ani:     4
                              • activi în agricultură:                                9                        • activi în agricultură:    7
                                                                                                               • activi în industria
                              • activi în industria alimentară:                       1                        alimentară:                 1
                              • activi în silvicultură:                               1                        • activi în silvicultură:   1
                              Număr total de zile de instruire realizate de toţi
                              participanţii
                              • de pregătire profesională:                            20         27
                              • de informare şi difuzare de cunostinţe:                7
Alocare
         financiară                               Realizare                                       Rezultat
           măsuri                           (CCME nota de ghidare H)                        (CCME nota de ghidare I)
         2007-2013
Măsuri   Cost Total
                                             Indicatori                      Cuantificare   Indicatori        Cuantificare
          (Euro)
         Cheltuială
          Publică
          (Euro)




                      Indicator aditional


                      Număr de fermieri care au aplicat pentru schema de
                      agro-mediu şi au parcurs un modul de formare
                      profesională sau au participat la acţiuni de                0
                      informare Estimare: aproximativ 30% din
                      beneficiarii activităţilor de instruire
                      Număr de beneficiari care au participat la un modul
                      de formare în domeniul privind protecţia mediului.
                      Estimare: aproximativ 22% din beneficiarii
                                                                                  0
                      activităţilor de instruire
                      Număr de beneficiari care au participat la un modul
                      de formare, eligibili pentru măsura 112 ”Instalarea
                      tinerilor fermieri” Estimare: aproximativ 7% din
                                                                                  0
                      beneficiarii activităţilor de instruire
                      Număr de beneficiari care au participat la un modul
                      de formare, eligibili pentru măsura 141 „Sprijinirea
                      fermelor de semisubzistenta”                                0
                      Estimare: aproximativ 52% din beneficiarii
                      activităţilor de instruire
                      Număr de beneficiari care au participat la un modul
                      de formare în domeniul privind noi tehnologii
                      informaţionale, introducerea de inovaţii                    0
                      etc.Estimare: aproximativ 22% din beneficiarii
                      activităţilor de instruire
Alocare
         financiară                               Realizare                                         Rezultat
           măsuri                           (CCME nota de ghidare H)                          (CCME nota de ghidare I)
         2007-2013
Măsuri   Cost Total
                                              Indicatori                       Cuantificare   Indicatori        Cuantificare
          (Euro)
         Cheltuială
          Publică
          (Euro)




                      Număr de beneficiari care au participat la un modul
                      de formare în domeniul privind diversificarea
                      activităţilor în exploataţiile agricole, îmbunătăţirea
                      calităţii producţiei, igiena şi siguranţa alimentelor,
                      crearea de condiţii pentru a asigura bunăstarea
                      animalelor şi sănătatea plantelor, siguranţa muncii,          0
                      folosirea fertilizanţilor şi amendamentelor în
                      agricultură în concordanţă cu standardele Uniunii
                      Europene.Estimare: aproximativ 80% din
                      beneficiarii activităţilor de instruire
Axa I Creşterea competitivităţii sectoarelor agricol şi forestier
            II.2.9.1.2 Măsura: 112 Instalarea tinerilor fermieri
Obiectivul
Creşterea competitivităţii sectoarelor agricol şi forestier
Promovarea cunoaşterii şi îmbunătăţirea potenţialului uman
Instalarea tinerilor fermieri
Raportul cu strategia de dezvoltare
* SWOT – POPULAŢIA; demografie – populaţia activă – îmbătrânire – nivel de instruire – cunoştinţe şi
competenţe specifice teritoriului;
PUNCTE SLABE: Populaţia cunoaşte la ora actuală un proces de regres accentuat datorat îmbătrânirii,
scăderii fertilităţii şi migraţiei. Procesul de îmbătrânire demografică va continua.

Tip de acţiuni: Materiale
Descriere beneficiari
Definiţia fermierului pentru măsurile din Axa 1
Fermierul este o persoană fizică sau juridică, a cărei exploataţie este situată pe teritoriul ţării şi are o
dimensiune egală sau mai mare de 2 UDE, care practică în principal activităţi agricole şi care este înregistrată
în Registrul fermelor/Registrul agricol/. Unitatea de dimensiune economică (UDE) reprezintă unitatea prin
care se exprimă dimensiunea economică a unei exploataţii agricole determinată pe baza marjei brute standard
a exploataţiei (Decizia Comisiei nr. 85/377/CEE).
Valoarea unei unităţi de dimensiune economică este de 1.200 euro.
a) Au vârsta sub 40 de ani şi se instalează pentru prima dată în exploataţiile agricole, ca şi conducători (şefi)
ai exploataţiei;
b) Deţin sau se angajează să dobândească competenţe şi calificări profesionale în raport cu activitatea pe care
urmează să o desfăşoare.
c) Prezintă un Plan de afaceri pentru dezvoltarea activităţilor agricole din cadrul exploataţiei, d) Sunt membri
ai familiei de fermier, care au lucrat mai mult de 50% din timpul lor de lucru în cadrul fermei (nu neapărat în
ferma familiei de fermier) cu cel puţin 12 luni înaintea instalării sale pe cont propriu.
Nivelul minim de calificare solicitat este: - absolvent de liceu sau de şcoală profesională/şcoală de arte şi
meserii în domeniul agricol, veterinar şi economic cu profil agricol; - absolvent de liceu care prezintă un
certificat de calificare sau un certificat de absolvire a unui curs de formare de minim 150 de ore în domeniul
agricol. O exploataţie agricolă nu poate primi sprijin prin această măsură decât o singură dată.
Evaluarea numărului beneficiarilor: 11
Descriere acţiuni
a) Îmbunătăţirea managementului exploataţiei agricole;
b) Îmbunătăţirea performanţelor generale ale exploataţiei agricole;
c) Adaptarea producţiei la cerinţele pieţei;
d) Respectarea normelor comunitare, în special, cerinţele de eco - condiţionalitate, de protecţie a muncii,
protecţia mediului şi sanitar-veterinare.
Sprijinul pentru instalarea tinerilor fermieri va fi acordat sub formă de primă, în două tranşe.
Beneficiarul trebuie să demonstreze la data ultimei verificări că dimensiunea fermei este de peste 10 UDE şi
a crescut cu minim 4 UDE de la data adoptării deciziei individuale de acordare a sprijinului de instalare a
tânărului fermier.
Sprijinul pentru instalare este de maximum 10.000 Euro pentru o exploataţie agricolă cu dimensiunea minimă
de 6 UDE, iar peste această dimensiune sprijinul pentru instalare poate creşte cu 2.000 Euro/1 UDE dar nu va
putea depăşi 25.000 Euro/exploataţie.
Activităţi eligibile
Cel puţin 30% din sprijinul acordat va fi investit pentru realizarea conformităţii cu standardele comunitare,
modernizarea şi dezvoltarea exploataţiei, astfel:
a) construirea şi/sau modernizarea clădirilor utilizate pentru producţia agricolă la nivel de fermă, incluzându-
le şi pe cele pentru protecţia mediului; - achiziţionarea sau achiziţionarea în leasing de tractoare noi, combine
de recoltat,
maşini, utilaje, instalaţii, echipamente şi accesorii, echipamente şi software specializate;
b) achiziţionarea de animale şi după caz a cotei de producţie;
c) plantarea şi replantarea plantelor perene; - achiziţionarea de teren pentru activităţi agricole.
Avans: 60.00%
Finanţare: Ajutorul public (FEADR + contribuţie publică naţională)%: 100.00%
Codul măsurii: 112
Măsura: Instalarea tinerilor fermieri
ECB 29 Apr. 2010 1 EUR = 4.137 RON
   Nr de        Cost        Estimarea     Contribuţia     Contribuţia     Contribuţia            Contribuţia
  proiecte      total      costului total FEADR –            publică        privată            publică (FEADR
 prevăzute     mediu        pe măsură       măsură          naţională                          + Naţiona) RON
     10       €13,950        €139,501      €111,600         €27,901           €0                   577,116
                                          Contribuţia     Contribuţia     Contribuţia
                                          FEADR –            publică       privată%
                                           măsură%        naţională%
                                            80.00%           20.00%         0.00%
Alocare financiară                                 Realizare
             măsuri 2007-2013                             (CCME nota de ghidare H)
 Măsuri         Cost Total
                                                         Indicatori                      Cuantificare
                 (Euro)
             Cheltuială Publică
                  (Euro)
                                  Numărul total de tineri fermieri sprijiniţi
                                  conform CCME împărţit pe parcursul
                                                                                                    14
                €139,501          implementării după gen şi tipul sectorului
                                  agricol

   112 -
                                  • din care femei:                                  2
Instalarea
 tinerilor                        Volumul total al investiţiilor (€) = 70% *nr.
 fermieri                         beneficiarilor valoarea medie primită de un
                                  beneficiar al măsurii 121 pentru
                €139,501                                                                       €89,679
                                  modernizarea fermelor
                                  Estimare 70% din beneficiarii măsurii 112
                                  vor face investiţii
Axa I Creşterea competitivităţii sectoarelor agricol şi forestier
            II.2.9.1.3 Măsura: 113 Pensionarea timpurie a fermierilor şi lucrătorilor agricoli
Obiectivul
Creşterea competitivităţii sectoarelor agricol şi forestier
Promovarea cunoştinţelor şi îmbunătăţirea potenţialului uman
Realizarea unor modificări structurale semnificative ale terenurilor transferate
Raportul cu strategia de dezvoltare
* SWOT – POPULAŢIA; demografie – populaţia activă – îmbătrânire – nivel de instruire – cunoştinţe şi
competenţe specifice teritoriului;
PUNCTE SLABE: Populaţia cunoaşte la ora actuală un proces de regres accentuat datorat îmbătrânirii,
scăderii fertilităţii şi migraţiei. Procesul de îmbătrânire demografică va continua.

Tip de acţiuni: Imateriale
Descriere beneficiari
Fermieri cu vârsta de cel puţin 55 ani, dar sub vârsta formală de pensionare, dacă îşi transferă fermele.
Lucrători agricoli cu vârsta de cel puţin 55 ani, dar sub vârsta formală de pensionare, dacă îşi opresc
activitatea.
Evaluarea numărului beneficiarilor: 0
Descriere acţiuni
Este vorba de suport financiar pentru cel ce transferă un teren sau se pensionează ca lucrător pe fermă. Durata
totală nu poate depăşi 15 ani, şi nu poate continua după împlinirea vârstei de 70 ani a celui ce transferă teren
sau a vârstei de pensionare pentru un lucrător agricol.
Activităţi eligibile
 Avans:
Finanţare: Ajutorul public (FEADR + contribuţie publică naţională)%:




 Nr de proiecte   Cost total   Estimarea costului         Contribuţia              Contribuţia      Contribuţia
     prevăzute       mediu        total pe măsură     FEADR – măsură         publică naţională         privată


                                                             Contribuţia           Contribuţia      Contribuţia
                                                              FEADR –                  publică        privată%
                                                               măsură%             naţională%
Indicatori comuni
Numărul fermierilor pensionaţi
Numărul lucrătorilor pensionaţi
Suprafaţa (ha) de teren tranferat
Cheltuială Publică (Euro)         €0.00
Axa I Creşterea competitivităţii sectoarelor agricol şi forestier
            II.2.9.1.4 Măsura: 114 Utilizarea serviciilor de consiliere
Obiectivul
Creşterea competitivităţii sectoarelor agricol şi forestier
Promovarea cunoştinţelor şi îmbunătăţirea potenţialului uman
Îmbunătăţirea managementului sustenabil al proprietăţilor
Raportul cu strategia de dezvoltare
* SWOT - ACTIVITĂŢI ECONOMICE; industrie – IMM – micro-întreprinderi;
PUNCTE SLABE: Nivel scăzut de conformitate a produselor cu normele UE

Tip de acţiuni: Imateriale
Descriere beneficiari
Agricultori şi proprietari de păduri
Evaluarea numărului beneficiarilor: 7
Descriere acţiuni
a) consiliere pentru aplicarea proceselor de producţie compatibile cu îmbunătăţirea terenurilor sau a protecţiei
mediului
b) consultanţă pentru asigurarea standardelor de calitate
c) informaţii despre cele mai noi rezultate din cercetare legate de procese tehnice
d) consiliere pentru aplicarea managementului sustenabil al pădurilor.
Serviciile de consiliere trebuie să acopere cerinţele de bune condiţii de agricultură şi mediu şi cerinţele de
standard securitate ocupaţională. (Art. 4 şi 5 din Anexele III şi IV ale Regulamentului (EC) N° 1782/2003, şi
standarde de securitate ocupaţională bazate pe legislaţia Comunitară)
Activităţi eligibile
Avans: 20.00%
Finanţare: Ajutorul public (FEADR + contribuţie publică naţională)%: 100.00%
Codul măsurii: 114
Măsura: Utilizarea serviciilor de consiliere
ECB 29 Apr. 2010 1 EUR = 4.137 RON
    Nr de          Cost      Estimarea        Contribuţia       Contribuţia     Contribuţia        Contribuţia
   proiecte        total    costului total     FEADR –            publică          privată      publică (FEADR
  prevăzute      mediu       pe măsură          măsură           naţională                      + Naţiona) RON
      7          €5,487       €38,411           €30,728            €7,683            €0              158,906
                                              Contribuţia       Contribuţia     Contribuţia
                                               FEADR –            publică         privată%
                                               măsură%          naţională%
                                                80.00%            20.00%           0.00%
Numărul fermierilor ce utilizează servicii de consiliere:             3
Numărul posesorilor de păduri ce utilizează servicii de
consiliere:                                                           4
                                              Total beneficiari:      7
                                      Cheltuială Publică (Euro) €38,411
Axa I Creşterea competitivităţii sectoarelor agricol şi forestier
            II.2.9.1.5 Măsura: 121 Modernizarea exploataţiilor agricole
Obiectivul
Creşterea competitivităţii sectoarelor agricol şi forestier
Restructurarea şi dezvoltarea potenţialului fizic şi promovarea inovaţiei
Îmbunătăţirea performanţelor economice ale proprietăţilor prin utilizarea mai bună a factorilor de producţie
Raportul cu strategia de dezvoltare
* SWOT – TERITORIU; patrimoniu de mediu;
PUNCTE SLABE: Procesatorii interni la scară mică folosesc utilaje învechite şi ineficiente, fapt care
conduce la o calitate inconstantă a produselor şi o slabă respectare a normelor de protecţie a mediului
* SWOT – TERITORIU; patrimoniu de mediu;
PUNCTE SLABE: Management foarte deficitar al deşeurilor domestice şi de grajd
* SWOT - Potenţialul de producţie agricolă (producţia primară);
PUNCTE SLABE: Dotare tehnică scăzută şi de slabă calitate în exploataţiile mai mici
Tip de acţiuni: Materiale
Descriere beneficiari
Definiţia fermierului pentru măsurile din Axa 1
Fermierul este o persoană fizică sau juridică, a cărei exploataţie este situată pe teritoriul ţării şi are o
dimensiune egală sau mai mare de 2 UDE, care practică în principal activităţi agricole şi care este înregistrată
în Registrul fermelor/Registrul agricol/. Unitatea de dimensiune economică (UDE) reprezintă unitatea prin
care se exprimă dimensiunea economică a unei exploataţii agricole determinată pe baza marjei brute standard
a exploataţiei (Decizia Comisiei nr. 85/377/CEE). Valoarea unei unităţi de dimensiune economică este de
1.200 euro.
Sunt exceptate de la sprijinul prin această măsură organizaţiile de producători din sectorul legume şi fructe
pentru investiţii sprijinite prin Pilonul I.
Persoanele fizice neautorizate încă vor fi acceptate ca beneficiari potenţiali dacă se angajează să se autorizeze
până la data încheierii contractului de finanţare.
Persoanele fizice neautorizate încă vor fi acceptate ca beneficiari potenţiali dacă se angajează să se autorizeze
până la data încheierii contractului de finanţare. Grupurile de producători şi cooperativele pot fi beneficiari ai
măsurii cu condiţia ca investiţiile realizate să deservească interesele propriilor membri.
Definirea categoriilor de beneficiari în funcţie de baza legală de înfiinţare, organizare şi funcţionare se va
face în Ghidul Solicitantului. Beneficiarii măsurii, a căror cerere de finanţare a fost selectată, sunt eligibili în
cadrul schemei de garantare pentru sectorul agricol cu finanţare din PNDR. Un beneficiar care a îndeplinit
condiţiile de eligibilitate şi de selecţie prevăzute în această fixă este considerat că îndeplineşte condiţiile
prevăzute la art. 51 alin. 3 din Regulamentul (CE) nr. 1974/2006.
Evaluarea numărului beneficiarilor: 15
Descriere acţiuni
În cadrul acestei măsuri vor fi sprijinite investiţiile orientate spre dotarea cu utilaje şi echipamente
performante în raport cu structura agricolă actuală, precum şi investiţiile privind adaptarea construcţiilor
agricole pentru respectarea standardelor comunitare şi creşterea competitivităţii exploataţiilor agricole.
Scopul sprijinului acordat prin măsură, cuprinde:
a) Îmbunătăţirea performanţelor generale ale exploataţiilor agricole;
b) Respectarea standardelor comunitare aplicabile tipurilor de investiţii prevăzute la capitolul "Tipuri de
investiţii";
c) Creşterea calităţii produselor obţinute şi diversificarea producţiei agricole;
d) Promovarea producerii şi utilizării durabile de energie, inclusiv energie din surse regenerabile în cadrul
fermei;
e) Înfiinţarea de culturi de specii forestiere cu ciclu de producţie scurt (până la 5 ani) şi regenerare pe cale
vegetativă (lăstari, drajoni etc.), cum ar fi culturile de plopi, sălcii, salcâmi etc., în scopul producerii de
energie regenerabilă;
f) Creşterea competitivităţii produselor agricole prin promovarea procesării inclusiv a produselor tradiţionale
la nivelul fermei şi comercializarea directă a acestora, scopul asigurării controlului calităţii la nivel de fermă,
etc.;
Activităţi eligibile
i. Construirea şi/sau modernizarea clădirilor utilizate pentru producţia agricolă la nivel de fermă, incluzând
investiţiile pentru respectarea standardelor comunitare şi pe cele pentru protecţia mediului şi depozitarea
îngrăşămintelor;
ii. Construirea şi/sau modernizarea infrastructurii rutiere interne sau de acces din domeniul agricol, inclusiv
utilităţi şi racorduri identificate ca necesare prin studiul de fezabilitate sau memoriul justificativ;
iii. Construirea şi/sau modernizarea fermelor de taurine pentru producţia de lapte, ca de exemplu:
echipamente pentru producerea de furaje, instalaţii de muls, linii tehnologice de prelucrare şi ambalare a
produselor, dotări tehnice în
iv. Construirea şi/sau modernizarea serelor, inclusiv a centralelor termice şi instalaţiilor de irigat, asigurarea
utilităţilor în vederea respectării condiţiilor de mediu;
v. Achiziţionarea sau achiziţionarea în leasing de tractoare noi, combine de recoltat, maşini, utilaje, instalaţii,
echipamente şi accesorii, echipamente şi software specializate, identificate ca necesare prin studiul de
fezabilitate sau memoriul justificativ;
vi. Achiziţionarea sau achiziţionarea în leasing de noi mijloace de transport specializate, necesare activităţii
de producţie, identificate ca necesare prin studiul de fezabilitate sau memoriul justificativ;
vii. Înlocuirea plantaţiilor viticole din soiuri nobile ajunse la sfârşitul ciclului biologic de producţie (minim
40 ani) şi care nu sunt incluse în sistemul de restructurare/reconversie al plantaţiilor de viţă-de-vie sprijinit
prin FEGA în cadrul OCP vin şi înfiinţarea plantaţiilor pentru struguri de masă;
viii. Înfiinţarea plantaţiilor de pomi, arbuşti fructiferi şi căpşuni;
ix. Înfiinţarea pepinierelor de viţă de vie, pomi fructiferi şi arbuşti, alţi arbori;
x. Investiţii pentru producerea şi utilizarea durabil_ a energiei din surse regenerabile în cadrul fermei;
xi. Investiţii pentru înfiinţarea de culturi de specii forestiere cu ciclu de producţie scurt _i regenerare pe cale
vegetativă, în scopul producerii de energie regenerabilă;
xii. Investiţii în apicultură, cu excepţia celor realizate prin Programul Naţional Apicol;
xiii. Investiţii pentru procesarea produselor agricole la nivelul fermei, cuprinzând echipamente pentru
vânzarea acestora, inclusiv depozitare, răcire etc.;
xiv. Costurile generale ale proiectului, conform articolului nr. 55 din Regulamentul (CE) nr. 1974/2006, cum
ar fi: taxe pentru arhitecţi, ingineri şi consultanţi, studii de fezabilitate, taxe pentru eliberarea certificatelor,
avizelor şi autorizaţiilor necesare implementării proiectelor, aşa cum sunt ele menţionate în legislaţia
naţională, achiziţionarea de patente şi licenţe (maxim 8% din valoarea totală eligibilă a proiectului, dacă
proiectul prevede şi construcţii, şi maxim 3% în cazul în care proiectul nu prevede realizarea construcţiilor);
xv. Investiţii necesare adaptării exploata_iilor pentru agricultura ecologică;
xvi. Investiţiile necesare realizării conformităţii cu standardele comunitare

Avans: 20.00%
Finanţare: Ajutorul public (FEADR + contribuţie publică naţională)%: 40.00%
Codul măsurii: 121
Măsura: Modernizarea exploataţiilor agricole
ECB 29 Apr. 2010 1 EUR = 4.137 RON
   Nr de        Cost        Estimarea     Contribuţia     Contribuţia     Contribuţia                Contribuţia
  proiecte      total     costului total   FEADR –           publică        privată                publică (FEADR
 prevăzute     mediu        pe măsură        măsură         naţională                              + Naţiona) RON
     15       €42,848       €642,722       €205,671         €51,418        €385,633                   1,063,577
                                          Contribuţia     Contribuţia     Contribuţia
                                           FEADR –           publică       privată%
                                           măsură%        naţională%
                                            32.00%           8.00%          60.00%
Alocare
                       financiară                                Realizare                                            Rezultat
                      măsuri 2007-                         (CCME nota de ghidare H)                             (CCME nota de ghidare I)
     Măsuri                2013
                     Cost Total (Euro)                        Indicatori                                             Indicatori




                                                                                         f




                                                                                                                                                  f
                                                                                         t
                                                                                         i

                                                                                         i




                                                                                                                                                  i
                       Cheltuială
                     Publică (Euro)
                                                                                                    Creşterea VAB în exploataţiile,
                                                                                                    întreprinderile M€
                                                                                                                               Măsura 112 –   1
                                          Număr de exploataţii care primesc sprijin
                                          pentru investiţii conform CCME împărţit                                              Măsura 121 –   2
                                                                                           15                                                     7
                                           pe parcursul implementării după vârstă,                                             Măsura 112 –   1
                                                      gen, statut juridic
                                                                                                                               Măsura 125 –   1
                                                                                                                               Măsura 123 –   1
                                                                                                                               Măsura 143 –   1

                                         Indicator adiţional                                        Număr de exploataţii care
                        €257,089         Număr de exploataţii de semi-subzistenţă               7   realizează/introduc noi produse şi/sau    8
                                         sprijinite                                                 noi tehnologii
121 - Modernizarea
   exploataţiilor                                                                                   Indicator adiţional
                                         Indicator adiţional
      agricole                                                                                      Măsura 121: Număr de exploataţii care
                                         Număr de exploataţii sprijinite aparţinând
                                                                                                2   îndeplinesc standardele comunitare, ca        7
                                         membrilor formelor associative (15% din
                                                                                                    urmare a sprijinului Estimare: 45% din
                                         beneficiarii măsurii)
                                                                                                    beneficiari
                                         Indicator adiţional
                                         Număr de forme asociative sprijinite (1.5%             0
                                         din beneficiarii măsurii)
                                         Indicator adiţional
                                         Număr de exploataţii care produc şi                    1
                                         utilizează energie regenerabilă
                                         Volumul total al investiţiilor (Euro) = Cost
                                         total
                        €138,828         conform CCME împărţit pe parcursul              €257,089
                                         implementării după tipul investiţiei şi tipul
                                         sectorului agricol
Axa I Creşterea competitivităţii sectoarelor agricol şi forestier
            II.2.9.1.6 Măsura: 122 Îmbunătăţirea valorii economice a pădurii
Obiectivul
Creşterea competitivităţii sectoarelor agricol şi forestier
Restructurarea şi dezvoltarea potenţialului fizic şi promovarea inovaţiei
Lărgirea valorii economice a pădurilor, creşterea diversificării şi sporirea oportunităţilor de piaţă
Raportul cu strategia de dezvoltare
* SWOT – TERITORIU; patrimoniu de mediu;
PUNCTE SLABE: Capacitate limitată a noilor proprietari privaţi de pădure de a-şi gestiona pădurile într-un
mod durabil

Tip de acţiuni: Materiale
Descriere beneficiari
a) Proprietari privaţi de pădure, persoane fizice sau asociaţii ale acestora;
b) Comunităţi locale deţinătoare de pădure în comun (cu drept de proprietate indivizibil) sau asociaţiile
acestora;
c) Comune, şi municipalităţi deţinătoare de pădure sau asociaţiile acestora;
d) Alte categorii de deţinători de pădure diferite de proprietatea de stat, deţinători de pădure independenţi
(biserici, spitale, şcoli) şi asociaţiile acestora;
e) Asociaţii mixte din oricare din categoriile de mai sus.
Evaluarea numărului beneficiarilor: 4
Descriere acţiuni
Prin această măsură se sprijină investiţiile în pădurile care se supun regimului silvic şi pentru care s-au
elaborat planuri de amenajare silvică, potrivit legislaţiei naţionale şi care sunt obligatorii. Sprijinul se va
acorda proprietăţilor
forestiere pentru realizarea acţiunilor şi măsurilor prevăzute de planurile de amenajare silvică, sau strâns
legate de acestea şi care contribuie la creşterea valorii economice a pădurilor şi pentru investiţii în
echipament de recoltare a
produselor lemnoase. Producerea de puieţi forestieri în pepinierele silvice este de asemenea sprijinită prin
această măsură numai în condiţiile în care pepiniera face parte din exploataţia forestieră şi este situată în
pădure.
Activităţi eligibile
A. Indiferent de suprafaţa de pădure:
A1) Costuri pentru achiziţionarea materialului de plantat, costurile de instalare a culturilor, pentru
îmbunătăţirea structurii arboretelor în concordanţă cu tipul natural fundamental de pădure;
A2) Costuri pentru refacerea arboretelor slab productive şi substituirii celor derivate;
A3)- Costuri pentru realizarea lucrărilor de îngrijire şi conducere a arboretelor prevăzute în planurile de
amenajare, incluzând răritura pre-comercială;
A4) Costuri generale ale proiectului reprezentând: taxe pentru arhitecţi, ingineri şi consultanţi, proiecte
tehnice, achiziţionarea de patente şi licenţe, în procent de maxim 10% din valoarea proiectului.
B. Pentru suprafeţe de pădure mai mari de 10 ha:
B1) Costuri pentru achiziţionarea de maşini, echipamente şi materiale pentru suprafeţele incluse în Catalogul
Naţional al materialelor forestiere de reproducere (ex: Livezi semincere, Părinţi de familii) şi în suprafeţele
desemnate pentru conservarea resurselor genetice forestiere.
B2) Costurile pentru crearea căilor de acces în interiorul arboretelor, pentru facilitarea executării lucrărilor
silvice prevăzute în planurile de amenajare.
B3) Costuri pentru achiziţionarea de maşini, echipamente şi materiale pentru realizarea lucrărilor de îngrijire
şi conducere a arboretelor prevăzute în planurile de amenajare (ex. plantări, descopleşiri, curăţiri, combatere
boli şi dăunători).
B4) Costuri pentru înfiinţarea de pepiniere forestiere, inclusiv achiziţionarea de maşini, echipamente şi
materiale pentru producerea de material forestier de reproducere de calitate, numai în cazuri excepţionale
cum sunt acelea ca pepiniera să facă parte din exploataţia forestieră şi pe terenuri din fond forestier.
C. Pentru suprafeţe de pădure mai mari de 100 ha sau pentru asociaţii care deţin suprafeţe mai mari de 100
ha:
- Costuri pentru achiziţionarea de echipamente şi maşini necesare pentru activitatea de exploatare care au
impact redus asupra mediului, altele decât maşinile complexe cum ar fi harvesterurile, în vederea creşterii
economice a pădurilor.
D. Pentru suprafeţe de pădure mai mari de 1.000 ha:
- Costuri pentru achiziţionarea de echipamente hardware şi software necesare pentru elaborarea
documentaţiei tehnice cerute de reglementările forestiere în vigoare.
Avans: 20.00%
Finanţare: Ajutorul public (FEADR + contribuţie publică naţională)%: 50.00%
Codul măsurii: 122
Măsura: Îmbunătăţirea valorii economice a pădurii
ECB 29 Apr. 2010 1 EUR = 4.137 RON
    Nr de          Cost       Estimarea         Contribuţia     Contribuţia      Contribuţia       Contribuţia
   proiecte        total    costului total      FEADR –           publică          privată       publică (FEADR
  prevăzute       mediu      pe măsură            măsură         naţională                       + Naţiona) RON
      4          €20,850       €83,402           €33,360          €8,341           €41,701            172,517
                                                Contribuţia     Contribuţia      Contribuţia
                                                FEADR –           publică         privată%
                                                 măsură%        naţională%
                                                  40.00%          10.00%           50.00%
Alocare
               financiară              Realizare                              Rezultat
               măsuri            (CCME nota de ghidare H)               (CCME nota de ghidare I)
               2007-2013
  Măsuri       Cost Total
                                  Indicatori        Cuantificare         Indicatori       Cuantificare
               (Euro)
               Cheltuială
               Publică
               (Euro)
                                                                   Indicator adiţional
                                                                   Măsura 122
                                                                   Numărul de
                                                                   proiecte de
                                Numărul de                         îmbunătăţire a
                                exploataţii                        structurii pădurii               1
                            forestiere sprijinite                  Estimare:
                             conform CCME                          aproximativ 25%
                €41,701         împărţit pe              4         din beneficiari vor
                                 parcursul                         realiza acest tip de
                              implementării                        proiecte
     122 -                     după tipul de                       Indicator adiţional
Îmbunătăţire                     proprietar                        Măsura 122
   a valorii
 economice a                                                       Număr de hectare
                                                                                                    9
   pădurii                                                         pe care s-a
                                                                   îmbunătăţit
                                                                   structura pădurii
                          Volumul total al
                          investiţiilor (Euro)
                          = Cost total
                          conform CCME
                  €22,936 împărţit pe                   €41,701
                          parcursul
                          implementării
                          după tipul de
                          proprietar
Axa I Creşterea competitivităţii sectoarelor agricol şi forestier
            II.2.9.1.7 Măsura: 123 Creşterea valorii adăugate a produselor agricole şi forestiere
Obiectivul
Creşterea competitivităţii sectoarelor agricol şi forestier
Restructurarea şi dezvoltarea potenţialului fizic şi promovarea inovaţiei
Îmbunătăţirea procesării şi marketingului produselor primare
Raportul cu strategia de dezvoltare
* SWOT – TERITORIU; patrimoniu de mediu;
PUNCTE SLABE: Capacitate limitată a noilor proprietari privaţi de pădure de a-şi gestiona pădurile într-un
mod durabil

Tip de acţiuni:
Descriere beneficiari
Pentru produsele agricole:
a) Micro-întreprinderi şi Întreprinderi Mici şi Mijlocii - definite în conformitate cu Recomandarea (CE) nr.
361/2003;
b) Alte întreprinderi care nu sunt micro-întreprinderi, întreprinderi mici şi mijlocii, definite în conformitate
cu art. 28 din Regulamentul (CE) nr. 1698/2005, care au mai puţin de 750 angajaţi sau cu o cifră de afaceri
care nu depăşeşte
200 milioane euro.
Pentru produsele forestiere:
a) Micro-întreprinderi şi Întreprinderi Mici şi Mijlocii - definite în conformitate cu Recomandarea (CE) nr.
361/2003;
Evaluarea numărului beneficiarilor: 20
Descriere acţiuni
Sprijinul prin această măsură se acordă pentru realizarea de investiţii corporale şi necorporale în cadrul
întreprinderilor pentru procesarea şi marketingul produselor agricole care procesează materii prime, incluse
în Anexa I la Tratatul de Instituire a Comunităţii Europene, cu excepţia produselor piscicole şi care obţin
produse incluse şi neincluse în Anexa I, pentru:
a) Dezvoltarea de noi produse, procese şi tehnologii;
b) Promovarea investiţiilor pentru producerea şi utilizarea energiei din surse regenerabile;
c) Adaptarea la cerinţele pieţei, în funcţie de resursele locale precum şi deschiderea de noi oportunităţi de
piaţă;
d) Promovarea investiţiilor pentru producerea biocombustibililor;
e) Promovarea de investiţii pentru respectarea standardelor comunitare;
f) Creşterea productivităţii muncii în sectorul agro-alimentar;
g) Aplicarea măsurilor de protecţia mediului, inclusiv măsuri de eficienţă energetică;
h) Creşterea numărului de locuri de muncă şi a siguranţei la locul de muncă.
De asemenea, sprijinul este acordat pentru investiţii corporale şi necorporale pentru procesarea şi
marketingul produselor forestiere, prin:
a) Creşterea eficienţei sectorului de procesare şi marketing a produselor forestiere prin inovaţii şi
introducerea de noi tehnologii, maşini şi echipamente, cu respectarea standardelor de siguranţă în muncă şi
de protecţie a mediului;
b) Adaptarea la cerinţele pieţei, a prelucrării şi comercializării produselor forestiere, în funcţie de resursele
locale, şi explorarea de noi oportunităţi de piaţă de desfacere;
c) Îmbunătăţirea competitivităţii unităţilor de prelucrare şi comercializare a produselor forestiere prin
creşterea randamentului instalaţiilor şi proceselor de prelucrare şi a calităţii produselor;
d) Obţinerea de surse de energie regenerabilă din biomasă forestieră;
e) Îmbunătăţirea dotărilor microîntreprinderilor prin achiziţionarea de echipamente, utilaje şi maşini
complexe de recoltare, transport şi prelucrare, în cadrul aceluiaşi proces tehnologic, a produselor forestiere,
cum sunt maşinile
forestiere multifuncţionale de recoltat cu impact redus asupra mediului, precum şi de maşini şi utilaje
speciale pentru transportul produselor forestiere, din pădure la unităţile de procesare primară;
f) Creşterea numărului de locuri de muncă în sectorul procesării şi valorificării produselor forestiere;
g) Creşterea productivităţii muncii în sectorul forestier;
h) Pentru procesarea produselor forestiere lemnoase sunt eligibile numai operaţiile care au loc înainte de
prelucrarea industrială în conformitate cu art. 19 din Regulamentul (CE ) nr. 1974/2006.
Activităţi eligibile
Pentru produsele agricole
a) Construcţii noi şi/sau modernizarea clădirilor folosite pentru procesul de producţie, inclusiv construcţii
destinate protecţiei mediului, infrastructură internă şi utilităţi, precum şi branşamente şi racorduri necesare
proiectelor;
b) Construcţii noi şi/sau modernizări pentru depozitarea produselor, inclusiv depozite frigorifice en-gross;
c) Achiziţionarea sau achiziţionarea în leasing de noi utilaje, instalaţii, echipamente, aparate şi costuri de
instalare;
d) Investiţii pentru îmbunătăţirea controlului intern al calităţii materiei prime, semifabricatelor, produselor şi
subproduselor obţinute în cadrul unităţilor de procesare şi marketing;
e) Investiţii pentru producerea şi utilizarea energiei din surse regenerabile;
f) Achiziţionarea sau achiziţionarea în leasing de noi mijloace de transport specializate, necesare activităţii de
producţie şi marketing, identificate ca necesare prin studiul de fezabilitate sau memoriul justificativ.
Pentru produsele forestiere
a) Construcţii noi şi modernizarea tuturor categoriilor de spaţii şi încăperi pentru producerea şi stocarea
produselor forestiere, necesare realizării proiectului, inclusiv utilităţi şi branşamente care nu depăşesc 10%
din valoarea eligibilă a proiectului;
b) Achiziţionarea sau achiziţionarea în leasing de noi instalaţii, maşini şi echipamente pentru recoltarea (în
cazul proceselor tehnologice complexe), transportul şi procesarea primară a produselor forestiere (lemnoase
şi nelemnoase), precum şi investiţii pentru modernizarea şi retehnologizarea capacităţilor existente, aţa cum
sunt prevăzute în studiile de fezabilitate, cu respectarea standardelor de mediu şi securitate a muncii.
Investiţii necorporale pentru produsele agricole şi forestiere (lista indicativă):
i. Organizarea şi implementarea sistemelor de management al calităţii şi de siguranţă alimentar_, dacă sunt în
legătură cu investiţiile corporale ale proiectului;
ii. Cumpărarea de tehnologii (know-how), achiziţionarea de patente şi licenţe pentru pregătirea implementării
proiectului;
iii. Costurile generale ale proiectului conform articolului nr. 55 din Regulamentul (CE) nr. 1974/2006, cum ar
fi: taxe pentru arhitecţi, ingineri şi consultanţi, studii de fezabilitate, taxe pentru eliberarea certificatelor,
avizelor şi autorizaţiilor necesare implementării proiectelor, aţa cum sunt ele menţionate în legislaţia
naţională, pentru pregătirea implementării proiectului (maxim 8% din valoarea totală eligibilă a proiectului,
dacă proiectul prevede şi construcţii şi maxim 3% în cazul în care proiectul nu prevede realizarea
construcţiilor);
iv. Achiziţionarea de software, identificat ca necesar prin studiul de fezabilitate sau memoriul justificativ.

Avans: 20.00%
Finanţare: Ajutorul public (FEADR + contribuţie publică naţională)%: 50.00%
Codul măsurii: 123
Măsura: Creşterea valorii adăugate a produselor agricole şi forestiere
ECB 29 Apr. 2010 1 EUR = 4.137 RON
   Nr de        Cost        Estimarea     Contribuţia       Contribuţia   Contribuţia             Contribuţia
  proiecte      total     costului total  FEADR –             publică       privată             publică (FEADR
 prevăzute     mediu        pe măsură       măsură           naţională                          + Naţiona) RON
     20       €21,559       €431,180       €172,472           €43,118      €215,590                 891,896
                                          Contribuţia       Contribuţia   Contribuţia
                                          FEADR –             publică      privată%
                                           măsură%          naţională%
                                            40.00%            10.00%        50.00%
Alocare financiară măsuri                                             Realizare
              2007-2013                                                       (CCME nota de ghidare H)
 Măsuri
              Cost Total (Euro)                                             Indicatori                              Cuantificare

              Cheltuială Publică (Euro)
    123 -
Creşterea                                 Numărul total al întreprinderilor
   valorii                                conform CCME împărţit pe
adăugate a                                parcursul implementării după
produselor                                dimensiunea întreprinderii, tipul
agricole şi
                                          activităţii şi tipul sectorului
 forestiere
                       €215,590           Numărul total al întreprinderilor                                             20
                                          Împărţite în funcţie de
                                          dimensiunea acestora
                                                        • micro-întreprinderi:                                16
                                                                      • IMM:                                   4
                                                                     • Altele:                                 0
                                          Volumul total al investiţiilor
                                          (Euro) = Cost total
                                          conform CCME împărţit pe
                                          parcursul implementării după
                                          dimensiunea întreprinderii, tipul
                                          activităţii şi tipul sectorului
                        €85,254                                                                                      €198,361
                                          Împărţire în funcţie de
                                          dimensiunea întreprinderii:
                                                        • micro-întreprinderi:                           €123,436
                                                                        • IMM:                            €74,925
                                                                       • Altele:                               €0
                                          Indicator adiţionalNumăr de
                                                                                                                        20
                                          întreprinderi sprijinite, din care:
Alocare financiară măsuri                                           Realizare
         2007-2013                                                     (CCME nota de ghidare H)
Măsuri
         Cost Total (Euro)                                            Indicatori                      Cuantificare

         Cheltuială Publică (Euro)

                                     • Număr de întreprinderi sprijinite,
                                     cu programe de restructurare
                                     (Estimare: 80% din numărul total                             3
                                     al întreprinderilor cuprinse în lista
                                     din cadrul măsurii):

                                     • Număr de întreprinderi sprijinite
                                     care aparţin formelor asociative
                                                                                                  3
                                     (Estimare: 15% din numărul total
                                     al beneficiarilor):
Axa I Creşterea competitivităţii sectoarelor agricol şi forestier
             II.2.9.1.8 Măsura: 125 Îmbunătăţirea şi dezvoltarea infrastructurii legate de dezvoltarea
               şi adaptarea
agriculturii şi silviculturii
Obiectivul
Creşterea competitivităţii sectoarelor agricol şi forestier
Restructurarea şi dezvoltarea potenţialului fizic şi promovarea inovaţiei
Îmbunătăţirea şi dezvoltarea infrastructurii legate de dezvoltarea şi adaptarea
a) agriculturii
b) silviculturii
Raportul cu strategia de dezvoltare
* SWOT – TERITORIU; patrimoniu de mediu;
PUNCTE SLABE: Capacitate limitată a noilor proprietari privaţi de pădure de a-şi gestiona pădurile într-un
mod durabil

Tip de acţiuni: Materiale
Descriere beneficiari
a) Organizaţii/federaţii de utilitate publică ale proprietarilor/deţinătorilor de terenuri agricole constituite în
conformitate cu legislaţia în vigoare;
b) Consilii locale şi asociaţii ale acestora;
Evaluarea numărului beneficiarilor: 5
Descriere acţiuni
a) îmbunătăţirea accesului la exploataţiile agricole;
b) construirea şi modernizarea drumurilor de exploataţie care să asigure accesul public la exploataţiile
agricole;
c) modernizarea şi/sau retehnologizarea sistemelor de irigaţii;
d) modernizarea si/sau retehnologizarea sistemelor de desecare şi drenaj;
e) lucrări de corectare a torenţilor situaşi în fondul agricol.
Sprijinul prevăzut în cadrul acestei sub - măsuri va fi acordat pentru:
e1) construirea, extinderea şi modernizarea infrastructurii de exploatare şi de acces a exploataţiilor agricole;
e2) modernizarea şi/sau retehnologizarea sistemelor existente de irigaţii aflate în proprietatea şi/sau
administrarea OUAI/FOUAI şi a altor lucrări de îmbunătăţiri funciare;
e3) lucrări de corectarea torenţilor situate în fondul funciar agricol.
Activităţi eligibile
(i) Infrastructură rutieră agricolă - construirea şi/sau modernizarea drumurilor de acces, poduri şi podeţe,
drumurilor agricole de exploataţie;
(ii) Sisteme de irigaţii - modernizare şi/sau retehnologizare26 inclusiv lucrări pentru staţiile de pompare, de
contorizare;
(iii) Sisteme de desecare şi drenaj şi alte lucrări de îmbunătăţiri funciare - modernizare şi/sau retehnologizare;
(iv) Lucrări de corectare a torenţilor, situate în fond funciar agricol - constând în construirea şi/sau
modernizarea barajelor, digurilor, canalelor sau alte asemenea lucrări. Cheltuielile pentru proiectare realizate
înainte de aprobarea proiectului, incluzând studiu de fezabilitate, memoriu justificativ, studii hidrologice
şi/sau hidro-geologice, proiectele tehnice se suportă din sprijinul acordat prin m_sură şi nu pot depăşi 10%
din valoarea eligibilă a proiectului.
Avans: 20.00%
Finanţare: Ajutorul public (FEADR + contribuţie publică naţională)%: 75.00%
Codul măsurii: 125
Măsura: Îmbunătăţirea şi dezvoltarea infrastructurii legate de dezvoltarea şi adaptarea
agriculturii şi silviculturii
ECB 29 Apr. 2010 1 EUR = 4.137 RON
   Nr de           Cost        Estimarea     Contribuţia     Contribuţia      Contribuţia         Contribuţia
  proiecte         total      costului total FEADR –           publică          privată         publică (FEADR
 prevăzute        mediu        pe măsură       măsură         naţională                         + Naţiona) RON
     5           €32,389        €161,945      €97,167          €24,292         €40,486              502,476
                                             Contribuţia     Contribuţia      Contribuţia
                                             FEADR –           publică         privată%
                                              măsură%        naţională%
                                              60.00%           15.00%           25.00%
Alocare
                               financiară                             Realizare
                               măsuri 2007-                     (CCME nota de ghidare H)
                               2013
         Măsuri                Cost Total
                                                                  Indicatori                     Cuantificare
                               (Euro)
                               Cheltuială
                               Publică (Euro)
                                                Numărul de acţiuni sprijinite
                                                conform CCME împărţit pe
                                 €121,459                                                   5
                                                parcursul implementării după tipul
                                                terenului şi tipul operaţiunii
                                                Volumul total al investiţiilor
                                                (Euro) = Cost
                                                total conform CCME împărţit pe
                                                parcursul implementării după tipul
                                                terenului şi tipul operaţiunii
                                                                                                  €121,460
                                                Împartite pe tipul de teren:
                                                                            • Agricol: €54,657
  125 - Îmbunătăţire a şi
dezvoltarea infrastructuri i                                              • Forestier: €54,657
  legate de dezvoltarea şi                                   • Comasarea terenurilor: €12,146
 adaptarea agriculturii şi
        silviculturii                           Indicator adiţional
                                  €97,167       Suprafaţa modernizată şi
                                                reabilitată
                                                Irigaţii - ha                                          1,238
                                                – ha
                                                - drenaje                                  396
                                                                                                     726
                                                - combaterea eroziunii solului             198
                                                - protecţie împotriva inundaţiilor         132
                                                Lungimea drumurilor construite:
                                                                      • Agricole - km        2
                                                                    • Forestiere - km        7
Axa I Creşterea competitivităţii sectoarelor agricol şi forestier
            II.2.9.1.9 Măsura: 141 Sprijinirea fermelor agricole de semi-subzistenţă
Obiectivul
Creşterea competitivităţii sectoarelor agricol şi forestier
Facilitarea tranziţiei în NSM
Încurajarea intrării pe piaţă a fermelor de semi-subzistenţă
Raportul cu strategia de dezvoltare
* SWOT - Potenţialul de producţie agricolă (producţia primară);
PUNCTE SLABE: Pondere importantă a SAU este utilizată de exploataţii de subzistenţă şi semi-subzistenţă
neperformante
* SWOT - ACTIVITĂŢI ECONOMICE; industrie – IMM – micro-întreprinderi;
PUNCTE SLABE: Economia rurală este slab diversificată şi încă dependentă de activităţile agricole, ceea ce
are drept consecinţă venituri reduse pentru întreprinzătorii din mediul rural
Tip de acţiuni: Imateriale
Descriere beneficiari
Definiţia fermierului pentru măsurile din Axa 1
Fermierul este o persoană fizică sau juridică, a cărei exploataţie este situată pe teritoriul ţării şi are o
dimensiune egală sau mai mare de 2 UDE, care practică în principal activităţi agricole şi care este înregistrată
în Registrul
fermelor/Registrul agricol/. Unitatea de dimensiune economică (UDE) reprezintă unitatea prin care se
exprimă dimensiunea economică a unei exploataţii agricole determinată pe baza marjei brute standard a
exploataţiei (Decizia
Comisiei nr. 85/377/CEE). Valoarea unei unităţi de dimensiune economică este de 1.200 euro.
Persoane fizice şi persoane fizice autorizate în vârstă de până la 62 de ani care prezintă un Plan de afaceri
pentru restructurarea exploataţiei agricole.
Persoanele fizice neautorizate încă vor fi acceptate ca beneficiari potenţiali dacă se angajează să se autorizeze
până la data încheierii contractului de finanţare.
Evaluarea numărului beneficiarilor: 8
Descriere acţiuni
Sprijinul acordat prin această măsură are scopul de a asigura veniturile necesare în perioada de restructurare
şi transformarea fermelor de semi - subzistenţă în exploataţii orientate către piaţă, prin utilizarea durabilă a
factorilor de producţie, îmbunătăţirea managementului prin diversificarea producţiei agricole, precum şi
introducerea de tehnologii performante adaptate condiţiilor locale. Ca urmare, implementarea măsurii va
conduce la creşterea veniturilor acestor ferme concomitent cu scăderea costurilor de producţie.
Activităţi eligibile
Sprijinul public nerambursabil se va acorda sub forma unei sume fixe anuale.
Sprijinul acordat în cadrul acestei măsuri este de 1.500 de Euro/an/fermă de semi-subzistenţă.
Sprijinul se acordă pentru o perioadă de maxim 5 ani pentru cererile aprobate înainte de 31 decembrie 2013.
Criteriile de selecţie pentru fermele de semi-subzistenţă:
a) să facă parte dintr-o formă asociativă recunoscută conform legislaţiei naţionale în vigoare (de exemplu:
grup de producători, cooperativă etc.);
b) să acceseze măsura de agromediu;
c) să fie în zonă defavorizată;
d) să aparţină tinerilor fermieri;
e) să realizeze o investiţie, în special o investiţie pentru îndeplinirea conformităţii cu standardele comunitare.
Avans: 20.00%
Finanţare: Ajutorul public (FEADR + contribuţie publică naţională)%: 100.00%
Codul măsurii: 141
Măsura: Sprijinirea fermelor agricole de semi-subzistenţă
ECB 29 Apr. 2010 1 EUR = 4.137 RON
   Nr de        Cost       Estimarea       Contribuţia    Contribuţia     Contribuţia             Contribuţia
  proiecte      total    costului total    FEADR –          publică         privată             publică (FEADR
 prevăzute     mediu      pe măsură          măsură        naţională                            + Naţiona) RON
     8         €8,119       €64,956         €51,964         €12,992           €0                    268,723
                                           Contribuţia    Contribuţia     Contribuţia
                                           FEADR –          publică        privată%
                                            măsură%       naţională%
                                            80.00%          20.00%          0.00%
Alocare
financiară                        Realizare                                     Rezultat
măsuri 2007-                (CCME nota de ghidare H)                      (CCME nota de ghidare I)
2013
Cost Total
                             Indicatori                Cuantificare       Indicatori          Cuantificare
(Euro)
Cheltuială
Publică
(Euro)
                                                                   Număr de ferme care
               Număr total de ferme de semi-
                                                                   intră pe piaţă
               subzistenţă sprijinite conform
                                                                   (Măsura 141) Mai
  €64,956      CCME împărţit pe parcursul                        8                        6
                                                                   mult de 80% din
               implementării după dimensiunea
                                                                   beneficiarii măsurii
               fermei (în ha)
                                                                   141
               Indicator adiţional
               Număr de ferme de semi-
                                                                 2
               subzistenţă sprijinite din zone
               defavorizate 20% din beneficiari
               Indicator adiţional
               Număr de ferme de semi-
               subzistenţă sprijinite împărţite în
               funcţie de:
               Statut juridic
               - Persoane fizice, estimare 80%
                                                                 6
               din beneficiari:
               - Persoana juridice, estimare 20%
                                                                 2
               din beneficiari:
               Gen                                                           8
               - bărbaţi, estimare 90% din
                                                                 7
               beneficiari:
               - femei, estimare 10% din
                                                                 1
               beneficiari:
               Structura pe vârste

               <40, estimare 15% din beneficiari:                1

               >= 40, estimare 85% din
                                                                 7
               beneficiari
Alocare
financiară                        Realizare                                     Rezultat
măsuri 2007-                (CCME nota de ghidare H)                      (CCME nota de ghidare I)
2013
Cost Total
                             Indicatori                Cuantificare       Indicatori          Cuantificare
(Euro)
Cheltuială
Publică
(Euro)
                                                                   Indicator adiţional
                                                                   Număr de ferme de
                                                                   semi-subzistenţă
               indicator adiţional
                                                                   sprijinite care vor
               Număr de ferme de semi-
                                                                   introduce noi
               subzistenţă sprijinite care aplică                1                        3
                                                                   produse
               pentru agro-mediu 10% din
                                                                   (Măsura 141)
               beneficiari
                                                                   Mai mult de 40% din
                                                                   beneficiarii măsurii
                                                                   141
Axa I Creşterea competitivităţii sectoarelor agricol şi forestier
            II.2.9.1.10 Măsura: 142 Înfiinţarea grupurilor de producători
Obiectivul
Creşterea competitivităţii sectoarelor agricol şi forestier
Facilitarea tranziţiei în NSM
Încurajarea sectorului primar prin formarea grupurilor de producători
Raportul cu strategia de dezvoltare
* SWOT - ACTIVITĂŢI ECONOMICE; industrie – IMM – micro-întreprinderi;
PUNCTE SLABE: Nu există reţele de desfacere a produselor agro-alimentare şi nici lanţuri de procesare
* SWOT – TERITORIU; patrimoniu arhitectural şi cultural;
PUNCTE SLABE: Accesul redus pe piaţă al produselor meşteşugăreşti
Tip de acţiuni: Imateriale
Descriere beneficiari
Grupuri de producători recunoscute oficial începând cu 1 ianuarie 2007 până la 31 decembrie 2013, conform
prevederilor legislaţiei în vigoare.
Se exclud de la finanţare grupurile de producători, recunoscute preliminar, cele care au primit sprijin prin
Programul SAPARD sau de la bugetul naţional, precum şi organizaţiile de producători din sectorul legume-
fructe care beneficiază de sprijin prin Regulamentul CE 2200/1996, precum şi organizaţiile de producători de
hamei.
Evaluarea numărului beneficiarilor: 3
Descriere acţiuni
Domeniul de acţiune al măsurii îl constituie încurajarea înfiinţării şi funcţionarii administrative a grupurilor
de producători, recunoscute în conformitate cu prevederile legislaţiei naţionale în vigoare, ceea ce va
conduce la:
a) Adaptarea producţiei la cerinţele şi exigenţele pieţei;
b) Asigurarea comercializării în comun a produselor, inclusiv pregătire a pentru vânzare, centralizarea
vânzărilor şi distribuţia produselor cu ridicata;
c) Creşterea valorii adăugate a producţiei obţinute în comun şi o mai bună gestionare economică a resurselor
şi rezultatelor obţinute;
d) Stabilirea unor reguli comune în ceea ce priveşte informaţiile asupra producţiei, în special cu privire la
cantitate, calitate şi tipul ofertei, acordându-se o atenţie deosebită produselor obţinute în cantităţi
corespunzătoare pentru industria prelucrătoare şi pentru reţeaua de comercializare.
Activităţi eligibile
În cadrul acestei m_suri se acord_ sprijin public nerambursabil de 100%, conform anexei Regulamentului
(CE) nr. 1698/2005. Suma acordată prin această m_sură se calculează anual în funcţie de valoarea producţiei
anuale comercializate de către grupul de producători recunoscut.
Schema de sprijin pentru grupurile de producători este următoarea:
Rate anuale acordate în primii 5 ani de la data recunoaşterii grupului de producători;
Sprijinul va fi calculat pe baza producţiei comercializate anual de către grupul de producători, astfel: a) 5%,
5%, 4%, 3% şi 2% din valoarea producţiei comercializate de până la 1.000.000 Euro pentru primul, al doilea,
al treilea, al patrulea şi respectiv al cincilea an; b) 2,5%, 2,5%, 2,0%, 1,5% şi 1,5% pentru valoarea producţiei
comercializate care depăşeşte 1.000.000 Euro pentru primul, al doilea, al treilea, al patrulea şi respectiv al
cincilea an.
Sprijinul nu va putea depăşi următoarele plafoane:
                                                  100,000€ Anul I
                                                  100,000€ Anul II
                                                  80,000€     Anul III
                                                  60,000€     Anul IV
                                                  50,000€     Anul V
Plata primei rate va fi făcută la un an, după data la care grupul de producători este recunoscut. Plata se va
face în urma verificării respectării condiţiilor iniţiale de recunoaştere a grupului de producători, pe baza
facturilor pentru producţia vândută înregistrată şi calculată după un an de la recunoaşterea grupului.

Avans: 20.00%
Finanţare: Ajutorul public (FEADR + contribuţie publică naţională)%: 100.00%
Codul măsurii: 142
Măsura: Înfiinţarea grupurilor de producători
ECB 29 Apr. 2010 1 EUR = 4.137 RON
   Nr de        Cost        Estimarea      Contribuţia    Contribuţia     Contribuţia            Contribuţia
  proiecte       total    costului total   FEADR –           publică        privată            publică (FEADR
 prevăzute      mediu       pe măsură        măsură         naţională                          + Naţiona) RON
     3         €34,008      €102,026        €81,620         €20,406           €0                   422,082
                                           Contribuţia    Contribuţia     Contribuţia
                                           FEADR –           publică       privată%
                                            măsură%       naţională%
                                             80.00%          20.00%         0.00%
Alocare
                    financiară                   Realizare                                       Rezultat
                    măsuri 2007-           (CCME nota de ghidare H)                        (CCME nota de ghidare I)
                    2013
    Măsuri          Cost Total
                                            Indicatori         Cuantificare                 Indicatori                   Cuantificare
                    (Euro)
                    Cheltuială
                    Publică
                    (Euro)
                                   Număr total de grupuri de
                                                                           Număr suplimentar de ferme care
                                   producători sprijinite
                                                                           intră pe piaţă (Măsura 142) 40% din
142 - Înfiinţarea                  conform CCME împărţit
                                                                           numărul fermelor de semisubzistenţă
 grupurilor de       €102,026      pe parcursul                          3                                           2
  producători                                                              sprijinită prin măsura 141 vor intra în
                                   implementării după tipul
                                                                           grupuri de producători şi vor deveni
                                   grupului de producător şi
                                                                           comerciale
                                   tipul sectorului agricol
                                   din care pentru produse
                                                                         0
                                   ecologice 10%:
                                   ● Sectorul vegetal 20%
                                   din total                             1
                                   din care:
                                   - culturi de câmp 70%:                1
                                   - horticultura 5%:                    0
                                   - viticultură 25%:                    0
                                   ● Sectorul de creştere a
                                   animalelor 60% din total              2
                                   din care:
                                   - creşterea animalelor
                                                                         1
                                   pentru lapte 50%:
                                   - creşterea animalelor
                                                                         1
                                   (excluzând laptele) 25%:
                                   - granivore (porci şi
                                                                         1
                                   păsări) 25%:
Alocare
         financiară                   Realizare                          Rezultat
         măsuri 2007-           (CCME nota de ghidare H)           (CCME nota de ghidare I)
         2013
Măsuri   Cost Total
                                 Indicatori         Cuantificare   Indicatori                 Cuantificare
         (Euro)
         Cheltuială
         Publică
         (Euro)
                        ● Mixt 20% din total:                 1
Axa I Creşterea competitivităţii sectoarelor agricol şi forestier
Măsura: 143 Furnizarea de servicii de consiliere şi consultanţă pentru agricultori
Obiectivul
Creşterea competitivităţii sectoarelor agricol şi forestier
Facilitarea tranziţiei în NSM
Îmbunătăţirea managementului sustenabil al proprietăţilor
Raportul cu strategia de dezvoltare
* SWOT - ACTIVITĂŢI ECONOMICE; industrie – IMM – micro-întreprinderi;
PUNCTE SLABE: Nivel scăzut de conformitate a produselor cu normele UE

Tip de acţiuni: Imateriale
Descriere beneficiari
Beneficiarii direcţi ai acestui sprijin sunt furnizorii de consiliere şi consultanţă respectiv entităţi publice sau
private, care îndeplinesc criteriile de calificare şi de selecţie. Beneficiarii finali ai acestui sprijin sunt
fermierii care deţin
ferme de semi-subzistenţă. Nu sunt eligibile pentru a primi sprijin prin această măsură fermele de subzistenţă
şi exploataţiile/gospodăriile silvice care nu dezvoltă şi activităţi agricole.
Evaluarea numărului beneficiarilor: 4
Descriere acţiuni
Scopul măsurii este de a sprijini agricultorii să utilizeze serviciile de consiliere şi consultanţă în vederea
restructurării şi îmbunătăţirii performanţelor generale ale activităţii acestora.
Consilierea va contribui la diseminarea şi înţelegerea practică a aplicării şi respectării bunelor practici
agricole şi de mediu, asigurând condiţiile de protejare a mediului înconjurător şi utilizarea unor practici
agricole prietenoase cu mediul. De asemenea, consilierea va contribui şi la elaborarea planurilor de afaceri
necesare pentru accesarea fondurilor în vederea stabilirii tinerilor fermieri în mediul rural şi pentru fermele
de semi - subzistenţă.
Consultanţa va contribui la buna informare a agricultorilor pentru modernizarea fermelor, reorientarea
calitativă a producţiei, diversificarea fermelor, aplicarea practicilor de producţie compatibile cu conservarea
şi promovarea peisajului, pentru protejarea mediului, respectarea standardelor de igienă şi bunăstare animală
şi pentru dobândirea aptitudinilor manageriale necesare administrării unei exploataţii viabile din punct de
vedere economic.
Consultanţa vizează şi aplicarea standardelor privind siguranţa ocupaţională la locul de muncă bazate pe
legislaţia comunitară. Se va urmări difuzarea de cunoştinţe în materie de gestiune şi administrare a terenurilor
şi a exploataţiilor agricole, de aplicare a bunelor practici agricole şi de mediu conform Cap. 1 articolele 4 si 5
şi anexele III si IV din Regulamentul (CE) nr. 1782/2003.
Activităţi eligibile
Pentru Fermieri care deţin ferme de semi-subzistenţă. În cursul acestei perioade sprijinul se acordă exclusiv
pentru furnizarea de servicii de consiliere şi consultanţă agricultorilor care beneficiază de sprijin pentru
exploataţiile de semi-subzistenţă prevăzute la art. 20 litera (d) punctul (i) al Regulamentului (CE) nr.
1698/2005. (Conform Deciziei 664/CE din 19 iunie 2006 privind adaptarea anexei VIII la Tratatul de aderare
a României şi Bulgariei). Furnizarea serviciilor de consiliere şi consultanţă se va realiza individual pentru
fiecare fermier, pe baza acceptului acestuia fără discriminare pe criterii de vârstă, sex, rasă, origine etnică,
apartenenţă politică sau religioasă etc.
Constituie avantaj dacă aplicanţii
a) au vârsta sub 40 de ani
b) sunt membri ai unor grupuri de producători sau altor forme asociative recunoscute conform legislaţiei în
vigoare;
Pentru măsurile 112 Instalarea tinerilor fermieri, 221 Prima împădurire a terenurilor agricole şi 214 Plăţi de
agro-mediu selecţia se va realiza prin aplicarea principiului primul venit - primul servit;
Pentru măsura 141 Sprijinirea fermelor agricole de semisubzistenţă se va aplica un sistem de selecţie bazat pe
sistemul de scoraj pentru această măsură. Acest sistem de selecţie va fi stabilit de GAL în consultare cu
Autoritatea de Management.
Avans: 20.00%
Finanţare: Ajutorul public (FEADR + contribuţie publică naţională)%: 100.00%
Codul măsurii: 142
Măsura: Înfiinţarea grupurilor de producători
ECB 29 Apr. 2010 1 EUR = 4.137 RON
   Nr de        Cost        Estimarea      Contribuţia    Contribuţia     Contribuţia           Contribuţia
  proiecte       total    costului total   FEADR –           publică        privată           publică (FEADR
 prevăzute      mediu       pe măsură        măsură         naţională                         + Naţiona) RON
     3         €34,008      €102,026        €81,620         €20,406           €0                  422,082
                                           Contribuţia    Contribuţia     Contribuţia
                                           FEADR –           publică       privată%
                                            măsură%       naţională%
                                             80.00%          20.00%         0.00%
Alocare financiară                             Realizare
                                        măsuri 2007-2013                         (CCME nota de ghidare H)

               Măsuri
                                         Cost Total (Euro)                        Indicatori                    Cuantificare

                                        Cheltuială Publică
                                             (Euro)
                                                             Număr de fermieri consiliaţi pentru 2010-
                                                             2012
                                                             • din care femei:                              1
                                                             • Număr de fermieri consiliaţi pentru
                                                             Măsura 141 „Sprijinirea fermelor agricole      1
                                                             de semi-subzistenţă”:
    143 - Furnizarea de servicii de                          • Număr de fermieri consiliaţi pentru
                                                             Măsura 112 „Instalarea tinerilor fermieri”:
                                                                                                            0
   consiliere şi consultanţă pentru         €20,952                                                                  4
agricultori pentru perioada 2010-2012                        • Număr de fermieri consiliaţi pentru
                                                             Măsura 214 „Plăţi de agro – mediu”:            1
                                                             • Număr de fermieri (persoane fizice)
                                                             consiliaţi pentru Măsura 221 „Prima            0
                                                             împădurire a terenurilor agricole”:
                                                             • Număr de fermieri beneficiari ai
                                                             acţiunilor de consultanţă prevăzute la         2
                                                             punctele B) şi C):
II.2.9.2 Axa II Îmbunătăţirea mediului şi a spaţiului rural
            II.2.9.2.1 Măsura: 211 Sprijin pentru Zona Montană Defavorizată
Obiectivul
Îmbunătăţirea mediului şi a spaţiului rural
Utilizarea sustenabilă a terenurilor agricole
Încurajarea utilizării continue a terenurilor agricole în ZMD
Raportul cu strategia de dezvoltare
* SWOT - ACTIVITĂŢI ECONOMICE; industrie – IMM – micro-întreprinderi;
PUNCTE SLABE: Economia rurală este slab diversificată şi încă dependentă de activităţile agricole, ceea ce
are drept consecinţă venituri reduse pentru întreprinzătorii din mediul rural
* SWOT - ACTIVITĂŢI ECONOMICE; comerţ şi sectorul de servicii - turism;
PUNCTE SLABE: Dependenţa faţă de agricultura de subzistenţă
Tip de acţiuni: Imateriale
Descriere beneficiari
Beneficiarii acestei măsuri sunt fermierii care desfăşoară activităţi agricole pe terenurile agricole situate în
Zona Montană Defavorizată.
Beneficiarii trebuie să se angajeze că vor continua activităţile agricole timp de 5 ani de la data efectuării
primei plăţi aferente acestei măsuri şi că vor respecta Bunele Condiţii Agricole şi de Mediu pe toată suprafaţa
agricolă a fermei şi pe toată durata angajamentului.
Evaluarea numărului beneficiarilor: 20
Descriere acţiuni
Măsura 211 este un instrument prin care se sprijină financiar utilizarea terenurilor agricole situate în zone
unde producţia agricolă este mai redusă cantitativ şi/sau calitativ din cauza unor condiţii naturale induse de
altitudine şi pantă.
Sprijinul financiar acordat fermelor din Zona Montană Defavorizată (ZMD) compensează diferenţele de
venituri şi costuri faţă de condiţiile naturale prezente în alte zone, care nu sunt defavorizate. Zona Montană
Defavorizată are producţia agricolă afectată de condiţiile climatice şi de relief din cauza caracteristicilor de
altitudine şi de pantă (Art. 18 al Regulamentului (CE) 1257/1999) şi este constituită din suma suprafeţelor
unităţilor administrativ-teritoriale (UAT) desemnate conform criteriilor de mai jos:
a) Unităţile administrativ-teritoriale situate la altitudini medii mai mari sau egale cu 600 m, limitele acestora
fiind acelea ale blocurilor fizice (identificate în Sistemul Integrat de Administrare şi Control) care aparţin de
aceste UAT;
b) Unităţile administrativ-teritoriale situate la altitudini medii între 400 - 600 m şi care au o pantă medie
egală sau mai mare de 15%, limitele acestora fiind acelea ale blocurilor fizice (identificate în Sistemul
Integrat de Administrare şi Control) care aparţin de aceste UAT.
Activităţi eligibile
Sprijinul financiar este oferit sub forma unei plăţi anuale fixe pe hectar de teren agricol utilizat situat în
cadrul zonei montane defavorizate. Aceste plăţi nu pot depăşi sumele maxime stipulate în Anexa
Regulamentului Consiliului (CE) Nr. 1257/1999. Dacă bugetul anual va fi depăşit, toate plăţile vor fi reduse
cu aceeaşi proporţie pentru a se putea încadra în buget, dar nu vor fi mai mici decât valorile minime stabilite
în Anexa Regulamentului (CE) 1698/2005.
Valoarea sprijinului anual este de 50 Euro. În cazul fermelor cu suprafeţe agricole mai mari de 50 ha,
valoarea plăţii scade pentru acele suprafeţe agricole care depăşesc această valoare Suprafaţa (ha) - Valoarea
plăţii (EURO/ha) 1.00 - 50 100% din valoarea plăţii pentru fiecare hectar 50.00 - 100 75 % din plată 100.01 -
300 50 % din plată Peste 300 35 % din plată.
Avans: 20.00%
Finanţare: Ajutorul public (FEADR + contribuţie publică naţională)%: 100.00%
Codul măsurii: 211
Măsura: Sprijin pentru Zona Montană Defavorizată
ECB 29 Apr. 2010 1 EUR = 4.137 RON
   Nr de        Cost        Estimarea    Contribuţia      Contribuţia     Contribuţia          Contribuţia
  proiecte      total     costului total  FEADR –            publică        privată          publică (FEADR
 prevăzute     mediu        pe măsură      măsură           naţională                        + Naţiona) RON
     20       €13,836       €276,739      €226,925          €49,814           €0                1,144,869
                                         Contribuţia      Contribuţia     Contribuţia
                                          FEADR –            publică       privată%
                                          măsură%         naţională%
                                           82.00%            18.00%         0.00%
Alocare
                       financiară                   Realizare                                       Rezultat
                       măsuri 2007-           (CCME nota de ghidare H)                        (CCME nota de ghidare I)
                       2013
      Măsuri           Cost Total
                                                Indicatori       Cuantificare               Indicatori                 Cuantificare
                       (Euro)
                       Cheltuială
                       Publică (Euro)
                                        Numărul exploataţiilor                  Suprafaţa ce beneficiază de o gospodărire de succes
                         €276,739       din zona montană care              20   a terenului agricol, contribuind la: (unele suprafeţe
                                        primesc sprijin                                  contribuie la mai multe obiective)

                                                                                (a) biodiversitate şi înalta valoare
211 – Sprijin pentru                                                                naturală a terenului agricol
   zona Montană
    defavorizată                           Suprafaţa totală
                         €276,739        angajată prin măsură        120        măsura 211 (ha)                 120        221
                                                 (ha)                           măsura 212 (ha)                   0

                                                                                măsura 214 (pachetul 1 şi       101
                                                                                3) (ha)
Axa II Îmbunătăţirea mediului şi a spaţiului rural
            II.2.9.2.2 Măsura: 212 Sprijin pentru zone defavorizate – altele decât zona montană
Obiectivul
Îmbunătăţirea mediului şi a spaţiului rural
Utilizarea sustenabilă a terenurilor agricole
Încurajarea utilizării continue a terenurilor agricole în alte zone defavorizate decât ZMD
Raportul cu strategia de dezvoltare



Tip de acţiuni: Imateriale
Descriere beneficiari
Evaluarea numărului beneficiarilor:
Descriere acţiuni
Măsura 212 este un instrument prin care se acordă sprijin financiar pentru utilizatorii terenurilor agricole
situate în zone unde producţia agricolă este mai redusă cantitativ şi/sau calitativ datorită unor condiţii
naturale şi unde este
importantă menţinerea echilibrului de mediu stabilit între practicile agricole şi condiţiile naturale. Sprijinul
financiar acordat compensează diferenţele faţă de condiţiile naturale prezente în alte zone, care nu sunt
defavorizate. Acest
sprijin reprezintă în acelaşi timp o acţiune menită să contracareze procesul de depopulare şi să menţină
potenţialul turistic al acestor zone.
Zonele defavorizate - altele decât zona montană sunt determinate conform criteriilor prezente în Anexa 4 şi
sunt clasificate în două categorii:
A. Zona Semnificativ Defavorizată - ZSD (Art.19 al Regulamentului (CE) nr. 1257/1999) - cuprinde acele
unităţi-administrativ teritoriale care se suprapun în totalitate sau parţial cu Rezervaţia Biosferei "Delta
Dunării", unde
productivitatea agricolă este limitată datorită calităţii reduse a solului, climatului nefavorabil, condiţiilor de
relief şi de umiditate a solului şi ca urmare nota de bonitare are o valoare medie ponderată de 16 puncte. De
asemenea,
această zonă prezintă valori mici de densitate a populaţiei şi un grad mare de dependenţă a populaţiei faţă de
activităţile agricole (detalii - Anexa 4A).
B. Zonele Defavorizate de Condiţii Naturale Specifice - ZDS (Art. 20 al Regulamentului (CE) nr. 1257/1999)
- cuprind acele areale continue unde nota de bonitare nu depăşeşte valoarea de 28 de puncte şi care prezintă
caracteristici naturale particulare. Aceste areale trebuie să fie formate din cel puţin 3 unităţi administrativ-
teritoriale şi nici o UAT nu trebuie să aibă o notă de bonitare a terenurilor agricole mai mare de valoarea 30
(detalii - Anexa 4A).
Activităţi eligibile
Avans:
Finanţare: Ajutorul public (FEADR + contribuţie publică naţională)%:
Nr de     Cost     Estimarea       Contribuţia   Contribuţia   Contribuţia
 proiecte   total   costului total   FEADR –         publică      privată
prevăzute   mediu    pe măsură        măsură        naţională

                                                   Contribuţia   Contribuţia   Contribuţia
                                                   FEADR –         publică      privată%
                                                    măsură%      naţională%
Axa II Îmbunătăţirea mediului şi a spaţiului rural
            II.2.9.2.3 Măsura: 213 Plăţi Natura 2000 pe teren agricol
Obiectivul
Îmbunătăţirea mediului şi a spaţiului rural
Utilizarea sustenabilă a terenurilor agricole
Ajutor pentru fermieri în ameliorarea dezavantajelor specifice rezultate din implementarea N2000 şi a
Directivei Cadru Apă (Water Framework Directive)
Raportul cu strategia de dezvoltare
* SWOT – TERITORIU; patrimoniu de mediu;
PUNCTE SLABE: Capacitate limitată a noilor proprietari privaţi de pădure de a-şi gestiona pădurile într-un
mod durabil

Tip de acţiuni: Imateriale
Descriere beneficiari
Fermieri subiecţi ai limitării în folosirea agricolă a unor terenuri ca urmarea a aplicării regulilor Natura 2000,
cf. Directivei 79/409/EEC din 2 Aprilie 1979 şi Directivei 92/43/EEC din 21 Mai 1992 referitoare la păsări
sălbatice şi habitate naturale. De asemeni arii incluse în bazinele râurilor în conformitate cu Directiva
2000/60/EC referitoare la cadrul aplicabil politicilor pentru ape.
Evaluarea numărului beneficiarilor: 4
Descriere acţiuni
Este necesară susţinerea fermierilor pentru compensarea costurilor suplimentare şi pierderilor la venituri
rezultate din dezavantajele specifice regulilor N2000 şi a Directivei Cadru pentru Ape (Water Framework
Directive.)
Activităţi eligibile
După desemnarea planurilor de management specifice siturilor Natura 2000, respectiv stabilirea regulilor
detaliate de implementare ale Directivei Cadru Apă, acele cerinţe voluntare de agro-mediu care devin astfel
obligatorii în unele zone, vor fi compensate sub codul 213 Plăţi Natura 2000 şi plăţi legate de implementarea
Directivei 2000/60 în acele zone. Ajustările necesare sunt permise.
Avans: 20.00%
Finanţare: Ajutorul public (FEADR + contribuţie publică naţională)%: 100.00%
Codul măsurii: 213
Măsura: Plăţi Natura 2000 pe teren agricol
ECB 29 Apr. 2010 1 EUR = 4.137 RON
   Nr de        Cost       Estimarea      Contribuţia     Contribuţia     Contribuţia             Contribuţia
  proiecte      total    costului total    FEADR –          publică         privată             publică (FEADR
 prevăzute     mediu      pe măsură         măsură         naţională                            + Naţiona) RON
     4        €6,289        €25,158         €20,629          €4,529           €0                    104,079
                                          Contribuţia     Contribuţia     Contribuţia
                                           FEADR –          publică        privată%
                                           măsură%        naţională%
                                            82.00%          18.00%          0.00%
Număr de proprietăţi sprijinte din arii N2000 sub Directiva Cadru Apă:        2
Terenuri agricole sprijinte din arii N2000 sub Directiva Cadru Apă:           2
                                                                 Total:       4
                                              Cheltuială Publică (Euro) €25,158
Axa II Îmbunătăţirea mediului şi a spaţiului rural
            II.2.9.2.4 Măsura: 214 Plăţi de Agro-mediu
Obiectivul
Îmbunătăţirea mediului şi a spaţiului rural
Utilizarea sustenabilă a terenurilor agricole
Răspuns la cererea crescândă pentru servicii de mediu
Pachetul 1: Pajişti cu Înaltă Valoare Naturală
Pachetul 2: Practici agricole tradiţionale
Pachetul Pilot 3: Pajişti Importante Pentru Păsări
Raportul cu strategia de dezvoltare
* SWOT – TERITORIU; patrimoniu de mediu;
PUNCTE SLABE: Capacitate limitată a noilor proprietari privaţi de pădure de a-şi gestiona pădurile într-un
mod durabil

Tip de acţiuni: Imateriale
Descriere beneficiari
Fermieri
Plăţile de agro-mediu pot fi acordate ca parte a măsurilor dacă beneficiarul:
1) este utilizatorul unei suprafeţe agricole localizată pe teritoriul României, identificabilă în Sistemul Integrat
de Administrare şi Control, cu o suprafaţă minimă de 1 ha iar parcelele eligibile au dimensiunea minimă de
0,3 ha;
2) se angajează să menţină angajamentul de agro-mediu pentru o perioada de 5 ani, de la data semnării
acestuia;
3) se angajează să respecte cerinţele minime relevante pe suprafaţa întregii ferme;
4) se angajează să respecte cerinţele specifice pachetelor de agro-mediu pentru care aplică;
5) se angajează să şină o evidenţă a activităţilor agricole corelate cu implementarea cerinţelor de agro-mediu;
6) declară pe propria răspundere că nu a utilizat fertilizanţi chimici şi /sau pesticide în ultimii 5 ani pe
suprafeţele pe care intenţionează să aplice pachetul 1 "Pajişti cu înaltă valoare naturală". În situaţia în care
fermierul utilizează acele suprafeţe de mai puţin de 5 ani, declaraţia va avea aplicabilitate doar pentru
perioada anterioară în care fermierul a utilizat efectiv acele suprafeţe. Acest criteriu de eligibilitate este
aplicabil doar în cazul pachetului 1.
Evaluarea numărului beneficiarilor: 10
Descriere acţiuni
Plăţile de agro-mediu vor fi acordate fermierilor care îşi asumă, în mod voluntar, angajamente de agro-mediu
pentru o perioadă de 5 ani de la data semnării angajamentului. Plăţile de agro-mediu cuprind doar acele
angajamente care depăşesc cerinţele minime evidenţiate mai jos, care prezintă nivelul de referinţă
neremunerat, considerat drept punct de pornire pentru elaborarea plăţilor compensatorii de agro-mediu.
Activităţi eligibile
Plata de agro-mediu este plătită ca plată fixă la hectar şi reprezintă o compensaţie pentru pierderile de venit şi
costurile adiţionale suportate de fermieri. Plata se va face în întregime către fermier. Plata se efectuează
anual.
Pachetul 1: Pajişti cu Înaltă Valoare Naturală
Teren agricol ce prezintă o proporţie ridicată de vegetaţie seminaturală (în particular pajişti semi-naturale în
general asociate cu prezenţa unui nivel ridicat de biodiversitate).
Plată compensatorie la hectar = 124 Euro.
Pachetul 2 Practici agricole tradiţionale
Poate fi aplicat doar în combina_ie cu pachetul 1, însemnând că acest pachet poate fi aplicat doar de fermierii
care au aplicat şi pentru pachetul 1.
Plată compensatorie la hectar = 58 Euro.
Pachetul Pilot 3 Paji_ti Importante Pentru P_s_ri
Acest pachet va fi implementat ca pachet pilot într-un num_r de Arii Importante pentru Păsări.
Plată compensatorie la hectar Varianta 3.1 - Crex Crex: 209 euro.
Plată compensatorie la hectar Varianta 3.2 - Lanius minor, Falco vespertinus: 101 euro pe hectar.
Pachetul 4 Culturi verzi
Plată compensatorie pentru suprafaţa acoperită de culturile verzi care depăşeşte suprafaţa protejată prin
GAEC (suprafaţa protejată prin GAEC este de 20%) = 130 Euro pe hectar.
Combinarea pachetelor de agro-mediu
Doar pachetul 1 şi pachetul 2 se pot aplica în combinaţie pe aceeaşi suprafaţă de teren. În această situaţie şi
plăţile aferente acestor pachete se cumulează, neexistând cerinţe care ar putea fi plătite de două ori


Avans: 20.00%
Finanţare: Ajutorul public (FEADR + contribuţie publică naţională)%: 100.00%
Codul măsurii: 214
Măsura: Plăţi de Agro-mediu
ECB 29 Apr. 2010 1 EUR = 4.137 RON
   Nr de        Cost        Estimarea    Contribuţia      Contribuţia     Contribuţia             Contribuţia
  proiecte      total     costului total  FEADR –            publică        privată             publică (FEADR
 prevăzute     mediu        pe măsură      măsură           naţională                           + Naţiona) RON
     10       €22,525       €225,252      €184,706          €40,546           €0                    931,868
                                         Contribuţia      Contribuţia     Contribuţia
                                          FEADR –            publică       privată%
                                          măsură%         naţională%
                                           82.00%            18.00%         0.00%
Alocare
              financiară                               Realizare                                              Rezultat
              măsuri 2007-                       (CCME nota de ghidare H)                               (CCME nota de ghidare I)
              2013
 Măsuri       Cost Total
                                                   Indicatori                    Cuantificare             Indicatori        Cuantificare
              (Euro)
              Cheltuială
              Publică (Euro)
                               Numărul total al exploataţiilor agricole sau
                               al exploataţiilor altor administratori de teren
                                                                                             (c) atenuarea
214 - Plaţi                    care primesc sprijin;
                                                                                             schimbărilor
 de agro-       €225,252       conform CCME împărţit pe parcursul                         10                                         23
  mediu                                                                                      climatice măsura 214
                               implementării după tipul beneficiarilor
                                                                                             (pachetul 2) ha
                               (fermieri/alt tip de manageri de teren), vârsta
                               angajamentului
                               Suprafaţa totala sprijinită conform CCME
                               împărţit pe parcursul implementării după
                               tipul beneficiarilor (fermieri/alt tip de                 167 (d) calitatea solului                   50
                               manageri de teren),vârsta angajamentului şi
                               tipul angajamentului
                                                                                                măsura 211 (30% din
                                                                                                terenul arabil                        7
                                                                                                sprijinit) ha
                                                                                                măsura 212
                                                                                                (20% din terenul
                                                                                                                        0
                                                                                                arabil sprijinit din
                                                                                                LFA semnificativ +
                                                                                                                                      0
                                                                                                _30% din terenul
                                                                                                arabil sprijinit din
                                                                                                                        0
                                                                                                LFA specific) =
                                                                                                346.260 ha
                                                                                                măsura 214 (pachetul
                                                                                                                                     43
                                                                                                4) ha
Alocare
         financiară                                Realizare                                            Rezultat
         măsuri 2007-                        (CCME nota de ghidare H)                             (CCME nota de ghidare I)
         2013
Măsuri   Cost Total
                                              Indicatori                    Cuantificare           Indicatori            Cuantificare
         (Euro)
         Cheltuială
         Publică (Euro)
                          Suprafaţa fizică totală sprijinită;                        144
                                    Număr total de contracte                               (e) evitarea marginalizării
                              conform CCME împărţit pe parcursul                           şi a abandonului terenului
                             implementării după tipul beneficiarilor            11                   agricol
                          (fermieri/alt tip de manageri de teren), vârsta
           €225,252          angajamentului şi tipul angajamentului                                                          221
                                                                                           măsura 211 (ha)        120
                                                                                           măsura 212 (ha)          0
                          Numărul de acţiuni privind resursele
                                                                                       0 măsura 214 (pachetul 101
                          genetice;                                                      1 şi 3) (ha)
Axa II Îmbunătăţirea mediului şi a spaţiului rural
            II.2.9.2.5 Măsura: 221 Prima împădurire a terenurilor agricole
Obiectivul
Îmbunătăţirea mediului şi a spaţiului rural
Utilizarea sustenabilă a terenurilor forestiere
Extinderea resurselor forestiere pe terenurile agricole
Raportul cu strategia de dezvoltare
* SWOT – TERITORIU; patrimoniu de mediu;
PUNCTE SLABE: Activitate scăzută la nivelul pepinierelor silvice private

Tip de acţiuni: Imateriale
Descriere beneficiari
Beneficiarii sprijinului prin această măsură sunt deţinători legali de teren agricol.
Aceştia nu trebuie să facă obiectul altor forme de sprijin prin FEGA sau FEADR pentru aceeaşi suprafaţă de
teren şi perioadă, inclusiv prin Măsura 113 " Pensionarea timpurie a fermierilor şi muncitorilor agricoli", cu
excepţia persoanelor fizice care realizează proiectele de împădurire prin măsura 143.
Următoarele categorii de beneficiari sunt eligibili pentru sprijin prin această măsură:
a) Deţinătorii privaţi de teren agricol, pentru înfiinţarea plantaţiei forestiere şi executarea lucrărilor de
întreţinere pe o perioadă de 5 ani, precum şi o primă compensatorie pentru pierderea de venit prin
împădurire, stabilită pe an şi pe ha, pentru o perioadă de 15 ani;
b) Autorităţi publice locale deţinătoare de teren agricol, numai pentru înfiinţarea plantaţiei. Dacă terenul
agricol destinat împădurii este concesionat de o persoană fizică sau juridică, primele pentru întreţinerea
plantaţiei şi cele compensatorii, prevăzute la alineatul precedent, pot fi de asemenea acordate.
Evaluarea numărului beneficiarilor: 2
Descriere acţiuni
Scopul acestei măsuri este de a creşte suprafaţa pădurilor la nivel naţional prin împădurirea de terenuri
agricole. Această măsură are un caracter compensatoriu. Sprijinul prin această măsură se referă la:
a) Primă de înfiinţare a plantaţiilor forestiere (costuri standard), conform proiectului tehnic;
b) O primă anuală pentru lucrările de completări şi întreţinere a plantaţiei pe o perioadă de 5 ani;
c) O primă anuală fixă (standard) ca şi primă pentru pierderea de venit ca urmare a împăduririi, pe an şi pe
ha, pentru o perioadă de 15 ani.
Activităţi eligibile
Măsura se aplică pe suprafeţe de teren agricol mai mari de 0,5 ha pe care se înfiinţează o plantaţie forestieră
se execută lucrările tehnice de întreţinere, iar pădurea se păstrează până ce atinge vârsta de exploatare. Pentru
persoanele juridice, cheltuielile pentru proiectele tehnice se suportă din sprijinul acordat prin măsură şi nu
pot depăşi 10% din valoarea eligibilă a proiectului. Costurile eligibile pentru realizarea proiectului tehnic nu
trebuie să depăşească 70 euro/ha pentru suprafeţe de până la 50 ha, 50 euro pentru suprafeţe între 51 şi 150
ha, 30 euro pentru suprafeţe mai mari de 151 ha.
a) Costuri de înfiinţare a plantaţiei, incluzând costurile pentru materialul de plantare, plantarea în sine şi alte
costuri legate direct şi necesare pentru operaţiunea de plantare (prim_ de înfiinţare);
b) Costurile aferente perioadei de dup_ plantare pentru întreţinerea plantaţiilor (prim_ anuală pe ha pentru 5
ani, începând cu anul de plantare);
c) Compensarea pierderii de venit agricol ca urmare a împăduririi (prim_ anuală pe ha pentru 15 ani,
începând cu anul înfiinţării plantaţiei). Beneficiarii persoane fizice vor putea accesa în vederea realizării
proiectului de împădurire măsura 143.
Avans: 20.00%
Finanţare: Ajutorul public (FEADR + contribuţie publică naţională)%: 70.00%
Codul măsurii: 221
Măsura: Prima împădurire a terenurilor agricole
ECB 29 Apr. 2010 1 EUR = 4.137 RON
   Nr de        Cost        Estimarea     Contribuţia     Contribuţia     Contribuţia              Contribuţia
  proiecte      total     costului total  FEADR –            publică        privată              publică (FEADR
 prevăzute     mediu        pe măsură       măsură          naţională                            + Naţiona) RON
     2        €23,820        €47,641        €27,346          €6,003        €14,292                   137,965
                                          Contribuţia     Contribuţia     Contribuţia
                                          FEADR –            publică       privată%
                                           măsură%        naţională%
                                            57.40%           12.60%         30.00%
Alocare
               financiară                            Realizare                                           Rezultat
               măsuri 2007-                    (CCME nota de ghidare H)                            (CCME nota de ghidare I)
               2013
  Măsuri       Cost Total
                                                 Indicatori                   Cuantificare          Indicatori         Cuantificare
               (Euro)
               Cheltuială
               Publică
               (Euro)
                              Numărul total de beneficiari care primesc
                              sprijin pentru împădurire conform CCME                              Suprafaţa ce beneficiază de o
                 €17,835      împărţit pe parcursul implementării după                  2       gospodărire de succes a terenului
                              tipul de proprietar, vârsta angajamentului                            forestier, contribuind la:
                              (existent/nou) şi obiectivul de mediu *
                                                                                             (a) biodiversitate şi
                                                                                             înalta valoare
                                                                                                                                    8
                                                                                             naturală a terenului
 221 - Prima
                                                                                             forestier
împădurire a                                                                                 (b) calitatea apei                     8
 terenurilor                       Suprafaţa totală de teren împădurită
   agricole                       conform CCME împărţit pe parcursul                         (c) atenuarea
                                 implementării după tipul de proprietar,                     schimbărilor                           8
                 €15,514                                                           8
                                  vârsta angajamentului (existent/nou),                      climatice
                               structura majoritară pe specii şi obiectivul
                                               de mediu *                                    (d) calitatea solului                  8

                                                                                             (e) evitarea
                                                                                             marginalizării şi a
                                                                                                                                    8
                                                                                             abandonului
                                                                                             terenului
Axa II Îmbunătăţirea mediului şi a spaţiului rural
            II.2.9.2.6 Măsura: 223 Prima împădurire a terenurilor non-agricole
Obiectivul
Îmbunătăţirea mediului şi a spaţiului rural
Utilizarea sustenabilă a terenurilor forestiere
Extinderea resurselor forestiere pe terenurile non-agricole
Raportul cu strategia de dezvoltare
* SWOT – TERITORIU; patrimoniu de mediu;
PUNCTE SLABE: Activitate scăzută la nivelul pepinierelor silvice private

Tip de acţiuni: Imateriale
Descriere beneficiari
Deţinători privaţi, municipalităţi sau asociaţii ale acestora, ce plantează păduri pe terenuri non - agricole.
Evaluarea numărului beneficiarilor: 2
Descriere acţiuni
Plăţile vor acoperi următoarele costuri:
a) compensări pentru plantare
b) costuri de mentenanţă ale pădurilor (în cazul terenurilor agricole abandonate şi împădurite primă anuală pe
ha pentru cel mult 5 ani).
Activităţi eligibile
Măsura încurajează împădurirea terenurilor agricole slab productive sau terenurile agricole abandonate.
Împădurirea va asigura o utilizare multiplă a pădurilor şi în principal protecţie împotriva eroziunii solului şi
altor forme de degradare.
Măsura specifică mai multe obiective legate de îmbunătăţirea peisajului şi a calităţii mediului înconjurător şi
de îmbunătăţire a producţiei şi a absorbţiei de CO2.
În rest datele sunt identice cu cele de la măsura 221Prima împădurire a terenurilor agricole
Avans: 20.00%
Finanţare: Ajutorul public (FEADR + contribuţie publică naţională)%: 70.00%
Codul măsurii: 223
Măsura: Prima împădurire a terenurilor non-agricole
ECB 29 Apr. 2010 1 EUR = 4.137 RON
   Nr de        Cost        Estimarea    Contribuţia      Contribuţia     Contribuţia           Contribuţia
  proiecte      total     costului total  FEADR –            publică        privată           publică (FEADR
 prevăzute     mediu        pe măsură       măsură          naţională                         + Naţiona) RON
     2        €13,790        €27,581       €15,831           €3,476         €8,274                 79,873
                                         Contribuţia      Contribuţia     Contribuţia
                                          FEADR –            publică       privată%
                                          măsură%         naţională%
                                           57.40%            12.60%         30.00%
Axa II Îmbunătăţirea mediului şi a spaţiului rural
            II.2.9.2.7 Măsura: 224 Plăţi Natura 2000 pe teren forestier
Obiectivul
Îmbunătăţirea mediului şi a spaţiului rural
Utilizarea sustenabilă a terenurilor forestiere
Ajutor pentru fermieri în ameliorarea dezavantajelor specifice rezultate din implementarea N2000 şi a
Directivei Cadru Apă (Water Framework Directive)
Raportul cu strategia de dezvoltare
* SWOT – TERITORIU; patrimoniu de mediu;
PUNCTE SLABE: Capacitate limitată a noilor proprietari privaţi de pădure de a-şi gestiona pădurile într-un
mod durabil

Tip de acţiuni: Imateriale
Descriere beneficiari
Proprietari privaţi de păduri, asociaţii ale acestora sub incidenţa Directivei 79/409/EEC şi 92/43/EEC. Păduri
ce cad sub incidenţa Directivelor anterior amintite.
Evaluarea numărului beneficiarilor: 1
Descriere acţiuni
Implementarea Directivelor 79/409/EEC şi 92/43/EEC a impus restricţii pentru folosirea pădurilor şi a altor
terenuri împădurite. Finanţarea se dă proprietarilor privaţi şi ai asociaţiilor acestora pentru compensarea
costurilor
suplimentare şi a pierderilor cauzate de scăderea veniturilor.
Activităţi eligibile
Avans: 20.00%
Finanţare: Ajutorul public (FEADR + contribuţie publică naţională)%: 70.00%
Codul măsurii: 224
Măsura: Plăţi Natura 2000 pe teren forestier
ECB 29 Apr. 2010 1 EUR = 4.137 RON
    Nr de          Cost      Estimarea         Contribuţia       Contribuţia      Contribuţia       Contribuţia
   proiecte        total   costului total       FEADR –            publică           privată     publică (FEADR
  prevăzute      mediu       pe măsură           măsură           naţională                       + Naţiona) RON
      1          €7,522        €7,522             €4,318            €948             €2,256           21,785
                                               Contribuţia       Contribuţia      Contribuţia
                                                FEADR –            publică          privată%
                                                măsură%          naţională%
                                                 57.40%            12.60%            29.99%

                       Numărul proprietarilor de păduri ce au primit finanţare:     1
                       Suprafaţa (ha) de păduri ce au fost finanţate:              50
                                                     Cheltuială Publică (Euro) €5,266
II.2.9.3 Axa III Calitatea vieţii în zonele rurale şi diversificarea economiei rurale
            II.2.9.3.1 Măsura: 312 Sprijin pentru crearea şi dezvoltarea de micro-întreprinderi
Obiectivul
Calitatea vieţii şi diversificarea economiei rurale
Diversificarea economiei rurale
Diversificarea activităţii fermiere ale activităţilor non-agricole, dezvoltarea activităţilor non-agricole şi
promovarea ocupării forţei de muncă
Raportul cu strategia de dezvoltare
* SWOT – POPULAŢIA; demografie – populaţia activă – îmbătrânire – nivel de instruire – cunoştinţe şi
competenţe specifice teritoriului;
PUNCTE SLABE: Incidenţa şomajului pe termen lung este deosebit de ridicată în judeţ – cu mult peste
media regională, naţională şi comunitară

Tip de acţiuni: Materiale
Descriere beneficiari
a) Micro-întreprinderile aţa cum sunt definite în Recomandarea Comisiei (CE) nr. 361/2003 şi în legislaţia
naţională în vigoare35 (având mai puţin de 10 angajaţi şi o cifră de afaceri anuală netă sau active totale având
o valoare de până la 2,0 milioane Euro).
b) Persoane fizice (neînregistrate ca agenţi economici) - care se vor angaja ca până la data semnării
contractului de finanţare să se autorizeze cu un statut minim de persoană fizică autorizată şi să funcţioneze ca
micro-întreprindere.
Evaluarea numărului beneficiarilor: 28
Descriere acţiuni
i. Investiţii în activităţi non-agricole productive cum ar fi:
a) Industria uşoară (articole de pielărie, încălţăminte, lână, blană, tricotaje, produse de uz gospodăresc,
produse odorizante etc.);
b) În activităţi de procesare industrială a produselor lemnoase - începând de la stadiul de cherestea (ex.
mobilă);
c) Mecanică fină, asamblare maşini, unelte şi obiecte casnice, producerea de ambalaje etc.
ii. Investiţii pentru dezvoltarea activităţilor meşteşugăreşti, de artizanat şi a altor activităţi tradiţionale non-
agricole cu specific local (prelucrarea fierului, lânii, olăritul, brodatul, confecţionare instrumente muzicale
tradiţionale etc.),
precum şi marketingul acestora (mici magazine de desfacere a propriilor produse obţinute din aceste
activităţi).
iii. Servicii pentru populaţia rurală cum ar fi:
a) Servicii de croitorie, frizerie, cizmărie;
b) Servicii de conectare şi difuzare internet;
c) Servicii de mecanizare, transport (altele decât achiziţia mijloacelor de transport) protecţie fitosanitară,
însămânţare artificială a animalelor;
d) Servicii reparaţii maşini, unelte şi obiecte casnice. iv. Investiţii în producerea de energie regenerabilă
e) Achiziţionarea de echipamente de producere a energiei din alte surse regenerabile decât biocombustibilii.
Activităţi eligibile
a) Investiţii corporale (construcţia, modernizarea, extinderea clădirilor în scop productiv; dotarea aferentă cu
echipamente, utilaje etc., inclusiv achiziţionarea în leasing a acestora);
b) Investiţii necorporale (software, patente, licenţe etc.), inclusiv achiziţionarea în leasing a acestora.
Conform Art. nr. 55 din Regulamentul (CE) nr. 1974/2006, vor fi susţinute costurile generale legate de
întocmirea proiectului precum taxe pentru arhitecţi, ingineri şi consultanţă, studii de fezabilitate/memorii
justificative, taxe pentru eliberarea certificatelor, avizelor şi autorizaţiilor necesare implementării proiectelor,
aţa cum sunt ele menţionate în legislaţia naţională, achiziţia de patente şi licenţe, în limita a 10% din total.
Avans: 20.00%
Finanţare: Ajutorul public (FEADR + contribuţie publică naţională)%: 70.00%
Codul măsurii: 312
Măsura: Sprijin pentru crearea şi dezvoltarea de micro-întreprinderi
ECB 29 Apr. 2010 1 EUR = 4.137 RON
   Nr de        Cost        Estimarea       Contribuţia     Contribuţia   Contribuţia               Contribuţia
  proiecte      total     costului total    FEADR –           publică       privată               publică (FEADR
 prevăzute     mediu        pe măsură         măsură         naţională                            + Naţiona) RON
     10       €13,703       €137,031         €76,737          €19,185      €41,109                    396,829
                                            Contribuţia     Contribuţia   Contribuţia
                                            FEADR –           publică      privată%
                                             măsură%        naţională%
                                             56.00%           14.00%        30.00%
Alocare
                          financiară                           Realizare                                        Rezultat
                          măsuri 2007-                   (CCME nota de ghidare H)                         (CCME nota de ghidare I)
                          2013
       Măsuri             Cost Total
                                                          Indicatori                  Cuantificare         Indicatori      Cuantificare
                          (Euro)
                          Cheltuială
                          Publică
                          (Euro)
                                                                                                     Creşterea valorii
                                                                                                     adăugate brute
  312 - Sprijin pentru
                                                                                                     nonagricole în
 crearea şi dezvoltarea     €58,138      Număr de micro-întreprinderi sprijinite                                             €15,348
de microîntreprinderi *                                                                              investiţiile
                                          conform CCME împărţit pe parcursul                         sprijinite (€)
                                         implementării după categoria de vârstă,                     Măsura 312
                                              statutul juridic, tipul micro-              10
                                            întreprinderii (nou înfiinţată sau
                                             existentă - dezvoltarea micro-                           Creşterea valorii
                            €37,784                 întreprinderilor)                                  adăugate brute
                                                                                                       nonagricole în
                                                                                                                             €26,858
                                                                                                         investiţiile
                                                                                                        sprijinite (€)
                                         Volumul total al investiţiei = Cost                            Măsura 313
                                                                                          €58,138
                                         Total
                                         Indicator adiţional Număr de micro-                          Numărul brut de
                                         întreprinderi sprijinite împărţit în                         locuri de muncă           28
                                         funcţie de tipul investiţiei:                               create Măsura 312
                                         Estimare:_40% din costul total al
                                         măsurii va fi dedicat investiţiilor în         €38,369
                                         activităţi nonagricole productive
                                         Estimare:_20% din costul total al
                                         măsurii va fi dedicat investiţiilor pentru
                                                                                        €19,184
                                         dezvoltarea activităţilor de
                                         meşteşugărit şi artizanat
Alocare
         financiară                          Realizare                                   Rezultat
         măsuri 2007-                  (CCME nota de ghidare H)                    (CCME nota de ghidare I)
         2013
Măsuri   Cost Total
                                         Indicatori                 Cuantificare   Indicatori       Cuantificare
         (Euro)
         Cheltuială
         Publică
         (Euro)
                        Estimare:_40% din costul total al
                        măsurii va fi dedicat investiţiilor în
                                                                      €38,369
                        servicii pentru populaţia rurală prestate
                        de către micro- întreprinderi
Axa III Calitatea vieţii în zonele rurale şi diversificarea economiei rurale
             II.2.9.3.2 Măsura: 313 Încurajarea activităţilor turistice
Obiectivul
Calitatea vieţii şi diversificarea economiei rurale
Diversificarea economiei rurale
Diversificarea activităţii fermiere ale activităţilor non-agricole, dezvoltarea activităţilor non-agricole şi
promovarea ocupării forţei de muncă
Raportul cu strategia de dezvoltare
* SWOT – TERITORIU; caracteristici geografice – izolare – deservire – infrastructuri;
PUNCTE SLABE: Calitatea şi gama serviciilor turistice este scăzută:* nu există o ofertă atractivă pentru
minivacanţa de iarnă* există foarte puţine servicii de agrement şi distracţie

Tip de acţiuni: Materiale
Descriere beneficiari
a) Micro-întreprinderi
b) Persoane fizice (neînregistrate ca agenţi economici) - care se vor angaja ca până la data semnării
contractului de finanţare să se autorizeze cu un statut minim de persoană fizică autorizată şi să funcţioneze ca
micro-întreprindere;
c) Comunele prin reprezentanţii lor legali conform legislaţiei naţionale în vigoare, precum şi asociaţiile de
dezvoltare intercomunitară realizate doar între comune şi înfiinţate conform legislaţiei naţionale în vigoare;
d) ONG-uri
Evaluarea numărului beneficiarilor: 36000
Descriere acţiuni
a) Investiţii în infrastructura de primire turistică;
b) Investiţii în activităţi recreaţionale;
c) Investiţii în infrastructura la scară mică precum centrele de informare, amenajarea de marcaje turistice,
etc.;
d) Dezvoltarea şi/sau marketingul serviciilor turistice legate de turismul rural.
Activităţi eligibile
Intervenţia FEADR vizează:
a) Investiţiile realizate de micro-întreprinderi în infrastructura de primire turistică, infrastructura recreaţională
din spaţiul rural, cu excepţia investiţiilor din staţiunile balneoclimaterice;
b) Centre locale de informare şi promovare turistică din spaţiul rural;
c) Investiţii publice în infrastructura turistică la scară mică cu respectarea plafonului stabilit prin măsură.
d) Investiţii în infrastructura turistică în spaţiul urban;
e) Investiţii în infrastructura turistică în staţiunile balneo - climaterice indiferent de teritoriu - rural sau urban;
f) Centrele naţionale de promovare turistică;
Avans: 20.00%
Finanţare: Ajutorul public (FEADR + contribuţie publică naţională)%: 70.00%
Codul măsurii: 313
Măsura: Încurajarea activităţilor turistice
ECB 29 Apr. 2010 1 EUR = 4.137 RON
   Nr de        Cost       Estimarea        Contribuţia   Contribuţia   Contribuţia     Contribuţia
  proiecte      total    costului total     FEADR –         publică      privată      publică (FEADR
 prevăzute     mediu       pe măsură          măsură       naţională                  + Naţiona) RON
     20       €22,357       €447,154         €250,406      €62,602       €134,146        1,294,914
                                            Contribuţia   Contribuţia   Contribuţia
                                            FEADR –         publică      privată%
                                             măsură%      naţională%
                                              56.00%        14.00%       30.00%
Alocare
                financiară                            Realizare                                           Rezultat
                măsuri 2007-                    (CCME nota de ghidare H)                            (CCME nota de ghidare I)
                2013
  Măsuri        Cost Total
                                                 Indicatori                  Cuantificare            Indicatori             Cuantificare
                (Euro)
                Cheltuială
                Publică (Euro)
    313 -                                                                                    Numărul brut de locuri de
Încurajarea       €313,008                                                                                                      99
                                   Numărul de noi activităţi turistice                       muncă create Măsura 313
activităţilor
  turistice                        sprijinite, împărţite după tipul de                20      Numărul suplimentar de
                                                 acţiune:                                   vizite turistice (Măsura 313)       20
                                                                                                          (mii)
                                 Numărul de noi activităţi turistice                           Populaţie din zonele
                                 sprijinite, privind infrastructura                   14     rurale ce beneficiază de           49
                                 recreaţională şi de primire turistică                         servicii îmbunătăţite
                                 Numărul de noi activităţi turistice                            (Măsura 322) mii
                                 sprijinite pentru infrastructura la scară             5             persoane
                                 mică
                                 Numărul de noi activităţi turistice
                                 sprijinite privind
                                                                                       1
                                 dezvoltarea/marketing-ul serviciilor
                                 de turism rural
                                 Volumul total al investiţiilor = Cost
                                 Total                                         €313,008
                                 împărţit în funcţie de acţiune:
                                 _82% din costul total al măsurii va fi
                                 dedicat infrastructurii recreaţionale şi      €256,667
                                 de primire turistică
                                 _15% din costul total al măsurii va fi
                                                                                 €46,951
                                 dedicat infrastructurii la scară mică
Alocare
         financiară                            Realizare                                 Rezultat
         măsuri 2007-                    (CCME nota de ghidare H)                  (CCME nota de ghidare I)
         2013
Măsuri   Cost Total
                                          Indicatori                Cuantificare   Indicatori          Cuantificare
         (Euro)
         Cheltuială
         Publică (Euro)
                          _3% din costul total al măsurii va fi
                          dedicat dezvoltării/marketing-ului             €9,390
                          serviciilor de turism rural
                          Indicator adiţional
                          Număr de acţiuni turistice în
                          infrastructura recreaţională şi de                 14
                          primire turistică, împărţite după tipul
                          de acţiune:
                          acţiuni de agroturism                               5
                          acţiuni de turism rural                             5
                          activităţi recreaţionale                            4
Axa III Calitatea vieţii în zonele rurale şi diversificarea economiei rurale
            II.2.9.3.3 Măsura: 322 Renovarea, dezvoltarea satelor, îmbunătăţirea serviciilor de
              bază pentru economia şi populaţia rurală şi punerea în valoare a moştenirii rurale
Obiectivul
Calitatea vieţii şi diversificarea economiei rurale
Îmbunătăţirea calităţii vieţii în zonele rurale
Îmbunătăţirea serviciilor de bază şi investiţii pentru creşterea atractivităţii zonelor rurale
Raportul cu strategia de dezvoltare
* SWOT - ACTIVITĂŢI ECONOMICE; comerţ şi sectorul de servicii - turism;
PUNCTE SLABE: Majoritatea bazinelor cu apă minerală, folosite în principal pentru tratamente sunt
nefuncţionale

Tip de acţiuni: Materiale
Descriere beneficiari
a) ONG-uri, aşezăminte culturale şi instituţii de cult definite conform legislaţiei naţionale în vigoare
b) Persoane fizice şi juridice care deţin în proprietate sau administrează obiective de patrimoniu
cultural/natural de interes local şi care aplică pentru componenta "Protejarea patrimoniului cultural de interes
local şi natural din
spaţiul rural."
c) Asociaţiile de dezvoltare intercomunitare realizate între două sau mai multe comune înfiinţate conform
legislaţiei naţionale în vigoare;
d) Comunele prin reprezentanţii lor legali conform legislaţiei naţionale în vigoare;
e) Autorităţile locale (comune) sau asociaţii de dezvoltare intercomunitare prin operatorii regionali pentru
investiţiile în infrastructura de apă/apă uzată;
Evaluarea numărului beneficiarilor: 36000
Descriere acţiuni
Pentru componenta a):
a1) Înfiinţarea de drumuri noi, extinderea şi îmbunătăţirea reţelei de drumuri de interes local (drumuri
comunale, vicinale şi străzi din interiorul comunei) ce aparţin proprietăţii publice a unităţii administrative
(comuna) pe teritoriul
căreia se află, axa cum sunt definite şi clasificate în conformitate cu legislaţia naşionalx69 în vigoare;
a2) Prima înfiinţare, extinderea şi îmbunătăţirea reţelei publice de apă (captare, staţii de tratare, alimentare)
pentru localităţile rurale având sub 10.000 populaţie echivalentă (p.e.);
a3) Prima înfiinţare, extinderea şi îmbunătăţirea reţelei publice de apă uzată (canalizare, staţii de epurare)
pentru localităţile rurale având sub 10.000 populaţie echivalentă (p.e.);
a4) Prima înfiinţare şi extinderea reţelei publice de joasă tensiune şi a reţelei publice de iluminat cu eficienţă
energetică ridicată;
a5) Prima înfiinţare şi extinderea reţelei publice locale de alimentare cu gaz către alte localităţi rurale sau
către zone rurale care nu sunt conectate la reţea;
a6) Investiţii în staţii de transfer pentru deşeuri şi dotarea cu echipamente de gestionare a deşeurilor.
Pentru componenta b):
b1) Înfiinţarea, amenajarea spaţiilor publice de recreere pentru populaţia rurală (parcuri, spaţii de joacă
pentru copii, terenuri de sport, piste de biciclete); • Renovarea clădirilor publice (ex. primării) şi amenajări de
parcări, pieţe, spaţii pentru organizarea de târguri etc.);
b2) Investiţii în sisteme de producere şi furnizare de energie din surse regenerabile (în situaţia în care este
vorba de clădiri publice);
b3) Prima înfiinţare şi dotarea infrastructurii aferente serviciilor sociale precum centrele de îngrijire copii,
bătrâni şi persoane cu nevoi speciale
b4) Investiţii în construcţia de grădiniţe noi pentru copii, inclusiv dotarea acestora;
b5) Achiziţionarea de microbuze care să asigure transportul public pentru comunitatea locală în zonele unde
o astfel de investiţie nu este atractivă pentru companiile private dar care este indispensabilă pentru
comunitate şi vine în sprijinul rezolvării unei importante nevoi sociale inclusiv construirea de staţii de
autobuz;
b6) Achiziţionarea de utilaje şi echipamente pentru serviciile publice (de deszăpezire, întreţinere spaţii verzi
etc.) dacă fac parte din investiţia iniţială pentru înfiinţarea serviciului;
b7) Investiţii de renovare, modernizarea şi dotarea aferentă a aşezămintelor culturale, inclusiv prima achiziţie
de cărţi, materiale audio, achiziţionarea de costume populare şi instrumente muzicale tradiţionale în vederea
promovării patrimoniului cultural imaterial ca parte componentă a proiectului. De asemenea vor fi susţinute
cheltuielile cu achiziţionarea de echipamente hardware, software, inclusiv costurile de instalare şi montaj.
Pentru componenta c):
c1) Restaurarea, consolidarea şi conservarea obiectivelor de patrimoniu cultural - grupa B72 şi natural din
spaţiul rural (peşteri, arbori seculari, cascade etc.);
c2) Studii privind patrimoniul cultural (material şi imaterial) din spaţiul rural cu posibilitatea de valorificare a
acestora şi punerea acestora la dispoziţia comunităţii;
c3) Achiziţionare de echipamente pentru expunerea şi protecţia patrimoniului cultural.

Activităţi eligibile
Pentru componenta a):
a1) Înfiinţarea de drumuri noi, extinderea şi îmbunătăţirea reţelei de drumuri de interes local (drumuri
comunale, vicinale şi străzi din interiorul comunei) ce apar_in proprietăţii publice a unităţii administrative
(comuna) pe teritoriul
căreia se află, aţa cum sunt definite şi clasificate în conformitate cu legislaţia naţională în vigoare;
a2) Prima înfiinţare, extinderea şi îmbunătăţirea reţelei publice de ap_ (captare, staţii de tratare, alimentare)
pentru localităţile rurale având sub 10.000 populase echivalentă (p.e.);
a3) Prima înfiinţare, extinderea şi îmbunătăţirea reţelei publice de ap_ uzată (canalizare, staţii de epurare)
pentru localităţile rurale având sub 10.000 populaţie echivalentă (p.e.);
a4) Prima înfiinţare şi extinderea reţelei publice de joasă tensiune şi a reţelei publice de iluminat cu eficienţă
energetică ridicată;
a5) Prima înfiinţare şi extinderea reţelei publice locale de alimentare cu gaz către alte localităţi rurale sau
către zone rurale care nu sunt conectate la reţea;
a6) Investiţii în staţii de transfer pentru deşeuri şi dotarea cu echipamente de gestionare a deşeurilor.
Pentru componenta b):
b1) Înfiinţarea, amenajarea spaţiilor publice de recreare pentru populaţia rurală (parcuri, spăşii de joacă
pentru copii, terenuri de sport, piste de biciclete);
b2) Renovarea clădirilor publice (ex. primării) şi amenajări de parcări, pieţe, spaţii pentru organizarea de
târguri etc.);
b3) Investiţii în sisteme de producere şi furnizare de energie din surse regenerabile (în situaţia în care este
vorba de clădiri publice);
b4) Prima înfiinţare şi dotarea infrastructurii aferente serviciilor sociale precum centrele de îngrijire copii,
bătrâni şi persoane cu nevoi speciale
b5) Investiţii în construcţia de grădiniţe noi pentru copii, inclusiv dotarea acestora;
b6) Achiziţionarea de microbuze care să asigure transportul public pentru comunitatea locală în zonele unde
o astfel de investiţie nu este atractivă pentru companiile private dar care este indispensabilă pentru
comunitate şi vine în
 sprijinul rezolvării unei importante nevoi sociale inclusiv construirea de staţii de autobuz;
b7) Achiziţionarea de utilaje şi echipamente pentru serviciile publice (de deszăpezire, întreţinere spaţii verzi
etc.) dacă fac parte din investiţia iniţială pentru înfiinţarea serviciului;
b8) Investiţii de renovare, modernizarea şi dotarea aferentă a aşezămintelor culturale, inclusiv prima achiziţie
de cărei, materiale audio, achiziţionarea de costume populare şi instrumente muzicale tradiţionale în vederea
promovării patrimoniului cultural imaterial ca parte componentă a proiectului. De asemenea vor fi susţinute
cheltuielile cu achiziţionarea de echipamente hardware, software, inclusiv costurile de instalare şi montaj.
Pentru componenta c):
c1) Restaurarea, consolidarea şi conservarea obiectivelor de patrimoniu cultural - grupa B72 şi natural din
spaţiul rural (pe_teri, arbori seculari, cascade etc.);
c2) Studii privind patrimoniul cultural (material şi imaterial) din spaţiul rural cu posibilitatea de valorificare a
acestora şi punerea acestora la dispoziţia comunităţii;
c3) Achiziţionare de echipamente pentru expunerea şi protecţia patrimoniului cultural.
Avans: 20.00%
Finanţare: Ajutorul public (FEADR + contribuţie publică naţională)%: 100.00%
Codul măsurii: 322
Măsura: Renovarea, dezvoltarea satelor, îmbunătăţirea serviciilor de bază pentru economia şi
populaţia rurală şi punerea în valoare a moştenirii rurale
ECB 29 Apr. 2010 1 EUR = 4.137 RON
    Nr de          Cost        Estimarea        Contribuţia        Contribuţia    Contribuţia        Contribuţia
   proiecte        total     costului total      FEADR –             publică        privată       publică (FEADR
  prevăzute       mediu        pe măsură           măsură           naţională                     + Naţiona) RON
       6         €36,181        €217,087          €173,669           €43,418           €0             898,089
                                                Contribuţia        Contribuţia    Contribuţia
                                                 FEADR –             publică       privată%
                                                  măsură%          naţională%
                                                   80.00%            20.00%          0.00%
Alocare
                                           financiară                                         Realizare
                                           măsuri 2007-                                 (CCME nota de ghidare H)
                                           2013
                Măsuri                     Cost Total
                                                                                         Indicatori                                Cuantificare
                                           (Euro)
                                           Cheltuială
                                           Publică (Euro)
  322 - Renovarea, dezvoltarea satelor,                     Acţiuni pentru serviciile de bază conform CCME
îmbunătăţirea serviciilor de bază pentru                    împărţit pe parcursul implementării în funcţie de tipul                            0
 economia şi populaţia rurală şi punerea
      în valoare a moştenirii rurale
                                                            de acţiune
                                                            Acţiuni pentru patrimoniul rural conform CCME
                                             €109,694       împărţit pe parcursul implementării în funcţie de tipul                            4
                                                            de acţiune (patrimoniu natural sau cultural)
                                                            Numărul comunelor unde au avut loc acţiuni de
                                                            renovare a satelor conform CCME împărţit pe                                        2
                                                            parcursul implementării în funcţie de tipul renovării
                                             €107,393       Volumul total al investiţiilor
                                                            ●Volumul total al investiţiilor în servicii de bază
                                                            Împărţit în funcţie de tipul acţiunii (iniţiative ICT,
                                                            mobilitate, infrastructură culturală şi socială,             €54,847
                                                            infrastructură de mediu, training, facilităţi de îngrijire
                                                            a copiilor, altele):



                                                                                                                                    €109,694

                                                            ●Volumul total al investiţiilor împărţit în funcţie de
                                                                                                                         €54,847
                                                            tipul patrimoniului (natural, cultural):
Alocare
         financiară                                      Realizare
         măsuri 2007-                              (CCME nota de ghidare H)
         2013
Măsuri   Cost Total
                                                    Indicatori                             Cuantificare
         (Euro)
         Cheltuială
         Publică (Euro)
                          Indicator adiţional
                          Număr de comune identificate în Master Planuri
                                                                                                     0
                          pentru infrastructura de apă/apă uzată, finanţate prin
                          FEADR
                          Indicator adiţional
                          Număr de comune care nu au mai beneficiat de                               4
                          finanţare UE
                                                  Indicator adiţional
                           Număr de km realizaţi prin intermediul componentei "renovarea
                                                       satelor"
                          km de drum                                                                 4
                          km de reţea de conducte pentru alimentare cu apă                           0
                          km de conducte de canalizare                                               0
Axa III Calitatea vieţii în zonele rurale şi diversificarea economiei rurale
            II.2.9.3.4 Măsura: 341 Dobândire de competenţe, animare şi implementarea
              strategiilor de dezvoltare locală
Obiectivul
Calitatea vieţii şi diversificarea economiei rurale
Consolidarea coerenţei teritoriale şi a sinergiilor
Creşterea capacităţilor în vederea realizării strategiilor de dezvoltare locale
Raportul cu strategia de dezvoltare
* SWOT - ACTIVITĂŢI ECONOMICE; comerţ şi sectorul de servicii - turism;
PUNCTE SLABE: Multitudinea de obiective de patrimoniu arhitectural şi arheologic nu sunt valorificate
pentru animarea turismului rural cultural – religios

Tip de acţiuni: Imateriale
Descriere beneficiari
Parteneriate şi parteneri implicaţi în dezvoltarea şi implementarea strategiilor locale de dezvoltare.
Evaluarea numărului beneficiarilor: 150
Descriere acţiuni
a) Studii legate de aria acoperită
b) Informaţii legate de strategia de dezvoltare locală
c) Training pentru echipa implicată în pregătirea şi implementarea strategiei de dezvoltare locală
d) Acţiuni de promovare
e) Training pentru leaderi
f) Implementarea parteneriatelor public - private altele decât GAL
Activităţi eligibile
a) Studii legate de zona GAL
b) Informaţii despre zona GAL şi strategia de dezvoltare locală
c) Trening pentru echipa implicată în pregătirea şi implementarea strategiei de dezvoltare locală.
d) Evenimente promoţionale
e) Training pentru leaderi
f) Implementarea parteneriatelor public - private, altele decât GAL, acoperind una sau mai multe măsuri.
Avans: 20.00%
Finanţare: Ajutorul public (FEADR + contribuţie publică naţională)%: 100.00%
Codul măsurii: 341
Măsura: Dobândire de competenţe, animare şi implementarea strategiilor de dezvoltare locală
ECB 29 Apr. 2010 1 EUR = 4.137 RON
Nr de      Cost     Estimarea       Contribuţia    Contribuţia    Contribuţia     Contribuţia
 proiecte    total   costului total   FEADR –          publică       privată      publică (FEADR
prevăzute   mediu     pe măsură         măsură        naţională                   + Naţiona) RON
    1       €5,049      €5,049          €4,039         €1,010           €0             20,888
                                      Contribuţia    Contribuţia    Contribuţia
                                      FEADR –          publică       privată%
                                       măsură%       naţională%
                                       80.00%          20.00%          0.00%

                      Număr acţiuni de aptitudini şi animare:           3
                      Număr participanţi la acţiuni:                  150
                      Număr parteneriate public - private susţinute:    2
                                         Cheltuială Publică (Euro) €5,049
II.2.9.4 Axa IV LEADER
            II.2.9.4.1 Măsura: 411 Creşterea competitivităţii sectoarelor agricol şi forestier
Obiectivul
Creşterea competitivităţii sectoarelor agricol şi forestier
Raportul cu strategia de dezvoltare
Legăturile cu SWOT aferente Axei I, adică măsurile 1xx


Tip de acţiuni:
Descriere beneficiari
Beneficiarii Măsurilor 1XX
Evaluarea numărului beneficiarilor: 88
Descriere acţiuni
Axa I Măsurile 1xx
Activităţi eligibile
Avans: 24.00%
Finanţare: Ajutorul public (FEADR + contribuţie publică naţională)%: 59.69%
Codul măsurii: 411
Măsura: Creşterea competitivităţii sectoarelor agricol şi forestier
ECB 29 Apr. 2010 1 EUR = 4.137 RON
   Nr de        Cost total   Estimarea       Contribuţia       Contribuţia Contribuţia     Contribuţia
  proiecte        mediu    costului total     FEADR –             publică   privată          publică
 prevăzute                  pe măsură          măsură            naţională                 (FEADR +
                                                                                          Naţiona) RON
    78         €189,686      €1,695,571         €809,723       €202,438      €683,410       4,187,310
                                               Contribuţia    Contribuţia   Contribuţia
                                               FEADR –          publică      privată%
                                                măsură%       naţională%
                                                 47.76%         11.94%       40.31%
Axa IV LEADER
           II.2.9.4.2 Măsura: 412 Îmbunătăţirea mediului şi a spaţiului rural
Obiectivul
Îmbunătăţirea mediului şi a spaţiului rural
Raportul cu strategia de dezvoltare
Legăturile cu SWOT aferente Axei II, adică măsurile 2xx


Tip de acţiuni:
Descriere beneficiari
Beneficiarii Măsurilor 2XX
Evaluarea numărului beneficiarilor: 39
Descriere acţiuni
Axa II Măsurile 2xx
Activităţi eligibile
Avans: 20.00%
Finanţare: Ajutorul public (FEADR + contribuţie publică naţională)%: 95.93%
Codul măsurii: 412
Măsura: Îmbunătăţirea mediului şi a spaţiului rural
ECB 29 Apr. 2010 1 EUR = 4.137 RON
   Nr de           Cost     Estimarea      Contribuţia    Contribuţia     Contribuţia     Contribuţia
  proiecte         total  costului total    FEADR –          publică        privată     publică (FEADR
 prevăzute        mediu     pe măsură        măsură         naţională                   + Naţiona) RON
     39          €87,782    €609,893        €479,755        €105,316       €24,822         2,420,439
                                           Contribuţia    Contribuţia     Contribuţia
                                            FEADR –          publică       privată%
                                            măsură%       naţională%
                                             78.66%          17.27%         4.07%
Axa IV LEADER
           II.2.9.4.3 Măsura: 413 Calitatea vieţii în zonele rurale şi diversificarea economiei
             rurale
Obiectivul
Calitatea vieţii şi diversificarea economiei rurale
Raportul cu strategia de dezvoltare
Legăturile cu SWOT aferente Axei III, adică măsurile 3xx


Tip de acţiuni:
Descriere beneficiari
Beneficiarii Măsurilor 3XX
Evaluarea numărului beneficiarilor: 72178
Descriere acţiuni
Axa III Măsurile 3xx
Activităţi eligibile
Avans: 20.00%
Finanţare: Ajutorul public (FEADR + contribuţie publică naţională)%: 78.26%
Codul măsurii: 413
Măsura: Calitatea vieţii în zonele rurale şi diversificarea economiei rurale
ECB 29 Apr. 2010 1 EUR = 4.137 RON
   Nr de           Cost      Estimarea        Contribuţia      Contribuţia   Contribuţia     Contribuţia
  proiecte         total   costului total      FEADR –           publică       privată     publică (FEADR
 prevăzute        mediu      pe măsură          măsură          naţională                  + Naţiona) RON
     37          €77,290     €806,321          €504,851         €126,215      €175,255        2,610,720
                                              Contribuţia      Contribuţia   Contribuţia
                                               FEADR –           publică      privată%
                                               măsură%         naţională%
                                                62.61%           15.65%        21.74%
Alocare
                         financiară                       Realizare                                        Rezultat
                         măsuri 2007-               (CCME nota de ghidare H)                         (CCME nota de ghidare I)
                         2013
      Măsuri             Cost Total
                                                      Indicatori            Cuantificare              Indicatori              Cuantificare
                         (Euro)
                         Cheltuială
                         Publică (Euro)
                                                                                             Numărul brut de locuri de
                                          Număr de GAL-uri                       1
                                                                                               muncă (41 şi 421)
                                          Suprafaţa totală a GAL-urilor
                                                                                  1,109 măsura 41:                   1,109
                                          (km2)
                                          Populaţia totală din cadrul
                                                                                 36,000 măsura 421:                 36,000
                                          teritoriului GALurilor                                                                37,109
          41
  - Implementare a                        Numărul proiectelor finanţate
    strategiilor de       €1,313,359      de GAL-uri
  dezvoltare locală                       conform CCME împărţit pe              111
   - 411 Creşterea                        parcursul
   competitivităţ ii                      implementării pe axe, măsuri
sectoarelor agricol şi
       forestier                          Număr de beneficiari sprijiniţi
- 412 Îmbunătăţire a                      = Număr proiecte conform
     mediului şi a                                                                           Indicator adiţional pentru
    spaţiului rural                       CCME împărţit pe parcursul            111        măsura 41 Număr de beneficiari
- 413 Calitatea vieţii                    implementării pe axe, măsuri                     care dezvoltă acţiuni inovative        11
   şi diversificarea                      şi tip de beneficiar                              Estimare _10% din numărul
  economiei rurale                                                                                   proiectelor
                                          Indicator adiţional Numărul
                                                                                      59
                                          membrilor GAL-urilor
                                                                                              Indicator adiţional pentru
                           €914,939       Indicator adiţional Numărul
                                                                                               măsura 431.1 Număr de
                                          partenerilor privaţi şi a
                                                                                      48   participanţi care au terminat cu              11
                                          ONGurilor membri ai GAL-
                                                                                           succes o acţiune de formare în
                                          urilor
                                                                                                      domeniul:
Axa IV LEADER
            II.2.9.4.4 Măsura: 421 Încurajarea actorilor de la nivel local de a lucra împreună cu
              reprezentan ţii altor
comunităţi din interiorul sau exteriorul ţării
Obiectivul
LEADER
Implementarea abordării LEADER
Implementarea proiectelor de cooperare şi a celor mai bune practici
Raportul cu strategia de dezvoltare
* SWOT – Calitatea vieţii – Dezvoltare rurală; Dezvoltare rurală;
PUNCTE SLABE: Incapacitatea de formare a unor parteneriate locale puternice şi de promovare a
potenţialului endogen al teritoriilor

Tip de acţiuni:
Descriere beneficiari
Cooperare GAL în cadrul aceluiaşi stat membru, GAL cooperând cu teritorii din alte state membre sau din
terţe ţări.
Evaluarea numărului beneficiarilor: 50000
Descriere acţiuni
Susţinere pentru cooperare inter-teritorială (într-un stat membru), cooperare transnaţională (între teritorii din
diferite state membre şi terţe ţări) cu implicarea diferitelor GAL.
Activităţi eligibile
Doar proiectele/acţiunile comune care corespund obiectivelor m_surilor din cele 3 axe (Axa 1, 2 şi 3) ale
FEADR vor fi eligibile pentru sprijin.
Acţiunile comune pot avea ca obiectiv şi construcţia instituţională: schimb de experienţă ţi bune practici
privind dezvoltarea locală prin publicaţii comune, organizare de evenimente, proiecte de twinning (schimb de
manageri de
program ţi de personal) sau prin lucrări de dezvoltare comune sau coordonate în comun. Funcţionarea unei
structuri comune este cea mai integrată formă de cooperare.
În ceea ce priveşte cooperarea transnaţional_, pot fi iniţiate proiecte comune cu ţări non-UE, caz în care sunt
eligibile pentru sprijin numai cheltuielile legate de teritoriile din cadrul UE.
Principalele categorii de cheltuieli eligibile:
- cheltuieli pentru pregătirea proiectelor de cooperare – organizare misiuni tehnice, întâlniri, seminarii,
activităţi de traducere ţi interpretare, multiplicare documente,
- cheltuieli de investiţii pentru implementarea proiectelor comune
- cheltuieli pentru proiecte comune de instruire
Avans:
Finanţare: Ajutorul public (FEADR + contribuţie publică naţională)%: 100.00%
Codul măsurii: 421
Măsura: Încurajarea actorilor de la nivel local de a lucra împreună cu reprezentan ţii altor
comunităţi din interiorul sau exteriorul ţării
ECB 29 Apr. 2010 1 EUR = 4.137 RON
   Nr de         Cost        Estimarea        Contribuţia   Contribuţia   Contribuţia     Contribuţia
  proiecte       total      costului total     FEADR –        publică      privată      publică (FEADR
 prevăzute      mediu        pe măsură          măsură       naţională                  + Naţiona) RON
     3         €19,045        €57,136           €45,708      €11,428          €0            236,372
                                              Contribuţia   Contribuţia   Contribuţia
                                               FEADR –        publică      privată%
                                               măsură%      naţională%
                                                80.00%        20.00%        0.00%
Alocare
                  financiară                         Realizare                                        Rezultat
                  măsuri 2007-                 (CCME nota de ghidare H)                         (CCME nota de ghidare I)
                  2013
   Măsuri         Cost Total
                                                Indicatori                Cuantificare           Indicatori           Cuantificare
                  (Euro)
                  Cheltuială
                  Publică
                  (Euro)
                              Numărul proiectelor de cooperare
                                                                                         Indicator adiţional pentru
                              sprijinite conform CCME împărţit pe
                                                                                          măsura 431.1 Număr de
                              parcursul implementării pe baza
                                                                                            participanţi care au
                              nivelului de cooperare (Intra-teritoriale             3                                          11
                                                                                           terminat cu succes o
                              sau Transnaţionale) şi axe în cadrul
                                                                                           acţiune de formare în
                              cărora pot fi grupate proiectele de tip
                                                                                                 domeniul:
                              Leader
                              Numărul de GAL-uri care întreprind
                              proiecte de cooperare = nr. de GAL-uri
     421 -          €30,802
                              conform CCME împărţit pe parcursul
Implementare a                                                                           - Training general privind
                              implementării pe baza nivelului de                    1                                       1,640
 proiectelor de                                                                             abordarea LEADER
  cooperare                   cooperare (Intra-teritoriale sau
                              Transnaţionale) şi axe în cadrul cărora
                              pot fi grupate proiectele de tip Leader
                              Indicator adiţional
                                                                                             - Training pentru
                              Numărul de proiecte de cooperare care
                                                                                    2          reprezentanţii                  30
                              implică mai mult de două GAL-uri din
                                                                                           potenţialelor GAL-uri
                              România
                              Indicator adiţional
                                                                                         Număr de participanţi care
                              Numărul de proiecte de cooperare care
                      €26,334                                                       1     au finalizat cu succes o             50
                              implică un GAL din UE cu experienţă
                                                                                           activitate de formare
                              în LEADER+
Axa IV LEADER
             II.2.9.4.5 Măsura: 431.2 Stimularea formării de parteneriate, pregătirea şi asigurarea
               implementării
strategiilor de dezvoltare locală
Obiectivul
LEADER
Implementarea abordării LEADER
Creşterea capacităţii pentru implementarea LEADER
Raportul cu strategia de dezvoltare
* SWOT – Calitatea vieţii – Dezvoltare rurală; Dezvoltare rurală;
PUNCTE SLABE: Incapacitatea de formare a unor parteneriate locale puternice şi de promovare a
potenţialului endogen al teritoriilor

Tip de acţiuni:
Descriere beneficiari
GAL
Evaluarea numărului beneficiarilor: 2160
Descriere acţiuni
a) Studii legate de aria acoperită
b) Informaţii legate de strategia de dezvoltare locală
c) Training pentru echipa implicată în pregătirea şi implementarea strategiei de dezvoltare locală
d) Acţiuni de promovare
e) Training pentru leaderi
f) Implementarea parteneriatelor public - private altele decât GAL
Activităţi eligibile
Conform bugetului detaliat al compartimentului administrativ al GAL.
 Avans:
Finanţare: Ajutorul public (FEADR + contribuţie publică naţională)%: 100.00%
Codul măsurii: 431.2
Măsura: Stimularea formării de parteneriate, pregătirea şi asigurarea implementării
strategiilor de dezvoltare locală
ECB 29 Apr. 2010 1 EUR = 4.137 RON
    Nr de          Cost      Estimarea       Contribuţia       Contribuţia     Contribuţia       Contribuţia
   proiecte        total    costului total    FEADR –            publică         privată      publică (FEADR
  prevăzute      mediu       pe măsură          măsură          naţională                     + Naţiona) RON
     108         €5,290       €571,358         €571,358            €0              €0            2,363,708
                                             Contribuţia       Contribuţia     Contribuţia
                                              FEADR –            publică        privată%
                                               măsură%         naţională%
                                               100.00%           0.00%           0.00%
Alocare
                financiară         Realizare                     Rezultat
                măsuri       (CCME nota de ghidare H)      (CCME nota de ghidare I)
                2007-2013
                Cost
  Măsuri
                Total         Indicatori    Cuantificare   Indicatori   Cuantificare
                (Euro)
                Cheltuială
                Publică
                (Euro)
                         Numărul de
                         acţiuni
                         sprijinite
                         privind
                         funcţionarea
                         Grupurilor de
                                                     18
                         Acţiune
                         Locală; (1
                         acţiune = 1
                         buget anual
                         pentru un
   431.2 -               GAL)
                                                         Număr de
Funcţionarea             Numărul de
Grupurilor de                                           participanţi
                         acţiuni
   Acţiune                                                 care au
                         sprijinite
   Locală,      €571,358                                finalizat cu        50
dobândirea de            privind
                                                          succes o
competenţe şi            dobândirea de               18
                                                        activitate de
  animarea               competente (1
 teritoriului                                             formare
                         acţiune = 1
                         sesiune de
                         training)
                         Numărul de
                         acţiuni
                         sprijinite
                         privind
                         animarea                    72
                         teritoriului (1
                         acţiune = 1
                         seminar de
                         animare)
II.2.10 Consultări între toţi partenerii
Cu ocazia fiecărui seminar au fost împărţite chestionare personalizate pe localităţi şi date,
disponibile şi în format digital (MS Word) prin email. Macheta chestionarului este
următoarea:
         II.2.10.1 Macheta chestionarului
                             Alutus LEADER Chestionar pg. 1
                                   «Localitate», «Data»

                                                                                   Importanţă
                                                                                      0-5
                Îmbunătăţirea competitivităţii sectoarelor agricol şi
I. Axă
                forestier
   Măsură

   111          Formare profesională, informare şi difuzare de cunoştinţe

   112          Instalarea tinerilor fermieri
   121          Modernizarea exploata iilor agricole
   122          Îmbunătăţirea valorii economice a pădurii
   123          Creşterea valorii adăugate a produselor agricole şi forestiere
                Îmbunătăţirea şi dezvoltarea infrastructurii legate de
   125
                dezvoltarea şi adaptarea agriculturii şi silviculturii
   141          Sprijinirea fermelor agricole de semi-subzistenţă
   142          Înfiinţarea grupurilor de producători
                Furnizarea de servicii de consiliere i consultanţă pentru
   143
                agricultori.


Idei de proiecte
  Măsură                                 Descriere                                Buget
   (nu este                                                                  estimativ RON
 obligatoriu)                                                                      (nu este
                                                                                 obligatoriu)
Alutus LEADER Chestionar pg. 2
                                                                             Importanţă
                                                                                0-5
II. Axă         Îmbunătăţirea mediului şi a spaţiului rural
     Măsură
     211    Sprijin pentru zona montan defavorizat
            Sprijin pentru zone defavorizate – altele decât zona
     212
            montan
     214    Plăţi de agro - mediu
     221        Prima împădurire a terenurilor agricole


Idei de proiecte
  Măsură                                  Descriere                              Buget
   (nu este                                                                 estimativ RON
 obligatoriu)                                                                   (nu este
                                                                              obligatoriu)




                             Alutus LEADER Chestionar pg. 3
                                                                             Importanţă
                                                                                0-5
                Îmbunătăţirea calităţii vieţii în zonele rurale şi
III. Axă
                diversificarea economiei rurale
      Măsură
                Sprijin pentru crearea şi dezvoltarea de micro -
      312
                întreprinderi
      313       Încurajarea activităţilor turistice
                Renovarea, dezvoltarea satelor, îmbunătăţirea serviciilor
      322       de bază pentru economia şi populaţia rurală şi punerea
                în valoare a moştenirii rurale


Idei de proiecte
  Măsură                                  Descriere                              Buget
   (nu este                                                                 estimativ RON
 obligatoriu)                                                                   (nu este
                                                                              obligatoriu)




Participanţii au fost rugaţi să completeze chestionarele pe parcursul seminarului, indicând
maximum 3 priorităţi pe fiecare axă, cu un punctaj de la 0 la 5, 5 însemnând prioritatea
maximă.
Totodată participanţii au fost invitaţi să ia chestionare şi pentru alte persoane eventual
interesate, respectiv să se înscrie pe lista de email a grupurilor de lucru şi să mai solicite
formulare, dacă este nevoie.
II.2.10.2 Proiecte pe Localităţi
În total s-au primit 65 chestionare completate, conţinând 84 idei de proiecte din 7 localităţi.
Valoarea estimată a bugetelor – în cazurile când propunerea conţine şi această dată este de
RON 2,730,000.00 + €851,500.
              II.2.10.2.1 Chestionare completate

                          Localitatea Chestionare % Chestionare
                         Aita Mare              6        9.23%
                         Bixad                  7      10.77%
                         Bodoc                  1        1.54%
                         Bradut                10      15.38%
                         Ghidfalau              5        7.69%
                         Micfalau               8      12.31%
                         Oras Baraolt          28      43.08%
                         7 Localităţi          65     100.00%

                                       % Chestionare



                                                     Aita Mare, 9.23%


                                                               Bixad, 10.77%


                  Oras Baraolt,                                    Bodoc, 1.54%
                    43.08%



                                                                   Bradut, 15.38%




                                                           Ghidfalau, 7.69%
                                      Micfalau, 12.31%
II.2.10.2.2 Idei de proiecte pe localităţi
                     Idei de                           Idei de
      Localitatea Proiecte          Localitatea       Proiecte
      Aita Mare            14 Ghidfalău                       1
      Bixad                 6 Micfalău                       13
      Bodoc                 3 Oraş Baraolt                   40
      Brăduţ                6                   Total        83
                          % Idei de Proiecte




                                           Aita Mare,
                                            16.67%



                                                 Bixad, 7.14%
         Oraş Baraolt,
           47.62%                                 Bodoc, 3.57%

                                                 Brăduţ, 7.14%
                                               Ghidfalău,
                                                  1.19%
                                        Micfalău,
                                        16.67%
II.2.10.2.3 Tabel sintetic proiecte pe localităţi şi măsuri
                                                                                                                                                                                    Grand
  Măsura         111    114         121    122           123    125       142       143       214         221    223            312    313         322       341     421    431.2   Total
 Aita Mare                           2      1             2                2         1                                           3      2           1                                14
   Bixad                                                  3      1                                                                      2                                             6
  Bodoc                                        2                                                                                1                                                     3
  Brăduţ          1                 1                                                                                 1                   1                                  2        6
 Ghidfalău                                                                                                                                         1                                  1
 Micfalău                1                     1         1       1                   1                                          1         4        2         1                       13
Oraş Baraolt      1      1           3         1          4      1          3                   2          1          1                   10       1                    2    9       40
Grand Total       2      2           6         5         10      3          5        2          2          1          2          5        19       5          1         2    11      83


                                                                                                                                                         Aita Mare
                                           2       1       2          2         1                          3    2         1


                                                                                                                                                         Bixad
                                                           3    1                                               2


                                                                                                                                                         Bodoc
                                                   2                                                       1


                                                                                                                                                         Brăduţ
                              1            1                                                        1           1                              2



                                                                                                                          1                              Ghidfalău



                                     1             1       1    1               1                          1    4         2      1                       Micfalău



                              1      1     3       1       4    1     3             2     1         1           10        1           2        9         Oraş Baraolt



                                                                                                                                                         x

                              111    114   121     122    123   125   142   143     214   221       223   312   313       322   341   421 431.2
II.2.10.2.4 Tabel sintetic proiecte pe măsuri şi localităţi
                              1                                  1         111
                                                    1            1         114
   2                          1                                  3         121
   1                  2                             1            1         122
   2         3                                      1            4         123
             1                                      1            1         125
   2                                                             3         142
   1                                                1                      143
                                                                 2         214
                                                                 1         221
                              1                                  1         223
   3                  1                             1                      312
   2         2                1                     4           10         313
   1                                    1           2           1          322
                                                    1                      341
                                                                 2         421
                              2                                  9         431.2
Aita Mare   Bixad   Bodoc   Brăduţ   Ghidfalău   Micfalău   Oraş Baraolt
111                               1                           1

114
                                                     1        1
121
          2                       1                           3
122
123       1              2                           1        1

125
          2         3                                1        4
142

143                 1                                1        1

214       2                                                   3
221
          1                                          1
223
312                                                           2

313
                                                              1
322
                                  1                           1
341
421       3              1                           1

431.2
          2         2             1                  4       10
x
          1                                1         2        1


                                                     1


                                                              2


                                  2                           9


                Bixad           Brăduţ          Micfalău
        Aita Mare       Bodoc            Ghidfalău         Oraş Baraolt
II.2.10.2.5 Pondere normalizată pe axe

                                        Ponderea normalizata pe axe

      100.00%
                              79.18%
       80.00%
                                                             57.23%                           55.93%
       60.00%
       40.00%
       20.00%
         0.00%
                                  3                               2                               1

Desigur există o departajare pe Axe, dar această departajare se datorează unor diferenţe
nesemnificative – deviaţia standard este 0,1.
Ne putem aştepta ca pentru Axa 3 să fie depuse cele mai multe proiecte bune. Prin urmarea
asistenţa tehnică va trebui să fortifice solicitările către axele 1 şi 2.
             II.2.10.2.6 Ponderea normalizată pe axe

                                          Ponderea normalizată pe măsuri

                           90.00%
                           80.00%
                           70.00%
                           60.00%
                           50.00%
                           40.00%
                           30.00%
                           20.00%
                           10.00%
                            0.00%
                                      322 312 313 142 211 112 143 221 214 111 125 121 122 123 212 141
      Ponderea normalizată pe măsuri 81.8 80.0 75.6 73.8 63.0 61.8 60.0 59.3 57.5 55.6 54.7 52.3 51.6 49.5 48.9 43.6

Nici pe măsuri nu se constată o departajare clară – deviaţia standard este foarte mică, cca. 0,12.
II.2.10.2.7 Ponderea axelor pe localităţi

                                Pondere Axelor pe Localităţi

          100.00%
           90.00%
           80.00%
           70.00%
           60.00%
           50.00%
           40.00%
           30.00%
           20.00%
           10.00%
            0.00%
                       3 2 1     3 1 2    1 3 2     3 1 2     3 1 2     3 2 1     3 2 1

                    Aita Mare    Bixad   Bodoc     Brăduţ   Ghidfalău Micfalău    Oraş
                                                                                 Baraolt


Obs. De la Bodoc s-a primit doar un chestionar referitor la Axa 1.
           II.2.10.2.8 Ponderea măsurilor pe localităţi

                    Ponderea Măsurilor pe Localitatea Aita Mare

         100.00%
          90.00%
          80.00%
          70.00%
          60.00%
          50.00%
          40.00%
          30.00%
          20.00%
          10.00%
           0.00%
                    322 313 142 312 123 214 221 211 143 121 125 141 122 112 212 111
Ponderea Măsurilor pe Localitatea Bixad

100.00%
 90.00%
 80.00%
 70.00%
 60.00%
 50.00%
 40.00%
 30.00%
 20.00%
 10.00%
 0.00%
          142 121 313 143 322 312 112 111 122 211 141 125 212 221 214 123



            Ponderea Măsurilor pe Localitatea Bodoc

100.00%
90.00%
80.00%
70.00%
60.00%
50.00%
40.00%
30.00%
20.00%
10.00%
 0.00%
               122             112             125             123
Ponderea Măsurilor pe Localitatea Brăduţ

100.00%
 90.00%
 80.00%
 70.00%
 60.00%
 50.00%
 40.00%
 30.00%
 20.00%
 10.00%
  0.00%
          322 143 112 122 211 111 312 142 313 123 121 212 125 221 141 214



          Ponderea Măsurilor pe Localitatea Ghidfalău

100.00%
90.00%
80.00%
70.00%
60.00%
50.00%
40.00%
30.00%
20.00%
10.00%
 0.00%
          125 142 111 322 312 123 122 121 313 143 211 214 141 212 112 221
Ponderea Măsurilor pe Localitatea Micfalău

 100.00%
  90.00%
  80.00%
  70.00%
  60.00%
  50.00%
  40.00%
  30.00%
  20.00%
  10.00%
   0.00%
            322 313 211 112 312 212 141 143 221 214 125 111 142 121 122 123



           Ponderea Măsurilor pe Localitatea Oraş Baraolt

90.00%
80.00%
70.00%
60.00%
50.00%
40.00%
30.00%
20.00%
10.00%
 0.00%
           312 322 313 142 221 214 112 211 143 111 121 125 212 123 122 141
II.2.10.2.9 Clase de măsuri
Pornind de la ponderea normalizată a Măsurilor, se pot defini 5 clase de măsuri, conform
importanţei lor, în ordinea descrescătoare a ponderii.
 Clasa Măsura
                     Renovarea, dezvoltarea satelor, îmbunătăţirea serviciilor de bază pentru
      5     322
                     economia şi populaţia rurală şi punerea în valoare a moştenirii rurale

      4       312       Sprijin pentru crearea şi dezvoltarea de micro-întreprinderi
      4       313       Încurajarea activităţilor turistice
      4       142       Înfiinţarea grupurilor de producători

      3       211       Sprijin pentru Zona Montană Defavorizată
      3       112       Instalarea tinerilor fermieri

      2       143       Furnizarea de servicii de consiliere şi consultanţă pentru agricultori
      2       221       Prima împădurire a terenurilor agricole
      2       214       Plăţi de Agro-mediu
      2       111       Formare profesională (training), informare şi difuzare de cunoştinţe
                        Îmbunătăţirea şi dezvoltarea infrastructurii legate de dezvoltarea şi
      2       125
                        adaptarea agriculturii şi silviculturii
      2       121       Modernizarea exploataţiilor agricole
      2       122       Îmbunătăţirea valorii economice a pădurii

      1       212       Sprijin pentru zone defavorizate – altele decât zona montană
      1       141       Sprijinirea fermelor agricole de semi-subzistenţă


                                               Clase de Măsuri
          5

                    4   4    4

                                      3    3

                                                     2    2      2   2   2   2   2

                                                                                         1       1



       322          312 313 142       211 112        143 221 214 111 125 121 122        212 141


Din componenţa acestor clase de Măsuri se pot trage două concluzii majore:
a) Respondenţii sunt conştienţi de problemele infrastructurii. Ameliorarea acestei stări de fapt
     este acţiunea cea mai importantă, care poate deschide calea îmbunătăţirii calităţii vieţii în
     zona acoperită de GAL.
b) Respondenţii consideră necesară consultanţa şi consilierea de specialitatea, pentru înfiinţarea
     şi dezvoltarea unor micro – întreprinderi şi grupuri de producători, care să susţină activitatea
     turistică.
Putem presupune că majoritatea GAL consideră turismul ca şi unică şansă a dezvoltării rurale.
Prin urmare, ca rezultat la acţiunilor LEADER va creşte concurenţa în acest domeniu.
În formularea strategiei va trebui să se ţină cont de acest aspect. Se va acorda atenţie încurajării
aplicaţiilor care vor dori să dezvolte activităţi de procesare – producţie cu valoare adăugată
ridicată.
Pe de altă parte, acceptând ideea că majoritatea GAL se vor axa pe turism, vor fi susţinute
iniţiativele care ţintesc realizarea unor servicii de calitate, în zonă găsindu-se un foarte bun
exemplu de acest fel. (Castelul Kálnoky)
II.2.10.2.10 Idei de proiecte
                                                                                                     Măsură
                                                                                       Măsură                                Budget
                                                                                                   pruposă de   Budget RON
                                                                                       atribuită                              EUR
                                                                                                    aplicant
1          Aita Mare
           Păstrarea unor meşteşuguri şi meserii tradiţionale prin formarea de
           meşteri tineri prin cursuri pentru grupuri mici. Valorificarea
    1.01                                                                                 121
           produselor. Introducerea atelierelor în circuitul turistic, participarea
           turiştilor în procesul de fabricaţie (ceramică spe
           Repopularea zonei cu animale ce nu mai există (ex. bivoliţa).
    1.02   Procesarea şi valorificarea unor produse specifice (ex.: din lapte de         121
           bivoliţă)
    1.03   Pepinieră pa 5 ha - împădurire.                                               122
    1.04   Procesare de fructe şi legume.                                                123
    1.05   Procesarea laptelui, produse specifice, valorificare.                         123
    1.06   Valorificarea produselor meşteşugăreşti locale.                               142
    1.07   Înfiinţarea unor grupuri de producători pentru valorificarea produselor.      142
    1.08   Formare pentru albinărit - susţinerea apiculturii.                            143
           Culesul, prepararea, împachetarea şi valorificarea produselor din
    1.09                                                                                 312          312
           fructe de pădure, ciuperci.
           Prepararea şi valorificarea produselor culinare specifice din peşte şi
    1.1                                                                                  312          312
           vânat.
    1.11   Înfiinţarea de ferme mici.                                                    312
           Introducerea în circuitul turistic a întregii moşteniri culturale.
    1.12   Revitalizarea meşteşugurilor tradiţionale, pe cale de dispariţie. Studii      313
           legate de tradiţiile locale - publicarea acestora.
           Cazare pentru turism rural de agrement
           Tema 1: cules de plante medicinale, fructe de pădure, ciuperci. Din
    1.13   "roadele culese", cu asistenţa gazdelor, oaspetele să poate prepara           313          313
           produse culinare specifice: ceai, gem, dulceaţă, prăjituri, mâncăruri.
           Tema 2: C
           Serviciu de asistenţă socială pentru vârstnici (la domiciliu, centru
    1.14                                                                                 322
           permanenţă 24 ore)
                                                                 Subtotal Aita Mare:
Măsură
                                                                                       Măsură                                 Budget
                                                                                                   pruposă de   Budget RON
                                                                                       atribuită                               EUR
                                                                                                    aplicant
2          Bixad
    2.01   Unitate de producţie de biogaz.                                               123                                  €100,000
           Înfiinţarea grupului bio - producătorilor. Realizarea unei unităţi de
    2.02                                                                                 123                                   €70,000
           procesare de bio - lapte.
           Modernizarea -, dezvoltarea unităţilor de prelucrare a lemnului şi a
    2.03                                                                                 123                                  €120,000
           pietrei.
    2.04   Exploatarea apelor termale şi a celor minerale.                               125                                  €200,000
    2.05   Înfiinţarea de pensiuni eco-, agro- turistice.                                313                                   €80,000
           Livadă, florărie, grădină de legume - în scopul prezentării activităţilor                                  RON
    2.06                                                                                 313
           aferente pentru grupuri de copii şi şcolari.                                                           70,000.00
                                                                                                                      RON
                                                                     Subtotal Bixad:                                          €570,000
                                                                                                                  70,000.00
3          Bodoc
    3.01   Valorificarea materialului lemnos adunat de pe păşuni.                        122
           Cultivarea de zmeură, mure, căpşuni şi alte fructe de pădure pe
    3.02                                                                                 122
           terenuri nefolosite pentru procesare şi valorificare.
    3.03   Îmbuteliere de apă dulce de izvor.                                            312
                                                                     Subtotal Bodoc:
4          Brăduţ
    4.01   Formarea formatorilor în domeniul silviculturii.                              111
    4.02   Promovarea albinăritului local.                                               121
    4.03   Împădurire.                                                                   223
    4.04   Turism ecvestru, trening.                                                     313
           Curs de tors, ţesut pentru tineri. Promovarea acestor îndeletniciri
    4.05                                                                                431.2
           printre turişti.
    4.06   Expoziţii de produse locale.                                                 431.2
                                                                    Subtotal Brăduţ:
5          Ghidfalău
    5.01   Drumul legendelor secrete (biserici, cetăţi, conace, istoria locală)          322
                                                                 Subtotal Ghidfalău:
Măsură
                                                                                       Măsură                                 Budget
                                                                                                   pruposă de   Budget RON
                                                                                       atribuită                               EUR
                                                                                                    aplicant
6          Micfalău
    6.01   Încurajarea exploatării agricole pe parcele mai mari, unificate.              114
    6.02   Pepinieră de brazi.                                                           122
           Restructurarea unităţii de procesare a laptelui, actualmente                                               RON
    6.03                                                                                 123
           nefuncţională, în unitate de bio - produse.                                                           200,000.00
    6.04   Drumuri de ocolire a comunelor.                                               125
           Inventarierea daunelor cauzate de animale sălbatice şi acordarea de
    6.05                                                                                 143
           compensaţii fermierilor.
                                                                                                                      RON
    6.06   Reabilitare de mofete. Deschiderea de noi mofete.                             312
                                                                                                                 100,000.00
           Păstrarea, promovarea şi valorificarea meşteşugului tradiţional de
    6.07                                                                                 313
           prelucrare pietrei prin organizarea de cursuri pentru tineri.
           Valorificarea potenţialului balnear prin dezvoltarea băilor cu ape
    6.08                                                                                 313
           minerale.
    6.09   Susţinerea turismului rural, promovarea valorilor locale.                     313
           Promovarea specificului gastronomic: inventariere, prelucrare,
    6.1                                                                                  313
           publicare.
           Înfiinţarea unei gospodării reprezentative pentru zonă. Prezentarea
    6.11   specificului, obiectelor şi sculelor tradiţionale folosite la prelucrarea     322
           pietrei. Permanentizarea expoziţiei "drumul pietrei".
    6.12   Drumul cioplitorilor în piatră.                                               322
           Cursuri de iniţiere şi trening pentru însuşirea Managementului Ciclului
    6.13   de Proiect, a planificării proiectelor, a scrierii de aplicaţii şi a          341
           implementării proiectelor grantate.
                                                                                                                      RON
                                                                 Subtotal Micfalău:
                                                                                                                 300,000.00
Măsură
                                                                                          Măsură                                  Budget
                                                                                                      pruposă de   Budget RON
                                                                                          atribuită                                EUR
                                                                                                       aplicant
7          Oraş Baraolt
    7.01   Formarea fermierilor                                                             111
    7.02   Consiliere juridică                                                              114
    7.03   Depozite pentru fructe de pădure, linii de desfacere                             121                                   €250,000
                                                                                                                         RON
    7.04   Siloz şi uscător pentru grupuri de producători                                   121
                                                                                                                    140,000.00
    7.05   Centru de colectare a fructelor de pădure                                        121                                    €18,000
    7.06   Plantaţii de plante pentru energie, împăduriri (pantele Nagy Murgo)              122
    7.07   Centru de colectare şi procesare a laptelui.                                     123
           Creşterea valorii adăugate a produselor agro-alimentare locale, prin
    7.08                                                                                    123
           abordare integrată producător -procesator - comerciant
           Creştera valorii adăugate la prodese din lemn, obţinerea de certificate
    7.09                                                                                    123                                     €3,500
           de calita ex. FSC
    7.1    Înfiinţarea unei unităţi de procesare - fabrică de conserve                      123
    7.11   Îmbunătăţirea calităţii păşunilor                                                125
    7.12   Înfiinţarea unei reţele managementul cinegetic.                                  142
    7.13   Înfiinţarea unei reţele de desfacere a producătorilor                            142
    7.14   Înfiinţarea unui grup de producători                                             142
    7.15   Sprijin pentru agricultura durabilă                                              214
    7.16   Monitorizarea plăţilor de agro mediu                                             214          214
    7.17   Împădurirea păşunilor neutilizabile                                              221
           Îmbunătăţirea calităţii terenurilor degradate prin plantare de arbuşti
    7.18                                                                                    223          221
           pentru albinărit
           Bazându-ne pe multitudinea de mori pe apă, încă funcţionale,
    7.19                                                                                    313
           conceperea unui traseu al morilor din zona Baraolt.
           Sprijin pentru conservarea şi introducerea în circuitul turistic a fosilelor
    7.2                                                                                     313          313
           de la Racoşul de Sus
    7.21   Sprijin pentru muzeul local din Baraolt                                          313          313
           Loc de campare pentru 50 - 100 persoane, cu oferte de agrement:                                                RON
    7.22                                                                                    313
           excursii, pescuit, sport, agrement în general, pentru copii şi tineri,                                    500,000.00
                                                                                                                          RON
    7.23   Hotel - centru turistic în Baraolt                                               313
                                                                                                                   1,600,000.00
Măsură
                                                                                     Măsură                                   Budget
                                                                                                 pruposă de   Budget RON
                                                                                     atribuită                                 EUR
                                                                                                  aplicant
7.24   Panouri de semnalizare pentru puncte de atracţie şi servicii                    313
       Promovarea turismului de "aventură", îmbinarea lui cu alte tipuri de
7.25                                                                                   313
       turism (pe biciletă, sportiv, de familie)
7.26   Crearea de zone pentru pescuit de agrement pe pârâul Kormos.                    313                                     €10,000
7.27   Promovarea turismului - sprijin pentru pensiuni                                 313
7.28   Indicatoare standardizate în toată regiunea.                                    313
                                                                                                                     RON
7.29   Alei pentru turism cu bicicleta                                                 322
                                                                                                                 10,000.00
       Proiect gen "Top-Tree-Walking" în valea Vârghişului sau în zona
7.3                                                                                    421
       Bodvaj.
7.31   Centru de informare şi consiliere în tursim                                     421
7.32   Promovarea ariilor naturale protejate, inventarierea acestora                  431.2         313
                                                                                                                     RON
7.33   Centru de informaţii turistice                                                 431.2
                                                                                                                 10,000.00
7.34   Centru de reconversie şi formare pentru adulţi                                 431.2         322
7.35   Formare şi sprjin la acces pe piaţă pentru tinerii fermieri                    431.2
7.36   Centru de informare turistică la Baraolt                                       431.2
                                                                                                                    RON
7.37   Birou de informare turistică                                                   431.2
                                                                                                               100,000.00
7.38   Promovarea unor activităţi culturale tradiţionale - fanfară.                   431.2         312
7.39   Promovarea stilui arhitectural tradiţional.                                    431.2
7.4    Promovarea meşteşugurilor tradiţionale                                         431.2
                                                                                                                      RON
                                                          Subtotal Oraş Baraolt:                                              €281,500
                                                                                                              2,360,000.00
                                                                                                                      RON
                                                                      Grand Total:                                            €851,500
                                                                                                               2,730,000.00
II.2.10.2.11 Harta tematică cu idei de proiecte
II.3. Planul de finanţare
           Numele teritoriului :                                   Alutus

            Data întocmirii planului :        29 aprilie 2010
                                                                                                                     Sume în €


                                                                                      Contribuţii
     Denumirea măsurii              Ponderea măsurii în                                                Contribuţii        Contribuţii
                                                                   Cost total          publice
                                     planul de finanţare                                               naţionale           private
                                                                                      FEADER

                                     % din         % de
                                     costul      contribuţie     Suma           %   Suma        %     Suma      %       Suma       %
                                      total       FEADR

     111 Formare
     profesională (training),
1.
     informare şi difuzare
     de cunoştinţe                       0.28%          80%  10,476 €       100%     8,380 €    80%   2,096 € 20%            0€    0%
     112 Instalarea tinerilor                                139,501                                   27,901
2.
     fermieri                            3.73%          80% €               100% 111,600 €      80%         € 20%            0€    0%
     114 Utilizarea
3.
     serviciilor de consiliere           1.03%          80%  38,411 €       100%    30,728 €    80%   7,683 € 20%      0 € 0%
     121 Modernizarea                                        642,722                                   51,418     385,633
4.
     exploataţiilor agricole         17.18%             32% €               100% 205,671 €      32%         € 8%         € 60%
     122 Îmbunătăţirea
5.   valorii economice a                                                                                                 41,701
     pădurii                             2.23%          40%     83,402 €    100%    33,360 €    40%   8,341 € 10%             € 50%
Contribuţii
     Denumirea măsurii          Ponderea măsurii în                                            Contribuţii   Contribuţii
                                                           Cost total          publice
                                 planul de finanţare                                           naţionale      private
                                                                              FEADER

                                % din       % de
                                costul    contribuţie    Suma           %   Suma        %     Suma      %    Suma     %
                                 total     FEADR

    123 Creşterea valorii
6.  adăugate a produselor                            431,180                                  43,118     215,590
    agricole şi forestiere      11.53%          40% €              100% 172,472 €       40%        € 10%       € 50%
    125 Îmbunătăţirea şi
    dezvoltarea
    infrastructurii legate de
7.
    dezvoltarea şi
    adaptarea agriculturii                           161,945                                  24,292         40,486
    şi silviculturii             4.33%          60% €              100%     97,167 €    60%        € 15%          € 25%
    141 Sprijinirea
8. fermelor agricole de                                                                       12,992
    semi-subzistenţă             1.74%          80%     64,956 €   100%     51,964 €    80%        € 20%       0€     0%
    142 Înfiinţarea
9. grupurilor de                                     102,026                                  20,406
    producători                  2.73%          80% €              100%     81,620 €    80%        € 20%       0€     0%
    143 Furnizarea de
    servicii de consiliere şi
10.
    consultanţă pentru
    agricultori                  0.56%          80%     20,952 €   100%     16,761 €    80%   4,191 € 20%      0€     0%
    211 Sprijin pentru
11. Zona Montană                                     276,739                                  49,814
    Defavorizată                 7.40%          82% €              100% 226,925 €       82%        € 18%       0€     0%
Contribuţii
      Denumirea măsurii         Ponderea măsurii în                                            Contribuţii    Contribuţii
                                                           Cost total          publice
                                 planul de finanţare                                           naţionale       private
                                                                              FEADER

                                % din       % de
                                costul    contribuţie    Suma           %   Suma        %     Suma      %    Suma      %
                                 total     FEADR

      213 Plăţi Natura 2000
12.
      pe teren agricol           0.67%          82%  25,158 €      100%     20,629 €    82%   4,529 € 18%       0€     0%
      214 Plăţi de Agro-                             225,252                                   40,546
13.
      mediu                      6.02%          82% €              100% 184,706 €       82%         € 18%        0 € 0%
      221 Prima împădurire                                                                                   14,292
14.
      a terenurilor agricole     1.27%          57%     47,641 €   100%     27,346 €    57%   6,003 € 13%          € 30%
      223 Prima împădurire
15.   a terenurilor non-
      agricole                   0.74%          57%     27,581 €   100%     15,831 €    57%   3,476 € 13%    8,274 € 30%
      224 Plăţi Natura 2000
16.
      pe teren forestier         0.20%          57%     7,522 €    100%      4,318 €    57%    948 € 13%     2,256 € 30%
      312 Sprijin pentru
17.   crearea şi dezvoltarea                         137,031                                  19,185      41,109
      de micro-întreprinderi     3.66%          56% €              100%     76,737 €    56%        € 14%       € 30%
      313 Încurajarea                                447,154                                  62,602     134,146
18.
      activităţilor turistice   11.96%          56% €              100% 250,406 €       56%        € 14%       € 30%
Contribuţii
     Denumirea măsurii          Ponderea măsurii în                                            Contribuţii   Contribuţii
                                                           Cost total          publice
                                 planul de finanţare                                           naţionale      private
                                                                              FEADER

                                % din       % de
                                costul    contribuţie    Suma           %   Suma        %     Suma      %    Suma     %
                                 total     FEADR

    322 Renovarea,
    dezvoltarea satelor,
    îmbunătăţirea
    serviciilor de bază
19.
    pentru economia şi
    populaţia rurală şi
    punerea în valoare a                             217,087                                  43,418
    moştenirii rurale            5.80%          80% €              100% 173,669 €       80%        € 20%       0€     0%
    341 Dobândire de
    competenţe, animare
20. şi implementarea
    strategiilor de
    dezvoltare locală            0.13%          80%     5,049 €    100%      4,039 €    80%   1,010 € 20%      0€     0%
    421 Încurajarea
    actorilor de la nivel
    local de a lucra
    împreună cu
21.
    reprezentanţii altor
    comunităţi din
    interiorul sau exteriorul                                                                 11,428
    ţării                        1.53%          80%     57,136 €   100%     45,708 €    80%        € 20%       0€     0%
Contribuţii
     Denumirea măsurii    Ponderea măsurii în                                        Contribuţii   Contribuţii
                                                   Cost total         publice
                           planul de finanţare                                       naţionale      private
                                                                     FEADER

                           % din      % de
                           costul   contribuţie   Suma          %   Suma       %    Suma      %    Suma     %
                            total    FEADR

    431.2 Stimularea
    formării de
    parteneriate,
    pregătirea şi
22. asigurarea
    implementării
    strategiilor de
    dezvoltare locală -                       571,358
    Asistenţă tehnică     15.28%        100% €             100% 571,358 € 100%         0€     0%     0€     0%

                                              3,740,279      2,411,395             445,397     883,487
          TOTAL           100.00%         64% €         100%         €         64%       € 12%       € 24%
III. Realizarea parteneriatului şi funcţionarea GAL
                       PARTEA a – V – a: Parteneriatul
      III.1. Prezentarea procesului de elaborare a Planului de dezvoltare
        Locală
        (parteneriatul care realizează Planul de Dezvoltare Locală)
      III.1.1 Consultări pe plan local
Consultările privind înfiinţarea unui GAL au demarat în aprilie 2009, având în vedere
informaţiile privitoare la Axa LEADER din „Programul Naţional de Dezvoltare Rurală,
2007 – 2013, versiunea consolidată 31 martie 2009, Număr CCI: 2007RO06RPO001”.
Animarea actorilor a fost făcută din primul moment de domnul János DEMETER.
În acelaşi timp preşedintele Consiliului Judeţean Covasna şi întreg Consiliul au acordat
un puternic suport moral acestei iniţiative, CJ Covasna regăsindu-se printre fondatorii
Asociaţiei.
Lunar de două ori iniţiatorii s-au întâlnit pentru a contabiliza realizările şi a fixa
următoarele sarcini de rezolvat.
În mod natural localităţile au format două grupe:
1. Aita Mare, Baraolt, Băţani, Belin, Brăduţ, Malnaş, Vârghiş (zona de influenţă a
  Oraşului Baraolt)
2. Arcuş, Bixad, Bodoc, Ghidaflău, Micfalău, Valea Crişului (în afara zonei de influenţă
  a Oraşului Baraolt)
În această fază de pregătire nu s-au formalizat grupuri de lucru.
Întâlnirile avea trei mari teme:
1. informarea invitaţilor asupra abordării LEADER
  1.1. Obiective şi Obiective operaţionale
  1.2. Ponderea partenerilor în cadrul Grupului de Acţiune Locală
  1.3. Spaţiul eligibil pentru implementarea axei LEADER
  1.4. Procedura şi calendarul de selecţie a GAL -urilor
  1.5. Criterii de eligibilitate şi de selecţie (parteneriat, teritoriu, strategie)
  1.6. Descrierea circuitelor administrativ-financiare aplicabile GAL
      1.6.1. Faza de selecţie a Grupurilor de Acţiune Locală
      1.6.2. Faza de selecţie a proiectelor în cadrul GAL şi fluxurile acestora
      1.6.3. Circuitul financiar pentru măsura 431 (sub-măsura 431.2)
  1.7. Exemple de bune practici
Aceste activităţi au fost acoperite de consultantul care ulterior a întocmit şi cerea de
finanţare pentru măsura 431.1, şi care a coordonat din punct de vedere profesional
implementarea proiectului, inclusiv realizarea strategiei locale.
2. abordarea a cât mai multor actori, posibili fondatori, cu scopul declarat de a îi
  convinge să participe activ la înfiinţarea asociaţiei respective – derularea activităţilor
  legate de înfiinţarea unei asociaţii
În final Asociaţia are 59 de fondatori (ONG, asociaţii, culte religioase, IMM şi autorităţi
locale). Astfel că, la momentul depunerii Cererii de finanţare pe măsura 431.1
înregistrarea Asociaţiei „Alutus” era demarată.
Fondatorii au ales denumirea din limba latină a râului Olt: „Alutus” drept nume pentru
asociaţie şi potenţialul GAL, din următoarele considerente:
•   Denumirea să reprezinte o valoare comună, a celor două micro-regiuni – râul Olt
    străbate aria geografică acoperită de potenţialul GAL
•   Denumirea să se refere la un element de tradiţie de moştenire culturală sau naturală –
    râul Olt fiind cel mai important râu care străbate aria geografică acoperită de
    potenţialul GAL
•   Denumirea să fie „vandabilă” pe „piaţa” internă – adică, să ajute la identificarea mai
    uşoară a ariei geografice acoperită de potenţialul GAL
•   Denumirea să fie „vandabilă” pe „piaţa” externă – latina fiind timp de secole „lingua
    franca” şi pentru Estul Europei
S-a trecut apoi la finalizarea primei versiuni a statutului, pe modelul propus de
consultant, iar apoi la trecerea Hotărârilor prin Consiliile Locale (şi prin Consiliul
Judeţean în cazul fondatorului CJ Covasna). Au urmat discuţiile cu Prefectura Covasna
pe marginea Hotărârilor şi a statutului asociaţiei.
3. consultarea participanţilor în legătură cu aşteptările faţă de o asemenea oportunitate
  şi inventarierea documentelor existente deja, care puteau fi o bază de pornire pentru
  fundamentarea unei viitoare strategii (mai ales strategii şi planuri locale de dezvoltare
  precum şi cele judeţene
În primă fază au fost studiate strategiile de dezvoltare existente:
Aita Mare        Strategia 2020 Versiunea finală
Ghidfalău        Strategia 2020 Draft
Malnaş           Strategia de dezvoltare pe termen lung a comunei
Micfalău         STRATEGIA DE DEZVOLTARE PE DURATĂ MEDIE ŞI LUNGĂ 2008 - 2020
Oraş Baraolt     STRATEGIA DE DEZVOLTARE
Valea Crişului   Strategia 2020 Draft
Vârghis          Strategia de dezvoltare durabilă - Planul de acţiune
                 Strategia de dezvoltare a judeţului Covasna 2004 - 2015
                 PLAN DE DEZVOLTARE A JUDEŢULUI COVASNA PE TERMEN MEDIU
                 (2006 – 2013), AGENDA 21 LOCALĂ A JUDEŢULUI COVASNA
                 Strategia de dezvoltare a micro-regiunii Csomád - Bálványos
                 Programul Naţional de Dezvoltare Rurală, 2007 – 2013, versiunea consolidată
31 martie 2009, Număr CCI: 2007RO06RPO001

Pe perioada de implementare a proiectului legat de măsura 431.1 au fost organizate
întâlniri – seminarii în fiecare localitate a potenţialului GAL, după cum urmează:
Băţani              3 februarie
                                      Pentru aceste întâlniri ONG –urile din respectiva
Bodoc               10 februarie
                                      localitate au pregătit câte o publicaţie conţinând pe lângă
Belin               17 februarie
                                      informaţii generale despre potenţialul GAL o scurtă
Ghidaflău           24 februarie
                                      prezentare a valorilor ce susţin identitatea locală a
Brăduţ              3 martie
                                      comunităţii precum şi o inventariere a aşteptărilor faţă de
Micfalău            10 martie
                                      programul LEADER şi utilitatea potenţialului GAL.
Aita Mare           17 martie
Bixad               24 martie         Aceste publicaţii au fost răspândite în fiecare
Vârghiş             31 martie         comunitate, tot prin munca ONG –urilor locale.
Valea Crişului      7 aprilie         Au fost distribuite exemplare din seriile „O SELECȚIE a
Malnaş              14 aprilie        celor mai bune practici Leader+” şi „Leader+
Arcuş               21 aprilie        Magazine”.
Baraolt             28 aprilie
Aceste întâlniri – seminarii au avut următorul desfăşurător:
 Start      Finish      min                                      Activity
 16:30    - 17:00         30   Înregistrarea participanţilor
 17:00    - 17:05          5   Cuvânt de bun venit
  17:05   - 17:20         15   Prezentarea Best Practice "Tree - Top - Walking"/Sauwald, Austria
  17:20   - 17:25          5   Discutii
  17:25   - 17:30          5   Prezentarea abordării LEADER
  17:30   - 17:35          5   Discutii
  17:35   - 17:40          5   Axa LEADER în PNDR
 17:40    - 17:45          5   Discutii
  17:45   - 17:55         10   Prezentarea iniţiativei "GAL Alutus"
  17:55   - 18:00          5   Discutii
 18:00    - 18:15         15   Pauza de cafea
                               Prezentarea membrilor fondatori din arealul Comunei Gazda + 5 din alte
  18:15   - 18:25         10   zone
 18:25    - 18:30          5   Discutii
 18:30    - 18:40         10   Prezentarea Proiectului "Alutus 431.1 + evoluţia strategiei locale
 18:40    - 18:45          5   Discutii
 18:45    - 18:55         10   Prezentarea GAL Dél - Mátra, Ungaria
  18:55   - 19:00          5   Discutii
 19:00    - 19:10         10   Prezentarea unui exemplu Best Practice
  19:10   - 19:15          5   Discutii
                               Prezentarea pliantului editat pentru seminarul Comunei Gazda +
  19:15   - 19:25         10   prezentarea echipei redactionale
  19:25   - 19:30          5   Cuvant de inchidere
 19:30    - 20:00         30   Masa
Din discuţiile purtate între actori, animatori şi consultant s-a putu constata:
•   Lipsa de informaţie legată de pilonul II al PAC şi de Axa LEADER
•   Nevoia acută de încurajare a inovaţiei, a reţelelor de producători, de abordare
    integrată producţie – procesare – desfacere
•   De lipsa de încredere în resursele endogene (tradiţii, meşteşuguri, moştenire culturală)
Cu ocazia acestor seminarii, participanţii au fost rugaţi să completeze câte un chestionar:
                                                                              Importanţă
                                                                                0-5
                Creşterea competitivităţii sectoarelor agricol şi
 I.    Axă
                forestier
       Măsură
                Formare profesională (training), informare şi difuzare de
       111
                cunoştinţe
       112      Instalarea tinerilor fermieri
       121      Modernizarea exploataţiilor agricole
       122      Îmbunătăţirea valorii economice a pădurii
                Creşterea valorii adăugate a produselor agricole şi
       123
                forestiere
                Îmbunătăţirea şi dezvoltarea infrastructurii legate de
       125
                dezvoltarea şi adaptarea agriculturii şi silviculturii
       141      Sprijinirea fermelor agricole de semi-subzistenţă
       142      Înfiinţarea grupurilor de producători
                Furnizarea de servicii de consiliere şi consultanţă pentru
       143
                agricultori

                                                                              Importanţă 0 -
                                                                                    5
 II.   Axă      Îmbunătăţirea mediului şi a spaţiului rural
       Măsură
       211    Sprijin pentru Zona Montană Defavorizată
              Sprijin pentru zone defavorizate – altele decât zona
       212
              montană
       214    Plăţi de Agro-mediu
       221    Prima împădurire a terenurilor agricole

                                                                              Importanţă 0 -
                                                                                    5
                Calitatea vieţii în zonele rurale şi diversificarea
 III. Axă
                economiei rurale
       Măsură
                Sprijin pentru crearea şi dezvoltarea de micro-
       312
                întreprinderi
       313      Încurajarea activităţilor turistice
                Renovarea, dezvoltarea satelor, îmbunătăţirea serviciilor
       322      de bază pentru economia şi populaţia rurală şi punerea
                în valoare a moştenirii rurale
Pe acelaşi chestionar cei interesaţi puteau să indice posibile proiecte:

Măsura (facultativ)             Descriere                         Buget estimat € sau RON
                                                                  (facultativ)

Prelucrând şi evaluând datele astfel obţinute a fost posibilă „fotografierea” priorităţilor şi
evaluarea capacităţii de-a atrage fonduri.
      III.2. Modurile de asociere a diferiţilor parteneri
                                                                       Partner Type          Count
                                       apl, 18.64%
                                                                 Autorităţi Publice Locale     11
                                                                 Culte                          6
   ong, 37.29%                                                   IMM                           20
                                                                 ONG                           22
                                                  cult, 10.17%                                 59




                                  imm, 33.90%

S-a respectat proporţia de maximum 49% Autorităţi Publice Locale în componenţa
partenerilor.




                      Populaţie 2002                 De asemeni s-a respectat şi raportul între
 AITA MARE                     1,777                 numărul locuitorilor oraşului şi al
 BARAOLT                       9,614                 comunelor.
 BĂŢANI                        4,521
 BELIN                         2,652
 BODOC                         2,503
 BRĂDUŢ                        4,686
 GHIDFALĂU                     2,607
 MALNAŞ                        4,877
 VALEA CRIŞULUI                3,457
 VÂRGHIŞ                       1,904
 Total Comune                 38,598     80.06%
 ORAŞ BARAOLT                  9,614     19.94%
 Total Alutus                 48,212    100.00%
III.2.1 Căutarea leader -ului;
În mod firesc legitimitatea şi carisma animatorului principal al acestei iniţiative l-au
desemnat drept leader informal pe domnul János DEMETER. Ca şi aplicant, în numele
fondatorilor GAL „Alutus”, Asociaţia „Csillagőrző” a câştigat, prin activitatea sa
dedicată moştenirii culturale şi a grijii faţă de mediul înconjurător, încrederea unanimă a
fondatorilor, aceştia consfinţind decizia informală prin semnăturile date pe aplicaţia
depusă pe măsura 431.1.
      III.2.2 O analiză sumară (localizare geografică, tipuri de localităţi
        – oraşe, comune, sate, număr de locuitori etc.) a localităţilor
        cuprinse în teritoriului dorit pentru viitorul potenţial GAL;
Această analiză s-a făcut pentru aplicaţia depusă. Aria acoperită este localizată în zonă
montană defavorizată. Indicatorii socio – economici plasează această zonă printre cele
mai sărace din ţară.
      III.2.3 Identificarea persoanelor-resursă (cu care se va colabora).
        Acestea se vor stabili cu ajutorul autorităţilor din localităţile
        respective şi al DADR –urilor;
Persoanele care au lucrat nemijlocit la implementarea proiectului pe măsura 431.1 au fost
: Derzsi Sámuel, Demeter Zoltán, Fodor István, Demeter János, Demeter Ferenc,
Benedek Márta, Incze Réka, Balázsi Dénes, Antal Esztilla.
      III.2.4 Pregătirea materialelor de prezentare a programului
        LEADER şi gruparea lor în vederea prezentării în cadrul
        întâlnirilor ce vor avea loc la iniţiativa leader -ului în prezenţa
        DADR -ului;
Layout –ul materialelor ce au fost prezentate, precum conţinutul acestora au fost
încorporate în cerea de finanţare, au fost prezentate DADR. S-a ţinut cont de respectarea
spiritului abordării LEADER şi de cerinţele identităţii vizuale conform „CORPOR AT E
D E S I G N MANUA L, European Commission, Directorate -General for Agriculture,
April 2004”.
      III.2.5 Organizarea grupurilor de lucru (combinarea
        competenţelor) şi adunarea acestora în diferite întâlniri.
         III.2.5.1 Temele grupurilor de lucru
Grup de lucru 1 - Dosarul de candidatură
      PARTEA I: Prezentarea teritoriului – Analiza diagnostic
      PARTEA a II-a: Analiza SWOT
      PARTEA a – III - a: Priorităţi
      PARTEA a – IV – a: Măsuri
Grup de lucru 2 - Realizarea parteneriatului şi funcţionarea GAL
      PARTEA a – V – a: Parteneriatul
      PARTEA a – VI – a: Organizarea GAL -ului
      PARTEA a – VII – a: Mecanismul de implementare
      PARTEA a -VIII – a: Cooperare şi crearea şi implementarea reţelei
Grup de lucru 3 – Organizare – Logistică pentru Seminarii - Întâlniri
        III.2.5.2 Componenţa grupurilor de lucru
                       Coordonator       G1 Derzsi       Sámuel
                              Membru g1 Demeter Zoltán
                              Membru g1 Fodor            István
                       Coordonator       G2 Demeter János
                              Membru g2 Demeter Ferenc
                              Membru g2 Benedek Márta
                       Coordonator       G3 Incze        Réka
                              Membru g3 Balázsi Dénes
                              Membru g3 Antal            Esztilla
III.2.5.3 Prima întâlnire
                                                      Prima întâlnire: Băţani, 3 februarie 2010

 Grup de lucru 1 - Dosarul de candidatură           Grup de lucru 2 - Realizarea parteneriatului        Grup de lucru 3 – Organizare – Logistică
                                                               şi funcţionarea GAL                            pentru Seminarii - Întâlniri
                                                     a) Prezentarea diagnosticului pe temă (teme);
PARTEA I: Prezentarea teritoriului – Analiza        PARTEA a – V – a: Parteneriatul                    Înregistrarea participanţilor – formulare,
diagnostic                                          III.1. Prezentarea procesului de elaborare a       colectare
II.2.1 Prezentarea geografică şi fizică                Planului de dezvoltare Locală (parteneriatul    Conţinutul prezentărilor:
 II.2.1.1 Prezentarea principalelor                    care realizează Planul de Dezvoltare Locală)       Cuvânt de bun venit
    caracteristici geografice (amplasament,         III.2. Prezentarea parteneriatului decizional         Prezentarea Best Practice "Tree - Top -
    relief, altitudine,…)                                                                                 Walking"/Sauwald, Austria
                                                    III.3. Resurse umane – animare - comunicare
                                                                                                          Prezentarea abordării LEADER
 II.2.1.2 Hărţi – planul localizării teritoriului   PARTEA a – VI – a: Organizarea GAL -ului              Axa LEADER în PNDR
 II.2.1.3 Populaţie - demografie                      III.3.1 Resurse umane                               Prezentarea iniţiativei "GAL Alutus"
 II.2.1.4 Patrimoniu de mediu                         III.3.2 Descrierea resurselor materiale             Prezentarea Proiectului "Alutus 431.1 +
 II.2.1.5 Patrimoniu arhitectural şi cultural          (echipamente, localuri disponibile)                evoluţia strategiei locale
 II.2.1.6 Economia locală                             III.3.3 Buget indicativ anual de funcţionare a      Prezentarea GAL Dél - Mátra, Ungaria
                                                       GAL                                                Prezentarea unui exemplu Best Practice
 II.2.1.7 Servicii şi infrastructuri medico-
    sociale                                           III.3.4 Dispozitivul de comunicare şi            Prezentarea pliantului editat pentru seminarul
                                                       informare                                       Comunei Gazda + prezentarea echipei
 II.2.1.8 Activităţi sociale şi instituţii locale
                                                                                                       redacţionale
 II.2.1.9 Bilanţul politicilor întreprinse în       III.4. Implementarea proiectelor în cadrul
                                                       GAL                                             Chestionare – formulare, colectare
    teritoriu
                                                    PARTEA a – VII – a: Mecanismul de                  Logistica necesară
 II.2.1.10 Elemente complementare privind
    prezentarea teritoriului                           implementare                                    Organizarea pauzelor de cafea şi a mesei
                                                    III.5. Implicarea GAL în acţiunile de
                                                       cooperare şi în RNDR
                                                    PARTEA a -VIII – a: Cooperare şi crearea şi
                                                       implementarea reţelei
                                                      III.5.1 Cooperare
                                                      III.5.2 Crearea şi implementarea reţelei
Prima întâlnire: Băţani, 3 februarie 2010

 Grup de lucru 1 - Dosarul de candidatură           Grup de lucru 2 - Realizarea parteneriatului         Grup de lucru 3 – Organizare – Logistică
                                                               şi funcţionarea GAL                             pentru Seminarii - Întâlniri

                                                           b) Schimburi şi aport de idei noi;
În urma discuţiilor s-au conturat următoarele       În urma discuţiilor s-au conturat următoarele
                                                                                                        Se constată că nici prin e-mail nici pe suport nu
idei şi puncte de vedere comune:                    idei şi puncte de vedere comune:
                                                                                                        sosesc chestionare completate. Singurele
Abordarea LEADER este o oportunitate şi un          •Deoarece statutul a fost finalizat înaintea şi     chestionare completate sunt cele colectate la
instrument de modernizare pentru zonele              trecut prin Consiliile Locale şi cel Judeţean,     faţa locului la sfârşitul fiecărei întâlniri.
rurale.                                              înainte apariţia apelului pentru măsura 431.1.,    Aceasta rămâne singura modalitate de-a
Gradualitatea este esenţială pentru succesul         după înregistrarea Asociaţiei vor fi necesare      intervieva actorii locali mai mobili, cei care vin
demersului.                                          de adus modificări în statut, astfel ca să         la seminar.
Şansa potenţialul GAL este de a se transforma        devină conform cu cerinţele formulate în
într-un purtător de valori locale şi generator de    modelul planului de dezvoltare.
locuri de muncă. Singura cale care poate da         •Comitetul director al Asociaţiei va prezenta
rezultate este cea abordării integrate.              Adunării generale, spre aprobare, atât
                                                     componenţa grupurilor de lucru cât şi
Succesul este garantat de identificarea
                                                     organigrama compartimentului administrativ,
resurselor endogene, care asigură specificitatea
                                                     urmând ca selectarea personalului să se facă
localităţilor. Se vor face demersuri pentru
                                                     cu sprijinul DADR
identificarea acestor resurse pentru fiecare
                                                    •Grupul de lucru va face un inventar al
localitate în parte.
                                                     resurselor materiale puse la dispoziţie de către
Reînnoirea zonelor rurale are exemple de bune        fondatori
practici, de real succes în Austria, prin urmare    •Bugetul indicativ de funcţionare se va stabili
se va încerca transfer de know-how în acest          funcţie de planul financiar adoptat.
domeniu cu ajutorul partenerului din Austria.
                                                    •Pentru informare şi comunicare se va apela în
Prioritate absolută rămâne îmbunătăţirea             continuare şi la consultanţă externă.
infrastructurii rutiere, a alimentării cu apă
(inclusiv canalizare).
Se va crea un logo pentru GAL Alutus.
Prima întâlnire: Băţani, 3 februarie 2010

 Grup de lucru 1 - Dosarul de candidatură          Grup de lucru 2 - Realizarea parteneriatului       Grup de lucru 3 – Organizare – Logistică
                                                              şi funcţionarea GAL                           pentru Seminarii - Întâlniri

                                                          b) Schimburi şi aport de idei noi;
Piaţă de desfacere pentru produsele Alutus pot •Mecanismul de implementare va fi propus de
fi oraşele (mici) cum ar fi Sfântu Gheorghe,         către consultant, acceptat de către Comitetul
Miercurea Ciuc, Tuşnad Băi (mai ales în              director şi validat de către DADR
sezonul estival), dar ţinta cea mai importantă ar •În momentul acreditării GAL, acesta va
trebui să fie Braşov (inclusiv Poiana Braşov),       solicita statutul de membru al RNDR şi va
şi apoi staţiunile din Valea Prahovei.               iniţia demersurile pentru accederea în reţeaua
Se vor avea în vedere exemple din Austria,           UE
cum ar fi:
•Unele comunităţi se specializează pe produse
„bio” şi procesarea acestora. Produsele să
ajungă la consumatori fără intermediari –
eventual prin e-commerce, bazat pe web.
•Spaţiul rural să rămână un spaţiu integrat în
natură, în mediul înconjurător (de ex. crearea
de spaţii verzi în interiorul localităţilor). Trasee
„bio” recreative, cu popasuri la izvoare de apă
minerală, degustări de produse locale, etc.
•Unele comunităţi să înfiinţeze cămine
ecologice (din materiale naturale, cu confortul
necesar, cu baterii solare spre exemplu)
Prima întâlnire: Băţani, 3 februarie 2010

 Grup de lucru 1 - Dosarul de candidatură       Grup de lucru 2 - Realizarea parteneriatului        Grup de lucru 3 – Organizare – Logistică
                                                           şi funcţionarea GAL                            pentru Seminarii - Întâlniri
                                               c) Căutarea de eventuale informaţii suplimentare.
Faţă de sursele iniţiale, se vor mai folosi Cu ocazia întâlnirilor, partenerii externi vor fi      În permanenţă, după fiecare seminar se va face
următoarele:                                    solicitaţi să dea informaţii asupra                o evaluare succintă asupra aşteptărilor faţă de
•Institutul de Memorie Culturală, Poarta către  mecanismelor de implementare pe care le            publicaţia „personalizată” pe comunitatea
 patrimoniul cultural românesc www.cimec.ro aplică şi mai cu seamă asupra riscurilor               gazdă şi asupra utilităţii chestionarului. Aceste
•http://www.prefecturacv.ro/Monografie          existente şi a problemelor cu care s-au            evaluări se vor face pe baza discuţiilor purtate
•http://www.apmcv.ro/documente/Biodiversita confruntat.                                            la faţa locului cu participanţii interesaţi.
 te/Vegetatia%20forestiera.pdf
•MINISTERUL MEDIULUI, AGENŢIA
 NAŢIONALĂ PENTRU PROTECŢIA
 MEDIULUI, AGENŢIA REGIONALĂ
 PENTRU PROTECŢIA MEDIULUI SIBIU,
 Raport privind starea factorilor de mediu pe
 semestrul I. 2009
•Agenţia Regională pentru Protecţia Mediului
 Sibiu, PLANUL REGIONAL DE ACŢIUNE
 PENTRU MEDIU, REGIUNEA 7 CENTRU
•Arii de interes comunitar – Reţeaua Natura
 2000 –
 www.apmcv.ro/documente/.../Natura%20200
 0.pdf
•http://www.apmcv.ro/veche/html/arii_protejat
 e_si_natura_2000.html
•http://www.arpm7c.ro/Harta-arii-naturale-
 protejate-4111
•Agenţia pentru protecţia mediului Covasna –
 Anuar 2007
Prima întâlnire: Băţani, 3 februarie 2010

 Grup de lucru 1 - Dosarul de candidatură            Grup de lucru 2 - Realizarea parteneriatului       Grup de lucru 3 – Organizare – Logistică
                                                                şi funcţionarea GAL                           pentru Seminarii - Întâlniri
                                                    c) Căutarea de eventuale informaţii suplimentare.
•Anexa 8 - ARII NATURALE PROTEJATE
 DECLARATE LA NIVEL LOCAL
•Starea ariilor protejate în judeţul Covasna -
 http://www.apmcv.ro/index.php?option=co
 m_content&view=article&id=72&Itemid=10
 5
•Habitatele naturale. Flora şi fauna sălbatică în
 judeţul Covasna. -
 http://www.apmcv.ro/index.php?option=com
 _content&view=article&id=45&Itemid=111
•Reţeaua şcolară a judeţului Covasna -
 http://isj.educv.ro/node/128Servicii sociale în
 Covasna -
 http://sas.mmssf.ro/servicii_furnizori.php?jud
 et=covasna
•Reţeaua sanitară în judeţul Covasna -
 http://www.dspcovasna.ro/index.php?content
 =reteaua
•Recensământul populaţiei şi locuinţelor 2002
 -
 http://www.recensamant.ro/fisiere/rezultatefin
 ale.zip
•INSSE Anuarul statistic 2007
Prima întâlnire: Băţani, 3 februarie 2010

 Grup de lucru 1 - Dosarul de candidatură         Grup de lucru 2 - Realizarea parteneriatului       Grup de lucru 3 – Organizare – Logistică
                                                             şi funcţionarea GAL                           pentru Seminarii - Întâlniri
                                                 c) Căutarea de eventuale informaţii suplimentare.
•www.mie.ro/_documente/ - GRANT
 CONTRACTS AWARDED DURING
 OCTOBER - NOVEMBER 2002,
 FINANCING SOURCE: Budget line
 RO0007.02.01,1. Grants awarded under Call
 for Proposal CP – 1/2001 published on June
 2001; GRANT CONTRACTS AWARDED
 DURING OCTOBER - NOVEMBER 2002,
 FINANCING SOURCE: Budget line
 RO0007.02.01, 1. Grants awarded under Call
 for Proposal CP – 1/2001 published on 20
 May 2001; GRANT CONTRACTS
 AWARDED DURING NOVEMBER 2003,
 FINANCING SOURCE: Budget line RO
 0108.03.05, 1. Grants awarded under Call for
 Proposal CP – 3/2002 published on 19 July
 2002; Phare/2004/016-772.04.01.04.01.02,
 CFP 3/2006 published on August 2, 2006,
 Project Preparation Grant Scheme for private
 sector in the field of waste management;
 "Proiect RO 2005/017-553.04.01.04.01
 „Schema de investiţii pentru sprijinirea
 iniţiativelor sectorului public în sectoarele
 prioritare de mediu” (Schema de granturi:
 Investiţii publice în sectoarele de mediu);
III.2.5.4 A doua întâlnire
                                                   A doua întâlnire: Bixad, 24 martie 2010

 Grup de lucru 1 - Dosarul de candidatură       Grup de lucru 2 - Realizarea parteneriatului         Grup de lucru 3 – Organizare – Logistică
                                                           şi funcţionarea GAL                             pentru Seminarii - Întâlniri
                                  a) Stabilirea principalelor acţiuni ce urmează a se desfăşura în continuare;
PARTEA a II-a: Analiza SWOT                      PARTEA a -VIII – a: Cooperare şi crearea şi       La jumătatea seminarelor se face o evaluare
PARTEA a – III - a: Priorităţi                      implementarea reţelei                          pentru a putea opera corecţiile necesare.
PARTEA a – IV – a: Măsuri                          III.5.1 Cooperare                               • Se constată că în continuare comunicarea cu
                                                 Pentru subcapitolul III.5.1. până cel târziu pe    fondatorii via email este deficitară. În ciuda
                                                 data de 15 aprilie 2010 se for perfecta            acestui fapt, altă cale de a transmite actorilor
                                                 înţelegerile cu partenerii externi, după cum       implicaţi diferitele variante de strategii nu
                                                 urmează:                                           există.
                                                 • GAL Sauwald Austria: Pasarela pe deasupra • Se constată că, chestionarele trimise pe email
                                                  copacilor – transfer de know – how,               nu sunt returnate, rămâne ca la fiecare
                                                  planificarea proiectului                          întâlnire participanţii să fie încurajaţi să
                                                                                                    completeze chestionare la faţa locului.
                                                 • GAL Dél Mátra Ungaria:


                                                   A doua întâlnire: Bixad, 24 martie 2010

 Grup de lucru 1 - Dosarul de candidatură       Grup de lucru 2 - Realizarea parteneriatului         Grup de lucru 3 – Organizare – Logistică
                                                           şi funcţionarea GAL                             pentru Seminarii - Întâlniri
  b) Formalizarea şi structurarea propunerilor, apoi o întâlnire cu DADR pentru identificarea măsurilor din cadrul PNDR, adaptate acţiunilor
                                                                    prevăzute.
Se vor prezenta DADR Analiza actorilor, Arborele problemă, Arborele obiectivelor, Priorităţi, Măsuri, Planul financiar, Proceduri, Resurse
umane, Planuri de cooperare.
III.2.5.5 A treia întâlnire:
                   A treia întâlnire: Arcuş, 21 aprilie 2010 Validarea strategiei, a propunerilor şi a alegerii organizării acţiunilor

 Grup de lucru 1 - Dosarul de candidatură            Grup de lucru 2 - Realizarea parteneriatului           Grup de lucru 3 – Organizare – Logistică
                                                                şi funcţionarea GAL                               pentru Seminarii - Întâlniri
    a) Prezentarea concluziilor lucrărilor în faţa reprezentanţilor localităţilor din teritoriu şi a celorlalţi parteneri esenţiali ai teritoriului, apoi
                                  oficializarea parteneriatului, (de pildă, printr-un comitet de selecţie provizoriu);
 Se prezintă Arborele problemă, Arborele obiectivelor, Priorităţi, Măsuri, Planul financiar, Proceduri, Resurse umane, Planuri de cooperare - –
toate acestea în prezentări powerpoint, după ce săptămânal actorii implicaţi au primit variantele actualizate ale strategiei.


                   A treia întâlnire: Arcuş, 21 aprilie 2010 Validarea strategiei, a propunerilor şi a alegerii organizării acţiunilor

 Grup de lucru 1 - Dosarul de candidatură            Grup de lucru 2 - Realizarea parteneriatului           Grup de lucru 3 – Organizare – Logistică
                                                                şi funcţionarea GAL                               pentru Seminarii - Întâlniri
                                   b) Elaborarea candidaturii şi rediscutarea acesteia cu reprezentanţii DADR;
Dosarul de candidatură a fost rediscutat cu reprezentanţii DADR, urmând să se opereze modificările ce se impun.



                   A treia întâlnire: Arcuş, 21 aprilie 2010 Validarea strategiei, a propunerilor şi a alegerii organizării acţiunilor

 Grup de lucru 1 - Dosarul de candidatură            Grup de lucru 2 - Realizarea parteneriatului           Grup de lucru 3 – Organizare – Logistică
                                                                şi funcţionarea GAL                               pentru Seminarii - Întâlniri
                                            c) Validarea dosarului de candidatura final de către parteneri.
Dosarul a fost validat în unanimitate, fără observaţii.
Schemă de animare a elaborării candidaturii:

                                                                   LEADER – ANIMATOR
                                                                      Demeter János G2

                                            A l e ş i              ş i        p e r s o a n e                      r e s u r s e
  Mobilizare




                            G1              g1                 g1              g2               g2                  G3               g3          g1-3
                           Derzsi         Demeter            Fodor           Demeter          Benedek              Incze           Balázsi       Antal
                           Sámuel          Zoltán            István          Ferenc            Márta               Réka            Dénes        Esztilla
                                    Grup de lucru 1                               Grup de lucru 2                              Grup de lucru 3
                                 Dosarul de candidatură                     Realizarea parteneriatului şi                Organizare – Logistică pentru
                                                                                 funcţionarea GAL                            Seminarii - Întâlniri
                                                                                Prima întâlnire:
                                                                  a) Prezentarea diagnosticului pe temă (teme);
                                                                        b) Schimburi şi aport de idei noi;
                                                                c) Căutarea de eventuale informaţii suplimentare.
                                                                                                                                                           Î
                           P I: Prezentarea teritoriului –             P V: Parteneriatul                             Înregistrarea participanţilor –
                           Analiza diagnostic                          P VI: Organizarea GAL -ului                    formulare, colectare                 n
                                                                       PVII: Mecanismul de implementare               Conţinutul prezentărilor
                                                                       P VIII: Cooperare şi crearea şi                Chestionare – formulare, colectare
  Coordonare - elaborare




                                                                       implementarea reţelei                          Logistica necesară                   s
                                                                                                                      Catering
                                                                                  A doua întâlnire:
                                                  a) Stabilirea principalelor acţiuni ce urmează a se desfăşura în continuare;
                                                 b) Formalizarea şi structurarea propunerilor, apoi o întâlnire cu DADR pentru
                                                                                                                                                           u
                                                    identificarea măsurilor din cadrul PNDR, adaptate acţiunilor prevăzute.

                           P II: Analiza SWOT
                           P III: Priorităţi
                                                                       P VIII: Cooperare şi crearea şi
                                                                       implementarea reţelei
                                                                                                                      La jumătatea seminarelor se face o
                                                                                                                      evaluare pentru a putea opera
                                                                                                                                                           ş
                           P IV: Măsuri                                  III.5.1 Cooperare                            corecţiile necesare.

                              b) Se vor prezenta DADR Analiza actorilor, Arborele problemă, Arborele obiectivelor, Priorităţi, Măsuri, Planul              i
                                                      financiar, Proceduri, Resurse umane, Planuri de cooperare.

                                                                                   A treia întâlnire:
                                            a) Prezentarea concluziilor lucrărilor în faţa reprezentanţilor localităţilor din teritoriu şi                 r
                                                                 a celorlalţi parteneri esenţiali ai teritoriului, apoi
                                                oficializarea parteneriatului, (de pildă, printr-un comitet de selecţie provizoriu);
                                                 b) Elaborarea candidaturii şi rediscutarea acesteia cu reprezentanţii DADR;
                                                          c) Validarea dosarului de candidatura final de către parteneri.                                  e
                               a) Se prezintă Arborele problemă, Arborele obiectivelor, Priorităţi, Măsuri, Planul financiar, Proceduri, Resurse
                             umane, Planuri de cooperare - – toate acestea în prezentări powerpoint, după ce săptămânal actorii implicaţi au primit
                                                                      variantele actualizate ale strategiei.

                           b) Dosarul de candidatură a fost rediscutat cu reprezentanţii DADR, urmând să se opereze modificările ce se impun.
  Validare




                                                              c) Dosarul a fost validat în unanimitate, fără observaţii.




                                  Elaborarea şi centralizarea Procesele verbale ale întâlnirilor

                                                      Depunerea candidaturii – 30 iunie 2010
III.3. Prezentarea parteneriatului decizional
      III.3.1 Descrierea partenerilor
Partenerii vor fi asociaţi la procesul de monitorizare a proiectului din partea instituţiilor
pe care le reprezintă şi a funcţiilor ocupate de aceştia in cadrul acestora, făcând distincţia
între partenerii publici, privaţi şi ONG. Tabelul de mai jos precizează componenţa
comitetului de selectare a proiectelor selectate de GAL
Selecţia proiectelor va fi realizată de către un Comitet de Selecţie, format din membrii
GAL. În ceea ce priveşte selecţia proiectelor în cadrul GAL, se va aplica regula „dublului
cvorum”, respectiv pentru validarea voturilor, este necesar ca în momentul selecţiei să fie
prezenţi cel puţin 50% din parteneri, din care peste 50% să fie din mediul privat şi
societate civilă.
Pentru transparenţa procesului de selecţie a proiectelor în cadrul GAL şi totodată pentru
efectuarea activităţilor de control şi monitorizare, la aceste selecţii va lua parte şi un reprezentant
al Ministerului Agriculturii şi Dezvoltării Rurale de la nivel judeţean (DADR)”.
PARTENERI PUBLICI
 Nume şi prenume          Instituţia          Funcţia       Tip* /Observaţii
BALÁZSI Dénes      Primăria Brăduţ        primar           ADMIN
DEMETER János      CJ Covasna             vicepreşedinte   ADMIN
FODOR István       Primăria Bodoc         primar           ADMIN
                          PARTENERI PRIVAŢI
 Nume şi prenume          Instituţia          Funcţia       Tip* /Observaţii
DERZSI Sámuel      Ex Libris srl, Oraş    director         IMM
                   Baraolt
INCZE Réka         sc INCZENTER srl,      administrator    IMM
                   Fotoş
                                     ONG
 Nume şi prenume          Instituţia          Funcţia       Tip* /Observaţii
BENEDEK Márta      Asociatia "BODVAJ", preşedinte          ONG
                   Băţanii Mici
DEMETER Ferenc     Asociaţia Fanfara      membru           ONG
                   Trombon, Micfalău
                                    ALEŞI
 Nume şi prenume          Instituţia          Funcţia       Tip* /Observaţii
ANTAL Esztilla     ALES intercomunal -    membru           ALES
                   zona Olt
DEMETER Zoltán     ALES intercomunal      membru           ALES
                   zona Baraolt prin
                   Asociaţia Speo-
                   Turistică şi de
                   Protecţia Naturii
                   „LUMEA
                   PIERDUTĂ”, Oraş
                   Baraolt
III.3.1.1 Membrii supleanţi
                             PARTENERI PUBLICI
  Nume şi prenume            Instituţia            Funcţia       Tip* /Observaţii
Nyáguly Vilmos        Primăria Micfalău        primar           ADMIN
Bardócz Csaba         Primăria Băţani          vicepreşedinte   ADMIN
Sikó Imre             Primăria Belin           primar           ADMIN
                             PARTENERI PRIVAŢI
  Nume şi prenume            Instituţia            Funcţia       Tip* /Observaţii
Gazdag Levente        Sc Discover srl          director         IMM
Nagy Mihály           sc PRODUCŢIE şi          administrator    IMM
                      COMERCIALĂ TRIO
                      IMPEX srl
                                        ONG
  Nume şi prenume            Instituţia            Funcţia       Tip* /Observaţii
Dénes Ildikó          Asociaţia Speo-          preşedinte       ONG
                      Turistica si de
                      Protectia Naturii
                      „LUMEA
                      PIERDUTA”
Ájgel Ágnes           Asociaţia de tineret din membru           ONG
                      comuna Bixad
                                       ALEŞI
  Nume şi prenume            Instituţia            Funcţia       Tip* /Observaţii
Bocskor László        ALES intercomunal -      membru           ALES
                      zona Olt
Gödri Miklós          ALES intercomunal        membru           ALES
                      zona Baraolt
Membri Comisiei de Selecţie: 9



                    ALES, 22%

                                                                ADMIN, 33%




                ONG, 22%


                                                     IMM, 22%


2 din 9 membri, adică 22,22% sun reprezentanţi ai unor actori din Oraşul Baraolt.
         III.3.1.2 Regula „dublului cvorum”
             III.3.1.2.1 Prezenţă minimă obligatorie
                                                    Persoane    Procente
                     prezenţă minimă obligatorie           5    100.00%
                     ADMIN                                 1     22.22%
                     IMM + ONG + ALEŞI                     4     77.78%


                                                    Persoane    Procente
                     prezenţă minimă obligatorie           5    100.00%
                     ADMIN                                 2     44.44%
                     IMM + ONG + ALEŞI                     3     55.56%
           III.3.1.2.2 Prezenţă peste cvorumul minim obligatoriu + 1
                                                    Persoane    Procente
                    prezenţă > minimă obligatorie          6    100.00%
                    ADMIN                                  1     16.67%
                    IMM + ONG + ALEŞI                      5     83.33%


                                                    Persoane    Procente
                    prezenţă > minimă obligatorie          6    100.00%
                    ADMIN                                  2     33.33%
                    IMM + ONG + ALEŞI                      4     66.67%
III.3.1.2.3 Prezenţă peste cvorumul minim obligatoriu + 2
                                       Persoane   Procente
       prezenţă > minimă obligatorie          7   100.00%
       ADMIN                                  1    14.29%
       IMM + ONG + ALEŞI                      6    85.71%


                                       Persoane   Procente
       prezenţă > minimă obligatorie          7   100.00%
       ADMIN                                  2    28.57%
       IMM + ONG + ALEŞI                      5    71.43%


                                       Persoane   Procente
       prezenţă > minimă obligatorie          7   100.00%
       ADMIN                                  3    42.86%
       IMM + ONG + ALEŞI                      4    57.14%
       III.3.1.2.4 Prezenţă peste cvorumul minim obligatoriu + 3
                                       Persoane   Procente
       prezenţă > minimă obligatorie       8      100.00%
                  ADMIN                    1       12.50%
           IMM + ONG + ALEŞI               6       75.00%


                                       Persoane   Procente
       prezenţă > minimă obligatorie       8      100.00%
                  ADMIN                    2       25.00%
           IMM + ONG + ALEŞI               6       75.00%


                                       Persoane   Procente
       prezenţă > minimă obligatorie       8      100.00%
                  ADMIN                    3       37.50%
           IMM + ONG + ALEŞI               5       62.50%
III.3.1.2.5 Prezenţă peste cvorumul minim obligatoriu + 4
                                Persoane   Procente
prezenţă > minimă obligatorie          9   100.00%
ADMIN                                  1    11.11%
IMM + ONG + ALEŞI                      6    66.67%


                                Persoane   Procente
prezenţă > minimă obligatorie          9   100.00%
ADMIN                                  2    22.22%
IMM + ONG + ALEŞI                      6    66.67%


                                Persoane   Procente
prezenţă > minimă obligatorie          9   100.00%
ADMIN                                  3    33.33%
IMM + ONG + ALEŞI                      6    66.67%
III.3.2 Crearea şi funcţionarea GAL - ului
La nivelul GAL ului, organele asociaţiei sunt:




                                 Organele Asociaţiei la nivelul GAL



                                             Adunarea generala



   Cenzorul sau, după caz, comisia de cenzori



                                                 Consiliul director



          Comitetul de selectare a proiectelor                        Compartiment administrativ




         III.3.2.1 Organele Asociaţiei
STATUTUL ASOCIAŢIEI ”ALUTUS REGIO EGYESÜLET”
CAPITOLUL 4 ORGANIZAREA ŞI FUNCŢIONAREA ASOCIAŢIEI
Art. 16. Organele Asociaţiei sunt:
    a) Adunarea Generală;
    b) Consiliul director;
    c) Cenzorul;
    d) Comitetul de selectare a proiectelor;
    e) Compartiment administrativ
III.3.2.2 Adunarea generala
STATUTUL ASOCIAŢIEI ”ALUTUS REGIO EGYESÜLET”
CAPITOLUL 4 ORGANIZAREA ŞI FUNCŢIONAREA ASOCIAŢIEI
Art. 17. (1) Adunarea Generală este organul de conducere, alcătuit din totalitatea
          asociaţilor.
          (2) adunarea Generală are următoarele atribuţii:
            a) aprobarea strategiei si a obiectivelor generale ale GAL;
            b) alegerea si revocarea membrilor consiliului de selecţie
            c) aprobarea bugetului de venituri şi cheltuieli şi a bilanţului contabil;
            d) alegerea şi revocarea Consiliului director;
            e) alegerea şi revocarea cenzorului, sau, după caz, a membrilor comisiei de
               cenzori;
            f) înfiinţarea de filiale, sucursale, puncte de lucru în ţară şi în străinătate;
            g) modificarea actului constitutiv şi a statutului;
            h) dizolvarea şi lichidarea Asociaţiei precum şi stabilirea bunurilor rămase
               după lichidare;
            i) aprobarea cuantumului taxei de înscriere, precum şi a cotizaţiei anuale
               datorată de către membrii Asociaţiei la propunerea Consiliului director;
            j) orice dispoziţii prevăzute în statut.
Art. 18. Adunarea Generală se întruneşte o dată pe an şi ori de câte ori este necesar în
          sesiune extraordinară.
Art. 19. Adunarea Generală are drept de control permanent asupra Consiliului director, a
          cenzorului, a Comitetului de selectare a proiectelor, a Compartimentului
          administrativ.
Art. 20. Adunarea Generală se convoacă de Consiliul director prin preşedintele acestuia
          sau la cererea scrisă şi motivată a cel puţin unei treimi din numărul membrilor
          Asociaţiei.
Art. 21. (1) Convocarea Adunării Generale se face în scris cu cel puţin zece zile
           calendaristice înainte de data convocării şi va trebui să cuprindă locul şi data
           convocării, precum şi ordinea de zi.
          (2) Adunarea Generală este legal constituită dacă la ea participă două treimi
          dintre membrii Asociaţiei, la prima convocare.
          (3) Convocarea a doua se face în cel mult cinci zile de la data primei convocări.
          La a doua convocare Adunarea Generală va putea hotărî cu majoritatea celor
          prezenţi.
III.3.2.3 Consiliul director
STATUTUL ASOCIAŢIEI ”ALUTUS REGIO EGYESÜLET”
CAPITOLUL 4 ORGANIZAREA ŞI FUNCŢIONAREA ASOCIAŢIEI
Art. 24. (1) Consiliul director asigură punerea în executare a hotărârilor Adunării
          Generale. El poate şi alcătuit şi din persoane din afara Asociaţiei, în limita a cel
          mult o pătrime din componenţa sa.
          (2) Consiliul director este format din 7 membri, numiţi de Adunarea Generală pe
          un mandat de 1 an. Consiliul Director va asigura cât mai bine reprezentativitatea
          în cadrul acestui organ a tuturor membrilor Asociaţiei, utilizând principiul
          reprezentării prin rotaţie.
          (3) Consiliul director este alcătuit din: un preşedinte, un vicepreşedinte, un
          secretar şi 4 membri.
          (4) Preşedintele este ales de membrii Consiliului director din cadrul lor.
          (5) Fiecare membru al Consiliului director are dreptul la un singur vot.
          (6) Mandatul membrilor Consiliului director încetează înainte de expirarea
          duratei pentru care au fost aleşi, prin demisie, revocare, pierderea calităţii de
          membru al Asociaţiei sau deces.
Art. 25. Consiliul director are următoarele atribuţii:
          a) prezintă Adunării Generale raportul de activitate pe perioada anterioară,
          executarea bugetului de venituri şi cheltuieli, bilanţul contabil, proiectul
          bugetului de venituri şi cheltuieli şi proiectul programelor Asociaţiei;
          b) încheie acte juridice în numele şi pe seama Asociaţiei;
          c) aprobă organigrama şi politica de personal ale Asociaţiei, dacă prin statut nu
          se prevede altfel;
          d) îndeplineşte orice alte atribuţii prevăzute în statut sau stabilite de Adunarea
          Generală.
          e) Consiliul director îşi poate elabora un regulament intern de funcţionare. Nu
          poate fi membru al consiliului director, iar daca era, pierde aceasta calitate orice
          persoana care ocupa o funcţie de conducere in cadrul unei instituţii publice, daca
          asociaţia respectiva are ca scop sprijinirea activităţii acelei instituţii publice.
Art. 26. (1) Consiliul director, se întruneşte lunar şi lucrează valabil în prezenţa a tuturor
          membrilor săi şi decide valabil cu unanimitate de voturi.
          (2) Discuţiile şi deciziile se consemnează într-un registru de procese-verbale de
          către unul din membrii Consiliului director şi care se păstrează la sediul
          Asociaţiei.
          (3) Procesul-verbal se va semna de toţi membrii participanţi la şedinţă, şi se va
          aduce la cunoştinţa tuturor la cererea membrilor Asociaţiei.
          (4) Dispoziţiile art.22 se aplică în mod corespunzător.
III.3.2.4 Cenzorul
STATUTUL ASOCIAŢIEI ”ALUTUS REGIO EGYESÜLET”
CAPITOLUL 4 ORGANIZAREA ŞI FUNCŢIONAREA ASOCIAŢIEI
Art. 28. (1) Controlul financiar al Asociaţiei este asigurat de un cenzor, ales de Adunarea
          Generală pentru un mandat de un an.
          (2) În cazul în care numărul membrilor Asociaţiei depăşeşte 100 de membri
          înscrişi până la data întrunirii ultimei Adunări Generale, controlul financiar
          intern se va exercita de către o comisie de cenzori format din trei membri.
          (3) Membrii consiliului director nu pot fi cenzori.
          (4) Cel puţin unul dintre cenzori trebuie sa fie contabil autorizat sau expert
          contabil, in condiţiile legii.
Art. 29. Cenzorul are următoarele atribuţii:
          a) verifică modul în care este administrat patrimoniul Asociaţiei;
          b) verifică îndeplinirea condiţiilor statutare privitoare la prezenţă şi vot în
          Adunările Generale;
          c) verifică gestiunea Asociaţiei, consemnând constatările într-un registru de
          procese-verbale;
          d) întocmeşte pe baza verificării efectuate şi prezintă Adunării Generale,
          rapoarte asupra activităţii sale şi asupra gestiunii Asociaţiei;
          e) participă la şedinţele Consiliului director fără drept de vot;
          f) îndeplineşte orice alte atribuţii stabilite de Adunarea Generală.
III.3.2.5 Comitetul de selectare a proiectelor
STATUTUL ASOCIAŢIEI ”ALUTUS REGIO EGYESÜLET”
CAPITOLUL 4 ORGANIZAREA ŞI FUNCŢIONAREA ASOCIAŢIEI
Art. 30. Comitetul de selectarea a proiectelor
         (a) Fiecare comitet va fi alcătuit din 5 – 15 de persoane (reprezentanţi ai
         autorităţilor şi organizaţiilor care fac parte din parteneriat) funcţie de mărimea
         parteneriatului şi a numărului de entităţi care fac parte din acesta. La nivelul
         luării deciziilor, partenerii economici şi sociali, precum şi alţi reprezentanţi ai
         societăţii civile, trebuie să reprezinte mai mult de 50% din parteneriatul local, iar
         organizaţiile ce provin din eventuale oraşe având ca responsabilitate şi zona
         rurală învecinată – consilii judeţene, prefecturi, consilii locale, furnizori de
         formare, servicii de consultanţă etc., nu vor depăşi 25%.
         (b) În ceea ce priveşte selecţia proiectelor în cadrul GAL, se va aplica regula
         „dublului cvorum”, respectiv pentru validarea voturilor, este necesar ca în
         momentul selecţiei să fie prezenţi cel puţin 50% din parteneri, din care peste
         50% să fie din mediul privat şi societate civilă.
         (c) Dacă unul din proiectele depuse pentru selectare, aparţine unuia din membrii
         comitetului, în această situaţia persoana (organizaţia) în cauza nu are drept de
         vot şi nu va participă la întâlnirea comitetului respectiv.
         (d) Pentru transparenţa procesului de selecţie a proiectelor în cadrul GAL şi
         totodată pentru efectuarea activităţilor de control şi monitorizare, la aceste
         selecţii va lua parte şi un reprezentant al Ministerului Agriculturii şi Dezvoltării
         Rurale de la nivel judeţean (DADR).
Aleşii comunali şi intercomunali                     Întreprinderi private:
                   (inclusiv                             agricultori, meşteşugari,
             via asociaţii publice):                 proprietari de hoteluri/restaurante:
                2 membri – 22%                                 2 membri – 22%



                                          Comitet de selecţie
                                              LEADER

 Reprezentanţi ai                                                              Asociaţii private
  Administraţiilor                       Public:           Privat:             „independente” :
locale şi judeţene:                       33%               67%                 2 membri – 22%
 3 membri – 33%


                                        Reprezentant DADR



                                          Număr de membri: 9.
                                        Pentru fiecare membru
                                   titular, vor fi prevăzuţi supleanţi

      III.3.2.6 Compartimentul administrativ


                                    Compartiment Administrativ




                                     Responsabil administrativ -
                                    Director executiv al Asociaţiei
                                                  1




                         Consultant
                                                           Consultant extern financiar –
                 extern Dezvoltare Rurală &
                                                                    contabil
               Identitate Vizuală & Informare




Angajat pentru activităţi de              Sector tehnic: 4,                     Animatori total: 2,
      secretariat 1                 Valea Oltului 2, Zona Baraolt 2       Valea Oltului 1, Zona Baraolt 1
STATUTUL ASOCIAŢIEI ”ALUTUS REGIO EGYESÜLET”
CAPITOLUL 4 ORGANIZAREA ŞI FUNCŢIONAREA ASOCIAŢIEI
Art. 31. Compartimentul administrativ va avea următoarea componenţă
         a) Responsabil administrativ – coordonează activitatea GAL atât sub aspect
         organizatoric cit si al respectării procedurilor de lucru;
         b) Responsabil financiar – contabil – se ocupa de supravegherea si controlul
         gestiunii financiare – contabile a GAL;
         c) Animatori – desfăşoară activităţi de animare pentru promovarea acţiunilor
         GAL;
         d) Sector tehnic – se va stabili un număr de angajaţi funcţie de complexitatea
         activităţilor de la nivelul GAL, având ca sarcină verificarea şi selecţia
         proiectelor ce se vor implementa;
         e) Consultanţi externi – funcţie de necesităţi pentru buna desfăşurare a
         activităţilor GAL;
         f) Angajat pentru activităţi de secretariat.
III.4. Resurse umane – animare - comunicare
              PARTEA a – VI – a: Organizarea GAL-ului
      III.4.1 Resurse umane
         III.4.1.1 Activităţi desfăşurate la nivelul GAL
STATUTUL ASOCIAŢIEI ”ALUTUS REGIO EGYESÜLET”
CAPITOLUL 2 SCOPUL, OBIECTIVELE ŞI ACTIVITĂŢILE ASOCIAȚIEI
Art. 7. Pentru atingerea şi realizarea obiectivelor, Asociaţia va realiza următoarele
         activităţi:
         a) elaborarea şi implementarea strategiilor integrate de dezvoltare locală;
         b) instruirea personalului în vederea elaborării şi implementării strategiilor
         integrate de dezvoltare locală şi informare asupra strategiilor elaborate;
         c) colectarea, analiza şi difuzarea de informaţii privind acţiunile de dezvoltare
         rurală;
         d) colectarea, difuzarea şi consolidarea bunelor practici de dezvoltare rurală;
         e) constituirea şi animarea unor reţele de experţi pentru a facilita schimburile de
         cunoştinţe şi pentru a susţine punerea în aplicare şi evaluarea politicii de
         dezvoltare rurală;
         f) organizarea de întruniri, conferinţe, dezbateri, mese rotunde şi ateliere de
         lucru;
         g) organizarea de sesiuni de comunicări pentru prezentarea lucrărilor, studiilor şi
         strategiilor elaborate;
         h) organizarea de schimburi de experienţă şi stagii de formare;
         i) participare la întrunirile reţelelor interne şi europene;
         j) editarea de publicaţii proprii;
         k) stabilirea raporturilor cu alte persoane fizice sau juridice din ţară şi
         străinătate, putând participa la înfiinţarea unor organizaţii în acest domeniu;
         l) apel pentru proiecte;
         m) sprijinirea depunătorilor de proiecte;
         n) organizarea procesului de verificare şi decizie asupra proiectelor depuse;
         o) monitorizarea proiectelor;
         p) alte forme şi mijloace stabilite de Adunarea Generală, în condiţiile legii.
III.4.1.1.1 FIŞA POSTULUI - Responsabil administrativ – Director
                executiv al Asociaţiei
Denumirea postului de munca:        Responsabil administrativ – Director executiv al
                                    Asociaţiei
Obiectivele specifice ale           •Este responsabil pentru atingerea scopurilor
activităţii de muncă:                Asociaţiei, în special pentru implementarea cu succes
                                     a activităţilor programului LEADER.
                                    •Titularul postului are rolul de a asigura conducerea,
                                     organizarea şi funcţionarea organizaţiei cu eficienţă
                                     maximă prin angajarea resurselor financiare,
                                     tehnologice şi umane necesare, în primul rând cele
                                     legate de implementarea proiectelor în cadrul GAL:
                                                o Informare
                                                o Sprijinirea elaborării proiectelor
                                                o Lansarea apelului pentru proiecte
                                                o Selectarea proiectelor
                                                o Decizie
                                                o Monitorizare
                                                o Arhivare
Responsabilităţi, sarcini,        •Coordonează eficient activitatea Compartimentului
activităţi si acţiuni specifice    Administrativ, în primul rând cele legate de
postului de munca:                 comunicare şi informare şi de implementarea
                                   proiectelor în cadrul GAL:
                                  •Comunicare şi informare destinată locuitorilor şi
                                   actorilor implicaţi în dezvoltarea teritoriului în
                                   legătură cu buna funcţionare a GAL şi implementarea
                                   tuturor acţiunilor din cadrul strategiei de dezvoltare
                                   locală:
                                    o întâlniri – conferinţe tematice,
                                    o seminarii ad-hoc,
                                    o grupuri de lucru,
                                    o afişe, publicaţii,
                                    o acces la baze de date,
                                    o elaborare şi diseminare de materiale, mas-media
                                       etc.
                                  •Implementarea proiectelor în cadrul GAL:
                                    o Luarea operativă a deciziilor asupra implementării
                                       proiectului (sau depistarea problemelor);
                                    o Efectuarea zilnică a gestionării proiectului;
                                    o Executarea operativă şi corectă a procedurilor de
                                       gestionare a resurselor;
                                    o Facilitarea coordonării între activităţile
                                       componentelor;
                                    o Monitorizarea şi raportarea la timp despre
                                       realizările şi rezultatele proiectului;
                                    o Informaţia despre conţinutul proiectului şi
                                       realizările acestuia este oferită factorilor de decizie
                                       la cel mai înalt nivel.
                                  •Semnează contracte cu furnizorii, clienţii, beneficiarii
                                   şi partenerii strategici.
                                  •Semnează referate de investiţii, statele de plată şi
                                   rapoartele financiare ale organizaţiei.
                                  •Comunică angajaţilor şi colaboratorilor valorile şi
                                   obiectivele strategice ale organizaţie
                                  •Stabileşte obiectivele colaboratorilor din subordine,
                                   termenele-limită şi modalităţile de măsurare a
                                   gradului de realizare a obiectivelor
Poziţia postului de munca in cadrul structurii organizaţiei
Postul imediat superior/Este      Consiliului Director
subordonat:

Subordonări:
Are in subordine:                  •Angajat pentru activităţi de secretariat 1
                                   •Sector tehnic, Experţi 4
                                   •Animatori 2
                                   •Consultant extern financiar – contabil
                                   •Consultant extern Dezvoltare Rurală & Identitate
                                    Vizuală & Informare
Este înlocuit de:                  Persoana desemnată de către Consiliul Director

Relaţiile de munca
Funcţionale:                       Formulează şi implementează procedurile de
                                   importanţă generală pentru organizarea şi derularea
                                   proceselor principale la nivel de organizaţie. În acest
                                   sens, are relaţii cu: angajaţii permanenţi, angajaţii
                                   contractuali şi consultanţi externi.
De reprezentare:                   Reprezintă organizaţia faţă de organele de control de
                                   specialitate, în relaţia cu furnizorii, clienţii,
                                   beneficiarii, persoanele/organizaţiile din ţară şi din
                                   străinătate cu care intră în contact în interes de
                                   serviciu.
Responsabilităţi i, sarcini, activităţi si acţiuni specifice postului de munca
Competentele postului de                  •Să cunoască la nivel de utilizator familia Ms Office
munca: ii                                  (Outlook, Word, Excel, PowerPoint, Access,
                                           Publisher, Project sau echivalent)
                                          •Să cunoască la nivel mediu (citit/scris/conversat)
                                           una dintre limbile de lucru ale UE
                                           (engleză/franceză/germană)
                                          •Să cunoască foarte bine limbile română şi maghiară
Cunoştinţe in legătură cu                 •Politica de coeziune şi Politica Agrară Comună a
domeniul muncii:                           UE
                                          •Abordarea LEADER
                                          •Principiile fondurilor europene
                                          •Managementul Ciclului de Proiect
                                          •Planul Naţional de Dezvoltare Rurală
                                          •Cadrul Naţional Strategic de Referinţă
Cunoştinţe privind modul de               •Managementul Ciclului de Proiect
execuţie a sarcinilor:                    •Principii de identitate vizuală şi de comunicare
                                       legate de dezvoltarea rurală
                                      •Modul de asigurare a unui climat organizaţional
                                       adecvat
Relaţiile interpersonale:            •Dezvoltă mijloace de motivare a personalului din
                                      subordine
                                     •Asigură un climat de comunicare şi încurajare a
                                      iniţiativei care să contribuie la atingerea
                                      obiectivelor stabilite
Responsabilitatea pentru alţii:      •Îmbunătăţirea permanentă a pregătirii sale
                                      profesionale şi de specialitate
                                     •Aprobă planificarea concediilor de odihnă pentru
                                      angajaţii din subordine
Contacte conflictuale cu alţii:      •Negociază şi conciliază situaţiile conflictuale
                                      apărute în relaţiile interpersonale
Rutina vs. provocarea activităţii de •Propune idei de proiecte, de cooperare, de
munca:                                îmbunătăţiri procedurale.
Ritmul muncii si planificarea:       •Participă la programele de elaborare şi actualizare
                                      a fişelor de post ale colaboratorilor din subordine
                                     •Evaluează periodic activitatea managerilor din
                                      subordine
Experienţă:                          Minim 5 ani
Pregătirea necesara postului de      Studii superioare echivalente cu masterat
muncă:
Salariul si condiţiile de            RON 4,620 RON lunar pe perioada 2011 - 2013
promovare:
III.4.1.1.2 FIŞA POSTULUI - Consultant extern financiar - contabil
Denumirea postului de munca:      Consultant extern financiar - contabil
Obiectivele specifice ale         •Contribuie la atingerea scopurilor Asociaţiei, în
activităţii de muncă:              special pentru implementarea cu succes a activităţilor
                                   programului LEADER.
Responsabilităţi, sarcini,        •Organizarea şi supravegherea contabilităţii,
activităţi si acţiuni specifice    gestionarea actelor contabile în acord cu
postului de munca:                 regulamentele UE şi legislaţia economică în vigoare;
                                  •Ţine evidenţa documentaţiei necesare a activităţii
                                   biroului, privind salarizarea, asigurările sociale,
                                   fluctuaţia de personal, angajări, promovări,
                                   transferuri, plecări din asociaţie;
                                  •Controlează activitatea de evidenţă a carnetelor de
                                   muncă, înregistrarea tuturor actelor la ITM, a
                                   contractelor individuale de muncă, prestări servicii,
                                   evidenţa concediilor medicale, pontajul, verifică
                                   corecta întocmire a dosarelor de pensionare, conform
                                   legislaţiei în vigoare;

Poziţia postului de munca in cadrul structurii organizaţiei
Postul imediat superior/Este      Responsabil administrativ – Director executiv al
subordonat:                       Asociaţiei

Relaţiile de munca
Funcţionale:                      Are relaţii cu: angajaţii permanenţi, angajaţii
                                  contractuali şi consultanţi externi.
III.4.1.1.3 FIŞA POSTULUI - Consultant extern Dezvoltare Rurală &
                Identitate Vizuală & Informare
Denumirea postului de muncă:        Consultant extern Dezvoltare Rurală & Identitate
                                    Vizuală & Informare
Obiectivele specifice ale           •Contribuie la atingerea scopurilor Asociaţiei, în
activităţii de muncă:                special pentru implementarea cu succes a activităţilor
                                     programului LEADER.
Responsabilităţi, sarcini,          Asigură consultanţă de specialitate pe probleme de
activităţi si acţiuni specifice     •dezvoltare rurală legate de Planul Naţional de
postului de munca:                   Dezvoltare Rurală
                                    •formare legate de măsura 431.2 activităţi de animare
                                     şi instruire
                                    •identitate vizuală în general
                                    •pregătirea materialelor de informare tipărite şi web

Poziţia postului de munca in cadrul structurii organizaţiei
Postul imediat superior/Este      Responsabil administrativ – Director executiv al
subordonat:                       Asociaţiei

Relaţiile de munca
Funcţionale:                       Are relaţii cu: angajaţii permanenţi, angajaţii
                                   contractuali şi consultanţi externi.
III.4.1.1.4 FIŞA POSTULUI - Activităţi de secretariat
Denumirea postului de munca:      Activităţi de secretariat
Obiectivele specifice ale         •Contribuie la atingerea scopurilor Asociaţiei, în
activităţii de muncă:              special pentru implementarea cu succes a activităţilor
                                   programului LEADER.
Responsabilităţi, sarcini,        •Înregistrează documente externe primite prin fax, e-
activităţi si acţiuni specifice    mail, delegaţii;
postului de munca:                •Redactează corespondenţa simplă;
                                  •Organizează şedinţe, conferinţe;
                                  •Asigură arhivarea şi păstrarea documentelor;

Poziţia postului de munca in cadrul structurii organizaţiei
Postul imediat superior/Este      Responsabil administrativ – Director executiv al
subordonat:                       Asociaţiei

Subordonări:
Este înlocuit de:                    Persoana desemnată de către Responsabil administrativ
                                     – Director executiv al Asociaţiei

Relaţiile de munca
Funcţionale:                         Asigură un flux informaţional eficient intre
                                     colaboratorii compartimentului. Are relaţii cu:
                                     angajaţii permanenţi, angajaţii contractuali şi
                                     consultanţi externi.

Responsabilităţi iii, sarcini, activităţi si acţiuni specifice postului de munca
Competentele postului de                   •Să cunoască la nivel de utilizator familia Ms Office
munca: iv                                   (Outlook, Word, Excel, PowerPoint, Access,
                                            Publisher, Project sau echivalent)
                                           •Să cunoască la nivel mediu (citit/scris/conversat)
                                            una dintre limbile de lucru ale UE
                                            (engleză/franceză/germană)
                                           •Să cunoască foarte bine limbile română şi maghiară
Cunoştinţe in legătură cu                  Noţiuni generale despre UE şi politicile de
domeniul muncii:                           dezvoltare, în special Politica Agrară Comună –
                                           Abordarea LEADER.
Cunoştinţe privind modul de                •Proceduri de arhivare.
execuţie a sarcinilor:                     •Noţiuni elementare de protocol.
Relaţiile interpersonale:            •Contribuie la instaurarea şi menţinerea unui climat
                                      de comunicare deschis, transparent.
Responsabilitatea pentru alţii:      •Îmbunătăţirea permanentă a pregătirii sale
                                      profesionale şi de specialitate
                                     •Aprobă planificarea concediilor de odihnă pentru
                                      angajaţii din subordine
Contacte conflictuale cu alţii:      •Negociază şi conciliază situaţiile conflictuale
                                      apărute în relaţiile interpersonale
Rutina vs. provocarea activităţii de •Propune idei de proiecte, de cooperare, de
munca:                                îmbunătăţiri procedurale.
Ritmul muncii si planificarea:       •Participă la programele de elaborare şi actualizare
                                      a fişelor de post ale colaboratorilor din subordine
                                     •Evaluează periodic activitatea managerilor din
                                      subordine
Experienţă:                          Minim 3 ani
Pregătirea necesara postului de      Studii superioare echivalente cu masterat
muncă:
Salariul si condiţiile de            RON 3,275 RON lunar pe perioada 2011 - 2013
promovare:
III.4.1.1.5 FIŞA POSTULUI - Animator
Denumirea postului de munca:      Animator
Obiectivele specifice ale         •Contribuie la atingerea scopurilor Asociaţiei, în
activităţii de muncă:              special pentru implementarea cu succes a activităţilor
                                   programului LEADER în primul rând cele legate de
                                   implementarea proiectelor în cadrul GAL:
                                              o Informare
                                              o Sprijinirea elaborării proiectelor
                                              o Lansarea apelului pentru proiecte
                                              o Selectarea proiectelor
                                              o Decizie
                                              o Monitorizare
                                              o Arhivare
Responsabilităţi, sarcini,        •Animatorul este intermediar între Asociaţie şi
activităţi si acţiuni specifice    grupurile ţintă specifice, fiind responsabil faţă de
postului de munca:                 aceste parţi şi distribuind informaţii care dau
                                   posibilitatea grupurilor ţintă să înţeleagă politicile
                                   promovate de Asociaţie.
                                  •Formulează mesaje, pregăteşte şi/sau prezintă
                                   materiale informative
                                  •Contribuie nemijlocit la activităţile de Comunicare şi
                                   informare destinată locuitorilor şi actorilor implicaţi
                                   în dezvoltarea teritoriului în legătură cu buna
                                   funcţionare a GAL şi implementarea tuturor
                                   acţiunilor din cadrul strategiei de dezvoltare locală:
                                    o întâlniri – conferinţe tematice,
                                    o seminarii ad-hoc,
                                    o grupuri de lucru,
                                    o afişe, publicaţii,
                                    o acces la baze de date,
                                    o elaborare şi diseminare de materiale, mas-media
                                      etc.



Poziţia postului de munca in cadrul structurii organizaţiei
Postul imediat superior/Este      Responsabil administrativ – Director executiv al
subordonat:                       Asociaţiei
Subordonări:
Este înlocuit de:                   Persoana desemnată de către Responsabil administrativ
                                    – Director executiv al Asociaţiei

Relaţiile de munca
Funcţionale:                        Are relaţii cu actorii din aria GAL. Are relaţii cu:
                                    angajaţii permanenţi, angajaţii contractuali şi
                                    consultanţi externi.

Responsabilităţi v, sarcini, activităţi si acţiuni specifice postului de munca
Competentele postului de                 •Să cunoască la nivel de utilizator familia Ms Office
munca: vi                                  (Outlook, Word, Excel, PowerPoint, Access,
                                           Publisher, Project sau echivalent)
                                         •Să cunoască la nivel mediu (citit/scris/conversat)
                                           una dintre limbile de lucru ale UE
                                           (engleză/franceză/germană)
                                         •Să cunoască foarte bine limbile română şi maghiară
Cunoştinţe in legătură cu                Noţiuni generale despre UE şi politicile de
domeniul muncii:                         dezvoltare, în special Politica Agrară Comună –
                                         Abordarea LEADER.
Cunoştinţe privind modul de              •Proceduri de arhivare.
execuţie a sarcinilor:                   •Noţiuni elementare de protocol.
Relaţiile interpersonale:            •Contribuie la instaurarea şi menţinerea unui climat
                                      de comunicare deschis, transparent.
Responsabilitatea pentru alţii:      •Îmbunătăţirea permanentă a pregătirii sale
                                      profesionale şi de specialitate
                                     •Aprobă planificarea concediilor de odihnă pentru
                                      angajaţii din subordine
Contacte conflictuale cu alţii:      •Negociază şi conciliază situaţiile conflictuale
                                      apărute în relaţiile interpersonale
Rutina vs. provocarea activităţii de •Propune idei de proiecte, de cooperare, de
munca:                                îmbunătăţiri procedurale.
Ritmul muncii si planificarea:       •Participă la programele de elaborare şi actualizare
                                      a fişelor de post ale colaboratorilor din subordine
                                     •Evaluează periodic activitatea managerilor din
                                      subordine
Experienţă:                          Zero ani
Pregătirea necesara postului de      Studii superioare echivalente cu masterat, sau
muncă:                               dovada frecventării unor cursuri de masterat
Salariul si condiţiile de            RON 3,499 RON lunar pe perioada 2011- 2013
promovare:

              III.4.1.1.6 FIŞA POSTULUI - Expert Tehnic
Denumirea postului de munca:      Expert Tehnic
Obiectivele specifice ale         •Contribuie la atingerea scopurilor Asociaţiei, în
activităţii de muncă:              special pentru implementarea cu succes a activităţilor
                                   programului LEADER în primul rând cele legate de
                                   implementarea proiectelor în cadrul GAL:
                                     o Informare
                                     o Sprijinirea elaborării proiectelor
                                     o Lansarea apelului pentru proiecte
                                     o Selectarea proiectelor
                                     o Decizie
                                     o Monitorizare
                                     o Arhivare
Responsabilităţi, sarcini,        •Contribuie nemijlocit la activităţile de Implementarea
activităţi si acţiuni specifice    proiectelor în cadrul GAL:
postului de munca:                  o Luarea operativă a deciziilor asupra implementării
                                      proiectului (sau depistarea problemelor);
                                    o Efectuarea zilnică a gestionării proiectului;
                                    o Executarea operativă şi corectă a procedurilor de
                                      gestionare a resurselor;
                                    o Facilitarea coordonării între activităţile
                                      componentelor;
                                    o Monitorizarea şi raportarea la timp despre
                                      realizările şi rezultatele proiectului;
                                    o Informaţia despre conţinutul proiectului şi
                                      realizările acestuia este oferită factorilor de decizie
                                      la cel mai înalt nivel.

Poziţia postului de munca in cadrul structurii organizaţiei
Postul imediat superior/Este      Responsabil administrativ – Director executiv al
subordonat:                       Asociaţiei

Subordonări:
Este înlocuit de:                 Persoana desemnată de către Responsabil administrativ
                                  – Director executiv al Asociaţiei

Relaţiile de munca
Funcţionale:                      Are relaţii cu actorii din aria GAL. Are relaţii cu:
                                  angajaţii permanenţi, angajaţii contractuali şi
                                  consultanţi externi.
Responsabilităţi vii, sarcini, activităţi si acţiuni specifice postului de munca
Competentele postului de                  •Să cunoască la nivel de utilizator familia Ms Office
munca: viii                                 (Outlook, Word, Excel, PowerPoint, Access,
                                            Publisher, Project sau echivalent)
                                          •Să cunoască la nivel mediu (citit/scris/conversat)
                                            una dintre limbile de lucru ale UE
                                            (engleză/franceză/germană)
                                          •Să cunoască foarte bine limbile română şi maghiară
Cunoştinţe in legătură cu                 Noţiuni generale despre UE şi politicile de
domeniul muncii:                          dezvoltare, în special Politica Agrară Comună –
                                          Abordarea LEADER
Cunoştinţe privind modul de               •Proceduri de arhivare.
execuţie a sarcinilor:                    •Noţiuni elementare de protocol.

Relaţiile interpersonale:              •Contribuie la instaurarea şi menţinerea unui climat
                                        de comunicare deschis, transparent.
Responsabilitatea pentru alţii:        •Îmbunătăţirea permanentă a pregătirii sale
                                        profesionale şi de specialitate
                                       •Aprobă planificarea concediilor de odihnă pentru
                                        angajaţii din subordine
Contacte conflictuale cu alţii:        •Negociază şi conciliază situaţiile conflictuale
                                        apărute în relaţiile interpersonale
Rutina vs. provocarea activităţii de •Propune idei de proiecte, de cooperare, de
munca:                                îmbunătăţiri procedurale.
Ritmul muncii si planificarea:       •Participă la programele de elaborare şi actualizare
                                      a fişelor de post ale colaboratorilor din subordine
                                     •Evaluează periodic activitatea managerilor din
                                      subordine
Experienţă:                          Minim 3 ani
Pregătirea necesara postului de      Studii superioare echivalente cu masterat
muncă:
Salariul si condiţiile de            RON 3,999 RON lunar pe perioada 2011 - 2013
promovare:
III.4.2 Resursele umane ale structurilor partenere
Nr.Crt.      Reşedinţă        Localitate                   Partener                      Persoana        Titlu
          AITA MARE
                          AITA MARE
      1                                      Asociaţia "JURTA"                    Fekete Levente       Preşedinte
                                             Consiliul Local al Comunei
      2                                                                           Bihari Edömér        Primar
                                             Aita Mare
                          AITA MEDIE
      3                                      sc DISCOVER srl                      Gazdag Levente       Director
          ARCUŞ
      4                                      Asociaţia "BIOKULTÚRA" Covasna       Biró Zoltán          Preşedinte
                                             Asociaţia Social Culturala
      5                                                                           Bálinth Zoltán       Preşedinte
                                             "DAHLSTRÖM KÁLMÁN"
      6                                      Consiliul Local al Comunei Arcuş     Máthe Árpád          Primar
      7                                      Parohia Reformată Arcuş              Makkai Péter-János   Preot
      8                                      Parohia Unitariană Arcuş             Székely Ioan         Preot
                                             sc Producţie Prestări şi Comerţ
      9                                                                           Váncsa Lajos         Director
                                             VANESSA srl
          BĂŢANI
                          BĂŢANII MARI
                                             Composesoratul de Padure si Pasune
    10                                                                            Bocskor László       Preşedinte
                                             Batanii Mari
    11                                       Consiliul Local al Comunei Băţani    Bardócz Csaba        Primar




                                                                                                                356
Nr.Crt.      Reşedinţă       Localitate                Partener                     Persoana       Titlu
          BELIN
    12                                    Consiliul Local al Comunei Belin   Sikó Imre           Primar
                                          Fundatia "BÖLÖNI FARKAS
    13                                                                       Bartha-Pál Csaba    Preşedinte
                                          SÁNDOR"
    14                                    sc VIKA IMPEX srl                  László Iosif        Director
          BIXAD
                                          Asociaţia de tineret din comuna
    15                                                                       Ájgel Ágnes         Preşedinte
                                          Bixad
    16                                    Consiliul Local al Comunei Bixad   Bács Marton Csaba   Primar
    17                                    Parohia Romano - Catoliă Bixad     Laczkó Vilmos       Preot
    18                                    sc KINCSES & MÜLLER srl            Müller János        Director
          BODOC
                                          sc CUPTORUL DE AUR –
    19                                                                       Zsunkuly Csaba      Director
                                          ARANYKEMENCE srl
    20                                    sc FAVORIT sa                      Kicsi József        Director
                                          sc PRODUCŢIE şi COMERCIALĂ
    21                                                                       Nagy Mihály         Director
                                          TRIO IMPEX srl
          BRĂDUŢ
                         FILIA
    22                                    Asociaţia "KORMOS"                 Balázsi Csilla      Preşedinte
    23                                    sc EUROPAN srl                     Fosztó László       Director
                         TĂLIŞOARA
    24                                    Asociaţia "MESSZELÁTÓ "            Máté Anikó          Preşedinte




                                                                                                          357
Nr.Crt.      Reşedinţă      Localitate                Partener                       Persoana            Titlu
          GHIDFALĂU
                         ANGHELUŞ
    25                                   sc TWIN IMPEX srl                     Váncsa Jenő             Director
                         GHIDFALĂU
    26                                   Asociaţia de tineret "KALÁRIS"        Bakk Csaba              Preşedinte
                                         Consiliul Local al Comunei
    27                                                                         Berde József            Primar
                                         Ghidfalău
    28                                   sc AGRO DEPO srl                      Berde Ervin             Director
          MALNAŞ
    29                                   Parohia Reformata Malnaş Sat          Márk László-Gyula       Preot
          MICFALĂU
                                         Asociaţia "FANFARA TROMBON
    30                                                                         Sorbán Miklós           Preşedinte
                                         1995"
    31                                   Asociaţia "FEJÉR ÁKOS"                Nagy Emeric-Alexandru   Preşedinte
    32                                   Consiliul Local al Comunei Micfalău   Nyáguly Vilmos          Primar
    33                                   Parohia Reformată Micfalău            Bálint Csongor-Attila   Preot
    34                                   Parohia Romano - Catolică Micfalău    Simó Gábor              Preot
    35                                   sc ARPI-TRANS srl                     Gábor Árpád             Director
    36                                   sc KICSI-FERMA-PROD srl               Kicsi Csaba             Director




                                                                                                                358
Nr.Crt.      Reşedinţă        Localitate                  Partener                       Persoana       Titlu
          ORAŞ BARAOLT
                           BARAOLT
    37                                      Asociaţia "Dr. FÁBIÁN LÁSZLÓ"          Antal István       Preşedinte
    38                                      Asociaţia Culturala "GAÁL MÓZES"       Demeter László     Preşedinte
                                            Asociaţia Intreprinzatorilor
    39                                                                             Kertész György     Preşedinte
                                            "ERDŐVIDÉK"
                                            Asociaţia Speo-Turistica si de
    40                                      Protectia Naturii „LUMEA               Dénes Ildikó       Preşedinte
                                            PIERDUTA”
                                            Comisia Comemorativa si Fundatia
    41                                                                             Dimény János       Preşedinte
                                            „BARÓTI SZABÓ DÁVID"
    42                                      sc EX-FOR srl                          Komporály Viktor   Director
                                            SOCIETATEA AGRICOLA SILV-
    43                                                                             Incze Alexandru    Director
                                            ALIM
                           CĂPENI
                                            Cabinet Medical Medicina de Familie
    44                                                                             Ágoston Ştefan     Director
                                            - Agoston Stefan
                           RACOŞUL DE SUS
                                            Asociaţia "INTERMEDIA
    45                                                                             Székely Blanka     Preşedinte
                                            ERDŐVIDÉK"
          VALEA CRIŞULUI
                           CALNIC
                                            Asociaţia Culturala de Tineret si de
    46                                      Protectia Mediului "DR. BEDO           Popescu Róbert     Preşedinte
                                            ALBERT"




                                                                                                            359
Nr.Crt.      Reşedinţă      Localitate                Partener                       Persoana     Titlu
          VÂRGHIŞ
                         VÂRGHIŞ
                                         Asociaţia Crescatorilor de Animale
    47                                                                        Farkas Sándor     Preşedinte
                                         din Comuna Vârghiş
    48                                   Consiliul Local al Comunei Vârghis   Ilkei Francisc    Primar




                                                                                                         360
III.4.3 Descrierea resurselor materiale
        (echipamente, localuri disponibile)
          III.4.3.1 Sediul central - Bodoc
Primăria din comuna Bodoc pune la dispoziţie spaţiile necesare birourilor
Compartimentului Administrativ. Membri fondatori vor asigura timp de un an birotica,
răstimp în care GAL poate să achiziţioneze echipamentele necesare derulării normale a
activităţii.
Spaţiile se află la mansarda clădirii Primăriei. Actualmente spaţiile sunt folosite drept
camere de oaspeţi.




                                                                                        361
III.4.3.2 Punct de lucru - Baraolt
Asociaţia alcătuită din IMM pune la dispoziţie, cu aceleaşi condiţii ca şi sediul central,
spaţiu pentru înfiinţarea unui punct de lucru.




                                                                                         362
III.4.4 Buget indicativ anual de funcţionare a GAL
                                                                                                 RON/lună   #luni    RON/An    EUR/An
Componenta a:                                                                          Subtotal RON 37,030 16.00% RON 630,323 €152,362
         a01    Salarii şi alte plăţi pentru personalul GAL;                                    RON 15,393         RON 370,676 €89,600
       a01.1      Responsabil administrativ – Director executiv al Asociaţiei                    RON 4,620   12.00  RON 55,436 €13,400
       a01.2      Activităţi de secretariat                                                      RON 3,275   12.00  RON 39,302  €9,500
       a01.3      Animator (2)                                                                   RON 3,499   24.00  RON 83,981 €20,300
       a01.4      Expert Tehnic (4)                                                              RON 3,999   48.00 RON 191,957 €46,400
                Cheltuieli legate de plata experţilor şi pentru alte servicii de expertiză
         a02                                                                                     RON 7,929          RON 95,151 €23,000
                legate de implementarea strategiei de dezvoltare locală;
        a02.1     Consultant extern financiar - contabil                                         RON 4,137   12.00  RON 49,644 €12,000
        a02.2     Consultant extern Dezvoltare Rurală & Identitate Vizuală & Informare         RON 3,792      12.00   RON 45,507   €11,000
         a03 Cheltuieli pentru închirierea unor locaţii;                                       RON 2,413      12.00   RON 28,959    €7,000
             Cheltuieli pentru închirierea/achiziţia de echipamente de birotică şi
         a04 electronice, precum şi a altor echipamente necesare pentru desfăşurarea           RON 2,848      12.00   RON 34,180    €8,262
             activităţilor GAL;
         a05 Cheltuieli pentru organizarea întâlnirilor;                                       RON 1,896      12.00   RON 22,754    €5,500

                Cheltuieli legate de comunicare (telefonie, internet, poştă şi servicii
         a06                                                                                   RON 2,069      12.00   RON 24,822    €6,000
                poştale), transport şi plata utilităţilor (căldură, lumină, etc.);

                Cheltuieli pentru participarea la activităţile reţelei naţionale şi europene de
         a07                                                                                      RON 4,482   12.00   RON 53,781   €13,000
                dezvoltare rurală, seminarii etc.
Componenta b:                                                                           Subtotal RON 13,132   4.00% RON 157,584    €38,091
         b01    Studii ale zonei;                                                                 RON 2,241    12.00 RON 26,891     €6,500
                Măsuri pentru furnizarea informaţiei cu privire la strategia de dezvoltare
         b02                                                                                      RON 3,651   12.00   RON 43,815   €10,591
                locală;
                Instruirea personalului implicat în implementarea strategiei de dezvoltare
         b03                                                                                      RON 2,241   12.00   RON 26,891    €6,500
                locală;
         b04    Evenimente de promovare;                                                          RON 2,758   12.00    RON 33,096   €8,000
         b05    Instruirea liderilor locali.                                                      RON 2,241   12.00    RON 26,891   €6,500
                                                                                      Total GAL RON 50,162            RON 787,907 €190,453


                                                                                                                                       363
Venituri                                                                        RON/An
           Salarii şi alte plăţi pentru personalul GAL;                       RON 370,676
           Cheltuieli legate de plata experţilor şi pentru alte servicii de
           expertiză legate de implementarea strategiei de dezvoltare          RON 95,151
           locală;
           Cheltuieli pentru închirierea unor locaţii;                        RON 28,959
           Cheltuieli pentru închirierea/achiziţia de echipamente de
           birotică şi electronice, precum şi a altor echipamente              RON 34,180
           necesare pentru desfăşurarea activităţilor GAL;
           Cheltuieli pentru organizarea întâlnirilor;                        RON 22,754
           Cheltuieli legate de comunicare (telefonie, internet, poştă şi
           servicii poştale), transport şi plata utilităţilor (căldură,        RON 24,822
           lumină, etc.);
           Cheltuieli pentru participarea la activităţile reţelei naţionale
                                                                               RON 53,781
           şi europene de dezvoltare rurală, seminarii etc.
           Studii ale zonei;                                                  RON 26,891
           Măsuri pentru furnizarea informaţiei cu privire la strategia
                                                                               RON 43,815
           de dezvoltare locală;
           Instruirea personalului implicat în implementarea strategiei
                                                                               RON 26,891
           de dezvoltare locală;
           Evenimente de promovare;                                            RON 33,096
           Instruirea liderilor locali.                                        RON 26,891
                                         Total                                RON 787,907




                                                                                      364
Cheltuieli                                                                        RON/An
             Salarii şi alte plăţi pentru personalul GAL;                       RON 370,676
             Cheltuieli legate de plata experţilor şi pentru alte servicii de
             expertiză legate de implementarea strategiei de dezvoltare          RON 95,151
             locală;
             Cheltuieli pentru închirierea unor locaţii;                        RON 28,959
             Cheltuieli pentru închirierea/achiziţia de echipamente de
             birotică şi electronice, precum şi a altor echipamente              RON 34,180
             necesare pentru desfăşurarea activităţilor GAL;
             Cheltuieli pentru organizarea întâlnirilor;                        RON 22,754
             Cheltuieli legate de comunicare (telefonie, internet, poştă şi
             servicii poştale), transport şi plata utilităţilor (căldură,        RON 24,822
             lumină, etc.);
             Cheltuieli pentru participarea la activităţile reţelei naţionale
                                                                                 RON 53,781
             şi europene de dezvoltare rurală, seminarii etc.
             Studii ale zonei;                                                  RON 26,891
             Măsuri pentru furnizarea informaţiei cu privire la strategia
                                                                                 RON 43,815
             de dezvoltare locală;
             Instruirea personalului implicat în implementarea strategiei
                                                                                 RON 26,891
             de dezvoltare locală;
             Evenimente de promovare;                                            RON 33,096
             Instruirea liderilor locali.                                        RON 26,891
                                           Total                                RON 787,907




                                                                                        365
III.4.4.1 Circuitul financiar pentru măsura 431 (sub-măsura 431.2)

                                 Finanţarea GAL, măsura 431.2

            Autoritatea de Management va transmite GAL notificări scrise
                           menţionând că au fost selectaţi



                      Semnarea contractului între GAL şi APDRP




         cheltuieli de                                      animare şi
         funcţionare                                         instruire


      Cheltuieli efectuate                       Aprobarea raportului iniţial de
                                                       către CRPDRP


Lunar cereri de plată la CRDRP                 Demararea activităţilor proiectului


      Se verifică pe teren                     Verificarea pe teren a GAL de către
  cheltuielile efectuate (după                  structurile teritoriale ale APDRP
               caz)

                                                       Aprobarea raportului
    Verificarea eligibilităţii                      intermediar / final de către
     dosarului cererii de                                   CRPDRP
     plată şi autorizarea
             plăţii
                                       Dosarul cererii de plată care se depune la CRPDRP


                                        Verificarea conformităţii şi eligibilităţii dosarului
                                               cererii de plată şi autorizarea plăţii


   APDRP efectuează plata
       către GAL




                                                                                                366
1. În urma selecţiei, Autoritatea de Management (AM) va transmite GAL notificări scrise
 menţionând că au fost selectaţi (atribuindu-se decizia de autorizare) sau au fost respinşi.
                    AM înştiinţează APDRP privind autorizarea plăţilor
                       2. Semnarea contractului între GAL şi APDRP
     Pentru cheltuieli de funcţionare                  Pentru activităţile de animare şi
                                                                     instruire
GAL efectuează cheltuielile                   3. Depunerea raportului iniţial şi
                                                    Declaraţiei de eşalonare a plăţilor
                                                    (maxim 3 tranşe de plată) la CRPDRP
                                                    de către GAL, pentru fiecare proiect în
                                                    parte
GAL depune lunar cereri de plată la           4. Aprobarea raportului iniţial de către
CRDRP, aferente cheltuielilor de                    CRPDRP.
funcţionare
CRDRP verifică pe teren cheltuielile          5. Demararea activităţilor proiectului
efectuate de către GAL (după caz)
Verificarea eligibilităţii dosarului cererii  6. Verificarea pe teren a GAL de către
de plată şi autorizarea plăţii de către             structurile teritoriale ale APDRP
CRPDRP (eliberarea certificatului de
plată)
                                              7. Depunerea raportului intermediar /
                                                    final la CRPDRP de către GAL
                                              8. Aprobarea raportului intermediar / final
                                                    de către CRPDRP
                                              9. GAL întocmeşte dosarul cererii de
                                                    plată pe care îl depune la CRPDRP –
                                                    fiecărui Raport Intermediar aprobat îi
                                                    corespunde o plată intermediară, în
                                                    conformitate cu Declaraţia de
                                                    Eşalonare a Plăţilor; în urma aprobării
                                                    Raportului Final se efectuează plata
                                                    finală de către APDRP
                                             10. Verificarea conformităţii şi eligibilităţii
                                                    dosarului cererii de plată şi autorizarea
                                                    plăţii de către CRPDRP (eliberarea
                                                    certificatului de plată)
                                             11. APDRP efectuează plata către GAL
                                                    (maxim 30 de zile de la aprobarea
                                                    cererii)




                                                                                         367
III.4.5 Dispozitivul de comunicare şi informare
Informarea şi comunicarea reprezintă elemente esenţiale atât în etapele iniţiale, de
constituire a parteneriatelor public – private cât şi ulterior, după selectarea parteneriatului
ca GAL în acţiunile de sale de funcţionare, instruire şi animarea teritoriului.
Pregătindu-şi campania de comunicare în mediul rural, Delegaţia Comisiei Europene în
România, în anul 2004 constata că populaţia din mediul rural „nu se consideră destul de
informată … şi şi-ar dori să dispună de mai multe informaţii; are încredere, cu predilecţie,
in lideri local”. 36
Campania MIE din 2006 s-a bazat pe Euro - Barometrul rural conform căruia „principale
surse locale de informaţie, în ordine descrescătoare, primarul - 65%, consilierul
local - 34%, preotul - 20% şi directorul şcolii, profesori sau învăţători - 6%.” 37
Nu avem motive să presupunem că în mediul rural s-ar fi produs modificări drastice, prin
urmare grupul ţintă cel mai important va fi cel al „liderilor locali: primari, consilieri
locali, preoţi, dascăli, medici de familie.
Prin urmare GAL va apela la serviciile unui consultant în materie de comunicare şi
informare, pentru a beneficia de informaţii utile, consistente, la zi. Livrarea acestor
informaţii în schimb, va fi operată de către animatorii GAL cu suportul grupurilor de
lucru locale.
Pe de altă parte, conform unui raport din 2008 al EuroStat 38, 53% dintre cetăţenii UE nu
au auzit de PAC.
Pentru cei care au auzit de PAC priorităţile sunt următoarele:
• 43% - să asigure preţuri de consum mai convenabile
• 42% - să asigure respectarea normelor de calitate şi de sănătate la produsele alimentare
• 40% - să asigure venituri decente pentru fermieri – în cazul României 62% din cei
 intervievaţi au optat pentru acest răspuns – ceea ce înseamnă, că aceasta este una dintre
 marile aşteptări ale populaţiei faţă de PAC.
Interesul pentru informaţii legate de PAC la nivel UE este de 56%, România (şi Slovacia)
situându-se pe primul loc cu 70%. Putem deci presupune că şi în aria GAL există interes
real pentru informaţii utile legate de PAC pilonul II.




36
   DCE STRATEGIA DE COMUNICARE, Anexa 1 pag. 33
37
   http://www.mdrl.ro/index.php?p=265
38
   Europeans, Agriculture and the Common Agricultural Policy, Fieldwork November-December 2007,
Publication March 2008


                                                                                                  368
Conform unui alt raport 39 ponderea populaţiei care trăieşte în zone rurale sau
preponderent rurale este ceai mai mare în România.

                   Population living in either predominantly or
                            intermediate rural areas
                       91.1%
         100.0%
                                        68.2%           64.2%
          80.0%
                                                                        56.3%
          60.0%
          40.0%
          20.0%
            0.0%
                      Romania           Latvia          Greece        EU average


Prin urmare pattern -urile înregistrate în rândurile populaţiei rurale au o importanţă foarte
mare.
          III.4.5.1 Metodologia
Metodologia va valorifica cunoştinţele dobândite cu ocazia cursurilor de formare legate
de Axa LEADER.
Vor exista două grupuri ţintă distincte:
• locuitorilor (informare şi comunicare)
• actorilor implicaţi în dezvoltarea teritoriului (în legătură cu buna funcţionare a GAL şi
 implementarea tuturor acţiunilor din cadrul strategiei de dezvoltare locală)




39
 European Union, Directorate-General for Agriculture and Rural Development, RURAL
DEVELOPMENT IN THE EUROPEAN UNION, STATISTICAL AND ECONOMIC INFORMATION
REPORT 2007, November


                                                                                         369
Nivelul de eficienţă al comunicării la care se doreşte să se ajungă poate fi reprezentat
astfel:
                                                                        asumare - in
                                                                       cazul actorilor



                                                                              angajament

                                                                  implicare

                                                       participare
                          cunoastere - in
                          cazul locitorilor




                                  comunicare

                      informare

 constientizare

         III.4.5.2 Instrumentele necesare pentru informare şi comunicare
Respectând planificarea întâlnirilor proiectului pe măsura 431.1, lunar, de regulă în
ultima săptămână, miercuri se va organiza „După amiaza LEADER” în fiecare localitate.
În caz că respectiva zi este una de sărbătoare oficială, acţiunea se va programa pentru
săptămâna următoare. Fiind 13 localităţi la Micfalău şi Bixad (fiind şi limitrofe) se va
organiza în aceeaşi lună în prima şi a doua săptămână.
Aceste acţiuni se vor baza pe „instrumentele” descrise în cele ce urmează.
                 Instrument                 La fiecare acţiune După caz Pregătire
    întâlniri – conferinţe tematice                  X
    seminarii ad-hoc                                                   X
    grupuri de lucru                                 X
    afişe, publicaţii                                X
    acces la baze de date                                                         X
    elaborare şi diseminare de materiale             X                            X
    mas-media                                                          X




                                                                                           370
III.4.5.2.1 întâlniri – conferinţe tematice
Obiectivul general al acestor acţiuni este: Diseminare de cunoştinţe generale despre PAC
Pilonul II, abordarea LEADER şi despre PNDR 2007 – 2013.
Sursele cele mai importante pentru aceste activităţi sunt:
• DECIZIA CONSILIULUI din 20 februarie 2006 privind orientările strategice ale
 Comunităţii pentru dezvoltare rurală (perioada de programare 2007-2013),
 (2006/144/CE)
• Abordarea LEADER: un ghid elementar
• Guvernul României, Ministerul Agriculturii şi Dezvoltării Rurale, Programul Naţional
 de Dezvoltare Rurală 2007 – 2013, versiunea consolidată 31 martie 2009, Număr CCI:
 2007RO06RPO001
•A LEADER Dissemination Guide Book based on programme experience in Finland,
 Ireland and the Czech Republic, Final Report of the Transnational LEADER
 Dissemination Project for the Finnish Rural Policy Committee 20th February 2008
•The LAG Handbook, A guide through the stunning world of local action groups, March
 2007
Materialele utilizate vor fi:
• istoricul şi abordarea LEDER – pe baza „Teaching Kit” din „LEADER Capitalisation
 Library”
             o Declaraţia de la Cork
             o I. Apariţia politicii europene de dezvoltare rurală
             o II. LEADER: o abordare pentru dezvoltarea rurală
             o III. Abordarea axată pe zonă
             o IV. Abordarea de la bază la vârf
             o V. Abordarea bazată pe parteneriat şi „grupul de acţiune locală”
             o VI. Inovarea
             o VII. Abordarea integrată
             o VIII. Constituirea de reţele şi cooperarea între zone
             o IX. Finanţare şi gestionare la nivel local
• exemple de bună practică – din publicaţiile referitoare la bunele practici
• prezentarea Axelor şi Măsurilor PNDR
Rezultate cuantificabile:
3 ani x 13 acţiuni x 20 persoane/acţiune = 780
Cel puţin 780 persoane vor asista la întâlniri – conferinţe tematice.
              III.4.5.2.2 seminarii ad-hoc
• prezentarea apelurilor în pregătire
• prezentarea proiectelor de succes de pe zona GAL şi a partenerilor interni şi externi
• prezentarea rezultatelor, concluziilor activităţii grupurilor de lucru.




                                                                                     371
III.4.5.2.3 grupuri de lucru
Grupurile de lucru existente se transformă în grupuri tematice de animare, având drept
scop încurajarea formării până la sfârşitul perioadei de programare 2011 – 2013 a unei
reţele de grupuri de lucru pe aceeaşi tematică în cele 13 localităţi.
                    Obiectiv sub măsura 431.1              Obiectiv sub măsura 431.2
                                                     Evaluare intermediară, identificarea
                                                     problemelor şi obiectivelor în vederea
Grup de lucru 1 Dosarul de candidatură               inserării concluziilor în strategia
                                                     pentru următoarea perspectivă
                                                     financiară 2014 - 2020
                                                     Suport pentru parteneriate:
                                                     • din interiorul GAL
                  Realizarea parteneriatului şi
Grup de lucru 2                                      • în reţeaua naţională
                  funcţionarea GAL
                                                     • în reţeaua comunitară
                                                     • În relaţia cu cei doi parteneri externi
                  Organizare – Logistică pentru      Monitoring & Organizare – Logistică
Grup de lucru 3
                  Seminarii - Întâlniri              pentru activităţile din teren
Astfel „lecţiile învăţate” pe parcursul implementării proiectului de formare a GAL vor fi
valorificate în continuare.
Rezultate cuantificabile:
Pe parcursul perioadei de 3 se preconizează înfiinţarea în fiecare localitate a 3 grupuri de
lucru locale, adică pe parcursul a 3 ani se vor înfiinţa
13 localităţi x 3 grupuri de lucru/localitate x 3 membri/grup de lucru = 117
Cel puţin 117 oameni implicaţi în activităţile grupurilor de lucru.




                                                                                          372
Tematică de studiat pentru grupurile de lucru
                                                                                    Tematica de studiat
                                                       •SELF-EVALUATION WORKBOOK FOR LOCAL ACTION GROUPS,
                                                        Ministry of Agriculture and Forestry Helsinki 2004
                                                       •Synthesis of mid-term evaluations of LEADER+ programmes, Final Report,
                                                        Commissioned by: European Commission, DG AGRI, Vienna, November
                                                        2006 / ANr. A 2936.10 (100026)
                                                       •LEADER+, Guidelines for the Ex ante Evaluation of Programmes
                                                       •GUIDELINES FOR THE EVALUATION OF LEADER+
                                                        PROGRAMMES, EUROPEAN COMMISSION, AGRICULTURE
                Evaluare intermediară, identificarea    DIRECTORATE-GENERAL, January 2002, DOCUMENT VI/43503/02-
                problemelor şi obiectivelor în          REV.1
Grup de lucru 1 vederea inserării concluziilor în      •PLAYBOOK FOR LOCAL ACTION GROUPS - Using self-evaluation to
                strategia pentru următoarea             improve your teamwork skills, APRIL 2004, Ministry of Agriculture and
                perspectivă financiară 2014 - 2020      Forestry, Helsinki
                                                       •Evaluating a territory’s touristic potential, following the LEADER seminar
                                                        on this topic in Sierra de Gata (Extremadura, Spain) from 10 to 13 January
                                                        1996.
                                                       •La valorisation du tourisme de randonnée dans les territoires ruraux, Guide
                                                        pédagogique sur l’élaboration et la mise en oeuvre d’un projet de randonnée
                                                        pédestre “INNOVATION EN MILIEU RURAL” CAHIER DE
                                                        L’INNOVATION N°12 OBSERVATOIRE EUROPÉEN LEADER, MARS
                                                        2001




                                                                                                                               373
Tematica de studiat
                                                        •Networking: The Leader experience, September 2006
                                                        •GUIDELINES FOR THE ADMINISTRATIVE IMPLEMENTATION OF
                                                         PROJECTS FOR COOPERATION BETWEEN RURAL AREAS,
                                                         EUROPEAN COMMISSION, DIRECTORATE-GENERAL
                                                         AGRICULTURE, Directorate F. Horizontal aspects of rural development;
                                                         SAPARD, F.3. Coordination of rural development, Brussels, 8 January
                                                         2004
                                                        •Transnational Cooperation – a Tool at the Service of Rural Development,
                Suport pentru parteneriate:
                                                         1997, LEADER European Observatory
                • din interiorul GAL
                                                        •Methodology Factsheets
                • în reţeaua naţională
Grup de lucru 2                                         •Guide Méthodologique – Élaborer son projet do coopération territoriale,
                • în reţeaua comunitară
                                                         Unité nationale d’animation du réseau LEADER français, 2007
                • În relaţia cu cei doi parteneri
                                                        •Guide Méthodologique principes et Méthodes– Élaborer son projet do
                 externi
                                                         coopération territoriale, Unité nationale d’animation du réseau LEADER
                                                         français, 2007
                                                        •La coopération transnationale dans le cadre de LEADER II, Leçons du
                                                         passé, outils pour le futur, “INNOVATION EN MILIEU RURAL”,
                                                         CAHIER DE L’INNOVATION N° 11, OBSERVATOIRE EUROPÉEN
                                                         LEADER, MARS 2001
                                                        •Cooperation in LEADER+, The Actual Benefits for the Local Areas…,
                                                         LEADER+ Observatory Contact Point, March 2007
                                                        •Dezvoltarea rurală 2007-2013, MANUAL PRIVIND CADRUL COMUN
                Monitoring & Organizare –
Grup de lucru 3                                          DE MONITORIZARE ŞI DE EVALUARE, Document de orientare,
                Logistică pentru activităţile din teren
                                                         septembrie 2006, Direcţia Generală Agricultură şi Dezvoltare Rurală




                                                                                                                              374
III.4.5.2.4 afişe, publicaţii
Afişe:
GAL va avea pentru fiecare perioadă de programare începând cu 2011 – 2013 afişe
standard de dimensiuni A3 şi A2.
A2 vor fi plasate în spaţii publice (staţii de autobuz, primării, şcoli, etc.)
A3 vor fi distribuite gratuit, împreună cu publicaţiile GAL.
Publicaţii:
1. Prima publicaţie va fi una conţinând materialele apărute cu ocazia întâlnirilor legate de
proiectul pentru măsura 431.1 – această publicaţie va fi o inventariere a ceea ce îşi doresc
locuitorii din zonă de la LEADER.
2. A doua publicaţie va fi un extras din Strategia de dezvoltare locală
 2.a. Planul financiar
 2.b. Arborele obiectivelor
 2.c. Arborele problemelor
3. Pentru fiecare seminar se va edita o publicaţie conţinând prezentarea
 3.a. activităţii grupurilor de lucru – dacă este cazul
 3.b. unor apeluri în fază de pregătire sau active – dacă este cazul
 3.c. unor evenimente importante din reţeaua naţională şi din activitatea partenerilor
  externi – dacă este cazul
 3.d. materiale pregătite pentru întâlniri – conferinţe tematice
Aceste publicaţii vor fi dispuse în fiecare localitate pe standuri standardizate ale GAL, cu
inscripţia clară că este vorba de materiale gratuite, în magazine, dispensare medicale şi
veterinare, în holurile primăriilor şi în orice alte spaţii frecventate des de cetăţeni.
              III.4.5.2.5 acces la baze de date
GAL va avea un site minimum trilingv (română – maghiară – engleză). Toate datele
conţinute în Strategia de dezvoltare locală vor fi postate în format html, organizat în
tabele pentru a putea fi consultate şi descărcate la nevoie.




                                                                                        375
III.4.5.2.6 elaborare şi diseminare de materiale
Materialele elaborate spre a fi diseminate în aria GAL se vor axa pe teme care pot
contribui la înrădăcinarea unor aptitudini şi cunoştinţe care să faciliteze orientarea spre
iniţiative de dezvoltare durabile:
• Rolul formării în dezvoltarea rurală 40
• Organizare integrată sectorială – prelucrarea produselor de lactate 41
• Marketingul produselor locale – Canale de distribuţie scurte şi lungi 42
• Inovare şi dezvoltare rurală 43
• Competitivitatea economică în strategii locale 44
• Competitivitate de mediu în strategii locale 45
• Competitivitate socială în strategii locale 46
• Competitivitate teritorială în strategii locale 47
• Competitivitate globală a zonelor rurale 48
• Organizarea parteneriatelor locale 49
• Surse de energie neconvenţională în LEADER 50
• Împotriva excluziunii sociale în zonele rurale 51
• De la strategie la acţiune – selectarea proiectelor 52
• Cercetare, transfer de cunoştinţe în dezvoltarea rurală 53


40
   LA FORMATION AU SERVICE DU DÉVELOPPEMENT TERRITORIAL, décembre 2000,
Observatoire européen LEADER
41
   The collective organisation of a sector for the local valorisation of agricultural resources: the example of
cheese processing, “RURAL INNOVATION” DOSSIER N° 1, LEADER EUROPEAN OBSERVATORY
42
   Marketing local products, Short and long distribution channels, “RURAL INNOVATION” DOSSIER
N° 7, LEADER EUROPEAN OBSERVTORY, JUL 2000
43
   Innovation and Rural Development, The Observatory Dossiers No. 2 - 1997
44
   Economic competitiveness, Creating a territorial development strategy in the light of the LEADER
experience, Part 4, “RURAL INNOVATION”, DOSSIER N° 6 – PART 4, LEADER EUROPEAN OBSER
VATORY, JULY 2000
45
   Environmental competitiveness, Creating a territorial development strategy in the light of the LEADER
experience, Part 3, “RURAL INNOVATION”, DO S S I E R N° 6 – PA R T 3, LEADER EUROPEAN
OBSERVATORY, JUNE 2000
46
   Social competitiveness, Creating a territorial development strategy in the light of the LEADER
experience, Part 2, “RURAL INNOVATION” DOSSIERN° 6 – PART 2, LEADER EUROPEAN
OBSERVATORY, JUNE 2000
47
   Territorial competitiveness, Creating a territorial development strategy in light of the LEADER
experience, Part 1, “RURAL INNOVATION” DOSSIER N° 6 – PART 1, LEADER EUROPEAN
OBSERVATORY, DECEMBER 1999
48
   Global competitiveness of rural areas, Creating a territorial development strategy in the light of the
LEADER experience, Part 5, “RURAL INNOVATION” DOSSIER N° 6 – PART 5, LEADER
EUROPEAN OBSERVATORY, FEBRUARY 2001
49
   Organising local partnerships, “INNOVATION IN RURAL AREAS”, NOTEBOOK NO. 2, LEADER
EUROPEAN OBSERVTORY 1997
50
   Renewable sources of energy, sustainable sources of energy1999 - LEADER European Observatory
51
   Fighting social exclusion in rural areas, “RURAL INNOVATION”, DOSSIER NO. 8, LEADER
EUROPEAN OBSERVATORY, JULY 2000
52
   From strategy to action: project selection, “INNOVATION IN RURAL AREAS” NOTEBOOK NO. 3,
LEADER EUROPEAN OBSERVTORY


                                                                                                          376
III.4.5.2.7 mas-media
Conform EUROBAROMETRU 68.2, OPINIA PUBLICĂ ÎN UNIUNEA EUROPEANĂ,
Toamna 2007, RAPORT NAŢIONAL: „După biserică, românii au încredere în armată
(68%), televiziune şi radio (61%) şi presa scrisă (53%).”
Animatorii GAL vor avea ca sarcină informarea permanentă a reprezentanţilor
mas-media în legătură cu activităţile, acţiunile şi evenimentele GAL.
        Denumire                 Localitate             Tip
Háromszék                      Sfântu             Cotidian         www.3szek.ro
                               Gheorghe           judeţean
Székely Hírmondó               Târgu              Cotidian         www.hirmondo.ro/web/
                               Secuiesc           judeţean
Új Magyar Szó                  Bucureşti          Cotidian         www.manna.ro
                                                  naţional
Krónika                        Cluj – Napoca Cotidian              www.kronika.ro
                                                  naţional
Radio Târgu Mureş              Târgu Mureş        Regional         www.radiomures.ro
Regio Radio                    Sfântu             Radio Judeţean www.regioradio.ro/
                               Gheorghe
TVR – Emisiunea în             Bucureşti          Naţional
lb. maghiară
Duna TV                        Budapest           Internaţional

Mas-media regională, naţională şi internaţională are corespondenţi în judeţul Covasna –
acesta este grupul ţintă. Vizibilitatea GAL depinde în mare măsură de relaţia dintre
corespondenţi şi oficialii GAL.
La inaugurarea Biroului GAL, în cadrul unui eveniment formal reprezentanţii mas-media
vor fi invitaţi la o mică dezbatere: cum să fie comunicarea între GAL şi mas-media?
Mailing list
Toţi corespondenţii care doresc să fie la zi cu viaţa GAL, vor fi introduşi în lista de
corespondenţă a GAL, astfel corespondenţii de presă vor fi înştiinţaţi automat prin e-mail
despre toate acţiunile şi activităţile GAL, inclusiv seminariale şi cursurile de formare
organizate pentru GAL.
Comunicate de presă
Acţiunile şi evenimentele GAL vor fi anunţate prin Comunicate de presă, respectând
regulile de Identitate Vizuală.
Anunţuri plătite
Evenimentele mai importante (de exemplu lansări de apel) vor fi făcute publice şi prin
anunţuri plătite, respectând regulile de Identitate Vizuală.
Publicaţii

53
 Research, transfer and acquisition of knowledge in aid of rural development, “RURAL INNOVATION”
DOSSIER NO. 10, LEADER EUROPEAN OBSERVATORY, FEBRUARY 2001


                                                                                             377
Câte un exemplar din toate publicaţiile GAL vor fi expediate pe adresa corespondenţilor,
cu rugămintea, ca aceste publicaţii să fie prezentate în presă.
Conferinţe de presă
Vor fi organizate conferinţe de presă cu ocazia evenimentelor importante şi la finele
fiecărui an, spre a prezenta public bilanţul activităţilor GAL.




                                                                                     378
III.5. Implementarea proiectelor în cadrul GAL
           PARTEA a – VII – a: Mecanismul de implementare
Informaţiile necesare monitorizării implementării se colectează din cererile de finanţare
întocmite de către beneficiari. Aceste documente conţin informaţiile necesare calculării
indicatorilor financiari, de realizare şi pentru o parte a indicatorilor de rezultat necesari
monitorizării şi evaluării măsurilor din PNDR.
      III.5.1 Dispozitivul de monitorizare, evaluare şi control implementat de
        GAL
          III.5.1.1 Monitorizare
Mnitorizarea prevede un dispozitiv riguros şi transparent de vizualizare a modului în care are loc
gestionarea financiară a implementării strategiei de dezvoltare, care să permită colectarea
sistematică şi structurarea anuală a datelor cu privire la activităţile desfăşurate.
Dispozitivul de monitorizare va fi în concordanţă cu cerinţele Regulamentului
(CE) nr. 1698/2005 al Consiliului din 20 septembrie 2005 şi anume respectând principiul „O
ABORDARE COMUNĂ A MONITORIZĂRII ŞI EVALUĂRII” activităţile aferente se vor
alinia „Cadrului comun de monitorizare şi evaluare” 54.
Monitorizarea se va conforma în cel mai scurt timp la toate cerinţele sau sugestiile DADR
considerând că o cooperare cât mai bună cu DADR contribuie la reuşita implementării
Strategiei de dezvoltare locală.
Monitorizarea este un bilanţ continuu şi sistematic al contribuţiilor bugetare, al activităţilor
finanţate conform măsurilor şi al datelor privind primele rezultate la nivelul proiectelor.
Monitorizarea generează datele cantitative. Ea exprimă o apreciere cu privire la punerea în
aplicare corectă a măsurilor, facilitând corectarea deviaţiilor de la obiectivele operaţionale.
Monitorizarea contribuie la justificarea cheltuielilor publice şi oferă informaţii preţioase pentru
evaluarea măsurilor 55
Resursele disponibile de monitorizare a programelor se vor axa pe un număr limitat de indicatori
comuni de realizare şi de rezultat care descriu în mod semnificativ evoluţia intervenţiilor în
direcţia obiectivelor de program convenite şi care pot fi cumulate la nivelul UE. 56
Monitorizarea va permite colectarea sistematică şi structurarea anuală a datelor cu privire la
activităţile desfăşurate.




54
   MANUAL PRIVIND CADRUL COMUN DE MONITORIZARE ŞI DE EVALUARE, Document de orientare,
septembrie 2006, Direcţia Generală Agricultură şi Dezvoltare Rurală - CCME
55
   CCME, Nota directoare B - Orientări privind evaluarea
56
   CCME

                                                                                                379
Ce controlăm?           Ce influenţăm direct?     Ce influenţăm indirect?



            Inputuri        Realizări            Rezultate          Impacturi        Impacturi
                                                                  intermediare        globale



                Administrare - Audit


                   Punere în aplicare - monitorizare


                                            Evaluare în itinere


Indicatorii sunt folosiţii drept instrumente de evaluare a gradului în care au fost realizate
obiectivele preconizate prin măsuri sau programe globale. Evaluarea impactului, care reprezintă
măsura în care un program şi-a îndeplinit obiectivele strategice, se efectuează pe baza realizărilor
şi a rezultatelor măsurilor individuale, prin intermediul ierarhiei obiectivelor.
Indicatorii trebuie să fie specifici, măsurabili, acceptabili/abordabili din punct de vedere al
costurilor, relevanţi pentru program şi disponibili în timp util (SMART). Indicatorii nu pot
cuprinde întotdeauna date statistice cantitative; în unele cazuri, indicatorii pot include de
asemenea evaluări calitative sau supoziţii logice.
              III.5.1.1.1 Logica de intervenţie şi indicatorii
Logica de intervenţie stabileşte lanţul de cauzalitate începând cu inputul bugetar, continuând cu
realizările şi rezultate măsurilor şi terminând cu impactul acestora. Astfel, logica de intervenţie
orientează evaluarea consecutivă a contribuţiei unei măsuri în direcţia realizării obiectivelor sale.
Atât Strategia de dezvoltare locală cât şi proiectele au o ierarhie a obiectivelor conform CCME -
Anexa 2 la Nota directoare D – Ierarhia obiectivelor.
Logica de intervenţie pentru fiecare măsură şi indicatorii comuni corespunzători sunt prezentaţi
în fişele de măsuri CCME - Anexa 2 la Nota directoare E – Fişele de măsuri.
În strategie s-au folosit cu precădere indicatori „comuni”. Astfel şi proiectele vor utiliza de
preferinţă indicatori comuni şi mai puţin indicatori suplimentai 57. Prin urmare monitorizarea se
va baza în primul rând pe indicatorii comuni folosiţi.
La nivelul GAL monitorizarea se va face pe indicatorii Planului financiar. La nivelul proiectelor
monitorizarea se va face pe indicatorii proiectului. Dacă indicatorii dintr-un anumit proiect nu
sunt direct compatibili cu indicatorii comuni sau suplimentari standard, se va proceda la şi la o
„transformare” a indicatorilor proiectului în indicatori standard comuni sau în cel mai rău caz
suplimentari.
Dispozitivul de implementare şi control va ţine cont de metodologia Managementului Ciclului de
Proiect.
Monitorizarea oferă informaţii privind evoluţia punerii în aplicare a programului în raport cu
indicatorii de inputuri financiare, de realizări şi de rezultate.




57
     CCME - Notele directoare A şi K

                                                                                                 380
Ierarhia indicatorilor                      Ierarhia obiectivelor
                                         Necesităţi



                       Impact                                 Obiective globale




                      Rezultat                               Obiective specifice




                     Realizare                             Obiective operaţionale




                     Input

            III.5.1.1.2 M1.1-E3.8 FISA DE VERIFICARE PE TEREN
Data:                                             Localizare:
Persoana întâlnită (nume şi funcţie):
Semnătura
                         Secţiunea A1: Condiţii administrativ-procedurale
                                                         Rezultatul verificării
                                                         documentare         la locul investiţiei
  Nr.
            Obiectul analizei / verificării     Expert              Nu                    Nu
  Crt.
                                                         Da Nu este          Da     Nu este
                                                                    cazul                 cazul
        Beneficiarul s-a prezentat la data,    Expert1
     1 locul si ora programata pentru
        începerea verificării?                 Expert2
        Persoanele întâlnite în cursul
                                               Expert1
        verificării şi implicate în proiect
     2
        corespund cu cele precizate în
                                               Expert2
        cererea de finanţare?
        Beneficiarul a participat nemijlocit
                                               Expert1
        prin reprezentantul legal/tehnic la
     3
        toate etapele de verificare pe teren
                                               Expert2
        a Cererii de Finanţare?
        Pentru efectuarea verificărilor,
                                               Expert1
        beneficiarul a asigurat accesul
     4
        neîngrădit la obiectivul de
                                               Expert2
        investiţie?




                                                                                               381
Rezultatul verificării
                                                         documentare         la locul investiţiei
Nr.
          Obiectul analizei / verificării      Expert               Nu                    Nu
Crt.
                                                         Da Nu este          Da     Nu este
                                                                    cazul                 cazul
       Localizarea/ amplasarea proiectului
       este conforma cu cea specificata de     Expert1
   5   beneficiar in Cererea de Finanţare
       si in documentele anexate Cererii       Expert2
       de Finanţare?1
       Condiţiile existente pe teren permit
                                               Expert1
       realizarea investiţiilor prevăzute in
   6
       Studiul de fezabilitate: utilaje,
                                               Expert2
       dotări (după caz)?1
       Infrastructura existentă folosită
                                               Expert1
       pentru realizarea proiectului
   7
       corespunde cu descrierea dată în
                                               Expert2
       cererea de finanţare?1
       Descrierile tehnice despre obiectul
       de investiţii pentru modernizări,       Expert1
   8   extinderi si retehnologizări oferite
       în cadrul studiului de fezabilitate     Expert2
       corespund realităţii ?1
       Au fost realizate fotografii
                                               Expert1
       relevante pentru proiect pentru
   9
       prezentarea situaţiei existente, la
                                               Expert2
       data vizitei pe teren?
       Categoriile de investiţii eligibile     Expert1
 10    sunt în conformitate cu cele
       specificate în măsură?                  Expert2
       Categoriile de investiţii neeligibile   Expert1
 11    sunt în conformitate cu cele
       specificate în măsură?1                 Expert2
       Planul financiar este corect            Expert1
 12    completat şi respectă gradul de
       intervenţie publică ?                   Expert2
       Pentru IMM-uri se respectă gradul       Expert1
 13    de intervenţie publică din Planul
                                               Expert2
       financiar?
                                               Expert1
 14
                                               Expert2
                                               Expert1
 15
                                               Expert2
                                               Expert1
 16
                                               Expert2
                                               Expert1
 17
                                               Expert2
                                               Expert1
 18
                                               Expert2



                                                                                               382
51 - Pentru investiţiile noi se verifica existenta terenului pe care va fi amplasata investiţia,
conform documentelor anexate Cererii de Finanţare si localizarea acestora (ex: borne
kilometrice, vecinătăţi etc.), care vor fi specificate la rubrica Observaţii GAL;
- Pentru modernizări se verifica daca amplasarea construcţiei existente, care urmează sa fie
modernizata, corespunde cu cea din Cererea de Finanţare si din documentele anexate Cererii de
Finanţare.
61 - Daca investiţia se refera la înlocuirea unor maşini, utilaje etc., se verifica existenta acestora
si daca starea acestora corespunde cu cele descrise in studiul de fezabilitate.
- daca proiectul se refera la achiziţionarea unor noi dotări se verifica daca acestea au legătură cu
proiectul propus spre finanţare si sunt necesare proiectului, ca rezultat al identificării lor in baza
studiului de fezabilitate.
71 – atât pentru modernizare cat si pentru investiţie nouă, se verifică pe teren dacă proiectul are
acces la infrastructura de bază (drumuri principale, electricitate, apă, canalizare etc.) si starea
acesteia, conform celor specificate in studiul de fezabilitate. Aceste date se înscriu la rubrica
Observaţii GAL.
81 - dacă investiţia se referă la modernizarea/ extinderea unei clădiri se verifică existenţa clădirii
şi dacă starea fizică a clădirii corespunde cu cea descrisă în studiul de fezabilitate.
- dacă investiţia se referă la modernizarea unui flux tehnologic, se verifică dacă acesta
corespunde cu cel din studiul de fezabilitate;
Dacă investiţia se referă la o modernizare:
- dacă unitatea este in funcţiune, se verifică daca are autorizaţie de funcţionare şi dacă aceasta
este in termen de valabilitate;
- se solicită informaţii de la beneficiar privind numărul de salariaţi existenţi, cantitatea maximă
prelucrată în anul anterior / semestrul anterior depunerii Cererii de finanţare şi dacă aceste
informaţii corespund datelor din studiul de fezabilitate/ planul de afaceri.
111 – se verifică dacă categoriile de investiţii preconizate sa fie realizate prin proiect si care sunt
cuprinse in Bugetul indicativ sunt cuprinse in Lista cheltuielilor eligibile specifice măsurii/ Fişa
tehnică a măsurii. In cazul in care o parte din cheltuielile eligibile din Bugetul indicativ sunt
neeligibile se specifică.
121 – se verifică in Bugetul indicativ dacă există cheltuieli neeligibile (din Lista cheltuielilor
neeligibile specificate in Fişa tehnică a măsurii respective) care au fost încadrate la cheltuieli
eligibile. Daca există astfel de situaţii, se specifică acest lucru.
Aceste observaţii se înscriu la rubrica Observaţii GAL.

  Secţiunea A2:Verificarea copiilor documentelor anexate la cererea de finanţare cu originalele
                                       aflate la solicitant:
                                                                     Rezultatul verificării la
Nr.      Documentul verificat (copia cu originalul                   locul investiţiei
                                                             Expert
crt.     existent la solicitant)                                     Da Nu Nu este cazul
                                                             Expert1
      1 Document 4
                                                             Expert2
      2 Document 5                                           Expert1
                                                             Expert2
       .                                                     Expert1
       .                                                     Expert2
       .
     16 Document 27                                          Expert1
                                                             Expert2


                                                                                                    383
Pentru documentele care nu au putut fi verificate, se va specifica la rubrica Observaţii GAL
cauza neverificării (de exemplu: documentul este depus la organismul …. pentru avizare etc.).
Concluzii
       Cele observate în cursul verificării pe teren corespund cu Cererea de finanţare?
                                         DA        NU

Observaţii GAL:
vor fi menţionate la rubrica „Observaţiile GAL” toate aspectele neclare întâmpinate la studierea
documentaţiei in birou si efectuarea verificării pe teren si orice alte constatări ale experţilor care
pot afecta implementarea proiectului.
                                           Responsabil
                                           Compartiment              Data:
                   Aprobat de              Administrativ             zz/ll/aaa
                   Nume şi prenume
                   Semnătura                                            / /      /
                   Întocmit de             Expert1 GAL
                   Nume şi prenume
                   Semnătura                                            / /      /
                   Întocmit de             Expert2 GAL
                   Nume şi prenume
                   Semnătura                                            / /      /

          III.5.1.2 Evaluare
Pentru evaluare se propune un dispozitiv clar de organizare a înregistrării şi raportării către AM a
unor sugestii şi remarci privind rezultatelor implementării proiectelor în cadrul strategiei de
dezvoltare locală. De asemenea, evaluarea va fi o activitate bine structurată pe o bază bine
stabilită şi presupune elaborarea unui set de indicatori (consideraţi relevanţi în reflectarea
eficienţei obţinute în urma implementării proiectului) şi a unei metodologii de evaluare (inclusiv
rapoarte de evaluare – intermediare şi finale) a rezultatelor implementării. Monitorizarea şi
evaluarea vor asigura implementarea efectivă şi la timp a proiectelor, managementul finanţelor
publice, inclusiv administrarea adecvată a resurselor proiectului şi monitorizarea efectivă şi
evaluarea activităţilor şi rezultatelor acestuia. În vederea aprobării rapoartelor de evaluare, în
scopul efectuării plăţilor se va efectua auditul de către auditorul stabilit.
              III.5.1.2.1 Evaluarea Ex - Ante
Evaluarea Ex - Ante 58 s-a realizat de-a lungul celor întâlnirilor din localităţile GAL, cu ocazia
întâlnirilor grupurilor de lucru şi a consultărilor cu DADR, finalizându-se o dată cu evaluarea
dosarului de candidatură a GAL.




58
     CCME - Nota directoare C – Orientări privind evaluarea ex ante, inclusiv SEA

                                                                                                   384
Evaluarea Ex – Ante a urmărit 59:
•Evaluarea analizei SWOT a programului
             o definirea şi evaluarea nevoilor pe termen mediu şi lung.
•Evaluarea obiectivelor programului
             o „definirea şi evaluarea obiectivelor de îndeplinit;
             o definirea şi evaluarea rezultatelor aşteptate;
             o definirea şi evaluarea învăţămintelor trase din evaluarea anterioară;
             o definirea şi evaluarea valorii adăugate comunitare;
             o definirea şi evaluarea gradului în care au fost luate în calcul priorităţile
                  Comunităţii.”
•Evaluarea impacturilor scontate
             o definirea şi evaluarea obiectivelor cuantificate în special din punct de vedere al
                  impactului în raport cu situaţia iniţială.”
•Evaluarea procedurilor de punere în aplicare propuse, inclusiv a monitorizării, a evaluării şi a
 gestionării financiare
             o definirea şi evaluarea calităţii procedurilor de punere în aplicare, de monitorizare,
                  de evaluare şi de gestionare financiară
              III.5.1.2.2 Evaluarea intermediară
Concluziile şi recomandările trebuie să se bazeze strict pe dovezile evaluării cantitative şi
calitative. Imperfecţiunile privind valabilitatea constatărilor şi a aprecierii care rezultă din
acestea ar trebui să fie reflectate în mod critic.
Răspunsul la fiecare întrebare de evaluare trebuie să reflecte indicatorii comuni şi pe cei
specifici programului. În cazul în care o anumită măsură sau o componentă a programului nu au
produs rezultatele şi impacturile preconizate, este necesară o analiză a motivelor care au produs
acest efect neaşteptat.
              III.5.1.2.3 Întrebări de evaluare
Codul măsurii         111 - Formare profesională, informare şi difuzare de cunoştinţe
Întrebări de          În ce măsură acţiunile de formare, de informare şi de difuzare a cunoştinţelor
evaluare              şi a practicilor inovatoare au ameliorat productivitatea muncii şi/sau alte
                      elemente privind competitivitatea în sectoarele agricol, alimentar şi forestier?
                      În ce măsură au contribuit activităţile de formare la ameliorarea gestionării
                      durabile a terenurilor, inclusiv a gestionării durabile a resurselor naturale?
                      În ce măsură cursurile de formare asistată corespund nevoilor şi sunt coerente
                      cu alte măsuri ale programului?

Codul măsurii            112 - Instalarea tinerilor fermieri
Întrebări de             În ce măsură a facilitat ajutorul instalarea stabilă tinerilor agricultori de
evaluare                 ambele sexe?
                         În ce măsură a facilitat ajutorul schimbarea structurală a exploataţiilor după
                         instalarea iniţială a tinerilor agricultori?
                         În ce măsură a contribuit ajutorul la ameliorarea potenţialului uman în
                         sectorul agricol?
                         În ce măsură a contribuit ajutorul la ameliorarea competitivităţii în sectorul
                         agricol?



59
     Articolul 85 din Regulamentul 1698/2005 al Consiliului

                                                                                                     385
Codul măsurii      121 - Modernizarea exploataţiilor agricole
Întrebări de       În ce măsură au contribuit investiţiile care au beneficiat de ajutor la o mai
evaluare           bună utilizare a factorilor de producţie în exploataţiile agricole? În special, în
                   ce măsură au facilitat investiţiile care beneficiază de sprijin introducerea
                   noilor tehnologii şi a inovaţiei?
                   În ce măsură au sporit investiţiile care au beneficiat de ajutor accesul pe piaţă
                   şi cota de piaţă a exploataţiilor agricole?
                   În ce măsură au contribuit investiţiile care au beneficiat de ajutor la o
                   activitate durabilă şi susţinută a exploataţiilor agricole?
                   În ce măsură au contribuit investiţiile care au beneficiat de ajutor la
                   ameliorarea competitivităţii în sectorul agricol?

Codul măsurii      122 - Îmbunătăţirea valorii economice a pădurii
Întrebări de       În ce măsură au contribuit investiţiile care beneficiază de sprijin la creşterea
evaluare           diversităţii producţiei exploataţiilor forestiere?
                   În ce măsură au contribuit investiţiile care beneficiază de sprijin la sporirea
                   accesului pe piaţă şi a cotei de piaţă a exploataţiilor forestiere în sectoare
                   precum sectorul energiei regenerabile?
                   În ce măsură au contribuit investiţiile care beneficiază de sprijin la
                   menţinerea sau ameliorarea gestionării durabile a pădurilor?

Codul           123 - Creşterea valorii adăugate a produselor agricole şi forestiere
măsurii
Întrebări de    În ce măsură au contribuit investiţiile care au beneficiat de ajutor la introducerea
evaluare        noilor tehnologii şi a inovaţiei?
                În ce măsură au contribuit investiţiile care au beneficiat de ajutor la ameliorarea
                calităţii produselor agricole şi forestiere?
                În ce măsură au contribuit investiţiile care au beneficiat de ajutor la ameliorarea
                eficienţei privind prelucrarea şi comercializarea produselor agricole şi
                forestiere?
                În ce măsură au contribuit investiţiile care au beneficiat de ajutor la sporirea
                accesului pe piaţă şi a cotei de piaţă a exploataţiilor agricole şi forestiere,
                inclusiv în sectoare precum sectorul energiei regenerabile?
                În ce măsură au contribuit investiţiile care au beneficiat de ajutor la ameliorarea
                competitivităţii în sectoarele agricol şi forestier?

Codul           125 - Îmbunătăţirea şi dezvoltarea infrastructurii legate de dezvoltarea şi
măsurii         adaptarea agriculturii şi silviculturii
Întrebări de    În ce măsură a contribuit sistemul la restructurarea şi dezvoltarea
evaluare        potenţialului fizic prin ameliorarea infrastructurilor?
                În ce măsură a promovat sistemul competitivitatea exploataţiilor agricole
                şi forestiere prin ameliorarea infrastructurilor?




                                                                                                 386
Codul          141 - Sprijinirea fermelor agricole de semi-subzistenţă
măsurii
Întrebări de   În ce măsură a promovat ajutorul o adaptare structurală durabilă a exploataţiilor
evaluare       de semi-subzistenţă?
               În ce măsură a facilitat ajutorul intrarea pe piaţă a exploataţiilor de semi-
               subzistenţă?
               În ce măsură a contribuit ajutorul la ameliorarea competitivității în sectorul
               agricol?

Codul          142 - Înfiinţarea grupurilor de producători
măsurii
Întrebări de   În ce măsură a facilitat ajutorul adaptarea producţiilor la cerinţele pieţei?
evaluare
               În ce măsură a contribuit ajutorul la ameliorarea competitivităţii în sectorul
               agricol?

Codul          211 - Sprijin pentru zona montană defavorizată
măsurii
Întrebări de   În ce măsură au contribuit indemnizaţiile compensatorii la garantarea
evaluare       exploatării continue a terenului agricol în zonele montane?
               În ce măsură au contribuit indemnizaţiile compensatorii la menţinerea unei
               comunităţi rurale viabile în zonele montane?
               În ce măsură a contribuit sistemul la menţinerea şi promovarea sistemelor
               agricole durabile?
               În ce măsură a contribuit sistemul la păstrarea peisajului rural și la ameliorarea
               mediului?

Codul          214 - Plăţi de agro-mediu
măsurii
Întrebări de   În ce măsură au contribuit măsurile de agromediu la menţinerea sau
evaluare       promovarea sistemelor agricole durabile?
               În ce măsură au contribuit măsurile de agromediu la păstrarea habitatelor şi a
               biodiversităţii?
               În ce măsură au contribuit măsurile de agromediu la păstrarea şi ameliorarea
               calităţii apei?
               În ce măsură au contribuit măsurile de agromediu la păstrarea şi ameliorarea
               calităţii solului?
               În ce măsură au contribuit măsurile de agromediu la diminuarea schimbărilor
               climatice?
               În ce măsură au contribuit acţiunile de agromediu la păstrarea şi ameliorarea
               peisajelor şi a caracteristicilor acestora?
               În ce măsură au contribuit măsurile de agromediu la ameliorarea mediului? Se
               face deosebirea între contribuţia măsurilor de agromediu puse în aplicare ca
               măsuri stricte, cu caracter zonal şi a acţiunilor mai puţin stricte care se aplică la
               scară largă.




                                                                                                387
Codul          221 - Prima împădurire a terenurilor agricole
măsurii
Întrebări de   În ce măsură a contribuit măsura la crearea efectivă de zone forestiere,
evaluare       respectând normele privind protecţia mediului?
               În ce măsură a contribuit măsura la crearea de zone forestiere gestionate în mod
               durabil care să contribuie la păstrarea funcţiilor ecologice ale pădurilor şi la
               prevenirea catastrofelor naturale şi a incendiilor?
               În ce măsură a contribuit măsura la păstrarea peisajului rural şi la ameliorarea
               mediului?

Codul          312 – Sprijin pentru crearea şi dezvoltarea de micro-întreprinderi
măsurii
Întrebări de   În ce măsură a contribuit ajutorul la promovarea diversităţii şi a spiritului
evaluare       antreprenorial? Analiza se concentrează asupra celor mai importante activităţi.
               În ce măsură a promovat ajutorul oportunităţi suplimentare de încadrare în
               muncă în zonele rurale?
               În ce măsură a contribuit ajutorul la ameliorarea diversităţii ţi dezvoltării
               economiei rurale?
               În ce măsură a contribuit ajutorul la ameliorarea calităţii vieţii în zonele rurale?

Codul          313 - Încurajarea activităţilor turistice
măsurii
Întrebări de   În ce măsură a contribuit măsura la dezvoltarea activităţilor turistice? Se face
evaluare       deosebirea între activităţi care se desfăşoară pe exploataţii agricole şi alte
               activităţi.
               În ce măsură a promovat măsura oportunităţi suplimentare de încadrare în
               muncă în zonele rurale?
               În ce măsură a contribuit măsura la ameliorarea diversităţii şi dezvoltării
               economiei rurale?
               În ce măsură a contribuit măsura la ameliorarea calităţii vieţii în zonele rurale?

Codul          322 – Renovarea, dezvoltarea satelor, îmbunătăţirea serviciilor de bază pentru
măsurii        economia şi populaţia rurală şi punerea în valoare a moştenirii rurale
Întrebări de   În ce măsură a contribuit măsura la ameliorarea calităţii vieţii în zonele rurale?
evaluare       Se face deosebirea între diferitele sectoare vizate (precum comerţul, serviciile
               de sănătate, transportul, tehnologia informaţiei, mediul …).
               În ce măsură a sporit măsura atractivitatea zonelor rurale? Se face deosebirea
               între diferitele sectoare în cauză (precum comerţul, serviciile de sănătate,
               transportul, tehnologia informaţiei, mediul …).
               În ce măsură a contribuit măsura la stoparea declinului economic şi social şi a
               depopulării spaţiului rural?




                                                                                               388
Codul             41 Punerea în aplicare a strategiilor de dezvoltare locală
măsurii
Întrebări de      În ce măsură a contribuit abordarea LEADER la ameliorarea guvernării în
evaluare          zonele rurale?
                  În ce măsură a contribuit abordarea LEADER la mobilizarea potenţialului de
                  dezvoltare endogenă a zonelor rurale?
                  În ce măsură a contribuit abordarea LEADER la introducerea abordărilor multi
                  - sectoriale şi la promovarea cooperării pentru punerea în aplicare a
                  programelor de dezvoltare rurală?
                  În ce măsură a contribuit abordarea LEADER la priorităţile axelor 1, 2 şi 3?

Codul             431 Funcţionarea grupului local de acţiune, dobândirea de competenţe şi
măsurii           acţiunile de animare pe teritoriu
Întrebări de      În ce măsură a sporit ajutorul competenţele grupului de acţiune locală şi ale
evaluare          altor parteneri implicaţi în punerea în aplicare a strategiilor de dezvoltare
                  locale?
                  În ce măsură a contribuit ajutorul la sporirea capacităţii de punere în aplicare a
                  programului LEADER?
              III.5.1.2.4 Evaluarea Ex - Post
Evaluarea Ex – Post ex post analizează gradul de utilizare a resurselor, eficacitatea şi eficienţa
programării FEADR, consecinţele sale socioeconomice, precum şi impactul său asupra
priorităţilor Comunităţii.
              III.5.1.2.5 Activităţile dispozitivului de monitorizare, evaluare şi control
                implementat de GAL
•Luarea operativă a deciziilor asupra implementării proiectului (sau depistarea problemelor);
•Efectuarea zilnică a gestionării proiectului;
•Executarea operativă şi corectă a procedurilor de gestionare a resurselor;
•Facilitarea coordonării între activităţile componentelor;
•Monitorizarea şi raportarea la timp despre realizările şi rezultatele proiectului;
•Informaţia despre conţinutul proiectului şi realizările acestuia este oferită factorilor de decizie la
 cel mai înalt nivel.




                                                                                                   389
III.5.1.2.6 Controlul
Controlul presupune stabilirea unui sistem de verificare a respectării planificării legate de
implementarea strategiei de dezvoltare. Se vor efectua rapoarte de verificare pe teren.
Controlul funcţiilor delegate precum şi controlul managementului implementării strategiei de
dezvoltare vizează următoarele puncte principale:
Asigurarea respectării regulilor de procedură;
•Utilizarea documentelor tip;
•Documentarea indicatorilor de analiză şi evaluare;
•Respectarea convenţiilor ş anexelor tehnice şi financiare;
•Calitatea gestionării dosarelor până la momentul arhivării acestora, care vizează ritmul în care
 un dosar este depus, instrumentat, programat, avizat, plătit şi arhivat;
•Calitatea monitorizării în diferitele stadii de avansare a dosarului care vizează respectarea
 funcţiilor de gestiune, evaluare, urmărire, alertă, control şi restituire ale acestuia.
Desfăşurarea activităţilor de control al calităţii managementului se va realiza în baza unui plan
de control. Programarea vizitelor (controalelor) va trebui să aibă în vedere anumite principii,
cum ar fi: eficienţa unor astfel de demersuri, păstrarea bunelor relaţii contractuale, verificarea
doar a aspectelor de ordin tehnic legate de proiect etc.
Controlul va avea în vedere următoarele aspecte:
•Analiza dosarelor în funcţie de criteriile aplicabile (de eligibilitate şi de selecţie);
•Analiza criteriilor de eligibilitate (geografice, temporale, referitoare la coordonatorul lucrărilor
 şi, respectiv la tipul de cheltuieli);
•Instrumentarea tehnico-economică a dosarului;
•Consultarea serviciilor;
•Planul de financiare/cost total eligibil;
•Respectarea obligaţiilor regulamentare.
Rezultatele acestor controale vor fi analizate de Comitetul Director al GAL care trebuie să
stabilească măsurile corective ce vor fi luate în vederea îmbunătăţirii dispozitivului său, luând în
considerare rezultatele misiunilor de control.
Astfel, prin exercitarea activităţilor de control, GAL urmăreşte realizarea următoarelor obiective
specifice:
a) Punerea la dispoziţia factorilor implicaţi a tuturor informaţiilor referitoare la gestionarea şi
 implementarea măsurilor;
b) Informarea periodică a DADR cu privire la evoluţia măsurilor;
c) Intervenţia în timp real asupra întregului lanţ de management şi de control al sprijinului.




                                                                                                 390
III.5.1.2.7 Sarcinile dispozitivului de monitorizare, evaluare şi control
               implementat de GAL
                  Sarcină                             GAL DADR Agenţia de Plăţi
             01 Informare                              X
             02 Sprijinirea elaborării proiectelor     X
             03 Lansarea apelului pentru proiecte      X
             04 Selectarea proiectelor                 X
             05 Controlul administrativ al dosarelor           X           X
             06 Decizie                                X
             07 Notificarea către beneficiar                   X           X
             08 Monitorizare                           X                   X
             09 Plată                                                      X
             10 Control                                        X           X
             11 Arhivare                               X

Compartimentul Administrativ va participa la îndeplinirea tuturor sarcinilor.

Informare
În conformitate cu subcapitolele anterioare ale strategiei:
•întâlniri – conferinţe tematice, pag. 371
•seminarii ad-hoc, pag. 371
Sprijinirea elaborării proiectelor
În conformitate cu subcapitolule anterior al strategiei:
•grupuri de lucru, Grupurile de lucru 1 şi 2, pag. 372
Lansarea apelului pentru proiecte
În conformitate cu subcapitolule anterior al strategiei:
•grupuri de lucru, Grupurile de lucru 1, 2 şi 3, pag. 372
Selectarea proiectelor
În conformitate cu subcapitolule anterior al strategiei:
•Descrierea partenerilor, pag. 328
Dacă AM nu va avea alte opţiuni se vor aplica următorii paşi:
   Activitate                                           Formular
Dosar
                    E3.5 DOSAR ADMINISTRATIV
administrativ
Conformitate        E2.1 FIŞA DE VERIFICARE A CONFORMITĂŢII
Eligibilitate       E3.1 FIŞA DE VERIFICARE A CRITERIILOR DE ELIGIBILITATE
Informaţii
                    E3.4 FISA DE SOLICITARE A INFORMATIILOR SUPLIMENTARE
suplimentare
Evaluare            E3.9 FIŞA DE EVALUARE A CRITERIILOR DE SELECŢIE




                                                                                         391
Decizie
Deciziile asupra propunerii spre finanţare a aplicaţiilor se iau de către Consiliul Director la
propunerea Comisiei de evaluare. DADR va fi înştiinţat asupra deciziilor luate şi documentele se
vor transmite cu formularul E3.2 BORDEROU DE TRANSMITERE A DOCUMENTELOR DE
LA GAL LA DRDP.
În acest sens Adunarea generală a GAL va adopta o hotărâre.
Monitorizare
În conformitate cu subcapitolule anterior al strategiei:
•Monitorizare, pag. 379
Arhivare
Arhivarea fizică a documentelor se va face conform cu Legea 16/1996.
Cererile de finanţare se înregistrează digital şi concomitent pe suport de hârtie conform
formularului E 2.2 şi se transmite la arhivare cu formularul 7.2.

E2.2 REGISTRUL DE INREGISTRARE A CERERILOR DE FINANTARE
Nr.    Număr de          Data      Titlul proiectului Denumire solicitant
Crt. înregistrare al înregistrării
        cererii de     la GAL
        finanţare
 0          1             2                3                 4




                                                                                            392
III.6. Implicarea GAL în acţiunile de cooperare şi în RNDR
PARTEA a -VIII – a: Cooperare şi crearea şi implementarea
                         reţelei
      III.6.1 Cooperare
Cooperarea cu alte teritorii incluse în strategia de dezvoltare locală va facilita transferul şi
adaptarea inovaţiilor dezvoltate în altă parte.
Parteneri externi:
 •Austria,GAL Sauwald, http://www.baumkronenweg.at/, dl. Thomas Müller
 •Ungaria, GAL Dél Mátra Közhasznú Egyesület, http://www.delmatra.hu/, dl. Béla
  GYURKÓ
Partener intern:
•G10 – judeţul Harghita, dl. Albert Elemér LACZKÓ
•La iniţiativa G10 (Remetea, jud. Harghita) s-a încheiat o conveţie semnată de către 8
 Grupuri de Acţiune.
          III.6.1.1 Aspecte financiare
Finanţarea proiectelor de cooperare se va face din următoarele alocări bugetare:
• Măsura 421 – 27,136€
• Măsura 431.2
             o a07, Cheltuieli pentru participarea la activităţile reţelei naţionale şi
                 europene de dezvoltare rurală, seminarii etc. – 13,000€
             o b01, Studii ale zonei; - 6,500€
• Măsura 313 – 313,008€
• Măsura 322 – 217,087€
În total 576,731€ sunt disponibil pentru susţinerea proiectelor de cooperare.




                                                                                            393
Valoarea
                                                         proiectului/
                                                         proiectelor
                                                              de
Nr. Partenerul/         Tematica                          cooperare
crt. partenerii         cooperării        Obiective         (euro)             Rezultate
1. Experienţe de cooperare deja întreprinse
                    Decembrie 2009,
     GAL            Seminar ţinut de                                    Analiza generală
                                       Analiza SWOT
   1 Sauwald,       către dl. Thomas                                    SWOT – valorificată în
                                       pentru Alutus
     Austria        MÜLLER la                                           Strategia de dezvoltare
                    Arcuş
                                                                        1. Analiza preliminară
                                                                           pentru Suprafaţă web
                                                                           comună Sauwald –
                                                                           Dél Mátra – Alutus –
                                                                           G10 în limbile
                  Vizita              Identificarea                        română, maghiară,
    GAL Dél
                  partenerilor la     unor posibile                        germană şi engleză
  2 Mátra,
                  potenţialul GAL     idei de proiecte                  2. Analiza preliminară
    Ungaria
                  Alutus              comune                               pentru Publicaţie
                                                                           comună Sauwald –
                                                                           Dél Mátra – Alutus –
                                                                           G10 în limbile
                                                                           română, maghiară,
                                                                           germană şi engleză
                                                                        1. Acord de principiu
                                                                           pentru Abordare
                                                                           sectorială integrată:
                                                                           produse specifice din
                                      Armonizarea
                                                                           fructe de pădure
                  Întâlnire la        unor principii
      G10,                                                              2. Acord de principiu
  3               Remetea, judeţul    şi obiective din
      România                                                              pentru Abordare
                  Harghita            strategiile de
                                                                           sectorială integrată
                                      dezvoltare
                                                                           Itinerar comun
                                                                           pentru ciclism şi
                                                                           turism în cele două
                                                                           zone
                                                                        1. Prospectarea
                                                                           posibilităţii iniţierii
                                                                           unui proiect: „hidro-
                                      Identificarea
    GAL                                                                    funicular”.
                                      unor posibile
  4 Sauwald,      Vizită în Austria                                     2. Prospectarea
                                      idei de proiecte
    Austria                                                                posibilităţii iniţierii
                                      comune
                                                                           unui proiect
                                                                           asemănător cu „Top
                                                                           – Tree – Walking”




                                                                                              394
Valoarea
                                                               proiectului/
                                                               proiectelor
                                                                    de
Nr. Partenerul/           Tematica                              cooperare
crt. partenerii          cooperării           Obiective           (euro)             Rezultate
2. Intenţii de cooperare
                     Proiectul „hidro-
                     funicular” –           •Planificare:
                                                                              •Studiu de fezabilitate
      Austria,       itinerar turistic de    2011
   1                                                                          •Plan de marketing
      Sauwald        agrement – cu          •Implementare:
                     implementare în                                          •Proiect tehnic
                                             2012 - 2013
                     GAL Alutus
      Sauwald,                              •Proiect tehnic:
      Austria –                              semestrul I –                    •Layout - proiect
      Dél Mátra, Suprafaţă web               2010                             •Conţinut – proiect
   2
      Ungaria, -     comună                 •Implementare:                    •Suport hard – oglindit
      G10,                                   semestrul II -                    – proiect
      Romînia                                2010
                     1. Abordare
                        sectorială
                                            •Planificare:
                        integrată:                                            •Studiu de fezabilitate
                                             2011
                        produse                                               •Plan de marketing
                                            •Implementare:
                        specifice din                                         •Proiect tehnic
                                             2012 - 2013
                        fructe de
      G10,              pădure
   3
      România        2. Abordare
                        sectorială
                                            •Planificare:
                        integrată                                             •Studiu de fezabilitate
                                             2011
                        Itinerar comun                                        •Plan de marketing
                                            •Implementare:
                        pentru ciclism                                        •Proiect tehnic
                                             2012 - 2013
                        şi turism în
                        cele două zone




                                                                                                  395
III.6.2 Crearea şi implementarea reţelei
GAL Alutus se va angaja să participe la activităţile aferente creării şi implementării reţelei,
care i se vor propune.
În decurs de 60 de zile de la acreditarea sa, GAL va solicita afilierea la Reţeaua Naţională de
Dezvoltare Rurală (RNDR) şi la Reţeaua Europeană de Dezvoltare Rurală (REDR).
          III.6.2.1 modul în care GAL intenţionează să participe la crearea şi
            implementarea reţelei la nivel naţional şi european
GAL Alutus doreşte să se implice în următoarele activităţi ale RNDR:
•Stabilirea planului strategic al RNDR
•Descrierea regulilor şi procedurilor cu privire la accesul membrilor la serviciile RNDR
•Gestionarea, diseminarea informaţiilor legate de dezvoltarea rurală românească şi
  comunitară
•Susţinerea contactului şi a legăturilor cu Reţeaua Europeană de Dezvoltare Rurală – REDR
•Crearea unui forum naţional permanent on line de discuţii pentru parteneriate
•Sprijin pentru monitorizarea şi evaluarea Reţelei
•Pregătirea programelor de instruire pentru Grupurile de Acţiune Locală în procesul de
  formare
•Organizarea şi stabilirea structurii necesară schimburilor de experienţă şi know-how, precum
  şi a evenimentelor cu caracter general şi specific, la nivel local, naţional şi comunitar
•Asistenţă tehnică pentru cooperare inter-teritorială şi trans-naţională, analize, studii tematice,
  expertiză, monitorizare şi control
•Identificarea şi analiza celor mai bune practici transferabile şi informare asupra acestora,
  inclusiv diseminarea informaţiilor privind rezultatele şi impactul PNDR.
•Transfer de bune practici şi inovare şi plasarea lor în diferite contexte
•Sprijin de promovare a serviciilor în favoarea fermierilor
•Implementarea, managementul şi funcţionarea structurilor RNDR.
          III.6.2.2 Resursele pe care GAL intenţionează să le aloce
Dat fiind faptul că GAL este format într-una dintre cele mai sărace zone ale României, de la
început nu îşi va putea permite să aloce resurse financiare considerabile.
              III.6.2.2.1 Resurse umane
Totuşi GAL se oferă să susţină participarea unor experţi din propriul teritoriu la activităţile de
pregătire (materiale pentru formare, trening) şi de administrare ale RNDR.
              III.6.2.2.2 Contribuţie „în natură”
GAL se oferă să asigure anual spaţiu, cazare şi masă pentru două seminarii naţionale şi/sau
internaţionale la „Centrul de Studii Europene” de la Arcuş.
          III.6.2.3 Iniţiativele GAL pe care le va avea pentru a-şi face cunoscute
            teritoriul
Marketing pentru GAL în RNDR şi REDR.
„Planuri şi vise” – seminar internaţional pentru prezentarea GAL şi a strategiei sale, în primul
trimestru al anului 2011
„Realizări şi realităţi – lecţii învăţate” – la un an după seminarul anterior.




                                                                                               396
III.6.2.4 Acţiunile GAL pe care le realizează pentru a-şi face cunoscute
           teritoriul
•După punerea în funcţiune a spaţiului web comun pentru Alutus, Sauwald, Dél – Mátra şi
 G10, prin RENDR, GAL va iniţia o campanie de marketing pe e-mail, cu scopul anunţării
 acreditării sale şi a promovării propriilor valori şi a valorilor partenerilor săi.
•Organizarea seminarului „Planuri şi vise”
•Organizarea seminarului şi schimbului de experienţă „Realizări şi realităţi – lecţii învăţate”




                                                                                             397
IV. Bibliografie
1. PLAN DE DEZVOLTARE A JUDEŢULUI COVASNA PE TERMEN MEDIU
    (2006 – 2013), AGENDA 21 LOCALĂ A JUDEŢULUI COVASNA
2. Strategia de dezvoltare pe termen mediu a judeţului Covasna 2004 – 2015
3. DEZVOLTARE A ORASULUI BARAOLT
4. Comuna Aita Mare – Strategia 2020
5. Strategia de dezvoltare durabilă a comunei Vârghiş – Planul local de acţiune
6. Comuna Ghidfalău – Strategia 2020
7. Strategia de dezvoltare pe termen lung a comunei Malnaş
8. STRATEGIA DE DEZVOLTARE PE DURATĂ MEDIE ŞI LUNGĂ A COMUNEI
    MICFALĂU COMUNA MICFALĂU 2008-2020
9. Comuna Valea Crişului – Strategia 2020
10. GUVERNUL ROMÂNIEI, Ministerul Agriculturii, Pădurilor şi Dezvoltării Rurale:
    Programul Naţional de Dezvoltare Rurală, 2007 – 2013, versiunea consolidată
    decembrie 2009, Număr CCI: 2007RO06RPO001
11. REGULAMENTUL (CE) NR. 1698/2005 AL CONSILIULUI din 20 septembrie
    2005 privind sprijinul pentru dezvoltare rurală acordat din Fondul European Agricol
    pentru Dezvoltare Rurală (FEADR)
12. DECIZIA CONSILIULUI din 20 februarie 2006 privind orientările strategice ale
    Comunităţii pentru dezvoltare rurală (perioada de programare 2007-2013)
    (2006/144/CE)
13. MANUAL PRIVIND CADRUL COMUN DE MONITORIZARE ŞI DE
    EVALUARE Document de orientare septembrie 2006 Comisia Europeană Direcţia
    Generală Agricultură şi Dezvoltare Rurală
14. Nota directoare A – Alegerea și utilizarea indicatorilor
15. Nota directoare B – Orientări privind evaluarea
16. Nota directoare C – Orientări privind evaluarea ex ante, inclusiv SEA
17. Guidance note D – Hierarchy of Objectives
18. Guidance note E – Measure Fiches
19. Guidance note F –Common indicator list
20. Guidance note G – Baseline indicators fiches
21. Guidance note H – Output Indicator Fiches
22. Guidance note I – Result Indicator Fiches
23. Guidance note J – Impact Indicator Fiches
24. Guidance note K – Examples of additional indicators




                                                                                   398
i
   In cadrul responsabilităţilor sunt specificate obligaţiile, îndatoririle ce revin angajatului fata de oameni,
materiale, bani, unelte, echipamente etc. Responsabilităţile trebuie sa fie redactate clar, pe puncte, pentru ca
angajatul sa le înţeleagă cat mai bine. Spre exemplu, in fisa postului de manager, la secţiunea responsabilităţilor
se vor regăsi verbe precum: planifica, dirijează, decide, implementează, realizează, asigura, stabileşte.
ii
    Competentele de munca sunt de fapt partea cea mai importanta din fisa postului. Ele sunt de fapt performantele
solicitate deţinătorului postului de munca. Spre exemplu, pentru postul de secretar, competentele ar fi: să ştie să
lucreze cu un anumit soft la un anumit nivel de performanţă, să vorbească o limbă străină sau mai multe etc.
iii
     In cadrul responsabilităţilor sunt specificate obligaţiile, îndatoririle ce revin angajatului fata de oameni,
materiale, bani, unelte, echipamente etc. Responsabilităţile trebuie sa fie redactate clar, pe puncte, pentru ca
angajatul sa le înţeleagă cat mai bine. Spre exemplu, in fisa postului de manager, la secţiunea responsabilităţilor
se vor regăsi verbe precum: planifica, dirijează, decide, implementează, realizează, asigura, stabileşte.
iv
     Competentele de munca sunt de fapt partea cea mai importanta din fisa postului. Ele sunt de fapt performantele
solicitate deţinătorului postului de munca. Spre exemplu, pentru postul de secretar, competentele ar fi: să ştie să
lucreze cu un anumit soft la un anumit nivel de performanţă, să vorbească o limbă străină sau mai multe etc.
v
    In cadrul responsabilităţilor sunt specificate obligaţiile, îndatoririle ce revin angajatului fata de oameni,
materiale, bani, unelte, echipamente etc. Responsabilităţile trebuie sa fie redactate clar, pe puncte, pentru ca
angajatul sa le înţeleagă cat mai bine. Spre exemplu, in fisa postului de manager, la secţiunea responsabilităţilor
se vor regăsi verbe precum: planifica, dirijează, decide, implementează, realizează, asigura, stabileşte.
vi
     Competentele de munca sunt de fapt partea cea mai importanta din fisa postului. Ele sunt de fapt performantele
solicitate deţinătorului postului de munca. Spre exemplu, pentru postul de secretar, competentele ar fi: să ştie să
lucreze cu un anumit soft la un anumit nivel de performanţă, să vorbească o limbă străină sau mai multe etc.
vii
     In cadrul responsabilităţilor sunt specificate obligaţiile, îndatoririle ce revin angajatului fata de oameni,
materiale, bani, unelte, echipamente etc. Responsabilităţile trebuie sa fie redactate clar, pe puncte, pentru ca
angajatul sa le înţeleagă cat mai bine. Spre exemplu, in fisa postului de manager, la secţiunea responsabilităţilor
se vor regăsi verbe precum: planifica, dirijează, decide, implementează, realizează, asigura, stabileşte.
viii
      Competentele de munca sunt de fapt partea cea mai importanta din fisa postului. Ele sunt de fapt
performantele solicitate deţinătorului postului de munca. Spre exemplu, pentru postul de secretar, competentele
ar fi: să ştie să lucreze cu un anumit soft la un anumit nivel de performanţă, să vorbească o limbă străină sau mai
multe etc.




                                                                                                              399

Plan de Dezvoltare Locala Alutus

  • 1.
    MINISTERUL AGRICULTURII ŞIDEZVOLTĂRII RURALE Direcţia Generală Dezvoltare Rurală Autoritate de Management pentru PNDR Plan de Dezvoltare Locală – „Alutus” 2011 - 2013 CUPRINS I. Introducere ............................................................................................8 II. Dosarul de candidatură ........................................................................9 II.1. Lista localităţilor cuprinse în teritoriu ....................................................... 9 II.2. Planul de dezvoltare a teritoriului .......................................................... 14 II.3. Planul de finanţare .............................................................................. 306 III. Realizarea parteneriatului şi funcţionarea GAL ...............................311 III.1. Prezentarea procesului de elaborare a Planului de dezvoltare Locală (parteneriatul care realizează Planul de Dezvoltare Locală) ............. 311 III.2. Modurile de asociere a diferiţilor parteneri ......................................... 316 III.3. Prezentarea parteneriatului decizional............................................... 328 III.4. Resurse umane – animare - comunicare ........................................... 341 III.5. Implementarea proiectelor în cadrul GAL .......................................... 379 III.6. Implicarea GAL în acţiunile de cooperare şi în RNDR ....................... 393 IV. Bibliografie ...................................................................................... 398 301H
  • 2.
    I. Introducere ............................................................................................8 II.Dosarul de candidatură ........................................................................9 II.1. Lista localităţilor cuprinse în teritoriu ....................................................... 9 II.2. Planul de dezvoltare a teritoriului .......................................................... 14 II.2.1 Prezentarea geografică şi fizică ............................................................................14 II.2.2 Analiza Actorilor implicaţi.....................................................................................135 II.2.3 Tipul de strategie ales pe baza analizei SWOT...................................................157 II.2.4 Arborele problemelor ...........................................................................................157 II.2.5 Arborele obiectivelor............................................................................................170 II.2.6 Matricea Cadru Logic ..........................................................................................193 II.2.7 Analiza de risc .....................................................................................................198 II.2.8 Anexa 1 ...............................................................................................................203 II.2.9 Fişele tehnice ale măsurilor.................................................................................207 II.2.10 Consultări între toţi partenerii ............................................................................285 II.3. Planul de finanţare .............................................................................. 306 III. Realizarea parteneriatului şi funcţionarea GAL ...............................311 III.1. Prezentarea procesului de elaborare a Planului de dezvoltare Locală (parteneriatul care realizează Planul de Dezvoltare Locală) ............. 311 III.1.1 Consultări pe plan local ......................................................................................311 III.2. Modurile de asociere a diferiţilor parteneri ......................................... 316 III.2.1 Căutarea leader -ului; .........................................................................................317 III.2.2 O analiză sumară (localizare geografică, tipuri de localităţi – oraşe, comune, sate, număr de locuitori etc.) a localităţilor cuprinse în teritoriului dorit pentru viitorul potenţial GAL; .............................................................................................................................317 III.2.3 Identificarea persoanelor-resursă (cu care se va colabora). Acestea se vor stabili cu ajutorul autorităţilor din localităţile respective şi al DADR –urilor;............................317 III.2.4 Pregătirea materialelor de prezentare a programului LEADER şi gruparea lor în vederea prezentării în cadrul întâlnirilor ce vor avea loc la iniţiativa leader -ului în prezenţa DADR -ului;....................................................................................................317 III.2.5 Organizarea grupurilor de lucru (combinarea competenţelor) şi adunarea acestora în diferite întâlniri. .........................................................................................................317 III.3. Prezentarea parteneriatului decizional............................................... 328 III.3.1 Descrierea partenerilor .......................................................................................328 III.3.2 Crearea şi funcţionarea GAL - ului .....................................................................334 III.4. Resurse umane – animare - comunicare ........................................... 341 III.4.1 Resurse umane ..................................................................................................341 III.4.2 Resursele umane ale structurilor partenere .......................................................356 III.4.3 Descrierea resurselor materiale (echipamente, localuri disponibile) ..................361 III.4.4 Buget indicativ anual de funcţionare a GAL .......................................................363 III.4.5 Dispozitivul de comunicare şi informare .............................................................368 III.5. Implementarea proiectelor în cadrul GAL .......................................... 379 III.5.1 Dispozitivul de monitorizare, evaluare şi control implementat de GAL...............379 III.6. Implicarea GAL în acţiunile de cooperare şi în RNDR ....................... 393 III.6.1 Cooperare...........................................................................................................393 III.6.2 Crearea şi implementarea reţelei .......................................................................396 IV. Bibliografie ...................................................................................... 398 340H
  • 3.
    I. Introducere ............................................................................................8 II.Dosarul de candidatură ........................................................................9 II.1. Lista localităţilor cuprinse în teritoriu ....................................................... 9 II.2. Planul de dezvoltare a teritoriului .......................................................... 14 PARTEA I: Prezentarea teritoriului – Analiza diagnostic ........................14 II.2.1 Prezentarea geografică şi fizică ............................................................................14 II.2.1.1 Prezentarea principalelor caracteristici geografice (amplasament, relief, altitudine,…) .................................................................................................................................................. 14 II.2.1.1.1 Amplasarea teritoriului..........................................................................................................14 II.2.1.1.2 Relief ....................................................................................................................................14 II.2.1.1.3 Principalele tipuri de sol predominante.................................................................................15 II.2.1.1.4 Resursele naturale ...............................................................................................................16 II.2.1.1.5 Vegetaţia ..............................................................................................................................18 II.2.1.1.6 Comentarii privind principalele caracteristici geografice .......................................................19 II.2.1.2 Hărţi – planul localizării teritoriului................................................................................ 20 II.2.1.3 Populaţie - demografie ................................................................................................. 22 II.2.1.3.1 Informaţii privind comunităţile prezente ................................................................................22 II.2.1.3.2 Tendinţele demografice ........................................................................................................24 II.2.1.3.3 Şomajul pe termen lung........................................................................................................29 II.2.1.3.4 Diversitate etnică ..................................................................................................................33 II.2.1.3.5 Comentarii privind populaţia - demografia ............................................................................33 II.2.1.4 Patrimoniu de mediu .................................................................................................... 35 II.2.1.4.1 Relief ....................................................................................................................................35 II.2.1.4.2 Geologie ...............................................................................................................................35 II.2.1.4.3 Biodiversitate........................................................................................................................36 II.2.1.4.4 Ape .......................................................................................................................................39 II.2.1.4.5 Comentarii privind patrimoniul de mediu ..............................................................................43 II.2.1.5 Patrimoniu arhitectural şi cultural ................................................................................. 45 II.2.1.5.1 biserici şi mănăstiri; ..............................................................................................................45 II.2.1.5.2 case memoriale; ...................................................................................................................49 II.2.1.5.3 monumente dispărute...........................................................................................................52 II.2.1.5.4 castre (roman, dacic etc.); ....................................................................................................52 II.2.1.5.5 cetăţi şi castele; ....................................................................................................................58 II.2.1.5.6 meşteşuguri specifice (pictură pe sticlă, cojocărit, port specific etc.);...................................60 II.2.1.5.7 herghelii de cai relevante (specifice); ...................................................................................62 II.2.1.5.8 tipuri de turism practicate .....................................................................................................62 II.2.1.5.9 obiceiuri locale, etc. ..............................................................................................................63 II.2.1.5.10 Comentarii privind patrimoniul arhitectural şi cultural .........................................................63 II.2.1.6 Economia locală ........................................................................................................... 64 II.2.1.6.1 Repartizarea populaţiei active ..............................................................................................66 II.2.1.6.2 Agricultură ............................................................................................................................68 II.2.1.6.3 Comentarii privind economia locală......................................................................................78 II.2.1.6.4 Industrie – IMM – Micro-întreprinderi....................................................................................80 II.2.1.6.5 Comentarii privind industria locală........................................................................................98 II.2.1.6.6 Comerţ şi sector de servicii ..................................................................................................99 II.2.1.6.7 Comentarii privind comerţul şi serviciile................................................................................99 II.2.1.6.8 Comentarii privind economia locală....................................................................................100 II.2.1.7 Servicii şi infrastructuri medico-sociale ...................................................................... 101 II.2.1.7.1 Echipamente prezente sau accesibilitate ...........................................................................105 II.2.1.7.2 Comentarii privind serviciile şi infrastructurile medico-sociale ............................................109 II.2.1.8 Activităţi sociale şi instituţii locale............................................................................... 110 II.2.1.8.1 Instituţii locale.....................................................................................................................110 II.2.1.8.2 Asociaţii de comune, de consilii..........................................................................................113 II.2.1.8.3 ONG-uri, asociaţii locale.....................................................................................................113 II.2.1.8.4 Comentarii privind activităţile sociale şi instituţii locale .......................................................116 II.2.1.9 Bilanţul politicilor întreprinse în teritoriu ..................................................................... 117 II.2.1.9.1 Concluzii privind Bilanţul politicilor întreprinse în teritoriu ...................................................125 II.2.1.10 Elemente complementare privind prezentarea teritoriului........................................ 126 II.2.1.10.1 Infrastructura rutieră .........................................................................................................126 II.2.1.10.2 Infrastructura de cale ferată..............................................................................................129
  • 4.
    II.2.1.10.3 Infrastructura decomunicaţii ............................................................................................130 II.2.1.10.4 Infrastructura de utilităţi ....................................................................................................132 PARTEA a II-a: Analiza SWOT ............................................................135 II.2.2 Analiza Actorilor implicaţi.....................................................................................135 II.2.2.1 Evaluarea Actorilor implicaţi ....................................................................................... 139 II.2.2.2 Comentarii privind Evaluarea Actorilor implicaţi......................................................... 140 II.2.2.3 SWOT – TERITORIU ................................................................................................. 141 II.2.2.4 SWOT – POPULAŢIA ................................................................................................ 146 II.2.2.5 SWOT - ACTIVITĂŢI ECONOMICE........................................................................... 148 II.2.2.6 SWOT - ORGANIZAREA SOCIALĂ ŞI INSTITUŢIONALĂ........................................ 151 II.2.2.7 SWOT - Potenţialul de producţie agricolă (producţia primară) .................................. 153 II.2.2.8 SWOT – Calitatea vieţii – Dezvoltare rurală............................................................... 155 II.2.3 Tipul de strategie ales pe baza analizei SWOT...................................................157 PARTEA a – III - a: priorităţi .................................................................157 II.2.4 Arborele problemelor ...........................................................................................157 II.2.4.1 Definirea cauzelor primare ale problemelor ............................................................... 158 II.2.4.1.1 Cauzele ce pot fi grupate sub incidenţa Axei I....................................................................159 II.2.4.1.2 Cauzele ce pot fi grupate sub incidenţa Axei II...................................................................161 II.2.4.1.3 Cauzele ce pot fi grupate sub incidenţa Axei III..................................................................163 II.2.4.2 Structura arborelui problemă...................................................................................... 165 II.2.4.2.1 Arborele problemelor pentru Axa I......................................................................................166 II.2.4.2.2 Arborele problemelor pentru Axa II.....................................................................................167 II.2.4.2.3 Arborele problemelor pentru Axa III....................................................................................168 II.2.4.2.4 Arborele problemelor pentru Axa IV ...................................................................................169 II.2.5 Arborele obiectivelor............................................................................................170 II.2.5.1 Structura Arborelui obiectivelor .................................................................................. 170 II.2.5.1.1 Arborele obiectivelor pentru Axa I ......................................................................................171 II.2.5.1.2 Analiza sensibilităţii pentru Axa II .......................................................................................172 II.2.5.1.3 Arborele obiectivelor pentru Axa II .....................................................................................177 II.2.5.1.4 Analiza sensibilităţii pentru Axa II .......................................................................................178 II.2.5.1.5 Arborele obiectivelor pentru Axa III ....................................................................................183 II.2.5.1.6 Analiza sensibilităţii pentru Axa III ......................................................................................184 II.2.5.1.7 Arborele obiectivelor pentru Axa IV ....................................................................................188 II.2.5.1.8 Analiza sensibilităţii pentru Axa IV......................................................................................189 II.2.6 Matricea Cadru Logic ..........................................................................................193 II.2.7 Analiza de risc .....................................................................................................198 II.2.7.1 Riscuri globale asociate cu Proiectul.......................................................................... 198 II.2.7.2 Riscuri locale asociate cu Scopul Proiectului............................................................. 199 II.2.7.3 Analiza de Risk cu Metoda Monte Carlo .................................................................... 201 II.2.7.3.1 Riscul de cost .....................................................................................................................201 II.2.7.3.2 Riscul de durată .................................................................................................................202 II.2.8 Anexa 1 ...............................................................................................................203 II.2.8.1 LEADER ..................................................................................................................... 203 II.2.8.2 Creşterea competitivităţii sectoarelor agricol şi forestier............................................ 204 II.2.8.3 Îmbunătăţirea mediului şi a spaţiului rural.................................................................. 205 II.2.8.4 Calitatea vieţii în zonele rurale şi diversificarea economiei rurale ............................. 206 PARTEA a – IV – a: Măsura.................................................................207 II.2.9 Fişele tehnice ale măsurilor.................................................................................207 II.2.9.1 Axa I Creşterea competitivităţii sectoarelor agricol şi forestier .................................. 207 II.2.9.1.1 Măsura: 111 Formare profesională (training), informare şi difuzare de cunoştinţe.............207 II.2.9.1.2 Măsura: 112 Instalarea tinerilor fermieri .............................................................................212 II.2.9.1.3 Măsura: 113 Pensionarea timpurie a fermierilor şi lucrătorilor agricoli ...............................215 II.2.9.1.4 Măsura: 114 Utilizarea serviciilor de consiliere...................................................................217 II.2.9.1.5 Măsura: 121 Modernizarea exploataţiilor agricole ..............................................................219 II.2.9.1.6 Măsura: 122 Îmbunătăţirea valorii economice a pădurii .....................................................223 II.2.9.1.7 Măsura: 123 Creşterea valorii adăugate a produselor agricole şi forestiere.......................226 II.2.9.1.8 Măsura: 125 Îmbunătăţirea şi dezvoltarea infrastructurii legate de dezvoltarea şi adaptarea ..........................................................................................................................................................231
  • 5.
    II.2.9.1.9 Măsura: 141Sprijinirea fermelor agricole de semi-subzistenţă ..........................................234 II.2.9.1.10 Măsura: 142 Înfiinţarea grupurilor de producători.............................................................238 II.2.9.2 Axa II Îmbunătăţirea mediului şi a spaţiului rural........................................................ 245 II.2.9.2.1 Măsura: 211 Sprijin pentru Zona Montană Defavorizată ....................................................245 II.2.9.2.2 Măsura: 212 Sprijin pentru zone defavorizate – altele decât zona montană ......................248 II.2.9.2.3 Măsura: 213 Plăţi Natura 2000 pe teren agricol .................................................................250 II.2.9.2.4 Măsura: 214 Plăţi de Agro-mediu .......................................................................................252 II.2.9.2.5 Măsura: 221 Prima împădurire a terenurilor agricole .........................................................256 II.2.9.2.6 Măsura: 223 Prima împădurire a terenurilor non-agricole ..................................................259 II.2.9.2.7 Măsura: 224 Plăţi Natura 2000 pe teren forestier ...............................................................260 II.2.9.3 Axa III Calitatea vieţii în zonele rurale şi diversificarea economiei rurale .................. 261 II.2.9.3.1 Măsura: 312 Sprijin pentru crearea şi dezvoltarea de micro-întreprinderi ..........................261 II.2.9.3.2 Măsura: 313 Încurajarea activităţilor turistice .....................................................................265 II.2.9.3.3 Măsura: 322 Renovarea, dezvoltarea satelor, îmbunătăţirea serviciilor de bază pentru economia şi populaţia rurală şi punerea în valoare a moştenirii rurale..............................................269 II.2.9.3.4 Măsura: 341 Dobândire de competenţe, animare şi implementarea strategiilor de dezvoltare locală.................................................................................................................................................274 II.2.9.4 Axa IV LEADER.......................................................................................................... 276 II.2.9.4.1 Măsura: 411 Creşterea competitivităţii sectoarelor agricol şi forestier................................276 II.2.9.4.2 Măsura: 412 Îmbunătăţirea mediului şi a spaţiului rural......................................................277 II.2.9.4.3 Măsura: 413 Calitatea vieţii în zonele rurale şi diversificarea economiei rurale..................278 II.2.9.4.4 Măsura: 421 Încurajarea actorilor de la nivel local de a lucra împreună cu reprezentan ţii altor ...................................................................................................................................................280 II.2.9.4.5 Măsura: 431.2 Stimularea formării de parteneriate, pregătirea şi asigurarea implementării ..........................................................................................................................................................283 II.2.10 Consultări între toţi partenerii ............................................................................285 II.2.10.1 Macheta chestionarului ............................................................................................ 285 II.2.10.2 Proiecte pe Localităţi ................................................................................................ 288 II.2.10.2.1 Chestionare completate....................................................................................................288 II.2.10.2.2 Idei de proiecte pe localităţi ..............................................................................................289 II.2.10.2.3 Tabel sintetic proiecte pe localităţi şi măsuri ....................................................................290 II.2.10.2.4 Tabel sintetic proiecte pe măsuri şi localităţi ....................................................................291 II.2.10.2.5 Pondere normalizată pe axe.............................................................................................293 II.2.10.2.6 Ponderea normalizată pe axe...........................................................................................293 II.2.10.2.7 Ponderea axelor pe localităţi ............................................................................................294 II.2.10.2.8 Ponderea măsurilor pe localităţi .......................................................................................294 II.2.10.2.9 Clase de măsuri ...............................................................................................................298 II.2.10.2.10 Idei de proiecte ...............................................................................................................300 II.2.10.2.11 Harta tematică cu idei de proiecte ..................................................................................305 II.3. Planul de finanţare .............................................................................. 306 III. Realizarea parteneriatului şi funcţionarea GAL ...............................311 PARTEA a – V – a: Parteneriatul .........................................................311 III.1. Prezentarea procesului de elaborare a Planului de dezvoltare Locală (parteneriatul care realizează Planul de Dezvoltare Locală) ............. 311 III.1.1 Consultări pe plan local ......................................................................................311 III.2. Modurile de asociere a diferiţilor parteneri ......................................... 316 III.2.1 Căutarea leader -ului; .........................................................................................317 III.2.2 O analiză sumară (localizare geografică, tipuri de localităţi – oraşe, comune, sate, număr de locuitori etc.) a localităţilor cuprinse în teritoriului dorit pentru viitorul potenţial GAL; .............................................................................................................................317 III.2.3 Identificarea persoanelor-resursă (cu care se va colabora). Acestea se vor stabili cu ajutorul autorităţilor din localităţile respective şi al DADR –urilor;............................317 III.2.4 Pregătirea materialelor de prezentare a programului LEADER şi gruparea lor în vederea prezentării în cadrul întâlnirilor ce vor avea loc la iniţiativa leader -ului în prezenţa DADR -ului;....................................................................................................317 III.2.5 Organizarea grupurilor de lucru (combinarea competenţelor) şi adunarea acestora în diferite întâlniri. .........................................................................................................317 III.2.5.1 Temele grupurilor de lucru ........................................................................................ 317 III.2.5.2 Componenţa grupurilor de lucru................................................................................ 318
  • 6.
    III.2.5.3 Prima întâlnire........................................................................................................... 319 III.2.5.4 A doua întâlnire ......................................................................................................... 325 III.2.5.5 A treia întâlnire: ......................................................................................................... 326 III.3. Prezentarea parteneriatului decizional............................................... 328 III.3.1 Descrierea partenerilor .......................................................................................328 III.3.1.1 Membrii supleanţi ...................................................................................................... 330 III.3.1.2 Regula „dublului cvorum” .......................................................................................... 331 III.3.1.2.1 Prezenţă minimă obligatorie ..............................................................................................331 III.3.1.2.2 Prezenţă peste cvorumul minim obligatoriu + 1.................................................................331 III.3.1.2.3 Prezenţă peste cvorumul minim obligatoriu + 2.................................................................332 III.3.1.2.4 Prezenţă peste cvorumul minim obligatoriu + 3.................................................................332 III.3.1.2.5 Prezenţă peste cvorumul minim obligatoriu + 4.................................................................333 III.3.2 Crearea şi funcţionarea GAL - ului .....................................................................334 III.3.2.1 Organele Asociaţiei ................................................................................................... 334 III.3.2.2 Adunarea generala .................................................................................................... 335 III.3.2.3 Consiliul director ........................................................................................................ 336 III.3.2.4 Cenzorul .................................................................................................................... 337 III.3.2.5 Comitetul de selectare a proiectelor.......................................................................... 338 III.3.2.6 Compartimentul administrativ.................................................................................... 339 III.4. Resurse umane – animare - comunicare ........................................... 341 PARTEA a – VI – a: Organizarea GAL-ului ..........................................341 III.4.1 Resurse umane ..................................................................................................341 III.4.1.1 Activităţi desfăşurate la nivelul GAL .......................................................................... 341 III.4.1.1.1 FIŞA POSTULUI - Responsabil administrativ – Director executiv al Asociaţiei .................342 III.4.1.1.2 FIŞA POSTULUI - Consultant extern financiar - contabil ..................................................347 III.4.1.1.3 FIŞA POSTULUI - Consultant extern Dezvoltare Rurală & Identitate Vizuală & Informare348 III.4.1.1.4 FIŞA POSTULUI - Activităţi de secretariat ........................................................................349 III.4.1.1.5 FIŞA POSTULUI - Animator ..............................................................................................351 III.4.1.1.6 FIŞA POSTULUI - Expert Tehnic ......................................................................................353 III.4.2 Resursele umane ale structurilor partenere .......................................................356 III.4.3 Descrierea resurselor materiale (echipamente, localuri disponibile) ..................361 III.4.3.1 Sediul central - Bodoc ............................................................................................... 361 III.4.3.2 Punct de lucru - Baraolt............................................................................................. 362 III.4.4 Buget indicativ anual de funcţionare a GAL .......................................................363 III.4.4.1 Circuitul financiar pentru măsura 431 (sub-măsura 431.2)....................................... 366 III.4.5 Dispozitivul de comunicare şi informare .............................................................368 III.4.5.1 Metodologia ............................................................................................................... 369 III.4.5.2 Instrumentele necesare pentru informare şi comunicare .......................................... 370 III.4.5.2.1 întâlniri – conferinţe tematice.............................................................................................371 III.4.5.2.2 seminarii ad-hoc ................................................................................................................371 III.4.5.2.3 grupuri de lucru .................................................................................................................372 III.4.5.2.4 afişe, publicaţii...................................................................................................................375 III.4.5.2.5 acces la baze de date........................................................................................................375 III.4.5.2.6 elaborare şi diseminare de materiale.................................................................................376 III.4.5.2.7 mas-media.........................................................................................................................377 III.5. Implementarea proiectelor în cadrul GAL .......................................... 379 PARTEA a – VII – a: Mecanismul de implementare.............................379 III.5.1 Dispozitivul de monitorizare, evaluare şi control implementat de GAL...............379 III.5.1.1 Monitorizare............................................................................................................... 379 III.5.1.1.1 Logica de intervenţie şi indicatorii......................................................................................380 III.5.1.1.2 M1.1-E3.8 FISA DE VERIFICARE PE TEREN..................................................................381 III.5.1.2 Evaluare .................................................................................................................... 384 III.5.1.2.1 Evaluarea Ex - Ante...........................................................................................................384 III.5.1.2.2 Evaluarea intermediară .....................................................................................................385 III.5.1.2.3 Întrebări de evaluare..........................................................................................................385 III.5.1.2.4 Evaluarea Ex - Post...........................................................................................................389 III.5.1.2.5 Activităţile dispozitivului de monitorizare, evaluare şi control implementat de GAL...........389
  • 7.
    III.5.1.2.6 Controlul ............................................................................................................................390 III.5.1.2.7 Sarcinile dispozitivului de monitorizare, evaluare şi control implementat de GAL .............391 III.6. Implicarea GAL în acţiunile de cooperare şi în RNDR ....................... 393 PARTEA a -VIII – a: Cooperare şi crearea şi implementarea reţelei.... 393 III.6.1 Cooperare...........................................................................................................393 III.6.1.1 Aspecte financiare ..................................................................................................... 393 III.6.2 Crearea şi implementarea reţelei .......................................................................396 III.6.2.1 modul în care GAL intenţionează să participe la crearea şi implementarea reţelei la nivel naţional şi european....................................................................................................... 396 III.6.2.2 Resursele pe care GAL intenţionează să le aloce .................................................... 396 III.6.2.2.1 Resurse umane .................................................................................................................396 III.6.2.2.2 Contribuţie „în natură”........................................................................................................396 III.6.2.3 Iniţiativele GAL pe care le va avea pentru a-şi face cunoscute teritoriul .................. 396 III.6.2.4 Acţiunile GAL pe care le realizează pentru a-şi face cunoscute teritoriul ................. 397 IV. Bibliografie ...................................................................................... 398 57H
  • 8.
    I. Introducere Spaţiul ruralromânesc se confruntă cu numeroase carenţe, acestea reprezentând şi motivul pentru disparităţile între urban-rural prin prisma tuturor componentelor sale: economia rurală, potenţialul demografic, sănătate, şcoală, cultură, etc. Pentru reducerea acestor disparităţi, una dintre soluţii o reprezintă elaborarea şi implementarea unor strategii integrate de dezvoltare de către comunităţile locale, având ca punct de plecare nevoile identificate la nivel local şi potenţialul endogen. Implicarea actorilor locali în dezvoltarea propriilor zone, va contribui la realizarea unei dezvoltări dinamice, sprijinită de o strategie de dezvoltare locală elaborată şi implementată local şi administrată de reprezentanţi ai GAL-ului, care vor reprezenta interlocutorii populaţiei din teritoriile respective, în vederea îmbunătăţirii continue a strategiei şi a acţiunilor ce vor fi implementate. Practic, dezvoltarea teritoriilor rurale acoperite de abordarea LEADER, va fi programată şi coordonată de actorii locali ce vor reprezenta factorul decizional şi care vor purta responsabilitatea evoluţiei în timp. Prezenta lucrare este rezultat ale eforturilor conjugate depuse de către partenerii instituţionali, iniţiatori ai Asociaţiei „Alutus” pe de o parte, pe de altă parte a ajutorului pe care participanţii la întâlnirile organizate pe parcursul derulării proiectului ni l-au oferit prin completarea chestionarelor şi formularea unor opinii şi observaţii legate de conţinutul prezentei Strategii de dezvoltare locală. Nutrim speranţa că această comunitate va reuşi să fructifice oportunităţile pe care Politica Agrară Comună prin pilonul Dezvoltării rurale ni l-a oferit. János DEMETER István CSUTAK Vicepreşedinte al Consiliului Judeţean Coordonator Covasna
  • 9.
    II. Dosarul decandidatură II.1. Lista localităţilor cuprinse în teritoriu Anexa 3 - Lista localităţilor Teritoriu Suprafaţa Codul Numele localităţii Nr. locuitori Densitate totală comunelor Din Total INSSE Comune Oraşe Sate km2 loc./km2 oraşe teritoriu 63777 AITA MARE 1,777 67.97 26 63786 AITA MARE 935 63795 AITA MEDIE 842 65113 ARCUŞ 1,305 33.53 39 64924 ARCUŞ 1,305 63802 BĂŢANI 4,521 280.00 16 63820 AITA SEACĂ 906 63811 BĂŢANII MARI 1,912 63839 BĂŢANII MICI 572 63848 HERCULIAN 1,075 63857 OZUNCA-BĂI 56 63866 BELIN 2,652 70.70 38 63875 BELIN 1,575 63884 BELIN-VALE 1,077 65121 BIXAD 1,789 60.57 30 64522 BIXAD 1,789
  • 10.
    Suprafaţa Codul Numele localităţii Nr. locuitori Densitate totală comunelor Din Total INSSE Comune Oraşe Sate km2 loc./km2 oraşe teritoriu 63893 BODOC 2,503 81.65 31 63900 BODOC 1,299 63919 OLTENI 593 63928 ZĂLAN 611 64041 BRĂDUŢ 4,686 173.36 27 64050 BRĂDUŢ 1,036 64069 DOBOŞENI 1,472 64078 FILIA 1,371 64087 TĂLIŞOARA 807 64345 GHIDFALĂU 2,607 42.00 62 64363 ANGHELUŞ 695 64372 FOTOŞ 388 64354 GHIDFALĂU 1,136 64381 ZOLTAN 388 64504 MALNAŞ 1,211 37.30 32 64531 MALNAŞ 570 64540 MALNAŞ-BĂI 462 64559 VALEA ZĂLANULUI 179 65139 MICFALĂU 1,877 35.58 53 64513 MICFALĂU 1,877
  • 11.
    Suprafaţa Codul Numele localităţii Nr. locuitori Densitate totală comunelor Din Total INSSE Comune Oraşe Sate km2 loc./km2 oraşe teritoriu 63447 ORAŞ BARAOLT 3,673 128.48 29 63456 BARAOLT 5,940 63465 BIBORŢENI 756 63474 BODOŞ 398 63483 CĂPENI 1,111 63492 MICLOŞOARA 496 63508 RACOŞUL DE SUS 913 64906 VALEA CRIŞULUI 2,152 27.85 77 64933 CALNIC 1,607 64915 VALEA CRIŞULUI 545 64997 VÂRGHIŞ 1,904 70.24 27 65002 VÂRGHIŞ 1,904 Total 5,940 32,657 1,109.23 29 % locuitori oraşe din 18 - - - total locuitori (≤25%) - - -
  • 12.
    Prin domeniul deintervenţie şi domeniul de activitate ONG reprezintă temele de interes pentru locuitorii zonei. Desigur aceste organizaţii îşi desfăşoară activitate bazându-se pe segmentul de cea mai mar mobilitate a locuitorilor. Acest segment – din fericire – nu poate fi clasificat ca aparţinând unui segment de vârstă, de pregătire sau orice alt criteriu. Componenţa membrilor activi este atât de diversificată, încât se poate afirma că este reprezentativă pentru locuitorii zonei. La cooptarea sectorului privat s-a avut în vedere atragerea unor organizaţii acoperind o cât mai mare diversitate de activităţi relevante pentru zonă. Totodată dispersia diferiţilor actori instituţionali ai GAL (NGO, privat, public) este destul de uniformă în ceea ce priveşte acoperirea geografică. Astfel din 13 localităţi reşedinţă cuprinzând în total 35 de localităţi componente, dispersia geografică arată în felul următor Tip de actor În localităţi ONG 15 Culte 4 IMM 13 public 11
  • 13.
    Din totalul de13 localităţi reşedinţă cuprinzând 35 localităţi componente 14 localităţi componente nu sunt reprezentate de către nici un actor printre fondatorii GAL. Desigur fiecare dintre cele 13 localităţi reşedinţă sunt reprezentate în GAL. Tabelul de mai jos prezintă distribuţia tipurilor de actorilor GAL pe localităţi. Localităţile componente care nu au actori sunt semnalate prin „!!!”. Grand SIRUTA apl cult imm ong Total AITA MARE 63786 1 1 2 AITA MARE AITA MEDIE 63795 1 1 ARCUŞ ARCUŞ 64924 1 2 1 3 7 AITA SEACĂ 63820 !!! BĂŢANII MARI 63811 1 1 2 BĂŢANI BĂŢANII MICI 63839 1 1 HERCULIAN 63848 !!! OZUNCA-BĂI 63857 !!! BELIN 63875 1 1 1 3 BELIN BELIN-VALE 63884 !!! BIXAD BIXAD 64522 1 1 1 1 4 BODOC 63900 1 3 4 BODOC OLTENI 63919 !!! ZĂLAN 63928 !!! BRĂDUŢ 64050 1 1 DOBOŞENI 64069 !!! BRĂDUŢ FILIA 64078 1 1 2 TĂLIŞOARA 64087 1 1 ANGHELUŞ 64363 1 1 FOTOŞ 64372 1 1 2 GHIDFALĂU GHIDFALĂU 64354 1 2 1 4 ZOLTAN 64381 !!! MALNAŞ 64531 1 1 MALNAŞ MALNAŞ-BĂI 64540 !!! VALEA ZĂLANULUI 64559 !!! MICFALĂU MICFALĂU 64513 1 2 2 2 7 BARAOLT 63456 3 5 8 BIBORŢENI 63465 !!! BODOŞ 63474 !!! ORAŞ BARAOLT CĂPENI 63483 1 1 MICLOŞOARA 63492 !!! RACOŞUL DE SUS 63508 1 1 CALNIC 64933 1 1 VALEA CRIŞULUI VALEA CRIŞULUI 64915 !!! VÂRGHIŞ VÂRGHIŞ 65002 1 1 2 Grand Total 10 6 18 22
  • 14.
    II.2. Planul dedezvoltare a teritoriului PARTEA I: Prezentarea teritoriului – Analiza diagnostic II.2.1 Prezentarea geografică şi fizică II.2.1.1 Prezentarea principalelor caracteristici geografice (amplasament, relief, altitudine,…) II.2.1.1.1 Amplasarea teritoriului Referinţe cardinale Din punct de vedere geografic judeţul Covasna se află aproape în centrul României (între meridianele 43o04' şi 44 o05' longitudine estică şi paralela 45 o032' şi 46 o 018' latitudine nordică), în partea interioară a arcului Carpaţilor Orientali. Vecinătăţile judeţului sunt: la est judeţele Bacău, Vrancea si Buzău, la sud şi vest judeţul Braşov, iar la nord judeţul Harghita. Centrul ariei geografice acoperite de către potenţialul GAL „Alutus” este la paralela 46o latitudine nordică şi meridianul 25o5’ longitudine estică. Intersecţia cu unele căi de comunicare Zona acoperită de potenţialul GAL este străbătută de DN 12 respectiv calea ferată 400. Cel mai apropiat centru urban important este Braşov la cca. 60 km distanţă de la cel mai îndepărtat punct al zonei în discuţie. De fapt aria geografică este formată din două microregiuni tradiţionale „Depresiunea Baraolt” şi „Oltul superior”. Aceste două microregiuni au limite naturale: depresiunea Baraolt şi partea superioară a depresiunii văii Oltului, râul Olt fiind „firul de legătură” între cele două entităţi. De aici şi numele potenţialului GAL: „Alutus”. II.2.1.1.2 Relief Suprafaţa totală a judeţului este de 3,705 km2 (dintre cele mai mici din ţară, depăşind din acest punct de vedere doar judeţele Ilfov şi Giurgiu). Suprafaţa totală a potenţialului GAL este de 915,60 km2, adică o suprafaţă relativ mică. Relieful potenţialului GAL ”Alutus” aparţine unei singure unităţi de relief – Carpaţii Orientali, cu următoarele subunităţi: Munţii Harghita – situaţi în N-V GAL, cu altitudinea medie cuprinsă între 520 – 1558 m, pantă între 10 –50 %, suprafaţă de 33,900 ha, au pe teritoriul GAL următoarea subdiviziune: etajul platoului vulcanic, depresiunea Ozunca – Bixad
  • 15.
    Munţii Bodoc -situaţi în partea sudică a GAL cu altitudinea medie cuprinsă între 600 – 1,240 m, panta între 20 –50 %, suprafaţă de 40,500 ha, sunt delimitaţi spre V, S si E de depresiuni tectonice (Bixad si Braşov) Munţii Baraolt - situaţi în partea de V a GAL, cu altitudinea medie cuprinsă între 490 – 1,019 m, pantă între 20 –50 %, suprafaţa de 44,000 ha, puternic afectaţi de o reţea de falii tectonice, rezultând, prin urmare, o serie de subunităţi: a) subunităţi muntoase (Hatod, Şugaş, Ariuşd Dealul Fagului) separate prin depresiuni; b) subunităţi depresionare tectonice cu altitudine medie de 608 m (Băţani, Bodoş, Aita Seacă, Aita Medie, Cocoş, Valea Mică, Belin Vale – toate alcătuind culoarul depresionar Băţani – Belin Vale; Iarăş, Debren, Vâlcele); c) subunităţi depresionare de eroziune (670 m)- reprezintă nişte lărgiri ale unor văi – Hetea si Valea Zălanului. Munţii Perşani ( denumiţi si Munţii Vârghişului)- situaţi în extremitatea vestică a GAL, cu altitudinea medie cuprinsă între 470 – 893 m, pantă între 20 – 50 %, suprafaţa de 7,180 ha, au relief mai variat datorită apariţiei unor suprafeţe cu roci mai dure – calcare si magmatite mezozoice. Clima predominantă Poziţia geografică a potenţialului GAL, aproximativ în centrul ţării, unde se interferează influenţele climatice estice cu cele vestice şi particularităţile suprafeţei subiacente creează premisele unui topoclimat specific de depresiune intramontană, cu nuanţe excesive, caracterizat prin frecvente şi intense inversiuni termice, temperaturi minime foarte scăzute şi o circulaţie a aerului diminuată. Temperatura medie anuală a aerului oscilează între 7,1oC şi 7,6oC. Caracteristice, îndeosebi pentru sezonul rece, sunt frecvenţa şi intensitatea mare a inversiunilor termice. Prezenţa lor poate explica de ce temperatura medie din luna ianuarie este egală sau chiar mai scăzută pe fundul depresiunii, decât pe înălţimile de peste 1,000 m din jur. Îngheţul este, de asemenea, un fenomen caracteristic depresiunii. Primul îngheţ apare de regulă la sfârşitul lunii septembrie pe fundul depresiunii, şi în a doua jumătate a lunii octombrie pe piemont. Primăvara, ultimul îngheţ se poate produce, în medie, la sfârşitul lunii aprilie. În aceste condiţii, intervalul afectat de îngheţ depăşeşte 200 de zile anual. În condiţii sinoptice speciale (invazii de aer polar), îngheţul poate să apară chiar de la începutul lunii septembrie (Sfîntu Gheorghe, 15 septembrie 1960), iar primăvara se poate produce până în luna iunie (Târgu Secuiesc, 8 iunie 1958, Sfîntu Gheorghe, 13 iunie 1950). Cantitatea precipitaţiilor, raportată la altitudinea medie este scăzută. În medie cad anual 500- 580 mm pe fundul depresiunii şi 700-800 mm pe piemonturile înalte. Cele mai reduse cantităţi de precipitaţii se produc iarna, sub 30 mm în partea joasă şi peste 130 mm pe piemont, minimul fiind în luna februarie (20 mm). În intervalul mai-august cad cele mai abundente precipitaţii (peste 80-100 mm), luna cea mai ploioasă fiind iunie. II.2.1.1.3 Principalele tipuri de sol predominante 1 Solurile brune si brune acide de pădure au o răspândire mai mare in munţii Baraolt, dar apar insular şi în munţii Bodoc. Aceste soluri s-au format in condiţiile unui climat rece şi umed, sub păduri de fag, gorun sau amestec. Se remarcă o repartiţie diferenţiată a solurilor din această grupă, astfel pe versanţii cu o pantă mai accentuată întâlnim soluri brune acide, în timp ce pe versanţii cu pante mai domoale se găsesc soluri cu caractere podzolice evidente. 1 http://www.apmcv.ro/veche/html/2007.html
  • 16.
    Cea mai mareextindere pe judeţ o reprezintă solurile brune şi argiloiluviale podzolice, aceste soluri le întâlnim în special pe culmile largi şi joase, precum şi pe versanţii slab înclinaţi ai munţilor Bodoc şi Baraolt. De asemenea aceste soluri se găsesc şi pe relieful depresionar unde acoperă in întregime zona piemontană, şi o parte din terasele Oltului şi Râului Negru, ele fiind caracteristice etajului de pădure in care predomină stejarul, gorunul şi uneori in amestec cu fagul. O parte din aceste soluri sunt folosite pentru culturi de cartofi, secară, orz, ovăz, pajisti şi fâneţe naturale. II.2.1.1.4 Resursele naturale Izvoarele minerale sunt o caracteristică remarcabilă a regiunii. La contactul munţilor cu depresiunea, pe Valea Oltului şi în bazinul Râului Negru, izvoarele minerale au o compoziţie carbogazoasă, clorosodică, calcică. Din sol Zăcăminte naturale - Resurse de cărbune Bazinul carbonifer Baraolt - este situat pe partea de N.V. a judeţului Covasna şi în general coincide cu Depresiunea Baraolt. În extindere spre S îi aparţine şi ulucul Oltului pe aliniamentul Căpeni – Ariuşd. Accesul în regiune se face pe calea ferată Bucureşti – Braşov – Teiuş (linia 300), gara cea mai apropiată fiind Augustin la cca. 6 km de oraşul Baraolt, centrul industrial şi cultural al acestui bazin. Căile de comunicaţie principale sunt: drumul nr. 131 Măieruş – Baraolt – Odorheiu Secuiesc şi drumul nr. 131 B Baraolt – Malnaş Băi. Depresiunea este străbătută în partea sudică de râul Olt precum şi de afluenţii săi: pârâul Baraolt, Cormoş şi Vârghiş. Rama muntoasă ce înconjoară bazinul este formată din lanţul Munţilor Baraolt la este, Harghita de Sud şi la N.E. şi N. Şi Munţii Perşani la V. Morfologic depresiunea, are un aspect deluros, cu altitudini cuprinse între 500 şi 600 m. Cu toate că acest bazin a fost cercetat de foarte multă vreme, nici în momentul de faţă nu posedă o hartă geologică la scara potrivită care să reflecte rezumativ rezultatele cercetărilor efectuate. Prin lucrările de prospecţiune şi explorare prin sondaje s-a constatat în acest bazin prezenţa a 5 straturi de cărbune, numerotate de la I – V în ordinea depunerii. Lignitul din bazinul Baraolt – Căpeni are culoarea şi urma brună închis şi aspect foarte compact şi dur. Este format dintr-o masă de bază cărbunoasă în care se observă incluziuni de benzi şi filamente fine de xylit şi metoxylit cu grosimi de la 0,1 – 2 mm, foarte rar ajungând la 4 mm. Metoxylitul este semilucios, iar vitritul are luciu puternic. Săpătura este semiconcoidală, iar textura paralelă din cauza benzilor de xylit şi metaxylit, orientate paralel cu stratificaţia. Cu ochiul liber se pot observa rare cuiburi de fuzit cu luciu mătăsos şi de culoare neagră. Ca substanţe minerale s-au observat rare cuiburi de pirită cu dimensiuni până la 0,5 mm şi pelicule formate din minerale argiloase. În masa de bază cărbunoasă se observă macro şi microscopic cuticule şi incluziuni fine de răşină. Calitatea zăcământului a fost stabilită pe cale de laborator în baza unor analize colectate atât din lucrările de explorare, cât şi din cele de exploatare. Conţinutul de cenuşă medie pe bazin oscilează între 22 – 26% (raportată la proba de laborator), iar umiditatea totală ajunge la 52%. Puterea calorifică medie superioară este de 2400 kg cal/kg. S-au conturat următoarele câmpuri miniere: 1. Câmpul minier Vârghiş Est 2. Câmpul minier Vârghiş Vest 3. Câmpul minier Vârghiş Sud 4. Câmpul minier Racoş
  • 17.
    5. Câmpul minierBaraolt Nord 6. Câmpul minier Baraolt Sud 7. Câmpul minier Căpeni Nord 8. Câmpul minier Bodoş 9. Câmpul minier Aita Seacă Primele exploatări sporadice plasate în zonele de afloriment datează încă din anul 1839. În aceste câmpuri miniere în perioada 1951 – 1970 au fost executate cca. 90.000 ml foraje cu un număr de peste 500 de sondaje. La aceasta se adaugă programul de cercetări efectuate prin lucrări miniere geologice, foraje subterane şi lucrări de asecare. În ultimii ani au fost închise majoritatea exploatărilor miniere şi ecologizate fostele mine: Baraolt, Vârghiş, Căpeni, Racoş. Din apă Zăcăminte naturale - Rezerve hidrominerale O caracteristică specifică zonei (situând-o pe unele din primele locuri din ţară) este abundenţa şi varietatea izvoarelor minerale pe care le întâlnim pe toata raza judeţului (Bixad, Malnaş– Băi, Bodoc, Biborţeni, etc.). Izvoarele de apă minerală şi emanaţiile uscate de gaze mofetice reprezintă principala bogăţie naturală ale zonei. Acestea au fost folosite de localnici încă din timpurile străvechi în scopuri curative, sub formă de băi reci şi/sau calde, sau pur şi simplu, consumate ca atare. Această bogăţie naturală unică a constituit bazele unei activităţi balneare înfloritoare încă din secolul al XVIII-lea, când s-a început crearea unei întregi reţele de mici staţiuni balneare. Apele minerale exploatate şi îmbuteliate (Malnaş-Băi, Bodoc, Biborţeni, Belin, etc.) au căpătat renume ca ape de consum şi ape medicinale. Astăzi, majoritatea acestor mici staţiuni balneare şi balneoclimaterice sunt într-o stare de degradare avansată. Reabilitarea şi revitalizarea acestora reprezintă probabil cea mai stringentă prioritate pentru zonă, atât din considerente economice, cât şi sociale. Multe fapte sugerează o afiliaţie genetică a apelor minerale cu procese magmatice profunde, sunt: - cantitatea mare de CO2, şi chimismul apei mineralizate de adâncime, ce apare strict pe fracturi (Viorica Iancu şi A. Apostol, 1978); - excesul de Na+; - prezenţa acidului metasilicic; - prezenţa unor elemente minore ca: Pb, Cu, Zn; - prezenţa unor elemente ca: As, B (sub formă de HBO2); - pH-ul ridicat, care după Rankama şi Sahama (1970) creşte la sursele cu apă de adâncime; - depunerile de sulf, realgar, auripigment, şi aragonit din cimentul breciei ce însoţeşte falia Covasna.
  • 18.
    În ceea cepriveşte distribuţia geografică a aureolelor mofetice şi solfatariene, respectiv a izvoarelor de ape minerale carbogazoase, acestea pot fi grupate pe aliniamente, dirijate în general pe direcţii nord-sudice: Aliniamentul central constituit din ivirile de pe pârâul Bradului, zona Ozunca, Micfalău, Malnaş, Zălan şi Bodoc este situat de-a lungul Oltului şi pe versanţii acestuia, reprezentat la est de Munţii Bodocului, iar la vest de Munţii Baraoltului. Pe acest aliniament, bioxidul de carbon adus spre suprafaţă pe fracturi de cuvertură dirijate aproximativ V-E, impregnează complexele acvifere din formaţiunile vulcanogen-sedimentare, din cele cretacice şi în sfârşit pe cele din depozitele sedimentare ale luncii Oltului. Cele mai nordice iviri apar în masivul Baraolt în bazinele pârâurilor Bradului şi Şarpelui unde apa minerală, dar mai ales puternicele barbotări de CO2, au fost puse în legătură cu o linie de fractură orientată NNV-SSE, care se continuă spre Băile Ozunca şi Malnaş. Apele minerale din acest aliniament sunt în general bicarbonatate, alcaline, calcice, magneziene, uneori clorurate şi sodice, cu depuneri de hidroxizi de fier. Aliniamentul vestic înglobează izvoarele naturale şi sondele din depresiunea Baraolt. Pe rama estică a acestei depresiuni, la contactul cu flişul sau în interiorul acestuia, apar o serie de izvoare naturale (Herculian, Băţani, Aita Seacă), iar în interiorul bazinului, prin puţuri şi foraje se cunoaşte existenţa în formaţiuni pliocene şi cuaternare, a unor strate acvifere mineralizate cu CO2 (Biborţeni şi Vârghiş). Apele minerale au caracter bicarbonatat, alcalin, calcic-magnezian şi carbogazos. Din aer In cursul anului 2007 nu au fost identificate zone critice sub aspectul poluării atmosferice. Luând în considerare rezultatele analizelor precum si a calculelor din declaraţia utilizatorilor de combustibil precum şi a celorlalte substanţe generatoare de gaze evacuabile putem s-a constatat că în judeţul Covasna (implicit în aria potenţialului GAL) aerul nu este contaminat. Reţeaua hidrografică Potenţialul GAL este amplasat în bazinul mijlociu al Oltului. Densitatea medie a reţelei hidrografice este de 0,45 - 0,70 km/km2 în depresiuni şi de 0,60 - 0,80 km/km2 în munţi. Scurgerea medie lichidă are valori mici, de 2-3 l/s/km2 (63-95 mm/an) în cea mai mare parte a zonei, Munţii Baraolt şi Bodoc; valori medii de 3-7 l/s/kmp (95- 220 mm/an) şi chiar mari, de 7-20 l/s/km2 (220-630 mm/an) – în munţi. Scurgerea medie de aluviuni în suspensie are valori mici de 0,5 –1,0 t/ha/an - în Munţii Baraolt şi valori foarte mici în restul munţilor. Aceste valori reflectă eroziunea actuală redusă pe ansamblul terenurilor judeţului. Râurile din judeţ aparţin tipului carpatic (ape mari de lungă durată), subtipului cu ape mari de primăvară şi viituri de vară şi iarnă, alimentare pluvial. II.2.1.1.5 Vegetaţia Vegetaţia naturală este variată, prezentând o etajare altitudinală. Astfel, în regiunile mai joase se întâlnesc păduri de foioase, iar la altitudini mari, păşuni subalpine şi alpine, etajele intermediare fiind ocupate de pădurile de amestec de foioase şi conifere şi de pădurile de conifere. Vegetaţia silvică a favorizat şi dezvoltarea unei variate şi bogate faune de animale sălbatice pentru vânat. Relieful muntos care ocupă o parte însemnată a teritoriului, favorizează menţinerea vegetaţiei naturale.
  • 19.
    II.2.1.1.6 Comentarii privindprincipalele caracteristici geografice Se constată deci, că din punct de vedere al circumstanţelor geografice şi de mediu • relief (forme, pondere – suprafaţă etc.); • clima predominantă (temperatură, umiditate etc.); • principalele tipuri de sol predominante; • resursele naturale (din sol, apă, aer etc.); • vegetaţia (peisajul natural şi cultivat etc.). potenţialul GAL este omogen şi unitar.
  • 20.
    II.2.1.2 Hărţi –planul localizării teritoriului Cea mai mare localitate: Oraş Baraolt, fără cale ferată. Localităţile de pa malul râului Olt (Bixad, Micfalău, Malnaş, Bodoc, Ghidfalău) sun legate de DN12 (E578)
  • 22.
    II.2.1.3 Populaţie -demografie II.2.1.3.1 Informaţii privind comunităţile prezente Soldul Soldul Populaţia Soldul Soldul natural natural Sub 14 Peste activă Evoluţie/ Populaţie 1999 2008 2009 migrării migrării (natalitatea- (natalitatea- ani 60 ani (persoanele Regresie 1999 2008 mortalitate) mortalitate) 2008 2008 între 14 -60 1999 2008 de ani) AITA MARE 1,735 1,750 1,790 40 1 -23 -5 283 425 1,042 ARCUŞ 1,372 1,300 -72 1 -1 212 224 936 BĂŢANI 4,314 4,580 4,509 -71 -1 -1 1 943 900 2,737 BELIN 2,508 2,746 2,652 -94 30 14 685 438 1,623 BIXAD 1,949 1,817 -132 295 432 1,222 BODOC 2,705 2,421 2,500 79 15 3 401 485 1,535 BRĂDUŢ 4,667 4,812 4,671 -141 33 41 1,032 887 2,893 GHIDFALĂU 2,615 2,684 2,537 -147 11 6 438 499 1,747 MALNAŞ 4,900 1,149 600 -549 -1 1 -43 3 182 253 714 MICFALĂU 1,875 1,871 -4 -15 227 469 1,179 ORAŞ BARAOLT 10,531 9,526 6,483 -3,043 -1 -1 -4 -11 1,431 1,768 6,327 VALEA CRIŞULUI 3,308 2,357 1,538 -819 1 -34 15 452 419 1,486 VÂRGHIŞ 1,964 1,826 1,904 78 1 1 -23 278 414 1,134 TOTAL 39,247 39,047 34,172 -4,875 -1 2 -15 28 6,859 7,613 24,575 Obs. 1. Direcţia Judeţeană de Statistică a judeţului Covasna nu a putut furniza date defalcate referitoare la şomaj. Rata şomajului pe judeţ la finele anului 2006 a fost de 7,1%. Din totalul populaţiei de 223,770 persoana 6,561 au fost şomeri înregistraţi, din care 4,453 ne-indemnizaţi. Obs. 2. Comunele fără populaţie în 1999, s-au desprins ulterior.
  • 23.
    Don graficul ponderilorpopulaţiei se constată, că Oraşul Baraolt reprezintă 19% din populaţie potenţialului GAL. Populaţie VÂRGHIŞ AITA MARE VALEA CRIŞULUI 6% 5% ARCUŞ 5% 4% BĂŢANI 13% ORAŞ BARAOLT 19% BELIN 8% MICFALĂU BIXAD 5% 5% MALNAŞ 2% GHIDFALĂU BODOC 7% 7% BRĂDUŢ 14%
  • 24.
    II.2.1.3.2 Tendinţele demografice Soldul Soldul Evoluţie/ Soldul Soldul natural natural Regresie Populaţie 1999 2008 2009 migrării migrării (natalitatea- (natalitatea- raportat 1999 2008 mortalitate) mortalitate) la 2008 1999 2008 AITA MARE 1,735 1,750 1,790 2.29% 0.0571% -1.33% -0.29% ARCUŞ 1,372 1,300 -5.25% 0.0729% -0.07% BĂŢANI 4,314 4,580 4,509 -1.55% -0.0218% -0.02% 0.02% BELIN 2,508 2,746 2,652 -3.42% 1.20% 0.51% BIXAD 1,949 1,817 -6.77% BODOC 2,705 2,421 2,500 3.26% 0.55% 0.12% BRĂDUŢ 4,667 4,812 4,671 -2.93% 0.71% 0.85% GHIDFALĂU 2,615 2,684 2,537 -5.48% 0.42% 0.22% MALNAŞ 4,900 1,149 600 -47.78% -0.0204% 0.0870% -0.88% 0.26% MICFALĂU 1,875 1,871 -0.21% -0.80% ORAŞ BARAOLT 10,531 9,526 6,483 -31.94% -0.0095% -0.0105% -0.04% -0.12% VALEA CRIŞULUI 3,308 2,357 1,538 -34.75% 0.0302% -1.03% 0.64% VÂRGHIŞ 1,964 1,826 1,904 4.27% 0.0548% 0.05% -1.26% MEDIA -12.48% -0.0025% 0.0051% -0.04% 0.07%
  • 25.
    Populaţia Sub 14 Peste activă Populaţie 1999 2008 2009 ani 60 ani (persoanele 2008 2008 între 14 -60 de ani) AITA MARE 1,735 1,750 1,790 16.17% 24.29% 59.54% ARCUŞ 1,372 1,300 15.45% 16.33% 68.22% BĂŢANI 4,314 4,580 4,509 20.59% 19.65% 59.76% BELIN 2,508 2,746 2,652 24.95% 15.95% 59.10% BIXAD 1,949 1,817 15.14% 22.17% 62.70% BODOC 2,705 2,421 2,500 16.56% 20.03% 63.40% BRĂDUŢ 4,667 4,812 4,671 21.45% 18.43% 60.12% GHIDFALĂU 2,615 2,684 2,537 16.32% 18.59% 65.09% MALNAŞ 4,900 1,149 600 15.84% 22.02% 62.14% MICFALĂU 1,875 1,871 12.11% 25.01% 62.88% ORAŞ BARAOLT 10,531 9,526 6,483 15.02% 18.56% 66.42% VALEA CRIŞULUI 3,308 2,357 1,538 19.18% 17.78% 63.05% VÂRGHIŞ 1,964 1,826 1,904 15.22% 22.67% 62.10% MEDIA 17.57% 19.50% 62.94%
  • 26.
    Soldul migrării 1999 Soldul migrării 2008 0.1000% 0.0800% ARCUŞ 0.0600% 0.0400% VALEA CRIŞULUI 0.0200% 0.0000% AITA MARE VÂRGHIŞ MEDIA ORAŞ BARAOLT -0.0200% BĂŢANI MALNAŞ -0.0400% Datele reprezentate nu întotdeauna sunt concludente, de exemplu în cazul comunei Malnaş, al cărei solduri în valori absolute sunt egale. Datorită scindării comunei, pentru aceeaşi valoare absolută, în 2008 apare un procentaj mult mai mare decât în anul 1999.
  • 27.
    Evoluţie/ Regresie raportatla 2008 10.00% VÂRGHIŞ BODOC AITA MARE 0.00% MICFALĂU BĂŢANI BELIN BRĂDUŢ ARCUŞ GHIDFALĂU BIXAD -10.00% MEDIA -20.00% -30.00% ORAŞ BARAOLT VALEA CRIŞULUI -40.00% -50.00% MALNAŞ Din graficul de mai sus se constată că în medie populaţia potenţialului GAL a scăzut cu peste 10%. Evoluţia/regresia a fost calculată pentru anii 2009 – 2008, ca să poată fi examinate şi localităţile scindate/nou apărute de la 1999. Regresie semnificativă, mult peste media teritoriului înregistrează 3 localităţi.
  • 28.
    Se prognozează reducerisemnificative ale populaţiei şcolare (faţă de 2003): Grupă de vârstă 2003 2013 2025 7 - 14 100.00% -15.00% -29.10% 15 - 24 100.00% -28.10% -38.93% 14 - 18 100.00% -35.70% -38.93% Cel mai însemnat declin se proiectează pentru grupul ţintă principal , în care se încadrează elevii de liceu / şcoală de arte şi meserii. 100.00% 90.00% 7 - 14, 85.00% 80.00% 15 - 24, 71.90% 7 - 14, 70.90% 70.00% 14 - 18, 64.30% 15 - 24, 61.07% 14 - 18, 61.07% 60.00% 50.00% 2003 2013 2025
  • 29.
    II.2.1.3.3 Şomajul petermen lung 2 Incidenţa şomajului pe termen lung este deosebit de ridicată în judeţ – cu mult peste media regională, naţională şi comunitară. Incidenţa şomajului pe termen lung (%). EU15* EU12* România* Regiunea Covasna* * CENTRU * ** Mai mult - - 69,9 66,7 71,0 de 6 luni Mai mult 46,1 47,0 47,1 39,5 52,1 de 12 luni *Sursă: CE, Unity, solidarity, diversity for Europe, its people and its territory. Second report on Economic and Social Cohesion. Statistical annex, 2001. **Sursa: Raportul asupra Dezvoltării Umane 2001-2002, PNUD. Malnaş La mijlocul sec. XVIII aceste izvoare şi băi erau enumerate în lucrările de specialitate. Localitatea şi-a câştigat un bine meritat renume pentru izvoarele şi băile de apă minerală. În ultimele două decenii întreaga infrastructură balneară şi turistică, precum şi piaţă de muncă legată de serviciile aferente s-a distrus. O semnificativă parte a forţei de muncă a fost nevoită să părăsească localitate, datorită reducerea drastică a exploatării andezitului 3, cu toate că aceste valuri de migrare/emigrare nu s-au înregistrat formal. Conform strategiei de dezvoltare a localităţii: „Malnaş poate fi invocat ca un exemplu al migraţiei forţei de munca spre Ungaria sau Israel – destinaţie populara în aceste sate, datorita unei reţele informale bine organizate în acest sens – munca de îngrijitor pentru oameni în vârsta sau bolnavi, care primesc ajutor de stat pentru a-şi plăti un îngrijitor.” 4 Valea Crişului Conform strategiei de dezvoltare a localităţii 5 structura populaţiei se prezintă astfel: Populaţia activă Populaţia Populaţia totală Total Ocupată Şomeri inactivă 100.00% 38.67% 20.51% 18.16% 61.33% Evident majoritatea şomerilor şi a populaţiei inactive (cca. 60%) sunt femei. Se constată cu jumătate din populaţia activă este în şomaj. 2 Strategia de dezvoltare pe termen mediu a judeţului Covasna, pag. 39 3 Strategia de dezvoltare pe termen mediu a judeţului Covasna, pag. 188 4 Strategia de dezvoltare pe termen lung a comunei Malnaş, pag. 59 5 Structura primului draft, Comuna Valea Crişului – Strategia 2020, pag. 11
  • 30.
    Localitatea situându-se înapropiere de reşedinţei de judeţ, iar populaţia majoritară fiind rromă, s-a generat un adevărat val de migraţiune spre „oraş Baraolt Prima exploatare de lignit din Baraolt a fost deschisă la 1839. În ultimii ani au fost închise majoritatea exploatărilor miniere şi ecologizate fostele mine : Baraolt, Vârghiş, Căpeni, Racoş. 6 În Oraşul Baraolt funcţionează doar un liceu industrial, motiv pentru care tinerii mai dotaţi sunt aproape constrânşi să părăsească de timpuriu zona. Scădere a ponderii populaţiei urbane este cu totul contrară tendinţei internaţionale şi ne atrage atenţia asupra gravelor probleme economice generate de restructurarea industrială. Migraţia dinspre oraşe spre sate înseamnă de fapt acceptarea condiţiilor sociale şi de locuit inferioare, în schimbul unei siguranţe de trai mai ridicate. 7 6 PLAN DE DEZVOLTARE A JUDEŢULUI COVASNA PE TERMEN MEDIU (2006 – 2013), AGENDA 21 LOCALĂ A JUDEŢULUI COVASNA, pag. 41 7 Strategia de dezvoltare pe termen mediu a judeţului Covasna, pag. 14
  • 31.
    Soldul natural (natalitatea-mortalitate)1999 Soldul natural (natalitatea-mortalitate) 2008 1.50% 1.00% GHIDFALĂU 0.50% ORAŞ BARAOLT 0.00% BĂŢANI BELIN MEDIA ARCUŞ BODOC BRĂDUŢ -0.50% MICFALĂU MALNAŞ -1.00% VALEA CRIŞULUI VÂRGHIŞ AITA MARE -1.50%
  • 32.
    Sub 14 ani2008 Peste 60 ani 2008 Populaţia activă (persoanele între 14 -60 de ani) 80.00% 70.00% 60.00% 50.00% 40.00% 30.00% 20.00% 10.00% 0.00% AITA MARE ARCUŞ MALNAŞ VÂRGHIŞ MEDIA BELIN BIXAD BODOC GHIDFALĂU BRĂDUŢ MICFALĂU BĂŢANI ORAŞ BARAOLT VALEA CRIŞULUI
  • 33.
    II.2.1.3.4 Diversitate etnică La nivelul judeţului Covasna Altele, Rromi, 0.51% Romani, 4.19% 20.90% Maghiari, 74.40% Proporţia maghiarilor este peste 95% în localităţile Baraolt (95,9%), Bodoc (96,3%), Ghidfalău (97,4%), Lemnia (98,5%), Malnaş (96,3%), Moacşa (98,0%), Poian (98,8%), Valea Crişului (97,2%) şi Vârghiş (98,2%). Localitatea unde românii sunt prezenţi în număr mai mare estet Belin (39,4%). II.2.1.3.5 Comentarii privind populaţia - demografia Există diversitate etnică care poate fi pusă în valoare datorită abordării LEADER. Populaţia cunoaşte la ora actuală un proces de regres accentuat datorat îmbătrânirii, scăderii fertilităţii şi migraţiei. În perspectivă, aceste fenomene vor creşte în intensitate şi vor genera efecte multiple în societate. Se pot distinge două intervale distincte ca evoluţie, şi anume perioada 2003-2010, cu o scădere moderată într-un ritm mediu de 0,2%/an şi 2010-2025, perioadă în care fenomenele demografice intră în declin accentuat-scădere cu 0,54%/an. Factorul cel mai important care va influenţa acest fenomen este scăderea naturală. La nivel naţional, judeţul Covasna va avea şi în anul 2025 ca şi în anul 2003, cel mai mic număr de tineri, conform prognosticului complex. Populaţia vârstnică a crescut continuu în ultimii 50 ani, atât numeric cât şi procentual. Procesul de îmbătrânire demografică va continua. Raportul de dependenţă arată că în 2003, la 1,000 persoane potenţial active (15-64 ani) reveneau 437 persoane inactive (0-14 ani şi peste 65 ani). În 2025, la numărul persoanelor inactive va creşte la 453. Din punct de vedere a raportului tineri/bătrâni, în 2003, la nivel regional, la 1,000 de tineri reveneau 719 bătrâni, iar în 2025, raportul se va modifica în favoarea bătrânilor (1,282 bătrâni la 1,000 tineri) datorită procesului de îmbătrânire accelerată. Declinul demografic va afecta judeţul Covasna, dar nu scăderea în sine a numărului populaţiei este evoluţia cea mai îngrijorătoare, ci faptul că acestei evoluţii i se asociază o degradare continuă a structurii pe vârste datorată procesului de îmbătrânire a populaţiei, ceea ce înseamnă, că grupele tinere de vârstă se vor diminua, în schimb cele de vârstă înaintată vor creşte. Fenomenul de îmbătrânire a populaţiei coroborat cu migraţia populaţiei tinere în afara judeţului va cauza în termeni de zece ani diminuarea populaţiei în vârstă de muncă cu 10,000- 14,000 de persoane.
  • 34.
    În viitorul apropiatpe piaţa forţei de muncă se va resimţi un deficit de forţă tânără de lucru, grupa de vârstă între 15 şi 25 de ani se va reduce în mod evident. Pe piaţă vor lipsi tinerii specializaţi în diverse profesii, datorită insuficienţei numărului de persoane. Profesiile cele mai afectate vor fi cele din domeniul IT, medicină, automatizări, construcţii şi instalaţii, etc. Reducerea numărului populaţiei tinere, care reprezintă un potenţial pentru dezvoltarea unei anumite zone, poate deveni un factor perturbator de limitare al dezvoltării. Se constată o tendinţă contrară privind migraţia internă, aceasta manifestându-se dinspre rural spre urban. Rata netă de migrare internaţională este, de asemenea, semnificativă şi este legată în principal de categoria de vârstă mai tânără, din spaţiul rural. Migrarea în străinătate se manifestă, dar nu creează probleme sociale. Nu se manifestă separări ale membrilor familiilor, nu există copiii ce rămân în grija rudelor din ţară. Cu toate acestea migrarea în exterior a populaţiei tinere, alături de îmbătrânirea populaţiei rurale, conduce la un declin al forţei de muncă disponibile. Investiţiile din mediul rural trebuie bine fundamentate datorită procesului de îmbătrânire a populaţiei de la sate şi lipsei de atractivitate pentru acele aşezări care nu au potenţial de dezvoltare.
  • 35.
    II.2.1.4 Patrimoniu demediu 8 II.2.1.4.1 Relief Relieful potenţialului GAL ”Alutus” aparţine unei singure unităţi de relief – Carpaţii Orientali, cu următoarele subunităţi: Munţii Harghita – situaţi în N-V GAL, cu altitudinea medie cuprinsă între 520 – 1558 m, pantă între 10 –50 %, suprafaţă de 33,900 ha, au pe teritoriul GAL următoarea subdiviziune: etajul platoului vulcanic, depresiunea Ozunca – Bixad Munţii Bodoc - situaţi în partea sudică a GAL cu altitudinea medie cuprinsă între 600 – 1,240 m, panta între 20 –50 %, suprafaţă de 40,500 ha, sunt delimitaţi spre V, S si E de depresiuni tectonice (Bixad si Braşov) Munţii Baraolt - situaţi în partea de V a GAL, cu altitudinea medie cuprinsă între 490 – 1,019 m, pantă între 20 –50 %, suprafaţa de 44,000 ha, puternic afectaţi de o reţea de falii tectonice, rezultând, prin urmare, o serie de subunităţi: a) subunităţi muntoase (Hatod, Şugaş, Ariuşd Dealul Fagului) separate prin depresiuni; b) subunităţi depresionare tectonice cu altitudine medie de 608 m (Băţani, Bodoş, Aita Seacă, Aita Medie, Cocoş, Valea Mică, Belin Vale – toate alcătuind culoarul depresionar Băţani – Belin Vale; Iarăş, Debren, Vâlcele); c) subunităţi depresionare de eroziune (670 m)- reprezintă nişte lărgiri ale unor văi – Hetea si Valea Zălanului. Munţii Perşani ( denumiţi si Munţii Vârghişului)- situaţi în extremitatea vestică a GAL, cu altitudinea medie cuprinsă între 470 – 893 m, pantă între 20 – 50 %, suprafaţa de 7,180 ha, au relief mai variat datorită apariţiei unor suprafeţe cu roci mai dure – calcare si magmatite mezozoice. II.2.1.4.2 Geologie Din punct de vedere geologic, zona aparţine unităţii Carpaţilor Orientali a cărei evoluţie desfăşurată în mai multe cicluri de sedimentare afectate de cicluri tectonice, faze de activitate vulcanică si eroziune, au determinat complexitatea structurală si petrografia. Sub aspect stratigrafic, depozitele acumulate aparţin mezozoicului si paleogen – neogenului (zona flişului, zona vulcanitelor neogene si extremitatea vestică a zonei cristalino-mezozoice, care se suprapun reliefului muntos). În ansamblu, formaţiunile geologice de suprafaţă din sunt reprezentate de: 1. roci eruptive 2. roci sedimentare mezozoice 3. roci sedimentare paleogene 4. roci sedimentare cuaternare Din punct de vedere morfostructural teritoriul judeţului Covasna aparţine unităţii Carpatice muntoase care în acest sector are 3 subunităţi: a) subunitatea de flis (munţii din sudul Carpaţilor Orientali) b) subunitatea neovulcanică (munţii Harghita) 8 http://www.apmcv.ro/veche/html/2007.html
  • 36.
    II.2.1.4.3 Biodiversitate Habitate naturale 9 Nr. Cod NATURA Tip de habitat crt. 2000 Categoria 2 Habitate de ape dulci 1 Lacuri eutrofe naturale cu vegetaţie de tip Magnopotamion sau 3150 Hydrocharition 2 Vegetaţie herbacee de pe malurile râurilor montane 3220 3 Tufărişuri dacice de cătină mică 3230 Nr. Cod NATURA Tip de habitat crt. 2000 Categoria 3 Habitate de pajişti si tufărişuri 4 Pajişti alpine si boreale 4060 5 Tufărişuri sud-est carpatice de afin cu iarbă neagră 4030 6 Tufărişuri sud-est carpatice de jneapăn cu smirdar 4070 7 Tufărişuri ponto panonice de migdal pitic 40A0* Pajişti naturale 8 Pajişti boreale si alpine pe substrat silicios 6150 9 Pajişti calcifile alpine si subalpine 6170 10 Pajişti uscate seminaturale si faciesuri de acoperire cu tufişuri pe 6210 substrat calcaros 11 Pajişti montane de Nardus bogate în specii, pe substraturi 6230 silicioase 12 Asociaţii de lizieră cu ierburi înalte de la nivelul câmpiilor la cel 6430 montan si alpin 13 Pajişti aluviale de Chidion dubii 6440 14 Pajişti de altitudine joasă 6510 15 Fâneţe montane 6520 Nr. Cod NATURA Tip de habitat crt. 2000 Categoria 4 Habitate din turbării si mlaştini 16 Turbării active 7110 17 Mlaştini turboase de tranziţie si turbării oscilante 7140 9 OUG 57/2007 referitor la regimul ariilor protejate, anexa 2
  • 37.
    Nr. Cod NATURA Tip de habitat crt. 2000 Categoria 5 Habitate de stâncării si peşteri 18 Grohotişuri silicioase din etajul montan până la cel alpin 8110 19 Grohotişuri medioeuropene calcaroase ale etajelor colinar si 8160 montan 20 Versanţi stâncoşi cu vegetaţie chasmofitică pe roci calcaroase 8210 21 Peşteri închise accesului public 8310 Nr. Cod NATURA Tip de habitat crt. 2000 Categoria 6. Habitate de pădure 22 Păduri de fag tip Luzulo-Fagetum 9110 23 Păduri de fag tip Asperulo-Fagetum 9130 24 Păduri de stejar cu carpen de tip Galio-Carpinetum 9170 25 Păduri de Tilio-Acerion pe versanţi abrupţi , grohotişuri si 9180 ravene 26 Păduri acidofile cu Picea din etajele alpine montane 9410 27 Turbării cu vegetaţie forestieră 91D0* 28 Păduri aluviale cu Alnus glutinosa si Fraxinus excelsior 91E0 29 Păduri dacice de fag 91V0 30 Păduri relictare de Pinus sylvestris 91Q0 31 Păduri dacice de stejar si carpen 91Y0 Flora şi fauna sălbatică Din inventarul speciilor rezultă că există 5 specii de plante, 98 specii de păsări si 54 specii de animale de interes comunitar. LISTA SPECIILOR CARE PREZINTĂ INTERES PE PLAN JUDEJEAN Nr. crt. Denumirea stiin0ifică Denumirea populară 1 Adonis vernalis Rusculiţa primăvăratică 2 Aconitum moldavicum Omag 3 Aldrovanda vesiculosa - 4 Amygdalus nana Migdal pitic 5 Andromeda polifolia Ruginare 6 Asparagus officinalis Asparag 7 Bruckenthalia spiculifolia Coacăză 8 Caldesia parnassifoliaa Caldesia 9 Calla palustris Coada zmeului 10 Calluna vulgaris Iarbă neagră 11 Castanea sativa Castan comestibil 12 Comarum palustre Mapta degete 13 Crocus vernus Brânduşa de primăvară
  • 38.
    Nr. crt. Denumirea stiin0ifică Denumirea populară 14 Cypripedium calceolus Papucul doamnei 15 Daphne cneorum Tulichină 16 Daphne mezereum Tulichină 17 Dianthus spiculifolius Garofiţă 18 Dictamnus albus Frăsinel 19 Drosera rotundifolia Roua cerului 20 Erythronium dens-canis Măseaua ciutei 21 Fritillaria meleagris Laleaua pestriţă 22 Gladiolus palustris Sabiuţă 23 Gynko biloba Gynko 24 Hepatica transsilvanica Crucea voinicului 25 Hepatica nobilis Crucea voinicului 26 Iris germanica Stânjenel 27 Lilium martagon Crin de pădure 28 Lysimachia thyrsiflora Găbăjoară 29 Narcissus angustifolius Narcisă 30 Nuphar luteum Nufăr galben 31 Nymphea alba Nufăr alb 32 Pedicularis palustris Darie 33 Pedicularis sceptrum carolinum Darie 34 Pulsatilla Montana Dediţei 35 Pulsatilla patens Dediţei 36 Salvia nutans Salvie 37 Spiraea salicifolia Cununiţă 38 Stellaria longifolia Rocoţea 39 Stipa joannis Colilie 40 Taxus baccata Tisă 41 Trientalis europaea Trientalis 42 Trollius europaeus Bulbuci de munte 43 Utricularia bremii Orăţel 44 Utricularia vulgaris Orăţel 45 Vaccinium oxycocos Răchiţele Specii din flora si fauna sălbatică valorificate economic inclusiv ca resurse genetice - specii de plante sălbatice valorificate economic în judeţ: - plante medicinale (podbal, păpădie, tei, muguri de brad si pin, sunătoare, salcâm, salvie, afin, crusân, cimbrişor) - fructe de pădure (frăguţe, afin, zmeură, mure, măcieşe, mere si pere pădureţe, castan porcesc, ghindă) - ciuperci (hribi, gălbiori, ghebe, iuţari)
  • 39.
    II.2.1.4.4 Ape Râuri Importantele resurse acvifere, alcătuite din depozitele aluvionare, au rezerve bogate. Aria este foarte bogată in izvoare de ape minerale răspândite pe tot teritoriul său. Cele mai multe izvoare de ape minerale se înşiruie de-a lungul a două linii orientate pe direcţia nord-sud, dintre care prima, pe versantul vestic al Munţilor Bodoc (izvoarele de la, Bixad, Micfalău, Malnaş - Băi, Bodoc, Arcuş, toate având ape carbogazoase, cloruro- sodice, bicarbonate, potasice, calcice, magneziene etc. Unele izvoare de ape minerale din zonă au fost cunoscute de oameni încă din antichitate. Astfel, cu ocazia amenajării bazinului izvorului Lukaskő de la Doboşeni (SIRUTA: 64069, Comuna: BRĂDUŢ) s-au găsit cioburi de ceramică romană. Primele documente scrise despre localităţile, vestite pentru apele lor curative, datează din secolul al XVI-lea. În aceste cronici ale evului mediu sunt amintite şi izvoarele curative din Olteni (1591) (SIRUTA: 63919, Comuna: BODOC), Zălan (1593) (SIRUTA: 63928, Comuna: BODOC). Primele menţiuni scrise despre apele sulfuroase sunt cunoscute din secolul al XVII-lea. La ora actuală doar o mică parte a acestei resurse importante este exploatată prin îmbuteliere sau prin utilizare balneo-terapeutică. Firmele de îmbuteliere a apelor minerale din judeţul Covasna. Nr. Logo/denumire Firma Localitatea crt. produs 1. SC Bibco SA Biborţeni (SIRUTA: 63465, ORAŞ BARAOLT) Aqua viva, Aqua magnesia, Aqua leggera 2. SC Perla Covasnei Malnaş Băi (SIRUTA: 64540, Comuna: Perla Covasnei SA MALNAŞ) 3. SC Favorit SA Bodoc (SIRUTA: 63900) Bodoc Oltul este principala arteră hidrografică. Colectează apele majorităţii râurilor ce străbat radiar teritoriul. Oltul, are un curs domol, meandrat, cu maluri joase, frecvent inundabile la ploi abundente. Debitul mediu anual al Oltului este de 7,85 m3/s la intrarea în judeţ (postul Micfalău) şi creşte la 27 m3/s la ieşire (postul Araci). Reţeaua hidrografică dezvoltată, bogăţia izvoarelor minerale si diversitatea conţinutului lor in săruri fac ca teritoriul să dispună de un potenţial însemnat de resurse de apă. Resursele de apă -B.H. OLT –sector: Bixad confl. cu R. Negru 358,3 mil. mc -B.H. Cormos 222,1 mil. mc -B.H. Aita 18,4 mil. mc -B.H. Ozunca 12,6 mil. mc -B.H. Baraolt 27,7 mil. mc -B.H. Vîrghis 90,5 mil. mc
  • 40.
    Clase de calitate/categorii de calitate Potabilizare: P Tip monitoring: S, O, R, (R*, CBSD), IH, HS, CAPM, ZV, CI si IC Tip Stare Râul Secţiunea Indic Monitoring Indic. de Încadr. chimică Încadr. RTA RO NUTR SAL PTSON AICR de calit finală Prioritate calit /pericul Fe Micfalău O(N), IH - - I II II I I I II B total R.Olt O(N), IH, Ilieni - - I II II I II I II P(Cu, Pb) ZV, CAPM Amonte HS, R - - I II I I I* II II - Filia pr. CBO5, Cormos Amonte coliformi P, HS A2 - - - - - - - - - captare totali si fecali pr. O(SO, N), Baraolt - - I V III I II II IV-V B Baraolt IH Amonte pr. Băşanii R, IH - - I I I I I* I I - Ozunca Mari Amonte pr. Aita Aita R, IH - - I I I I I* I I - Medie * - s-a determinat un singur indicator de calitate – Fe total fiind considerat poluant natural Din punct de vedere biologic, in secţiunile de supraveghere ale apelor de suprafaţă, calitatea apelor este încadrat in clasele I, II si III de calitate.
  • 41.
    Prescurtări folosite: - pentrugrupe de indicatori: RTA – regim termic de acidifiere RO – regim de oxigen NUTR – regim de nutrien_i SAL – grad de mineralizare PTSON – poluan_i toxici specifici de origine naturală AICR – indicatori chimici relevanţi (fenoli, detergenţi, AOX) - pentru tipul de monitoring: S – supraveghere: O – operaţional R, R* (râuri cu secare temporară) CBSD – cea mai bună secţiune disponibilă – referinţă IH – ihtiofaună HS – habitate si specii CAPM – corp de apă puternic modificat ZV – zone vulnerabile CI – convenţii internaţionale IC – intercalibrare Lacuri Lacul Belin are suprafaţa de 3 ha, fiind sensibil la varia_iile termice si la cantitatea precipitaţiilor. Alimentarea lacului este deficitară, mai ales in lunile de vară când este secetă. Media Media Media O2 Media index Media index CCOMn CBO5 dizolvat saprobic saprobic Clasa de Lacul mgO2/l mgO2/l mgO2/l zooplancton fitobentos calitate Belin 6.66 5.5 8.11 1.44 2 III Lacul Belin - elemente biologice index index Luna saprobic zooplancton 1.55 saprobic fitobentos 2.17 Apr-07 1.6 2.12 1.65 1.74 Media 1.6 2.01 1.08 3.99 Jun-07 1.45 2.23 1.42 1.72 Media 1.316666667 2.646666667 1.77 1.26 Aug-07 1.43 1.52 1.03 1.32 Media 1.41 1.366666667
  • 42.
    Lacul Belin (calitateaapei din punct de vedere chimic) Luna pH CCOMn O2 dizolvat CBO5 8,7 3,17 5,01 2,24 apr.07 8,16 3,72 6,3 2,9 8,17 3,49 5,63 2,28 Media 8,34 3,46 5,64 2,47 8,54 3,55 10,19 3,14 iun.07 8,11 5,22 6,41 5,46 8,07 5,06 5,97 2,45 Media 8,24 4,61 7,52 3,68 8,8 12,07 10,1 9,53 aug.07 8,8 11,75 9,93 9,17 8,94 11,91 13,5 12,35 Media 8,84 11,91 11,17 10,35 Arii naturale protejate Lista ariilor protejate cu o suprafaţă de 33.273 ha, puse sub protecţie provizorie propuse de Consiliul Judeţean Covasna 10 Numele zonei Suprafaţa în ha Rezervaţia geologica Bodvai 216.00 Rezervaţia paleontologica Galat 3.1.00 Rezervaţia ornitologica Doboşeni 1.50 Rezervaţia botanica Kankoskert 3.00 Valea Vârghişului zona carstica Godra 2,970.00 Rezervaţia de la Micloşoara 5.00 Rezervaţia Kop 2.50 Rezervaţia geologica Vl. Crişului 2.00 Mlaştina Ozunca Băi 6.00 Rezervaţia Cheile Vârghişului cu zona tampon în judeţul Covasna prezintă numeroase fenomene carstice. Cheile Vârghişului cu acces din localitatea Vîrghiş sunt deosebite si din punct de vedere carstic prin cele 122 de peşteri cât si datorită peisajului creat de cursul Vîrghişului în aceste calcare. Prezentarea zonelor existente sau propuse pentru reţeaua Natura 2000 şi/sau rezervaţi 11: Caracteristici principale (clasificarea directivelor Numele zonei Suprafaţa în ha privind Habitatele, Păsări, Habitate şi Păsări) Herculian 12,846.00 pSCI OM 1964/2008 Cheile Vârghişului 830.00 pSCI 1964/2008 Munţii Bodoc Baraolt 58,021.00 SPA HG. 1284/2007 Aria acoperită de potenţialul GAL se situează într-o zonă de munte, sub-alpină, cu temperatură medie relativ scăzută. Teritoriul este drenat de o reţea hidrografică bine organizată, cu debite ridicate în tot cursul anului, cu un caracter convergent. Densitatea a reţelei hidrografice este variază între 0,40-0,70 km/km2. 10 prin Hotărârea 75/2006 la nivel de judeţ 11 http://www.arpm7c.ro/Harta-arii-naturale-protejate-4111
  • 43.
    Pe lângă izvoarelede apă minerală, aerul ozonat, puternic ionizat, în special în ioni negativi conferă multor zone din judeţ caracteristici climaterice exploatabile în scopuri terapeutice. Turismul balnear este probabil forma de turism cu cea mai mare tradiţie din zonă, începuturile acestuia datându-se din secolul al XVIII-lea. Perioada de glorie a turismului balnear din judeţ a fost începând cu secolul al XIX-lea până la mijlocul secolului al XX-lea. Spiritualitatea spaţiului rural, mediul nealterat, gastronomia specifică atrag anual din ce în ce mai mulţi turişti. Aceste ultime două elemente sunt componentele cele mai pregnante ale unei identităţii locale puternice. II.2.1.4.5 Comentarii privind patrimoniul de mediu Calitatea aerului: În judeţul Covasna, nu se efectuează determinări asupra nivelului poluării de fond. 12 Studiul comparativ al poluanţilor cu concentraţiile maxime admisibile din atmosfera liberă a oraşelor (unde se înregistrează cele mai semnificative poluări atmosferice) judeţului Covasna a relevat faptul că atmosfera acestora este de bună şi de foarte bună calitate, valorile medii anuale ale acestora fiind cu mult sub limitele maxime admise, şi chiar şi depăşirile accidentale ale maximelor pe termen scurt sunt foarte rare. 13 Calitatea apelor de suprafaţă: În judeţul Covasna apele de suprafaţă au în general calitate bună. Apele râului Olt, pe sectorul Bixad (intrarea Oltului in judeţ) - Araci (ieşirea Oltului din judeţ), sunt corespunzătoare din punct de vedere calitativ, nedepăşindu-se gradul II de calitate, conform STAS 4706/88. 14 Poluările apelor de suprafaţă sunt, cu câteva excepţii, accidentale şi de scurtă durată. Principalii poluanţi sunt suspensiile antrenate de apele meteorice, atât de pe platformele industriale ale celor două municipii, cât şi de pe reţeaua stradală a localităţilor. Astfel, se evacuează în râul Olt, cantităţi însemnate de hidrocarburi policiclice aromate (HPA), care au un efect cancerigen. Suspensiile, asociate cu HPA, rezultă din bitumul acoperirilor asfaltice - mai ales din cel proaspăt, utilizat în reparaţia străzilor, dar mai ales de pe platformele industriale, care au porţiuni întinse din incintă acoperite cu uleiuri şi produse petroliere. 15 Calitatea apelor subterane: Raportul Direcţiei de Sănătate Publică a judeţului Covasna constată că, din totalul probelor de apă recoltate şi analizate numai 53,90% se încadrează în limita de admisibilitate a nitraţilor (sub 45 mg-dm3). Această situaţie se datorează în cea mai mare măsură nepăsării şi neglijenţei populaţiei, şi anume: • utilizării pe scară largă şi fără discernământ a îngrăşămintelor chimice; • poluarea solului cu ape reziduale organice, care prin descompunere pun în libertate nitraţi şi nitriţi; • depozitarea reziduurilor menajere şi animale în apropierea surselor de apă. Cele mai afectate localităţi în privinţa concentraţiei de nitraţi sunt următoarele: Aita Mare şi Belin. 12 PLAN DE DEZVOLTARE A JUDEŢULUI COVASNA PE TERMEN MEDIU (2006 – 2013), AGENDA 21 LOCALĂ A JUDEŢULUI COVASNA, pag. 246 13 Strategia de dezvoltare pe termen mediu a judeţului Covasna, pag. 107 14 Strategia de dezvoltare pe termen mediu a judeţului Covasna, pag. 108 15 Strategia de dezvoltare pe termen mediu a judeţului Covasna, pag. 108
  • 44.
    Din datele furnizatede Sistemul de Gospodărire a Apelor, se poate observa că apele subterane din judeţ sunt caracterizate de concentraţii mari în fier total, atingând în unele zone 7 mg/l. Acest aspect este legat de condiţiile geologice din judeţ, deci are cauze naturale, nu antropice. 16 Starea solurilor: Se constată o agresiune manifestată asupra solului provocată atât de factorii naturali, cât şi prin intervenţia brutală a omului - poluări produse prin utilizarea necorespunzătoare a substanţelor fitosanitare şi îngrăşămintelor chimice, precum şi erodare datorită alunecărilor de teren şi viiturilor (cauzate de defrişări şi de întreţinerea necorespunzătoare a digurilor de protecţie). 17 Elemente de identitate locală Zona montană, izvoarele/băile de ape minerale, vânatul/pescuitul sportiv, mai nou echitaţia – fac parte integrantă, uneori chiar hotărâtoare a identităţii locale. Aceste elemente sunt percepute generic de locuitorii zonei ca şi „frumuseţi ale naturii”. Rezervaţiile, ariile naturale protejate, siturile Natura 2000 nu reprezintă o prioritate conştient asumată. Deşi majoritatea acestor arii sunt aproape intacte, acest fapt se datorează în primul rând a fluxului redus de turişti (infrastructură de transport, balneară, de servicii turistice precară) şi a reducerii activităţii agricole. Altminteri folosirea neraţională a fertilizanţilor chimici şi a pesticidelor, acolo unde este acest lucru se întâmplă, afectează serios moştenirea naturală. Locuitorii zonei văd cel mai des ca breşă de scăpare din situaţia actuală, promovarea turismului. Vizavi de această opinie destul de răspândită, GAL ia în consideraţie potenţialul agro-turistic ca una dintre şansele de ieşire din actuala situaţie. Susţinerea mediului este un şansa strategică a zonei. Diferitele forme de compensaţii atribuite fermierilor şi/sau administratorilor corelate cu informarea intensă şi asistenţa prin consultanţă pot duce la ameliorarea situaţiei actuale. 16 Strategia de dezvoltare pe termen mediu a judeţului Covasna, pag. 109 17 Strategia de dezvoltare pe termen mediu a judeţului Covasna, pag. 110
  • 45.
    II.2.1.5 Patrimoniu arhitecturalşi cultural Aria geografică a potenţialului GAL „Alutus” are clasificate 49 biserici şi mănăstiri, 46 case – gospodării tradiţionale, 119 situri arheologice, 21 cetăţi şi castele. Se înregistrează în mod oficial 9 obiective de patrimoniu dispărute. Patrimoniul arhitectural, împreună cu cel imaterial, conferă un profil specific acestei zone. Acest patrimoniu reflectă o mixtură multiculturală a tradiţiilor a patru confesiuni: reformată, romano-catolică, unitariană şi ortodxă, Punerea în circuitul turistic internaţional al castelului Kálnoky de la Micloşoara este un exemplu relevant de bună practică în exploatarea resurselor endogene. Contabilizarea oficială a dispariţiei unor obiective de patrimoniu atrage atenţia asupra unui risc ce poate fi diminuat cu instrumentele Politicilor de Dezvoltare Rurală. Poate cel mai puternic element în menţinerea unei identităţi locale este patrimoniul construit. Aceasta poate fi una din principalele resurse endogene ce merită a fi valorificate. Punerea în valoare a acestor resurse ale moştenirii culturale, împreună cu mediul înconjurător, mediu al cărui degradare definitivă poate fi stopată şi reconvertită spre o dezvoltare durabilă, este – în percepţia localnicilor – una dintre căile de ameliorare a condiţiilor de viaţă. Condiţiile climatice sunt severe – de munte. Aria geografică acoperită de către potenţialul GAL se caracterizează prin dominanţa activităţilor de subzistenţă. Competenţele specifice sunt pe cale de dispariţie, până în prezent neputând fi surse de valoare adăugată. Patrimoniul arhitectural şi cultural local la olaltă cu agricultura, zootehnia, industria de prelucrarea a produselor zootehnice, exploatarea lemnului şi prelucrarea acestuia, industria alimentară etc., pot sprijini dezvoltarea zonei prin diversificarea economiei rurale. Printr-o abordare integrată, având ca scop generarea de valoare adăugată, se poate iniţia dezvoltarea locală durabilă. II.2.1.5.1 biserici şi mănăstiri; 18 biserici şi mănăstiri 49 AITA MARE 6 AITA MARE, SIRUTA:63786 3 AITA MEDIE, SIRUTA:63795 3 ARCUŞ 3 ARCUŞ, SIRUTA:64924 3 BĂŢANI 3 AITA SEACĂ, SIRUTA:63820 1 BĂŢANII MARI, SIRUTA:63811 2 BELIN 4 BELIN, SIRUTA:63875 4 BIXAD 1 BIXAD, SIRUTA:64522 1 18 http://www.cultura.ro/sectiuni/Patrimoniu/Monumente/lista/covasna.pdf
  • 46.
    biserici şi mănăstiri 49 BODOC 6 BODOC, SIRUTA:63900 3 ZĂLAN, SIRUTA:63928 3 BRĂDUŢ 5 DOBOŞENI, SIRUTA:64069 1 FILIA, SIRUTA:64078 3 TĂLIŞOARA, SIRUTA:64087 1 GHIDFALĂU 4 GHIDFALĂU, SIRUTA:64354 3 ZOLTAN, SIRUTA:64381 1 ORAŞ BARAOLT 11 BARAOLT, SIRUTA:63456 4 BIBORŢENI, SIRUTA:63465 1 CĂPENI, SIRUTA:63483 3 RACOŞUL DE SUS, SIRUTA:63508 3 VALEA CRIŞULUI 3 VALEA CRIŞULUI, SIRUTA:64915 3 VÂRGHIŞ 3 VÂRGHIŞ, SIRUTA:65002 3 Cod LMI 2004 biserici şi mănăstiri 49 AITA MARE 6 AITA MARE, SIRUTA:63786 2 1 Ansamblul bisericii unitariene sec. XIV-XIX CV-II-a-A-13117 2 Biserica unitariană sec. XIV, transf. sec. XV-XVI CV-II-m-A-13117.01 3 Biserica "Sf. Gheorghe” 1866 CV-II-m-B-13115 AITA MEDIE, SIRUTA:63795 3 4 Ansamblul bisericii reformate sec. XVI-XVIII CV-II-a-B-13118 5 Biserica reformată sec. XVI, transf. 1777, 1795, 1882. CV-II-m-B-13118.01 6 Zid de incintă cu turn-clopotniţă 1794 CV-II-m-B-13118.02 ARCUŞ 3 ARCUŞ, SIRUTA:64924 3 7 Ansamblul bisericii unitariene fortificate sec. XVI-XIX CV-II-a-A-13127 8 Biserica unitariană 1568, ref., ext. 1830- 1844 CV-II-m-A-13127.01 9 Capelă sec. XIX CV-II-m-A-13128.02 BĂŢANI 3 AITA SEACĂ, SIRUTA:63820 1 10 Biserica reformată 1790, ref. şi turn 1804 CV-II-m-B-13119 BĂŢANII MARI, SIRUTA:63811 2 11 Biserica reformată sec. XV, transf. 1679, 1798-1801 CV-II-m-A-13134 12 Biserica catolică CV-II-m-B-20287
  • 47.
    Cod LMI 2004 BELIN 4 BELIN, SIRUTA:63875 4 13 Ansamblul bisericii unitariene sec. XVI-XIX CV-II-a-A-13140 14 Biserica "Adormirea Maicii Domnului” 1776 CV-II-m-A-13138 15 Biserica unitariană 1893-1895 CV-II-m-A-13140.01 16 Biserica reformată 1770 (biserica), 1911 (turn) CV-II-m-B-13141 BIXAD 1 BIXAD, SIRUTA:64522 1 Biserica "Sf. Gheorghe” 1712, ref. 1835 CV-II-m-A-13149 BODOC 6 BODOC, SIRUTA:63900 3 18 Ansamblul bisericii reformate sec. XV-XIX CV-II-a-A-13150 19 Biserica reformată sec. XV, transf. 1651, sec. XVIII-XIX CV-II-m-A-13150.01 20 Zid de incintă cu turn-clopotniţă sec. XVIII CV-II-m-A-13150.02 ZĂLAN, SIRUTA:63928 3 21 Ansamblul bisericii reformate sec. XIV-XVII CV-II-a-A-13334 22 Biserica reformată 1319, transf. 1821-1825 CV-II-m-A-13334.01 23 Zid de incintă cu turn clopotniţă sec. XVII CV-II-m-A-13334.02 BRĂDUŢ 5 DOBOŞENI, SIRUTA:64069 1 24 Biserica ortodoxă sec. XIX CV-II-m-B-13210 FILIA, SIRUTA:64078 3 25 Ansamblul fostei biserici romano-catolice sec. XIII-XVII CV-II-a-A-13214 26 Biserică romano-catolică (ruine) sec. XIII-XVII CV-II-m-A-13214.01 27 Capelă sec. XVI CV-II-m-A-13214.02 TĂLIŞOARA, SIRUTA:64087 1 Biserica veche românească CV-II-m-B-20306 GHIDFALĂU 4 GHIDFALĂU, SIRUTA:64354 3 29 Ansamblul bisericii reformate sec. XV-XVIII CV-II-a-A-13218 30 Biserica reformată sec. XIII-XVII, transf. 1787 CV-II-m-A-13218.01 31 Zid de incintă cu turn de poartă sec. XV CV-II-m-A-13218.02 ZOLTAN, SIRUTA:64381 1 Biserica reformată 1792 CV-II-m-B-13338
  • 48.
    Cod LMI 2004 ORAŞ BARAOLT 11 BARAOLT, SIRUTA:63456 4 33 Ansamblul bisericii romano-catolice ”Sf. Adalbert" sec. XVI-XIX CV-II-a-A-13132 34 Biserica romano-catolică " Sf. Adalbert" 1564, ref. 1691, 1760, 1821 CV-II-m-A-13132.01 35 Zid de incintă, cu turn-clopotniţă sec. XVIII CV-II-m-A-13132.02 36 Capela romano-catolică "Sf. Maria Mică" 1755 CV-II-m-B-13130 BIBORŢENI, SIRUTA:63465 1 37 Biserica reformată sec. XIII-XIV, transf sec. XVI, 1761, CV-II-m-A-13145 CĂPENI, SIRUTA:63483 3 38 Ansamblul bisericii reformate sec. XIV-XIX CV-II-a-A-13160 39 Biserica reformată sec. XIV, transf. 1767, 1794, sec. XIX CV-II-m-A-13160.01 40 Zid de incintă, cu turn-clopotniţă 1802 (turn), 1818- 1819 (incintă) CV-II-m-A-13160.02 RACOŞUL DE SUS, SIRUTA:63508 3 41 Ansamblul bisericii unitariene sec. XVIII CV-II-a-B-13257 42 Biserica unitariană sec. XVIII CV-II-m-B-13257.01 43 Zid de incintă cu turn-clopotniţă sec. XVIII CV-II-m-B-13257.02 VALEA CRIŞULUI 3 VALEA CRIŞULUI, SIRUTA:64915 3 44 Ansamblul bisericii romano-catolice "Sf. Treime" sec. XIII-XIX CV-II-a-A-13303 45 Biserica romano-catolică "Sf. Treime" sec. XIII-XVI, transf. sec. XVII CV-II-m-A-13303.01 46 Ruinele capelei (Veresbaratok Tornya) sec. XV CV-II-m-B-13304 VÂRGHIŞ 3 VÂRGHIŞ, SIRUTA:65002 3 47 Ansamblul bisericii de lemn "SF. ARHANGHELI" sec. XIX CV-II-a-B-13312 48 Biserica de lemn "Sf. Arhangheli” 1807 CV-II-m-B-13312.01 49 Clopotniţă de lemn sec. XIX CV-II-m-B-13312.02
  • 49.
    II.2.1.5.2 case memoriale;19 casă memorială 46 AITA MARE 4 AITA MARE, SIRUTA:63786 4 BĂŢANI 2 BĂŢANII MARI, SIRUTA:63811 2 BELIN 4 BELIN, SIRUTA:63875 4 BODOC 2 BODOC, SIRUTA:63900 2 BRĂDUŢ 1 FILIA, SIRUTA:64078 1 ORAŞ BARAOLT 2 BARAOLT, SIRUTA:63456 1 CĂPENI, SIRUTA:63483 1 VALEA CRIŞULUI 2 VALEA CRIŞULUI, SIRUTA:64915 2 VÂRGHIŞ 29 VÂRGHIŞ, SIRUTA:65002 29 casă memorială 46 AITA MARE 4 AITA MARE, SIRUTA:63786 4 1 Ansamblul conacului Dónáth sf. sec. XIX CV-II-a-B-13116 2 Conacul Dónáth sf. sec. XIX CV-II-m-B-13116.01 3 Grânar sf. sec. XIX CV-II-m-B-13116.02 4 Poartă sf. sec. XIX CV-II-m-B-13116.03 BĂŢANI 2 BĂŢANII MARI, SIRUTA:63811 2 5 Casă cu arcade sec. XIX CV-II-m-B-13133 6 Şură sec. XIX CV-II-m-B-20288 BELIN 4 BELIN, SIRUTA:63875 4 7 Casă sec. XIX CV-II-m-B-13139 8 Casă sec. XVIII CV-II-m-B-13142 9 Casă 1868 CV-II-m-B-13143 10 Casă 1885 CV-II-m-B-13144 BODOC 2 BODOC, SIRUTA:63900 2 11 Poartă de lemn (poartă secuiască) 1934 CV-II-m-B-13151 12 Poartă secuiască 1940 CV-II-m-B-13152 19 http://www.cultura.ro/sectiuni/Patrimoniu/Monumente/lista/covasna.pdf
  • 50.
    casă memorială 46 BRĂDUŢ 1 FILIA, SIRUTA:64078 1 13 Poartă sec. XIX CV-II-m-A-13215.02 ORAŞ BARAOLT 2 BARAOLT, SIRUTA:63456 1 14 Casă sec. XIX CV-II-m-B-13131 CĂPENI, SIRUTA:63483 1 15 Monumentul "1848” 1973 CV-III-m-B-13344 VALEA CRIŞULUI 2 VALEA CRIŞULUI, SIRUTA:64915 2 16 Cavoul Familiei Kalnoky sec. XIX CV-II-m-A-13303.02 17 Zid de incintă sec. XVI-XVII CV-II-m-A-13303.03 VÂRGHIŞ 29 VÂRGHIŞ, SIRUTA:65002 29 18 Gospodărie ţărănească sec. XVIII-XIX CV-II-a-A-13322 19 Gospodărie ţărănească CV-II-a-B-13315 20 Gospodărie ţărănească 1874 CV-II-a-B-13320 21 Gospodărie ţărănească 1820 CV-II-a-B-13323 22 Ansamblul conacului Imecs sec. XVII-XIX CV-II-a-B-13324 23 Casă 1773 CV-II-m-A-13322.01 24 Şură sec. XVIII-XIX CV-II-m-A-13322.02 25 Hambar sec. XVIII-XIX CV-II-m-A-13322.03 26 Fântână cu cumpănă sec. XVIII-XIX CV-II-m-A-13322.04 27 Poartă de lemn şi gard sec. XVIII-XIX CV-II-m-A-13322.05 28 Casă sec. XVIII CV-II-m-B-13313 29 Casă de zid CV-II-m-B-13314 30 Casă 1873 CV-II-m-B-13315.01 31 Şură 1873 CV-II-m-B-13315.02 32 Hambar 1873 CV-II-m-B-13315.03 33 Fântână cu cumpănă 1873 CV-II-m-B-13315.04 34 Poartă 1873 CV-II-m-B-13315.05 35 Casă 1868 CV-II-m-B-13317 36 Casă de lemn şi poartă 1879 (casa), 1910 (poarta) CV-II-m-B-13318 37 Casă şi şură înc. sec. XX CV-II-m-B-13319 38 Casă cu cerdac 1874 CV-II-m-B-13320.01 39 Gard şi poartă 1874 CV-II-m-B-13320.02 40 Casa de lemn Tóth Mihály 1844 CV-II-m-B-13321 41 Casă de lemn 1820 CV-II-m-B-13323.01 42 Poartă de lemn 820 CV-II-m-B-13323.02 43 Conacul Imecs, azi locuinţă 1779 CV-II-m-B-13324.01 44 Şură cu grajd 1843 CV-II-m-B-13324.02 45 Casă 1827 CV-II-m-B-20309 46 Casă 1920 CV-II-m-B-20310 În afară de obiectivele consacrate de patrimoniu, în zonă se găsesc case memoriale dedicate unor personalităţi importante pentru cultura zonei:
  • 51.
    Aita Mare • Casa memorială "Kriza János" • Casa parohială unitariană cu placa memorială "Kriza János" • Casa memorială Moyses Márton • Casa “Rabocskai” – cea mai veche casă din localitate • Casa de cultură „Kriza János” – construită 1904 – 1908 • Conacul „Cserey” sec. XVIII. – construcţie specifică • Casa „Darkó” • Casa şi farmacia „- Dezső Miklós” • Casa „- Polgári Léta” • Casa „Gazdag” – frontispiciu clasicist • Casa „Péterfi” – în curte grajd transformat în capelă romano-catolică • Casa „- Kutlik” • Casa „Ferenczy” – fosta maternitate, actualmente cabinet medical • Casa „- Kisgyörgy Dávid” – găzduieşte o mică colecţie istorică realizată de către Dr. Kisgyörgy Árpád şi Kisgyörgy Zoltán • Bust „Kriza János” (Péter Jecza, 1991) • Monument comemorativ al revoluţiei paşoptiste (Péter Jecza, 2000) • Monument dedicat victimelor locale ale represiunilor de după revoluţia din Ungaria din 1956, (Barta István. 2000) Aita Medie • Colecţie de mobilier ţărănesc pictat în şcoala generală „Benkő József” • Bust „- Benkő József” (1993) • Monument comemorativ al revoluţiei paşoptiste Baraolt • Muzeul Depresiunii Baraolt Băţanii Mici • Casa memorială „Benedek Elek” • Casa de cultură reformată proiectată din Koós Károly • Furnalul Bodvaly Ghidfalău • Casa memorială "Czetz János"
  • 52.
    II.2.1.5.3 monumente dispărute20 Cod 1992 BĂŢANI 9 BĂŢANII MARI, SIRUTA:63811 9 1 Gard, sec. XIX 15B0049 2 Casă, înc. sec. XIX 15B0049 3 Casă, sec. XIX 15B0049 4 Casă, 1867 15B0051 5 Casă, 1863 15B0052 6 Gard cărămidă, sec. XIX 15B0053 7 Casă de lemn, 1800 15B0053 8 Casă de lemn, sec. XIX 15B0053 9 Anexe, sec. XIX 15B0053 BELIN 1 BELIN, SIRUTA:63875 1 10 Casă, 1868 15B0062 BODOC 1 ZĂLAN, SIRUTA:63928 1 11 Conacul Sera, sec. XVII – XVIII 15B0284 ORAŞ BARAOLT 1 MICLOŞOARA, SIRUTA:63492 1 12 Ruinele bisericii vechi ortodoxe, sec. XVIII - XIX 15B0292 Total: 12 II.2.1.5.4 castre (roman, dacic etc.);21 În aria acoperită de GAL Alutus există 119 situri arheologice. AITA MARE 5 AITA MARE, SIRUTA:63786 1 AITA MEDIE, SIRUTA:63795 4 ARCUŞ 8 ARCUŞ, SIRUTA:64924 8 BĂŢANI 3 BĂŢANII MICI, SIRUTA:63839 1 HERCULIAN, SIRUTA:63848 2 BELIN 3 BELIN, SIRUTA:63875 3 BIXAD 3 BIXAD, SIRUTA:64522 3 20 http://www.cultura.ro/sectiuni/Patrimoniu/Monumente/lista/disparute.pdf 21 http://cimec.ro/scripts/ARH/RAN/sel.asp
  • 53.
    BODOC 18 BODOC, SIRUTA:63900 6 OLTENI, SIRUTA:63919 8 ZĂLAN, SIRUTA:63928 4 BRĂDUŢ 12 BRĂDUŢ, SIRUTA:64050 6 DOBOŞENI, SIRUTA:64069 4 FILIA, SIRUTA:64078 1 TĂLIŞOARA, SIRUTA:64087 1 GHIDFALĂU 21 GHIDFALĂU, SIRUTA:64354 3 ANGHELUŞ, SIRUTA:64363 10 FOTOŞ, SIRUTA:64372 4 ZOLTAN, SIRUTA:64381 4 MALNAŞ 11 MALNAŞ, SIRUTA:64531 6 MALNAŞ-BĂI, SIRUTA:64540 5 MICFALĂU 1 MICFALĂU, SIRUTA:64513 1 ORAŞ BARAOLT 20 BARAOLT, SIRUTA:63456 7 BIBORŢENI, SIRUTA:63465 5 CĂPENI, SIRUTA:63483 3 MICLOŞOARA, SIRUTA:63492 3 RACOŞUL DE SUS, SIRUTA:63508 2 VALEA CRIŞULUI 7 VALEA CRIŞULUI, SIRUTA:64915 3 CALNIC, SIRUTA:64933 4 VÂRGHIŞ 7 VÂRGHIŞ, SIRUTA:65002 7 Total: 119
  • 54.
    Cod RAN AITA MARE 5 AITA MARE, SIRUTA:63786 1 1 Topor preistoric la Aita Mare 63786.01 AITA MEDIE, SIRUTA:63795 4 Descoperirea Coţofeni de la Aita Medie - "Vârful Curat". la cca. 3,5 km NE de sat, pe malul stâng al pârâului 2 Aita 63795.01 3 Situl arheologic de la Aita Medie. in cuprinsul satului 63795.03 4 Valul de pământ de la Aita Mare - "Dealul Cetăţii". între Pârâul Cetăţii şi Păstrăvăria 63795.02 5 Aşezarea eneoltică de la Aita Medie - Tsza Berc 63795.04 ARCUŞ 8 ARCUŞ, SIRUTA:64924 8 6 Valul de pământ de la Arcuş - "Dealul Cetăţii". între pâraiele Egevsze şi Sugo 64924.04 7 Aşezarea eneolitică de la Arcuş 64924.08 8 Descoperirea izolată neolitică de la Arcuş - "punctul Lângă Sat" 64924.07 9 Două topoare de bronz eneolitice de la Arcuş - "După Cheie" 64924.02 Biserica romanică de la Arcuş - "Loc de pivniţă". la intrarea în sat, pe partea dreaptă a drumului ce duce la 10 Valea Crişului 64924.06 11 Depozitul de bronzuri de la Arcuş 64924.05 12 Situl neolitic de la Arcuş - "Vadea". la V de sat 64924.01 13 Aşezarea din epoca migraţiilor de la Arcuş - "Groapa Roşie" 64924.03 BĂŢANI 3 BĂŢANII MICI, SIRUTA:63839 1 14 Topor neolitic la Băţanii Mici 63839.01 HERCULIAN, SIRUTA:63848 2 15 Cuptoarele de redus minereul de la Herculian. la 2 km V de sat, pe malul stâng al râului Tölgyes 63848.01 16 Toporul Coţofeni de la Herculian - "Barnahágo" 63848.02 BELIN 3 BELIN, SIRUTA:63875 3 17 Situl preistoric de la Belin - "Cetatea Ciorii" 63875.03 18 Mormântul medieval de la Belin - "Hotarul satului" 63875.02 19 Depozitul de bronzuri de la Belin - "Umbra Luncii". pădurea Umbra Luncii 63875.01 BIXAD 3 BIXAD, SIRUTA:64522 3 Fortificaţia medievală de la Bixad - Cetatea Şoimilor. pe dealul Piatra Şoimilor, la confluenţa pârâului Calului 20 cu Oltul 64522.02 Situl arheologic de la Bixad - Cetatea - Vápa de la Bixad. la 2,5 km SV de Bixad, lângă gară, sub muntele 21 Murgăul Mic, pe malul drept al Oltului, între Olt şi pârâul Răchitaş 64522.01 22 Aşezarea eneolitică de la Bixad 64522.03
  • 55.
    Cod RAN BODOC 18 BODOC, SIRUTA:63900 6 23 Aşezarea Ariuşd de la Bodoc - "Pădurea mestecenilor" 63900.02 Aşezarea hallstattiană de la Bodoc. la 20 m V de şoseaua Sfântu Gheorghe - Miercurea Ciuc, în dreptul 24 indicatorului Bodoc 1 km 63900.06 25 Aşezarea Ariuşd de la Bodoc - "Cimitirul Catolic" 63900.03 26 Așezarea eneolitică de la Bodoc. în apropiere de Cetatea Comorii 63900.05 27 Situl arheologic de la Bodoc - "Sat". din cuprinsul satului 63900.04 28 Situl arheologic de la Bodoc - "Vârful cu comoară". în dreapta satului, la 7 km nord, pe malul stâng al Oltului 63900.01 OLTENI, SIRUTA:63919 8 29 Aşezarea Latene de la Olteni - "Drumul cu gropi" 63919.06 30 Situl arheologic de la Olteni - "Cetatea Fetei". la NE de sat, pe malul stâng al Oltului, la V de pârâul lui Suta 63919.01 31 Situl arheologic de la Olteni - "Castelul Miko" 63919.08 32 Situl arheologic de la Olteni-în grădina castelului Mikó. la N de sat, pe malul drept al Oltului 63919.02 33 Aşezarea Cucuteni-Ariuşd de la Olteni - "În dosul Cetăţii". între şosea şi albia Oltului 63919.04 Aşezarea Ariuşd de la Olteni - "Marginea satului". la marginea de N a satului, la 2 km N de În Dosul Cetăţii, 34 pe malul drept al Oltului 63919.05 35 Situl arheologic de la Olteni - "Cariera de nisip". la marginea de S a satului, malul drept al Oltului 63919.03 36 Cetatea medievală de la Olteni - "Vârful Cetăţii". la N de sat, între Olteni şi Malnaş, pe malul stâng al Oltului 63919.07 ZĂLAN, SIRUTA:63928 4 37 Biserica reformată din Zălan 63928.04 38 Mormântul medieval de la Zălan. în hotarul satului 63928.03 39 Fortificaţia medievală de la Zălan - "Csutakostetö-Pincevár" 63928.02 40 Situl arheologic de la Zălan - "Biserică". pe malul drept al Oltului, la 500 m E de pârâul Zălan 63928.01 BRĂDUŢ 12 BRĂDUŢ, SIRUTA:64050 6 41 Descoperirile Coţofeni de la Brăduţ 64050.05 42 Aşezarea neolitică de la Brăduţ 64050.06 43 Descoperirile paleolitice de la Brăduţ - "Agriş". în albia pârâului Agriş 64050.02 44 Deascoperirile din epoca bronzului de la Brăduţ - "Văgăuna Hoţilor" 64050.04 45 Descoperirile paleolitice de la Brăduţ - "Cormoş". în albia pârâului Cormoş 64050.01 Situl arheologic de la Brăduţ - "Dealul Rotund". la 4 km E de Brăduţ şi 3,5 km N de Biborţeni, pe platoul 46 Dealului Rotund şi al Dealului cu Cioturi 64050.03 DOBOŞENI, SIRUTA:64069 4 47 Capela romanică de la Doboşeni. în hotarul satului 64069.04 48 Situl arheologic de la Doboşeni. la extremitatea vestică a satului 64069.02 49 Aşezarea Cucuteni-Ariuşd de la Doboşeni. coada dealului 64069.01 50 Mormântul geto-dacic de la Doboşeni - "Garatfarka" 64069.03 FILIA, SIRUTA:64078 1 Ruinele bisericii parohiale a satului medieval Dobó de la Filia. sat Dobó - dispărut, la 4 km V de Filia, malul 51 drept al pârâului Cormoş 64078.01 TĂLIŞOARA, SIRUTA:64087 1 52 Depozitul de bronzuri de la Tălişoara 64087.01
  • 56.
    Cod RAN GHIDFALĂU 21 GHIDFALĂU, SIRUTA:64354 3 53 Aşezarea din epoca bronzului de la Ghidfalău. în extremitatea nordică a intravilanului 64354.01 54 Aşezarea din epoca migraţiilor de la Ghidfalău - "Şanţul Adânc" 64354.02 Aşezarea geto-dacică de la Ghidfalău - "Bedehaza". la cca. 4 km SE de sat, la 60 m în amonte de podul de 55 cale ferată, la 2,5 km de gara Sf. Gheorghe, pe malul stâng al Oltului 64354.03 ANGHELUŞ, SIRUTA:64363 10 56 Locuire neolitică la Angheluș - la casa lui Forro Zoltan 64363.09 57 Locuire neolitică la Angheluș - proprietatea C. Bojthe 64363.1 58 Situl arheologic de la Angheluş - Mestecănişul bisericii. la extremitatea nordică a intravilanului 64363.01 59 Aşezarea romană de la Angheluş - Vatra satului. în vatra satului 64363.02 Aşezarea Starcevo - Criş de la Angheluş - "Pârâul Fântânii". între Olt şi Râul Negru, pe o terasă înaltă, 60 până la valul Bobâlna 64363.03 61 Locuire neolitică la Angheluș - Kutpataka 64363.08 62 Aşezarea neolitică de la Angheluş - "punctul Valea" 64363.06 63 Situl arheologic de la Angheluş - "Telek". spre satul Beşeneu 64363.05 64 Necropola romană de la Angheluş - "Şanţul Bobâlnei" 64363.07 65 Aşezarea Cucuteni - Ariuşd de la Angheluş - "Grădina Secării" 64363.04 FOTOŞ, SIRUTA:64372 4 66 Descoperire izolate neolitice la Fotoș - Malul Spart 64372.03 67 Descoperire izolate neolitice la Fotoș - pe malul pârâului comunal 64372.04 68 Aşezarea Coțofeni de la Fotoş - "Sat". vatra satului 64372.02 69 Aşezarea geto-dacică de la Fotoş - "Grădina lui Barda" 64372.01 ZOLTAN, SIRUTA:64381 4 Situl arheologic de la Zoltan - "Nisipărie". la 100 m N de biserica reformată, peste drum de Şcoala Primară, 70 la 500 m E de râul Olt 64381.01 71 Situl arheologic de la Zoltan - "Dealul Bisericii". în spatele bisericii reformate, la E şi S de ea 64381.02 72 Aşezarea Coţofeni de la Zoltan - "Urcuş" 64381.04 73 Aşezarea Cucuteni - Ariuşd de la Zoltan - "Mestecăniş". lângă "Drumul cu Gropi" (Gödrösut) 64381.03 MALNAŞ 11 MALNAŞ, SIRUTA:64531 6 74 Locuire Cucuteni la Malnaș - Pasul strigoiului 64531.06 75 Aşezarea Cucuteni - Ariuşd de la Malnaş - "Tăietură" 64531.05 76 Aşezarea Cucuteni - Ariuşd de la Malnaş - "Pasul Stejarului" 64531.04 77 Fortificaţia medievală de la Malnaş. la capătul de sud al satului 64531.01 78 Aşezarea Cucuteni - Ariuşd de la Malnaş - "Dealul nisipos". la cca. 800 m V de centrul localităţii 64531.02 79 Aşezarea Cucuteni - Ariuşd de la Malnaş - "Colţul Mesteacănului". între Olt şi şosea 64531.03 MALNAŞ-BĂI, SIRUTA:64540 5 80 Siturile preistorice de la Malnaş Băi - "Cariera Podeiu" 64540.04 81 Situl arheologic de la Malnaş Băi - "Cariera de bazalt" 64540.03 82 Depozitul de bronzuri de la Malnaş Băi - "Carieră" 64540.05 83 Situl arheologic de la Malnaş Băi - "Lunca". deasupra băilor, între râul Olt şi pârâul Şomoş 64540.01 84 Situl arheologic de la Malnaş Băi - "Platoul Nisipos". la confluenţa între Olt şi Şomoş 64540.02
  • 57.
    Cod RAN MICFALĂU 1 MICFALĂU, SIRUTA:64513 1 85 Descoperirile Schneckenberg şi Precucuteni de la Micfalău. de pe teritoriul satului 64513.01 ORAŞ BARAOLT 20 BARAOLT, SIRUTA:63456 7 Situl arheologic de la Baraolt - "Vecer". terasa Fecskefarka, pe dealul Vécer, între Baraolt şi Tălişoara, la 86 NE de încrucişarea de drumuri Augustin - Baraolt cu Chepeţ - Racoşul de Sus 63456.01 87 Situl arheologic de la Baraolt - "Pădurea Mare". Dealul Nagyerdõalja, pe malul drept al râului Baraolt 63456.02 Aşezările preistorice de la Baraolt - "Cariera de nisip". la 2 km de cetatea de la Biborţeni, pe malul stâng al 88 pârâului Baraolt 63456.05 89 Aşezarea Wietenberg de la Baraolt - "Dongó". în albia pârâului Baraolt, la confluenţa cu pârâul Dongó 63456.04 90 Aşezarea hallstattiană de la Baraolt - "Pârâul Hotarului" 63456.03 91 Descoperiri izolate din cuprinsul oraşului Baraolt 63456.07 92 Aşezarea din epoca bronzului târziu de la Baraolt - "Cariera de Nisip II". pe malul stâng al Baraoltului 63456.06 BIBORŢENI, SIRUTA:63465 5 93 Aşezarea Wietenberg de la Biborţeni. la 3 km de Baraolt, pe malul stâng al pârâului Dongó 63465.02 94 Obiecte romane de la Biborţeni. din cuprinsul satului 63465.06 95 Biserica de stil romanic de la Biborţeni - "Biserica Reformată" 63465.04 96 Situl arheologic de la Biborţeni - "Dealul Rotund". la 300 m E de Dealul Rotund 63465.03 97 Situl arheologic de la Biborţeni - "Cetatea Taborc". la s de sat, între pâraiele Baraolt şi Valea Cetăţii 63465.01 CĂPENI, SIRUTA:63483 3 98 Mormintele medievale de la Căpeni - "Köksukk" 63483.01 99 Aşezarea geto-dacică de la Căpeni - "sat". în cuprinsul satului şi spre mina de cărbuni 63483.03 100 Situl arheologic de la Căpeni - "Mina de Cărbuni" 63483.02 MICLOŞOARA, SIRUTA:63492 3 Cetatea medievală de la Micloşoara - "Tortogó". la NE de sat, între Valea Cetăţii (Várpatak) şi Apa Vântului 101 (Szélviz) 63492.02 102 Aşezarea preistorică de la Micloşoara - "Székalja". pe malul stâng al pârâului care duce spre sat 63492.01 103 Castelul Kalnoki de la Micloşoara 63492.03 RACOŞUL DE SUS, SIRUTA:63508 2 104 Descoperirile din epoca bronzului de la Racoşu de Sus - "Sat". din cuprinsul satului 63508.02 Complexul de fortificaţii medievale de la Racoşul de Sus - "Pădurea Rica". la 4,5 km VNV de sat, lanţul nordic al munţilor Perşinari, dealul Hegyes, între pârâurile Rica şi Nadeş, afluenţi ai pârâului Cormoş care 105 se varsă în Olt la Augustin, jud. Braşov 63508.01
  • 58.
    Cod RAN VALEA CRIŞULUI 7 VALEA CRIŞULUI, SIRUTA:64915 3 106 Unelte eneolitice la Valea Crişului 64915.03 Situl arheologic fortificat de la Valea Crişului - "Vârful cu mesteceni". între Valea Mare şi Valea Csudor, 107 dealul Nyirteto 64915.01 108 Castelul Kálnoki de la Valea Crişului 64915.02 CALNIC, SIRUTA:64933 4 109 Aşezarea geto-dacică de la Câlnic - "Valea Mare" 64933.02 110 Biserica catolică din Câlnic 64933.03 Aşezarea Starčevo - Criş de la Câlnic - "Gaz Metan II". la 300 m V de DN Sf. Gheorghe - Miercurea Ciuc, la 450 m S de drumul Valea Crişului - Ghidfalău, la 200 m S de pârâul Valea Crişului, pe traseul conductei de 111 gaz metan 64933.05 Aşezarea Starčevo - Criş de la Câlnic - "Gaz Metan I". la 400 m V de DN Sf. Gheorghe - Miercurea Ciuc, la 150 m N de drumul Valea Crişului - Ghidfalău, la 300 m N de pârâul Valea Crişului, pe traseul conductei de 112 gaz metan 64933.04 VÂRGHIŞ 7 VÂRGHIŞ, SIRUTA:65002 7 113 Tumulul din epoca bronzului de la Vârghiş - "Kövesbérec" 65002.07 114 Ruinele bisericii de stil romanic de la Vârghiş - "Casa de rugăciune reformată" 65002.04 115 Vasul de bronz cu trei picioare din epoca medievală de la Vârghiş - "Albia râului Vârghiş" 65002.03 116 Aşezarea Starčevo - Criş de la Cheile Vârghişului - "Peştera 1". pe malul stâng al râului 65002.05 117 Aşezarea în peşteră de la Cheile Vârghişului - "Peştera 9" 65002.06 118 Valul de pământ de la Vârghiş - "Muntele Rika". la V de sat 65002.02 119 Fortificaţia medievală de la Vârghiş. pe dealul Hegyes 65002.01 Total: 119 II.2.1.5.5 cetăţi şi castele; 22 cetăţi şi castele 21 AITA MARE 1 AITA MARE, SIRUTA:63786 1 ARCUŞ 4 ARCUŞ, SIRUTA:64924 4 BELIN 1 BELIN, SIRUTA:63875 1 BIXAD 2 BIXAD, SIRUTA:64522 2 BODOC 2 BODOC, SIRUTA:63900 1 OLTENI, SIRUTA:63919 1 22 22 http://www.cultura.ro/sectiuni/Patrimoniu/Monumente/lista/covasna.pdf
  • 59.
    cetăţi şi castele 21 BRĂDUŢ 3 FILIA, SIRUTA:64078 2 TĂLIŞOARA, SIRUTA:64087 1 GHIDFALĂU 2 ZOLTAN, SIRUTA:64381 2 ORAŞ BARAOLT 3 BIBORŢENI, SIRUTA:63465 1 MICLOŞOARA, SIRUTA:63492 1 RACOŞUL DE SUS, SIRUTA:63508 1 VALEA CRIŞULUI 2 VALEA CRIŞULUI, SIRUTA:64915 2 VÂRGHIŞ 1 VÂRGHIŞ, SIRUTA:65002 1 cetăţi şi castele 21 AITA MARE 1 AITA MARE, SIRUTA:63786 1 1 Incinta fortificată sec. XVI-XVII CV-II-m-A-13117.02 ARCUŞ 4 ARCUŞ, SIRUTA:64924 4 2 Ansamblul castelului Szentkereszty sec. XIX CV-II-a-A-13128 3 Incintă fortificată 1639-1640 CV-II-m-A-13127.02 4 Castelul Szentkereszty cca. 1860 CV-II-m-A-13128.01 5 Parc dendrologic sec. XIX CV-II-m-A-13128.03 BELIN 1 BELIN, SIRUTA:63875 1 6 Incintă fortificată sec. XVI - XVII CV-II-m-A-13140.02 BIXAD 2 BIXAD, SIRUTA:64522 2 7 Fortificaţie sec. XIII - XIV Epoca medievală CV-I-m-A-13044.01 Fortificaţia medievală de la Bixad, punct "Cetatea 8 Şoimilor" sec. XIV - XV Epoca medievală CV-I-s-B-13045 BODOC 2 BODOC, SIRUTA:63900 1 9 Fortificaţia cu incintă "Kincsástető” sec. XIII – XIV Epoca medievală CV-I-m-A-13046.01 OLTENI, SIRUTA:63919 1 10 Castelul Mikó 1827 CV-II-m-A-13242
  • 60.
    cetăţi şi castele 21 BRĂDUŢ 3 FILIA, SIRUTA:64078 2 11 Ansamblul conacului Ferenczy - Boda sec. XVIII-XIX CV-II-a-A-13215 12 Conacul Ferenczy - Boda 1713, modif. 1826 CV-II-m-A-13215.01 TĂLIŞOARA, SIRUTA:64087 1 13 Castelul Daniel 1669, modif. 1884 CV-II-m-A-13271 GHIDFALĂU 2 ZOLTAN, SIRUTA:64381 2 14 Conacul Benkő - Zágoni, azi locuinţă 1832 CV-II-m-B-13335 15 Poarta barocă sec. XVIII CV-II-m-B-13336 ORAŞ BARAOLT 3 BIBORŢENI, SIRUTA:63465 1 16 Fortificaţie sec XII - XIII Epoca medievală CV-I-m-A-13041.03 MICLOŞOARA, SIRUTA:63492 1 sec. XVI-XVII, transf. sec. XVIII, XIX, 17 Castelul Kálnoky XX CV-II-m-A-13241 RACOŞUL DE SUS, SIRUTA:63508 1 18 Cetatea Rika de la Racoşul de Sus sec. XII Epoca medieval timpurie CV-I-s-A-13076 VALEA CRIŞULUI 2 VALEA CRIŞULUI, SIRUTA:64915 2 sec. XVII-XVIII (transf. 1752), sec. 19 Castelul Kálnoki XIX CV-II-m-A-13305 sec. XII - XIII Epoca medieval 20 Fortificaţia medievală de la Valea Crişului timpurie CV-I-s-B-13082 VÂRGHIŞ 1 VÂRGHIŞ, SIRUTA:65002 1 sec. XVI transf., ext. 1670, 1723, 21 Castelul Daniel, azi primărie 1850, 1930 CV-II-m-A-13316 II.2.1.5.6 meşteşuguri specifice (pictură pe sticlă, cojocărit, port specific etc.); meşteşuguri specifice 1 BRĂDUŢ 1 FILIA, SIRUTA:64078 1 1 Topitorie de fier sec. XIX CV-II-m-B-13216 Aita Mare • Sculptură în lemn • Brodat, cusut, ţesut
  • 61.
    Aita Medie • Cojocărit,tăbăcărit • Împletit, ţesut • Prelucrarea cânepii • Brosare de mărgele • Obiecte din pâslă • Obiecte din gips • Mobilă pictată • Coşuri împletite • Origami • Înnodare • Obiecte de decor Micfalău Creangă împodobită – Certificat OSIM 018611/2009.04.30 Este o prăjitură specifică localităţii. Începând cu anii 1830 se oferă drept cadou de nuntă. Este un produs pentru care cererea este în creştere la târguri de meşteşuguri. Meşteşugurile tradiţionale – odată cu ele competenţele specifice - sunt pe cale de dispariţie, excepţie făcând într-o oarecare măsura acele meşteşuguri legate de prelucrare lemnului.
  • 62.
    II.2.1.5.7 herghelii decai relevante (specifice); Localitate Denumire Efectiv Profil Arcuş Herghelia Barabás 15 echitaţie de agrement, instrucţii de echitaţie Ghidfalău, comuna Herghelia Váncsa 35 atelaj, echitaţie de agrement, Angheluş creşterea cailor de rasă 20 echitaţie de agrement, echitaţie tradiţională: cavalerie de arcaşi şi cavalerie uşoară, Asociaţia „Csillagőrző” se ocupă de păstrarea tradiţiei arcaşilor călăreţi Valea Crişului Herghelie Contelui 12 echitaţie de agrement, anduranţă, Kálnoky excursii montane călare; Efectiv http://www.transylva format din rasa Shagya Arab, care niancastle.com/riding se pretează foarte bine echitaţiei .html de agrement Oraş Baraolt efectivul de cai a lui 5 instrucţii de echitaţie, agrement Jozsef NAGY II.2.1.5.8 tipuri de turism practicate (turism de agrement şi odihnă, alpinism, turism cultural şi religios, turism piscicol, turism ecvestru, cicloturism, agroturism etc.). Datorită abundenţei izvoarelor de apă minerală precum şi a peisajului atrăgător şi relativ intact precum şi obiectivele moştenirii culturale zona geografică are o tradiţie în • turism balnear • turism de agrement şi odihnă • turism cultural În ultimele două decenii infrastructura balneară s-a degradat total. În schimb, cu paşi timizi a început să se dezvolte agroturismul. Pentru turism de agrement şi odihnă nu există, deocamdată, infrastructură adecvată. Multitudinea de obiective de patrimoniu arhitectural şi arheologic nu sunt valorificate pentru animarea turismului cultural – religios. Un remarcabil exemplu de bună practică este cel a descendenţilor familiei Kálnoky de la Micloşoara. 23 După redobândirea proprietăţii, tinerii membrii ai familiei au părăsit Marea Britanie în favoarea locurilor natale ale bunicilor. Prin forţe proprii au reabilitat vechiul castel şi câteva gospodării din preajmă. Apoi au lansat un adevărat centru de turism rural. Aici, în orice anotimp, turiştii, aproape în exclusivitate străini se bucură de posibilităţi specifice de agrement şi de o ofertă gastronomică ce poartă amprenta locului. 23 http://www.transylvaniancastle.com/
  • 63.
    II.2.1.5.9 obiceiuri locale,etc. 24 Racoşul de Jos, Aita Mare, Belin, Ilieni şi Ozun (ultimele două localităţi nu fac parte din potenţialul GAL) au făcut parte din linia de fortificaţie menită să stăvilească incursiunile turcilor şi ale tătarilor. Acest fapt se păstrează puternic în memoria locuitorilor zonei. Brăduţ - Satul Tălişoara - în secolul al XVI-lea domnitorul Ardealului Bethlen Gábor a adus meşteri italieni în ţară care s-au stabilit în zonă. De aici provine si denumirea localităţii respectiv satul italienilor. Malnaş - În 1694 familia Kálnoky din Valea Crişului a construit aici o fabrică de sticlă, prima fabrică de acest gen din Transilvania. În această fabrică s-a confecţionat sticla colorată pentru ferestrele bisericii Sf. Mihail din Cluj si Biserica Neagră din Braşov. În 1860 fabrica a fost distrusă de un incendiu şi nu s-a mai reconstruit. Vârghiş - este remarcat pentru produsele sale de artă populară şi mai cu seamă pentru mobilierul decorat cu picturi şi sculpturi realizate pe plan local. II.2.1.5.10 Comentarii privind patrimoniul arhitectural şi cultural Cea mai mare parte a localităţilor potenţialului GAL sunt menţionate în Registrul zecimal Papal din 1332 – 1336. Două localităţi (Baraolt - 1224, Aita Mare – 1211, Micloşoara - 1211) se regăsesc în documentele secolului XIII. O localitate (Malnaş – 1366) este menţionată în documente din secolul XIV, dar ceva mai târziu decât perioada redactării documentului Papal. O localitate (Bixad - 1876) a fost fondată în secolul XIX. Această localitate are o componenţă etnică extrem de variată (maghiari, români, cehi, saşi, germani, italieni – fapt datorat motivului întemeierii acestei localităţi. Conform documentelor, prima denumire a localităţii a fost „Huta de Sticlă Bixad”). Clasificarea naţională face referiri la 426 obiecte ale patrimoniului imaterial din judeţul Covasna. Circa o treime dintre aceste obiecte provin din aria geografică a potenţialul GAL „Alutus”. Două localităţi Brăduţ 25 şi Baraolt şi împrejurimile 26 au pagini web. Aceste pagini precum şi ce a muzeului Naţional Secuiesc 27 din reşedinţa de judeţ, Sfântu Gheorghe, conţin materiale bine structurate referitoare la obiceiurile locale. Fiind o zonă eminamente rurală, obiceiurile locului sunt în general legate de viaţa comunităţii şi implicit de diferitele sărbători religioase. O mică parte din aceste obiceiuri mai sunt practicate. Mai este încă în viaţă o generaţie care în urmă cu 3-4 decenii practica o bună parte din aceste obiceiuri. Prin urmare aceste obiceiuri încă mai pot fi recuperate în cadrul unor proiecte de dezvoltare rurală. 24 http://www.cimec.ro/scripts/PCN/Clasate/Clasate.asp 25 http://www.cosys.ro/bardoc/folapsz.html 26 http://www.erdovidek.ro/ 27 http://www.sznm.ro/index_ro.php
  • 64.
    II.2.1.6 Economia locală Înaria potenţialului GAL agricultura, zootehnia şi exploatarea lemnoasă sunt principalele activităţi. Restul activităţilor se desfăşoară „pe lângă” preocuparea principală a locuitorilor, preocupare care este subzistenţa. Aita Mare La nivel de comună există 9 unităţi comerciale care au între 1 şi 5 angajaţi fiecare, 6 magazine mixte şi alimentare, un magazin de materiale de construcţii şi un magazin de piese auto şi agricole în Aita Mare şi 3 magazine mixte în satul Aita Medie. Din punct de vedere al colectării laptelui, atât în Aita Mare cât şi în Aita Medie există câte o asociaţie sau centru de colectare al acestui produs. Arcuş În comună funcţionează mai multe unităţi comerciale magazine mixte, baruri. Există şi mai mulţi meşteşugari mai ales în prelucrarea lemnului (tâmplari, sculptori în lemn) zidari, reparaţii auto. Băţani În comună funcţionează câte un oficiu poştal în fiecare localitate, o bancă, un atelier de reparaţii auto, un salon de coafură-frizerie, patru centre de colectare a laptelui, patru composesorate de pădure şi păşune, 11 magazine mixte, două restaurante, două baruri de zi. Bixad În comună există o carieră cu profil de exploatare a pietrei, o fabrică de cărămidă, o fabrică de producţie şi comercializare a hranei uscată pentru câini, unităţi de prelucrarea lemnului, mai multe unităţi cu profil de cioplit piatră, diverşi meşteşugari cum ar fi fierari, croitori, potcovari, cizmari şi dulgheri. De asemenea, comuna dispune de unităţi comerciale: 9 magazine mixte, un magazin de produse industriale si 4 baruri. Bodoc În comună există o brutărie, o fabrică de îmbuteliat apa minerală., unităţi de transport marfă, staţie de îmbuteliere a gazului, două cariere de nisip. Ghidfalău În comună există un centru de prelucrare a laptelui, în Zoltan se exploatează nisipul aluvionar, în Angheluş şi în Ghidfalău funcţionează câte o tâmplărie. O parte a populaţiei active lucrează în unităţile economice din municipiul Sfântu Gheorghe. Micfalău Pe raza localităţii funcţionează ateliere de tâmplărie, de prelucrare a pietrei. Totuşi, marea majoritate a populaţiei se ocupă cu agricultura şi creşterea animalelor. Valea Crişului În ultimii ani, în locul carierei de lignit, se amenajează un lac de agrement.
  • 65.
    Vârghiş Localitatea a dispusodinioară de un însemnat potenţial economic datorat mineritului şi unităţilor de îmbuteliere a apei minerale. Actualmente exploatarea minieră a devenit nerentabilă iar apa minerală a secat, fapt care a dus la creşterea şomajului în rândurile populaţiei. Locuitorii Vârghişului trăiesc din creşterea animalelor, din agricultură, exploatarea şi prelucrarea lemnului, comerţ. Zona are un potenţial turistic ridicat care însă nu este pus încă în valoare. În aria potenţialului GAL Majoritatea întreprinderilor sunt micro – întreprinderi. Dimensiunea întreprinderilor este sub media naţională. Îngrijorătoare este diminuarea continuă şi constantă a indicatorului număr de angajat pe întreprindere, care coroborat cu scăderea continuă a numărului societăţilor active determină scăderea continuă a populaţiei ocupate în sectorul productiv. Deşi se raportează o creştere continuă a ratei de ocupare a populaţiei active şi scăderea ratei de şomaj, acest fapt nu se datorează inserţiei forţei de muncă în sectorul productiv, ci mai degrabă descreşterii numărului populaţiei active. În zonă nu există mari investiţii nici de infrastructură nici de altă natură. Se remarcă aportul foarte redus al turismului (sub 1% din cifra de afaceri a zonei, jumătate din nivelul naţional), ţinând cont de potenţialul turistic ridicat al ariei acoperite de către potenţialul GAL. În mediul rural numărul societăţilor comerciale este extrem de mic. Circa 10% din societăţile comerciale au profil agricol. Majoritatea producătorilor din mediul rural sunt producători individuali, care în cel mai bun caz au un certificat de persoană fizică autorizată sau lucrează prin asociaţie familială şi producţia obţinută este valorificată în mod individual. 78,51% din cifra de afaceri la nivel judeţean este realizată în cele două municipii: Sf. Gheorghe şi Tg. Secuiesc – ambele fiind destul de departe de aria potenţialului GAL. Statutul de „zonă defavorizată” acordată oraşului Baraolt, a generat o oarecare îmbunătăţire a situaţiei economice. Dar odată cu retragere facilităţilor acordate producătorilor de carne (societăţi comerciale în majoritate cu capital Braşovean) se observă o scădere bruscă a cifrei de afaceri şi a ratei profitului curent. În cazul oraşului Baraolt trebuie să ne aşteptăm ori la scăderea continuă a productivităţii muncii şi a ratei profitului curent, ori la stagnarea acestora pe seama descreşterii numărului de societăţi şi a forţei de muncă ocupate. Se poate concluziona că performanţele economice, stabilitatea şi competitivitatea firmelor covăsnene are trenduri asemănătoare mediei naţionale, dar sub valoarea acesteia.
  • 66.
    II.2.1.6.1 Repartizarea populaţieiactive Sector industrial Sector Sector Populaţia Total Sector şi de de privind activă economie agricol artizanat comerţ serviciile Altele Alutus 24,575 11,083 3,226 3,525 1,522 1,093 1,717 100.00% 45.10% 13.13% 14.34% 6.19% 4.45% 6.99% 100.00% 29.11% 31.81% 13.73% 9.86% 15.49% Structura populaţiei active Şomeri Total economie înregistraţi şi 45% neînregistraţi 55% Se constată o structură defavorabilă a populaţiei active, înregistrându-se o pondere excesivă a şomajului în rândul populaţiei active. Structura populaţiei ocupate/populaţie activă Altele, 6.99% Sector agricol, Sector privind 13.13% serviciile, 4.45% Sector de Sector comerţ, 6.19% industrial şi de artizanat, 14.34% Se constată o structură necompetitivă a populaţie ocupate, cu atât mai mult, cu cât în sectorul „industrial şi de artizanat” ponderea covârşitoare o deţine sectorul industrial necompetitiv. Aceeaşi structură se repetă, dacă calculele sunt făcute în raport cu numărul total al persoanelor ocupate.
  • 67.
    Structura populaţiei ocupate Altele, 15.49% Sector privind Sector agricol, serviciile, 29.11% 9.86% Sector de comerţ, 13.73% Sector industrial şi de artizanat, 31.81% Statisticile referitoare privind gradul de ocupare al forţei de muncă subestimează numărul de persoane implicate în activităţi agricole. Majoritatea locuitorilor lucrează pe cont propriu, în special în agricultură, unde productivitatea şi veniturile medii continuă să rămână scăzute. Investiţiile din mediul rural trebuie bine fundamentate datorită procesului de îmbătrânire a populaţiei de la sate şi lipsei de atractivitate pentru acele aşezări care nu au potenţial de dezvoltare.
  • 68.
    II.2.1.6.2 Agricultură Structura domeniului: din care: Terenuri Terenuri arabile (Ha) Viţă de Viţă de arabile Păşuni – pe zone Păşuni pe vie şi vie şi (Ha) – pe pe zonă de relief – zonă de livezi pe livezi pe zone de de relief montan - relief – zonă de zonă de relief - – % montan - relief – relief – montan montan (Ha)% montan - montan - (Ha) (Ha)% - (Ha) Total 50.67% 22,522 47.89% 21,285 1.44% 641 AITA MARE 57.25% 1,413 41.00% 1,012 1.74% 43 ARCUŞ 55.32% 847 44.55% 682 0.13% 2 BĂŢANI 31.28% 2,718 68.45% 5,947 0.26% 23 BELIN 58.47% 1,677 40.13% 1,151 1.39% 40 BIXAD 45.40% 647 53.54% 763 1.05% 15 BODOC 56.84% 1,796 39.59% 1,251 3.58% 113 BRĂDUŢ 50.49% 3,275 48.45% 3,143 1.06% 69 GHIDFALĂU 81.26% 3,352 16.32% 673 2.42% 100 MALNAŞ 32.22% 435 67.70% 914 0.07% 1 MICFALĂU 34.41% 598 62.89% 1,093 2.70% 47 ORAŞ BARAOLT 59.86% 3,748 38.62% 2,418 1.52% 95 VALEA CRIŞULUI 48.23% 1,078 48.95% 1,094 2.82% 63 VÂRGHIŞ 44.41% 938 54.17% 1,144 1.42% 30 Obs.: Direcţia Judeţeană de Statistică Covasna nu a putu furniza date pentru coloanele din tabelul original, care nu au fost introduse.
  • 69.
    FONDUL FUNCIAR, DUPĂMODUL DE FOLOSINŢĂ, LA 31 DECEMBRIE 2006 din care: Vii şi Livezi şi Suprafaţa Suprafaţa proprietate pepiniere pepiniere totală agricolă privată Arabil Păşuni Fâneţe viticole pomicole 1 2 3 4 5 6 7 8 2+9+10+11 4+5+6+7+8 România 23,839,071 14,730,956 14,034,040 9,434,542 3,334,375 1,524,922 223,701 213,416 7. Centru 3,409,972 1,913,240 1,804,331 770,704 643,514 476,410 8,322 14,290 Covasna 370,980 186,289 177,161 83,428 60,941 40,906 0 1,014 Alutus 91,669 54,556 43,776 22,522 21,285 10,108 0 641 din care: Vii şi Livezi şi Suprafaţa Suprafaţa proprietate pepinier pepiniere totală agricolă privată Arabil Păşuni Fâneţe e viticole pomicole 1 2 3 4% 5% 6% 7% 8% 2+9+10+11 4+5+6+7+8 România 23,839,071 14,730,956 14,034,040 64.05% 22.64% 10.35% 1.52% 1.45% 7. Centru 3,409,972 1,913,240 1,804,331 40.28% 33.63% 24.90% 0.43% 0.75% Covasna 370,980 186,289 177,161 44.78% 32.71% 21.96% 0.00% 0.54% Alutus 91,669 54,556 43,776 41.28% 39.02% 18.53% 0.00% 1.17% delta Romania_Alutus -35.55% 72.33% 79.01% -100.00% -18.97% delta 7. Centru_Alutu s 2.49% 16.01% -25.59% -100.00% 56.66%
  • 70.
    60.00% 40.00% 20.00% 0.00% -20.00% -40.00% -60.00% -80.00% -100.00% Vii şi Livezi şi Arabil Păşuni Fâneţe pepiniere pepiniere viticole pomicole România 64.05% 22.64% 10.35% 1.52% 1.45% 7. Centru 40.28% 33.63% 24.90% 0.43% 0.75% Alutus 41.28% 39.02% 18.53% 0.00% 1.17% delta Romania_Alutus -35.55% 72.33% 79.01% -100.00% -18.97% Alutus Livezi şi pepiniere Vii şi pepiniere pomicole viticole 1.17% 0.00% Fâneţe 18.53% Arabil 41.28% Păşuni 39.02% Se constată că după modul de folosinţă a fondului funciar domină categoriile „Păşuni” şi „Fâneţe”. Categoriile „Viţă de vie şi livezi” nu sunt semnificative pentru potenţialul GAL. Prezentăm graficul ponderii pentru a ilustra şi în acest caz dezechilibrul din interiorul teritoriului examinat.
  • 71.
    Comparând ponderile diferitelorcategorii putem examina deviaţia ponderii diferitelor categorii din potenţialul GAL faţă de ponderea la nivel naţional. 60.00% 40.00% 20.00% 0.00% -20.00% -40.00% -60.00% -80.00% -100.00% Vii şi Livezi şi Arabil Păşuni Fâneţe pepiniere pepiniere viticole pomicole România 64.05% 22.64% 10.35% 1.52% 1.45% 7. Centru 40.28% 33.63% 24.90% 0.43% 0.75% Alutus 44.78% 32.71% 21.96% 0.00% 0.55% delta Romania_Alutus -30.09% 44.48% 112.17% -100.00% -62.40% Formula de calcul a deviaţiei este: delta România_Alutus = (%Arabil_Alutus - %Arabil_România)%Arabil_România „Fâneţe” şi „Păşuni” au ponderi peste nivelul naţional, „Arabil” sub nivelul naţional, „Livezi…” semnificativ sub nivelul naţional„Vii…” practic nu există.
  • 72.
    Terenuri arabile (Ha)– pe zone de relief % VÂRGHIŞ, 4.16% AITA MARE, 6.27% VALEA CRIŞULUI, 4.79% ARCUŞ, 3.76% BĂŢANI, 12.07% ORAŞ BARAOLT, 16.64% BELIN, 7.45% MICFALĂU, 2.66% MALNAŞ, 1.93% BIXAD, 2.87% BODOC, 7.97% GHIDFALĂU, 14.88% BRĂDUŢ, 14.54% Patru aşezări (Oraş Baraolt, Ghidfalău, Brăduţ, Băţani) deţin peste 58% din terenurile arabile ale potenţialului GAL.. La polul opus, Malnaş dispune de sub 2% din terenurile arabile ale potenţialului GAL.
  • 73.
    Păşuni pe zonăde relief - montan - (Ha)% VÂRGHIŞ, 5.37% AITA MARE, 4.75% ARCUŞ, 3.20% VALEA CRIŞULUI, 5.14% ORAŞ BARAOLT, 11.36% BĂŢANI, 27.94% MICFALĂU, 5.14% MALNAŞ, 4.29% GHIDFALĂU, 3.16% BELIN, 5.41% BRĂDUŢ, 14.77% BIXAD, 3.58% BODOC, 5.88% Trei localităţi (Băţani, Brăduţ, Oraş Baraolt) deţin 54% din păşuni. La polul opus se află Arcuş, cu 3,20% din păşuni. Categoriile „Viţă de vie şi livezi” nu sunt semnificative pentru potenţialul GAL. Prezentăm graficul ponderii pentru a ilustra şi în acest caz dezechilibrul din interiorul teritoriului examinat.
  • 74.
    Viţă de vieşi livezi pe zonă de relief - montan - (Ha)% VÂRGHIŞ, 5.37% AITA MARE, 4.75% ARCUŞ, 3.20% VALEA CRIŞULUI, 5.14% ORAŞ BARAOLT, 11.36% BĂŢANI, 27.94% MICFALĂU, 5.14% MALNAŞ, 4.29% GHIDFALĂU, 3.16% BELIN, 5.41% BRĂDUŢ, 14.77% BIXAD, 3.58% BODOC, 5.88%
  • 75.
    SUPRAFAŢA CULTIVATĂ, CUPRINCIPALELE CULTURI, ÎN ANUL 2006, hectare Alutus Furaje verzi din teren arabil, 22.02% Pepeni verzi şi galbeni, 0.00% Legume, 2.28% Plante textile, Cereale pentru 0.00% boabe, 47.75% Plante uleioase, 0.09% Tutun, 0.00% Rădăcinoase furajere, 1.11% Cartofi - total, Leguminoase 24.22% pentru boabe, Sfeclă de zahăr, 0.19% 3.32% Se constată că pondere semnificativă au următoarele culturi: „Cereale pentru boabe”, „Cartofi” şi „Furaje verzi din teren arabil”. Examinăm deci componenţa principalelor culturi. Cereale pentru boabe Cereale pentru boabe Porumb boabe, 15.23% Ovăz, 4.69% Grâu, 47.99% Orz şi orzoaică, 30.13% Secară, 1.17% Se constată că „Grâul” şi „Orzul şi orzoaica” au ponderea cea mai mare.
  • 76.
    Furaje verzi dinteren arabil Furaje verzi din teren arabil Furaje verzi anuale, 14.82% Furaje perene, 85.18% PRODUCŢIA MEDIE LA HECTAR, LA PRINCIPALELE CULTURI, ÎN ANUL 2006, kg/ha Examinăm producţia media la hectar la culturile cu cea mai mare pondere. Grâu Orz şi orzoaică Porumb boabe din care: din care: din care: proprietate proprietate proprietate majoritar majoritar majoritar Total privată Total privată Total privată România 2,746 2,738 2,331 2,331 3,565 3,567 7. Centru 2,534 2,531 2,264 2,263 3,573 3,574 Alutus 801 802 634 634 1,007 1,007 Alutus/România 29.17% 29.30% 27.21% 27.18% 28.26% 28.24% Cartofi - total Cartofi de toamnă din care: din care: proprietate proprietate majoritar majoritar Total privată Total privată România 14,191 14,197 14,361 14,360 7. Centru 14,851 14,825 14,874 14,847 Alutus 3,721 3,714 3,728 3,721 Alutus/România 26.22% 26.16% 25.96% 25.91% Furaje verzi anuale Furaje perene din care: din care: proprietate proprietate majoritar majoritar Total privată Total privată România 13,023 13,042 17,224 17,519 7. Centru 14,171 14,213 17,507 17,581 Alutus 3,237 3,344 3,352 3,428 Alutus/România 24.85% 25.64% 19.46% 19.57% Se constată, că în general media pe ha nu depăşeşte 25% din media naţională.
  • 77.
    PRODUCŢIA MEDIE LAHECTAR Alutus/Naţional 29.17% 28.26% 27.21% 26.22% 25.96% 25.64% 25.64% 30.00% 29.00% 28.00% 27.00% 26.00% 25.00% 24.00% 23.00% Grâu Porumb Orz şi Cartofi - Cartofi Furaje Furaje boabe orzoaică total de verzi perene toamnă anuale SUPRAFAŢA CULTIVATĂ, CU PRINCIPALELE CULTURI - hectare 4,851 4,851 4,790 4,589 5,000 4,000 2,881 3,000 1,456 2,000 1,000 20 0 Cartofi - Furaje Cartofi de Grâu Orz şi Porumb Furaje total perene toamnă orzoaică boabe verzi anuale Se constată aproape o proporţie inversă între nivelul producţiei la hectar şi mărimea suprafeţelor cultivate. Astfel productivitatea la cartofi şi furaje, în raport cu media naţională, ocupă ultimele locuri, pe când după suprafaţa cultivată se află pe primele locuri. Cea mai ridicată productivitate, aproape 30% din nivelul mediu naţional, se înregistrează la grâu, orz, porumb, care sunt cultivate pe cele mai mici suprafeţe. Suprafeţele mari alocate cartofilor şi furajelor se datorează în mare măsură rigidităţii cu care locuitorii zonei perseverează în „respectarea” tradiţiilor şi nu reuşesc să dea un răspuns provocărilor de piaţă şi de competitivitate. Comentarii privind economia locală În judeţ sunt înregistrate în total 991 exploataţii agricole din care: Exploataţii comerciale 281 – 28% Exploataţii familiale 710 – 72%
  • 78.
    CÂŞTIGUL SALARIAL NETLUNAR ÎN ANUL 2006 Total Bărbaţi Femei România 866 922 803 7. Centru 777 832 719 Alutus 656 630 684 Alutus/România 76% 68% 85% Se constată un nivel scăzut de trai al populaţiei şi lipsa de surse de venituri alternative. Diversificarea activităţilor din zona rurală rămâne o problemă care trebuie rezolvată. ŞOMERII ÎNREGISTRAŢI ŞI RATA ŞOMAJULUI, LA 31 DECEMBRIE 2006 Numărul şomerilor Şomeri Rata înregistraţi neindemnizaţi şomajului România 460,495 293,662 5.2% Femei 191,449 116,401 4.6% 7. Centru 66,988 39,969 6.1% Femei 28,663 15,831 5.6% Alutus 6,561 4,453 7.1% Femei 2,661 1,715 6.0% deviaţie Alutus_România 36.54% deviaţie Femei Alutus_România 30.43% Se constată că nivelul de şomaj este cu mult peste media naţională. II.2.1.6.3 Comentarii privind economia locală Principalele activităţi depind de resursele naturale locale disponibile, de relieful şi de tradiţiile zonei. Agricultura rămâne o ramură în limitele tradiţionalului. Terenurile practic se împart în mod egal între arabil şi păşuni, restul fiind nesemnificativ. Se constată fragmentarea excesivă a terenurilor şi structura proprietăţii din acest sector, precum şi nivelul tehnologic relativ redus. Pondere importantă au fermele de semi- subzistenţă activităţi agricole de cultivare a plantelor şi de creştere a animalelor, bazate pe tradiţii specifice satului din România. Aceste ferme se caracterizează printr-o structură de producţie foarte diversificată, determinată de necesităţile gospodăriei, precum şi printr-o dotare tehnică redusă şi necorespunzătoare, ceea ce împiedică creşterea productivităţii şi obţinerea unui surplus de produse destinate vânzării Structura, nefavorabilă în principal exploataţiilor agricole de semi-subzistenţă, precum şi cooperarea insuficientă a producătorilor agricoli, a determinat o slabă dezvoltare a sectorului, înregistrând o producţie medie pe ha cu mult sub nivelul naţional. 95.00% din terenurile agricole sunt gospodării mici particulare, sub 2 ha, media judeţeană fiind de media fiind de 2.43 ha. Proprietarii acestora lucrează cu tehnologie depăşită, cu logistică nesatisfăcătoare şi pricepere limitată, marcată de un tradiţionalism ce refuză orice inovaţie. În anul 2005 procentul agriculturii raportat la cifra de afaceri a judeţului a fost de 2%.
  • 79.
    Se constată căpondere semnificativă au următoarele culturi: „Cereale pentru boabe” – 47.75%, „Cartofi” – 24.22% şi „Furaje verzi din teren arabil” – 22.02%. Se constată aproape o proporţie inversă între nivelul producţiei la hectar şi mărimea suprafeţelor cultivate. În 2008 din zonă a fost înregistrat un singur producător ecologic. Procesatori ecologici nu au fost înregistraţi din zonă. Economia rurală este slab diversificată şi încă dependentă de activităţile agricole, ceea ce are drept consecinţă venituri reduse pentru întreprinzătorii din mediul rural. Date statistice comparative, referitoare la VAB, pentru economia rurală, nu sunt disponibile. La aceasta s-au adăugat reticenţa şi interesul scăzut al producătorilor agricoli faţă de formele asociative, datorită: • nivelului de conştientizare: lipsa de informaţii şi experienţă în astfel de activităţi, conştientizarea redusă a fermierilor în ceea ce priveşte avantajele rezultate dintr-o acţiune comună; • aspectelor economice şi legislative: insuficienţa surselor de finanţare pentru începerea unei activităţi economice, lipsa de interes a unităţilor de prelucrare a produselor primare din agricultură şi sectorul forestier pentru a încheia contracte comerciale, modificarea continuă a legislaţiei în domeniu; • aspectelor privind pregătirea, consilierea şi consultanţa: gradul diferit de pregătire al persoanelor implicate în formele asociative, precum şi înţelegerea diferită a scopurilor şi principiilor de funcţionare ale acestora, insuficienţa serviciilor de consiliere şi consultanţă şi concentrarea acestora pe aspectul cantitativ şi nu pe cel calitativ şi economic. Agricultura, industria alimentară şi silvicultura sunt de o importanţă primordială pentru economia rurală a zonei, prezenţa activităţilor nonagricole, legate de sectorul primar, mai ales exploatarea resurselor naturale şi procesarea, fiind nesemnificative în termeni economici activităţile non-agricole sunt derulate cu precădere de către micro-întreprinderi şi întreprinderi mici şi mijlocii (IMM-uri).
  • 80.
    II.2.1.6.4 Industrie –IMM – Micro-întreprinderi Micro- întreprinderi Întreprinderi Întreprinderi Întreprinderi Total cu 1-10 cu 10 - 50 cu 50 - 250 cu peste 250 întreprinderi salariaţi salariaţi salariaţi salariaţi 19 18 1 AITA MARE 3.04% 94.74% 5.26% 35 32 2 1 ARCUŞ 5.59% 91.43% 5.71% 2.86% 53 51 1 1 BĂŢANI 8.47% 96.23% 1.89% 1.89% 17 16 1 BELIN 2.72% 94.12% 5.88% 25 21 4 BIXAD 3.99% 84.00% 16.00% 37 29 7 1 BODOC 5.91% 78.38% 18.92% 2.70% 58 49 7 2 BRĂDUŢ 9.27% 84.48% 12.07% 3.45% 44 38 6 GHIDFALĂU 7.03% 86.36% 13.64% 18 17 1 MALNAŞ 2.88% 94.44% 5.56% 24 24 MICFALĂU 3.83% 100.00% ORAŞ 233 207 20 6 BARAOLT 37.22% 88.84% 8.58% 2.58% VALEA 41 35 6 CRIŞULUI 6.55% 85.37% 14.63% 22 17 4 1 VÂRGHIŞ 3.51% 77.27% 18.18% 4.55% Total 626 554 60 12 100.00% 88.50% 9.58% 1.92%
  • 81.
    Cele mai multe,respectiv cele mai puţine întreprinderi sunt înregistrate în comunele: Micro- Întreprinderi Întreprinderi cu Total întreprinderi cu 10 - 50 50 - 250 întreprinderi cu 1-10 salariaţi salariaţi salariaţi max BRĂDUŢ BĂŢANI BODOC BRĂDUŢ min BELIN BELIN MICFALĂU AITA MARE Obs. În acest tabel nu s-a luat în considerare Oraşul Baraolt. Structura IMM Întreprinderi Întreprinderi cu 10 - 50 cu 50 - 250 salariaţi, salariaţi, 9.58% 1.92% Micro- întreprinderi cu 1-10 salariaţi, 88.50% Această distribuţie este valabilă, cu devieri nesemnificative, pentru toate localităţile din teritoriul potenţialului GAL.
  • 82.
    Distributia IMM pelocalitati AITA MARE, VÂRGHIŞ, 3.51% 3.04% VALEA CRIŞULUI, 6.55% ARCUŞ, 5.59% BĂŢANI, 8.47% BELIN, 2.72% BIXAD, 3.99% ORAŞ BARAOLT, BODOC, 5.91% 37.22% BRĂDUŢ, 9.27% GHIDFALĂU, 7.03% MICFALĂU, 3.83% MALNAŞ, 2.88%
  • 83.
    Populatie% - IMM% 40.00% 35.00% 30.00% 25.00% 20.00% 15.00% 10.00% 5.00% 0.00% ORAŞ VALEA AITA M ARE ARCUŞ BĂŢANI BELIN BIXAD BODOC BRĂDUŢ GHIDFALĂU M ALNAŞ M ICFALĂU VÂRGHIŞ BARAOLT CRIŞULUI populatie 5.27% 2.61% 13.36% 7.88% 3.65% 7.50% 16.40% 7.99% 2.56% 3.76% 21.07% 4.13% 3.82% imm 3.04% 5.59% 8.47% 2.72% 3.99% 5.91% 9.27% 7.03% 2.88% 3.83% 37.22% 6.55% 3.51% populatie imm Coeficientul de corelare între numărul locuitorilor unei localităţi şi numărul IMM din aceeaşi localitate este de 0.8. Practic există o corelare directă între cele două şiruri de valori. Prin urmare se poate afirma că intenţia de a demara sau avea o mică afacere este distribuită uniform pe teritoriul potenţialului GAL.
  • 84.
    BELIN BIXAD ARCUŞ BĂŢANI BODOC MALNAŞ BRĂDUŢ VÂRGHIŞ 566 Total MICFALĂU AITA MARE 100.00% GHIDFALĂU ORAŞ BARAOLT VALEA CRIŞULUI 4 1 1 1 1 Industrie extractivă 0.71% 5 4 5 9 7 6 1 6 7 45 12 12 14 133 Industrie prelucrătoare 23.50% 2 2 Energie electrică şi termică; gaze şi apă 0.35% 3 3 3 3 3 4 3 7 6 1 3 1 68 28 Construcţii 12.01% Comerţ cu ridicata şi cu amânuntul, repararea şi întreţinerea 8 3 4 5 75 13 14 17 10 19 13 11 14 206 autovehiculelor şi motocicletelor şi a bunurilor personale casnice 36.40% 1 3 1 1 5 6 1 5 4 3 19 49 Hoteluri şi restaurante 8.66% 1 1 2 2 1 4 4 7 6 4 22 54 Transport, depozitare şi comunicaţii 9.54% Tranzacţii imobiliare, închirieri şi activităţi de servicii prestate în 2 1 1 4 8 principal întreprinderilor 1.41% 2 1 5 3 1 5 1 1 1 22 42 Alte activităţi de servicii colective, sociale şi personale 7.42%
  • 85.
    Distributia IMM peramuri Alte activităţi de servicii colective, sociale şi personale, Tranzacţii imobiliare, 7.42% închirieri şi activităţi de servicii prestate în principal întreprinderilor, Industrie extractivă, 1.41% 0.71% Industrie prelucrătoare, Transport, depozitare şi comunicaţii, 23.50% 9.54% Energie electrică şi Hoteluri şi restaurante, termică; gaze şi apă, 8.66% 0.35% Construcţii, 12.01% Comerţ cu ridicata şi cu amânuntul, reparaea şi întreţinerea autovehiculelor şi motocicletelor şi a bunurilor personale casnice, 36.40% Ponderea cea mai mare, ca număr, o reprezintă „Comerţul cu ridicata …”, „Industria prelucrătoare”, „Construcţii”, „Transport …” şi doar pe locul cinci „Hoteluri şi restaurante”.
  • 86.
    2006 cifra deafaceri Industrie extractivă, 1.18% Alte activităţi de servicii colective, sociale şi personale, 20.44% Industrie prelucrătoare, Tranzacţii imobiliare, închirieri şi activităţi de 21.70% servicii prestate în Energie electrică şi principal întreprinderilor, termică; gaze şi apă, 0.11% 0.64% Transport, depozitare şi comunicaţii, 9.19% Construcţii, 13.94% Hoteluri şi restaurante, 9.62% Comerţ cu ridicata şi cu amânuntul, reparaea şi întreţinerea autovehiculelor şi motocicletelor şi a bunurilor personale casnice, 23.17% Ponderea cea mai mare, la cifra de afaceri, o reprezintă „Comerţul cu ridicata …”, „Industria prelucrătoare”, „Alte activităţi de servicii …”, „Construcţii”, şi doar pe locul cinci „Hoteluri şi restaurante”.
  • 87.
    Comparând ponderea numericăşi cea a cifrelor de afaceri, se observă că ponderea cifrelor de afaceri este mai echilibrată. 40.00% 36.40% Dacă numeric comerţul reprezintă 36%, la cifra de afaceri reprezintă 35.00% doar 23%. Vorbim de mici comercianţi, comerţ cu 30.00% amănuntul. 23.50% 25.00% 21.70% Domeniul „Alte servicii …” cu o 23.17% pondere numerică de 7% aduce 20.00% 20% în cifra de afaceri. Se vede 20.44% clar rentabilitatea acestui 15.00% 13.94% 12.01% domeniu. 8.66% 9.54% 10.00% 0.71% 9.62% 1.18% 9.19% 7.42% 5.00% 0.35% 0.64% 0.11% 0.00% 1.41% Industrie Industrie Unitati extractivă Energie prelucrăto Construcţii electrică şi Comerţ cu Cifra de afaceri are Hoteluri şi termică; ridicata şi Transport, restaurant Tranzacţii gaze şi cu depozitare Alte e imobiliare, apă amânuntul, şi activităţi de închirieri şi reparaea comunicaţii servicii activităţi de şi colective, servicii întreţinerea sociale şi prestate în autovehicu personale principal lelor şi întreprinde motociclete rilor lor şi a bunurilor personale
  • 88.
    Reprezentarea analitică, peramuri de activitate. Industrie prelucrătoare 140.00% 120.00% 100.00% 80.00% 60.00% 40.00% 20.00% 0.00% Unitati locale active Personal Cifra de afaceri 2004 100.00% 100.00% 100.00% 2005 99.63% 92.10% 9.89% 2006 97.88% 87.32% 10.27% 2004 2005 2006 Industrie extractivă 140.00% 120.00% 100.00% 80.00% 60.00% 40.00% 20.00% 0.00% Unitati locale active Personal Cifra de afaceri 2004 100.00% 100.00% 100.00% 2005 120.00% 23.00% 6.23% 2006 130.00% 46.14% 5.67% 2004 2005 2006
  • 89.
    Energie electrică şitermică; gaze şi apă 140.00% 120.00% 100.00% 80.00% 60.00% 40.00% 20.00% 0.00% Unitati locale active Personal Cifra de afaceri 2004 100.00% 100.00% 100.00% 2005 66.67% 72.71% 10.34% 2006 40.00% 67.96% 8.17% 2004 2005 2006 Construcţii 140.00% 120.00% 100.00% 80.00% 60.00% 40.00% 20.00% 0.00% Unitati locale active Personal Cifra de afaceri 2004 100.00% 100.00% 100.00% 2005 112.50% 102.00% 9.85% 2006 128.63% 118.53% 14.31% 2004 2005 2006
  • 90.
    Comerţ cu ridicataşi cu amânuntul, reparaea şi întreţinerea autovehiculelor şi motocicletelor şi a bunurilor personale casnice 140.00% 120.00% 100.00% 80.00% 60.00% 40.00% 20.00% 0.00% Unitati locale active Personal Cifra de afaceri 2004 100.00% 100.00% 100.00% 2005 102.22% 106.25% 11.56% 2006 105.64% 121.62% 13.45% 2004 2005 2006 Hoteluri şi restaurante 140.00% 120.00% 100.00% 80.00% 60.00% 40.00% 20.00% 0.00% Unitati locale active Personal Cifra de afaceri 2004 100.00% 100.00% 100.00% 2005 102.40% 104.52% 12.50% 2006 115.38% 103.52% 16.36% 2004 2005 2006
  • 91.
    Transport, depozitare şicomunicaţii 140.00% 120.00% 100.00% 80.00% 60.00% 40.00% 20.00% 0.00% Unitati locale active Personal Cifra de afaceri 2004 100.00% 100.00% 100.00% 2005 114.58% 93.72% 10.14% 2006 127.08% 99.19% 12.00% 2004 2005 2006 Tranzacţii imobiliare, închirieri şi activităţi de servicii prestate în principal întreprinderilor 140.00% 120.00% 100.00% 80.00% 60.00% 40.00% 20.00% 0.00% Unitati locale active Personal Cifra de afaceri 2004 100.00% 100.00% 100.00% 2005 107.69% 102.91% 11.90% 2006 117.80% 115.18% 15.43% 2004 2005 2006
  • 92.
    Alte activităţi deservicii colective, sociale şi personale 140.00% 120.00% 100.00% 80.00% 60.00% 40.00% 20.00% 0.00% Unitati locale active Personal Cifra de afaceri 2004 100.00% 100.00% 100.00% 2005 104.17% 112.98% 11.48% 2006 115.28% 97.54% 7.38% 2004 2005 2006 Domeniile acoperite de sectorul IMM din aria GAL: IMM Domenii de intervenţie agro-zoo comerţ prelucrare lemn prestări producţie alimente sănătate servicii silvicultura transport turism rural
  • 93.
    Domenii de activitateacoperite de către IMM fondatoare a GAL: IMM Domeniu de intervenţie Domeniu de activitate agro-zoo creşterea animalelor creşterea bovinelor de lapte societate agricola comerţ comerţ cu amănuntul in magazine nespecializate, cu vânzare predominanta de produse nealimentare comerţ cu ridicata a produselor chimice prelucrare lemn tăierea si rindeluirea lemnului prestări construcţii de clădiri şi lucrări de geniu Întreţinerea si repararea autovehiculelor producţie alimente Panificaţie Producţia de băuturi răcoritoare nealcoolice; producţia de ape minerale si alte ape îmbuteliate sănătate sănătate servicii Activităţi de studiere a pieţei şi de sondaj alte activităţi de servicii prestate in principal întreprinderilor Restaurante si alte activităţi de servicii de alimentaţie silvicultura Silvicultura si exploatare forestiera transport transporturi rutiere de mărfuri turism rural Alte activităţi de cazare Alte mijloace de cazare
  • 94.
    Lista IMM fondatoarea GAL: IMM agro-zoo creşterea animalelor Micfalău SIRUTA: 64513 sc KICSI-FERMA-PROD srl creşterea bovinelor de lapte Ghidfalău SIRUTA: 64354 sc MILK PROD srl societate agricola SOCIETATEA AGRICOLA SILV- Baraolt SIRUTA: 63456 ALIM comerţ comerţ cu amănuntul in magazine nespecializate, cu vânzare predominanta de produse nealimentare Sfântu Gheorghe SIRUTA: 63401 sc IMMER srl comerţ cu ridicata al produselor chimice Ghidfalău SIRUTA: 64354 sc AGRO DEPO srl prelucrare lemn Tăierea şi rindeluirea lemnului sc KINCSES & MÜLLER srl Bixad SIRUTA: 64522 Prestări construcţii de clădiri şi lucrări de geniu Sfântu Gheorghe SIRUTA: 63401 sc VERZOCON srl Întreţinerea si repararea autovehiculelor sc Producţie Prestări şi Comerţ Arcuş SIRUTA: 64924 VANESSA srl producţie alimente Panificaţie sc CUPTORUL DE AUR – Bodoc SIRUTA: 63900 ARANYKEMENCE srl Producţia de băuturi răcoritoare nealcoolice; producţia de ape minerale şi alte ape îmbuteliate Bodoc SIRUTA: 63900 sc FAVORIT sa sănătate Cabinet Medical Medicina de Căpeni SIRUTA: 63483 Familie - Agoston Stefan
  • 95.
    IMM Servicii Activităţi destudiere a pieţei si de sondaj Baraolt SIRUTA: 63456 sc SERVICII EX LIBRIS srl alte activităţi de servicii prestate în principal întreprinderilor Fotoş SIRUTA: 64372 sc INCZENTER srl Restaurante si alte activităţi de servicii de alimentaţie Belin SIRUTA: 63875 sc VIKA IMPEX srl silvicultura Silvicultura si exploatare forestiera Baraolt SIRUTA: 63456 sc EX-FOR srl transport transporturi rutiere de mărfuri Angheluş SIRUTA: 64363 sc TWIN IMPEX srl sc PRODUCŢIE şi COMERCIALĂ Bodoc SIRUTA: 63900 TRIO IMPEX srl Micfalău SIRUTA: 64513 sc ARPI-TRANS srl turism rural Alte activităţi de cazare Filia SIRUTA: 64078 sc EUROPAN srl Alte mijloace de cazare Aita Medie SIRUTA: 63795 sc DISCOVER srl
  • 96.
    Fluctuaţii în 2006 faţăde 2004 min MAX Energie electrică şi unităţi -60.00% 30.00% Industrie extractivă termică; gaze şi apă Comerţ cu ridicata şi cu amânuntul, repararea şi întreţinerea personal -53.86% Industrie extractivă 21.62% autovehiculelor şi motocicletelor şi a bunurilor personale casnice cifra de afaceri -94.33% Industrie extractivă -83.64% Hoteluri şi restaurante Se constată că numărul unităţilor a scăzut cel mai drastic în domeniul „Energie electrică şi termică; gaze şi apă” pe când reducerile de personal şi scăderea cifrei de afaceri cel mai semnificativ s-au manifestat în „Industria extractivă”. În schimb cel mai mult a crescut numărul unităţilor din „Industria extractivă”, a crescut numărul angajaţilor din domeniul „Comerţ cu ridicata …” şi cel mai puţin a scăzut cifra de afaceri în domeniul „Hoteluri …”. Scăderea drastică a numărului de unităţi din domeniul „Energie electrică şi termică; gaze şi apă” se explică prin restructurările masive operate de companiile multinaţionale. Scăderea drastică a cifrei de afaceri şi a numărului persoanelor angajate în domeniul „Industrie extractivă” se datorează restructurărilor dictate de piaţă. Pe de altă parte, creşterea numărului de unităţi din acelaşi domeniu „Industrie extractivă” poate să denote o lipsă a abilităţilor de reorientare, o inerţie ce poate deveni un factor important în creşterea decalajului faţă de media naţională în general.
  • 97.
    Cifra de afaceria unităţilor locale active din industrie, construcţii, comerţ şi alte servicii, pe activităţi ale economiei naţionale, miliarde lei preturi curente raportate la anul 2004 Energie Alte activităţi de Transport, servicii colective, Hoteluri şi depozitare şi electrică Comerţ Industrie Construcţii sociale şi Industrie şi termică; cu ridicata extractivă restaurante comunicaţii personale prelucrătoare gaze şi apă şi cu amânuntul, 100.00% reparaea şi Tranzacţii imobiliare, întreţinerea închirieri şi activităţi de 90.00% autovehiculelor şi servicii prestate motocicletelor şi a în principal 80.00% bunurilor personale întreprinderilor casnice 70.00% 60.00% 50.00% 40.00% 14.31% 13.45% 16.36% 15.43% 30.00% 12.00% 11.90% 11.56% 11.48% 10.27% 10.34% 2.50% 10.14% 9.89% 9.85% 8.17% 20.00% 7.38% 6.23% 5.67% 10.00% 0.00% 2004 2005 2006 Cea mai spectaculoasă cădere s-a înregistrat la cifrele de afaceri. Aceste căderi au ceai mai puternică influenţă negativă asupra stării socio-economice a zonei.
  • 98.
    II.2.1.6.5 Comentarii privindindustria locală Prelucrare lemnului, şi a pietrei brute sunt singurele activităţi prezente în zonă. Nu există servicii pentru agricultură, depozite. Nu există reţele de desfacere a produselor agro-alimentare şi nici lanţuri de procesare. Pe zonă, raportat la 2004, numărul unităţilor a crescut cu 8%, numărul persoanelor angajate a scăzut cu 4%, cifra de afaceri a scăzut cu 88%. Se constată că numărul unităţilor a scăzut cel mai drastic în domeniul „Energie electrică şi termică; gaze şi apă” pe când reducerile de personal şi scăderea cifrei de afaceri cel mai semnificativ s-au manifestat în „Industria extractivă”. În schimb cel mai mult a crescut numărul unităţilor din „Industria extractivă”, a crescut numărul angajaţilor din domeniul „Comerţ cu ridicata …” şi cel mai puţin a scăzut cifra de afaceri în domeniul „Hoteluri …”. Prin urmare este de înţeles faptul că legăturile industriei locale cu celelalte domenii economice ale zonei sau cu zone externe sunt sporadice, ocazionale, fără a exercita o influenţă continuă asupra vieţii locuitorilor din arealul potenţialului GAL.
  • 99.
    II.2.1.6.6 Comerţ şisector de servicii Tipuri de comerţ % din Număr numărul total Comerţ cu ridicata şi cu amânuntul, repararea şi întreţinerea autovehiculelor 1 206 100.00% şi motocicletelor şi a bunurilor personale casnice Total 100.00% % din numărul Întreprinderi din sectorul terţiar (servicii) Număr total 1 Industrie prelucrătoare 133 Total 100.00% II.2.1.6.7 Comentarii privind comerţul şi serviciile Comerţul are o pondere semnificativ mai mică în realizarea cifrei de afaceri judeţene decât la nivel naţional. Acest fapt se datorează, pe de o parte puterii de cumpărare destul de reduse a pieţei covăsnene, pe de altă parte numărului insuficient de societăţi comerciale cu profil de comerţ cu ridicata (depozite en-gros, centre comerciale etc.), ceea ce facilitează şi exportul de capital covăsnean prin aprovizionarea în marile centre comerciale din Braşov. 28 Comerţul şi serviciile sunt punctuale, fără a fi integrate în reţele, clustere sau bresle. De fapt sunt mici afaceri, cu număr foarte redus de angajaţi care contribuie sau în cazuri mai bune asigură o şansă de subzistenţă unor familii. Prin urmare este de înţeles faptul că legăturile cu celelalte domenii economice ale zonei sau cu zone externe sunt sporadice, ocazionale, fără a exercita o influenţă continuă asupra vieţii locuitorilor din arealul potenţialului GAL. Fără a avea o influenţă semnificativă asupra unor segmente ale comunităţilor locale, acest domeniu asigură cca. 59% din locurile de muncă înregistrate ale potenţialul GAL. 28 PLAN DE DEZVOLTARE A JUDEŢULUI COVASNA PE TERMEN MEDIU (2006 – 2013), AGENDA 21 LOCALĂ A JUDEŢULUI COVASNA, pag. 103
  • 100.
    II.2.1.6.8 Comentarii privindeconomia locală Aria este caracterizată prin existenţa unui număr redus de micro-întreprinderi şi întreprinderi mici, cu număr restrâns de angajaţi.
  • 101.
    II.2.1.7 Servicii şiinfrastructuri medico-sociale Reţeaua sanitară 29 întreţinute de fundaţii- Cab. Med. de Familie Lab. Tehnica Dentara Cab. Med. Specialist Cab. Stomatologie Spital orăşenesc Cabi. nonprofit culte religioase Farmacie SIRUTA AITA MARE Aita Mare 63786 1 ARCUŞ Arcuş 64924 1 BĂŢANI Băţanii Mari 63811 2 1 1 BELIN Belin 63875 1 BIXAD Bixad 64522 1 1 BODOC Bodoc 63900 1 BRĂDUŢ Brăduţ 64050 3 GHIDFALĂU Ghidfalău 64354 1 MALNAŞ Malnaş 64531 1 MICFALĂU Micfalău 64513 1 1 1 ORAŞ BARAOLT Baraolt 63456 4 4 3 2 2 1 Biborţeni 63465 1 Bodoş 63474 1 Căpeni 63483 1 VALEA CRIŞULUI Valea Crişului 64915 1 VÂRGHIŞ Vârghiş 65002 1 Grand Total 22 4 6 1 6 2 1 Localităţile Arcuş, Bodoş şi Valea Crişului nu au Cabinet de Medicină de Familie. Comunele mai mari au farmacii. Medici specialişti au cabinete doar în Oraşul Baraolt. 29 http://www.dspcovasna.ro/index.php?content=reteaua
  • 102.
    La Spitalul orăşenescBARAOLT (82 paturi), 29% din necesarul de personal medical este neacoperit. superioare personal asistent general auxiliar medic studii existent existent existent existent lipsă lipsă lipsă lipsă ambulatoriu/járóbeteg gondozó Medică internă 1 Chirurgie -1 Obstetrică-ginecologie 1 Pediatrie 1 Neurologie 1 1 Oftalmologie -1 Chirurgie plastică 1 Laborator 2 Medicină şcolară -1 2 Kinetoterapie 1 spital Chirurgie şi ortopedie pediatrică -1 Chirurgie 3 5 5 Bloc operator 3 -1 1 Pediatrie 2 7 7 -1 Medicină internă 2 -1 6 6 -1 Ginecologie 2 -1 5 4 Neonatologie 3 Cameră de gardă 1 3 Laborator 1 3 2 2 Radiologie şi imagistică 1 1 Farmacie -1 1 1 15 -6 45 -2 26 -2 2 Posturi total 21 47 28 2 Personal lipsă -6 -2 -2 29% 4% 7%
  • 103.
    Statistici raportate lanivel naţional şi regional(7 Centru) Valori absolute 25.0 21.7 21.6 20.0 15.0 10.0 6.2 5.5 4.9 4.6 5.0 4.4 1.5 1.5 0.0 Naţional Regiunea Centru Alutus Medici la 10,000 locuitori Stomatologi la 10,000 locuitori Farmacişti la 10,000 locuitori Valori procentuale 30 40.00% 35.00% 34.09% 32.61% 28.70% 27.27% 28.57% 30.61% 30.00% 25.00% 20.00% 15.00% 10.00% 5.00% 0.00% Alutus/Regiunea Centru Alutus/Naţional Medici la 10,000 locuitori Stomatologi la 10,000 locuitori Farmacişti la 10,000 locuitori 30 http://www.insse.ro/cms/files/pdf/ro/cap7.pdf
  • 104.
    Se poate observacă, media personalului medico-sanitar pe 10,000 de locuitori raportat la nivel regional şi la nivel naţional se poziţionează la cca. 30%, adică acest personal este în număr de trei ori mai mic decât nivelurile de referinţă. Cu alte cuvinte numărul cadrelor medico – sanitare este la o treime din media naţională. Starea generală a sănătăţii populaţiei Indicatori demografici: sporului natural negativ i se adaugă migraţia populaţiei tinere, contribuitoare la fondul de asigurări sociale. Astfel ponderea populaţiei beneficiare dar necontributoare (vârstnici) creşte constant. Majoritatea acestor persoane suferă de boli cronice. Starea de sănătate este caracterizată de valori peste nivelul mediu naţional la • boli cardio-vasculare • osteoporoză • boli respiratorii şi sfera ORL în sezonul rece • consum etanolic cronic de la vârstă tânără pe tot parcursul vieţii, cu patologia aferentă (hepatică, psihiatrică) • prevalenţa bolilor psihice • tentative de suicid • patologie neoplazică în anumite sfere (ginecologie, respiratorie, digestivă) • diabet zaharat Valori sub nivelul mediu naţional prezintă incidenţa şi prevalenţa tuberculozei, cu o tendinţă de creştere în ultimii ani. Acest trend se datorează fondurilor foarte reduse alocate prevenţiei. Profilaxia şi prevenţia în toate domeniile sunt subfinanţate. Drept urmare, patologia este depistată într-un stadiu evolutiv relativ înaintat, ceea ce duce la costuri de tratament mai ridicate. Posibilităţile de diagnostic sunt din ce în ce mai reduse din cauza lipsei reabilitării infrastructurii medicale şi din cauza lipsei echipamentelor performante. Echipamentele existente sunt depăşite tehnic (reparaţii cu mare frecvenţă) şi din punct de vedere al capacităţii. Aceste deficienţe sunt accentuate de numărul foarte redus al medicilor de specialitate. Rezultă suprasolicitarea cadrelor medico - sanitare care lucrează în zonă şi accesul îngreunat al populaţiei paupere, bolnave şi îmbătrânite la serviciile de sănătate în general şi la cele de specialitate în mod deosebit.
  • 105.
    II.2.1.7.1 Echipamente prezentesau accesibilitate Conform tabelului de mai jos, se vor completa principalele servicii de sănătate, educaţie, recreare etc., care funcţionează pentru populaţie şi infrastructura medico – socială existentă Servicii Categorii Observaţii* Preşcolar 31 Grădiniţa cu Program Normal 30 Grădiniţa cu Program Prelungit 1 Primar 30 Şcoala Cl. I-IV 7 Şcoala CL. I-VIII 23 Secundar 1 Grup Scolar 1 Învăţământ Reşedinţa de judeţ are secţii ale Universităţii Babeş - Bolyai, Cel mai apropiat centru universitar este Braşov la max. 75 km de la cel mai Universitar îndepărtat punct Universitatea Sapientia din Miercurea Ciuc la max. 90 km de la cel mai îndepărtat punct Altele... 2 Palatul Copiilor 1 Şcoala Speciala 1 Servicii Categorii Observaţii* Cabinet Medic de Familie 19 Cabinet Medic Specialist 4 Cabinet Stomatologie 6 Medicale Cabinete nonprofit întreţinute de fundaţii-culte religioase 1 Farmacie 6 Laborator Tehnica Dentara 2 Spital orăşenesc 1
  • 106.
    Servicii Categorii Observaţii* Baze Sportive - Terenuri sportive (de fotbal, handbal, 15 tenis...) din care: 2 în construcţie, Sala de Sport 8 2 în fază de documentaţie Sportive depusă Piscine Altele... Asociaţie Sportiva 6 Asociaţie Sportiva Şcolară 8 Club Sportiv 3 * - in cazul inexistenţei, precizaţi modul de asigurare a acestora (distanţe, locaţii...) Reţeaua şcolară 31 Grădiniţa cu SIRUTA Program Şcoala Cl. Grup Palatul I- I- Şcoala Normal Prelungit Scolar Copiilor IV VIII Speciala AITA MARE AITA MARE 63786 1 1 AITA MEDIE 63795 1 1 ARCUŞ ARCUŞ 64924 1 1 BĂŢANI AITA SEACĂ 63820 1 2 BĂŢANII MARI 63811 1 1 BĂŢANII MICI 63839 1 1 HERCULIAN 63848 1 BELIN BELIN 63875 1 1 BIXAD BIXAD 64522 1 1 BODOC BODOC 63900 1 1 OLTENI 63919 1 1 1 BRĂDUŢ BRĂDUŢ 64050 1 1 DOBOŞENI 64069 1 1 FILIA 64078 2 2 TĂLIŞOARA 64087 1 1 GHIDFALĂU ANGHELUŞ 64363 1 1 GHIDFALĂU 64354 1 1 ZOLTAN 64381 1 31 http://isj.educv.ro/
  • 107.
    Grădiniţa cu SIRUTA Program Şcoala Cl. Grup Palatul I- I- Şcoala Normal Prelungit Scolar Copiilor IV VIII Speciala MALNAŞ MALNAŞ 64531 1 1 MALNAŞ-BĂI 64540 1 1 VALEA ZĂLANULUI 64559 1 1 MICFALĂU MICFALĂU 64513 1 1 ORAŞ BARAOLT BARAOLT 63456 1 1 1 1 1 BIBORŢENI 63465 1 1 CĂPENI 63483 1 1 MICLOŞOARA 63492 1 1 RACOŞUL DE SUS 63508 1 1 VALEA CRIŞULUI CALNIC 64933 1 VALEA CRIŞULUI 64915 1 1 VÂRGHIŞ VÂRGHIŞ 65002 1 1 Grand Total 30 1 1 1 7 23 1
  • 108.
    Baze sportive –structuri sportive 32 Asociaţie Asociaţie Sportivă Baza Club Sala SIRUTA Sportiva Şcolară sportiva Sportiv sport AITA MARE AITA MARE 63786 1 1 ARCUŞ ARCUŞ 64924 1 BĂŢANI BĂŢANII MARI 63811 2 BELIN BELIN 63875 1 1 1 BIXAD BIXAD 64522 1 BODOC BODOC 63900 1 2 1 1 BRĂDUŢ BRĂDUŢ 64050 1 1 FILIA 64078 1 TĂLIŞOARA 64087 1 1 GHIDFALĂU GHIDFALĂU 64354 2 1 ZOLTAN 64381 1 MALNAŞ MALNAŞ 64531 1 MICFALĂU MICFALĂU 64513 2 1 1 ORAŞ BARAOLT BARAOLT 63456 1 2 2 BIBORŢENI 63465 1 CĂPENI 63483 1 VALEA CRIŞULUI VALEA CRIŞULUI 64915 1 1 1 1 VÂRGHIŞ VÂRGHIŞ 65002 1 Grand Total 6 8 15 3 8 32 http://dsjcovasna.nd.ro/nd.php?name=Showcat&kn=25
  • 109.
    II.2.1.7.2 Comentarii privindserviciile şi infrastructurile medico-sociale În zonă nu există transport public. Calea ferată deserveşte doar localităţile de pe valea Oltului. În zona Oraşului Baraolt singura modalitate de transport este cea rutieră. Starea drumurilor judeţene şi comunale este foarte precară, circulaţia, prin urmare şi accesul se serviciile medico – sanitare spitaliceşti sau ale medicilor specialişti, fiind îngreunată de aceste condiţii. Cea mai apropiată unitate de învăţământ secundar este sau în reşedinţa de judeţ, Sfântu Gheorghe – cca. 35 km distanţă de la cel mai îndepărtat punct, sau în Miercurea Ciuc, reşedinţa judeţului Harghita. Cel mai apropiat centru universitar este la Braşov – cca. 70 km. Baze de agrement funcţionale– ştrand cu apă minerală, se găsesc la Tuşnad Băi, localitate limitrofă cu Bixad. Bazin acoperit se găseşte la Sfântu Gheorghe, reşedinţa de judeţ. Restul bazinelor cu apă minerală, folosite în principal pentru tratamente Ozunca, Malnaş - Băi, Bodoc – sunt nefuncţionale.
  • 110.
    II.2.1.8 Activităţi socialeşi instituţii locale II.2.1.8.1 Instituţii locale În zona potenţialului GAL funcţionează în 8 localităţi (din 13, adică în 60% din localităţi) 16 unităţi de servicii sociale din care: • 14 de tip „Serviciu public de asistenţa” • 2 de tip „Asociaţie” Aceste servicii acoperă 5 domenii de mari de intervenţie: 1. Centru de tip rezidenţial 2. Informarea, îndrumarea, consilierea sociala si juridica, precum si gestiunea de probleme pentru cei aflaţi in situaţie de risc social 3. Îngrijire si asistenţă socio-medicală la domiciliu pentru persoane vârstnice 4. Serviciu de suport pentru activităţile instrumentale ale vieţii de zi cu zi pentru copii defavorizaţi 5. Serviciu pentru integrarea si participarea la viata sociala a tinerilor defavorizaţi Grupurile ţintă ale acestor domenii de Aceste activităţi se desfăşoară în 3 tipuri intervenţie sunt: de locaţii: 1. Comunităţi 1. Centre de zi, publice sau private 2. Familie 2. La domiciliu 3. Copii 0 – 6 ani 3. Servicii publice specializate 4. Copii 7 – 16 ani Tipuri de situaţii în care se intervine 5. Tineri 18 – 26 1. Boală cronică 6. Persoane vârstnice 2. Handicap 3. Izolare socială 4. Situaţie de dificultate în familie 5. Sărăcie Se poate conchide, că autorităţile locale manifestă sensibilitate socială şi în aceste demersuri se bucură de susţinerea necondiţionată a locuitorilor zonei.
  • 111.
    Lista furnizorilor autorizaţide servicii sociale 33. Tipuri de Tipuri de Servicii Beneficiari situaţii Tipuri de servicii locaţii Arcuş SIRUTA: 64924 Serviciu public de asistenta Situaţie de Informarea, îndrumarea,consilierea sociala si gestiunea de dificultate in Consiliere Sociala cu: lucrător Servicii publice probleme pentru cei aflaţi in situaţie de risc social Comunităţi Familie social specializate Boala cronica, Servicii de îngrijire social- Îngrijire si asistenţă socio-medicala la domiciliu pentru persoane Persoane Handicap, medicala de natura sociala cu: vârstnice vârstnice Izolare sociala infirmiera, asistent medical La domiciliu Baraolt SIRUTA: 63456 Asociaţie Handicap, Servicii de suport pentru Copii 0-6 Situaţie de activităţile instrumentale ale Centre de zi, Serviciu de suport pentru activităţile instrumentale ale vieţii de ani , Copii dificultate in vieţii de zi cu zi cu: educator, publice sau zi cu zi pentru copii defavorizaţi 7-16 ani Familie psiholog private Situaţie de Centre de zi, Serviciu pentru integrarea si participarea la viata sociala a dificultate in Educaţie sociala cu: educator publice sau tinerilor defavorizaţi Tineri 18-26 Familie , psiholog private Serviciu specializat la nivel local Servicii de îngrijire social- Persoane medicala de natura sociala cu: Servicii publice Centru de tip rezidenţial vârstnice Izolare sociala asistent social, infirmiera specializate Informarea, îndrumarea, consilierea sociala si juridica, precum Sărăcie, Situaţie Identificare si evaluare; si gestiunea de probleme pentru cei aflaţi in situaţie de risc de dificultate in Consiliere Sociala cu: asistent Servicii publice social Comunităţi Familie social, lucrător social specializate Băţanii Mari SIRUTA: 63811 Serviciu public de asistenta Situaţie de dificultate in Consiliere Sociala cu: lucrător Servicii publice Consiliere sociala, informare si gestionarea problemelor sociale Comunităţi Familie social specializate Boala cronica, Servicii de îngrijire social- Îngrijire si asistenta socio-medicala la domiciliu pentru persoane Persoane Handicap, medicala de natura sociala cu: vârstnice vârstnice Izolare sociala infirmiera, asistent medical La domiciliu 33 http://sas.mmssf.ro/servicii_furnizori.php?judet=covasna
  • 112.
    Tipuri de Tipuri de Servicii Beneficiari situaţii Tipuri de servicii locaţii Belin SIRUTA: 63875 Serviciu public de asistenta Consiliere Sociala cu: jurist, Servicii publice Consiliere sociala Comunităţi Sărăcie lucrător social specializate Bodoc SIRUTA: 63900 Serviciu public de asistenta Situaţie de dificultate in Consiliere Sociala cu: lucrător Servicii publice Consiliere sociala, informare, stabilirea drepturilor sociale Comunităţi Familie social specializate Boala cronica, Serviciu medical si social de îngrijire la domiciliu pentru Persoane Handicap, Consiliere Sociala cu: lucrător persoane vârstnice vârstnice Izolare sociala social La domiciliu Brăduţ SIRUTA: 64050 Serviciu public de asistenta Situaţie de dificultate in Consiliere Sociala cu: lucrător Servicii publice Consiliere sociala, informare si gestionarea problemelor sociale Comunităţi Familie social specializate Servicii de îngrijire social- Serviciu medical si social de îngrijire la domiciliu pentru Persoane Boala cronica, medicala de natura sociala cu: persoane vârstnice vârstnice Handicap infirmiera, asistent medical La domiciliu Malnaş SIRUTA: 64531 Serviciu public de asistenta Informare in domeniu; Sărăcie, Situaţie Identificare si evaluare; Comunităţi, de dificultate in Consiliere Sociala cu: lucrător Servicii publice Consiliere sociala, informare, stabilirea drepturilor sociale Familie Familie social specializate Valea Crişului SIRUTA: 64915 Serviciu public de asistenta Consiliere Sociala cu: lucrător Servicii publice Consiliere sociala, informare, stabilirea drepturilor sociale Comunităţi Sărăcie social specializate Servicii de îngrijire social- Îngrijire si asistenta socio-medicala la domiciliu pentru persoane Persoane Boala cronica, medicala de natura sociala cu: vârstnice vârstnice Izolare sociala infirmiera, asistent medical La domiciliu
  • 113.
    Căminul de bătrâni Căpeni oferă servicii de îngrijire, asistenţă medicală, consiliere psihosocială pentru 12 persoane – Consiliul Local al oraşului Baraolt asigură funcţionarea acestei instituţii. • Fundaţia Creştină Diakonia – filiala Sf. Gheorghe Activează în Mun. Sf. Gheorghe, şi comunele: Arcuş, Aita Mare, (Brateş), Brăduţ, (Belin), Bodoc, (Comandău, Reci), Valea Crişului, Vârghiş. Nr. asistaţilor înregistraţi în luna ianuarie 2006: 256 Nr. asistaţi ocazional: 986 Nr. asistaţi dotaţi cu materiale: 92 Unitatea urmăreşte: îmbunătăţirea calităţii vieţii persoanelor vârstnice, beneficiare de servicii sociale şi întărirea capacităţii acestor persoane de a utiliza resursele proprii. Obiectivele principale ale serviciului vizează : - organizarea şi asigurarea asistenţei socio-medicale la domiciliul persoanelor imobilizate la pat ; - creşterea gradului de integrare şi participare socială a persoanelor imobilizate la pat/domiciliu ; - scăderea gradului de solicitare pentru familiile care îngrijesc persoanele/rudele imobilizate la pat etc.; II.2.1.8.2 Asociaţii de comune, de consilii În zonă nu există asociaţii de comune sau de consilii locale II.2.1.8.3 ONG-uri, asociaţii locale Cel mai important şi cel mai influent ONG, cu cea mai mare aderenţă este Asociaţia Regio Alutus – organizaţia înfiinţată pentru reprezentarea GAL, având următoarea componenţă: societate civilă 28 47% sector privat 20 34% sector public 11 19% Total 59 100% sector public, 11, 19% societate civilă, 28, 47% sector privat, 20, 34% Societate civilă 22 organizaţii, 6 culte
  • 114.
    ONG Domeniu de intervenţie Domeniu de activitate asistenta sociala tineri cu dizabilităţi severe mediu mediu moştenire culturala moştenire culturală profesionala profesională profesionala, media profesională - media tineret cultural tineret tineret ONG Domenii de intervenţie asistenta sociala 1 mediu 3 moştenire culturala 12 profesionala 3 profesionala, media 1 tineret 2 asistenta sociala profesionala, tineret 9% 5% media mediu 5% 13% profesionala 14% mostenire culturala 54% Peste jumătate din ONG se dedică moştenirii culturale – ceea ce dovedeşte existenţa unei identităţi locale puternice precum şi intenţia cultivării acesteia. Următoarea categorie sun organizaţiile profesionale şi apoi cele de mediu. Dacă existenţa unor organizaţii profesionale este oarecum de aşteptat, un punct forte al zonei este interesul manifestat pentru problemele de mediu. La fel, este îmbucurătoare existenţa şi funcţionare unor organizaţii axate pe grupuri sociale cum ar fi tineri sau cei cu nevoi de asistenţă socială.
  • 115.
    Lista organizaţiilor nonguvernamentale din zona GAL (toate sunt fondatoare ale GAL) ong asistenta sociala tineri cu dizabilităţi severe Arcuş SIRUTA: 64924 Fundaţia "KAPERNAUM" mediu Arcuş SIRUTA: 64924 Asociaţia "BIOKULTÚRA" Covasna Asociaţia Speo-Turistica si de Protecţia Naturii „LUMEA Baraolt SIRUTA: 63456 PIERDUTA” Asociaţia Culturala de Tineret si de Protecţia Mediului "DR. Calnic SIRUTA: 64933 BEDO ALBERT" moştenire culturala Aita Mare SIRUTA: 63786 Asociaţia "JURTA" Arcuş SIRUTA: 64924 Asociaţia Social Culturala "DAHLSTRÖM KÁLMÁN" Baraolt SIRUTA: 63456 Asociaţia "Dr. FÁBIÁN LÁSZLÓ" Asociaţia Culturala "GAÁL MÓZES" Comisia Comemorativa si Fundaţia „BARÓTI SZABÓ DÁVID" Belin SIRUTA: 63875 Fundaţia "BÖLÖNI FARKAS SÁNDOR" Filia SIRUTA: 64078 Asociaţia "KORMOS" Fotoş SIRUTA: 64372 Asociaţia "CSILLAGŐRZŐ" Ghidfalău SIRUTA: 64354 Asociaţia de tineret "KALÁRIS" Micfalău SIRUTA: 64513 Asociaţia "FANFARA TROMBON 1995" Asociaţia "FEJÉR ÁKOS" Tălişoara SIRUTA: 64087 Asociaţia "MESSZELÁTÓ " profesionala Baraolt SIRUTA: 63456 Asociaţia Întreprinzătorilor "ERDŐVIDÉK" Băţanii Mari SIRUTA: 63811 Composesoratul de Pădure si Păşune Băţanii Mari Vârghiş SIRUTA: 65002 Asociaţia Crescătorilor de Animale din Comuna Vârghiş profesionala, media Racoşul de Sus SIRUTA: 63508 Asociaţia "INTERMEDIA ERDŐVIDÉK" tineret cultural Băţanii Mici SIRUTA: 63839 Asociaţia "BODVAJ" tineret Bixad SIRUTA: 64522 Asociaţia de tineret din comuna Bixad
  • 116.
    6 Culte Arcuş SIRUTA: 64924 1 Parohia Reformată Arcuş 2 Parohia Unitariană Arcuş Bixad SIRUTA: 64522 3 Parohia Romano - Catolică Bixad Malnaş Sat SIRUTA: 64531 4 Parohia Reformata Malnaş Sat Micfalău SIRUTA: 64513 5 Parohia Reformată Micfalău 6 Parohia Romano - Catolică Micfalău II.2.1.8.4 Comentarii privind activităţile sociale şi instituţii locale În zonă se manifestă o solidaritate socială atât în rândul populaţiei, respectiv printre organizaţiile neguvernamentale, cât şi la nivelul autorităţilor locale, instituţiilor publice, cultelor religioase. Cea mai mare problemă o reprezintă lipsa de fonduri şi starea precară a infrastructurii şi echipamentelor. Desigur lucrătorii din domeniu duc lipsa unor pregătiri profesionale la standarde comunitare. Majoritatea ONG – urilor sunt dedicate moştenirii culturale – o componentă încă foarte vie şi determinantă a identităţii locale. Este îmbucurătoare existenţa şi funcţionare unor organizaţii axate pe grupuri sociale cum ar fi tineri sau cei cu nevoi de asistenţă socială.
  • 117.
    II.2.1.9 Bilanţul politicilorîntreprinse în teritoriu Conform Strategiei de dezvoltare a judeţului Covasna 204 – 2015 34, în perioada 2000 – 2004 judeţul a beneficiat de următoarele granturi: Tabelul 43: Proiecte finanţate de U.E. în perioada 2000-2004. € Valoare totală € Grant Phare din care 12,159,095 8,347,295 Phare infrastructură regională 9,980,000 6,660,000 Phare mică infrastructură 491,444 446,772 Phare servicii sociale 179,767 163,425 Phare resurse umane 298,032 212,916 Phare IMM 1,209,852 864,182 RICOP din care 1,614,286 1,310,786 RICOP servicii sociale 633,387 509,632 RICOP măsuri de ocupare 101,911 86,096 RICOP lucrări publice 878,988 715,058 ACCES 464,211 239,664 SAPARD 4,000,000 4,000,000 Altele 86,522 51,021 Total 18,324,114 13,948,766 Sursa amintită nu conţine detalii despre beneficiari sau localizarea proiectelor grantate, nici date mai exacte referitoare la liniile de finanţare în cauză. Neavând date comparative pentru nivelul regional şi/sau naţional este greu de apreciat eficacitatea judeţului în atragerea de fonduri. Phare infrastructură regională se referă la proiectul de reabilitare al DJ 131 în judeţele Braşov – Covasna – Harghita. Acest proiect a eşuat. Prin urmare suma din tabel scade cu cca. 50%. 34 Strategia de dezvoltare pe termen mediu a judeţului Covasna, pag. 113
  • 118.
    O imagine cevamai precisă poate fi formată din datele fostului centru de informare „infoeuropa.ro”: Program Jd Finantare Program Jd Finantare 1 2002/000-586.03.02. 22 RO02000-586.05.02.C. 2 B700030. 23 RO03005-551.03.02. 3 B700700. 24 RO9707. CV 23,680 4 B702030. CV 29,419 25 RO9709.02. 5 B799300. CV 81,883 26 RO9711. 6 B799700. 27 RO9711.01. 7 ComPrg00Lif.01. 28 RO9807.01. CV 16,002 8 RO0004.02. 29 RO9809.02. 9 RO0004.02.02. 30 RO9809.02.01. 10 RO0006.02.01. 31 RO9904.02. CV 646,152 11 RO0007.02.01. CV 163,245 32 RO9904.04. CV 544,468 12 RO0007.02.02. CV 260,969 33 RO9904.05. CV 245,540 13 RO0007.02.03. 34 RO9905. 14 RO0008. CV 185,750 35 RO9905.02. CV 107,320 15 RO0011. 36 RO990502. 16 RO0101. 37 SAPARD01.01. 17 RO0104.03. CV 253,129 38 SAPARD01.02. 18 RO0108.03.02. 39 SAPARD0102. 19 RO0108.03.04. 40 ZZ9917. 20 RO02000-586.03.02. Total judet 2,657,713 21 RO02000-586.05.02.B. CV 100,156 Total national 363,758,302 Din 40 de Linii de finanţare doar cca. O treime (13 din 40) au fost accesibile în judeţul Covasna, aplicanţii reuşind să 0.73% din totalul fondurilor disponibile la nivel naţional. Comparând cifrele celor două tabele sumele atrase din Phare sun apropiate, deci putem aprecia că pentru Phare suma este în jur de 2,700,000€. Nici datele din „Strategie” nici cele de pe infoeuropa.ro nu conţin date referitoare la locaţia proiectelor, deci nu putem aprecia granturile atrase în aria potenţialului GAL. Date de o acurateţe mai mare pot fi găsite pe site -ul Ministerului Dezvoltării, dar şi acestea referitoare doar la Phare.
  • 119.
    GRANT CONTRACTS AWARDEDDURING OCTOBER - NOVEMBER 2002 FINANCING SOURCE: Budget line RO0007.02.01 1. Grants awarded under Call for Proposal CP – 1/2001 published on June 2001 Phare RO0007.02.01 june 3.50% 2.98% 3.00% 2.50% 2.00% 1.50% 1.00% 0.50% 0.21% 0.03% 0.00% Reg 7 Centru din National CV din National Alutus - Baraolt din National Reg 7 Centru din National National CV din National Alutus - Baraolt din National 88,474,444 2,640,661 188,800 27,134 100.00% 2.98% 0.21% 0.03% CV din Reg 7 Alutus - Baraolt din Reg 7 Reg 7 Centru Centru Centru 100.00% 7.15% 1.03% CV Alutus - Baraolt din jud. CV 100.00% 14.37%
  • 120.
    GRANT CONTRACTS AWARDEDDURING OCTOBER - NOVEMBER 2002 FINANCING SOURCE: Budget line RO0007.02.01 1. Grants awarded under Call for Proposal CP – 1/2001 published on 20 May 2001 RO0007.02.01 may 0.23% 0.25% 0.20% 0.15% 0.10% 0.03% 0.05% 0.01% 0.00% Reg 7 Centru din CV din National Alutus - Baraolt - National Bodoc din Nationa Reg 7 Centru din Alutus - Baraolt - Bodoc din National National CV din National Nationa 808,768,92 4 1,825,839 260,969 80,245 100.00% 0.23% 0.03% 0.01% CV din Reg 7 Reg 7 Centru Centru Alutus - Baraolt din Reg 7 Centru 100.00% 14.29% 4.39% CV Alutus - Baraolt din jud. CV 100.00% 30.75%
  • 121.
    GRANT CONTRACTS AWARDEDDURING NOVEMBER 2003 FINANCING SOURCE: Budget line RO 0108.03.05 1. Grants awarded under Call for Proposal CP – 3/2002 published on 19 July 2002 RO 0108.03.05 3-2002 17.58% 20.00% 15.00% 10.00% 5.00% 1.24% 0.32% 0.00% Reg 7 Centru din CV Alutus - Baraolt National Reg 7 Centru din Alutus - Baraolt - Bodoc din National National CV din National Nationa 36,021,529.2 0 6,333,702.10 446,772.00 116,966.00 100.00% 17.58% 1.24% 0.32% CV din Reg 7 Reg 7 Centru Centru Alutus - Baraolt din Reg 7 Centru 100.00% 7.05% 1.85% CV Alutus - Baraolt din jud. CV 100.00% 26.18%
  • 122.
    Phare/2004/016-772.04.01.04.01.02 CFP 3/2006 publishedon August 2, 2006 Project Preparation Grant Scheme for private sector in the field of waste management 016-772.04.01.04.01.02 25.00% 20.48% 20.00% 15.00% 7.84% 7.84% 10.00% 5.00% 0.00% Reg 7 Centru din CV Alutus - Baraolt - National Bradut Reg 7 Centru din Alutus - Baraolt - Bodoc din National National CV din National Nationa 341,062.50 69,842.50 26,725.00 26,725.00 100.00% 20.48% 7.84% 7.84% CV din Reg 7 Alutus - Baraolt din Reg 7 Reg 7 Centru Centru Centru 100.00% 38.26% 38.26% CV Alutus - Baraolt din jud. CV 100.00% 100.00%
  • 123.
    "Proiect RO 2005/017-553.04.01.04.01„Schema de investiţii pentru sprijinirea iniţiativelor sectorului public în sectoarele prioritare de mediu” (Schema de granturi: Investiţii publice în sectoarele de mediu)” 017-553.04.01.04.01 13.69% 16.00% 14.00% 12.00% 10.00% 8.00% 6.00% 2.93% 4.00% 1.26% 2.00% 0.00% Reg 7 Centru din CV Alutus - Baraolt National Reg 7 Centru din Alutus - Baraolt - Bodoc din National National CV din National Nationa 51,124,987.9 5 7,000,880.61 1,497,265.79 645,184.27 100.00% 13.69% 2.93% 1.26% CV din Reg 7 Alutus - Baraolt din Reg 7 Reg 7 Centru Centru Centru 100.00% 21.39% 9.22% CV Alutus - Baraolt din jud. CV 100.00% 43.09%
  • 124.
    Total Phare National Reg 7 Centru CV Alutus Phare 017-553.04.01.04.01 51,124,987.95 7,000,880.61 1,497,265.79 645,184.27 Phare 016-772.04.01.04.01.02 341,062.50 69,842.50 26,725.00 26,725.00 Phare RO 0108.03.05 3-2002 36,021,529.20 6,333,702.10 446,772.00 116,966.00 Phare RO0007.02.01 may 808,768,924.00 1,825,839.00 260,969.00 80,245.00 Phare RO0007.02.01 june 88,474,443.66 2,640,661.00 188,800.00 27,134.00 984,730,947.31 17,870,925.21 2,420,531.79 896,254.27 National Reg 7 Centru din National CV din National Alutus din National 100.00% 1.81% 0.25% 0.09% Reg 7 Centru CV din Reg 7 Centru Alutus din Reg 7 Centru 100.00% 13.54% 5.02% CV Alutus din CV 100.00% 37.03% Total Phare 1.81% 2.00% 1.50% 1.00% 0.25% 0.50% 0.09% 0.00% Reg 7 Centru din CV din National Alutus din National National
  • 125.
    Total Pahre 16.00% 13.54% 14.00% 12.00% 10.00% 8.00% 5.02% 6.00% 4.00% 2.00% 0.00% CV din Reg 7 Centru Alutus din Reg 7 Centru Total Pahre 100.00% 100.00% 80.00% 60.00% 37.03% 40.00% 20.00% 0.00% CV Alutus din CV II.2.1.9.1 Concluzii privind Bilanţul politicilor întreprinse în teritoriu Procentul extrem de mic (sub 2%) faţă de totalul fondurilor Phare la nivel naţional atras de către judeţul Covasna explică valoare absolută extrem de mică a acestor fonduri atrase în aria potenţialului GAL. Pentru restul fondurilor de pre-aderare nu am reuşit să găsim date detaliate.
  • 126.
    II.2.1.10 Elemente complementareprivind prezentarea teritoriului II.2.1.10.1 Infrastructura rutieră Drumul Naţional nr. 12 se ramifică din DN 11 în dreptul localităţii Chichiş şi traversează judeţul, pe o lungime de 40 de km pe direcţia nord-sud. Trece prin Sfântu Gheorghe, reşedinţa de judeţ, şi urmărind în valea Oltului asigură legătura spre Miercurea-Ciuc (judeţul Harghita). din care Cu Drumuri îmbrăcăminţi publice - uşoare total Modernizate rutiere România 79,952.00 21,549.00 20,964.00 Reg. 7 Centru 10,211.00 2,447.00 2,881.00 jud. Covasna 839.00 295.00 275.00 Alutus 68.73 6.27 32.92
  • 127.
    Localitatea Indicativul Traseu Lungime drumului în km Baraolt DC 38 DJ 131 – Racoşul de Sus 4.05 DC 40 DJ 131 – Staţia de brichetare 1.30 DC 43 DJ 122 – Bodoş 2.55 Total BARAOLT 7.90 Arcuş DC 31 DJ 121B - Arcuş 1,45 Băţani DC 44 Băţanii Mari – Aita Seacă 11.45 DC 45 DJ 122 - Herculian 7.93 DC 47 DJ 122 – Ozunca Băi 3.35 Total BĂŢANI 22.73 Belin DC 37 DJ 103E – Belin Vale 2.70 Bodoc DC 29 DN 12 - Bodoc 1.39 DC 48 DN 12 - Zălan 2.50 Total BODOC 3.89 Brăduţ DC 41 DJ 131 – Doboşeni 2.46 DC 42 Tălişoara – Brăduţ – Filia 6.45 Total BRĂDUŢ 8.91 Ghidfalău DC 20A DJ 13E – Angheluş 2.50 DC 28 DN 12 – Zoltan – Ghidfalău 4.50 DC 39 DJ 121A (Ghidfalău) – Fotoş 2.60 Total GHIDFALĂU 9.60 Malnaş DC 44 Valea Zălanului –Malnaş Băi 7.00 Valea Crişului DC 30 Valea Crişului (DJ 121A) – Calnic 3.00 Vîrghiş DC 38 DJ 131 (Vîrghiş) – Racoşul de Sus 3.00 Total Alutus 68.73 Din total drumuri publice: Densitatea din care din care drumurilor Drumuri Cu Drumuri Cu publice pe 2 naţionale îmbrăcăminţi judeţene îmbrăcăminţi 100 km Modernizate uşoare rutiere şi comunale Modernizate uşoare rutiere teritoriu 15,983.00 14,501.00 1,176.00 63,969.00 7,048.00 19,788.00 33.5 2,237.00 2,106.00 87.00 7,974.00 341.00 2,794.00 29.9 269.00 243.00 2.00 570.00 52.00 273.00 22.6 68.73 6.27 32.92 6.2
  • 128.
    Densitatea drumurilor publicepe 100 km2 teritoriu 100.00% 100.00% 89.25% 90.00% 67.46% 80.00% 70.00% 60.00% 50.00% 40.00% 30.00% 18.51% 20.00% 10.00% 0.00% Romania Reg. 7 Centru jud. Covasna Alutus Raportat la nivelul naţional, pe teritoriul potenţialului GAL densitatea drumurilor publica la 100 km2 este sub 20% din media naţională. Densitatea drumurilor publice pe 100 km2 teritoriu 120.00% 100.00% 100.00% 80.00% 60.00% 27.43% 40.00% 20.00% 0.00% jud. Covasna Alutus Raportat la nivelul judeţean, pe teritoriul potenţialului GAL densitatea drumurilor publica la 100 km2 este sub 30% din media judeţeană. Prin urmare, dacă indicatorul judeţean este mult sub cel naţional, cel al potenţialului GAL este mult sub cel judeţean. Din totalul drumurilor publice 8% se află pe teritoriul potenţialului GAL. 41% din rumuri sunt de categoria clas III (necorespunzătoare) şi 22% unt de clasa IV (rele).
  • 129.
    II.2.1.10.2 Infrastructura decale ferată Artera feroviară principală (linia 400) urmăreşte valea Oltului (pe o distanţă de cca. 40 km pe teritoriul judeţului din care 30 km în aria potenţialului GAL – linia roşie) şi asigură legătura cu Braşovul (spre sud), respectiv cu principalele localităţi din nordul Transilvaniei (spre nord). din care: Densitatea electrificate Linii cu ecartament normal liniilor pe Cu o 1000 km2 Total Total cale Cu două căi teritoriu România 10,789 3,965 10,731 7,722 3,009 45.3 Reg. 7 Centru 1,346 678 1,345 1,025 320 39.5 jud. Covasna 116 44 116 116 31.3 Alutus 22 22 22 22 19.8
  • 130.
    Raportat la medianaţională, densitatea căilor ferate în aria potenţialului GAL este sub 50% din media naţională. Densitatea liniilor pe 1000 km2 teritoriu 100.00% 100.00% 80.00% 63.26% 60.00% 40.00% 20.00% 0.00% jud. Covasna Alutus Raportat la media judeţeană, densitatea căilor ferate în aria potenţialului GAL este de 63% din media judeţeană. II.2.1.10.3 Infrastructura de comunicaţii Activităţi telefonice raportate la populaţie (la 1,000 de locuitori) Convorbiri telefonice (mii minute) Interne Acces Abonamente special telefonice Interurbane Locale Internaţionale Fix-Mobil Fix-Fix internet România 157 32 213 6 32 6 53 Reg. 7 Centru 168 33 209 7 29 7 75 jud. Covasna 137 25 142 5 24 4 67
  • 131.
    Activităţi telefonice raportatela populaţie (la 1,000 de locuitori) 160.00% 140.00% 120.00% 100.00% 80.00% 60.00% 40.00% 20.00% 0.00% Abonamente Acces special Interurbane Locale Internaţionale Fix-Mobil Fix-Fix telefonice internet România 100.00% 100.00% 100.00% 100.00% 100.00% 100.00% 100.00% Reg. 7 Centru 107.24% 102.67% 97.91% 118.73% 92.51% 118.81% 139.96% jud. Covasna 87.23% 76.99% 66.74% 92.73% 76.54% 72.08% 126.05% Infrastructura de telecomunicaţii este sub nivelul mediu naţional şi evident sub cel regional. Conform datelor statistice accesul special l internet este pete media naţională (şi evident sub cea regională). Convorbirile internaţionale sunt la un nivel apropiat de media naţională, din cauza celor plecaţi cu precădere în Ungaria. Acoperire Orang Acoperire Vodafone Acoperirea GSM reală este sub calitatea medie.
  • 132.
    II.2.1.10.4 Infrastructura deutilităţi Alimentare cu apă şi canalizare Oraşul Baraolt având cca. 7.000 de consumatori este aprovizionat dintr-o sursă de suprafaţă (pârâul Cormoş), sursă care nu se încadrează în STAS 4706-87, categoria I. de folosinţă, iar apa este poluată şi de gospodăriile localităţilor din amonte, până când ajunge la staţia de tratare. 35 Debitul captat este de 1740 mc/zi. Populaţia este deservită într-o proporţie de 68%. Consumul mediu de apă este de 187 l/om/zi. O parte din populaţie utilizează ca apă de băut apă minerală din surse locale. În urma evaluării rezultatelor analizelor de laborator efectuate în cursul anului 2001 rezultă că apa distribuită consumatorilor nu corespunde STAS 1342 – 91 Apă potabilă la următorii parametrii: substanţe organice la 65,51% din probele recoltate ; coliformi totali la 10,34% din probele recoltate ; coli fecali la 6,98% din probele recoltate. Această situaţie se datorează şi faptului că staţia de tratare a fost proiectată iniţial pentru furnizare de apă industrială şi tehnologia existentă de tratare a apei este inadecvată pentru a aduce la parametrii de potabilitate. Situaţia în mediul rural In mediul rural populaţia consumă apă din sistem centralizat în proporţie de numai 17%, iar apa furnizată de acestea corespunde calitativ parametrilor de potabilitate. Restul populaţiei se aprovizionează cu apă din fântâni individuale şi publice ce au o adâncime de 4 – 20 m, care corespunde indicatorilor de potabilitate numai în proporţie de 48,6%, putându-se remarca o deteriorare continuă a calităţii ape din următoarele motive : - utilizarea pe scară largă şi fără discernământ a îngrăşămintelor chimice ; - poluarea solului cu ape reziduale organice care prin descompunere pun în libertate nitraţi şi nitriţi ; - depozitarea reziduurilor menajere şi animale în apropierea surselor de apă. Cele mai afectate localităţi în privinţa concentraţiei de nitraţi sunt următoarele: Aita Mare, Belin. Locuinţe după dotarea cu instalaţii Alimentare cu apă Canalizare din Încălzire prin in locuinţă (din reţea publică termoficare sau reţea publică sau sau sistem Instalaţie prin centrală Total sistem propriu) propriu electrică termică România 8,110,407 4,313,803 4,146,814 7,809,356 2,954,592 Reg. 7 Centru 953,129 624,540 593,171 882,826 365,265 Covasna 85,594 50,361 48,189 82,549 27,213 Alutus 10,906 5,984 5,519 9,691 3,117 35 PLAN DE DEZVOLTARE A JUDEŢULUI COVASNA PE TERMEN MEDIU (2006 – 2013), AGENDA 21 LOCALĂ A JUDEŢULUI COVASNA
  • 133.
    . Locuinţe după dotarea cu dependinţe Bucătărie Baie România 7,156,693 4,059,107 Reg. 7 Centru 857,647 570,441 Covasna 78,653 46,502 Alutus 9,008 5,326 Situaţia utilităţilor la locuinţe raportată la media naţională este mai slabă, în special la categoriile „Instalaţie electrică”, şi „Încălzire prin termoficare sau prin centrală termică”. Aceeaşi situaţie raportată la media pe regiune în medie este cu 9 puncte procentuale sub media regională.
  • 134.
    Procente din Totallocuinţe 100.00% 92.62% 96.44% 91.89% 96.29% 90.00% 89.98% 88.86% 80.00% 88.24% 82.60% 70.00% 65.53% 62.23% 58.84% 59.85% 60.00% 56.30% 54.87% 54.33% 53.19% 51.13% 50.05% 50.00% 50.61% 48.83% 38.32% 40.00% 36.43% 31.79% 30.00% 28.58% 20.00% 10.00% 0.00% Alimentare cu apa Canalizare din retea Instalatie electrica Incalzire prin Bucatarie Baie in locuinta (din publica sau sistem termoficare sau prin retea publica sau propriu centrala termica sistem propriu) România Reg. 7 Centru Covasna Alutus
  • 135.
    PARTEA a II-a:Analiza SWOT II.2.2 Analiza Actorilor implicaţi Relaţia cu alţi Efecte Posibile acţiuni orientate Interesele şi Actori negative ale către interesele Actorilor cum sunt Capacitatea şi (parteneriat, Obiectivele Efecte pozitive ale LEADER (aplanarea conflictelor, Actori afectate de motivarea de a conflict, interese principale ale LEADER asupra asupra încurajarea Implicaţi problemă(e) face schimbare complementare) Actorului Actorului Actorului parteneriatului) Dezvoltare, Identificarea Tensiuni Suport pentru coordonare, atragere de Creşterea oportunităţilor, schimb informare continuă în masă, Cooperare cu între Fermieri Lipsa resurselor fonduri, competitivităţii de informaţii, reţea pe înţelesul localnicilor, ONG, APL fermieri, posibilitatea şi a profitului, pentru producătorii plan de acţiune, financiare Conflicte cu efecte realizării unor rămânerea/intrar locali, schimbarea „concurenţa” negative de implementarea planului de produse ea pe piaţă mentalităţii,ocuparea acţiune, îmbunătăţire mediu competitive forţei de muncă schimbului de informaţii Cooperare cu Dezvoltarea Coordonarea ofertelor, Creşterea Susţinerea parteneriatelor, fermieri locali, turismului local, identificarea numărului Tensiuni Suport pentru coordonare, Pensiuni, ONG introducerea oportunităţilor, reţea de nopţilor de între Informare continuă în masă, ofertanţi Lipsa resurselor cazare, Conflicte cu serviciilor de parteneriate, schimbarea competitori, pe înţelesul localnicilor, de cazare financiare şi a diversificarea „concurenţa” şi calitate mai mentalităţii,crearea efecte plan de acţiune, informaţiilor APL bună, formarea locurilor de muncă în atracţiilor negative de implementarea planului de Potenţial scăzut identităţii zonă, crearea şi turistice şi de mediu acţiune, îmbunătăţire de iniţierea unei turistice locale dezvoltarea surselor de agrement schimbului de informaţii reţele sectoriale coerente venit alternative
  • 136.
    Relaţia cu alţi Efecte Posibile acţiuni orientate Interesele şi Actori negative ale către interesele Actorilor cum sunt Capacitatea şi (parteneriat, Obiectivele Efecte pozitive ale LEADER (aplanarea conflictelor, Actori afectate de motivarea de a conflict, interese principale ale LEADER asupra asupra încurajarea Implicaţi problemă(e) face schimbare complementare) Actorului Actorului Actorului parteneriatului) Parteneriat cu Identificarea Susţinerea parteneriatelor, APL şi cu unele Tensiuni IMM Eliminarea Creşterea oportunităţilor, schimb informare continuă în masă, Greutăţi în întreprinderi; între Întreprinză extinderea sau obstacolelor ce Conflicte cu competitivităţii de informaţii, reţea competitori, pe înţelesul localnicilor, tori îngreunează prin ameliorarea pentru întreprinzătorii plan de acţiune, întemeierea populaţia, cu efecte dezvoltarea infrastructurii locali, schimbarea implementarea planului de unei afaceri activiştii de negative de afacerilor specifice mentalităţii, noi locuri de acţiune, îmbunătăţire mediu, cu mediu muncă pentru localnici schimbului de informaţii „concurenţa”; Expertiză Poate Lipsa Extinderea specifică; deveni parteneriatelor; Cooperare cu parteneriatului; Îmbunătăţirea schimbului de Îmbunătăţirea dialogului publică lipsa ONG Livrare de iniţiativă; dialog întreprinzători, Activitate in informaţii; Participarea la social; Creşte spaţiul de de iniţiativă, informaţii către social; populaţie, domeniul programe de formare; manevră; Apar noi lipsa ceilalţi Actori; autoidentificare celelalte ONG, specific; Iniţierea/extinderea parteneriate capacităţii Formarea a cu obiectivele APL Îmbunătăţirea dialogului social de adulţilor populaţiei calităţii vieţii cooperare Extinderea Tensiuni Păstrarea surselor de între Lipsă de Oportunităţi de tradiţiilor; Parteneriate cu venit alternativ competitori, Susţinerea parteneriatelor, Meşteşugari notorietate, Parteneriate cu alţi Promovarea şi ONG, Actorii prin Creşterea probleme Suport pentru coordonare, Lipsă de meşteşugari, cu ONG, cu desfacerea turismului rural notorietăţii şi legate de promovarea produselor fonduri Actorii turismului rural produselor Promovarea promovare produselor şi desfacere
  • 137.
    Relaţia cu alţi Efecte Posibile acţiuni orientate Interesele şi Actori negative ale către interesele Actorilor cum sunt Capacitatea şi (parteneriat, Obiectivele Efecte pozitive ale LEADER (aplanarea conflictelor, Actori afectate de motivarea de a conflict, interese principale ale LEADER asupra asupra încurajarea Implicaţi problemă(e) face schimbare complementare) Actorului Actorului Actorului parteneriatului) Eficientizarea procesului de Conflicte cu Formatori Neconcordanţă formare, Parteneriate cu Armonizarea Conexiuni către celelalte alţi Actori Susţinere pentru dialog între cerere şi ONG şi instituţii sectoare, Parteneriate Deţinerea unei cererii şi ofertei implicaţi în social ofertă de învăţământ intersectoriale expertize formare specifice Are iniţiativă; Stabilirea de are concepţie Parteneriat cu toţi Apariţia parteneriate Cresc veniturile, dialog, despre Actorii: unor APL pentru scopuri echilibru între actorii Lipsă de dezvoltare; este Interpretarea obligaţii în Susţinere pentru dialog neimpuse de locali, inclusiv populaţia fonduri conectat la surse greşită a afara celor social şi transparenţă lege; consiliere; locală; încurajarea de informaţii, propriului statut impuse de Îmbunătăţirea parteneriatelor are obligaţii de „competitor” lege calităţii vieţii impuse de lege Apariţia Relaţii generate Parteneriate unor Autorităţi Deţin doar Obligate prin de exercitarea Pune în lumină pentru diferite obligaţii în Conectarea obiectivelor intr- informaţii legislaţie, funcţiilor, oportunităţi noi pentru iniţiative de afara celor un sistem coerent parţiale iniţiativă Eventuale programe de dezvoltare dezvoltare impuse de conflicte lege
  • 138.
    Relaţia cu alţi Efecte Posibile acţiuni orientate Interesele şi Actori negative ale către interesele Actorilor cum sunt Capacitatea şi (parteneriat, Obiectivele Efecte pozitive ale LEADER (aplanarea conflictelor, Actori afectate de motivarea de a conflict, interese principale ale LEADER asupra asupra încurajarea Implicaţi problemă(e) face schimbare complementare) Actorului Actorului Actorului parteneriatului) Efect Obligaţii Alte multiplicator impuse de Cooperare cu Stabilirea unor Nevoia Asociaţii Limite în prin extinderea legislaţia UE; comunităţi şi/sau parteneriate; planificarea acomodării Cooperare, parteneriat pe şi GAL exerciţiul parteneriatelor; condiţionalitate Asociaţii şi implementarea comună în parcursul planificării Parteneriatelor Îmbunătăţirea accesării învecinate a unor proiecte parteneriate calităţii vieţii în fondurilor mediul rural Nu sunt interesate de Instituţii Cadru legal piaţa de Ameliorarea Semnalarea problemelor de credit inadecvat, nu Slabă cooperare Nu se creditare a condiţiilor de Nu se întrevăd către Actori influenţi la pot fi cu Actorii rurali întrevăd proiectelor de creditare nivel naţional cum ar fi AM influenţate dezvoltare rurală Constatările acestei analize constituie punct de plecare pentru analiza SWOT detaliată a zonei acoperite de potenţialul GAL.
  • 139.
  • 140.
    Metoda de calculpentru valoare coeficientului de influenţă a unui actor: CoefActori = CoefCorectiei * xi2 + y i2 coeficientul de corecţie ia valori funcţie de „Măsura în care Actorul susţine schimbarea” şi „Capacitatea de influenţă asupra schimbării”: Măsura în care Actorul susţine schimbarea BLOCK NEUTRAL SUPPORT MARE 0.25 1.00 1.50 Capacitatea de influenţă asupra schimbării MEDIE 0.50 1.00 1.25 MICĂ 0.75 1.00 1.10 n ∑ CoefActor i CoefGLOBAL = 1 n II.2.2.2 Comentarii privind Evaluarea Actorilor implicaţi Poziţiile actorilor implicaţi sunt aproape rigide, foarte greu de schimbat. Coeficientul GLOBAL pentru situaţia dată este de 0.72%. În cazul aplicării cu succes a unei strategii minimale, adică schimbarea atitudinii „BLOCARE” în poziţia „NEUTRU” valoarea Coeficientului GLOBAL creşte la 0,76%. Valoare maximă normalizată fiind de 100% ambele valori sunt acceptabile, în apropiere de 0,75% - adică un risc acceptabil. Din Analiza şi Evaluarea Actorilor implicaţi rezultă clar: riscurile asociate proiectului sunt mici, cu siguranţă sub pragul de risc inacceptabil, cu excepţia posibilităţilor de credit, care sunt necesare pentru co-finanţare. Acordarea pre-finanţării/avansului pare a fi singura soluţie viabilă.
  • 141.
    II.2.2.3 SWOT –TERITORIU În analiza SWOT s-a considerat ca entitate analizată, aria acoperită de potenţialul GAL, restul actorilor (inclusiv nivelul judeţean) fiind consideraţi „externi”. Punctele slabe haşurate constituie cauze generatoare de probleme sau efecte/probleme, şi se regăsesc la baza Arborelui problemă. Funcţie de eficacitatea cu care s-a reuşit formularea Punctelor Slabe, acestea se constituie în: • Cauze directe, la baza arborelui problemă sau •Cauze compuse, care la rândul lor sunt reformulate din mai multe elemente pentru o mai bună pliere pe Axele şi Măsurile existente în PNDR. Eticheta cauzei de la baza arborelui problemă se regăseşte în colana din dreapta ataşată matricei SWOT („Cauzat de”). Punctele slabe care nu pot fi tratate prin prezenta strategie se constituie în Riscuri/Ipoteze şi apar în coloana aferentă a Matricei Cadru Logic. Riscurile haşurate constituie Ipoteze, şi se regăsesc în coloana a 4 –a a Matricei Cadru Logic. Pentru a avea un text mai concis în Ipoteze am inserat sinteza unor riscuri ce periclitează domenii similare. Localizarea teritoriului, prezentarea geografică şi fizică (caracteristici geografice – izolare – deservire – infrastructuri), patrimoniu de mediu, patrimoniu arhitectural şi cultural (centre de interes – patrimoniu –cultură – mediu înconjurător)
  • 142.
    SWOT – TERITORIU PUNCTE TARI PUNCTE SLABE Cauzat de caracteristici geografice – izolare – deservire – infrastructuri Calitatea şi gama serviciilor turistice este scăzută: * nu există o ofertă atractivă pentru Zonă montană, intactă Cause_III_2.1.1 minivacanţa de iarnă * există foarte puţine servicii de agrement şi distracţie SWOT – TERITORIU OPORTUNITĂŢI RISCURI LogFrame caracteristici geografice – izolare – deservire – infrastructuri Zona nu este străbătută de căi terestre de comunicare importante - zona Baraolt este izolată Scopul proiectului Interes crescând – generat de criza Infrastructura de transport ce economică - al turiştilor pentru deserveşte zona este în stare locaţii cu servicii de calitate la cost precară, densitatea sub media redus naţională - accesibilitatea zonelor turistice este slabă Deteriorarea şi mai accentuată a infrastructurii de transport – creşterea gradului de izolare fizică
  • 143.
    SWOT – TERITORIU PUNCTE TARI PUNCTE SLABE Cauzat de patrimoniu de mediu Depozitarea de deşeuri în arii Din punct de vedere al Cause_II_2.1.1, protejate în urma turismului şi circumstanţelor geografice şi de Cause_II_3.3.1, depozitarea de deşeuri menajere Cause_II_2.2.1 mediu potenţialul GAL este unitar în arii protejate Cause_II_2.1.1, izvoare minerale cu o compoziţie Distrugerea sau furtul de panouri Cause_II_3.3.1, carbogazoasă, clorosodică, calcică indicatoare din rezervaţii Cause_II_2.2.1 Nivel ridicat al biodiversităţii asociate terenurilor agricole, Cause_II_2.1.1, inclusiv suprafeţe largi de pajişti Incendierea păşunilor Cause_II_3.3.1, semi-naturale, ce pot fi clasificate Cause_II_2.2.1 ca teren agricol cu valoare naturală înaltă Existenţa pe suprafeţe largi de teren Cause_I_3.2.1, Capacitate limitată a noilor Cause_I_3.2.2, agricol a practicilor agricole proprietari privaţi de pădure de a- Cause_I_2.3.1, tradiţional extensive, fapt ce şi gestiona pădurile într-un mod Cause_II_2.1.1, demonstrează existenţa sistemelor Cause_II_3.3.1, durabil agricole cu valoare naturală înaltă Cause_II_2.2.1 Grad scăzut de conştientizare al fermierilor privind importanţa Cause_II_2.1.1, practicilor agricole durabile (care Cause_II_3.3.1, protejează mediul şi favorizează Cause_II_2.2.1 conservarea solului) Sectorul agricultură ecologică în comparaţie cu media europeană Cause_I_1.1.1 este slab dezvoltat, iar piaţa internă este una tânără Procesatorii interni la scară mică folosesc utilaje învechite şi ineficiente, fapt care conduce la o Cause_I_2.2.1 calitate inconstantă a produselor şi o slabă respectare a normelor de protecţie a mediului Lipsa instalaţiilor şi echipamentelor necesare pentru Cause_II_2.1.1, Tradiţie îndelungată în gospodărirea managementul gunoiului de grajd Cause_II_3.3.1, obştească din unele zone Cause_II_2.2.1 (în special pentru depozitarea acestuia) în fermele zootehnice Management foarte deficitar al Resurse naturale neexploatate Cause_I_2.2.1 deşeurilor domestice şi de grajd Nivel ridicat al biodiversităţii pe Activitate scăzută la nivelul Cause_II_3.1.1, suprafeţele agricole pepinierelor silvice private Cause_II_3.2.1
  • 144.
    SWOT – TERITORIU OPORTUNITĂŢI RISCURI LogFrame patrimoniu de mediu Risc de a pierde suprafeţe importante de păşune, datorită Creşterea gradului de conştientizare standardelor sanitar-veterinare Scopul asupra conceptului de Înaltă Valoare recent impuse fermierilor, standarde proiectului Naturală şi a importanţei acestuia ce pot afecta sistemele tradiţionale 412 de păşunat aflate în imposibilitatea de a se adapta rapid Potenţial de a sprijini sistemele agricole cu înaltă valoare naturală prin intermediul unui complex de Destabilizarea microclimatelor, ca o Scopul intervenţii strategice şi practice, consecinţă a schimbărilor climatice proiectului incluzând şi dezvoltarea de pieţe pentru produsele agricole tradiţionale, sprijinul pentru agroturism, etc. Potenţial de stimulare a comunităţilor Lipsa infrastructurii de canalizare şi locale în vederea creşterii gradului de Scopul de gospodărire a deşeurilor conştientizare asupra nevoilor de proiectului domestice în multe localităţi rurale conservare a biodiversităţii Exploatarea rolului multifuncţional al Lipsa unor titluri de proprietate pădurilor prin ecoturism, activităţi de Scopul clare asupra suprafeţelor de pădure recreere, recoltarea de produse proiectului descurajează gospodărirea pădurilor nelemnoase, plăţi pentru servicii de 412 într-o manieră durabilă protecţie a mediului
  • 145.
    SWOT – TERITORIU PUNCTE TARI PUNCTE SLABE Cauzat de patrimoniu arhitectural şi cultura Lipsa de competenţă Obiective clasificate de patrimoniu managerială, profesională în naţional în număr mare şi de mare Cause_I_1.1.1 păstrarea şi valorificarea diversitate patrimoniului Un excelent exemplu de bună Accesul redus pe piaţă al Cause_I_3.1.1, practică la castelul Kálnoky produselor meşteşugăreşti Cause_II_1.1.1 Calitate slabă a infrastructurii şi a serviciilor turistice În majoritatea cazurilor proprietatea Cause_III_2.1.1, • nu există o ofertă atractivă Cause_III_2.1.3 sau administrarea este clarificată pentru valorificarea patrimoniului cultural, al tradiţiilor locale În general sunt situate în afara zonelor de risc natural cunoscute Zona face parte dintr-o regiune etnografică distinctă Tradiţii culturale locale cu valoare adăugată ce pot fi valorificate SWOT – TERITORIU OPORTUNITĂŢI RISCURI LogFrame patrimoniu arhitectural şi cultura Rezultate Starea de cele mai multe ori avansat Existenţa abordării LEADER aşteptate degradată a obiectivelor 313, 322
  • 146.
    II.2.2.4 SWOT –POPULAŢIA populaţie – demografie, repartizarea populaţiei active (demografie – populaţia activă – îmbătrânire – nivel de instruire – cunoştinţe şi competenţe specifice teritoriului) SWOT – POPULAŢIA PUNCTE TARI PUNCTE SLABE Cauzat de demografie – populaţia activă – îmbătrânire – nivel de instruire – cunoştinţe şi competenţe specifice teritoriului Populaţia cunoaşte la ora actuală un proces de regres accentuat Există diversitate etnică care poate datorat îmbătrânirii, scăderii Cause_I_2.1.1, fi pusă în valoare datorită abordării fertilităţii şi migraţiei. Procesul de Cause_I_2.1.2 LEADER îmbătrânire demografică va continua. Se prognozează o scădere drastică Creşterea numărului de absolvenţi a numărului copiilor şi tinerilor de ai facultăţilor de profil agricol vârstă şcolară Raportul de dependenţă la 1,000 Cause_I_2.1.1, persoane potenţial active 45% Cause_I_2.1.2 Diminuarea populaţiei în vârstă Cause_I_2.1.1, de muncă Cause_I_2.1.2 Pe piaţă vor lipsi tinerii specializaţi în diverse profesii, datorită insuficienţei numărului LogFrame – de persoane. Profesiile cele mai Rezultate afectate vor fi cele din domeniul aşteptate IT, medicină, automatizări, construcţii şi instalaţii, etc. Incidenţa şomajului pe termen Cause_I_2.1.1, lung este deosebit de ridicată în Cause_I_2.1.2, judeţ – cu mult peste media Cause_III_1.1.1 regională, naţională şi comunitară Se constată o structură defavorabilă a populaţiei active, Cause_I_2.1.1, înregistrându-se o pondere Cause_I_2.1.2, excesivă a şomajului în rândul Cause_III_1.1.1 populaţiei active Pondere importantă a SAU este Cause_I_2.1.1, lucrată de agricultori mai Cause_I_2.1.2 vârstnici, din exploataţii mai mici Nivel scăzut de educaţie şi de Cause_I_1.1.1 competenţă profesională Prezenţa redusă a femeilor pe Cause_I_2.1.1, piaţa muncii Cause_I_2.1.2
  • 147.
    SWOT – POPULAŢIA OPORTUNITĂŢI RISCURI LogFrame demografie – populaţia activă – îmbătrânire – nivel de instruire – cunoştinţe şi competenţe specifice teritoriului Existenţa unor programe de asistenţă Accentuarea tendinţei tinerilor de a Scopul socială şi programe de pensii părăsi zona proiectului Scopul Diversificarea activităţilor din zonele Majorarea costurilor salariale şi a proiectului rurale poate fi sprijinită fiscalităţii în general 411 Formarea profesională poate ajuta la Scopul îmbunătăţirea competenţelor Lipsa investiţiilor proiectului fermierilor 413 Reîntinerirea generaţiei de şefi de exploataţii
  • 148.
    II.2.2.5 SWOT -ACTIVITĂŢI ECONOMICE industrie – IMM – micro-întreprinderi, comerţ şi sectorul de servicii (primar – secundar - terţiar – servicii – turism), agricultura SWOT - ACTIVITĂŢI ECONOMICE PUNCTE TARI PUNCTE SLABE Cauzat de industrie – IMM – micro-întreprinderi Existenţa unor meserii tradiţionale Prelucrare lemnului, şi a pietrei legate de prelucrarea lemnului şi brute sunt singurele activităţi cioplitul pietrei prezente în zonă Nu există reţele de desfacere a produselor agro-alimentare şi nici Cause_I_3.1.1 lanţuri de procesare Legăturile industriei locale cu celelalte domenii economice ale zonei sau cu zone externe sunt sporadice, ocazionale, fără a Cause_III_1.1.1 exercita o influenţă continuă asupra vieţii locuitorilor din arealul potenţialului GAL În 2008 din zonă a fost înregistrat Cause_II_2.1.1, un singur producător ecologic. Cause_II_3.3.1, Procesatori ecologici nu au fost Cause_II_2.2.1 înregistraţi din zonă. Nivel scăzut de conformitate a Cause_I_1.1.2, produselor cu normele UE Cause_I_1.1.3 Economia rurală este slab diversificată şi încă dependentă de activităţile agricole, ceea ce are Cause_I_2.1.3 drept consecinţă venituri reduse pentru întreprinzătorii din mediul rural SWOT - ACTIVITĂŢI ECONOMICE OPORTUNITĂŢI RISCURI LogFrame industrie – IMM – micro-întreprinderi Incapacitatea de a îmbunătăţi Scopul Creşterea cererii pentru produse calitatea materiilor prime conform proiectului tradiţionale, de calitate, ecologice standardelor UE 411 Gradul scăzut de predictibilitate a Scopul Existenţa abordării LEADER deciziilor administraţiei centrale proiectului
  • 149.
    SWOT - ACTIVITĂŢIECONOMICE PUNCTE TARI PUNCTE SLABE Cauzat de comerţ şi sectorul de servicii - turism Baza restrânsă a activităţilor economice alternative Cause_III_1.1.1 Cultura antreprenorială slab dezvoltată Cause_III_1.1.1 Accesul redus pe piaţă al produselor meşteşugăreşti Cause_II_1.1.1 Comerţul şi serviciile sunt punctuale, fără a fi integrate în Cause_II_1.1.1 reţele, clustere sau bresle Potenţial geografic şi de mediu foarte bun pentru activităţi Dependenţa faţă de agricultura de subzistenţă Cause_II_1.1.1 sportive de agrement Resurse naturale şi produse locale Prezenţa facilităţilor de Cause_III_2.1.1, Calitate slabă a infrastructurii şi a serviciilor turistice confort rural Cause_III_2.1.3 Pentru turism de agrement şi odihnă nu există, deocamdată, Cause_III_2.1.1, Diversitatea tipurilor de turism şi a locurilor care pot fi vizitate infrastructură adecvată Cause_III_2.1.3 Multitudinea de obiective de patrimoniu arhitectural şi Cause_III_2.1.1, Moştenirea meseriilor tradiţionale – ceramică, lemn, lână arheologic nu sunt valorificate pentru animarea turismului Cause_III_3.1.1 rural cultural – religios Există resurse pentru turism arhitectural, etnografic, ecoturism, Majoritatea bazinelor cu apă minerală, folosite în principal Cause_III_2.1.3 artă culinară şi în mai mică măsură turism cultural pentru tratamente sunt nefuncţionale Zona geografică are o tradiţie în • turism balnear, Baza restrânsă a activităţilor economice alternative Cause_III_1.1.1 • turism de agrement şi odihnă • turism cultural Turismul balnear este forma de turism cu cea mai mare tradiţie Cultura antreprenorială slab dezvoltată Cause_III_1.1.1 din zonă Spiritualitatea spaţiului rural, mediul nealterat, gastronomia Accesul redus pe piaţă al produselor meşteşugăreşti Cause_II_1.1.1 specifică Patrimoniul arhitectural, împreună cu cel imaterial, conferă un Comerţul şi serviciile sunt punctuale, fără a fi integrate în Cause_II_1.1.1 profil specific acestei zone reţele, clustere sau bresle A început să se dezvolte agroturismul Dependenţa faţă de agricultura de subzistenţă Cause_II_1.1.1 Potenţial geografic şi de mediu foarte bun pentru activităţi sportive de agrement
  • 150.
    SWOT - ACTIVITĂŢIECONOMICE OPORTUNITĂŢI RISCURI LogFrame comerţ şi sectorul de servicii - turism Timp îndelungat necesar pentru dezvoltarea Scopul Sprijin pentru agroturism şi ecoturism proiectului infrastructurii rurale Dezvoltarea patrimoniului natural şi a produselor aferente Scopul Tendinţa de îmbătrânire a populaţiei proiectului turismului rural Dezvoltarea produselor agroalimentare tradiţionale şi Impunerea noilor norme sanitare, care limitează accesul Scopul ecologice produselor tradiţionale în agroturism proiectului 413 Dezvoltarea şi punerea în valoare a activităţilor meşteşugăreşti Dezvoltarea sectorului de servicii Beneficii obţinute în urma aplicării programului LEADER
  • 151.
    II.2.2.6 SWOT -ORGANIZAREA SOCIALĂ ŞI INSTITUŢIONALĂ servicii pentru populaţie şi infrastructuri medico-sociale, activităţi sociale şi instituţii locale, politicile de dezvoltare locală întreprinse în teritoriu (activităţi asociative – ONG – organizare instituţională)
  • 152.
    SWOT - ORGANIZAREASOCIALĂ ŞI INSTITUŢIONALĂ PUNCTE TARI PUNCTE SLABE Cauzat de infrastructuri medico-sociale Peste jumătate din localităţi dispun de servicii sociale comunitare. Starea de sănătate a populaţiei cel Cause_I_2.1.1, Aceste demersuri se bucură de puţin în cazul a 8 diagnostice Cause_I_2.1.2 susţinerea necondiţionată a majore peste media naţională locuitorilor zonei. Reţeaua sanitară: acoperire slabă. Personal medico – sanitar cu mult ONG acoperă o gamă largă de sub media naţională raportată la activităţi inclusiv grupuri sociale 10,000 locuitori - Suprasolicitarea defavorizate cadrelor medico - sanitare care lucrează în zonă Posibilităţile de diagnostic sunt din ce în ce mai reduse din cauza lipsei reabilitării infrastructurii medicale şi din cauza lipsei echipamentelor performante Accesul îngreunat al populaţiei paupere, bolnave şi îmbătrânite la Cause_I_2.1.1, serviciile de sănătate în general şi Cause_I_2.1.2 la cele de specialitate în mod deosebit Cea mai apropiată unitate de învăţământ secundar este la cca. LogFrame - 35 km Rezultate Cel mai apropiat centru aşteptate 111, universitar este la cca. 70 km 341, 112, 113, 114, 143 Lipsa unor unităţi de calitate în domeniul educaţiei Lucrătorii din domeniul social duc lipsa unor pregătiri Cause_III_2.1.3 profesionale la standarde comunitare. Deteriorarea în continuare a stării Cause_I_2.1.1, de sănătate a populaţiei Cause_I_2.1.2 Reducerea drastică a fondurilor centrale alocate sănătăţii Reducerea continuă a atractivităţii zonei pentru personalul medico - sanitar
  • 153.
    II.2.2.7 SWOT -Potenţialul de producţie agricolă (producţia primară) SWOT - Potenţialul de producţie agricolă (producţia primară) PUNCTE TARI PUNCTE SLABE Cauzat de Pondere importantă a SAU este utilizată de exploataţii de subzistenţă şi semi- Cause_I_2.1.3 subzistenţă neperformante Cause_II_2.1.1, Nivel scăzut de conformitate cu normele Cause_II_3.3.1, UE Cause_II_2.2.1 Dotare tehnică scăzută şi de slabă calitate în Cause_I_2.2.1 exploataţiile mai mici Nivel scăzut de utilizare a energiei din surse Cause_II_2.1.1, Cause_II_3.3.1, regenerabile Cause_II_2.2.1 Infrastructură agricolă inadecvată Cause_II_1.1.1 Nu există servicii pentru agricultură, Cause_II_1.1.1 depozite Fragmentarea excesivă a terenurilor şi structura proprietăţii din acest sector, Cause_II_1.1.1 precum şi nivelul tehnologic relativ redus Pondere importantă au fermele de semi- subzistenţă activităţi agricole de cultivare a Cause_II_1.1.1 plantelor şi de creştere a animalelor, bazate pe tradiţii specifice satului din România Structura, nefavorabilă în principal exploataţiilor agricole de semi-subzistenţă, Cause_II_1.1.1 precum şi cooperarea insuficientă a producătorilor agricoli Se lucrează cu tehnologie depăşită, cu logistică nesatisfăcătoare şi pricepere Cause_II_1.1.1 limitată, marcată de un tradiţionalism ce refuză orice inovaţie Majoritatea producătorilor din mediul rural sunt producători individuali, care în cel mai bun caz au un certificat de persoană fizică Cause_II_1.1.1 autorizată sau lucrează prin asociaţie familială şi producţia obţinută este valorificată în mod individual Reticenţa şi interesul scăzut al producătorilor agricoli faţă de formele Cause_II_1.1.1 asociative
  • 154.
    SWOT - Potenţialulde producţie agricolă (producţia primară) OPORTUNITĂŢI RISCURI LogFrame Incapacitatea de a rezolva problema pieţelor-lipsă pentru exploataţiile Scopul Posibilitate diversificării culturilor comerciale (piaţa funciară, credite, proiectului servicii de consultanţă, servicii de 411 marketing) Introducere dinamică a agriculturii ecologice în România
  • 155.
    II.2.2.8 SWOT –Calitatea vieţii – Dezvoltare rurală SWOT – Calitatea vieţii – Dezvoltare rurală PUNCTE TARI PUNCTE SLABE Cauzat de Calitatea vieţii Moştenire rurală bogată (tradiţii, Mod de viaţă nesănătos, din care cadru natural, arhitectură activitatea sportivă periodică tradiţională) lipseşte Infrastructura rurală de bază slab Identitate rurală – Identitate locală dezvoltată (drumuri, apă/tratarea Cause_III_2.1.3 apei reziduale, energie şi gaze) Acces limitat la serviciile de bază (facilităţi pentru copii, vârstnici; Cause_III_2.1.3 activităţi recreative şi spaţii recreaţionale) Degradare accentuată a aşezărilor/satelor cu valoare Cause_III_2.1.3 culturală Incidenţa ridicată a sărăciei în satele situate în zone mai puţin Cause_III_1.1.1 accesibile Bilanţul politicilor întreprinse în teritoriu: judeţul Covasna a atras cca. 2% din totalul Fondurilor de LogFrame - Pre-Aderare, prin urmare şi zona Rezultate potenţialului GAL a avut o rată de aşteptate absorbţie (şi efecte pe măsură) cu mult sub media naţională. Densitatea infrastructurii rutiere şi LogFrame - de cale ferate este cu mult sub Scopul media naţională. proiectului Situaţia utilităţilor la locuinţe raportată la media naţională este LogFrame - mai slabă, în special la categoriile Scopul „Instalaţie electrică”, şi „Încălzire proiectului 413 prin termoficare sau prin centrală termică”.
  • 156.
    SWOT – Calitateavieţii – Dezvoltare rurală PUNCTE TARI PUNCTE SLABE Cauzat de Dezvoltare rurală Incapacitatea de formare a unor parteneriate locale puternice şi de Cause_III_3.1.1 promovare a potenţialului endogen al teritoriilor Lipsa experienţei colaborării între Înfiinţarea Asociaţiei Alutus Cause_III_3.1.1 actorii Lipsa resurselor financiare LogFrame - Existenţa unor structuri asociative necesare investiţiilor şi Rezultate profesionale, ONG, etc. aşteptate cofinanţării proiectelor SWOT – Calitatea vieţii – Dezvoltare rurală OPORTUNITĂŢI RISCURI LogFrame Calitatea vieţii Rezultate Dispariţia patrimoniului şi a Existenţa abordării LEADER aşteptate tradiţiilor rurale 322 Rezultate Depopularea zonelor rurale aşteptate 313, 312 SWOT – Calitatea vieţii – Dezvoltare rurală OPORTUNITĂŢI RISCURI LogFrame Dezvoltare rurală Posibilitatea Acreditării GAL Alutus Incapacitatea de formare a unor Valorificarea abordării LEADER parteneriate externe puternice şi de Scopul pentru întărirea capacităţilor de promovare a potenţialului endogen proiectului dezvoltarea rurală al teritoriilor
  • 157.
    II.2.3 Tipul destrategie ales pe baza analizei SWOT Au fost analizate următoarele posibile scenarii: • Trend (evoluţia situaţiei în lumina tendinţele actuale, fără intervenţii din exterior) • Ţintă A (Dezvoltare iniţiată de către investitori externi, orientaţi în exclusivitate pe profit.) • Ţintă B (Dezvoltarea iniţiată de către investitori interni. Accentul se pune pe valorile tradiţionale.) • Ţintă C (Dezvoltare bazată pe cooperarea actorilor sociali şi economici /autorităţi locale, întreprinzători, societatea civilă/. Pe lângă avantajele economice, se urmăreşte dezvoltarea durabilă, îmbunătăţirea calităţii vieţii, protecţia valorilor naturale şi culturale.) Scenariul „Trend” duce inevitabil către „Worst Case Scenario” – prin urmare ar trebui evitat. Scenariul „Ţintă A” nu este realist, aria acoperită de GAL nefiind atractivă pentru investitori externi (atât „externi” zonei, dar din ţară cât şi celor din afara ţării). Scenariul „Ţintă B” nu este realist, deoarece una dintre marile deficienţe ale zonei este chiar lipsa de capital. Este o problemă chiar şi asigurarea co-finanţării din partea beneficiarilor. Cu atât mai puţine şanse sunt, ca unele proiecte să poată fi finanţate integral de către actori locali. Rămâne cel mai avantajos scenariu „Ţintă C”, care oferă şanse pentru întreg teritoriul GAL. Pornind de la faptul că: • este de preferat un scenariu „Ţintă C” să se poată impune • prezenta strategie şi bugetarea se face pentru o perioadă relativ scurtă (2011 – 2013) • atât Punctele slabe cât şi RISCURIle întreţin o deteriorare lentă dar constantă a situaţiei generale considerăm că merită formularea unei strategi de tip „Max – Max” (S - O) – adică o „Strategie ofensivă”, care se bazează pe PUNCTEle TARI pentru a exploata OPORTUNITĂŢIle existente. Strengths Weaknesses Opportunities S-O strategies W-O strategies Threats S-T strategies W-T strategies PARTEA a – III - a: priorităţi II.2.4 Arborele problemelor RISCURIle din Analiza SWOT nu au fost introduse în Arborele problemelor din lipsă de spaţiu. Aceste RISCURI nu pot fi influenţate de către potenţialul GAL. Se vor regăsi deci în coloana a 4 –a, a Matricei Cadru Logic.
  • 158.
    II.2.4.1 Definirea cauzelorprimare ale problemelor PUNCTEle SLABE din analiza SWOT fundamentează Cauzele primare pe baza cărora am încercat construirea unui Arbore al problemelor. Luând în considerare că avem la îndemână un set de măsuri organizate pe axe prioritare, în conformitate cu liniile directoare pentru dezvoltare rurală, s-a procedat la „translatarea” problemelor/cauzelor într-o formulare care să permită stabilirea „diagnozei” în aşa fel, încât problemele să poată fi conectate la axele prioritare, respectiv la măsurile acestor axe. În principiu deci Punctele slabe, dacă s-a reuşit o formulare fericită, de fapt sunt Probleme. Altminteri mai multe puncte slabe prin sinergie generează o problemă de bază, o cauză. Problem Causes Weaknesses Pe de altă parte această problemă de bază, astfel definită, este efectul unor cauze, care deja sunt formulate în conformitate astfel, încât să fie compatibile cu măsurile existente în PNDR. Cause Problem Astfel se pot defini cauzele problemelor existente. Cause Problem Causes Weaknesses
  • 159.
    II.2.4.1.1 Cauzele cepot fi grupate sub incidenţa Axei I
  • 161.
    II.2.4.1.2 Cauzele cepot fi grupate sub incidenţa Axei II
  • 163.
    II.2.4.1.3 Cauzele cepot fi grupate sub incidenţa Axei III
  • 165.
    II.2.4.2 Structura arboreluiproblemă Cauză Efect Măsură Obiectiv specific Obiectiv strategic Axă prioritară Fiecare efect este suma cauzelor inferioare. Prin parametrii „weight” se modifică ponderea cu care o cauză participă la generarea unui efect. Sub fiecare cauză/efect se reprezintă procentul cu care respectivul element (cauză/efect) contribuie la efectul final. Acest model este instrumentul prin care se stabileşte atât „diagnosticul”, cât şi tratamentul. Aceleaşi relaţii de interdependenţă rămân valabile şi în cazul arborelui obiectivelor. În acest caz, sub fiecare cauză/efect apare suma alocată (procentul din arborele problemelor) din totalul alocat.
  • 166.
  • 167.
  • 168.
  • 169.
  • 170.
    II.2.5 Arborele obiectivelor II.2.5.1 Structura Arborelui obiectivelor Măsură Obiectiv specific Obiectiv strategic Axă prioritară Instrument Rezultat Măsurile – adică instrumentele cu care se poate interveni asupra cauzelor problemelor – sunt date. Toate problemele care nu pot fi soluţionate cu ajutorul măsurilor, trec la RISCURI. Prin urmare, în arborele problemelor, şi implicit în cel al obiectivelor, sunt prezentate problemele tratabile prin măsurile existente. În acelaşi timp, cu ajutorul modelului prezentat se poate efectua şi analiza sensibilităţii, adică se pot localiza măsurile ale căror implementare defectuoasă afectează în cel mai mare grad realizarea obiectivelor fixate. Arborele obiectivelor se stabileşte pe baza arborelui problemelor. Procentajele folosite la ponderarea arborilor problemă le reproduc pe cele din PNDR. La ponderarea arborilor obiectivelor ponderile din arborii problemă suferă uşoare modificări, deoarece acest instrument în acelaşi timp este folosit şi pentru planificarea financiară (stabilirea costurilor). Arborii obiectivelor sunt deopotrivă folosiţi şi ca arbori decizionali. Astfel în cazul unor măsuri ce nu sunt aplicabile sau nu se doresc a fi aplicate, ponderile sunt de 0%, alocările aferente transferându-se spre alte măsuri.
  • 171.
  • 172.
    II.2.5.1.2 Analiza sensibilităţiipentru Axa II Această analiză s-a efectuat examinând efectul modificării cu -10% a cauzelor de la diferite nivele: • Obiective strategice -> Axă • Obiective specifice -> (Obiective strategice) -> Axă • Măsuri -> (Obiective specifice -> (Obiective strategice) -> Axă Obiective strategice -> Axă EfectCause_I_1 Effect Se poate observa, că o scădere cu -10% la -10.1% -0.7% EffectCause_I_2 generează cea mai mare deviere (- EfectCause_I_2 Effect 5.8%) la Obiectivul Axei. -10.1% -5.8% EfectCause_I_3 Effect -9.9% -3.5% Effect EfectCause_I_1 Effect EfectCause_I_2 Effect EfectCause_I_3 -11.0 -10.0 -9.0% -8.0% -7.0% -6.0% -5.0% -4.0% -3.0% -2.0% -1.0% 0.0% % %
  • 173.
    Obiective specifice ->(Obiective strategice) -> Axă EfectCause_I_1.1 EfectCause_I_1 Effect Cauza faţă de care Axa este cea mai -10.0% -10.1% -0.7% sensibilă este I_3.1, continuare a efectului EfectCause_I_2.1 EfectCause_I_2 Effect I_3. -10.0% 0.0% 0.0% EfectCause_I_2.2 EfectCause_I_2 Effect -10.0% 0.0% 0.0% EfectCause_I_2.3 EfectCause_I_2 Effect -10.0% 0.0% 0.0% EfectCause_I_3.1 EfectCause_I_3 Effect -10.0% -7.0% -2.5% EfectCause_I_3.2 EfectCause_I_3 Effect -10.0% 0.0% 0.0% Effect EfectCause_I_1.1 Effect EfectCause_I_2 EfectCause_I_2.1 Effect EfectCause_I_2 EfectCause_I_2.2 Effect EfectCause_I_2 EfectCause_I_2.3 Effect EfectCause_I_3 EfectCause_I_3.1 Effect EfectCause_I_3 EfectCause_I_3.2 -10.0% -8.0% -6.0% -4.0% -2.0% 0.0%
  • 174.
    Măsuri -> (Obiectivespecifice -> (Obiective strategice) -> Axă Cause_I_1.1.1 EfectCause_I_1.1 EfectCause_I_1 Effect -10% -1.5% -1.4% -0.1% Cause_I_1.1.2 EfectCause_I_1.1 EfectCause_I_1 Effect -10% -5.5% -4.3% -0.3% Cause_I_1.1.3 EfectCause_I_1.1 EfectCause_I_1 Effect -10% -3.0% -2.9% -0.2% Cause_I_2.1.1 EfectCause_I_2.1 EfectCause_I_2 Effect -10% -6.8% 0.0% 0.0% Cause_I_2.1.2 EfectCause_I_2.1 EfectCause_I_2 Effect -10% 0.0% 0.0% 0.0% Cause_I_2.1.3 EfectCause_I_2.1 EfectCause_I_2 Effect -10% -3.2% 0.0% 0.0% Cause_I_2.2.1 EfectCause_I_2.2 EfectCause_I_2 Effect -10% -10.0% 0.0% 0.0% Cause_I_2.3.1 EfectCause_I_2.3 EfectCause_I_2 Effect -10% -10.0% 0.0% 0.0% Cause_I_3.1.1 EfectCause_I_3.1 EfectCause_I_3 Effect -10% -4.0% -2.8% -1.0% Cause_I_3.2.1 EfectCause_I_3.1 EfectCause_I_3 Effect -10% -6.0% -4.2% -1.5% Cause_I_3.2.1 EfectCause_I_3.2 EfectCause_I_3 Effect -10% -6.0% -4.2% -1.5% Cause_I_3.2.2 EfectCause_I_3.2 EfectCause_I_3 Effect -10% -4.0% 0.0% 0.0% Se poate observa că o deviere cu -10% la nivelul cauzelor generează cea mai mare deviere la nivelul axei în cazul Cause_I_3.2.1, continuare a efectului I_3.1. Cu alte cuvinte implementarea Axei I (Măsura 411 LEADER) este cea mai sensibilă la implementarea măsurii 123 Creşterea valorii adăugate a produselor agricole şi forestiere.
  • 175.
    Effect EfectCause_I_1 EfectCause_I_1.1 Cause_I_1.1.1 Effect EfectCause_I_1 EfectCause_I_1.1 Cause_I_1.1.2 Effect EfectCause_I_1 EfectCause_I_1.1 Cause_I_1.1.3 Effect EfectCause_I_2 EfectCause_I_2.1 Cause_I_2.1.1 Effect EfectCause_I_2 EfectCause_I_2.1 Cause_I_2.1.2 Effect EfectCause_I_2 EfectCause_I_2.1 Cause_I_2.1.3 Effect EfectCause_I_2 EfectCause_I_2.2 Cause_I_2.2.1 Effect EfectCause_I_2 EfectCause_I_2.3 Cause_I_2.3.1 Effect EfectCause_I_3 EfectCause_I_3.1 Cause_I_3.1.1 Effect EfectCause_I_3 EfectCause_I_3.1 Cause_I_3.2.1 Effect EfectCause_I_3 EfectCause_I_3.2 Cause_I_3.2.1 Effect EfectCause_I_3 EfectCause_I_3.2 Cause_I_3.2.2 -10.0% -8.0% -6.0% -4.0% -2.0% 0.0% Graficul subsecvent prezintă cu inscripţionare roşie drumul cel mai sensibil al arborelui obiectivelor. Adică o deviere de -10% în realizarea intervenţiei cauzează cea mai semnificativă deviere la realizarea Obiectivului axei.
  • 177.
  • 178.
    II.2.5.1.4 Analiza sensibilităţiipentru Axa II Obiective strategice -> Axă EfectCause_II_1 Effect Cel mai mare impact negativ, la nivelul Obiectivelor -10.0% -4.7% strategice îl poate avea eşecul măsurilor 211 şi 212, adică EfectCause_II_2 Effect implementarea măsurilor de sprijin pentru zonele -10.0% -4.3% defavorizate. EfectCause_II_3 Effect -10.0% -1.0% Effect EfectCause_II_1 Effect EfectCause_II_2 Effect EfectCause_II_3 -10.0% -8.0% -6.0% -4.0% -2.0% 0.0%
  • 179.
    Obiective specifice ->(Obiective strategice) -> Axă EfectCause_II_1.1 EfectCause_II_1 Effect De la acest nivel, al Obiectivelor -10.0% -9.9% -4.7% Specifice, Axa este ceai mai sensibilă la EfectCause_II_1.2 EfectCause_II_1 Effect implementarea măsurilor 211 Sprijin -10.0% 0.0% 0.0% pentru Zona Montană Defavorizată. EfectCause_II_2.1 EfectCause_II_2 Effect -10.0% -0.9% -0.4% EfectCause_II_2.2 EfectCause_II_2 Effect -10.0% -8.9% -3.8% EfectCause_II_3.1 EfectCause_II_3 Effect -10.0% -6.1% -0.6% EfectCause_II_3.2 EfectCause_II_3 Effect -10.0% -3.0% -0.3% EfectCause_II_3.3 EfectCause_II_3 Effect -10.0% -1.0% -0.1% Effect EfectCause_II_1 EfectCause_II_1.1 Effect EfectCause_II_1 EfectCause_II_1.2 Effect EfectCause_II_2 EfectCause_II_2.1 Effect EfectCause_II_2 EfectCause_II_2.2 Effect EfectCause_II_3 EfectCause_II_3.1 Effect EfectCause_II_3 EfectCause_II_3.2 Effect EfectCause_II_3 EfectCause_II_3.3 -10.0% -8.0% -6.0% -4.0% -2.0% 0.0%
  • 180.
    Măsuri -> (Obiectivespecifice -> (Obiective strategice) -> Axă Cause_II_1.1.1 EfectCause_II_1.1 EfectCause_II_1 Effect -10% -10.0% -9.9% -4.7% Cause_II_1.2.1 EfectCause_II_1.2 EfectCause_II_1 Effect -10% -10.0% 0.0% 0.0% Cause_II_2.1.1 EfectCause_II_2.1 EfectCause_II_2 Effect -10% -10.0% -0.9% -0.4% . Cause_II_2.2.1 EfectCause_II_2.2 EfectCause_II_2 Effect -10% -10.0% -8.9% -3.8% Cause_II_3.1.1 EfectCause_II_3.1 EfectCause_II_3 Effect -10% -10.0% -6.1% -0.6% Cause_II_3.2.1 EfectCause_II_3.2 EfectCause_II_3 Effect -10% -10.0% -3.0% -0.3% Cause_II_3.3.1 EfectCause_II_3.3 EfectCause_II_3 Effect -10% -10.0% -1.0% -0.1% De la acest nivel de examinare Axa este cea mai sensibilă la implementarea măsurii 211 Sprijin pentru Zona Montană Defavorizată.
  • 181.
    Effect EfectCause_II_1 EfectCause_II_1.1 Cause_II_1.1.1 Effect EfectCause_II_1 EfectCause_II_1.2 Cause_II_1.2.1 Effect EfectCause_II_2 EfectCause_II_2.1 Cause_II_2.1.1 Effect EfectCause_II_2 EfectCause_II_2.2 Cause_II_2.2.1 Effect EfectCause_II_3 EfectCause_II_3.1 Cause_II_3.1.1 Effect EfectCause_II_3 EfectCause_II_3.2 Cause_II_3.2.1 Effect EfectCause_II_3 EfectCause_II_3.3 Cause_II_3.3.1 -10.0% -8.0% -6.0% -4.0% -2.0% 0.0% Graficul subsecvent prezintă cu inscripţionare roşie drumul cel mai sensibil al arborelui obiectivelor. Adică o deviere de -10% în realizarea intervenţiei cauzează cea mai semnificativă deviere la realizarea Obiectivului axei.
  • 183.
  • 184.
    II.2.5.1.6 Analiza sensibilităţiipentru Axa III Obiective strategice -> Axă EfectCause_III_1 Effect La nivelul Obiectivelor strategice, Axa este cea mai sensibilă -10% -3% pentru Cauza_III_2. EfectCause_III_2 Effect -10% -7% EfectCause_III_3 Effect -10% 0% Effect EfectCause_III_1 Effect EfectCause_III_2 Effect EfectCause_III_3 -10.0% -8.0% -6.0% -4.0% -2.0% 0.0%
  • 185.
    Obiective specifice ->(Obiective strategice) -> Axă EfectCause_III_1.1 EfectCause_III_1 Effect La acest nivel, al Obiectivelor specifice, -10% -10% -3% drumul cel mai sensibil este în EfectCause_III_2.1 EfectCause_III_2 Effect continuarea nivelului anterior. -10% -10% -7% EfectCause_III_3.1 EfectCause_III_3 Effect -10% -10% 0% Effect EfectCause_III_1 EfectCause_III_1.1 Effect EfectCause_III_2 EfectCause_III_2.1 Effect EfectCause_III_3 EfectCause_III_3.1 -10.0% -8.0% -6.0% -4.0% -2.0% 0.0%
  • 186.
    Măsuri -> (Obiectivespecifice -> (Obiective strategice) -> Axă Cause_III_1.1.1 EfectCause_III_1.1 EfectCause_III_1 Effect Axa este cea mai -10% -5% -5% -2% sensibilă la Cause_III_2.1.1 EfectCause_III_1.1 EfectCause_III_1 Effect implementarea măsurii -10% -5% -5% -5% 313 Încurajarea Cause_III_2.1.1 EfectCause_III_2.1 EfectCause_III_2 Effect activităţilor turistice -10% -5% -5% -5% Cause_III_2.1.2 EfectCause_III_2.1 EfectCause_III_2 Effect -10% -5% -5% -3% Cause_III_3.1.1 EfectCause_III_3.1 EfectCause_III_3 Effect -10% -10% -10% 0% Effect EfectCause_III_1 EfectCause_III_1.1 Cause_III_1.1.1 Effect EfectCause_III_1 EfectCause_III_1.1 Cause_III_2.1.1 Effect EfectCause_III_2 EfectCause_III_2.1 Cause_III_2.1.1 Effect EfectCause_III_2 EfectCause_III_2.1 Cause_III_2.1.2 Effect EfectCause_III_3 EfectCause_III_3.1 Cause_III_3.1.1 -10.0% -8.0% -6.0% -4.0% -2.0% 0.0% Graficul subsecvent prezintă cu inscripţionare roşie drumul cel mai sensibil al arborelui obiectivelor. Adică o deviere de -10% în realizarea intervenţiei cauzează cea mai semnificativă deviere la realizarea Obiectivului axei.
  • 188.
  • 189.
    II.2.5.1.8 Analiza sensibilităţiipentru Axa IV Obiective strategice -> Axă EfectCause_IV_1 Effect Programul LEADER este cel mai sensibil pentru -10.0% -8.0% nivelul 1. EfectCause_IV_2 Effect -10.0% -2.0% Effect EfectCause_1 Effect EfectCause_2 -10.0% -8.0% -6.0% -4.0% -2.0% 0.0%
  • 190.
    Obiective specifice ->(Obiective strategice) -> Axă EfectCause_IV_1.1 EfectCause_IV_1 Effect La nivelul Obiectivelor specifice -10% -10% -8% drumul cel mai sensibil este în EfectCause_IV_1.2 EfectCause_IV_1 Effect continuarea nivelul anterior. -10% 0% 0% EfectCause_IV_2.1 EfectCause_IV_2 Effect -10% -10% -2% Effect EfectCause_IV_1 EfectCause_IV_1.1 Effect EfectCause_IV_1 EfectCause_IV_1.2 Effect EfectCause_IV_2 EfectCause_IV_2.1 -10.0% -8.0% -6.0% -4.0% -2.0% 0.0%
  • 191.
    Măsuri -> (Obiectivespecifice -> (Obiective strategice) -> Axă Cause_IV_1.1.1 EfectCause_IV_1.1 EfectCause_IV_1 Effect Succesul implementării -10% -5% -5% -4% Anex IV din PNDR, Cause_IV_1.1.2 EfectCause_IV_1.1 EfectCause_IV_1 Effect adică a Programului -10% -3% -3% -2% LEADER la nivelul GAL este cel mai sensibil la Cause_IV_1.1.3 EfectCause_IV_1.1 EfectCause_IV_1 Effect măsura LEADER 411 -10% -3% -3% -2% Creşterea competitivităţii Cause_IV_1.2.1 EfectCause_IV_1.2 EfectCause_IV_1 Effect sectoarelor agricol şi -10% -10% 0% 0% forestier Cause_IV_2.1.1 EfectCause_IV_2.1 EfectCause_IV_2 Effect -10% -10% -10% -2% Effect EfectCause_IV_1 EfectCause_IV_1.1 Cause_IV_1.1.1 Effect EfectCause_IV_1 EfectCause_IV_1.1 Cause_IV_1.1.2 Effect EfectCause_IV_1 EfectCause_IV_1.1 Cause_IV_1.1.3 Effect EfectCause_IV_1 EfectCause_IV_1.2 Cause_IV_1.2.1 Effect EfectCause_IV_2 EfectCause_IV_2.1 Cause_IV_2.1.1 -10.0% -8.0% -6.0% -4.0% -2.0% 0.0% Graficul subsecvent prezintă cu inscripţionare roşie drumul cel mai sensibil al arborelui obiectivelor. Adică o deviere de -10% în realizarea intervenţiei cauzează cea mai semnificativă deviere la realizarea Obiectivului axei.
  • 193.
    II.2.6 Matricea CadruLogic Indicatori de realizare Surse si mijloace de Operaţie logica verificabili in mod Ipoteze verificare obiectiv Punerea în aplicare a Cadrului Comun de Raportul anul de abordării LEADER în Monitorizare şi progrese privind Obiective generale cadrul programării Evaluare (CMEF) implementarea PNDR generale a dezvoltării indicatorilor comuni de aprobat de Comitetul rurale, prin intermediul bază, financiari, de Monitorizare strategiei integrate de realizare, rezultat şi dezvoltare, elaborate de impact actorii locali, organizaţi în Grup de Acţiune Locală:
  • 194.
    Indicatori de realizare Surse si mijloace de verificabili in mod verificare obiectiv Operaţie logica Ipoteze Ameliorarea Riscuri: Condiţii externe: competitivităţii în • Majorarea costurilor salariale şi a fiscalităţii în general • Se ameliorează starea infrastructurii de sectoarele agricol şi • Incapacitatea de a îmbunătăţi calitatea materiilor prime conform transport – scade gradul de izolare fizică a forestier prin sprijinul standardelor UE zonei • Incapacitatea de a rezolva problema pieţelor-lipsă pentru exploataţiile Raport anual al GAL aprobat de Comitetul Director acordat în vederea • Se ameliorează starea infrastructurii de Indicatorii comuni UE, cu obiective cuantificate restructurării, comerciale (piaţa funciară, credite, servicii de consultanţă, servicii de canalizare şi de gospodărire a deşeurilor dezvoltării şi inovaţiei marketing) domestice în localităţile rurale Condiţii externe: • Se reduce timpul necesar pentru dezvoltarea Se ameliorează dotarea cu infrastructură de canalizare şi de gospodărire a infrastructurii rurale deşeurilor domestice în multe localităţi rurale • Creşte capacitatea de formare a unor Scopul proiectului Ameliorarea mediului Riscuri: parteneriate externe puternice şi de promovare şi a spaţiului rural prin • Risc de a pierde suprafeţe importante de păşune, datorită standardelor a potenţialului endogen al teritoriilor sprijinul acordat în sanitar-veterinare recent impuse fermierilor, standarde ce pot afecta vederea gestionării • Riscuri: sistemele tradiţionale de păşunat aflate în imposibilitatea de a se adapta terenurilor • Zona nu este străbătută de căi terestre de rapid comunicare importante - zona Baraolt este • Lipsa unor titluri de proprietate clare asupra suprafeţelor de pădure izolată descurajează gospodărirea pădurilor într-o manieră durabilă • Densitatea infrastructurii rutiere şi de cale Ameliorarea calităţii Condiţii externe: ferate este cu mult sub media naţională. vieţii în zonele rurale şi Există resurse pentru reabilitarea obiectivelor de patrimoniu cultural • Se accelerează destabilizarea microclimatelor, încurajarea Riscuri: ca o consecinţă a schimbărilor climatice diversificării • Lipsa investiţiilor • Accentuarea tendinţei tinerilor de a părăsi activităţilor economice • Impunerea noilor norme sanitare, care limitează accesul produselor zona tradiţionale în agroturism • Gradul scăzut de predictibilitate a deciziilor • Situaţia utilităţilor la locuinţe raportată la media naţională este mai administraţiei centrale slabă, în special la categoriile „Instalaţie electrică”, şi „Încălzire prin • Tendinţa de îmbătrânire a populaţiei termoficare sau prin centrală termică”.
  • 195.
    – Surse – Indicatori si de realizare mijloa – Operaţie logica verificabili – Ipoteze ce de in mod verific obiectiv are • Aapar competenţele necesare planificării – Aplicaţii – Formu şi implementării proiectelor locale depuse în lar – Consolidarea coerenţei cadrul standar • Există capacitatea de formare a unor teritoriale şi a – parteneriate interne şi externe puternice şi proiectelor d E2.2 sinergiilor de promovare a potenţialului endogen al integrate pe REGIS măsurile: TRUL teritoriilor DE • Există capacitate de co-finanţare din INRE – Riscuri: partea beneficiarilor GISTR • Cea mai apropiată unitate de • Se îmbunătăţeşte capacitatea de Rezultate aşteptate ARE învăţământ secundar este la cca. 35 absorbţie a zonei • Promovarea cunoştinţelor şi – 111, 341, 112, 113, A km • Apariţia resurselor financiare necesare ameliorarea potenţialului uman • Cel mai apropiat centru universitar investiţiilor şi cofinanţării proiectelor 114, 143 CERE RILO este la cca. 70 km • Lipsa unor unităţi de calitate în – Riscuri: R DE • Sse găsesc surse de credit pentru FINA domeniul educaţiei • Restructurarea şi dezvoltarea finanţare pentru proiectelor NTAR • Pe piaţă vor lipsi tinerii specializaţi în capitalului fizic şi promovarea – 121, 122, E – diverse profesii, datorită insuficienţei 123, 125 – inovaţiei numărului de persoane. Profesiile cele – 114, 143, mai afectate vor fi cele din domeniul IT, • Facilitarea tranziţiei în noile 141, 142, medicină, automatizări, construcţii şi state membre – 211, 213, instalaţii, etc. 214, 224 • Dezvoltarea gestionării – 141, 211, – durabile a terenurilor agricole 213, 214, şi forestiere prin încurajarea 224, 221, agricultorilor şi a silvicultorilor 223 să îşi gestioneze terenurile conform unor metode compatibile cu necesitatea de a conserva mediul natural şi peisajele şi de a proteja şi
  • 196.
    ameliora resursele naturale – Riscuri: • Diversificarea economiei • Starea de cele mai multe ori avansat rurale – 313, 312 degradată a obiectivelor 313 • Rezultate aşteptate 313, 312 – Riscuri: • Ameliorarea calităţii vieţii în • Starea de cele mai multe ori avansat zonele rurale – 322 degradată a obiectivelor • Dispariţia patrimoniului şi a tradiţiilor rurale • Proiecte de cooperare – 421 – • Funcţionarea GAL, dobândirea de competenţe şi de animarea – 431.2 – teritoriului
  • 197.
    Indicatori de realizareverificabili in Operatie logica Surse si mijloace de verificare mod obiectiv Ipoteze Activităţi Surse Mijloace • Animarea teritoriului • Personalul compartimentului • Contracte de muncă (8) • GAL reuşeşte pregătirea unor proiecte integrate • Pregătirea de proiecte administrativ (8) • Ghidurile aplicantului şi aplicaţii de calitate • Lansare de apeluri pe Măsurile • Voluntari (cca. 40) • Aplicaţii depuse Condiţii externe: standard din PNDR • Formare şi training pentru personal şi • Rapoarte de evaluare • Existenţa şi aplicarea transparentă unei • Monitorizarea implementării voluntari metodologii predictibile de evaluare şi decizie • Seminarii – animare 13/an • Publicaţii – studii – seminarii – întâlniri - Riscuri: • Publicaţie periodică 6/an cursuri • Nu creşte predictibilitatea deciziilor • Birouri – Birotică - Echipamente • Studii publicate 2/an administraţiei centrale • Suport de curs 3/an + adeverinţe de participare Estimarea costului total pe măsură 411 Creşterea competitivităţii sectoarelor agricol şi forestier €1,695,571 412 Îmbunătăţirea mediului şi a spaţiului rural €609,893 Există aplicaţii ce pot fi grantate. 413 Calitatea vieţii în zonele rurale şi diversificarea economiei rurale €806,321 Beneficiarii reuşesc să implementeze proiectle 421 Încurajarea actorilor de la nivel local de a lucra împreună cu reprezentan ţii €57,136 finanţate. altor comunităţi din interiorul sau exteriorul ţării 431.2 Stimularea formării de parteneriate, pregătirea şi asigurarea implementării €571,358 strategiilor de dezvoltare locală Grand Total €3,740,279 Conditii exterioare: Teritoriul şi Asociaţia să fie selectate ca GAL Pre-condiţii: • Informarea şi sensibilizarea comunităţii locale în domeniul abordării LEADER • Existenţa unei Strategii de dezvoltare locală susţinută de comunitate Obs.: Riscurile identificate pe parcursul analizei SWOT ameninţă în primul rând atingerea Scopului proiectului.
  • 198.
    II.2.7 Analiza derisc II.2.7.1 Riscuri globale asociate cu Proiectul Global Risks Risk name Chance Outcome Result Distribution Relative cost 1 Nu amelioreaza starea infrastructurii de transport - scade gradul de izolare fizica a zonei 95.00% 15.00% Uniform increase Nu amelioreaza starea infrastructurii de canalizare si de gospodarire a deseurilor domestice in 2 95.00% Relative delay 20.00% Uniform localitatile rurale Relative cost 3 Nu reduce timpul necesar pentru dezvoltarea infrastructurii rurale 95.00% 15.00% Uniform increase Nu creste capacitatea de formare a unor parteneriate externe puternice si de promovare a 4 55.00% Relative delay 50.00% Uniform potentialului endogen al teritoriilor 5 Zona nu este strabatuta de cai terestre de comunicare importante - zona Baraolt este izolata 95.00% Relative delay 60.00% Uniform 6 Densitatea infrastructurii rutiere si de cale ferate este cu mult sub media nationala. 95.00% Relative delay 60.00% Uniform Relative cost 7 Se accelereaza destabilizarea microclimatelor, ca o consecinta a schimbarilor climatice 65.00% 30.00% Uniform increase 8 Accentuarea tendintei tinerilor de a parasi zona 65.00% Relative delay 60.00% Uniform Relative cost 9 Gradul scazut de predictibilitate a deciziilor administratiei centrale 85.00% 40.00% Uniform increase 10 Tendinta de imbatranire a populatiei 95.00% Relative delay 25.00% Uniform
  • 199.
    II.2.7.2 Riscuri localeasociate cu Scopul Proiectului Local Risks Task Risk name Chance Outcome Result Distribution Majorarea costurilor salariale si a fiscalitatii Relative cost u 1 95% 25% Uniform in general increase Ameliorarea competitivitatii in Incapacitatea de a imbunatati calitatea l 2 65% Relative delay 20% Uniform sectoarele agricol si forestier prin materiilor prime conform standardelor UE 1 u sprijinul acordat in vederea Incapacitatea de a rezolva problema restructurarii, dezvoltarii si inovatiei pietelor-lipsa pentru exploatatiile comerciale t 3 65% Relative delay 25% Uniform (piata funciara, credite, servicii de consultanta, servicii de marketing) c e Nu Se amelioreaza dotarea cu infrastructura de canalizare si de Relative cost 1 95% 30% Uniform I gospodarire a deseurilor domestice in multe increase localitati rurale o Risc de a pierde suprafete importante de pasune, datorita standardelor sanitar- Ameliorarea mediului si a spatiului r i veterinare recent impuse fermierilor, Relative cost 2 rural prin sprijinul acordat in vederea 2 80% 25% Uniform standarde ce pot afecta sistemele increase p gestionarii terenurilor traditionale de pasunat aflate in imposibilitatea de a se adapta rapid Lipsa unor titluri de proprietate clare asupra suprafetelor de padure descurajeaza l 3 75% Relative delay 15% Uniform gospodarirea padurilor intr-o maniera u durabila p Ameliorarea calitatii vietii in zonele Nu Exista resurse pentru reabilitarea Relative cost 3 rurale si incurajarea diversificarii 1 75% 40% Uniform obiectivelor de patrimoniu cultural increase o activitatilor economice Relative cost 2 Lipsa investitiilor 85% 30% Uniform increase c Impunerea noilor norme sanitare, care Relative cost 3 limiteaza accesul produselor traditionale in 90% 35% Uniform S increase agroturism
  • 200.
    Local Risks Task Risk name Chance Outcome Result Distribution Situatia utilitatilor la locuinte raportata la media nationala este mai slaba, in special Relative cost 4 la categoriile „Instalatie electrica”, si 90% 45% Uniform increase „Încalzire prin termoficare sau prin centrala termica.
  • 201.
    II.2.7.3 Analiza deRisk cu Metoda Monte Carlo II.2.7.3.1 Riscul de cost Scopului 3 Ameliorarea calitatii vietii in zonele rurale si incurajarea diversificarii activitatilor economice i s-au asociat zrnări în creşterea costului relativ, dar şi riscul de cost rămâne în zona acceptabilă.
  • 202.
    II.2.7.3.2 Riscul dedurată În cazul întârzierilor posibile toate cele trei Scopuri rămân în zona de risc acceptabilă.
  • 203.
    II.2.8 Anexa 1 II.2.8.1 LEADER
  • 204.
    II.2.8.2 Creşterea competitivităţiisectoarelor agricol şi forestier
  • 205.
  • 206.
    II.2.8.4 Calitatea vieţiiîn zonele rurale şi diversificarea economiei rurale
  • 207.
    PARTEA a –IV – a: Măsura II.2.9 Fişele tehnice ale măsurilor II.2.9.1 Axa I Creşterea competitivităţii sectoarelor agricol şi forestier II.2.9.1.1 Măsura: 111 Formare profesională (training), informare şi difuzare de cunoştinţe Obiectivul Creşterea competitivităţii sectoarelor agricol şi forestier Promovarea cunoaşterii şi îmbunătăţirea potenţialului uman Asigurarea de training şi cunoaştere practică şi economică Raportul cu strategia de dezvoltare * SWOT – TERITORIU; patrimoniu arhitectural şi cultural; PUNCTE SLABE: Lipsa de competenţă managerială, profesională în păstrarea şi valorificarea patrimoniului * SWOT – POPULAŢIA; demografie – populaţia activă – îmbătrânire – nivel de instruire – cunoştinţe şi competenţe specifice teritoriului; PUNCTE SLABE: Nivel scăzut de educaţie şi de competenţă profesională * SWOT – TERITORIU; patrimoniu de mediu; PUNCTE SLABE: Sectorul agricultură ecologică în comparaţie cu media europeană este slab dezvoltat, iar piaţa internă este una tânără Tip de acţiuni: Imateriale Descriere beneficiari Beneficiarii finali: sunt persoane adulte care activează în domeniile agriculturii, silviculturii (inclusiv proprietari de pădure) şi industriei agro-alimentare. Beneficiarii direcţi: furnizori ai acţiunilor de formare profesională, informare şi difuzare a cunoştinţelor, sunt entităţi publice sau private care activează în domeniul formării profesionale a adulţilor şi/sau informării şi difuzării de cunoştinţe care îndeplinesc criteriile de eligibilitate şi de selecţie. Evaluarea numărului beneficiarilor: 11 Descriere acţiuni 1. Programe de formare profesională de scurtă durată (iniţiere, perfecţionare şi specializare), cu perioade diferenţiate de pregătire, în funcţie de tematica cursului, grupul ţintă şi nivelul existent de pregătire al solicitanţilor de formare profesională în vederea îmbunătăţirii şi perfecţionării cunoştinţelor privind competenţele manageriale şi tehnice în domeniul agricol, forestier şi agro-alimentar, introducerea de noi tehnologii şi inovaţii, protecţia mediului şi agricultură ecologică, cunoaşterea şi respectarea condiţiilor de eco - condiţionalitate etc.
  • 208.
    2. Acţiuni deinformare şi difuzare de cunoştinţe privind schemele de sprijin ale PAC, a modului de aplicare a măsurilor pentru dezvoltare rurală. Acţiunile prevăzute a se efectua prin această măsură au un caracter colectiv şi nu individual. Activităţi eligibile a) Costurile legate de pregătirea şi desfăşurarea diferitelor acţiuni de formare profesională: a1) Onorarii şi diurna pentru experţii din echipa de proiect a contractorului; a2) Diurne pentru cursanţi (cazare şi masă); a3) Cheltuieli de transport; a4) Materiale didactice şi consumabile; a5) Închirierea de echipamente specifice pentru implementarea proiectului; a6) Închirierea de spaţii adecvate pentru desfăşurarea acţiunilor de formare profesională; a7) Alte cheltuieli legate de implementarea acţiunilor de formare profesională. b) Costurile privind diferite tipuri de acţiuni de informare şi difuzare de cunoştinţe: b1) Cheltuieli de transport; b2) Materiale informative; b3) Alte cheltuieli legate de implementarea acţiunilor de informare şi difuzare de cunoştinţe. Avans: 20.00% Finanţare: Ajutorul public (FEADR + contribuţie publică naţională)%: 100.00% Codul măsurii: 111 Măsura: Formare profesională (training), informare şi difuzare de cunoştinţe ECB 29 Apr. 2010 1 EUR = 4.137 RON Nr de Cost Estimarea Contribuţia Contribuţia Contribuţia Contribuţia proiecte total costului total FEADR – publică privată publică (FEADR prevăzute mediu pe măsură măsură naţională + Naţiona) RON 2 €5,238 €10,476 €8,380 €2,096 €0 43,339 Contribuţia Contribuţia Contribuţia FEADR – publică privată% măsură% naţională% 79.99% 20.01% 0.00%
  • 209.
    Alocare financiară Realizare Rezultat măsuri (CCME nota de ghidare H) (CCME nota de ghidare I) 2007-2013 Măsuri Cost Total Indicatori Cuantificare Indicatori Cuantificare (Euro) Cheltuială Publică (Euro) Axa 1 - Creşterea competitivităţii sectoarelor agricol şi forestier Număr de participanţi 111 - Formare care au terminat cu profesională, Număr participanţi conform CCME împărţit pe succes formarea informare şi €10,476 parcursul implementării după vârstă, gen, conţinutul profesională (Măsura difuzare de activităţii si tipul participanţilor 111) 80% din numărul cunoştinţe total al beneficiarilor măsurii 111 • care au terminat cu • număr de participanţi la activităţi de formare profesională: 4 succes formarea 3 profesională: • care au beneficiat de • număr de participanţi la acţiuni de informare şi 7 acţiuni de informare şi 6 difuzare de cunoştinţe: difuzare de cunoştinţe: 9 • femei: 4 11 • femei: 3 • tineri sub 40 de ani: 5 • tineri sub 40 de ani: 4 • activi în agricultură: 9 • activi în agricultură: 7 • activi în industria • activi în industria alimentară: 1 alimentară: 1 • activi în silvicultură: 1 • activi în silvicultură: 1 Număr total de zile de instruire realizate de toţi participanţii • de pregătire profesională: 20 27 • de informare şi difuzare de cunostinţe: 7
  • 210.
    Alocare financiară Realizare Rezultat măsuri (CCME nota de ghidare H) (CCME nota de ghidare I) 2007-2013 Măsuri Cost Total Indicatori Cuantificare Indicatori Cuantificare (Euro) Cheltuială Publică (Euro) Indicator aditional Număr de fermieri care au aplicat pentru schema de agro-mediu şi au parcurs un modul de formare profesională sau au participat la acţiuni de 0 informare Estimare: aproximativ 30% din beneficiarii activităţilor de instruire Număr de beneficiari care au participat la un modul de formare în domeniul privind protecţia mediului. Estimare: aproximativ 22% din beneficiarii 0 activităţilor de instruire Număr de beneficiari care au participat la un modul de formare, eligibili pentru măsura 112 ”Instalarea tinerilor fermieri” Estimare: aproximativ 7% din 0 beneficiarii activităţilor de instruire Număr de beneficiari care au participat la un modul de formare, eligibili pentru măsura 141 „Sprijinirea fermelor de semisubzistenta” 0 Estimare: aproximativ 52% din beneficiarii activităţilor de instruire Număr de beneficiari care au participat la un modul de formare în domeniul privind noi tehnologii informaţionale, introducerea de inovaţii 0 etc.Estimare: aproximativ 22% din beneficiarii activităţilor de instruire
  • 211.
    Alocare financiară Realizare Rezultat măsuri (CCME nota de ghidare H) (CCME nota de ghidare I) 2007-2013 Măsuri Cost Total Indicatori Cuantificare Indicatori Cuantificare (Euro) Cheltuială Publică (Euro) Număr de beneficiari care au participat la un modul de formare în domeniul privind diversificarea activităţilor în exploataţiile agricole, îmbunătăţirea calităţii producţiei, igiena şi siguranţa alimentelor, crearea de condiţii pentru a asigura bunăstarea animalelor şi sănătatea plantelor, siguranţa muncii, 0 folosirea fertilizanţilor şi amendamentelor în agricultură în concordanţă cu standardele Uniunii Europene.Estimare: aproximativ 80% din beneficiarii activităţilor de instruire
  • 212.
    Axa I Creştereacompetitivităţii sectoarelor agricol şi forestier II.2.9.1.2 Măsura: 112 Instalarea tinerilor fermieri Obiectivul Creşterea competitivităţii sectoarelor agricol şi forestier Promovarea cunoaşterii şi îmbunătăţirea potenţialului uman Instalarea tinerilor fermieri Raportul cu strategia de dezvoltare * SWOT – POPULAŢIA; demografie – populaţia activă – îmbătrânire – nivel de instruire – cunoştinţe şi competenţe specifice teritoriului; PUNCTE SLABE: Populaţia cunoaşte la ora actuală un proces de regres accentuat datorat îmbătrânirii, scăderii fertilităţii şi migraţiei. Procesul de îmbătrânire demografică va continua. Tip de acţiuni: Materiale Descriere beneficiari Definiţia fermierului pentru măsurile din Axa 1 Fermierul este o persoană fizică sau juridică, a cărei exploataţie este situată pe teritoriul ţării şi are o dimensiune egală sau mai mare de 2 UDE, care practică în principal activităţi agricole şi care este înregistrată în Registrul fermelor/Registrul agricol/. Unitatea de dimensiune economică (UDE) reprezintă unitatea prin care se exprimă dimensiunea economică a unei exploataţii agricole determinată pe baza marjei brute standard a exploataţiei (Decizia Comisiei nr. 85/377/CEE). Valoarea unei unităţi de dimensiune economică este de 1.200 euro. a) Au vârsta sub 40 de ani şi se instalează pentru prima dată în exploataţiile agricole, ca şi conducători (şefi) ai exploataţiei; b) Deţin sau se angajează să dobândească competenţe şi calificări profesionale în raport cu activitatea pe care urmează să o desfăşoare. c) Prezintă un Plan de afaceri pentru dezvoltarea activităţilor agricole din cadrul exploataţiei, d) Sunt membri ai familiei de fermier, care au lucrat mai mult de 50% din timpul lor de lucru în cadrul fermei (nu neapărat în ferma familiei de fermier) cu cel puţin 12 luni înaintea instalării sale pe cont propriu. Nivelul minim de calificare solicitat este: - absolvent de liceu sau de şcoală profesională/şcoală de arte şi meserii în domeniul agricol, veterinar şi economic cu profil agricol; - absolvent de liceu care prezintă un certificat de calificare sau un certificat de absolvire a unui curs de formare de minim 150 de ore în domeniul agricol. O exploataţie agricolă nu poate primi sprijin prin această măsură decât o singură dată. Evaluarea numărului beneficiarilor: 11
  • 213.
    Descriere acţiuni a) Îmbunătăţireamanagementului exploataţiei agricole; b) Îmbunătăţirea performanţelor generale ale exploataţiei agricole; c) Adaptarea producţiei la cerinţele pieţei; d) Respectarea normelor comunitare, în special, cerinţele de eco - condiţionalitate, de protecţie a muncii, protecţia mediului şi sanitar-veterinare. Sprijinul pentru instalarea tinerilor fermieri va fi acordat sub formă de primă, în două tranşe. Beneficiarul trebuie să demonstreze la data ultimei verificări că dimensiunea fermei este de peste 10 UDE şi a crescut cu minim 4 UDE de la data adoptării deciziei individuale de acordare a sprijinului de instalare a tânărului fermier. Sprijinul pentru instalare este de maximum 10.000 Euro pentru o exploataţie agricolă cu dimensiunea minimă de 6 UDE, iar peste această dimensiune sprijinul pentru instalare poate creşte cu 2.000 Euro/1 UDE dar nu va putea depăşi 25.000 Euro/exploataţie. Activităţi eligibile Cel puţin 30% din sprijinul acordat va fi investit pentru realizarea conformităţii cu standardele comunitare, modernizarea şi dezvoltarea exploataţiei, astfel: a) construirea şi/sau modernizarea clădirilor utilizate pentru producţia agricolă la nivel de fermă, incluzându- le şi pe cele pentru protecţia mediului; - achiziţionarea sau achiziţionarea în leasing de tractoare noi, combine de recoltat, maşini, utilaje, instalaţii, echipamente şi accesorii, echipamente şi software specializate; b) achiziţionarea de animale şi după caz a cotei de producţie; c) plantarea şi replantarea plantelor perene; - achiziţionarea de teren pentru activităţi agricole. Avans: 60.00% Finanţare: Ajutorul public (FEADR + contribuţie publică naţională)%: 100.00% Codul măsurii: 112 Măsura: Instalarea tinerilor fermieri ECB 29 Apr. 2010 1 EUR = 4.137 RON Nr de Cost Estimarea Contribuţia Contribuţia Contribuţia Contribuţia proiecte total costului total FEADR – publică privată publică (FEADR prevăzute mediu pe măsură măsură naţională + Naţiona) RON 10 €13,950 €139,501 €111,600 €27,901 €0 577,116 Contribuţia Contribuţia Contribuţia FEADR – publică privată% măsură% naţională% 80.00% 20.00% 0.00%
  • 214.
    Alocare financiară Realizare măsuri 2007-2013 (CCME nota de ghidare H) Măsuri Cost Total Indicatori Cuantificare (Euro) Cheltuială Publică (Euro) Numărul total de tineri fermieri sprijiniţi conform CCME împărţit pe parcursul 14 €139,501 implementării după gen şi tipul sectorului agricol 112 - • din care femei: 2 Instalarea tinerilor Volumul total al investiţiilor (€) = 70% *nr. fermieri beneficiarilor valoarea medie primită de un beneficiar al măsurii 121 pentru €139,501 €89,679 modernizarea fermelor Estimare 70% din beneficiarii măsurii 112 vor face investiţii
  • 215.
    Axa I Creştereacompetitivităţii sectoarelor agricol şi forestier II.2.9.1.3 Măsura: 113 Pensionarea timpurie a fermierilor şi lucrătorilor agricoli Obiectivul Creşterea competitivităţii sectoarelor agricol şi forestier Promovarea cunoştinţelor şi îmbunătăţirea potenţialului uman Realizarea unor modificări structurale semnificative ale terenurilor transferate Raportul cu strategia de dezvoltare * SWOT – POPULAŢIA; demografie – populaţia activă – îmbătrânire – nivel de instruire – cunoştinţe şi competenţe specifice teritoriului; PUNCTE SLABE: Populaţia cunoaşte la ora actuală un proces de regres accentuat datorat îmbătrânirii, scăderii fertilităţii şi migraţiei. Procesul de îmbătrânire demografică va continua. Tip de acţiuni: Imateriale Descriere beneficiari Fermieri cu vârsta de cel puţin 55 ani, dar sub vârsta formală de pensionare, dacă îşi transferă fermele. Lucrători agricoli cu vârsta de cel puţin 55 ani, dar sub vârsta formală de pensionare, dacă îşi opresc activitatea. Evaluarea numărului beneficiarilor: 0 Descriere acţiuni Este vorba de suport financiar pentru cel ce transferă un teren sau se pensionează ca lucrător pe fermă. Durata totală nu poate depăşi 15 ani, şi nu poate continua după împlinirea vârstei de 70 ani a celui ce transferă teren sau a vârstei de pensionare pentru un lucrător agricol. Activităţi eligibile Avans: Finanţare: Ajutorul public (FEADR + contribuţie publică naţională)%: Nr de proiecte Cost total Estimarea costului Contribuţia Contribuţia Contribuţia prevăzute mediu total pe măsură FEADR – măsură publică naţională privată Contribuţia Contribuţia Contribuţia FEADR – publică privată% măsură% naţională%
  • 216.
    Indicatori comuni Numărul fermierilorpensionaţi Numărul lucrătorilor pensionaţi Suprafaţa (ha) de teren tranferat Cheltuială Publică (Euro) €0.00
  • 217.
    Axa I Creştereacompetitivităţii sectoarelor agricol şi forestier II.2.9.1.4 Măsura: 114 Utilizarea serviciilor de consiliere Obiectivul Creşterea competitivităţii sectoarelor agricol şi forestier Promovarea cunoştinţelor şi îmbunătăţirea potenţialului uman Îmbunătăţirea managementului sustenabil al proprietăţilor Raportul cu strategia de dezvoltare * SWOT - ACTIVITĂŢI ECONOMICE; industrie – IMM – micro-întreprinderi; PUNCTE SLABE: Nivel scăzut de conformitate a produselor cu normele UE Tip de acţiuni: Imateriale Descriere beneficiari Agricultori şi proprietari de păduri Evaluarea numărului beneficiarilor: 7 Descriere acţiuni a) consiliere pentru aplicarea proceselor de producţie compatibile cu îmbunătăţirea terenurilor sau a protecţiei mediului b) consultanţă pentru asigurarea standardelor de calitate c) informaţii despre cele mai noi rezultate din cercetare legate de procese tehnice d) consiliere pentru aplicarea managementului sustenabil al pădurilor. Serviciile de consiliere trebuie să acopere cerinţele de bune condiţii de agricultură şi mediu şi cerinţele de standard securitate ocupaţională. (Art. 4 şi 5 din Anexele III şi IV ale Regulamentului (EC) N° 1782/2003, şi standarde de securitate ocupaţională bazate pe legislaţia Comunitară) Activităţi eligibile Avans: 20.00% Finanţare: Ajutorul public (FEADR + contribuţie publică naţională)%: 100.00% Codul măsurii: 114 Măsura: Utilizarea serviciilor de consiliere ECB 29 Apr. 2010 1 EUR = 4.137 RON Nr de Cost Estimarea Contribuţia Contribuţia Contribuţia Contribuţia proiecte total costului total FEADR – publică privată publică (FEADR prevăzute mediu pe măsură măsură naţională + Naţiona) RON 7 €5,487 €38,411 €30,728 €7,683 €0 158,906 Contribuţia Contribuţia Contribuţia FEADR – publică privată% măsură% naţională% 80.00% 20.00% 0.00%
  • 218.
    Numărul fermierilor ceutilizează servicii de consiliere: 3 Numărul posesorilor de păduri ce utilizează servicii de consiliere: 4 Total beneficiari: 7 Cheltuială Publică (Euro) €38,411
  • 219.
    Axa I Creştereacompetitivităţii sectoarelor agricol şi forestier II.2.9.1.5 Măsura: 121 Modernizarea exploataţiilor agricole Obiectivul Creşterea competitivităţii sectoarelor agricol şi forestier Restructurarea şi dezvoltarea potenţialului fizic şi promovarea inovaţiei Îmbunătăţirea performanţelor economice ale proprietăţilor prin utilizarea mai bună a factorilor de producţie Raportul cu strategia de dezvoltare * SWOT – TERITORIU; patrimoniu de mediu; PUNCTE SLABE: Procesatorii interni la scară mică folosesc utilaje învechite şi ineficiente, fapt care conduce la o calitate inconstantă a produselor şi o slabă respectare a normelor de protecţie a mediului * SWOT – TERITORIU; patrimoniu de mediu; PUNCTE SLABE: Management foarte deficitar al deşeurilor domestice şi de grajd * SWOT - Potenţialul de producţie agricolă (producţia primară); PUNCTE SLABE: Dotare tehnică scăzută şi de slabă calitate în exploataţiile mai mici Tip de acţiuni: Materiale Descriere beneficiari Definiţia fermierului pentru măsurile din Axa 1 Fermierul este o persoană fizică sau juridică, a cărei exploataţie este situată pe teritoriul ţării şi are o dimensiune egală sau mai mare de 2 UDE, care practică în principal activităţi agricole şi care este înregistrată în Registrul fermelor/Registrul agricol/. Unitatea de dimensiune economică (UDE) reprezintă unitatea prin care se exprimă dimensiunea economică a unei exploataţii agricole determinată pe baza marjei brute standard a exploataţiei (Decizia Comisiei nr. 85/377/CEE). Valoarea unei unităţi de dimensiune economică este de 1.200 euro. Sunt exceptate de la sprijinul prin această măsură organizaţiile de producători din sectorul legume şi fructe pentru investiţii sprijinite prin Pilonul I. Persoanele fizice neautorizate încă vor fi acceptate ca beneficiari potenţiali dacă se angajează să se autorizeze până la data încheierii contractului de finanţare. Persoanele fizice neautorizate încă vor fi acceptate ca beneficiari potenţiali dacă se angajează să se autorizeze până la data încheierii contractului de finanţare. Grupurile de producători şi cooperativele pot fi beneficiari ai măsurii cu condiţia ca investiţiile realizate să deservească interesele propriilor membri. Definirea categoriilor de beneficiari în funcţie de baza legală de înfiinţare, organizare şi funcţionare se va face în Ghidul Solicitantului. Beneficiarii măsurii, a căror cerere de finanţare a fost selectată, sunt eligibili în cadrul schemei de garantare pentru sectorul agricol cu finanţare din PNDR. Un beneficiar care a îndeplinit condiţiile de eligibilitate şi de selecţie prevăzute în această fixă este considerat că îndeplineşte condiţiile prevăzute la art. 51 alin. 3 din Regulamentul (CE) nr. 1974/2006. Evaluarea numărului beneficiarilor: 15
  • 220.
    Descriere acţiuni În cadrulacestei măsuri vor fi sprijinite investiţiile orientate spre dotarea cu utilaje şi echipamente performante în raport cu structura agricolă actuală, precum şi investiţiile privind adaptarea construcţiilor agricole pentru respectarea standardelor comunitare şi creşterea competitivităţii exploataţiilor agricole. Scopul sprijinului acordat prin măsură, cuprinde: a) Îmbunătăţirea performanţelor generale ale exploataţiilor agricole; b) Respectarea standardelor comunitare aplicabile tipurilor de investiţii prevăzute la capitolul "Tipuri de investiţii"; c) Creşterea calităţii produselor obţinute şi diversificarea producţiei agricole; d) Promovarea producerii şi utilizării durabile de energie, inclusiv energie din surse regenerabile în cadrul fermei; e) Înfiinţarea de culturi de specii forestiere cu ciclu de producţie scurt (până la 5 ani) şi regenerare pe cale vegetativă (lăstari, drajoni etc.), cum ar fi culturile de plopi, sălcii, salcâmi etc., în scopul producerii de energie regenerabilă; f) Creşterea competitivităţii produselor agricole prin promovarea procesării inclusiv a produselor tradiţionale la nivelul fermei şi comercializarea directă a acestora, scopul asigurării controlului calităţii la nivel de fermă, etc.; Activităţi eligibile i. Construirea şi/sau modernizarea clădirilor utilizate pentru producţia agricolă la nivel de fermă, incluzând investiţiile pentru respectarea standardelor comunitare şi pe cele pentru protecţia mediului şi depozitarea îngrăşămintelor; ii. Construirea şi/sau modernizarea infrastructurii rutiere interne sau de acces din domeniul agricol, inclusiv utilităţi şi racorduri identificate ca necesare prin studiul de fezabilitate sau memoriul justificativ; iii. Construirea şi/sau modernizarea fermelor de taurine pentru producţia de lapte, ca de exemplu: echipamente pentru producerea de furaje, instalaţii de muls, linii tehnologice de prelucrare şi ambalare a produselor, dotări tehnice în iv. Construirea şi/sau modernizarea serelor, inclusiv a centralelor termice şi instalaţiilor de irigat, asigurarea utilităţilor în vederea respectării condiţiilor de mediu; v. Achiziţionarea sau achiziţionarea în leasing de tractoare noi, combine de recoltat, maşini, utilaje, instalaţii, echipamente şi accesorii, echipamente şi software specializate, identificate ca necesare prin studiul de fezabilitate sau memoriul justificativ; vi. Achiziţionarea sau achiziţionarea în leasing de noi mijloace de transport specializate, necesare activităţii de producţie, identificate ca necesare prin studiul de fezabilitate sau memoriul justificativ; vii. Înlocuirea plantaţiilor viticole din soiuri nobile ajunse la sfârşitul ciclului biologic de producţie (minim 40 ani) şi care nu sunt incluse în sistemul de restructurare/reconversie al plantaţiilor de viţă-de-vie sprijinit prin FEGA în cadrul OCP vin şi înfiinţarea plantaţiilor pentru struguri de masă; viii. Înfiinţarea plantaţiilor de pomi, arbuşti fructiferi şi căpşuni; ix. Înfiinţarea pepinierelor de viţă de vie, pomi fructiferi şi arbuşti, alţi arbori; x. Investiţii pentru producerea şi utilizarea durabil_ a energiei din surse regenerabile în cadrul fermei; xi. Investiţii pentru înfiinţarea de culturi de specii forestiere cu ciclu de producţie scurt _i regenerare pe cale vegetativă, în scopul producerii de energie regenerabilă; xii. Investiţii în apicultură, cu excepţia celor realizate prin Programul Naţional Apicol;
  • 221.
    xiii. Investiţii pentruprocesarea produselor agricole la nivelul fermei, cuprinzând echipamente pentru vânzarea acestora, inclusiv depozitare, răcire etc.; xiv. Costurile generale ale proiectului, conform articolului nr. 55 din Regulamentul (CE) nr. 1974/2006, cum ar fi: taxe pentru arhitecţi, ingineri şi consultanţi, studii de fezabilitate, taxe pentru eliberarea certificatelor, avizelor şi autorizaţiilor necesare implementării proiectelor, aşa cum sunt ele menţionate în legislaţia naţională, achiziţionarea de patente şi licenţe (maxim 8% din valoarea totală eligibilă a proiectului, dacă proiectul prevede şi construcţii, şi maxim 3% în cazul în care proiectul nu prevede realizarea construcţiilor); xv. Investiţii necesare adaptării exploata_iilor pentru agricultura ecologică; xvi. Investiţiile necesare realizării conformităţii cu standardele comunitare Avans: 20.00% Finanţare: Ajutorul public (FEADR + contribuţie publică naţională)%: 40.00% Codul măsurii: 121 Măsura: Modernizarea exploataţiilor agricole ECB 29 Apr. 2010 1 EUR = 4.137 RON Nr de Cost Estimarea Contribuţia Contribuţia Contribuţia Contribuţia proiecte total costului total FEADR – publică privată publică (FEADR prevăzute mediu pe măsură măsură naţională + Naţiona) RON 15 €42,848 €642,722 €205,671 €51,418 €385,633 1,063,577 Contribuţia Contribuţia Contribuţia FEADR – publică privată% măsură% naţională% 32.00% 8.00% 60.00%
  • 222.
    Alocare financiară Realizare Rezultat măsuri 2007- (CCME nota de ghidare H) (CCME nota de ghidare I) Măsuri 2013 Cost Total (Euro) Indicatori Indicatori f f t i i i Cheltuială Publică (Euro) Creşterea VAB în exploataţiile, întreprinderile M€ Măsura 112 – 1 Număr de exploataţii care primesc sprijin pentru investiţii conform CCME împărţit Măsura 121 – 2 15 7 pe parcursul implementării după vârstă, Măsura 112 – 1 gen, statut juridic Măsura 125 – 1 Măsura 123 – 1 Măsura 143 – 1 Indicator adiţional Număr de exploataţii care €257,089 Număr de exploataţii de semi-subzistenţă 7 realizează/introduc noi produse şi/sau 8 sprijinite noi tehnologii 121 - Modernizarea exploataţiilor Indicator adiţional Indicator adiţional agricole Măsura 121: Număr de exploataţii care Număr de exploataţii sprijinite aparţinând 2 îndeplinesc standardele comunitare, ca 7 membrilor formelor associative (15% din urmare a sprijinului Estimare: 45% din beneficiarii măsurii) beneficiari Indicator adiţional Număr de forme asociative sprijinite (1.5% 0 din beneficiarii măsurii) Indicator adiţional Număr de exploataţii care produc şi 1 utilizează energie regenerabilă Volumul total al investiţiilor (Euro) = Cost total €138,828 conform CCME împărţit pe parcursul €257,089 implementării după tipul investiţiei şi tipul sectorului agricol
  • 223.
    Axa I Creştereacompetitivităţii sectoarelor agricol şi forestier II.2.9.1.6 Măsura: 122 Îmbunătăţirea valorii economice a pădurii Obiectivul Creşterea competitivităţii sectoarelor agricol şi forestier Restructurarea şi dezvoltarea potenţialului fizic şi promovarea inovaţiei Lărgirea valorii economice a pădurilor, creşterea diversificării şi sporirea oportunităţilor de piaţă Raportul cu strategia de dezvoltare * SWOT – TERITORIU; patrimoniu de mediu; PUNCTE SLABE: Capacitate limitată a noilor proprietari privaţi de pădure de a-şi gestiona pădurile într-un mod durabil Tip de acţiuni: Materiale Descriere beneficiari a) Proprietari privaţi de pădure, persoane fizice sau asociaţii ale acestora; b) Comunităţi locale deţinătoare de pădure în comun (cu drept de proprietate indivizibil) sau asociaţiile acestora; c) Comune, şi municipalităţi deţinătoare de pădure sau asociaţiile acestora; d) Alte categorii de deţinători de pădure diferite de proprietatea de stat, deţinători de pădure independenţi (biserici, spitale, şcoli) şi asociaţiile acestora; e) Asociaţii mixte din oricare din categoriile de mai sus. Evaluarea numărului beneficiarilor: 4 Descriere acţiuni Prin această măsură se sprijină investiţiile în pădurile care se supun regimului silvic şi pentru care s-au elaborat planuri de amenajare silvică, potrivit legislaţiei naţionale şi care sunt obligatorii. Sprijinul se va acorda proprietăţilor forestiere pentru realizarea acţiunilor şi măsurilor prevăzute de planurile de amenajare silvică, sau strâns legate de acestea şi care contribuie la creşterea valorii economice a pădurilor şi pentru investiţii în echipament de recoltare a produselor lemnoase. Producerea de puieţi forestieri în pepinierele silvice este de asemenea sprijinită prin această măsură numai în condiţiile în care pepiniera face parte din exploataţia forestieră şi este situată în pădure.
  • 224.
    Activităţi eligibile A. Indiferentde suprafaţa de pădure: A1) Costuri pentru achiziţionarea materialului de plantat, costurile de instalare a culturilor, pentru îmbunătăţirea structurii arboretelor în concordanţă cu tipul natural fundamental de pădure; A2) Costuri pentru refacerea arboretelor slab productive şi substituirii celor derivate; A3)- Costuri pentru realizarea lucrărilor de îngrijire şi conducere a arboretelor prevăzute în planurile de amenajare, incluzând răritura pre-comercială; A4) Costuri generale ale proiectului reprezentând: taxe pentru arhitecţi, ingineri şi consultanţi, proiecte tehnice, achiziţionarea de patente şi licenţe, în procent de maxim 10% din valoarea proiectului. B. Pentru suprafeţe de pădure mai mari de 10 ha: B1) Costuri pentru achiziţionarea de maşini, echipamente şi materiale pentru suprafeţele incluse în Catalogul Naţional al materialelor forestiere de reproducere (ex: Livezi semincere, Părinţi de familii) şi în suprafeţele desemnate pentru conservarea resurselor genetice forestiere. B2) Costurile pentru crearea căilor de acces în interiorul arboretelor, pentru facilitarea executării lucrărilor silvice prevăzute în planurile de amenajare. B3) Costuri pentru achiziţionarea de maşini, echipamente şi materiale pentru realizarea lucrărilor de îngrijire şi conducere a arboretelor prevăzute în planurile de amenajare (ex. plantări, descopleşiri, curăţiri, combatere boli şi dăunători). B4) Costuri pentru înfiinţarea de pepiniere forestiere, inclusiv achiziţionarea de maşini, echipamente şi materiale pentru producerea de material forestier de reproducere de calitate, numai în cazuri excepţionale cum sunt acelea ca pepiniera să facă parte din exploataţia forestieră şi pe terenuri din fond forestier. C. Pentru suprafeţe de pădure mai mari de 100 ha sau pentru asociaţii care deţin suprafeţe mai mari de 100 ha: - Costuri pentru achiziţionarea de echipamente şi maşini necesare pentru activitatea de exploatare care au impact redus asupra mediului, altele decât maşinile complexe cum ar fi harvesterurile, în vederea creşterii economice a pădurilor. D. Pentru suprafeţe de pădure mai mari de 1.000 ha: - Costuri pentru achiziţionarea de echipamente hardware şi software necesare pentru elaborarea documentaţiei tehnice cerute de reglementările forestiere în vigoare. Avans: 20.00% Finanţare: Ajutorul public (FEADR + contribuţie publică naţională)%: 50.00% Codul măsurii: 122 Măsura: Îmbunătăţirea valorii economice a pădurii ECB 29 Apr. 2010 1 EUR = 4.137 RON Nr de Cost Estimarea Contribuţia Contribuţia Contribuţia Contribuţia proiecte total costului total FEADR – publică privată publică (FEADR prevăzute mediu pe măsură măsură naţională + Naţiona) RON 4 €20,850 €83,402 €33,360 €8,341 €41,701 172,517 Contribuţia Contribuţia Contribuţia FEADR – publică privată% măsură% naţională% 40.00% 10.00% 50.00%
  • 225.
    Alocare financiară Realizare Rezultat măsuri (CCME nota de ghidare H) (CCME nota de ghidare I) 2007-2013 Măsuri Cost Total Indicatori Cuantificare Indicatori Cuantificare (Euro) Cheltuială Publică (Euro) Indicator adiţional Măsura 122 Numărul de proiecte de Numărul de îmbunătăţire a exploataţii structurii pădurii 1 forestiere sprijinite Estimare: conform CCME aproximativ 25% €41,701 împărţit pe 4 din beneficiari vor parcursul realiza acest tip de implementării proiecte 122 - după tipul de Indicator adiţional Îmbunătăţire proprietar Măsura 122 a valorii economice a Număr de hectare 9 pădurii pe care s-a îmbunătăţit structura pădurii Volumul total al investiţiilor (Euro) = Cost total conform CCME €22,936 împărţit pe €41,701 parcursul implementării după tipul de proprietar
  • 226.
    Axa I Creştereacompetitivităţii sectoarelor agricol şi forestier II.2.9.1.7 Măsura: 123 Creşterea valorii adăugate a produselor agricole şi forestiere Obiectivul Creşterea competitivităţii sectoarelor agricol şi forestier Restructurarea şi dezvoltarea potenţialului fizic şi promovarea inovaţiei Îmbunătăţirea procesării şi marketingului produselor primare Raportul cu strategia de dezvoltare * SWOT – TERITORIU; patrimoniu de mediu; PUNCTE SLABE: Capacitate limitată a noilor proprietari privaţi de pădure de a-şi gestiona pădurile într-un mod durabil Tip de acţiuni: Descriere beneficiari Pentru produsele agricole: a) Micro-întreprinderi şi Întreprinderi Mici şi Mijlocii - definite în conformitate cu Recomandarea (CE) nr. 361/2003; b) Alte întreprinderi care nu sunt micro-întreprinderi, întreprinderi mici şi mijlocii, definite în conformitate cu art. 28 din Regulamentul (CE) nr. 1698/2005, care au mai puţin de 750 angajaţi sau cu o cifră de afaceri care nu depăşeşte 200 milioane euro. Pentru produsele forestiere: a) Micro-întreprinderi şi Întreprinderi Mici şi Mijlocii - definite în conformitate cu Recomandarea (CE) nr. 361/2003; Evaluarea numărului beneficiarilor: 20 Descriere acţiuni Sprijinul prin această măsură se acordă pentru realizarea de investiţii corporale şi necorporale în cadrul întreprinderilor pentru procesarea şi marketingul produselor agricole care procesează materii prime, incluse în Anexa I la Tratatul de Instituire a Comunităţii Europene, cu excepţia produselor piscicole şi care obţin produse incluse şi neincluse în Anexa I, pentru: a) Dezvoltarea de noi produse, procese şi tehnologii; b) Promovarea investiţiilor pentru producerea şi utilizarea energiei din surse regenerabile; c) Adaptarea la cerinţele pieţei, în funcţie de resursele locale precum şi deschiderea de noi oportunităţi de piaţă; d) Promovarea investiţiilor pentru producerea biocombustibililor; e) Promovarea de investiţii pentru respectarea standardelor comunitare; f) Creşterea productivităţii muncii în sectorul agro-alimentar; g) Aplicarea măsurilor de protecţia mediului, inclusiv măsuri de eficienţă energetică; h) Creşterea numărului de locuri de muncă şi a siguranţei la locul de muncă.
  • 227.
    De asemenea, sprijinuleste acordat pentru investiţii corporale şi necorporale pentru procesarea şi marketingul produselor forestiere, prin: a) Creşterea eficienţei sectorului de procesare şi marketing a produselor forestiere prin inovaţii şi introducerea de noi tehnologii, maşini şi echipamente, cu respectarea standardelor de siguranţă în muncă şi de protecţie a mediului; b) Adaptarea la cerinţele pieţei, a prelucrării şi comercializării produselor forestiere, în funcţie de resursele locale, şi explorarea de noi oportunităţi de piaţă de desfacere; c) Îmbunătăţirea competitivităţii unităţilor de prelucrare şi comercializare a produselor forestiere prin creşterea randamentului instalaţiilor şi proceselor de prelucrare şi a calităţii produselor; d) Obţinerea de surse de energie regenerabilă din biomasă forestieră; e) Îmbunătăţirea dotărilor microîntreprinderilor prin achiziţionarea de echipamente, utilaje şi maşini complexe de recoltare, transport şi prelucrare, în cadrul aceluiaşi proces tehnologic, a produselor forestiere, cum sunt maşinile forestiere multifuncţionale de recoltat cu impact redus asupra mediului, precum şi de maşini şi utilaje speciale pentru transportul produselor forestiere, din pădure la unităţile de procesare primară; f) Creşterea numărului de locuri de muncă în sectorul procesării şi valorificării produselor forestiere; g) Creşterea productivităţii muncii în sectorul forestier; h) Pentru procesarea produselor forestiere lemnoase sunt eligibile numai operaţiile care au loc înainte de prelucrarea industrială în conformitate cu art. 19 din Regulamentul (CE ) nr. 1974/2006. Activităţi eligibile Pentru produsele agricole a) Construcţii noi şi/sau modernizarea clădirilor folosite pentru procesul de producţie, inclusiv construcţii destinate protecţiei mediului, infrastructură internă şi utilităţi, precum şi branşamente şi racorduri necesare proiectelor; b) Construcţii noi şi/sau modernizări pentru depozitarea produselor, inclusiv depozite frigorifice en-gross; c) Achiziţionarea sau achiziţionarea în leasing de noi utilaje, instalaţii, echipamente, aparate şi costuri de instalare; d) Investiţii pentru îmbunătăţirea controlului intern al calităţii materiei prime, semifabricatelor, produselor şi subproduselor obţinute în cadrul unităţilor de procesare şi marketing; e) Investiţii pentru producerea şi utilizarea energiei din surse regenerabile; f) Achiziţionarea sau achiziţionarea în leasing de noi mijloace de transport specializate, necesare activităţii de producţie şi marketing, identificate ca necesare prin studiul de fezabilitate sau memoriul justificativ. Pentru produsele forestiere a) Construcţii noi şi modernizarea tuturor categoriilor de spaţii şi încăperi pentru producerea şi stocarea produselor forestiere, necesare realizării proiectului, inclusiv utilităţi şi branşamente care nu depăşesc 10% din valoarea eligibilă a proiectului; b) Achiziţionarea sau achiziţionarea în leasing de noi instalaţii, maşini şi echipamente pentru recoltarea (în cazul proceselor tehnologice complexe), transportul şi procesarea primară a produselor forestiere (lemnoase şi nelemnoase), precum şi investiţii pentru modernizarea şi retehnologizarea capacităţilor existente, aţa cum sunt prevăzute în studiile de fezabilitate, cu respectarea standardelor de mediu şi securitate a muncii.
  • 228.
    Investiţii necorporale pentruprodusele agricole şi forestiere (lista indicativă): i. Organizarea şi implementarea sistemelor de management al calităţii şi de siguranţă alimentar_, dacă sunt în legătură cu investiţiile corporale ale proiectului; ii. Cumpărarea de tehnologii (know-how), achiziţionarea de patente şi licenţe pentru pregătirea implementării proiectului; iii. Costurile generale ale proiectului conform articolului nr. 55 din Regulamentul (CE) nr. 1974/2006, cum ar fi: taxe pentru arhitecţi, ingineri şi consultanţi, studii de fezabilitate, taxe pentru eliberarea certificatelor, avizelor şi autorizaţiilor necesare implementării proiectelor, aţa cum sunt ele menţionate în legislaţia naţională, pentru pregătirea implementării proiectului (maxim 8% din valoarea totală eligibilă a proiectului, dacă proiectul prevede şi construcţii şi maxim 3% în cazul în care proiectul nu prevede realizarea construcţiilor); iv. Achiziţionarea de software, identificat ca necesar prin studiul de fezabilitate sau memoriul justificativ. Avans: 20.00% Finanţare: Ajutorul public (FEADR + contribuţie publică naţională)%: 50.00% Codul măsurii: 123 Măsura: Creşterea valorii adăugate a produselor agricole şi forestiere ECB 29 Apr. 2010 1 EUR = 4.137 RON Nr de Cost Estimarea Contribuţia Contribuţia Contribuţia Contribuţia proiecte total costului total FEADR – publică privată publică (FEADR prevăzute mediu pe măsură măsură naţională + Naţiona) RON 20 €21,559 €431,180 €172,472 €43,118 €215,590 891,896 Contribuţia Contribuţia Contribuţia FEADR – publică privată% măsură% naţională% 40.00% 10.00% 50.00%
  • 229.
    Alocare financiară măsuri Realizare 2007-2013 (CCME nota de ghidare H) Măsuri Cost Total (Euro) Indicatori Cuantificare Cheltuială Publică (Euro) 123 - Creşterea Numărul total al întreprinderilor valorii conform CCME împărţit pe adăugate a parcursul implementării după produselor dimensiunea întreprinderii, tipul agricole şi activităţii şi tipul sectorului forestiere €215,590 Numărul total al întreprinderilor 20 Împărţite în funcţie de dimensiunea acestora • micro-întreprinderi: 16 • IMM: 4 • Altele: 0 Volumul total al investiţiilor (Euro) = Cost total conform CCME împărţit pe parcursul implementării după dimensiunea întreprinderii, tipul activităţii şi tipul sectorului €85,254 €198,361 Împărţire în funcţie de dimensiunea întreprinderii: • micro-întreprinderi: €123,436 • IMM: €74,925 • Altele: €0 Indicator adiţionalNumăr de 20 întreprinderi sprijinite, din care:
  • 230.
    Alocare financiară măsuri Realizare 2007-2013 (CCME nota de ghidare H) Măsuri Cost Total (Euro) Indicatori Cuantificare Cheltuială Publică (Euro) • Număr de întreprinderi sprijinite, cu programe de restructurare (Estimare: 80% din numărul total 3 al întreprinderilor cuprinse în lista din cadrul măsurii): • Număr de întreprinderi sprijinite care aparţin formelor asociative 3 (Estimare: 15% din numărul total al beneficiarilor):
  • 231.
    Axa I Creştereacompetitivităţii sectoarelor agricol şi forestier II.2.9.1.8 Măsura: 125 Îmbunătăţirea şi dezvoltarea infrastructurii legate de dezvoltarea şi adaptarea agriculturii şi silviculturii Obiectivul Creşterea competitivităţii sectoarelor agricol şi forestier Restructurarea şi dezvoltarea potenţialului fizic şi promovarea inovaţiei Îmbunătăţirea şi dezvoltarea infrastructurii legate de dezvoltarea şi adaptarea a) agriculturii b) silviculturii Raportul cu strategia de dezvoltare * SWOT – TERITORIU; patrimoniu de mediu; PUNCTE SLABE: Capacitate limitată a noilor proprietari privaţi de pădure de a-şi gestiona pădurile într-un mod durabil Tip de acţiuni: Materiale Descriere beneficiari a) Organizaţii/federaţii de utilitate publică ale proprietarilor/deţinătorilor de terenuri agricole constituite în conformitate cu legislaţia în vigoare; b) Consilii locale şi asociaţii ale acestora; Evaluarea numărului beneficiarilor: 5 Descriere acţiuni a) îmbunătăţirea accesului la exploataţiile agricole; b) construirea şi modernizarea drumurilor de exploataţie care să asigure accesul public la exploataţiile agricole; c) modernizarea şi/sau retehnologizarea sistemelor de irigaţii; d) modernizarea si/sau retehnologizarea sistemelor de desecare şi drenaj; e) lucrări de corectare a torenţilor situaşi în fondul agricol. Sprijinul prevăzut în cadrul acestei sub - măsuri va fi acordat pentru: e1) construirea, extinderea şi modernizarea infrastructurii de exploatare şi de acces a exploataţiilor agricole; e2) modernizarea şi/sau retehnologizarea sistemelor existente de irigaţii aflate în proprietatea şi/sau administrarea OUAI/FOUAI şi a altor lucrări de îmbunătăţiri funciare; e3) lucrări de corectarea torenţilor situate în fondul funciar agricol.
  • 232.
    Activităţi eligibile (i) Infrastructurărutieră agricolă - construirea şi/sau modernizarea drumurilor de acces, poduri şi podeţe, drumurilor agricole de exploataţie; (ii) Sisteme de irigaţii - modernizare şi/sau retehnologizare26 inclusiv lucrări pentru staţiile de pompare, de contorizare; (iii) Sisteme de desecare şi drenaj şi alte lucrări de îmbunătăţiri funciare - modernizare şi/sau retehnologizare; (iv) Lucrări de corectare a torenţilor, situate în fond funciar agricol - constând în construirea şi/sau modernizarea barajelor, digurilor, canalelor sau alte asemenea lucrări. Cheltuielile pentru proiectare realizate înainte de aprobarea proiectului, incluzând studiu de fezabilitate, memoriu justificativ, studii hidrologice şi/sau hidro-geologice, proiectele tehnice se suportă din sprijinul acordat prin m_sură şi nu pot depăşi 10% din valoarea eligibilă a proiectului. Avans: 20.00% Finanţare: Ajutorul public (FEADR + contribuţie publică naţională)%: 75.00% Codul măsurii: 125 Măsura: Îmbunătăţirea şi dezvoltarea infrastructurii legate de dezvoltarea şi adaptarea agriculturii şi silviculturii ECB 29 Apr. 2010 1 EUR = 4.137 RON Nr de Cost Estimarea Contribuţia Contribuţia Contribuţia Contribuţia proiecte total costului total FEADR – publică privată publică (FEADR prevăzute mediu pe măsură măsură naţională + Naţiona) RON 5 €32,389 €161,945 €97,167 €24,292 €40,486 502,476 Contribuţia Contribuţia Contribuţia FEADR – publică privată% măsură% naţională% 60.00% 15.00% 25.00%
  • 233.
    Alocare financiară Realizare măsuri 2007- (CCME nota de ghidare H) 2013 Măsuri Cost Total Indicatori Cuantificare (Euro) Cheltuială Publică (Euro) Numărul de acţiuni sprijinite conform CCME împărţit pe €121,459 5 parcursul implementării după tipul terenului şi tipul operaţiunii Volumul total al investiţiilor (Euro) = Cost total conform CCME împărţit pe parcursul implementării după tipul terenului şi tipul operaţiunii €121,460 Împartite pe tipul de teren: • Agricol: €54,657 125 - Îmbunătăţire a şi dezvoltarea infrastructuri i • Forestier: €54,657 legate de dezvoltarea şi • Comasarea terenurilor: €12,146 adaptarea agriculturii şi silviculturii Indicator adiţional €97,167 Suprafaţa modernizată şi reabilitată Irigaţii - ha 1,238 – ha - drenaje 396 726 - combaterea eroziunii solului 198 - protecţie împotriva inundaţiilor 132 Lungimea drumurilor construite: • Agricole - km 2 • Forestiere - km 7
  • 234.
    Axa I Creştereacompetitivităţii sectoarelor agricol şi forestier II.2.9.1.9 Măsura: 141 Sprijinirea fermelor agricole de semi-subzistenţă Obiectivul Creşterea competitivităţii sectoarelor agricol şi forestier Facilitarea tranziţiei în NSM Încurajarea intrării pe piaţă a fermelor de semi-subzistenţă Raportul cu strategia de dezvoltare * SWOT - Potenţialul de producţie agricolă (producţia primară); PUNCTE SLABE: Pondere importantă a SAU este utilizată de exploataţii de subzistenţă şi semi-subzistenţă neperformante * SWOT - ACTIVITĂŢI ECONOMICE; industrie – IMM – micro-întreprinderi; PUNCTE SLABE: Economia rurală este slab diversificată şi încă dependentă de activităţile agricole, ceea ce are drept consecinţă venituri reduse pentru întreprinzătorii din mediul rural Tip de acţiuni: Imateriale Descriere beneficiari Definiţia fermierului pentru măsurile din Axa 1 Fermierul este o persoană fizică sau juridică, a cărei exploataţie este situată pe teritoriul ţării şi are o dimensiune egală sau mai mare de 2 UDE, care practică în principal activităţi agricole şi care este înregistrată în Registrul fermelor/Registrul agricol/. Unitatea de dimensiune economică (UDE) reprezintă unitatea prin care se exprimă dimensiunea economică a unei exploataţii agricole determinată pe baza marjei brute standard a exploataţiei (Decizia Comisiei nr. 85/377/CEE). Valoarea unei unităţi de dimensiune economică este de 1.200 euro. Persoane fizice şi persoane fizice autorizate în vârstă de până la 62 de ani care prezintă un Plan de afaceri pentru restructurarea exploataţiei agricole. Persoanele fizice neautorizate încă vor fi acceptate ca beneficiari potenţiali dacă se angajează să se autorizeze până la data încheierii contractului de finanţare. Evaluarea numărului beneficiarilor: 8 Descriere acţiuni Sprijinul acordat prin această măsură are scopul de a asigura veniturile necesare în perioada de restructurare şi transformarea fermelor de semi - subzistenţă în exploataţii orientate către piaţă, prin utilizarea durabilă a factorilor de producţie, îmbunătăţirea managementului prin diversificarea producţiei agricole, precum şi introducerea de tehnologii performante adaptate condiţiilor locale. Ca urmare, implementarea măsurii va conduce la creşterea veniturilor acestor ferme concomitent cu scăderea costurilor de producţie. Activităţi eligibile Sprijinul public nerambursabil se va acorda sub forma unei sume fixe anuale. Sprijinul acordat în cadrul acestei măsuri este de 1.500 de Euro/an/fermă de semi-subzistenţă. Sprijinul se acordă pentru o perioadă de maxim 5 ani pentru cererile aprobate înainte de 31 decembrie 2013.
  • 235.
    Criteriile de selecţiepentru fermele de semi-subzistenţă: a) să facă parte dintr-o formă asociativă recunoscută conform legislaţiei naţionale în vigoare (de exemplu: grup de producători, cooperativă etc.); b) să acceseze măsura de agromediu; c) să fie în zonă defavorizată; d) să aparţină tinerilor fermieri; e) să realizeze o investiţie, în special o investiţie pentru îndeplinirea conformităţii cu standardele comunitare. Avans: 20.00% Finanţare: Ajutorul public (FEADR + contribuţie publică naţională)%: 100.00% Codul măsurii: 141 Măsura: Sprijinirea fermelor agricole de semi-subzistenţă ECB 29 Apr. 2010 1 EUR = 4.137 RON Nr de Cost Estimarea Contribuţia Contribuţia Contribuţia Contribuţia proiecte total costului total FEADR – publică privată publică (FEADR prevăzute mediu pe măsură măsură naţională + Naţiona) RON 8 €8,119 €64,956 €51,964 €12,992 €0 268,723 Contribuţia Contribuţia Contribuţia FEADR – publică privată% măsură% naţională% 80.00% 20.00% 0.00%
  • 236.
    Alocare financiară Realizare Rezultat măsuri 2007- (CCME nota de ghidare H) (CCME nota de ghidare I) 2013 Cost Total Indicatori Cuantificare Indicatori Cuantificare (Euro) Cheltuială Publică (Euro) Număr de ferme care Număr total de ferme de semi- intră pe piaţă subzistenţă sprijinite conform (Măsura 141) Mai €64,956 CCME împărţit pe parcursul 8 6 mult de 80% din implementării după dimensiunea beneficiarii măsurii fermei (în ha) 141 Indicator adiţional Număr de ferme de semi- 2 subzistenţă sprijinite din zone defavorizate 20% din beneficiari Indicator adiţional Număr de ferme de semi- subzistenţă sprijinite împărţite în funcţie de: Statut juridic - Persoane fizice, estimare 80% 6 din beneficiari: - Persoana juridice, estimare 20% 2 din beneficiari: Gen 8 - bărbaţi, estimare 90% din 7 beneficiari: - femei, estimare 10% din 1 beneficiari: Structura pe vârste <40, estimare 15% din beneficiari: 1 >= 40, estimare 85% din 7 beneficiari
  • 237.
    Alocare financiară Realizare Rezultat măsuri 2007- (CCME nota de ghidare H) (CCME nota de ghidare I) 2013 Cost Total Indicatori Cuantificare Indicatori Cuantificare (Euro) Cheltuială Publică (Euro) Indicator adiţional Număr de ferme de semi-subzistenţă indicator adiţional sprijinite care vor Număr de ferme de semi- introduce noi subzistenţă sprijinite care aplică 1 3 produse pentru agro-mediu 10% din (Măsura 141) beneficiari Mai mult de 40% din beneficiarii măsurii 141
  • 238.
    Axa I Creştereacompetitivităţii sectoarelor agricol şi forestier II.2.9.1.10 Măsura: 142 Înfiinţarea grupurilor de producători Obiectivul Creşterea competitivităţii sectoarelor agricol şi forestier Facilitarea tranziţiei în NSM Încurajarea sectorului primar prin formarea grupurilor de producători Raportul cu strategia de dezvoltare * SWOT - ACTIVITĂŢI ECONOMICE; industrie – IMM – micro-întreprinderi; PUNCTE SLABE: Nu există reţele de desfacere a produselor agro-alimentare şi nici lanţuri de procesare * SWOT – TERITORIU; patrimoniu arhitectural şi cultural; PUNCTE SLABE: Accesul redus pe piaţă al produselor meşteşugăreşti Tip de acţiuni: Imateriale Descriere beneficiari Grupuri de producători recunoscute oficial începând cu 1 ianuarie 2007 până la 31 decembrie 2013, conform prevederilor legislaţiei în vigoare. Se exclud de la finanţare grupurile de producători, recunoscute preliminar, cele care au primit sprijin prin Programul SAPARD sau de la bugetul naţional, precum şi organizaţiile de producători din sectorul legume- fructe care beneficiază de sprijin prin Regulamentul CE 2200/1996, precum şi organizaţiile de producători de hamei. Evaluarea numărului beneficiarilor: 3 Descriere acţiuni Domeniul de acţiune al măsurii îl constituie încurajarea înfiinţării şi funcţionarii administrative a grupurilor de producători, recunoscute în conformitate cu prevederile legislaţiei naţionale în vigoare, ceea ce va conduce la: a) Adaptarea producţiei la cerinţele şi exigenţele pieţei; b) Asigurarea comercializării în comun a produselor, inclusiv pregătire a pentru vânzare, centralizarea vânzărilor şi distribuţia produselor cu ridicata; c) Creşterea valorii adăugate a producţiei obţinute în comun şi o mai bună gestionare economică a resurselor şi rezultatelor obţinute; d) Stabilirea unor reguli comune în ceea ce priveşte informaţiile asupra producţiei, în special cu privire la cantitate, calitate şi tipul ofertei, acordându-se o atenţie deosebită produselor obţinute în cantităţi corespunzătoare pentru industria prelucrătoare şi pentru reţeaua de comercializare. Activităţi eligibile În cadrul acestei m_suri se acord_ sprijin public nerambursabil de 100%, conform anexei Regulamentului (CE) nr. 1698/2005. Suma acordată prin această m_sură se calculează anual în funcţie de valoarea producţiei anuale comercializate de către grupul de producători recunoscut. Schema de sprijin pentru grupurile de producători este următoarea: Rate anuale acordate în primii 5 ani de la data recunoaşterii grupului de producători;
  • 239.
    Sprijinul va ficalculat pe baza producţiei comercializate anual de către grupul de producători, astfel: a) 5%, 5%, 4%, 3% şi 2% din valoarea producţiei comercializate de până la 1.000.000 Euro pentru primul, al doilea, al treilea, al patrulea şi respectiv al cincilea an; b) 2,5%, 2,5%, 2,0%, 1,5% şi 1,5% pentru valoarea producţiei comercializate care depăşeşte 1.000.000 Euro pentru primul, al doilea, al treilea, al patrulea şi respectiv al cincilea an. Sprijinul nu va putea depăşi următoarele plafoane: 100,000€ Anul I 100,000€ Anul II 80,000€ Anul III 60,000€ Anul IV 50,000€ Anul V Plata primei rate va fi făcută la un an, după data la care grupul de producători este recunoscut. Plata se va face în urma verificării respectării condiţiilor iniţiale de recunoaştere a grupului de producători, pe baza facturilor pentru producţia vândută înregistrată şi calculată după un an de la recunoaşterea grupului. Avans: 20.00% Finanţare: Ajutorul public (FEADR + contribuţie publică naţională)%: 100.00% Codul măsurii: 142 Măsura: Înfiinţarea grupurilor de producători ECB 29 Apr. 2010 1 EUR = 4.137 RON Nr de Cost Estimarea Contribuţia Contribuţia Contribuţia Contribuţia proiecte total costului total FEADR – publică privată publică (FEADR prevăzute mediu pe măsură măsură naţională + Naţiona) RON 3 €34,008 €102,026 €81,620 €20,406 €0 422,082 Contribuţia Contribuţia Contribuţia FEADR – publică privată% măsură% naţională% 80.00% 20.00% 0.00%
  • 240.
    Alocare financiară Realizare Rezultat măsuri 2007- (CCME nota de ghidare H) (CCME nota de ghidare I) 2013 Măsuri Cost Total Indicatori Cuantificare Indicatori Cuantificare (Euro) Cheltuială Publică (Euro) Număr total de grupuri de Număr suplimentar de ferme care producători sprijinite intră pe piaţă (Măsura 142) 40% din 142 - Înfiinţarea conform CCME împărţit numărul fermelor de semisubzistenţă grupurilor de €102,026 pe parcursul 3 2 producători sprijinită prin măsura 141 vor intra în implementării după tipul grupuri de producători şi vor deveni grupului de producător şi comerciale tipul sectorului agricol din care pentru produse 0 ecologice 10%: ● Sectorul vegetal 20% din total 1 din care: - culturi de câmp 70%: 1 - horticultura 5%: 0 - viticultură 25%: 0 ● Sectorul de creştere a animalelor 60% din total 2 din care: - creşterea animalelor 1 pentru lapte 50%: - creşterea animalelor 1 (excluzând laptele) 25%: - granivore (porci şi 1 păsări) 25%:
  • 241.
    Alocare financiară Realizare Rezultat măsuri 2007- (CCME nota de ghidare H) (CCME nota de ghidare I) 2013 Măsuri Cost Total Indicatori Cuantificare Indicatori Cuantificare (Euro) Cheltuială Publică (Euro) ● Mixt 20% din total: 1
  • 242.
    Axa I Creştereacompetitivităţii sectoarelor agricol şi forestier Măsura: 143 Furnizarea de servicii de consiliere şi consultanţă pentru agricultori Obiectivul Creşterea competitivităţii sectoarelor agricol şi forestier Facilitarea tranziţiei în NSM Îmbunătăţirea managementului sustenabil al proprietăţilor Raportul cu strategia de dezvoltare * SWOT - ACTIVITĂŢI ECONOMICE; industrie – IMM – micro-întreprinderi; PUNCTE SLABE: Nivel scăzut de conformitate a produselor cu normele UE Tip de acţiuni: Imateriale Descriere beneficiari Beneficiarii direcţi ai acestui sprijin sunt furnizorii de consiliere şi consultanţă respectiv entităţi publice sau private, care îndeplinesc criteriile de calificare şi de selecţie. Beneficiarii finali ai acestui sprijin sunt fermierii care deţin ferme de semi-subzistenţă. Nu sunt eligibile pentru a primi sprijin prin această măsură fermele de subzistenţă şi exploataţiile/gospodăriile silvice care nu dezvoltă şi activităţi agricole. Evaluarea numărului beneficiarilor: 4 Descriere acţiuni Scopul măsurii este de a sprijini agricultorii să utilizeze serviciile de consiliere şi consultanţă în vederea restructurării şi îmbunătăţirii performanţelor generale ale activităţii acestora. Consilierea va contribui la diseminarea şi înţelegerea practică a aplicării şi respectării bunelor practici agricole şi de mediu, asigurând condiţiile de protejare a mediului înconjurător şi utilizarea unor practici agricole prietenoase cu mediul. De asemenea, consilierea va contribui şi la elaborarea planurilor de afaceri necesare pentru accesarea fondurilor în vederea stabilirii tinerilor fermieri în mediul rural şi pentru fermele de semi - subzistenţă. Consultanţa va contribui la buna informare a agricultorilor pentru modernizarea fermelor, reorientarea calitativă a producţiei, diversificarea fermelor, aplicarea practicilor de producţie compatibile cu conservarea şi promovarea peisajului, pentru protejarea mediului, respectarea standardelor de igienă şi bunăstare animală şi pentru dobândirea aptitudinilor manageriale necesare administrării unei exploataţii viabile din punct de vedere economic. Consultanţa vizează şi aplicarea standardelor privind siguranţa ocupaţională la locul de muncă bazate pe legislaţia comunitară. Se va urmări difuzarea de cunoştinţe în materie de gestiune şi administrare a terenurilor şi a exploataţiilor agricole, de aplicare a bunelor practici agricole şi de mediu conform Cap. 1 articolele 4 si 5 şi anexele III si IV din Regulamentul (CE) nr. 1782/2003. Activităţi eligibile
  • 243.
    Pentru Fermieri caredeţin ferme de semi-subzistenţă. În cursul acestei perioade sprijinul se acordă exclusiv pentru furnizarea de servicii de consiliere şi consultanţă agricultorilor care beneficiază de sprijin pentru exploataţiile de semi-subzistenţă prevăzute la art. 20 litera (d) punctul (i) al Regulamentului (CE) nr. 1698/2005. (Conform Deciziei 664/CE din 19 iunie 2006 privind adaptarea anexei VIII la Tratatul de aderare a României şi Bulgariei). Furnizarea serviciilor de consiliere şi consultanţă se va realiza individual pentru fiecare fermier, pe baza acceptului acestuia fără discriminare pe criterii de vârstă, sex, rasă, origine etnică, apartenenţă politică sau religioasă etc. Constituie avantaj dacă aplicanţii a) au vârsta sub 40 de ani b) sunt membri ai unor grupuri de producători sau altor forme asociative recunoscute conform legislaţiei în vigoare; Pentru măsurile 112 Instalarea tinerilor fermieri, 221 Prima împădurire a terenurilor agricole şi 214 Plăţi de agro-mediu selecţia se va realiza prin aplicarea principiului primul venit - primul servit; Pentru măsura 141 Sprijinirea fermelor agricole de semisubzistenţă se va aplica un sistem de selecţie bazat pe sistemul de scoraj pentru această măsură. Acest sistem de selecţie va fi stabilit de GAL în consultare cu Autoritatea de Management. Avans: 20.00% Finanţare: Ajutorul public (FEADR + contribuţie publică naţională)%: 100.00% Codul măsurii: 142 Măsura: Înfiinţarea grupurilor de producători ECB 29 Apr. 2010 1 EUR = 4.137 RON Nr de Cost Estimarea Contribuţia Contribuţia Contribuţia Contribuţia proiecte total costului total FEADR – publică privată publică (FEADR prevăzute mediu pe măsură măsură naţională + Naţiona) RON 3 €34,008 €102,026 €81,620 €20,406 €0 422,082 Contribuţia Contribuţia Contribuţia FEADR – publică privată% măsură% naţională% 80.00% 20.00% 0.00%
  • 244.
    Alocare financiară Realizare măsuri 2007-2013 (CCME nota de ghidare H) Măsuri Cost Total (Euro) Indicatori Cuantificare Cheltuială Publică (Euro) Număr de fermieri consiliaţi pentru 2010- 2012 • din care femei: 1 • Număr de fermieri consiliaţi pentru Măsura 141 „Sprijinirea fermelor agricole 1 de semi-subzistenţă”: 143 - Furnizarea de servicii de • Număr de fermieri consiliaţi pentru Măsura 112 „Instalarea tinerilor fermieri”: 0 consiliere şi consultanţă pentru €20,952 4 agricultori pentru perioada 2010-2012 • Număr de fermieri consiliaţi pentru Măsura 214 „Plăţi de agro – mediu”: 1 • Număr de fermieri (persoane fizice) consiliaţi pentru Măsura 221 „Prima 0 împădurire a terenurilor agricole”: • Număr de fermieri beneficiari ai acţiunilor de consultanţă prevăzute la 2 punctele B) şi C):
  • 245.
    II.2.9.2 Axa IIÎmbunătăţirea mediului şi a spaţiului rural II.2.9.2.1 Măsura: 211 Sprijin pentru Zona Montană Defavorizată Obiectivul Îmbunătăţirea mediului şi a spaţiului rural Utilizarea sustenabilă a terenurilor agricole Încurajarea utilizării continue a terenurilor agricole în ZMD Raportul cu strategia de dezvoltare * SWOT - ACTIVITĂŢI ECONOMICE; industrie – IMM – micro-întreprinderi; PUNCTE SLABE: Economia rurală este slab diversificată şi încă dependentă de activităţile agricole, ceea ce are drept consecinţă venituri reduse pentru întreprinzătorii din mediul rural * SWOT - ACTIVITĂŢI ECONOMICE; comerţ şi sectorul de servicii - turism; PUNCTE SLABE: Dependenţa faţă de agricultura de subzistenţă Tip de acţiuni: Imateriale Descriere beneficiari Beneficiarii acestei măsuri sunt fermierii care desfăşoară activităţi agricole pe terenurile agricole situate în Zona Montană Defavorizată. Beneficiarii trebuie să se angajeze că vor continua activităţile agricole timp de 5 ani de la data efectuării primei plăţi aferente acestei măsuri şi că vor respecta Bunele Condiţii Agricole şi de Mediu pe toată suprafaţa agricolă a fermei şi pe toată durata angajamentului. Evaluarea numărului beneficiarilor: 20 Descriere acţiuni Măsura 211 este un instrument prin care se sprijină financiar utilizarea terenurilor agricole situate în zone unde producţia agricolă este mai redusă cantitativ şi/sau calitativ din cauza unor condiţii naturale induse de altitudine şi pantă. Sprijinul financiar acordat fermelor din Zona Montană Defavorizată (ZMD) compensează diferenţele de venituri şi costuri faţă de condiţiile naturale prezente în alte zone, care nu sunt defavorizate. Zona Montană Defavorizată are producţia agricolă afectată de condiţiile climatice şi de relief din cauza caracteristicilor de altitudine şi de pantă (Art. 18 al Regulamentului (CE) 1257/1999) şi este constituită din suma suprafeţelor unităţilor administrativ-teritoriale (UAT) desemnate conform criteriilor de mai jos: a) Unităţile administrativ-teritoriale situate la altitudini medii mai mari sau egale cu 600 m, limitele acestora fiind acelea ale blocurilor fizice (identificate în Sistemul Integrat de Administrare şi Control) care aparţin de aceste UAT; b) Unităţile administrativ-teritoriale situate la altitudini medii între 400 - 600 m şi care au o pantă medie egală sau mai mare de 15%, limitele acestora fiind acelea ale blocurilor fizice (identificate în Sistemul Integrat de Administrare şi Control) care aparţin de aceste UAT.
  • 246.
    Activităţi eligibile Sprijinul financiareste oferit sub forma unei plăţi anuale fixe pe hectar de teren agricol utilizat situat în cadrul zonei montane defavorizate. Aceste plăţi nu pot depăşi sumele maxime stipulate în Anexa Regulamentului Consiliului (CE) Nr. 1257/1999. Dacă bugetul anual va fi depăşit, toate plăţile vor fi reduse cu aceeaşi proporţie pentru a se putea încadra în buget, dar nu vor fi mai mici decât valorile minime stabilite în Anexa Regulamentului (CE) 1698/2005. Valoarea sprijinului anual este de 50 Euro. În cazul fermelor cu suprafeţe agricole mai mari de 50 ha, valoarea plăţii scade pentru acele suprafeţe agricole care depăşesc această valoare Suprafaţa (ha) - Valoarea plăţii (EURO/ha) 1.00 - 50 100% din valoarea plăţii pentru fiecare hectar 50.00 - 100 75 % din plată 100.01 - 300 50 % din plată Peste 300 35 % din plată. Avans: 20.00% Finanţare: Ajutorul public (FEADR + contribuţie publică naţională)%: 100.00% Codul măsurii: 211 Măsura: Sprijin pentru Zona Montană Defavorizată ECB 29 Apr. 2010 1 EUR = 4.137 RON Nr de Cost Estimarea Contribuţia Contribuţia Contribuţia Contribuţia proiecte total costului total FEADR – publică privată publică (FEADR prevăzute mediu pe măsură măsură naţională + Naţiona) RON 20 €13,836 €276,739 €226,925 €49,814 €0 1,144,869 Contribuţia Contribuţia Contribuţia FEADR – publică privată% măsură% naţională% 82.00% 18.00% 0.00%
  • 247.
    Alocare financiară Realizare Rezultat măsuri 2007- (CCME nota de ghidare H) (CCME nota de ghidare I) 2013 Măsuri Cost Total Indicatori Cuantificare Indicatori Cuantificare (Euro) Cheltuială Publică (Euro) Numărul exploataţiilor Suprafaţa ce beneficiază de o gospodărire de succes €276,739 din zona montană care 20 a terenului agricol, contribuind la: (unele suprafeţe primesc sprijin contribuie la mai multe obiective) (a) biodiversitate şi înalta valoare 211 – Sprijin pentru naturală a terenului agricol zona Montană defavorizată Suprafaţa totală €276,739 angajată prin măsură 120 măsura 211 (ha) 120 221 (ha) măsura 212 (ha) 0 măsura 214 (pachetul 1 şi 101 3) (ha)
  • 248.
    Axa II Îmbunătăţireamediului şi a spaţiului rural II.2.9.2.2 Măsura: 212 Sprijin pentru zone defavorizate – altele decât zona montană Obiectivul Îmbunătăţirea mediului şi a spaţiului rural Utilizarea sustenabilă a terenurilor agricole Încurajarea utilizării continue a terenurilor agricole în alte zone defavorizate decât ZMD Raportul cu strategia de dezvoltare Tip de acţiuni: Imateriale Descriere beneficiari Evaluarea numărului beneficiarilor: Descriere acţiuni Măsura 212 este un instrument prin care se acordă sprijin financiar pentru utilizatorii terenurilor agricole situate în zone unde producţia agricolă este mai redusă cantitativ şi/sau calitativ datorită unor condiţii naturale şi unde este importantă menţinerea echilibrului de mediu stabilit între practicile agricole şi condiţiile naturale. Sprijinul financiar acordat compensează diferenţele faţă de condiţiile naturale prezente în alte zone, care nu sunt defavorizate. Acest sprijin reprezintă în acelaşi timp o acţiune menită să contracareze procesul de depopulare şi să menţină potenţialul turistic al acestor zone. Zonele defavorizate - altele decât zona montană sunt determinate conform criteriilor prezente în Anexa 4 şi sunt clasificate în două categorii: A. Zona Semnificativ Defavorizată - ZSD (Art.19 al Regulamentului (CE) nr. 1257/1999) - cuprinde acele unităţi-administrativ teritoriale care se suprapun în totalitate sau parţial cu Rezervaţia Biosferei "Delta Dunării", unde productivitatea agricolă este limitată datorită calităţii reduse a solului, climatului nefavorabil, condiţiilor de relief şi de umiditate a solului şi ca urmare nota de bonitare are o valoare medie ponderată de 16 puncte. De asemenea, această zonă prezintă valori mici de densitate a populaţiei şi un grad mare de dependenţă a populaţiei faţă de activităţile agricole (detalii - Anexa 4A). B. Zonele Defavorizate de Condiţii Naturale Specifice - ZDS (Art. 20 al Regulamentului (CE) nr. 1257/1999) - cuprind acele areale continue unde nota de bonitare nu depăşeşte valoarea de 28 de puncte şi care prezintă caracteristici naturale particulare. Aceste areale trebuie să fie formate din cel puţin 3 unităţi administrativ- teritoriale şi nici o UAT nu trebuie să aibă o notă de bonitare a terenurilor agricole mai mare de valoarea 30 (detalii - Anexa 4A). Activităţi eligibile Avans: Finanţare: Ajutorul public (FEADR + contribuţie publică naţională)%:
  • 249.
    Nr de Cost Estimarea Contribuţia Contribuţia Contribuţia proiecte total costului total FEADR – publică privată prevăzute mediu pe măsură măsură naţională Contribuţia Contribuţia Contribuţia FEADR – publică privată% măsură% naţională%
  • 250.
    Axa II Îmbunătăţireamediului şi a spaţiului rural II.2.9.2.3 Măsura: 213 Plăţi Natura 2000 pe teren agricol Obiectivul Îmbunătăţirea mediului şi a spaţiului rural Utilizarea sustenabilă a terenurilor agricole Ajutor pentru fermieri în ameliorarea dezavantajelor specifice rezultate din implementarea N2000 şi a Directivei Cadru Apă (Water Framework Directive) Raportul cu strategia de dezvoltare * SWOT – TERITORIU; patrimoniu de mediu; PUNCTE SLABE: Capacitate limitată a noilor proprietari privaţi de pădure de a-şi gestiona pădurile într-un mod durabil Tip de acţiuni: Imateriale Descriere beneficiari Fermieri subiecţi ai limitării în folosirea agricolă a unor terenuri ca urmarea a aplicării regulilor Natura 2000, cf. Directivei 79/409/EEC din 2 Aprilie 1979 şi Directivei 92/43/EEC din 21 Mai 1992 referitoare la păsări sălbatice şi habitate naturale. De asemeni arii incluse în bazinele râurilor în conformitate cu Directiva 2000/60/EC referitoare la cadrul aplicabil politicilor pentru ape. Evaluarea numărului beneficiarilor: 4 Descriere acţiuni Este necesară susţinerea fermierilor pentru compensarea costurilor suplimentare şi pierderilor la venituri rezultate din dezavantajele specifice regulilor N2000 şi a Directivei Cadru pentru Ape (Water Framework Directive.) Activităţi eligibile După desemnarea planurilor de management specifice siturilor Natura 2000, respectiv stabilirea regulilor detaliate de implementare ale Directivei Cadru Apă, acele cerinţe voluntare de agro-mediu care devin astfel obligatorii în unele zone, vor fi compensate sub codul 213 Plăţi Natura 2000 şi plăţi legate de implementarea Directivei 2000/60 în acele zone. Ajustările necesare sunt permise. Avans: 20.00% Finanţare: Ajutorul public (FEADR + contribuţie publică naţională)%: 100.00% Codul măsurii: 213 Măsura: Plăţi Natura 2000 pe teren agricol ECB 29 Apr. 2010 1 EUR = 4.137 RON Nr de Cost Estimarea Contribuţia Contribuţia Contribuţia Contribuţia proiecte total costului total FEADR – publică privată publică (FEADR prevăzute mediu pe măsură măsură naţională + Naţiona) RON 4 €6,289 €25,158 €20,629 €4,529 €0 104,079 Contribuţia Contribuţia Contribuţia FEADR – publică privată% măsură% naţională% 82.00% 18.00% 0.00%
  • 251.
    Număr de proprietăţisprijinte din arii N2000 sub Directiva Cadru Apă: 2 Terenuri agricole sprijinte din arii N2000 sub Directiva Cadru Apă: 2 Total: 4 Cheltuială Publică (Euro) €25,158
  • 252.
    Axa II Îmbunătăţireamediului şi a spaţiului rural II.2.9.2.4 Măsura: 214 Plăţi de Agro-mediu Obiectivul Îmbunătăţirea mediului şi a spaţiului rural Utilizarea sustenabilă a terenurilor agricole Răspuns la cererea crescândă pentru servicii de mediu Pachetul 1: Pajişti cu Înaltă Valoare Naturală Pachetul 2: Practici agricole tradiţionale Pachetul Pilot 3: Pajişti Importante Pentru Păsări Raportul cu strategia de dezvoltare * SWOT – TERITORIU; patrimoniu de mediu; PUNCTE SLABE: Capacitate limitată a noilor proprietari privaţi de pădure de a-şi gestiona pădurile într-un mod durabil Tip de acţiuni: Imateriale Descriere beneficiari Fermieri Plăţile de agro-mediu pot fi acordate ca parte a măsurilor dacă beneficiarul: 1) este utilizatorul unei suprafeţe agricole localizată pe teritoriul României, identificabilă în Sistemul Integrat de Administrare şi Control, cu o suprafaţă minimă de 1 ha iar parcelele eligibile au dimensiunea minimă de 0,3 ha; 2) se angajează să menţină angajamentul de agro-mediu pentru o perioada de 5 ani, de la data semnării acestuia; 3) se angajează să respecte cerinţele minime relevante pe suprafaţa întregii ferme; 4) se angajează să respecte cerinţele specifice pachetelor de agro-mediu pentru care aplică; 5) se angajează să şină o evidenţă a activităţilor agricole corelate cu implementarea cerinţelor de agro-mediu; 6) declară pe propria răspundere că nu a utilizat fertilizanţi chimici şi /sau pesticide în ultimii 5 ani pe suprafeţele pe care intenţionează să aplice pachetul 1 "Pajişti cu înaltă valoare naturală". În situaţia în care fermierul utilizează acele suprafeţe de mai puţin de 5 ani, declaraţia va avea aplicabilitate doar pentru perioada anterioară în care fermierul a utilizat efectiv acele suprafeţe. Acest criteriu de eligibilitate este aplicabil doar în cazul pachetului 1. Evaluarea numărului beneficiarilor: 10 Descriere acţiuni Plăţile de agro-mediu vor fi acordate fermierilor care îşi asumă, în mod voluntar, angajamente de agro-mediu pentru o perioadă de 5 ani de la data semnării angajamentului. Plăţile de agro-mediu cuprind doar acele angajamente care depăşesc cerinţele minime evidenţiate mai jos, care prezintă nivelul de referinţă neremunerat, considerat drept punct de pornire pentru elaborarea plăţilor compensatorii de agro-mediu.
  • 253.
    Activităţi eligibile Plata deagro-mediu este plătită ca plată fixă la hectar şi reprezintă o compensaţie pentru pierderile de venit şi costurile adiţionale suportate de fermieri. Plata se va face în întregime către fermier. Plata se efectuează anual. Pachetul 1: Pajişti cu Înaltă Valoare Naturală Teren agricol ce prezintă o proporţie ridicată de vegetaţie seminaturală (în particular pajişti semi-naturale în general asociate cu prezenţa unui nivel ridicat de biodiversitate). Plată compensatorie la hectar = 124 Euro. Pachetul 2 Practici agricole tradiţionale Poate fi aplicat doar în combina_ie cu pachetul 1, însemnând că acest pachet poate fi aplicat doar de fermierii care au aplicat şi pentru pachetul 1. Plată compensatorie la hectar = 58 Euro. Pachetul Pilot 3 Paji_ti Importante Pentru P_s_ri Acest pachet va fi implementat ca pachet pilot într-un num_r de Arii Importante pentru Păsări. Plată compensatorie la hectar Varianta 3.1 - Crex Crex: 209 euro. Plată compensatorie la hectar Varianta 3.2 - Lanius minor, Falco vespertinus: 101 euro pe hectar. Pachetul 4 Culturi verzi Plată compensatorie pentru suprafaţa acoperită de culturile verzi care depăşeşte suprafaţa protejată prin GAEC (suprafaţa protejată prin GAEC este de 20%) = 130 Euro pe hectar. Combinarea pachetelor de agro-mediu Doar pachetul 1 şi pachetul 2 se pot aplica în combinaţie pe aceeaşi suprafaţă de teren. În această situaţie şi plăţile aferente acestor pachete se cumulează, neexistând cerinţe care ar putea fi plătite de două ori Avans: 20.00% Finanţare: Ajutorul public (FEADR + contribuţie publică naţională)%: 100.00% Codul măsurii: 214 Măsura: Plăţi de Agro-mediu ECB 29 Apr. 2010 1 EUR = 4.137 RON Nr de Cost Estimarea Contribuţia Contribuţia Contribuţia Contribuţia proiecte total costului total FEADR – publică privată publică (FEADR prevăzute mediu pe măsură măsură naţională + Naţiona) RON 10 €22,525 €225,252 €184,706 €40,546 €0 931,868 Contribuţia Contribuţia Contribuţia FEADR – publică privată% măsură% naţională% 82.00% 18.00% 0.00%
  • 254.
    Alocare financiară Realizare Rezultat măsuri 2007- (CCME nota de ghidare H) (CCME nota de ghidare I) 2013 Măsuri Cost Total Indicatori Cuantificare Indicatori Cuantificare (Euro) Cheltuială Publică (Euro) Numărul total al exploataţiilor agricole sau al exploataţiilor altor administratori de teren (c) atenuarea 214 - Plaţi care primesc sprijin; schimbărilor de agro- €225,252 conform CCME împărţit pe parcursul 10 23 mediu climatice măsura 214 implementării după tipul beneficiarilor (pachetul 2) ha (fermieri/alt tip de manageri de teren), vârsta angajamentului Suprafaţa totala sprijinită conform CCME împărţit pe parcursul implementării după tipul beneficiarilor (fermieri/alt tip de 167 (d) calitatea solului 50 manageri de teren),vârsta angajamentului şi tipul angajamentului măsura 211 (30% din terenul arabil 7 sprijinit) ha măsura 212 (20% din terenul 0 arabil sprijinit din LFA semnificativ + 0 _30% din terenul arabil sprijinit din 0 LFA specific) = 346.260 ha măsura 214 (pachetul 43 4) ha
  • 255.
    Alocare financiară Realizare Rezultat măsuri 2007- (CCME nota de ghidare H) (CCME nota de ghidare I) 2013 Măsuri Cost Total Indicatori Cuantificare Indicatori Cuantificare (Euro) Cheltuială Publică (Euro) Suprafaţa fizică totală sprijinită; 144 Număr total de contracte (e) evitarea marginalizării conform CCME împărţit pe parcursul şi a abandonului terenului implementării după tipul beneficiarilor 11 agricol (fermieri/alt tip de manageri de teren), vârsta €225,252 angajamentului şi tipul angajamentului 221 măsura 211 (ha) 120 măsura 212 (ha) 0 Numărul de acţiuni privind resursele 0 măsura 214 (pachetul 101 genetice; 1 şi 3) (ha)
  • 256.
    Axa II Îmbunătăţireamediului şi a spaţiului rural II.2.9.2.5 Măsura: 221 Prima împădurire a terenurilor agricole Obiectivul Îmbunătăţirea mediului şi a spaţiului rural Utilizarea sustenabilă a terenurilor forestiere Extinderea resurselor forestiere pe terenurile agricole Raportul cu strategia de dezvoltare * SWOT – TERITORIU; patrimoniu de mediu; PUNCTE SLABE: Activitate scăzută la nivelul pepinierelor silvice private Tip de acţiuni: Imateriale Descriere beneficiari Beneficiarii sprijinului prin această măsură sunt deţinători legali de teren agricol. Aceştia nu trebuie să facă obiectul altor forme de sprijin prin FEGA sau FEADR pentru aceeaşi suprafaţă de teren şi perioadă, inclusiv prin Măsura 113 " Pensionarea timpurie a fermierilor şi muncitorilor agricoli", cu excepţia persoanelor fizice care realizează proiectele de împădurire prin măsura 143. Următoarele categorii de beneficiari sunt eligibili pentru sprijin prin această măsură: a) Deţinătorii privaţi de teren agricol, pentru înfiinţarea plantaţiei forestiere şi executarea lucrărilor de întreţinere pe o perioadă de 5 ani, precum şi o primă compensatorie pentru pierderea de venit prin împădurire, stabilită pe an şi pe ha, pentru o perioadă de 15 ani; b) Autorităţi publice locale deţinătoare de teren agricol, numai pentru înfiinţarea plantaţiei. Dacă terenul agricol destinat împădurii este concesionat de o persoană fizică sau juridică, primele pentru întreţinerea plantaţiei şi cele compensatorii, prevăzute la alineatul precedent, pot fi de asemenea acordate. Evaluarea numărului beneficiarilor: 2 Descriere acţiuni Scopul acestei măsuri este de a creşte suprafaţa pădurilor la nivel naţional prin împădurirea de terenuri agricole. Această măsură are un caracter compensatoriu. Sprijinul prin această măsură se referă la: a) Primă de înfiinţare a plantaţiilor forestiere (costuri standard), conform proiectului tehnic; b) O primă anuală pentru lucrările de completări şi întreţinere a plantaţiei pe o perioadă de 5 ani; c) O primă anuală fixă (standard) ca şi primă pentru pierderea de venit ca urmare a împăduririi, pe an şi pe ha, pentru o perioadă de 15 ani.
  • 257.
    Activităţi eligibile Măsura seaplică pe suprafeţe de teren agricol mai mari de 0,5 ha pe care se înfiinţează o plantaţie forestieră se execută lucrările tehnice de întreţinere, iar pădurea se păstrează până ce atinge vârsta de exploatare. Pentru persoanele juridice, cheltuielile pentru proiectele tehnice se suportă din sprijinul acordat prin măsură şi nu pot depăşi 10% din valoarea eligibilă a proiectului. Costurile eligibile pentru realizarea proiectului tehnic nu trebuie să depăşească 70 euro/ha pentru suprafeţe de până la 50 ha, 50 euro pentru suprafeţe între 51 şi 150 ha, 30 euro pentru suprafeţe mai mari de 151 ha. a) Costuri de înfiinţare a plantaţiei, incluzând costurile pentru materialul de plantare, plantarea în sine şi alte costuri legate direct şi necesare pentru operaţiunea de plantare (prim_ de înfiinţare); b) Costurile aferente perioadei de dup_ plantare pentru întreţinerea plantaţiilor (prim_ anuală pe ha pentru 5 ani, începând cu anul de plantare); c) Compensarea pierderii de venit agricol ca urmare a împăduririi (prim_ anuală pe ha pentru 15 ani, începând cu anul înfiinţării plantaţiei). Beneficiarii persoane fizice vor putea accesa în vederea realizării proiectului de împădurire măsura 143. Avans: 20.00% Finanţare: Ajutorul public (FEADR + contribuţie publică naţională)%: 70.00% Codul măsurii: 221 Măsura: Prima împădurire a terenurilor agricole ECB 29 Apr. 2010 1 EUR = 4.137 RON Nr de Cost Estimarea Contribuţia Contribuţia Contribuţia Contribuţia proiecte total costului total FEADR – publică privată publică (FEADR prevăzute mediu pe măsură măsură naţională + Naţiona) RON 2 €23,820 €47,641 €27,346 €6,003 €14,292 137,965 Contribuţia Contribuţia Contribuţia FEADR – publică privată% măsură% naţională% 57.40% 12.60% 30.00%
  • 258.
    Alocare financiară Realizare Rezultat măsuri 2007- (CCME nota de ghidare H) (CCME nota de ghidare I) 2013 Măsuri Cost Total Indicatori Cuantificare Indicatori Cuantificare (Euro) Cheltuială Publică (Euro) Numărul total de beneficiari care primesc sprijin pentru împădurire conform CCME Suprafaţa ce beneficiază de o €17,835 împărţit pe parcursul implementării după 2 gospodărire de succes a terenului tipul de proprietar, vârsta angajamentului forestier, contribuind la: (existent/nou) şi obiectivul de mediu * (a) biodiversitate şi înalta valoare 8 naturală a terenului 221 - Prima forestier împădurire a (b) calitatea apei 8 terenurilor Suprafaţa totală de teren împădurită agricole conform CCME împărţit pe parcursul (c) atenuarea implementării după tipul de proprietar, schimbărilor 8 €15,514 8 vârsta angajamentului (existent/nou), climatice structura majoritară pe specii şi obiectivul de mediu * (d) calitatea solului 8 (e) evitarea marginalizării şi a 8 abandonului terenului
  • 259.
    Axa II Îmbunătăţireamediului şi a spaţiului rural II.2.9.2.6 Măsura: 223 Prima împădurire a terenurilor non-agricole Obiectivul Îmbunătăţirea mediului şi a spaţiului rural Utilizarea sustenabilă a terenurilor forestiere Extinderea resurselor forestiere pe terenurile non-agricole Raportul cu strategia de dezvoltare * SWOT – TERITORIU; patrimoniu de mediu; PUNCTE SLABE: Activitate scăzută la nivelul pepinierelor silvice private Tip de acţiuni: Imateriale Descriere beneficiari Deţinători privaţi, municipalităţi sau asociaţii ale acestora, ce plantează păduri pe terenuri non - agricole. Evaluarea numărului beneficiarilor: 2 Descriere acţiuni Plăţile vor acoperi următoarele costuri: a) compensări pentru plantare b) costuri de mentenanţă ale pădurilor (în cazul terenurilor agricole abandonate şi împădurite primă anuală pe ha pentru cel mult 5 ani). Activităţi eligibile Măsura încurajează împădurirea terenurilor agricole slab productive sau terenurile agricole abandonate. Împădurirea va asigura o utilizare multiplă a pădurilor şi în principal protecţie împotriva eroziunii solului şi altor forme de degradare. Măsura specifică mai multe obiective legate de îmbunătăţirea peisajului şi a calităţii mediului înconjurător şi de îmbunătăţire a producţiei şi a absorbţiei de CO2. În rest datele sunt identice cu cele de la măsura 221Prima împădurire a terenurilor agricole Avans: 20.00% Finanţare: Ajutorul public (FEADR + contribuţie publică naţională)%: 70.00% Codul măsurii: 223 Măsura: Prima împădurire a terenurilor non-agricole ECB 29 Apr. 2010 1 EUR = 4.137 RON Nr de Cost Estimarea Contribuţia Contribuţia Contribuţia Contribuţia proiecte total costului total FEADR – publică privată publică (FEADR prevăzute mediu pe măsură măsură naţională + Naţiona) RON 2 €13,790 €27,581 €15,831 €3,476 €8,274 79,873 Contribuţia Contribuţia Contribuţia FEADR – publică privată% măsură% naţională% 57.40% 12.60% 30.00%
  • 260.
    Axa II Îmbunătăţireamediului şi a spaţiului rural II.2.9.2.7 Măsura: 224 Plăţi Natura 2000 pe teren forestier Obiectivul Îmbunătăţirea mediului şi a spaţiului rural Utilizarea sustenabilă a terenurilor forestiere Ajutor pentru fermieri în ameliorarea dezavantajelor specifice rezultate din implementarea N2000 şi a Directivei Cadru Apă (Water Framework Directive) Raportul cu strategia de dezvoltare * SWOT – TERITORIU; patrimoniu de mediu; PUNCTE SLABE: Capacitate limitată a noilor proprietari privaţi de pădure de a-şi gestiona pădurile într-un mod durabil Tip de acţiuni: Imateriale Descriere beneficiari Proprietari privaţi de păduri, asociaţii ale acestora sub incidenţa Directivei 79/409/EEC şi 92/43/EEC. Păduri ce cad sub incidenţa Directivelor anterior amintite. Evaluarea numărului beneficiarilor: 1 Descriere acţiuni Implementarea Directivelor 79/409/EEC şi 92/43/EEC a impus restricţii pentru folosirea pădurilor şi a altor terenuri împădurite. Finanţarea se dă proprietarilor privaţi şi ai asociaţiilor acestora pentru compensarea costurilor suplimentare şi a pierderilor cauzate de scăderea veniturilor. Activităţi eligibile Avans: 20.00% Finanţare: Ajutorul public (FEADR + contribuţie publică naţională)%: 70.00% Codul măsurii: 224 Măsura: Plăţi Natura 2000 pe teren forestier ECB 29 Apr. 2010 1 EUR = 4.137 RON Nr de Cost Estimarea Contribuţia Contribuţia Contribuţia Contribuţia proiecte total costului total FEADR – publică privată publică (FEADR prevăzute mediu pe măsură măsură naţională + Naţiona) RON 1 €7,522 €7,522 €4,318 €948 €2,256 21,785 Contribuţia Contribuţia Contribuţia FEADR – publică privată% măsură% naţională% 57.40% 12.60% 29.99% Numărul proprietarilor de păduri ce au primit finanţare: 1 Suprafaţa (ha) de păduri ce au fost finanţate: 50 Cheltuială Publică (Euro) €5,266
  • 261.
    II.2.9.3 Axa IIICalitatea vieţii în zonele rurale şi diversificarea economiei rurale II.2.9.3.1 Măsura: 312 Sprijin pentru crearea şi dezvoltarea de micro-întreprinderi Obiectivul Calitatea vieţii şi diversificarea economiei rurale Diversificarea economiei rurale Diversificarea activităţii fermiere ale activităţilor non-agricole, dezvoltarea activităţilor non-agricole şi promovarea ocupării forţei de muncă Raportul cu strategia de dezvoltare * SWOT – POPULAŢIA; demografie – populaţia activă – îmbătrânire – nivel de instruire – cunoştinţe şi competenţe specifice teritoriului; PUNCTE SLABE: Incidenţa şomajului pe termen lung este deosebit de ridicată în judeţ – cu mult peste media regională, naţională şi comunitară Tip de acţiuni: Materiale Descriere beneficiari a) Micro-întreprinderile aţa cum sunt definite în Recomandarea Comisiei (CE) nr. 361/2003 şi în legislaţia naţională în vigoare35 (având mai puţin de 10 angajaţi şi o cifră de afaceri anuală netă sau active totale având o valoare de până la 2,0 milioane Euro). b) Persoane fizice (neînregistrate ca agenţi economici) - care se vor angaja ca până la data semnării contractului de finanţare să se autorizeze cu un statut minim de persoană fizică autorizată şi să funcţioneze ca micro-întreprindere. Evaluarea numărului beneficiarilor: 28 Descriere acţiuni i. Investiţii în activităţi non-agricole productive cum ar fi: a) Industria uşoară (articole de pielărie, încălţăminte, lână, blană, tricotaje, produse de uz gospodăresc, produse odorizante etc.); b) În activităţi de procesare industrială a produselor lemnoase - începând de la stadiul de cherestea (ex. mobilă); c) Mecanică fină, asamblare maşini, unelte şi obiecte casnice, producerea de ambalaje etc. ii. Investiţii pentru dezvoltarea activităţilor meşteşugăreşti, de artizanat şi a altor activităţi tradiţionale non- agricole cu specific local (prelucrarea fierului, lânii, olăritul, brodatul, confecţionare instrumente muzicale tradiţionale etc.), precum şi marketingul acestora (mici magazine de desfacere a propriilor produse obţinute din aceste activităţi). iii. Servicii pentru populaţia rurală cum ar fi: a) Servicii de croitorie, frizerie, cizmărie; b) Servicii de conectare şi difuzare internet; c) Servicii de mecanizare, transport (altele decât achiziţia mijloacelor de transport) protecţie fitosanitară, însămânţare artificială a animalelor; d) Servicii reparaţii maşini, unelte şi obiecte casnice. iv. Investiţii în producerea de energie regenerabilă
  • 262.
    e) Achiziţionarea deechipamente de producere a energiei din alte surse regenerabile decât biocombustibilii. Activităţi eligibile a) Investiţii corporale (construcţia, modernizarea, extinderea clădirilor în scop productiv; dotarea aferentă cu echipamente, utilaje etc., inclusiv achiziţionarea în leasing a acestora); b) Investiţii necorporale (software, patente, licenţe etc.), inclusiv achiziţionarea în leasing a acestora. Conform Art. nr. 55 din Regulamentul (CE) nr. 1974/2006, vor fi susţinute costurile generale legate de întocmirea proiectului precum taxe pentru arhitecţi, ingineri şi consultanţă, studii de fezabilitate/memorii justificative, taxe pentru eliberarea certificatelor, avizelor şi autorizaţiilor necesare implementării proiectelor, aţa cum sunt ele menţionate în legislaţia naţională, achiziţia de patente şi licenţe, în limita a 10% din total. Avans: 20.00% Finanţare: Ajutorul public (FEADR + contribuţie publică naţională)%: 70.00% Codul măsurii: 312 Măsura: Sprijin pentru crearea şi dezvoltarea de micro-întreprinderi ECB 29 Apr. 2010 1 EUR = 4.137 RON Nr de Cost Estimarea Contribuţia Contribuţia Contribuţia Contribuţia proiecte total costului total FEADR – publică privată publică (FEADR prevăzute mediu pe măsură măsură naţională + Naţiona) RON 10 €13,703 €137,031 €76,737 €19,185 €41,109 396,829 Contribuţia Contribuţia Contribuţia FEADR – publică privată% măsură% naţională% 56.00% 14.00% 30.00%
  • 263.
    Alocare financiară Realizare Rezultat măsuri 2007- (CCME nota de ghidare H) (CCME nota de ghidare I) 2013 Măsuri Cost Total Indicatori Cuantificare Indicatori Cuantificare (Euro) Cheltuială Publică (Euro) Creşterea valorii adăugate brute 312 - Sprijin pentru nonagricole în crearea şi dezvoltarea €58,138 Număr de micro-întreprinderi sprijinite €15,348 de microîntreprinderi * investiţiile conform CCME împărţit pe parcursul sprijinite (€) implementării după categoria de vârstă, Măsura 312 statutul juridic, tipul micro- 10 întreprinderii (nou înfiinţată sau existentă - dezvoltarea micro- Creşterea valorii €37,784 întreprinderilor) adăugate brute nonagricole în €26,858 investiţiile sprijinite (€) Volumul total al investiţiei = Cost Măsura 313 €58,138 Total Indicator adiţional Număr de micro- Numărul brut de întreprinderi sprijinite împărţit în locuri de muncă 28 funcţie de tipul investiţiei: create Măsura 312 Estimare:_40% din costul total al măsurii va fi dedicat investiţiilor în €38,369 activităţi nonagricole productive Estimare:_20% din costul total al măsurii va fi dedicat investiţiilor pentru €19,184 dezvoltarea activităţilor de meşteşugărit şi artizanat
  • 264.
    Alocare financiară Realizare Rezultat măsuri 2007- (CCME nota de ghidare H) (CCME nota de ghidare I) 2013 Măsuri Cost Total Indicatori Cuantificare Indicatori Cuantificare (Euro) Cheltuială Publică (Euro) Estimare:_40% din costul total al măsurii va fi dedicat investiţiilor în €38,369 servicii pentru populaţia rurală prestate de către micro- întreprinderi
  • 265.
    Axa III Calitateavieţii în zonele rurale şi diversificarea economiei rurale II.2.9.3.2 Măsura: 313 Încurajarea activităţilor turistice Obiectivul Calitatea vieţii şi diversificarea economiei rurale Diversificarea economiei rurale Diversificarea activităţii fermiere ale activităţilor non-agricole, dezvoltarea activităţilor non-agricole şi promovarea ocupării forţei de muncă Raportul cu strategia de dezvoltare * SWOT – TERITORIU; caracteristici geografice – izolare – deservire – infrastructuri; PUNCTE SLABE: Calitatea şi gama serviciilor turistice este scăzută:* nu există o ofertă atractivă pentru minivacanţa de iarnă* există foarte puţine servicii de agrement şi distracţie Tip de acţiuni: Materiale Descriere beneficiari a) Micro-întreprinderi b) Persoane fizice (neînregistrate ca agenţi economici) - care se vor angaja ca până la data semnării contractului de finanţare să se autorizeze cu un statut minim de persoană fizică autorizată şi să funcţioneze ca micro-întreprindere; c) Comunele prin reprezentanţii lor legali conform legislaţiei naţionale în vigoare, precum şi asociaţiile de dezvoltare intercomunitară realizate doar între comune şi înfiinţate conform legislaţiei naţionale în vigoare; d) ONG-uri Evaluarea numărului beneficiarilor: 36000 Descriere acţiuni a) Investiţii în infrastructura de primire turistică; b) Investiţii în activităţi recreaţionale; c) Investiţii în infrastructura la scară mică precum centrele de informare, amenajarea de marcaje turistice, etc.; d) Dezvoltarea şi/sau marketingul serviciilor turistice legate de turismul rural. Activităţi eligibile Intervenţia FEADR vizează: a) Investiţiile realizate de micro-întreprinderi în infrastructura de primire turistică, infrastructura recreaţională din spaţiul rural, cu excepţia investiţiilor din staţiunile balneoclimaterice; b) Centre locale de informare şi promovare turistică din spaţiul rural; c) Investiţii publice în infrastructura turistică la scară mică cu respectarea plafonului stabilit prin măsură. d) Investiţii în infrastructura turistică în spaţiul urban; e) Investiţii în infrastructura turistică în staţiunile balneo - climaterice indiferent de teritoriu - rural sau urban; f) Centrele naţionale de promovare turistică; Avans: 20.00% Finanţare: Ajutorul public (FEADR + contribuţie publică naţională)%: 70.00%
  • 266.
    Codul măsurii: 313 Măsura:Încurajarea activităţilor turistice ECB 29 Apr. 2010 1 EUR = 4.137 RON Nr de Cost Estimarea Contribuţia Contribuţia Contribuţia Contribuţia proiecte total costului total FEADR – publică privată publică (FEADR prevăzute mediu pe măsură măsură naţională + Naţiona) RON 20 €22,357 €447,154 €250,406 €62,602 €134,146 1,294,914 Contribuţia Contribuţia Contribuţia FEADR – publică privată% măsură% naţională% 56.00% 14.00% 30.00%
  • 267.
    Alocare financiară Realizare Rezultat măsuri 2007- (CCME nota de ghidare H) (CCME nota de ghidare I) 2013 Măsuri Cost Total Indicatori Cuantificare Indicatori Cuantificare (Euro) Cheltuială Publică (Euro) 313 - Numărul brut de locuri de Încurajarea €313,008 99 Numărul de noi activităţi turistice muncă create Măsura 313 activităţilor turistice sprijinite, împărţite după tipul de 20 Numărul suplimentar de acţiune: vizite turistice (Măsura 313) 20 (mii) Numărul de noi activităţi turistice Populaţie din zonele sprijinite, privind infrastructura 14 rurale ce beneficiază de 49 recreaţională şi de primire turistică servicii îmbunătăţite Numărul de noi activităţi turistice (Măsura 322) mii sprijinite pentru infrastructura la scară 5 persoane mică Numărul de noi activităţi turistice sprijinite privind 1 dezvoltarea/marketing-ul serviciilor de turism rural Volumul total al investiţiilor = Cost Total €313,008 împărţit în funcţie de acţiune: _82% din costul total al măsurii va fi dedicat infrastructurii recreaţionale şi €256,667 de primire turistică _15% din costul total al măsurii va fi €46,951 dedicat infrastructurii la scară mică
  • 268.
    Alocare financiară Realizare Rezultat măsuri 2007- (CCME nota de ghidare H) (CCME nota de ghidare I) 2013 Măsuri Cost Total Indicatori Cuantificare Indicatori Cuantificare (Euro) Cheltuială Publică (Euro) _3% din costul total al măsurii va fi dedicat dezvoltării/marketing-ului €9,390 serviciilor de turism rural Indicator adiţional Număr de acţiuni turistice în infrastructura recreaţională şi de 14 primire turistică, împărţite după tipul de acţiune: acţiuni de agroturism 5 acţiuni de turism rural 5 activităţi recreaţionale 4
  • 269.
    Axa III Calitateavieţii în zonele rurale şi diversificarea economiei rurale II.2.9.3.3 Măsura: 322 Renovarea, dezvoltarea satelor, îmbunătăţirea serviciilor de bază pentru economia şi populaţia rurală şi punerea în valoare a moştenirii rurale Obiectivul Calitatea vieţii şi diversificarea economiei rurale Îmbunătăţirea calităţii vieţii în zonele rurale Îmbunătăţirea serviciilor de bază şi investiţii pentru creşterea atractivităţii zonelor rurale Raportul cu strategia de dezvoltare * SWOT - ACTIVITĂŢI ECONOMICE; comerţ şi sectorul de servicii - turism; PUNCTE SLABE: Majoritatea bazinelor cu apă minerală, folosite în principal pentru tratamente sunt nefuncţionale Tip de acţiuni: Materiale Descriere beneficiari a) ONG-uri, aşezăminte culturale şi instituţii de cult definite conform legislaţiei naţionale în vigoare b) Persoane fizice şi juridice care deţin în proprietate sau administrează obiective de patrimoniu cultural/natural de interes local şi care aplică pentru componenta "Protejarea patrimoniului cultural de interes local şi natural din spaţiul rural." c) Asociaţiile de dezvoltare intercomunitare realizate între două sau mai multe comune înfiinţate conform legislaţiei naţionale în vigoare; d) Comunele prin reprezentanţii lor legali conform legislaţiei naţionale în vigoare; e) Autorităţile locale (comune) sau asociaţii de dezvoltare intercomunitare prin operatorii regionali pentru investiţiile în infrastructura de apă/apă uzată; Evaluarea numărului beneficiarilor: 36000 Descriere acţiuni Pentru componenta a): a1) Înfiinţarea de drumuri noi, extinderea şi îmbunătăţirea reţelei de drumuri de interes local (drumuri comunale, vicinale şi străzi din interiorul comunei) ce aparţin proprietăţii publice a unităţii administrative (comuna) pe teritoriul căreia se află, axa cum sunt definite şi clasificate în conformitate cu legislaţia naşionalx69 în vigoare; a2) Prima înfiinţare, extinderea şi îmbunătăţirea reţelei publice de apă (captare, staţii de tratare, alimentare) pentru localităţile rurale având sub 10.000 populaţie echivalentă (p.e.); a3) Prima înfiinţare, extinderea şi îmbunătăţirea reţelei publice de apă uzată (canalizare, staţii de epurare) pentru localităţile rurale având sub 10.000 populaţie echivalentă (p.e.); a4) Prima înfiinţare şi extinderea reţelei publice de joasă tensiune şi a reţelei publice de iluminat cu eficienţă energetică ridicată; a5) Prima înfiinţare şi extinderea reţelei publice locale de alimentare cu gaz către alte localităţi rurale sau către zone rurale care nu sunt conectate la reţea; a6) Investiţii în staţii de transfer pentru deşeuri şi dotarea cu echipamente de gestionare a deşeurilor.
  • 270.
    Pentru componenta b): b1)Înfiinţarea, amenajarea spaţiilor publice de recreere pentru populaţia rurală (parcuri, spaţii de joacă pentru copii, terenuri de sport, piste de biciclete); • Renovarea clădirilor publice (ex. primării) şi amenajări de parcări, pieţe, spaţii pentru organizarea de târguri etc.); b2) Investiţii în sisteme de producere şi furnizare de energie din surse regenerabile (în situaţia în care este vorba de clădiri publice); b3) Prima înfiinţare şi dotarea infrastructurii aferente serviciilor sociale precum centrele de îngrijire copii, bătrâni şi persoane cu nevoi speciale b4) Investiţii în construcţia de grădiniţe noi pentru copii, inclusiv dotarea acestora; b5) Achiziţionarea de microbuze care să asigure transportul public pentru comunitatea locală în zonele unde o astfel de investiţie nu este atractivă pentru companiile private dar care este indispensabilă pentru comunitate şi vine în sprijinul rezolvării unei importante nevoi sociale inclusiv construirea de staţii de autobuz; b6) Achiziţionarea de utilaje şi echipamente pentru serviciile publice (de deszăpezire, întreţinere spaţii verzi etc.) dacă fac parte din investiţia iniţială pentru înfiinţarea serviciului; b7) Investiţii de renovare, modernizarea şi dotarea aferentă a aşezămintelor culturale, inclusiv prima achiziţie de cărţi, materiale audio, achiziţionarea de costume populare şi instrumente muzicale tradiţionale în vederea promovării patrimoniului cultural imaterial ca parte componentă a proiectului. De asemenea vor fi susţinute cheltuielile cu achiziţionarea de echipamente hardware, software, inclusiv costurile de instalare şi montaj. Pentru componenta c): c1) Restaurarea, consolidarea şi conservarea obiectivelor de patrimoniu cultural - grupa B72 şi natural din spaţiul rural (peşteri, arbori seculari, cascade etc.); c2) Studii privind patrimoniul cultural (material şi imaterial) din spaţiul rural cu posibilitatea de valorificare a acestora şi punerea acestora la dispoziţia comunităţii; c3) Achiziţionare de echipamente pentru expunerea şi protecţia patrimoniului cultural. Activităţi eligibile Pentru componenta a): a1) Înfiinţarea de drumuri noi, extinderea şi îmbunătăţirea reţelei de drumuri de interes local (drumuri comunale, vicinale şi străzi din interiorul comunei) ce apar_in proprietăţii publice a unităţii administrative (comuna) pe teritoriul căreia se află, aţa cum sunt definite şi clasificate în conformitate cu legislaţia naţională în vigoare; a2) Prima înfiinţare, extinderea şi îmbunătăţirea reţelei publice de ap_ (captare, staţii de tratare, alimentare) pentru localităţile rurale având sub 10.000 populase echivalentă (p.e.); a3) Prima înfiinţare, extinderea şi îmbunătăţirea reţelei publice de ap_ uzată (canalizare, staţii de epurare) pentru localităţile rurale având sub 10.000 populaţie echivalentă (p.e.); a4) Prima înfiinţare şi extinderea reţelei publice de joasă tensiune şi a reţelei publice de iluminat cu eficienţă energetică ridicată; a5) Prima înfiinţare şi extinderea reţelei publice locale de alimentare cu gaz către alte localităţi rurale sau către zone rurale care nu sunt conectate la reţea; a6) Investiţii în staţii de transfer pentru deşeuri şi dotarea cu echipamente de gestionare a deşeurilor.
  • 271.
    Pentru componenta b): b1)Înfiinţarea, amenajarea spaţiilor publice de recreare pentru populaţia rurală (parcuri, spăşii de joacă pentru copii, terenuri de sport, piste de biciclete); b2) Renovarea clădirilor publice (ex. primării) şi amenajări de parcări, pieţe, spaţii pentru organizarea de târguri etc.); b3) Investiţii în sisteme de producere şi furnizare de energie din surse regenerabile (în situaţia în care este vorba de clădiri publice); b4) Prima înfiinţare şi dotarea infrastructurii aferente serviciilor sociale precum centrele de îngrijire copii, bătrâni şi persoane cu nevoi speciale b5) Investiţii în construcţia de grădiniţe noi pentru copii, inclusiv dotarea acestora; b6) Achiziţionarea de microbuze care să asigure transportul public pentru comunitatea locală în zonele unde o astfel de investiţie nu este atractivă pentru companiile private dar care este indispensabilă pentru comunitate şi vine în sprijinul rezolvării unei importante nevoi sociale inclusiv construirea de staţii de autobuz; b7) Achiziţionarea de utilaje şi echipamente pentru serviciile publice (de deszăpezire, întreţinere spaţii verzi etc.) dacă fac parte din investiţia iniţială pentru înfiinţarea serviciului; b8) Investiţii de renovare, modernizarea şi dotarea aferentă a aşezămintelor culturale, inclusiv prima achiziţie de cărei, materiale audio, achiziţionarea de costume populare şi instrumente muzicale tradiţionale în vederea promovării patrimoniului cultural imaterial ca parte componentă a proiectului. De asemenea vor fi susţinute cheltuielile cu achiziţionarea de echipamente hardware, software, inclusiv costurile de instalare şi montaj. Pentru componenta c): c1) Restaurarea, consolidarea şi conservarea obiectivelor de patrimoniu cultural - grupa B72 şi natural din spaţiul rural (pe_teri, arbori seculari, cascade etc.); c2) Studii privind patrimoniul cultural (material şi imaterial) din spaţiul rural cu posibilitatea de valorificare a acestora şi punerea acestora la dispoziţia comunităţii; c3) Achiziţionare de echipamente pentru expunerea şi protecţia patrimoniului cultural. Avans: 20.00% Finanţare: Ajutorul public (FEADR + contribuţie publică naţională)%: 100.00% Codul măsurii: 322 Măsura: Renovarea, dezvoltarea satelor, îmbunătăţirea serviciilor de bază pentru economia şi populaţia rurală şi punerea în valoare a moştenirii rurale ECB 29 Apr. 2010 1 EUR = 4.137 RON Nr de Cost Estimarea Contribuţia Contribuţia Contribuţia Contribuţia proiecte total costului total FEADR – publică privată publică (FEADR prevăzute mediu pe măsură măsură naţională + Naţiona) RON 6 €36,181 €217,087 €173,669 €43,418 €0 898,089 Contribuţia Contribuţia Contribuţia FEADR – publică privată% măsură% naţională% 80.00% 20.00% 0.00%
  • 272.
    Alocare financiară Realizare măsuri 2007- (CCME nota de ghidare H) 2013 Măsuri Cost Total Indicatori Cuantificare (Euro) Cheltuială Publică (Euro) 322 - Renovarea, dezvoltarea satelor, Acţiuni pentru serviciile de bază conform CCME îmbunătăţirea serviciilor de bază pentru împărţit pe parcursul implementării în funcţie de tipul 0 economia şi populaţia rurală şi punerea în valoare a moştenirii rurale de acţiune Acţiuni pentru patrimoniul rural conform CCME €109,694 împărţit pe parcursul implementării în funcţie de tipul 4 de acţiune (patrimoniu natural sau cultural) Numărul comunelor unde au avut loc acţiuni de renovare a satelor conform CCME împărţit pe 2 parcursul implementării în funcţie de tipul renovării €107,393 Volumul total al investiţiilor ●Volumul total al investiţiilor în servicii de bază Împărţit în funcţie de tipul acţiunii (iniţiative ICT, mobilitate, infrastructură culturală şi socială, €54,847 infrastructură de mediu, training, facilităţi de îngrijire a copiilor, altele): €109,694 ●Volumul total al investiţiilor împărţit în funcţie de €54,847 tipul patrimoniului (natural, cultural):
  • 273.
    Alocare financiară Realizare măsuri 2007- (CCME nota de ghidare H) 2013 Măsuri Cost Total Indicatori Cuantificare (Euro) Cheltuială Publică (Euro) Indicator adiţional Număr de comune identificate în Master Planuri 0 pentru infrastructura de apă/apă uzată, finanţate prin FEADR Indicator adiţional Număr de comune care nu au mai beneficiat de 4 finanţare UE Indicator adiţional Număr de km realizaţi prin intermediul componentei "renovarea satelor" km de drum 4 km de reţea de conducte pentru alimentare cu apă 0 km de conducte de canalizare 0
  • 274.
    Axa III Calitateavieţii în zonele rurale şi diversificarea economiei rurale II.2.9.3.4 Măsura: 341 Dobândire de competenţe, animare şi implementarea strategiilor de dezvoltare locală Obiectivul Calitatea vieţii şi diversificarea economiei rurale Consolidarea coerenţei teritoriale şi a sinergiilor Creşterea capacităţilor în vederea realizării strategiilor de dezvoltare locale Raportul cu strategia de dezvoltare * SWOT - ACTIVITĂŢI ECONOMICE; comerţ şi sectorul de servicii - turism; PUNCTE SLABE: Multitudinea de obiective de patrimoniu arhitectural şi arheologic nu sunt valorificate pentru animarea turismului rural cultural – religios Tip de acţiuni: Imateriale Descriere beneficiari Parteneriate şi parteneri implicaţi în dezvoltarea şi implementarea strategiilor locale de dezvoltare. Evaluarea numărului beneficiarilor: 150 Descriere acţiuni a) Studii legate de aria acoperită b) Informaţii legate de strategia de dezvoltare locală c) Training pentru echipa implicată în pregătirea şi implementarea strategiei de dezvoltare locală d) Acţiuni de promovare e) Training pentru leaderi f) Implementarea parteneriatelor public - private altele decât GAL Activităţi eligibile a) Studii legate de zona GAL b) Informaţii despre zona GAL şi strategia de dezvoltare locală c) Trening pentru echipa implicată în pregătirea şi implementarea strategiei de dezvoltare locală. d) Evenimente promoţionale e) Training pentru leaderi f) Implementarea parteneriatelor public - private, altele decât GAL, acoperind una sau mai multe măsuri. Avans: 20.00% Finanţare: Ajutorul public (FEADR + contribuţie publică naţională)%: 100.00% Codul măsurii: 341 Măsura: Dobândire de competenţe, animare şi implementarea strategiilor de dezvoltare locală ECB 29 Apr. 2010 1 EUR = 4.137 RON
  • 275.
    Nr de Cost Estimarea Contribuţia Contribuţia Contribuţia Contribuţia proiecte total costului total FEADR – publică privată publică (FEADR prevăzute mediu pe măsură măsură naţională + Naţiona) RON 1 €5,049 €5,049 €4,039 €1,010 €0 20,888 Contribuţia Contribuţia Contribuţia FEADR – publică privată% măsură% naţională% 80.00% 20.00% 0.00% Număr acţiuni de aptitudini şi animare: 3 Număr participanţi la acţiuni: 150 Număr parteneriate public - private susţinute: 2 Cheltuială Publică (Euro) €5,049
  • 276.
    II.2.9.4 Axa IVLEADER II.2.9.4.1 Măsura: 411 Creşterea competitivităţii sectoarelor agricol şi forestier Obiectivul Creşterea competitivităţii sectoarelor agricol şi forestier Raportul cu strategia de dezvoltare Legăturile cu SWOT aferente Axei I, adică măsurile 1xx Tip de acţiuni: Descriere beneficiari Beneficiarii Măsurilor 1XX Evaluarea numărului beneficiarilor: 88 Descriere acţiuni Axa I Măsurile 1xx Activităţi eligibile Avans: 24.00% Finanţare: Ajutorul public (FEADR + contribuţie publică naţională)%: 59.69% Codul măsurii: 411 Măsura: Creşterea competitivităţii sectoarelor agricol şi forestier ECB 29 Apr. 2010 1 EUR = 4.137 RON Nr de Cost total Estimarea Contribuţia Contribuţia Contribuţia Contribuţia proiecte mediu costului total FEADR – publică privată publică prevăzute pe măsură măsură naţională (FEADR + Naţiona) RON 78 €189,686 €1,695,571 €809,723 €202,438 €683,410 4,187,310 Contribuţia Contribuţia Contribuţia FEADR – publică privată% măsură% naţională% 47.76% 11.94% 40.31%
  • 277.
    Axa IV LEADER II.2.9.4.2 Măsura: 412 Îmbunătăţirea mediului şi a spaţiului rural Obiectivul Îmbunătăţirea mediului şi a spaţiului rural Raportul cu strategia de dezvoltare Legăturile cu SWOT aferente Axei II, adică măsurile 2xx Tip de acţiuni: Descriere beneficiari Beneficiarii Măsurilor 2XX Evaluarea numărului beneficiarilor: 39 Descriere acţiuni Axa II Măsurile 2xx Activităţi eligibile Avans: 20.00% Finanţare: Ajutorul public (FEADR + contribuţie publică naţională)%: 95.93% Codul măsurii: 412 Măsura: Îmbunătăţirea mediului şi a spaţiului rural ECB 29 Apr. 2010 1 EUR = 4.137 RON Nr de Cost Estimarea Contribuţia Contribuţia Contribuţia Contribuţia proiecte total costului total FEADR – publică privată publică (FEADR prevăzute mediu pe măsură măsură naţională + Naţiona) RON 39 €87,782 €609,893 €479,755 €105,316 €24,822 2,420,439 Contribuţia Contribuţia Contribuţia FEADR – publică privată% măsură% naţională% 78.66% 17.27% 4.07%
  • 278.
    Axa IV LEADER II.2.9.4.3 Măsura: 413 Calitatea vieţii în zonele rurale şi diversificarea economiei rurale Obiectivul Calitatea vieţii şi diversificarea economiei rurale Raportul cu strategia de dezvoltare Legăturile cu SWOT aferente Axei III, adică măsurile 3xx Tip de acţiuni: Descriere beneficiari Beneficiarii Măsurilor 3XX Evaluarea numărului beneficiarilor: 72178 Descriere acţiuni Axa III Măsurile 3xx Activităţi eligibile Avans: 20.00% Finanţare: Ajutorul public (FEADR + contribuţie publică naţională)%: 78.26% Codul măsurii: 413 Măsura: Calitatea vieţii în zonele rurale şi diversificarea economiei rurale ECB 29 Apr. 2010 1 EUR = 4.137 RON Nr de Cost Estimarea Contribuţia Contribuţia Contribuţia Contribuţia proiecte total costului total FEADR – publică privată publică (FEADR prevăzute mediu pe măsură măsură naţională + Naţiona) RON 37 €77,290 €806,321 €504,851 €126,215 €175,255 2,610,720 Contribuţia Contribuţia Contribuţia FEADR – publică privată% măsură% naţională% 62.61% 15.65% 21.74%
  • 279.
    Alocare financiară Realizare Rezultat măsuri 2007- (CCME nota de ghidare H) (CCME nota de ghidare I) 2013 Măsuri Cost Total Indicatori Cuantificare Indicatori Cuantificare (Euro) Cheltuială Publică (Euro) Numărul brut de locuri de Număr de GAL-uri 1 muncă (41 şi 421) Suprafaţa totală a GAL-urilor 1,109 măsura 41: 1,109 (km2) Populaţia totală din cadrul 36,000 măsura 421: 36,000 teritoriului GALurilor 37,109 41 - Implementare a Numărul proiectelor finanţate strategiilor de €1,313,359 de GAL-uri dezvoltare locală conform CCME împărţit pe 111 - 411 Creşterea parcursul competitivităţ ii implementării pe axe, măsuri sectoarelor agricol şi forestier Număr de beneficiari sprijiniţi - 412 Îmbunătăţire a = Număr proiecte conform mediului şi a Indicator adiţional pentru spaţiului rural CCME împărţit pe parcursul 111 măsura 41 Număr de beneficiari - 413 Calitatea vieţii implementării pe axe, măsuri care dezvoltă acţiuni inovative 11 şi diversificarea şi tip de beneficiar Estimare _10% din numărul economiei rurale proiectelor Indicator adiţional Numărul 59 membrilor GAL-urilor Indicator adiţional pentru €914,939 Indicator adiţional Numărul măsura 431.1 Număr de partenerilor privaţi şi a 48 participanţi care au terminat cu 11 ONGurilor membri ai GAL- succes o acţiune de formare în urilor domeniul:
  • 280.
    Axa IV LEADER II.2.9.4.4 Măsura: 421 Încurajarea actorilor de la nivel local de a lucra împreună cu reprezentan ţii altor comunităţi din interiorul sau exteriorul ţării Obiectivul LEADER Implementarea abordării LEADER Implementarea proiectelor de cooperare şi a celor mai bune practici Raportul cu strategia de dezvoltare * SWOT – Calitatea vieţii – Dezvoltare rurală; Dezvoltare rurală; PUNCTE SLABE: Incapacitatea de formare a unor parteneriate locale puternice şi de promovare a potenţialului endogen al teritoriilor Tip de acţiuni: Descriere beneficiari Cooperare GAL în cadrul aceluiaşi stat membru, GAL cooperând cu teritorii din alte state membre sau din terţe ţări. Evaluarea numărului beneficiarilor: 50000 Descriere acţiuni Susţinere pentru cooperare inter-teritorială (într-un stat membru), cooperare transnaţională (între teritorii din diferite state membre şi terţe ţări) cu implicarea diferitelor GAL. Activităţi eligibile Doar proiectele/acţiunile comune care corespund obiectivelor m_surilor din cele 3 axe (Axa 1, 2 şi 3) ale FEADR vor fi eligibile pentru sprijin. Acţiunile comune pot avea ca obiectiv şi construcţia instituţională: schimb de experienţă ţi bune practici privind dezvoltarea locală prin publicaţii comune, organizare de evenimente, proiecte de twinning (schimb de manageri de program ţi de personal) sau prin lucrări de dezvoltare comune sau coordonate în comun. Funcţionarea unei structuri comune este cea mai integrată formă de cooperare. În ceea ce priveşte cooperarea transnaţional_, pot fi iniţiate proiecte comune cu ţări non-UE, caz în care sunt eligibile pentru sprijin numai cheltuielile legate de teritoriile din cadrul UE. Principalele categorii de cheltuieli eligibile: - cheltuieli pentru pregătirea proiectelor de cooperare – organizare misiuni tehnice, întâlniri, seminarii, activităţi de traducere ţi interpretare, multiplicare documente, - cheltuieli de investiţii pentru implementarea proiectelor comune - cheltuieli pentru proiecte comune de instruire Avans: Finanţare: Ajutorul public (FEADR + contribuţie publică naţională)%: 100.00% Codul măsurii: 421 Măsura: Încurajarea actorilor de la nivel local de a lucra împreună cu reprezentan ţii altor
  • 281.
    comunităţi din interiorulsau exteriorul ţării ECB 29 Apr. 2010 1 EUR = 4.137 RON Nr de Cost Estimarea Contribuţia Contribuţia Contribuţia Contribuţia proiecte total costului total FEADR – publică privată publică (FEADR prevăzute mediu pe măsură măsură naţională + Naţiona) RON 3 €19,045 €57,136 €45,708 €11,428 €0 236,372 Contribuţia Contribuţia Contribuţia FEADR – publică privată% măsură% naţională% 80.00% 20.00% 0.00%
  • 282.
    Alocare financiară Realizare Rezultat măsuri 2007- (CCME nota de ghidare H) (CCME nota de ghidare I) 2013 Măsuri Cost Total Indicatori Cuantificare Indicatori Cuantificare (Euro) Cheltuială Publică (Euro) Numărul proiectelor de cooperare Indicator adiţional pentru sprijinite conform CCME împărţit pe măsura 431.1 Număr de parcursul implementării pe baza participanţi care au nivelului de cooperare (Intra-teritoriale 3 11 terminat cu succes o sau Transnaţionale) şi axe în cadrul acţiune de formare în cărora pot fi grupate proiectele de tip domeniul: Leader Numărul de GAL-uri care întreprind proiecte de cooperare = nr. de GAL-uri 421 - €30,802 conform CCME împărţit pe parcursul Implementare a - Training general privind implementării pe baza nivelului de 1 1,640 proiectelor de abordarea LEADER cooperare cooperare (Intra-teritoriale sau Transnaţionale) şi axe în cadrul cărora pot fi grupate proiectele de tip Leader Indicator adiţional - Training pentru Numărul de proiecte de cooperare care 2 reprezentanţii 30 implică mai mult de două GAL-uri din potenţialelor GAL-uri România Indicator adiţional Număr de participanţi care Numărul de proiecte de cooperare care €26,334 1 au finalizat cu succes o 50 implică un GAL din UE cu experienţă activitate de formare în LEADER+
  • 283.
    Axa IV LEADER II.2.9.4.5 Măsura: 431.2 Stimularea formării de parteneriate, pregătirea şi asigurarea implementării strategiilor de dezvoltare locală Obiectivul LEADER Implementarea abordării LEADER Creşterea capacităţii pentru implementarea LEADER Raportul cu strategia de dezvoltare * SWOT – Calitatea vieţii – Dezvoltare rurală; Dezvoltare rurală; PUNCTE SLABE: Incapacitatea de formare a unor parteneriate locale puternice şi de promovare a potenţialului endogen al teritoriilor Tip de acţiuni: Descriere beneficiari GAL Evaluarea numărului beneficiarilor: 2160 Descriere acţiuni a) Studii legate de aria acoperită b) Informaţii legate de strategia de dezvoltare locală c) Training pentru echipa implicată în pregătirea şi implementarea strategiei de dezvoltare locală d) Acţiuni de promovare e) Training pentru leaderi f) Implementarea parteneriatelor public - private altele decât GAL Activităţi eligibile Conform bugetului detaliat al compartimentului administrativ al GAL. Avans: Finanţare: Ajutorul public (FEADR + contribuţie publică naţională)%: 100.00% Codul măsurii: 431.2 Măsura: Stimularea formării de parteneriate, pregătirea şi asigurarea implementării strategiilor de dezvoltare locală ECB 29 Apr. 2010 1 EUR = 4.137 RON Nr de Cost Estimarea Contribuţia Contribuţia Contribuţia Contribuţia proiecte total costului total FEADR – publică privată publică (FEADR prevăzute mediu pe măsură măsură naţională + Naţiona) RON 108 €5,290 €571,358 €571,358 €0 €0 2,363,708 Contribuţia Contribuţia Contribuţia FEADR – publică privată% măsură% naţională% 100.00% 0.00% 0.00%
  • 284.
    Alocare financiară Realizare Rezultat măsuri (CCME nota de ghidare H) (CCME nota de ghidare I) 2007-2013 Cost Măsuri Total Indicatori Cuantificare Indicatori Cuantificare (Euro) Cheltuială Publică (Euro) Numărul de acţiuni sprijinite privind funcţionarea Grupurilor de 18 Acţiune Locală; (1 acţiune = 1 buget anual pentru un 431.2 - GAL) Număr de Funcţionarea Numărul de Grupurilor de participanţi acţiuni Acţiune care au sprijinite Locală, €571,358 finalizat cu 50 dobândirea de privind succes o competenţe şi dobândirea de 18 activitate de animarea competente (1 teritoriului formare acţiune = 1 sesiune de training) Numărul de acţiuni sprijinite privind animarea 72 teritoriului (1 acţiune = 1 seminar de animare)
  • 285.
    II.2.10 Consultări întretoţi partenerii Cu ocazia fiecărui seminar au fost împărţite chestionare personalizate pe localităţi şi date, disponibile şi în format digital (MS Word) prin email. Macheta chestionarului este următoarea: II.2.10.1 Macheta chestionarului Alutus LEADER Chestionar pg. 1 «Localitate», «Data» Importanţă 0-5 Îmbunătăţirea competitivităţii sectoarelor agricol şi I. Axă forestier Măsură 111 Formare profesională, informare şi difuzare de cunoştinţe 112 Instalarea tinerilor fermieri 121 Modernizarea exploata iilor agricole 122 Îmbunătăţirea valorii economice a pădurii 123 Creşterea valorii adăugate a produselor agricole şi forestiere Îmbunătăţirea şi dezvoltarea infrastructurii legate de 125 dezvoltarea şi adaptarea agriculturii şi silviculturii 141 Sprijinirea fermelor agricole de semi-subzistenţă 142 Înfiinţarea grupurilor de producători Furnizarea de servicii de consiliere i consultanţă pentru 143 agricultori. Idei de proiecte Măsură Descriere Buget (nu este estimativ RON obligatoriu) (nu este obligatoriu)
  • 286.
    Alutus LEADER Chestionarpg. 2 Importanţă 0-5 II. Axă Îmbunătăţirea mediului şi a spaţiului rural Măsură 211 Sprijin pentru zona montan defavorizat Sprijin pentru zone defavorizate – altele decât zona 212 montan 214 Plăţi de agro - mediu 221 Prima împădurire a terenurilor agricole Idei de proiecte Măsură Descriere Buget (nu este estimativ RON obligatoriu) (nu este obligatoriu) Alutus LEADER Chestionar pg. 3 Importanţă 0-5 Îmbunătăţirea calităţii vieţii în zonele rurale şi III. Axă diversificarea economiei rurale Măsură Sprijin pentru crearea şi dezvoltarea de micro - 312 întreprinderi 313 Încurajarea activităţilor turistice Renovarea, dezvoltarea satelor, îmbunătăţirea serviciilor 322 de bază pentru economia şi populaţia rurală şi punerea în valoare a moştenirii rurale Idei de proiecte Măsură Descriere Buget (nu este estimativ RON obligatoriu) (nu este obligatoriu) Participanţii au fost rugaţi să completeze chestionarele pe parcursul seminarului, indicând maximum 3 priorităţi pe fiecare axă, cu un punctaj de la 0 la 5, 5 însemnând prioritatea maximă.
  • 287.
    Totodată participanţii aufost invitaţi să ia chestionare şi pentru alte persoane eventual interesate, respectiv să se înscrie pe lista de email a grupurilor de lucru şi să mai solicite formulare, dacă este nevoie.
  • 288.
    II.2.10.2 Proiecte peLocalităţi În total s-au primit 65 chestionare completate, conţinând 84 idei de proiecte din 7 localităţi. Valoarea estimată a bugetelor – în cazurile când propunerea conţine şi această dată este de RON 2,730,000.00 + €851,500. II.2.10.2.1 Chestionare completate Localitatea Chestionare % Chestionare Aita Mare 6 9.23% Bixad 7 10.77% Bodoc 1 1.54% Bradut 10 15.38% Ghidfalau 5 7.69% Micfalau 8 12.31% Oras Baraolt 28 43.08% 7 Localităţi 65 100.00% % Chestionare Aita Mare, 9.23% Bixad, 10.77% Oras Baraolt, Bodoc, 1.54% 43.08% Bradut, 15.38% Ghidfalau, 7.69% Micfalau, 12.31%
  • 289.
    II.2.10.2.2 Idei deproiecte pe localităţi Idei de Idei de Localitatea Proiecte Localitatea Proiecte Aita Mare 14 Ghidfalău 1 Bixad 6 Micfalău 13 Bodoc 3 Oraş Baraolt 40 Brăduţ 6 Total 83 % Idei de Proiecte Aita Mare, 16.67% Bixad, 7.14% Oraş Baraolt, 47.62% Bodoc, 3.57% Brăduţ, 7.14% Ghidfalău, 1.19% Micfalău, 16.67%
  • 290.
    II.2.10.2.3 Tabel sinteticproiecte pe localităţi şi măsuri Grand Măsura 111 114 121 122 123 125 142 143 214 221 223 312 313 322 341 421 431.2 Total Aita Mare 2 1 2 2 1 3 2 1 14 Bixad 3 1 2 6 Bodoc 2 1 3 Brăduţ 1 1 1 1 2 6 Ghidfalău 1 1 Micfalău 1 1 1 1 1 1 4 2 1 13 Oraş Baraolt 1 1 3 1 4 1 3 2 1 1 10 1 2 9 40 Grand Total 2 2 6 5 10 3 5 2 2 1 2 5 19 5 1 2 11 83 Aita Mare 2 1 2 2 1 3 2 1 Bixad 3 1 2 Bodoc 2 1 Brăduţ 1 1 1 1 2 1 Ghidfalău 1 1 1 1 1 1 4 2 1 Micfalău 1 1 3 1 4 1 3 2 1 1 10 1 2 9 Oraş Baraolt x 111 114 121 122 123 125 142 143 214 221 223 312 313 322 341 421 431.2
  • 291.
    II.2.10.2.4 Tabel sinteticproiecte pe măsuri şi localităţi 1 1 111 1 1 114 2 1 3 121 1 2 1 1 122 2 3 1 4 123 1 1 1 125 2 3 142 1 1 143 2 214 1 221 1 1 223 3 1 1 312 2 2 1 4 10 313 1 1 2 1 322 1 341 2 421 2 9 431.2 Aita Mare Bixad Bodoc Brăduţ Ghidfalău Micfalău Oraş Baraolt
  • 292.
    111 1 1 114 1 1 121 2 1 3 122 123 1 2 1 1 125 2 3 1 4 142 143 1 1 1 214 2 3 221 1 1 223 312 2 313 1 322 1 1 341 421 3 1 1 431.2 2 2 1 4 10 x 1 1 2 1 1 2 2 9 Bixad Brăduţ Micfalău Aita Mare Bodoc Ghidfalău Oraş Baraolt
  • 293.
    II.2.10.2.5 Pondere normalizatăpe axe Ponderea normalizata pe axe 100.00% 79.18% 80.00% 57.23% 55.93% 60.00% 40.00% 20.00% 0.00% 3 2 1 Desigur există o departajare pe Axe, dar această departajare se datorează unor diferenţe nesemnificative – deviaţia standard este 0,1. Ne putem aştepta ca pentru Axa 3 să fie depuse cele mai multe proiecte bune. Prin urmarea asistenţa tehnică va trebui să fortifice solicitările către axele 1 şi 2. II.2.10.2.6 Ponderea normalizată pe axe Ponderea normalizată pe măsuri 90.00% 80.00% 70.00% 60.00% 50.00% 40.00% 30.00% 20.00% 10.00% 0.00% 322 312 313 142 211 112 143 221 214 111 125 121 122 123 212 141 Ponderea normalizată pe măsuri 81.8 80.0 75.6 73.8 63.0 61.8 60.0 59.3 57.5 55.6 54.7 52.3 51.6 49.5 48.9 43.6 Nici pe măsuri nu se constată o departajare clară – deviaţia standard este foarte mică, cca. 0,12.
  • 294.
    II.2.10.2.7 Ponderea axelorpe localităţi Pondere Axelor pe Localităţi 100.00% 90.00% 80.00% 70.00% 60.00% 50.00% 40.00% 30.00% 20.00% 10.00% 0.00% 3 2 1 3 1 2 1 3 2 3 1 2 3 1 2 3 2 1 3 2 1 Aita Mare Bixad Bodoc Brăduţ Ghidfalău Micfalău Oraş Baraolt Obs. De la Bodoc s-a primit doar un chestionar referitor la Axa 1. II.2.10.2.8 Ponderea măsurilor pe localităţi Ponderea Măsurilor pe Localitatea Aita Mare 100.00% 90.00% 80.00% 70.00% 60.00% 50.00% 40.00% 30.00% 20.00% 10.00% 0.00% 322 313 142 312 123 214 221 211 143 121 125 141 122 112 212 111
  • 295.
    Ponderea Măsurilor peLocalitatea Bixad 100.00% 90.00% 80.00% 70.00% 60.00% 50.00% 40.00% 30.00% 20.00% 10.00% 0.00% 142 121 313 143 322 312 112 111 122 211 141 125 212 221 214 123 Ponderea Măsurilor pe Localitatea Bodoc 100.00% 90.00% 80.00% 70.00% 60.00% 50.00% 40.00% 30.00% 20.00% 10.00% 0.00% 122 112 125 123
  • 296.
    Ponderea Măsurilor peLocalitatea Brăduţ 100.00% 90.00% 80.00% 70.00% 60.00% 50.00% 40.00% 30.00% 20.00% 10.00% 0.00% 322 143 112 122 211 111 312 142 313 123 121 212 125 221 141 214 Ponderea Măsurilor pe Localitatea Ghidfalău 100.00% 90.00% 80.00% 70.00% 60.00% 50.00% 40.00% 30.00% 20.00% 10.00% 0.00% 125 142 111 322 312 123 122 121 313 143 211 214 141 212 112 221
  • 297.
    Ponderea Măsurilor peLocalitatea Micfalău 100.00% 90.00% 80.00% 70.00% 60.00% 50.00% 40.00% 30.00% 20.00% 10.00% 0.00% 322 313 211 112 312 212 141 143 221 214 125 111 142 121 122 123 Ponderea Măsurilor pe Localitatea Oraş Baraolt 90.00% 80.00% 70.00% 60.00% 50.00% 40.00% 30.00% 20.00% 10.00% 0.00% 312 322 313 142 221 214 112 211 143 111 121 125 212 123 122 141
  • 298.
    II.2.10.2.9 Clase demăsuri Pornind de la ponderea normalizată a Măsurilor, se pot defini 5 clase de măsuri, conform importanţei lor, în ordinea descrescătoare a ponderii. Clasa Măsura Renovarea, dezvoltarea satelor, îmbunătăţirea serviciilor de bază pentru 5 322 economia şi populaţia rurală şi punerea în valoare a moştenirii rurale 4 312 Sprijin pentru crearea şi dezvoltarea de micro-întreprinderi 4 313 Încurajarea activităţilor turistice 4 142 Înfiinţarea grupurilor de producători 3 211 Sprijin pentru Zona Montană Defavorizată 3 112 Instalarea tinerilor fermieri 2 143 Furnizarea de servicii de consiliere şi consultanţă pentru agricultori 2 221 Prima împădurire a terenurilor agricole 2 214 Plăţi de Agro-mediu 2 111 Formare profesională (training), informare şi difuzare de cunoştinţe Îmbunătăţirea şi dezvoltarea infrastructurii legate de dezvoltarea şi 2 125 adaptarea agriculturii şi silviculturii 2 121 Modernizarea exploataţiilor agricole 2 122 Îmbunătăţirea valorii economice a pădurii 1 212 Sprijin pentru zone defavorizate – altele decât zona montană 1 141 Sprijinirea fermelor agricole de semi-subzistenţă Clase de Măsuri 5 4 4 4 3 3 2 2 2 2 2 2 2 1 1 322 312 313 142 211 112 143 221 214 111 125 121 122 212 141 Din componenţa acestor clase de Măsuri se pot trage două concluzii majore:
  • 299.
    a) Respondenţii suntconştienţi de problemele infrastructurii. Ameliorarea acestei stări de fapt este acţiunea cea mai importantă, care poate deschide calea îmbunătăţirii calităţii vieţii în zona acoperită de GAL. b) Respondenţii consideră necesară consultanţa şi consilierea de specialitatea, pentru înfiinţarea şi dezvoltarea unor micro – întreprinderi şi grupuri de producători, care să susţină activitatea turistică. Putem presupune că majoritatea GAL consideră turismul ca şi unică şansă a dezvoltării rurale. Prin urmare, ca rezultat la acţiunilor LEADER va creşte concurenţa în acest domeniu. În formularea strategiei va trebui să se ţină cont de acest aspect. Se va acorda atenţie încurajării aplicaţiilor care vor dori să dezvolte activităţi de procesare – producţie cu valoare adăugată ridicată. Pe de altă parte, acceptând ideea că majoritatea GAL se vor axa pe turism, vor fi susţinute iniţiativele care ţintesc realizarea unor servicii de calitate, în zonă găsindu-se un foarte bun exemplu de acest fel. (Castelul Kálnoky)
  • 300.
    II.2.10.2.10 Idei deproiecte Măsură Măsură Budget pruposă de Budget RON atribuită EUR aplicant 1 Aita Mare Păstrarea unor meşteşuguri şi meserii tradiţionale prin formarea de meşteri tineri prin cursuri pentru grupuri mici. Valorificarea 1.01 121 produselor. Introducerea atelierelor în circuitul turistic, participarea turiştilor în procesul de fabricaţie (ceramică spe Repopularea zonei cu animale ce nu mai există (ex. bivoliţa). 1.02 Procesarea şi valorificarea unor produse specifice (ex.: din lapte de 121 bivoliţă) 1.03 Pepinieră pa 5 ha - împădurire. 122 1.04 Procesare de fructe şi legume. 123 1.05 Procesarea laptelui, produse specifice, valorificare. 123 1.06 Valorificarea produselor meşteşugăreşti locale. 142 1.07 Înfiinţarea unor grupuri de producători pentru valorificarea produselor. 142 1.08 Formare pentru albinărit - susţinerea apiculturii. 143 Culesul, prepararea, împachetarea şi valorificarea produselor din 1.09 312 312 fructe de pădure, ciuperci. Prepararea şi valorificarea produselor culinare specifice din peşte şi 1.1 312 312 vânat. 1.11 Înfiinţarea de ferme mici. 312 Introducerea în circuitul turistic a întregii moşteniri culturale. 1.12 Revitalizarea meşteşugurilor tradiţionale, pe cale de dispariţie. Studii 313 legate de tradiţiile locale - publicarea acestora. Cazare pentru turism rural de agrement Tema 1: cules de plante medicinale, fructe de pădure, ciuperci. Din 1.13 "roadele culese", cu asistenţa gazdelor, oaspetele să poate prepara 313 313 produse culinare specifice: ceai, gem, dulceaţă, prăjituri, mâncăruri. Tema 2: C Serviciu de asistenţă socială pentru vârstnici (la domiciliu, centru 1.14 322 permanenţă 24 ore) Subtotal Aita Mare:
  • 301.
    Măsură Măsură Budget pruposă de Budget RON atribuită EUR aplicant 2 Bixad 2.01 Unitate de producţie de biogaz. 123 €100,000 Înfiinţarea grupului bio - producătorilor. Realizarea unei unităţi de 2.02 123 €70,000 procesare de bio - lapte. Modernizarea -, dezvoltarea unităţilor de prelucrare a lemnului şi a 2.03 123 €120,000 pietrei. 2.04 Exploatarea apelor termale şi a celor minerale. 125 €200,000 2.05 Înfiinţarea de pensiuni eco-, agro- turistice. 313 €80,000 Livadă, florărie, grădină de legume - în scopul prezentării activităţilor RON 2.06 313 aferente pentru grupuri de copii şi şcolari. 70,000.00 RON Subtotal Bixad: €570,000 70,000.00 3 Bodoc 3.01 Valorificarea materialului lemnos adunat de pe păşuni. 122 Cultivarea de zmeură, mure, căpşuni şi alte fructe de pădure pe 3.02 122 terenuri nefolosite pentru procesare şi valorificare. 3.03 Îmbuteliere de apă dulce de izvor. 312 Subtotal Bodoc: 4 Brăduţ 4.01 Formarea formatorilor în domeniul silviculturii. 111 4.02 Promovarea albinăritului local. 121 4.03 Împădurire. 223 4.04 Turism ecvestru, trening. 313 Curs de tors, ţesut pentru tineri. Promovarea acestor îndeletniciri 4.05 431.2 printre turişti. 4.06 Expoziţii de produse locale. 431.2 Subtotal Brăduţ: 5 Ghidfalău 5.01 Drumul legendelor secrete (biserici, cetăţi, conace, istoria locală) 322 Subtotal Ghidfalău:
  • 302.
    Măsură Măsură Budget pruposă de Budget RON atribuită EUR aplicant 6 Micfalău 6.01 Încurajarea exploatării agricole pe parcele mai mari, unificate. 114 6.02 Pepinieră de brazi. 122 Restructurarea unităţii de procesare a laptelui, actualmente RON 6.03 123 nefuncţională, în unitate de bio - produse. 200,000.00 6.04 Drumuri de ocolire a comunelor. 125 Inventarierea daunelor cauzate de animale sălbatice şi acordarea de 6.05 143 compensaţii fermierilor. RON 6.06 Reabilitare de mofete. Deschiderea de noi mofete. 312 100,000.00 Păstrarea, promovarea şi valorificarea meşteşugului tradiţional de 6.07 313 prelucrare pietrei prin organizarea de cursuri pentru tineri. Valorificarea potenţialului balnear prin dezvoltarea băilor cu ape 6.08 313 minerale. 6.09 Susţinerea turismului rural, promovarea valorilor locale. 313 Promovarea specificului gastronomic: inventariere, prelucrare, 6.1 313 publicare. Înfiinţarea unei gospodării reprezentative pentru zonă. Prezentarea 6.11 specificului, obiectelor şi sculelor tradiţionale folosite la prelucrarea 322 pietrei. Permanentizarea expoziţiei "drumul pietrei". 6.12 Drumul cioplitorilor în piatră. 322 Cursuri de iniţiere şi trening pentru însuşirea Managementului Ciclului 6.13 de Proiect, a planificării proiectelor, a scrierii de aplicaţii şi a 341 implementării proiectelor grantate. RON Subtotal Micfalău: 300,000.00
  • 303.
    Măsură Măsură Budget pruposă de Budget RON atribuită EUR aplicant 7 Oraş Baraolt 7.01 Formarea fermierilor 111 7.02 Consiliere juridică 114 7.03 Depozite pentru fructe de pădure, linii de desfacere 121 €250,000 RON 7.04 Siloz şi uscător pentru grupuri de producători 121 140,000.00 7.05 Centru de colectare a fructelor de pădure 121 €18,000 7.06 Plantaţii de plante pentru energie, împăduriri (pantele Nagy Murgo) 122 7.07 Centru de colectare şi procesare a laptelui. 123 Creşterea valorii adăugate a produselor agro-alimentare locale, prin 7.08 123 abordare integrată producător -procesator - comerciant Creştera valorii adăugate la prodese din lemn, obţinerea de certificate 7.09 123 €3,500 de calita ex. FSC 7.1 Înfiinţarea unei unităţi de procesare - fabrică de conserve 123 7.11 Îmbunătăţirea calităţii păşunilor 125 7.12 Înfiinţarea unei reţele managementul cinegetic. 142 7.13 Înfiinţarea unei reţele de desfacere a producătorilor 142 7.14 Înfiinţarea unui grup de producători 142 7.15 Sprijin pentru agricultura durabilă 214 7.16 Monitorizarea plăţilor de agro mediu 214 214 7.17 Împădurirea păşunilor neutilizabile 221 Îmbunătăţirea calităţii terenurilor degradate prin plantare de arbuşti 7.18 223 221 pentru albinărit Bazându-ne pe multitudinea de mori pe apă, încă funcţionale, 7.19 313 conceperea unui traseu al morilor din zona Baraolt. Sprijin pentru conservarea şi introducerea în circuitul turistic a fosilelor 7.2 313 313 de la Racoşul de Sus 7.21 Sprijin pentru muzeul local din Baraolt 313 313 Loc de campare pentru 50 - 100 persoane, cu oferte de agrement: RON 7.22 313 excursii, pescuit, sport, agrement în general, pentru copii şi tineri, 500,000.00 RON 7.23 Hotel - centru turistic în Baraolt 313 1,600,000.00
  • 304.
    Măsură Măsură Budget pruposă de Budget RON atribuită EUR aplicant 7.24 Panouri de semnalizare pentru puncte de atracţie şi servicii 313 Promovarea turismului de "aventură", îmbinarea lui cu alte tipuri de 7.25 313 turism (pe biciletă, sportiv, de familie) 7.26 Crearea de zone pentru pescuit de agrement pe pârâul Kormos. 313 €10,000 7.27 Promovarea turismului - sprijin pentru pensiuni 313 7.28 Indicatoare standardizate în toată regiunea. 313 RON 7.29 Alei pentru turism cu bicicleta 322 10,000.00 Proiect gen "Top-Tree-Walking" în valea Vârghişului sau în zona 7.3 421 Bodvaj. 7.31 Centru de informare şi consiliere în tursim 421 7.32 Promovarea ariilor naturale protejate, inventarierea acestora 431.2 313 RON 7.33 Centru de informaţii turistice 431.2 10,000.00 7.34 Centru de reconversie şi formare pentru adulţi 431.2 322 7.35 Formare şi sprjin la acces pe piaţă pentru tinerii fermieri 431.2 7.36 Centru de informare turistică la Baraolt 431.2 RON 7.37 Birou de informare turistică 431.2 100,000.00 7.38 Promovarea unor activităţi culturale tradiţionale - fanfară. 431.2 312 7.39 Promovarea stilui arhitectural tradiţional. 431.2 7.4 Promovarea meşteşugurilor tradiţionale 431.2 RON Subtotal Oraş Baraolt: €281,500 2,360,000.00 RON Grand Total: €851,500 2,730,000.00
  • 305.
    II.2.10.2.11 Harta tematicăcu idei de proiecte
  • 306.
    II.3. Planul definanţare Numele teritoriului : Alutus Data întocmirii planului : 29 aprilie 2010 Sume în € Contribuţii Denumirea măsurii Ponderea măsurii în Contribuţii Contribuţii Cost total publice planul de finanţare naţionale private FEADER % din % de costul contribuţie Suma % Suma % Suma % Suma % total FEADR 111 Formare profesională (training), 1. informare şi difuzare de cunoştinţe 0.28% 80% 10,476 € 100% 8,380 € 80% 2,096 € 20% 0€ 0% 112 Instalarea tinerilor 139,501 27,901 2. fermieri 3.73% 80% € 100% 111,600 € 80% € 20% 0€ 0% 114 Utilizarea 3. serviciilor de consiliere 1.03% 80% 38,411 € 100% 30,728 € 80% 7,683 € 20% 0 € 0% 121 Modernizarea 642,722 51,418 385,633 4. exploataţiilor agricole 17.18% 32% € 100% 205,671 € 32% € 8% € 60% 122 Îmbunătăţirea 5. valorii economice a 41,701 pădurii 2.23% 40% 83,402 € 100% 33,360 € 40% 8,341 € 10% € 50%
  • 307.
    Contribuţii Denumirea măsurii Ponderea măsurii în Contribuţii Contribuţii Cost total publice planul de finanţare naţionale private FEADER % din % de costul contribuţie Suma % Suma % Suma % Suma % total FEADR 123 Creşterea valorii 6. adăugate a produselor 431,180 43,118 215,590 agricole şi forestiere 11.53% 40% € 100% 172,472 € 40% € 10% € 50% 125 Îmbunătăţirea şi dezvoltarea infrastructurii legate de 7. dezvoltarea şi adaptarea agriculturii 161,945 24,292 40,486 şi silviculturii 4.33% 60% € 100% 97,167 € 60% € 15% € 25% 141 Sprijinirea 8. fermelor agricole de 12,992 semi-subzistenţă 1.74% 80% 64,956 € 100% 51,964 € 80% € 20% 0€ 0% 142 Înfiinţarea 9. grupurilor de 102,026 20,406 producători 2.73% 80% € 100% 81,620 € 80% € 20% 0€ 0% 143 Furnizarea de servicii de consiliere şi 10. consultanţă pentru agricultori 0.56% 80% 20,952 € 100% 16,761 € 80% 4,191 € 20% 0€ 0% 211 Sprijin pentru 11. Zona Montană 276,739 49,814 Defavorizată 7.40% 82% € 100% 226,925 € 82% € 18% 0€ 0%
  • 308.
    Contribuţii Denumirea măsurii Ponderea măsurii în Contribuţii Contribuţii Cost total publice planul de finanţare naţionale private FEADER % din % de costul contribuţie Suma % Suma % Suma % Suma % total FEADR 213 Plăţi Natura 2000 12. pe teren agricol 0.67% 82% 25,158 € 100% 20,629 € 82% 4,529 € 18% 0€ 0% 214 Plăţi de Agro- 225,252 40,546 13. mediu 6.02% 82% € 100% 184,706 € 82% € 18% 0 € 0% 221 Prima împădurire 14,292 14. a terenurilor agricole 1.27% 57% 47,641 € 100% 27,346 € 57% 6,003 € 13% € 30% 223 Prima împădurire 15. a terenurilor non- agricole 0.74% 57% 27,581 € 100% 15,831 € 57% 3,476 € 13% 8,274 € 30% 224 Plăţi Natura 2000 16. pe teren forestier 0.20% 57% 7,522 € 100% 4,318 € 57% 948 € 13% 2,256 € 30% 312 Sprijin pentru 17. crearea şi dezvoltarea 137,031 19,185 41,109 de micro-întreprinderi 3.66% 56% € 100% 76,737 € 56% € 14% € 30% 313 Încurajarea 447,154 62,602 134,146 18. activităţilor turistice 11.96% 56% € 100% 250,406 € 56% € 14% € 30%
  • 309.
    Contribuţii Denumirea măsurii Ponderea măsurii în Contribuţii Contribuţii Cost total publice planul de finanţare naţionale private FEADER % din % de costul contribuţie Suma % Suma % Suma % Suma % total FEADR 322 Renovarea, dezvoltarea satelor, îmbunătăţirea serviciilor de bază 19. pentru economia şi populaţia rurală şi punerea în valoare a 217,087 43,418 moştenirii rurale 5.80% 80% € 100% 173,669 € 80% € 20% 0€ 0% 341 Dobândire de competenţe, animare 20. şi implementarea strategiilor de dezvoltare locală 0.13% 80% 5,049 € 100% 4,039 € 80% 1,010 € 20% 0€ 0% 421 Încurajarea actorilor de la nivel local de a lucra împreună cu 21. reprezentanţii altor comunităţi din interiorul sau exteriorul 11,428 ţării 1.53% 80% 57,136 € 100% 45,708 € 80% € 20% 0€ 0%
  • 310.
    Contribuţii Denumirea măsurii Ponderea măsurii în Contribuţii Contribuţii Cost total publice planul de finanţare naţionale private FEADER % din % de costul contribuţie Suma % Suma % Suma % Suma % total FEADR 431.2 Stimularea formării de parteneriate, pregătirea şi 22. asigurarea implementării strategiilor de dezvoltare locală - 571,358 Asistenţă tehnică 15.28% 100% € 100% 571,358 € 100% 0€ 0% 0€ 0% 3,740,279 2,411,395 445,397 883,487 TOTAL 100.00% 64% € 100% € 64% € 12% € 24%
  • 311.
    III. Realizarea parteneriatuluişi funcţionarea GAL PARTEA a – V – a: Parteneriatul III.1. Prezentarea procesului de elaborare a Planului de dezvoltare Locală (parteneriatul care realizează Planul de Dezvoltare Locală) III.1.1 Consultări pe plan local Consultările privind înfiinţarea unui GAL au demarat în aprilie 2009, având în vedere informaţiile privitoare la Axa LEADER din „Programul Naţional de Dezvoltare Rurală, 2007 – 2013, versiunea consolidată 31 martie 2009, Număr CCI: 2007RO06RPO001”. Animarea actorilor a fost făcută din primul moment de domnul János DEMETER. În acelaşi timp preşedintele Consiliului Judeţean Covasna şi întreg Consiliul au acordat un puternic suport moral acestei iniţiative, CJ Covasna regăsindu-se printre fondatorii Asociaţiei. Lunar de două ori iniţiatorii s-au întâlnit pentru a contabiliza realizările şi a fixa următoarele sarcini de rezolvat. În mod natural localităţile au format două grupe: 1. Aita Mare, Baraolt, Băţani, Belin, Brăduţ, Malnaş, Vârghiş (zona de influenţă a Oraşului Baraolt) 2. Arcuş, Bixad, Bodoc, Ghidaflău, Micfalău, Valea Crişului (în afara zonei de influenţă a Oraşului Baraolt) În această fază de pregătire nu s-au formalizat grupuri de lucru. Întâlnirile avea trei mari teme: 1. informarea invitaţilor asupra abordării LEADER 1.1. Obiective şi Obiective operaţionale 1.2. Ponderea partenerilor în cadrul Grupului de Acţiune Locală 1.3. Spaţiul eligibil pentru implementarea axei LEADER 1.4. Procedura şi calendarul de selecţie a GAL -urilor 1.5. Criterii de eligibilitate şi de selecţie (parteneriat, teritoriu, strategie) 1.6. Descrierea circuitelor administrativ-financiare aplicabile GAL 1.6.1. Faza de selecţie a Grupurilor de Acţiune Locală 1.6.2. Faza de selecţie a proiectelor în cadrul GAL şi fluxurile acestora 1.6.3. Circuitul financiar pentru măsura 431 (sub-măsura 431.2) 1.7. Exemple de bune practici
  • 312.
    Aceste activităţi aufost acoperite de consultantul care ulterior a întocmit şi cerea de finanţare pentru măsura 431.1, şi care a coordonat din punct de vedere profesional implementarea proiectului, inclusiv realizarea strategiei locale. 2. abordarea a cât mai multor actori, posibili fondatori, cu scopul declarat de a îi convinge să participe activ la înfiinţarea asociaţiei respective – derularea activităţilor legate de înfiinţarea unei asociaţii În final Asociaţia are 59 de fondatori (ONG, asociaţii, culte religioase, IMM şi autorităţi locale). Astfel că, la momentul depunerii Cererii de finanţare pe măsura 431.1 înregistrarea Asociaţiei „Alutus” era demarată. Fondatorii au ales denumirea din limba latină a râului Olt: „Alutus” drept nume pentru asociaţie şi potenţialul GAL, din următoarele considerente: • Denumirea să reprezinte o valoare comună, a celor două micro-regiuni – râul Olt străbate aria geografică acoperită de potenţialul GAL • Denumirea să se refere la un element de tradiţie de moştenire culturală sau naturală – râul Olt fiind cel mai important râu care străbate aria geografică acoperită de potenţialul GAL • Denumirea să fie „vandabilă” pe „piaţa” internă – adică, să ajute la identificarea mai uşoară a ariei geografice acoperită de potenţialul GAL • Denumirea să fie „vandabilă” pe „piaţa” externă – latina fiind timp de secole „lingua franca” şi pentru Estul Europei S-a trecut apoi la finalizarea primei versiuni a statutului, pe modelul propus de consultant, iar apoi la trecerea Hotărârilor prin Consiliile Locale (şi prin Consiliul Judeţean în cazul fondatorului CJ Covasna). Au urmat discuţiile cu Prefectura Covasna pe marginea Hotărârilor şi a statutului asociaţiei. 3. consultarea participanţilor în legătură cu aşteptările faţă de o asemenea oportunitate şi inventarierea documentelor existente deja, care puteau fi o bază de pornire pentru fundamentarea unei viitoare strategii (mai ales strategii şi planuri locale de dezvoltare precum şi cele judeţene În primă fază au fost studiate strategiile de dezvoltare existente: Aita Mare Strategia 2020 Versiunea finală Ghidfalău Strategia 2020 Draft Malnaş Strategia de dezvoltare pe termen lung a comunei Micfalău STRATEGIA DE DEZVOLTARE PE DURATĂ MEDIE ŞI LUNGĂ 2008 - 2020 Oraş Baraolt STRATEGIA DE DEZVOLTARE Valea Crişului Strategia 2020 Draft Vârghis Strategia de dezvoltare durabilă - Planul de acţiune Strategia de dezvoltare a judeţului Covasna 2004 - 2015 PLAN DE DEZVOLTARE A JUDEŢULUI COVASNA PE TERMEN MEDIU (2006 – 2013), AGENDA 21 LOCALĂ A JUDEŢULUI COVASNA Strategia de dezvoltare a micro-regiunii Csomád - Bálványos Programul Naţional de Dezvoltare Rurală, 2007 – 2013, versiunea consolidată
  • 313.
    31 martie 2009,Număr CCI: 2007RO06RPO001 Pe perioada de implementare a proiectului legat de măsura 431.1 au fost organizate întâlniri – seminarii în fiecare localitate a potenţialului GAL, după cum urmează: Băţani 3 februarie Pentru aceste întâlniri ONG –urile din respectiva Bodoc 10 februarie localitate au pregătit câte o publicaţie conţinând pe lângă Belin 17 februarie informaţii generale despre potenţialul GAL o scurtă Ghidaflău 24 februarie prezentare a valorilor ce susţin identitatea locală a Brăduţ 3 martie comunităţii precum şi o inventariere a aşteptărilor faţă de Micfalău 10 martie programul LEADER şi utilitatea potenţialului GAL. Aita Mare 17 martie Bixad 24 martie Aceste publicaţii au fost răspândite în fiecare Vârghiş 31 martie comunitate, tot prin munca ONG –urilor locale. Valea Crişului 7 aprilie Au fost distribuite exemplare din seriile „O SELECȚIE a Malnaş 14 aprilie celor mai bune practici Leader+” şi „Leader+ Arcuş 21 aprilie Magazine”. Baraolt 28 aprilie Aceste întâlniri – seminarii au avut următorul desfăşurător: Start Finish min Activity 16:30 - 17:00 30 Înregistrarea participanţilor 17:00 - 17:05 5 Cuvânt de bun venit 17:05 - 17:20 15 Prezentarea Best Practice "Tree - Top - Walking"/Sauwald, Austria 17:20 - 17:25 5 Discutii 17:25 - 17:30 5 Prezentarea abordării LEADER 17:30 - 17:35 5 Discutii 17:35 - 17:40 5 Axa LEADER în PNDR 17:40 - 17:45 5 Discutii 17:45 - 17:55 10 Prezentarea iniţiativei "GAL Alutus" 17:55 - 18:00 5 Discutii 18:00 - 18:15 15 Pauza de cafea Prezentarea membrilor fondatori din arealul Comunei Gazda + 5 din alte 18:15 - 18:25 10 zone 18:25 - 18:30 5 Discutii 18:30 - 18:40 10 Prezentarea Proiectului "Alutus 431.1 + evoluţia strategiei locale 18:40 - 18:45 5 Discutii 18:45 - 18:55 10 Prezentarea GAL Dél - Mátra, Ungaria 18:55 - 19:00 5 Discutii 19:00 - 19:10 10 Prezentarea unui exemplu Best Practice 19:10 - 19:15 5 Discutii Prezentarea pliantului editat pentru seminarul Comunei Gazda + 19:15 - 19:25 10 prezentarea echipei redactionale 19:25 - 19:30 5 Cuvant de inchidere 19:30 - 20:00 30 Masa
  • 314.
    Din discuţiile purtateîntre actori, animatori şi consultant s-a putu constata: • Lipsa de informaţie legată de pilonul II al PAC şi de Axa LEADER • Nevoia acută de încurajare a inovaţiei, a reţelelor de producători, de abordare integrată producţie – procesare – desfacere • De lipsa de încredere în resursele endogene (tradiţii, meşteşuguri, moştenire culturală)
  • 315.
    Cu ocazia acestorseminarii, participanţii au fost rugaţi să completeze câte un chestionar: Importanţă 0-5 Creşterea competitivităţii sectoarelor agricol şi I. Axă forestier Măsură Formare profesională (training), informare şi difuzare de 111 cunoştinţe 112 Instalarea tinerilor fermieri 121 Modernizarea exploataţiilor agricole 122 Îmbunătăţirea valorii economice a pădurii Creşterea valorii adăugate a produselor agricole şi 123 forestiere Îmbunătăţirea şi dezvoltarea infrastructurii legate de 125 dezvoltarea şi adaptarea agriculturii şi silviculturii 141 Sprijinirea fermelor agricole de semi-subzistenţă 142 Înfiinţarea grupurilor de producători Furnizarea de servicii de consiliere şi consultanţă pentru 143 agricultori Importanţă 0 - 5 II. Axă Îmbunătăţirea mediului şi a spaţiului rural Măsură 211 Sprijin pentru Zona Montană Defavorizată Sprijin pentru zone defavorizate – altele decât zona 212 montană 214 Plăţi de Agro-mediu 221 Prima împădurire a terenurilor agricole Importanţă 0 - 5 Calitatea vieţii în zonele rurale şi diversificarea III. Axă economiei rurale Măsură Sprijin pentru crearea şi dezvoltarea de micro- 312 întreprinderi 313 Încurajarea activităţilor turistice Renovarea, dezvoltarea satelor, îmbunătăţirea serviciilor 322 de bază pentru economia şi populaţia rurală şi punerea în valoare a moştenirii rurale
  • 316.
    Pe acelaşi chestionarcei interesaţi puteau să indice posibile proiecte: Măsura (facultativ) Descriere Buget estimat € sau RON (facultativ) Prelucrând şi evaluând datele astfel obţinute a fost posibilă „fotografierea” priorităţilor şi evaluarea capacităţii de-a atrage fonduri. III.2. Modurile de asociere a diferiţilor parteneri Partner Type Count apl, 18.64% Autorităţi Publice Locale 11 Culte 6 ong, 37.29% IMM 20 ONG 22 cult, 10.17% 59 imm, 33.90% S-a respectat proporţia de maximum 49% Autorităţi Publice Locale în componenţa partenerilor. Populaţie 2002 De asemeni s-a respectat şi raportul între AITA MARE 1,777 numărul locuitorilor oraşului şi al BARAOLT 9,614 comunelor. BĂŢANI 4,521 BELIN 2,652 BODOC 2,503 BRĂDUŢ 4,686 GHIDFALĂU 2,607 MALNAŞ 4,877 VALEA CRIŞULUI 3,457 VÂRGHIŞ 1,904 Total Comune 38,598 80.06% ORAŞ BARAOLT 9,614 19.94% Total Alutus 48,212 100.00%
  • 317.
    III.2.1 Căutarea leader-ului; În mod firesc legitimitatea şi carisma animatorului principal al acestei iniţiative l-au desemnat drept leader informal pe domnul János DEMETER. Ca şi aplicant, în numele fondatorilor GAL „Alutus”, Asociaţia „Csillagőrző” a câştigat, prin activitatea sa dedicată moştenirii culturale şi a grijii faţă de mediul înconjurător, încrederea unanimă a fondatorilor, aceştia consfinţind decizia informală prin semnăturile date pe aplicaţia depusă pe măsura 431.1. III.2.2 O analiză sumară (localizare geografică, tipuri de localităţi – oraşe, comune, sate, număr de locuitori etc.) a localităţilor cuprinse în teritoriului dorit pentru viitorul potenţial GAL; Această analiză s-a făcut pentru aplicaţia depusă. Aria acoperită este localizată în zonă montană defavorizată. Indicatorii socio – economici plasează această zonă printre cele mai sărace din ţară. III.2.3 Identificarea persoanelor-resursă (cu care se va colabora). Acestea se vor stabili cu ajutorul autorităţilor din localităţile respective şi al DADR –urilor; Persoanele care au lucrat nemijlocit la implementarea proiectului pe măsura 431.1 au fost : Derzsi Sámuel, Demeter Zoltán, Fodor István, Demeter János, Demeter Ferenc, Benedek Márta, Incze Réka, Balázsi Dénes, Antal Esztilla. III.2.4 Pregătirea materialelor de prezentare a programului LEADER şi gruparea lor în vederea prezentării în cadrul întâlnirilor ce vor avea loc la iniţiativa leader -ului în prezenţa DADR -ului; Layout –ul materialelor ce au fost prezentate, precum conţinutul acestora au fost încorporate în cerea de finanţare, au fost prezentate DADR. S-a ţinut cont de respectarea spiritului abordării LEADER şi de cerinţele identităţii vizuale conform „CORPOR AT E D E S I G N MANUA L, European Commission, Directorate -General for Agriculture, April 2004”. III.2.5 Organizarea grupurilor de lucru (combinarea competenţelor) şi adunarea acestora în diferite întâlniri. III.2.5.1 Temele grupurilor de lucru Grup de lucru 1 - Dosarul de candidatură PARTEA I: Prezentarea teritoriului – Analiza diagnostic PARTEA a II-a: Analiza SWOT PARTEA a – III - a: Priorităţi PARTEA a – IV – a: Măsuri Grup de lucru 2 - Realizarea parteneriatului şi funcţionarea GAL PARTEA a – V – a: Parteneriatul PARTEA a – VI – a: Organizarea GAL -ului PARTEA a – VII – a: Mecanismul de implementare PARTEA a -VIII – a: Cooperare şi crearea şi implementarea reţelei
  • 318.
    Grup de lucru3 – Organizare – Logistică pentru Seminarii - Întâlniri III.2.5.2 Componenţa grupurilor de lucru Coordonator G1 Derzsi Sámuel Membru g1 Demeter Zoltán Membru g1 Fodor István Coordonator G2 Demeter János Membru g2 Demeter Ferenc Membru g2 Benedek Márta Coordonator G3 Incze Réka Membru g3 Balázsi Dénes Membru g3 Antal Esztilla
  • 319.
    III.2.5.3 Prima întâlnire Prima întâlnire: Băţani, 3 februarie 2010 Grup de lucru 1 - Dosarul de candidatură Grup de lucru 2 - Realizarea parteneriatului Grup de lucru 3 – Organizare – Logistică şi funcţionarea GAL pentru Seminarii - Întâlniri a) Prezentarea diagnosticului pe temă (teme); PARTEA I: Prezentarea teritoriului – Analiza PARTEA a – V – a: Parteneriatul Înregistrarea participanţilor – formulare, diagnostic III.1. Prezentarea procesului de elaborare a colectare II.2.1 Prezentarea geografică şi fizică Planului de dezvoltare Locală (parteneriatul Conţinutul prezentărilor: II.2.1.1 Prezentarea principalelor care realizează Planul de Dezvoltare Locală) Cuvânt de bun venit caracteristici geografice (amplasament, III.2. Prezentarea parteneriatului decizional Prezentarea Best Practice "Tree - Top - relief, altitudine,…) Walking"/Sauwald, Austria III.3. Resurse umane – animare - comunicare Prezentarea abordării LEADER II.2.1.2 Hărţi – planul localizării teritoriului PARTEA a – VI – a: Organizarea GAL -ului Axa LEADER în PNDR II.2.1.3 Populaţie - demografie III.3.1 Resurse umane Prezentarea iniţiativei "GAL Alutus" II.2.1.4 Patrimoniu de mediu III.3.2 Descrierea resurselor materiale Prezentarea Proiectului "Alutus 431.1 + II.2.1.5 Patrimoniu arhitectural şi cultural (echipamente, localuri disponibile) evoluţia strategiei locale II.2.1.6 Economia locală III.3.3 Buget indicativ anual de funcţionare a Prezentarea GAL Dél - Mátra, Ungaria GAL Prezentarea unui exemplu Best Practice II.2.1.7 Servicii şi infrastructuri medico- sociale III.3.4 Dispozitivul de comunicare şi Prezentarea pliantului editat pentru seminarul informare Comunei Gazda + prezentarea echipei II.2.1.8 Activităţi sociale şi instituţii locale redacţionale II.2.1.9 Bilanţul politicilor întreprinse în III.4. Implementarea proiectelor în cadrul GAL Chestionare – formulare, colectare teritoriu PARTEA a – VII – a: Mecanismul de Logistica necesară II.2.1.10 Elemente complementare privind prezentarea teritoriului implementare Organizarea pauzelor de cafea şi a mesei III.5. Implicarea GAL în acţiunile de cooperare şi în RNDR PARTEA a -VIII – a: Cooperare şi crearea şi implementarea reţelei III.5.1 Cooperare III.5.2 Crearea şi implementarea reţelei
  • 320.
    Prima întâlnire: Băţani,3 februarie 2010 Grup de lucru 1 - Dosarul de candidatură Grup de lucru 2 - Realizarea parteneriatului Grup de lucru 3 – Organizare – Logistică şi funcţionarea GAL pentru Seminarii - Întâlniri b) Schimburi şi aport de idei noi; În urma discuţiilor s-au conturat următoarele În urma discuţiilor s-au conturat următoarele Se constată că nici prin e-mail nici pe suport nu idei şi puncte de vedere comune: idei şi puncte de vedere comune: sosesc chestionare completate. Singurele Abordarea LEADER este o oportunitate şi un •Deoarece statutul a fost finalizat înaintea şi chestionare completate sunt cele colectate la instrument de modernizare pentru zonele trecut prin Consiliile Locale şi cel Judeţean, faţa locului la sfârşitul fiecărei întâlniri. rurale. înainte apariţia apelului pentru măsura 431.1., Aceasta rămâne singura modalitate de-a Gradualitatea este esenţială pentru succesul după înregistrarea Asociaţiei vor fi necesare intervieva actorii locali mai mobili, cei care vin demersului. de adus modificări în statut, astfel ca să la seminar. Şansa potenţialul GAL este de a se transforma devină conform cu cerinţele formulate în într-un purtător de valori locale şi generator de modelul planului de dezvoltare. locuri de muncă. Singura cale care poate da •Comitetul director al Asociaţiei va prezenta rezultate este cea abordării integrate. Adunării generale, spre aprobare, atât componenţa grupurilor de lucru cât şi Succesul este garantat de identificarea organigrama compartimentului administrativ, resurselor endogene, care asigură specificitatea urmând ca selectarea personalului să se facă localităţilor. Se vor face demersuri pentru cu sprijinul DADR identificarea acestor resurse pentru fiecare •Grupul de lucru va face un inventar al localitate în parte. resurselor materiale puse la dispoziţie de către Reînnoirea zonelor rurale are exemple de bune fondatori practici, de real succes în Austria, prin urmare •Bugetul indicativ de funcţionare se va stabili se va încerca transfer de know-how în acest funcţie de planul financiar adoptat. domeniu cu ajutorul partenerului din Austria. •Pentru informare şi comunicare se va apela în Prioritate absolută rămâne îmbunătăţirea continuare şi la consultanţă externă. infrastructurii rutiere, a alimentării cu apă (inclusiv canalizare). Se va crea un logo pentru GAL Alutus.
  • 321.
    Prima întâlnire: Băţani,3 februarie 2010 Grup de lucru 1 - Dosarul de candidatură Grup de lucru 2 - Realizarea parteneriatului Grup de lucru 3 – Organizare – Logistică şi funcţionarea GAL pentru Seminarii - Întâlniri b) Schimburi şi aport de idei noi; Piaţă de desfacere pentru produsele Alutus pot •Mecanismul de implementare va fi propus de fi oraşele (mici) cum ar fi Sfântu Gheorghe, către consultant, acceptat de către Comitetul Miercurea Ciuc, Tuşnad Băi (mai ales în director şi validat de către DADR sezonul estival), dar ţinta cea mai importantă ar •În momentul acreditării GAL, acesta va trebui să fie Braşov (inclusiv Poiana Braşov), solicita statutul de membru al RNDR şi va şi apoi staţiunile din Valea Prahovei. iniţia demersurile pentru accederea în reţeaua Se vor avea în vedere exemple din Austria, UE cum ar fi: •Unele comunităţi se specializează pe produse „bio” şi procesarea acestora. Produsele să ajungă la consumatori fără intermediari – eventual prin e-commerce, bazat pe web. •Spaţiul rural să rămână un spaţiu integrat în natură, în mediul înconjurător (de ex. crearea de spaţii verzi în interiorul localităţilor). Trasee „bio” recreative, cu popasuri la izvoare de apă minerală, degustări de produse locale, etc. •Unele comunităţi să înfiinţeze cămine ecologice (din materiale naturale, cu confortul necesar, cu baterii solare spre exemplu)
  • 322.
    Prima întâlnire: Băţani,3 februarie 2010 Grup de lucru 1 - Dosarul de candidatură Grup de lucru 2 - Realizarea parteneriatului Grup de lucru 3 – Organizare – Logistică şi funcţionarea GAL pentru Seminarii - Întâlniri c) Căutarea de eventuale informaţii suplimentare. Faţă de sursele iniţiale, se vor mai folosi Cu ocazia întâlnirilor, partenerii externi vor fi În permanenţă, după fiecare seminar se va face următoarele: solicitaţi să dea informaţii asupra o evaluare succintă asupra aşteptărilor faţă de •Institutul de Memorie Culturală, Poarta către mecanismelor de implementare pe care le publicaţia „personalizată” pe comunitatea patrimoniul cultural românesc www.cimec.ro aplică şi mai cu seamă asupra riscurilor gazdă şi asupra utilităţii chestionarului. Aceste •http://www.prefecturacv.ro/Monografie existente şi a problemelor cu care s-au evaluări se vor face pe baza discuţiilor purtate •http://www.apmcv.ro/documente/Biodiversita confruntat. la faţa locului cu participanţii interesaţi. te/Vegetatia%20forestiera.pdf •MINISTERUL MEDIULUI, AGENŢIA NAŢIONALĂ PENTRU PROTECŢIA MEDIULUI, AGENŢIA REGIONALĂ PENTRU PROTECŢIA MEDIULUI SIBIU, Raport privind starea factorilor de mediu pe semestrul I. 2009 •Agenţia Regională pentru Protecţia Mediului Sibiu, PLANUL REGIONAL DE ACŢIUNE PENTRU MEDIU, REGIUNEA 7 CENTRU •Arii de interes comunitar – Reţeaua Natura 2000 – www.apmcv.ro/documente/.../Natura%20200 0.pdf •http://www.apmcv.ro/veche/html/arii_protejat e_si_natura_2000.html •http://www.arpm7c.ro/Harta-arii-naturale- protejate-4111 •Agenţia pentru protecţia mediului Covasna – Anuar 2007
  • 323.
    Prima întâlnire: Băţani,3 februarie 2010 Grup de lucru 1 - Dosarul de candidatură Grup de lucru 2 - Realizarea parteneriatului Grup de lucru 3 – Organizare – Logistică şi funcţionarea GAL pentru Seminarii - Întâlniri c) Căutarea de eventuale informaţii suplimentare. •Anexa 8 - ARII NATURALE PROTEJATE DECLARATE LA NIVEL LOCAL •Starea ariilor protejate în judeţul Covasna - http://www.apmcv.ro/index.php?option=co m_content&view=article&id=72&Itemid=10 5 •Habitatele naturale. Flora şi fauna sălbatică în judeţul Covasna. - http://www.apmcv.ro/index.php?option=com _content&view=article&id=45&Itemid=111 •Reţeaua şcolară a judeţului Covasna - http://isj.educv.ro/node/128Servicii sociale în Covasna - http://sas.mmssf.ro/servicii_furnizori.php?jud et=covasna •Reţeaua sanitară în judeţul Covasna - http://www.dspcovasna.ro/index.php?content =reteaua •Recensământul populaţiei şi locuinţelor 2002 - http://www.recensamant.ro/fisiere/rezultatefin ale.zip •INSSE Anuarul statistic 2007
  • 324.
    Prima întâlnire: Băţani,3 februarie 2010 Grup de lucru 1 - Dosarul de candidatură Grup de lucru 2 - Realizarea parteneriatului Grup de lucru 3 – Organizare – Logistică şi funcţionarea GAL pentru Seminarii - Întâlniri c) Căutarea de eventuale informaţii suplimentare. •www.mie.ro/_documente/ - GRANT CONTRACTS AWARDED DURING OCTOBER - NOVEMBER 2002, FINANCING SOURCE: Budget line RO0007.02.01,1. Grants awarded under Call for Proposal CP – 1/2001 published on June 2001; GRANT CONTRACTS AWARDED DURING OCTOBER - NOVEMBER 2002, FINANCING SOURCE: Budget line RO0007.02.01, 1. Grants awarded under Call for Proposal CP – 1/2001 published on 20 May 2001; GRANT CONTRACTS AWARDED DURING NOVEMBER 2003, FINANCING SOURCE: Budget line RO 0108.03.05, 1. Grants awarded under Call for Proposal CP – 3/2002 published on 19 July 2002; Phare/2004/016-772.04.01.04.01.02, CFP 3/2006 published on August 2, 2006, Project Preparation Grant Scheme for private sector in the field of waste management; "Proiect RO 2005/017-553.04.01.04.01 „Schema de investiţii pentru sprijinirea iniţiativelor sectorului public în sectoarele prioritare de mediu” (Schema de granturi: Investiţii publice în sectoarele de mediu);
  • 325.
    III.2.5.4 A douaîntâlnire A doua întâlnire: Bixad, 24 martie 2010 Grup de lucru 1 - Dosarul de candidatură Grup de lucru 2 - Realizarea parteneriatului Grup de lucru 3 – Organizare – Logistică şi funcţionarea GAL pentru Seminarii - Întâlniri a) Stabilirea principalelor acţiuni ce urmează a se desfăşura în continuare; PARTEA a II-a: Analiza SWOT PARTEA a -VIII – a: Cooperare şi crearea şi La jumătatea seminarelor se face o evaluare PARTEA a – III - a: Priorităţi implementarea reţelei pentru a putea opera corecţiile necesare. PARTEA a – IV – a: Măsuri III.5.1 Cooperare • Se constată că în continuare comunicarea cu Pentru subcapitolul III.5.1. până cel târziu pe fondatorii via email este deficitară. În ciuda data de 15 aprilie 2010 se for perfecta acestui fapt, altă cale de a transmite actorilor înţelegerile cu partenerii externi, după cum implicaţi diferitele variante de strategii nu urmează: există. • GAL Sauwald Austria: Pasarela pe deasupra • Se constată că, chestionarele trimise pe email copacilor – transfer de know – how, nu sunt returnate, rămâne ca la fiecare planificarea proiectului întâlnire participanţii să fie încurajaţi să completeze chestionare la faţa locului. • GAL Dél Mátra Ungaria: A doua întâlnire: Bixad, 24 martie 2010 Grup de lucru 1 - Dosarul de candidatură Grup de lucru 2 - Realizarea parteneriatului Grup de lucru 3 – Organizare – Logistică şi funcţionarea GAL pentru Seminarii - Întâlniri b) Formalizarea şi structurarea propunerilor, apoi o întâlnire cu DADR pentru identificarea măsurilor din cadrul PNDR, adaptate acţiunilor prevăzute. Se vor prezenta DADR Analiza actorilor, Arborele problemă, Arborele obiectivelor, Priorităţi, Măsuri, Planul financiar, Proceduri, Resurse umane, Planuri de cooperare.
  • 326.
    III.2.5.5 A treiaîntâlnire: A treia întâlnire: Arcuş, 21 aprilie 2010 Validarea strategiei, a propunerilor şi a alegerii organizării acţiunilor Grup de lucru 1 - Dosarul de candidatură Grup de lucru 2 - Realizarea parteneriatului Grup de lucru 3 – Organizare – Logistică şi funcţionarea GAL pentru Seminarii - Întâlniri a) Prezentarea concluziilor lucrărilor în faţa reprezentanţilor localităţilor din teritoriu şi a celorlalţi parteneri esenţiali ai teritoriului, apoi oficializarea parteneriatului, (de pildă, printr-un comitet de selecţie provizoriu); Se prezintă Arborele problemă, Arborele obiectivelor, Priorităţi, Măsuri, Planul financiar, Proceduri, Resurse umane, Planuri de cooperare - – toate acestea în prezentări powerpoint, după ce săptămânal actorii implicaţi au primit variantele actualizate ale strategiei. A treia întâlnire: Arcuş, 21 aprilie 2010 Validarea strategiei, a propunerilor şi a alegerii organizării acţiunilor Grup de lucru 1 - Dosarul de candidatură Grup de lucru 2 - Realizarea parteneriatului Grup de lucru 3 – Organizare – Logistică şi funcţionarea GAL pentru Seminarii - Întâlniri b) Elaborarea candidaturii şi rediscutarea acesteia cu reprezentanţii DADR; Dosarul de candidatură a fost rediscutat cu reprezentanţii DADR, urmând să se opereze modificările ce se impun. A treia întâlnire: Arcuş, 21 aprilie 2010 Validarea strategiei, a propunerilor şi a alegerii organizării acţiunilor Grup de lucru 1 - Dosarul de candidatură Grup de lucru 2 - Realizarea parteneriatului Grup de lucru 3 – Organizare – Logistică şi funcţionarea GAL pentru Seminarii - Întâlniri c) Validarea dosarului de candidatura final de către parteneri. Dosarul a fost validat în unanimitate, fără observaţii.
  • 327.
    Schemă de animarea elaborării candidaturii: LEADER – ANIMATOR Demeter János G2 A l e ş i ş i p e r s o a n e r e s u r s e Mobilizare G1 g1 g1 g2 g2 G3 g3 g1-3 Derzsi Demeter Fodor Demeter Benedek Incze Balázsi Antal Sámuel Zoltán István Ferenc Márta Réka Dénes Esztilla Grup de lucru 1 Grup de lucru 2 Grup de lucru 3 Dosarul de candidatură Realizarea parteneriatului şi Organizare – Logistică pentru funcţionarea GAL Seminarii - Întâlniri Prima întâlnire: a) Prezentarea diagnosticului pe temă (teme); b) Schimburi şi aport de idei noi; c) Căutarea de eventuale informaţii suplimentare. Î P I: Prezentarea teritoriului – P V: Parteneriatul Înregistrarea participanţilor – Analiza diagnostic P VI: Organizarea GAL -ului formulare, colectare n PVII: Mecanismul de implementare Conţinutul prezentărilor P VIII: Cooperare şi crearea şi Chestionare – formulare, colectare Coordonare - elaborare implementarea reţelei Logistica necesară s Catering A doua întâlnire: a) Stabilirea principalelor acţiuni ce urmează a se desfăşura în continuare; b) Formalizarea şi structurarea propunerilor, apoi o întâlnire cu DADR pentru u identificarea măsurilor din cadrul PNDR, adaptate acţiunilor prevăzute. P II: Analiza SWOT P III: Priorităţi P VIII: Cooperare şi crearea şi implementarea reţelei La jumătatea seminarelor se face o evaluare pentru a putea opera ş P IV: Măsuri III.5.1 Cooperare corecţiile necesare. b) Se vor prezenta DADR Analiza actorilor, Arborele problemă, Arborele obiectivelor, Priorităţi, Măsuri, Planul i financiar, Proceduri, Resurse umane, Planuri de cooperare. A treia întâlnire: a) Prezentarea concluziilor lucrărilor în faţa reprezentanţilor localităţilor din teritoriu şi r a celorlalţi parteneri esenţiali ai teritoriului, apoi oficializarea parteneriatului, (de pildă, printr-un comitet de selecţie provizoriu); b) Elaborarea candidaturii şi rediscutarea acesteia cu reprezentanţii DADR; c) Validarea dosarului de candidatura final de către parteneri. e a) Se prezintă Arborele problemă, Arborele obiectivelor, Priorităţi, Măsuri, Planul financiar, Proceduri, Resurse umane, Planuri de cooperare - – toate acestea în prezentări powerpoint, după ce săptămânal actorii implicaţi au primit variantele actualizate ale strategiei. b) Dosarul de candidatură a fost rediscutat cu reprezentanţii DADR, urmând să se opereze modificările ce se impun. Validare c) Dosarul a fost validat în unanimitate, fără observaţii. Elaborarea şi centralizarea Procesele verbale ale întâlnirilor Depunerea candidaturii – 30 iunie 2010
  • 328.
    III.3. Prezentarea parteneriatuluidecizional III.3.1 Descrierea partenerilor Partenerii vor fi asociaţi la procesul de monitorizare a proiectului din partea instituţiilor pe care le reprezintă şi a funcţiilor ocupate de aceştia in cadrul acestora, făcând distincţia între partenerii publici, privaţi şi ONG. Tabelul de mai jos precizează componenţa comitetului de selectare a proiectelor selectate de GAL Selecţia proiectelor va fi realizată de către un Comitet de Selecţie, format din membrii GAL. În ceea ce priveşte selecţia proiectelor în cadrul GAL, se va aplica regula „dublului cvorum”, respectiv pentru validarea voturilor, este necesar ca în momentul selecţiei să fie prezenţi cel puţin 50% din parteneri, din care peste 50% să fie din mediul privat şi societate civilă. Pentru transparenţa procesului de selecţie a proiectelor în cadrul GAL şi totodată pentru efectuarea activităţilor de control şi monitorizare, la aceste selecţii va lua parte şi un reprezentant al Ministerului Agriculturii şi Dezvoltării Rurale de la nivel judeţean (DADR)”.
  • 329.
    PARTENERI PUBLICI Numeşi prenume Instituţia Funcţia Tip* /Observaţii BALÁZSI Dénes Primăria Brăduţ primar ADMIN DEMETER János CJ Covasna vicepreşedinte ADMIN FODOR István Primăria Bodoc primar ADMIN PARTENERI PRIVAŢI Nume şi prenume Instituţia Funcţia Tip* /Observaţii DERZSI Sámuel Ex Libris srl, Oraş director IMM Baraolt INCZE Réka sc INCZENTER srl, administrator IMM Fotoş ONG Nume şi prenume Instituţia Funcţia Tip* /Observaţii BENEDEK Márta Asociatia "BODVAJ", preşedinte ONG Băţanii Mici DEMETER Ferenc Asociaţia Fanfara membru ONG Trombon, Micfalău ALEŞI Nume şi prenume Instituţia Funcţia Tip* /Observaţii ANTAL Esztilla ALES intercomunal - membru ALES zona Olt DEMETER Zoltán ALES intercomunal membru ALES zona Baraolt prin Asociaţia Speo- Turistică şi de Protecţia Naturii „LUMEA PIERDUTĂ”, Oraş Baraolt
  • 330.
    III.3.1.1 Membrii supleanţi PARTENERI PUBLICI Nume şi prenume Instituţia Funcţia Tip* /Observaţii Nyáguly Vilmos Primăria Micfalău primar ADMIN Bardócz Csaba Primăria Băţani vicepreşedinte ADMIN Sikó Imre Primăria Belin primar ADMIN PARTENERI PRIVAŢI Nume şi prenume Instituţia Funcţia Tip* /Observaţii Gazdag Levente Sc Discover srl director IMM Nagy Mihály sc PRODUCŢIE şi administrator IMM COMERCIALĂ TRIO IMPEX srl ONG Nume şi prenume Instituţia Funcţia Tip* /Observaţii Dénes Ildikó Asociaţia Speo- preşedinte ONG Turistica si de Protectia Naturii „LUMEA PIERDUTA” Ájgel Ágnes Asociaţia de tineret din membru ONG comuna Bixad ALEŞI Nume şi prenume Instituţia Funcţia Tip* /Observaţii Bocskor László ALES intercomunal - membru ALES zona Olt Gödri Miklós ALES intercomunal membru ALES zona Baraolt
  • 331.
    Membri Comisiei deSelecţie: 9 ALES, 22% ADMIN, 33% ONG, 22% IMM, 22% 2 din 9 membri, adică 22,22% sun reprezentanţi ai unor actori din Oraşul Baraolt. III.3.1.2 Regula „dublului cvorum” III.3.1.2.1 Prezenţă minimă obligatorie Persoane Procente prezenţă minimă obligatorie 5 100.00% ADMIN 1 22.22% IMM + ONG + ALEŞI 4 77.78% Persoane Procente prezenţă minimă obligatorie 5 100.00% ADMIN 2 44.44% IMM + ONG + ALEŞI 3 55.56% III.3.1.2.2 Prezenţă peste cvorumul minim obligatoriu + 1 Persoane Procente prezenţă > minimă obligatorie 6 100.00% ADMIN 1 16.67% IMM + ONG + ALEŞI 5 83.33% Persoane Procente prezenţă > minimă obligatorie 6 100.00% ADMIN 2 33.33% IMM + ONG + ALEŞI 4 66.67%
  • 332.
    III.3.1.2.3 Prezenţă pestecvorumul minim obligatoriu + 2 Persoane Procente prezenţă > minimă obligatorie 7 100.00% ADMIN 1 14.29% IMM + ONG + ALEŞI 6 85.71% Persoane Procente prezenţă > minimă obligatorie 7 100.00% ADMIN 2 28.57% IMM + ONG + ALEŞI 5 71.43% Persoane Procente prezenţă > minimă obligatorie 7 100.00% ADMIN 3 42.86% IMM + ONG + ALEŞI 4 57.14% III.3.1.2.4 Prezenţă peste cvorumul minim obligatoriu + 3 Persoane Procente prezenţă > minimă obligatorie 8 100.00% ADMIN 1 12.50% IMM + ONG + ALEŞI 6 75.00% Persoane Procente prezenţă > minimă obligatorie 8 100.00% ADMIN 2 25.00% IMM + ONG + ALEŞI 6 75.00% Persoane Procente prezenţă > minimă obligatorie 8 100.00% ADMIN 3 37.50% IMM + ONG + ALEŞI 5 62.50%
  • 333.
    III.3.1.2.5 Prezenţă pestecvorumul minim obligatoriu + 4 Persoane Procente prezenţă > minimă obligatorie 9 100.00% ADMIN 1 11.11% IMM + ONG + ALEŞI 6 66.67% Persoane Procente prezenţă > minimă obligatorie 9 100.00% ADMIN 2 22.22% IMM + ONG + ALEŞI 6 66.67% Persoane Procente prezenţă > minimă obligatorie 9 100.00% ADMIN 3 33.33% IMM + ONG + ALEŞI 6 66.67%
  • 334.
    III.3.2 Crearea şifuncţionarea GAL - ului La nivelul GAL ului, organele asociaţiei sunt: Organele Asociaţiei la nivelul GAL Adunarea generala Cenzorul sau, după caz, comisia de cenzori Consiliul director Comitetul de selectare a proiectelor Compartiment administrativ III.3.2.1 Organele Asociaţiei STATUTUL ASOCIAŢIEI ”ALUTUS REGIO EGYESÜLET” CAPITOLUL 4 ORGANIZAREA ŞI FUNCŢIONAREA ASOCIAŢIEI Art. 16. Organele Asociaţiei sunt: a) Adunarea Generală; b) Consiliul director; c) Cenzorul; d) Comitetul de selectare a proiectelor; e) Compartiment administrativ
  • 335.
    III.3.2.2 Adunarea generala STATUTULASOCIAŢIEI ”ALUTUS REGIO EGYESÜLET” CAPITOLUL 4 ORGANIZAREA ŞI FUNCŢIONAREA ASOCIAŢIEI Art. 17. (1) Adunarea Generală este organul de conducere, alcătuit din totalitatea asociaţilor. (2) adunarea Generală are următoarele atribuţii: a) aprobarea strategiei si a obiectivelor generale ale GAL; b) alegerea si revocarea membrilor consiliului de selecţie c) aprobarea bugetului de venituri şi cheltuieli şi a bilanţului contabil; d) alegerea şi revocarea Consiliului director; e) alegerea şi revocarea cenzorului, sau, după caz, a membrilor comisiei de cenzori; f) înfiinţarea de filiale, sucursale, puncte de lucru în ţară şi în străinătate; g) modificarea actului constitutiv şi a statutului; h) dizolvarea şi lichidarea Asociaţiei precum şi stabilirea bunurilor rămase după lichidare; i) aprobarea cuantumului taxei de înscriere, precum şi a cotizaţiei anuale datorată de către membrii Asociaţiei la propunerea Consiliului director; j) orice dispoziţii prevăzute în statut. Art. 18. Adunarea Generală se întruneşte o dată pe an şi ori de câte ori este necesar în sesiune extraordinară. Art. 19. Adunarea Generală are drept de control permanent asupra Consiliului director, a cenzorului, a Comitetului de selectare a proiectelor, a Compartimentului administrativ. Art. 20. Adunarea Generală se convoacă de Consiliul director prin preşedintele acestuia sau la cererea scrisă şi motivată a cel puţin unei treimi din numărul membrilor Asociaţiei. Art. 21. (1) Convocarea Adunării Generale se face în scris cu cel puţin zece zile calendaristice înainte de data convocării şi va trebui să cuprindă locul şi data convocării, precum şi ordinea de zi. (2) Adunarea Generală este legal constituită dacă la ea participă două treimi dintre membrii Asociaţiei, la prima convocare. (3) Convocarea a doua se face în cel mult cinci zile de la data primei convocări. La a doua convocare Adunarea Generală va putea hotărî cu majoritatea celor prezenţi.
  • 336.
    III.3.2.3 Consiliul director STATUTULASOCIAŢIEI ”ALUTUS REGIO EGYESÜLET” CAPITOLUL 4 ORGANIZAREA ŞI FUNCŢIONAREA ASOCIAŢIEI Art. 24. (1) Consiliul director asigură punerea în executare a hotărârilor Adunării Generale. El poate şi alcătuit şi din persoane din afara Asociaţiei, în limita a cel mult o pătrime din componenţa sa. (2) Consiliul director este format din 7 membri, numiţi de Adunarea Generală pe un mandat de 1 an. Consiliul Director va asigura cât mai bine reprezentativitatea în cadrul acestui organ a tuturor membrilor Asociaţiei, utilizând principiul reprezentării prin rotaţie. (3) Consiliul director este alcătuit din: un preşedinte, un vicepreşedinte, un secretar şi 4 membri. (4) Preşedintele este ales de membrii Consiliului director din cadrul lor. (5) Fiecare membru al Consiliului director are dreptul la un singur vot. (6) Mandatul membrilor Consiliului director încetează înainte de expirarea duratei pentru care au fost aleşi, prin demisie, revocare, pierderea calităţii de membru al Asociaţiei sau deces. Art. 25. Consiliul director are următoarele atribuţii: a) prezintă Adunării Generale raportul de activitate pe perioada anterioară, executarea bugetului de venituri şi cheltuieli, bilanţul contabil, proiectul bugetului de venituri şi cheltuieli şi proiectul programelor Asociaţiei; b) încheie acte juridice în numele şi pe seama Asociaţiei; c) aprobă organigrama şi politica de personal ale Asociaţiei, dacă prin statut nu se prevede altfel; d) îndeplineşte orice alte atribuţii prevăzute în statut sau stabilite de Adunarea Generală. e) Consiliul director îşi poate elabora un regulament intern de funcţionare. Nu poate fi membru al consiliului director, iar daca era, pierde aceasta calitate orice persoana care ocupa o funcţie de conducere in cadrul unei instituţii publice, daca asociaţia respectiva are ca scop sprijinirea activităţii acelei instituţii publice. Art. 26. (1) Consiliul director, se întruneşte lunar şi lucrează valabil în prezenţa a tuturor membrilor săi şi decide valabil cu unanimitate de voturi. (2) Discuţiile şi deciziile se consemnează într-un registru de procese-verbale de către unul din membrii Consiliului director şi care se păstrează la sediul Asociaţiei. (3) Procesul-verbal se va semna de toţi membrii participanţi la şedinţă, şi se va aduce la cunoştinţa tuturor la cererea membrilor Asociaţiei. (4) Dispoziţiile art.22 se aplică în mod corespunzător.
  • 337.
    III.3.2.4 Cenzorul STATUTUL ASOCIAŢIEI”ALUTUS REGIO EGYESÜLET” CAPITOLUL 4 ORGANIZAREA ŞI FUNCŢIONAREA ASOCIAŢIEI Art. 28. (1) Controlul financiar al Asociaţiei este asigurat de un cenzor, ales de Adunarea Generală pentru un mandat de un an. (2) În cazul în care numărul membrilor Asociaţiei depăşeşte 100 de membri înscrişi până la data întrunirii ultimei Adunări Generale, controlul financiar intern se va exercita de către o comisie de cenzori format din trei membri. (3) Membrii consiliului director nu pot fi cenzori. (4) Cel puţin unul dintre cenzori trebuie sa fie contabil autorizat sau expert contabil, in condiţiile legii. Art. 29. Cenzorul are următoarele atribuţii: a) verifică modul în care este administrat patrimoniul Asociaţiei; b) verifică îndeplinirea condiţiilor statutare privitoare la prezenţă şi vot în Adunările Generale; c) verifică gestiunea Asociaţiei, consemnând constatările într-un registru de procese-verbale; d) întocmeşte pe baza verificării efectuate şi prezintă Adunării Generale, rapoarte asupra activităţii sale şi asupra gestiunii Asociaţiei; e) participă la şedinţele Consiliului director fără drept de vot; f) îndeplineşte orice alte atribuţii stabilite de Adunarea Generală.
  • 338.
    III.3.2.5 Comitetul deselectare a proiectelor STATUTUL ASOCIAŢIEI ”ALUTUS REGIO EGYESÜLET” CAPITOLUL 4 ORGANIZAREA ŞI FUNCŢIONAREA ASOCIAŢIEI Art. 30. Comitetul de selectarea a proiectelor (a) Fiecare comitet va fi alcătuit din 5 – 15 de persoane (reprezentanţi ai autorităţilor şi organizaţiilor care fac parte din parteneriat) funcţie de mărimea parteneriatului şi a numărului de entităţi care fac parte din acesta. La nivelul luării deciziilor, partenerii economici şi sociali, precum şi alţi reprezentanţi ai societăţii civile, trebuie să reprezinte mai mult de 50% din parteneriatul local, iar organizaţiile ce provin din eventuale oraşe având ca responsabilitate şi zona rurală învecinată – consilii judeţene, prefecturi, consilii locale, furnizori de formare, servicii de consultanţă etc., nu vor depăşi 25%. (b) În ceea ce priveşte selecţia proiectelor în cadrul GAL, se va aplica regula „dublului cvorum”, respectiv pentru validarea voturilor, este necesar ca în momentul selecţiei să fie prezenţi cel puţin 50% din parteneri, din care peste 50% să fie din mediul privat şi societate civilă. (c) Dacă unul din proiectele depuse pentru selectare, aparţine unuia din membrii comitetului, în această situaţia persoana (organizaţia) în cauza nu are drept de vot şi nu va participă la întâlnirea comitetului respectiv. (d) Pentru transparenţa procesului de selecţie a proiectelor în cadrul GAL şi totodată pentru efectuarea activităţilor de control şi monitorizare, la aceste selecţii va lua parte şi un reprezentant al Ministerului Agriculturii şi Dezvoltării Rurale de la nivel judeţean (DADR).
  • 339.
    Aleşii comunali şiintercomunali Întreprinderi private: (inclusiv agricultori, meşteşugari, via asociaţii publice): proprietari de hoteluri/restaurante: 2 membri – 22% 2 membri – 22% Comitet de selecţie LEADER Reprezentanţi ai Asociaţii private Administraţiilor Public: Privat: „independente” : locale şi judeţene: 33% 67% 2 membri – 22% 3 membri – 33% Reprezentant DADR Număr de membri: 9. Pentru fiecare membru titular, vor fi prevăzuţi supleanţi III.3.2.6 Compartimentul administrativ Compartiment Administrativ Responsabil administrativ - Director executiv al Asociaţiei 1 Consultant Consultant extern financiar – extern Dezvoltare Rurală & contabil Identitate Vizuală & Informare Angajat pentru activităţi de Sector tehnic: 4, Animatori total: 2, secretariat 1 Valea Oltului 2, Zona Baraolt 2 Valea Oltului 1, Zona Baraolt 1
  • 340.
    STATUTUL ASOCIAŢIEI ”ALUTUSREGIO EGYESÜLET” CAPITOLUL 4 ORGANIZAREA ŞI FUNCŢIONAREA ASOCIAŢIEI Art. 31. Compartimentul administrativ va avea următoarea componenţă a) Responsabil administrativ – coordonează activitatea GAL atât sub aspect organizatoric cit si al respectării procedurilor de lucru; b) Responsabil financiar – contabil – se ocupa de supravegherea si controlul gestiunii financiare – contabile a GAL; c) Animatori – desfăşoară activităţi de animare pentru promovarea acţiunilor GAL; d) Sector tehnic – se va stabili un număr de angajaţi funcţie de complexitatea activităţilor de la nivelul GAL, având ca sarcină verificarea şi selecţia proiectelor ce se vor implementa; e) Consultanţi externi – funcţie de necesităţi pentru buna desfăşurare a activităţilor GAL; f) Angajat pentru activităţi de secretariat.
  • 341.
    III.4. Resurse umane– animare - comunicare PARTEA a – VI – a: Organizarea GAL-ului III.4.1 Resurse umane III.4.1.1 Activităţi desfăşurate la nivelul GAL STATUTUL ASOCIAŢIEI ”ALUTUS REGIO EGYESÜLET” CAPITOLUL 2 SCOPUL, OBIECTIVELE ŞI ACTIVITĂŢILE ASOCIAȚIEI Art. 7. Pentru atingerea şi realizarea obiectivelor, Asociaţia va realiza următoarele activităţi: a) elaborarea şi implementarea strategiilor integrate de dezvoltare locală; b) instruirea personalului în vederea elaborării şi implementării strategiilor integrate de dezvoltare locală şi informare asupra strategiilor elaborate; c) colectarea, analiza şi difuzarea de informaţii privind acţiunile de dezvoltare rurală; d) colectarea, difuzarea şi consolidarea bunelor practici de dezvoltare rurală; e) constituirea şi animarea unor reţele de experţi pentru a facilita schimburile de cunoştinţe şi pentru a susţine punerea în aplicare şi evaluarea politicii de dezvoltare rurală; f) organizarea de întruniri, conferinţe, dezbateri, mese rotunde şi ateliere de lucru; g) organizarea de sesiuni de comunicări pentru prezentarea lucrărilor, studiilor şi strategiilor elaborate; h) organizarea de schimburi de experienţă şi stagii de formare; i) participare la întrunirile reţelelor interne şi europene; j) editarea de publicaţii proprii; k) stabilirea raporturilor cu alte persoane fizice sau juridice din ţară şi străinătate, putând participa la înfiinţarea unor organizaţii în acest domeniu; l) apel pentru proiecte; m) sprijinirea depunătorilor de proiecte; n) organizarea procesului de verificare şi decizie asupra proiectelor depuse; o) monitorizarea proiectelor; p) alte forme şi mijloace stabilite de Adunarea Generală, în condiţiile legii.
  • 342.
    III.4.1.1.1 FIŞA POSTULUI- Responsabil administrativ – Director executiv al Asociaţiei Denumirea postului de munca: Responsabil administrativ – Director executiv al Asociaţiei Obiectivele specifice ale •Este responsabil pentru atingerea scopurilor activităţii de muncă: Asociaţiei, în special pentru implementarea cu succes a activităţilor programului LEADER. •Titularul postului are rolul de a asigura conducerea, organizarea şi funcţionarea organizaţiei cu eficienţă maximă prin angajarea resurselor financiare, tehnologice şi umane necesare, în primul rând cele legate de implementarea proiectelor în cadrul GAL: o Informare o Sprijinirea elaborării proiectelor o Lansarea apelului pentru proiecte o Selectarea proiectelor o Decizie o Monitorizare o Arhivare
  • 343.
    Responsabilităţi, sarcini, •Coordonează eficient activitatea Compartimentului activităţi si acţiuni specifice Administrativ, în primul rând cele legate de postului de munca: comunicare şi informare şi de implementarea proiectelor în cadrul GAL: •Comunicare şi informare destinată locuitorilor şi actorilor implicaţi în dezvoltarea teritoriului în legătură cu buna funcţionare a GAL şi implementarea tuturor acţiunilor din cadrul strategiei de dezvoltare locală: o întâlniri – conferinţe tematice, o seminarii ad-hoc, o grupuri de lucru, o afişe, publicaţii, o acces la baze de date, o elaborare şi diseminare de materiale, mas-media etc. •Implementarea proiectelor în cadrul GAL: o Luarea operativă a deciziilor asupra implementării proiectului (sau depistarea problemelor); o Efectuarea zilnică a gestionării proiectului; o Executarea operativă şi corectă a procedurilor de gestionare a resurselor; o Facilitarea coordonării între activităţile componentelor; o Monitorizarea şi raportarea la timp despre realizările şi rezultatele proiectului; o Informaţia despre conţinutul proiectului şi realizările acestuia este oferită factorilor de decizie la cel mai înalt nivel. •Semnează contracte cu furnizorii, clienţii, beneficiarii şi partenerii strategici. •Semnează referate de investiţii, statele de plată şi rapoartele financiare ale organizaţiei. •Comunică angajaţilor şi colaboratorilor valorile şi obiectivele strategice ale organizaţie •Stabileşte obiectivele colaboratorilor din subordine, termenele-limită şi modalităţile de măsurare a gradului de realizare a obiectivelor
  • 344.
    Poziţia postului demunca in cadrul structurii organizaţiei Postul imediat superior/Este Consiliului Director subordonat: Subordonări: Are in subordine: •Angajat pentru activităţi de secretariat 1 •Sector tehnic, Experţi 4 •Animatori 2 •Consultant extern financiar – contabil •Consultant extern Dezvoltare Rurală & Identitate Vizuală & Informare Este înlocuit de: Persoana desemnată de către Consiliul Director Relaţiile de munca Funcţionale: Formulează şi implementează procedurile de importanţă generală pentru organizarea şi derularea proceselor principale la nivel de organizaţie. În acest sens, are relaţii cu: angajaţii permanenţi, angajaţii contractuali şi consultanţi externi. De reprezentare: Reprezintă organizaţia faţă de organele de control de specialitate, în relaţia cu furnizorii, clienţii, beneficiarii, persoanele/organizaţiile din ţară şi din străinătate cu care intră în contact în interes de serviciu.
  • 345.
    Responsabilităţi i, sarcini,activităţi si acţiuni specifice postului de munca Competentele postului de •Să cunoască la nivel de utilizator familia Ms Office munca: ii (Outlook, Word, Excel, PowerPoint, Access, Publisher, Project sau echivalent) •Să cunoască la nivel mediu (citit/scris/conversat) una dintre limbile de lucru ale UE (engleză/franceză/germană) •Să cunoască foarte bine limbile română şi maghiară Cunoştinţe in legătură cu •Politica de coeziune şi Politica Agrară Comună a domeniul muncii: UE •Abordarea LEADER •Principiile fondurilor europene •Managementul Ciclului de Proiect •Planul Naţional de Dezvoltare Rurală •Cadrul Naţional Strategic de Referinţă Cunoştinţe privind modul de •Managementul Ciclului de Proiect execuţie a sarcinilor: •Principii de identitate vizuală şi de comunicare legate de dezvoltarea rurală •Modul de asigurare a unui climat organizaţional adecvat
  • 346.
    Relaţiile interpersonale: •Dezvoltă mijloace de motivare a personalului din subordine •Asigură un climat de comunicare şi încurajare a iniţiativei care să contribuie la atingerea obiectivelor stabilite Responsabilitatea pentru alţii: •Îmbunătăţirea permanentă a pregătirii sale profesionale şi de specialitate •Aprobă planificarea concediilor de odihnă pentru angajaţii din subordine Contacte conflictuale cu alţii: •Negociază şi conciliază situaţiile conflictuale apărute în relaţiile interpersonale Rutina vs. provocarea activităţii de •Propune idei de proiecte, de cooperare, de munca: îmbunătăţiri procedurale. Ritmul muncii si planificarea: •Participă la programele de elaborare şi actualizare a fişelor de post ale colaboratorilor din subordine •Evaluează periodic activitatea managerilor din subordine Experienţă: Minim 5 ani Pregătirea necesara postului de Studii superioare echivalente cu masterat muncă: Salariul si condiţiile de RON 4,620 RON lunar pe perioada 2011 - 2013 promovare:
  • 347.
    III.4.1.1.2 FIŞA POSTULUI- Consultant extern financiar - contabil Denumirea postului de munca: Consultant extern financiar - contabil Obiectivele specifice ale •Contribuie la atingerea scopurilor Asociaţiei, în activităţii de muncă: special pentru implementarea cu succes a activităţilor programului LEADER. Responsabilităţi, sarcini, •Organizarea şi supravegherea contabilităţii, activităţi si acţiuni specifice gestionarea actelor contabile în acord cu postului de munca: regulamentele UE şi legislaţia economică în vigoare; •Ţine evidenţa documentaţiei necesare a activităţii biroului, privind salarizarea, asigurările sociale, fluctuaţia de personal, angajări, promovări, transferuri, plecări din asociaţie; •Controlează activitatea de evidenţă a carnetelor de muncă, înregistrarea tuturor actelor la ITM, a contractelor individuale de muncă, prestări servicii, evidenţa concediilor medicale, pontajul, verifică corecta întocmire a dosarelor de pensionare, conform legislaţiei în vigoare; Poziţia postului de munca in cadrul structurii organizaţiei Postul imediat superior/Este Responsabil administrativ – Director executiv al subordonat: Asociaţiei Relaţiile de munca Funcţionale: Are relaţii cu: angajaţii permanenţi, angajaţii contractuali şi consultanţi externi.
  • 348.
    III.4.1.1.3 FIŞA POSTULUI- Consultant extern Dezvoltare Rurală & Identitate Vizuală & Informare Denumirea postului de muncă: Consultant extern Dezvoltare Rurală & Identitate Vizuală & Informare Obiectivele specifice ale •Contribuie la atingerea scopurilor Asociaţiei, în activităţii de muncă: special pentru implementarea cu succes a activităţilor programului LEADER. Responsabilităţi, sarcini, Asigură consultanţă de specialitate pe probleme de activităţi si acţiuni specifice •dezvoltare rurală legate de Planul Naţional de postului de munca: Dezvoltare Rurală •formare legate de măsura 431.2 activităţi de animare şi instruire •identitate vizuală în general •pregătirea materialelor de informare tipărite şi web Poziţia postului de munca in cadrul structurii organizaţiei Postul imediat superior/Este Responsabil administrativ – Director executiv al subordonat: Asociaţiei Relaţiile de munca Funcţionale: Are relaţii cu: angajaţii permanenţi, angajaţii contractuali şi consultanţi externi.
  • 349.
    III.4.1.1.4 FIŞA POSTULUI- Activităţi de secretariat Denumirea postului de munca: Activităţi de secretariat Obiectivele specifice ale •Contribuie la atingerea scopurilor Asociaţiei, în activităţii de muncă: special pentru implementarea cu succes a activităţilor programului LEADER. Responsabilităţi, sarcini, •Înregistrează documente externe primite prin fax, e- activităţi si acţiuni specifice mail, delegaţii; postului de munca: •Redactează corespondenţa simplă; •Organizează şedinţe, conferinţe; •Asigură arhivarea şi păstrarea documentelor; Poziţia postului de munca in cadrul structurii organizaţiei Postul imediat superior/Este Responsabil administrativ – Director executiv al subordonat: Asociaţiei Subordonări: Este înlocuit de: Persoana desemnată de către Responsabil administrativ – Director executiv al Asociaţiei Relaţiile de munca Funcţionale: Asigură un flux informaţional eficient intre colaboratorii compartimentului. Are relaţii cu: angajaţii permanenţi, angajaţii contractuali şi consultanţi externi. Responsabilităţi iii, sarcini, activităţi si acţiuni specifice postului de munca Competentele postului de •Să cunoască la nivel de utilizator familia Ms Office munca: iv (Outlook, Word, Excel, PowerPoint, Access, Publisher, Project sau echivalent) •Să cunoască la nivel mediu (citit/scris/conversat) una dintre limbile de lucru ale UE (engleză/franceză/germană) •Să cunoască foarte bine limbile română şi maghiară Cunoştinţe in legătură cu Noţiuni generale despre UE şi politicile de domeniul muncii: dezvoltare, în special Politica Agrară Comună – Abordarea LEADER. Cunoştinţe privind modul de •Proceduri de arhivare. execuţie a sarcinilor: •Noţiuni elementare de protocol.
  • 350.
    Relaţiile interpersonale: •Contribuie la instaurarea şi menţinerea unui climat de comunicare deschis, transparent. Responsabilitatea pentru alţii: •Îmbunătăţirea permanentă a pregătirii sale profesionale şi de specialitate •Aprobă planificarea concediilor de odihnă pentru angajaţii din subordine Contacte conflictuale cu alţii: •Negociază şi conciliază situaţiile conflictuale apărute în relaţiile interpersonale Rutina vs. provocarea activităţii de •Propune idei de proiecte, de cooperare, de munca: îmbunătăţiri procedurale. Ritmul muncii si planificarea: •Participă la programele de elaborare şi actualizare a fişelor de post ale colaboratorilor din subordine •Evaluează periodic activitatea managerilor din subordine Experienţă: Minim 3 ani Pregătirea necesara postului de Studii superioare echivalente cu masterat muncă: Salariul si condiţiile de RON 3,275 RON lunar pe perioada 2011 - 2013 promovare:
  • 351.
    III.4.1.1.5 FIŞA POSTULUI- Animator Denumirea postului de munca: Animator Obiectivele specifice ale •Contribuie la atingerea scopurilor Asociaţiei, în activităţii de muncă: special pentru implementarea cu succes a activităţilor programului LEADER în primul rând cele legate de implementarea proiectelor în cadrul GAL: o Informare o Sprijinirea elaborării proiectelor o Lansarea apelului pentru proiecte o Selectarea proiectelor o Decizie o Monitorizare o Arhivare Responsabilităţi, sarcini, •Animatorul este intermediar între Asociaţie şi activităţi si acţiuni specifice grupurile ţintă specifice, fiind responsabil faţă de postului de munca: aceste parţi şi distribuind informaţii care dau posibilitatea grupurilor ţintă să înţeleagă politicile promovate de Asociaţie. •Formulează mesaje, pregăteşte şi/sau prezintă materiale informative •Contribuie nemijlocit la activităţile de Comunicare şi informare destinată locuitorilor şi actorilor implicaţi în dezvoltarea teritoriului în legătură cu buna funcţionare a GAL şi implementarea tuturor acţiunilor din cadrul strategiei de dezvoltare locală: o întâlniri – conferinţe tematice, o seminarii ad-hoc, o grupuri de lucru, o afişe, publicaţii, o acces la baze de date, o elaborare şi diseminare de materiale, mas-media etc. Poziţia postului de munca in cadrul structurii organizaţiei Postul imediat superior/Este Responsabil administrativ – Director executiv al subordonat: Asociaţiei
  • 352.
    Subordonări: Este înlocuit de: Persoana desemnată de către Responsabil administrativ – Director executiv al Asociaţiei Relaţiile de munca Funcţionale: Are relaţii cu actorii din aria GAL. Are relaţii cu: angajaţii permanenţi, angajaţii contractuali şi consultanţi externi. Responsabilităţi v, sarcini, activităţi si acţiuni specifice postului de munca Competentele postului de •Să cunoască la nivel de utilizator familia Ms Office munca: vi (Outlook, Word, Excel, PowerPoint, Access, Publisher, Project sau echivalent) •Să cunoască la nivel mediu (citit/scris/conversat) una dintre limbile de lucru ale UE (engleză/franceză/germană) •Să cunoască foarte bine limbile română şi maghiară Cunoştinţe in legătură cu Noţiuni generale despre UE şi politicile de domeniul muncii: dezvoltare, în special Politica Agrară Comună – Abordarea LEADER. Cunoştinţe privind modul de •Proceduri de arhivare. execuţie a sarcinilor: •Noţiuni elementare de protocol.
  • 353.
    Relaţiile interpersonale: •Contribuie la instaurarea şi menţinerea unui climat de comunicare deschis, transparent. Responsabilitatea pentru alţii: •Îmbunătăţirea permanentă a pregătirii sale profesionale şi de specialitate •Aprobă planificarea concediilor de odihnă pentru angajaţii din subordine Contacte conflictuale cu alţii: •Negociază şi conciliază situaţiile conflictuale apărute în relaţiile interpersonale Rutina vs. provocarea activităţii de •Propune idei de proiecte, de cooperare, de munca: îmbunătăţiri procedurale. Ritmul muncii si planificarea: •Participă la programele de elaborare şi actualizare a fişelor de post ale colaboratorilor din subordine •Evaluează periodic activitatea managerilor din subordine Experienţă: Zero ani Pregătirea necesara postului de Studii superioare echivalente cu masterat, sau muncă: dovada frecventării unor cursuri de masterat Salariul si condiţiile de RON 3,499 RON lunar pe perioada 2011- 2013 promovare: III.4.1.1.6 FIŞA POSTULUI - Expert Tehnic Denumirea postului de munca: Expert Tehnic Obiectivele specifice ale •Contribuie la atingerea scopurilor Asociaţiei, în activităţii de muncă: special pentru implementarea cu succes a activităţilor programului LEADER în primul rând cele legate de implementarea proiectelor în cadrul GAL: o Informare o Sprijinirea elaborării proiectelor o Lansarea apelului pentru proiecte o Selectarea proiectelor o Decizie o Monitorizare o Arhivare
  • 354.
    Responsabilităţi, sarcini, •Contribuie nemijlocit la activităţile de Implementarea activităţi si acţiuni specifice proiectelor în cadrul GAL: postului de munca: o Luarea operativă a deciziilor asupra implementării proiectului (sau depistarea problemelor); o Efectuarea zilnică a gestionării proiectului; o Executarea operativă şi corectă a procedurilor de gestionare a resurselor; o Facilitarea coordonării între activităţile componentelor; o Monitorizarea şi raportarea la timp despre realizările şi rezultatele proiectului; o Informaţia despre conţinutul proiectului şi realizările acestuia este oferită factorilor de decizie la cel mai înalt nivel. Poziţia postului de munca in cadrul structurii organizaţiei Postul imediat superior/Este Responsabil administrativ – Director executiv al subordonat: Asociaţiei Subordonări: Este înlocuit de: Persoana desemnată de către Responsabil administrativ – Director executiv al Asociaţiei Relaţiile de munca Funcţionale: Are relaţii cu actorii din aria GAL. Are relaţii cu: angajaţii permanenţi, angajaţii contractuali şi consultanţi externi.
  • 355.
    Responsabilităţi vii, sarcini,activităţi si acţiuni specifice postului de munca Competentele postului de •Să cunoască la nivel de utilizator familia Ms Office munca: viii (Outlook, Word, Excel, PowerPoint, Access, Publisher, Project sau echivalent) •Să cunoască la nivel mediu (citit/scris/conversat) una dintre limbile de lucru ale UE (engleză/franceză/germană) •Să cunoască foarte bine limbile română şi maghiară Cunoştinţe in legătură cu Noţiuni generale despre UE şi politicile de domeniul muncii: dezvoltare, în special Politica Agrară Comună – Abordarea LEADER Cunoştinţe privind modul de •Proceduri de arhivare. execuţie a sarcinilor: •Noţiuni elementare de protocol. Relaţiile interpersonale: •Contribuie la instaurarea şi menţinerea unui climat de comunicare deschis, transparent. Responsabilitatea pentru alţii: •Îmbunătăţirea permanentă a pregătirii sale profesionale şi de specialitate •Aprobă planificarea concediilor de odihnă pentru angajaţii din subordine Contacte conflictuale cu alţii: •Negociază şi conciliază situaţiile conflictuale apărute în relaţiile interpersonale Rutina vs. provocarea activităţii de •Propune idei de proiecte, de cooperare, de munca: îmbunătăţiri procedurale. Ritmul muncii si planificarea: •Participă la programele de elaborare şi actualizare a fişelor de post ale colaboratorilor din subordine •Evaluează periodic activitatea managerilor din subordine Experienţă: Minim 3 ani Pregătirea necesara postului de Studii superioare echivalente cu masterat muncă: Salariul si condiţiile de RON 3,999 RON lunar pe perioada 2011 - 2013 promovare:
  • 356.
    III.4.2 Resursele umaneale structurilor partenere Nr.Crt. Reşedinţă Localitate Partener Persoana Titlu AITA MARE AITA MARE 1 Asociaţia "JURTA" Fekete Levente Preşedinte Consiliul Local al Comunei 2 Bihari Edömér Primar Aita Mare AITA MEDIE 3 sc DISCOVER srl Gazdag Levente Director ARCUŞ 4 Asociaţia "BIOKULTÚRA" Covasna Biró Zoltán Preşedinte Asociaţia Social Culturala 5 Bálinth Zoltán Preşedinte "DAHLSTRÖM KÁLMÁN" 6 Consiliul Local al Comunei Arcuş Máthe Árpád Primar 7 Parohia Reformată Arcuş Makkai Péter-János Preot 8 Parohia Unitariană Arcuş Székely Ioan Preot sc Producţie Prestări şi Comerţ 9 Váncsa Lajos Director VANESSA srl BĂŢANI BĂŢANII MARI Composesoratul de Padure si Pasune 10 Bocskor László Preşedinte Batanii Mari 11 Consiliul Local al Comunei Băţani Bardócz Csaba Primar 356
  • 357.
    Nr.Crt. Reşedinţă Localitate Partener Persoana Titlu BELIN 12 Consiliul Local al Comunei Belin Sikó Imre Primar Fundatia "BÖLÖNI FARKAS 13 Bartha-Pál Csaba Preşedinte SÁNDOR" 14 sc VIKA IMPEX srl László Iosif Director BIXAD Asociaţia de tineret din comuna 15 Ájgel Ágnes Preşedinte Bixad 16 Consiliul Local al Comunei Bixad Bács Marton Csaba Primar 17 Parohia Romano - Catoliă Bixad Laczkó Vilmos Preot 18 sc KINCSES & MÜLLER srl Müller János Director BODOC sc CUPTORUL DE AUR – 19 Zsunkuly Csaba Director ARANYKEMENCE srl 20 sc FAVORIT sa Kicsi József Director sc PRODUCŢIE şi COMERCIALĂ 21 Nagy Mihály Director TRIO IMPEX srl BRĂDUŢ FILIA 22 Asociaţia "KORMOS" Balázsi Csilla Preşedinte 23 sc EUROPAN srl Fosztó László Director TĂLIŞOARA 24 Asociaţia "MESSZELÁTÓ " Máté Anikó Preşedinte 357
  • 358.
    Nr.Crt. Reşedinţă Localitate Partener Persoana Titlu GHIDFALĂU ANGHELUŞ 25 sc TWIN IMPEX srl Váncsa Jenő Director GHIDFALĂU 26 Asociaţia de tineret "KALÁRIS" Bakk Csaba Preşedinte Consiliul Local al Comunei 27 Berde József Primar Ghidfalău 28 sc AGRO DEPO srl Berde Ervin Director MALNAŞ 29 Parohia Reformata Malnaş Sat Márk László-Gyula Preot MICFALĂU Asociaţia "FANFARA TROMBON 30 Sorbán Miklós Preşedinte 1995" 31 Asociaţia "FEJÉR ÁKOS" Nagy Emeric-Alexandru Preşedinte 32 Consiliul Local al Comunei Micfalău Nyáguly Vilmos Primar 33 Parohia Reformată Micfalău Bálint Csongor-Attila Preot 34 Parohia Romano - Catolică Micfalău Simó Gábor Preot 35 sc ARPI-TRANS srl Gábor Árpád Director 36 sc KICSI-FERMA-PROD srl Kicsi Csaba Director 358
  • 359.
    Nr.Crt. Reşedinţă Localitate Partener Persoana Titlu ORAŞ BARAOLT BARAOLT 37 Asociaţia "Dr. FÁBIÁN LÁSZLÓ" Antal István Preşedinte 38 Asociaţia Culturala "GAÁL MÓZES" Demeter László Preşedinte Asociaţia Intreprinzatorilor 39 Kertész György Preşedinte "ERDŐVIDÉK" Asociaţia Speo-Turistica si de 40 Protectia Naturii „LUMEA Dénes Ildikó Preşedinte PIERDUTA” Comisia Comemorativa si Fundatia 41 Dimény János Preşedinte „BARÓTI SZABÓ DÁVID" 42 sc EX-FOR srl Komporály Viktor Director SOCIETATEA AGRICOLA SILV- 43 Incze Alexandru Director ALIM CĂPENI Cabinet Medical Medicina de Familie 44 Ágoston Ştefan Director - Agoston Stefan RACOŞUL DE SUS Asociaţia "INTERMEDIA 45 Székely Blanka Preşedinte ERDŐVIDÉK" VALEA CRIŞULUI CALNIC Asociaţia Culturala de Tineret si de 46 Protectia Mediului "DR. BEDO Popescu Róbert Preşedinte ALBERT" 359
  • 360.
    Nr.Crt. Reşedinţă Localitate Partener Persoana Titlu VÂRGHIŞ VÂRGHIŞ Asociaţia Crescatorilor de Animale 47 Farkas Sándor Preşedinte din Comuna Vârghiş 48 Consiliul Local al Comunei Vârghis Ilkei Francisc Primar 360
  • 361.
    III.4.3 Descrierea resurselormateriale (echipamente, localuri disponibile) III.4.3.1 Sediul central - Bodoc Primăria din comuna Bodoc pune la dispoziţie spaţiile necesare birourilor Compartimentului Administrativ. Membri fondatori vor asigura timp de un an birotica, răstimp în care GAL poate să achiziţioneze echipamentele necesare derulării normale a activităţii. Spaţiile se află la mansarda clădirii Primăriei. Actualmente spaţiile sunt folosite drept camere de oaspeţi. 361
  • 362.
    III.4.3.2 Punct delucru - Baraolt Asociaţia alcătuită din IMM pune la dispoziţie, cu aceleaşi condiţii ca şi sediul central, spaţiu pentru înfiinţarea unui punct de lucru. 362
  • 363.
    III.4.4 Buget indicativanual de funcţionare a GAL RON/lună #luni RON/An EUR/An Componenta a: Subtotal RON 37,030 16.00% RON 630,323 €152,362 a01 Salarii şi alte plăţi pentru personalul GAL; RON 15,393 RON 370,676 €89,600 a01.1 Responsabil administrativ – Director executiv al Asociaţiei RON 4,620 12.00 RON 55,436 €13,400 a01.2 Activităţi de secretariat RON 3,275 12.00 RON 39,302 €9,500 a01.3 Animator (2) RON 3,499 24.00 RON 83,981 €20,300 a01.4 Expert Tehnic (4) RON 3,999 48.00 RON 191,957 €46,400 Cheltuieli legate de plata experţilor şi pentru alte servicii de expertiză a02 RON 7,929 RON 95,151 €23,000 legate de implementarea strategiei de dezvoltare locală; a02.1 Consultant extern financiar - contabil RON 4,137 12.00 RON 49,644 €12,000 a02.2 Consultant extern Dezvoltare Rurală & Identitate Vizuală & Informare RON 3,792 12.00 RON 45,507 €11,000 a03 Cheltuieli pentru închirierea unor locaţii; RON 2,413 12.00 RON 28,959 €7,000 Cheltuieli pentru închirierea/achiziţia de echipamente de birotică şi a04 electronice, precum şi a altor echipamente necesare pentru desfăşurarea RON 2,848 12.00 RON 34,180 €8,262 activităţilor GAL; a05 Cheltuieli pentru organizarea întâlnirilor; RON 1,896 12.00 RON 22,754 €5,500 Cheltuieli legate de comunicare (telefonie, internet, poştă şi servicii a06 RON 2,069 12.00 RON 24,822 €6,000 poştale), transport şi plata utilităţilor (căldură, lumină, etc.); Cheltuieli pentru participarea la activităţile reţelei naţionale şi europene de a07 RON 4,482 12.00 RON 53,781 €13,000 dezvoltare rurală, seminarii etc. Componenta b: Subtotal RON 13,132 4.00% RON 157,584 €38,091 b01 Studii ale zonei; RON 2,241 12.00 RON 26,891 €6,500 Măsuri pentru furnizarea informaţiei cu privire la strategia de dezvoltare b02 RON 3,651 12.00 RON 43,815 €10,591 locală; Instruirea personalului implicat în implementarea strategiei de dezvoltare b03 RON 2,241 12.00 RON 26,891 €6,500 locală; b04 Evenimente de promovare; RON 2,758 12.00 RON 33,096 €8,000 b05 Instruirea liderilor locali. RON 2,241 12.00 RON 26,891 €6,500 Total GAL RON 50,162 RON 787,907 €190,453 363
  • 364.
    Venituri RON/An Salarii şi alte plăţi pentru personalul GAL; RON 370,676 Cheltuieli legate de plata experţilor şi pentru alte servicii de expertiză legate de implementarea strategiei de dezvoltare RON 95,151 locală; Cheltuieli pentru închirierea unor locaţii; RON 28,959 Cheltuieli pentru închirierea/achiziţia de echipamente de birotică şi electronice, precum şi a altor echipamente RON 34,180 necesare pentru desfăşurarea activităţilor GAL; Cheltuieli pentru organizarea întâlnirilor; RON 22,754 Cheltuieli legate de comunicare (telefonie, internet, poştă şi servicii poştale), transport şi plata utilităţilor (căldură, RON 24,822 lumină, etc.); Cheltuieli pentru participarea la activităţile reţelei naţionale RON 53,781 şi europene de dezvoltare rurală, seminarii etc. Studii ale zonei; RON 26,891 Măsuri pentru furnizarea informaţiei cu privire la strategia RON 43,815 de dezvoltare locală; Instruirea personalului implicat în implementarea strategiei RON 26,891 de dezvoltare locală; Evenimente de promovare; RON 33,096 Instruirea liderilor locali. RON 26,891 Total RON 787,907 364
  • 365.
    Cheltuieli RON/An Salarii şi alte plăţi pentru personalul GAL; RON 370,676 Cheltuieli legate de plata experţilor şi pentru alte servicii de expertiză legate de implementarea strategiei de dezvoltare RON 95,151 locală; Cheltuieli pentru închirierea unor locaţii; RON 28,959 Cheltuieli pentru închirierea/achiziţia de echipamente de birotică şi electronice, precum şi a altor echipamente RON 34,180 necesare pentru desfăşurarea activităţilor GAL; Cheltuieli pentru organizarea întâlnirilor; RON 22,754 Cheltuieli legate de comunicare (telefonie, internet, poştă şi servicii poştale), transport şi plata utilităţilor (căldură, RON 24,822 lumină, etc.); Cheltuieli pentru participarea la activităţile reţelei naţionale RON 53,781 şi europene de dezvoltare rurală, seminarii etc. Studii ale zonei; RON 26,891 Măsuri pentru furnizarea informaţiei cu privire la strategia RON 43,815 de dezvoltare locală; Instruirea personalului implicat în implementarea strategiei RON 26,891 de dezvoltare locală; Evenimente de promovare; RON 33,096 Instruirea liderilor locali. RON 26,891 Total RON 787,907 365
  • 366.
    III.4.4.1 Circuitul financiarpentru măsura 431 (sub-măsura 431.2) Finanţarea GAL, măsura 431.2 Autoritatea de Management va transmite GAL notificări scrise menţionând că au fost selectaţi Semnarea contractului între GAL şi APDRP cheltuieli de animare şi funcţionare instruire Cheltuieli efectuate Aprobarea raportului iniţial de către CRPDRP Lunar cereri de plată la CRDRP Demararea activităţilor proiectului Se verifică pe teren Verificarea pe teren a GAL de către cheltuielile efectuate (după structurile teritoriale ale APDRP caz) Aprobarea raportului Verificarea eligibilităţii intermediar / final de către dosarului cererii de CRPDRP plată şi autorizarea plăţii Dosarul cererii de plată care se depune la CRPDRP Verificarea conformităţii şi eligibilităţii dosarului cererii de plată şi autorizarea plăţii APDRP efectuează plata către GAL 366
  • 367.
    1. În urmaselecţiei, Autoritatea de Management (AM) va transmite GAL notificări scrise menţionând că au fost selectaţi (atribuindu-se decizia de autorizare) sau au fost respinşi. AM înştiinţează APDRP privind autorizarea plăţilor 2. Semnarea contractului între GAL şi APDRP Pentru cheltuieli de funcţionare Pentru activităţile de animare şi instruire GAL efectuează cheltuielile 3. Depunerea raportului iniţial şi Declaraţiei de eşalonare a plăţilor (maxim 3 tranşe de plată) la CRPDRP de către GAL, pentru fiecare proiect în parte GAL depune lunar cereri de plată la 4. Aprobarea raportului iniţial de către CRDRP, aferente cheltuielilor de CRPDRP. funcţionare CRDRP verifică pe teren cheltuielile 5. Demararea activităţilor proiectului efectuate de către GAL (după caz) Verificarea eligibilităţii dosarului cererii 6. Verificarea pe teren a GAL de către de plată şi autorizarea plăţii de către structurile teritoriale ale APDRP CRPDRP (eliberarea certificatului de plată) 7. Depunerea raportului intermediar / final la CRPDRP de către GAL 8. Aprobarea raportului intermediar / final de către CRPDRP 9. GAL întocmeşte dosarul cererii de plată pe care îl depune la CRPDRP – fiecărui Raport Intermediar aprobat îi corespunde o plată intermediară, în conformitate cu Declaraţia de Eşalonare a Plăţilor; în urma aprobării Raportului Final se efectuează plata finală de către APDRP 10. Verificarea conformităţii şi eligibilităţii dosarului cererii de plată şi autorizarea plăţii de către CRPDRP (eliberarea certificatului de plată) 11. APDRP efectuează plata către GAL (maxim 30 de zile de la aprobarea cererii) 367
  • 368.
    III.4.5 Dispozitivul decomunicare şi informare Informarea şi comunicarea reprezintă elemente esenţiale atât în etapele iniţiale, de constituire a parteneriatelor public – private cât şi ulterior, după selectarea parteneriatului ca GAL în acţiunile de sale de funcţionare, instruire şi animarea teritoriului. Pregătindu-şi campania de comunicare în mediul rural, Delegaţia Comisiei Europene în România, în anul 2004 constata că populaţia din mediul rural „nu se consideră destul de informată … şi şi-ar dori să dispună de mai multe informaţii; are încredere, cu predilecţie, in lideri local”. 36 Campania MIE din 2006 s-a bazat pe Euro - Barometrul rural conform căruia „principale surse locale de informaţie, în ordine descrescătoare, primarul - 65%, consilierul local - 34%, preotul - 20% şi directorul şcolii, profesori sau învăţători - 6%.” 37 Nu avem motive să presupunem că în mediul rural s-ar fi produs modificări drastice, prin urmare grupul ţintă cel mai important va fi cel al „liderilor locali: primari, consilieri locali, preoţi, dascăli, medici de familie. Prin urmare GAL va apela la serviciile unui consultant în materie de comunicare şi informare, pentru a beneficia de informaţii utile, consistente, la zi. Livrarea acestor informaţii în schimb, va fi operată de către animatorii GAL cu suportul grupurilor de lucru locale. Pe de altă parte, conform unui raport din 2008 al EuroStat 38, 53% dintre cetăţenii UE nu au auzit de PAC. Pentru cei care au auzit de PAC priorităţile sunt următoarele: • 43% - să asigure preţuri de consum mai convenabile • 42% - să asigure respectarea normelor de calitate şi de sănătate la produsele alimentare • 40% - să asigure venituri decente pentru fermieri – în cazul României 62% din cei intervievaţi au optat pentru acest răspuns – ceea ce înseamnă, că aceasta este una dintre marile aşteptări ale populaţiei faţă de PAC. Interesul pentru informaţii legate de PAC la nivel UE este de 56%, România (şi Slovacia) situându-se pe primul loc cu 70%. Putem deci presupune că şi în aria GAL există interes real pentru informaţii utile legate de PAC pilonul II. 36 DCE STRATEGIA DE COMUNICARE, Anexa 1 pag. 33 37 http://www.mdrl.ro/index.php?p=265 38 Europeans, Agriculture and the Common Agricultural Policy, Fieldwork November-December 2007, Publication March 2008 368
  • 369.
    Conform unui altraport 39 ponderea populaţiei care trăieşte în zone rurale sau preponderent rurale este ceai mai mare în România. Population living in either predominantly or intermediate rural areas 91.1% 100.0% 68.2% 64.2% 80.0% 56.3% 60.0% 40.0% 20.0% 0.0% Romania Latvia Greece EU average Prin urmare pattern -urile înregistrate în rândurile populaţiei rurale au o importanţă foarte mare. III.4.5.1 Metodologia Metodologia va valorifica cunoştinţele dobândite cu ocazia cursurilor de formare legate de Axa LEADER. Vor exista două grupuri ţintă distincte: • locuitorilor (informare şi comunicare) • actorilor implicaţi în dezvoltarea teritoriului (în legătură cu buna funcţionare a GAL şi implementarea tuturor acţiunilor din cadrul strategiei de dezvoltare locală) 39 European Union, Directorate-General for Agriculture and Rural Development, RURAL DEVELOPMENT IN THE EUROPEAN UNION, STATISTICAL AND ECONOMIC INFORMATION REPORT 2007, November 369
  • 370.
    Nivelul de eficienţăal comunicării la care se doreşte să se ajungă poate fi reprezentat astfel: asumare - in cazul actorilor angajament implicare participare cunoastere - in cazul locitorilor comunicare informare constientizare III.4.5.2 Instrumentele necesare pentru informare şi comunicare Respectând planificarea întâlnirilor proiectului pe măsura 431.1, lunar, de regulă în ultima săptămână, miercuri se va organiza „După amiaza LEADER” în fiecare localitate. În caz că respectiva zi este una de sărbătoare oficială, acţiunea se va programa pentru săptămâna următoare. Fiind 13 localităţi la Micfalău şi Bixad (fiind şi limitrofe) se va organiza în aceeaşi lună în prima şi a doua săptămână. Aceste acţiuni se vor baza pe „instrumentele” descrise în cele ce urmează. Instrument La fiecare acţiune După caz Pregătire întâlniri – conferinţe tematice X seminarii ad-hoc X grupuri de lucru X afişe, publicaţii X acces la baze de date X elaborare şi diseminare de materiale X X mas-media X 370
  • 371.
    III.4.5.2.1 întâlniri –conferinţe tematice Obiectivul general al acestor acţiuni este: Diseminare de cunoştinţe generale despre PAC Pilonul II, abordarea LEADER şi despre PNDR 2007 – 2013. Sursele cele mai importante pentru aceste activităţi sunt: • DECIZIA CONSILIULUI din 20 februarie 2006 privind orientările strategice ale Comunităţii pentru dezvoltare rurală (perioada de programare 2007-2013), (2006/144/CE) • Abordarea LEADER: un ghid elementar • Guvernul României, Ministerul Agriculturii şi Dezvoltării Rurale, Programul Naţional de Dezvoltare Rurală 2007 – 2013, versiunea consolidată 31 martie 2009, Număr CCI: 2007RO06RPO001 •A LEADER Dissemination Guide Book based on programme experience in Finland, Ireland and the Czech Republic, Final Report of the Transnational LEADER Dissemination Project for the Finnish Rural Policy Committee 20th February 2008 •The LAG Handbook, A guide through the stunning world of local action groups, March 2007 Materialele utilizate vor fi: • istoricul şi abordarea LEDER – pe baza „Teaching Kit” din „LEADER Capitalisation Library” o Declaraţia de la Cork o I. Apariţia politicii europene de dezvoltare rurală o II. LEADER: o abordare pentru dezvoltarea rurală o III. Abordarea axată pe zonă o IV. Abordarea de la bază la vârf o V. Abordarea bazată pe parteneriat şi „grupul de acţiune locală” o VI. Inovarea o VII. Abordarea integrată o VIII. Constituirea de reţele şi cooperarea între zone o IX. Finanţare şi gestionare la nivel local • exemple de bună practică – din publicaţiile referitoare la bunele practici • prezentarea Axelor şi Măsurilor PNDR Rezultate cuantificabile: 3 ani x 13 acţiuni x 20 persoane/acţiune = 780 Cel puţin 780 persoane vor asista la întâlniri – conferinţe tematice. III.4.5.2.2 seminarii ad-hoc • prezentarea apelurilor în pregătire • prezentarea proiectelor de succes de pe zona GAL şi a partenerilor interni şi externi • prezentarea rezultatelor, concluziilor activităţii grupurilor de lucru. 371
  • 372.
    III.4.5.2.3 grupuri delucru Grupurile de lucru existente se transformă în grupuri tematice de animare, având drept scop încurajarea formării până la sfârşitul perioadei de programare 2011 – 2013 a unei reţele de grupuri de lucru pe aceeaşi tematică în cele 13 localităţi. Obiectiv sub măsura 431.1 Obiectiv sub măsura 431.2 Evaluare intermediară, identificarea problemelor şi obiectivelor în vederea Grup de lucru 1 Dosarul de candidatură inserării concluziilor în strategia pentru următoarea perspectivă financiară 2014 - 2020 Suport pentru parteneriate: • din interiorul GAL Realizarea parteneriatului şi Grup de lucru 2 • în reţeaua naţională funcţionarea GAL • în reţeaua comunitară • În relaţia cu cei doi parteneri externi Organizare – Logistică pentru Monitoring & Organizare – Logistică Grup de lucru 3 Seminarii - Întâlniri pentru activităţile din teren Astfel „lecţiile învăţate” pe parcursul implementării proiectului de formare a GAL vor fi valorificate în continuare. Rezultate cuantificabile: Pe parcursul perioadei de 3 se preconizează înfiinţarea în fiecare localitate a 3 grupuri de lucru locale, adică pe parcursul a 3 ani se vor înfiinţa 13 localităţi x 3 grupuri de lucru/localitate x 3 membri/grup de lucru = 117 Cel puţin 117 oameni implicaţi în activităţile grupurilor de lucru. 372
  • 373.
    Tematică de studiatpentru grupurile de lucru Tematica de studiat •SELF-EVALUATION WORKBOOK FOR LOCAL ACTION GROUPS, Ministry of Agriculture and Forestry Helsinki 2004 •Synthesis of mid-term evaluations of LEADER+ programmes, Final Report, Commissioned by: European Commission, DG AGRI, Vienna, November 2006 / ANr. A 2936.10 (100026) •LEADER+, Guidelines for the Ex ante Evaluation of Programmes •GUIDELINES FOR THE EVALUATION OF LEADER+ PROGRAMMES, EUROPEAN COMMISSION, AGRICULTURE Evaluare intermediară, identificarea DIRECTORATE-GENERAL, January 2002, DOCUMENT VI/43503/02- problemelor şi obiectivelor în REV.1 Grup de lucru 1 vederea inserării concluziilor în •PLAYBOOK FOR LOCAL ACTION GROUPS - Using self-evaluation to strategia pentru următoarea improve your teamwork skills, APRIL 2004, Ministry of Agriculture and perspectivă financiară 2014 - 2020 Forestry, Helsinki •Evaluating a territory’s touristic potential, following the LEADER seminar on this topic in Sierra de Gata (Extremadura, Spain) from 10 to 13 January 1996. •La valorisation du tourisme de randonnée dans les territoires ruraux, Guide pédagogique sur l’élaboration et la mise en oeuvre d’un projet de randonnée pédestre “INNOVATION EN MILIEU RURAL” CAHIER DE L’INNOVATION N°12 OBSERVATOIRE EUROPÉEN LEADER, MARS 2001 373
  • 374.
    Tematica de studiat •Networking: The Leader experience, September 2006 •GUIDELINES FOR THE ADMINISTRATIVE IMPLEMENTATION OF PROJECTS FOR COOPERATION BETWEEN RURAL AREAS, EUROPEAN COMMISSION, DIRECTORATE-GENERAL AGRICULTURE, Directorate F. Horizontal aspects of rural development; SAPARD, F.3. Coordination of rural development, Brussels, 8 January 2004 •Transnational Cooperation – a Tool at the Service of Rural Development, Suport pentru parteneriate: 1997, LEADER European Observatory • din interiorul GAL •Methodology Factsheets • în reţeaua naţională Grup de lucru 2 •Guide Méthodologique – Élaborer son projet do coopération territoriale, • în reţeaua comunitară Unité nationale d’animation du réseau LEADER français, 2007 • În relaţia cu cei doi parteneri •Guide Méthodologique principes et Méthodes– Élaborer son projet do externi coopération territoriale, Unité nationale d’animation du réseau LEADER français, 2007 •La coopération transnationale dans le cadre de LEADER II, Leçons du passé, outils pour le futur, “INNOVATION EN MILIEU RURAL”, CAHIER DE L’INNOVATION N° 11, OBSERVATOIRE EUROPÉEN LEADER, MARS 2001 •Cooperation in LEADER+, The Actual Benefits for the Local Areas…, LEADER+ Observatory Contact Point, March 2007 •Dezvoltarea rurală 2007-2013, MANUAL PRIVIND CADRUL COMUN Monitoring & Organizare – Grup de lucru 3 DE MONITORIZARE ŞI DE EVALUARE, Document de orientare, Logistică pentru activităţile din teren septembrie 2006, Direcţia Generală Agricultură şi Dezvoltare Rurală 374
  • 375.
    III.4.5.2.4 afişe, publicaţii Afişe: GALva avea pentru fiecare perioadă de programare începând cu 2011 – 2013 afişe standard de dimensiuni A3 şi A2. A2 vor fi plasate în spaţii publice (staţii de autobuz, primării, şcoli, etc.) A3 vor fi distribuite gratuit, împreună cu publicaţiile GAL. Publicaţii: 1. Prima publicaţie va fi una conţinând materialele apărute cu ocazia întâlnirilor legate de proiectul pentru măsura 431.1 – această publicaţie va fi o inventariere a ceea ce îşi doresc locuitorii din zonă de la LEADER. 2. A doua publicaţie va fi un extras din Strategia de dezvoltare locală 2.a. Planul financiar 2.b. Arborele obiectivelor 2.c. Arborele problemelor 3. Pentru fiecare seminar se va edita o publicaţie conţinând prezentarea 3.a. activităţii grupurilor de lucru – dacă este cazul 3.b. unor apeluri în fază de pregătire sau active – dacă este cazul 3.c. unor evenimente importante din reţeaua naţională şi din activitatea partenerilor externi – dacă este cazul 3.d. materiale pregătite pentru întâlniri – conferinţe tematice Aceste publicaţii vor fi dispuse în fiecare localitate pe standuri standardizate ale GAL, cu inscripţia clară că este vorba de materiale gratuite, în magazine, dispensare medicale şi veterinare, în holurile primăriilor şi în orice alte spaţii frecventate des de cetăţeni. III.4.5.2.5 acces la baze de date GAL va avea un site minimum trilingv (română – maghiară – engleză). Toate datele conţinute în Strategia de dezvoltare locală vor fi postate în format html, organizat în tabele pentru a putea fi consultate şi descărcate la nevoie. 375
  • 376.
    III.4.5.2.6 elaborare şidiseminare de materiale Materialele elaborate spre a fi diseminate în aria GAL se vor axa pe teme care pot contribui la înrădăcinarea unor aptitudini şi cunoştinţe care să faciliteze orientarea spre iniţiative de dezvoltare durabile: • Rolul formării în dezvoltarea rurală 40 • Organizare integrată sectorială – prelucrarea produselor de lactate 41 • Marketingul produselor locale – Canale de distribuţie scurte şi lungi 42 • Inovare şi dezvoltare rurală 43 • Competitivitatea economică în strategii locale 44 • Competitivitate de mediu în strategii locale 45 • Competitivitate socială în strategii locale 46 • Competitivitate teritorială în strategii locale 47 • Competitivitate globală a zonelor rurale 48 • Organizarea parteneriatelor locale 49 • Surse de energie neconvenţională în LEADER 50 • Împotriva excluziunii sociale în zonele rurale 51 • De la strategie la acţiune – selectarea proiectelor 52 • Cercetare, transfer de cunoştinţe în dezvoltarea rurală 53 40 LA FORMATION AU SERVICE DU DÉVELOPPEMENT TERRITORIAL, décembre 2000, Observatoire européen LEADER 41 The collective organisation of a sector for the local valorisation of agricultural resources: the example of cheese processing, “RURAL INNOVATION” DOSSIER N° 1, LEADER EUROPEAN OBSERVATORY 42 Marketing local products, Short and long distribution channels, “RURAL INNOVATION” DOSSIER N° 7, LEADER EUROPEAN OBSERVTORY, JUL 2000 43 Innovation and Rural Development, The Observatory Dossiers No. 2 - 1997 44 Economic competitiveness, Creating a territorial development strategy in the light of the LEADER experience, Part 4, “RURAL INNOVATION”, DOSSIER N° 6 – PART 4, LEADER EUROPEAN OBSER VATORY, JULY 2000 45 Environmental competitiveness, Creating a territorial development strategy in the light of the LEADER experience, Part 3, “RURAL INNOVATION”, DO S S I E R N° 6 – PA R T 3, LEADER EUROPEAN OBSERVATORY, JUNE 2000 46 Social competitiveness, Creating a territorial development strategy in the light of the LEADER experience, Part 2, “RURAL INNOVATION” DOSSIERN° 6 – PART 2, LEADER EUROPEAN OBSERVATORY, JUNE 2000 47 Territorial competitiveness, Creating a territorial development strategy in light of the LEADER experience, Part 1, “RURAL INNOVATION” DOSSIER N° 6 – PART 1, LEADER EUROPEAN OBSERVATORY, DECEMBER 1999 48 Global competitiveness of rural areas, Creating a territorial development strategy in the light of the LEADER experience, Part 5, “RURAL INNOVATION” DOSSIER N° 6 – PART 5, LEADER EUROPEAN OBSERVATORY, FEBRUARY 2001 49 Organising local partnerships, “INNOVATION IN RURAL AREAS”, NOTEBOOK NO. 2, LEADER EUROPEAN OBSERVTORY 1997 50 Renewable sources of energy, sustainable sources of energy1999 - LEADER European Observatory 51 Fighting social exclusion in rural areas, “RURAL INNOVATION”, DOSSIER NO. 8, LEADER EUROPEAN OBSERVATORY, JULY 2000 52 From strategy to action: project selection, “INNOVATION IN RURAL AREAS” NOTEBOOK NO. 3, LEADER EUROPEAN OBSERVTORY 376
  • 377.
    III.4.5.2.7 mas-media Conform EUROBAROMETRU68.2, OPINIA PUBLICĂ ÎN UNIUNEA EUROPEANĂ, Toamna 2007, RAPORT NAŢIONAL: „După biserică, românii au încredere în armată (68%), televiziune şi radio (61%) şi presa scrisă (53%).” Animatorii GAL vor avea ca sarcină informarea permanentă a reprezentanţilor mas-media în legătură cu activităţile, acţiunile şi evenimentele GAL. Denumire Localitate Tip Háromszék Sfântu Cotidian www.3szek.ro Gheorghe judeţean Székely Hírmondó Târgu Cotidian www.hirmondo.ro/web/ Secuiesc judeţean Új Magyar Szó Bucureşti Cotidian www.manna.ro naţional Krónika Cluj – Napoca Cotidian www.kronika.ro naţional Radio Târgu Mureş Târgu Mureş Regional www.radiomures.ro Regio Radio Sfântu Radio Judeţean www.regioradio.ro/ Gheorghe TVR – Emisiunea în Bucureşti Naţional lb. maghiară Duna TV Budapest Internaţional Mas-media regională, naţională şi internaţională are corespondenţi în judeţul Covasna – acesta este grupul ţintă. Vizibilitatea GAL depinde în mare măsură de relaţia dintre corespondenţi şi oficialii GAL. La inaugurarea Biroului GAL, în cadrul unui eveniment formal reprezentanţii mas-media vor fi invitaţi la o mică dezbatere: cum să fie comunicarea între GAL şi mas-media? Mailing list Toţi corespondenţii care doresc să fie la zi cu viaţa GAL, vor fi introduşi în lista de corespondenţă a GAL, astfel corespondenţii de presă vor fi înştiinţaţi automat prin e-mail despre toate acţiunile şi activităţile GAL, inclusiv seminariale şi cursurile de formare organizate pentru GAL. Comunicate de presă Acţiunile şi evenimentele GAL vor fi anunţate prin Comunicate de presă, respectând regulile de Identitate Vizuală. Anunţuri plătite Evenimentele mai importante (de exemplu lansări de apel) vor fi făcute publice şi prin anunţuri plătite, respectând regulile de Identitate Vizuală. Publicaţii 53 Research, transfer and acquisition of knowledge in aid of rural development, “RURAL INNOVATION” DOSSIER NO. 10, LEADER EUROPEAN OBSERVATORY, FEBRUARY 2001 377
  • 378.
    Câte un exemplardin toate publicaţiile GAL vor fi expediate pe adresa corespondenţilor, cu rugămintea, ca aceste publicaţii să fie prezentate în presă. Conferinţe de presă Vor fi organizate conferinţe de presă cu ocazia evenimentelor importante şi la finele fiecărui an, spre a prezenta public bilanţul activităţilor GAL. 378
  • 379.
    III.5. Implementarea proiectelorîn cadrul GAL PARTEA a – VII – a: Mecanismul de implementare Informaţiile necesare monitorizării implementării se colectează din cererile de finanţare întocmite de către beneficiari. Aceste documente conţin informaţiile necesare calculării indicatorilor financiari, de realizare şi pentru o parte a indicatorilor de rezultat necesari monitorizării şi evaluării măsurilor din PNDR. III.5.1 Dispozitivul de monitorizare, evaluare şi control implementat de GAL III.5.1.1 Monitorizare Mnitorizarea prevede un dispozitiv riguros şi transparent de vizualizare a modului în care are loc gestionarea financiară a implementării strategiei de dezvoltare, care să permită colectarea sistematică şi structurarea anuală a datelor cu privire la activităţile desfăşurate. Dispozitivul de monitorizare va fi în concordanţă cu cerinţele Regulamentului (CE) nr. 1698/2005 al Consiliului din 20 septembrie 2005 şi anume respectând principiul „O ABORDARE COMUNĂ A MONITORIZĂRII ŞI EVALUĂRII” activităţile aferente se vor alinia „Cadrului comun de monitorizare şi evaluare” 54. Monitorizarea se va conforma în cel mai scurt timp la toate cerinţele sau sugestiile DADR considerând că o cooperare cât mai bună cu DADR contribuie la reuşita implementării Strategiei de dezvoltare locală. Monitorizarea este un bilanţ continuu şi sistematic al contribuţiilor bugetare, al activităţilor finanţate conform măsurilor şi al datelor privind primele rezultate la nivelul proiectelor. Monitorizarea generează datele cantitative. Ea exprimă o apreciere cu privire la punerea în aplicare corectă a măsurilor, facilitând corectarea deviaţiilor de la obiectivele operaţionale. Monitorizarea contribuie la justificarea cheltuielilor publice şi oferă informaţii preţioase pentru evaluarea măsurilor 55 Resursele disponibile de monitorizare a programelor se vor axa pe un număr limitat de indicatori comuni de realizare şi de rezultat care descriu în mod semnificativ evoluţia intervenţiilor în direcţia obiectivelor de program convenite şi care pot fi cumulate la nivelul UE. 56 Monitorizarea va permite colectarea sistematică şi structurarea anuală a datelor cu privire la activităţile desfăşurate. 54 MANUAL PRIVIND CADRUL COMUN DE MONITORIZARE ŞI DE EVALUARE, Document de orientare, septembrie 2006, Direcţia Generală Agricultură şi Dezvoltare Rurală - CCME 55 CCME, Nota directoare B - Orientări privind evaluarea 56 CCME 379
  • 380.
    Ce controlăm? Ce influenţăm direct? Ce influenţăm indirect? Inputuri Realizări Rezultate Impacturi Impacturi intermediare globale Administrare - Audit Punere în aplicare - monitorizare Evaluare în itinere Indicatorii sunt folosiţii drept instrumente de evaluare a gradului în care au fost realizate obiectivele preconizate prin măsuri sau programe globale. Evaluarea impactului, care reprezintă măsura în care un program şi-a îndeplinit obiectivele strategice, se efectuează pe baza realizărilor şi a rezultatelor măsurilor individuale, prin intermediul ierarhiei obiectivelor. Indicatorii trebuie să fie specifici, măsurabili, acceptabili/abordabili din punct de vedere al costurilor, relevanţi pentru program şi disponibili în timp util (SMART). Indicatorii nu pot cuprinde întotdeauna date statistice cantitative; în unele cazuri, indicatorii pot include de asemenea evaluări calitative sau supoziţii logice. III.5.1.1.1 Logica de intervenţie şi indicatorii Logica de intervenţie stabileşte lanţul de cauzalitate începând cu inputul bugetar, continuând cu realizările şi rezultate măsurilor şi terminând cu impactul acestora. Astfel, logica de intervenţie orientează evaluarea consecutivă a contribuţiei unei măsuri în direcţia realizării obiectivelor sale. Atât Strategia de dezvoltare locală cât şi proiectele au o ierarhie a obiectivelor conform CCME - Anexa 2 la Nota directoare D – Ierarhia obiectivelor. Logica de intervenţie pentru fiecare măsură şi indicatorii comuni corespunzători sunt prezentaţi în fişele de măsuri CCME - Anexa 2 la Nota directoare E – Fişele de măsuri. În strategie s-au folosit cu precădere indicatori „comuni”. Astfel şi proiectele vor utiliza de preferinţă indicatori comuni şi mai puţin indicatori suplimentai 57. Prin urmare monitorizarea se va baza în primul rând pe indicatorii comuni folosiţi. La nivelul GAL monitorizarea se va face pe indicatorii Planului financiar. La nivelul proiectelor monitorizarea se va face pe indicatorii proiectului. Dacă indicatorii dintr-un anumit proiect nu sunt direct compatibili cu indicatorii comuni sau suplimentari standard, se va proceda la şi la o „transformare” a indicatorilor proiectului în indicatori standard comuni sau în cel mai rău caz suplimentari. Dispozitivul de implementare şi control va ţine cont de metodologia Managementului Ciclului de Proiect. Monitorizarea oferă informaţii privind evoluţia punerii în aplicare a programului în raport cu indicatorii de inputuri financiare, de realizări şi de rezultate. 57 CCME - Notele directoare A şi K 380
  • 381.
    Ierarhia indicatorilor Ierarhia obiectivelor Necesităţi Impact Obiective globale Rezultat Obiective specifice Realizare Obiective operaţionale Input III.5.1.1.2 M1.1-E3.8 FISA DE VERIFICARE PE TEREN Data: Localizare: Persoana întâlnită (nume şi funcţie): Semnătura Secţiunea A1: Condiţii administrativ-procedurale Rezultatul verificării documentare la locul investiţiei Nr. Obiectul analizei / verificării Expert Nu Nu Crt. Da Nu este Da Nu este cazul cazul Beneficiarul s-a prezentat la data, Expert1 1 locul si ora programata pentru începerea verificării? Expert2 Persoanele întâlnite în cursul Expert1 verificării şi implicate în proiect 2 corespund cu cele precizate în Expert2 cererea de finanţare? Beneficiarul a participat nemijlocit Expert1 prin reprezentantul legal/tehnic la 3 toate etapele de verificare pe teren Expert2 a Cererii de Finanţare? Pentru efectuarea verificărilor, Expert1 beneficiarul a asigurat accesul 4 neîngrădit la obiectivul de Expert2 investiţie? 381
  • 382.
    Rezultatul verificării documentare la locul investiţiei Nr. Obiectul analizei / verificării Expert Nu Nu Crt. Da Nu este Da Nu este cazul cazul Localizarea/ amplasarea proiectului este conforma cu cea specificata de Expert1 5 beneficiar in Cererea de Finanţare si in documentele anexate Cererii Expert2 de Finanţare?1 Condiţiile existente pe teren permit Expert1 realizarea investiţiilor prevăzute in 6 Studiul de fezabilitate: utilaje, Expert2 dotări (după caz)?1 Infrastructura existentă folosită Expert1 pentru realizarea proiectului 7 corespunde cu descrierea dată în Expert2 cererea de finanţare?1 Descrierile tehnice despre obiectul de investiţii pentru modernizări, Expert1 8 extinderi si retehnologizări oferite în cadrul studiului de fezabilitate Expert2 corespund realităţii ?1 Au fost realizate fotografii Expert1 relevante pentru proiect pentru 9 prezentarea situaţiei existente, la Expert2 data vizitei pe teren? Categoriile de investiţii eligibile Expert1 10 sunt în conformitate cu cele specificate în măsură? Expert2 Categoriile de investiţii neeligibile Expert1 11 sunt în conformitate cu cele specificate în măsură?1 Expert2 Planul financiar este corect Expert1 12 completat şi respectă gradul de intervenţie publică ? Expert2 Pentru IMM-uri se respectă gradul Expert1 13 de intervenţie publică din Planul Expert2 financiar? Expert1 14 Expert2 Expert1 15 Expert2 Expert1 16 Expert2 Expert1 17 Expert2 Expert1 18 Expert2 382
  • 383.
    51 - Pentruinvestiţiile noi se verifica existenta terenului pe care va fi amplasata investiţia, conform documentelor anexate Cererii de Finanţare si localizarea acestora (ex: borne kilometrice, vecinătăţi etc.), care vor fi specificate la rubrica Observaţii GAL; - Pentru modernizări se verifica daca amplasarea construcţiei existente, care urmează sa fie modernizata, corespunde cu cea din Cererea de Finanţare si din documentele anexate Cererii de Finanţare. 61 - Daca investiţia se refera la înlocuirea unor maşini, utilaje etc., se verifica existenta acestora si daca starea acestora corespunde cu cele descrise in studiul de fezabilitate. - daca proiectul se refera la achiziţionarea unor noi dotări se verifica daca acestea au legătură cu proiectul propus spre finanţare si sunt necesare proiectului, ca rezultat al identificării lor in baza studiului de fezabilitate. 71 – atât pentru modernizare cat si pentru investiţie nouă, se verifică pe teren dacă proiectul are acces la infrastructura de bază (drumuri principale, electricitate, apă, canalizare etc.) si starea acesteia, conform celor specificate in studiul de fezabilitate. Aceste date se înscriu la rubrica Observaţii GAL. 81 - dacă investiţia se referă la modernizarea/ extinderea unei clădiri se verifică existenţa clădirii şi dacă starea fizică a clădirii corespunde cu cea descrisă în studiul de fezabilitate. - dacă investiţia se referă la modernizarea unui flux tehnologic, se verifică dacă acesta corespunde cu cel din studiul de fezabilitate; Dacă investiţia se referă la o modernizare: - dacă unitatea este in funcţiune, se verifică daca are autorizaţie de funcţionare şi dacă aceasta este in termen de valabilitate; - se solicită informaţii de la beneficiar privind numărul de salariaţi existenţi, cantitatea maximă prelucrată în anul anterior / semestrul anterior depunerii Cererii de finanţare şi dacă aceste informaţii corespund datelor din studiul de fezabilitate/ planul de afaceri. 111 – se verifică dacă categoriile de investiţii preconizate sa fie realizate prin proiect si care sunt cuprinse in Bugetul indicativ sunt cuprinse in Lista cheltuielilor eligibile specifice măsurii/ Fişa tehnică a măsurii. In cazul in care o parte din cheltuielile eligibile din Bugetul indicativ sunt neeligibile se specifică. 121 – se verifică in Bugetul indicativ dacă există cheltuieli neeligibile (din Lista cheltuielilor neeligibile specificate in Fişa tehnică a măsurii respective) care au fost încadrate la cheltuieli eligibile. Daca există astfel de situaţii, se specifică acest lucru. Aceste observaţii se înscriu la rubrica Observaţii GAL. Secţiunea A2:Verificarea copiilor documentelor anexate la cererea de finanţare cu originalele aflate la solicitant: Rezultatul verificării la Nr. Documentul verificat (copia cu originalul locul investiţiei Expert crt. existent la solicitant) Da Nu Nu este cazul Expert1 1 Document 4 Expert2 2 Document 5 Expert1 Expert2 . Expert1 . Expert2 . 16 Document 27 Expert1 Expert2 383
  • 384.
    Pentru documentele carenu au putut fi verificate, se va specifica la rubrica Observaţii GAL cauza neverificării (de exemplu: documentul este depus la organismul …. pentru avizare etc.). Concluzii Cele observate în cursul verificării pe teren corespund cu Cererea de finanţare? DA NU Observaţii GAL: vor fi menţionate la rubrica „Observaţiile GAL” toate aspectele neclare întâmpinate la studierea documentaţiei in birou si efectuarea verificării pe teren si orice alte constatări ale experţilor care pot afecta implementarea proiectului. Responsabil Compartiment Data: Aprobat de Administrativ zz/ll/aaa Nume şi prenume Semnătura / / / Întocmit de Expert1 GAL Nume şi prenume Semnătura / / / Întocmit de Expert2 GAL Nume şi prenume Semnătura / / / III.5.1.2 Evaluare Pentru evaluare se propune un dispozitiv clar de organizare a înregistrării şi raportării către AM a unor sugestii şi remarci privind rezultatelor implementării proiectelor în cadrul strategiei de dezvoltare locală. De asemenea, evaluarea va fi o activitate bine structurată pe o bază bine stabilită şi presupune elaborarea unui set de indicatori (consideraţi relevanţi în reflectarea eficienţei obţinute în urma implementării proiectului) şi a unei metodologii de evaluare (inclusiv rapoarte de evaluare – intermediare şi finale) a rezultatelor implementării. Monitorizarea şi evaluarea vor asigura implementarea efectivă şi la timp a proiectelor, managementul finanţelor publice, inclusiv administrarea adecvată a resurselor proiectului şi monitorizarea efectivă şi evaluarea activităţilor şi rezultatelor acestuia. În vederea aprobării rapoartelor de evaluare, în scopul efectuării plăţilor se va efectua auditul de către auditorul stabilit. III.5.1.2.1 Evaluarea Ex - Ante Evaluarea Ex - Ante 58 s-a realizat de-a lungul celor întâlnirilor din localităţile GAL, cu ocazia întâlnirilor grupurilor de lucru şi a consultărilor cu DADR, finalizându-se o dată cu evaluarea dosarului de candidatură a GAL. 58 CCME - Nota directoare C – Orientări privind evaluarea ex ante, inclusiv SEA 384
  • 385.
    Evaluarea Ex –Ante a urmărit 59: •Evaluarea analizei SWOT a programului o definirea şi evaluarea nevoilor pe termen mediu şi lung. •Evaluarea obiectivelor programului o „definirea şi evaluarea obiectivelor de îndeplinit; o definirea şi evaluarea rezultatelor aşteptate; o definirea şi evaluarea învăţămintelor trase din evaluarea anterioară; o definirea şi evaluarea valorii adăugate comunitare; o definirea şi evaluarea gradului în care au fost luate în calcul priorităţile Comunităţii.” •Evaluarea impacturilor scontate o definirea şi evaluarea obiectivelor cuantificate în special din punct de vedere al impactului în raport cu situaţia iniţială.” •Evaluarea procedurilor de punere în aplicare propuse, inclusiv a monitorizării, a evaluării şi a gestionării financiare o definirea şi evaluarea calităţii procedurilor de punere în aplicare, de monitorizare, de evaluare şi de gestionare financiară III.5.1.2.2 Evaluarea intermediară Concluziile şi recomandările trebuie să se bazeze strict pe dovezile evaluării cantitative şi calitative. Imperfecţiunile privind valabilitatea constatărilor şi a aprecierii care rezultă din acestea ar trebui să fie reflectate în mod critic. Răspunsul la fiecare întrebare de evaluare trebuie să reflecte indicatorii comuni şi pe cei specifici programului. În cazul în care o anumită măsură sau o componentă a programului nu au produs rezultatele şi impacturile preconizate, este necesară o analiză a motivelor care au produs acest efect neaşteptat. III.5.1.2.3 Întrebări de evaluare Codul măsurii 111 - Formare profesională, informare şi difuzare de cunoştinţe Întrebări de În ce măsură acţiunile de formare, de informare şi de difuzare a cunoştinţelor evaluare şi a practicilor inovatoare au ameliorat productivitatea muncii şi/sau alte elemente privind competitivitatea în sectoarele agricol, alimentar şi forestier? În ce măsură au contribuit activităţile de formare la ameliorarea gestionării durabile a terenurilor, inclusiv a gestionării durabile a resurselor naturale? În ce măsură cursurile de formare asistată corespund nevoilor şi sunt coerente cu alte măsuri ale programului? Codul măsurii 112 - Instalarea tinerilor fermieri Întrebări de În ce măsură a facilitat ajutorul instalarea stabilă tinerilor agricultori de evaluare ambele sexe? În ce măsură a facilitat ajutorul schimbarea structurală a exploataţiilor după instalarea iniţială a tinerilor agricultori? În ce măsură a contribuit ajutorul la ameliorarea potenţialului uman în sectorul agricol? În ce măsură a contribuit ajutorul la ameliorarea competitivităţii în sectorul agricol? 59 Articolul 85 din Regulamentul 1698/2005 al Consiliului 385
  • 386.
    Codul măsurii 121 - Modernizarea exploataţiilor agricole Întrebări de În ce măsură au contribuit investiţiile care au beneficiat de ajutor la o mai evaluare bună utilizare a factorilor de producţie în exploataţiile agricole? În special, în ce măsură au facilitat investiţiile care beneficiază de sprijin introducerea noilor tehnologii şi a inovaţiei? În ce măsură au sporit investiţiile care au beneficiat de ajutor accesul pe piaţă şi cota de piaţă a exploataţiilor agricole? În ce măsură au contribuit investiţiile care au beneficiat de ajutor la o activitate durabilă şi susţinută a exploataţiilor agricole? În ce măsură au contribuit investiţiile care au beneficiat de ajutor la ameliorarea competitivităţii în sectorul agricol? Codul măsurii 122 - Îmbunătăţirea valorii economice a pădurii Întrebări de În ce măsură au contribuit investiţiile care beneficiază de sprijin la creşterea evaluare diversităţii producţiei exploataţiilor forestiere? În ce măsură au contribuit investiţiile care beneficiază de sprijin la sporirea accesului pe piaţă şi a cotei de piaţă a exploataţiilor forestiere în sectoare precum sectorul energiei regenerabile? În ce măsură au contribuit investiţiile care beneficiază de sprijin la menţinerea sau ameliorarea gestionării durabile a pădurilor? Codul 123 - Creşterea valorii adăugate a produselor agricole şi forestiere măsurii Întrebări de În ce măsură au contribuit investiţiile care au beneficiat de ajutor la introducerea evaluare noilor tehnologii şi a inovaţiei? În ce măsură au contribuit investiţiile care au beneficiat de ajutor la ameliorarea calităţii produselor agricole şi forestiere? În ce măsură au contribuit investiţiile care au beneficiat de ajutor la ameliorarea eficienţei privind prelucrarea şi comercializarea produselor agricole şi forestiere? În ce măsură au contribuit investiţiile care au beneficiat de ajutor la sporirea accesului pe piaţă şi a cotei de piaţă a exploataţiilor agricole şi forestiere, inclusiv în sectoare precum sectorul energiei regenerabile? În ce măsură au contribuit investiţiile care au beneficiat de ajutor la ameliorarea competitivităţii în sectoarele agricol şi forestier? Codul 125 - Îmbunătăţirea şi dezvoltarea infrastructurii legate de dezvoltarea şi măsurii adaptarea agriculturii şi silviculturii Întrebări de În ce măsură a contribuit sistemul la restructurarea şi dezvoltarea evaluare potenţialului fizic prin ameliorarea infrastructurilor? În ce măsură a promovat sistemul competitivitatea exploataţiilor agricole şi forestiere prin ameliorarea infrastructurilor? 386
  • 387.
    Codul 141 - Sprijinirea fermelor agricole de semi-subzistenţă măsurii Întrebări de În ce măsură a promovat ajutorul o adaptare structurală durabilă a exploataţiilor evaluare de semi-subzistenţă? În ce măsură a facilitat ajutorul intrarea pe piaţă a exploataţiilor de semi- subzistenţă? În ce măsură a contribuit ajutorul la ameliorarea competitivității în sectorul agricol? Codul 142 - Înfiinţarea grupurilor de producători măsurii Întrebări de În ce măsură a facilitat ajutorul adaptarea producţiilor la cerinţele pieţei? evaluare În ce măsură a contribuit ajutorul la ameliorarea competitivităţii în sectorul agricol? Codul 211 - Sprijin pentru zona montană defavorizată măsurii Întrebări de În ce măsură au contribuit indemnizaţiile compensatorii la garantarea evaluare exploatării continue a terenului agricol în zonele montane? În ce măsură au contribuit indemnizaţiile compensatorii la menţinerea unei comunităţi rurale viabile în zonele montane? În ce măsură a contribuit sistemul la menţinerea şi promovarea sistemelor agricole durabile? În ce măsură a contribuit sistemul la păstrarea peisajului rural și la ameliorarea mediului? Codul 214 - Plăţi de agro-mediu măsurii Întrebări de În ce măsură au contribuit măsurile de agromediu la menţinerea sau evaluare promovarea sistemelor agricole durabile? În ce măsură au contribuit măsurile de agromediu la păstrarea habitatelor şi a biodiversităţii? În ce măsură au contribuit măsurile de agromediu la păstrarea şi ameliorarea calităţii apei? În ce măsură au contribuit măsurile de agromediu la păstrarea şi ameliorarea calităţii solului? În ce măsură au contribuit măsurile de agromediu la diminuarea schimbărilor climatice? În ce măsură au contribuit acţiunile de agromediu la păstrarea şi ameliorarea peisajelor şi a caracteristicilor acestora? În ce măsură au contribuit măsurile de agromediu la ameliorarea mediului? Se face deosebirea între contribuţia măsurilor de agromediu puse în aplicare ca măsuri stricte, cu caracter zonal şi a acţiunilor mai puţin stricte care se aplică la scară largă. 387
  • 388.
    Codul 221 - Prima împădurire a terenurilor agricole măsurii Întrebări de În ce măsură a contribuit măsura la crearea efectivă de zone forestiere, evaluare respectând normele privind protecţia mediului? În ce măsură a contribuit măsura la crearea de zone forestiere gestionate în mod durabil care să contribuie la păstrarea funcţiilor ecologice ale pădurilor şi la prevenirea catastrofelor naturale şi a incendiilor? În ce măsură a contribuit măsura la păstrarea peisajului rural şi la ameliorarea mediului? Codul 312 – Sprijin pentru crearea şi dezvoltarea de micro-întreprinderi măsurii Întrebări de În ce măsură a contribuit ajutorul la promovarea diversităţii şi a spiritului evaluare antreprenorial? Analiza se concentrează asupra celor mai importante activităţi. În ce măsură a promovat ajutorul oportunităţi suplimentare de încadrare în muncă în zonele rurale? În ce măsură a contribuit ajutorul la ameliorarea diversităţii ţi dezvoltării economiei rurale? În ce măsură a contribuit ajutorul la ameliorarea calităţii vieţii în zonele rurale? Codul 313 - Încurajarea activităţilor turistice măsurii Întrebări de În ce măsură a contribuit măsura la dezvoltarea activităţilor turistice? Se face evaluare deosebirea între activităţi care se desfăşoară pe exploataţii agricole şi alte activităţi. În ce măsură a promovat măsura oportunităţi suplimentare de încadrare în muncă în zonele rurale? În ce măsură a contribuit măsura la ameliorarea diversităţii şi dezvoltării economiei rurale? În ce măsură a contribuit măsura la ameliorarea calităţii vieţii în zonele rurale? Codul 322 – Renovarea, dezvoltarea satelor, îmbunătăţirea serviciilor de bază pentru măsurii economia şi populaţia rurală şi punerea în valoare a moştenirii rurale Întrebări de În ce măsură a contribuit măsura la ameliorarea calităţii vieţii în zonele rurale? evaluare Se face deosebirea între diferitele sectoare vizate (precum comerţul, serviciile de sănătate, transportul, tehnologia informaţiei, mediul …). În ce măsură a sporit măsura atractivitatea zonelor rurale? Se face deosebirea între diferitele sectoare în cauză (precum comerţul, serviciile de sănătate, transportul, tehnologia informaţiei, mediul …). În ce măsură a contribuit măsura la stoparea declinului economic şi social şi a depopulării spaţiului rural? 388
  • 389.
    Codul 41 Punerea în aplicare a strategiilor de dezvoltare locală măsurii Întrebări de În ce măsură a contribuit abordarea LEADER la ameliorarea guvernării în evaluare zonele rurale? În ce măsură a contribuit abordarea LEADER la mobilizarea potenţialului de dezvoltare endogenă a zonelor rurale? În ce măsură a contribuit abordarea LEADER la introducerea abordărilor multi - sectoriale şi la promovarea cooperării pentru punerea în aplicare a programelor de dezvoltare rurală? În ce măsură a contribuit abordarea LEADER la priorităţile axelor 1, 2 şi 3? Codul 431 Funcţionarea grupului local de acţiune, dobândirea de competenţe şi măsurii acţiunile de animare pe teritoriu Întrebări de În ce măsură a sporit ajutorul competenţele grupului de acţiune locală şi ale evaluare altor parteneri implicaţi în punerea în aplicare a strategiilor de dezvoltare locale? În ce măsură a contribuit ajutorul la sporirea capacităţii de punere în aplicare a programului LEADER? III.5.1.2.4 Evaluarea Ex - Post Evaluarea Ex – Post ex post analizează gradul de utilizare a resurselor, eficacitatea şi eficienţa programării FEADR, consecinţele sale socioeconomice, precum şi impactul său asupra priorităţilor Comunităţii. III.5.1.2.5 Activităţile dispozitivului de monitorizare, evaluare şi control implementat de GAL •Luarea operativă a deciziilor asupra implementării proiectului (sau depistarea problemelor); •Efectuarea zilnică a gestionării proiectului; •Executarea operativă şi corectă a procedurilor de gestionare a resurselor; •Facilitarea coordonării între activităţile componentelor; •Monitorizarea şi raportarea la timp despre realizările şi rezultatele proiectului; •Informaţia despre conţinutul proiectului şi realizările acestuia este oferită factorilor de decizie la cel mai înalt nivel. 389
  • 390.
    III.5.1.2.6 Controlul Controlul presupunestabilirea unui sistem de verificare a respectării planificării legate de implementarea strategiei de dezvoltare. Se vor efectua rapoarte de verificare pe teren. Controlul funcţiilor delegate precum şi controlul managementului implementării strategiei de dezvoltare vizează următoarele puncte principale: Asigurarea respectării regulilor de procedură; •Utilizarea documentelor tip; •Documentarea indicatorilor de analiză şi evaluare; •Respectarea convenţiilor ş anexelor tehnice şi financiare; •Calitatea gestionării dosarelor până la momentul arhivării acestora, care vizează ritmul în care un dosar este depus, instrumentat, programat, avizat, plătit şi arhivat; •Calitatea monitorizării în diferitele stadii de avansare a dosarului care vizează respectarea funcţiilor de gestiune, evaluare, urmărire, alertă, control şi restituire ale acestuia. Desfăşurarea activităţilor de control al calităţii managementului se va realiza în baza unui plan de control. Programarea vizitelor (controalelor) va trebui să aibă în vedere anumite principii, cum ar fi: eficienţa unor astfel de demersuri, păstrarea bunelor relaţii contractuale, verificarea doar a aspectelor de ordin tehnic legate de proiect etc. Controlul va avea în vedere următoarele aspecte: •Analiza dosarelor în funcţie de criteriile aplicabile (de eligibilitate şi de selecţie); •Analiza criteriilor de eligibilitate (geografice, temporale, referitoare la coordonatorul lucrărilor şi, respectiv la tipul de cheltuieli); •Instrumentarea tehnico-economică a dosarului; •Consultarea serviciilor; •Planul de financiare/cost total eligibil; •Respectarea obligaţiilor regulamentare. Rezultatele acestor controale vor fi analizate de Comitetul Director al GAL care trebuie să stabilească măsurile corective ce vor fi luate în vederea îmbunătăţirii dispozitivului său, luând în considerare rezultatele misiunilor de control. Astfel, prin exercitarea activităţilor de control, GAL urmăreşte realizarea următoarelor obiective specifice: a) Punerea la dispoziţia factorilor implicaţi a tuturor informaţiilor referitoare la gestionarea şi implementarea măsurilor; b) Informarea periodică a DADR cu privire la evoluţia măsurilor; c) Intervenţia în timp real asupra întregului lanţ de management şi de control al sprijinului. 390
  • 391.
    III.5.1.2.7 Sarcinile dispozitivuluide monitorizare, evaluare şi control implementat de GAL Sarcină GAL DADR Agenţia de Plăţi 01 Informare X 02 Sprijinirea elaborării proiectelor X 03 Lansarea apelului pentru proiecte X 04 Selectarea proiectelor X 05 Controlul administrativ al dosarelor X X 06 Decizie X 07 Notificarea către beneficiar X X 08 Monitorizare X X 09 Plată X 10 Control X X 11 Arhivare X Compartimentul Administrativ va participa la îndeplinirea tuturor sarcinilor. Informare În conformitate cu subcapitolele anterioare ale strategiei: •întâlniri – conferinţe tematice, pag. 371 •seminarii ad-hoc, pag. 371 Sprijinirea elaborării proiectelor În conformitate cu subcapitolule anterior al strategiei: •grupuri de lucru, Grupurile de lucru 1 şi 2, pag. 372 Lansarea apelului pentru proiecte În conformitate cu subcapitolule anterior al strategiei: •grupuri de lucru, Grupurile de lucru 1, 2 şi 3, pag. 372 Selectarea proiectelor În conformitate cu subcapitolule anterior al strategiei: •Descrierea partenerilor, pag. 328 Dacă AM nu va avea alte opţiuni se vor aplica următorii paşi: Activitate Formular Dosar E3.5 DOSAR ADMINISTRATIV administrativ Conformitate E2.1 FIŞA DE VERIFICARE A CONFORMITĂŢII Eligibilitate E3.1 FIŞA DE VERIFICARE A CRITERIILOR DE ELIGIBILITATE Informaţii E3.4 FISA DE SOLICITARE A INFORMATIILOR SUPLIMENTARE suplimentare Evaluare E3.9 FIŞA DE EVALUARE A CRITERIILOR DE SELECŢIE 391
  • 392.
    Decizie Deciziile asupra propuneriispre finanţare a aplicaţiilor se iau de către Consiliul Director la propunerea Comisiei de evaluare. DADR va fi înştiinţat asupra deciziilor luate şi documentele se vor transmite cu formularul E3.2 BORDEROU DE TRANSMITERE A DOCUMENTELOR DE LA GAL LA DRDP. În acest sens Adunarea generală a GAL va adopta o hotărâre. Monitorizare În conformitate cu subcapitolule anterior al strategiei: •Monitorizare, pag. 379 Arhivare Arhivarea fizică a documentelor se va face conform cu Legea 16/1996. Cererile de finanţare se înregistrează digital şi concomitent pe suport de hârtie conform formularului E 2.2 şi se transmite la arhivare cu formularul 7.2. E2.2 REGISTRUL DE INREGISTRARE A CERERILOR DE FINANTARE Nr. Număr de Data Titlul proiectului Denumire solicitant Crt. înregistrare al înregistrării cererii de la GAL finanţare 0 1 2 3 4 392
  • 393.
    III.6. Implicarea GALîn acţiunile de cooperare şi în RNDR PARTEA a -VIII – a: Cooperare şi crearea şi implementarea reţelei III.6.1 Cooperare Cooperarea cu alte teritorii incluse în strategia de dezvoltare locală va facilita transferul şi adaptarea inovaţiilor dezvoltate în altă parte. Parteneri externi: •Austria,GAL Sauwald, http://www.baumkronenweg.at/, dl. Thomas Müller •Ungaria, GAL Dél Mátra Közhasznú Egyesület, http://www.delmatra.hu/, dl. Béla GYURKÓ Partener intern: •G10 – judeţul Harghita, dl. Albert Elemér LACZKÓ •La iniţiativa G10 (Remetea, jud. Harghita) s-a încheiat o conveţie semnată de către 8 Grupuri de Acţiune. III.6.1.1 Aspecte financiare Finanţarea proiectelor de cooperare se va face din următoarele alocări bugetare: • Măsura 421 – 27,136€ • Măsura 431.2 o a07, Cheltuieli pentru participarea la activităţile reţelei naţionale şi europene de dezvoltare rurală, seminarii etc. – 13,000€ o b01, Studii ale zonei; - 6,500€ • Măsura 313 – 313,008€ • Măsura 322 – 217,087€ În total 576,731€ sunt disponibil pentru susţinerea proiectelor de cooperare. 393
  • 394.
    Valoarea proiectului/ proiectelor de Nr. Partenerul/ Tematica cooperare crt. partenerii cooperării Obiective (euro) Rezultate 1. Experienţe de cooperare deja întreprinse Decembrie 2009, GAL Seminar ţinut de Analiza generală Analiza SWOT 1 Sauwald, către dl. Thomas SWOT – valorificată în pentru Alutus Austria MÜLLER la Strategia de dezvoltare Arcuş 1. Analiza preliminară pentru Suprafaţă web comună Sauwald – Dél Mátra – Alutus – G10 în limbile Vizita Identificarea română, maghiară, GAL Dél partenerilor la unor posibile germană şi engleză 2 Mátra, potenţialul GAL idei de proiecte 2. Analiza preliminară Ungaria Alutus comune pentru Publicaţie comună Sauwald – Dél Mátra – Alutus – G10 în limbile română, maghiară, germană şi engleză 1. Acord de principiu pentru Abordare sectorială integrată: produse specifice din Armonizarea fructe de pădure Întâlnire la unor principii G10, 2. Acord de principiu 3 Remetea, judeţul şi obiective din România pentru Abordare Harghita strategiile de sectorială integrată dezvoltare Itinerar comun pentru ciclism şi turism în cele două zone 1. Prospectarea posibilităţii iniţierii unui proiect: „hidro- Identificarea GAL funicular”. unor posibile 4 Sauwald, Vizită în Austria 2. Prospectarea idei de proiecte Austria posibilităţii iniţierii comune unui proiect asemănător cu „Top – Tree – Walking” 394
  • 395.
    Valoarea proiectului/ proiectelor de Nr. Partenerul/ Tematica cooperare crt. partenerii cooperării Obiective (euro) Rezultate 2. Intenţii de cooperare Proiectul „hidro- funicular” – •Planificare: •Studiu de fezabilitate Austria, itinerar turistic de 2011 1 •Plan de marketing Sauwald agrement – cu •Implementare: implementare în •Proiect tehnic 2012 - 2013 GAL Alutus Sauwald, •Proiect tehnic: Austria – semestrul I – •Layout - proiect Dél Mátra, Suprafaţă web 2010 •Conţinut – proiect 2 Ungaria, - comună •Implementare: •Suport hard – oglindit G10, semestrul II - – proiect Romînia 2010 1. Abordare sectorială •Planificare: integrată: •Studiu de fezabilitate 2011 produse •Plan de marketing •Implementare: specifice din •Proiect tehnic 2012 - 2013 fructe de G10, pădure 3 România 2. Abordare sectorială •Planificare: integrată •Studiu de fezabilitate 2011 Itinerar comun •Plan de marketing •Implementare: pentru ciclism •Proiect tehnic 2012 - 2013 şi turism în cele două zone 395
  • 396.
    III.6.2 Crearea şiimplementarea reţelei GAL Alutus se va angaja să participe la activităţile aferente creării şi implementării reţelei, care i se vor propune. În decurs de 60 de zile de la acreditarea sa, GAL va solicita afilierea la Reţeaua Naţională de Dezvoltare Rurală (RNDR) şi la Reţeaua Europeană de Dezvoltare Rurală (REDR). III.6.2.1 modul în care GAL intenţionează să participe la crearea şi implementarea reţelei la nivel naţional şi european GAL Alutus doreşte să se implice în următoarele activităţi ale RNDR: •Stabilirea planului strategic al RNDR •Descrierea regulilor şi procedurilor cu privire la accesul membrilor la serviciile RNDR •Gestionarea, diseminarea informaţiilor legate de dezvoltarea rurală românească şi comunitară •Susţinerea contactului şi a legăturilor cu Reţeaua Europeană de Dezvoltare Rurală – REDR •Crearea unui forum naţional permanent on line de discuţii pentru parteneriate •Sprijin pentru monitorizarea şi evaluarea Reţelei •Pregătirea programelor de instruire pentru Grupurile de Acţiune Locală în procesul de formare •Organizarea şi stabilirea structurii necesară schimburilor de experienţă şi know-how, precum şi a evenimentelor cu caracter general şi specific, la nivel local, naţional şi comunitar •Asistenţă tehnică pentru cooperare inter-teritorială şi trans-naţională, analize, studii tematice, expertiză, monitorizare şi control •Identificarea şi analiza celor mai bune practici transferabile şi informare asupra acestora, inclusiv diseminarea informaţiilor privind rezultatele şi impactul PNDR. •Transfer de bune practici şi inovare şi plasarea lor în diferite contexte •Sprijin de promovare a serviciilor în favoarea fermierilor •Implementarea, managementul şi funcţionarea structurilor RNDR. III.6.2.2 Resursele pe care GAL intenţionează să le aloce Dat fiind faptul că GAL este format într-una dintre cele mai sărace zone ale României, de la început nu îşi va putea permite să aloce resurse financiare considerabile. III.6.2.2.1 Resurse umane Totuşi GAL se oferă să susţină participarea unor experţi din propriul teritoriu la activităţile de pregătire (materiale pentru formare, trening) şi de administrare ale RNDR. III.6.2.2.2 Contribuţie „în natură” GAL se oferă să asigure anual spaţiu, cazare şi masă pentru două seminarii naţionale şi/sau internaţionale la „Centrul de Studii Europene” de la Arcuş. III.6.2.3 Iniţiativele GAL pe care le va avea pentru a-şi face cunoscute teritoriul Marketing pentru GAL în RNDR şi REDR. „Planuri şi vise” – seminar internaţional pentru prezentarea GAL şi a strategiei sale, în primul trimestru al anului 2011 „Realizări şi realităţi – lecţii învăţate” – la un an după seminarul anterior. 396
  • 397.
    III.6.2.4 Acţiunile GALpe care le realizează pentru a-şi face cunoscute teritoriul •După punerea în funcţiune a spaţiului web comun pentru Alutus, Sauwald, Dél – Mátra şi G10, prin RENDR, GAL va iniţia o campanie de marketing pe e-mail, cu scopul anunţării acreditării sale şi a promovării propriilor valori şi a valorilor partenerilor săi. •Organizarea seminarului „Planuri şi vise” •Organizarea seminarului şi schimbului de experienţă „Realizări şi realităţi – lecţii învăţate” 397
  • 398.
    IV. Bibliografie 1. PLANDE DEZVOLTARE A JUDEŢULUI COVASNA PE TERMEN MEDIU (2006 – 2013), AGENDA 21 LOCALĂ A JUDEŢULUI COVASNA 2. Strategia de dezvoltare pe termen mediu a judeţului Covasna 2004 – 2015 3. DEZVOLTARE A ORASULUI BARAOLT 4. Comuna Aita Mare – Strategia 2020 5. Strategia de dezvoltare durabilă a comunei Vârghiş – Planul local de acţiune 6. Comuna Ghidfalău – Strategia 2020 7. Strategia de dezvoltare pe termen lung a comunei Malnaş 8. STRATEGIA DE DEZVOLTARE PE DURATĂ MEDIE ŞI LUNGĂ A COMUNEI MICFALĂU COMUNA MICFALĂU 2008-2020 9. Comuna Valea Crişului – Strategia 2020 10. GUVERNUL ROMÂNIEI, Ministerul Agriculturii, Pădurilor şi Dezvoltării Rurale: Programul Naţional de Dezvoltare Rurală, 2007 – 2013, versiunea consolidată decembrie 2009, Număr CCI: 2007RO06RPO001 11. REGULAMENTUL (CE) NR. 1698/2005 AL CONSILIULUI din 20 septembrie 2005 privind sprijinul pentru dezvoltare rurală acordat din Fondul European Agricol pentru Dezvoltare Rurală (FEADR) 12. DECIZIA CONSILIULUI din 20 februarie 2006 privind orientările strategice ale Comunităţii pentru dezvoltare rurală (perioada de programare 2007-2013) (2006/144/CE) 13. MANUAL PRIVIND CADRUL COMUN DE MONITORIZARE ŞI DE EVALUARE Document de orientare septembrie 2006 Comisia Europeană Direcţia Generală Agricultură şi Dezvoltare Rurală 14. Nota directoare A – Alegerea și utilizarea indicatorilor 15. Nota directoare B – Orientări privind evaluarea 16. Nota directoare C – Orientări privind evaluarea ex ante, inclusiv SEA 17. Guidance note D – Hierarchy of Objectives 18. Guidance note E – Measure Fiches 19. Guidance note F –Common indicator list 20. Guidance note G – Baseline indicators fiches 21. Guidance note H – Output Indicator Fiches 22. Guidance note I – Result Indicator Fiches 23. Guidance note J – Impact Indicator Fiches 24. Guidance note K – Examples of additional indicators 398
  • 399.
    i In cadrul responsabilităţilor sunt specificate obligaţiile, îndatoririle ce revin angajatului fata de oameni, materiale, bani, unelte, echipamente etc. Responsabilităţile trebuie sa fie redactate clar, pe puncte, pentru ca angajatul sa le înţeleagă cat mai bine. Spre exemplu, in fisa postului de manager, la secţiunea responsabilităţilor se vor regăsi verbe precum: planifica, dirijează, decide, implementează, realizează, asigura, stabileşte. ii Competentele de munca sunt de fapt partea cea mai importanta din fisa postului. Ele sunt de fapt performantele solicitate deţinătorului postului de munca. Spre exemplu, pentru postul de secretar, competentele ar fi: să ştie să lucreze cu un anumit soft la un anumit nivel de performanţă, să vorbească o limbă străină sau mai multe etc. iii In cadrul responsabilităţilor sunt specificate obligaţiile, îndatoririle ce revin angajatului fata de oameni, materiale, bani, unelte, echipamente etc. Responsabilităţile trebuie sa fie redactate clar, pe puncte, pentru ca angajatul sa le înţeleagă cat mai bine. Spre exemplu, in fisa postului de manager, la secţiunea responsabilităţilor se vor regăsi verbe precum: planifica, dirijează, decide, implementează, realizează, asigura, stabileşte. iv Competentele de munca sunt de fapt partea cea mai importanta din fisa postului. Ele sunt de fapt performantele solicitate deţinătorului postului de munca. Spre exemplu, pentru postul de secretar, competentele ar fi: să ştie să lucreze cu un anumit soft la un anumit nivel de performanţă, să vorbească o limbă străină sau mai multe etc. v In cadrul responsabilităţilor sunt specificate obligaţiile, îndatoririle ce revin angajatului fata de oameni, materiale, bani, unelte, echipamente etc. Responsabilităţile trebuie sa fie redactate clar, pe puncte, pentru ca angajatul sa le înţeleagă cat mai bine. Spre exemplu, in fisa postului de manager, la secţiunea responsabilităţilor se vor regăsi verbe precum: planifica, dirijează, decide, implementează, realizează, asigura, stabileşte. vi Competentele de munca sunt de fapt partea cea mai importanta din fisa postului. Ele sunt de fapt performantele solicitate deţinătorului postului de munca. Spre exemplu, pentru postul de secretar, competentele ar fi: să ştie să lucreze cu un anumit soft la un anumit nivel de performanţă, să vorbească o limbă străină sau mai multe etc. vii In cadrul responsabilităţilor sunt specificate obligaţiile, îndatoririle ce revin angajatului fata de oameni, materiale, bani, unelte, echipamente etc. Responsabilităţile trebuie sa fie redactate clar, pe puncte, pentru ca angajatul sa le înţeleagă cat mai bine. Spre exemplu, in fisa postului de manager, la secţiunea responsabilităţilor se vor regăsi verbe precum: planifica, dirijează, decide, implementează, realizează, asigura, stabileşte. viii Competentele de munca sunt de fapt partea cea mai importanta din fisa postului. Ele sunt de fapt performantele solicitate deţinătorului postului de munca. Spre exemplu, pentru postul de secretar, competentele ar fi: să ştie să lucreze cu un anumit soft la un anumit nivel de performanţă, să vorbească o limbă străină sau mai multe etc. 399