Embed presentation
Download to read offline



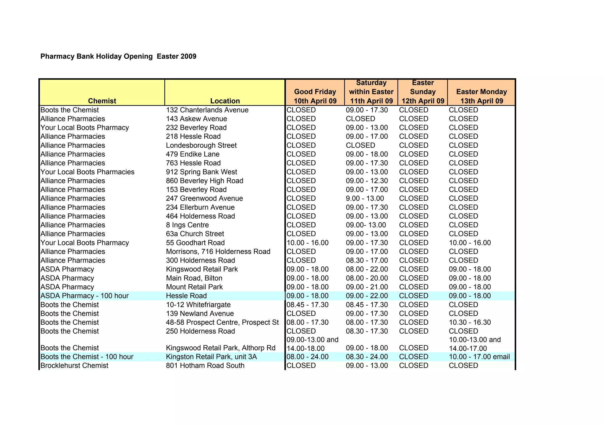
This document lists the pharmacy opening times for various locations in the Hull area over the Easter 2009 bank holiday weekend. It shows that most pharmacies will be closed on Good Friday and Easter Sunday, and will have reduced opening hours on Saturday and Monday. Some pharmacies located within supermarket stores (e.g. Asda, Tesco) will have later closing times on Saturday to accommodate increased shopping hours. A small number of 24 hour pharmacies (marked as 100 hour) will maintain normal opening hours throughout the long weekend.


