Front cover


PDA Management with IBM
Tivoli Configuration Manager

A primer for deployments of any size
and proofs of concept

Step-by-step installation and
how-to instructions

Scenario-based PDA
management




                                                        Edson Manoel
                                                         Zoltan Veress
                                                     Szabolcs Barabas



ibm.com/redbooks
International Technical Support Organization

PDA Management with IBM Tivoli Configuration
Manager

May 2003




                                               SG24-6951-00
Note: Before using this information and the product it supports, read the information in
 “Notices” on page vii.




First Edition (May 2003)

This edition applies to IBM Tivoli Configuration Manager Version 4, Release 2, and IBM Tivoli
Access Manager for e-business Version 3, Release 9.


© Copyright International Business Machines Corporation 2003. All rights reserved.
Note to U.S. Government Users Restricted Rights -- Use, duplication or disclosure restricted by GSA ADP
Schedule Contract with IBM Corp.
Contents

                   Notices . . . . . . . . . . . . . . . . . . . . . . . . . . . . . . . . . . . . . . . . . . . . . . . . . . . . . . vii
                   Trademarks . . . . . . . . . . . . . . . . . . . . . . . . . . . . . . . . . . . . . . . . . . . . . . . . . . . viii

                   Preface . . . . . . . . . . . . . . . . . . . . . . . . . . . . . . . . . . . . . . . . . . . . . . . . . . . . . . . ix
                   The team that wrote this redbook . . . . . . . . . . . . . . . . . . . . . . . . . . . . . . . . . . . . ix
                   Become a published author . . . . . . . . . . . . . . . . . . . . . . . . . . . . . . . . . . . . . . . . x
                   Comments welcome . . . . . . . . . . . . . . . . . . . . . . . . . . . . . . . . . . . . . . . . . . . . . . xi

Part 1. Concepts, planning, and implementation. . . . . . . . . . . . . . . . . . . . . . . . . . . . . . . . . . 1

                   Chapter 1. Device management architecture . . . . . . . . . . . . . . . . . . . . . . . . 3
                   1.1 Device Management overview . . . . . . . . . . . . . . . . . . . . . . . . . . . . . . . . . . 4
                      1.1.1 Tivoli Resource Manager and Web Gateway . . . . . . . . . . . . . . . . . . . 4
                      1.1.2 Device Management internals. . . . . . . . . . . . . . . . . . . . . . . . . . . . . . . 8
                   1.2 Our approach . . . . . . . . . . . . . . . . . . . . . . . . . . . . . . . . . . . . . . . . . . . . . . 11

                   Chapter 2. Getting the environment up and running . . . . . . . . . . . . . . . . . 13
                   2.1 Planning for the single-box installation . . . . . . . . . . . . . . . . . . . . . . . . . . . 14
                      2.1.1 Software requirements . . . . . . . . . . . . . . . . . . . . . . . . . . . . . . . . . . . 14
                      2.1.2 Hardware requirements. . . . . . . . . . . . . . . . . . . . . . . . . . . . . . . . . . . 14
                      2.1.3 Installation matrix . . . . . . . . . . . . . . . . . . . . . . . . . . . . . . . . . . . . . . . 15
                   2.2 Single-box implementation: RS/6000-based . . . . . . . . . . . . . . . . . . . . . . . 17
                      2.2.1 IBM DB2 Server installation . . . . . . . . . . . . . . . . . . . . . . . . . . . . . . . 18
                      2.2.2 IBM DB2 Fixpack 7 installation . . . . . . . . . . . . . . . . . . . . . . . . . . . . . 22
                      2.2.3 IBM WebSphere installation . . . . . . . . . . . . . . . . . . . . . . . . . . . . . . . 22
                      2.2.4 IBM WebSphere Fixpack 3 installation . . . . . . . . . . . . . . . . . . . . . . . 25
                      2.2.5 IBM Tivoli Configuration Manager installation . . . . . . . . . . . . . . . . . . 26
                      2.2.6 Tivoli Web Gateway Server installation on AIX . . . . . . . . . . . . . . . . . 33
                   2.3 Single-box implementation: Intel-based . . . . . . . . . . . . . . . . . . . . . . . . . . 42
                      2.3.1 IBM DB2 Server installation . . . . . . . . . . . . . . . . . . . . . . . . . . . . . . . 43
                      2.3.2 IBM DB2 Fixpack 7 installation . . . . . . . . . . . . . . . . . . . . . . . . . . . . . 44
                      2.3.3 IBM WebSphere installation . . . . . . . . . . . . . . . . . . . . . . . . . . . . . . . 45
                      2.3.4 IBM WebSphere Fixpack 3 installation . . . . . . . . . . . . . . . . . . . . . . . 47
                      2.3.5 IBM Tivoli Configuration Manager installation . . . . . . . . . . . . . . . . . . 47
                      2.3.6 Tivoli Web Gateway Server installation on WIndows . . . . . . . . . . . . 53
                   2.4 Tivoli Resource Gateway configuration . . . . . . . . . . . . . . . . . . . . . . . . . . . 62

                   Chapter 3. Implementing security on the PDA management environment65
                   3.1 General considerations . . . . . . . . . . . . . . . . . . . . . . . . . . . . . . . . . . . . . . . 66



© Copyright IBM Corp. 2003. All rights reserved.                                                                                        iii
3.2 Access Manager for e-business installation . . . . . . . . . . . . . . . . . . . . . . . 67
                         3.2.1 Installing IBM Directory Server . . . . . . . . . . . . . . . . . . . . . . . . . . . . . 67
                         3.2.2 Installing Access Manager - Policy Server . . . . . . . . . . . . . . . . . . . . 72
                         3.2.3 Installing Access Manager - Authorization Server . . . . . . . . . . . . . . 74
                         3.2.4 Installing Access Manager - Application Development Kit . . . . . . . . 76
                         3.2.5 Installing Access Manager - WebSEAL . . . . . . . . . . . . . . . . . . . . . . 78
                         3.2.6 Installing Access Manager - Java Runtime Environment . . . . . . . . . 82
                      3.3 Configuring the secure environment . . . . . . . . . . . . . . . . . . . . . . . . . . . . . 85
                         3.3.1 Creating a WebSEAL junction to the Web Gateway . . . . . . . . . . . . . 86
                         3.3.2 Configuring query_contents for WebSEAL . . . . . . . . . . . . . . . . . . . . 89
                         3.3.3 Installing Tivoli Web Gateway with security enabled . . . . . . . . . . . . 91
                         3.3.4 Configuring Web Gateway to use WebSEAL junction . . . . . . . . . . . 92

Part 2. Case study scenario . . . . . . . . . . . . . . . . . . . . . . . . . . . . . . . . . . . . . . . . . . . . . . . . . . 97

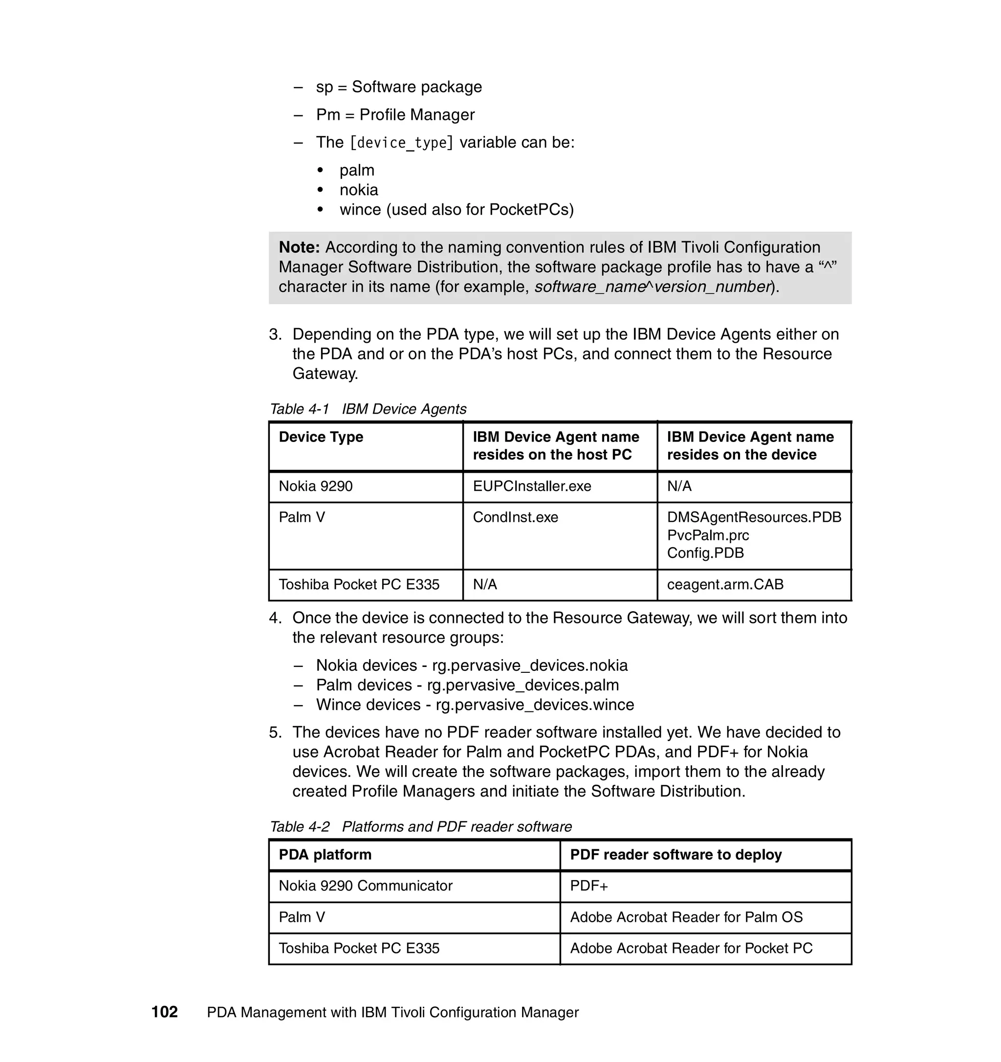
                      Chapter 4. Managing pervasive devices . . . . . . . . . . . . . . . . . . . . . . . . . . . 99
                      4.1 Case study overview . . . . . . . . . . . . . . . . . . . . . . . . . . . . . . . . . . . . . . . . 100
                      4.2 Managing Nokia 9290 Communicator . . . . . . . . . . . . . . . . . . . . . . . . . . . 103
                         4.2.1 Installation and configuration of the Device Agent for Nokia. . . . . . 103
                         4.2.2 Distributing software packages to Nokia 9290 Communicator . . . . 108
                      4.3 Managing Palm devices . . . . . . . . . . . . . . . . . . . . . . . . . . . . . . . . . . . . . 118
                         4.3.1 Installation and configuration of the Device Agent for Palm . . . . . . 118
                         4.3.2 Distributing software packages to Palm . . . . . . . . . . . . . . . . . . . . . 122
                         4.3.3 Performing inventory scan on Palm . . . . . . . . . . . . . . . . . . . . . . . . 131
                      4.4 Managing WinCE/PocketPC devices . . . . . . . . . . . . . . . . . . . . . . . . . . . 137
                         4.4.1 Installation and configuration of the Device Agent for PocketPC . . 138
                         4.4.2 Distributing software on WinCE/PocketPC . . . . . . . . . . . . . . . . . . . 142
                         4.4.3 Running inventory on the WinCE/PocketPC . . . . . . . . . . . . . . . . . . 149
                      4.5 Weekly distribution of the price and stock list . . . . . . . . . . . . . . . . . . . . . 153

                      Appendix A. Troubleshooting Web Gateway and Device Management . 155
                      Troubleshooting Web Gateway Installation . . . . . . . . . . . . . . . . . . . . . . . . . . 156
                         Useful log files for installation troubleshooting . . . . . . . . . . . . . . . . . . . . . 157
                         Cleaning up a failed Web Gateway installation . . . . . . . . . . . . . . . . . . . . . 160
                      Common Web Gateway and Device Management problems . . . . . . . . . . . . 161
                         Problems with starting the Web Gateway . . . . . . . . . . . . . . . . . . . . . . . . . 161
                         Problems with using the Web Gateway . . . . . . . . . . . . . . . . . . . . . . . . . . 163
                         Problems with registering device classes and job classes . . . . . . . . . . . . 164
                         Problems with enrolling a device. . . . . . . . . . . . . . . . . . . . . . . . . . . . . . . . 164
                         Problems with connecting the agent to the Web Gateway . . . . . . . . . . . . 164
                         Problems with publishing and downloading a package. . . . . . . . . . . . . . . 167
                         Problems with running jobs for devices. . . . . . . . . . . . . . . . . . . . . . . . . . . 168
                         Receiving return codes from the C language APIs . . . . . . . . . . . . . . . . . . 169
                         Using a non-standard port number . . . . . . . . . . . . . . . . . . . . . . . . . . . . . . 170


iv      PDA Management with IBM Tivoli Configuration Manager
Inventory problems . . . . . . . . . . . . . . . . . . . . . .          ......      .......      ......     .   170
   Software Distribution problems . . . . . . . . . . . . .                ......      .......      ......     .   170
   Resource Manager problems . . . . . . . . . . . . . .                   ......      .......      ......     .   171
Tracing the Web Gateway . . . . . . . . . . . . . . . . . . .              ......      .......      ......     .   171

Abbreviations and acronyms . . . . . . . . . . . . . . . . . . . . . . . . . . . . . . . . . . . 173

Related publications . . . . . . . . . . . . . . . . . . . . . . . . . . . . . . . . . . . . . . . . . . 175
IBM Redbooks . . . . . . . . . . . . . . . . . . . . . . . . . . . . . . . . . . . . . . . . . . . . . . . . 175
Other publications . . . . . . . . . . . . . . . . . . . . . . . . . . . . . . . . . . . . . . . . . . . . . 175
Online resources . . . . . . . . . . . . . . . . . . . . . . . . . . . . . . . . . . . . . . . . . . . . . . 176
How to get IBM Redbooks . . . . . . . . . . . . . . . . . . . . . . . . . . . . . . . . . . . . . . . 177

Index . . . . . . . . . . . . . . . . . . . . . . . . . . . . . . . . . . . . . . . . . . . . . . . . . . . . . . . 179




                                                                                                    Contents         v
vi   PDA Management with IBM Tivoli Configuration Manager
Notices

This information was developed for products and services offered in the U.S.A.

IBM may not offer the products, services, or features discussed in this document in other countries. Consult
your local IBM representative for information on the products and services currently available in your area.
Any reference to an IBM product, program, or service is not intended to state or imply that only that IBM
product, program, or service may be used. Any functionally equivalent product, program, or service that
does not infringe any IBM intellectual property right may be used instead. However, it is the user's
responsibility to evaluate and verify the operation of any non-IBM product, program, or service.

IBM may have patents or pending patent applications covering subject matter described in this document.
The furnishing of this document does not give you any license to these patents. You can send license
inquiries, in writing, to:
IBM Director of Licensing, IBM Corporation, North Castle Drive Armonk, NY 10504-1785 U.S.A.
The following paragraph does not apply to the United Kingdom or any other country where such provisions
are inconsistent with local law: INTERNATIONAL BUSINESS MACHINES CORPORATION PROVIDES
THIS PUBLICATION "AS IS" WITHOUT WARRANTY OF ANY KIND, EITHER EXPRESS OR IMPLIED,
INCLUDING, BUT NOT LIMITED TO, THE IMPLIED WARRANTIES OF NON-INFRINGEMENT,
MERCHANTABILITY OR FITNESS FOR A PARTICULAR PURPOSE. Some states do not allow disclaimer
of express or implied warranties in certain transactions, therefore, this statement may not apply to you.

This information could include technical inaccuracies or typographical errors. Changes are periodically made
to the information herein; these changes will be incorporated in new editions of the publication. IBM may
make improvements and/or changes in the product(s) and/or the program(s) described in this publication at
any time without notice.

Any references in this information to non-IBM Web sites are provided for convenience only and do not in any
manner serve as an endorsement of those Web sites. The materials at those Web sites are not part of the
materials for this IBM product and use of those Web sites is at your own risk.

IBM may use or distribute any of the information you supply in any way it believes appropriate without
incurring any obligation to you.

Information concerning non-IBM products was obtained from the suppliers of those products, their published
announcements or other publicly available sources. IBM has not tested those products and cannot confirm
the accuracy of performance, compatibility or any other claims related to non-IBM products. Questions on
the capabilities of non-IBM products should be addressed to the suppliers of those products.

This information contains examples of data and reports used in daily business operations. To illustrate them
as completely as possible, the examples include the names of individuals, companies, brands, and products.
All of these names are fictitious and any similarity to the names and addresses used by an actual business
enterprise is entirely coincidental.

COPYRIGHT LICENSE:
This information contains sample application programs in source language, which illustrates programming
techniques on various operating platforms. You may copy, modify, and distribute these sample programs in
any form without payment to IBM, for the purposes of developing, using, marketing or distributing application
programs conforming to the application programming interface for the operating platform for which the
sample programs are written. These examples have not been thoroughly tested under all conditions. IBM,
therefore, cannot guarantee or imply reliability, serviceability, or function of these programs. You may copy,
modify, and distribute these sample programs in any form without payment to IBM for the purposes of
developing, using, marketing, or distributing application programs conforming to IBM's application
programming interfaces.



© Copyright IBM Corp. 2003. All rights reserved.                                                           vii
Trademarks
The following terms are trademarks of the International Business Machines Corporation in the United States,
other countries, or both:


   Redbooks (logo)    ™                 IBM®                                 SP2®
   ibm.com®                             PowerPC®                             Tivoli Enterprise™
   pSeries™                             Redbooks™                            Tivoli®
   AIX®                                 RS/6000®                             TME®
   DB2 Universal Database™              SecureWay®                           WebSphere®
   DB2®                                 SP™

The following terms are trademarks of other companies:

ActionMedia, LANDesk, MMX, Pentium and ProShare are trademarks of Intel Corporation in the United
States, other countries, or both.

Microsoft, Windows, Windows NT, PowerPC® and the Windows logo are trademarks of Microsoft
Corporation in the United States, other countries, or both.

Java and all Java-based trademarks and logos are trademarks or registered trademarks of Sun
Microsystems, Inc. in the United States, other countries, or both.

C-bus is a trademark of Corollary, Inc. in the United States, other countries, or both.

UNIX is a registered trademark of The Open Group in the United States and other countries.

SET, SET Secure Electronic Transaction, and the SET Logo are trademarks owned by SET Secure
Electronic Transaction LLC.



Other company, product, and service names may be trademarks or service marks of others.




viii    PDA Management with IBM Tivoli Configuration Manager
Preface

                 IBM® Tivoli® Configuration Manager 4.2 was launched in October 2002. Along
                 with many new functional and performance features, it includes an enhanced
                 Web-based device management capability, called Tivoli Web Gateway, running
                 on top of IBM WebSphere Application Server. This Redbook describes in detail
                 the steps required to install and configure Tivoli Web Gateway and all the
                 prerequisite products.

                 The instructions given in this Redbook are very detailed and explicit. These
                 instructions are not the only way to install the products and related prerequisites.
                 They are meant to be followed by someone with limited experience in the
                 products, to allow them to successfully install and set up the pervasive device
                 management environment.

                 Our approach is to install and configure all the products required for the PDA
                 management on a single box. In order to enable security, we also provide
                 installation and configuration of IBM Tivoli Access Manager for e-business on a
                 separate machine.

                 While the information provided by this Redbook can be used on deployments of
                 any size, it will be particularly useful to enable the management of pervasive
                 devices by small and medium businesses (SMBs). It will also help Business
                 Partners and IBM services in setting up demonstrations and proofs of concept.



The team that wrote this redbook
                 This redbook was produced by a team of specialists from around the world
                 working at the International Technical Support Organization, Austin Center.

                 Edson Manoel is a Software Engineer at the International Technical Support
                 Organization, Austin Center, working as an IT Specialist in the Systems
                 Management area. Prior to joining the ITSO, Edson worked in the IBM Software
                 Group as a Tivoli Technology Ambassador and in IBM Brasil Professional
                 Services Organization as a Certified IT Specialist. He was involved in numerous
                 projects, designing and implementing systems management solutions for IBM
                 customers and Business Partners. Edson holds a BSc degree in Applied
                 Mathematics from Universidade de Sao Paulo, Brazil.

                 Zoltan Veress is an independent consultant currently working for IBM Belgium
                 on a large Tivoli rollout. He has five years of experience with Tivoli products and



© Copyright IBM Corp. 2003. All rights reserved.                                                   ix
eight years of IT experience in total. His major areas of expertise include
               software distribution, inventory, and remote control, and also has experience with
               almost all major Framework-based products.

               Szabolcs Barabas is an independent consultant. Formerly he was an IT
               Specialist IBM Global Services Hungary for five years. He holds a degree in
               Information Technologies. He has four years of experience with Tivoli products
               and eight years of IT experience in total. His major areas of expertise include
               ITM, TEC, and remote control, but has experience with almost all major
               Framework-based products.

               Thanks to the following people for their contributions to this project:

               Joanne Luedtke, Lupe Brown, Wade Wallace, and Chris Blatchley
               International Technical Support Organization, Austin Center

               Tom Ellingwood
               Device Management Development and Test Team, IBM Software Group Raleigh

               David Thiessen
               Technical Evangelist, IBM Software Group Austin

               Alan Hsu
               Market Manager - Pervasive Devices, IBM Software Group Austin



Become a published author
               Join us for a two- to six-week residency program! Help write an IBM Redbook
               dealing with specific products or solutions, while getting hands-on experience
               with leading-edge technologies. You'll team with IBM technical professionals,
               Business Partners and/or customers.

               Your efforts will help increase product acceptance and customer satisfaction. As
               a bonus, you'll develop a network of contacts in IBM development labs, and
               increase your productivity and marketability.

               Find out more about the residency program, browse the residency index, and
               apply online at:
                     ibm.com/redbooks/residencies.html




x   PDA Management with IBM Tivoli Configuration Manager
Comments welcome
       Your comments are important to us!

       We want our Redbooks™ to be as helpful as possible. Send us your comments
       about this or other Redbooks in one of the following ways:
          Use the online Contact us review redbook form found at:
             ibm.com/redbooks
          Send your comments in an Internet note to:
             redbook@us.ibm.com
          Mail your comments to:
             IBM Corporation, International Technical Support Organization
             Dept. JN9B Building 003 Internal Zip 2834
             11400 Burnet Road
             Austin, Texas 78758-3493




                                                                         Preface   xi
xii   PDA Management with IBM Tivoli Configuration Manager
Part 1



Part       1     Concepts,
                 planning, and
                 implementation




© Copyright IBM Corp. 2003. All rights reserved.            1
2   PDA Management with IBM Tivoli Configuration Manager
1


    Chapter 1.   Device management
                 architecture
                 Pervasive Device Management is a new feature of IBM Tivoli Configuration
                 Manager that is used to perform basic operations on pervasive devices. The
                 functionality provided by this new feature includes software distribution,
                 inventory, and configuration. The type of pervasive devices supported are:
                     Palm
                     WinCE and Windows PocketPC
                     Nokia 9200 Series

                 In this chapter, the following topics are discussed:
                     IBM Tivoli Configuration Manager device management overview and
                     architecture
                     IBM Tivoli Configuration Manager components and supporting applications
                     required for management of pervasive devices




© Copyright IBM Corp. 2003. All rights reserved.                                               3
1.1 Device Management overview
               By extending its management capabilities to pervasive devices, such as
               PalmOS, WinCE, Windows PocketPC, and Nokia Communicator devices, IBM
               Tivoli Configuration Manager allows the update of configuration information and
               software on these devices using the same tools with which desktops and servers
               are managed. This allows for better control over the increasing number of
               pervasive devices being used for business applications across the enterprise.
               Another advantage is that administrators do not need to learn to use a separate,
               specialized tool for managing different kinds of pervasive devices.

               The Tivoli Resource Manager and Resource Gateway components enable you to
               determine where resources, pervasive devices, or users are associated with the
               computers in your enterprise and provide all the functionality to manage these
               resources.

               In the following section we will go over the concepts of both Tivoli Resource
               Manager and Resource Gateway components, as well as their role in the
               management of pervasive devices.


1.1.1 Tivoli Resource Manager and Web Gateway
               Tivoli Resource Manager (TRM) is a new service that extends the functionality of
               the Tivoli Management Framework to manage various type of resources. A
               fourth tier of resources is added by the Tivoli Resource Manager to the
               three-tiered Tivoli architecture of Tivoli Management Region (TMR) server,
               gateway, and endpoint. Resources managed by the Tivoli Resource Manager
               can be either pervasive devices or users.

               Tivoli Resource Manager enables you to perform operations on pervasive
               devices, such as inventory scanning, distribution of software packages, and
               customizing the devices. Tivoli Resource Manager’s main roles are to:
                  Create an association between each device and assigned endpoint.
                  Retrieve users’ information and their endpoints.
                  Determine where resources, pervasive or users, are associated.

               All the resources intended to be managed need to be grouped into resource
               groups. Resource groups must contain resources of the same type. There can
               be two types of resource groups:
                  Device groups for pervasive devices
                  Users groups for Enterprise Directory users

               The members of a resource group can be static or dynamic. The resource group
               shields applications, such as Software Distribution or Inventory, from knowing



4   PDA Management with IBM Tivoli Configuration Manager
device or user concepts by taking care to create an association between each
device or user with its assigned endpoint.

Figure 1-1 shows the infrastructure of Tivoli Resource Manager.




                               ecruoseR
                               ecruoseR
                               ecruoseR
                               ecruoseR
                               ecruoseR
                               ecruoseR
                               ecruoseR
                               ecruoseR               esaBataD           ec veD
                                                                         ec veD
                                                                         eciiiveD
                               reganaM
                               reganaM
                               reganaM
                               reganaM
                               reganaM
                               reganaM
                               reganaM
                               reganaM                ecafraettnI
                                                      esaB aD
                                                      esaBataD
                                                      ecafretnI
                                                      ecafretnI        yrectcer D
                                                                       yrectiiceriiiD
                                                                         o veD
                                                                         o veD
                                                                       yrotcer D

                                                    P AD L
                                                    P AD L
                                                    P AD L
                                                    P AD L
                                                    P AD L
                                                    P AD L
                                                    P AD L
                                                    P AD L
                                                    P AD L
                                                       dSA
                                                             Table1
    Group




            Group




Figure 1-1 Tivoli Resource Manager infrastructure

Tivoli Resource Manager enables you to work with the resource users that are
defined in an Enterprise Directory server, for example, the Lightweight Directory
Access Protocol (LDAP) server. Users are associated with endpoints in a
one-to-one relationship and the mapping is stored in the LDAP server. Tivoli
Resource Manager enables you to view the association between a user and an
endpoint.

Resource tasks will be carried on by Tivoli Resource Manager. It will use a
database interface to address the Device Directory (which is a storing system)
and to pull information from the Enterprise Directory server via LDAP (see
Figure 1-1). The database interface implementation is resource type-specific.

A component of Tivoli Resource Manager resides on the Tivoli Server. A Tivoli
Resource Manager gateway component, which is installed at the Tivoli gateway
level, connects the Tivoli Resource Manager server with the endpoints that are
connected by the pervasive devices in the region.

A Web Gateway enables you to manage the devices that connect to it. The Web
Gateway is installed at the endpoint level and connects to a centrally installed
Tivoli Resource Manager. The Web Gateway can communicate with a large
number of devices and connect the Tivoli environment with these resources
through the endpoint. In this release of IBM Tivoli Configuration Manager, the
only Web Gateway supported is the Tivoli Web Gateway (TWG).



                                      Chapter 1. Device management architecture         5
Each Web Gateway has its own resource database, but the Tivoli Resource
               Manager keeps a master database. The Tivoli Resource Manager and Web
               Gateway will notify each other of any changes to their database. This will
               typically happen when a device connects to a Web Gateway and is automatically
               enrolled or a device is added to the Tivoli Resource Manager database.

               Depending on the number of resources, a Tivoli Resource Manager configuration
               could consist of a cluster of Web Gateways sharing the same database
               management system.

               The Tivoli Resource Manager uses a RIM host to access and query the RDBMS
               server; however, the Tivoli Web Gateway uses standard SQL statement to
               access and query its database. It is possible for the Tivoli Resource Manager
               and Tivoli Web Gateway to use the same database server, but at the moment
               only IBM DB2® is supported for the Tivoli Web Gateway database.

               Figure 1-2 on page 7 shows the relationship between the Tivoli Resource
               Manager and the Tivoli Web Gateway components.




6   PDA Management with IBM Tivoli Configuration Manager
TMR Server                           RIM
                  Tivoli Resource Manager Server                 Host
                                                                          RDBMS




                           Tivoli Gateway
                   Tivoli Resource Manager GW




                             Endpoint
                       Tivoli Web Gateway
                       Resource Collector
                       WebSphere Server
                                                             IBM DB2 Server
                         IBM DB2 Client



         HTTP                                      HTTP
                        HTTP




                                        Host PC with Pervasive
      Host PCs with Pervasive             device connected
            device connected


Figure 1-2 Tivoli Resource Manager and Web Gateway components

To enable the management of pervasive devices, as shown in Figure 1-2, a
number of components should be installed as follows:
   Tivoli Resource Manager server must be installed on the Tivoli Server and it
   should also be installed on the managed nodes to run Tivoli Resource
   Manager commands.
   Tivoli Resource Manager Gateway should be created on Tivoli Gateways that
   communicate with endpoints hosting the Web Gateway component. The
   Tivoli Resource Manager Gateway components are also referred to as
   Resource Gateways.




                                      Chapter 1. Device management architecture   7
Tivoli Web Gateway Version 4.2 must be installed on the Tivoli endpoints that
                  connect to pervasive devices. Before installing the Tivoli Web Gateway
                  component for Resource Management of devices, you must install and
                  configure the following software:
                  IBM DB2
                  IBM WebSphere® Application Server


1.1.2 Device Management internals
               As previously mentioned, IBM Tivoli Configuration Manager 4.2 has a new
               feature that extends management to pervasive devices. Software distributions
               and inventory scans can now be done against these devices. Imagine sending a
               weekly price list to the Palm devices of 20,000 business partners or sales
               representatives. Another scenario would have all the pervasive devices become
               part of a reference model. You can have a reference model for sales, marketing,
               executives, accounting, etc., such that when a user changes a role in the
               organization or group, the software on the device changes and the new role will
               be reflected on the user’s pervasive device.

               Before going into detail about how IBM Tivoli Configuration Manager 4.2
               manages pervasive devices, we need to provide the concepts of the following
               IBM Tivoli Configuration Manager 4.2 internal components:
               Activity Planner    Is a deployment service that enables you to define a group
                                   of activities to be submitted as an activity plan, to schedule
                                   or to execute the plan and monitor it while it runs.
                                   Operations can include software distribution and inventory
                                   scans. Activity Planner is also known as Activity Planner
                                   Manager (APM).
               Change Manager      Is a deployment service which, together with Activity
                                   Planner, supports software distribution, inventory, and
                                   change management. Change Manager works with Activity
                                   Planner to manage specified groups of users, workstations,
                                   or devices as single subscribers. Subscribers can be users,
                                   user groups, or devices groups. Change Manager is also
                                   known as Configuration Change Manager (CCM).

               In addition to being able to send a profile to a group that contains pervasive
               devices, Activity Planner extends targets and Change Manager extends
               subscribers to pervasive devices. The Tivoli Web Gateway (TWG) is extended to
               allow management actions (inventory, software distribution, and device
               configuration) to be controlled from a TMR server. In the Tivoli environment, the
               devices are managed using the Tivoli Resource Manager (TRM) service. Using
               this application the administrator can define devices, can link them to the
               endpoints that directly or indirectly manage them, and can create device groups.


8   PDA Management with IBM Tivoli Configuration Manager
Device groups are known to the Tivoli Framework (a device group is a
                  specialized profile manager) and can be used by Tivoli applications to address
                  devices.

                  Figure 1-3 shows an example of an activity flow when performing software
                  distribution to pervasive devices:



                                  1    Configuration
                                         Change
  Administrator                          Manager                  2

                                                     3                                                               Inventory DB


                                                                      4
                  SWDistManager       Activity Planner
                                                                                    Tivoli Web Gateway
                      Object              Manager

                                                    5
                                                                                                                    Device Directory

                                                                           6
                                                                                                           Tivoli
                                       Software Dist
                                           Engine                                                     Server / Gateway
                                                          6



                                            Software
                                           Distribution                            Subagent
                                              Agent           7

                                                                                            8
                                                                                                         Endpoint

                                                                               CT Abstraction Layer

                                                   Result                         Websphere
                                                  Collector                         Device
                                      11
                                                                  10               Gateway
                                                                                        9




                                                                                  HTTP




                                      Host PC with Pervasive device connected

Figure 1-3 Data flow using software distribution to push to devices




                                                                          Chapter 1. Device management architecture                    9
Based on Figure 1-3, here we detail each step of the software distribution
              prepared by the Tivoli Administrator using the reference model example
              mentioned above. The flow shown in Figure 1-3 on page 9 is as follows:
              1. The administrator defines a reference model for the marketing people that
                 have been assigned a device of type, for example, Palm OS. The default
                 configuration should have an e-mail client, a browser, and a list of contacts for
                 the main customers installed. The software to be installed to the devices is
                 packaged in a Software Distribution package. Suppose that some new people
                 join the marketing division of the company. To install the right software on the
                 new Palms, the administrator adds them to the device group containing all
                 Palms for marketing people and, using CCM, synchronizes the reference
                 model of marketing people to the new devices.
              2. CCM, using information in the inventory database, determines the state of the
                 package on the devices and prepares an APM plan to install it on the devices.
              3. CCM submits the plan to APM.
              4. Before starting an activity of the plan, APM interacts with TRM to define a
                 temporary group to contain the list of devices to be addressed by the
                 operation.
              5. APM submits the request to the Software Distribution engine. The request
                 addresses the new temporary group generated.
              6. The Software Distribution engine, once having received the device group,
                 interacts with TRM to know the list of the endpoints that control the target
                 devices and submits the request to the endpoints. The diagram shows a
                 single endpoint, but a distribution could actually spawn across several
                 endpoints.
              7. When each endpoint receives the distribution, the Software Distribution Agent
                 decodes the software package and executes the actions on the objects, as
                 described in the software package. In this case, the built-in actions are
                 specific for the Palm device.
              8. The built-in action for the Palm device (sub-agent) converts the software
                 package into a group of TWG packages and submits a job, addressing all
                 packages, to the Web Gateway.
              9. When a target device connects to the TWG, the TWG executes the requested
                 actions on the devices.
              10. TWG sends the result of the job execution to the Results Collector.
              11.The Results Collector collects results, and sends multiple results based on
                 how the administrator has configured the Results Collector, and sends them
                 to the SWD Manager. The SWD Manager is responsible for the report
                 management for Software Distribution. After these operations the report is
                 sent to APM to allow the update of the state of the plan on devices. Reports



10   PDA Management with IBM Tivoli Configuration Manager
are sent from TWG to the SWD Manager by the MCollect service. MCollect
           moves data from the endpoint to the TMR.



1.2 Our approach
        It is the intention of this redbook to show how to enable the management of
        pervasive devices by small and medium businesses (SMBs). While the
        information provided in the following chapters can be used on deployments of
        any size, our focus is to provide a concise and straight forward approach to the
        deployment of required components into a single box. This single box will serve
        all pervasive devices in a small- to medium-sized organization. Of course, the
        instructions provided by this redbook can also be used and easily adapted to any
        sized deployment.

        Figure 1-4 on page 12 shows the basic architecture for managing pervasive
        devices. Since IBM DB2 is the only supported RDBMS by the Tivoli Web
        Gateway, it is shown in Figure 1-4 on page 12 as the RDBMS used also by the
        Tivoli server. Chapter 2, “Getting the environment up and running” on page 13
        provides all steps required to install and configure the components for this
        single-box approach.




                                          Chapter 1. Device management architecture   11
TMR Server                         RIM
                               Tivoli Resource Manager Server               Host




                                        Tivoli Gateway
                                Tivoli Resource Manager GW
                                                                       IBM DB2 Server




                                             Endpoint
                                       Tivoli Web Gateway
                                       Resource Collector
                                       WebSphere Server
                                         IBM DB2 Client




                                HTTP                                     HTTP
                                                 HTTP




                                                                Host PC with Pervasive
                             Host PCs with Pervasive              device connected
                                   device connected

              Figure 1-4 Single-box approach

              To optionally protect the enrollment URLs, you can use IBM Tivoli Access
              Manager for e-business software. The WebSEAL component of Tivoli Access
              Manager for e-business lets organizations control access to applications and
              data, and provides Single Sign-On (SSO) for authorized users. Tivoli Access
              Manager for e-business integrates with the Tivoli Resource Manager via a
              junction to deliver a secure personalized e-business experience for authorized
              pervasive devices users.

              Chapter 3, “Implementing security on the PDA management environment” on
              page 65 also provides additional information on how to protect the Tivoli
              Resource Manager environment.




12   PDA Management with IBM Tivoli Configuration Manager
2


    Chapter 2.   Getting the environment up
                 and running
                 In this chapter, we show how to install the necessary components for PDA
                 management through the Tivoli Web Gateway. Our primary focus is on how to
                 scale down IBM Tivoli Configuration Manager, that is, how to install most of the
                 components on one single server using the model shown in Figure 1-4 on
                 page 12. We will go through the basic installation steps of the components,
                 showing the possible gaps in the installation procedure.

                 The following will be discussed in this chapter:
                     Planning for the single-box installation
                     Single-box implementation: RS/6000-based
                     Single-box implementation: Intel-based
                     Tivoli Resource Gateway configuration




© Copyright IBM Corp. 2003. All rights reserved.                                                13
2.1 Planning for the single-box installation
              In this section, we provide the hardware and software requirements for pervasive
              management with the Tivoli Web Gateway component of IBM Tivoli
              Configuration Manager. The information provided here is for reference only.
              Always consult the IBM Tivoli Configuration Manager Version 4.2 Release Notes,
              GI11-0934 for up-to-date information.


2.1.1 Software requirements
              The following software needs to be installed for the Tivoli Web Gateway:
                  IBM DB2 Universal Database Enterprise Edition Version 7.2
                  IBM DB2 Universal Database Enterprise Edition Fixpack 7 (Version 7.2.5)
                  IBM WebSphere Application Server Advanced Edition Version 4.0.1
                  IBM WebSphere Application Server Advanced Edition Fixpack 3 (Version
                  4.0.3)
                  IBM Tivoli Framework Version 4.1
                  IBM Tivoli Configuration Manager Version 4.2
                  IBM Tivoli Access Manager for e-business Version 3.9 or later- Optional
                  IBM Tivoli Access Manager for e-business WebSEAL Version 3.9 or later -
                  Optional

2.1.2 Hardware requirements
              The hardware/operating system requirements for the Tivoli Web Gateway are:
                  For AIX® operating systems on pSeries™ and PowerPC® systems, the Web
                  Gateway database and Web Gateway server are supported on IBM AIX 4.3.3
                  or IBM AIX 5.1 running a 332 megahertz (MHz) or greater processor.
                  For Linux on Intel 486 and Pentium systems, the Web Gateway database and
                  Web Gateway server are supported on Red Hat 7.2 running a 1130 MHz or
                  greater processor.
                  For Solaris operating environment on Sun SPARC systems, the Web
                  Gateway database and Web Gateway server are supported on Sun Solaris 7
                  or Sun Solaris 8 running a 332 MHz or greater processor.
                  For Windows operating system on Intel 486 and Pentium systems, the Web
                  Gateway database and Web Gateway server are supported on Microsoft
                  Windows NT 4.0 Server with SP™ 6a, Microsoft Windows 2000 Server with
                  SP2®, and Microsoft Windows 2000 Advanced Server with SP2 running a
                  600 MHz or greater processor.


14   PDA Management with IBM Tivoli Configuration Manager
Table 2-1 Memory / disk space requirements for Tivoli Web Gateway
             Component                   Disk Space                  Memory

             Web Gateway database        672 MB                      512 MB
             Web Gateway server          300 MB                      1 GB

            Bear in mind that the IBM Tivoli Configuration Manager is dependent on some
            supporting applications, such as IBM DB2 and IBM WebSphere Advanced
            Edition. The hardware requirements for the system you intend to use also has to
            meet the minimum hardware requirements of such applications.

            Single-box hardware requirements
            In order to achieve the single-box approach, here are the hardware
            specifications used in our lab environment for the Tivoli Web Gateway installation
            for that particular equipment. We will show the installation procedures for the
            Tivoli Web Gateway on both AIX and Windows 2000 Advanced server platforms.
            We use the following hardware and system software:
               Intel-based Single-box Tivoli Web Gateway Server
               –   P4 2.4 GHz processor
               –   1 GB RAM
               –   40 GB hard disk
               –   Windows 2000 Advanced Server with Service Pack 3
               RS/6000-based Single-box Tivoli Web Gateway Server
               –   2 * POWER3 processor
               –   2 GB RAM
               –   3 * 18 GB hard disk
               –   AIX 4.3.3


2.1.3 Installation matrix
            This section covers the installation matrixes for the single-box approach on the
            Intel-based and RS/6000®-based platforms. The following tables describe the
            installation/configuration time requirements for each of the components on each
            platform. In subsequent sections, we show the installation steps for each server
            individually. Both the servers will have a separate Tivoli environment. Both the
            RS/6000-based and Intel-based servers will have only the necessary
            components of the Tivoli Web Gateway installation.

            Optionally, a second machine can be used to protect the PDA management
            environment. In this case, IBM Tivoli Access Manager for e-business and IBM
            Tivoli Access Manager WebSEAL (WebSEAL) need to be installed. This will be




                                         Chapter 2. Getting the environment up and running   15
covered for the Intel platform only in Chapter 3, “Implementing security on the
              PDA management environment” on page 65.

              The component installation/configuration and estimated times matrix for the
              RS/6000-based environment is shown in Table 2-2.

              Table 2-2 RS/6000-based installation matrix
                RS/6000-based Tivoli Web Gateway Server                       Estimated Time 1
                                                                              (minutes)

                IBM DB2 + IBM DB2 Fixpack 7 (V7.2.5)                          40

                IBM WebSphere Advanced Edition + Fixpack 3 (V4.0.3)           40

                IBM HTTP Server 1.3.19.2 (installed with the base             -
                WebSphere installation + fixpack applied)

                IBM Tivoli Configuration Manager 4.2 (using integrated        90
                installation, which includes all the Tivoli software
                components required for the PDA management solution)

                Tivoli Web Gateway                                            30
                1
                    Total estimated time: 3-4 hours

              The component installation/configuration and estimated times matrix for the
              Intel-based environment is shown in Table 2-3.

              Table 2-3 Intel-based installation matrix
                Intel-based Tivoli Web Gateway Server                         Estimated Time 1
                                                                              (minutes)

                IBM DB2 + IBM DB2 fixpack 7 (V7.2.5)                          30

                IBM WebSphere Advanced Edition + Fixpack 3 (V4.0.3)           40

                IBM HTTP Server 1.3.19.2 (installed with the base             -
                WebSphere installation + fixpack applied)

                IBM Tivoli Configuration Manager 4.2 (using integrated        80
                installation, which includes all the Tivoli software
                components required for the PDA management solution)

                Tivoli Web Gateway                                            40

                IBM Tivoli Access Manager 3.9 (includes all the Access        120
                Manager components for securing the PDA management
                environment). Optional.
                1
                    Total estimated time: 5-6 hours (including optional components)




16   PDA Management with IBM Tivoli Configuration Manager
The component installation/configuration and estimated times matrix for the
        optional security infrastructure - Intel-based environment is shown in Table 2-4.

        Table 2-4 Security infrastructure- Intel-based installation matrix
         Intel-based Tivoli Web Gateway Server                          Estimated Time 1
                                                                        (minutes)

         IBM Tivoli Access Manager for e-business 3.9 (includes all     120
         the Access Manager components for securing the PDA
         management environment). Optional.



2.2 Single-box implementation: RS/6000-based
        Prior to installing all the components for the Tivoli Web Gateway and the related
        software, we need to ensure all the operating system packages are installed and
        configured at the correct level. On AIX 4.3.3, the following steps need to be
        performed:
        1. We installed the following extra AIX filesets:
           – X11.adt.lib 4.3.3.10
           – bos.rte 4.3.3.10
           – devices.isa_sio.baud.rte 4.3.2.1

         Note: If you do not have the required level of AIX filesets and you do not have
         the installation media, you can download the upgrade packages from
         http://techsupport.services.ibm.com/server/mlfixes/43/.

        2. We created and mounted the file systems shown inTable 2-5 to enable a
           successful installation.

        Table 2-5 Created file systems
         File system name                              File system size in 512-byte blocks

         /tivoli                                       1048576

         /db                                           1048576

         /dmsdb                                        1048576

        3. We also had to expand some base filesystems, such as those listed in
           Table 2-6 on page 18.




                                         Chapter 2. Getting the environment up and running   17
Table 2-6 Expanded file systems
                File system name                            Expanded size in 512-byte blocks

                /usr                                        3014656

                /home                                       327680

                /tmp                                        655360

              4. We edited the /etc/hosts file to contain both the host name and the fully
                 qualified host name of the Server.


2.2.1 IBM DB2 Server installation
              This section describes the IBM DB2 Universal Database Enterprise Edition
              Server Version 7.2 installation process on AIX.
              1. Log in as a user with root authority, move to the directory where the DB2 7.2
                 Server for AIX CDROM is mounted, and start the DB2 setup utility, as follows:
                  # ./db2setup
              2. The Install DB2 V7 window, shown in Figure 2-1, appears. Select DB2
                 Administration Client and DB2 UDB Enterprise Edition.




              Figure 2-1 Install DB2 V7 components




18   PDA Management with IBM Tivoli Configuration Manager
3. A New DB2 instance should be created for the Administration Server
   database. We specified the DB2 instance name db2inst1, as shown in
   Figure 2-2. You should also specify /home/db2inst1 as the instance owner
   directory.




Figure 2-2 Create DB2 Services - DB2 Instance db2inst1

4. The installation process creates the DB2 fenced user. We specified the DB2
   instance name db2fenc1, as shown in Figure 2-3 on page 20.




                             Chapter 2. Getting the environment up and running   19
Figure 2-3 Create the DB2 fenced user

              5. Select the Do not set up DB2 Warehouse Control Database option at the
                 next window and then click OK.
              6. Next, Figure 2-4 on page 21 shows the values we used to create the user ID
                 for the DB2 Administration Server.




20   PDA Management with IBM Tivoli Configuration Manager
Figure 2-4 Administration Server window

7. The installation process creates and sets the values of several environment
   variables, for example DB2SYSTEM.
8. At the end of the installation process, you may check the installation log file
   created at /tmp/db2setup.log.
9. The installed JDBC code level needs to be upgraded to Version 2.0. You
   should log on to the system with a valid DB2 user ID, and issue the following
   commands:
   – For bash, Bourne, or Korn shell:
      # . INSTHOME/sqllib/db2profile
      # cd /INSTHOME/sqllib/java12/
      # . ./usejdbc2
      Where INSTHOME is the home directory of the instance.
   – Verify that the JDBC level is correct by entering the following command:
      # echo $CLASSPATH
      The output must include the following path:
      INSTHOME/sqllib/java12/db2java.zip




                             Chapter 2. Getting the environment up and running   21
2.2.2 IBM DB2 Fixpack 7 installation
              This session describes the installation of DB2 Fixpack 7 on AIX. Here are the
              steps for installing IBM DB2 Fixpack 7:
              1. Stop all database activity before applying this fixpack. To stop all database
                 activity, issue the commands:
                   # db2stop
                   # db2admin stop
              2. Unzip the fixpack using the following command to get a tar file:
                   # gzip FP7_U484480.tar.Z
              3. Un-tar the fixpack using the following command to extract the fixpack files.
                   # tar -xvf FP7_U484480.tar
              4. Run the following command to install the fixpack from the location where you
                 un-tar the fixpack files.
                   # ./installFixpack
              5. Provide the DB2 instance password if prompted.
              6. The installation wizard copies the files and finishes the installation of the
                 fixpack.

                  Note: If you are using a 32-bit IBM DB2 Server, make sure to install the 32-bit
                  Fixpack 7. Or if you are using a 64-bit IBM DB2 Server, make sure to install
                  the 64-bit Fixpack 7.


2.2.3 IBM WebSphere installation
              For our environment, we decided to use the IBM WebSphere Application Server
              Advanced Edition Version 4.0. In this section, we describe the IBM WebSphere
              Application Server Advanced Edition Version 4.0 installation steps on AIX.

              In order to install IBM WebSphere Application Server Advanced Edition Version
              4.0, perform the following steps:
              1. Logged in as a user with root authority, create the WAS40 database on DB2.
                 Next the server and the database need to be cataloged, as shown in
                 Example 2-1, where <hostname> is the host name of your machine.

              Example 2-1 Creating and cataloging WAS40 database on DB2
              #   su - db2inst1
              #   db2 create database was
              #   db2 update db config for WAS using applheapsz 256
              #   db2 catalog tcpip node db2svr remote <hostname> server 50000



22   PDA Management with IBM Tivoli Configuration Manager
# db2 catalog database was as was40 at node db2svr
# db2 connect to was user dmsadmin using dmsadmin

2. Logged in as a user with root authority, issue the following command from the
   directory where the IBM WebSphere Application Server CD-ROM is mounted:
   # ./install.sh
3. You are then prompted to select the type of installation. We have selected
   Typical Installation, as it will automatically install all the required
   components, such as the WebSphere Application Assembly Tool (AAT). If you
   decide to use a different installation method, make sure you select the AAT
   option.
4. In the next window, the installation wizard asks for the database information.
   WebSphere Server uses this database repository to store configuration
   information. In our scenario, we used the local DB2 Server installed on the
   Server machine.
   Database type: DB2
   You should also provide the database name:
   Database name (SID): was40
   The DB2 instance owner home directory:
   DB home: /home/db2inst1
   And the user ID and password of the DB2 instance owner:
   Database user id: db2inst1
   Database password: ****
5. In the following window, you need to specify the installation directories. We
   used the default values /usr/WebSphere/AppServer and /usr/HTTPServer.
6. A final installation window informs you that the setup program has finished.
7. When the installation of WebSphere completes successfully, the window
   shown in Figure 2-5 on page 24 appears. Select Start the Application
   Server.




                             Chapter 2. Getting the environment up and running     23
Figure 2-5 IBM WebSphere Application Server configuration window

              8. Launch the Administrative Console and start the Default Server.
              9. Open a Web browser and type in the following URL:
                  http://WebSphere_Server/servlet/snoop
                  Where WebSphere_Server can either be the Administration server’s host name
                  or IP address. Information about /servlet/snoop is displayed.




24   PDA Management with IBM Tivoli Configuration Manager
Figure 2-6 WebSphere Servlet/Snoop information

           10.The IBM WebSphere Application Server runs as root and requires access to
              the IBM DB2 environment. You should insert the following line at the end of
              root’s .profile file:
              ./home/db2inst1/sqllib/db2profile
              Assuming that the db2inst1 is the IBM DB2 instance owner.


2.2.4 IBM WebSphere Fixpack 3 installation
           Because the Tivoli Web Gateway Server requires IBM WebSphere Application
           Server Advance Server 4.0.3, here are the steps for installing IBM WebSphere
           Fixpack 3:

           1. Make sure you stop IBM HTTP Server and IBM WebSphere Application
              Server before installing the fixpack, as follows:
              a. To stop the HTTP Server, type the following command:
                 # cd /usr/HTTPServer/bin
                 # ./apachectl stop




                                       Chapter 2. Getting the environment up and running   25
b. To stop the IBM WebSphere Application Server:
                         # cd /WebSphere_AppServer_Install_Directory/bin
                         # ./stopServer.sh
              2. Un-tar the fixpack using the following command to extract the fixpack files:
                  # tar -xvf was40_ae_ptf_3_aix.tar
              3. Run the following command to install fixpack from the from the location you
                 un-tar the fixpack files:
                  # ./install.sh
              4. During the installation of this fixpack, the setup asks many questions. These
                 questions allow you to select the modules that the fixpack will update. In our
                 case, we answered “No” to iPlanet and Apache updates because we were
                 using IBM HTTP Server.
              5. Start the WebSphere Server manually:
                  # cd /<WebSphere_AppServer_Install_Directory>/bin
                  # ./startServer.sh
                  Where <WebSphere_AppServer_Install_Directory> is the directory where
                  you installed the IBM WebSphere Application Server.

                Note: In order to have both IBM HTTP Server and IBM WebSphere
                Application Server, you may add startup entries in the inetd.conf file.


2.2.5 IBM Tivoli Configuration Manager installation
              In this section, we will install the IBM Tivoli Configuration Manager 4.2 (ITCM)
              and the IBM Tivoli Framework 4.1 using the integrated installation option. The
              integrated installation is a Java-based InstallShield application that guides you
              through the setup process. We will use the typical installation method in order to
              simplify the process. In order to make this method work, you must perform the
              following steps:
              1. Create user IDs for the ITCM. The default user IDs and passwords are shown
                 in Table 2-7.

              Table 2-7 ITCM default user IDs
                User IDs                      Password                Group ID

                planner                       planner                 db2iadm1

                mdstatus                      mdstatus                db2iadm1

                invtiv                        tivoli                  db2iadm1




26   PDA Management with IBM Tivoli Configuration Manager
User IDs                   Password                 Group ID

 tivoli                     tivoli                   db2iadm1

 dmsadmin                                            db2iadm1

 dmsuser                                             db2iadm1

   The users are used by the integrated installation to run the database schema
   and admin scripts and access the database through the automatically created
   RIM objects. We also create the required users for the Web Gateway server
   installation.
   The dmsadmin DB2 user owns the database tables, and the dmsuser DB2
   user accesses and queries the database tables. In our case, we specified the
   password for those users to be the same as their user IDs.
   You can use the following command to create the user IDs:
   mkuser pgrp='db2iadm1' <userid>
   Set the passwords for these users repeating the following command:
   passwd <userid>
2. Create the cm_db database performing the following steps:
   # su - db2inst1
   # db2
   create db cm_db
3. Mount the ITCM installation media, go into the FRESH directory and start
   installation with the following command:
   # ./setup_aix.bin
   Click Next in the ITCM installation start window (Figure 2-7 on page 28).




                            Chapter 2. Getting the environment up and running   27
Figure 2-7 ITCM integrated installation start window

              4. Select I accept terms in the license agreement and click Next.




28   PDA Management with IBM Tivoli Configuration Manager
Figure 2-8 Installation type selection

5. Select the Typical installation option and click Next.
6. Specify the directory to be used for the installation. Specify /tivoli and click
   Next.




                                Chapter 2. Getting the environment up and running   29
Figure 2-9 Database vendor specification

              7. Select DB2 as the database vendor and the /home/db2inst1/sqllib as the
                 Database Client interface home, as shown in Figure 2-9. Note that
                 /home/db2inst1 is the DB2 instance owner directory created during the IBM
                 DB2 installation process. Click Next.




30   PDA Management with IBM Tivoli Configuration Manager
Figure 2-10 RDBMS and RIM information specification

8. In the next window (Figure 2-10), specify the RDBMS and RIM information.
   Most of the information is automatically given by the setup program. Specify
   the password for the db2inst1 and click Next.




                             Chapter 2. Getting the environment up and running   31
Figure 2-11 Review installation settings

              9. The Review the Installation Setting window appears. By clicking the Next
                 button, the ITCM installation starts. It will ask frequently for the installation
                 media, such as the Tivoli Framework 4.1 CDs 1 and 2 or the ITCM 4.2 server
                 CD. However, you will not have to look for the specific product directories on
                 the CD, because the installation program finds it automatically.




32   PDA Management with IBM Tivoli Configuration Manager
Figure 2-12 Successful installation

           10.At the completion of a successful installation, you can check the list of the
              successfully installed products and database scripts.


2.2.6 Tivoli Web Gateway Server installation on AIX

            Important: If you intend to enable security in your pervasive device
            management environment, you must proceed first with the IBM Tivoli Access
            Manager for e-business installation. Access Manager must be operational in
            order to the Tivoli Web Gateway installation be successful. Please refer to
            Chapter 3, “Implementing security on the PDA management environment” on
            page 65 for installation and configuration instructions.

           The Tivoli Web Gateway Server installation has aJava-based setup program
           similar to the ITCM4.2 installation. We will use the custom installation type.
           Before the installation, verify the following:
              Check if the IBM DB2 server is up and running
              Verify that IBM HTTP Server is started. In a browser, type the following
              http://<hostname>:ihs_http_port




                                          Chapter 2. Getting the environment up and running   33
Verify that WebSphere Application Server and IBM HTTP Server are started
                  and the Default Server Application server is started. In a browser, type the
                  following:
                  http://<hostname>:ihs_http_port/servlet/snoop

              The following components will be installed by the setup program:
                  Tivoli Endpoint
                  Web Gateway Database
                  Tivoli Web Gateway Server
                  Web Infrastructure
                  Inventory plug-in for Web Infrastructure
                  Software Distribution plug-in for Web Infrastructure

              For details on each one of the above components, refer to IBM Tivoli
              Configuration Manager Introduction Version 4.2, GC23-4703.

              To proceed with the installation, follow these steps:
              1. Mount the ITCM installation media and start the installation:
                  # ./setup_aix.bin




              Figure 2-13 Tivoli Web Gateway integrated installation start window

                  Click Next on the Tivoli Web Gateway installation start window.
              2. Select I accept terms in the license agreement and click Next.



34   PDA Management with IBM Tivoli Configuration Manager
Figure 2-14 Select Type of Installation

3. Select the Custom installation type and click Next.




Figure 2-15 Tivoli Web Gateway Component selection


                               Chapter 2. Getting the environment up and running   35
4. As shown in Figure 2-15 on page 35, select all components to install and click
                 Next.




              Figure 2-16 Endpoint Information dialog

              5. In the endpoint installation window, specify the following options:
                  – Destination directory
                     This is where the endpoint will be installed. Leave this option at the default
                     value, /opt/Tivoli/lcf.
                  – Gateway port
                     This is the port of the Tivoli Endpoint Gateway. As the ITCM integrated
                     installation uses the default port for the Gateway, leave this at 9494.
                  – Endpoint port
                     This is the port of the installable Tivoli Endpoint. Use the default value,
                     which is 9495.
                  – Endpoint options
                     Here, select the lcs.login_interfaces option, which represents the Tivoli
                     Endpoint Gateway’s IP address and port where the Endpoint will log on at
                     the first time. In our case the full syntax is:
                     -D lcs.login_interfaces=<IPaddr>+9494
                     where <IPaddr> is the IP address of the single box.


36   PDA Management with IBM Tivoli Configuration Manager
Figure 2-17 Web Gateway Database information specification

6. The next step, shown in Figure 2-17, is to specify the Tivoli Web Gateway
   database information. The following options need to be specified:
   – Destination directory
      This is the temporary directory where the database installation files such
      as sql and shell scripts are unpacked and executed. We used the default
      option /tmp/TWG.
   – DB2 Instance Name
      The name of the DB2 instance in our scenario is db2inst1.
   – DB2 port
      The TCP/IP port of the DB2 server. The default value provided is used
      (5000). To figure out your DB2 port, look in the /etc/services file.
   – Password for the dmsadmin user
      We used the dmsadmin as password.
   – Password for dmsuser user
      We used the dmsuser as password.
   – Database home
      We used the /dmsdb default option.



                             Chapter 2. Getting the environment up and running   37
– Database container home
                     The database will be installed in this directory. We used the default option
                     /db/db2.




              Figure 2-18 Web Gateway Server Information

              7. Define the Web Gateway server- related options shown in Figure 2-18.
                  – Destination directory
                     Where the Web Gateway Server files will be installed. We used the default
                     option /usr/TivTwg.
                  – Web server home
                     We installed the IBM HTTP server to the /usr/HTTPServer directory, which
                     is the default option.
                  – JDBC driver home
                     The location of the JDBC driver. The default option is
                     /home/db2inst1/sqllib/java12/db2java.zip. If you use a different DB2
                     instance from db2inst1, you have to specify the correct values here.




38   PDA Management with IBM Tivoli Configuration Manager
Figure 2-19 Web Gateway Server Configuration Information

8. Specify the RDBMS and Web Gateway connection information in the window
   shown in Figure 2-19. Using the default options is recommended.




                             Chapter 2. Getting the environment up and running   39
Figure 2-20 Access Manager configuration information


                Important: If you intend to enable security in your pervasive device
                management environment, you must proceed first with the IBM Tivoli Access
                Manager for e-business installation. Access Manager must be operational in
                order for the Tivoli Web Gateway installation to be successful. Please refer to
                Chapter 3, “Implementing security on the PDA management environment” on
                page 65 for installation and configuration instructions.

              9. If you do not wish to enable security with IBM Tivoli Access Manager for
                 e-business, set the Enable Security option to False, as shown in Figure 2-20.
                 Otherwise, refer to 3.3.3, “Installing Tivoli Web Gateway with security
                 enabled” on page 91 for details on this step.




40   PDA Management with IBM Tivoli Configuration Manager
Figure 2-21 Review installation settings

10.The Review the Installation Settings window appears. By clicking the Next
   button, the installation starts. It will ask frequently for the installation media,
   such as the Tivoli Framework 4.1 CDs 1 and 2 or the ITCM 4.2 server CD.
   However, you will not have to look for the specific product directories on the
   CD, because the installation program finds it automatically. Click Next.
11.At the Successful Installation window, you can check the list of products and
   components installed.




                               Chapter 2. Getting the environment up and running     41
Figure 2-22 Starting the DMS_AppServer

              12.To test the installation, start up the DMS_AppServer from the WebSphere
                 Administrative Console. Open the following link in a Web browser:
                  http://<hostname>/dmserver/ResultsCollector
                  where <hostname> is the host name of your Tivoli server machine.
                  If the installation was successful, it displays some basic information in the
                  browser window concerning the Web Gateway.
                  Expand the Application Servers folder, right-click DMS_AppServer and
                  select Start.



2.3 Single-box implementation: Intel-based
              Prior to installing all the components for the Tivoli Web Gateway and the related
              software, we need to ensure all the operating system packages are installed and




42   PDA Management with IBM Tivoli Configuration Manager
configured at the correct level. On Windows 2000 Advanced Server, the following
           steps need to be performed:
           1. We installed the Service Pack 3 and all the Microsoft critical updates.
           2. We stopped and disabled the Internet Information Services (IIS) services
              because it conflicts with the port to be used by the IBM HTTP server. They
              both use port 80. Alternatively you can set your IIS server to a different port. If
              you install a fresh Windows 2000 Advanced Server on your server, you can
              disable the installation of the IIS when you install the additional services.
           3. We edited the c:winntsystems32driversetchosts file to add the host name
              and the fully qualified host name of the server machine.


2.3.1 IBM DB2 Server installation
           This section describes the IBM DB2 Universal Database Enterprise Edition
           Server Version 7.2 installation process on Windows.

            Note: Use the installation media provided with the IBM Tivoli Configuration
            Manager product. This ensures that you install the correct version and fixpack
            of DB2.


           1. Load the DB2 installation media.
           2. Select Start -> Run. Type in D:setup.exe and click OK to start the
              installation. From the Installation window, select Install.
           3. The Select Products window opens. From this window you can select the
              component(s) of DB2 for Windows you would like to install. Select DB2
              Enterprise Edition as shown in Figure 2-23 on page 44. Click Next.




                                         Chapter 2. Getting the environment up and running    43
Figure 2-23 Select DB2 Enterprise Edition

              4. The Select Installation Type window opens. Select the installation type you
                 prefer. We selected Typical.
              5. For the installation directory, we used C:db2.
              6. For the DB2 administrative user, we selected db2admin.
              7. After the installation wizard copies the DB2 files onto the machine, the Install
                 OLAP Starter Kit window opens. Select Do not install the OLAP Starter Kit
                 and then click Finish.
              8. Update Java. The installed JDBC code level needs to be upgraded to Version
                 2.0. You should open a DOS-command prompt window and issue the
                 following commands:
                  cd DB2_DIRjava12
                  usejdbc2
                  Where DB2_DIR is the DB2 installation directory. The usejdbc2 command will
                  copy the appropriate version of db2java.zip into the DB2_DIRjava12
                  directory.
              9. Reboot the machine.


2.3.2 IBM DB2 Fixpack 7 installation
              This section describes the installation of IBM DB2 Fixpack 7 on Windows.



44   PDA Management with IBM Tivoli Configuration Manager
If you are installing the fixpack by using the Administrator account of Windows
           2000 Advanced Server, please make sure you complete the following steps:
           1. Click Start -> Programs -> Administrative Tools -> Local Security
              Settings -> User Rights Assignment.
           2. In the window, you will see lists of user rights. Make sure the Administrator
              account has the following rights:
              –   Act as part of Operating System
              –   Create a token object
              –   Increase quotas
              –   Replace a process level token

               Note: Once you have installed a fixpack, you won’t be able to un-install it.

           3. Stop all database activity before applying this fixpack. To stop all database
              activity, on a DB2 command window run:
              c:db2sqllibbin:>db2stop
              c:db2sqllibbin:>db2admin stop
           4. Unzip and extract the fixpack files to a temporary directory.
           5. Run the following command to install fixpack from the fixpack directory:
              c:fp7_wr21311setup.exe
           6. Key in the DB2 instance owner password if the setup prompts for it and click
              Next.
           7. The wizard shows the selection window. Click Next to continue.
           8. As soon as the installation ends, reboot the machine.


2.3.3 IBM WebSphere installation
           For our environment, we use the IBM WebSphere Application Server Advanced
           Edition Version 4.0 (plus Fixpack 3). In this section, we describe the IBM
           WebSphere Application Server Advanced Edition Version 4.0 installation steps
           on Windows.

           In order to install IBM WebSphere Application Server Advanced Edition Version
           4.0, perform the following steps:
           1. Logged in as Administrator, issue the following command from the directory
              where the IBM WebSphere Application Server CD-ROM is mounted:
              setup.exe
           2. You are then prompted to select the type of installation. We have selected
              Typical Installation, because it will automatically install all the required



                                         Chapter 2. Getting the environment up and running    45
components, such as the WebSphere Application Assembly Tool (AAT). If you
                  decide to use a different installation method, make sure you select the AAT
                  option.
              3. In the following window you should specify the installation directories. We
                 used the default values C:WebSphereAppServer and C:IBM HTTPServer.
              4. In the next window, the installation wizard asks for the database information.
                 WebSphere uses this database repository to store configuration information.
                 In our scenario we used the local DB2 Server installed on the Runtime server
                 machine.
                  Database type: DB2
                  You should also provide the database name to be created:
                  Database name (SID): was40
                  Provide the DB2 instance owner user ID, password, and home directory:
                  Database user id: db2admin
                  Database password:
                  Database Path: c:db2sqllib
              5. A final installation window informs you that the setup program has finished.
              6. When the installation of WebSphere completes successfully, the window
                 shown in Figure 2-24 appears. Select Start the Application Server.




              Figure 2-24 IBM WebSphere Application Server configuration window




46   PDA Management with IBM Tivoli Configuration Manager
7. Recycle the IBM WebSphere Application Server by clicking Start ->
              Programs -> IBM WebSphere -> Application Server V4.0 AE ->Stop
              Admin Server. Then select Start -> Programs -> IBM WebSphere ->
              Application Server V4.0 AE ->Start Admin Server.
           8. Open the services window and set the IBM WS Admin Server 4.0 to start
              automatically instead of manually.
           9. Launch the Administrative Console and start the Default Server.
           10.Open a Web browser and type in the following URL:
              http://WebSphere_Server/servlet/snoop
              Where WebSphere_Server can either be the Administration server’s host
              name or an IP address. Information about /servlet/snoop is displayed.


            Note: IBM HTTP Server and IBM WebSphere may not start automatically
            after restarting the machine. In this case, you will have to start it manually.

            For Windows, you may open the Services window and change the startup
            option for IBM HTTP Server and IBM WebSphere from Manual to Automatic.


2.3.4 IBM WebSphere Fixpack 3 installation
           Since the Tivoli Web Gateway Server requires IBM WebSphere Application
           Server Advanced Server 4.0.3, here are the steps for installing the WebSphere
           Fixpack 3:

           1. Make sure you stop IBM HTTP Server and IBM WebSphere Application
              Server before installing the fixpack.

           2. Unzip the fixpack named was40_ae_ptf_3.zip to a temporary directory.
           3. Run the following command to install the fixpack from the fixpack directory.
              c:was40_ae_ptf_3install.bat
           4. During the installation of this fixpack, the setup asks many questions. These
              questions allow you to select the modules that the fixpack will update. In our
              case we answered “No” to iPlanet updates and Apache updates because we
              use IBM HTTP Server.


2.3.5 IBM Tivoli Configuration Manager installation
           We also need to install IBM Tivoli Configuration Manager 4.2 and Framework 4.1
           using the integrated installation option of IBM Tivoli Configuration Manager. The
           integrated installation is a Java-based InstallShield application, which guides you
           through the setup process. We will use the typical installation method in order to


                                         Chapter 2. Getting the environment up and running    47
simplify the process. In order to make this method work, you must perform the
              following steps:
              1. Create user IDs for the ITCM. The default user IDs and passwords are shown
                 in Table 2-8.

              Table 2-8 ITCM default user IDs
                User IDs                   Password                Group ID

                planner                    planner                 Administrators

                mdstatus                   mdstatus                Administrators

                invtiv                     tivoli                  Administrators

                tivoli                     tivoli                  Administrators

                dmsadmin                                           Administrators

                dmsuser                                            Administrators

                  The users are used by the integrated installation to run the database schema
                  and admin scripts and access the database through the automatically created
                  RIM objects. We also create the required users for the Web Gateway server
                  installation.
                  The dmsadmin DB2 user owns the database tables, and the dmsuser DB2
                  user accesses and queries the database tables. In our case, we specified the
                  password for those users to be the same as their user IDs.
                  You can use the following command to create the user IDs:
                  net user <userid> dmsuser /add
                  net localgroup "Administrators" mdstatus /add
              2. Create the cm_db database performing the following steps. Open the DB2
                 command console by selecting Start -> Programs -> IBM DB2 -> Command
                 Line Processor. Type the following commands:
                  create db cm_db
                  # su - db2inst1
                  # db2
                  create db cm_db
              3. Mount the ITCM installation media, go into the FRESH directory and start
                 installation with the following command:
                  setup.exe
                  Click Next in the ITCM installation start window (Figure 2-25 on page 49).




48   PDA Management with IBM Tivoli Configuration Manager
Figure 2-25 ITCM integrated installation start window

4. Select I accept terms in the license agreement and click Next.




Figure 2-26 Installation type selection


                               Chapter 2. Getting the environment up and running   49
5. Select the Typical installation option and click Next.
              6. Specify the directory to be used for the installation. Specify c:Program
                 filesTivoli as the destination directory and click Next.




              Figure 2-27 Database vendor specification

              7. Select DB2 as the database vendor and c:DB2Sqllib as the Database
                 Client interface home, as shown in Figure 2-27. Note that c:DB2 is the DB2
                 instance owner directory created during the IBM DB2 installation. Click Next.




50   PDA Management with IBM Tivoli Configuration Manager
Figure 2-28 RDBMS and RIM information specification

8. In the next window (Figure 2-28), specify the RDBMS and RIM information.
   Most of the information is automatically given by the setup program. Specify
   the password for the db2admin and click Next.




                             Chapter 2. Getting the environment up and running   51
Figure 2-29 Review installation settings.

              9. The Review the Installation Setting window appears. By clicking the Next
                 button, the installation starts. It will ask frequently for the installation media,
                 such as the Tivoli Framework 4.1 CDs 1 and 2 or the ITCM 4.2 server CD.
                 However, you will not have to look for the specific product directories on the
                 CD, because the installation program finds it automatically. Click Next.
              10.After the Framework installation, you must restart your computer. The
                 installation continues automatically at the reboot. Select the Now option and
                 click Next.




52   PDA Management with IBM Tivoli Configuration Manager
Figure 2-30 Successful Installation

           11.At the completion of a successful installation, you can see the list of the
              successfully installed products and database scripts.


2.3.6 Tivoli Web Gateway Server installation on WIndows

            Important: If you intend to enable security in your pervasive device
            management environment, you must proceed first with the IBM Tivoli Access
            Manager for e-business installation. Access Manager must be operational in
            order for the Tivoli Web Gateway installation to be successful. Please refer to
            Chapter 3, “Implementing security on the PDA management environment” on
            page 65 for installation and configuration instructions.

           The Tivoli Web Gateway Server installation has a Java-based setup program
           similar to the ITCM4.2 installation. We will use the custom installation type.
           Before the installation, verify the following:
              Check if the IBM DB2 server is up and running.
              Verify that IBM HTTP Server is started. In a browser, type the following:
              http://<hostname>:ihs_http_port




                                         Chapter 2. Getting the environment up and running   53
Verify that WebSphere Application Server and IBM HTTP Server are started
                  and the Default Server Application server is started. In a browser, type the
                  following:
                  http://<hostname>:ihs_http_port/servlet/snoop

              The following components will be installed by the setup program:
                  Tivoli Endpoint
                  Web Gateway Database
                  Tivoli Web Gateway Server
                  Web Infrastructure
                  Inventory plugin for Web Infrastructure
                  Software Distribution plugin for Web Infrastructure

              For details on each one of the above components, refer to IBM Tivoli
              Configuration Manager Introduction Version 4.2, GC23-4703 .

              To proceed with the installation, follow these steps:
              1. Mount the ITCM installation media and start the installation:
                  setup.exe




              Figure 2-31 Tivoli Web Gateway integrated installation start window

                  Click Next in the Tivoli Web Gateway installation start window.
              2. Select I accept terms in the license agreement and click Next.



54   PDA Management with IBM Tivoli Configuration Manager
Figure 2-32 Select Type of Installation

3. Select the Custom installation type and click Next.




Figure 2-33 Tivoli Web Gateway Component selection


                               Chapter 2. Getting the environment up and running   55
4. As shown in Figure 2-33, select all components to install and click Next.




              Figure 2-34 Endpoint Information dialog

              5. In the endpoint installation window (Figure 2-34 on page 56), specify the
                 following options:
                  – Destination directory
                     This is where the endpoint will be installed. Leave this option at the default
                     value, /opt/Tivoli/lcf.
                  – Gateway port
                     The port of the Tivoli Endpoint Gateway. As the ITCM integrated
                     installation uses the default port for the Gateway left this on 9494.
                  – Endpoint port
                     The port of the installable Tivoli Endpoint. Also use the default value which
                     is 9495.
                  – Endpoint options
                     Here, specify the lcs.login_interfaces option, which represents the Tivoli
                     Endpoint Gateway’s IP address and port where the Endpoint will log on
                     the first time. In our case the full syntax is
                     -D lcs.login_interfaces=<IPaddr>+9494
                     where <IPaddr> is the IP address of the single box.


56   PDA Management with IBM Tivoli Configuration Manager
Figure 2-35 Web Gateway Database information specification

6. The next step, shown in Figure 2-35, is to specify the Tivoli Web Gateway
   database information. The following options need to be specified:
   – Destination directory
      This is the temporary directory where the database installation files such
      as sql and shell scripts are unpacked and executed. We used the default
      option.
   – DB2 Instance Name
      The name of the DB2 instance; in our scenario it is db2.
   – DB2 port
      The TCP/IP port of the DB2 server. The default value provided is used
      (5000).
   – Password for the dmsadmin user
      We use dmsadmin as the password.
   – Password for dmsuser user
      We use dmsuser as the password.




                             Chapter 2. Getting the environment up and running   57
Figure 2-36 Web Gateway Server Information

              7. Define the Web Gateway server-related options, shown in Figure 2-36.
                  – Destination directory
                     Where the Web Gateway Server files will be installed. We used the default
                     option c:Program FilesTivTwg.
                  – Web server home
                     We installed the IBM HTTP server to the c:Program FilesIBM HTTP
                     Server directory, which is the default option.
                  – JDBC driver home
                     The location of the JDBC driver. The default option is
                     c:DB2SQLLIBjava12db2java.zip.




58   PDA Management with IBM Tivoli Configuration Manager
Figure 2-37 Web Gateway Server Configuration Information

8. Specify the RDBMS and Web Gateway connection information in the window
   shown in Figure 2-37. Using the default options is recommended.




                             Chapter 2. Getting the environment up and running   59
Figure 2-38 Access Manager Configuration information


                Important: If you intend to enable security in your pervasive device
                management environment, you must proceed first with the IBM Tivoli Access
                Manager for e-business installation. Access Manager must be operational in
                order for the Tivoli Web Gateway installation to be successful. Please refer to
                Chapter 3, “Implementing security on the PDA management environment” on
                page 65 for installation and configuration instructions.

              9. If you do not wish to enable security with IBM Tivoli Access Manager for
                 e-business, set the Enable Security option to False, as shown in Figure 2-20
                 on page 40. Otherwise, refer to 3.3.3, “Installing Tivoli Web Gateway with
                 security enabled” on page 91 for details on this step.




60   PDA Management with IBM Tivoli Configuration Manager
Figure 2-39 Review installation settings

10.The Review the Installation Setting window appears (Figure 2-39). By clicking
   the Next button, the installation starts. It will ask frequently for the installation
   media, such as the Tivoli Framework 4.1 CDs 1 and 2 or the ITCM 4.2 server
   CD. However, you will not have to look for the specific product directories on
   the CD, because the installation program finds it automatically. Click Next.
11.In the Successful Installation window, you can check the list of products and
   components installed.




                               Chapter 2. Getting the environment up and running     61
Figure 2-40 Starting the DMS_AppServer

              12.To test the installation, start up the DMS_AppServer from the WebSphere
                 Administrative Console. Open the following link in a Web browser:
                  http://<hostname>/dmserver/ResultsCollector
                  where <hostname> is the host name of your Tivoli server machine.
                  If the installation was successful, it displays some basic information in the
                  browser window concerning the Web Gateway.
                  Expand the Application Servers folder, right-click the DMS_AppServer and
                  select Start.



2.4 Tivoli Resource Gateway configuration
              The Tivoli Resource Gateway component needs now to be configured in order
              for it to accept the enrollment of new pervasive devices. The configuration
              process is the same on both Windows and AIX platforms. Therefore, in this
              section, we will use the RS/6000-based server as the example. Its host name is
              itcmpda5.




62   PDA Management with IBM Tivoli Configuration Manager
We first need to associate the endpoint itcmpda5 with the Resource Gateway by
issuing the wresgw command as follows:
# wresgw add itcmpda5 -C TWG

To check if the association was successful, we display a list of the Resource
Gateways issuing the wresgw command as follows:
# wresgw ls
‘itcmpda5’

The assigned endpoint itcmpda5 is displayed; thus it is assigned as a Resource
Gateway.

The next step is to enable auto enrollment of the devices on the just assigned
Resource Gateway itcmpda5. Using the Auto Enrollment, the devices are
automatically registered in the Resource Manager Database. Issue the wresgw
command as follows:
# wresgw autoenroll enable -C TWG itcmpda5
FBBWD0035I Resource gateway itcmpda5 accepted the new settings.

As a last check, we list the configuration of the Resource Gateway itcmpda5
issuing the wresgw command as follows:
# wresgw view_config -C TWG itcmpda5
FBBWD0037I Resource gateway itcmpda5 is configured with the following settings:
        AUTO_ENROLL = true
        REGISTER_APP_FOR_DEVICE_CREATE_EVENT = 1148766224#ResourceManager

Alternatively, you can perform the same actions - except associating an endpoint
with the Resource Gateway - from the Tivoli Desktop by clicking the Resource
Manager icon.




                               Chapter 2. Getting the environment up and running   63
64   PDA Management with IBM Tivoli Configuration Manager
3


    Chapter 3.   Implementing security on
                 the PDA management
                 environment
                 In this chapter we will describe the installation and configuration procedures and
                 security considerations for the newly created device management environment.
                 The topics covered include:
                     General considerations
                     IBM Tivoli Access Manager for e-business installation
                     Configuring Access Manager WebSEAL
                     Creating a WebSEAL junction to the Web Gateway
                     Installing Access Manager - Java Runtime Environment
                     Configuring query_contents for WebSEAL
                     Installing Tivoli Web Gateway with security enabled
                     Configuring Web Gateway to use WebSEAL junction

                   Note: Rather than focus on the obvious security-related issues such as
                   protecting the operating system, password handling, or network security, we
                   will focus only on the security issues for ITCM and the Tivoli Web Gateway.




© Copyright IBM Corp. 2003. All rights reserved.                                                 65
3.1 General considerations
              The usual installation and operation procedures don’t provide you with advanced
              security possibilities such as:
                  Access control
                  Resources are protected and accessed only by authorized parties. Restricting
                  access on the basis of passwords, IP address, host names, or SSL client
                  authentication ensures access control.
                  Authenticity
                  You know who you are talking to and that you can trust that person.
                  Authentication, using digital signature and digital certificates, user ID and
                  password, or other mechanisms ensures authenticity.
                  Information integrity
                  Messages are not altered while being transmitted. Without information
                  integrity, you have no guarantee that the message you sent matches the
                  message received. Digital signature ensures integrity.
                  Privacy and confidentiality
                  Information conveyed from party to party during a transaction remains private
                  and cannot be read, even if it gets into the wrong hands. Encryption ensures
                  privacy and confidentiality.

              In order to improve security for the pervasive devices management environment,
              you could opt for the following:
              1. Apply additional security on the Web server running on the single box (for
                 example, secure communnications with SSL, use an advanced authorization
                 method, etc.).
              2. You can install IBM Tivoli Access Manager for e-business on a second
                 machine, thus creating a secure domain.

              The focus of this chapter is to create a secure domain using IBM Tivoli Access
              Manager for e-business installed on a second machine. The installation
              procedures for Windows platform will be described in the sections below. For
              more information on IBM Tivoli Access Manager for e-business architecture and
              implementation, refer to the following Redbooks:
                  Enterprise Security Architecture using IBM Tivoli Security Solutions,
                  SG24-6014
                  Enterprise Business Portals with IBM Tivoli Access Manager, SG24-6556
                  Enterprise Business Portals II with IBM Tivoli Access Manager, SG24-6885




66   PDA Management with IBM Tivoli Configuration Manager
3.2 Access Manager for e-business installation
           In this section, we show you how to install and configure IBM Tivoli Access
           Manager, and how to integrate it with Tivoli Web Gateway. You will have
           administrative and configuration tasks on both the IBM Tivoli Configuration
           Manager/Tivoli Web Gateway and the Access Manager servers. For easier
           understanding, we describe whether the task should be performed on the Access
           Manager server or on the IBM Tivoli Configuration Manager/Tivoli Web Gateway
           server.

           Since the Access Manager for e-business requires the IBM Directory Server
           product be up and running, we first proceed with its installation.


3.2.1 Installing IBM Directory Server
           In this section, we describe the IBM Directory Server installation process using
           the easy install method of IBM Tivoli Access Manager. In our scenario, this step
           should be performed on the Access Manager system.

            Important: The easy install scripts do not work when run from any location on
            the hard drive except the root directory of its drive. There are two options to
            work around this:
            1. Run the scripts from the product CDs.
            2. If all the product images are on your hard drive, share the directory
               containing the easy install scripts. Then mount the share to your own
               system, so that the easy install scripts are now in the root directory of your
               share drive. Now you can run the scripts from the share drive.

           The easy install script ezinstall_ldap_server.bat sets up a base system with the
           following software packages:
              IBM DB2 Universal Database™ Edition
              IBM Global Security Toolkit (GSK)
              IBM HTTP Server
              IBM Directory Client
              IBM Directory Server

            Note: Please make sure that there is no other Web servers running on your
            computer (such as IIS), because that can cause configuration problems during
            the installation and configuration.




                    Chapter 3. Implementing security on the PDA management environment      67
1. From the root directory of the IBM Tivoli Access Manager 3.9 Base System
                 installation drive, run the following command:
                  ezinstall_ldap_server.bat
                  The initial installation window is displayed as shown in Figure 3-1. Press
                  Enter.




              Figure 3-1 Ezinstall initial window

              2. The installation process requests the DB2 administrator ID password
                 (Figure 3-2). Supply a password for the DB2 administrator, and press Enter.
                 You have to re-enter the password for verification.




              Figure 3-2 IBM DB2 Configuration Options window

              3. The installation process requests the IBM HTTP Server administrator ID
                 password (Figure 3-3 on page 69). Supply a password for the IBM HTTP
                 Server administrator, and press Enter.


68   PDA Management with IBM Tivoli Configuration Manager
Figure 3-3 IBM HTTP Server Configuration Options window

4. Accept the default value for the IBM Global Security Toolkit (GSK) installation
   directory, c:Program FilesIBMGSK, and enter Y to continue.
5. Accept the default value for the IBM Directory Client installation directory,
   c:Program FilesIBMLDAP, and enter Y to continue.
6. The SecureWay® Directory Server Configuration window appears. The
   following options need to be changed:
   – Option 2
      Supply an LDAP Administration password, and then re-enter it for
      verification. Press Enter to continue.
   – Option 4
      Enter the suffix for your LDAP environment. The suffix specifies the
      distinguished name of where the Global Sign-On (GSO) database is
      located in the LDAP server directory information tree (DIT). At minimum,
      enter your organization (o) and country code (c) separated by a comma.
      For example:
      o=tivoli,c=us
      After you set it, press Enter to continue.
   Figure 3-4 on page 70 shows the SecureWay Directory Server Configuration
   settings. Double-check the configuration options and enter Y and then press
   Enter to continue. The installation process is then initiated.




         Chapter 3. Implementing security on the PDA management environment        69
Figure 3-4 IBM Directory Server Configuration Options window

              7. As shown in Figure 3-5, after DB2 is installed, you have to restart your
                 computer. Press Enter to restart the PC. The installation will continue right
                 after restart.




              Figure 3-5 IBM Directory Server Installation and Configuration window




70   PDA Management with IBM Tivoli Configuration Manager
Figure 3-6 IBM Directory Server installation - restart

8. As shown in Figure 3-6, after restart, the install script continues the
   installation and configuration of the remaining components. After the
   installation of IBM SecureWay Directory Server, you have to restart your
   computer again. Press Enter to continue.
9. After restart, the IBM SecureWay Directory Server gets configured, and the
   installation finishes. Press Enter to exit from the install script, as shown in
   Figure 3-7.




Figure 3-7 IBM Directory Server Installation and Configuration window




          Chapter 3. Implementing security on the PDA management environment     71
3.2.2 Installing Access Manager - Policy Server
              In this section, we describe the Access Manager Policy Server installation
              process using the easy install method of IBM Tivoli Access Manager. This step
              should be performed on the Access Manager system.

              The easy install script, ezinstall_pdmgr.bat, sets up a base system with the
              following software packages:
                  IBM Global Security Toolkit (GSKit)
                  IBM SecureWay Directory client
                  Access Manager runtime
                  Policy Server
              1. From the root directory of the IBM Tivoli Access Manager 3.9 Base System
                 installation drive, run the following command:
                  ezinstall_pdmgr.bat
                  The initial installation window is displayed, as shown in Figure 3-8.




              Figure 3-8 Response file for ezinstall

                  This window indicates that a response file was created previously for this
                  process. The response file stores all the parameters of the previously
                  installed software modules of IBM Tivoli Access Manager. This prevents users
                  from reinstalling specific modules or reconfiguring previously configured
                  software. Press Y to use the response file.
              2. The installation process will require the following information:
                  – The host name of the LDAP Server. Enter the host name of your server.




72   PDA Management with IBM Tivoli Configuration Manager
– The suffix. Enter the suffix that you specified during the IBM Directory
     Server installation.
   – Whether SSL communication will be used with the LDAP server.
   The installation window is shown in Figure 3-9.




Figure 3-9 Access Manager Runtime Configuration Options window

3. As shown in Figure 3-10, enter the LDAP server administrator password that
   you’ve specified during the IBM Directory Server installation and press Enter.




Figure 3-10 Access Manager Policy Server Configuration Options window

4. As shown in Figure 3-11 on page 74, the installation requests the computer to
   be restarted. Press Enter to restart the PC. The installation will continue right
   after restart.



         Chapter 3. Implementing security on the PDA management environment      73
Figure 3-11 Access Manager Policy Server Installation and Configuration window

              5. After restart, both the Access Manager Runtime and the Access Manager
                 Policy Server are configured automatically. When they are done, press Enter
                 to exit the install script. This is shown in Figure 3-12.




              Figure 3-12 Access Manager Policy Server successful installation


3.2.3 Installing Access Manager - Authorization Server
              In this section, we describe the Access Manager Authorization Server installation
              process using the easy install method of IBM Tivoli Access Manager. This step
              should be performed on the Access Manager system.



74   PDA Management with IBM Tivoli Configuration Manager
The easy install script, ezinstall_pdacld.bat, sets up a base system with the
following software packages:
   IBM Global Security Toolkit (GSKit)
   IBM SecureWay Directory client
   Access Manager runtime
   Authorization Server
1. From the root directory of the IBM Tivoli Access Manager 3.9 Base System
   installation drive, run the following command:
   ezinstall_pdacld.bat
   The initial installation window is displayed, as shown in Figure 3-13.




Figure 3-13 Response file for ezinstall

   This window indicates that a response file was created previously for this
   process. The response file stores all the parameters of the previously
   installed software modules of IBM Tivoli Access Manager. This prevents
   users from reinstalling specific modules or reconfiguring previously
   configured software. Press Y to use the response file.
2. The installation process will require the following information:
   – The LDAP administrator password. Enter the LDAP server administrator
     password that you specified during the IBM Directory Server installation
     and press Enter.
   – The Security Master user ID password. The user ID sec_master will be
     created at this time. The sec_master user ID is the highest level of
     authorization in the Access Manager secure domain. Enter the
     sec_master password and press Enter.



          Chapter 3. Implementing security on the PDA management environment    75
3. As soon as the sec_master password has been specified, the installation
                 proceeds with the configuration of the Authorization Server.
              4. The installation process ends as soon as the configuration of the
                 Authorization Server ends, as shown in Figure 3-14. Press Enter to exit the
                 script.




              Figure 3-14 Successful installation


3.2.4 Installing Access Manager - Application Development Kit
              In this section, we describe the Access Manager Application Development Kit
              installation process using the easy install method of IBM Tivoli Access Manager.
              This step should be performed on the Access Manager system.

              The easy install script, ezinstall_pdauthadk.bat, sets up a base system with the
              following software packages:
                  IBM Global Security Toolkit (GSKit)
                  IBM SecureWay Directory client
                  Access Manager runtime
                  Application Development Kit (ADK)
              1. From the root directory of the IBM Tivoli Access Manager 3.9 Base System
                 installation drive, run the following command:
                  ezinstall_pdauthadk.bat
                  The initial installation window is displayed, as shown in Figure 3-15 on
                  page 77.




76   PDA Management with IBM Tivoli Configuration Manager
Figure 3-15 Response file for ezinstall

   This window indicates that a response file was created previously for this
   process. The response file stores all the parameters of the previously
   installed software modules of IBM Tivoli Access Manager. This prevents
   users from reinstalling specific modules or reconfiguring previously
   configured software. Press Y to use the response file.
2. The installation process ends as soon as the configuration of the related
   Access Manager components end, as shown in Figure 3-16. Press Enter to
   exit the script.




Figure 3-16 Access Manager ADK Installation and Configuration window




          Chapter 3. Implementing security on the PDA management environment    77
3.2.5 Installing Access Manager - WebSEAL
              In this section, we describe the Access Manager WebSEAL installation process
              using the easy install method of IBM Tivoli Access Manager. This step should be
              performed on the Access Manager system.

              The WebSEAL installation separates file extraction from package configuration.
              Use an InstallShield program to install the WebSEAL files. Next, use the IBM
              Tivoli Access Manager configuration utility to configure the WebSEAL Server.
              1. From the root directory of the IBM Tivoli Access Manager 3.9 Base System
                 installation drive, run the following command:
                  <CD_Drive>:windowsPolicyDirectorDisk ImagesDisk1WebSEALDisk
                  ImagesDisk1setup.exe
              2. Select the language. We are using the English version.
              3. The Access Manager WebSEAL Setup window appears (Figure 3-17). Select
                 Next.




              Figure 3-17 Access Manager WebSEAL Setup window

              4. Click Yes to accept the License Agreement.
              5. Select the installation directory or accept the default value provided.
              6. As shown in Figure 3-18 on page 79, select the available components to be
                 installed. They are Access Manager WebSEAL Server (PDWeb) and Access
                 Manager WebSEAL Application Development Kit (PDWebADK). Click Next to
                 accept these components and continue.



78   PDA Management with IBM Tivoli Configuration Manager
Figure 3-18 WebSEAL component selection

7. The installation completes with the success window, shown in Figure 3-19.
   Click Finish to complete the installation.




Figure 3-19 WebSEAL - successful installation




         Chapter 3. Implementing security on the PDA management environment    79
Configuring Access Manager WebSEAL
              After the installation of WebSEAL has completed, we need to use the Access
              Manager configuration utility to configure the WebSEAL Server.
              1. Select Start -> Programs -> Access Manager for e-business ->
                 Configuration. The Access Manager Configuration window appears. This is
                 shown in Figure 3-20.




              Figure 3-20 Access Manager for e-business Configuration

              2. Select Access Manager WebSEAL, and click the Configure button. The
                 HTTP properties window appears.




              Figure 3-21 Setting WebSEAL HTTP properties


80   PDA Management with IBM Tivoli Configuration Manager
Select Allow [unsecure] TCP HTTP access and Allow HTTPS access and
   specify their port numbers.

    Note: If you are running any other Web servers on this computer, verify
    that the TCP HTTP port for the other servers does not conflict with the
    WebSEAL TCP HTTP port.

3. The Access Manager Administrator Password window appears. Enter the
   password for the sec_master user ID specified during the Authorization
   Server installation.




Figure 3-22 Access Manager Administrator Password


    Note: if you repeatedly enter an incorrect password, you may see the error
    message: Error: This account has been temporarily locked out due
    to too many failed login attempts. If this occurs, obtain the correct
    password, wait five minutes for the lock to clear, and then restart the
    configuration program.

4. When configuration completes, a status message states that the
   configuration was successful. The Access Manager Configuration window
   appears.




         Chapter 3. Implementing security on the PDA management environment   81
Figure 3-23 WebSEAL configured successfully


3.2.6 Installing Access Manager - Java Runtime Environment

                Important: This step should be performed on the Tivoli Web Gateway system.

              To install and configure the Access Manager Java Runtime Environment (pdjrte),
              follow these steps:
              1. Make sure you stop IBM HTTP Server and IBM WebSphere Application
                 Server before installing the Access Manager Java Runtime Environment.
              2. Delete the IBMJCEfw.jar file in the jvm_pathjrelibext directory. The default
                 location is C:WebSphereAppServerjavajrelibextibmjcefw.jar.
              3. To install the Access Manager JRE component, run the setup.exe command
                 in the <CDDrive>:windowsPolicyDirectorDisk ImagesDisk1PDJRTEDisk
                 ImagesDisk1 directory.
              4. Select the language. We are using the English version.
              5. The Access Manager Java Runtime Setup window appears (Figure 3-24 on
                 page 83). Select Next.




82   PDA Management with IBM Tivoli Configuration Manager
Figure 3-24 Access Manager Java Runtime welcome window

6. Click Yes to accept the License Agreement.
7. Select the installation directory or accept the default value provided.
8. The installation completes with the success window, shown in Figure 3-25.
   Click Finish to complete the installation.




Figure 3-25 Java Runtime setup installation complete



          Chapter 3. Implementing security on the PDA management environment   83
9. When the runtime installation has completed, the system must be rebooted.
                 Select Yes to restart your computer.
              10.Make sure the IBM SecureWay Directory, IBM WebSphere Admin Server and
                 IBM HTTP Server services are running.
              11.To successfully run Access Manager configuration commands, such as the
                 pdjrtecfg command, the Java binary for the WebSphere Application Server
                 must be the first entry in your PATH statement. On Windows, enter the
                 following command:
                  set PATH=C:WebSphereAppServerjavajrebin;%PATH%
              12.You need to configure the Java Runtime Environment provided by IBM Tivoli
                 Access Manager. Enter the following commands:
                  cd C:Program FilesTivoliPolicy Directorsbin
                  pdjrtecfg -action config -java_home C:WebSphereAppServerjavajre
                  This command sets the java_home variable of Access Manager Java
                  Runtime.
              13.When the environment variable is set, create the SSL configurations file and
                 keystores. Run the following command on each Web Gateway server:
                  java com.tivoli.mts.SvrSslCfg application_name security_password
                  policy_server_hostname authorization_server_hostname policy_server_port
                  authorization_server_port configuration_file keystore_file operation
                  Where:
                  – application_name
                     Is the name of the Access Manager application to create and associate
                     with the SSL communication. The application name must be unique. Other
                     instances of the application, which are running on this or other systems,
                     must each be given a unique name. A distinguished name can be used
                     when an LDAP-based user registry is used with Access Manager.
                  – security_password
                     Is the sec_master user ID password.
                  – policy_server_hostname
                     Is the name of the system where the Access Manager Policy Server
                     process (ivmgrd) is running.
                  – authorization_server_hostname
                     Is the name of the system where the Access Manager Authorization
                     Server process (ivacld) is running. In our case, it is the same system as
                     the Policy Server.




84   PDA Management with IBM Tivoli Configuration Manager
– policy_server_port
              Is the port used for SSL communication with the Policy Server. The default
              is port 7135.
           – authorization_server_port
              Is the port used for SSL communication with the Authorization Server. The
              default port is 7136.
           – configuration_file
              Is the URL to the configuration file. The URL must use the file:/// format.
              The default is <java_home>/PdPerm.properties, where <java_home> is the
              directory where the Access Manager Java Runtime Environment is
              installed.
           – keystore_file
              Is the URL to the keystore file. The URL must use the file:/// format. The
              default is <java_home>/PdPerm.ks, where <java_home> is the directory
              where the Access Manager Java Runtime Environment is installed.
              The PDPerm.properties and PdPerm.ks files must be in the same
              directory.
           – operation
              Specify create. Valid operations are create, replace, or unconfig.
           For example:
           java com.tivoli.mts.SvrSslCfg twg_application secmastpw itcmpda3 itcmpda3
           7135 7136
           file:///C:/WebSphere/AppServer/java/jre/PolicyDirector/PdPerm.properties
           file:///C:/WebSphere/AppServer/java/jre/PolicyDirector/Pd.ks create



3.3 Configuring the secure environment
        This section provides configuration procedures for enabling security in the
        pervasive devices management environment. Such procedures will enable the
        integration of IBM Tivoli Access Manager with Tivoli Web Gateway.

        We describe administrative and configuration tasks on both the IBM Tivoli
        Configuration Manager/Tivoli Web Gateway and the Access Manager servers.
        For easier understanding, we describe whether the task should be performed on
        the Access Manager server or the IBM Tivoli Configuration Manager/Tivoli Web
        Gateway server




                 Chapter 3. Implementing security on the PDA management environment    85
3.3.1 Creating a WebSEAL junction to the Web Gateway
              Access Manager provides authentication, authorization, and management
              services for a network. In our environment, these services are provided by the
              front-end WebSEAL Servers that integrate and protect Web resources and
              applications located on back-end Web application servers. The back-end Web
              application server in our scenario is represented by the Tivoli Web Gateway
              system.

              The connection between a WebSEAL Server and a back-end Web application
              server is known as a WebSEAL junction, or junction. A WebSEAL junction is a
              TCP/IP connection between a front-end WebSEAL Server and a back-end Web
              application server. Junctions allow WebSEAL to protect Web resources located
              on back-end servers.

              A WebSEAL junction over a TCP connection provides the basic properties of a
              junction but does not provide secure communication across the junction. SSL
              junctions allow secure end-to-end browser-to-application transactions. You can
              use SSL to secure communications from the client to WebSEAL and from
              WebSEAL to the back-end server. The back-end server must be HTTPS-enabled
              when you use an SSL junction. Figure 3-26 represents the two basic types of
              junction.




              Figure 3-26 Basic types of WebSEAL junctions




86   PDA Management with IBM Tivoli Configuration Manager
More information on junctions can be found in the IBM WebSEAL Administration
Guide, SC32-1134.

WebSEAL supports the following authentication methods:
   Basic Authentication (ba-auth)
   Basic authentication is a standard method for providing a user name and
   password to the authentication mechanism. BA is defined by the HTTP
   protocol and can be implemented over HTTP and over HTTPS. By default,
   WebSEAL is configured for authentication over HTTPS via basic
   authentication.
   Forms-based Authentication (forms-auth)
   Access Manager provides forms-based authentication as an alternative to the
   standard basic authentication mechanism. This method produces a custom
   HTML login form from Access Manager instead of the standard login prompt
   resulting from a basic authentication challenge. When you use forms-based
   login, the browser does not cache the user name and password information
   as it does in basic authentication. This method can be implemented over
   HTTP and over HTTPS as well.

 Note: If the forms-based authentication method is enabled, the basic
 authentication method settings are ignored.

 Handheld devices can only use basic authentication.

Both base and forms authentication settings are done in the WebSEALd.conf file
located in the C:TivoliPDWebetc directory.

Also in the WebSEALd.conf file there is the use-same-session entry. This option
is for enabling or disabling the ability to use the same session data when a client
switches between HTTP and HTTPS.

More information on authentication can be found in the IBM WebSEAL
Administration Guide, SC32-1134.

in order to create a junction between the Access Manager WebSEAL Server and
the Tivoli Web Gateway Server, on the Access Manager machine, perform the
following steps:
1. Start the pdadmin command environment by clicking Start -> Programs ->
   Access Manager for e-business -> Administration Command Prompt.
2. Log in to the Access Manager by entering the command:
   login -a sec_master -p sec_master_password




         Chapter 3. Implementing security on the PDA management environment     87
Use the server list command to verify server identification. This will also
                  provide the name of the WebSEAL Server name: webseald-<hostname>.




              Figure 3-27 pdadmin utility - server list


                   Note: Please check in advance that the WebSEAL Server can access the
                   Web Gateway and vice versa, using both simple and fully qualified host
                   names.

              3. Create the junction using the server task command as follows:
                  server task webseald-<hostname> create -j -c all -t tcp -h
                  <webgateway_hostname> -p 80 /twgapp
                  Example (Figure 3-28 on page 89):
                  server task webseald-itcmpda3 create -j -c all -t tcp -h itcmpda1 -p 80
                  /twgapp




88   PDA Management with IBM Tivoli Configuration Manager
Figure 3-28 pdadmin utility - creating junction

             Type exit to quit the pdadmin command environment.


3.3.2 Configuring query_contents for WebSEAL
          To protect the Tivoli Web Gateway resources using the Access Manager security
          service, we must provide WebSEAL with information about the contents of the
          Tivoli Web Gateway Web space.

          A CGI program called query_contents provides this information. The
          query_contents program searches the Tivoli Web Gateway Web space contents
          and provides this inventory information to the Web Portal Manager on WebSEAL.
          The program comes with the WebSEAL installation, but must be manually
          installed on the Tivoli Web Gateway server. There are different program file types
          available, depending on whether the third-party server is running UNIX or
          Windows.

          In order to make WebSEAL aware of the contents of the Tivoli Web Gateway,
          perform the steps in the next sections.

          Tivoli Web Gateway running on Windows
          1. Copy the file query_contents.exe file from the C:Program
             FilesTivoliPDWebwwwlibquery_contents directory on the Tivoli Access
             Manager machine into the C:Program FilesIBM HTTP Servercgi-bin on the
             Tivoli Web Gateway machine.




                    Chapter 3. Implementing security on the PDA management environment   89
2. Copy the file query_contents.cfg file from the C:Program
                 FilesTivoliPDWebwwwlibquery_contents directory on the Tivoli Access
                 Manager machine into the C:WINNT on the Tivoli Web Gateway machine.
              3. On the Tivoli Web Gateway machine, edit the file
                 C:WINNTquery_contents.cfg to define the docroot parameter as follows:
                  docroot=C:Program FilesIBM HTTP Serverhtdocs
              4. Restart the IBM HTTP Server, and test query_contents by entering the
                 following URL into a Web browser:
                  http://<WebGateway_hostname>/cgi-bin/query_contents?dirlist=/
                  The result of this URL (shown in Figure 3-29) should be a 100 return code,
                  followed by a listing of the files and directories in C:Program FilesIBM HTTP
                  Serverhtdocs.




              Figure 3-29 Query_contents result

              Tivoli Web Gateway running on AIX
              1. Copy the file query_contents.sh file from the C:Program
                 FilesTivoliPDWebwwwlibquery_contents directory on the Tivoli Access
                 Manager machine into the /usr/HTTPServer/cgi-bin on the Tivoli Web
                 Gateway machine.




90   PDA Management with IBM Tivoli Configuration Manager
2. On the Tivoli Web Gateway machine, remove the .sh extension from the file
              name.
           3. Manually edit the query_contents script file to correctly specify the docroot
              directory: /usr/HTTPServer/htdocs
           4. Enable the execute bit for the administration account of the Web server on the
              query_contents script.
           5. Restart the IBM HTTP Server, and test query_contents by entering the
              following URL into a Web browser:
              http://<WebGateway_hostname>/cgi-bin/query_contents?dirlist=/
              Results should be similar to Figure 3-29 on page 90.


3.3.3 Installing Tivoli Web Gateway with security enabled
           This section describes the installation step used to enable security during the
           installation of the Tivoli Web Gateway.

           Install the Web Gateway component as described in Chapter 2, “Getting the
           environment up and running” on page 13, up to the point when the Specify the
           Access Manager Configuration Information window appears.

           On the Specify the Access Manager Configuration Information window, complete
           the entry fields as follows, then click Next.
              Enable Security: True
              Host Name: Specify the host name of the Access Manager Server
              Junction point: /WebSEAL/<hostname>/twgapp, where <hostname> is the host
              name of the Access Manager server
              Access Manager user name: sec_master
              Password: Password of sec_master
              WebSEAL protocol: HTTPS
              WebSEAL port: WebSEAL Server HTTPS port, default to 443
              Access Manager configuration file: The PdPerm.properties file created
              when configuring the Access Manager Java Runtime Environment:
              C:/WebSphere/AppServer/java/jre/PolicyDirector/PdPerm.properties
              Access Manager JAR files home: Directory of the Access Manager Java
              Runtime Environment:
              C:/Program Files/Tivoli/Policy Director/java/export/pdjrte




                    Chapter 3. Implementing security on the PDA management environment        91
Note: Be very careful with spaces. Under an Access Manager configuration
                file, PolicyDirector has no spaces. Under Access Manager JAR files home,
                Policy Director does have a space.




              Figure 3-30 Access Manager Configuration Information

              The remaining steps of the installation process is the same as described in
              Chapter 2, “Getting the environment up and running” on page 13.


3.3.4 Configuring Web Gateway to use WebSEAL junction
              At this point, we have the environment up and running. That includes the Tivoli
              Web Gateway Server and Access Manager Server running in separate
              machines, with a WebSEAL junction from the Access Manager Server to the
              Tivoli Web Gateway Server. This section provides information on additional
              configuration steps to be performed on the Tivoli Web Gateway Server in order to
              enable pervasive devices to connect to the Tivoli Web Gateway through the
              WebSEAL junction.




92   PDA Management with IBM Tivoli Configuration Manager
In order to test the WebSEAL junction to the Tivoli Web Gateway, perform the
following steps:
1. Open a browser in any machine in the network and enter the following URL:
   https://<WebSEAL_hostname>/twgapp
   You should receive a response similar to Figure 3-31.




Figure 3-31 Unknown certificate alert

2. Click Yes to accept the certificate. The Access Manager Login window will
   open, as shown in Figure 3-32 on page 94.




          Chapter 3. Implementing security on the PDA management environment   93
Figure 3-32 Access Manager Login

              3. Enter the username (sec_master) and the password to log in. After you
                 logged in, the IBM HTTP Server Welcome window is displayed.

              In order to enable pervasive devices to connect to the Tivoli Web Gateway
              through the WebSEAL junction, we need to perform the following steps on the
              Tivoli Web Gateway Server:
                  Configure the enrollment URL.
                  Modify the web.xml configuration file of WebSphere for use with junctions.

              Configure the enrollment URL
              During the installation of the Tivoli Web Gateway component, the default
              enrollment URL is defined as follows:
              http://<WebGW_hostname>/dmserver/DeviceEnrollmentServlet

              where <WebGW_hostname> is the host name (or IP address) of the Tivoli Web
              Gateway Server.

              We need to change the enrollment URL from the default value to the WebSEAL
              junction URL. This can be achieved by performing the steps on the Tivoli Web
              Gateway Server as shown in the following sections.



94   PDA Management with IBM Tivoli Configuration Manager
Tivoli Web Gateway running on UNIX
Run the deviceclass.sh script as follows:
# cd <TWG_HOME>/bin
# deviceclass.sh -modify Palm -enroll
http://<WebSEAL_hostname>/twgapp/dmserver/DeviceEnrollmentServlet
# deviceclass.sh -modify Wince -enroll
http://<WebSEAL_hostname>/twgapp/dmserver/DeviceEnrollmentServlet
# deviceclass.sh -modify Nokia9200Series -enroll
http://<WebSEAL_hostname>/twgapp/dmserver/DeviceEnrollmentServlet

where <TWG_HOME> is the installation directory of the Tivoli Web Gateway

Tivoli Web Gateway running on Windows
Run the deviceclass.bat script as follows
cd /Program Files/TivTWG/bin
deviceclass.bat -modify Palm -enroll
http://<WebSEAL_hostname>/twgapp/dmserver/DeviceEnrollmentServlet
deviceclass.bat -modify Wince -enroll
http://<WebSEAL_hostname>/twgapp/dmserver/DeviceEnrollmentServlet
deviceclass.bat -modify Nokia9200Series -enroll
http://<WebSEAL_hostname>/twgapp/dmserver/DeviceEnrollmentServlet


Modify the web.xml file for use with junctions
Edit the web.xml file on the Tivoli Web Gateway Server and perform the following
changes. The web.xml file is located in the
<WAS_HOME>/installedApps/hostname_DMS_Webapp.ear/dmserver.war/WEB
-INF directory, where <WAS_HOME> is the WebSphere installation directory

Add the following stanza after the fullyQualifiedHostNameOfServer parameter
definition:
<init-param>
         <param-name>authProxyDmsUrl</param-name>
         <param-value>NEWURL</param-value>
</init-param>

where NEWURL is the Web address of the WebSEAL junction:
http://<WebSEAL_hostname>/twgapp

At this point you can connect the pervasive device to the Tivoli Web Gateway
though the WebSEAL junction using HTTP, as shown in Figure 3-33 on page 96.




         Chapter 3. Implementing security on the PDA management environment   95
Figure 3-33 Logging on to the Web Gateway




96   PDA Management with IBM Tivoli Configuration Manager
Part 2



Part       2     Case study
                 scenario




© Copyright IBM Corp. 2003. All rights reserved.            97
98   PDA Management with IBM Tivoli Configuration Manager
4


    Chapter 4.   Managing pervasive devices
                 This chapter provides a case study scenario based on a fictitious company. It
                 describes the techniques used to manage Palm, Windows PocketPC, and Nokia
                 9200 series devices. This scenario should give you a basic understanding of the
                 capabilities of IBM Tivoli Configuration Manager when managing pervasive
                 devices.

                 The topics included in this chapter are:
                     Case study overview
                     Managing Nokia 9290 Communicator
                     Managing Palm devices
                     Managing WinCE/PocketPC devices
                     Weekly distribution of the price and stock list




© Copyright IBM Corp. 2003. All rights reserved.                                              99
4.1 Case study overview
              In this scenario, we model a fictitious pharmaceutical company. Our customer
              has a requirement to update its sales force with the latest price and stock list and
              on the three following type of PDAs:
                 Nokia 9290 Communicator
                 Palm V
                 Toshiba Pocket PC e335

              All of these PDA devices are given to the traveling sales force. The sales force
              receives the actual price and stock list in a PDF file. In this case, we also need to
              deploy the appropriate version of a PDF reader software. The company’s
              objective is that each time users of the sales department connect their devices to
              their host PCs, which are connected to the company network, they should
              receive the latest version of the price and stock PDF file, if available. A new PDF
              file is created on the first business day of each week. The company would like to
              manage all devices from one central point, preferably the entire device
              management environment rolled out on one single server, as described in
              previous chapters. There is no requirement for securing the environment with
              IBM Tivoli Access Manager, since all operations will be done at the corporate
              office. The company has a total of 1500 devices in a mix of the three types
              mentioned above.

              We used the IBM Tivoli Configuration Manager and the Tivoli Web Gateway
              component to provide the PDA device management solution. We followed these
              steps:
              1. Since the requirement is to manage all pervasive devices from a centralized
                 location, we installed all the required components on a single box. The
                 following software is installed:
                  – IBM DB2 Universal Database Enterprise Edition Version 7.2
                  – IBM DB2 Universal Database Enterprise Edition Fixpack 7 (Version 7.2.5)
                  – IBM WebSphere Application Server Advanced Edition Version 4.0.1
                  – IBM WebSphere Application Server Advanced Edition Fixpack 3 (Version
                    4.0.3)
                  – IBM Tivoli Framework Version 4.1
                  – IBM Tivoli Configuration Manager Version 4.2
                  – Tivoli Web Gateway
                 For instructions on how to set up such an environment, refer to Chapter 2,
                 “Getting the environment up and running” on page 13.




100   PDA Management with IBM Tivoli Configuration Manager
2. We created the Policy Region structure shown in Figure 4-1 in the Tivoli
                    environment. The resource groups are subscribed to the relevant Profile
                    Managers to enable us to distribute software packages or inventory profiles to
                    the devices. For information on creating Policy Regions and Profile
                    Managers, please refer to Tivoli Management Framework User’s Guide
                    Version 4.1, GC32-0805-003 manual.




Figure 4-1 Policy Region structure

                    The naming convention presented in Figure 4-1 represents:
                     – Pr = Policy region
                     – rg = Resource group
                     – Pf = Profile


                                                       Chapter 4. Managing pervasive devices   101
– sp = Software package
                  – Pm = Profile Manager
                  – The [device_type] variable can be:
                     •   palm
                     •   nokia
                     •   wince (used also for PocketPCs)

                Note: According to the naming convention rules of IBM Tivoli Configuration
                Manager Software Distribution, the software package profile has to have a “^”
                character in its name (for example, software_name^version_number).

              3. Depending on the PDA type, we will set up the IBM Device Agents either on
                 the PDA and or on the PDA’s host PCs, and connect them to the Resource
                 Gateway.

              Table 4-1 IBM Device Agents
                Device Type                 IBM Device Agent name       IBM Device Agent name
                                            resides on the host PC      resides on the device

                Nokia 9290                  EUPCInstaller.exe           N/A

                Palm V                      CondInst.exe                DMSAgentResources.PDB
                                                                        PvcPalm.prc
                                                                        Config.PDB

                Toshiba Pocket PC E335      N/A                         ceagent.arm.CAB

              4. Once the device is connected to the Resource Gateway, we will sort them into
                 the relevant resource groups:
                  – Nokia devices - rg.pervasive_devices.nokia
                  – Palm devices - rg.pervasive_devices.palm
                  – Wince devices - rg.pervasive_devices.wince
              5. The devices have no PDF reader software installed yet. We have decided to
                 use Acrobat Reader for Palm and PocketPC PDAs, and PDF+ for Nokia
                 devices. We will create the software packages, import them to the already
                 created Profile Managers and initiate the Software Distribution.

              Table 4-2 Platforms and PDF reader software
                PDA platform                               PDF reader software to deploy

                Nokia 9290 Communicator                    PDF+

                Palm V                                     Adobe Acrobat Reader for Palm OS

                Toshiba Pocket PC E335                     Adobe Acrobat Reader for Pocket PC



102   PDA Management with IBM Tivoli Configuration Manager
6. We will initiate an inventory scan on the devices, where applicable, and
              collect the device hardware and software information.

           Table 4-3 Device Tivoli action matrix
            Device Type                   Software Distribution      Inventory scan

            Nokia 9290                    Yes                        Not supported

            Palm V                        Yes                        Yes

            Toshiba Pocket PC E335        Yes                        Yes



4.2 Managing Nokia 9290 Communicator
           The prerequisites for the Device Agent are the PC and Administrator Suites for
           the Nokia 9290 Communicator. You need to install the PC Suite before you can
           install the Administrator Suite. Both these suites are supplied by Nokia or can be
           downloaded from the Nokia Web site. We have already installed these suites.
           http://www.nokia.com/phones/productsupport

           The Device Agent does not reside on the device. It is referred to as a proxy agent
           because it acts on behalf of the device to communicate with the plug-in on the
           Web Gateway and the interface of the PC and Administrator Suites’ applications
           from Nokia. When the device connects to the host PC, the agent contacts the
           plug-in on the Web Gateway and any pending jobs are processed. The Device
           Agent uses the Nokia programming interface to perform the jobs on the device.

           You must install the Device Agent on a host PC that has the PC and
           Administrator Suites installed. The PC Suite needs to be run at least once to
           recognize your device before you can install the agent.

           The agent install program file EUPCInstaller.exe is located on the Tivoli Web
           Gateway Server in the default directory [TWGdir]agentsNokia, where [TWGdir]
           is the Tivoli Web Gateway installation directory.


4.2.1 Installation and configuration of the Device Agent for Nokia
           To install the Device Agent and configure the device:
           1. Copy EUPCInstaller.exe to the host PC.
           2. Double-click the file to start the installation wizard of the Device Agent.




                                                   Chapter 4. Managing pervasive devices    103
Figure 4-2 Nokia Device Agent welcome window

              3. Click Next to continue.




              Figure 4-3 Specify destination folder



104   PDA Management with IBM Tivoli Configuration Manager
4. Specify the destination folder of the installation and click Next. We use the
   default destination folder.




Figure 4-4 Device management server URL specification

5. The next step is to specify the device management server URL. The syntax
   is:
   http://<TWG_hostname>/dmserver/NokiaDeviceServlet
   where <TWG_hostname> is the Tivoli Web Gateway host name.
6. After clicking Next, the installation starts.




                                        Chapter 4. Managing pervasive devices   105
Figure 4-5 Progress bar of the installation




              Figure 4-6 The finished installation




106   PDA Management with IBM Tivoli Configuration Manager
7. The Nokia Device Agent automatically enrolls itself to the Tivoli Web Gateway
   after the successful installation. Now we open a session.

 Note: In this part of the scenario, we will use the CLI commands to perform
 the actions. However, these actions can be performed using the Tivoli
 Desktop as well. For more information on the wresgw, wresource and wresgrp
 commands, please consult the IBM Tivoli Configuration Manager User’s
 Guide for Deployment Services, SC23-4710.

8. We run a wresgw, discover command to verify it:
   # wresgw discover
   FBBWD0001I Discover resources
   FBBWD0002I Resources discovered in itcmpda5

   FBBWD0039I      UNKNOWN         EXISTS
9. We list the discovered pervasive devices:
   # wresource ls Pervasive_Device
   Pervasive_Device:
     103 UNKNOWN (Nokia9200Series) itcmpda5 Nokia9200Series:010108/50/236874/8


10.Since the label of the Nokia device is UNKNOWN, we rename the label to
   Communicator001:
   # wresource edit Pervasive_Device UNKNOWN -u -l      Communicator001
11.Check if it was renamed correctly:
   # wresource ls Pervasive_Device
   Pervasive_Device:
      103 Communicator001 (Nokia9200Series) itcmpda5
   Nokia9200Series:010108/50/236874/8


12.We now have to assign the device to a resource group. We assign it to the
   rg.pervasive_devices.nokia resource group:
   # wresgrp subscribe rg.pervasive_devices.nokia Communicator001
13.We list the assigned devices in the rg.pervasive_devices.nokia resource
   group:
   # wresgrp ls rg.pervasive_devices.nokia
   rg.pervasive_devices.nokia (Static, Pervasive_Device):
    103 (Communicator001)
   total 1




                                        Chapter 4. Managing pervasive devices   107
4.2.2 Distributing software packages to Nokia 9290 Communicator
                  In this section we describe the creation and distribution of software packages
                  required by the customer. A software package for the PDF reader software will be
                  created according to the device type. The process for the weekly price/stock list
                  update is described in 4.5, “Weekly distribution of the price and stock list” on
                  page 153.

                  The software of choice for this particular scenario is the PDF+ viewer for Nokia
                  devices from mBrain Software. It can be downloaded from the following Web site:

                  http://www.mbrainsoftware.com/Nokia/Pdf/Pdf.htm

                  First we will create a Software Package Block from the downloaded PDF+
                  application.
                  1. Open the software package editor and create a new package named PDF+
                     and select the device file object.




Figure 4-7 Device file object selection



108     PDA Management with IBM Tivoli Configuration Manager
2. We insert a device file to the already created device object.




Figure 4-8 Inserting device file

                  3. We set the caption to PDF+ and the Device Type to Nokia9200Series.




                  Figure 4-9 Device Object Properties window

                  4. The next step is to add the device file properties. We set the following options:
                      – Source



                                                         Chapter 4. Managing pervasive devices   109
–   Location: c:workredpaper - location of the file on the package builder
                  –   Name: PDF+.SIS - Name of the installation file
                  –   Destination
                  –   Location: c:documents - the directory location on the target PDA
                  –   Name: PDF+.SIS - file name on the target PDA

                   Note: On the Nokia 9290 Communicator, the directory creation is not
                   supported by the Software Distribution process. You always have to use an
                   existing directory on the target PDA as location on destination.




              Figure 4-10 Device file properties

              5. Finally, we save the software package as pfd_plus.spb.




110   PDA Management with IBM Tivoli Configuration Manager
Figure 4-11 Saving the software package as an .spb file

6. Now we switch to the Tivoli Desktop. Create the Profile Manager named
   pm.pervasive_devices.swd.nokia.pdf_plus^1.0. Ensure that you don’t use the
   dataless Endpoint Mode upon creation.




Figure 4-12 Profile Manager for Nokia devices

7. Create the Software Package object
   sp.pervasive_devices.swd.nokia.pdf_plus^1.0 and import the pfd_plus.spb
   file.




                                        Chapter 4. Managing pervasive devices   111
Note: In this scenario, since we are focusing on the new features
                   regarding resource management, we will not show the basic steps of Tivoli,
                   such as creating a Profile Manager or importing a Software Package Block.
                   For more information on the basic steps of creating a Profile Manager or
                   importing a software package object, please consult IBM Tivoli
                   Configuration Manager User’s Guide for Software Distribution, SC23-4711.




              Figure 4-13 sp.pervasive_devices.swd.nokia.pdf_plus^1.0

              8. The next step is to subscribe the rg.pervasive_devices.nokia resource group
                 to the pm.pervasive_devices.swd.nokia.pdf_plus^1.0 Profile Manager.


112   PDA Management with IBM Tivoli Configuration Manager
Figure 4-14 Subscribing the rg.pervasive_devices.nokia resource group

                    The Profile Manager will look like Figure 4-15 on page 114.




                                                        Chapter 4. Managing pervasive devices   113
Figure 4-15 The Subscribed rg.pervasive_devices.nokia resource group

              Now we are ready to distribute the PDA+ software to the Nokia device.
              1. Open the installation window, assign the rg.pervasive_devices.nokia resource
                 group to the Install Software Package On: field, and click Install & Close.




114   PDA Management with IBM Tivoli Configuration Manager
Figure 4-16 Install Software Package window

2. You can check the MDist2 GUI to follow up the distribution status. However,
   when you see that the package distribution was successful, this only indicates
   that the software package was published to the Tivoli Web Gateway
   successfully. You can check the location of the published package if you open
   the Software Distribution log file of the current distribution. Example 4-1




                                      Chapter 4. Managing pervasive devices   115
shows our log file:
                 /tivoli/bin/swdis/work/sp.pervasive_devices.swd.nokia.pdf_plus^1.0.log.

              Example 4-1 sp.pervasive_devices.swd.nokia.pdf_plus^1.0.log
              Software Package: "sp.pervasive_devices.swd.nokia.pdf_plus^1.0"
              Operation:         install
              Mode:              not-transactional,not-undoable
              Time:              2003-03-11 17:48:04
              =================
              Pervasive Device list:
              Communicator001
              DISSE0074I Operation successfully submitted. Distribution ID is 1148766224.17.

              =================

              Software Package: "sp.pervasive_devices.swd.nokia.pdf_plus^1.0"
              Operation:         install
              Mode:              not-transactional,not-undoable
              Time:              2003-03-11 17:59:34
              =================
              Communicator001:

              DISSE0155I Distribution ID: `1148766224.17'

              DISSE0029I Current software package status is 'IC---'.

              DISSE0001I Operation successful.
              DISSE0538I The TWG metapackage has been published under URL
              http://itcmpda5:80/twg/device/30311234806729614/__Tivoli.contents__.

              =================

                 In this log file you can also see the list of the devices where you have
                 executed the distributions.
              3. Using the wwebgw -l @<TWG_hostname> command, we verify the ongoing
                 distributions on the Web Gateway:
                 # wwebgw -l @itcmpda5

                 Web Gateway endpoint: @itcmpda5

                 Distribution ID         Application ID
                 ---------------         --------------
                 1148766224.17 1148766224#SoftwareDistribution
              4. Once the sales representative connects a Nokia device to the host PC and
                 starts the Nokia 9290 Communicator software, the PDF+ SIS package starts
                 to install on the host PC. Since the Nokia SIS package has no unattended



116   PDA Management with IBM Tivoli Configuration Manager
installation option, the sales rep has to follow the installation steps manually
   in order to install the PDF+ on the Nokia 9290 device successfully.




Figure 4-17 Installation of the PDF+ SIS package

5. Verify the installation on the Nokia device. You should see the PdfPlus
   software installed under the extras session.




Figure 4-18 Installed PdfPlus software on the Nokia Device window


 Note: On Nokia 9290 devices, the inventory scan is not supported, so you will
 not be able to send inventory scans to these devices. See the installed
 software packages using the DEV_CMSTATUS_QUERY inventory query.




                                       Chapter 4. Managing pervasive devices    117
4.3 Managing Palm devices
              The Tivoli Web Gateway supports all devices that use Palm OS 3.1 or higher
              operating systems. The Device Agent resides on the device and requires
              HotSync Manager to be at least the same version of the Palm OS version on the
              device. Connection software called a conduit must be installed on the host PC to
              synchronize application-specific files.

              The device can use a cradle, direct network connection, or both to connect to the
              host PC. A configuration file, Config.PDB, for each of these types of connections
              can be prepared with a utility called pdbgene.jar from your config.ini of your
              network settings. It is supplied with the Tivoli Web Gateway and is located in
              C:Program FilesTivTwgagenttools. Chapters 11 and 14 of the IBM Tivoli
              Configuration Manager User’s Guide for Deployment Services, SC23-4710 have
              details on the pdbgene.jar utility and the parameters in the config.ini file.


4.3.1 Installation and configuration of the Device Agent for Palm
              You can install the Device Agent by means of the cradle using the following
              steps:
              1. Customize the settings in the config.ini file. We are using the following
                 settings in this scenario:
                  – ServiceName: DevAgent - This is the default setting; don’t change it
                  – DMSAddress: The host name of the Tivoli Web Gateway Server
                  – DMSPort: The port of the Web server on the Tivoli Web Gateway Server
                  – PalmServletName: /dmserver/PalmServlet - This is the default setting;
                    don’t change it
                  – PalmUserID: The user name of the Palm user
                  – SSLOn: We disabled SSL since we don’t use it in this scenario
                  – AttachmentOption: A value of 0 specifies the device decides which
                    connection option to use automatically
                 Example 4-2 shows the config.ini file in our case study scenario.

              Example 4-2 The config.ini file
              ServiceName=DevAgent
              DMSAddress=itcmpda5
              DMSPort=80
              PalmServletName=/dmserver/PalmServlet
              PalmUserID=palm001
              SSLOn=0




118   PDA Management with IBM Tivoli Configuration Manager
AttachmentOption=0

2. You will need to generate a configuration file from the config.ini file. Run the
   following command to generate the Config.PDB file:
   java -cp pdbgene.jar com.tivoli.dms.tool.pdbgene.PDBGenerator Config.INI
   Config.PBD
3. Copy the Device Agent conduit installation file condinst.exe from the Tivoli
   Web Gateway located in C:Program FilesTivTwgagentspalm to the host
   PC.
4. The Palm Desktop or HotSync Manager must be installed prior to installing
   the conduit software. Double-click condinst.exe to start the installation and
   follow the prompts to complete the installation.




Figure 4-19 Palm OS agent installation welcome window

5. For the Palm OS agent program, click Next to start the installation.




                                       Chapter 4. Managing pervasive devices    119
Figure 4-20 Palm OS agent installation progress bar

              6. The installation starts automatically.




              Figure 4-21 The finished Palm OS agent installation



120   PDA Management with IBM Tivoli Configuration Manager
7. Copy the following files to the host PC and use the install tool of the Palm
   Desktop (Figure 4-22) along with the HotSync Manager to copy the files to the
   Palm device:
   – PvcPalm.prc: Device agent file located on the Tivoli Web Gateway
   – DMSAgentResources.PDB: Palm OS resource file locate on the Tivoli
     Web Gateway
   – Config.PDB: Configuration parameter database file that you created




Figure 4-22 Palm Desktop Install tool

8. On completion of the file transfer via HotSync, a new icon called IBM agent
   should now appear on the Palm device.

 Note: As an alternative, the configuration of the Palm can also be done
 without the config.ini file. If you run the IBM Device Agent, it will ask you to
 configure giving the parameters. The parameters are found in the IBM Tivoli
 Configuration Manager User’s Guide for Deployment Services, SC23-4710.


9. When you start the IBM agent on the Palm device for the first time, it asks for
   connection settings. Since we use the default connection setting, we can
   discard this step. The next window on the Palm is the user name and
   password field. Even though we do not use authentication in this scenario, we




                                        Chapter 4. Managing pervasive devices   121
still have to specify the user name (without the password). We have specified
                 palm001 as user name.
              10.Now we press the Connect button on the Palm device and select HotSync as
                 a connection type.
              11.The IBM Agent connects to the Tivoli Web Gateway.
              12.We run a wresgw, discover command to verify it:
                 # wresgw discover
                 FBBWD0001I Discover resources
                 FBBWD0002I Resources discovered in itcmpda5

                 FBBWD0039I        palm001          EXISTS


              13.We list the discovered pervasive devices:
                 # wresource ls Pervasive_Device
                 Pervasive_Device:
                         103 Communicator001 (Nokia9200Series) itcmpda5
                 Nokia9200Series:010108/50/236874/8
                         105 palm001 (Palm) itcmpda5 Palm:10EV1A796M8Y


              14.When the Palm device is correctly discovered, we assign it to the
                 rg.pervasive_devices.palm resource group.
                 # wresgrp subscribe rg.pervasive_devices.palm palm001
              15.We list the assigned devices in the rg.pervasive_devices.palm resource
                 group.
                 # wresgrp ls rg.pervasive_devices.palm
                 rg.pervasive_devices.palm (Static, Pervasive_Device):
                   105 (palm001)
                 total 1


4.3.2 Distributing software packages to Palm
              In this section, we describe the creation and distribution of software packages
              required by the customer. A software package for the PDF reader software will
              be created according to the device type. The process for the weekly price/stock
              list update will be described in 4.5, “Weekly distribution of the price and stock list”
              on page 153.

              The software of choice for this particular scenario is the Acrobat Reader for Palm
              devices from Adobe. It can be downloaded from the following Web site:
              http://www.adobe.com/products/acrobat/acrrpalmdload.html




122   PDA Management with IBM Tivoli Configuration Manager
In this section, we distribute the Adobe Acrobat viewer software to the Palm
device. First we create a Software Package Block from the downloaded Adobe
Acrobat application.
1. We open the software package editor and create a new package named
   Adobe_Acrobat_palm and select the device file object.




Figure 4-23 Device file object selection

2. We create the device object:
   – Caption: Acrobat_Reader_Palm
   – Subtype: Palm




Figure 4-24 Add Device Object Properties window

3. Now we insert a device file.



                                           Chapter 4. Managing pervasive devices   123
Figure 4-25 Inserting device file

              4. The next step is to add the device file properties. We set the following options:
                  – Location: c:workredpaper - location of the file on the package builder
                  – Name: AcroRead.prc - Name of the installation file




              Figure 4-26 Device file properties



124   PDA Management with IBM Tivoli Configuration Manager
5. Finally, we save the software package as Acrobat_palm.spb.




Figure 4-27 Saving the software package as an .spb file

6. Now we switch to the Tivoli Desktop. Create the Profile Manager named
   pm.pervasive_devices.swd.palm.acrobatreader^2.0. Ensure that you don’t
   use the dataless Endpoint Mode upon creation.




Figure 4-28 Profile manager for Palm devices

7. Create the Software Package object.
   sp.pervasive_devices.swd.palm.acrobatreader^2.0 and import the
   Acrobat_palm.spb file.




                                        Chapter 4. Managing pervasive devices   125
Figure 4-29 sp.pervasive_devices.swd.palm.acrobatreader^2.0

              8. The following step is to subscribe the rg.pervasive_devices.palm resource
                 group to the pm.pervasive_devices.swd.palm.acrobatreader^2.0 Profile
                 Manager.




126   PDA Management with IBM Tivoli Configuration Manager
Figure 4-30 Subscribing the rg.pervasive_devices.palm resource group

   The Profile Manager will look like Figure 4-15 on page 114




                                       Chapter 4. Managing pervasive devices   127
Figure 4-31 The subscribed rg.pervasive_devices.palm resource group

              Now we are ready to distribute the Adobe Acrobat Reader software to the Palm
              Device.
              1. Open the installation window and assign the rg.pervasive_devices.palm
                 resource group to the Install Software Package On: field and click Install &
                 Close.




128   PDA Management with IBM Tivoli Configuration Manager
Figure 4-32 Install Software Package window

2. You can check the MDist2 GUI to follow up the distribution status. However,
   when you see that the package distribution was successful, this only indicates
   that the software package was published to the Web Gateway successfully.
   You can check the location of the published package if you open the Software
   Distribution log file of the current distribution. Example 4-3 on page 130




                                      Chapter 4. Managing pervasive devices   129
shows our log file
                 /tivoli/bin/swdis/work/sp.pervasive_devices.swd.palm.acrobatreader^2.0.log.

              Example 4-3 sp.pervasive_devices.swd.nokia.pdf_plus^1.0.log
              =================

              Software Package: "sp.pervasive_devices.swd.palm.acrobatreader^2.0"
              Operation:         install
              Mode:              not-transactional,not-undoable
              Time:              2003-03-14 11:12:13
              =================
              Pervasive Device list:
              palm001
              DISSE0074I Operation successfully submitted. Distribution ID is 1148766224.22.

              =================
              =================

              Software Package: "sp.pervasive_devices.swd.palm.acrobatreader^2.0"
              Operation:         install
              Mode:              not-transactional,not-undoable
              Time:              2003-03-14 11:14:48
              =================
              palm001:

              DISSE0155I Distribution ID: `1148766224.22'

              DISSE0029I Current software package status is 'IC---'.

              DISSE0001I Operation successful.
              DISSE0538I The TWG metapackage has been published under URL
              http://itcmpda5:80/twg/device/30314171215919986/twg-metapackage-1148766224.22-1
              .txt.

              =================


                 In this log file you can also see the list of the devices where you have
                 executed the distributions.
              3. Using the wwebgw -l @<TWG_hostname> command, we verify the ongoing
                 distributions on the Tivoli Web Gateway, as shown in Example 4-4.

              Example 4-4 Ongoing distributions

              # wwebgw -l @itcmpda5

              Web Gateway endpoint: @itcmpda5



130   PDA Management with IBM Tivoli Configuration Manager
Distribution ID         Application ID
           ---------------         --------------
           1148766224.22   1148766224#SoftwareDistribution

           4. Once the sales representative connects a Palm device to the host PC and
              start a HotSync operation, the Adobe Acrobat package starts to install on your
              Palm device. There is no need to have manual interaction while installing the
              Acrobat Reader software.
           5. After the successful installation, you should see the Adobe Acrobat Reader
              icon on your Palm desktop.


4.3.3 Performing inventory scan on Palm
           In this section, we explain how to perform an inventory scan on the Palm device.
           The following steps need to be followed:
           1. We have already created the InventoryConfig profile for the Palm devices as
              shown in the Policy Region structure diagram in Figure 4-1 on page 101. The
              profile name is pf.pervasive_devices.inv.palm and it is created under the
              Profile Manager pm.pervasive_devices.inv.palm. We also subscribed the
              rg.pervasive_devices.palm resource group to the Profile Manager.




                                                 Chapter 4. Managing pervasive devices   131
Figure 4-33 Inventory Profile Manager for Palm

              2. To customize the InventoryConfig profile, we disabled all scanning options
                 other than related pervasive devices, such as the PC hardware and software
                 scans and UNIX and OS/400 hardware and software scans. We selected only
                 the following options in the Pervasive Devices window:
                  – Hardware Scan - ON
                  – Software Scan - ON
                  – Device Configuration Scan - ON




132   PDA Management with IBM Tivoli Configuration Manager
Figure 4-34 Pervasive Devices scan window

3. Once the InventoryConfig profile is customized, we perform the inventory
   scan on rg.pervasive_devices.palm resource group.




                                     Chapter 4. Managing pervasive devices    133
Figure 4-35 Inventory scan on the rg.pervasive_devices.palm resource group

              4. You can follow the inventory scan by checking the lcfd.log on the Tivoli Web
                 Gateway’s lcf directory and on the MDist2 console. However, a successful
                 status only means that the Tivoli Web Gateway has received the request.

              Example 4-5 lcfd.log on the Tivoli Web Gateway
                 Mar 14 11:34:24 1 lcfd Spawning:
              /opt/Tivoli/lcf/dat/4/cache/bin/aix4-r1/TME®/INVENTORY/inv_config_ep_pvd_meths,
              ses: 0bedf0b3

              5. By issuing the wwebgw -l @<TWG_hostname> command, we can see if the Tivoli
                 Web Gateway has scheduled the inventory scan for the Palm device.

              Example 4-6 The scheduled inventory scan
              # wwebgw -l @itcmpda5



134   PDA Management with IBM Tivoli Configuration Manager
Web Gateway endpoint: @itcmpda5

Distribution ID         Application ID
---------------         --------------
1148766224.23   1148766224#Inventory

6. Once the Palm device is performing a HotSync operation, the inventory scan
   starts to run and you see the following message on the device:
   inventory information is being scanned. Please be patient, as this may
   require up to a few minutes
7. Once the inventory scan has been performed, the Palm device automatically
   starts a new HotSync operation and sends the scanned information back to
   the Framework level.
8. When the inventory scan is done, you get a pop-up message on the Palm
   device saying:
   Inventory job has completed
9. Alternatively, you can verify the $DBDIR/mcollect/mcollect.log for the success
   of the inventory scan:

Example 4-7 mcollect.log successful inventory scan
Mar 14 11:47:14 1 [pid:00017102 tid:536928744] debug_level:1
Mar 14 11:47:14 1 [pid:00017102 tid:536928744] depot_location:depot
Mar 14 11:47:14 1 [pid:00017102 tid:536928744] depot_size:41943040
Mar 14 11:47:14 1 [pid:00017102 tid:536928744] depot_chunk:1048576
Mar 14 11:47:14 1 [pid:00017102 tid:536928744] thread_idle_down_time:60
Mar 14 11:47:14 1 [pid:00017102 tid:536928744] thread_sleep_time:5
Mar 14 11:47:14 1 [pid:00017102 tid:536928744] max_input_threads:5
Mar 14 11:47:14 1 [pid:00017102 tid:536928744] max_input_retries:10
Mar 14 11:47:14 1 [pid:00017102 tid:536928744] max_output_threads:5
Mar 14 11:47:14 1 [pid:00017102 tid:536928744] retry_delay_time:1
Mar 14 11:47:14 1 [pid:00017102 tid:536928744] router_cache_lines:0
Mar 14 11:47:14 1 [pid:00017102 tid:536928744]
temp_dir:/tivoli/db/itcmpda5.db/mcollect
Mar 14 11:47:14 1 [pid:00017102 tid:536928744] depot_load - begin loading index
cache.
Mar 14 11:47:14 1 [pid:00017102 tid:536928744] depot_load - end loading depot
index cache.

10.We execute the PERVASIVE_QUERY from the Tivoli desktop to verify if the
   device is added to the database correctly. The PERVASIVE_QUERY is
   located in the PERVASIVE_QUERY library.




                                       Chapter 4. Managing pervasive devices   135
Figure 4-36 The result of the PERVASIVE_QUERY


                Note: Since we used the integrated installation of IBM Tivoli Configuration
                Manager 4.2, the inventory query libraries are created automatically during the
                installation. To locate them on the Tivoli Desktop, go to the default created
                Policy Region (in our case it is itcmpda-region).

              11.We execute the DEV_CMSTATUS_QUERY to verify the installation of the
                 Adobe Acrobat Reader. However, this part of the inventory database is
                 automatically updated whenever a Software Distribution is performed on the
                 device. So you do not need to run an inventory scan to receive this data.




136   PDA Management with IBM Tivoli Configuration Manager
Figure 4-37 Result for query: DEV_CMSTATUS_QUERY



4.4 Managing WinCE/PocketPC devices
        The Tivoli Web Gateway supports all devices that use WinCE and Windows
        PocketPC. The Device Agent resides on the device and requires some sort of
        synchronization software between the host PC and the device in order to
        synchronize application-specific files. In our scenario, we will use Microsoft
        Active Sync V3.5 that ships with the Toshiba Pocket PC e335.

        The Device Agent (IBM Agent) is a Tivoli software component that polls and
        processes jobs in the polling queue that have been submitted by the plug-in. A
        Windows CE Service must be installed on the host PC to establish
        communication between the host PC and the device.

        For each CPU type, there is a different Device Agent installation package. These
        are located on the Tivoli Web Gateway in the following directories:
           For WinCE Version 2.11:
           <TWGDIR>agentswinceWinCE2.1
           For WinCE Version 3.0 and Pocket PC or Pocket PC 2002 devices:
           <TWGDIR>agentswinceWinCE3.0

        Where <TWGDIR> is the Tivoli Web Gateway installation directory.




                                             Chapter 4. Managing pervasive devices   137
Table 4-4 Agent install package per processor type
                CPU Type                                  Agent install package

                SH-3                                      ceagent.sh3.cab

                SH-4                                      ceagent.sh4.cab

                MIPS                                      ceagent.mip.cab

                StrongARM                                 ceagent.arm.cab

              Since our device uses the StrongARM processor, we will use the
              ceagent.arm.cab installation package.


4.4.1 Installation and configuration of the Device Agent for PocketPC
              You can install the Device Agent by means of the cradle using the following
              steps:
              1. Open the device synchronization software, in our case Microsoft Active Sync,
                 and click Explore.




              Figure 4-38 Device connected




138   PDA Management with IBM Tivoli Configuration Manager
2. The directory structure of the handheld device will be displayed.




Figure 4-39 Mobile Device directory structure

3. Copy the appropriate Device Agent installation package from the Tivoli Web
   Gateway to the host PC and then to the device. Active Sync converts the file
   to the mobile device format, and copies it to the PDA.




Figure 4-40 Copying Device Agent install file

4. Locate the file on your handheld, and tap on the CAB file to start the
   installation.




                                         Chapter 4. Managing pervasive devices   139
Figure 4-41 IBM Device Agent is copied to the PDA

              5. When the installation is complete, click Start -> Programs -> IBM agent to
                 configure the agent. The following should be specified:
                  – User ID: This will serve as a secondary device ID.
                  – Server URL: This is the Tivoli Web Gateway URL.
                    http://<TWG_hostname>/dmserver/WinceServlet
                  – Check Poll automatically.




              Figure 4-42 IBM Device Agent configuration


140   PDA Management with IBM Tivoli Configuration Manager
Depending on the device and the network setup, you must set the appropriate
   settings in the Connection tab. Click the Save button when you are ready.
6. The Device Agent will now connect to the server.




Figure 4-43 IBM Device Agent main window

7. The IBM Agent connects to the Tivoli Web Gateway.
8. We run a wresgw, discover command to verify it:
   # wresgw discover
   FBBWD0001I Discover resources
   FBBWD0002I Resources discovered in itcmpda5

   FBBWD0039I      IBMWINCE        EXISTS


9. We list the discovered pervasive devices:
   # wresource ls Pervasive_Device
   Pervasive_Device:
           103 Communicator001 (Nokia9200Series) itcmpda5
   Nokia9200Series:010108/50/236874/8
           105 palm001 (Palm) itcmpda5 Palm:10EV1A796M8Y
           107 IBMWINCE (WinCE) itcmpda5 WinCE:30226204125775976_10462920


10.When the PocketPC device is correctly discovered, we assign it to the
   rg.pervasive_devices.wince resource group.
   # wresgrp subscribe rg.pervasive_devices.wince IBMWINCE




                                     Chapter 4. Managing pervasive devices   141
11.We list the assigned devices in the rg.pervasive_devices.wince resource
                 Group.
                 # wresgrp ls rg.pervasive_devices.wince
                 rg.pervasive_devices.wince (Static, Pervasive_Device):
                   107 (IBMWINCE)
                 total 1


4.4.2 Distributing software on WinCE/PocketPC
              In this section, we describe the creation and distribution of software packages
              required by the customer. A software package for the PDF reader software will
              be created according to the device type. The process for the weekly price/stock
              list update will be described in 4.5, “Weekly distribution of the price and stock list”
              on page 153.

              The software of choice for this particular scenario is the Acrobat Reader for
              PocketPC devices from Adobe. It can be downloaded from the following Web
              site:
              http://www.adobe.com/products/acrobat/acrrppcdload.html
              1. We open the software package editor and create a new package for the
                 Adobe Acrobat named IBM-WINCE and select the device file object.




              Figure 4-44 Device file object selection




142   PDA Management with IBM Tivoli Configuration Manager
2. We create the device object:
   – Caption: IBM-WINCE
   – Subtype: WinCE




Figure 4-45 Add Device Object Properties window

3. Now we insert a device file.




Figure 4-46 Inserting device file

4. The next step is to add the device file properties. Use the install package of
   Adobe Acrobat for PocketPC.
5. Finally, we save the software package as Acrobat.spb.




                                      Chapter 4. Managing pervasive devices    143
Figure 4-47 Saving the software package as an SPB

              6. Now we switch to the Tivoli Desktop. Create the Profile Manager named
                 pm.pervasive_devices.swd.wince.acrobat^1. Ensure that you don’t use the
                 dataless Endpoint Mode upon creation.




              Figure 4-48 Profile manager for WinCE devices

              7. Create the Software Package object
                 sp.pervasive_devices.swd.wince.acrobat^1 and import the Acrobat.spb file.




144   PDA Management with IBM Tivoli Configuration Manager
Figure 4-49 sp.pervasive_devices.swd.wince.acrobatr^1

                 8. The next step is to subscribe the rg.pervasive_devices.wince resource group
                    to the pm.pervasive_devices.swd.wince.acrobat^1 Profile Manager.




Figure 4-50 Subscribing the rg.pervasive_devices.wince resource group




                                                        Chapter 4. Managing pervasive devices   145
Now we are ready to distribute the Adobe Acrobat Reader software to the
              PocketPC Device.
              1. Open the installation window and assign the rg.pervasive_devices.wince
                 resource group to the Install Software Package On: field and click Install &
                 Close.




              Figure 4-51 Install Software Package window




146   PDA Management with IBM Tivoli Configuration Manager
You can check the MDist2 GUI to follow up the distribution status. However,
                 when you see that the package distribution was successful, this only indicates
                 that the software package was published to the Web Gateway successfully. You
                 can check the location of the published package if you open the Software
                 Distribution log file of the current distribution.

                 In order to check the status of the distribution using the MDist2 GUI, click the
                 Distribution Status icon on the Tivoli Desktop. This will open the MDist2
                 program in a separate window. If you click All Distributions in the navigation
                 bar, you will see the status of the distribution you submitted.




Figure 4-52 Checking Distribution Status in MDist2

                 You also can follow the distribution on the PDA display. If you connect to the
                 server, it will find a job that has been submitted, and starts the installation
                 automatically. Figure 4-53 on page 148 shows a sequence of windows of the
                 installation procedure.




                                                        Chapter 4. Managing pervasive devices      147
Figure 4-53 IBM Device Agent - performing software distribution

                 After the installation procedure is finished, start Acrobat Reader to check if it is
                 working.




                 Figure 4-54 Software up and running



148     PDA Management with IBM Tivoli Configuration Manager
4.4.3 Running inventory on the WinCE/PocketPC
                 In this section, we explain how to perform an inventory scan on the
                 WinCE/PocketPC device. The following steps need to be followed:
                 1. We have already created the InventoryConfig profile for the WinCE/PocketPC
                    devices as shown in the Policy Region structure diagram in Figure 4-1 on
                    page 101. The profile name is pf.pervasive_devices.inv.wince and it is created
                    under the Profile Manager pm.pervasive_devices.inv.wince. We also
                    subscribed the rg.pervasive_devices.wince resource group to the Profile
                    Manager.




Figure 4-55 Inventory Profile Manager for Palm

                 2. To customize the InventoryConfig profile, we disabled all scanning options
                    other than related pervasive devices, such as PC hardware and software
                    scans and UNIX and OS/400 hardware and software scans. We selected only
                    the following options in the Pervasive devices window:
                    – Hardware Scan - ON
                    – Software Scan - ON
                    – Device Configuration Scan - ON




                                                       Chapter 4. Managing pervasive devices   149
Figure 4-56 Inventory profile administration - Pervasive Devices

              3. Once the InventoryConfig profile is customized, we perform the inventory
                 scan on rg.pervasive_devices.wince resource group.




150   PDA Management with IBM Tivoli Configuration Manager
Figure 4-57 Inventory scan on the rg.pervasive_devices.wince resource group

4. You can follow the inventory scan by checking the lcfd.log on the Tivoli Web
   Gateway’s lcf directory and on the MDist2 console. However, a successful
   status only means that the Tivoli Web Gateway has received the request.
5. By issuing the wwebgw -l @<TWG_hostname> command, we can see if the Tivoli
   Web Gateway has scheduled the inventory scan for the PocketPC device.

Example 4-8 The scheduled inventory scan
# wwebgw -l @itcmpda5

Web Gateway endpoint: @itcmpda5

Distribution ID          Application ID
---------------          --------------
1148766224.87            1148766224#Inventory




                                       Chapter 4. Managing pervasive devices   151
6. Once the PocketPC device is performing a synchronization operation, the job
                 gets scheduled, and the inventory scan starts to run. Figure 4-58 shows this
                 sequence.




              Figure 4-58 Inventory scan -being scheduled and performed

              7. Alternatively, you can verify the $DBDIR/mcollect/mcollect.log for the success
                 of the inventory scan:

              Example 4-9 mcollect.log successful inventory scan
              Mar 14 11:47:14 1 [pid:00017102 tid:536928744] debug_level:1
              Mar 14 11:47:14 1 [pid:00017102 tid:536928744] depot_location:depot
              Mar 14 11:47:14 1 [pid:00017102 tid:536928744] depot_size:41943040
              Mar 14 11:47:14 1 [pid:00017102 tid:536928744] depot_chunk:1048576
              Mar 14 11:47:14 1 [pid:00017102 tid:536928744] thread_idle_down_time:60
              Mar 14 11:47:14 1 [pid:00017102 tid:536928744] thread_sleep_time:5
              Mar 14 11:47:14 1 [pid:00017102 tid:536928744] max_input_threads:5
              Mar 14 11:47:14 1 [pid:00017102 tid:536928744] max_input_retries:10
              Mar 14 11:47:14 1 [pid:00017102 tid:536928744] max_output_threads:5
              Mar 14 11:47:14 1 [pid:00017102 tid:536928744] retry_delay_time:1
              Mar 14 11:47:14 1 [pid:00017102 tid:536928744] router_cache_lines:0
              Mar 14 11:47:14 1 [pid:00017102 tid:536928744]
              temp_dir:/tivoli/db/itcmpda5.db/mcollect
              Mar 14 11:47:14 1 [pid:00017102 tid:536928744] depot_load - begin loading index
              cache.
              Mar 14 11:47:14 1 [pid:00017102 tid:536928744] depot_load - end loading depot
              index cache.

              8. We execute the WINCE_FILE_QUERY from the Tivoli Desktop to verify the
                 installation of the Adobe Acrobat Reader on the PocketPC device and if the



152   PDA Management with IBM Tivoli Configuration Manager
Adobe Acrobat software has been added to the Tivoli Inventory database
                  correctly. The WINCE_FILE_QUERY is located under the
                  PERVASIVE_QUERY library.

                Note: Since we used the integrated installation of IBM Tivoli Configuration
                Manager 4.2, the inventory query libraries are created automatically during the
                installation. To locate them on the Tivoli Desktop, go to the default created
                Policy Region (in our case it is itcmpda-region).




Figure 4-59 Results of the WINCE_FILE_QUERY



4.5 Weekly distribution of the price and stock list
               This section describes the methodology of the weekly upgrade of the price and
               stock list PDF file. In order to update all the pervasive devices with a new price
               and stock list every week, it is necessary to create and distribute a software
               package containing the proper price and stock list every week. After that it is also
               necessary to verify the success of the process. Since we have already shown
               how to create, distribute, and verify the distribution of a software package for
               each of the devices, we will talk only about the high-level design here.

               On the Friday before the first business day of the week, we receive one PDF file
               containing the price and stock information. The naming convention for this PDF
               file is pricelist[yyyymmdd].pdf. As requested, we do not overwrite the old price list
               files, because the sales department sometimes has to refer to information from
               the previous weeks. We also would like to keep the history of the distributions
               and the weekly distributed packages on track by not deleting the old packages
               for a six-month period of time.


                                                      Chapter 4. Managing pervasive devices     153
Therefore, the following tasks need to be performed by the Tivoli operations
              team:
                 Create the software packages containing the pricelist[yyyymmdd].pdf file. You
                 need to create one software package for each device platform, since the file
                 device object settings are different. Alternatively, this step can be sped up by
                 using a software package definition file as a template.
                 Copy the ready-made .spb file to the source host or, where applicable, import
                 it directly from the preparation site.
                 Create the new Profile Managers for the new software packages, one Profile
                 Manager per device platform. Following the naming convention in this case
                 study, the name of the Profile Managers will be:
                 pm.pervasive_devices.swd.[plaform_type].pricelist^yyyymmdd
                 Create the software package objects and import the software packages.
                 Following the naming convention in this case study, the name of the software
                 package objects will be:
                 sp.pervasive_devices.swd.[plaform_type].pricelist^yyyymmdd
                 Subscribe the relevant resource group to the already created Profile
                 Managers.
                 Test the distribution.
                 Check and assign the newly registered devices to the existing resource
                 groups.
                 Initiate the distributions.
                 Follow up the result by checking the Software Distribution log files, issuing the
                 wwebgw -l @<TWG_hostname> command.
                 Alternatively most of these steps can be automated by using scripts instead of
                 performing these operations manually.




154   PDA Management with IBM Tivoli Configuration Manager
A


  Appendix A.    Troubleshooting Web
                 Gateway and Device
                 Management
                 IBM Tivoli Configuration Manager 4.2 aims to make distributed systems and
                 application management relatively easy. It achieves this through a consistent
                 interface and the use of models, such as management by subscription. While the
                 systems administrator can perform many tasks with relative ease, the code Tivoli
                 provides to achieve those tasks is extraordinarily complex. With the solid
                 foundation of the Tivoli Management Framework, this complexity can remain
                 largely masked from the administrator. However, with such a sophisticated set of
                 products, there will be occasions when those designing, testing, and
                 implementing Tivoli solutions will encounter situations that are not resolved by
                 reference to product manuals alone.

                 In problem-solving situations, you need to understand what is going on between
                 the product components, what messages and trace output means, and what
                 extra actions you can take to try to resolve a problem.

                 This Appendix provides troubleshooting tips for both the Tivoli Web Gateway and
                 Device Management components.




© Copyright IBM Corp. 2003. All rights reserved.                                             155
Troubleshooting Web Gateway Installation
              In this section we cover troubleshooting the Web Gateway installation.

              Review the error message shown in the failed installation and review the log file
              cmsummary.log. The example error message (Figure 4-60) indicates that the
              installation program is failing to install the Web Gateway database.




              Figure 4-60 Failed TWG installation message

              You can check the following in this case:
                 Ensure that the dmsadmin and dmsuser user IDs were successfully created
                 on the Web Gateway database server.
                 Verify that the passwords provided to the Web Gateway database installation
                 are correct. Verify the passwords by connecting to DB2 with the user name
                 and password specified.
                 From a DB2 environment, issue:
                 db2 connect to dms using dmsadmin using password

                   Note: This command works only if the Web Gateway database was
                   created during the database installation.




156   PDA Management with IBM Tivoli Configuration Manager
Ensure that the directories specified during the Web Gateway database
               installation have sufficient disk space. These directories are database home
               and database container home.
               Ensure that the DB2 instance specified during the Web Gateway database
               installation is correct. To list the valid DB2 instances, run db2ilist from a
               DB2 command environment.
               Ensure the DB2 port is correct. Open the services file and locate the following
               line (for readability, the line below appears on two lines):
               db2cinstance port/tcp
               #Connection port for DB2 instance instance
               For UNIX, the services file is located in the /etc/services file. For Windows, it
               is located in the drive:WINNTsystem32driversetcservices file.
               You can review the log files for more information. The log files are located in
               the /tmp/dms_top/logs/pid/ directory on the Web Gateway database server.
               For Web Gateway installation problems, you can also check for the existence
               of the log files TWGinst_stdout.log and TWGinst_stderr.log on the Web
               Gateway Server. Review the log files to determine where the install is failing.
               If the files do not exist, run the TWG_inst_driver.bat file from the
               TivTwgtmp_inst directory and pipe the output to a file. Review the output file
               to determine the point of failure.


Useful log files for installation troubleshooting
            The installation process uses several log files for tracking the result of a
            successful or unsuccessful procedure. They are:
               AppServerStarted.log
               Location: TWG_HOMEtmpAppServerStarted.log
               This file displays information from the script to test if WebSphere
               Administration Server was running before installing Web Gateway. Use this
               log file to debug installation errors. If WebSphere Application Server was not
               running, the installation stops before the product files are copied. A message
               is written to this log file specifying that WebSphere Application Server is not
               running or is not in an acceptable runtime state.
               If WebSphere Application Server is running and this message appears in the
               log file, you need to view the WebSphere Application Server trace file to
               identify which exceptions occurred.
               When successful, the log file contains the following:

            Example 4-10 AppServerStarted.log
            "*** Test of Application Server Start ***"



                       Appendix A. Troubleshooting Web Gateway and Device Management         157
"~~ import the test XML file ~~"
              "Successful test: Application Server is running!

                 DMSplugin.device_class.log
                 Location: TWG_HOMEtmpDMSplugin.device_class.log
                 This file displays information about the device classes that are created and
                 configured during installation. Use this log file to debug database connection
                 errors or errors when the DMS_AppServer application server starts. The
                 device_class values are:
                  – PalmOS
                  – Wince
                  – Nokia9200Series
                 If a device class was not created properly, or if no default job types were
                 created for a device class during installation, then this log file lists the
                 problems.
                 WebConfig.log
                 Location: TWG_HOMEtmpWebConfig.log
                 This file contains information for dynamically updating the Web Gateway
                 WAR file (dmserver.war) during installation. Use this file to debug problems
                 with DMS_AppServer application server when the initialization parameters of
                 the servlets have variable values instead of fixed values. For example, there
                 is a variable value for the hostname.domain parameter. For a successful Web
                 Gateway installation on Windows, the log file contains the following:

              Example 4-11 WebConfig.log
              "*** Configuration of web.xml for TWG ***" "~~ dmserver.war jar update ~~"
              "Successful update of dmserver.war!"

                 WASNodeList.log
                 Location: TWG_HOMEtmpWASNodeList.log
                 This file displays information about running the
                 TWG_HOMEinstalletcWASNodeList.bat script file during installation. This
                 script file determines the node value for the local WebSphere Application
                 Server, and uses that value when formatting the host name value for the
                 client. This script file is needed because for Windows NT the WebSphere
                 Application Server node name is often in lowercase, even though the Java
                 InetAddress object returns the node value in all uppercase characters. In a
                 successful installation on Windows, this log file contains the following:




158   PDA Management with IBM Tivoli Configuration Manager
Example 4-12 WASNodeList.log
"*** Obtain node name list from WAS ***"
"--- Placing list in file: C:Program FilesTivTwgbinWASlist.nodename"
"*** End C:Program FilesTivTwginstalletcWASnodename.bat ***"

   WASConfig.log
   Location: TWG_HOMEtmpWASConfig.log
   This file displays information from the TWG_HOMEinstalletcWASConfig.xxx
   script. This script does the following:
   – Creates the client_host virtual host object within WebSphere Application
     Server.
   – Creates the DMS_AppServer application servers within WebSphere
     Application Server to run the Web Gateway servlets.
   – Creates the enterprise applications within WebSphere Application Server
     to install and configure the Web Gateway servlets. It imports the
     dmserver.war file into WebSphere Application Server.
   In a successful installation on Windows for Web Gateway, this log file
   contains the following:

Example 4-13 Sample WASConfig.log file
"*** Configuration of WAS for TWG ***"
"***************************************************"
"** XML imports and WebApp .bat executions follow **"
"***************************************************"
"***************************************************"

"~~ createSMdefault_host.xml import ~~"
[3/4/03 15:37:35:266 CST] 6752c301 VirtualHostCo A XMLC0053I: Importing
VirtualHost : itcmpda1_host

"~~ createDMS_AppServerTMP.xml import ~~"
[3/4/03 15:37:43:047 CST] 6752c30d NodeConfig    A XMLC0053I: Importing Node :
itcmpda1
[3/4/03 15:37:43:297 CST] 6752c30d ApplicationSe A XMLC0053I: Importing
ApplicationServer : DMS_AppServer
[3/4/03 15:37:43:328 CST] 6752c30d ApplicationSe X XMLC0009E: Failure to delete
ApplicationServer : DMS_AppServerXMLC0067I: DMS_AppServer Does not exist.
[3/4/03 15:37:43:328 CST] 6752c30d ApplicationSe A XMLC0053I: Importing
ApplicationServer : DMS_AppServer

"~~ createDMS_WebAppTMP.bat invocation ~~"
"*** Begin C:Program FilesTivTwginstalletccreateDMS_WebAppTMP.bat ***"
"*** End C:Program FilesTivTwginstalletccreateDMS_WebAppTMP.bat ***"




           Appendix A. Troubleshooting Web Gateway and Device Management      159
"~~ starting DMS_AppServer ~~"




Cleaning up a failed Web Gateway installation
              If you do need to reinstall the Web Gateway, there are several cleanup steps to
              be done. First, un-install the application from Windows by selecting Start ->
              Settings -> Control Panel -> Add/Remove Programs -> Web Gateway 4.2
              and click the Remove button.

              Now stop and remove WebSphere Application Server modules and Enterprise
              Applications. Click Start -> Programs -> IBM WebSphere -> Application
              Server 4.0 AE -> Administrator's Console.

              In the window that appears, expand the Nodes and Enterprise Application
              branches to expose the WebUI_AppServer and WebConsole Enterprise
              Application.

                Tip: If you cannot remove one component, try to move them to another,
                unused application server, or delete the files from
                drive:WebWphereAppserverinstalledApps.

              The endpoint catalog will still reflect the software packages that comprise the
              Web Gateway as being in an installed and committed (IC) state. The easiest way
              to clean this up is to rename the endpoint catalog (epsp.cat) file. On our example
              system, the location of the file to rename is:
              C:swdisworkepsp.cat


              Un-installing Java Runtime Environment
              If you want to un-install Access Manager Java Runtime Environment from your
              Web Gateway server, first you have to un-configure it. To un-configure the
              Access Manager Java Runtime Environment, use the pdjrtecfg command. For
              example, enter the following to un-configure the JRE specified by the jre_path
              variable (default =C:WebSphereAppServerjavajre):
              pdjrtecfg -action unconfig -java_home jre_path




160   PDA Management with IBM Tivoli Configuration Manager
Common Web Gateway and Device Management
problems
          Here are some typical problems when using the Web Gateway and Device
          Management components.


Problems with starting the Web Gateway
          The following are possible problems and solutions with starting the Web
          Gateway:
             Problem:The following message appears in the DMS_stdout.log file when
             Web Gateway is starting in WebSphere Application Server:
             java.lang.ClassCastException
             Solution: The wrong JDBC driver is being used. Web Gateway requires the
             JDBC 2.0 driver. You must configure DB2 to use the JDBC 2.0 driver and
             reinstall Web Gateway with the JDBC driver home installation parameter set
             to the JDBC 2.0 driver.
             Problem: The following message appears in the DMS_stdout.log file when
             Web Gateway is starting in the WebSphere Application Server:
             DYM2794E: Failed to create the database connection pool.
             COM.ibm.db2.jdbc.DB2Exception: [IBM][JDBC Driver] CLI0616E Error opening
             socket. SQLSTATE=08S01
             Solution: Ensure that DB2 is started and that the DB2 client is configured
             correctly.
             Problem: When starting Web Gateway in the WebSphere Application Server,
             the following message appears in the DMS_stdout.log file:
             DYM2718E: An error occurred while trying to initialize the Policy Director
             environment.
             Solution: This message occurs when the IBM Tivoli Access Manager Java
             Runtime Environment is not installed and configured correctly on the Web
             Gateway server. Verify that the IBM Tivoli Access Manager Java Runtime
             Environment is installed on the Web Gateway server.
             Problem: When starting Web Gateway on the WebSphere Application Server,
             the following message appears in the DMS_stdout.log file:
             DYM2719E: An error occurred while trying to create a Policy Director
             context.
             Solution: The Web Gateway server is not configured correctly. Open the
             twgConfig.properties file to verify that the PD_ADMIN_USERID and
             PD_ADMIN_PW values are correct. To verify these values, log on to the


                     Appendix A. Troubleshooting Web Gateway and Device Management        161
pdadmin command-line utility on the IBM Tivoli Access Manager Server. Then
                 type the following:
                 pdadmin –a sec_master –p password
                 This message also occurs when the IBM Tivoli Access Manager Java
                 Runtime Environment is not installed and configured correctly on the Web
                 Gateway Server.
                 Problem: When starting Web Gateway on the WebSphere Application Server,
                 the following message appears in the DMS_stdout.log file.
                 com.tivoli.pd.jutil.PDExceptionjava.io.FileNotFoundException:
                 pd_config_file (No such file or directory)
                 Solution: The Web Gateway server is not configured correctly. Open the
                 twgConfig.properties file to verify that the PD_CONFIG_FILE value exists on
                 the Web Gateway Server.
                 Problem: Unable to log in to Web Gateway Server.
                 Solution: Do the following:
                  – Use the IP address instead of the host name for the Web Gateway Server
                    to check if it is a DNS issue.
                  – For a Palm OS device, check the settings in the config.ini used to create
                    the Config.PDB file. You can regenerate a corrected Config.PDB and
                    install it on the Palm device or, alternatively, modify the settings on the
                    device.
                  – If you are using a IBM Access Manager WebSEAL Server, make sure to
                    include the WebSEAL_hostname and junction_name in the URL for the
                    server.
                 HTTP 400 error when connecting. Check name resolution. Make sure the
                 host PC can contact the Web Gateway server.
                  – Conduit returns an error/HTTP error code 500. Make sure the service IBM
                    WebSphere Admin Server 4.0 is started.
                  – Could not connect to the server. Check the proxy setting and port number.
                    The port number should be 80.
                  – HTTP error 404. Check the servlet name.
                  – Palm OS device using network/modem connection when device is
                    attached to host PC with a cradle. Use AttachmentOption=2 to specify that
                    the Palm device should always use the cradle connection. A new
                    Config.PDB file will need to be generated and copied to the Palm device.




162   PDA Management with IBM Tivoli Configuration Manager
Problems with using the Web Gateway
          The following are problems you may encounter with using the Web Gateway, and
          their solutions.
             Problem: The Web Gateway Server started without errors, then the following
             message appeared in the DMS_stdout.log file:
             SQL0973N Not enough storage is available in the "APP_CTL_HEAP" heap to
             process the statement.
             Solution: To address this problem, refer to Part 4, the Managing Resources
             section, “Troubleshooting,” in the IBM Tivoli Configuration Manager User’s
             Guide for Deployment Services, SC23-4710.
             Problem: The Web Gateway Server started without errors, then DB2 creates
             messages saying the ISPB_DATA or ISPB_INDEX tablespaces are full.
             Solution: To address this problem, refer to IBM Tivoli Configuration Manager
             Planning and Installation Version 4.2, GC23-4702.
             You also need to reorganize the database tables; refer to the IBM Tivoli
             Configuration Manager Release Notes (which comes with the product) for
             information.
             Problem: On AIX, the Web Gateway Server started without errors. Then, the
             following message appears in the DMS_stdout.log file:
             Could not fork process
             Solution: Increase the maximum number of file descriptors in AIX. Setting this
             value to 5000 should be sufficient.
             Run ulimit -a to determine how many file descriptors are currently in use.
             Use the following command to set the value to 5000 in the terminal in which
             WebSphere Application Server is started.
             ulimit -n 5000
             Problem: The Web Gateway Server started without errors, then the following
             message appears in the DMS_stdout.log file:
             java.lang.OutOfMemory
             Solution: This message indicates that the maximum heap size for the
             DMS_AppServer Application Server process has been reached.
             The default heap size is 256 MB. Use the WebSphere Application Server
             Administrative Console to increase the maximum value of the heap to a
             number larger than the default, such as 512 MB.




                    Appendix A. Troubleshooting Web Gateway and Device Management      163
Problems with registering device classes and job classes
              Problem: When installing Web Gateway on AIX, the device classes and job
              types are not registered.

              Solution: This is a known problem. It occurs with versions of WebSphere
              Application Server earlier than Version 4.0.3. Web Gateway requires Version
              4.0.3. Verify that the WebSphere Application Server is at the required level and
              reinstall Web Gateway.


Problems with enrolling a device
              Problem: When trying to automatically enroll a device in Web Gateway, the
              following message appears in the DMS_stdout.log file:
              DYM2043E: A device entry was not inserted into the database because the server
              setting indicates AUTO_ENROLL is set to false.

              Solution: You must register Web Gateway with the Tivoli Server and enable
              auto-enrollment for that Web Gateway. To fix the problem, do the following:
              1. Set up the Tivoli command prompt environment on the Tivoli Server.
              2. Run this command on the Tivoli Server:
                 wresgw add endpoint -C TWG
              3. Run this command on the Tivoli Server:
                 wresgw autoenroll enable endpoint


Problems with connecting the agent to the Web Gateway
              The following reviews some problems and solutions with connecting the agent to
              the Web Gateway.
                 Problem: The Nokia 9200 Communicator Series agent cannot connect to the
                 Web Gateway Server.
                 Solution: To try enrolling or processing a job, disconnect and reconnect the
                 Nokia 9200 Communicator Series device to the host PC. If there is a
                 RS_NO_JOBS_TO_RUN or RS_JOB_COMPLETED message near the end (last 10 or so
                 lines) of the JavaAgentLog.txt file, the Device Agent has successfully
                 connected.
                 If the connection failed, the log file contains a Connection failed or Unable
                 to connect string near the end of the file. The trace contains the Web
                 addresses that the Device Agent tried to connect to for the plug-in and the
                 enrollment servlet. If the Web addresses are incorrect, the connection fails.
                 Verify that the Web addresses are correct.



164   PDA Management with IBM Tivoli Configuration Manager
Note: Whether logging is enabled or disabled, if there is a TNIERROR.txt
 file in the installation directory, there have been some serious startup
 problems. If the TNIERROR.txt file is present, it contains information about
 the problem

Problem: The Device Agent cannot connect to the Web Gateway Server.
Solution: The Device Agent must be able to resolve and reach the following
server addresses:
– Initial connection Web address or server URL
– Server redirect host name
– Enrollment server Web address
If any of these Web addresses are set up with host names instead of the IP
address and you do not have DNS set up on the device (or if there is some
other TCP/IP connection issue with reaching the Web address from the
device), the agent is unable to connect to the management server.
For PalmOS and Windows CE agents, if the host name or address cannot be
resolved or reached, the host name or address is displayed.
To change the initial connection Web address or Server URL, do the
following:
– For Palm OS and Windows CE devices, this address is configured with the
  Device Agent configuration user interface.
– The Nokia 9200 Communicator Series agent stores this address in the
  NokiaInterfaceSettings.cfg file, which is located in the default installation
  directory on the host PC.
Problem: A return code occurs when attempting to connect a device to the
Web Gateway.
Solution: There are several return codes displayed on the device screen or
written to log files when a connection between the device and Web Gateway
is not working properly.
Generally, the Palm OS agent displays the HTTP return codes on the device
screen. The Windows CE and Nokia 9200 Communicator Series agents only
indicate a connection failure message.
For any type of agent-to-server communication, the access log file on the
HTTP server, which is being connected to, also tracks these return codes in
the second-to-last field in each log file entry. The last field in each log file entry
is the number of bytes being sent in the body of the response.




        Appendix A. Troubleshooting Web Gateway and Device Management             165
The following are some common HTTP return codes used during Web
                 Gateway Device Agent-to-server communications:
                  – 200
                     In general, a 200 return code indicates successful connection to the
                     particular URL. However, this return code is also used when the HTTP
                     server has returned an HTML content page with error messages in the
                     body of the response. The Device Agents do not show HTML content
                     pages.
                  – 401: Access to URL is not authorized
                     If IBM Tivoli Access Manager or some other HTTP authentication front end
                     is used, this return code occurs if the user ID or password configured in
                     the Device Agent is incorrect.
                  – 403: Access to URL is forbidden
                     This return code occurs if there is a problem with the security configuration
                     of the HTTP server or client.
                  – 404: URL not found
                  – This return code occurs if the path portion of the servlet name that was
                    configured on the client or in the enrollment server Web address is
                    incorrect.
                     This return code also identifies when the Web Gateway Application Server
                     is not running within WebSphere. Use the WebSphere Administration
                     Console to verify the status of the DMS_AppServer Application Server.
                  – 405: Method not allowed
                     This return code occurs if the client connection URL path or enrollment
                     server Web address is configured to an incorrect Web Gateway servlet
                     path, for example if the client was configured to connect to an HTML Web
                     page.
                  – 500: Internal server error
                     This return code indicates that the WebSphere Application Server is not
                     running. This return code also occurs if there is an error within the
                     processing servlets. Use the DMS_stdout.log and DMS_stderr.log files to
                     obtain more details.
                     For additional details, enable tracing for the plug-in and dmserver
                     components.
                  – 502
                     If this return code occurs when connecting to the
                     DeviceEnrollmentServlet, it usually indicates incorrect or missing




166   PDA Management with IBM Tivoli Configuration Manager
parameters. To obtain more details, use the DMS_stdout.log and
                DMS_stderr.log files.
             – 925
                Refer to “Receiving return codes from the C language APIs” on page 169.


Problems with publishing and downloading a package
          See below for problems and solutions:
             Problem: When publishing a package using the wweb command, the following
             message appears in the DMS_stdout.log file:
             DYM2725E: Received a Policy Director error while assigning users to a
             package: package
             Solution: The Web Gateway server is not configured correctly. Open the
             twgConfig.properties file to verify that the WEBSEAL_MOUNT_POINT value
             is correct.
             To verify this value, start the pdadmin utility and type the following command:
             object list /WebSEAL
             Using the host name of the WebSEAL server returned in the previous
             command, type the following command to find the junction point:
             object list /WebSEAL/hostname
             Use the exact output, both format and case, to specify the appropriate
             junction point. The format of this command is the following:
             /WebSEAL/hostname/junction_point
             Problem: When using the Web Interface, packages can be downloaded by
             one user for another user, which shows a lack of security.
             Solution: The Web Gateway Server is not configured correctly. Open the
             twgConfig.properties file to verify that the WEBSEAL_ENABLED parameter is
             set to true.
             Problem: When using the Web Interface, I cannot download a package
             published to a user using the wweb command.
             Solution: The Web Gateway Server is not configured correctly. Open the
             twgConfig.properties file to verify that the WEBSEAL_PROTOCOL,
             WEBSEAL_HOST_NAME, and WEBSEAL_PORT parameters have the
             correct values.




                     Appendix A. Troubleshooting Web Gateway and Device Management      167
Problems with running jobs for devices
                 Problem: A job runs on a device successfully, but the results do not appear on
                 the Tivoli Server.
                 Solution: Verify that the endpoint on the Web Gateway is successfully
                 communicating with the Tivoli Server. To verify this, type the following on the
                 Tivoli Server:
                 wep endpoint status
                 Problem: A job is submitted to a device. When the device connects to the
                 Web Gateway, the following message is displayed:
                 No job is submitted for your device
                 Solution: Verify that the target devices for the distribution included that device.
                 To list the devices for the distribution, type the following from the Tivoli Server:
                 wwebgw -d dist_id @Endpoint:web_gw_target
                 If the device is not listed, resubmit the job to your device and then rerun the
                 wwebgw command.
                 If the device is listed, verify that the job types are properly registered. Type the
                 following command to list the registered device classes and their job types:
                 TWG_HOME/bin/deviceclass.sh –list
                 Problem: When trying to run a job on devices in a clustered Web Gateway
                 environment, the job fails because the software package or inventory profile
                 cannot be accessed.
                 Solution: Verify that the IBM HTTP Server on the primary server in the cluster
                 is running. Software packages and inventory profiles reside on the primary
                 server.
                 Problem: The distribution was successful (profiles successfully distributed)
                 but no inventory scan or software distribution operation was performed on the
                 device.
                 Solution:
                 a. Check the DB2 database of the Web Gateway to confirm that jobs have
                    been created on it. Open a DB2 command line and run:
                     db2 connect to dms user dmsadmin using dmsadmin password
                     db2 select * from submitted_job
                     If there are jobs in the database, you should get an output similar to what
                     is shown in Figure A-1 on page 169.




168   PDA Management with IBM Tivoli Configuration Manager
Figure A-1 Inventory scan job in Web Gateway database

              b. Check to make sure that the device is a member of the resource group
                 that you have distributed the profile to. The dynamic resource group will
                 only define its members at runtime.
              c. Check to make sure that the conduit is installed on the host PC.
              d. Do not use resource groups with names that begin with
                 _INTERNAL_RESGRP. These groups are automatically created by
                 Resource Manager during its operation and are automatically deleted
                 when it is no longer required.
              Question: The Web Gateway server was configured incorrectly. Before I fixed
              the configuration in the twgConfig.properties file, I submitted jobs to devices.
              Will those jobs still run on the devices?
              Answer: No. You must resubmit the jobs to the devices.

Receiving return codes from the C language APIs
              Problem: A return code of 925 occurs when attempting to create or delete a
              device, publish or unpublish a package, or submit a job. What does this mean
              and how can it be debugged?
              Solution: A 925 return code means there is a problem contacting the Web
              Gateway. Verify that the Web Gateway is started in the WebSphere
              Application Server.
              Problem: A return code occurs when attempting to create or delete a device,
              or publish or unpublish a package, or submit a job. The return code value was
              not 925.
              Solution: Verify that the Web Gateway is started in the WebSphere
              Application Server. You need to enable the twgapi component trace to obtain
              debugging information.




                      Appendix A. Troubleshooting Web Gateway and Device Management       169
Using a non-standard port number
              Question: If the Web Gateway server is running on a non-standard HTTP port,
              are there any post-installation steps that need to be followed?

              Answer: Yes. Refer to IBM Tivoli Configuration Manager Planning and
              Installation Version 4.2, GC23-4702.


Inventory problems
              Problem:The inventory scan completed successfully on the devices but there is
              no data in the database.

              Solution: The scanned data is stored on the Web Gatewaym and the Web
              Gateway component makes an upcall to the gateway to request data collection.
              The data is collected in the same way as for inventory scans of PCs and UNIX
              boxes. Check the mcollect.log on the gateway. Refer to the redbook All About
              IBM Tivoli Configuration Manager Version 4.2, SG24-6612, for more details on
              troubleshooting the inventory data collection. Enable tracing of the
              traceEnabled.resultscollector component as detailed above and review the
              output log file.


Software Distribution problems
              Problem: Software profiles distribution is failing for both endpoint and pervasive
              device resource groups.

              Solution: When there are problems distributing to devices because there are
              several components involved, the first step is to understand where the
              distribution has failed. When a package is distributed, it arrives at the endpoint
              where the Web Gateway is installed, and there it is converted in the TWG jobs. If
              jobs are not created, the problem was in the Software Distribution code (for
              example, the path specified as the destination is too long and the file was not
              created at the endpoint). If jobs are generated but there were errors executing
              them, the problem can be at the TWG or device level.

              For the reporting flow, reports are generated by TWG code and sent to the SWD
              notification manager. If a report related to the distribution was not received, the
              problem can be due to the TWG code (Result Collector). Possible problems are:
                 The report was not built
                 The report was built but not yet sent.
                 The Notification Manager says the report was received, but the report has not
                 yet been processed by the Mcollet service

              Problem determination is different for all steps.


170   PDA Management with IBM Tivoli Configuration Manager
A good starting point is to check the swd_profile_name. log for the details of the
          failure. Refer to the redbook All About IBM Tivoli Configuration Manager Version
          4.2, SG24-6612, for more detail on tracing failed distributions.


Resource Manager problems
          A general failure when trying to register the resource type could be due to a
          communication failure with the Web Gateway or the Web Gateway is not
          functioning. These errors should show up in the TRMRDBMS.log and
          TRMResourceManager.log in the $DBDIR directory. There are also other
          TRM*.log for the various components of Resource Manager on the TMR Server
          under the $DBDIR directory. Review the appropriate log relating to the problem
          you are encountering to further determine the cause of the problem. The logs for
          the various components of Resource Manager are:
             TRMDGMAppMgr.log
             TRMDGMAppMgrUI.log
             TRMDGMDowncalls.log
             TRMDGMRegistry.log
             TRMGroup.log
             TRMGroupUI.log
             TRMRDBMS.log
             TRMResourceManager.log
             TRMResourceManagerUI.log
             TRMUserDB.log
             TRMUserUI.log

          Log information can be changed by setting the variable in the Tivoli environment
          (odadmin environ get/set):
          TRM_DEBUG_LEVEL = (LEVEL_DBG_MIN/LEVEL_DBG_MID/LEVEL_DBG_MAX)
          TRM_MAX_LOG_SIZE = log files max size

          TRM_LOG_PATH = path to store log   files



Tracing the Web Gateway
          On the Web Gateway, locate the file traceConfig.properties file in the directory
          app_server_dir/installedApps/dmsserver_hostname_DMS_WebApp.ear/dmserv
          er.war/WEB-INF/classes.

          To turn on tracing, change EnableTrace=false to EnableTrace=true.

          The other components that need to be turned on (changed to true) are
          traceEnable.dmserver and traceEnabled.twgapi.



                     Appendix A. Troubleshooting Web Gateway and Device Management      171
Depending on the situation, your support representative may request turning on
              tracing for the other components.

              If the servlets are not running, start them to put the new trace settings into effect.
              If the servlets are running, do one of the following to put the new trace setting into
              effect without restarting the servlets:
                 On any Tivoli Web Gateway (TWG) machine, perform the following:
                 server -app dmserver -trace set -host dmserver_hostname
                 On any TWG UNIX machine, perform the following command:
                 ./server.sh -app dmserver -trace set -host dmserver_hostname
                 From any machine with a browser, go to the following URL:
                 http://dmserver_hostname/dmserver/TraceServlet?trace=set

              The output files of the tracing are DMS_stdout.log, DMS_stderr.log, and
              DMSMsg1.log, which are located in the app_server_dir/log directory. The default
              for the Windows installation is C:WebSphereAppServerlog.

              You should also provide the ApiServlet.log in the /tmp directory to your support
              representative.




172   PDA Management with IBM Tivoli Configuration Manager
Abbreviations and acronyms
AAT                  WebSphere Application           JRE      Java Runtime Environment
                     Assembly Tool                   LDAP     Lightweight Directory Access
ADK                  Application Development Kit              Protocol
API                  Application Programming         MD5      Message Digest 5
                     Interface                       OLAP     Online Analytical Processing
APM                  Activity Plan Monitor           PDA      Personal Digital Assistant
BA                   Basic Authentication            PDF      Portable Document Format
CAB                  Cabinet files                   RAM      Random Access Memory
CGI                  Common Gateway Interface        RDBMS    Relational Database
CPU                  Central Processing Unit                  Management System
DB                   Database                        RIM      RDBMS Interface Module
DIT                  Directory Information Tree      SID      Session Identifier
DM                   Distributed Monitoring          SIS      Software Installation Services
DNS                  Domain Name System              SP       Software Package
GB                   Gigabyte                        SPARC    Scalable Processor
GSK                  Global Security Toolkit                  Architecture

GSO                  Global Sign On                  SPB      Software Package Block

GUI                  Graphical User Interface        SQL      Structured Query Language

HTML                 Hypertext Markup Language       SSL      Secure Socket Layer

HTTP                 Hypertext Transfer Protocol     SSO      Single Sign On

HTTPS                HTTP running under SSL          SWD      Software Distribution

IBM                  International Business          TCP      Transmission Control
                     Machines Corporation                     Protocol

IC                   Installed and Committed state   TCP/IP   Transmission Control
                                                              Protocol/Internet Protocol
IIS                  Internet Information Server
                                                     TEC      Tivoli Enterprise™ Console
IP                   Internet Protocol
                                                     TMR      Tivoli Management Region
ITCM                 IBM Tivoli Configuration
                     Manager                         TRM      Tivoli Resource Manager

ITM                  IBM Tivoli Monitoring           TWG      Tivoli Web Gateway

ITSO                 International Technical         UDB      Universal Database
                     Support Organization            URL      Universal Resource Locator
JAR                  Java archive file               XML      eXtensible Markup Language
JDBC                 Java Database Connectivity




© Copyright IBM Corp. 2003. All rights reserved.                                        173
174   PDA Management with IBM Tivoli Configuration Manager
Related publications

                 The publications listed in this section are considered particularly suitable for a
                 more detailed discussion of the topics covered in this redbook.



IBM Redbooks
                 For information on ordering these publications, see “How to get IBM Redbooks”
                 on page 177. Note that some of the documents referenced here may be available
                 in softcopy only.
                     Tivoli Enterprise Internals and Problem Determination, SG24-2034
                     Tivoli Inventory Version 4.0 Migration Guide from Version 3.6.2, SG24-7020
                     Tivoli Software Distribution 4.1: NetView DM Migration, SG24-6040
                     Tivoli Software Distribution 4.1: New Features and Scenarios, SG24-6045
                     All About IBM Tivoli Configuration Manager Version 4.2, SG24-6612
                     Enterprise Security Architecture using IBM Tivoli Security Solutions,
                     SG24-6014
                     Enterprise Business Portals with IBM Tivoli Access Manager, SG24-6556
                     Enterprise Business Portals II with IBM Tivoli Access Manager, SG24-6885



Other publications
                 These publications are also relevant as further information sources:
                     IBM Tivoli Access Manager for e-business Authorization Java Classes
                     Developer’s Reference, GC23-4688
                     IBM Tivoli Access Manager WebSEAL Administrator’s Guide Version 4.1,
                     SC32-1134
                     IBM Tivoli Access Manager WebSEAL Installation Guide Version 4.1,
                     SC32-1133
                     IBM Tivoli Configuration Manager Introduction Version 4.2, GC23-4703
                     IBM Tivoli Configuration Manager Planning and Installation Version 4.2,
                     GC23-4702
                     IBM Tivoli Configuration Manager Version 4.2 Release Notes, GI11-0934



© Copyright IBM Corp. 2003. All rights reserved.                                                  175
IBM Tivoli Configuration Manager Reference Manual for Software Distribution
                 Version 4, SC23-4712
                 IBM Tivoli Configuration Manager User’s Guide for Deployment Services,
                 SC23-4710
                 IBM Tivoli Configuration Manager User’s Guide for Inventory Version 4.2,
                 SC23-4713
                 IBM Tivoli Configuration Manager User’s Guide for Software Distribution,
                 SC23-4711
                 Tivoli Configuration Manager Messages and Codes Version 4.2, SC23-4706
                 Tivoli Management Framework User ’s Guide Version 4.1, GC32-0805-003
                 Tivoli Management Framework Enterprise Installation Guide Version 4.1,
                 GC32-0804
                 Tivoli Management Framework Reference Manual Version 4.1, SC32-0806
                 Tivoli Management Framework Release Notes Version 4.1, GI11-0890
                 (comes with the product)



Online resources
              These Web sites and URLs are also relevant as further information sources:
                 Microsoft Web site
                 http://www.microsoft.com
                 Nokia support Web site
                 http://www.nokia.com/phones/productsupport
                 Nokia Web site
                 http://www.nokia.com
                 OrbData Web site
                 http://www.orb-data.com
                 Sun’s Java Web site
                 http://java.sun.com/j2se/
                 Palm Inc. Web site
                 http://www.palm.com/us/
                 mBrain Software Web site
                 http://www.mbrainsoftware.com




176   PDA Management with IBM Tivoli Configuration Manager
How to get IBM Redbooks
        You can search for, view, or download Redbooks, Redpapers, Hints and Tips,
        draft publications and Additional materials, as well as order hardcopy Redbooks
        or CD-ROMs, at this Web site:
           ibm.com/redbooks




                                                              Related publications   177
178   PDA Management with IBM Tivoli Configuration Manager
Index
                                                   Config.PDB 102, 118
Symbols                                            Configuration Change Manager 8
_INTERNAL_RESGRP 169
                                                   configuration file 118
                                                   cradle 118
A                                                  creating RIM object 31
Access Manager java runtime 82
actions 8
Active Sync 137
                                                   D
                                                   DB sql scripts 37, 57
Activity Planner 8
                                                   DB2 18
Activity Planner Manager 8, 10
                                                   DB2 admin 20
ADK 76
                                                   DB2 fenced 19
admin server user 20
                                                   DB2 instance 19
Administrator Suite 103
                                                   DB2 setup 18
agent install program 103
                                                   DB2 tablespaces 163
AIX filesets 17
                                                   DB2 Warehouse 20
APIs 169
                                                   DB2SYSTEM 21
ApiServlet.log 172
                                                   DEV_CMSTATUS_QUERY 117, 136
APM
                                                   Development Kit 76
    See Activity Planner Manager
                                                   device agent install
Application Development Kit 76
                                                       Nokia 103
AppServerStarted 157
                                                       Palm 118
Authentication
                                                       PocketPC 138
    base 87
                                                   Device Directory 5
    forms 87
                                                   device groups 4, 8
Authorization Server 75
                                                   device management troubleshooting 155
                                                   device_class 158
B                                                  deviceclass script 95
ba-auth 87                                         direct network connection 118
Basic Authentication 87                            Directory Client 69
browser 172                                        directory information tree 69
                                                   Directory services 67
                                                   discover 107, 122, 141
C                                                  DIT 69
C APIs 169
                                                   DMS_stdout 161
CCM
                                                   dmsadmin 156
   See Configuration Change Manager
                                                   dmsadmin User ID 27, 48
ceagent.arm.CAB 102
                                                   DMSAgentResources.PDB 102
CGI program 89
                                                   DMSplugin.device_class 158
Change Manager 8
                                                   dmsuser 156
cmstatus 136
                                                   dmsuser User ID 27, 48
CondInst.exe 102
                                                   DNS 162
condinst.exe 119
                                                   docroot parameter 90
conduit 118, 162
                                                   dynamic resource groups 4
config.ini 118



© Copyright IBM Corp. 2003. All rights reserved.                                           179
E                                                  instance 19
enable security 91                                 INSTHOME 21
endpoint catalog file 160                          integrated installation 26
Enterprise Directory server 5                      Internet Information Services 43
EUPCInstaller.exe 102–103                          inventory query 117
ezinstall_ldap_server.bat 68                       Inventory scan
ezinstall_pdacld.bat 75                                Palm 131
ezinstall_pdauthadk.bat 76                             PocketPC 149
ezinstall_pdmgr.bat 72                             invtiv User ID 26, 48
                                                   ITCM install 26
                                                   ITCM user IDs
F                                                      dmsadmin 27, 48
fenced user 19
                                                       dmsuser 27, 48
Forms Authentication 87
                                                       invtiv 26, 48
forms-auth 87
                                                       mdstatus 26, 48
                                                       planner 26, 48
G                                                      tivoli 27, 48
Global Security Toolkit 67, 69                     ivacld process 84
Global Sign-On 69                                  ivmgrd process 84
GSK 67, 69
GSO 69
                                                   J
                                                   Java InetAddress 158
H                                                  Java Runtime install 82–83
host PC 103                                        java_home variable 84
HotSync Manager 118                                JDBC 2.0 driver 161
HotSync operation 135                              JDBC code level 21
htdocs 90                                          JRE uninstall 160
HTTP docroot 90                                    jre_path 160
HTTPS access 81                                    junction 12, 86


I                                                  K
IBM Agent 121, 137                                 keystore file 85
IBM DB2 8                                          keystores 84
IBM DB2 admin 20
IBM DB2 fenced 19
IBM DB2 instance 19
                                                   L
                                                   lcfd.log 134, 151
IBM DB2 tablespaces 163
                                                   LDAP 5, 69
IBM DB2 warehouse 20
                                                       server 5
IBM Directory Client 67, 69
                                                   LDAP client 69
IBM Directory Server 67
                                                   ldap_server 68
IBM Global Security Toolkit 67, 69
                                                   Lightweight Directory Access Protocol 5
IBM WebSphere Application Server 8
                                                   Linux 14
IBMJCEfw.jar 82
IC state 160
IIS services 43                                    M
InetAddress 158                                    managed node 7
installation matrix 15                             management actions 8
InstallShield 78                                   mBrain Software 108



180     PDA Management with IBM Tivoli Configuration Manager
MCollect 11                       proxy agent 103
mcollect.log 135, 152             proxy setting 162
MDist2 115, 129, 147              pSeries 14
mdstatus User ID 26, 48           PvcPalm.prc 102
Microsoft Active Sync 137
MIPS processor 138
                                  Q
                                  query 117
N                                 query libraries 136, 153
name resolution 162               query_contents 89
Nokia 9200 Series 3
Nokia 9290 100
Nokia device agent 103
                                  R
                                  Redbooks Web site 177
Nokia programming interface 103
                                     Contact us xi
                                  Resource Gateway 7
O                                 Resource Groups 4
odadmin 171                       Resource Manager 5
                                  resources-type 5
                                  Results Collector 10
P                                 RIM 31
Palm 3
                                  RIM host 6
Palm Desktop install tool 121
Palm device 10
Palm device agent 118             S
Palm V 100                        sec_master 162
PalmOS 158                        Security Toolkit 67, 69
PC Suite 103                      servlet 24
PD_ADMIN_PW 161                   SH-3 processor 138
pdacld 75                         SH-4 processor 138
pdadmin 162                       Single Sign-On 12
pdauthadk 76                      Single-box approach 11
pdbgene.jar 118                   small and medium business 11
PdfPlus software 117              SMB
pdjrte 82                             See small and medium business
pdjrtecfg command 84, 160         snoop servlet 24
pdmgr 72                          Software Distribution Agent 10
PDWeb 78                          Software Distribution engine 10
PDWebADK 78                       Software Package 111
Pervasive device management       SPARC systems 14
    architecture 4                SQL 6
    Resource Manager 4            sql scripts 37, 57
pervasive devices 3               SSL junction 86
PERVASIVE_QUERY 135               SSO
pfd_plus.spb 110                      See Single Sign-On
planner User ID 26, 48            static resource groups 4
PocketPC 3                        StrongARM processor 138
PocketPC device agent 138         sub-agent 10
Policy Server 72                  Subscribers 8
Portal Manager 89                 Sun SPARC 14



                                                                      Index   181
T                                                  Web Portal Manager 89
tablespaces 163                                    web.xml 94–95
TDM 10                                             WebConfig 158
Tivoli commands                                    WebConsole Enterprise 160
    discover 107, 122, 141                         WebSEAL 12, 15
    odadmin 171                                       ADK 78
    wep command 168                                   basic authentication 87
    wresgrp 107                                       configuration 80
    wresgw 107, 122, 141, 164                         forms authentication 87
    wresource 107                                     installation 78
    wweb 167                                          junction 86
    wwebgw 116                                     WebSphere snoop 24
Tivoli Framework 9                                 WebUI_AppServer 160
Tivoli Resource Manager 4, 8                       wep command 168
Tivoli Resource Manager Gateway 7                  WinCE 3
tivoli User ID 27, 48                              WinCE device agent 138
Tivoli Web Gateway 5, 8                            WINCE_FILE_QUERY 152
Tivoli Web Gateway installation 33, 53             WinceServlet 140
Toshiba e335 100                                   Windows CE Service 137
TRM                                                wresgrp 107
    See Tivoli Resource Manager                    wresgw 107, 122, 141, 164
Troubleshooting                                    wresource 107
    Resource Manager problems 171                  wweb 167
    Web Gateway installation 156                   wwebgw 116
TWG 5
twgapi component 169
typical problems 161
                                                   X
                                                   X11.adt.lib 17

U
ulimit 163
update JDBC level for DB2 21
user rights 45
Users groups 4
use-same-session 87


V
vendor specification 30, 50
viewer for Nokia 108
viewer for Palm 123
viewer for PocketPC 142


W
WASConfig 159
WASNodeList 158
Web Gateway 6
Web Gateway installation troubleshooting 156
Web Gateway troubleshooting 155



182     PDA Management with IBM Tivoli Configuration Manager
PDA Management with IBM Tivoli Configuration Manager
                                                          (0.2”spine)
                                                        0.17”<->0.473”
                                                       90<->249 pages
Back cover                                            ®




PDA Management with IBM
Tivoli Configuration Manager
A primer for          IBM Tivoli Configuration Manager 4.2 was launched in
deployments of any    October 2002. Along with many new functional and
                                                                                          INTERNATIONAL
size and proofs of    performance features, it includes an enhanced Web-based             TECHNICAL
concept               device management capability, called Tivoli Web Gateway,            SUPPORT
                      running on top of IBM WebSphere Application Server.                 ORGANIZATION
Step-by-step
                      This IBM Redbook describes in detail the steps required to
installation and
                      install and configure the Tivoli Web Gateway and all the
how-to instructions   prerequisite products, to allow a successful implementation         BUILDING TECHNICAL
                      of a pervasive device management environment.                       INFORMATION BASED ON
Scenario-based PDA                                                                        PRACTICAL EXPERIENCE
management            While the information provided by this redbook can be used on
                      deployments of any size, it will be particularly useful to enable   IBM Redbooks are developed by
                      the management of pervasive devices by small and medium             the IBM International Technical
                      businesses (SMBs). It will also help Business Partners and          Support Organization. Experts
                                                                                          from IBM, Customers and
                      IBM services when setting up demonstrations and proofs of
                                                                                          Partners from around the world
                      concept.                                                            create timely technical
                                                                                          information based on realistic
                                                                                          scenarios. Specific
                                                                                          recommendations are provided
                                                                                          to help you implement IT
                                                                                          solutions more effectively in
                                                                                          your environment.



                                                                                          For more information:
                                                                                          ibm.com/redbooks

                        SG24-6951-00                     ISBN 0738453390

Pda management with ibm tivoli configuration manager sg246951

  • 1.
    Front cover PDA Managementwith IBM Tivoli Configuration Manager A primer for deployments of any size and proofs of concept Step-by-step installation and how-to instructions Scenario-based PDA management Edson Manoel Zoltan Veress Szabolcs Barabas ibm.com/redbooks
  • 3.
    International Technical SupportOrganization PDA Management with IBM Tivoli Configuration Manager May 2003 SG24-6951-00
  • 4.
    Note: Before usingthis information and the product it supports, read the information in “Notices” on page vii. First Edition (May 2003) This edition applies to IBM Tivoli Configuration Manager Version 4, Release 2, and IBM Tivoli Access Manager for e-business Version 3, Release 9. © Copyright International Business Machines Corporation 2003. All rights reserved. Note to U.S. Government Users Restricted Rights -- Use, duplication or disclosure restricted by GSA ADP Schedule Contract with IBM Corp.
  • 5.
    Contents Notices . . . . . . . . . . . . . . . . . . . . . . . . . . . . . . . . . . . . . . . . . . . . . . . . . . . . . . vii Trademarks . . . . . . . . . . . . . . . . . . . . . . . . . . . . . . . . . . . . . . . . . . . . . . . . . . . viii Preface . . . . . . . . . . . . . . . . . . . . . . . . . . . . . . . . . . . . . . . . . . . . . . . . . . . . . . . ix The team that wrote this redbook . . . . . . . . . . . . . . . . . . . . . . . . . . . . . . . . . . . . ix Become a published author . . . . . . . . . . . . . . . . . . . . . . . . . . . . . . . . . . . . . . . . x Comments welcome . . . . . . . . . . . . . . . . . . . . . . . . . . . . . . . . . . . . . . . . . . . . . . xi Part 1. Concepts, planning, and implementation. . . . . . . . . . . . . . . . . . . . . . . . . . . . . . . . . . 1 Chapter 1. Device management architecture . . . . . . . . . . . . . . . . . . . . . . . . 3 1.1 Device Management overview . . . . . . . . . . . . . . . . . . . . . . . . . . . . . . . . . . 4 1.1.1 Tivoli Resource Manager and Web Gateway . . . . . . . . . . . . . . . . . . . 4 1.1.2 Device Management internals. . . . . . . . . . . . . . . . . . . . . . . . . . . . . . . 8 1.2 Our approach . . . . . . . . . . . . . . . . . . . . . . . . . . . . . . . . . . . . . . . . . . . . . . 11 Chapter 2. Getting the environment up and running . . . . . . . . . . . . . . . . . 13 2.1 Planning for the single-box installation . . . . . . . . . . . . . . . . . . . . . . . . . . . 14 2.1.1 Software requirements . . . . . . . . . . . . . . . . . . . . . . . . . . . . . . . . . . . 14 2.1.2 Hardware requirements. . . . . . . . . . . . . . . . . . . . . . . . . . . . . . . . . . . 14 2.1.3 Installation matrix . . . . . . . . . . . . . . . . . . . . . . . . . . . . . . . . . . . . . . . 15 2.2 Single-box implementation: RS/6000-based . . . . . . . . . . . . . . . . . . . . . . . 17 2.2.1 IBM DB2 Server installation . . . . . . . . . . . . . . . . . . . . . . . . . . . . . . . 18 2.2.2 IBM DB2 Fixpack 7 installation . . . . . . . . . . . . . . . . . . . . . . . . . . . . . 22 2.2.3 IBM WebSphere installation . . . . . . . . . . . . . . . . . . . . . . . . . . . . . . . 22 2.2.4 IBM WebSphere Fixpack 3 installation . . . . . . . . . . . . . . . . . . . . . . . 25 2.2.5 IBM Tivoli Configuration Manager installation . . . . . . . . . . . . . . . . . . 26 2.2.6 Tivoli Web Gateway Server installation on AIX . . . . . . . . . . . . . . . . . 33 2.3 Single-box implementation: Intel-based . . . . . . . . . . . . . . . . . . . . . . . . . . 42 2.3.1 IBM DB2 Server installation . . . . . . . . . . . . . . . . . . . . . . . . . . . . . . . 43 2.3.2 IBM DB2 Fixpack 7 installation . . . . . . . . . . . . . . . . . . . . . . . . . . . . . 44 2.3.3 IBM WebSphere installation . . . . . . . . . . . . . . . . . . . . . . . . . . . . . . . 45 2.3.4 IBM WebSphere Fixpack 3 installation . . . . . . . . . . . . . . . . . . . . . . . 47 2.3.5 IBM Tivoli Configuration Manager installation . . . . . . . . . . . . . . . . . . 47 2.3.6 Tivoli Web Gateway Server installation on WIndows . . . . . . . . . . . . 53 2.4 Tivoli Resource Gateway configuration . . . . . . . . . . . . . . . . . . . . . . . . . . . 62 Chapter 3. Implementing security on the PDA management environment65 3.1 General considerations . . . . . . . . . . . . . . . . . . . . . . . . . . . . . . . . . . . . . . . 66 © Copyright IBM Corp. 2003. All rights reserved. iii
  • 6.
    3.2 Access Managerfor e-business installation . . . . . . . . . . . . . . . . . . . . . . . 67 3.2.1 Installing IBM Directory Server . . . . . . . . . . . . . . . . . . . . . . . . . . . . . 67 3.2.2 Installing Access Manager - Policy Server . . . . . . . . . . . . . . . . . . . . 72 3.2.3 Installing Access Manager - Authorization Server . . . . . . . . . . . . . . 74 3.2.4 Installing Access Manager - Application Development Kit . . . . . . . . 76 3.2.5 Installing Access Manager - WebSEAL . . . . . . . . . . . . . . . . . . . . . . 78 3.2.6 Installing Access Manager - Java Runtime Environment . . . . . . . . . 82 3.3 Configuring the secure environment . . . . . . . . . . . . . . . . . . . . . . . . . . . . . 85 3.3.1 Creating a WebSEAL junction to the Web Gateway . . . . . . . . . . . . . 86 3.3.2 Configuring query_contents for WebSEAL . . . . . . . . . . . . . . . . . . . . 89 3.3.3 Installing Tivoli Web Gateway with security enabled . . . . . . . . . . . . 91 3.3.4 Configuring Web Gateway to use WebSEAL junction . . . . . . . . . . . 92 Part 2. Case study scenario . . . . . . . . . . . . . . . . . . . . . . . . . . . . . . . . . . . . . . . . . . . . . . . . . . 97 Chapter 4. Managing pervasive devices . . . . . . . . . . . . . . . . . . . . . . . . . . . 99 4.1 Case study overview . . . . . . . . . . . . . . . . . . . . . . . . . . . . . . . . . . . . . . . . 100 4.2 Managing Nokia 9290 Communicator . . . . . . . . . . . . . . . . . . . . . . . . . . . 103 4.2.1 Installation and configuration of the Device Agent for Nokia. . . . . . 103 4.2.2 Distributing software packages to Nokia 9290 Communicator . . . . 108 4.3 Managing Palm devices . . . . . . . . . . . . . . . . . . . . . . . . . . . . . . . . . . . . . 118 4.3.1 Installation and configuration of the Device Agent for Palm . . . . . . 118 4.3.2 Distributing software packages to Palm . . . . . . . . . . . . . . . . . . . . . 122 4.3.3 Performing inventory scan on Palm . . . . . . . . . . . . . . . . . . . . . . . . 131 4.4 Managing WinCE/PocketPC devices . . . . . . . . . . . . . . . . . . . . . . . . . . . 137 4.4.1 Installation and configuration of the Device Agent for PocketPC . . 138 4.4.2 Distributing software on WinCE/PocketPC . . . . . . . . . . . . . . . . . . . 142 4.4.3 Running inventory on the WinCE/PocketPC . . . . . . . . . . . . . . . . . . 149 4.5 Weekly distribution of the price and stock list . . . . . . . . . . . . . . . . . . . . . 153 Appendix A. Troubleshooting Web Gateway and Device Management . 155 Troubleshooting Web Gateway Installation . . . . . . . . . . . . . . . . . . . . . . . . . . 156 Useful log files for installation troubleshooting . . . . . . . . . . . . . . . . . . . . . 157 Cleaning up a failed Web Gateway installation . . . . . . . . . . . . . . . . . . . . . 160 Common Web Gateway and Device Management problems . . . . . . . . . . . . 161 Problems with starting the Web Gateway . . . . . . . . . . . . . . . . . . . . . . . . . 161 Problems with using the Web Gateway . . . . . . . . . . . . . . . . . . . . . . . . . . 163 Problems with registering device classes and job classes . . . . . . . . . . . . 164 Problems with enrolling a device. . . . . . . . . . . . . . . . . . . . . . . . . . . . . . . . 164 Problems with connecting the agent to the Web Gateway . . . . . . . . . . . . 164 Problems with publishing and downloading a package. . . . . . . . . . . . . . . 167 Problems with running jobs for devices. . . . . . . . . . . . . . . . . . . . . . . . . . . 168 Receiving return codes from the C language APIs . . . . . . . . . . . . . . . . . . 169 Using a non-standard port number . . . . . . . . . . . . . . . . . . . . . . . . . . . . . . 170 iv PDA Management with IBM Tivoli Configuration Manager
  • 7.
    Inventory problems .. . . . . . . . . . . . . . . . . . . . . ...... ....... ...... . 170 Software Distribution problems . . . . . . . . . . . . . ...... ....... ...... . 170 Resource Manager problems . . . . . . . . . . . . . . ...... ....... ...... . 171 Tracing the Web Gateway . . . . . . . . . . . . . . . . . . . ...... ....... ...... . 171 Abbreviations and acronyms . . . . . . . . . . . . . . . . . . . . . . . . . . . . . . . . . . . 173 Related publications . . . . . . . . . . . . . . . . . . . . . . . . . . . . . . . . . . . . . . . . . . 175 IBM Redbooks . . . . . . . . . . . . . . . . . . . . . . . . . . . . . . . . . . . . . . . . . . . . . . . . 175 Other publications . . . . . . . . . . . . . . . . . . . . . . . . . . . . . . . . . . . . . . . . . . . . . 175 Online resources . . . . . . . . . . . . . . . . . . . . . . . . . . . . . . . . . . . . . . . . . . . . . . 176 How to get IBM Redbooks . . . . . . . . . . . . . . . . . . . . . . . . . . . . . . . . . . . . . . . 177 Index . . . . . . . . . . . . . . . . . . . . . . . . . . . . . . . . . . . . . . . . . . . . . . . . . . . . . . . 179 Contents v
  • 8.
    vi PDA Management with IBM Tivoli Configuration Manager
  • 9.
    Notices This information wasdeveloped for products and services offered in the U.S.A. IBM may not offer the products, services, or features discussed in this document in other countries. Consult your local IBM representative for information on the products and services currently available in your area. Any reference to an IBM product, program, or service is not intended to state or imply that only that IBM product, program, or service may be used. Any functionally equivalent product, program, or service that does not infringe any IBM intellectual property right may be used instead. However, it is the user's responsibility to evaluate and verify the operation of any non-IBM product, program, or service. IBM may have patents or pending patent applications covering subject matter described in this document. The furnishing of this document does not give you any license to these patents. You can send license inquiries, in writing, to: IBM Director of Licensing, IBM Corporation, North Castle Drive Armonk, NY 10504-1785 U.S.A. The following paragraph does not apply to the United Kingdom or any other country where such provisions are inconsistent with local law: INTERNATIONAL BUSINESS MACHINES CORPORATION PROVIDES THIS PUBLICATION "AS IS" WITHOUT WARRANTY OF ANY KIND, EITHER EXPRESS OR IMPLIED, INCLUDING, BUT NOT LIMITED TO, THE IMPLIED WARRANTIES OF NON-INFRINGEMENT, MERCHANTABILITY OR FITNESS FOR A PARTICULAR PURPOSE. Some states do not allow disclaimer of express or implied warranties in certain transactions, therefore, this statement may not apply to you. This information could include technical inaccuracies or typographical errors. Changes are periodically made to the information herein; these changes will be incorporated in new editions of the publication. IBM may make improvements and/or changes in the product(s) and/or the program(s) described in this publication at any time without notice. Any references in this information to non-IBM Web sites are provided for convenience only and do not in any manner serve as an endorsement of those Web sites. The materials at those Web sites are not part of the materials for this IBM product and use of those Web sites is at your own risk. IBM may use or distribute any of the information you supply in any way it believes appropriate without incurring any obligation to you. Information concerning non-IBM products was obtained from the suppliers of those products, their published announcements or other publicly available sources. IBM has not tested those products and cannot confirm the accuracy of performance, compatibility or any other claims related to non-IBM products. Questions on the capabilities of non-IBM products should be addressed to the suppliers of those products. This information contains examples of data and reports used in daily business operations. To illustrate them as completely as possible, the examples include the names of individuals, companies, brands, and products. All of these names are fictitious and any similarity to the names and addresses used by an actual business enterprise is entirely coincidental. COPYRIGHT LICENSE: This information contains sample application programs in source language, which illustrates programming techniques on various operating platforms. You may copy, modify, and distribute these sample programs in any form without payment to IBM, for the purposes of developing, using, marketing or distributing application programs conforming to the application programming interface for the operating platform for which the sample programs are written. These examples have not been thoroughly tested under all conditions. IBM, therefore, cannot guarantee or imply reliability, serviceability, or function of these programs. You may copy, modify, and distribute these sample programs in any form without payment to IBM for the purposes of developing, using, marketing, or distributing application programs conforming to IBM's application programming interfaces. © Copyright IBM Corp. 2003. All rights reserved. vii
  • 10.
    Trademarks The following termsare trademarks of the International Business Machines Corporation in the United States, other countries, or both: Redbooks (logo) ™ IBM® SP2® ibm.com® PowerPC® Tivoli Enterprise™ pSeries™ Redbooks™ Tivoli® AIX® RS/6000® TME® DB2 Universal Database™ SecureWay® WebSphere® DB2® SP™ The following terms are trademarks of other companies: ActionMedia, LANDesk, MMX, Pentium and ProShare are trademarks of Intel Corporation in the United States, other countries, or both. Microsoft, Windows, Windows NT, PowerPC® and the Windows logo are trademarks of Microsoft Corporation in the United States, other countries, or both. Java and all Java-based trademarks and logos are trademarks or registered trademarks of Sun Microsystems, Inc. in the United States, other countries, or both. C-bus is a trademark of Corollary, Inc. in the United States, other countries, or both. UNIX is a registered trademark of The Open Group in the United States and other countries. SET, SET Secure Electronic Transaction, and the SET Logo are trademarks owned by SET Secure Electronic Transaction LLC. Other company, product, and service names may be trademarks or service marks of others. viii PDA Management with IBM Tivoli Configuration Manager
  • 11.
    Preface IBM® Tivoli® Configuration Manager 4.2 was launched in October 2002. Along with many new functional and performance features, it includes an enhanced Web-based device management capability, called Tivoli Web Gateway, running on top of IBM WebSphere Application Server. This Redbook describes in detail the steps required to install and configure Tivoli Web Gateway and all the prerequisite products. The instructions given in this Redbook are very detailed and explicit. These instructions are not the only way to install the products and related prerequisites. They are meant to be followed by someone with limited experience in the products, to allow them to successfully install and set up the pervasive device management environment. Our approach is to install and configure all the products required for the PDA management on a single box. In order to enable security, we also provide installation and configuration of IBM Tivoli Access Manager for e-business on a separate machine. While the information provided by this Redbook can be used on deployments of any size, it will be particularly useful to enable the management of pervasive devices by small and medium businesses (SMBs). It will also help Business Partners and IBM services in setting up demonstrations and proofs of concept. The team that wrote this redbook This redbook was produced by a team of specialists from around the world working at the International Technical Support Organization, Austin Center. Edson Manoel is a Software Engineer at the International Technical Support Organization, Austin Center, working as an IT Specialist in the Systems Management area. Prior to joining the ITSO, Edson worked in the IBM Software Group as a Tivoli Technology Ambassador and in IBM Brasil Professional Services Organization as a Certified IT Specialist. He was involved in numerous projects, designing and implementing systems management solutions for IBM customers and Business Partners. Edson holds a BSc degree in Applied Mathematics from Universidade de Sao Paulo, Brazil. Zoltan Veress is an independent consultant currently working for IBM Belgium on a large Tivoli rollout. He has five years of experience with Tivoli products and © Copyright IBM Corp. 2003. All rights reserved. ix
  • 12.
    eight years ofIT experience in total. His major areas of expertise include software distribution, inventory, and remote control, and also has experience with almost all major Framework-based products. Szabolcs Barabas is an independent consultant. Formerly he was an IT Specialist IBM Global Services Hungary for five years. He holds a degree in Information Technologies. He has four years of experience with Tivoli products and eight years of IT experience in total. His major areas of expertise include ITM, TEC, and remote control, but has experience with almost all major Framework-based products. Thanks to the following people for their contributions to this project: Joanne Luedtke, Lupe Brown, Wade Wallace, and Chris Blatchley International Technical Support Organization, Austin Center Tom Ellingwood Device Management Development and Test Team, IBM Software Group Raleigh David Thiessen Technical Evangelist, IBM Software Group Austin Alan Hsu Market Manager - Pervasive Devices, IBM Software Group Austin Become a published author Join us for a two- to six-week residency program! Help write an IBM Redbook dealing with specific products or solutions, while getting hands-on experience with leading-edge technologies. You'll team with IBM technical professionals, Business Partners and/or customers. Your efforts will help increase product acceptance and customer satisfaction. As a bonus, you'll develop a network of contacts in IBM development labs, and increase your productivity and marketability. Find out more about the residency program, browse the residency index, and apply online at: ibm.com/redbooks/residencies.html x PDA Management with IBM Tivoli Configuration Manager
  • 13.
    Comments welcome Your comments are important to us! We want our Redbooks™ to be as helpful as possible. Send us your comments about this or other Redbooks in one of the following ways: Use the online Contact us review redbook form found at: ibm.com/redbooks Send your comments in an Internet note to: redbook@us.ibm.com Mail your comments to: IBM Corporation, International Technical Support Organization Dept. JN9B Building 003 Internal Zip 2834 11400 Burnet Road Austin, Texas 78758-3493 Preface xi
  • 14.
    xii PDA Management with IBM Tivoli Configuration Manager
  • 15.
    Part 1 Part 1 Concepts, planning, and implementation © Copyright IBM Corp. 2003. All rights reserved. 1
  • 16.
    2 PDA Management with IBM Tivoli Configuration Manager
  • 17.
    1 Chapter 1. Device management architecture Pervasive Device Management is a new feature of IBM Tivoli Configuration Manager that is used to perform basic operations on pervasive devices. The functionality provided by this new feature includes software distribution, inventory, and configuration. The type of pervasive devices supported are: Palm WinCE and Windows PocketPC Nokia 9200 Series In this chapter, the following topics are discussed: IBM Tivoli Configuration Manager device management overview and architecture IBM Tivoli Configuration Manager components and supporting applications required for management of pervasive devices © Copyright IBM Corp. 2003. All rights reserved. 3
  • 18.
    1.1 Device Managementoverview By extending its management capabilities to pervasive devices, such as PalmOS, WinCE, Windows PocketPC, and Nokia Communicator devices, IBM Tivoli Configuration Manager allows the update of configuration information and software on these devices using the same tools with which desktops and servers are managed. This allows for better control over the increasing number of pervasive devices being used for business applications across the enterprise. Another advantage is that administrators do not need to learn to use a separate, specialized tool for managing different kinds of pervasive devices. The Tivoli Resource Manager and Resource Gateway components enable you to determine where resources, pervasive devices, or users are associated with the computers in your enterprise and provide all the functionality to manage these resources. In the following section we will go over the concepts of both Tivoli Resource Manager and Resource Gateway components, as well as their role in the management of pervasive devices. 1.1.1 Tivoli Resource Manager and Web Gateway Tivoli Resource Manager (TRM) is a new service that extends the functionality of the Tivoli Management Framework to manage various type of resources. A fourth tier of resources is added by the Tivoli Resource Manager to the three-tiered Tivoli architecture of Tivoli Management Region (TMR) server, gateway, and endpoint. Resources managed by the Tivoli Resource Manager can be either pervasive devices or users. Tivoli Resource Manager enables you to perform operations on pervasive devices, such as inventory scanning, distribution of software packages, and customizing the devices. Tivoli Resource Manager’s main roles are to: Create an association between each device and assigned endpoint. Retrieve users’ information and their endpoints. Determine where resources, pervasive or users, are associated. All the resources intended to be managed need to be grouped into resource groups. Resource groups must contain resources of the same type. There can be two types of resource groups: Device groups for pervasive devices Users groups for Enterprise Directory users The members of a resource group can be static or dynamic. The resource group shields applications, such as Software Distribution or Inventory, from knowing 4 PDA Management with IBM Tivoli Configuration Manager
  • 19.
    device or userconcepts by taking care to create an association between each device or user with its assigned endpoint. Figure 1-1 shows the infrastructure of Tivoli Resource Manager. ecruoseR ecruoseR ecruoseR ecruoseR ecruoseR ecruoseR ecruoseR ecruoseR esaBataD ec veD ec veD eciiiveD reganaM reganaM reganaM reganaM reganaM reganaM reganaM reganaM ecafraettnI esaB aD esaBataD ecafretnI ecafretnI yrectcer D yrectiiceriiiD o veD o veD yrotcer D P AD L P AD L P AD L P AD L P AD L P AD L P AD L P AD L P AD L dSA Table1 Group Group Figure 1-1 Tivoli Resource Manager infrastructure Tivoli Resource Manager enables you to work with the resource users that are defined in an Enterprise Directory server, for example, the Lightweight Directory Access Protocol (LDAP) server. Users are associated with endpoints in a one-to-one relationship and the mapping is stored in the LDAP server. Tivoli Resource Manager enables you to view the association between a user and an endpoint. Resource tasks will be carried on by Tivoli Resource Manager. It will use a database interface to address the Device Directory (which is a storing system) and to pull information from the Enterprise Directory server via LDAP (see Figure 1-1). The database interface implementation is resource type-specific. A component of Tivoli Resource Manager resides on the Tivoli Server. A Tivoli Resource Manager gateway component, which is installed at the Tivoli gateway level, connects the Tivoli Resource Manager server with the endpoints that are connected by the pervasive devices in the region. A Web Gateway enables you to manage the devices that connect to it. The Web Gateway is installed at the endpoint level and connects to a centrally installed Tivoli Resource Manager. The Web Gateway can communicate with a large number of devices and connect the Tivoli environment with these resources through the endpoint. In this release of IBM Tivoli Configuration Manager, the only Web Gateway supported is the Tivoli Web Gateway (TWG). Chapter 1. Device management architecture 5
  • 20.
    Each Web Gatewayhas its own resource database, but the Tivoli Resource Manager keeps a master database. The Tivoli Resource Manager and Web Gateway will notify each other of any changes to their database. This will typically happen when a device connects to a Web Gateway and is automatically enrolled or a device is added to the Tivoli Resource Manager database. Depending on the number of resources, a Tivoli Resource Manager configuration could consist of a cluster of Web Gateways sharing the same database management system. The Tivoli Resource Manager uses a RIM host to access and query the RDBMS server; however, the Tivoli Web Gateway uses standard SQL statement to access and query its database. It is possible for the Tivoli Resource Manager and Tivoli Web Gateway to use the same database server, but at the moment only IBM DB2® is supported for the Tivoli Web Gateway database. Figure 1-2 on page 7 shows the relationship between the Tivoli Resource Manager and the Tivoli Web Gateway components. 6 PDA Management with IBM Tivoli Configuration Manager
  • 21.
    TMR Server RIM Tivoli Resource Manager Server Host RDBMS Tivoli Gateway Tivoli Resource Manager GW Endpoint Tivoli Web Gateway Resource Collector WebSphere Server IBM DB2 Server IBM DB2 Client HTTP HTTP HTTP Host PC with Pervasive Host PCs with Pervasive device connected device connected Figure 1-2 Tivoli Resource Manager and Web Gateway components To enable the management of pervasive devices, as shown in Figure 1-2, a number of components should be installed as follows: Tivoli Resource Manager server must be installed on the Tivoli Server and it should also be installed on the managed nodes to run Tivoli Resource Manager commands. Tivoli Resource Manager Gateway should be created on Tivoli Gateways that communicate with endpoints hosting the Web Gateway component. The Tivoli Resource Manager Gateway components are also referred to as Resource Gateways. Chapter 1. Device management architecture 7
  • 22.
    Tivoli Web GatewayVersion 4.2 must be installed on the Tivoli endpoints that connect to pervasive devices. Before installing the Tivoli Web Gateway component for Resource Management of devices, you must install and configure the following software: IBM DB2 IBM WebSphere® Application Server 1.1.2 Device Management internals As previously mentioned, IBM Tivoli Configuration Manager 4.2 has a new feature that extends management to pervasive devices. Software distributions and inventory scans can now be done against these devices. Imagine sending a weekly price list to the Palm devices of 20,000 business partners or sales representatives. Another scenario would have all the pervasive devices become part of a reference model. You can have a reference model for sales, marketing, executives, accounting, etc., such that when a user changes a role in the organization or group, the software on the device changes and the new role will be reflected on the user’s pervasive device. Before going into detail about how IBM Tivoli Configuration Manager 4.2 manages pervasive devices, we need to provide the concepts of the following IBM Tivoli Configuration Manager 4.2 internal components: Activity Planner Is a deployment service that enables you to define a group of activities to be submitted as an activity plan, to schedule or to execute the plan and monitor it while it runs. Operations can include software distribution and inventory scans. Activity Planner is also known as Activity Planner Manager (APM). Change Manager Is a deployment service which, together with Activity Planner, supports software distribution, inventory, and change management. Change Manager works with Activity Planner to manage specified groups of users, workstations, or devices as single subscribers. Subscribers can be users, user groups, or devices groups. Change Manager is also known as Configuration Change Manager (CCM). In addition to being able to send a profile to a group that contains pervasive devices, Activity Planner extends targets and Change Manager extends subscribers to pervasive devices. The Tivoli Web Gateway (TWG) is extended to allow management actions (inventory, software distribution, and device configuration) to be controlled from a TMR server. In the Tivoli environment, the devices are managed using the Tivoli Resource Manager (TRM) service. Using this application the administrator can define devices, can link them to the endpoints that directly or indirectly manage them, and can create device groups. 8 PDA Management with IBM Tivoli Configuration Manager
  • 23.
    Device groups areknown to the Tivoli Framework (a device group is a specialized profile manager) and can be used by Tivoli applications to address devices. Figure 1-3 shows an example of an activity flow when performing software distribution to pervasive devices: 1 Configuration Change Administrator Manager 2 3 Inventory DB 4 SWDistManager Activity Planner Tivoli Web Gateway Object Manager 5 Device Directory 6 Tivoli Software Dist Engine Server / Gateway 6 Software Distribution Subagent Agent 7 8 Endpoint CT Abstraction Layer Result Websphere Collector Device 11 10 Gateway 9 HTTP Host PC with Pervasive device connected Figure 1-3 Data flow using software distribution to push to devices Chapter 1. Device management architecture 9
  • 24.
    Based on Figure1-3, here we detail each step of the software distribution prepared by the Tivoli Administrator using the reference model example mentioned above. The flow shown in Figure 1-3 on page 9 is as follows: 1. The administrator defines a reference model for the marketing people that have been assigned a device of type, for example, Palm OS. The default configuration should have an e-mail client, a browser, and a list of contacts for the main customers installed. The software to be installed to the devices is packaged in a Software Distribution package. Suppose that some new people join the marketing division of the company. To install the right software on the new Palms, the administrator adds them to the device group containing all Palms for marketing people and, using CCM, synchronizes the reference model of marketing people to the new devices. 2. CCM, using information in the inventory database, determines the state of the package on the devices and prepares an APM plan to install it on the devices. 3. CCM submits the plan to APM. 4. Before starting an activity of the plan, APM interacts with TRM to define a temporary group to contain the list of devices to be addressed by the operation. 5. APM submits the request to the Software Distribution engine. The request addresses the new temporary group generated. 6. The Software Distribution engine, once having received the device group, interacts with TRM to know the list of the endpoints that control the target devices and submits the request to the endpoints. The diagram shows a single endpoint, but a distribution could actually spawn across several endpoints. 7. When each endpoint receives the distribution, the Software Distribution Agent decodes the software package and executes the actions on the objects, as described in the software package. In this case, the built-in actions are specific for the Palm device. 8. The built-in action for the Palm device (sub-agent) converts the software package into a group of TWG packages and submits a job, addressing all packages, to the Web Gateway. 9. When a target device connects to the TWG, the TWG executes the requested actions on the devices. 10. TWG sends the result of the job execution to the Results Collector. 11.The Results Collector collects results, and sends multiple results based on how the administrator has configured the Results Collector, and sends them to the SWD Manager. The SWD Manager is responsible for the report management for Software Distribution. After these operations the report is sent to APM to allow the update of the state of the plan on devices. Reports 10 PDA Management with IBM Tivoli Configuration Manager
  • 25.
    are sent fromTWG to the SWD Manager by the MCollect service. MCollect moves data from the endpoint to the TMR. 1.2 Our approach It is the intention of this redbook to show how to enable the management of pervasive devices by small and medium businesses (SMBs). While the information provided in the following chapters can be used on deployments of any size, our focus is to provide a concise and straight forward approach to the deployment of required components into a single box. This single box will serve all pervasive devices in a small- to medium-sized organization. Of course, the instructions provided by this redbook can also be used and easily adapted to any sized deployment. Figure 1-4 on page 12 shows the basic architecture for managing pervasive devices. Since IBM DB2 is the only supported RDBMS by the Tivoli Web Gateway, it is shown in Figure 1-4 on page 12 as the RDBMS used also by the Tivoli server. Chapter 2, “Getting the environment up and running” on page 13 provides all steps required to install and configure the components for this single-box approach. Chapter 1. Device management architecture 11
  • 26.
    TMR Server RIM Tivoli Resource Manager Server Host Tivoli Gateway Tivoli Resource Manager GW IBM DB2 Server Endpoint Tivoli Web Gateway Resource Collector WebSphere Server IBM DB2 Client HTTP HTTP HTTP Host PC with Pervasive Host PCs with Pervasive device connected device connected Figure 1-4 Single-box approach To optionally protect the enrollment URLs, you can use IBM Tivoli Access Manager for e-business software. The WebSEAL component of Tivoli Access Manager for e-business lets organizations control access to applications and data, and provides Single Sign-On (SSO) for authorized users. Tivoli Access Manager for e-business integrates with the Tivoli Resource Manager via a junction to deliver a secure personalized e-business experience for authorized pervasive devices users. Chapter 3, “Implementing security on the PDA management environment” on page 65 also provides additional information on how to protect the Tivoli Resource Manager environment. 12 PDA Management with IBM Tivoli Configuration Manager
  • 27.
    2 Chapter 2. Getting the environment up and running In this chapter, we show how to install the necessary components for PDA management through the Tivoli Web Gateway. Our primary focus is on how to scale down IBM Tivoli Configuration Manager, that is, how to install most of the components on one single server using the model shown in Figure 1-4 on page 12. We will go through the basic installation steps of the components, showing the possible gaps in the installation procedure. The following will be discussed in this chapter: Planning for the single-box installation Single-box implementation: RS/6000-based Single-box implementation: Intel-based Tivoli Resource Gateway configuration © Copyright IBM Corp. 2003. All rights reserved. 13
  • 28.
    2.1 Planning forthe single-box installation In this section, we provide the hardware and software requirements for pervasive management with the Tivoli Web Gateway component of IBM Tivoli Configuration Manager. The information provided here is for reference only. Always consult the IBM Tivoli Configuration Manager Version 4.2 Release Notes, GI11-0934 for up-to-date information. 2.1.1 Software requirements The following software needs to be installed for the Tivoli Web Gateway: IBM DB2 Universal Database Enterprise Edition Version 7.2 IBM DB2 Universal Database Enterprise Edition Fixpack 7 (Version 7.2.5) IBM WebSphere Application Server Advanced Edition Version 4.0.1 IBM WebSphere Application Server Advanced Edition Fixpack 3 (Version 4.0.3) IBM Tivoli Framework Version 4.1 IBM Tivoli Configuration Manager Version 4.2 IBM Tivoli Access Manager for e-business Version 3.9 or later- Optional IBM Tivoli Access Manager for e-business WebSEAL Version 3.9 or later - Optional 2.1.2 Hardware requirements The hardware/operating system requirements for the Tivoli Web Gateway are: For AIX® operating systems on pSeries™ and PowerPC® systems, the Web Gateway database and Web Gateway server are supported on IBM AIX 4.3.3 or IBM AIX 5.1 running a 332 megahertz (MHz) or greater processor. For Linux on Intel 486 and Pentium systems, the Web Gateway database and Web Gateway server are supported on Red Hat 7.2 running a 1130 MHz or greater processor. For Solaris operating environment on Sun SPARC systems, the Web Gateway database and Web Gateway server are supported on Sun Solaris 7 or Sun Solaris 8 running a 332 MHz or greater processor. For Windows operating system on Intel 486 and Pentium systems, the Web Gateway database and Web Gateway server are supported on Microsoft Windows NT 4.0 Server with SP™ 6a, Microsoft Windows 2000 Server with SP2®, and Microsoft Windows 2000 Advanced Server with SP2 running a 600 MHz or greater processor. 14 PDA Management with IBM Tivoli Configuration Manager
  • 29.
    Table 2-1 Memory/ disk space requirements for Tivoli Web Gateway Component Disk Space Memory Web Gateway database 672 MB 512 MB Web Gateway server 300 MB 1 GB Bear in mind that the IBM Tivoli Configuration Manager is dependent on some supporting applications, such as IBM DB2 and IBM WebSphere Advanced Edition. The hardware requirements for the system you intend to use also has to meet the minimum hardware requirements of such applications. Single-box hardware requirements In order to achieve the single-box approach, here are the hardware specifications used in our lab environment for the Tivoli Web Gateway installation for that particular equipment. We will show the installation procedures for the Tivoli Web Gateway on both AIX and Windows 2000 Advanced server platforms. We use the following hardware and system software: Intel-based Single-box Tivoli Web Gateway Server – P4 2.4 GHz processor – 1 GB RAM – 40 GB hard disk – Windows 2000 Advanced Server with Service Pack 3 RS/6000-based Single-box Tivoli Web Gateway Server – 2 * POWER3 processor – 2 GB RAM – 3 * 18 GB hard disk – AIX 4.3.3 2.1.3 Installation matrix This section covers the installation matrixes for the single-box approach on the Intel-based and RS/6000®-based platforms. The following tables describe the installation/configuration time requirements for each of the components on each platform. In subsequent sections, we show the installation steps for each server individually. Both the servers will have a separate Tivoli environment. Both the RS/6000-based and Intel-based servers will have only the necessary components of the Tivoli Web Gateway installation. Optionally, a second machine can be used to protect the PDA management environment. In this case, IBM Tivoli Access Manager for e-business and IBM Tivoli Access Manager WebSEAL (WebSEAL) need to be installed. This will be Chapter 2. Getting the environment up and running 15
  • 30.
    covered for theIntel platform only in Chapter 3, “Implementing security on the PDA management environment” on page 65. The component installation/configuration and estimated times matrix for the RS/6000-based environment is shown in Table 2-2. Table 2-2 RS/6000-based installation matrix RS/6000-based Tivoli Web Gateway Server Estimated Time 1 (minutes) IBM DB2 + IBM DB2 Fixpack 7 (V7.2.5) 40 IBM WebSphere Advanced Edition + Fixpack 3 (V4.0.3) 40 IBM HTTP Server 1.3.19.2 (installed with the base - WebSphere installation + fixpack applied) IBM Tivoli Configuration Manager 4.2 (using integrated 90 installation, which includes all the Tivoli software components required for the PDA management solution) Tivoli Web Gateway 30 1 Total estimated time: 3-4 hours The component installation/configuration and estimated times matrix for the Intel-based environment is shown in Table 2-3. Table 2-3 Intel-based installation matrix Intel-based Tivoli Web Gateway Server Estimated Time 1 (minutes) IBM DB2 + IBM DB2 fixpack 7 (V7.2.5) 30 IBM WebSphere Advanced Edition + Fixpack 3 (V4.0.3) 40 IBM HTTP Server 1.3.19.2 (installed with the base - WebSphere installation + fixpack applied) IBM Tivoli Configuration Manager 4.2 (using integrated 80 installation, which includes all the Tivoli software components required for the PDA management solution) Tivoli Web Gateway 40 IBM Tivoli Access Manager 3.9 (includes all the Access 120 Manager components for securing the PDA management environment). Optional. 1 Total estimated time: 5-6 hours (including optional components) 16 PDA Management with IBM Tivoli Configuration Manager
  • 31.
    The component installation/configurationand estimated times matrix for the optional security infrastructure - Intel-based environment is shown in Table 2-4. Table 2-4 Security infrastructure- Intel-based installation matrix Intel-based Tivoli Web Gateway Server Estimated Time 1 (minutes) IBM Tivoli Access Manager for e-business 3.9 (includes all 120 the Access Manager components for securing the PDA management environment). Optional. 2.2 Single-box implementation: RS/6000-based Prior to installing all the components for the Tivoli Web Gateway and the related software, we need to ensure all the operating system packages are installed and configured at the correct level. On AIX 4.3.3, the following steps need to be performed: 1. We installed the following extra AIX filesets: – X11.adt.lib 4.3.3.10 – bos.rte 4.3.3.10 – devices.isa_sio.baud.rte 4.3.2.1 Note: If you do not have the required level of AIX filesets and you do not have the installation media, you can download the upgrade packages from http://techsupport.services.ibm.com/server/mlfixes/43/. 2. We created and mounted the file systems shown inTable 2-5 to enable a successful installation. Table 2-5 Created file systems File system name File system size in 512-byte blocks /tivoli 1048576 /db 1048576 /dmsdb 1048576 3. We also had to expand some base filesystems, such as those listed in Table 2-6 on page 18. Chapter 2. Getting the environment up and running 17
  • 32.
    Table 2-6 Expandedfile systems File system name Expanded size in 512-byte blocks /usr 3014656 /home 327680 /tmp 655360 4. We edited the /etc/hosts file to contain both the host name and the fully qualified host name of the Server. 2.2.1 IBM DB2 Server installation This section describes the IBM DB2 Universal Database Enterprise Edition Server Version 7.2 installation process on AIX. 1. Log in as a user with root authority, move to the directory where the DB2 7.2 Server for AIX CDROM is mounted, and start the DB2 setup utility, as follows: # ./db2setup 2. The Install DB2 V7 window, shown in Figure 2-1, appears. Select DB2 Administration Client and DB2 UDB Enterprise Edition. Figure 2-1 Install DB2 V7 components 18 PDA Management with IBM Tivoli Configuration Manager
  • 33.
    3. A NewDB2 instance should be created for the Administration Server database. We specified the DB2 instance name db2inst1, as shown in Figure 2-2. You should also specify /home/db2inst1 as the instance owner directory. Figure 2-2 Create DB2 Services - DB2 Instance db2inst1 4. The installation process creates the DB2 fenced user. We specified the DB2 instance name db2fenc1, as shown in Figure 2-3 on page 20. Chapter 2. Getting the environment up and running 19
  • 34.
    Figure 2-3 Createthe DB2 fenced user 5. Select the Do not set up DB2 Warehouse Control Database option at the next window and then click OK. 6. Next, Figure 2-4 on page 21 shows the values we used to create the user ID for the DB2 Administration Server. 20 PDA Management with IBM Tivoli Configuration Manager
  • 35.
    Figure 2-4 AdministrationServer window 7. The installation process creates and sets the values of several environment variables, for example DB2SYSTEM. 8. At the end of the installation process, you may check the installation log file created at /tmp/db2setup.log. 9. The installed JDBC code level needs to be upgraded to Version 2.0. You should log on to the system with a valid DB2 user ID, and issue the following commands: – For bash, Bourne, or Korn shell: # . INSTHOME/sqllib/db2profile # cd /INSTHOME/sqllib/java12/ # . ./usejdbc2 Where INSTHOME is the home directory of the instance. – Verify that the JDBC level is correct by entering the following command: # echo $CLASSPATH The output must include the following path: INSTHOME/sqllib/java12/db2java.zip Chapter 2. Getting the environment up and running 21
  • 36.
    2.2.2 IBM DB2Fixpack 7 installation This session describes the installation of DB2 Fixpack 7 on AIX. Here are the steps for installing IBM DB2 Fixpack 7: 1. Stop all database activity before applying this fixpack. To stop all database activity, issue the commands: # db2stop # db2admin stop 2. Unzip the fixpack using the following command to get a tar file: # gzip FP7_U484480.tar.Z 3. Un-tar the fixpack using the following command to extract the fixpack files. # tar -xvf FP7_U484480.tar 4. Run the following command to install the fixpack from the location where you un-tar the fixpack files. # ./installFixpack 5. Provide the DB2 instance password if prompted. 6. The installation wizard copies the files and finishes the installation of the fixpack. Note: If you are using a 32-bit IBM DB2 Server, make sure to install the 32-bit Fixpack 7. Or if you are using a 64-bit IBM DB2 Server, make sure to install the 64-bit Fixpack 7. 2.2.3 IBM WebSphere installation For our environment, we decided to use the IBM WebSphere Application Server Advanced Edition Version 4.0. In this section, we describe the IBM WebSphere Application Server Advanced Edition Version 4.0 installation steps on AIX. In order to install IBM WebSphere Application Server Advanced Edition Version 4.0, perform the following steps: 1. Logged in as a user with root authority, create the WAS40 database on DB2. Next the server and the database need to be cataloged, as shown in Example 2-1, where <hostname> is the host name of your machine. Example 2-1 Creating and cataloging WAS40 database on DB2 # su - db2inst1 # db2 create database was # db2 update db config for WAS using applheapsz 256 # db2 catalog tcpip node db2svr remote <hostname> server 50000 22 PDA Management with IBM Tivoli Configuration Manager
  • 37.
    # db2 catalogdatabase was as was40 at node db2svr # db2 connect to was user dmsadmin using dmsadmin 2. Logged in as a user with root authority, issue the following command from the directory where the IBM WebSphere Application Server CD-ROM is mounted: # ./install.sh 3. You are then prompted to select the type of installation. We have selected Typical Installation, as it will automatically install all the required components, such as the WebSphere Application Assembly Tool (AAT). If you decide to use a different installation method, make sure you select the AAT option. 4. In the next window, the installation wizard asks for the database information. WebSphere Server uses this database repository to store configuration information. In our scenario, we used the local DB2 Server installed on the Server machine. Database type: DB2 You should also provide the database name: Database name (SID): was40 The DB2 instance owner home directory: DB home: /home/db2inst1 And the user ID and password of the DB2 instance owner: Database user id: db2inst1 Database password: **** 5. In the following window, you need to specify the installation directories. We used the default values /usr/WebSphere/AppServer and /usr/HTTPServer. 6. A final installation window informs you that the setup program has finished. 7. When the installation of WebSphere completes successfully, the window shown in Figure 2-5 on page 24 appears. Select Start the Application Server. Chapter 2. Getting the environment up and running 23
  • 38.
    Figure 2-5 IBMWebSphere Application Server configuration window 8. Launch the Administrative Console and start the Default Server. 9. Open a Web browser and type in the following URL: http://WebSphere_Server/servlet/snoop Where WebSphere_Server can either be the Administration server’s host name or IP address. Information about /servlet/snoop is displayed. 24 PDA Management with IBM Tivoli Configuration Manager
  • 39.
    Figure 2-6 WebSphereServlet/Snoop information 10.The IBM WebSphere Application Server runs as root and requires access to the IBM DB2 environment. You should insert the following line at the end of root’s .profile file: ./home/db2inst1/sqllib/db2profile Assuming that the db2inst1 is the IBM DB2 instance owner. 2.2.4 IBM WebSphere Fixpack 3 installation Because the Tivoli Web Gateway Server requires IBM WebSphere Application Server Advance Server 4.0.3, here are the steps for installing IBM WebSphere Fixpack 3: 1. Make sure you stop IBM HTTP Server and IBM WebSphere Application Server before installing the fixpack, as follows: a. To stop the HTTP Server, type the following command: # cd /usr/HTTPServer/bin # ./apachectl stop Chapter 2. Getting the environment up and running 25
  • 40.
    b. To stopthe IBM WebSphere Application Server: # cd /WebSphere_AppServer_Install_Directory/bin # ./stopServer.sh 2. Un-tar the fixpack using the following command to extract the fixpack files: # tar -xvf was40_ae_ptf_3_aix.tar 3. Run the following command to install fixpack from the from the location you un-tar the fixpack files: # ./install.sh 4. During the installation of this fixpack, the setup asks many questions. These questions allow you to select the modules that the fixpack will update. In our case, we answered “No” to iPlanet and Apache updates because we were using IBM HTTP Server. 5. Start the WebSphere Server manually: # cd /<WebSphere_AppServer_Install_Directory>/bin # ./startServer.sh Where <WebSphere_AppServer_Install_Directory> is the directory where you installed the IBM WebSphere Application Server. Note: In order to have both IBM HTTP Server and IBM WebSphere Application Server, you may add startup entries in the inetd.conf file. 2.2.5 IBM Tivoli Configuration Manager installation In this section, we will install the IBM Tivoli Configuration Manager 4.2 (ITCM) and the IBM Tivoli Framework 4.1 using the integrated installation option. The integrated installation is a Java-based InstallShield application that guides you through the setup process. We will use the typical installation method in order to simplify the process. In order to make this method work, you must perform the following steps: 1. Create user IDs for the ITCM. The default user IDs and passwords are shown in Table 2-7. Table 2-7 ITCM default user IDs User IDs Password Group ID planner planner db2iadm1 mdstatus mdstatus db2iadm1 invtiv tivoli db2iadm1 26 PDA Management with IBM Tivoli Configuration Manager
  • 41.
    User IDs Password Group ID tivoli tivoli db2iadm1 dmsadmin db2iadm1 dmsuser db2iadm1 The users are used by the integrated installation to run the database schema and admin scripts and access the database through the automatically created RIM objects. We also create the required users for the Web Gateway server installation. The dmsadmin DB2 user owns the database tables, and the dmsuser DB2 user accesses and queries the database tables. In our case, we specified the password for those users to be the same as their user IDs. You can use the following command to create the user IDs: mkuser pgrp='db2iadm1' <userid> Set the passwords for these users repeating the following command: passwd <userid> 2. Create the cm_db database performing the following steps: # su - db2inst1 # db2 create db cm_db 3. Mount the ITCM installation media, go into the FRESH directory and start installation with the following command: # ./setup_aix.bin Click Next in the ITCM installation start window (Figure 2-7 on page 28). Chapter 2. Getting the environment up and running 27
  • 42.
    Figure 2-7 ITCMintegrated installation start window 4. Select I accept terms in the license agreement and click Next. 28 PDA Management with IBM Tivoli Configuration Manager
  • 43.
    Figure 2-8 Installationtype selection 5. Select the Typical installation option and click Next. 6. Specify the directory to be used for the installation. Specify /tivoli and click Next. Chapter 2. Getting the environment up and running 29
  • 44.
    Figure 2-9 Databasevendor specification 7. Select DB2 as the database vendor and the /home/db2inst1/sqllib as the Database Client interface home, as shown in Figure 2-9. Note that /home/db2inst1 is the DB2 instance owner directory created during the IBM DB2 installation process. Click Next. 30 PDA Management with IBM Tivoli Configuration Manager
  • 45.
    Figure 2-10 RDBMSand RIM information specification 8. In the next window (Figure 2-10), specify the RDBMS and RIM information. Most of the information is automatically given by the setup program. Specify the password for the db2inst1 and click Next. Chapter 2. Getting the environment up and running 31
  • 46.
    Figure 2-11 Reviewinstallation settings 9. The Review the Installation Setting window appears. By clicking the Next button, the ITCM installation starts. It will ask frequently for the installation media, such as the Tivoli Framework 4.1 CDs 1 and 2 or the ITCM 4.2 server CD. However, you will not have to look for the specific product directories on the CD, because the installation program finds it automatically. 32 PDA Management with IBM Tivoli Configuration Manager
  • 47.
    Figure 2-12 Successfulinstallation 10.At the completion of a successful installation, you can check the list of the successfully installed products and database scripts. 2.2.6 Tivoli Web Gateway Server installation on AIX Important: If you intend to enable security in your pervasive device management environment, you must proceed first with the IBM Tivoli Access Manager for e-business installation. Access Manager must be operational in order to the Tivoli Web Gateway installation be successful. Please refer to Chapter 3, “Implementing security on the PDA management environment” on page 65 for installation and configuration instructions. The Tivoli Web Gateway Server installation has aJava-based setup program similar to the ITCM4.2 installation. We will use the custom installation type. Before the installation, verify the following: Check if the IBM DB2 server is up and running Verify that IBM HTTP Server is started. In a browser, type the following http://<hostname>:ihs_http_port Chapter 2. Getting the environment up and running 33
  • 48.
    Verify that WebSphereApplication Server and IBM HTTP Server are started and the Default Server Application server is started. In a browser, type the following: http://<hostname>:ihs_http_port/servlet/snoop The following components will be installed by the setup program: Tivoli Endpoint Web Gateway Database Tivoli Web Gateway Server Web Infrastructure Inventory plug-in for Web Infrastructure Software Distribution plug-in for Web Infrastructure For details on each one of the above components, refer to IBM Tivoli Configuration Manager Introduction Version 4.2, GC23-4703. To proceed with the installation, follow these steps: 1. Mount the ITCM installation media and start the installation: # ./setup_aix.bin Figure 2-13 Tivoli Web Gateway integrated installation start window Click Next on the Tivoli Web Gateway installation start window. 2. Select I accept terms in the license agreement and click Next. 34 PDA Management with IBM Tivoli Configuration Manager
  • 49.
    Figure 2-14 SelectType of Installation 3. Select the Custom installation type and click Next. Figure 2-15 Tivoli Web Gateway Component selection Chapter 2. Getting the environment up and running 35
  • 50.
    4. As shownin Figure 2-15 on page 35, select all components to install and click Next. Figure 2-16 Endpoint Information dialog 5. In the endpoint installation window, specify the following options: – Destination directory This is where the endpoint will be installed. Leave this option at the default value, /opt/Tivoli/lcf. – Gateway port This is the port of the Tivoli Endpoint Gateway. As the ITCM integrated installation uses the default port for the Gateway, leave this at 9494. – Endpoint port This is the port of the installable Tivoli Endpoint. Use the default value, which is 9495. – Endpoint options Here, select the lcs.login_interfaces option, which represents the Tivoli Endpoint Gateway’s IP address and port where the Endpoint will log on at the first time. In our case the full syntax is: -D lcs.login_interfaces=<IPaddr>+9494 where <IPaddr> is the IP address of the single box. 36 PDA Management with IBM Tivoli Configuration Manager
  • 51.
    Figure 2-17 WebGateway Database information specification 6. The next step, shown in Figure 2-17, is to specify the Tivoli Web Gateway database information. The following options need to be specified: – Destination directory This is the temporary directory where the database installation files such as sql and shell scripts are unpacked and executed. We used the default option /tmp/TWG. – DB2 Instance Name The name of the DB2 instance in our scenario is db2inst1. – DB2 port The TCP/IP port of the DB2 server. The default value provided is used (5000). To figure out your DB2 port, look in the /etc/services file. – Password for the dmsadmin user We used the dmsadmin as password. – Password for dmsuser user We used the dmsuser as password. – Database home We used the /dmsdb default option. Chapter 2. Getting the environment up and running 37
  • 52.
    – Database containerhome The database will be installed in this directory. We used the default option /db/db2. Figure 2-18 Web Gateway Server Information 7. Define the Web Gateway server- related options shown in Figure 2-18. – Destination directory Where the Web Gateway Server files will be installed. We used the default option /usr/TivTwg. – Web server home We installed the IBM HTTP server to the /usr/HTTPServer directory, which is the default option. – JDBC driver home The location of the JDBC driver. The default option is /home/db2inst1/sqllib/java12/db2java.zip. If you use a different DB2 instance from db2inst1, you have to specify the correct values here. 38 PDA Management with IBM Tivoli Configuration Manager
  • 53.
    Figure 2-19 WebGateway Server Configuration Information 8. Specify the RDBMS and Web Gateway connection information in the window shown in Figure 2-19. Using the default options is recommended. Chapter 2. Getting the environment up and running 39
  • 54.
    Figure 2-20 AccessManager configuration information Important: If you intend to enable security in your pervasive device management environment, you must proceed first with the IBM Tivoli Access Manager for e-business installation. Access Manager must be operational in order for the Tivoli Web Gateway installation to be successful. Please refer to Chapter 3, “Implementing security on the PDA management environment” on page 65 for installation and configuration instructions. 9. If you do not wish to enable security with IBM Tivoli Access Manager for e-business, set the Enable Security option to False, as shown in Figure 2-20. Otherwise, refer to 3.3.3, “Installing Tivoli Web Gateway with security enabled” on page 91 for details on this step. 40 PDA Management with IBM Tivoli Configuration Manager
  • 55.
    Figure 2-21 Reviewinstallation settings 10.The Review the Installation Settings window appears. By clicking the Next button, the installation starts. It will ask frequently for the installation media, such as the Tivoli Framework 4.1 CDs 1 and 2 or the ITCM 4.2 server CD. However, you will not have to look for the specific product directories on the CD, because the installation program finds it automatically. Click Next. 11.At the Successful Installation window, you can check the list of products and components installed. Chapter 2. Getting the environment up and running 41
  • 56.
    Figure 2-22 Startingthe DMS_AppServer 12.To test the installation, start up the DMS_AppServer from the WebSphere Administrative Console. Open the following link in a Web browser: http://<hostname>/dmserver/ResultsCollector where <hostname> is the host name of your Tivoli server machine. If the installation was successful, it displays some basic information in the browser window concerning the Web Gateway. Expand the Application Servers folder, right-click DMS_AppServer and select Start. 2.3 Single-box implementation: Intel-based Prior to installing all the components for the Tivoli Web Gateway and the related software, we need to ensure all the operating system packages are installed and 42 PDA Management with IBM Tivoli Configuration Manager
  • 57.
    configured at thecorrect level. On Windows 2000 Advanced Server, the following steps need to be performed: 1. We installed the Service Pack 3 and all the Microsoft critical updates. 2. We stopped and disabled the Internet Information Services (IIS) services because it conflicts with the port to be used by the IBM HTTP server. They both use port 80. Alternatively you can set your IIS server to a different port. If you install a fresh Windows 2000 Advanced Server on your server, you can disable the installation of the IIS when you install the additional services. 3. We edited the c:winntsystems32driversetchosts file to add the host name and the fully qualified host name of the server machine. 2.3.1 IBM DB2 Server installation This section describes the IBM DB2 Universal Database Enterprise Edition Server Version 7.2 installation process on Windows. Note: Use the installation media provided with the IBM Tivoli Configuration Manager product. This ensures that you install the correct version and fixpack of DB2. 1. Load the DB2 installation media. 2. Select Start -> Run. Type in D:setup.exe and click OK to start the installation. From the Installation window, select Install. 3. The Select Products window opens. From this window you can select the component(s) of DB2 for Windows you would like to install. Select DB2 Enterprise Edition as shown in Figure 2-23 on page 44. Click Next. Chapter 2. Getting the environment up and running 43
  • 58.
    Figure 2-23 SelectDB2 Enterprise Edition 4. The Select Installation Type window opens. Select the installation type you prefer. We selected Typical. 5. For the installation directory, we used C:db2. 6. For the DB2 administrative user, we selected db2admin. 7. After the installation wizard copies the DB2 files onto the machine, the Install OLAP Starter Kit window opens. Select Do not install the OLAP Starter Kit and then click Finish. 8. Update Java. The installed JDBC code level needs to be upgraded to Version 2.0. You should open a DOS-command prompt window and issue the following commands: cd DB2_DIRjava12 usejdbc2 Where DB2_DIR is the DB2 installation directory. The usejdbc2 command will copy the appropriate version of db2java.zip into the DB2_DIRjava12 directory. 9. Reboot the machine. 2.3.2 IBM DB2 Fixpack 7 installation This section describes the installation of IBM DB2 Fixpack 7 on Windows. 44 PDA Management with IBM Tivoli Configuration Manager
  • 59.
    If you areinstalling the fixpack by using the Administrator account of Windows 2000 Advanced Server, please make sure you complete the following steps: 1. Click Start -> Programs -> Administrative Tools -> Local Security Settings -> User Rights Assignment. 2. In the window, you will see lists of user rights. Make sure the Administrator account has the following rights: – Act as part of Operating System – Create a token object – Increase quotas – Replace a process level token Note: Once you have installed a fixpack, you won’t be able to un-install it. 3. Stop all database activity before applying this fixpack. To stop all database activity, on a DB2 command window run: c:db2sqllibbin:>db2stop c:db2sqllibbin:>db2admin stop 4. Unzip and extract the fixpack files to a temporary directory. 5. Run the following command to install fixpack from the fixpack directory: c:fp7_wr21311setup.exe 6. Key in the DB2 instance owner password if the setup prompts for it and click Next. 7. The wizard shows the selection window. Click Next to continue. 8. As soon as the installation ends, reboot the machine. 2.3.3 IBM WebSphere installation For our environment, we use the IBM WebSphere Application Server Advanced Edition Version 4.0 (plus Fixpack 3). In this section, we describe the IBM WebSphere Application Server Advanced Edition Version 4.0 installation steps on Windows. In order to install IBM WebSphere Application Server Advanced Edition Version 4.0, perform the following steps: 1. Logged in as Administrator, issue the following command from the directory where the IBM WebSphere Application Server CD-ROM is mounted: setup.exe 2. You are then prompted to select the type of installation. We have selected Typical Installation, because it will automatically install all the required Chapter 2. Getting the environment up and running 45
  • 60.
    components, such asthe WebSphere Application Assembly Tool (AAT). If you decide to use a different installation method, make sure you select the AAT option. 3. In the following window you should specify the installation directories. We used the default values C:WebSphereAppServer and C:IBM HTTPServer. 4. In the next window, the installation wizard asks for the database information. WebSphere uses this database repository to store configuration information. In our scenario we used the local DB2 Server installed on the Runtime server machine. Database type: DB2 You should also provide the database name to be created: Database name (SID): was40 Provide the DB2 instance owner user ID, password, and home directory: Database user id: db2admin Database password: Database Path: c:db2sqllib 5. A final installation window informs you that the setup program has finished. 6. When the installation of WebSphere completes successfully, the window shown in Figure 2-24 appears. Select Start the Application Server. Figure 2-24 IBM WebSphere Application Server configuration window 46 PDA Management with IBM Tivoli Configuration Manager
  • 61.
    7. Recycle theIBM WebSphere Application Server by clicking Start -> Programs -> IBM WebSphere -> Application Server V4.0 AE ->Stop Admin Server. Then select Start -> Programs -> IBM WebSphere -> Application Server V4.0 AE ->Start Admin Server. 8. Open the services window and set the IBM WS Admin Server 4.0 to start automatically instead of manually. 9. Launch the Administrative Console and start the Default Server. 10.Open a Web browser and type in the following URL: http://WebSphere_Server/servlet/snoop Where WebSphere_Server can either be the Administration server’s host name or an IP address. Information about /servlet/snoop is displayed. Note: IBM HTTP Server and IBM WebSphere may not start automatically after restarting the machine. In this case, you will have to start it manually. For Windows, you may open the Services window and change the startup option for IBM HTTP Server and IBM WebSphere from Manual to Automatic. 2.3.4 IBM WebSphere Fixpack 3 installation Since the Tivoli Web Gateway Server requires IBM WebSphere Application Server Advanced Server 4.0.3, here are the steps for installing the WebSphere Fixpack 3: 1. Make sure you stop IBM HTTP Server and IBM WebSphere Application Server before installing the fixpack. 2. Unzip the fixpack named was40_ae_ptf_3.zip to a temporary directory. 3. Run the following command to install the fixpack from the fixpack directory. c:was40_ae_ptf_3install.bat 4. During the installation of this fixpack, the setup asks many questions. These questions allow you to select the modules that the fixpack will update. In our case we answered “No” to iPlanet updates and Apache updates because we use IBM HTTP Server. 2.3.5 IBM Tivoli Configuration Manager installation We also need to install IBM Tivoli Configuration Manager 4.2 and Framework 4.1 using the integrated installation option of IBM Tivoli Configuration Manager. The integrated installation is a Java-based InstallShield application, which guides you through the setup process. We will use the typical installation method in order to Chapter 2. Getting the environment up and running 47
  • 62.
    simplify the process.In order to make this method work, you must perform the following steps: 1. Create user IDs for the ITCM. The default user IDs and passwords are shown in Table 2-8. Table 2-8 ITCM default user IDs User IDs Password Group ID planner planner Administrators mdstatus mdstatus Administrators invtiv tivoli Administrators tivoli tivoli Administrators dmsadmin Administrators dmsuser Administrators The users are used by the integrated installation to run the database schema and admin scripts and access the database through the automatically created RIM objects. We also create the required users for the Web Gateway server installation. The dmsadmin DB2 user owns the database tables, and the dmsuser DB2 user accesses and queries the database tables. In our case, we specified the password for those users to be the same as their user IDs. You can use the following command to create the user IDs: net user <userid> dmsuser /add net localgroup "Administrators" mdstatus /add 2. Create the cm_db database performing the following steps. Open the DB2 command console by selecting Start -> Programs -> IBM DB2 -> Command Line Processor. Type the following commands: create db cm_db # su - db2inst1 # db2 create db cm_db 3. Mount the ITCM installation media, go into the FRESH directory and start installation with the following command: setup.exe Click Next in the ITCM installation start window (Figure 2-25 on page 49). 48 PDA Management with IBM Tivoli Configuration Manager
  • 63.
    Figure 2-25 ITCMintegrated installation start window 4. Select I accept terms in the license agreement and click Next. Figure 2-26 Installation type selection Chapter 2. Getting the environment up and running 49
  • 64.
    5. Select theTypical installation option and click Next. 6. Specify the directory to be used for the installation. Specify c:Program filesTivoli as the destination directory and click Next. Figure 2-27 Database vendor specification 7. Select DB2 as the database vendor and c:DB2Sqllib as the Database Client interface home, as shown in Figure 2-27. Note that c:DB2 is the DB2 instance owner directory created during the IBM DB2 installation. Click Next. 50 PDA Management with IBM Tivoli Configuration Manager
  • 65.
    Figure 2-28 RDBMSand RIM information specification 8. In the next window (Figure 2-28), specify the RDBMS and RIM information. Most of the information is automatically given by the setup program. Specify the password for the db2admin and click Next. Chapter 2. Getting the environment up and running 51
  • 66.
    Figure 2-29 Reviewinstallation settings. 9. The Review the Installation Setting window appears. By clicking the Next button, the installation starts. It will ask frequently for the installation media, such as the Tivoli Framework 4.1 CDs 1 and 2 or the ITCM 4.2 server CD. However, you will not have to look for the specific product directories on the CD, because the installation program finds it automatically. Click Next. 10.After the Framework installation, you must restart your computer. The installation continues automatically at the reboot. Select the Now option and click Next. 52 PDA Management with IBM Tivoli Configuration Manager
  • 67.
    Figure 2-30 SuccessfulInstallation 11.At the completion of a successful installation, you can see the list of the successfully installed products and database scripts. 2.3.6 Tivoli Web Gateway Server installation on WIndows Important: If you intend to enable security in your pervasive device management environment, you must proceed first with the IBM Tivoli Access Manager for e-business installation. Access Manager must be operational in order for the Tivoli Web Gateway installation to be successful. Please refer to Chapter 3, “Implementing security on the PDA management environment” on page 65 for installation and configuration instructions. The Tivoli Web Gateway Server installation has a Java-based setup program similar to the ITCM4.2 installation. We will use the custom installation type. Before the installation, verify the following: Check if the IBM DB2 server is up and running. Verify that IBM HTTP Server is started. In a browser, type the following: http://<hostname>:ihs_http_port Chapter 2. Getting the environment up and running 53
  • 68.
    Verify that WebSphereApplication Server and IBM HTTP Server are started and the Default Server Application server is started. In a browser, type the following: http://<hostname>:ihs_http_port/servlet/snoop The following components will be installed by the setup program: Tivoli Endpoint Web Gateway Database Tivoli Web Gateway Server Web Infrastructure Inventory plugin for Web Infrastructure Software Distribution plugin for Web Infrastructure For details on each one of the above components, refer to IBM Tivoli Configuration Manager Introduction Version 4.2, GC23-4703 . To proceed with the installation, follow these steps: 1. Mount the ITCM installation media and start the installation: setup.exe Figure 2-31 Tivoli Web Gateway integrated installation start window Click Next in the Tivoli Web Gateway installation start window. 2. Select I accept terms in the license agreement and click Next. 54 PDA Management with IBM Tivoli Configuration Manager
  • 69.
    Figure 2-32 SelectType of Installation 3. Select the Custom installation type and click Next. Figure 2-33 Tivoli Web Gateway Component selection Chapter 2. Getting the environment up and running 55
  • 70.
    4. As shownin Figure 2-33, select all components to install and click Next. Figure 2-34 Endpoint Information dialog 5. In the endpoint installation window (Figure 2-34 on page 56), specify the following options: – Destination directory This is where the endpoint will be installed. Leave this option at the default value, /opt/Tivoli/lcf. – Gateway port The port of the Tivoli Endpoint Gateway. As the ITCM integrated installation uses the default port for the Gateway left this on 9494. – Endpoint port The port of the installable Tivoli Endpoint. Also use the default value which is 9495. – Endpoint options Here, specify the lcs.login_interfaces option, which represents the Tivoli Endpoint Gateway’s IP address and port where the Endpoint will log on the first time. In our case the full syntax is -D lcs.login_interfaces=<IPaddr>+9494 where <IPaddr> is the IP address of the single box. 56 PDA Management with IBM Tivoli Configuration Manager
  • 71.
    Figure 2-35 WebGateway Database information specification 6. The next step, shown in Figure 2-35, is to specify the Tivoli Web Gateway database information. The following options need to be specified: – Destination directory This is the temporary directory where the database installation files such as sql and shell scripts are unpacked and executed. We used the default option. – DB2 Instance Name The name of the DB2 instance; in our scenario it is db2. – DB2 port The TCP/IP port of the DB2 server. The default value provided is used (5000). – Password for the dmsadmin user We use dmsadmin as the password. – Password for dmsuser user We use dmsuser as the password. Chapter 2. Getting the environment up and running 57
  • 72.
    Figure 2-36 WebGateway Server Information 7. Define the Web Gateway server-related options, shown in Figure 2-36. – Destination directory Where the Web Gateway Server files will be installed. We used the default option c:Program FilesTivTwg. – Web server home We installed the IBM HTTP server to the c:Program FilesIBM HTTP Server directory, which is the default option. – JDBC driver home The location of the JDBC driver. The default option is c:DB2SQLLIBjava12db2java.zip. 58 PDA Management with IBM Tivoli Configuration Manager
  • 73.
    Figure 2-37 WebGateway Server Configuration Information 8. Specify the RDBMS and Web Gateway connection information in the window shown in Figure 2-37. Using the default options is recommended. Chapter 2. Getting the environment up and running 59
  • 74.
    Figure 2-38 AccessManager Configuration information Important: If you intend to enable security in your pervasive device management environment, you must proceed first with the IBM Tivoli Access Manager for e-business installation. Access Manager must be operational in order for the Tivoli Web Gateway installation to be successful. Please refer to Chapter 3, “Implementing security on the PDA management environment” on page 65 for installation and configuration instructions. 9. If you do not wish to enable security with IBM Tivoli Access Manager for e-business, set the Enable Security option to False, as shown in Figure 2-20 on page 40. Otherwise, refer to 3.3.3, “Installing Tivoli Web Gateway with security enabled” on page 91 for details on this step. 60 PDA Management with IBM Tivoli Configuration Manager
  • 75.
    Figure 2-39 Reviewinstallation settings 10.The Review the Installation Setting window appears (Figure 2-39). By clicking the Next button, the installation starts. It will ask frequently for the installation media, such as the Tivoli Framework 4.1 CDs 1 and 2 or the ITCM 4.2 server CD. However, you will not have to look for the specific product directories on the CD, because the installation program finds it automatically. Click Next. 11.In the Successful Installation window, you can check the list of products and components installed. Chapter 2. Getting the environment up and running 61
  • 76.
    Figure 2-40 Startingthe DMS_AppServer 12.To test the installation, start up the DMS_AppServer from the WebSphere Administrative Console. Open the following link in a Web browser: http://<hostname>/dmserver/ResultsCollector where <hostname> is the host name of your Tivoli server machine. If the installation was successful, it displays some basic information in the browser window concerning the Web Gateway. Expand the Application Servers folder, right-click the DMS_AppServer and select Start. 2.4 Tivoli Resource Gateway configuration The Tivoli Resource Gateway component needs now to be configured in order for it to accept the enrollment of new pervasive devices. The configuration process is the same on both Windows and AIX platforms. Therefore, in this section, we will use the RS/6000-based server as the example. Its host name is itcmpda5. 62 PDA Management with IBM Tivoli Configuration Manager
  • 77.
    We first needto associate the endpoint itcmpda5 with the Resource Gateway by issuing the wresgw command as follows: # wresgw add itcmpda5 -C TWG To check if the association was successful, we display a list of the Resource Gateways issuing the wresgw command as follows: # wresgw ls ‘itcmpda5’ The assigned endpoint itcmpda5 is displayed; thus it is assigned as a Resource Gateway. The next step is to enable auto enrollment of the devices on the just assigned Resource Gateway itcmpda5. Using the Auto Enrollment, the devices are automatically registered in the Resource Manager Database. Issue the wresgw command as follows: # wresgw autoenroll enable -C TWG itcmpda5 FBBWD0035I Resource gateway itcmpda5 accepted the new settings. As a last check, we list the configuration of the Resource Gateway itcmpda5 issuing the wresgw command as follows: # wresgw view_config -C TWG itcmpda5 FBBWD0037I Resource gateway itcmpda5 is configured with the following settings: AUTO_ENROLL = true REGISTER_APP_FOR_DEVICE_CREATE_EVENT = 1148766224#ResourceManager Alternatively, you can perform the same actions - except associating an endpoint with the Resource Gateway - from the Tivoli Desktop by clicking the Resource Manager icon. Chapter 2. Getting the environment up and running 63
  • 78.
    64 PDA Management with IBM Tivoli Configuration Manager
  • 79.
    3 Chapter 3. Implementing security on the PDA management environment In this chapter we will describe the installation and configuration procedures and security considerations for the newly created device management environment. The topics covered include: General considerations IBM Tivoli Access Manager for e-business installation Configuring Access Manager WebSEAL Creating a WebSEAL junction to the Web Gateway Installing Access Manager - Java Runtime Environment Configuring query_contents for WebSEAL Installing Tivoli Web Gateway with security enabled Configuring Web Gateway to use WebSEAL junction Note: Rather than focus on the obvious security-related issues such as protecting the operating system, password handling, or network security, we will focus only on the security issues for ITCM and the Tivoli Web Gateway. © Copyright IBM Corp. 2003. All rights reserved. 65
  • 80.
    3.1 General considerations The usual installation and operation procedures don’t provide you with advanced security possibilities such as: Access control Resources are protected and accessed only by authorized parties. Restricting access on the basis of passwords, IP address, host names, or SSL client authentication ensures access control. Authenticity You know who you are talking to and that you can trust that person. Authentication, using digital signature and digital certificates, user ID and password, or other mechanisms ensures authenticity. Information integrity Messages are not altered while being transmitted. Without information integrity, you have no guarantee that the message you sent matches the message received. Digital signature ensures integrity. Privacy and confidentiality Information conveyed from party to party during a transaction remains private and cannot be read, even if it gets into the wrong hands. Encryption ensures privacy and confidentiality. In order to improve security for the pervasive devices management environment, you could opt for the following: 1. Apply additional security on the Web server running on the single box (for example, secure communnications with SSL, use an advanced authorization method, etc.). 2. You can install IBM Tivoli Access Manager for e-business on a second machine, thus creating a secure domain. The focus of this chapter is to create a secure domain using IBM Tivoli Access Manager for e-business installed on a second machine. The installation procedures for Windows platform will be described in the sections below. For more information on IBM Tivoli Access Manager for e-business architecture and implementation, refer to the following Redbooks: Enterprise Security Architecture using IBM Tivoli Security Solutions, SG24-6014 Enterprise Business Portals with IBM Tivoli Access Manager, SG24-6556 Enterprise Business Portals II with IBM Tivoli Access Manager, SG24-6885 66 PDA Management with IBM Tivoli Configuration Manager
  • 81.
    3.2 Access Managerfor e-business installation In this section, we show you how to install and configure IBM Tivoli Access Manager, and how to integrate it with Tivoli Web Gateway. You will have administrative and configuration tasks on both the IBM Tivoli Configuration Manager/Tivoli Web Gateway and the Access Manager servers. For easier understanding, we describe whether the task should be performed on the Access Manager server or on the IBM Tivoli Configuration Manager/Tivoli Web Gateway server. Since the Access Manager for e-business requires the IBM Directory Server product be up and running, we first proceed with its installation. 3.2.1 Installing IBM Directory Server In this section, we describe the IBM Directory Server installation process using the easy install method of IBM Tivoli Access Manager. In our scenario, this step should be performed on the Access Manager system. Important: The easy install scripts do not work when run from any location on the hard drive except the root directory of its drive. There are two options to work around this: 1. Run the scripts from the product CDs. 2. If all the product images are on your hard drive, share the directory containing the easy install scripts. Then mount the share to your own system, so that the easy install scripts are now in the root directory of your share drive. Now you can run the scripts from the share drive. The easy install script ezinstall_ldap_server.bat sets up a base system with the following software packages: IBM DB2 Universal Database™ Edition IBM Global Security Toolkit (GSK) IBM HTTP Server IBM Directory Client IBM Directory Server Note: Please make sure that there is no other Web servers running on your computer (such as IIS), because that can cause configuration problems during the installation and configuration. Chapter 3. Implementing security on the PDA management environment 67
  • 82.
    1. From theroot directory of the IBM Tivoli Access Manager 3.9 Base System installation drive, run the following command: ezinstall_ldap_server.bat The initial installation window is displayed as shown in Figure 3-1. Press Enter. Figure 3-1 Ezinstall initial window 2. The installation process requests the DB2 administrator ID password (Figure 3-2). Supply a password for the DB2 administrator, and press Enter. You have to re-enter the password for verification. Figure 3-2 IBM DB2 Configuration Options window 3. The installation process requests the IBM HTTP Server administrator ID password (Figure 3-3 on page 69). Supply a password for the IBM HTTP Server administrator, and press Enter. 68 PDA Management with IBM Tivoli Configuration Manager
  • 83.
    Figure 3-3 IBMHTTP Server Configuration Options window 4. Accept the default value for the IBM Global Security Toolkit (GSK) installation directory, c:Program FilesIBMGSK, and enter Y to continue. 5. Accept the default value for the IBM Directory Client installation directory, c:Program FilesIBMLDAP, and enter Y to continue. 6. The SecureWay® Directory Server Configuration window appears. The following options need to be changed: – Option 2 Supply an LDAP Administration password, and then re-enter it for verification. Press Enter to continue. – Option 4 Enter the suffix for your LDAP environment. The suffix specifies the distinguished name of where the Global Sign-On (GSO) database is located in the LDAP server directory information tree (DIT). At minimum, enter your organization (o) and country code (c) separated by a comma. For example: o=tivoli,c=us After you set it, press Enter to continue. Figure 3-4 on page 70 shows the SecureWay Directory Server Configuration settings. Double-check the configuration options and enter Y and then press Enter to continue. The installation process is then initiated. Chapter 3. Implementing security on the PDA management environment 69
  • 84.
    Figure 3-4 IBMDirectory Server Configuration Options window 7. As shown in Figure 3-5, after DB2 is installed, you have to restart your computer. Press Enter to restart the PC. The installation will continue right after restart. Figure 3-5 IBM Directory Server Installation and Configuration window 70 PDA Management with IBM Tivoli Configuration Manager
  • 85.
    Figure 3-6 IBMDirectory Server installation - restart 8. As shown in Figure 3-6, after restart, the install script continues the installation and configuration of the remaining components. After the installation of IBM SecureWay Directory Server, you have to restart your computer again. Press Enter to continue. 9. After restart, the IBM SecureWay Directory Server gets configured, and the installation finishes. Press Enter to exit from the install script, as shown in Figure 3-7. Figure 3-7 IBM Directory Server Installation and Configuration window Chapter 3. Implementing security on the PDA management environment 71
  • 86.
    3.2.2 Installing AccessManager - Policy Server In this section, we describe the Access Manager Policy Server installation process using the easy install method of IBM Tivoli Access Manager. This step should be performed on the Access Manager system. The easy install script, ezinstall_pdmgr.bat, sets up a base system with the following software packages: IBM Global Security Toolkit (GSKit) IBM SecureWay Directory client Access Manager runtime Policy Server 1. From the root directory of the IBM Tivoli Access Manager 3.9 Base System installation drive, run the following command: ezinstall_pdmgr.bat The initial installation window is displayed, as shown in Figure 3-8. Figure 3-8 Response file for ezinstall This window indicates that a response file was created previously for this process. The response file stores all the parameters of the previously installed software modules of IBM Tivoli Access Manager. This prevents users from reinstalling specific modules or reconfiguring previously configured software. Press Y to use the response file. 2. The installation process will require the following information: – The host name of the LDAP Server. Enter the host name of your server. 72 PDA Management with IBM Tivoli Configuration Manager
  • 87.
    – The suffix.Enter the suffix that you specified during the IBM Directory Server installation. – Whether SSL communication will be used with the LDAP server. The installation window is shown in Figure 3-9. Figure 3-9 Access Manager Runtime Configuration Options window 3. As shown in Figure 3-10, enter the LDAP server administrator password that you’ve specified during the IBM Directory Server installation and press Enter. Figure 3-10 Access Manager Policy Server Configuration Options window 4. As shown in Figure 3-11 on page 74, the installation requests the computer to be restarted. Press Enter to restart the PC. The installation will continue right after restart. Chapter 3. Implementing security on the PDA management environment 73
  • 88.
    Figure 3-11 AccessManager Policy Server Installation and Configuration window 5. After restart, both the Access Manager Runtime and the Access Manager Policy Server are configured automatically. When they are done, press Enter to exit the install script. This is shown in Figure 3-12. Figure 3-12 Access Manager Policy Server successful installation 3.2.3 Installing Access Manager - Authorization Server In this section, we describe the Access Manager Authorization Server installation process using the easy install method of IBM Tivoli Access Manager. This step should be performed on the Access Manager system. 74 PDA Management with IBM Tivoli Configuration Manager
  • 89.
    The easy installscript, ezinstall_pdacld.bat, sets up a base system with the following software packages: IBM Global Security Toolkit (GSKit) IBM SecureWay Directory client Access Manager runtime Authorization Server 1. From the root directory of the IBM Tivoli Access Manager 3.9 Base System installation drive, run the following command: ezinstall_pdacld.bat The initial installation window is displayed, as shown in Figure 3-13. Figure 3-13 Response file for ezinstall This window indicates that a response file was created previously for this process. The response file stores all the parameters of the previously installed software modules of IBM Tivoli Access Manager. This prevents users from reinstalling specific modules or reconfiguring previously configured software. Press Y to use the response file. 2. The installation process will require the following information: – The LDAP administrator password. Enter the LDAP server administrator password that you specified during the IBM Directory Server installation and press Enter. – The Security Master user ID password. The user ID sec_master will be created at this time. The sec_master user ID is the highest level of authorization in the Access Manager secure domain. Enter the sec_master password and press Enter. Chapter 3. Implementing security on the PDA management environment 75
  • 90.
    3. As soonas the sec_master password has been specified, the installation proceeds with the configuration of the Authorization Server. 4. The installation process ends as soon as the configuration of the Authorization Server ends, as shown in Figure 3-14. Press Enter to exit the script. Figure 3-14 Successful installation 3.2.4 Installing Access Manager - Application Development Kit In this section, we describe the Access Manager Application Development Kit installation process using the easy install method of IBM Tivoli Access Manager. This step should be performed on the Access Manager system. The easy install script, ezinstall_pdauthadk.bat, sets up a base system with the following software packages: IBM Global Security Toolkit (GSKit) IBM SecureWay Directory client Access Manager runtime Application Development Kit (ADK) 1. From the root directory of the IBM Tivoli Access Manager 3.9 Base System installation drive, run the following command: ezinstall_pdauthadk.bat The initial installation window is displayed, as shown in Figure 3-15 on page 77. 76 PDA Management with IBM Tivoli Configuration Manager
  • 91.
    Figure 3-15 Responsefile for ezinstall This window indicates that a response file was created previously for this process. The response file stores all the parameters of the previously installed software modules of IBM Tivoli Access Manager. This prevents users from reinstalling specific modules or reconfiguring previously configured software. Press Y to use the response file. 2. The installation process ends as soon as the configuration of the related Access Manager components end, as shown in Figure 3-16. Press Enter to exit the script. Figure 3-16 Access Manager ADK Installation and Configuration window Chapter 3. Implementing security on the PDA management environment 77
  • 92.
    3.2.5 Installing AccessManager - WebSEAL In this section, we describe the Access Manager WebSEAL installation process using the easy install method of IBM Tivoli Access Manager. This step should be performed on the Access Manager system. The WebSEAL installation separates file extraction from package configuration. Use an InstallShield program to install the WebSEAL files. Next, use the IBM Tivoli Access Manager configuration utility to configure the WebSEAL Server. 1. From the root directory of the IBM Tivoli Access Manager 3.9 Base System installation drive, run the following command: <CD_Drive>:windowsPolicyDirectorDisk ImagesDisk1WebSEALDisk ImagesDisk1setup.exe 2. Select the language. We are using the English version. 3. The Access Manager WebSEAL Setup window appears (Figure 3-17). Select Next. Figure 3-17 Access Manager WebSEAL Setup window 4. Click Yes to accept the License Agreement. 5. Select the installation directory or accept the default value provided. 6. As shown in Figure 3-18 on page 79, select the available components to be installed. They are Access Manager WebSEAL Server (PDWeb) and Access Manager WebSEAL Application Development Kit (PDWebADK). Click Next to accept these components and continue. 78 PDA Management with IBM Tivoli Configuration Manager
  • 93.
    Figure 3-18 WebSEALcomponent selection 7. The installation completes with the success window, shown in Figure 3-19. Click Finish to complete the installation. Figure 3-19 WebSEAL - successful installation Chapter 3. Implementing security on the PDA management environment 79
  • 94.
    Configuring Access ManagerWebSEAL After the installation of WebSEAL has completed, we need to use the Access Manager configuration utility to configure the WebSEAL Server. 1. Select Start -> Programs -> Access Manager for e-business -> Configuration. The Access Manager Configuration window appears. This is shown in Figure 3-20. Figure 3-20 Access Manager for e-business Configuration 2. Select Access Manager WebSEAL, and click the Configure button. The HTTP properties window appears. Figure 3-21 Setting WebSEAL HTTP properties 80 PDA Management with IBM Tivoli Configuration Manager
  • 95.
    Select Allow [unsecure]TCP HTTP access and Allow HTTPS access and specify their port numbers. Note: If you are running any other Web servers on this computer, verify that the TCP HTTP port for the other servers does not conflict with the WebSEAL TCP HTTP port. 3. The Access Manager Administrator Password window appears. Enter the password for the sec_master user ID specified during the Authorization Server installation. Figure 3-22 Access Manager Administrator Password Note: if you repeatedly enter an incorrect password, you may see the error message: Error: This account has been temporarily locked out due to too many failed login attempts. If this occurs, obtain the correct password, wait five minutes for the lock to clear, and then restart the configuration program. 4. When configuration completes, a status message states that the configuration was successful. The Access Manager Configuration window appears. Chapter 3. Implementing security on the PDA management environment 81
  • 96.
    Figure 3-23 WebSEALconfigured successfully 3.2.6 Installing Access Manager - Java Runtime Environment Important: This step should be performed on the Tivoli Web Gateway system. To install and configure the Access Manager Java Runtime Environment (pdjrte), follow these steps: 1. Make sure you stop IBM HTTP Server and IBM WebSphere Application Server before installing the Access Manager Java Runtime Environment. 2. Delete the IBMJCEfw.jar file in the jvm_pathjrelibext directory. The default location is C:WebSphereAppServerjavajrelibextibmjcefw.jar. 3. To install the Access Manager JRE component, run the setup.exe command in the <CDDrive>:windowsPolicyDirectorDisk ImagesDisk1PDJRTEDisk ImagesDisk1 directory. 4. Select the language. We are using the English version. 5. The Access Manager Java Runtime Setup window appears (Figure 3-24 on page 83). Select Next. 82 PDA Management with IBM Tivoli Configuration Manager
  • 97.
    Figure 3-24 AccessManager Java Runtime welcome window 6. Click Yes to accept the License Agreement. 7. Select the installation directory or accept the default value provided. 8. The installation completes with the success window, shown in Figure 3-25. Click Finish to complete the installation. Figure 3-25 Java Runtime setup installation complete Chapter 3. Implementing security on the PDA management environment 83
  • 98.
    9. When theruntime installation has completed, the system must be rebooted. Select Yes to restart your computer. 10.Make sure the IBM SecureWay Directory, IBM WebSphere Admin Server and IBM HTTP Server services are running. 11.To successfully run Access Manager configuration commands, such as the pdjrtecfg command, the Java binary for the WebSphere Application Server must be the first entry in your PATH statement. On Windows, enter the following command: set PATH=C:WebSphereAppServerjavajrebin;%PATH% 12.You need to configure the Java Runtime Environment provided by IBM Tivoli Access Manager. Enter the following commands: cd C:Program FilesTivoliPolicy Directorsbin pdjrtecfg -action config -java_home C:WebSphereAppServerjavajre This command sets the java_home variable of Access Manager Java Runtime. 13.When the environment variable is set, create the SSL configurations file and keystores. Run the following command on each Web Gateway server: java com.tivoli.mts.SvrSslCfg application_name security_password policy_server_hostname authorization_server_hostname policy_server_port authorization_server_port configuration_file keystore_file operation Where: – application_name Is the name of the Access Manager application to create and associate with the SSL communication. The application name must be unique. Other instances of the application, which are running on this or other systems, must each be given a unique name. A distinguished name can be used when an LDAP-based user registry is used with Access Manager. – security_password Is the sec_master user ID password. – policy_server_hostname Is the name of the system where the Access Manager Policy Server process (ivmgrd) is running. – authorization_server_hostname Is the name of the system where the Access Manager Authorization Server process (ivacld) is running. In our case, it is the same system as the Policy Server. 84 PDA Management with IBM Tivoli Configuration Manager
  • 99.
    – policy_server_port Is the port used for SSL communication with the Policy Server. The default is port 7135. – authorization_server_port Is the port used for SSL communication with the Authorization Server. The default port is 7136. – configuration_file Is the URL to the configuration file. The URL must use the file:/// format. The default is <java_home>/PdPerm.properties, where <java_home> is the directory where the Access Manager Java Runtime Environment is installed. – keystore_file Is the URL to the keystore file. The URL must use the file:/// format. The default is <java_home>/PdPerm.ks, where <java_home> is the directory where the Access Manager Java Runtime Environment is installed. The PDPerm.properties and PdPerm.ks files must be in the same directory. – operation Specify create. Valid operations are create, replace, or unconfig. For example: java com.tivoli.mts.SvrSslCfg twg_application secmastpw itcmpda3 itcmpda3 7135 7136 file:///C:/WebSphere/AppServer/java/jre/PolicyDirector/PdPerm.properties file:///C:/WebSphere/AppServer/java/jre/PolicyDirector/Pd.ks create 3.3 Configuring the secure environment This section provides configuration procedures for enabling security in the pervasive devices management environment. Such procedures will enable the integration of IBM Tivoli Access Manager with Tivoli Web Gateway. We describe administrative and configuration tasks on both the IBM Tivoli Configuration Manager/Tivoli Web Gateway and the Access Manager servers. For easier understanding, we describe whether the task should be performed on the Access Manager server or the IBM Tivoli Configuration Manager/Tivoli Web Gateway server Chapter 3. Implementing security on the PDA management environment 85
  • 100.
    3.3.1 Creating aWebSEAL junction to the Web Gateway Access Manager provides authentication, authorization, and management services for a network. In our environment, these services are provided by the front-end WebSEAL Servers that integrate and protect Web resources and applications located on back-end Web application servers. The back-end Web application server in our scenario is represented by the Tivoli Web Gateway system. The connection between a WebSEAL Server and a back-end Web application server is known as a WebSEAL junction, or junction. A WebSEAL junction is a TCP/IP connection between a front-end WebSEAL Server and a back-end Web application server. Junctions allow WebSEAL to protect Web resources located on back-end servers. A WebSEAL junction over a TCP connection provides the basic properties of a junction but does not provide secure communication across the junction. SSL junctions allow secure end-to-end browser-to-application transactions. You can use SSL to secure communications from the client to WebSEAL and from WebSEAL to the back-end server. The back-end server must be HTTPS-enabled when you use an SSL junction. Figure 3-26 represents the two basic types of junction. Figure 3-26 Basic types of WebSEAL junctions 86 PDA Management with IBM Tivoli Configuration Manager
  • 101.
    More information onjunctions can be found in the IBM WebSEAL Administration Guide, SC32-1134. WebSEAL supports the following authentication methods: Basic Authentication (ba-auth) Basic authentication is a standard method for providing a user name and password to the authentication mechanism. BA is defined by the HTTP protocol and can be implemented over HTTP and over HTTPS. By default, WebSEAL is configured for authentication over HTTPS via basic authentication. Forms-based Authentication (forms-auth) Access Manager provides forms-based authentication as an alternative to the standard basic authentication mechanism. This method produces a custom HTML login form from Access Manager instead of the standard login prompt resulting from a basic authentication challenge. When you use forms-based login, the browser does not cache the user name and password information as it does in basic authentication. This method can be implemented over HTTP and over HTTPS as well. Note: If the forms-based authentication method is enabled, the basic authentication method settings are ignored. Handheld devices can only use basic authentication. Both base and forms authentication settings are done in the WebSEALd.conf file located in the C:TivoliPDWebetc directory. Also in the WebSEALd.conf file there is the use-same-session entry. This option is for enabling or disabling the ability to use the same session data when a client switches between HTTP and HTTPS. More information on authentication can be found in the IBM WebSEAL Administration Guide, SC32-1134. in order to create a junction between the Access Manager WebSEAL Server and the Tivoli Web Gateway Server, on the Access Manager machine, perform the following steps: 1. Start the pdadmin command environment by clicking Start -> Programs -> Access Manager for e-business -> Administration Command Prompt. 2. Log in to the Access Manager by entering the command: login -a sec_master -p sec_master_password Chapter 3. Implementing security on the PDA management environment 87
  • 102.
    Use the serverlist command to verify server identification. This will also provide the name of the WebSEAL Server name: webseald-<hostname>. Figure 3-27 pdadmin utility - server list Note: Please check in advance that the WebSEAL Server can access the Web Gateway and vice versa, using both simple and fully qualified host names. 3. Create the junction using the server task command as follows: server task webseald-<hostname> create -j -c all -t tcp -h <webgateway_hostname> -p 80 /twgapp Example (Figure 3-28 on page 89): server task webseald-itcmpda3 create -j -c all -t tcp -h itcmpda1 -p 80 /twgapp 88 PDA Management with IBM Tivoli Configuration Manager
  • 103.
    Figure 3-28 pdadminutility - creating junction Type exit to quit the pdadmin command environment. 3.3.2 Configuring query_contents for WebSEAL To protect the Tivoli Web Gateway resources using the Access Manager security service, we must provide WebSEAL with information about the contents of the Tivoli Web Gateway Web space. A CGI program called query_contents provides this information. The query_contents program searches the Tivoli Web Gateway Web space contents and provides this inventory information to the Web Portal Manager on WebSEAL. The program comes with the WebSEAL installation, but must be manually installed on the Tivoli Web Gateway server. There are different program file types available, depending on whether the third-party server is running UNIX or Windows. In order to make WebSEAL aware of the contents of the Tivoli Web Gateway, perform the steps in the next sections. Tivoli Web Gateway running on Windows 1. Copy the file query_contents.exe file from the C:Program FilesTivoliPDWebwwwlibquery_contents directory on the Tivoli Access Manager machine into the C:Program FilesIBM HTTP Servercgi-bin on the Tivoli Web Gateway machine. Chapter 3. Implementing security on the PDA management environment 89
  • 104.
    2. Copy thefile query_contents.cfg file from the C:Program FilesTivoliPDWebwwwlibquery_contents directory on the Tivoli Access Manager machine into the C:WINNT on the Tivoli Web Gateway machine. 3. On the Tivoli Web Gateway machine, edit the file C:WINNTquery_contents.cfg to define the docroot parameter as follows: docroot=C:Program FilesIBM HTTP Serverhtdocs 4. Restart the IBM HTTP Server, and test query_contents by entering the following URL into a Web browser: http://<WebGateway_hostname>/cgi-bin/query_contents?dirlist=/ The result of this URL (shown in Figure 3-29) should be a 100 return code, followed by a listing of the files and directories in C:Program FilesIBM HTTP Serverhtdocs. Figure 3-29 Query_contents result Tivoli Web Gateway running on AIX 1. Copy the file query_contents.sh file from the C:Program FilesTivoliPDWebwwwlibquery_contents directory on the Tivoli Access Manager machine into the /usr/HTTPServer/cgi-bin on the Tivoli Web Gateway machine. 90 PDA Management with IBM Tivoli Configuration Manager
  • 105.
    2. On theTivoli Web Gateway machine, remove the .sh extension from the file name. 3. Manually edit the query_contents script file to correctly specify the docroot directory: /usr/HTTPServer/htdocs 4. Enable the execute bit for the administration account of the Web server on the query_contents script. 5. Restart the IBM HTTP Server, and test query_contents by entering the following URL into a Web browser: http://<WebGateway_hostname>/cgi-bin/query_contents?dirlist=/ Results should be similar to Figure 3-29 on page 90. 3.3.3 Installing Tivoli Web Gateway with security enabled This section describes the installation step used to enable security during the installation of the Tivoli Web Gateway. Install the Web Gateway component as described in Chapter 2, “Getting the environment up and running” on page 13, up to the point when the Specify the Access Manager Configuration Information window appears. On the Specify the Access Manager Configuration Information window, complete the entry fields as follows, then click Next. Enable Security: True Host Name: Specify the host name of the Access Manager Server Junction point: /WebSEAL/<hostname>/twgapp, where <hostname> is the host name of the Access Manager server Access Manager user name: sec_master Password: Password of sec_master WebSEAL protocol: HTTPS WebSEAL port: WebSEAL Server HTTPS port, default to 443 Access Manager configuration file: The PdPerm.properties file created when configuring the Access Manager Java Runtime Environment: C:/WebSphere/AppServer/java/jre/PolicyDirector/PdPerm.properties Access Manager JAR files home: Directory of the Access Manager Java Runtime Environment: C:/Program Files/Tivoli/Policy Director/java/export/pdjrte Chapter 3. Implementing security on the PDA management environment 91
  • 106.
    Note: Be verycareful with spaces. Under an Access Manager configuration file, PolicyDirector has no spaces. Under Access Manager JAR files home, Policy Director does have a space. Figure 3-30 Access Manager Configuration Information The remaining steps of the installation process is the same as described in Chapter 2, “Getting the environment up and running” on page 13. 3.3.4 Configuring Web Gateway to use WebSEAL junction At this point, we have the environment up and running. That includes the Tivoli Web Gateway Server and Access Manager Server running in separate machines, with a WebSEAL junction from the Access Manager Server to the Tivoli Web Gateway Server. This section provides information on additional configuration steps to be performed on the Tivoli Web Gateway Server in order to enable pervasive devices to connect to the Tivoli Web Gateway through the WebSEAL junction. 92 PDA Management with IBM Tivoli Configuration Manager
  • 107.
    In order totest the WebSEAL junction to the Tivoli Web Gateway, perform the following steps: 1. Open a browser in any machine in the network and enter the following URL: https://<WebSEAL_hostname>/twgapp You should receive a response similar to Figure 3-31. Figure 3-31 Unknown certificate alert 2. Click Yes to accept the certificate. The Access Manager Login window will open, as shown in Figure 3-32 on page 94. Chapter 3. Implementing security on the PDA management environment 93
  • 108.
    Figure 3-32 AccessManager Login 3. Enter the username (sec_master) and the password to log in. After you logged in, the IBM HTTP Server Welcome window is displayed. In order to enable pervasive devices to connect to the Tivoli Web Gateway through the WebSEAL junction, we need to perform the following steps on the Tivoli Web Gateway Server: Configure the enrollment URL. Modify the web.xml configuration file of WebSphere for use with junctions. Configure the enrollment URL During the installation of the Tivoli Web Gateway component, the default enrollment URL is defined as follows: http://<WebGW_hostname>/dmserver/DeviceEnrollmentServlet where <WebGW_hostname> is the host name (or IP address) of the Tivoli Web Gateway Server. We need to change the enrollment URL from the default value to the WebSEAL junction URL. This can be achieved by performing the steps on the Tivoli Web Gateway Server as shown in the following sections. 94 PDA Management with IBM Tivoli Configuration Manager
  • 109.
    Tivoli Web Gatewayrunning on UNIX Run the deviceclass.sh script as follows: # cd <TWG_HOME>/bin # deviceclass.sh -modify Palm -enroll http://<WebSEAL_hostname>/twgapp/dmserver/DeviceEnrollmentServlet # deviceclass.sh -modify Wince -enroll http://<WebSEAL_hostname>/twgapp/dmserver/DeviceEnrollmentServlet # deviceclass.sh -modify Nokia9200Series -enroll http://<WebSEAL_hostname>/twgapp/dmserver/DeviceEnrollmentServlet where <TWG_HOME> is the installation directory of the Tivoli Web Gateway Tivoli Web Gateway running on Windows Run the deviceclass.bat script as follows cd /Program Files/TivTWG/bin deviceclass.bat -modify Palm -enroll http://<WebSEAL_hostname>/twgapp/dmserver/DeviceEnrollmentServlet deviceclass.bat -modify Wince -enroll http://<WebSEAL_hostname>/twgapp/dmserver/DeviceEnrollmentServlet deviceclass.bat -modify Nokia9200Series -enroll http://<WebSEAL_hostname>/twgapp/dmserver/DeviceEnrollmentServlet Modify the web.xml file for use with junctions Edit the web.xml file on the Tivoli Web Gateway Server and perform the following changes. The web.xml file is located in the <WAS_HOME>/installedApps/hostname_DMS_Webapp.ear/dmserver.war/WEB -INF directory, where <WAS_HOME> is the WebSphere installation directory Add the following stanza after the fullyQualifiedHostNameOfServer parameter definition: <init-param> <param-name>authProxyDmsUrl</param-name> <param-value>NEWURL</param-value> </init-param> where NEWURL is the Web address of the WebSEAL junction: http://<WebSEAL_hostname>/twgapp At this point you can connect the pervasive device to the Tivoli Web Gateway though the WebSEAL junction using HTTP, as shown in Figure 3-33 on page 96. Chapter 3. Implementing security on the PDA management environment 95
  • 110.
    Figure 3-33 Loggingon to the Web Gateway 96 PDA Management with IBM Tivoli Configuration Manager
  • 111.
    Part 2 Part 2 Case study scenario © Copyright IBM Corp. 2003. All rights reserved. 97
  • 112.
    98 PDA Management with IBM Tivoli Configuration Manager
  • 113.
    4 Chapter 4. Managing pervasive devices This chapter provides a case study scenario based on a fictitious company. It describes the techniques used to manage Palm, Windows PocketPC, and Nokia 9200 series devices. This scenario should give you a basic understanding of the capabilities of IBM Tivoli Configuration Manager when managing pervasive devices. The topics included in this chapter are: Case study overview Managing Nokia 9290 Communicator Managing Palm devices Managing WinCE/PocketPC devices Weekly distribution of the price and stock list © Copyright IBM Corp. 2003. All rights reserved. 99
  • 114.
    4.1 Case studyoverview In this scenario, we model a fictitious pharmaceutical company. Our customer has a requirement to update its sales force with the latest price and stock list and on the three following type of PDAs: Nokia 9290 Communicator Palm V Toshiba Pocket PC e335 All of these PDA devices are given to the traveling sales force. The sales force receives the actual price and stock list in a PDF file. In this case, we also need to deploy the appropriate version of a PDF reader software. The company’s objective is that each time users of the sales department connect their devices to their host PCs, which are connected to the company network, they should receive the latest version of the price and stock PDF file, if available. A new PDF file is created on the first business day of each week. The company would like to manage all devices from one central point, preferably the entire device management environment rolled out on one single server, as described in previous chapters. There is no requirement for securing the environment with IBM Tivoli Access Manager, since all operations will be done at the corporate office. The company has a total of 1500 devices in a mix of the three types mentioned above. We used the IBM Tivoli Configuration Manager and the Tivoli Web Gateway component to provide the PDA device management solution. We followed these steps: 1. Since the requirement is to manage all pervasive devices from a centralized location, we installed all the required components on a single box. The following software is installed: – IBM DB2 Universal Database Enterprise Edition Version 7.2 – IBM DB2 Universal Database Enterprise Edition Fixpack 7 (Version 7.2.5) – IBM WebSphere Application Server Advanced Edition Version 4.0.1 – IBM WebSphere Application Server Advanced Edition Fixpack 3 (Version 4.0.3) – IBM Tivoli Framework Version 4.1 – IBM Tivoli Configuration Manager Version 4.2 – Tivoli Web Gateway For instructions on how to set up such an environment, refer to Chapter 2, “Getting the environment up and running” on page 13. 100 PDA Management with IBM Tivoli Configuration Manager
  • 115.
    2. We createdthe Policy Region structure shown in Figure 4-1 in the Tivoli environment. The resource groups are subscribed to the relevant Profile Managers to enable us to distribute software packages or inventory profiles to the devices. For information on creating Policy Regions and Profile Managers, please refer to Tivoli Management Framework User’s Guide Version 4.1, GC32-0805-003 manual. Figure 4-1 Policy Region structure The naming convention presented in Figure 4-1 represents: – Pr = Policy region – rg = Resource group – Pf = Profile Chapter 4. Managing pervasive devices 101
  • 116.
    – sp =Software package – Pm = Profile Manager – The [device_type] variable can be: • palm • nokia • wince (used also for PocketPCs) Note: According to the naming convention rules of IBM Tivoli Configuration Manager Software Distribution, the software package profile has to have a “^” character in its name (for example, software_name^version_number). 3. Depending on the PDA type, we will set up the IBM Device Agents either on the PDA and or on the PDA’s host PCs, and connect them to the Resource Gateway. Table 4-1 IBM Device Agents Device Type IBM Device Agent name IBM Device Agent name resides on the host PC resides on the device Nokia 9290 EUPCInstaller.exe N/A Palm V CondInst.exe DMSAgentResources.PDB PvcPalm.prc Config.PDB Toshiba Pocket PC E335 N/A ceagent.arm.CAB 4. Once the device is connected to the Resource Gateway, we will sort them into the relevant resource groups: – Nokia devices - rg.pervasive_devices.nokia – Palm devices - rg.pervasive_devices.palm – Wince devices - rg.pervasive_devices.wince 5. The devices have no PDF reader software installed yet. We have decided to use Acrobat Reader for Palm and PocketPC PDAs, and PDF+ for Nokia devices. We will create the software packages, import them to the already created Profile Managers and initiate the Software Distribution. Table 4-2 Platforms and PDF reader software PDA platform PDF reader software to deploy Nokia 9290 Communicator PDF+ Palm V Adobe Acrobat Reader for Palm OS Toshiba Pocket PC E335 Adobe Acrobat Reader for Pocket PC 102 PDA Management with IBM Tivoli Configuration Manager
  • 117.
    6. We willinitiate an inventory scan on the devices, where applicable, and collect the device hardware and software information. Table 4-3 Device Tivoli action matrix Device Type Software Distribution Inventory scan Nokia 9290 Yes Not supported Palm V Yes Yes Toshiba Pocket PC E335 Yes Yes 4.2 Managing Nokia 9290 Communicator The prerequisites for the Device Agent are the PC and Administrator Suites for the Nokia 9290 Communicator. You need to install the PC Suite before you can install the Administrator Suite. Both these suites are supplied by Nokia or can be downloaded from the Nokia Web site. We have already installed these suites. http://www.nokia.com/phones/productsupport The Device Agent does not reside on the device. It is referred to as a proxy agent because it acts on behalf of the device to communicate with the plug-in on the Web Gateway and the interface of the PC and Administrator Suites’ applications from Nokia. When the device connects to the host PC, the agent contacts the plug-in on the Web Gateway and any pending jobs are processed. The Device Agent uses the Nokia programming interface to perform the jobs on the device. You must install the Device Agent on a host PC that has the PC and Administrator Suites installed. The PC Suite needs to be run at least once to recognize your device before you can install the agent. The agent install program file EUPCInstaller.exe is located on the Tivoli Web Gateway Server in the default directory [TWGdir]agentsNokia, where [TWGdir] is the Tivoli Web Gateway installation directory. 4.2.1 Installation and configuration of the Device Agent for Nokia To install the Device Agent and configure the device: 1. Copy EUPCInstaller.exe to the host PC. 2. Double-click the file to start the installation wizard of the Device Agent. Chapter 4. Managing pervasive devices 103
  • 118.
    Figure 4-2 NokiaDevice Agent welcome window 3. Click Next to continue. Figure 4-3 Specify destination folder 104 PDA Management with IBM Tivoli Configuration Manager
  • 119.
    4. Specify thedestination folder of the installation and click Next. We use the default destination folder. Figure 4-4 Device management server URL specification 5. The next step is to specify the device management server URL. The syntax is: http://<TWG_hostname>/dmserver/NokiaDeviceServlet where <TWG_hostname> is the Tivoli Web Gateway host name. 6. After clicking Next, the installation starts. Chapter 4. Managing pervasive devices 105
  • 120.
    Figure 4-5 Progressbar of the installation Figure 4-6 The finished installation 106 PDA Management with IBM Tivoli Configuration Manager
  • 121.
    7. The NokiaDevice Agent automatically enrolls itself to the Tivoli Web Gateway after the successful installation. Now we open a session. Note: In this part of the scenario, we will use the CLI commands to perform the actions. However, these actions can be performed using the Tivoli Desktop as well. For more information on the wresgw, wresource and wresgrp commands, please consult the IBM Tivoli Configuration Manager User’s Guide for Deployment Services, SC23-4710. 8. We run a wresgw, discover command to verify it: # wresgw discover FBBWD0001I Discover resources FBBWD0002I Resources discovered in itcmpda5 FBBWD0039I UNKNOWN EXISTS 9. We list the discovered pervasive devices: # wresource ls Pervasive_Device Pervasive_Device: 103 UNKNOWN (Nokia9200Series) itcmpda5 Nokia9200Series:010108/50/236874/8 10.Since the label of the Nokia device is UNKNOWN, we rename the label to Communicator001: # wresource edit Pervasive_Device UNKNOWN -u -l Communicator001 11.Check if it was renamed correctly: # wresource ls Pervasive_Device Pervasive_Device: 103 Communicator001 (Nokia9200Series) itcmpda5 Nokia9200Series:010108/50/236874/8 12.We now have to assign the device to a resource group. We assign it to the rg.pervasive_devices.nokia resource group: # wresgrp subscribe rg.pervasive_devices.nokia Communicator001 13.We list the assigned devices in the rg.pervasive_devices.nokia resource group: # wresgrp ls rg.pervasive_devices.nokia rg.pervasive_devices.nokia (Static, Pervasive_Device): 103 (Communicator001) total 1 Chapter 4. Managing pervasive devices 107
  • 122.
    4.2.2 Distributing softwarepackages to Nokia 9290 Communicator In this section we describe the creation and distribution of software packages required by the customer. A software package for the PDF reader software will be created according to the device type. The process for the weekly price/stock list update is described in 4.5, “Weekly distribution of the price and stock list” on page 153. The software of choice for this particular scenario is the PDF+ viewer for Nokia devices from mBrain Software. It can be downloaded from the following Web site: http://www.mbrainsoftware.com/Nokia/Pdf/Pdf.htm First we will create a Software Package Block from the downloaded PDF+ application. 1. Open the software package editor and create a new package named PDF+ and select the device file object. Figure 4-7 Device file object selection 108 PDA Management with IBM Tivoli Configuration Manager
  • 123.
    2. We inserta device file to the already created device object. Figure 4-8 Inserting device file 3. We set the caption to PDF+ and the Device Type to Nokia9200Series. Figure 4-9 Device Object Properties window 4. The next step is to add the device file properties. We set the following options: – Source Chapter 4. Managing pervasive devices 109
  • 124.
    Location: c:workredpaper - location of the file on the package builder – Name: PDF+.SIS - Name of the installation file – Destination – Location: c:documents - the directory location on the target PDA – Name: PDF+.SIS - file name on the target PDA Note: On the Nokia 9290 Communicator, the directory creation is not supported by the Software Distribution process. You always have to use an existing directory on the target PDA as location on destination. Figure 4-10 Device file properties 5. Finally, we save the software package as pfd_plus.spb. 110 PDA Management with IBM Tivoli Configuration Manager
  • 125.
    Figure 4-11 Savingthe software package as an .spb file 6. Now we switch to the Tivoli Desktop. Create the Profile Manager named pm.pervasive_devices.swd.nokia.pdf_plus^1.0. Ensure that you don’t use the dataless Endpoint Mode upon creation. Figure 4-12 Profile Manager for Nokia devices 7. Create the Software Package object sp.pervasive_devices.swd.nokia.pdf_plus^1.0 and import the pfd_plus.spb file. Chapter 4. Managing pervasive devices 111
  • 126.
    Note: In thisscenario, since we are focusing on the new features regarding resource management, we will not show the basic steps of Tivoli, such as creating a Profile Manager or importing a Software Package Block. For more information on the basic steps of creating a Profile Manager or importing a software package object, please consult IBM Tivoli Configuration Manager User’s Guide for Software Distribution, SC23-4711. Figure 4-13 sp.pervasive_devices.swd.nokia.pdf_plus^1.0 8. The next step is to subscribe the rg.pervasive_devices.nokia resource group to the pm.pervasive_devices.swd.nokia.pdf_plus^1.0 Profile Manager. 112 PDA Management with IBM Tivoli Configuration Manager
  • 127.
    Figure 4-14 Subscribingthe rg.pervasive_devices.nokia resource group The Profile Manager will look like Figure 4-15 on page 114. Chapter 4. Managing pervasive devices 113
  • 128.
    Figure 4-15 TheSubscribed rg.pervasive_devices.nokia resource group Now we are ready to distribute the PDA+ software to the Nokia device. 1. Open the installation window, assign the rg.pervasive_devices.nokia resource group to the Install Software Package On: field, and click Install & Close. 114 PDA Management with IBM Tivoli Configuration Manager
  • 129.
    Figure 4-16 InstallSoftware Package window 2. You can check the MDist2 GUI to follow up the distribution status. However, when you see that the package distribution was successful, this only indicates that the software package was published to the Tivoli Web Gateway successfully. You can check the location of the published package if you open the Software Distribution log file of the current distribution. Example 4-1 Chapter 4. Managing pervasive devices 115
  • 130.
    shows our logfile: /tivoli/bin/swdis/work/sp.pervasive_devices.swd.nokia.pdf_plus^1.0.log. Example 4-1 sp.pervasive_devices.swd.nokia.pdf_plus^1.0.log Software Package: "sp.pervasive_devices.swd.nokia.pdf_plus^1.0" Operation: install Mode: not-transactional,not-undoable Time: 2003-03-11 17:48:04 ================= Pervasive Device list: Communicator001 DISSE0074I Operation successfully submitted. Distribution ID is 1148766224.17. ================= Software Package: "sp.pervasive_devices.swd.nokia.pdf_plus^1.0" Operation: install Mode: not-transactional,not-undoable Time: 2003-03-11 17:59:34 ================= Communicator001: DISSE0155I Distribution ID: `1148766224.17' DISSE0029I Current software package status is 'IC---'. DISSE0001I Operation successful. DISSE0538I The TWG metapackage has been published under URL http://itcmpda5:80/twg/device/30311234806729614/__Tivoli.contents__. ================= In this log file you can also see the list of the devices where you have executed the distributions. 3. Using the wwebgw -l @<TWG_hostname> command, we verify the ongoing distributions on the Web Gateway: # wwebgw -l @itcmpda5 Web Gateway endpoint: @itcmpda5 Distribution ID Application ID --------------- -------------- 1148766224.17 1148766224#SoftwareDistribution 4. Once the sales representative connects a Nokia device to the host PC and starts the Nokia 9290 Communicator software, the PDF+ SIS package starts to install on the host PC. Since the Nokia SIS package has no unattended 116 PDA Management with IBM Tivoli Configuration Manager
  • 131.
    installation option, thesales rep has to follow the installation steps manually in order to install the PDF+ on the Nokia 9290 device successfully. Figure 4-17 Installation of the PDF+ SIS package 5. Verify the installation on the Nokia device. You should see the PdfPlus software installed under the extras session. Figure 4-18 Installed PdfPlus software on the Nokia Device window Note: On Nokia 9290 devices, the inventory scan is not supported, so you will not be able to send inventory scans to these devices. See the installed software packages using the DEV_CMSTATUS_QUERY inventory query. Chapter 4. Managing pervasive devices 117
  • 132.
    4.3 Managing Palmdevices The Tivoli Web Gateway supports all devices that use Palm OS 3.1 or higher operating systems. The Device Agent resides on the device and requires HotSync Manager to be at least the same version of the Palm OS version on the device. Connection software called a conduit must be installed on the host PC to synchronize application-specific files. The device can use a cradle, direct network connection, or both to connect to the host PC. A configuration file, Config.PDB, for each of these types of connections can be prepared with a utility called pdbgene.jar from your config.ini of your network settings. It is supplied with the Tivoli Web Gateway and is located in C:Program FilesTivTwgagenttools. Chapters 11 and 14 of the IBM Tivoli Configuration Manager User’s Guide for Deployment Services, SC23-4710 have details on the pdbgene.jar utility and the parameters in the config.ini file. 4.3.1 Installation and configuration of the Device Agent for Palm You can install the Device Agent by means of the cradle using the following steps: 1. Customize the settings in the config.ini file. We are using the following settings in this scenario: – ServiceName: DevAgent - This is the default setting; don’t change it – DMSAddress: The host name of the Tivoli Web Gateway Server – DMSPort: The port of the Web server on the Tivoli Web Gateway Server – PalmServletName: /dmserver/PalmServlet - This is the default setting; don’t change it – PalmUserID: The user name of the Palm user – SSLOn: We disabled SSL since we don’t use it in this scenario – AttachmentOption: A value of 0 specifies the device decides which connection option to use automatically Example 4-2 shows the config.ini file in our case study scenario. Example 4-2 The config.ini file ServiceName=DevAgent DMSAddress=itcmpda5 DMSPort=80 PalmServletName=/dmserver/PalmServlet PalmUserID=palm001 SSLOn=0 118 PDA Management with IBM Tivoli Configuration Manager
  • 133.
    AttachmentOption=0 2. You willneed to generate a configuration file from the config.ini file. Run the following command to generate the Config.PDB file: java -cp pdbgene.jar com.tivoli.dms.tool.pdbgene.PDBGenerator Config.INI Config.PBD 3. Copy the Device Agent conduit installation file condinst.exe from the Tivoli Web Gateway located in C:Program FilesTivTwgagentspalm to the host PC. 4. The Palm Desktop or HotSync Manager must be installed prior to installing the conduit software. Double-click condinst.exe to start the installation and follow the prompts to complete the installation. Figure 4-19 Palm OS agent installation welcome window 5. For the Palm OS agent program, click Next to start the installation. Chapter 4. Managing pervasive devices 119
  • 134.
    Figure 4-20 PalmOS agent installation progress bar 6. The installation starts automatically. Figure 4-21 The finished Palm OS agent installation 120 PDA Management with IBM Tivoli Configuration Manager
  • 135.
    7. Copy thefollowing files to the host PC and use the install tool of the Palm Desktop (Figure 4-22) along with the HotSync Manager to copy the files to the Palm device: – PvcPalm.prc: Device agent file located on the Tivoli Web Gateway – DMSAgentResources.PDB: Palm OS resource file locate on the Tivoli Web Gateway – Config.PDB: Configuration parameter database file that you created Figure 4-22 Palm Desktop Install tool 8. On completion of the file transfer via HotSync, a new icon called IBM agent should now appear on the Palm device. Note: As an alternative, the configuration of the Palm can also be done without the config.ini file. If you run the IBM Device Agent, it will ask you to configure giving the parameters. The parameters are found in the IBM Tivoli Configuration Manager User’s Guide for Deployment Services, SC23-4710. 9. When you start the IBM agent on the Palm device for the first time, it asks for connection settings. Since we use the default connection setting, we can discard this step. The next window on the Palm is the user name and password field. Even though we do not use authentication in this scenario, we Chapter 4. Managing pervasive devices 121
  • 136.
    still have tospecify the user name (without the password). We have specified palm001 as user name. 10.Now we press the Connect button on the Palm device and select HotSync as a connection type. 11.The IBM Agent connects to the Tivoli Web Gateway. 12.We run a wresgw, discover command to verify it: # wresgw discover FBBWD0001I Discover resources FBBWD0002I Resources discovered in itcmpda5 FBBWD0039I palm001 EXISTS 13.We list the discovered pervasive devices: # wresource ls Pervasive_Device Pervasive_Device: 103 Communicator001 (Nokia9200Series) itcmpda5 Nokia9200Series:010108/50/236874/8 105 palm001 (Palm) itcmpda5 Palm:10EV1A796M8Y 14.When the Palm device is correctly discovered, we assign it to the rg.pervasive_devices.palm resource group. # wresgrp subscribe rg.pervasive_devices.palm palm001 15.We list the assigned devices in the rg.pervasive_devices.palm resource group. # wresgrp ls rg.pervasive_devices.palm rg.pervasive_devices.palm (Static, Pervasive_Device): 105 (palm001) total 1 4.3.2 Distributing software packages to Palm In this section, we describe the creation and distribution of software packages required by the customer. A software package for the PDF reader software will be created according to the device type. The process for the weekly price/stock list update will be described in 4.5, “Weekly distribution of the price and stock list” on page 153. The software of choice for this particular scenario is the Acrobat Reader for Palm devices from Adobe. It can be downloaded from the following Web site: http://www.adobe.com/products/acrobat/acrrpalmdload.html 122 PDA Management with IBM Tivoli Configuration Manager
  • 137.
    In this section,we distribute the Adobe Acrobat viewer software to the Palm device. First we create a Software Package Block from the downloaded Adobe Acrobat application. 1. We open the software package editor and create a new package named Adobe_Acrobat_palm and select the device file object. Figure 4-23 Device file object selection 2. We create the device object: – Caption: Acrobat_Reader_Palm – Subtype: Palm Figure 4-24 Add Device Object Properties window 3. Now we insert a device file. Chapter 4. Managing pervasive devices 123
  • 138.
    Figure 4-25 Insertingdevice file 4. The next step is to add the device file properties. We set the following options: – Location: c:workredpaper - location of the file on the package builder – Name: AcroRead.prc - Name of the installation file Figure 4-26 Device file properties 124 PDA Management with IBM Tivoli Configuration Manager
  • 139.
    5. Finally, wesave the software package as Acrobat_palm.spb. Figure 4-27 Saving the software package as an .spb file 6. Now we switch to the Tivoli Desktop. Create the Profile Manager named pm.pervasive_devices.swd.palm.acrobatreader^2.0. Ensure that you don’t use the dataless Endpoint Mode upon creation. Figure 4-28 Profile manager for Palm devices 7. Create the Software Package object. sp.pervasive_devices.swd.palm.acrobatreader^2.0 and import the Acrobat_palm.spb file. Chapter 4. Managing pervasive devices 125
  • 140.
    Figure 4-29 sp.pervasive_devices.swd.palm.acrobatreader^2.0 8. The following step is to subscribe the rg.pervasive_devices.palm resource group to the pm.pervasive_devices.swd.palm.acrobatreader^2.0 Profile Manager. 126 PDA Management with IBM Tivoli Configuration Manager
  • 141.
    Figure 4-30 Subscribingthe rg.pervasive_devices.palm resource group The Profile Manager will look like Figure 4-15 on page 114 Chapter 4. Managing pervasive devices 127
  • 142.
    Figure 4-31 Thesubscribed rg.pervasive_devices.palm resource group Now we are ready to distribute the Adobe Acrobat Reader software to the Palm Device. 1. Open the installation window and assign the rg.pervasive_devices.palm resource group to the Install Software Package On: field and click Install & Close. 128 PDA Management with IBM Tivoli Configuration Manager
  • 143.
    Figure 4-32 InstallSoftware Package window 2. You can check the MDist2 GUI to follow up the distribution status. However, when you see that the package distribution was successful, this only indicates that the software package was published to the Web Gateway successfully. You can check the location of the published package if you open the Software Distribution log file of the current distribution. Example 4-3 on page 130 Chapter 4. Managing pervasive devices 129
  • 144.
    shows our logfile /tivoli/bin/swdis/work/sp.pervasive_devices.swd.palm.acrobatreader^2.0.log. Example 4-3 sp.pervasive_devices.swd.nokia.pdf_plus^1.0.log ================= Software Package: "sp.pervasive_devices.swd.palm.acrobatreader^2.0" Operation: install Mode: not-transactional,not-undoable Time: 2003-03-14 11:12:13 ================= Pervasive Device list: palm001 DISSE0074I Operation successfully submitted. Distribution ID is 1148766224.22. ================= ================= Software Package: "sp.pervasive_devices.swd.palm.acrobatreader^2.0" Operation: install Mode: not-transactional,not-undoable Time: 2003-03-14 11:14:48 ================= palm001: DISSE0155I Distribution ID: `1148766224.22' DISSE0029I Current software package status is 'IC---'. DISSE0001I Operation successful. DISSE0538I The TWG metapackage has been published under URL http://itcmpda5:80/twg/device/30314171215919986/twg-metapackage-1148766224.22-1 .txt. ================= In this log file you can also see the list of the devices where you have executed the distributions. 3. Using the wwebgw -l @<TWG_hostname> command, we verify the ongoing distributions on the Tivoli Web Gateway, as shown in Example 4-4. Example 4-4 Ongoing distributions # wwebgw -l @itcmpda5 Web Gateway endpoint: @itcmpda5 130 PDA Management with IBM Tivoli Configuration Manager
  • 145.
    Distribution ID Application ID --------------- -------------- 1148766224.22 1148766224#SoftwareDistribution 4. Once the sales representative connects a Palm device to the host PC and start a HotSync operation, the Adobe Acrobat package starts to install on your Palm device. There is no need to have manual interaction while installing the Acrobat Reader software. 5. After the successful installation, you should see the Adobe Acrobat Reader icon on your Palm desktop. 4.3.3 Performing inventory scan on Palm In this section, we explain how to perform an inventory scan on the Palm device. The following steps need to be followed: 1. We have already created the InventoryConfig profile for the Palm devices as shown in the Policy Region structure diagram in Figure 4-1 on page 101. The profile name is pf.pervasive_devices.inv.palm and it is created under the Profile Manager pm.pervasive_devices.inv.palm. We also subscribed the rg.pervasive_devices.palm resource group to the Profile Manager. Chapter 4. Managing pervasive devices 131
  • 146.
    Figure 4-33 InventoryProfile Manager for Palm 2. To customize the InventoryConfig profile, we disabled all scanning options other than related pervasive devices, such as the PC hardware and software scans and UNIX and OS/400 hardware and software scans. We selected only the following options in the Pervasive Devices window: – Hardware Scan - ON – Software Scan - ON – Device Configuration Scan - ON 132 PDA Management with IBM Tivoli Configuration Manager
  • 147.
    Figure 4-34 PervasiveDevices scan window 3. Once the InventoryConfig profile is customized, we perform the inventory scan on rg.pervasive_devices.palm resource group. Chapter 4. Managing pervasive devices 133
  • 148.
    Figure 4-35 Inventoryscan on the rg.pervasive_devices.palm resource group 4. You can follow the inventory scan by checking the lcfd.log on the Tivoli Web Gateway’s lcf directory and on the MDist2 console. However, a successful status only means that the Tivoli Web Gateway has received the request. Example 4-5 lcfd.log on the Tivoli Web Gateway Mar 14 11:34:24 1 lcfd Spawning: /opt/Tivoli/lcf/dat/4/cache/bin/aix4-r1/TME®/INVENTORY/inv_config_ep_pvd_meths, ses: 0bedf0b3 5. By issuing the wwebgw -l @<TWG_hostname> command, we can see if the Tivoli Web Gateway has scheduled the inventory scan for the Palm device. Example 4-6 The scheduled inventory scan # wwebgw -l @itcmpda5 134 PDA Management with IBM Tivoli Configuration Manager
  • 149.
    Web Gateway endpoint:@itcmpda5 Distribution ID Application ID --------------- -------------- 1148766224.23 1148766224#Inventory 6. Once the Palm device is performing a HotSync operation, the inventory scan starts to run and you see the following message on the device: inventory information is being scanned. Please be patient, as this may require up to a few minutes 7. Once the inventory scan has been performed, the Palm device automatically starts a new HotSync operation and sends the scanned information back to the Framework level. 8. When the inventory scan is done, you get a pop-up message on the Palm device saying: Inventory job has completed 9. Alternatively, you can verify the $DBDIR/mcollect/mcollect.log for the success of the inventory scan: Example 4-7 mcollect.log successful inventory scan Mar 14 11:47:14 1 [pid:00017102 tid:536928744] debug_level:1 Mar 14 11:47:14 1 [pid:00017102 tid:536928744] depot_location:depot Mar 14 11:47:14 1 [pid:00017102 tid:536928744] depot_size:41943040 Mar 14 11:47:14 1 [pid:00017102 tid:536928744] depot_chunk:1048576 Mar 14 11:47:14 1 [pid:00017102 tid:536928744] thread_idle_down_time:60 Mar 14 11:47:14 1 [pid:00017102 tid:536928744] thread_sleep_time:5 Mar 14 11:47:14 1 [pid:00017102 tid:536928744] max_input_threads:5 Mar 14 11:47:14 1 [pid:00017102 tid:536928744] max_input_retries:10 Mar 14 11:47:14 1 [pid:00017102 tid:536928744] max_output_threads:5 Mar 14 11:47:14 1 [pid:00017102 tid:536928744] retry_delay_time:1 Mar 14 11:47:14 1 [pid:00017102 tid:536928744] router_cache_lines:0 Mar 14 11:47:14 1 [pid:00017102 tid:536928744] temp_dir:/tivoli/db/itcmpda5.db/mcollect Mar 14 11:47:14 1 [pid:00017102 tid:536928744] depot_load - begin loading index cache. Mar 14 11:47:14 1 [pid:00017102 tid:536928744] depot_load - end loading depot index cache. 10.We execute the PERVASIVE_QUERY from the Tivoli desktop to verify if the device is added to the database correctly. The PERVASIVE_QUERY is located in the PERVASIVE_QUERY library. Chapter 4. Managing pervasive devices 135
  • 150.
    Figure 4-36 Theresult of the PERVASIVE_QUERY Note: Since we used the integrated installation of IBM Tivoli Configuration Manager 4.2, the inventory query libraries are created automatically during the installation. To locate them on the Tivoli Desktop, go to the default created Policy Region (in our case it is itcmpda-region). 11.We execute the DEV_CMSTATUS_QUERY to verify the installation of the Adobe Acrobat Reader. However, this part of the inventory database is automatically updated whenever a Software Distribution is performed on the device. So you do not need to run an inventory scan to receive this data. 136 PDA Management with IBM Tivoli Configuration Manager
  • 151.
    Figure 4-37 Resultfor query: DEV_CMSTATUS_QUERY 4.4 Managing WinCE/PocketPC devices The Tivoli Web Gateway supports all devices that use WinCE and Windows PocketPC. The Device Agent resides on the device and requires some sort of synchronization software between the host PC and the device in order to synchronize application-specific files. In our scenario, we will use Microsoft Active Sync V3.5 that ships with the Toshiba Pocket PC e335. The Device Agent (IBM Agent) is a Tivoli software component that polls and processes jobs in the polling queue that have been submitted by the plug-in. A Windows CE Service must be installed on the host PC to establish communication between the host PC and the device. For each CPU type, there is a different Device Agent installation package. These are located on the Tivoli Web Gateway in the following directories: For WinCE Version 2.11: <TWGDIR>agentswinceWinCE2.1 For WinCE Version 3.0 and Pocket PC or Pocket PC 2002 devices: <TWGDIR>agentswinceWinCE3.0 Where <TWGDIR> is the Tivoli Web Gateway installation directory. Chapter 4. Managing pervasive devices 137
  • 152.
    Table 4-4 Agentinstall package per processor type CPU Type Agent install package SH-3 ceagent.sh3.cab SH-4 ceagent.sh4.cab MIPS ceagent.mip.cab StrongARM ceagent.arm.cab Since our device uses the StrongARM processor, we will use the ceagent.arm.cab installation package. 4.4.1 Installation and configuration of the Device Agent for PocketPC You can install the Device Agent by means of the cradle using the following steps: 1. Open the device synchronization software, in our case Microsoft Active Sync, and click Explore. Figure 4-38 Device connected 138 PDA Management with IBM Tivoli Configuration Manager
  • 153.
    2. The directorystructure of the handheld device will be displayed. Figure 4-39 Mobile Device directory structure 3. Copy the appropriate Device Agent installation package from the Tivoli Web Gateway to the host PC and then to the device. Active Sync converts the file to the mobile device format, and copies it to the PDA. Figure 4-40 Copying Device Agent install file 4. Locate the file on your handheld, and tap on the CAB file to start the installation. Chapter 4. Managing pervasive devices 139
  • 154.
    Figure 4-41 IBMDevice Agent is copied to the PDA 5. When the installation is complete, click Start -> Programs -> IBM agent to configure the agent. The following should be specified: – User ID: This will serve as a secondary device ID. – Server URL: This is the Tivoli Web Gateway URL. http://<TWG_hostname>/dmserver/WinceServlet – Check Poll automatically. Figure 4-42 IBM Device Agent configuration 140 PDA Management with IBM Tivoli Configuration Manager
  • 155.
    Depending on thedevice and the network setup, you must set the appropriate settings in the Connection tab. Click the Save button when you are ready. 6. The Device Agent will now connect to the server. Figure 4-43 IBM Device Agent main window 7. The IBM Agent connects to the Tivoli Web Gateway. 8. We run a wresgw, discover command to verify it: # wresgw discover FBBWD0001I Discover resources FBBWD0002I Resources discovered in itcmpda5 FBBWD0039I IBMWINCE EXISTS 9. We list the discovered pervasive devices: # wresource ls Pervasive_Device Pervasive_Device: 103 Communicator001 (Nokia9200Series) itcmpda5 Nokia9200Series:010108/50/236874/8 105 palm001 (Palm) itcmpda5 Palm:10EV1A796M8Y 107 IBMWINCE (WinCE) itcmpda5 WinCE:30226204125775976_10462920 10.When the PocketPC device is correctly discovered, we assign it to the rg.pervasive_devices.wince resource group. # wresgrp subscribe rg.pervasive_devices.wince IBMWINCE Chapter 4. Managing pervasive devices 141
  • 156.
    11.We list theassigned devices in the rg.pervasive_devices.wince resource Group. # wresgrp ls rg.pervasive_devices.wince rg.pervasive_devices.wince (Static, Pervasive_Device): 107 (IBMWINCE) total 1 4.4.2 Distributing software on WinCE/PocketPC In this section, we describe the creation and distribution of software packages required by the customer. A software package for the PDF reader software will be created according to the device type. The process for the weekly price/stock list update will be described in 4.5, “Weekly distribution of the price and stock list” on page 153. The software of choice for this particular scenario is the Acrobat Reader for PocketPC devices from Adobe. It can be downloaded from the following Web site: http://www.adobe.com/products/acrobat/acrrppcdload.html 1. We open the software package editor and create a new package for the Adobe Acrobat named IBM-WINCE and select the device file object. Figure 4-44 Device file object selection 142 PDA Management with IBM Tivoli Configuration Manager
  • 157.
    2. We createthe device object: – Caption: IBM-WINCE – Subtype: WinCE Figure 4-45 Add Device Object Properties window 3. Now we insert a device file. Figure 4-46 Inserting device file 4. The next step is to add the device file properties. Use the install package of Adobe Acrobat for PocketPC. 5. Finally, we save the software package as Acrobat.spb. Chapter 4. Managing pervasive devices 143
  • 158.
    Figure 4-47 Savingthe software package as an SPB 6. Now we switch to the Tivoli Desktop. Create the Profile Manager named pm.pervasive_devices.swd.wince.acrobat^1. Ensure that you don’t use the dataless Endpoint Mode upon creation. Figure 4-48 Profile manager for WinCE devices 7. Create the Software Package object sp.pervasive_devices.swd.wince.acrobat^1 and import the Acrobat.spb file. 144 PDA Management with IBM Tivoli Configuration Manager
  • 159.
    Figure 4-49 sp.pervasive_devices.swd.wince.acrobatr^1 8. The next step is to subscribe the rg.pervasive_devices.wince resource group to the pm.pervasive_devices.swd.wince.acrobat^1 Profile Manager. Figure 4-50 Subscribing the rg.pervasive_devices.wince resource group Chapter 4. Managing pervasive devices 145
  • 160.
    Now we areready to distribute the Adobe Acrobat Reader software to the PocketPC Device. 1. Open the installation window and assign the rg.pervasive_devices.wince resource group to the Install Software Package On: field and click Install & Close. Figure 4-51 Install Software Package window 146 PDA Management with IBM Tivoli Configuration Manager
  • 161.
    You can checkthe MDist2 GUI to follow up the distribution status. However, when you see that the package distribution was successful, this only indicates that the software package was published to the Web Gateway successfully. You can check the location of the published package if you open the Software Distribution log file of the current distribution. In order to check the status of the distribution using the MDist2 GUI, click the Distribution Status icon on the Tivoli Desktop. This will open the MDist2 program in a separate window. If you click All Distributions in the navigation bar, you will see the status of the distribution you submitted. Figure 4-52 Checking Distribution Status in MDist2 You also can follow the distribution on the PDA display. If you connect to the server, it will find a job that has been submitted, and starts the installation automatically. Figure 4-53 on page 148 shows a sequence of windows of the installation procedure. Chapter 4. Managing pervasive devices 147
  • 162.
    Figure 4-53 IBMDevice Agent - performing software distribution After the installation procedure is finished, start Acrobat Reader to check if it is working. Figure 4-54 Software up and running 148 PDA Management with IBM Tivoli Configuration Manager
  • 163.
    4.4.3 Running inventoryon the WinCE/PocketPC In this section, we explain how to perform an inventory scan on the WinCE/PocketPC device. The following steps need to be followed: 1. We have already created the InventoryConfig profile for the WinCE/PocketPC devices as shown in the Policy Region structure diagram in Figure 4-1 on page 101. The profile name is pf.pervasive_devices.inv.wince and it is created under the Profile Manager pm.pervasive_devices.inv.wince. We also subscribed the rg.pervasive_devices.wince resource group to the Profile Manager. Figure 4-55 Inventory Profile Manager for Palm 2. To customize the InventoryConfig profile, we disabled all scanning options other than related pervasive devices, such as PC hardware and software scans and UNIX and OS/400 hardware and software scans. We selected only the following options in the Pervasive devices window: – Hardware Scan - ON – Software Scan - ON – Device Configuration Scan - ON Chapter 4. Managing pervasive devices 149
  • 164.
    Figure 4-56 Inventoryprofile administration - Pervasive Devices 3. Once the InventoryConfig profile is customized, we perform the inventory scan on rg.pervasive_devices.wince resource group. 150 PDA Management with IBM Tivoli Configuration Manager
  • 165.
    Figure 4-57 Inventoryscan on the rg.pervasive_devices.wince resource group 4. You can follow the inventory scan by checking the lcfd.log on the Tivoli Web Gateway’s lcf directory and on the MDist2 console. However, a successful status only means that the Tivoli Web Gateway has received the request. 5. By issuing the wwebgw -l @<TWG_hostname> command, we can see if the Tivoli Web Gateway has scheduled the inventory scan for the PocketPC device. Example 4-8 The scheduled inventory scan # wwebgw -l @itcmpda5 Web Gateway endpoint: @itcmpda5 Distribution ID Application ID --------------- -------------- 1148766224.87 1148766224#Inventory Chapter 4. Managing pervasive devices 151
  • 166.
    6. Once thePocketPC device is performing a synchronization operation, the job gets scheduled, and the inventory scan starts to run. Figure 4-58 shows this sequence. Figure 4-58 Inventory scan -being scheduled and performed 7. Alternatively, you can verify the $DBDIR/mcollect/mcollect.log for the success of the inventory scan: Example 4-9 mcollect.log successful inventory scan Mar 14 11:47:14 1 [pid:00017102 tid:536928744] debug_level:1 Mar 14 11:47:14 1 [pid:00017102 tid:536928744] depot_location:depot Mar 14 11:47:14 1 [pid:00017102 tid:536928744] depot_size:41943040 Mar 14 11:47:14 1 [pid:00017102 tid:536928744] depot_chunk:1048576 Mar 14 11:47:14 1 [pid:00017102 tid:536928744] thread_idle_down_time:60 Mar 14 11:47:14 1 [pid:00017102 tid:536928744] thread_sleep_time:5 Mar 14 11:47:14 1 [pid:00017102 tid:536928744] max_input_threads:5 Mar 14 11:47:14 1 [pid:00017102 tid:536928744] max_input_retries:10 Mar 14 11:47:14 1 [pid:00017102 tid:536928744] max_output_threads:5 Mar 14 11:47:14 1 [pid:00017102 tid:536928744] retry_delay_time:1 Mar 14 11:47:14 1 [pid:00017102 tid:536928744] router_cache_lines:0 Mar 14 11:47:14 1 [pid:00017102 tid:536928744] temp_dir:/tivoli/db/itcmpda5.db/mcollect Mar 14 11:47:14 1 [pid:00017102 tid:536928744] depot_load - begin loading index cache. Mar 14 11:47:14 1 [pid:00017102 tid:536928744] depot_load - end loading depot index cache. 8. We execute the WINCE_FILE_QUERY from the Tivoli Desktop to verify the installation of the Adobe Acrobat Reader on the PocketPC device and if the 152 PDA Management with IBM Tivoli Configuration Manager
  • 167.
    Adobe Acrobat softwarehas been added to the Tivoli Inventory database correctly. The WINCE_FILE_QUERY is located under the PERVASIVE_QUERY library. Note: Since we used the integrated installation of IBM Tivoli Configuration Manager 4.2, the inventory query libraries are created automatically during the installation. To locate them on the Tivoli Desktop, go to the default created Policy Region (in our case it is itcmpda-region). Figure 4-59 Results of the WINCE_FILE_QUERY 4.5 Weekly distribution of the price and stock list This section describes the methodology of the weekly upgrade of the price and stock list PDF file. In order to update all the pervasive devices with a new price and stock list every week, it is necessary to create and distribute a software package containing the proper price and stock list every week. After that it is also necessary to verify the success of the process. Since we have already shown how to create, distribute, and verify the distribution of a software package for each of the devices, we will talk only about the high-level design here. On the Friday before the first business day of the week, we receive one PDF file containing the price and stock information. The naming convention for this PDF file is pricelist[yyyymmdd].pdf. As requested, we do not overwrite the old price list files, because the sales department sometimes has to refer to information from the previous weeks. We also would like to keep the history of the distributions and the weekly distributed packages on track by not deleting the old packages for a six-month period of time. Chapter 4. Managing pervasive devices 153
  • 168.
    Therefore, the followingtasks need to be performed by the Tivoli operations team: Create the software packages containing the pricelist[yyyymmdd].pdf file. You need to create one software package for each device platform, since the file device object settings are different. Alternatively, this step can be sped up by using a software package definition file as a template. Copy the ready-made .spb file to the source host or, where applicable, import it directly from the preparation site. Create the new Profile Managers for the new software packages, one Profile Manager per device platform. Following the naming convention in this case study, the name of the Profile Managers will be: pm.pervasive_devices.swd.[plaform_type].pricelist^yyyymmdd Create the software package objects and import the software packages. Following the naming convention in this case study, the name of the software package objects will be: sp.pervasive_devices.swd.[plaform_type].pricelist^yyyymmdd Subscribe the relevant resource group to the already created Profile Managers. Test the distribution. Check and assign the newly registered devices to the existing resource groups. Initiate the distributions. Follow up the result by checking the Software Distribution log files, issuing the wwebgw -l @<TWG_hostname> command. Alternatively most of these steps can be automated by using scripts instead of performing these operations manually. 154 PDA Management with IBM Tivoli Configuration Manager
  • 169.
    A AppendixA. Troubleshooting Web Gateway and Device Management IBM Tivoli Configuration Manager 4.2 aims to make distributed systems and application management relatively easy. It achieves this through a consistent interface and the use of models, such as management by subscription. While the systems administrator can perform many tasks with relative ease, the code Tivoli provides to achieve those tasks is extraordinarily complex. With the solid foundation of the Tivoli Management Framework, this complexity can remain largely masked from the administrator. However, with such a sophisticated set of products, there will be occasions when those designing, testing, and implementing Tivoli solutions will encounter situations that are not resolved by reference to product manuals alone. In problem-solving situations, you need to understand what is going on between the product components, what messages and trace output means, and what extra actions you can take to try to resolve a problem. This Appendix provides troubleshooting tips for both the Tivoli Web Gateway and Device Management components. © Copyright IBM Corp. 2003. All rights reserved. 155
  • 170.
    Troubleshooting Web GatewayInstallation In this section we cover troubleshooting the Web Gateway installation. Review the error message shown in the failed installation and review the log file cmsummary.log. The example error message (Figure 4-60) indicates that the installation program is failing to install the Web Gateway database. Figure 4-60 Failed TWG installation message You can check the following in this case: Ensure that the dmsadmin and dmsuser user IDs were successfully created on the Web Gateway database server. Verify that the passwords provided to the Web Gateway database installation are correct. Verify the passwords by connecting to DB2 with the user name and password specified. From a DB2 environment, issue: db2 connect to dms using dmsadmin using password Note: This command works only if the Web Gateway database was created during the database installation. 156 PDA Management with IBM Tivoli Configuration Manager
  • 171.
    Ensure that thedirectories specified during the Web Gateway database installation have sufficient disk space. These directories are database home and database container home. Ensure that the DB2 instance specified during the Web Gateway database installation is correct. To list the valid DB2 instances, run db2ilist from a DB2 command environment. Ensure the DB2 port is correct. Open the services file and locate the following line (for readability, the line below appears on two lines): db2cinstance port/tcp #Connection port for DB2 instance instance For UNIX, the services file is located in the /etc/services file. For Windows, it is located in the drive:WINNTsystem32driversetcservices file. You can review the log files for more information. The log files are located in the /tmp/dms_top/logs/pid/ directory on the Web Gateway database server. For Web Gateway installation problems, you can also check for the existence of the log files TWGinst_stdout.log and TWGinst_stderr.log on the Web Gateway Server. Review the log files to determine where the install is failing. If the files do not exist, run the TWG_inst_driver.bat file from the TivTwgtmp_inst directory and pipe the output to a file. Review the output file to determine the point of failure. Useful log files for installation troubleshooting The installation process uses several log files for tracking the result of a successful or unsuccessful procedure. They are: AppServerStarted.log Location: TWG_HOMEtmpAppServerStarted.log This file displays information from the script to test if WebSphere Administration Server was running before installing Web Gateway. Use this log file to debug installation errors. If WebSphere Application Server was not running, the installation stops before the product files are copied. A message is written to this log file specifying that WebSphere Application Server is not running or is not in an acceptable runtime state. If WebSphere Application Server is running and this message appears in the log file, you need to view the WebSphere Application Server trace file to identify which exceptions occurred. When successful, the log file contains the following: Example 4-10 AppServerStarted.log "*** Test of Application Server Start ***" Appendix A. Troubleshooting Web Gateway and Device Management 157
  • 172.
    "~~ import thetest XML file ~~" "Successful test: Application Server is running! DMSplugin.device_class.log Location: TWG_HOMEtmpDMSplugin.device_class.log This file displays information about the device classes that are created and configured during installation. Use this log file to debug database connection errors or errors when the DMS_AppServer application server starts. The device_class values are: – PalmOS – Wince – Nokia9200Series If a device class was not created properly, or if no default job types were created for a device class during installation, then this log file lists the problems. WebConfig.log Location: TWG_HOMEtmpWebConfig.log This file contains information for dynamically updating the Web Gateway WAR file (dmserver.war) during installation. Use this file to debug problems with DMS_AppServer application server when the initialization parameters of the servlets have variable values instead of fixed values. For example, there is a variable value for the hostname.domain parameter. For a successful Web Gateway installation on Windows, the log file contains the following: Example 4-11 WebConfig.log "*** Configuration of web.xml for TWG ***" "~~ dmserver.war jar update ~~" "Successful update of dmserver.war!" WASNodeList.log Location: TWG_HOMEtmpWASNodeList.log This file displays information about running the TWG_HOMEinstalletcWASNodeList.bat script file during installation. This script file determines the node value for the local WebSphere Application Server, and uses that value when formatting the host name value for the client. This script file is needed because for Windows NT the WebSphere Application Server node name is often in lowercase, even though the Java InetAddress object returns the node value in all uppercase characters. In a successful installation on Windows, this log file contains the following: 158 PDA Management with IBM Tivoli Configuration Manager
  • 173.
    Example 4-12 WASNodeList.log "***Obtain node name list from WAS ***" "--- Placing list in file: C:Program FilesTivTwgbinWASlist.nodename" "*** End C:Program FilesTivTwginstalletcWASnodename.bat ***" WASConfig.log Location: TWG_HOMEtmpWASConfig.log This file displays information from the TWG_HOMEinstalletcWASConfig.xxx script. This script does the following: – Creates the client_host virtual host object within WebSphere Application Server. – Creates the DMS_AppServer application servers within WebSphere Application Server to run the Web Gateway servlets. – Creates the enterprise applications within WebSphere Application Server to install and configure the Web Gateway servlets. It imports the dmserver.war file into WebSphere Application Server. In a successful installation on Windows for Web Gateway, this log file contains the following: Example 4-13 Sample WASConfig.log file "*** Configuration of WAS for TWG ***" "***************************************************" "** XML imports and WebApp .bat executions follow **" "***************************************************" "***************************************************" "~~ createSMdefault_host.xml import ~~" [3/4/03 15:37:35:266 CST] 6752c301 VirtualHostCo A XMLC0053I: Importing VirtualHost : itcmpda1_host "~~ createDMS_AppServerTMP.xml import ~~" [3/4/03 15:37:43:047 CST] 6752c30d NodeConfig A XMLC0053I: Importing Node : itcmpda1 [3/4/03 15:37:43:297 CST] 6752c30d ApplicationSe A XMLC0053I: Importing ApplicationServer : DMS_AppServer [3/4/03 15:37:43:328 CST] 6752c30d ApplicationSe X XMLC0009E: Failure to delete ApplicationServer : DMS_AppServerXMLC0067I: DMS_AppServer Does not exist. [3/4/03 15:37:43:328 CST] 6752c30d ApplicationSe A XMLC0053I: Importing ApplicationServer : DMS_AppServer "~~ createDMS_WebAppTMP.bat invocation ~~" "*** Begin C:Program FilesTivTwginstalletccreateDMS_WebAppTMP.bat ***" "*** End C:Program FilesTivTwginstalletccreateDMS_WebAppTMP.bat ***" Appendix A. Troubleshooting Web Gateway and Device Management 159
  • 174.
    "~~ starting DMS_AppServer~~" Cleaning up a failed Web Gateway installation If you do need to reinstall the Web Gateway, there are several cleanup steps to be done. First, un-install the application from Windows by selecting Start -> Settings -> Control Panel -> Add/Remove Programs -> Web Gateway 4.2 and click the Remove button. Now stop and remove WebSphere Application Server modules and Enterprise Applications. Click Start -> Programs -> IBM WebSphere -> Application Server 4.0 AE -> Administrator's Console. In the window that appears, expand the Nodes and Enterprise Application branches to expose the WebUI_AppServer and WebConsole Enterprise Application. Tip: If you cannot remove one component, try to move them to another, unused application server, or delete the files from drive:WebWphereAppserverinstalledApps. The endpoint catalog will still reflect the software packages that comprise the Web Gateway as being in an installed and committed (IC) state. The easiest way to clean this up is to rename the endpoint catalog (epsp.cat) file. On our example system, the location of the file to rename is: C:swdisworkepsp.cat Un-installing Java Runtime Environment If you want to un-install Access Manager Java Runtime Environment from your Web Gateway server, first you have to un-configure it. To un-configure the Access Manager Java Runtime Environment, use the pdjrtecfg command. For example, enter the following to un-configure the JRE specified by the jre_path variable (default =C:WebSphereAppServerjavajre): pdjrtecfg -action unconfig -java_home jre_path 160 PDA Management with IBM Tivoli Configuration Manager
  • 175.
    Common Web Gatewayand Device Management problems Here are some typical problems when using the Web Gateway and Device Management components. Problems with starting the Web Gateway The following are possible problems and solutions with starting the Web Gateway: Problem:The following message appears in the DMS_stdout.log file when Web Gateway is starting in WebSphere Application Server: java.lang.ClassCastException Solution: The wrong JDBC driver is being used. Web Gateway requires the JDBC 2.0 driver. You must configure DB2 to use the JDBC 2.0 driver and reinstall Web Gateway with the JDBC driver home installation parameter set to the JDBC 2.0 driver. Problem: The following message appears in the DMS_stdout.log file when Web Gateway is starting in the WebSphere Application Server: DYM2794E: Failed to create the database connection pool. COM.ibm.db2.jdbc.DB2Exception: [IBM][JDBC Driver] CLI0616E Error opening socket. SQLSTATE=08S01 Solution: Ensure that DB2 is started and that the DB2 client is configured correctly. Problem: When starting Web Gateway in the WebSphere Application Server, the following message appears in the DMS_stdout.log file: DYM2718E: An error occurred while trying to initialize the Policy Director environment. Solution: This message occurs when the IBM Tivoli Access Manager Java Runtime Environment is not installed and configured correctly on the Web Gateway server. Verify that the IBM Tivoli Access Manager Java Runtime Environment is installed on the Web Gateway server. Problem: When starting Web Gateway on the WebSphere Application Server, the following message appears in the DMS_stdout.log file: DYM2719E: An error occurred while trying to create a Policy Director context. Solution: The Web Gateway server is not configured correctly. Open the twgConfig.properties file to verify that the PD_ADMIN_USERID and PD_ADMIN_PW values are correct. To verify these values, log on to the Appendix A. Troubleshooting Web Gateway and Device Management 161
  • 176.
    pdadmin command-line utilityon the IBM Tivoli Access Manager Server. Then type the following: pdadmin –a sec_master –p password This message also occurs when the IBM Tivoli Access Manager Java Runtime Environment is not installed and configured correctly on the Web Gateway Server. Problem: When starting Web Gateway on the WebSphere Application Server, the following message appears in the DMS_stdout.log file. com.tivoli.pd.jutil.PDExceptionjava.io.FileNotFoundException: pd_config_file (No such file or directory) Solution: The Web Gateway server is not configured correctly. Open the twgConfig.properties file to verify that the PD_CONFIG_FILE value exists on the Web Gateway Server. Problem: Unable to log in to Web Gateway Server. Solution: Do the following: – Use the IP address instead of the host name for the Web Gateway Server to check if it is a DNS issue. – For a Palm OS device, check the settings in the config.ini used to create the Config.PDB file. You can regenerate a corrected Config.PDB and install it on the Palm device or, alternatively, modify the settings on the device. – If you are using a IBM Access Manager WebSEAL Server, make sure to include the WebSEAL_hostname and junction_name in the URL for the server. HTTP 400 error when connecting. Check name resolution. Make sure the host PC can contact the Web Gateway server. – Conduit returns an error/HTTP error code 500. Make sure the service IBM WebSphere Admin Server 4.0 is started. – Could not connect to the server. Check the proxy setting and port number. The port number should be 80. – HTTP error 404. Check the servlet name. – Palm OS device using network/modem connection when device is attached to host PC with a cradle. Use AttachmentOption=2 to specify that the Palm device should always use the cradle connection. A new Config.PDB file will need to be generated and copied to the Palm device. 162 PDA Management with IBM Tivoli Configuration Manager
  • 177.
    Problems with usingthe Web Gateway The following are problems you may encounter with using the Web Gateway, and their solutions. Problem: The Web Gateway Server started without errors, then the following message appeared in the DMS_stdout.log file: SQL0973N Not enough storage is available in the "APP_CTL_HEAP" heap to process the statement. Solution: To address this problem, refer to Part 4, the Managing Resources section, “Troubleshooting,” in the IBM Tivoli Configuration Manager User’s Guide for Deployment Services, SC23-4710. Problem: The Web Gateway Server started without errors, then DB2 creates messages saying the ISPB_DATA or ISPB_INDEX tablespaces are full. Solution: To address this problem, refer to IBM Tivoli Configuration Manager Planning and Installation Version 4.2, GC23-4702. You also need to reorganize the database tables; refer to the IBM Tivoli Configuration Manager Release Notes (which comes with the product) for information. Problem: On AIX, the Web Gateway Server started without errors. Then, the following message appears in the DMS_stdout.log file: Could not fork process Solution: Increase the maximum number of file descriptors in AIX. Setting this value to 5000 should be sufficient. Run ulimit -a to determine how many file descriptors are currently in use. Use the following command to set the value to 5000 in the terminal in which WebSphere Application Server is started. ulimit -n 5000 Problem: The Web Gateway Server started without errors, then the following message appears in the DMS_stdout.log file: java.lang.OutOfMemory Solution: This message indicates that the maximum heap size for the DMS_AppServer Application Server process has been reached. The default heap size is 256 MB. Use the WebSphere Application Server Administrative Console to increase the maximum value of the heap to a number larger than the default, such as 512 MB. Appendix A. Troubleshooting Web Gateway and Device Management 163
  • 178.
    Problems with registeringdevice classes and job classes Problem: When installing Web Gateway on AIX, the device classes and job types are not registered. Solution: This is a known problem. It occurs with versions of WebSphere Application Server earlier than Version 4.0.3. Web Gateway requires Version 4.0.3. Verify that the WebSphere Application Server is at the required level and reinstall Web Gateway. Problems with enrolling a device Problem: When trying to automatically enroll a device in Web Gateway, the following message appears in the DMS_stdout.log file: DYM2043E: A device entry was not inserted into the database because the server setting indicates AUTO_ENROLL is set to false. Solution: You must register Web Gateway with the Tivoli Server and enable auto-enrollment for that Web Gateway. To fix the problem, do the following: 1. Set up the Tivoli command prompt environment on the Tivoli Server. 2. Run this command on the Tivoli Server: wresgw add endpoint -C TWG 3. Run this command on the Tivoli Server: wresgw autoenroll enable endpoint Problems with connecting the agent to the Web Gateway The following reviews some problems and solutions with connecting the agent to the Web Gateway. Problem: The Nokia 9200 Communicator Series agent cannot connect to the Web Gateway Server. Solution: To try enrolling or processing a job, disconnect and reconnect the Nokia 9200 Communicator Series device to the host PC. If there is a RS_NO_JOBS_TO_RUN or RS_JOB_COMPLETED message near the end (last 10 or so lines) of the JavaAgentLog.txt file, the Device Agent has successfully connected. If the connection failed, the log file contains a Connection failed or Unable to connect string near the end of the file. The trace contains the Web addresses that the Device Agent tried to connect to for the plug-in and the enrollment servlet. If the Web addresses are incorrect, the connection fails. Verify that the Web addresses are correct. 164 PDA Management with IBM Tivoli Configuration Manager
  • 179.
    Note: Whether loggingis enabled or disabled, if there is a TNIERROR.txt file in the installation directory, there have been some serious startup problems. If the TNIERROR.txt file is present, it contains information about the problem Problem: The Device Agent cannot connect to the Web Gateway Server. Solution: The Device Agent must be able to resolve and reach the following server addresses: – Initial connection Web address or server URL – Server redirect host name – Enrollment server Web address If any of these Web addresses are set up with host names instead of the IP address and you do not have DNS set up on the device (or if there is some other TCP/IP connection issue with reaching the Web address from the device), the agent is unable to connect to the management server. For PalmOS and Windows CE agents, if the host name or address cannot be resolved or reached, the host name or address is displayed. To change the initial connection Web address or Server URL, do the following: – For Palm OS and Windows CE devices, this address is configured with the Device Agent configuration user interface. – The Nokia 9200 Communicator Series agent stores this address in the NokiaInterfaceSettings.cfg file, which is located in the default installation directory on the host PC. Problem: A return code occurs when attempting to connect a device to the Web Gateway. Solution: There are several return codes displayed on the device screen or written to log files when a connection between the device and Web Gateway is not working properly. Generally, the Palm OS agent displays the HTTP return codes on the device screen. The Windows CE and Nokia 9200 Communicator Series agents only indicate a connection failure message. For any type of agent-to-server communication, the access log file on the HTTP server, which is being connected to, also tracks these return codes in the second-to-last field in each log file entry. The last field in each log file entry is the number of bytes being sent in the body of the response. Appendix A. Troubleshooting Web Gateway and Device Management 165
  • 180.
    The following aresome common HTTP return codes used during Web Gateway Device Agent-to-server communications: – 200 In general, a 200 return code indicates successful connection to the particular URL. However, this return code is also used when the HTTP server has returned an HTML content page with error messages in the body of the response. The Device Agents do not show HTML content pages. – 401: Access to URL is not authorized If IBM Tivoli Access Manager or some other HTTP authentication front end is used, this return code occurs if the user ID or password configured in the Device Agent is incorrect. – 403: Access to URL is forbidden This return code occurs if there is a problem with the security configuration of the HTTP server or client. – 404: URL not found – This return code occurs if the path portion of the servlet name that was configured on the client or in the enrollment server Web address is incorrect. This return code also identifies when the Web Gateway Application Server is not running within WebSphere. Use the WebSphere Administration Console to verify the status of the DMS_AppServer Application Server. – 405: Method not allowed This return code occurs if the client connection URL path or enrollment server Web address is configured to an incorrect Web Gateway servlet path, for example if the client was configured to connect to an HTML Web page. – 500: Internal server error This return code indicates that the WebSphere Application Server is not running. This return code also occurs if there is an error within the processing servlets. Use the DMS_stdout.log and DMS_stderr.log files to obtain more details. For additional details, enable tracing for the plug-in and dmserver components. – 502 If this return code occurs when connecting to the DeviceEnrollmentServlet, it usually indicates incorrect or missing 166 PDA Management with IBM Tivoli Configuration Manager
  • 181.
    parameters. To obtainmore details, use the DMS_stdout.log and DMS_stderr.log files. – 925 Refer to “Receiving return codes from the C language APIs” on page 169. Problems with publishing and downloading a package See below for problems and solutions: Problem: When publishing a package using the wweb command, the following message appears in the DMS_stdout.log file: DYM2725E: Received a Policy Director error while assigning users to a package: package Solution: The Web Gateway server is not configured correctly. Open the twgConfig.properties file to verify that the WEBSEAL_MOUNT_POINT value is correct. To verify this value, start the pdadmin utility and type the following command: object list /WebSEAL Using the host name of the WebSEAL server returned in the previous command, type the following command to find the junction point: object list /WebSEAL/hostname Use the exact output, both format and case, to specify the appropriate junction point. The format of this command is the following: /WebSEAL/hostname/junction_point Problem: When using the Web Interface, packages can be downloaded by one user for another user, which shows a lack of security. Solution: The Web Gateway Server is not configured correctly. Open the twgConfig.properties file to verify that the WEBSEAL_ENABLED parameter is set to true. Problem: When using the Web Interface, I cannot download a package published to a user using the wweb command. Solution: The Web Gateway Server is not configured correctly. Open the twgConfig.properties file to verify that the WEBSEAL_PROTOCOL, WEBSEAL_HOST_NAME, and WEBSEAL_PORT parameters have the correct values. Appendix A. Troubleshooting Web Gateway and Device Management 167
  • 182.
    Problems with runningjobs for devices Problem: A job runs on a device successfully, but the results do not appear on the Tivoli Server. Solution: Verify that the endpoint on the Web Gateway is successfully communicating with the Tivoli Server. To verify this, type the following on the Tivoli Server: wep endpoint status Problem: A job is submitted to a device. When the device connects to the Web Gateway, the following message is displayed: No job is submitted for your device Solution: Verify that the target devices for the distribution included that device. To list the devices for the distribution, type the following from the Tivoli Server: wwebgw -d dist_id @Endpoint:web_gw_target If the device is not listed, resubmit the job to your device and then rerun the wwebgw command. If the device is listed, verify that the job types are properly registered. Type the following command to list the registered device classes and their job types: TWG_HOME/bin/deviceclass.sh –list Problem: When trying to run a job on devices in a clustered Web Gateway environment, the job fails because the software package or inventory profile cannot be accessed. Solution: Verify that the IBM HTTP Server on the primary server in the cluster is running. Software packages and inventory profiles reside on the primary server. Problem: The distribution was successful (profiles successfully distributed) but no inventory scan or software distribution operation was performed on the device. Solution: a. Check the DB2 database of the Web Gateway to confirm that jobs have been created on it. Open a DB2 command line and run: db2 connect to dms user dmsadmin using dmsadmin password db2 select * from submitted_job If there are jobs in the database, you should get an output similar to what is shown in Figure A-1 on page 169. 168 PDA Management with IBM Tivoli Configuration Manager
  • 183.
    Figure A-1 Inventoryscan job in Web Gateway database b. Check to make sure that the device is a member of the resource group that you have distributed the profile to. The dynamic resource group will only define its members at runtime. c. Check to make sure that the conduit is installed on the host PC. d. Do not use resource groups with names that begin with _INTERNAL_RESGRP. These groups are automatically created by Resource Manager during its operation and are automatically deleted when it is no longer required. Question: The Web Gateway server was configured incorrectly. Before I fixed the configuration in the twgConfig.properties file, I submitted jobs to devices. Will those jobs still run on the devices? Answer: No. You must resubmit the jobs to the devices. Receiving return codes from the C language APIs Problem: A return code of 925 occurs when attempting to create or delete a device, publish or unpublish a package, or submit a job. What does this mean and how can it be debugged? Solution: A 925 return code means there is a problem contacting the Web Gateway. Verify that the Web Gateway is started in the WebSphere Application Server. Problem: A return code occurs when attempting to create or delete a device, or publish or unpublish a package, or submit a job. The return code value was not 925. Solution: Verify that the Web Gateway is started in the WebSphere Application Server. You need to enable the twgapi component trace to obtain debugging information. Appendix A. Troubleshooting Web Gateway and Device Management 169
  • 184.
    Using a non-standardport number Question: If the Web Gateway server is running on a non-standard HTTP port, are there any post-installation steps that need to be followed? Answer: Yes. Refer to IBM Tivoli Configuration Manager Planning and Installation Version 4.2, GC23-4702. Inventory problems Problem:The inventory scan completed successfully on the devices but there is no data in the database. Solution: The scanned data is stored on the Web Gatewaym and the Web Gateway component makes an upcall to the gateway to request data collection. The data is collected in the same way as for inventory scans of PCs and UNIX boxes. Check the mcollect.log on the gateway. Refer to the redbook All About IBM Tivoli Configuration Manager Version 4.2, SG24-6612, for more details on troubleshooting the inventory data collection. Enable tracing of the traceEnabled.resultscollector component as detailed above and review the output log file. Software Distribution problems Problem: Software profiles distribution is failing for both endpoint and pervasive device resource groups. Solution: When there are problems distributing to devices because there are several components involved, the first step is to understand where the distribution has failed. When a package is distributed, it arrives at the endpoint where the Web Gateway is installed, and there it is converted in the TWG jobs. If jobs are not created, the problem was in the Software Distribution code (for example, the path specified as the destination is too long and the file was not created at the endpoint). If jobs are generated but there were errors executing them, the problem can be at the TWG or device level. For the reporting flow, reports are generated by TWG code and sent to the SWD notification manager. If a report related to the distribution was not received, the problem can be due to the TWG code (Result Collector). Possible problems are: The report was not built The report was built but not yet sent. The Notification Manager says the report was received, but the report has not yet been processed by the Mcollet service Problem determination is different for all steps. 170 PDA Management with IBM Tivoli Configuration Manager
  • 185.
    A good startingpoint is to check the swd_profile_name. log for the details of the failure. Refer to the redbook All About IBM Tivoli Configuration Manager Version 4.2, SG24-6612, for more detail on tracing failed distributions. Resource Manager problems A general failure when trying to register the resource type could be due to a communication failure with the Web Gateway or the Web Gateway is not functioning. These errors should show up in the TRMRDBMS.log and TRMResourceManager.log in the $DBDIR directory. There are also other TRM*.log for the various components of Resource Manager on the TMR Server under the $DBDIR directory. Review the appropriate log relating to the problem you are encountering to further determine the cause of the problem. The logs for the various components of Resource Manager are: TRMDGMAppMgr.log TRMDGMAppMgrUI.log TRMDGMDowncalls.log TRMDGMRegistry.log TRMGroup.log TRMGroupUI.log TRMRDBMS.log TRMResourceManager.log TRMResourceManagerUI.log TRMUserDB.log TRMUserUI.log Log information can be changed by setting the variable in the Tivoli environment (odadmin environ get/set): TRM_DEBUG_LEVEL = (LEVEL_DBG_MIN/LEVEL_DBG_MID/LEVEL_DBG_MAX) TRM_MAX_LOG_SIZE = log files max size TRM_LOG_PATH = path to store log files Tracing the Web Gateway On the Web Gateway, locate the file traceConfig.properties file in the directory app_server_dir/installedApps/dmsserver_hostname_DMS_WebApp.ear/dmserv er.war/WEB-INF/classes. To turn on tracing, change EnableTrace=false to EnableTrace=true. The other components that need to be turned on (changed to true) are traceEnable.dmserver and traceEnabled.twgapi. Appendix A. Troubleshooting Web Gateway and Device Management 171
  • 186.
    Depending on thesituation, your support representative may request turning on tracing for the other components. If the servlets are not running, start them to put the new trace settings into effect. If the servlets are running, do one of the following to put the new trace setting into effect without restarting the servlets: On any Tivoli Web Gateway (TWG) machine, perform the following: server -app dmserver -trace set -host dmserver_hostname On any TWG UNIX machine, perform the following command: ./server.sh -app dmserver -trace set -host dmserver_hostname From any machine with a browser, go to the following URL: http://dmserver_hostname/dmserver/TraceServlet?trace=set The output files of the tracing are DMS_stdout.log, DMS_stderr.log, and DMSMsg1.log, which are located in the app_server_dir/log directory. The default for the Windows installation is C:WebSphereAppServerlog. You should also provide the ApiServlet.log in the /tmp directory to your support representative. 172 PDA Management with IBM Tivoli Configuration Manager
  • 187.
    Abbreviations and acronyms AAT WebSphere Application JRE Java Runtime Environment Assembly Tool LDAP Lightweight Directory Access ADK Application Development Kit Protocol API Application Programming MD5 Message Digest 5 Interface OLAP Online Analytical Processing APM Activity Plan Monitor PDA Personal Digital Assistant BA Basic Authentication PDF Portable Document Format CAB Cabinet files RAM Random Access Memory CGI Common Gateway Interface RDBMS Relational Database CPU Central Processing Unit Management System DB Database RIM RDBMS Interface Module DIT Directory Information Tree SID Session Identifier DM Distributed Monitoring SIS Software Installation Services DNS Domain Name System SP Software Package GB Gigabyte SPARC Scalable Processor GSK Global Security Toolkit Architecture GSO Global Sign On SPB Software Package Block GUI Graphical User Interface SQL Structured Query Language HTML Hypertext Markup Language SSL Secure Socket Layer HTTP Hypertext Transfer Protocol SSO Single Sign On HTTPS HTTP running under SSL SWD Software Distribution IBM International Business TCP Transmission Control Machines Corporation Protocol IC Installed and Committed state TCP/IP Transmission Control Protocol/Internet Protocol IIS Internet Information Server TEC Tivoli Enterprise™ Console IP Internet Protocol TMR Tivoli Management Region ITCM IBM Tivoli Configuration Manager TRM Tivoli Resource Manager ITM IBM Tivoli Monitoring TWG Tivoli Web Gateway ITSO International Technical UDB Universal Database Support Organization URL Universal Resource Locator JAR Java archive file XML eXtensible Markup Language JDBC Java Database Connectivity © Copyright IBM Corp. 2003. All rights reserved. 173
  • 188.
    174 PDA Management with IBM Tivoli Configuration Manager
  • 189.
    Related publications The publications listed in this section are considered particularly suitable for a more detailed discussion of the topics covered in this redbook. IBM Redbooks For information on ordering these publications, see “How to get IBM Redbooks” on page 177. Note that some of the documents referenced here may be available in softcopy only. Tivoli Enterprise Internals and Problem Determination, SG24-2034 Tivoli Inventory Version 4.0 Migration Guide from Version 3.6.2, SG24-7020 Tivoli Software Distribution 4.1: NetView DM Migration, SG24-6040 Tivoli Software Distribution 4.1: New Features and Scenarios, SG24-6045 All About IBM Tivoli Configuration Manager Version 4.2, SG24-6612 Enterprise Security Architecture using IBM Tivoli Security Solutions, SG24-6014 Enterprise Business Portals with IBM Tivoli Access Manager, SG24-6556 Enterprise Business Portals II with IBM Tivoli Access Manager, SG24-6885 Other publications These publications are also relevant as further information sources: IBM Tivoli Access Manager for e-business Authorization Java Classes Developer’s Reference, GC23-4688 IBM Tivoli Access Manager WebSEAL Administrator’s Guide Version 4.1, SC32-1134 IBM Tivoli Access Manager WebSEAL Installation Guide Version 4.1, SC32-1133 IBM Tivoli Configuration Manager Introduction Version 4.2, GC23-4703 IBM Tivoli Configuration Manager Planning and Installation Version 4.2, GC23-4702 IBM Tivoli Configuration Manager Version 4.2 Release Notes, GI11-0934 © Copyright IBM Corp. 2003. All rights reserved. 175
  • 190.
    IBM Tivoli ConfigurationManager Reference Manual for Software Distribution Version 4, SC23-4712 IBM Tivoli Configuration Manager User’s Guide for Deployment Services, SC23-4710 IBM Tivoli Configuration Manager User’s Guide for Inventory Version 4.2, SC23-4713 IBM Tivoli Configuration Manager User’s Guide for Software Distribution, SC23-4711 Tivoli Configuration Manager Messages and Codes Version 4.2, SC23-4706 Tivoli Management Framework User ’s Guide Version 4.1, GC32-0805-003 Tivoli Management Framework Enterprise Installation Guide Version 4.1, GC32-0804 Tivoli Management Framework Reference Manual Version 4.1, SC32-0806 Tivoli Management Framework Release Notes Version 4.1, GI11-0890 (comes with the product) Online resources These Web sites and URLs are also relevant as further information sources: Microsoft Web site http://www.microsoft.com Nokia support Web site http://www.nokia.com/phones/productsupport Nokia Web site http://www.nokia.com OrbData Web site http://www.orb-data.com Sun’s Java Web site http://java.sun.com/j2se/ Palm Inc. Web site http://www.palm.com/us/ mBrain Software Web site http://www.mbrainsoftware.com 176 PDA Management with IBM Tivoli Configuration Manager
  • 191.
    How to getIBM Redbooks You can search for, view, or download Redbooks, Redpapers, Hints and Tips, draft publications and Additional materials, as well as order hardcopy Redbooks or CD-ROMs, at this Web site: ibm.com/redbooks Related publications 177
  • 192.
    178 PDA Management with IBM Tivoli Configuration Manager
  • 193.
    Index Config.PDB 102, 118 Symbols Configuration Change Manager 8 _INTERNAL_RESGRP 169 configuration file 118 cradle 118 A creating RIM object 31 Access Manager java runtime 82 actions 8 Active Sync 137 D DB sql scripts 37, 57 Activity Planner 8 DB2 18 Activity Planner Manager 8, 10 DB2 admin 20 ADK 76 DB2 fenced 19 admin server user 20 DB2 instance 19 Administrator Suite 103 DB2 setup 18 agent install program 103 DB2 tablespaces 163 AIX filesets 17 DB2 Warehouse 20 APIs 169 DB2SYSTEM 21 ApiServlet.log 172 DEV_CMSTATUS_QUERY 117, 136 APM Development Kit 76 See Activity Planner Manager device agent install Application Development Kit 76 Nokia 103 AppServerStarted 157 Palm 118 Authentication PocketPC 138 base 87 Device Directory 5 forms 87 device groups 4, 8 Authorization Server 75 device management troubleshooting 155 device_class 158 B deviceclass script 95 ba-auth 87 direct network connection 118 Basic Authentication 87 Directory Client 69 browser 172 directory information tree 69 Directory services 67 discover 107, 122, 141 C DIT 69 C APIs 169 DMS_stdout 161 CCM dmsadmin 156 See Configuration Change Manager dmsadmin User ID 27, 48 ceagent.arm.CAB 102 DMSAgentResources.PDB 102 CGI program 89 DMSplugin.device_class 158 Change Manager 8 dmsuser 156 cmstatus 136 dmsuser User ID 27, 48 CondInst.exe 102 DNS 162 condinst.exe 119 docroot parameter 90 conduit 118, 162 dynamic resource groups 4 config.ini 118 © Copyright IBM Corp. 2003. All rights reserved. 179
  • 194.
    E instance 19 enable security 91 INSTHOME 21 endpoint catalog file 160 integrated installation 26 Enterprise Directory server 5 Internet Information Services 43 EUPCInstaller.exe 102–103 inventory query 117 ezinstall_ldap_server.bat 68 Inventory scan ezinstall_pdacld.bat 75 Palm 131 ezinstall_pdauthadk.bat 76 PocketPC 149 ezinstall_pdmgr.bat 72 invtiv User ID 26, 48 ITCM install 26 ITCM user IDs F dmsadmin 27, 48 fenced user 19 dmsuser 27, 48 Forms Authentication 87 invtiv 26, 48 forms-auth 87 mdstatus 26, 48 planner 26, 48 G tivoli 27, 48 Global Security Toolkit 67, 69 ivacld process 84 Global Sign-On 69 ivmgrd process 84 GSK 67, 69 GSO 69 J Java InetAddress 158 H Java Runtime install 82–83 host PC 103 java_home variable 84 HotSync Manager 118 JDBC 2.0 driver 161 HotSync operation 135 JDBC code level 21 htdocs 90 JRE uninstall 160 HTTP docroot 90 jre_path 160 HTTPS access 81 junction 12, 86 I K IBM Agent 121, 137 keystore file 85 IBM DB2 8 keystores 84 IBM DB2 admin 20 IBM DB2 fenced 19 IBM DB2 instance 19 L lcfd.log 134, 151 IBM DB2 tablespaces 163 LDAP 5, 69 IBM DB2 warehouse 20 server 5 IBM Directory Client 67, 69 LDAP client 69 IBM Directory Server 67 ldap_server 68 IBM Global Security Toolkit 67, 69 Lightweight Directory Access Protocol 5 IBM WebSphere Application Server 8 Linux 14 IBMJCEfw.jar 82 IC state 160 IIS services 43 M InetAddress 158 managed node 7 installation matrix 15 management actions 8 InstallShield 78 mBrain Software 108 180 PDA Management with IBM Tivoli Configuration Manager
  • 195.
    MCollect 11 proxy agent 103 mcollect.log 135, 152 proxy setting 162 MDist2 115, 129, 147 pSeries 14 mdstatus User ID 26, 48 PvcPalm.prc 102 Microsoft Active Sync 137 MIPS processor 138 Q query 117 N query libraries 136, 153 name resolution 162 query_contents 89 Nokia 9200 Series 3 Nokia 9290 100 Nokia device agent 103 R Redbooks Web site 177 Nokia programming interface 103 Contact us xi Resource Gateway 7 O Resource Groups 4 odadmin 171 Resource Manager 5 resources-type 5 Results Collector 10 P RIM 31 Palm 3 RIM host 6 Palm Desktop install tool 121 Palm device 10 Palm device agent 118 S Palm V 100 sec_master 162 PalmOS 158 Security Toolkit 67, 69 PC Suite 103 servlet 24 PD_ADMIN_PW 161 SH-3 processor 138 pdacld 75 SH-4 processor 138 pdadmin 162 Single Sign-On 12 pdauthadk 76 Single-box approach 11 pdbgene.jar 118 small and medium business 11 PdfPlus software 117 SMB pdjrte 82 See small and medium business pdjrtecfg command 84, 160 snoop servlet 24 pdmgr 72 Software Distribution Agent 10 PDWeb 78 Software Distribution engine 10 PDWebADK 78 Software Package 111 Pervasive device management SPARC systems 14 architecture 4 SQL 6 Resource Manager 4 sql scripts 37, 57 pervasive devices 3 SSL junction 86 PERVASIVE_QUERY 135 SSO pfd_plus.spb 110 See Single Sign-On planner User ID 26, 48 static resource groups 4 PocketPC 3 StrongARM processor 138 PocketPC device agent 138 sub-agent 10 Policy Server 72 Subscribers 8 Portal Manager 89 Sun SPARC 14 Index 181
  • 196.
    T Web Portal Manager 89 tablespaces 163 web.xml 94–95 TDM 10 WebConfig 158 Tivoli commands WebConsole Enterprise 160 discover 107, 122, 141 WebSEAL 12, 15 odadmin 171 ADK 78 wep command 168 basic authentication 87 wresgrp 107 configuration 80 wresgw 107, 122, 141, 164 forms authentication 87 wresource 107 installation 78 wweb 167 junction 86 wwebgw 116 WebSphere snoop 24 Tivoli Framework 9 WebUI_AppServer 160 Tivoli Resource Manager 4, 8 wep command 168 Tivoli Resource Manager Gateway 7 WinCE 3 tivoli User ID 27, 48 WinCE device agent 138 Tivoli Web Gateway 5, 8 WINCE_FILE_QUERY 152 Tivoli Web Gateway installation 33, 53 WinceServlet 140 Toshiba e335 100 Windows CE Service 137 TRM wresgrp 107 See Tivoli Resource Manager wresgw 107, 122, 141, 164 Troubleshooting wresource 107 Resource Manager problems 171 wweb 167 Web Gateway installation 156 wwebgw 116 TWG 5 twgapi component 169 typical problems 161 X X11.adt.lib 17 U ulimit 163 update JDBC level for DB2 21 user rights 45 Users groups 4 use-same-session 87 V vendor specification 30, 50 viewer for Nokia 108 viewer for Palm 123 viewer for PocketPC 142 W WASConfig 159 WASNodeList 158 Web Gateway 6 Web Gateway installation troubleshooting 156 Web Gateway troubleshooting 155 182 PDA Management with IBM Tivoli Configuration Manager
  • 197.
    PDA Management withIBM Tivoli Configuration Manager (0.2”spine) 0.17”<->0.473” 90<->249 pages
  • 200.
    Back cover ® PDA Management with IBM Tivoli Configuration Manager A primer for IBM Tivoli Configuration Manager 4.2 was launched in deployments of any October 2002. Along with many new functional and INTERNATIONAL size and proofs of performance features, it includes an enhanced Web-based TECHNICAL concept device management capability, called Tivoli Web Gateway, SUPPORT running on top of IBM WebSphere Application Server. ORGANIZATION Step-by-step This IBM Redbook describes in detail the steps required to installation and install and configure the Tivoli Web Gateway and all the how-to instructions prerequisite products, to allow a successful implementation BUILDING TECHNICAL of a pervasive device management environment. INFORMATION BASED ON Scenario-based PDA PRACTICAL EXPERIENCE management While the information provided by this redbook can be used on deployments of any size, it will be particularly useful to enable IBM Redbooks are developed by the management of pervasive devices by small and medium the IBM International Technical businesses (SMBs). It will also help Business Partners and Support Organization. Experts from IBM, Customers and IBM services when setting up demonstrations and proofs of Partners from around the world concept. create timely technical information based on realistic scenarios. Specific recommendations are provided to help you implement IT solutions more effectively in your environment. For more information: ibm.com/redbooks SG24-6951-00 ISBN 0738453390