Embed presentation
Downloaded 36 times



































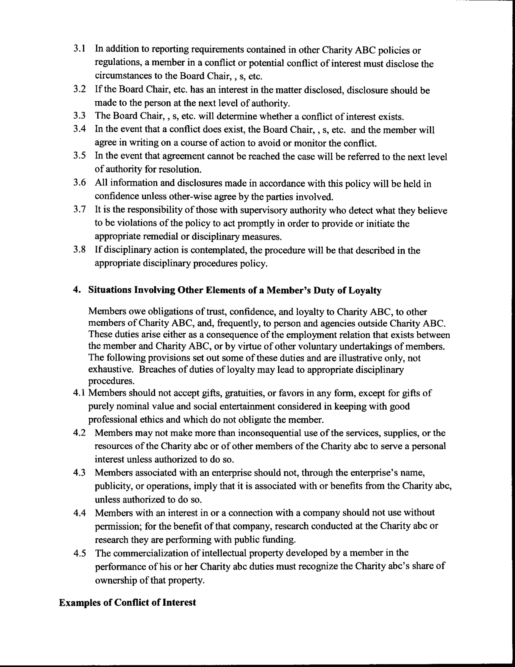
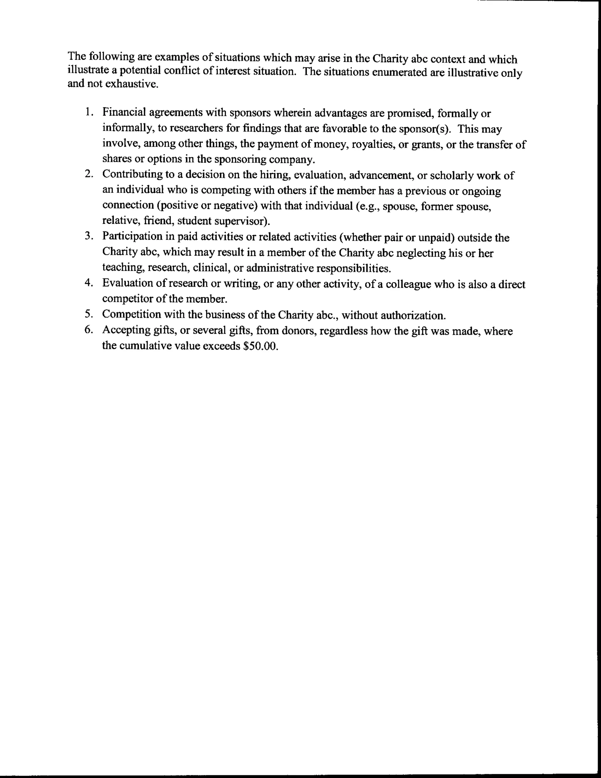
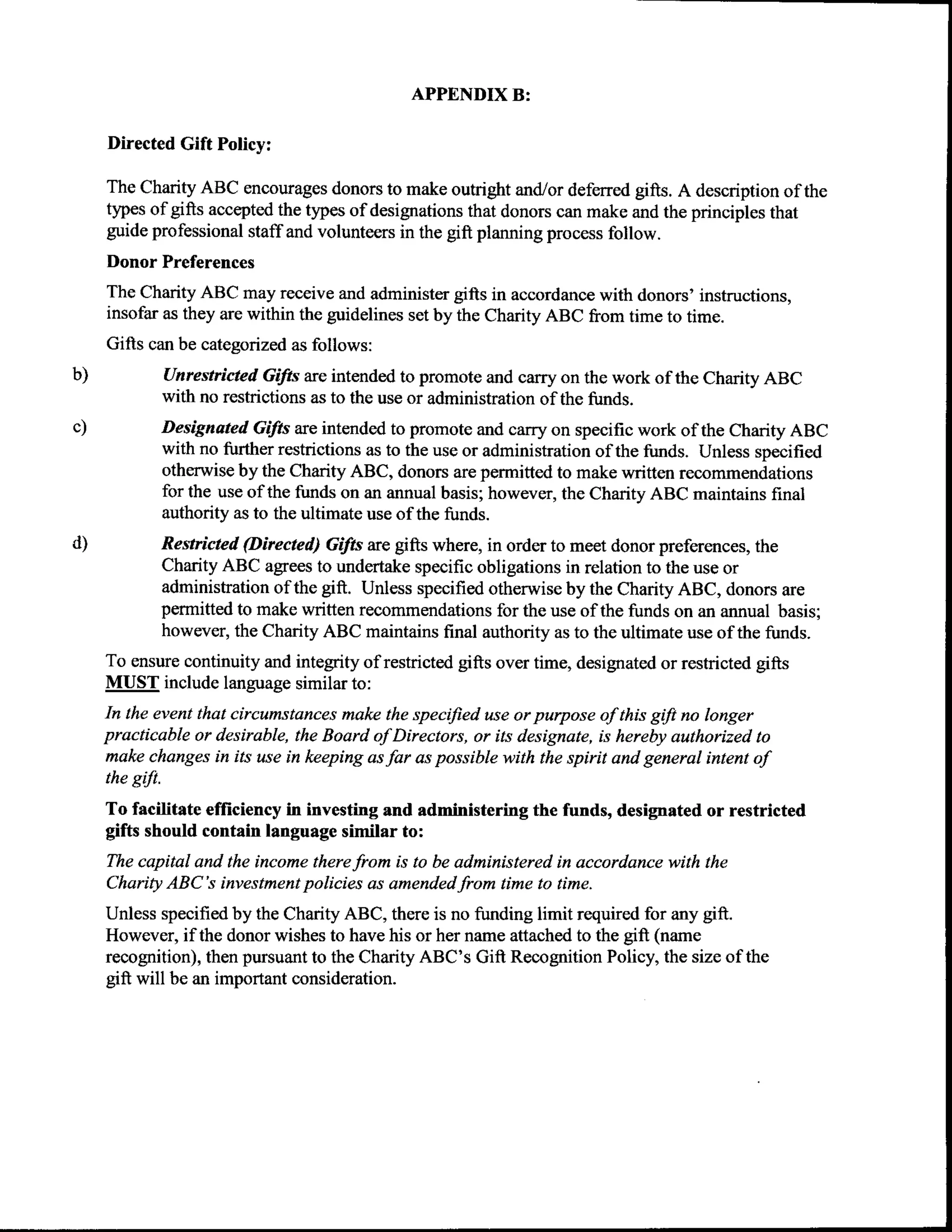
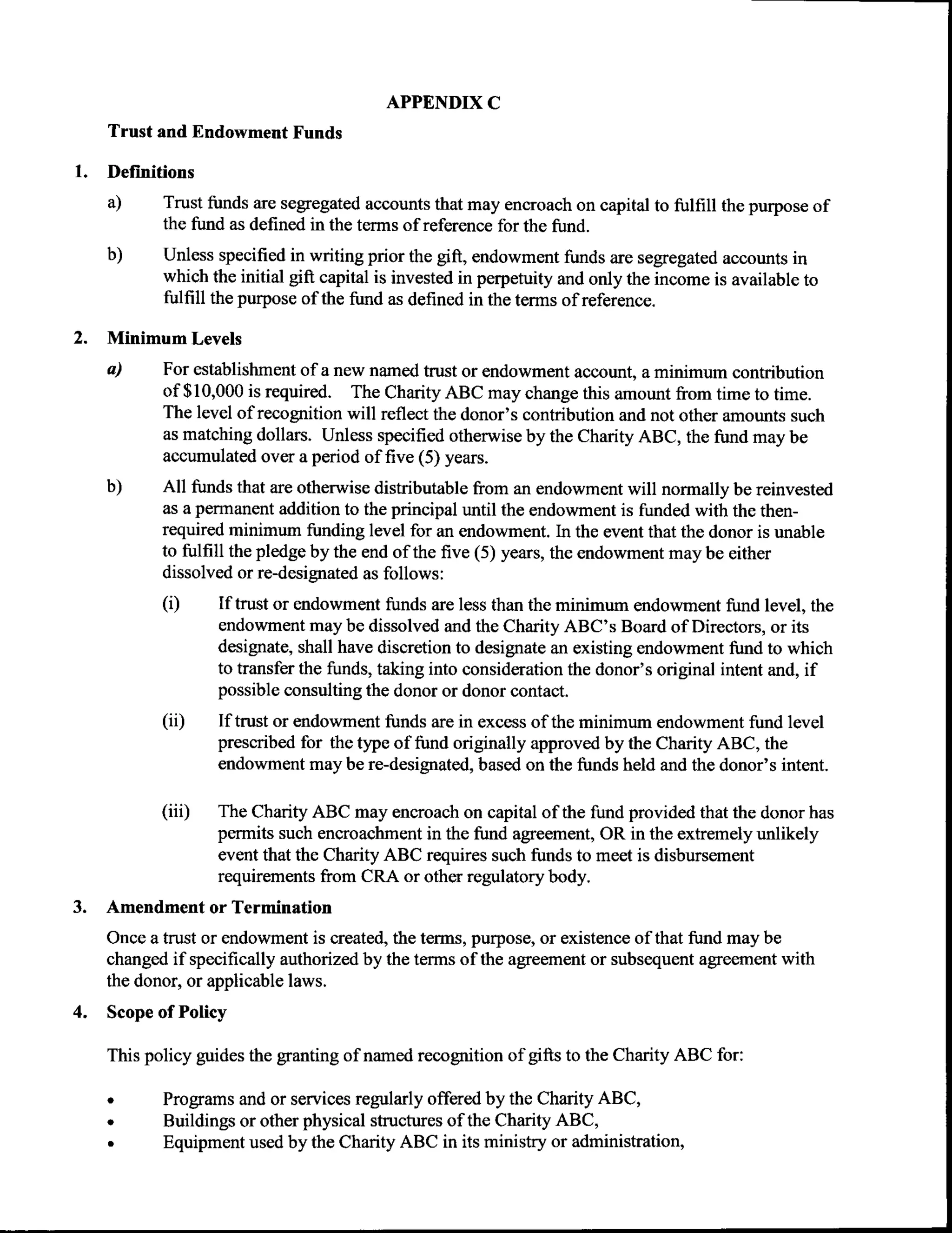
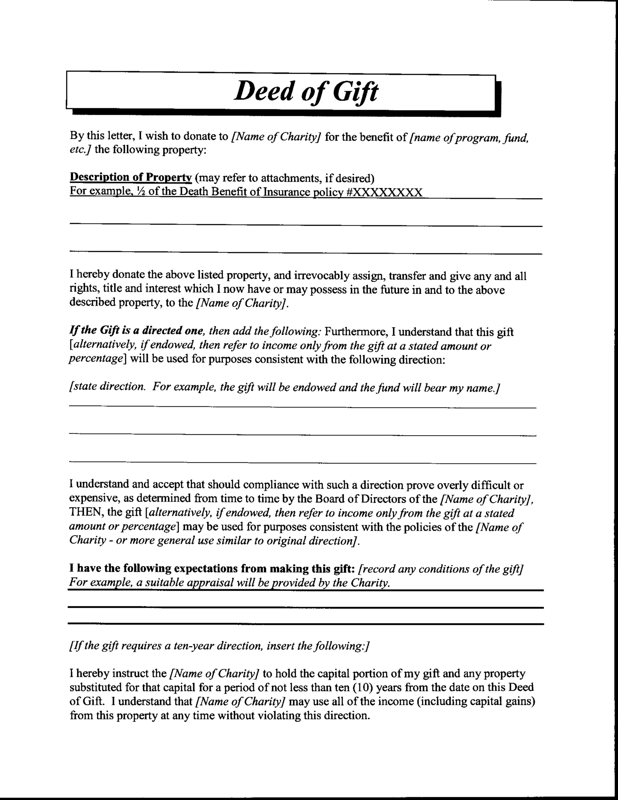
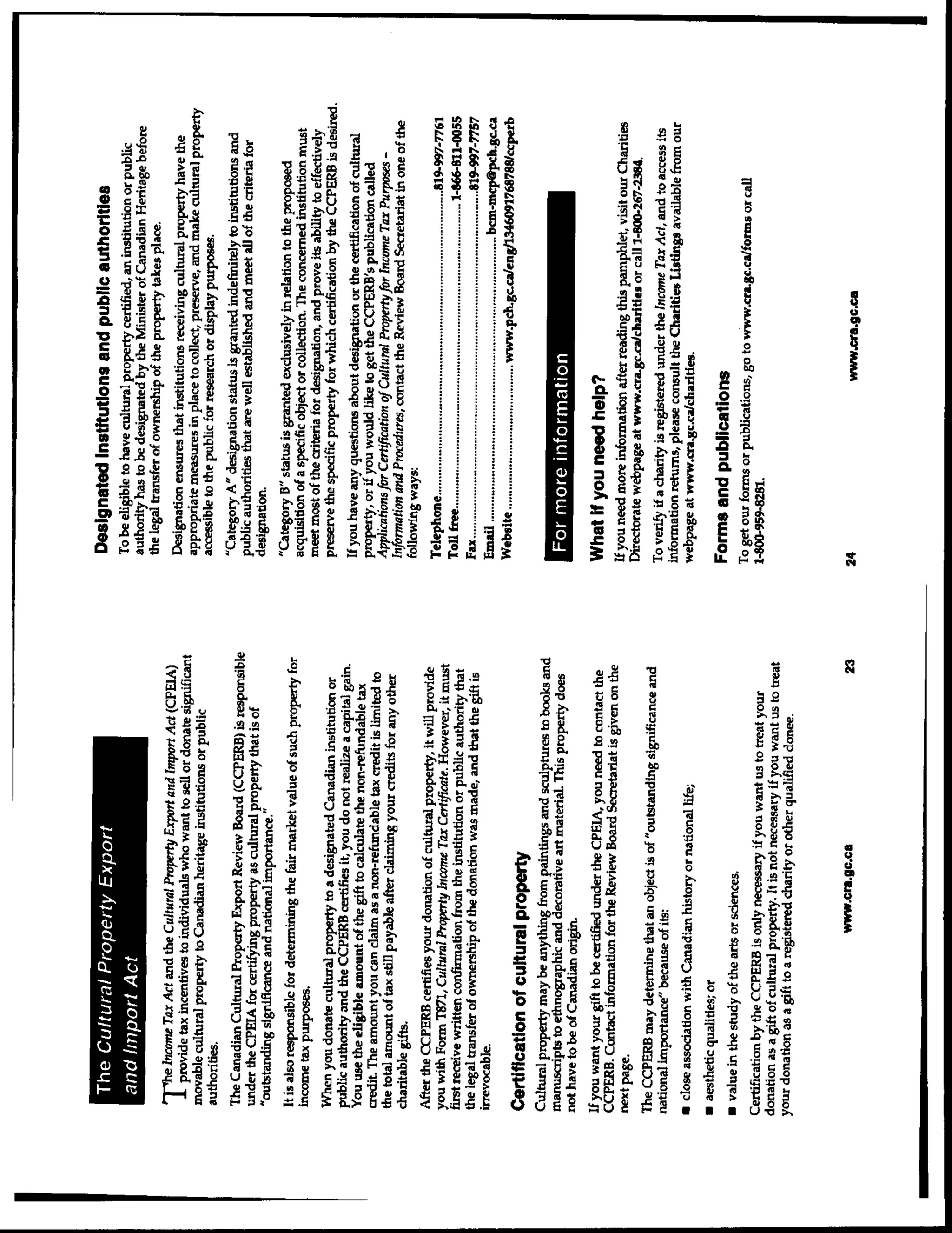
Reference materials for The Evolution of a Planned Giving Program webinar including: -Gifts and Income Tax 2013 from CRA -Planned Gifts Program Policies and Guidelines draft -Suggested Timelines for Planned Giving worksheet

































