A Multimedia Interface for Facilitating
Comparisons of Opinions
                      Lucas Rizoli
           Supervisor Giuseppe Carenini
                      University of British Columbia
                      February 11, 2009
Opinion data is
  abundant and useful,
  but analysis is expensive and difficult




                                            2
Our interface
  supports analysis of opinion data,
  particularly comparison across entities




                                            3
It supports analysis by
  visualizing the data and
  summarizing notable comparisons




                                    4
Our user study shows
  the visualization is usable,
  the summarizer’s choices are human-like




                                            5
6
Text mining
(Carenini, Ng, & E. Zwart, 2006)




                                   7
8
9
10
11
12
+2    +1




 +2        –3




                13
Spore


       Gameplay       Technology           DRM

Creature creation    Graphics
Cell phase           Sound
Civilization phase   System requirements




                                                 14
vs.




      15
16
Applications
●   Consumers
●   Intelligence
    –   Competitive analysis
    –   Forecasts
●   Research
    –   Survey, questionnaire




                                    17
18
19
Controversiality
  (Carenini & Cheung, 2008)




                              20
21
22
23
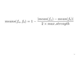
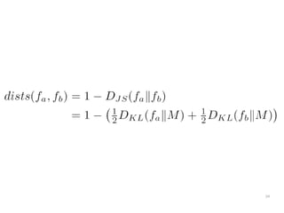
(Dis)similarity of comparisons
●   Adapt stats to pairs of distributions
●   Aspects of a comparison
    –   counts
    –   means
    –   contros
    –   dists




                                            24
25
26
27
28
29
30
31
32
33
34
Interpreting aspects
●   Aspects in range 0–1
●   Interpretation
    –   means 0.6 != contros 0.6 != dists 0.6




                                                35
36
37
Selecting comparisons
1. Filter out low-count comparisons
2. Rank by # of extreme aspects (VD, VS)
3. Realize top comparisons
  •   Sentence templates




                                           38
39
Study goals
●   Evaluate content selection strategy
    –   Matches human selections?
         ●   Better than baseline?
    –   Humans like selections?
●   Usability of visualization




                                          40
41
42
Baseline selection strategies
●   Naïve
    –   Randomly select which and how many
●   Semi-informed
    –   Likely select same how many as subjects
    –   Randomly select which




                                                  43
Matches human selections?




                            44
Humans like selections?



      0.500   0.449   0.454




                              45
Humans like selections?



                  0.500      0.449    0.454
●   Roughly 20% difference
●   60% of system selections marked as “good”



                                                46
Usability




            47
Opinion data is
   abundant and useful,
   but analysis is expensive and difficult


Our interface
   supports analysis of opinion data,
   particularly comparison across entities, by
   visualizing the data and
   summarizing notable comparisons


Our user study shows
   the visualization is usable,
   the summarizer’s choices are human-like


                                                 48
Thank you




            49
Future work
●   Tune thresholds and aspects
●   Analysis of human reasoning
●   Machine learning for selection




                                     50
Future work
●   More evaluation of visualization
    –   Interaction
    –   Deeper heirarchies
    –   Different data
    –   Insight
●   Multiple entities
●   Improved summarization
    –   Visual cues

                                       51
Future work
●   Machine learning–based selection
    –   Trained on study data
    –   Which
         ●   Regression on comparison selection scores
    –   How many
         ●   Max # of comparisons (2)




                                                         52
Sentence construction
●   Always main claim: counts
●   All other aspects relate to counts
    –   Support: same (dis)similarity as counts
    –   Contrast: different
●   Always mention means
●   Mention contros, dists when they are extreme



                                                   53
counts
                     rt




                          co
                   o
              pp




                           nt
            u




                              ra
        s




                               st
means               contros         dists


                                            54
counts
                     rt




                          co
                   o
              pp




                           nt
            u




                              ra
        s




                               st
means               contros         dists


                                            55
counts
                   rt




                        co
                 o
            pp




                         nt
          u




                           ra
      s




                             st
contros                       means




                                      56
Study
●   36 subjects
    –   24 female
    –   19–43 years old
●   22 different pairs of entities
    –   Subjects saw ~4 each




                                     57
Data generation
●   No existing dataset
●   Generated similar to existing datasets
    –   Distribution, modality
●   Explore space of possible data
    –   Too large
    –   Representative of larger space




                                             58
Generated data
●   Generic camera features
    –   Consistent with scenario
●   Simple heirarchy
    –   Reduce visual and task complication




                                              59
Generated data
●   9 comparison types
    –   Constraints on aspects
    –   Range of support/contrast
●   22 summary cases
    –   Summaries by type
    –   Range of
         ●   overall,
         ●   how many,
         ●   which,
         ●   others.
                                      60
61
62
63
64
65
66
67
68
69
70
71
72
73
74

A Multimedia Interface For Facilitating Comparisons Of Opinions (Thesis Presentation)

  • 1.
    A Multimedia Interfacefor Facilitating Comparisons of Opinions Lucas Rizoli Supervisor Giuseppe Carenini University of British Columbia February 11, 2009
  • 2.
    Opinion data is abundant and useful, but analysis is expensive and difficult 2
  • 3.
    Our interface supports analysis of opinion data, particularly comparison across entities 3
  • 4.
    It supports analysisby visualizing the data and summarizing notable comparisons 4
  • 5.
    Our user studyshows the visualization is usable, the summarizer’s choices are human-like 5
  • 6.
  • 7.
    Text mining (Carenini, Ng,& E. Zwart, 2006) 7
  • 8.
  • 9.
  • 10.
  • 11.
  • 12.
  • 13.
    +2 +1 +2 –3 13
  • 14.
    Spore Gameplay Technology DRM Creature creation Graphics Cell phase Sound Civilization phase System requirements 14
  • 15.
    vs. 15
  • 16.
  • 17.
    Applications ● Consumers ● Intelligence – Competitive analysis – Forecasts ● Research – Survey, questionnaire 17
  • 18.
  • 19.
  • 20.
    Controversiality (Carenini& Cheung, 2008) 20
  • 21.
  • 22.
  • 23.
  • 24.
    (Dis)similarity of comparisons ● Adapt stats to pairs of distributions ● Aspects of a comparison – counts – means – contros – dists 24
  • 25.
  • 26.
  • 27.
  • 28.
  • 29.
  • 30.
  • 31.
  • 32.
  • 33.
  • 34.
  • 35.
    Interpreting aspects ● Aspects in range 0–1 ● Interpretation – means 0.6 != contros 0.6 != dists 0.6 35
  • 36.
  • 37.
  • 38.
    Selecting comparisons 1. Filterout low-count comparisons 2. Rank by # of extreme aspects (VD, VS) 3. Realize top comparisons • Sentence templates 38
  • 39.
  • 40.
    Study goals ● Evaluate content selection strategy – Matches human selections? ● Better than baseline? – Humans like selections? ● Usability of visualization 40
  • 41.
  • 42.
  • 43.
    Baseline selection strategies ● Naïve – Randomly select which and how many ● Semi-informed – Likely select same how many as subjects – Randomly select which 43
  • 44.
  • 45.
    Humans like selections? 0.500 0.449 0.454 45
  • 46.
    Humans like selections? 0.500 0.449 0.454 ● Roughly 20% difference ● 60% of system selections marked as “good” 46
  • 47.
  • 48.
    Opinion data is abundant and useful, but analysis is expensive and difficult Our interface supports analysis of opinion data, particularly comparison across entities, by visualizing the data and summarizing notable comparisons Our user study shows the visualization is usable, the summarizer’s choices are human-like 48
  • 49.
  • 50.
    Future work ● Tune thresholds and aspects ● Analysis of human reasoning ● Machine learning for selection 50
  • 51.
    Future work ● More evaluation of visualization – Interaction – Deeper heirarchies – Different data – Insight ● Multiple entities ● Improved summarization – Visual cues 51
  • 52.
    Future work ● Machine learning–based selection – Trained on study data – Which ● Regression on comparison selection scores – How many ● Max # of comparisons (2) 52
  • 53.
    Sentence construction ● Always main claim: counts ● All other aspects relate to counts – Support: same (dis)similarity as counts – Contrast: different ● Always mention means ● Mention contros, dists when they are extreme 53
  • 54.
    counts rt co o pp nt u ra s st means contros dists 54
  • 55.
    counts rt co o pp nt u ra s st means contros dists 55
  • 56.
    counts rt co o pp nt u ra s st contros means 56
  • 57.
    Study ● 36 subjects – 24 female – 19–43 years old ● 22 different pairs of entities – Subjects saw ~4 each 57
  • 58.
    Data generation ● No existing dataset ● Generated similar to existing datasets – Distribution, modality ● Explore space of possible data – Too large – Representative of larger space 58
  • 59.
    Generated data ● Generic camera features – Consistent with scenario ● Simple heirarchy – Reduce visual and task complication 59
  • 60.
    Generated data ● 9 comparison types – Constraints on aspects – Range of support/contrast ● 22 summary cases – Summaries by type – Range of ● overall, ● how many, ● which, ● others. 60
  • 61.
  • 62.
  • 63.
  • 64.
  • 65.
  • 66.
  • 67.
  • 68.
  • 69.
  • 70.
  • 71.
  • 72.
  • 73.
  • 74.