f
tL+30
Sr'a *!t
L(
LL
z+l
e l-
€, 6- tlt. et ? fsix su). .l
,
s-a
J=.,L. L(qr-t** 3cos2u
, -2t
e.L IS+
.Ltlcrs
st 3 B2 +.1
e : t (ar.st
= Lr L trl
> trls . sl
l3 str.rL ,r+l =e r ("-rt I +3, r (r,'n h 4v)
=
* +-
#-,u
Lts + t1 cosh st,, 6 r-qt) =, i ( .or tul+ arr[corL rt )+
t'
g l l. .'',* )
i> zS + -.r I F--!-
>e+q ga-2s s +9
+ 6U1'|arra1 11 agorttl
1 +6t [t?l -l r ( sr'pr ar* 1* I L lcor r s)
.s t- vl+ [l Lt? l- z t tsir,.ul LzL [ 'o, ,* J
b + "1,.. -i:.a6 v
*, -D
*L* * "/r* ' '%"+t6{
telra
L 9
Bts:m
i*nr3 ormasr' In?,o..
Jgr-
c-l- [.r, gu] "
1=Jst+99
tr-. r [.r,,t tu?=;*
e - I (.osL .t]=J
sag
[ .," -
"s
(.in sL) |
_ l0
,{.12S
L (.-tt)+r{ C.o=rr)
__3* + 39
r'
b q,. I (r, t ,*l
L[t*l= +
t- Lt?. zL|--
a. L( o*t cos 2-16l -* S-1
ts-tfr "
," S-t
s a-Et+ so
>q
s aers*r z
b. L ("-'* tr,.
,s
Isrr )n fr"
s
s a+6s+rq
l'(tta)5't>-l
q. g(ul= (
to r t{--}
lLa,r"nq [ ltbl= 12o
s1
d. L( "d Si,th o*I * n
-Ls->Iq'
<- L t.-tt t , .o,' ctt *ssra e-vnl
L
F"l I
,*)
a,
-+, ZS +1
.3 z-6s+zy
:J
Alo. e
s+
l!
s 2 - $s+rt
tna*o- L
b- gtt) =
c' g trl
?2o
gt
+ 1'{
r t LF
,sUl
X oAr
( g r+r'l
[':"
-
-+, L t.
3s
:g
<
-s
s t+l
r ( s ttl ] ---.'3lq'r
*,+
-3?11
-ZlLt
> se
''ti,
sL+l
o . t{ l-if
1
-D t- (si^tl '-
-t
.
sztl
c o&,,A ( g trl 1= o
- tll ns .l
ta+t
'rqeE8qtG4,qj
F celsh L b ''t /sTf ,I
A. gLtI= L o
--+> A [c-osauI
ladi I-
r>-+
rtl4rr
--
F1e):o
A. L
LI
tJr" r, l'
P tt)1 = t
I tt' lvl 1
g.
e.L l,tirrh 3tl'
ttt Lvlt= 3 Prs?:o
se-5
r- t"t tt1J: ?r
s a-J
O. a- r(tzl'
r I tt*11 =* .Tto'l =o
u I t' tL}1 = s .( [r t+l )n-o
s3
t.l-(""1 '
l-'Lt[ut1= | , sot:r
s-3
Itt't+lt"E- {= -ls-1
-- -5-t
S -3
t Is,'" qrl'
l. t rtull
s z+t6
r t t,trr1 =;ft
tS
ffi
(st*t]=.-qlsr=afu
'(lsrrSx_ --c
€
e2+,t
- ( S -f"
--szt4
_q
s2 1a
t (of :l
At
{ L.I
.b
t Ltt
L I,'
tc
LIJ
F
L
6""_ "* d
" 1
qt
=O
tl = I rhav(q
c _.1
c, s ,tA-l
Lt)= qss st
Lcos sk l= s
s a+ls
ItJ Br', oqdvl
1 tt) -- Stn 6t
' &r1" 'lt-;! =
-l-' E tgL-7 I
L LJ cos s d, I - 7r.*a" -;:r,r1
r 1i ?,i
lr4 oK (
tT sfh e. d' 1 -
6
'1, - 6 , r
:e+36
s(<at t6l
,9
T6q
C a- rtts*" sr)
L tsir. 6r, ) = b mug.d L
sat36
d.t [) .t"h q:.4,
f tul =Surh ret
L tsr,.,hqtl=* wtu<oL
" /t.J IsosA s,,^]u
t ttJ= cosho
L t
"u.h
e+ I --,lu- ^a.-o-l L) eosh s,rdu ] -
t/,
,s
s lt8-6al
L [s,'r, O u l. B
ge+6q
,_ [t s{rr
"r1 = t_,J ' _, r I
J?l--ffi,
,6 5
Is q+6,.t I
t,y sr'nh4r" d, 1='/s.fr -1
s(s{{ 6 ?
O q,-rtt s*r-it)
LLst,., gt l= g
F+6q
L t^ srh-.rl- t:rl' d/a. L&l
>:9 ^'tsz+tql
=- r6s
@.
b. L Lt cosrs)
L Lcostr.'l = S
sa+es
r- Lt sos,sul = Lr' d1
*u L -#
L sa t[{ }
sl + 6q -rs'
t:t + ['q I
e
= 6tl -sz
t o "+6q)
t
rl
c-L lt gir.h qal
l. (sirrh
"v1:
3
L Lr st,^lrv l= [-.)'* tA#)
6s
- G"_S).
f,-z-[t* o'o)
L-".,'.) = g-,r"";t L+1.d=
c.L ItLcus.v)
L cos zr =*
- LtL cos
"1,
I= L-.1
t d2- L. =t":- I-!#-se*t
es
Ls+tl'

Mtk yossi bab 3

  • 1.
    f tL+30 Sr'a *!t L( LL z+l e l- €,6- tlt. et ? fsix su). .l , s-a J=.,L. L(qr-t** 3cos2u , -2t e.L IS+ .Ltlcrs st 3 B2 +.1 e : t (ar.st = Lr L trl > trls . sl l3 str.rL ,r+l =e r ("-rt I +3, r (r,'n h 4v) = * +- #-,u Lts + t1 cosh st,, 6 r-qt) =, i ( .or tul+ arr[corL rt )+ t' g l l. .'',* ) i> zS + -.r I F--!- >e+q ga-2s s +9 + 6U1'|arra1 11 agorttl 1 +6t [t?l -l r ( sr'pr ar* 1* I L lcor r s) .s t- vl+ [l Lt? l- z t tsir,.ul LzL [ 'o, ,* J b + "1,.. -i:.a6 v *, -D *L* * "/r* ' '%"+t6{ telra L 9 Bts:m i*nr3 ormasr' In?,o.. Jgr- c-l- [.r, gu] " 1=Jst+99 tr-. r [.r,,t tu?=;* e - I (.osL .t]=J sag [ .," - "s (.in sL) | _ l0 ,{.12S L (.-tt)+r{ C.o=rr) __3* + 39
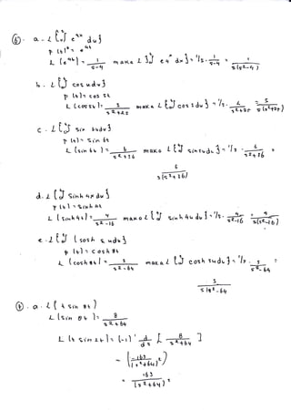
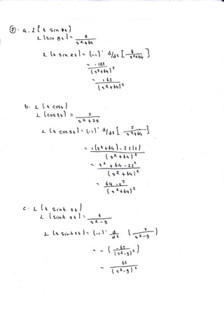
  • 2.
    r' b q,. I(r, t ,*l L[t*l= + t- Lt?. zL|-- a. L( o*t cos 2-16l -* S-1 ts-tfr " ," S-t s a-Et+ so >q s aers*r z b. L ("-'* tr,. ,s Isrr )n fr" s s a+6s+rq l'(tta)5't>-l q. g(ul= ( to r t{--} lLa,r"nq [ ltbl= 12o s1 d. L( "d Si,th o*I * n -Ls->Iq' <- L t.-tt t , .o,' ctt *ssra e-vnl L F"l I ,*) a, -+, ZS +1 .3 z-6s+zy :J Alo. e s+ l! s 2 - $s+rt tna*o- L b- gtt) = c' g trl ?2o gt + 1'{ r t LF ,sUl X oAr ( g r+r'l [':" - -+, L t. 3s :g < -s s t+l r ( s ttl ] ---.'3lq'r *,+ -3?11 -ZlLt > se ''ti, sL+l o . t{ l-if 1 -D t- (si^tl '- -t . sztl c o&,,A ( g trl 1= o - tll ns .l ta+t
  • 3.
    'rqeE8qtG4,qj F celsh Lb ''t /sTf ,I A. gLtI= L o --+> A [c-osauI ladi I- r>-+ rtl4rr -- F1e):o A. L LI tJr" r, l' P tt)1 = t I tt' lvl 1 g. e.L l,tirrh 3tl' ttt Lvlt= 3 Prs?:o se-5 r- t"t tt1J: ?r s a-J O. a- r(tzl' r I tt*11 =* .Tto'l =o u I t' tL}1 = s .( [r t+l )n-o s3 t.l-(""1 ' l-'Lt[ut1= | , sot:r s-3 Itt't+lt"E- {= -ls-1 -- -5-t S -3 t Is,'" qrl' l. t rtull s z+t6 r t t,trr1 =;ft tS ffi (st*t]=.-qlsr=afu '(lsrrSx_ --c € e2+,t - ( S -f" --szt4 _q s2 1a t (of :l
  • 4.
    At { L.I .b t Ltt LI,' tc LIJ F L 6""_ "* d " 1 qt =O tl = I rhav(q c _.1 c, s ,tA-l Lt)= qss st Lcos sk l= s s a+ls ItJ Br', oqdvl 1 tt) -- Stn 6t ' &r1" 'lt-;! = -l-' E tgL-7 I L LJ cos s d, I - 7r.*a" -;:r,r1 r 1i ?,i lr4 oK ( tT sfh e. d' 1 - 6 '1, - 6 , r :e+36 s(<at t6l ,9 T6q C a- rtts*" sr) L tsir. 6r, ) = b mug.d L sat36 d.t [) .t"h q:.4, f tul =Surh ret L tsr,.,hqtl=* wtu<oL " /t.J IsosA s,,^]u t ttJ= cosho L t "u.h e+ I --,lu- ^a.-o-l L) eosh s,rdu ] - t/, ,s s lt8-6al L [s,'r, O u l. B ge+6q ,_ [t s{rr "r1 = t_,J ' _, r I J?l--ffi, ,6 5 Is q+6,.t I t,y sr'nh4r" d, 1='/s.fr -1 s(s{{ 6 ?
  • 5.
    O q,-rtt s*r-it) LLst,.,gt l= g F+6q L t^ srh-.rl- t:rl' d/a. L&l >:9 ^'tsz+tql =- r6s @. b. L Lt cosrs) L Lcostr.'l = S sa+es r- Lt sos,sul = Lr' d1 *u L -# L sa t[{ } sl + 6q -rs' t:t + ['q I e = 6tl -sz t o "+6q) t rl c-L lt gir.h qal l. (sirrh "v1: 3 L Lr st,^lrv l= [-.)'* tA#) 6s - G"_S).
  • 6.
    f,-z-[t* o'o) L-".,'.) =g-,r"";t L+1.d= c.L ItLcus.v) L cos zr =* - LtL cos "1, I= L-.1 t d2- L. =t":- I-!#-se*t es Ls+tl'