iur,** [n,tfr'artfr,r//) (f+W
Uttb uoQ
rln=#
I
.$@*ff{
n +
- 2nr1
tl.tf, zn-r
r
fr,)
Nd
Zrn = : >(*A=l n:l
t
+r*r)
2n' I
-r-^ /t_w{) z
{z+qt
2
=
t
znrt)
tlt r
-zI zVr)
t,
z tttJ+2
R
o0 J
Ziln =L,^ 2un
fi=t M+A "=t
AG-{W-L ilkv, se,:1;5 til
"nh sA/(O +o ,r"b",fu
i ilzr Us
r rl
) l-).
+... n WrWWtr
)
nLb".
h,'r,a 4 ( =J ;cn'29 l"g
: i,l*l- ^
ro) do
= i[o +[S,nu*li"trl .' Jo
:;(++is"'E) D
ntfi
-2+ t6 2
#(rr -3u3)
9 Pn Wn=21)a+3j?n'^ trn):2 3"r+3 i
*n
t 4L /)
A^r
'*s t'n * 46 n drv,AAb b1 n
Sc/rrU n^fi') ,n0ufrt^rtr ,fuK^ (
e@):r+rr(6
:48
: / {/+B
Po
'tO
brlL
4stn-g Pt ^,') I,''w
/ (,<r ) + K /(4 :?3?(K+D * .r
t(**D-,
+6 + V (rsr,,o: tr*, tn6

*pst*6) ,,t''{, ,, *) 3rr,. + $(,* U,)
. " Pr*l 'A 1^nAx' .
Sttue, Pa /r fnrvwt p) 'o
h'w - "il W "t-h"n
fn'v)
+,ntl VOe 2'o.
d^) .
L€+t^^.CI 6=- t rynrU
48xx
q
-)
-3
--6
5
*l
-l
I
-t
iW,lD S - sp'/) ( rU,, o)br)
[V, nr/,/ ,uA + S]^,n^l +ho*
rowt<(n)
=Q
'l*r) (^ry wqna tTN =e
$aaqse +v ry s0qo - 1 - sdu,f) ( l, , !r)
IL)oo 4J- )5,* /b,
^4ry"w,&rt 6 S .a
fi- lr
lz
t;
a3tI 5
t0 16l
8 ,, )
a s
o -t n-?(r
a -, ,|R.-sir?,
o -/ /or-r-,(t
->11
/o
o
o
-l r-t 2 :
{3: ? '-qr ; 3 Jl[t_g
nfu - ff)(,,1,, t!)
-: )rr)ut r il n)b:
frb,,n!r '"e ryM^/l
4!, +/ry, =o
9 d()!, tlbr .Q
t!,fu riD h Wn--:srnEt.{rro,rf 74-) *:hln,
U
6-t0( x!,"11r) - il"t g
)bt+ /!z =!
& t3k| b k bz ^[, iwrf,nil4 ,r',rb#*tt*t )'ytv(b
Tvv d;r"1s1
'z,,q-
t 410 ry-W { 1 t) 2
)=yI =0
nb, x fbz
_l
d"^o ()
o,,0 tfuroArttA
'nlqryillryft
j
3(:r r r -2)
2
s)(r) 3
:la +
=2) +
= QJ +3
b
ar)
_h_
:) */
q4,
J-- 2:r+ 5
tr =-l
:-
nW^{tCo
i) e ,^ wb*r *A {bW ngnpw
h/'vn r(.-l (-rg >0 ,,JwI<-l)
C 'n be+/vnhJ "/bW ,,ngnpktk,
'"rm:c>-l (- *<-o'^lrn r)-l)
il'i/ !- (zr,*J (:r + ,) - 6
J(+ I
2,'.' *5-lr -3
-f(* {
@_ l)(:t*g)
e tfun
I
Ir
t
c/f
/i
I
t
I
)
t.
V,o)
lo,-l)
fl - a'6 J"'Js
6) a)
dt,
I
l') ;
).
12Zlh,q2.
1
th
9
:
1'*(#J )
-(#)'--
{^h
t= - I
-t
(#)==*
:Q
,J6vl
d'utt.
l^4 -
drA
'lY
il,A
F + 3 (Hj'^2
r5
4 ="/3 ,lot:r
Aq- ry{'frggrd,l
nl
:J (,.
0
- -t
JO
t=
l4+6
l(^l
t+ 6
[ua* (r) vr,l
r.4^onl )t ^ ),
3(-rt 2 +3 22 #
b+ t# = +
#rn
-+
ol r,)
-!
b
0a't dr
y :fi1 rt
,# =ttar6.l
S;o'2 J ro
I
nrrrt..,.r^ t{tl-
o0
#.-,i,:r
V =Ls-nttyA+t
n

- Inrz
Inz.lH) r^
>ts-
----
)
. 7nF'.
: -)-^-0 - * 1nn:,
C" I) 1r,n: =to"t
-(n* r)
l.n/'- 2
a  .. 4+2
-l-n +2 ^ ) S;,rr
'' '' J( dtt
o
n2 t'
=J
- S^nr(.Sublr Jrt
e
L-tr'
l^J^tr
=J S;n^ I ('- A"e 31) lrr
o
=J-
tts* n r. dr -lt"* ^*o
rli,it
0
=1", 1o
(n* t) I'rs
* :. ol:<
r( ,
) S;+ 3r drl
o
^ 2rx
7_+
T+
A1T
iJ S,n
o
2L+
/>?x-
8'6
4=
f- .-tf ni1 nd
t i ; nea
=i
"s, n
t Jtr-J ;n',tr
loo-a
F- po ^ br=fi-{
-$ Jn +J s, "(n_ r) (_D Jd
i
- 7nt -l.1 S; n u,t dnl
6
2
-1g
J
2I,.
-_qa
'--.}*
0
-U
:Q
,+. bM +2s!-- K& -3t
Fl3[
' nn? + 6n+ZS
o)n+ 6m +g +16
(t*.)'- -r6
tr1+3 : f /ri
q= -3 thi
= 27n
{rs : e-3r (n C^ 4t +Brn eL)
5oi
:
tu-l+
Pe"3t
= }PV-s?
lrwr: 9P+ 6(3p) + 25p: RC
tb {'=K0
P=5
- Uo', = 5e- 3t
- t =Jc,s ul.',
: g- s t(o^ bt + g,n /+t * s)
# =-3e-.* (noo ut +6,n, M.
#=-( vtLun
- 3Fe
4L
3.X &
A+S_-B
fl=j
ayv,D
?
-A
-/
tg) +{'*[ M,n t$ ++nr,nh$
l=c
u re)
s ) "Jh"e
>, -3F+S)++6:_(
tl_/O
) f):J J" 4: b
g : e
-3t
3u {+t + LS,,}
_
"-tt
(5cr,o(+t*a) + bt,n 4. g
$.5e
.*(tu(l-t
4
3€31 = S( {1 Dn(.v-o)
S"n<a -l-z h(U-o)S l
s('-r)< Sntt* S(r-D
C s lrk 3 r0
*,)
)
/ !.,
vt,
VL
t) ) = e'.o
= tog + islh e
24= (o" g + )S;., e)tl
= C/6 n0 + )S; n0 lr5 dV, nwt,:ilVrrc,r)
z n= (oos +ts; o)-n
=Gr^O -iS*n0
2n +-
!, -- (c^ n0 + ;Sh ng)
=QUn0
zn - *, =(cnnr +iS#
^A)
= 2; S'n n0
+ (u ng -i S,, n0)
(n na -jSa nCI)
2)G r6 =(a * +)'
=2'* { i) rn(-) .
U)'.(*F (j)*tif
'(;) ,'(!n -(J)*(
il'"(i).(i)',- (+
b t lf'- r'A
-
=' n+ J"t(" tLf +lD^ tt| flic, bF + s c^ W) dg
a( ,)* *+!(-r-.f)
.,- e=fr, T,=fr) r=fr
['L tt r&o
'#s*
I
t6t
rl
,C(
,oo +js- 6.+fs. *):t
0
)
J
)rJ--
)9 lll-
+ Ifi-5
={ +
}, t }(*u r
!r) +zr(r, + -!,) - I s(tr *)
= 2Cn70 + t+h50 + g I,2Cnfi + )0C,4 CI
.'- c--70 : nn Dn70 +
ff n5g +
fta3CI +
fr aCI
7 r-q
u)eo,,n t ,h,l(,:* i*, c^-, 2E dv
,- "V
$
LIJ lrn[
tl-- ."..frl
tbn 
rkt
t0
7CI
r02ls I
E-lI6TI
32
3S-i1
=:*------=--
,0) ?t + 3I + Lz =;6
(U- r'a c,rz
Wvovth v{
t&4 $= t, 2=/
'VuA 2: =fB-3X-+/
3 vnh,Ywr^ + 2 b'ns ,,Wl,,,Lfut
(,)
f
/tI
t3
!= z+
=--.=---.-.
:,
- 2v1
*^l-?tfl
{ro )
-1;) r'(
tu) ) v(zt
:eL -3 x
)
=(r)
=(,rl
 + A/: i

I
)
'2
o
I
)l
)
t1
K
?
I
I
L f- 2qi-2i-{ + O( s:-6j +rq
,% )./=/ f*D h (D W !.?t t_2j_f
rwilw-,,tovt
, 5! -6! , z!._: J (zt_21) - Z(zj g
th^,/ ,M p"ytr{o vJ4idn kL cn L "L0 li,o
"*
W pW
,*rtfu vryfr"{) ( D
o-Ij)'(;)
.il - so
[ - rr' I
4)
Roq'/ pw)a, o
'1q
301+ 6 -272 = 965
! = / r0
[ ,b 
-rl
r /T =(1j
(;,illrr)
: 876 - 32 +27
: 365
)t) 'rJlnrq/
f.4+3ylr- $ ttz t lLtr, ) : $ lrno K,lb d,(,Ee
2.rt -(:")t -2(a"u)
=q-{0
--/

1r^'.r 2q2 = - I <O , *4 ,ll t +W rrnilc q,',0
M
5r,rN,t, +rY-'
@ i^'tn) p%^vA eryew c4rrr
M,4w c.m,p.qx rwf5 M/W "',A c^t1,Srr.T,fu pa,rS
-byw o^e vtfr lwi$l AwT ccmrAlea rc,vb"
-f W auf, {W {nffiD X?qn a^,n ,boil
""4.
t*'t S(r) : r,4 r Sa
1+
S _r
z
1 )2)+ !,
s,e3) = (- s)4' 1f f rE(- s)'* t2(-lrtr
-: h5-36 +6
:- rJ >O
s(-t - (-r)a+3/- r)" S(,)' +,2(-t) + tn
: l-3 +S-e+l+
s-e5<D
S(o) : l- >0
11"+4 SQq ,th5 W I -oD(/l
^t kl'Jf c/fl/a br+"en
f < -3 3, f,(= *)r d W br+^rtX/n 1:-l &f-:0.
fnt 4'v, 1/4rilr,rn $(rt) = 0 l^/n cM nsyn I/hr^n tA,I
,f,rl n v+D - 4/1h
"Tr,,il,tn (:) =O T.n4 a''^trl
4-',o ,<A ,t rb ;n +l-0, ,rlk'Wl 3 < Jf <O J
5 (.^) : O LrnA rtn,t 4 1fi,6, I rhoA a, 6 *rl ,yrl
- '4, S u^t c^.tnalex .rrt'Nr@
tq 8=6t (=> $t=6)
{12=((+
oxt
=Q c)
eO-
- 0d
=(s1'
6l-lEl9
Afu,
t
4ANd = h
x0:
( 6',o
l( I =--
t6l
l_qf3
L
o'6
e&r-
"AP
-IJJ :
)D 'sR'
nt.Z
= {OfrY0-)6
ilhan il =d) :-Jr
6rrr =(4il lq"l ttl
=
rt)fr
Er0g - rnfia
=rn()9
= l(o'tr)
sJ= .j
fr qne l, -3, -5
o Q -
?) '1*)-(j)=(,fiJ
, h-trI=/o s

q -q
b c
(r)
('iJ=(t]
l=
)
o
Dl
-z)
:do 0
2 o l
c ol
xtb
lc
-,
'/ llol
d-ra 'o a4r *qv6vdw ' +^t ,W 6, hJt"a't,
O: nnry-t , ,r(n 1 'nJl'l. cllrr04pffiA/1,,Y @'qrr;Phl,.
Ju
i) hL
t"tvw ) = I
rrtt'1&/nA 6
"/t,a^
^=
-3, 4 - L= { . t* o
la o
a c
g" =(l 1
lo
o
Lz' I vI
I2
a
)'-5, O-*-
[ :
u
c l
z Dl
c t)
(6" ,^,
^nt)
(1ool I aa o
{ d ' o l bq 2
o D , /CIt+f[ c
k D=/ I o O 
lo (_:)no I
o o (s)^
I
A,rL t, -3, -5
tr^"q
o =
(z+roctfb
Dl / 6a
, ) ,.*+a
_r
-q
E,WwolwoD t g- nfin1
,,ffi1
@ "S"r,nl
vltArr.n
tvXwwW
So'^c
L,4E1w?tW
Iz"rocrttb
16o
 oc,r.b )
(:
c)
(i
 t)
-3
-5
Bn = qDq-/
t^/^(,,1
{)
a /ar,
F oc +r,b C
I 6'' 2
 nc r bb L

Fmp mj 06

  • 1.
    iur,** [n,tfr'artfr,r//) (f+W UttbuoQ rln=# I .$@*ff{ n + - 2nr1 tl.tf, zn-r r fr,) Nd Zrn = : >(*A=l n:l t +r*r) 2n' I -r-^ /t_w{) z {z+qt 2 = t znrt) tlt r -zI zVr) t, z tttJ+2 R o0 J Ziln =L,^ 2un fi=t M+A "=t AG-{W-L ilkv, se,:1;5 til "nh sA/(O +o ,r"b",fu i ilzr Us r rl ) l-). +... n WrWWtr
  • 2.
    ) nLb". h,'r,a 4 (=J ;cn'29 l"g : i,l*l- ^ ro) do = i[o +[S,nu*li"trl .' Jo :;(++is"'E) D ntfi -2+ t6 2 #(rr -3u3)
  • 3.
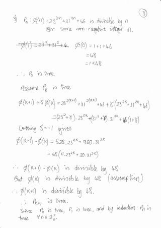
    9 Pn Wn=21)a+3j?n'^trn):2 3"r+3 i *n t 4L /) A^r '*s t'n * 46 n drv,AAb b1 n Sc/rrU n^fi') ,n0ufrt^rtr ,fuK^ ( e@):r+rr(6 :48 : / {/+B Po 'tO brlL 4stn-g Pt ^,') I,''w / (,<r ) + K /(4 :?3?(K+D * .r t(**D-, +6 + V (rsr,,o: tr*, tn6 *pst*6) ,,t''{, ,, *) 3rr,. + $(,* U,) . " Pr*l 'A 1^nAx' . Sttue, Pa /r fnrvwt p) 'o h'w - "il W "t-h"n fn'v) +,ntl VOe 2'o. d^) . L€+t^^.CI 6=- t rynrU 48xx
  • 4.
    q -) -3 --6 5 *l -l I -t iW,lD S -sp'/) ( rU,, o)br) [V, nr/,/ ,uA + S]^,n^l +ho* rowt<(n) =Q 'l*r) (^ry wqna tTN =e $aaqse +v ry s0qo - 1 - sdu,f) ( l, , !r) IL)oo 4J- )5,* /b, ^4ry"w,&rt 6 S .a fi- lr lz t; a3tI 5 t0 16l 8 ,, ) a s o -t n-?(r a -, ,|R.-sir?, o -/ /or-r-,(t ->11 /o o o -l r-t 2 : {3: ? '-qr ; 3 Jl[t_g nfu - ff)(,,1,, t!) -: )rr)ut r il n)b: frb,,n!r '"e ryM^/l
  • 5.
    4!, +/ry, =o 9d()!, tlbr .Q t!,fu riD h Wn--:srnEt.{rro,rf 74-) *:hln, U 6-t0( x!,"11r) - il"t g )bt+ /!z =! & t3k| b k bz ^[, iwrf,nil4 ,r',rb#*tt*t )'ytv(b Tvv d;r"1s1 'z,,q- t 410 ry-W { 1 t) 2 )=yI =0 nb, x fbz _l d"^o () o,,0 tfuroArttA 'nlqryillryft j 3(:r r r -2) 2 s)(r) 3 :la + =2) + = QJ +3 b ar) _h_ :) */ q4, J-- 2:r+ 5 tr =-l :- nW^{tCo
  • 6.
    i) e ,^wb*r *A {bW ngnpw h/'vn r(.-l (-rg >0 ,,JwI<-l) C 'n be+/vnhJ "/bW ,,ngnpktk, '"rm:c>-l (- *<-o'^lrn r)-l) il'i/ !- (zr,*J (:r + ,) - 6 J(+ I 2,'.' *5-lr -3 -f(* { @_ l)(:t*g) e tfun I Ir t c/f /i I t I ) t. V,o) lo,-l)
  • 7.
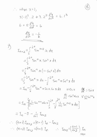
    fl - a'6J"'Js 6) a) dt, I l') ; ). 12Zlh,q2. 1 th 9 : 1'*(#J ) -(#)'-- {^h t= - I -t (#)==* :Q ,J6vl d'utt. l^4 - drA 'lY il,A F + 3 (Hj'^2 r5 4 ="/3 ,lot:r Aq- ry{'frggrd,l nl :J (,. 0 - -t JO t= l4+6 l(^l t+ 6 [ua* (r) vr,l
  • 8.
    r.4^onl )t ^), 3(-rt 2 +3 22 # b+ t# = + #rn -+ ol r,) -! b 0a't dr y :fi1 rt ,# =ttar6.l S;o'2 J ro I nrrrt..,.r^ t{tl- o0 #.-,i,:r V =Ls-nttyA+t n - Inrz Inz.lH) r^ >ts- ---- ) . 7nF'. : -)-^-0 - * 1nn:, C" I) 1r,n: =to"t -(n* r) l.n/'- 2 a .. 4+2 -l-n +2 ^ ) S;,rr '' '' J( dtt o n2 t' =J - S^nr(.Sublr Jrt e L-tr' l^J^tr =J S;n^ I ('- A"e 31) lrr o =J- tts* n r. dr -lt"* ^*o rli,it 0 =1", 1o (n* t) I'rs
  • 9.
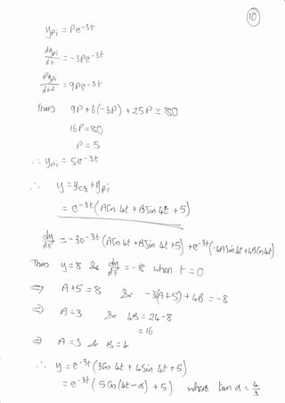
    * :. ol:< r(, ) S;+ 3r drl o ^ 2rx 7_+ T+ A1T iJ S,n o 2L+ />?x- 8'6 4= f- .-tf ni1 nd t i ; nea =i "s, n t Jtr-J ;n',tr loo-a F- po ^ br=fi-{ -$ Jn +J s, "(n_ r) (_D Jd i - 7nt -l.1 S; n u,t dnl 6 2 -1g J 2I,. -_qa '--.}* 0 -U :Q ,+. bM +2s!-- K& -3t Fl3[ ' nn? + 6n+ZS o)n+ 6m +g +16 (t*.)'- -r6 tr1+3 : f /ri q= -3 thi = 27n {rs : e-3r (n C^ 4t +Brn eL)
  • 10.
    5oi : tu-l+ Pe"3t = }PV-s? lrwr: 9P+6(3p) + 25p: RC tb {'=K0 P=5 - Uo', = 5e- 3t - t =Jc,s ul.', : g- s t(o^ bt + g,n /+t * s) # =-3e-.* (noo ut +6,n, M. #=-( vtLun - 3Fe 4L 3.X & A+S_-B fl=j ayv,D ? -A -/ tg) +{'*[ M,n t$ ++nr,nh$ l=c u re) s ) "Jh"e >, -3F+S)++6:_( tl_/O ) f):J J" 4: b g : e -3t 3u {+t + LS,,} _ "-tt (5cr,o(+t*a) + bt,n 4. g
  • 11.
    $.5e .*(tu(l-t 4 3€31 = S({1 Dn(.v-o) S"n<a -l-z h(U-o)S l s('-r)< Sntt* S(r-D C s lrk 3 r0 *,) ) / !., vt, VL t) ) = e'.o = tog + islh e 24= (o" g + )S;., e)tl = C/6 n0 + )S; n0 lr5 dV, nwt,:ilVrrc,r) z n= (oos +ts; o)-n =Gr^O -iS*n0 2n +- !, -- (c^ n0 + ;Sh ng) =QUn0 zn - *, =(cnnr +iS# ^A) = 2; S'n n0 + (u ng -i S,, n0) (n na -jSa nCI)
  • 12.
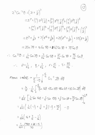
    2)G r6 =(a* +)' =2'* { i) rn(-) . U)'.(*F (j)*tif '(;) ,'(!n -(J)*( il'"(i).(i)',- (+ b t lf'- r'A - =' n+ J"t(" tLf +lD^ tt| flic, bF + s c^ W) dg a( ,)* *+!(-r-.f) .,- e=fr, T,=fr) r=fr ['L tt r&o '#s* I t6t rl ,C( ,oo +js- 6.+fs. *):t 0 ) J )rJ-- )9 lll- + Ifi-5 ={ + }, t }(*u r !r) +zr(r, + -!,) - I s(tr *) = 2Cn70 + t+h50 + g I,2Cnfi + )0C,4 CI .'- c--70 : nn Dn70 + ff n5g + fta3CI + fr aCI 7 r-q u)eo,,n t ,h,l(,:* i*, c^-, 2E dv ,- "V $ LIJ lrn[ tl-- ."..frl tbn rkt t0 7CI
  • 13.
    r02ls I E-lI6TI 32 3S-i1 =:*------=-- ,0) ?t+ 3I + Lz =;6 (U- r'a c,rz Wvovth v{ t&4 $= t, 2=/ 'VuA 2: =fB-3X-+/ 3 vnh,Ywr^ + 2 b'ns ,,Wl,,,Lfut (,) f /tI t3 != z+ =--.=---.-. :, - 2v1 *^l-?tfl {ro ) -1;) r'( tu) ) v(zt :eL -3 x ) =(r) =(,rl + A/: i I ) '2 o I )l ) t1 K ? I I L f- 2qi-2i-{ + O( s:-6j +rq ,% )./=/ f*D h (D W !.?t t_2j_f rwilw-,,tovt , 5! -6! , z!._: J (zt_21) - Z(zj g th^,/ ,M p"ytr{o vJ4idn kL cn L "L0 li,o "* W pW ,*rtfu vryfr"{) ( D
  • 14.
    o-Ij)'(;) .il - so [- rr' I 4) Roq'/ pw)a, o '1q 301+ 6 -272 = 965 ! = / r0 [ ,b -rl r /T =(1j (;,illrr) : 876 - 32 +27 : 365
  • 15.
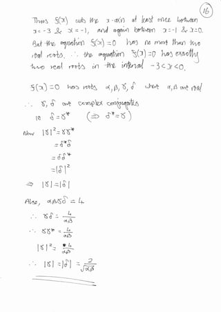
    )t) 'rJlnrq/ f.4+3ylr- $ttz t lLtr, ) : $ lrno K,lb d,(,Ee 2.rt -(:")t -2(a"u) =q-{0 --/ 1r^'.r 2q2 = - I <O , *4 ,ll t +W rrnilc q,',0 M 5r,rN,t, +rY-' @ i^'tn) p%^vA eryew c4rrr M,4w c.m,p.qx rwf5 M/W "',A c^t1,Srr.T,fu pa,rS -byw o^e vtfr lwi$l AwT ccmrAlea rc,vb" -f W auf, {W {nffiD X?qn a^,n ,boil ""4. t*'t S(r) : r,4 r Sa 1+ S _r z 1 )2)+ !, s,e3) = (- s)4' 1f f rE(- s)'* t2(-lrtr -: h5-36 +6 :- rJ >O s(-t - (-r)a+3/- r)" S(,)' +,2(-t) + tn : l-3 +S-e+l+ s-e5<D S(o) : l- >0
  • 16.
    11"+4 SQq ,th5W I -oD(/l ^t kl'Jf c/fl/a br+"en f < -3 3, f,(= *)r d W br+^rtX/n 1:-l &f-:0. fnt 4'v, 1/4rilr,rn $(rt) = 0 l^/n cM nsyn I/hr^n tA,I ,f,rl n v+D - 4/1h "Tr,,il,tn (:) =O T.n4 a''^trl 4-',o ,<A ,t rb ;n +l-0, ,rlk'Wl 3 < Jf <O J 5 (.^) : O LrnA rtn,t 4 1fi,6, I rhoA a, 6 *rl ,yrl - '4, S u^t c^.tnalex .rrt'Nr@ tq 8=6t (=> $t=6) {12=((+ oxt =Q c) eO- - 0d =(s1' 6l-lEl9 Afu, t 4ANd = h x0: ( 6',o l( I =-- t6l l_qf3 L o'6 e&r- "AP -IJJ :
  • 17.
    )D 'sR' nt.Z = {OfrY0-)6 ilhanil =d) :-Jr 6rrr =(4il lq"l ttl = rt)fr Er0g - rnfia =rn()9 = l(o'tr) sJ= .j fr qne l, -3, -5 o Q - ?) '1*)-(j)=(,fiJ , h-trI=/o s q -q b c (r) ('iJ=(t] l= ) o Dl -z) :do 0 2 o l c ol xtb lc -, '/ llol d-ra 'o a4r *qv6vdw ' +^t ,W 6, hJt"a't, O: nnry-t , ,r(n 1 'nJl'l. cllrr04pffiA/1,,Y @'qrr;Phl,. Ju i) hL t"tvw ) = I rrtt'1&/nA 6 "/t,a^ ^= -3, 4 - L= { . t* o la o a c g" =(l 1 lo o Lz' I vI I2 a )'-5, O-*- [ : u
  • 18.
    c l z Dl ct) (6" ,^, ^nt) (1ool I aa o { d ' o l bq 2 o D , /CIt+f[ c k D=/ I o O lo (_:)no I o o (s)^ I A,rL t, -3, -5 tr^"q o = (z+roctfb Dl / 6a , ) ,.*+a _r -q E,WwolwoD t g- nfin1 ,,ffi1 @ "S"r,nl vltArr.n tvXwwW So'^c L,4E1w?tW Iz"rocrttb 16o oc,r.b ) (: c) (i t) -3 -5 Bn = qDq-/ t^/^(,,1 {) a /ar, F oc +r,b C I 6'' 2 nc r bb L