F rtt-hl"J F^** t %l:* 2ffis
) 62
:)
0 =fI
4rf
S{V
I
n(nt r)
=2(#O:fi 
Nr'^
= E ls(n)L
n:f,,
= s (od)
5-= t;,n
ff> oo
-t, c
t^/rn I
lv+s L
1ln.,
)
g(u"r)
- S(n -,)] ,,rtfurft, (n) = *
tl..l|l+
-
ru ^1"
+l
Nl, l-N
: ff@il
=
rvz-rV+l
ril(tt"+ 1)
t^"t) S1y = lurn ;N+qA {V>oo s
rua-fyll
r},(u.o
D
l-tr
tY(l+
l- .L.P
N
t
u") -
J-)
nr" I
-J0+ Lfv
,
$) E-
:o--*-r
_**.
) rt = t -S.,;{ t= t-Co-t
s= t- tur+, # =s; r
S^t
| '6,4t
35'o i t0,o lt
2Sh" h+
= C't lL
#.=*(#
= -L(
g &-
oArNt) d:t
: - tGe"'L+ ,*
=';frrft,t Lt #
= - i 6o" Lt ' iCauc" zt
- - icr,tro-+ it
69. D? '/s
r) ol
ua=(
"{)
- ( b.
I oc I
t a6l
t;)
{ d;Ar,",,^!,
g^en U
r-
lV,i,/ -L h n.lt-J
v''n-twN+on
&=to fr=lol
 &,J (3/
--s.
A(=l-a
I !)
_ - *_>.
n - ngxfrL
: ( :)
-(i)
n
{{
f:lab ) I
(l)
(t
F)
A5+ )p i/ =0
63r -h( r t'- D
4 )t3+ ))r + I =0 lxn t"tt q) srf
=Q
oq3 + (sut (5 = - 3
a"il"
K^at
+
b
c(
0+r)oQ+o'rt1'za+
6r4rt 4+ dl "6
i=o
tt't/t^rb*g (,) (4 X (g
t
a1 J',q2t o( :0
ph+)pt+A:Q
{4 rz(ir(:e
g or) o1,6 ,rFrry
ArAJdn
Sd qh+ &4+6offi t) n(""t "6) =Q
q= rA{+ () ( q+ 16 + -lg
= o)
=- 2("6-r q(.,, p
I
(-:D
rS );c.Drd, t>A
ifu,e, '^ rw nl ,r^lLW
^
 & ,"]wh
d4+fi|+6f
O r( : t -BtL !=*{t
;'
tr.
W{c=.,1 W*tI
-Jl Jt
I
=j' d+
I
=-l' rt
l
=Jt6k,
=f ''fi (nr''L k
,
: f++8ttl+LL ' vv
J,
- (;a rt) - (,-'4
j tl=--.
o
ti) ,rtx^, c"ro{
- 2r J
r*
t", ( t + r-r z) dt o
=ry/'p",**+) dt
I
=#L+it.*n"l',
= T(9",n',', o',* ,t,
-rr(--)
sl
gIv+ ru
3 ll Fl
++$^(+'g)1
-(+-*)l:e"r ( niZ ,
ra )
bt"Jz
=Tl l
= gq7 tni4fu.
n-0%..-----
0 Ifi<6s17(') C:0
A,+n r ii ($ - ,)- do
!rt
(,)
-id
jn)
-t^rj
,ln(g {+ r) daz
in
: .,[-# -2n('",P*Uln2-
L s "f,r,
= L[{ -r -trrnrr "{) -(-rn,I
:' I -ZnLn rt + 2tt +zrih ifz-
.= ll znhLf -zllnt+42

-r'Y,
r'
2- )
: T.r '(l^ 2tt -hn)
.t
: Tr rttn(flJ
=5 *f.Ln !
=;;-hz) [a L:
- Zd,n efr
, -fr,'. r{ o2!-5e+6=0 (f)
tb., 2:-r3-qa-3:Q @
t,vr1 p.'hk vlfur/h vc
^ " bCh fl1 & Ilr
q/ulrVfrln (,1
'.
G),
p*,t ^h,,h
:CI tn b/th ilt )''112 dl'v
ffi
fu,; @,.A/t p*,* r,
sdtA[ltA:,@
s!o<q, Ot I*0 =O
*rv3 p-rM ,lilh ,'r t'n b"Ilh TTt wA 1z n
oArso yo +rb plniY
:l+2j*3+ +6+ I(zt+$- hz-tr=O H^€R.
,
) €S,r^4. </Yw a?nrJ Pln/W {)ffiwj
ry rc)
A ,-{*,,^M L , -il/,t lr,rp { ,ifu'ry"},rn { t, L fy,
ut Wvrr
-3a*Lt-I(-t+ot-9=C
),= ffi;_ ,
) +3- j+ +( S*)("'J -tz-).c
[: r r,a) )r r z(t+
4y - : {3} q)a * t,(t+ta) +z(+-u)i
{+qg
- z',- ( ;-la) a-r(a- 5a) : e
s#,;,6,,
(,t) + X(t =0 ,
o8O +t -3+ (o+
+12
(o..4_3
(zr r)3
- (rr-?u): +
(z^-rl)r -5
r6q rt - 6o)rt 4j '(-t-
t?n - torP|z
t2+1q : C+ l6a
-25* *2Sq : Q
+ 252 : 254
ii) h/h!-'^ 1i2 _L fir-,
lza-rr  :D(-sfr*01 i
'as I
*r€>
- roO :D
{O0 =0
14, €1
(i)
s) 1. ={' "-*('-r)^
dl
=S-o-(
d'r/
T
^lIt
-l
J n+t
0
Lrn* I trl+ I
;;(r '")nt
I
nl'e -''
1
'
Jo
t
nr,
)
)rl
.<
-!-nv ) -
:[*(, 4
(no I an
)(
N'-e-]'
- ('-r)n I/-
e-q ( ,_r,)
n*/
Jl
n+l*, 1n,
t-
e-a dr
?lI
-
ro-J,
r-t^
o: - I eD*lrle:l 0o= | ,FB
-'lj
s-t -(- D
= I - 31-,
:
'- s( t-Ze-)
= -z+6s-l
9 -21e-l
)- t+
r * 5 (q- zur-)
- |4 + t20e- |
I
Ja= I
l-ro
l- (,l- r-,)
g-l fi,=o &€ 8)
a,=
l=t.-
-S
Bz= -2
[r-
,;'-i 2
|
/0 6s= b
[- 'l
t-'.
31]
= -21+
[t-,)*.1 lt]
- 2Ir
-Ze^l .'" Az=l=l
13
14 = l- 4l:
frs'- 2
_ r - a(- l*t"-
Bqfru'1
2065='
r (-' sr l.J)s'ln-=-l+l+J
0t)ssww IK= 4.* 6Ke-l
i)-^rr 'L,<nt
= l- (rrDJr
: r- (o.Dlo* t go. ,J
: l- (r<t ,) frr - (rc,r r) C*e- I
: An+ r
+ 6r*lt-l
vlv,t AKr,= t-(t+| 4,,,
b6.ot=-(*+,)6K
S"n^" f o ia , ++n, t""CI A, * 6oe- I
, ft b,jrlr4
VhKk 7t n t-t1rrD E^-. frr+6,a-l.
S5 ;,rrd,wd,',r't) 7n 'n
{-thp frx"l frn*or Ane
rii) Gn= t/){)rt61 t
q) nq=(; *_,, )
to o t)
Trw
"^Wwrd,tw  rtl a'"b A, b, C.
h4-r,^a
^
=a, +!' e,rrywfu 'n ll'( +,0
{ gx / D 
l2l lu-al
 t
) l_, j
= {o-6_zt
t8 )
tr,b
W clry-rbryvl/i{y +o ) =o n /rlo l
ol
h, lo'o r/o
I i ) (!,)
l= b,
= (;?01
to J
-l-2+(-b
I o-c i
0..)G-q I
a +L+2
++v q/y'/e*,* A tl'(
Q=l 1 -2 <-b-z 
io a-b a-c 1
 o o ('"0 (r-r)
)
D=l (o - r.). O O
I o (b-K)' o
 c o (,-/.I
@,0)
,tl2 I
wl
- Goet6 + r* 2lt-17
lal= Go
f * isro /( : o, t l, | 2, ! J., 1tr,L5, 6^1lt./
b
e.z) 't* = *'2
Iz+t''-
* ) I
w^l
2
hA"e t^r/ =-+3.Z
-t+3
z
(u+
(*)
-t'z'l--
1
:
a
)w-l
2(w "- r)
@rcT
z(uy* t)
(r'r- t)lv*- r)
z(w$- r)
wr,/Y -(WnUt) * /
:2(' - v*)
| -zh,ff i I
t-c^40
- (zs;*#,
-(t - c"+ t i.f )
+ 2iS,n f c* €)
25rrr,e ry
I
= {l*'1

G,r ry)
r-'c'#f l( - i l, !2, t 3", t {*r+-5, L
Nw t*l ffirun 1r) q F'l^Ut"^nl 5 W tl d
,")"/vrh w4/h rtrvh
-'/) A etu'ff"rn 5 UWYVWI) v-1vttt 'vvl Q"'tvrvt' -)
'v'
1tE
^^t *T$.prn/^'1 +0 ^/ = I (,a =9 d/^/, ,1,,,t
nz,iot TtW DlA t^(+) wrwo-@ r4/:-t q,t=Q
An -ihp, dVJ p,nstlbb,
'rltl,NA { l(,, , l, !2) :),Ilr.,L5
g^^ G*ff:ru- f:ort#
il,,* xtn, q/,df,un ?;rlr4J= 2') t4//4
^^M
rfs nn-tu+|.
n^t+h
!
,iD f -r-,c.,t g li r+;LL gJ
= l-)'h'ry
: tt A,+ Z,)("17
tz
-r
2 l{17
- UuJee-
A
I y-)
'''/
P,rAA,yd 6 grh { (n)
15
-:(!,(.^o:ff) n("1)
V(= I
=183
(^*''f, =
/llc,rrff  - ),,n ;)
st2
3
5
_
_]i
l(z t
5
.iTt(=,
sr?
(=^ = *)$;' ' fl l.^^'fr - 3
,eJ I
ir^r
" )= Se
_
fl)(.^"f)$;
rf n=lt 3 2rr -t -l
. e d)
-lr s z
( o -q -3  &-<,
o -q e 6) ar_2R,
)l) 3:
I o -6 -3 
 o o 6.-tJqr-(a
ilVvA O +
bA.vA f; =
u.0,
+ p - +)or-zl,


-3 )r<.-K1/J
4
,
2?= I /qfi+ :Q  ',
Az-3e +p-2
lr +/ 3:it
1D  /o-+-31-t
ito
+p -z )  o -+ u-Ll3o
I
) g 2
>l r32lt
{ o -q -3 / -r
I o o o-t lsa+/
) (S) l.1r,o a *yN :.d,
J/ ,,-.& tr^",e (O-,) Z = 3(g-
-g -9: -l
-43 = 8
$=-2
f +: /-4 +z(s) _ |
t-(116-f
J= I
^v) 3:1,!=-2j *=3
) r33 * 2-;
r) -[ a
2 r +2j r CI
lr 3 zl
| , -) -l I
rl
z 2 0 j-
8 e+t)
/vvr F - o,
. ', s-l 'a -,
D
ii) ,,,/fvx_ g= l, ffi h0 l,rtrrt, O
f ) 3r t t
{ o -h --l i _t 
o o o I p
)
B ,,h ddlifl:n , P = o +l,a/) +td- -y4"t^/n,
t
5 ,x^A er/y% f^/f :''n@ -+fvt CI"O
ild +n rrrkfir';hrt
ryAr^M",rn /,n +y^,r1, WkWn'rn nfub o4S q,fl ,444,fu,
n;,^,,,.{,*" t s=flr^/frn4.
rir) ,n^0^4 o. ) b. P t'O +fu" *-tI,-b ,q,ud,ws
{ s
o,r0 i{WwJh4!ft, thAn S L)/n no s'tlf,rn.
/) ,L:-rytr</
3
:
ffi
ang*d,l-o rr :l , )1.6,I.z
dsrftYtwrfrt'{r tr) b - r)(, - t*) : f 1 --
5:r + t -
50 f=-S & l_+
)r'rpJry-- r-' Jt;St*4
s- J-l tr't'
,'- nt:)t+bl+ t:2(:tislrcr) + fia+B
a=2 loreAs'o'411
S" o=2., {):-! L.b
dq:
dl)'
,k shA Fa
. l,A
/. , +J:Q'd^
rj
,JVnA
c
fl:
p
(a- D'
v A.
-l
F -c)' - r
p-ic,-e-T
:- G, =-+P
So Zt? + b:r tC
p, - Db-&)
2t2+b:t rL
=
2
-z)
_/)
( =.R
5rn4p 2:,r+b>t rL z 2ti-( ro+:p)a +8 , h4 aL't"'t'u+l''r,il
s /+ _l
"-q )
(:-r)(r-r)
" P(r-+) * appt-)
' - t0r*B *3 Pl
' -to $P) r +8
,D
b - - rO-sP
t-+-to +Yv/n F+C
#=P(rtT'-i*r)
# =o ,€:) S.-d.
(K*r)
: *6
-i-rJ +q
- 3)
Tl"ilro il:t- ,)
t . (ct - ,)'
to!t-D= -Ft-G)"=0
ft,,'- r) +,, -u)]Ff', - ) -(a -r)]
$r-4(r+O =e
'- J-: 2 ar -2
& sp f V,t/' "wdU v,,'n
ii) vftT^ b.-6,
:Q
t!: 2t',7- 6ct rI
(o-Dr)q
)'
cr, s)
he l-ar,rf.
€ 2 +(-3X*,
(t*
I"t^rttw t""rrlb
J
I
Whgrj
"=
?t
wI
=
P- €*k
tt(-l
- '2.
!
I
a
I
,
,
I
Lrr@ 3 .-2I
r2)'oA'
#, +@-)H
nGE
m2"€o-r)nn tn(a- :Q
/r| : l'20, t
2
r -2q c I
vQ@'DJ=2n-t+a(*Df
f=C
" - rz{ : j.* *.5ei
# :Q-') fiu('-a)t
^hK^4 f :C , U
n+6-Q
L, (-") A -q(+l:Q
(a-D n tnB=l
("-D /1 t a(n) = I
-A = I
A: -f
6=l
"- lr(
J
-(a-r)7 + j
'- 0f c
: 11 e('- 4e + 8e-CId + {
-q6e-ar+ I
H:D
15 n7 l) !?w w) J->@ ., e'aq> 0
b, e-@-Dl + 0
! t o-o +l(
b I*.{ ___:
a ) ca
w) :, -3 qJ
d2*
+ (t^-, F + o(a')+ = eaJW'
N %s= fre('-De + 1e-af, (a +t
: f) t6e-l 'rS R = |
Zr; - F sa "|ffi d'^I (}l''i a4)(&'{4i
So fle'n(*"Dfe1 +(n(o-DPerz ex
(g'-6+2a-t + l) Pe, =sa
(u'*n) fett ie)t
/ = Zct +2p",
= fie(,-a): + &e-ar + dr1
d(
g-t 2 ' a(a+ 1)
. -
- lrr,,Yt e-
rl
Z .< .l*=
)r->oo o(otr) 1
vt a*)

Fmp mj 05

  • 1.
    F rtt-hl"J F^**t %l:* 2ffis ) 62 :) 0 =fI 4rf S{V I n(nt r) =2(#O:fi Nr'^ = E ls(n)L n:f,, = s (od) 5-= t;,n ff> oo -t, c t^/rn I lv+s L 1ln., ) g(u"r) - S(n -,)] ,,rtfurft, (n) = * tl..l|l+ - ru ^1" +l Nl, l-N : ff@il = rvz-rV+l ril(tt"+ 1) t^"t) S1y = lurn ;N+qA {V>oo s rua-fyll r},(u.o D l-tr tY(l+ l- .L.P N t u") - J-) nr" I -J0+ Lfv , $) E- :o--*-r _**.
  • 2.
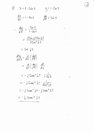
    ) rt =t -S.,;{ t= t-Co-t s= t- tur+, # =s; r S^t | '6,4t 35'o i t0,o lt 2Sh" h+ = C't lL #.=*(# = -L( g &- oArNt) d:t : - tGe"'L+ ,* =';frrft,t Lt # = - i 6o" Lt ' iCauc" zt - - icr,tro-+ it
  • 3.
    69. D? '/s r)ol ua=( "{) - ( b. I oc I t a6l t;) { d;Ar,",,^!, g^en U r- lV,i,/ -L h n.lt-J v''n-twN+on &=to fr=lol &,J (3/ --s. A(=l-a I !) _ - *_>. n - ngxfrL : ( :) -(i) n {{ f:lab ) I
  • 4.
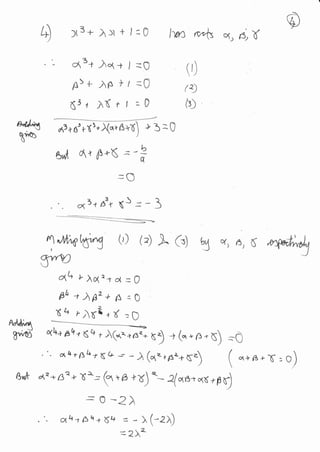
    (l) (t F) A5+ )p i/=0 63r -h( r t'- D 4 )t3+ ))r + I =0 lxn t"tt q) srf =Q oq3 + (sut (5 = - 3 a"il" K^at + b c( 0+r)oQ+o'rt1'za+ 6r4rt 4+ dl "6 i=o tt't/t^rb*g (,) (4 X (g t a1 J',q2t o( :0 ph+)pt+A:Q {4 rz(ir(:e g or) o1,6 ,rFrry ArAJdn Sd qh+ &4+6offi t) n(""t "6) =Q q= rA{+ () ( q+ 16 + -lg = o) =- 2("6-r q(.,, p I (-:D
  • 5.
    rS );c.Drd, t>A ifu,e,'^ rw nl ,r^lLW ^ & ,"]wh d4+fi|+6f O r( : t -BtL !=*{t ;' tr. W{c=.,1 W*tI -Jl Jt I =j' d+ I =-l' rt l =Jt6k, =f ''fi (nr''L k , : f++8ttl+LL ' vv J, - (;a rt) - (,-'4 j tl=--. o
  • 6.
    ti) ,rtx^, c"ro{ -2r J r* t", ( t + r-r z) dt o =ry/'p",**+) dt I =#L+it.*n"l', = T(9",n',', o',* ,t, -rr(--) sl gIv+ ru 3 ll Fl ++$^(+'g)1 -(+-*)l:e"r ( niZ , ra ) bt"Jz =Tl l = gq7 tni4fu.
  • 7.
    n-0%..----- 0 Ifi<6s17(') C:0 A,+nr ii ($ - ,)- do !rt (,) -id jn) -t^rj ,ln(g {+ r) daz in : .,[-# -2n('",P*Uln2- L s "f,r, = L[{ -r -trrnrr "{) -(-rn,I :' I -ZnLn rt + 2tt +zrih ifz- .= ll znhLf -zllnt+42 -r'Y, r' 2- ) : T.r '(l^ 2tt -hn) .t : Tr rttn(flJ =5 *f.Ln ! =;;-hz) [a L: - Zd,n efr
  • 8.
    , -fr,'. r{o2!-5e+6=0 (f) tb., 2:-r3-qa-3:Q @ t,vr1 p.'hk vlfur/h vc ^ " bCh fl1 & Ilr q/ulrVfrln (,1 '. G), p*,t ^h,,h :CI tn b/th ilt )''112 dl'v ffi fu,; @,.A/t p*,* r, sdtA[ltA:,@ s!o<q, Ot I*0 =O *rv3 p-rM ,lilh ,'r t'n b"Ilh TTt wA 1z n oArso yo +rb plniY :l+2j*3+ +6+ I(zt+$- hz-tr=O H^€R. , ) €S,r^4. </Yw a?nrJ Pln/W {)ffiwj ry rc) A ,-{*,,^M L , -il/,t lr,rp { ,ifu'ry"},rn { t, L fy, ut Wvrr -3a*Lt-I(-t+ot-9=C ),= ffi;_ , ) +3- j+ +( S*)("'J -tz-).c [: r r,a) )r r z(t+ 4y - : {3} q)a * t,(t+ta) +z(+-u)i {+qg - z',- ( ;-la) a-r(a- 5a) : e s#,;,6,, (,t) + X(t =0 ,
  • 9.
    o8O +t -3+(o+ +12 (o..4_3 (zr r)3 - (rr-?u): + (z^-rl)r -5 r6q rt - 6o)rt 4j '(-t- t?n - torP|z t2+1q : C+ l6a -25* *2Sq : Q + 252 : 254 ii) h/h!-'^ 1i2 _L fir-, lza-rr :D(-sfr*01 i 'as I *r€> - roO :D {O0 =0 14, €1 (i) s) 1. ={' "-*('-r)^ dl =S-o-( d'r/ T ^lIt -l J n+t 0 Lrn* I trl+ I ;;(r '")nt I nl'e -'' 1 ' Jo t nr, ) )rl .< -!-nv ) - :[*(, 4 (no I an )( N'-e-]' - ('-r)n I/- e-q ( ,_r,) n*/ Jl n+l*, 1n, t-
  • 10.
    e-a dr ?lI - ro-J, r-t^ o: -I eD*lrle:l 0o= | ,FB -'lj s-t -(- D = I - 31-, : '- s( t-Ze-) = -z+6s-l 9 -21e-l )- t+ r * 5 (q- zur-) - |4 + t20e- | I Ja= I l-ro l- (,l- r-,) g-l fi,=o &€ 8) a,= l=t.- -S Bz= -2 [r- ,;'-i 2 | /0 6s= b [- 'l t-'. 31] = -21+ [t-,)*.1 lt] - 2Ir -Ze^l .'" Az=l=l 13 14 = l- 4l: frs'- 2 _ r - a(- l*t"- Bqfru'1 2065=' r (-' sr l.J)s'ln-=-l+l+J
  • 11.
    0t)ssww IK= 4.*6Ke-l i)-^rr 'L,<nt = l- (rrDJr : r- (o.Dlo* t go. ,J : l- (r<t ,) frr - (rc,r r) C*e- I : An+ r + 6r*lt-l vlv,t AKr,= t-(t+| 4,,, b6.ot=-(*+,)6K S"n^" f o ia , ++n, t""CI A, * 6oe- I , ft b,jrlr4 VhKk 7t n t-t1rrD E^-. frr+6,a-l. S5 ;,rrd,wd,',r't) 7n 'n {-thp frx"l frn*or Ane rii) Gn= t/){)rt61 t q) nq=(; *_,, ) to o t) Trw "^Wwrd,tw rtl a'"b A, b, C. h4-r,^a ^ =a, +!' e,rrywfu 'n ll'( +,0 { gx / D l2l lu-al t ) l_, j = {o-6_zt t8 )
  • 12.
    tr,b W clry-rbryvl/i{y +o) =o n /rlo l ol h, lo'o r/o I i ) (!,) l= b, = (;?01 to J -l-2+(-b I o-c i 0..)G-q I a +L+2 ++v q/y'/e*,* A tl'( Q=l 1 -2 <-b-z io a-b a-c 1 o o ('"0 (r-r) ) D=l (o - r.). O O I o (b-K)' o c o (,-/.I
  • 13.
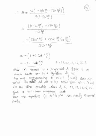
    @,0) ,tl2 I wl - Goet6+ r* 2lt-17 lal= Go f * isro /( : o, t l, | 2, ! J., 1tr,L5, 6^1lt./ b e.z) 't* = *'2 Iz+t''- * ) I w^l 2 hA"e t^r/ =-+3.Z -t+3 z (u+ (*) -t'z'l-- 1 : a )w-l 2(w "- r) @rcT z(uy* t) (r'r- t)lv*- r) z(w$- r) wr,/Y -(WnUt) * / :2(' - v*) | -zh,ff i I
  • 14.
    t-c^40 - (zs;*#, -(t -c"+ t i.f ) + 2iS,n f c* €) 25rrr,e ry I = {l*'1 G,r ry) r-'c'#f l( - i l, !2, t 3", t {*r+-5, L Nw t*l ffirun 1r) q F'l^Ut"^nl 5 W tl d ,")"/vrh w4/h rtrvh -'/) A etu'ff"rn 5 UWYVWI) v-1vttt 'vvl Q"'tvrvt' -) 'v' 1tE ^^t *T$.prn/^'1 +0 ^/ = I (,a =9 d/^/, ,1,,,t nz,iot TtW DlA t^(+) wrwo-@ r4/:-t q,t=Q An -ihp, dVJ p,nstlbb, 'rltl,NA { l(,, , l, !2) :),Ilr.,L5 g^^ G*ff:ru- f:ort# il,,* xtn, q/,df,un ?;rlr4J= 2') t4//4 ^^M rfs nn-tu+|. n^t+h
  • 15.
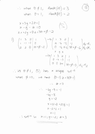
    ! ,iD f -r-,c.,tg li r+;LL gJ = l-)'h'ry : tt A,+ Z,)("17 tz -r 2 l{17 - UuJee- A I y-) '''/ P,rAA,yd 6 grh { (n) 15 -:(!,(.^o:ff) n("1) V(= I =183 (^*''f, = /llc,rrff - ),,n ;) st2 3 5 _ _]i l(z t 5 .iTt(=, sr? (=^ = *)$;' ' fl l.^^'fr - 3 ,eJ I ir^r " )= Se _ fl)(.^"f)$; rf n=lt 3 2rr -t -l . e d) -lr s z ( o -q -3 &-<, o -q e 6) ar_2R, )l) 3: I o -6 -3 o o 6.-tJqr-(a
  • 16.
    ilVvA O + bA.vAf; = u.0, + p - +)or-zl, -3 )r<.-K1/J 4 , 2?= I /qfi+ :Q ', Az-3e +p-2 lr +/ 3:it 1D /o-+-31-t ito +p -z ) o -+ u-Ll3o I ) g 2 >l r32lt { o -q -3 / -r I o o o-t lsa+/ ) (S) l.1r,o a *yN :.d, J/ ,,-.& tr^",e (O-,) Z = 3(g- -g -9: -l -43 = 8 $=-2 f +: /-4 +z(s) _ | t-(116-f J= I ^v) 3:1,!=-2j *=3 ) r33 * 2-; r) -[ a 2 r +2j r CI lr 3 zl | , -) -l I rl z 2 0 j- 8 e+t) /vvr F - o, . ', s-l 'a -, D
  • 17.
    ii) ,,,/fvx_ g=l, ffi h0 l,rtrrt, O f ) 3r t t { o -h --l i _t o o o I p ) B ,,h ddlifl:n , P = o +l,a/) +td- -y4"t^/n, t 5 ,x^A er/y% f^/f :''n@ -+fvt CI"O ild +n rrrkfir';hrt ryAr^M",rn /,n +y^,r1, WkWn'rn nfub o4S q,fl ,444,fu, n;,^,,,.{,*" t s=flr^/frn4. rir) ,n^0^4 o. ) b. P t'O +fu" *-tI,-b ,q,ud,ws { s o,r0 i{WwJh4!ft, thAn S L)/n no s'tlf,rn. /) ,L:-rytr</ 3 : ffi ang*d,l-o rr :l , )1.6,I.z dsrftYtwrfrt'{r tr) b - r)(, - t*) : f 1 -- 5:r + t - 50 f=-S & l_+ )r'rpJry-- r-' Jt;St*4 s- J-l tr't' ,'- nt:)t+bl+ t:2(:tislrcr) + fia+B a=2 loreAs'o'411 S" o=2., {):-! L.b
  • 18.
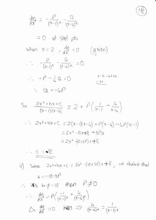
    dq: dl)' ,k shA Fa .l,A /. , +J:Q'd^ rj ,JVnA c fl: p (a- D' v A. -l F -c)' - r p-ic,-e-T :- G, =-+P So Zt? + b:r tC p, - Db-&) 2t2+b:t rL = 2 -z) _/) ( =.R 5rn4p 2:,r+b>t rL z 2ti-( ro+:p)a +8 , h4 aL't"'t'u+l''r,il s /+ _l "-q ) (:-r)(r-r) " P(r-+) * appt-) ' - t0r*B *3 Pl ' -to $P) r +8 ,D b - - rO-sP t-+-to +Yv/n F+C #=P(rtT'-i*r) # =o ,€:) S.-d. (K*r) : *6 -i-rJ +q - 3)
  • 19.
    Tl"ilro il:t- ,) t. (ct - ,)' to!t-D= -Ft-G)"=0 ft,,'- r) +,, -u)]Ff', - ) -(a -r)] $r-4(r+O =e '- J-: 2 ar -2 & sp f V,t/' "wdU v,,'n ii) vftT^ b.-6, :Q t!: 2t',7- 6ct rI (o-Dr)q )' cr, s) he l-ar,rf. € 2 +(-3X*, (t* I"t^rttw t""rrlb J I Whgrj "= ?t wI = P- €*k tt(-l - '2. ! I a I , , I Lrr@ 3 .-2I
  • 20.
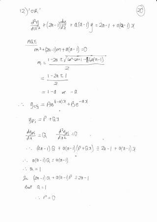
    r2)'oA' #, +@-)H nGE m2"€o-r)nn tn(a-:Q /r| : l'20, t 2 r -2q c I vQ@'DJ=2n-t+a(*Df f=C
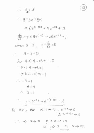
  • 21.
    " - rz{: j.* *.5ei # :Q-') fiu('-a)t ^hK^4 f :C , U n+6-Q L, (-") A -q(+l:Q (a-D n tnB=l ("-D /1 t a(n) = I -A = I A: -f 6=l "- lr( J -(a-r)7 + j '- 0f c : 11 e('- 4e + 8e-CId + { -q6e-ar+ I H:D 15 n7 l) !?w w) J->@ ., e'aq> 0 b, e-@-Dl + 0 ! t o-o +l( b I*.{ ___: a ) ca w) :, -3 qJ
  • 22.
    d2* + (t^-, F+ o(a')+ = eaJW' N %s= fre('-De + 1e-af, (a +t : f) t6e-l 'rS R = | Zr; - F sa "|ffi d'^I (}l''i a4)(&'{4i So fle'n(*"Dfe1 +(n(o-DPerz ex (g'-6+2a-t + l) Pe, =sa (u'*n) fett ie)t / = Zct +2p", = fie(,-a): + &e-ar + dr1 d( g-t 2 ' a(a+ 1) . - - lrr,,Yt e- rl Z .< .l*= )r->oo o(otr) 1 vt a*)