Embed presentation
Download to read offline











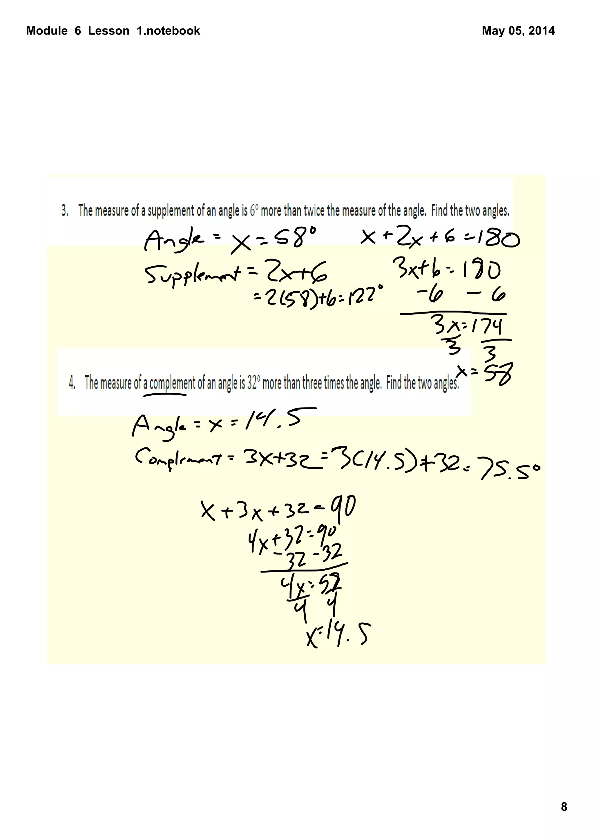
This document contains notes from a math lesson on complementary and supplementary angles. It includes definitions of complementary and supplementary angles, notes on creating tape diagrams, and assignments for homework problems and a test on Friday.










