Modeling of constant
holdup CSTR
Figure
Reaction:
A R
k
• Product B is produced and reactant A is consumed in each of three perfectly mixed reactor by a first order
reaction occurring in the liquid.
Assumption
• The temperature and volume are assumed to be constant.
• Density is remain to be constant through out the system.
Cont…
• Now by using the above assumption the formulation of model is
shown below.
• If volume and density of each tank are constant, the total mass is
each tank is constant.
• Thus the total continuity equation for the first reactor is:
𝑑(ρ𝑉1
)
𝑑𝑡
= ρF0 – ρF1 = 0 Eq 1
Cont…
• Similarly we can balance for tank 2 and 3 the result we obtain is:
F3 = F2 = F1 = F0 =F
• F is define as throughput (m3/min).
• Now if we want to keep track of the amount of reactant A and
product B in each tank, so component continuity equations are
needed.
• Since the system is binary and we know the total mass of material in
each tank, only one component continuity equation is required.
• If we choose A, the equations describing the dynamic change in
amounts of reactant A in each tank are:
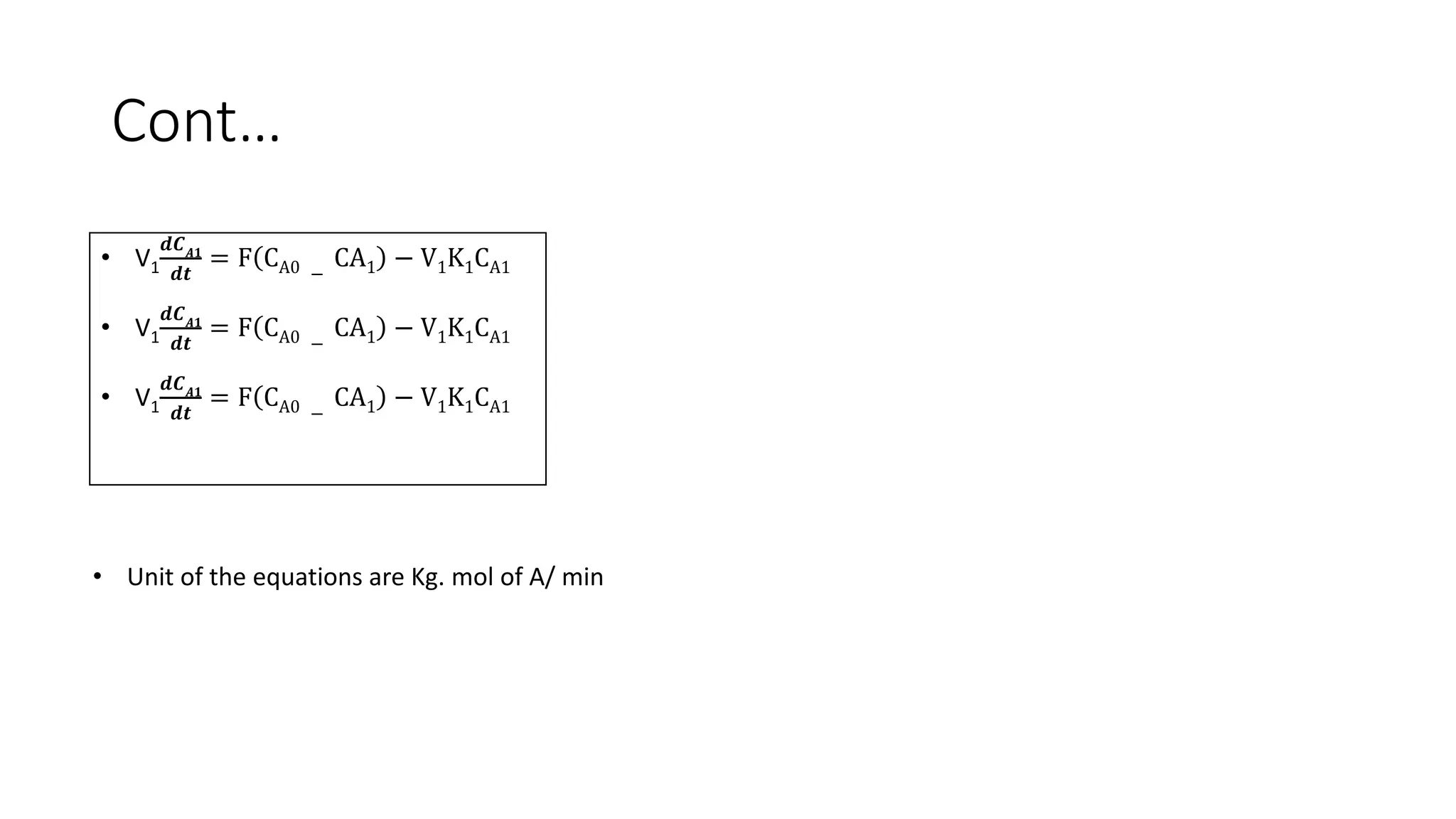
Cont…
• V1
𝒅𝑪 𝑨𝟏
𝒅𝒕
= F CA0 −
CA1 − V1K1CA1
• V1
𝒅𝑪 𝑨𝟏
𝒅𝒕
= F CA0 −
CA1 − V1K1CA1
• V1
𝒅𝑪 𝑨𝟏
𝒅𝒕
= F CA0 −
CA1 − V1K1CA1
• Unit of the equations are Kg. mol of A/ min
Cont…
• The specific reaction rate Kn are given by Arrhenius equation:
• If the temperature in the reactor are different, the K’s are different.
Kn = αe –E/RT
Cont…
• The three first-order non linear ODE gives us mathematical model of
the system.
• The parameters that must be known are V1 ,V2 ,V3,K1, K2, K3.
• The variables that must be specified before these equation can be
solved are F and CA0 .
• The initial condition of the three concentration must be known.
Cont…
• Simplify the above ODEs for constant V,T and putting τ = V/F.
• If F is thoughtput, temperature T and holdup V are same in all the
tanks, then τ = V/F(unit is Min).
𝑑𝐶 𝐴1
𝑑𝑡
+ (k + 1/τ) CA1 =
1
τ
CA0
𝑑𝐶 𝐴2
𝑑𝑡
+ (k + 1/τ) CA2 =
1
τ
CA1
𝑑𝐶 𝐴3
𝑑𝑡
+ (k + 1/τ) CA3 =
1
τ
CA2
• In this only Forcing Function is CAO .

Modeling of constant holdup cstr

  • 1.
  • 2.
    Figure Reaction: A R k • ProductB is produced and reactant A is consumed in each of three perfectly mixed reactor by a first order reaction occurring in the liquid.
  • 3.
    Assumption • The temperatureand volume are assumed to be constant. • Density is remain to be constant through out the system.
  • 4.
    Cont… • Now byusing the above assumption the formulation of model is shown below. • If volume and density of each tank are constant, the total mass is each tank is constant. • Thus the total continuity equation for the first reactor is: 𝑑(ρ𝑉1 ) 𝑑𝑡 = ρF0 – ρF1 = 0 Eq 1
  • 5.
    Cont… • Similarly wecan balance for tank 2 and 3 the result we obtain is: F3 = F2 = F1 = F0 =F • F is define as throughput (m3/min). • Now if we want to keep track of the amount of reactant A and product B in each tank, so component continuity equations are needed. • Since the system is binary and we know the total mass of material in each tank, only one component continuity equation is required. • If we choose A, the equations describing the dynamic change in amounts of reactant A in each tank are:
  • 6.
    Cont… • V1 𝒅𝑪 𝑨𝟏 𝒅𝒕 =F CA0 − CA1 − V1K1CA1 • V1 𝒅𝑪 𝑨𝟏 𝒅𝒕 = F CA0 − CA1 − V1K1CA1 • V1 𝒅𝑪 𝑨𝟏 𝒅𝒕 = F CA0 − CA1 − V1K1CA1 • Unit of the equations are Kg. mol of A/ min
  • 7.
    Cont… • The specificreaction rate Kn are given by Arrhenius equation: • If the temperature in the reactor are different, the K’s are different. Kn = αe –E/RT
  • 8.
    Cont… • The threefirst-order non linear ODE gives us mathematical model of the system. • The parameters that must be known are V1 ,V2 ,V3,K1, K2, K3. • The variables that must be specified before these equation can be solved are F and CA0 . • The initial condition of the three concentration must be known.
  • 9.
    Cont… • Simplify theabove ODEs for constant V,T and putting τ = V/F. • If F is thoughtput, temperature T and holdup V are same in all the tanks, then τ = V/F(unit is Min). 𝑑𝐶 𝐴1 𝑑𝑡 + (k + 1/τ) CA1 = 1 τ CA0 𝑑𝐶 𝐴2 𝑑𝑡 + (k + 1/τ) CA2 = 1 τ CA1 𝑑𝐶 𝐴3 𝑑𝑡 + (k + 1/τ) CA3 = 1 τ CA2 • In this only Forcing Function is CAO .