1
22
CHE - 338
Chemical Reaction
Engineering I
Chemical Reaction Engineering I
Chemical Reaction Engineering (CRE)
is the field that studies the rates and
mechanisms of chemical reactions and
the design of the reactors in which they
take place.
Reactor
Raw
Materia
l
Product
Chemical Reaction Engineering
4
Mole Balance Rate Laws Stoichiometry
These topics build upon one another.
CRE Algorithm
5
Rate Laws
Stoichiometry
Isothermal Design
Heat Effects
6
Mole Balance Rate Laws
Be careful not to cut corners on any of the
CRE building blocks while learning this
material!
7
Mole Balance
Rate Laws
Stoichiometry
Isothermal Design
Heat Effects
Otherwise, your Algorithm becomes unstable.
Reaction Rate
A + B R
8
9
Types of Chemical Reactions
Multiple Reaction:
A R
Single
Reaction
A R S
Series
A
R
S
Parallel
A R
A S
Competitive
Side
by
side
10
Types of Chemical Reactions
A + B R
R +
B
S
Side
by
side
A + B R
H2 + Br2 2HB
r
11
Types of Chemical Reactions
A *R S
Nonchan
Reaction
A *R +
A
*T +S
S
Initiation
Propagation
TerminationChain
Reaction
Molecularity
 No. of colliding molecular entities that
are involved in a single reaction step
A + B C
 Uni/bi/termolecular reaction
12
Order of Reaction
aA + bB C
http://www.chemguide.co.uk/physical/basicrates/orders.html
13
Order of Reaction
 In chemical kinetics, the order of
reaction with respect to a given substance
(such as reactant, catalyst or product) is
defined as the index, or exponent, to which
its concentration term in the rate
equation is raised.
r = [A]x [B]y
 [A], [B], are concentrations,
 x for substance A & y for substance B, the
reaction orders/ partial reaction orders).
 Overall reaction order is
 x + y + .... 14
Representation of an Elementary
Reaction
2A 2R
A R
k1
-rA = rR = k1C2
A
k1
-rA = rR = k1CA
15
16
17
18
19
20
21
22
23
24
25
26
27
Representation of an Elementary
Reaction
B +2D 3T
k1
-rB = kBCBC2
D
-rD = kDCBC2
D rT = kTCBC2
D
-rB = -(1/2)rD = (1/3)rT
kB = (1/2)kD = (1/3)kT
28
Representation of a non
Elementary Reaction
29
N2 + 3H2 2NH3
Ideal Reactors
30
Batch Reactor
Uniform Composition
in reactor
Composition changes
with time
Ideal Reactors – Steady state
31
Plug Flow Reactor
Fluid passes through the reactor with no
mixing of earlier and later entering fluid,
and with no overtaking.
it is as if the fluid moved in single file
through the reactor.
Ideal Reactors – Steady state
32
Mixed Flow
•Uniformly mixed
•Same composition, in reactor and at
33
Rate-Temperature Dependency
ri = f1 (temp). f2(comp)
k = koe-E/RT
ln k/ko = lne-E/RT
k1
k2
T1
T2
Arrhenius law
34
Rate-Temperature Dependency
1/T
k
ln k α -E/RT
Low E
High E
k1
k2
T1T2
463K 376K
2000K 1000K
1000K
87K
Activation Energy and
Temperature Dependency
 From Arrhenius' law a plot of In k vs 1/T gives
a straight line, with large slope for large E and
small slope for small E.
 Reactions with high activation energies are
very temperature-sensitive; reactions with low
activation energies are relatively temperature-
insensitive.
 Any given reaction is much more
temperature-sensitive at a low temperature
than at a high temperature.
 From the Arrhenius law, the value of the
frequency factor k, does not affect the
temperature sensitivity.
35
Engr. Muhammad Sajid, UOG 36
37
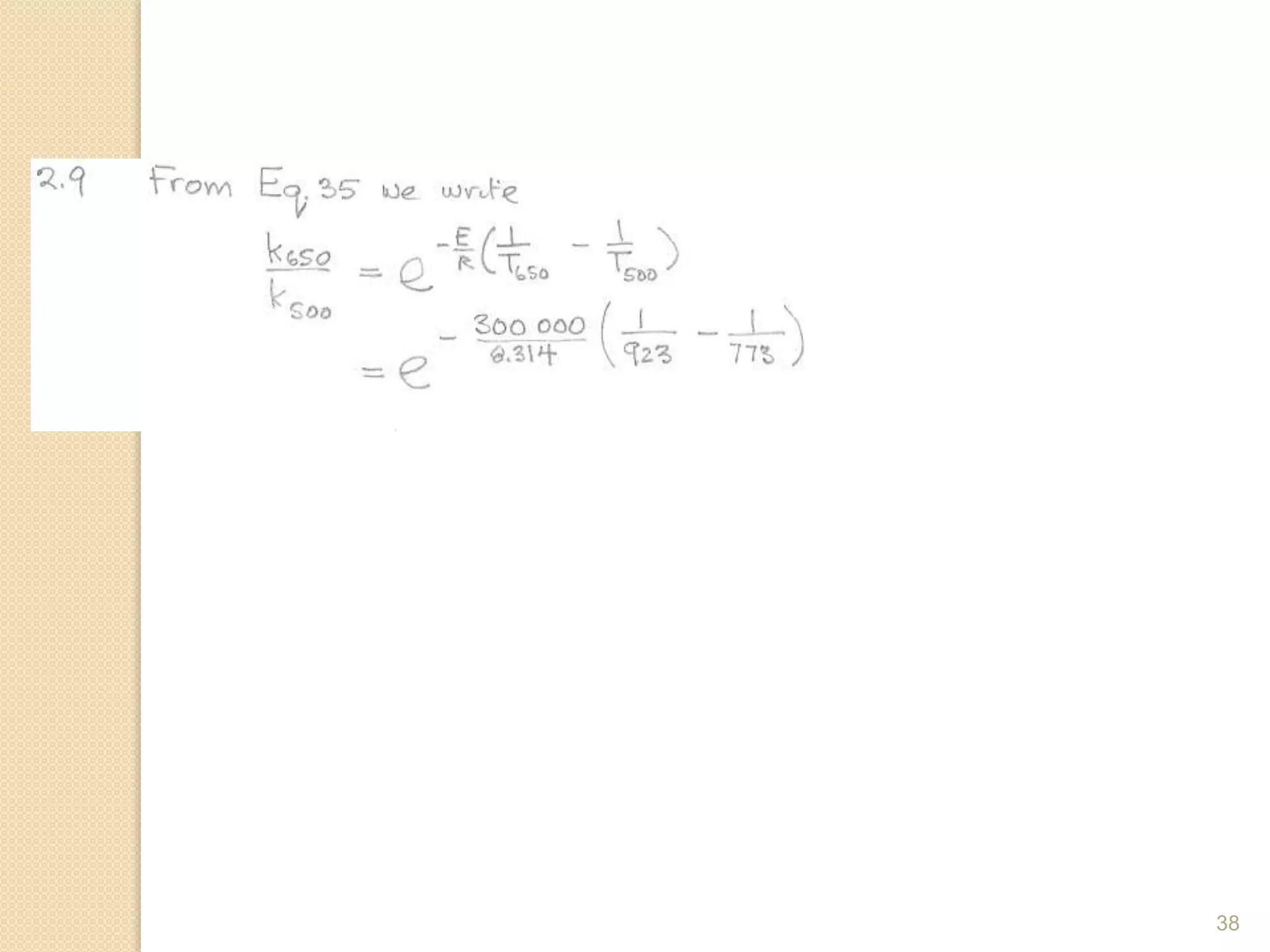
Problems
38
Engr. Muhammad Sajid, UOG 39
Year
No. of
Days T 1/T 1/Tx10^(3) ln(1/day)
1976 87 22 295.15
0.00338
8 3.39
-
4.46591
1977 8523.4 296.55
0.00337
2 3.37
-
4.44265
1982 7426.3 299.45
0.00333
9 3.34
-
4.30407
1984 7824.3 297.45
0.00336
2 3.36
-
4.35671
1985 9021.1 294.25
0.00339
8 3.40
-
4.49981
-
40
-4.55
-4.5
-4.45
-4.4
-4.35
-4.3
-4.25
3.33 3.34 3.35 3.36 3.37 3.38 3.39 3.40 3.41
ln(Rate)=ln(1/days)
1/T
Series1
Linear (Series1)
Slope = -E/R
- E = slope x R
41

Lecture 3 kinetics of homogeneous reactions

  • 1.
  • 2.
    22 CHE - 338 ChemicalReaction Engineering I
  • 3.
    Chemical Reaction EngineeringI Chemical Reaction Engineering (CRE) is the field that studies the rates and mechanisms of chemical reactions and the design of the reactors in which they take place. Reactor Raw Materia l Product
  • 4.
    Chemical Reaction Engineering 4 MoleBalance Rate Laws Stoichiometry These topics build upon one another.
  • 5.
  • 6.
    6 Mole Balance RateLaws Be careful not to cut corners on any of the CRE building blocks while learning this material!
  • 7.
    7 Mole Balance Rate Laws Stoichiometry IsothermalDesign Heat Effects Otherwise, your Algorithm becomes unstable.
  • 8.
  • 9.
    9 Types of ChemicalReactions Multiple Reaction: A R Single Reaction A R S Series A R S Parallel A R A S Competitive Side by side
  • 10.
    10 Types of ChemicalReactions A + B R R + B S Side by side A + B R H2 + Br2 2HB r
  • 11.
    11 Types of ChemicalReactions A *R S Nonchan Reaction A *R + A *T +S S Initiation Propagation TerminationChain Reaction
  • 12.
    Molecularity  No. ofcolliding molecular entities that are involved in a single reaction step A + B C  Uni/bi/termolecular reaction 12
  • 13.
    Order of Reaction aA+ bB C http://www.chemguide.co.uk/physical/basicrates/orders.html 13
  • 14.
    Order of Reaction In chemical kinetics, the order of reaction with respect to a given substance (such as reactant, catalyst or product) is defined as the index, or exponent, to which its concentration term in the rate equation is raised. r = [A]x [B]y  [A], [B], are concentrations,  x for substance A & y for substance B, the reaction orders/ partial reaction orders).  Overall reaction order is  x + y + .... 14
  • 15.
    Representation of anElementary Reaction 2A 2R A R k1 -rA = rR = k1C2 A k1 -rA = rR = k1CA 15
  • 16.
  • 17.
  • 18.
  • 19.
  • 20.
  • 21.
  • 22.
  • 23.
  • 24.
  • 25.
  • 26.
  • 27.
  • 28.
    Representation of anElementary Reaction B +2D 3T k1 -rB = kBCBC2 D -rD = kDCBC2 D rT = kTCBC2 D -rB = -(1/2)rD = (1/3)rT kB = (1/2)kD = (1/3)kT 28
  • 29.
    Representation of anon Elementary Reaction 29 N2 + 3H2 2NH3
  • 30.
    Ideal Reactors 30 Batch Reactor UniformComposition in reactor Composition changes with time
  • 31.
    Ideal Reactors –Steady state 31 Plug Flow Reactor Fluid passes through the reactor with no mixing of earlier and later entering fluid, and with no overtaking. it is as if the fluid moved in single file through the reactor.
  • 32.
    Ideal Reactors –Steady state 32 Mixed Flow •Uniformly mixed •Same composition, in reactor and at
  • 33.
    33 Rate-Temperature Dependency ri =f1 (temp). f2(comp) k = koe-E/RT ln k/ko = lne-E/RT k1 k2 T1 T2 Arrhenius law
  • 34.
    34 Rate-Temperature Dependency 1/T k ln kα -E/RT Low E High E k1 k2 T1T2 463K 376K 2000K 1000K 1000K 87K
  • 35.
    Activation Energy and TemperatureDependency  From Arrhenius' law a plot of In k vs 1/T gives a straight line, with large slope for large E and small slope for small E.  Reactions with high activation energies are very temperature-sensitive; reactions with low activation energies are relatively temperature- insensitive.  Any given reaction is much more temperature-sensitive at a low temperature than at a high temperature.  From the Arrhenius law, the value of the frequency factor k, does not affect the temperature sensitivity. 35
  • 36.
  • 37.
  • 38.
  • 39.
    Engr. Muhammad Sajid,UOG 39 Year No. of Days T 1/T 1/Tx10^(3) ln(1/day) 1976 87 22 295.15 0.00338 8 3.39 - 4.46591 1977 8523.4 296.55 0.00337 2 3.37 - 4.44265 1982 7426.3 299.45 0.00333 9 3.34 - 4.30407 1984 7824.3 297.45 0.00336 2 3.36 - 4.35671 1985 9021.1 294.25 0.00339 8 3.40 - 4.49981 -
  • 40.
    40 -4.55 -4.5 -4.45 -4.4 -4.35 -4.3 -4.25 3.33 3.34 3.353.36 3.37 3.38 3.39 3.40 3.41 ln(Rate)=ln(1/days) 1/T Series1 Linear (Series1) Slope = -E/R - E = slope x R
  • 41.

Editor's Notes

  • #16 Such reactions in which the rate equation corresponds to a stoichiometric equation are called elementary reactions. When there is no direct correspondence between stoichiometry and rate, then we have nonelementary reactions.
  • #30 A nonelementary reaction is one whose stoichiometry does not match its kinetics. For example, Stoichiometry: N2 + 3H2 =2NH3 Rate: This nonmatch shows that we must try to develop a multistep reaction model to explain the kinetics.
  • #34 where k, is called the frequency or pre-exponential factor and E is called the activation energy of the reaction." This expression fits experiment well over wide temperature ranges and is strongly suggested from various standpoints as being a very good approximation to the true temperature dependency. At the same concentration, but at two different temperatures, Arrhenius' law indicates that
  • #35 delT= 87 doubling the rate