Embed presentation
Download to read offline










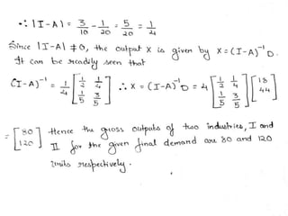
This document discusses the Leontief Input-Output Model, an economic model where production equals consumption and input equals output. The model was first proposed by Wassily Leontief and describes how whatever is produced in an economy is consumed. Leontief won the Nobel Prize in Economics in 1973 for his work developing input-output analysis, which studies how industries and sectors are related to each other in an economy.









