Download free for 30 days
Sign in
Upload
Language (EN)
Support
Business
Mobile
Social Media
Marketing
Technology
Art & Photos
Career
Design
Education
Presentations & Public Speaking
Government & Nonprofit
Healthcare
Internet
Law
Leadership & Management
Automotive
Engineering
Software
Recruiting & HR
Retail
Sales
Services
Science
Small Business & Entrepreneurship
Food
Environment
Economy & Finance
Data & Analytics
Investor Relations
Sports
Spiritual
News & Politics
Travel
Self Improvement
Real Estate
Entertainment & Humor
Health & Medicine
Devices & Hardware
Lifestyle
Change Language
Language
English
Español
Português
Français
Deutsche
Cancel
Save
EN
Uploaded by
1999804
104 views
Logaritmos
En este documento se encontrará algunos ejemplos de logaritmos realizados en excel.
Education
◦
Read more
0
Save
Share
Embed
Embed presentation
Download
Download to read offline
1
/ 8
2
/ 8
3
/ 8
4
/ 8
5
/ 8
6
/ 8
7
/ 8
8
/ 8
More Related Content
PDF
Ejercicios grado, grafica y ceros
by
Teresa Carrasco Molina
DOCX
Soalan pra dan pos (lampiran c dan d)
by
Teacher Nasrah
DOCX
SISTEMA DE NUMERACION
by
Kevin Kerik
DOCX
DIVISIONES SUCESIVAS Y DESCOMPOSICIONES POLINOMICAS
by
james bazan fernandez
ODS
Planilhas do excel
by
a luz do dia e a sombas das arvores são o meu abrigo.,
DOCX
Divisiones sucesivas
by
Shey Shey Tello Sajami
DOCX
Derive las siguientes funciones
by
Lupita Saucedo Gonzalez
DOCX
MÉTODO SIMPLEX
by
Abigail Criollo
Ejercicios grado, grafica y ceros
by
Teresa Carrasco Molina
Soalan pra dan pos (lampiran c dan d)
by
Teacher Nasrah
SISTEMA DE NUMERACION
by
Kevin Kerik
DIVISIONES SUCESIVAS Y DESCOMPOSICIONES POLINOMICAS
by
james bazan fernandez
Planilhas do excel
by
a luz do dia e a sombas das arvores são o meu abrigo.,
Divisiones sucesivas
by
Shey Shey Tello Sajami
Derive las siguientes funciones
by
Lupita Saucedo Gonzalez
MÉTODO SIMPLEX
by
Abigail Criollo
Viewers also liked
PDF
LOGARITMOS
by
YeenHuang
PPTX
Exposicion 5 Tercer parcial
by
Wilberth Montejo Ek
PDF
Logaritmos
by
Jazmín Pastor Guerrero
PPTX
Limites y diferencial
by
Frida Bibiana Ñonthe Ortiz
PPTX
Potencias, radicales y logaritmos
by
Frida Bibiana Ñonthe Ortiz
PDF
áReas y logaritmos
by
Andrei023
PPS
Espanol slideshare
by
Victor GR
LOGARITMOS
by
YeenHuang
Exposicion 5 Tercer parcial
by
Wilberth Montejo Ek
Logaritmos
by
Jazmín Pastor Guerrero
Limites y diferencial
by
Frida Bibiana Ñonthe Ortiz
Potencias, radicales y logaritmos
by
Frida Bibiana Ñonthe Ortiz
áReas y logaritmos
by
Andrei023
Espanol slideshare
by
Victor GR
More from 1999804
DOCX
Tarea
by
1999804
PPTX
EXÁMEN_SILVA_2B
by
1999804
PPTX
Reproducción sexual y asexual
by
1999804
DOCX
Historia de la administración
by
1999804
PDF
Historias constitucionales
by
1999804
PPTX
World War II
by
1999804
PPTX
Herramientas web 2
by
1999804
Tarea
by
1999804
EXÁMEN_SILVA_2B
by
1999804
Reproducción sexual y asexual
by
1999804
Historia de la administración
by
1999804
Historias constitucionales
by
1999804
World War II
by
1999804
Herramientas web 2
by
1999804
Logaritmos
2.
X + 7
2 X Y √ 3 + 9 1 1,409 2 1,476 3 1,536 4 1,591 5 1,641 6 1,688 7 1,731 8 1,772 9 1,81 10 1,846 4 +y= Log 5 X + 1; 1,409 2; 1,476 3; 1,536 4; 1,591 5; 1,641 6; 1,688 7; 1,731 8; 1,772 9; 1,81 10; 1,846 0 0,2 0,4 0,6 0,8 1 1,2 1,4 1,6 1,8 2 0 1 2 3 4 5 6 7 8 9 10 Y REPRESENTACIÓN GRÁFICA
3.
0 1 2
3 4 5 6 7 8 9 10 X
4.
10; 1,846 11 Series1
5.
11
6.
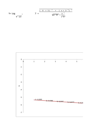
( X +
5 ) 2 + ( x + 3 3 ) 3 3 3 5 √ 1/2 √ 8 Y= Log 7 + +√√ 10 1; -5,3399 2; -5,4388 3; -5,5347 4; -5,6277 5; -5,7178 -7 -6 -5 -4 -3 -2 -1 0 0 1 2 3 4 5 -Y
7.
X Y 1 -5,3399 2
-5,4388 3 -5,5347 4 -5,6277 5 -5,7178 6 -5,8053 7 -5,8904 8 -5,9731 9 -6,0535 10 -6,1318 11 -6,2081 12 -6,2824 13 -6,3549 14 -6,4257 5,7178 6; -5,8053 7; -5,8904 8; -5,9731 9; -6,0535 10; -6,1318 11; -6,2081 12; -6,2824 6 7 8 9 10 11 12 X REPRESENTACIÓN GRÁFICA
8.
6,2824 13; -6,3549
14; -6,4257 13 14 15 Series1
Download