Download free for 30 days
Sign in
Upload
Language (EN)
Support
Business
Mobile
Social Media
Marketing
Technology
Art & Photos
Career
Design
Education
Presentations & Public Speaking
Government & Nonprofit
Healthcare
Internet
Law
Leadership & Management
Automotive
Engineering
Software
Recruiting & HR
Retail
Sales
Services
Science
Small Business & Entrepreneurship
Food
Environment
Economy & Finance
Data & Analytics
Investor Relations
Sports
Spiritual
News & Politics
Travel
Self Improvement
Real Estate
Entertainment & Humor
Health & Medicine
Devices & Hardware
Lifestyle
Change Language
Language
English
Español
Português
Français
Deutsche
Cancel
Save
Submit search
EN
Uploaded by
anithaselvakumar271
28 views
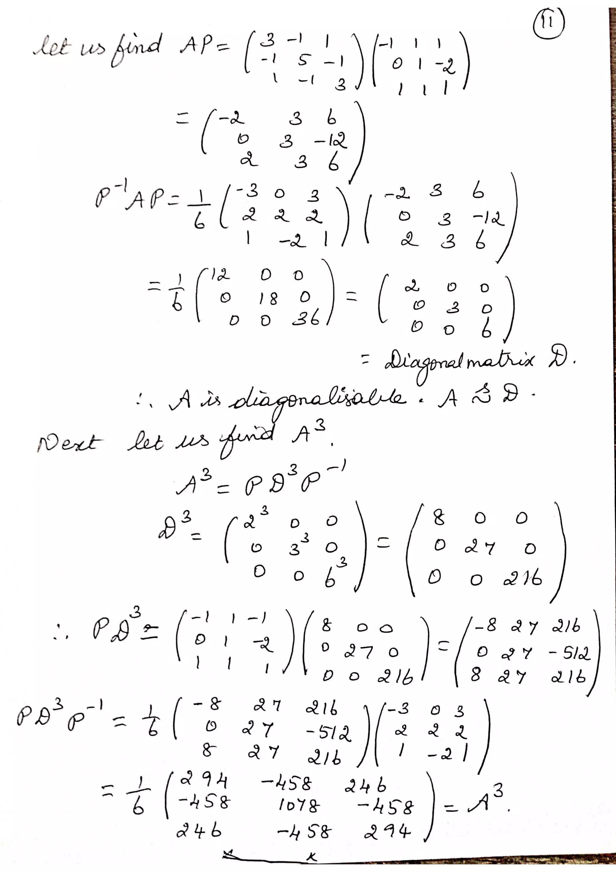
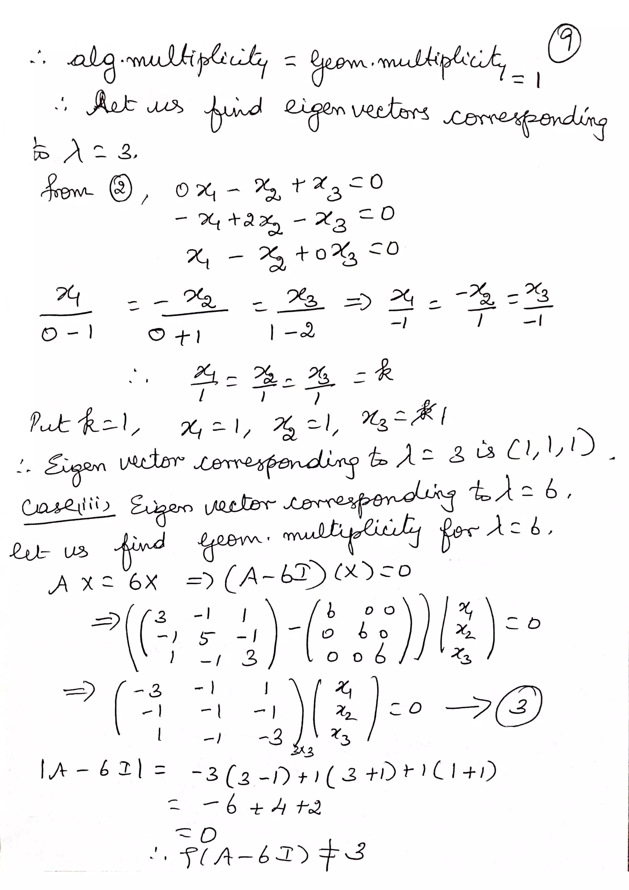
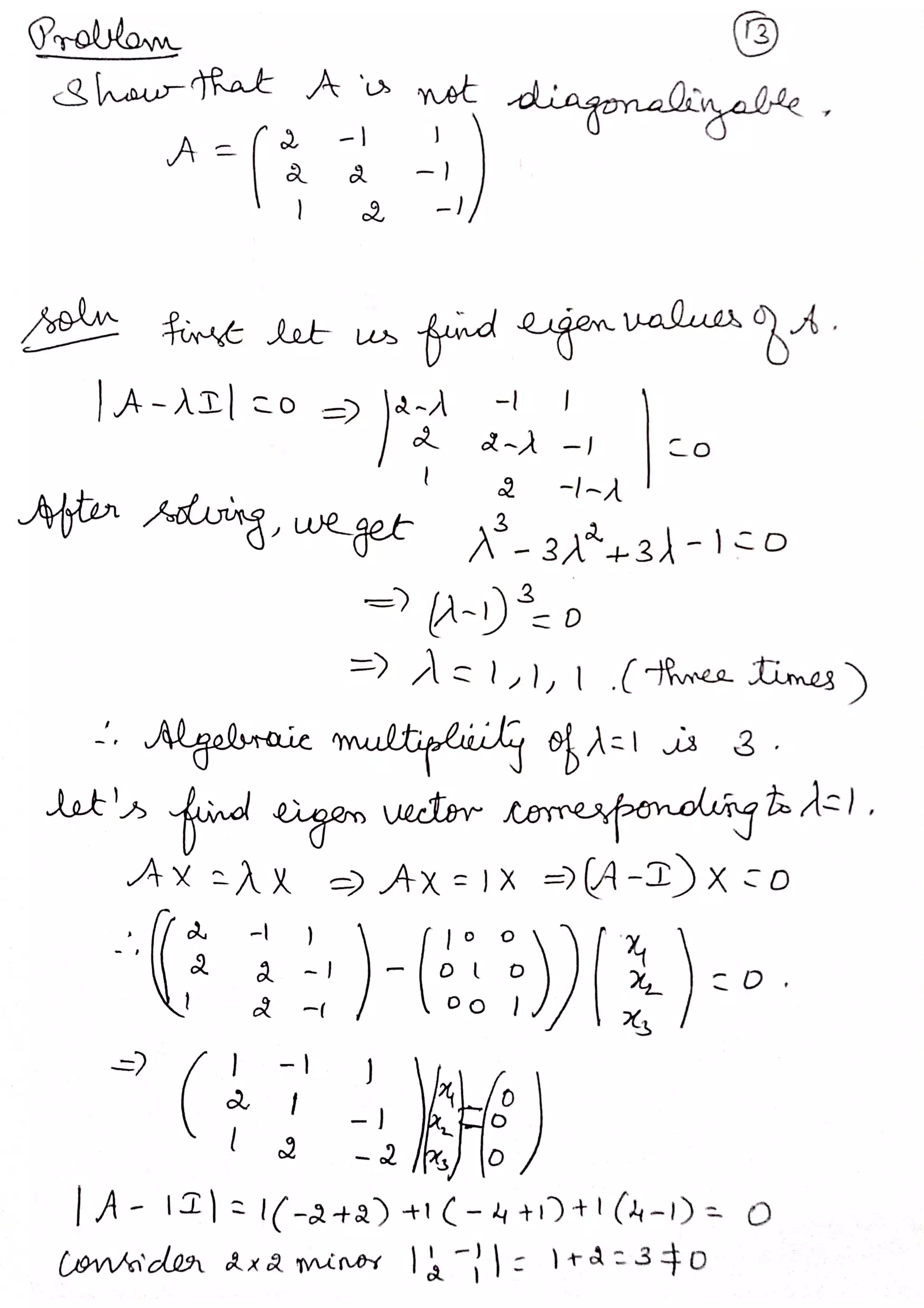
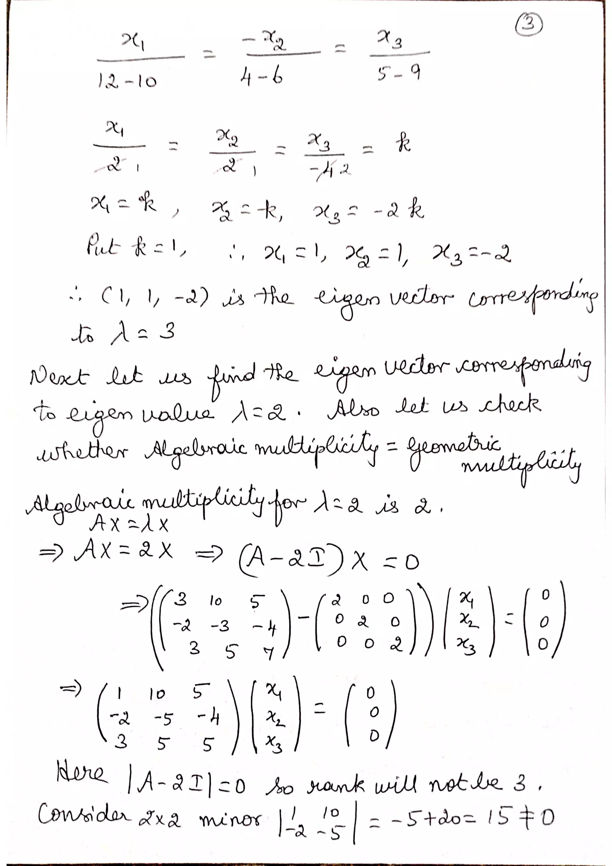
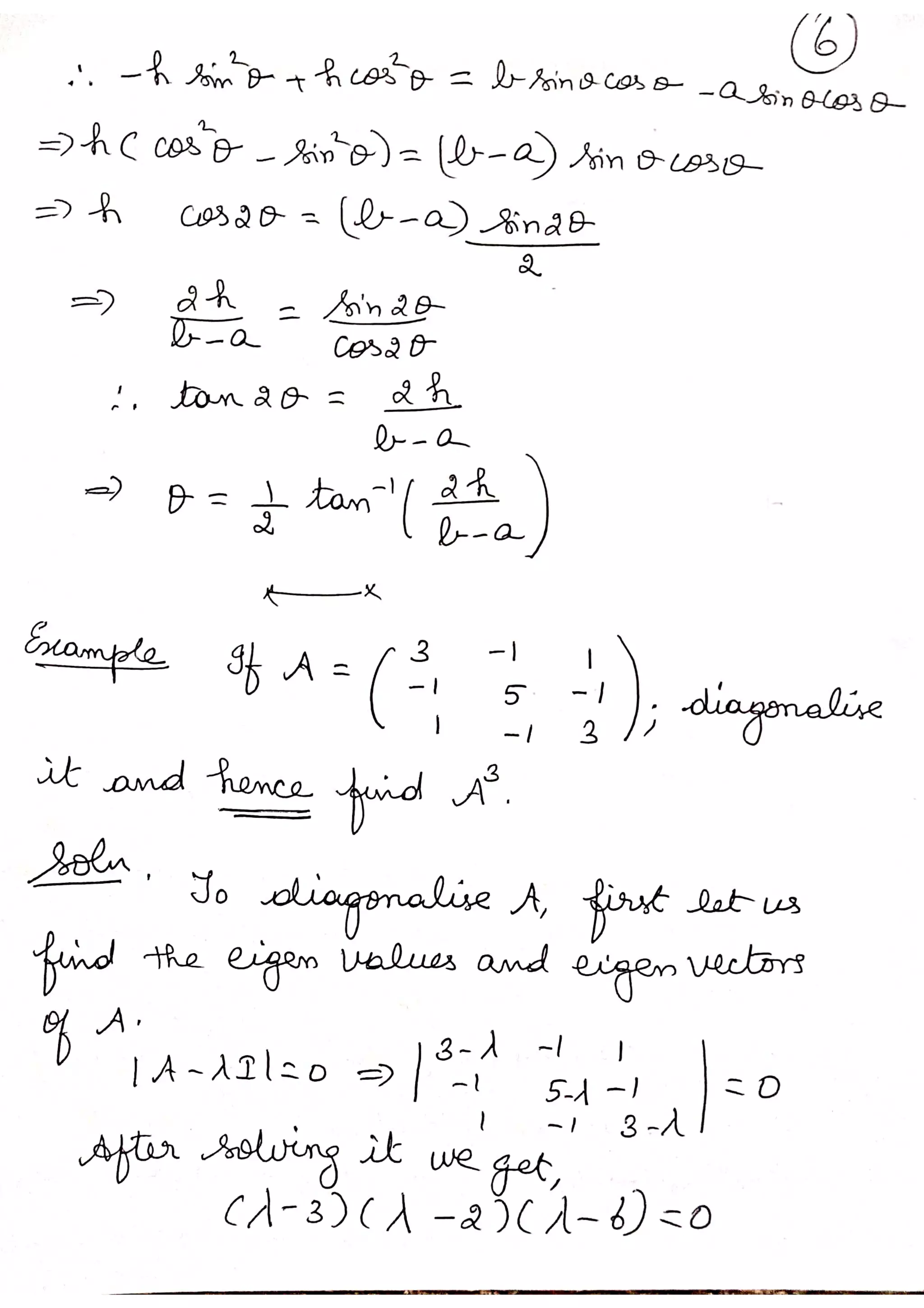
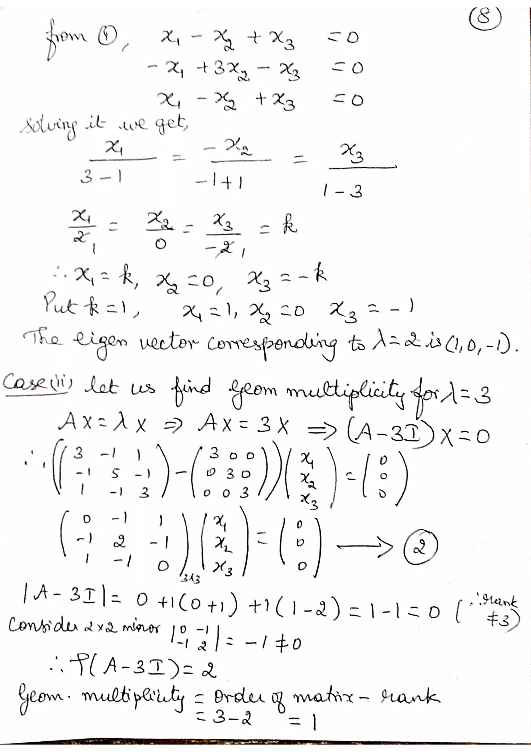
Linear algebra Diagonalizable matrices
To find whether a given matrix is diagonalizable or not.
Education
◦
Read more
0
Save
Share
Embed
Embed presentation
Download
Download to read offline
1
/ 14
2
/ 14
3
/ 14
4
/ 14
5
/ 14
6
/ 14
7
/ 14
8
/ 14
9
/ 14
10
/ 14
11
/ 14
12
/ 14
13
/ 14
14
/ 14
More Related Content
PDF
Residues and poles ,contour integration type i integrals
by
anithaselvakumar271
PDF
Type iii contour integral
by
anithaselvakumar271
PDF
Contour integration type II
by
anithaselvakumar271
PDF
Contour integration in Complex Analysis Type II
by
anithaselvakumar271
PPTX
Complex analysis - contour integration
by
anithaselvakumar271
PPTX
Linear algebra
by
anithaselvakumar271
PPTX
Complex analysis
by
anithaselvakumar271
PPTX
Linear algebra
by
anithaselvakumar271
Residues and poles ,contour integration type i integrals
by
anithaselvakumar271
Type iii contour integral
by
anithaselvakumar271
Contour integration type II
by
anithaselvakumar271
Contour integration in Complex Analysis Type II
by
anithaselvakumar271
Complex analysis - contour integration
by
anithaselvakumar271
Linear algebra
by
anithaselvakumar271
Complex analysis
by
anithaselvakumar271
Linear algebra
by
anithaselvakumar271
More from anithaselvakumar271
PPT
Differential Calculus
by
anithaselvakumar271
PPTX
Differential Calculus
by
anithaselvakumar271
PPTX
Trigonometry
by
anithaselvakumar271
PPTX
Sequences and Series
by
anithaselvakumar271
PPTX
Modern algebra
by
anithaselvakumar271
PPTX
Complex analysis
by
anithaselvakumar271
PPTX
Linear algebra
by
anithaselvakumar271
PPTX
Modern Algebra
by
anithaselvakumar271
PPTX
Sequences and series
by
anithaselvakumar271
PPTX
Algebra
by
anithaselvakumar271
Differential Calculus
by
anithaselvakumar271
Differential Calculus
by
anithaselvakumar271
Trigonometry
by
anithaselvakumar271
Sequences and Series
by
anithaselvakumar271
Modern algebra
by
anithaselvakumar271
Complex analysis
by
anithaselvakumar271
Linear algebra
by
anithaselvakumar271
Modern Algebra
by
anithaselvakumar271
Sequences and series
by
anithaselvakumar271
Algebra
by
anithaselvakumar271
Recently uploaded
PPTX
Cost of Capital - Cost of Equity, Cost of debenture, Cost of Preference share...
by
Sundar B N
PDF
FAMILY ASSESSMENT FORMAT - CHN practical
by
Dr. Sudhadevi Sadanandan
PDF
Analyzing the data of your initial survey
by
Thelma Villaflores
PPTX
Semester 6 unit 2 Atopic dermatitis.pptx
by
sachin7989
PDF
NAVIGATE PHARMACY CAREER OPPORTUNITIES.pdf
by
Md. Zakaria Faruki
PDF
DHA/HAAD/MOH/DOH OPTOMETRY MCQ PYQ. .pdf
by
Anmol Singh
PDF
Blue / Green: Troop Leading Procedure (TLP) Overview.pdf
by
Blue / Green Training
PPTX
TAMIS & TEMS - HOW, WHY and THE STEPS IN PROCTOLOGY
by
John Thanakumar
PPTX
Limpitlaw "Licensing: From Mindset to Milestones"
by
National Information Standards Organization (NISO)
PDF
Models of Teaching - TNTEU - B.Ed I Semester - Teaching and Learning - BD1TL ...
by
Dr Raja Mohammed T
PPTX
Searching in PubMed andCochrane_Practical Presentation.pptx
by
Systematic Reviews Network (SRN)
PPTX
Unit I — Introduction to Anatomical Terms and Organization of the Human Body
by
RAKESH SAJJAN
PDF
Projecte de la porta de primer B: L'antic Egipte
by
eduardrubio1
PPTX
York "Collaboration for Research Support at U-M Library"
by
National Information Standards Organization (NISO)
PPTX
Pain. definition, causes, factor influencing pain & pain assessment.pptx
by
Pompi Begum
PPTX
How to Manage Reception Report in Odoo 18 Inventory
by
Celine George
PPTX
ICH Harmonization A Global Pathway to Unified Drug Regulation.pptx
by
Dr. Smita Kumbhar
PDF
Projecte de la porta d'i5B: Els animals marins
by
eduardrubio1
PDF
All Students Workshop 25 Yoga Wellness by LDMMIA
by
©LDMMIA, ©Reiki Yoga
PPTX
Semester 6 UNIT 2 Dislocation of hip.pptx
by
sachin7989
Cost of Capital - Cost of Equity, Cost of debenture, Cost of Preference share...
by
Sundar B N
FAMILY ASSESSMENT FORMAT - CHN practical
by
Dr. Sudhadevi Sadanandan
Analyzing the data of your initial survey
by
Thelma Villaflores
Semester 6 unit 2 Atopic dermatitis.pptx
by
sachin7989
NAVIGATE PHARMACY CAREER OPPORTUNITIES.pdf
by
Md. Zakaria Faruki
DHA/HAAD/MOH/DOH OPTOMETRY MCQ PYQ. .pdf
by
Anmol Singh
Blue / Green: Troop Leading Procedure (TLP) Overview.pdf
by
Blue / Green Training
TAMIS & TEMS - HOW, WHY and THE STEPS IN PROCTOLOGY
by
John Thanakumar
Limpitlaw "Licensing: From Mindset to Milestones"
by
National Information Standards Organization (NISO)
Models of Teaching - TNTEU - B.Ed I Semester - Teaching and Learning - BD1TL ...
by
Dr Raja Mohammed T
Searching in PubMed andCochrane_Practical Presentation.pptx
by
Systematic Reviews Network (SRN)
Unit I — Introduction to Anatomical Terms and Organization of the Human Body
by
RAKESH SAJJAN
Projecte de la porta de primer B: L'antic Egipte
by
eduardrubio1
York "Collaboration for Research Support at U-M Library"
by
National Information Standards Organization (NISO)
Pain. definition, causes, factor influencing pain & pain assessment.pptx
by
Pompi Begum
How to Manage Reception Report in Odoo 18 Inventory
by
Celine George
ICH Harmonization A Global Pathway to Unified Drug Regulation.pptx
by
Dr. Smita Kumbhar
Projecte de la porta d'i5B: Els animals marins
by
eduardrubio1
All Students Workshop 25 Yoga Wellness by LDMMIA
by
©LDMMIA, ©Reiki Yoga
Semester 6 UNIT 2 Dislocation of hip.pptx
by
sachin7989
Download