Download free for 30 days
Sign in
Upload
Language (EN)
Support
Business
Mobile
Social Media
Marketing
Technology
Art & Photos
Career
Design
Education
Presentations & Public Speaking
Government & Nonprofit
Healthcare
Internet
Law
Leadership & Management
Automotive
Engineering
Software
Recruiting & HR
Retail
Sales
Services
Science
Small Business & Entrepreneurship
Food
Environment
Economy & Finance
Data & Analytics
Investor Relations
Sports
Spiritual
News & Politics
Travel
Self Improvement
Real Estate
Entertainment & Humor
Health & Medicine
Devices & Hardware
Lifestyle
Change Language
Language
English
Español
Português
Français
Deutsche
Cancel
Save
EN
Uploaded by
anithaselvakumar271
415 views
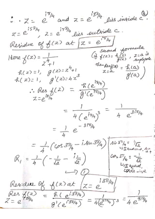
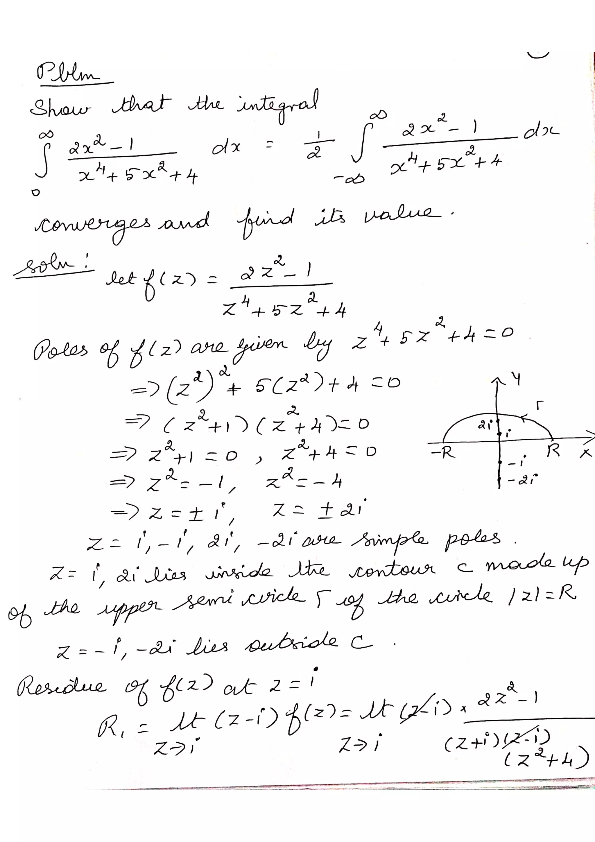
Contour integration in Complex Analysis Type II
Evaluation of Integrals over a closed contour c. Finding the integral for a Polynomial function .
Education
◦
Read more
0
Save
Share
Embed
Embed presentation
Download
Download to read offline
1
/ 10
2
/ 10
Most read
3
/ 10
Most read
4
/ 10
5
/ 10
6
/ 10
7
/ 10
Most read
8
/ 10
9
/ 10
10
/ 10
More Related Content
PDF
Contour integration type II
by
anithaselvakumar271
PDF
Bijeli bizon 008. obračun u kanjonu
by
zoran radovic
PDF
028 teks viler - dvoboj u sumrak
by
zoran radovic
PDF
পবিত্র কোরআন শরীফ PARA 1 বাংলা কোরআন (Bangla Quran) আল-কুরআন
by
Sir-Mehedi Hassan
PDF
0046. Celicna Neman
by
Tompa *
PDF
908 lovci na blago
by
Milenko Gavric
PDF
Zs 1004 teks viler - skriveno selo (scanturion & zika teror & emeri...
by
zoran radovic
PDF
Teks Viler L 172 - Vrazja vrata
by
Stripovizijacom
Contour integration type II
by
anithaselvakumar271
Bijeli bizon 008. obračun u kanjonu
by
zoran radovic
028 teks viler - dvoboj u sumrak
by
zoran radovic
পবিত্র কোরআন শরীফ PARA 1 বাংলা কোরআন (Bangla Quran) আল-কুরআন
by
Sir-Mehedi Hassan
0046. Celicna Neman
by
Tompa *
908 lovci na blago
by
Milenko Gavric
Zs 1004 teks viler - skriveno selo (scanturion & zika teror & emeri...
by
zoran radovic
Teks Viler L 172 - Vrazja vrata
by
Stripovizijacom
What's hot
PDF
0745. RATNICI MANOMEJI
by
Tompa *
PDF
Strip Tex lib 103 - Sladeova ucjena.pdf
by
Stripovizijacom
PDF
647 djavolji ambis
by
Milenko Gavric
PDF
Zagor Ludens 250 - Pirane
by
StripovizijaStripovi
PDF
Zagor sd 062 - Tajna Fride Lang
by
Stripovizijacom
PDF
560 romanticna ledi
by
Milenko Gavric
PDF
Road transport (brta) motor vehicle inspector examination question paper 2017...
by
Itmona
PDF
Quran chapter-22-surah-al-hajj-pdf
by
Quran Pak
PDF
Zagor VC-114- Vreme sudbine
by
Stripovizijacom
PDF
Directorate General of Drug Administration Question Solution 2021.pdf
by
MohonDas
PDF
Lms 317 - veliki blek - u praskozorje
by
Stripovizijacom
PDF
Zagor Ludens 238 - U kraljevstvu Cajuna
by
Stripovizijacom
PDF
ZS - 0296 - Zagor - TAJANSTVENO KRSTARENJE
by
Stripovizijacom
PDF
#公園廃止 は1軒のクレームから: 子どもの「手を引いて看板の前に立たせ」令和3年10月12日会議子ども政策課記録
by
長野市議会議員小泉一真
PDF
Garba Compilation- 51 garba collection (Gujarati).pdf
by
Dharmsinh Desai of University
PDF
FSc Marksheet
by
ASAD SHAUKAT
PDF
Tex Viler Lib 107 - Ubojica iz sjene.pdf
by
Stripovizijacom
PDF
0247. Gvozdena Pesnica
by
Tompa *
PDF
Zagor Ludens 233 - Žezlo Tin-Hinan
by
Stripovizijacom
PDF
Zagor LUD 310 - Ubijte lorda Malcoma.pdf
by
Stripovizijacom
0745. RATNICI MANOMEJI
by
Tompa *
Strip Tex lib 103 - Sladeova ucjena.pdf
by
Stripovizijacom
647 djavolji ambis
by
Milenko Gavric
Zagor Ludens 250 - Pirane
by
StripovizijaStripovi
Zagor sd 062 - Tajna Fride Lang
by
Stripovizijacom
560 romanticna ledi
by
Milenko Gavric
Road transport (brta) motor vehicle inspector examination question paper 2017...
by
Itmona
Quran chapter-22-surah-al-hajj-pdf
by
Quran Pak
Zagor VC-114- Vreme sudbine
by
Stripovizijacom
Directorate General of Drug Administration Question Solution 2021.pdf
by
MohonDas
Lms 317 - veliki blek - u praskozorje
by
Stripovizijacom
Zagor Ludens 238 - U kraljevstvu Cajuna
by
Stripovizijacom
ZS - 0296 - Zagor - TAJANSTVENO KRSTARENJE
by
Stripovizijacom
#公園廃止 は1軒のクレームから: 子どもの「手を引いて看板の前に立たせ」令和3年10月12日会議子ども政策課記録
by
長野市議会議員小泉一真
Garba Compilation- 51 garba collection (Gujarati).pdf
by
Dharmsinh Desai of University
FSc Marksheet
by
ASAD SHAUKAT
Tex Viler Lib 107 - Ubojica iz sjene.pdf
by
Stripovizijacom
0247. Gvozdena Pesnica
by
Tompa *
Zagor Ludens 233 - Žezlo Tin-Hinan
by
Stripovizijacom
Zagor LUD 310 - Ubijte lorda Malcoma.pdf
by
Stripovizijacom
More from anithaselvakumar271
PDF
Type iii contour integral
by
anithaselvakumar271
PDF
Residues and poles ,contour integration type i integrals
by
anithaselvakumar271
PDF
Linear algebra Diagonalizable matrices
by
anithaselvakumar271
PPTX
Linear algebra
by
anithaselvakumar271
PPTX
Complex analysis - contour integration
by
anithaselvakumar271
PPTX
Linear algebra
by
anithaselvakumar271
PPTX
Complex analysis
by
anithaselvakumar271
PPTX
Linear algebra
by
anithaselvakumar271
PPTX
Trigonometry
by
anithaselvakumar271
PPTX
Complex analysis
by
anithaselvakumar271
PPTX
Sequences and series
by
anithaselvakumar271
PPTX
Modern algebra
by
anithaselvakumar271
PPTX
Differential Calculus
by
anithaselvakumar271
PPT
Differential Calculus
by
anithaselvakumar271
PPTX
Modern Algebra
by
anithaselvakumar271
PPTX
Sequences and Series
by
anithaselvakumar271
PPTX
Algebra
by
anithaselvakumar271
Type iii contour integral
by
anithaselvakumar271
Residues and poles ,contour integration type i integrals
by
anithaselvakumar271
Linear algebra Diagonalizable matrices
by
anithaselvakumar271
Linear algebra
by
anithaselvakumar271
Complex analysis - contour integration
by
anithaselvakumar271
Linear algebra
by
anithaselvakumar271
Complex analysis
by
anithaselvakumar271
Linear algebra
by
anithaselvakumar271
Trigonometry
by
anithaselvakumar271
Complex analysis
by
anithaselvakumar271
Sequences and series
by
anithaselvakumar271
Modern algebra
by
anithaselvakumar271
Differential Calculus
by
anithaselvakumar271
Differential Calculus
by
anithaselvakumar271
Modern Algebra
by
anithaselvakumar271
Sequences and Series
by
anithaselvakumar271
Algebra
by
anithaselvakumar271
Recently uploaded
PPTX
West Hatch High School - GCSE Spanish Presentation
by
WestHatch
PPTX
Guidelines for reporting social networks and personal networks data
by
isidromj
PPTX
industrial arts grade 6 tle_q4_w3_melc.pptx
by
adrianatillaga1
PPTX
West Hatch High School - GCSE Media Studies
by
WestHatch
PDF
West Hatch High School - GCSE French Specification
by
WestHatch
PDF
operation with integers and finding common ground worksheet solutions/7th cla...
by
Sandeep Swamy
PDF
RAIN, BMP, CURRENT, ESP 32, GAS, LINE, IR, JOYSTICK, LCD, LM35, SD, MOTION, P...
by
PravinDhanrao3
PDF
Pratishta Educational Society., Courses & Opportunities
by
GanapathiVankudoth
PDF
Nursing care plan for Vomiting /B.Sc nsg
by
Dr. Sudhadevi Sadanandan
PPTX
West Hatch High School: Year 9 Art Course
by
WestHatch
PPTX
GRADE 8 - QUARTER 4 TYPES AND PARTS OF LETTER.pptx
by
villariasjazminercai
PDF
Artificial Intelligence in Research and Academic Writing, Workshop on Researc...
by
Prof. Vinod Kumar Kanvaria
PDF
APPSC APPSC Forest Draughtsman GS Question paper.pdf
by
ssuser9d8e4e
PDF
Using T-Test to Analyze Research Data.pdf
by
Thelma Villaflores
PPTX
Complete Overview of Revamp in Odoo 18 Debug
by
Celine George
PDF
RAJAT ARORA SIR PHYSICAL EDUCATION NOTES ALL CHAPTERS .pdf
by
sumitkannoujiya74
PDF
Why Projects Fail – The Need to “Do the Right Project” and “Do the Project Ri...
by
Association for Project Management
PDF
Tetracycline Class of Antibiotics: SAR, MOA and Uses
by
mominzarinamdnajeeb
PPTX
SOLAR SYSTEM.pptx || The infinity solar system
by
mahadevdigital024
PDF
Unit Plan and Unit Test-pdf-Dr. Rajashekhar Shirvalkar, Principal, SMRS B.Ed ...
by
Rajashekhar Shirvalkar
West Hatch High School - GCSE Spanish Presentation
by
WestHatch
Guidelines for reporting social networks and personal networks data
by
isidromj
industrial arts grade 6 tle_q4_w3_melc.pptx
by
adrianatillaga1
West Hatch High School - GCSE Media Studies
by
WestHatch
West Hatch High School - GCSE French Specification
by
WestHatch
operation with integers and finding common ground worksheet solutions/7th cla...
by
Sandeep Swamy
RAIN, BMP, CURRENT, ESP 32, GAS, LINE, IR, JOYSTICK, LCD, LM35, SD, MOTION, P...
by
PravinDhanrao3
Pratishta Educational Society., Courses & Opportunities
by
GanapathiVankudoth
Nursing care plan for Vomiting /B.Sc nsg
by
Dr. Sudhadevi Sadanandan
West Hatch High School: Year 9 Art Course
by
WestHatch
GRADE 8 - QUARTER 4 TYPES AND PARTS OF LETTER.pptx
by
villariasjazminercai
Artificial Intelligence in Research and Academic Writing, Workshop on Researc...
by
Prof. Vinod Kumar Kanvaria
APPSC APPSC Forest Draughtsman GS Question paper.pdf
by
ssuser9d8e4e
Using T-Test to Analyze Research Data.pdf
by
Thelma Villaflores
Complete Overview of Revamp in Odoo 18 Debug
by
Celine George
RAJAT ARORA SIR PHYSICAL EDUCATION NOTES ALL CHAPTERS .pdf
by
sumitkannoujiya74
Why Projects Fail – The Need to “Do the Right Project” and “Do the Project Ri...
by
Association for Project Management
Tetracycline Class of Antibiotics: SAR, MOA and Uses
by
mominzarinamdnajeeb
SOLAR SYSTEM.pptx || The infinity solar system
by
mahadevdigital024
Unit Plan and Unit Test-pdf-Dr. Rajashekhar Shirvalkar, Principal, SMRS B.Ed ...
by
Rajashekhar Shirvalkar
Download