Luc_Faucheux_2020
Options
1
Luc_Faucheux_2020
2
Summary and contents.
¨ This is not a formal option class. à if any question, PLEASE interrupt.
¨ This is by no means exhaustive. à read the textbooks out there.
¨ This is meant to be an exposure to the concepts and some of the issues encountered when
dealing with options.
Luc_Faucheux_2020
3
Books and references.
¨ “Paul Wilmott on Quantitative Finance”, Paul Wilmott.
¨ “Options, Futures, and Other Derivatives”, John C. Hull.
¨ “Dynamic Hedging: Managing Vanilla and Exotic Options”, Nassim N. Taleb.
¨ “When Genius failed: The Rise and Fall of LTCM”, Roger Lowenstein.
¨ “Market Wizards”, Jack D. Schwager.
¨ “Reminiscence of a Stock Operator”, Edwin Lefevre.
¨ “The Education of a Speculator”, Victor Niederhoffer.
¨ Options: Perception and Deception. Position Disection, Risk Analysis and Defensive Trading
Strategies Hardcover – June 1, 1996 by Charles Cottle
¨ Fractals, Chaos, Power Laws by Manfred Schroeder
¨ Interest Rate Models - Theory and Practice: With Smile, Inflation and Credit (Springer Finance) 2nd
Edition by Damiano Brigo
Luc_Faucheux_2020
4
The top 5 words.
¨ Convexity.
¨ Arbitrage.
¨ Hedging.
¨ Volatility.
¨ Correlation.
¨ Also very popular in options world:
– Skew, Smile.
– Delta, Gamma, Vega, Risk.
– Risk Neutral
Luc_Faucheux_2020
5
Summary
¨ Options definitions, put-call parity.
¨ Volatility and option pricing.
¨ Volatility and option trading.
¨ Convexity.
¨ Option value and Greeks.
¨ Arbitrage, Risk-neutrality and Convexity.
¨ A few products.
¨ Skew and Smile
Luc_Faucheux_2020
6
What are options?
¨ Options are everywhere : lottery tickets, year-end bonuses, medical plans, crop insurance,
test at the end of this course, NBA draft,…
¨ Options have been around for a while: the snake in the Garden of Eden was the first option
seller.
¨ You need three things for an option: IF………SHOULD……….THEN….
Luc_Faucheux_2020
7
How to define an interest-rate option?
¨ Time to expiry: T
– European
– American
– Bermuda
¨ Underlying: F
– Single index: LIBOR, CMS, CMT, FedFunds,….
– Spread: (CMS10-CMS2),…
– Basket:
– Time average
¨ Payoff
Luc_Faucheux_2020
8
Payoffs.
¨ Any function of the underlying.
¨ Vanilla payoffs:
– caps, floors
– any linear combination of the above: straddle, strangle, digitals, vertical spread, horizontal
spread, butterfly, condor, Christmas tree, squash,…….
¨ Exotic payoffs:
– Path dependent: Asian options, cliquet, ratchet, one-touch, two-touch, knock-out,…..
Luc_Faucheux_2020
9
The confirm!
¨ Legally binding, defines the option contract.
– Expiry time.
– Notification period.
– Notification procedure.
– Option settlement procedure (physical, cash,..).
– Delivery procedure.
– Fallback procedure.
– Underlying convention and resets.
– Payoff convention, daycount, rolls, holidays..
– THE CSA ! (Credit Support Annex), collateral management.
Luc_Faucheux_2020
10
The exchange-traded options.
¨ No confirm.
¨ Daily settlement.
¨ NO counterparty exposure.
¨ Uniform rules.
Luc_Faucheux_2020
11
The simplest option: European Call!
¨ Time to expiry: T
¨ Underlying: F
¨ Strike: K
¨ Payoff: Max(F-K,0)
$
F
K
Luc_Faucheux_2020
12
The simplest option: European call?
¨ How to price this option?
¨ Time to expiry T is known.
¨ Strike K and payoff are known.
¨ What about the underlying F, can I price a forward?
¨ Discount curve: D(T), D(T + 3 months), …
¨ à I can price bonds, swaps, FRAs, zero-coupons, ….
¨ à I know F.
Luc_Faucheux_2020
13
Something cute: Put-Call parity.
¨ Call Payoff: Max(F-K,0)
¨ Put Payoff: Max(K-F,0)
F
K
$
Luc_Faucheux_2020
14
Put-Call parity.
¨ Let’s buy a call, sell a put.
¨ Expected payoff: Max(F-K,0) – Max(K-F,0) = F-K
F
K
$
Luc_Faucheux_2020
15
Put-Call parity.
¨ Being long a call, short a put is equivalent to paying K and receiving Floating on a 1-period
swap (that is something we should all know how to price by now).
¨ Even though I still cannot price a Call or a Put, I can price the portfolio: (Call-Put).
¨ That is cute indeed, but I still don’t know how to price a Call.
Luc_Faucheux_2020
16
Pricing a Call.
¨ T is known, K is known, F is known, so… Call = Max(F-K,0) discounted back to today.
Luc_Faucheux_2020
17
Pricing a Call.
¨ T is known, K is known, F is known, so… Call = Max(F-K,0) discounted back to today.
¨ What’s wrong with that picture….
VOLATILITY
Luc_Faucheux_2020
18
Pricing a Call.
¨ At-the-money Call = Max(F-K,0) = 0.
F=K
F<K
Call=0
F>K
Call=(F-K)
Luc_Faucheux_2020
19
Pricing a call.
¨ The more volatile the rate, the greater the probability of a large move upwards in rates, the
more valuable the call.
¨ At zero volatility (no moves in rates), the call is equal to the terminal payoff Max(F-K,0).
¨ More exactly, from the discount curve we know the expected value of F, sometimes noted
<F> or E(F). If we assume rates F to be volatile, this is the average of F.
Luc_Faucheux_2020
20
The rate… it mooooves….
Typical
Option Trader
Luc_Faucheux_2020
21
Did you say volatility?
2.0
2.5
3.0
3.5
07/23/03
07/28/03
08/02/03
08/07/03
08/12/03
08/17/03
08/22/03
08/27/03
date O1y_S1y
7/28/2003 2.388
7/29/2003 2.539
7/30/2003 2.507
7/31/2003 2.811
8/1/2003 2.973
8/4/2003 2.818
8/5/2003 2.918
8/6/2003 2.740
8/7/2003 2.642
8/8/2003 2.615
8/11/2003 2.769
8/12/2003 2.652
8/13/2003 2.891
8/14/2003 2.989
8/15/2003 2.899
8/18/2003 2.877
8/19/2003 2.762
8/20/2003 2.840
8/21/2003 3.099
8/22/2003 3.033
Luc_Faucheux_2020
22
Sometimes rates move a little,..
1y1y (%)
0.0
1.0
2.0
3.0
4.0
5.0
6.0
7.0
8.0
9.0
2/1/1998
3/1/1998
4/1/1998
5/1/1998
6/1/1998
7/1/1998
8/1/1998
Luc_Faucheux_2020
23
Sometimes a lot…
1y1y (%)
0.0
1.0
2.0
3.0
4.0
5.0
6.0
7.0
8.0
9.0
12/1/1997
6/1/199812/1/1998
6/1/199912/1/1999
6/1/200012/1/2000
6/1/200112/1/2001
6/1/200212/1/2002
6/1/2003
Luc_Faucheux_2020
24
Different forwards move differently?
Yields (%)
2
4
6
8
10
12/1/19976/1/199812/1/19986/1/199912/1/19996/1/200012/1/20006/1/200112/1/20016/1/200212/1/20026/1/2003
2y1y
5y1y
10y1y
Luc_Faucheux_2020
25
Does history repeats itself?
¨ Does the future volatility depends on….
– Historical volatility.
– Particular forwards.
– Level of rates.
– Level of volatility.
– Strike.
– Time to expiry T.
– Are you a good trader?
Luc_Faucheux_2020
26
Does history repeats itself? (again?)
¨ Does the future volatility depends on….
– Historical volatility. Implied vs. Realised.
– Particular forwards. Term structure models.
– Level of rates. Correlation, Skew, Mean Reversion.
Normal vs. Lognormal.
– Level of volatility. Heteroskedasticity, Smile.
– Strike. Local volatility models.
– Time to expiry T. Short-dated vs. long-dated.
– Are you a good trader? Hedging strategies, sampling,..
Luc_Faucheux_2020
27
What volatility are we talking about anyways?
¨ Normal Volatility (basis points per day).
– You care about your margin account (absolute return).
¨ Lognormal Volatility (% per year).
– You care about your annualized returns (relative return).
Also, are you looking the volatility of the Price or the Yield (example of Eurodollar futures
and Bond)?
Luc_Faucheux_2020
28
Normal Volatility.
date O1y_S1y Absolute
7/28/2003 2.388 COD(bps) COD(bps)
7/29/2003 2.539 15.07 15.07
7/30/2003 2.507 -3.2 3.2
7/31/2003 2.811 30.41 30.41
8/1/2003 2.973 16.2 16.2
8/4/2003 2.818 -15.5 15.5
8/5/2003 2.918 10.05 10.05
8/6/2003 2.740 -17.86 17.86
8/7/2003 2.642 -9.73 9.73
8/8/2003 2.615 -2.73 2.73
8/11/2003 2.769 15.36 15.36
8/12/2003 2.652 -11.68 11.68
8/13/2003 2.891 23.89 23.89
8/14/2003 2.989 9.78 9.78
8/15/2003 2.899 -8.93 8.93
8/18/2003 2.877 -2.25 2.25
8/19/2003 2.762 -11.5 11.5
8/20/2003 2.840 7.8 7.8
8/21/2003 3.099 25.94 25.94
8/22/2003 3.033 -6.58 6.58
12.87 (bps/day)
Luc_Faucheux_2020
29
Normal Volatility.
¨ 13 ~ 13 bps/day.
¨ 13 * SQRT(7) ~ 34 bps/week.
¨ 13 * SQRT(30) ~ 71 bps/month.
¨ 13 * SQRT(90) ~ 123 bps/quarter.
¨ 13 * SQRT(360) ~ 247 bps/year.
Luc_Faucheux_2020
30
Normal Volatility.
¨ What about weekends and holiday?
– This is DRW, remember…not a charity. Also weekends have had lately political risk
¨ What about the Square Root? Diffusion vs. Propagation.
Normal Volatility (bps)
0
50
100
150
200
250
300
0 50 100 150 200 250 300 350 400
days
Luc_Faucheux_2020
31
Lognormal Volatility.
date O1y_S1y
7/28/2003 2.388 Ln(Fi/Fi-1)
7/29/2003 2.539 0.06
7/30/2003 2.507 -0.01 1) Calculate Standard Deviation.
7/31/2003 2.811 0.11 0.05
8/1/2003 2.973 0.06
8/4/2003 2.818 -0.05 2) Divide by SQRT(1/365).
8/5/2003 2.918 0.04 103 (% / year)
8/6/2003 2.740 -0.06
8/7/2003 2.642 -0.04
8/8/2003 2.615 -0.01
8/11/2003 2.769 0.06
8/12/2003 2.652 -0.04
8/13/2003 2.891 0.09
8/14/2003 2.989 0.03
8/15/2003 2.899 -0.03
8/18/2003 2.877 -0.01
8/19/2003 2.762 -0.04
8/20/2003 2.840 0.03
8/21/2003 3.099 0.09
8/22/2003 3.033 -0.02
Luc_Faucheux_2020
32
From Lognormal to Normal.
¨ Lognormal Volatility ~ 103 % / year.
¨ Rate Level ~ 2.4 %.
¨ 103 * 2.4 / SQRT(365) ~ 12.93 bps/day.
¨ OK, that was really 12.87 not 12.93.
¨ We will learn how to exactly equate normal volatility to lognormal volatility (i.e. so that the
price of an at-the-money option is the same in both models)
Luc_Faucheux_2020
33
Still trying to price the simplest option!
¨ Normal model (Louis Bachelier, 1900 Ph.D. thesis).
¨ F is normally distributed.
¨ Everyday, F goes up or down by 10bps.
F
2.2 2.72.1 2.42.3 2.5 2.82.6 3.0 3.12.9
Luc_Faucheux_2020
34
Normal model.
¨ Diffusion.
¨ Heat equation.
¨ Parabolic equation. (Remember the square root?)
¨ Random walk.
¨ Binomial distribution.
¨ Brownian motion. (Robert Brown, 1827).
¨ Monte-Carlo simulation.
¨ Random number generator.
Luc_Faucheux_2020
35
Modeling the market, one path at a time.
2.0
2.5
3.0
3.5
07/23/03
07/28/03
08/02/03
08/07/03
08/12/03
08/17/03
08/22/03
08/27/03
date O1y_S1y
7/28/2003 2.400
7/29/2003 2.300
7/30/2003 2.400
7/31/2003 2.500
8/1/2003 2.400
8/4/2003 2.300
8/5/2003 2.400
8/6/2003 2.300
8/7/2003 2.200
8/8/2003 2.300
8/11/2003 2.400
8/12/2003 2.500
8/13/2003 2.600
8/14/2003 2.700
8/15/2003 2.600
8/18/2003 2.500
8/19/2003 2.600
8/20/2003 2.700
8/21/2003 2.800
8/22/2003 2.900
Luc_Faucheux_2020
36
Simulating many paths, after 90 days.
¨ T=1year, K=2.4%, F=2.4%, Payoff=Max(F-K,0).
¨ Normal Volatility s=10 bps/day.
Forward F (%)
1
2
3
4
5
0
10
20
30
40
50
60
70
80
90
days
Luc_Faucheux_2020
37
Simulating many paths, after 180 days.
Forward F (%)
-3
-1
1
3
5
7
9
0
20
40
60
80
100
120
140
160
180
days
Luc_Faucheux_2020
38
Simulating many paths, after 360 days.
Forward F (%)
-3
-1
1
3
5
7
9
0
50
100
150
200
250
300
350
days
Luc_Faucheux_2020
39
Binomial distribution.
¨ At option expiry, where does the forward F end up and with which probability?
Simulation Forward Payoff
# 1 3.8 1.4
# 2 2.6 0.2
# 3 -0.8 0
# 4 4.4 2
# 5 4.6 2.2
# 6 5 2.6
# 7 1.4 0
# 8 5.6 3.2
# 9 -1.4 0
# 10 3.4 1
# 11 2.4 0
# 12 5.4 3
AVERAGE 3.03 1.30
STDEV 2.31 1.26
Luc_Faucheux_2020
40
Call Price (at last!)
¨ As we keep increasing the number of simulated paths, our estimate of the option price
becomes more precise.
#paths Forward Option Price
12 3.03 (+/- 2.3) 1.30 (+/- 1.3)
100 2.45 (+/- 1.8) 0.764 (+/- 0.99)
1000 2.41 (+/- 1.8) 0.749 (+/- 0.99)
10000 2.40 (+/- 1.8) 0.760 (+/- 1.12)
: : : : : :
: : : : : :
Theory 2.4 0.762
Luc_Faucheux_2020
41
What did we achieve?
¨ We priced the simplest option……..yeah us!
¨ I thought this was supposed to be FIXED-Income?
¨ Expiry T
¨ Strike K
¨ Forward F
¨ Volatility s }Þ C (T,K,F,s)
Luc_Faucheux_2020
42
Simple options rules.
¨ Option Call C(T,K,F,s).
¨ C increases when T increases.
¨ C decreases when K increases.
¨ C increases when F increases.
¨ C increases when s increases.
Luc_Faucheux_2020
43
Simple options rules.
¨ Option Call C(T,K,F,s)
¨ C increases when T increases. Negative time-decay (Theta).
¨ C decreases when K increases. Negative Bet.
¨ C increases when F increases. Positive Delta.
¨ C increases when s increases. Positive Vega.
Luc_Faucheux_2020
44
Can we improve on our model?
¨ Forward F can go negative.
¨ Constant volatility in time
¨ Constant volatility with level of forward
¨ ALSO
– We can replace our simulation with an exact analytical form (smoother risk, faster computation
time), we lose however the flexibility of adding to our model
– We have also assumed that the expected value of the forward is the current value. How
justified is that? In essence we ”fixed” the up and down probability of a jump to be 50%. Are
those the real world probabilities? The Risk Neutral probabilities?
Luc_Faucheux_2020
45
Avoiding negative forwards.
¨ Instead of choosing F to be normally distributed, we can choose Ln(F) to be normally
distributed.
¨ Ln(F) is Normally distributed.
¨ F is LogNormally distributed.
¨ Lognormal model.
¨ Case Sprenkle (1961).
Luc_Faucheux_2020
46
Avoiding Arbitrage? Fixing the probabilities.
¨ Fisher Black - Myron Scholes (1973).
¨ We’ll have to come back to that one later. That one is really tough (they don’t give away
Nobel prizes for nothing you know?).
Luc_Faucheux_2020
47
Why is Black-Sholes so important ?
¨ Simple version : you and I might not agree on where the market (underlying) is going, we
will still agree on the option price.
¨ Textbook version : market participants must use risk-neutral probabilities when pricing
options.
Luc_Faucheux_2020
48
Implementing a variable volatility.
¨ Volatility could be function of:
– Time: Absolute time, time to expiry.
– Level of rates: Correlation, skew.
– Level of vols: Smile.
– Economic release: Calendar/Business, Time Warp.
Luc_Faucheux_2020
49
Other possible distributions.
¨ Mixture of Lognormal.
¨ Mixture of Normal/Lognormal.
¨ Shifted Lognormal.
¨ Jump processes.
¨ Constant Elasticity models.
Luc_Faucheux_2020
50
Calibrating to market.
¨ Expiry T
¨ Strike K
¨ Forward F
¨ Volatility s
CMODEL (T,K,F,s)
}
CMARKET (T,K,F)
?¹
Market Implied Volatility s
Luc_Faucheux_2020
51
Trading options is trading volatility.
¨ Model Implied Volatility.
¨ Historical Realized Volatility.
¨ Market Implied Volatility (Future Realized Volatility).
¨ Spreading Volatility on different forwards.
Luc_Faucheux_2020
52
Term Structure.
FORWARD RATES (%)
20030828 1 year 2 year 3 year 4 year 5 year 7 year 10 year 15 year 20 year 30 year
1m 1.51 2.32 3.02 3.55 3.96 4.51 4.98 5.41 5.59 5.66
3m 1.70 2.56 3.24 3.74 4.12 4.63 5.08 5.48 5.65 5.71
6m 2.08 2.93 3.55 4.02 4.36 4.82 5.23 5.60 5.75 5.79
1 year 3.00 3.70 4.20 4.56 4.83 5.19 5.52 5.82 5.93 5.93
18m 3.81 4.33 4.72 5.00 5.20 5.49 5.75 6.00 6.08 6.05
2 year 4.42 4.82 5.13 5.34 5.50 5.72 5.94 6.14 6.19 6.14
3 year 5.25 5.51 5.68 5.81 5.91 6.06 6.22 6.34 6.35 6.27
4 year 5.79 5.92 6.02 6.09 6.16 6.27 6.39 6.47 6.45 6.33
5 year 6.06 6.14 6.21 6.27 6.32 6.41 6.51 6.54 6.50 6.36
7 year 6.36 6.42 6.47 6.51 6.55 6.61 6.65 6.62 6.53 6.37
10 year 6.66 6.70 6.73 6.75 6.76 6.76 6.72 6.60 6.48 6.29
20 year 6.42 6.36 6.31 6.27 6.23 6.14 6.04 5.90 5.79 5.63
Luc_Faucheux_2020
53
Implied Market Normal Volatility.
BP VOLATILITIES (bps/day)
20030828 1 year 2 year 3 year 4 year 5 year 7 year 10 year 15 year 20 year 30 year
1m 4.5 9.0 9.8 10.0 10.3 10.1 9.7 9.0 8.5 8.1
3m 4.7 8.7 9.6 9.8 9.9 9.7 9.3 8.7 8.2 7.4
6m 6.1 9.1 9.4 9.6 9.6 9.4 9.1 8.3 7.7 6.9
1 year 9.1 9.4 9.4 9.3 9.3 9.0 8.7 8.0 7.5 6.8
18m 9.5 9.6 9.4 9.3 9.1 8.9 8.5 7.8 7.3 6.6
2 year 9.9 9.7 9.4 9.2 9.0 8.7 8.3 7.6 7.1 6.5
3 year 9.5 9.2 9.0 8.7 8.6 8.3 7.9 7.2 6.6 6.0
4 year 8.9 8.6 8.5 8.3 8.1 7.8 7.4 6.7 6.2 5.6
5 year 8.4 8.1 8.0 7.8 7.7 7.4 7.0 6.3 5.8 5.2
7 year 7.6 7.5 7.3 7.1 7.0 6.7 6.3 5.7 5.2 4.7
10 year 6.6 6.5 6.3 6.2 6.0 5.7 5.3 4.7 4.4 4.0
20 year 4.8 4.5 4.4 4.2 4.1 4.0 3.8 3.4 3.1 2.9
• This is the canonical “Swaption Grid”. Each forward rate is
assumed to be its own independent variable, and the
implied volatility is the number that you need to plug in the
option model to recover the price of at-the-money
swaptions observed in the market
Luc_Faucheux_2020
54
Implied Market Lognormal Volatility.
YIELD VOLATILITIES (%/year)
20030828 1 year 2 year 3 year 4 year 5 year 7 year 10 year 15 year 20 year 30 year
1m 47.5 61.3 51.3 44.7 41.2 35.4 30.9 26.3 24.1 22.8
3m 43.4 53.8 47.0 41.5 38.0 33.2 29.2 25.1 22.9 20.5
6m 46.2 49.1 42.1 37.8 35.0 30.8 27.6 23.5 21.3 18.8
1 year 47.9 40.4 35.5 32.5 30.6 27.6 25.1 21.8 20.0 18.3
18m 39.6 35.1 31.6 29.4 27.8 25.6 23.5 20.7 19.0 17.4
2 year 35.6 31.9 29.2 27.3 25.9 24.1 22.2 19.7 18.1 16.7
3 year 28.6 26.6 25.1 23.9 23.0 21.7 20.2 18.0 16.6 15.3
4 year 24.3 23.2 22.3 21.5 20.8 19.8 18.5 16.5 15.3 14.1
5 year 21.9 21.0 20.4 19.8 19.2 18.3 17.1 15.4 14.2 13.0
7 year 19.1 18.5 18.0 17.4 16.9 16.1 15.0 13.6 12.6 11.7
10 year 15.7 15.3 15.0 14.5 14.1 13.4 12.5 11.4 10.8 10.1
20 year 11.8 11.2 11.0 10.7 10.5 10.2 10.0 9.1 8.6 8.1
Luc_Faucheux_2020
55
Historical Realized Lognormal Volatility (90days).
YIELD VOLATILITIES (%/year)
20030828 1 year 2 year 3 year 4 year 5 year 7 year 10 year 15 year 20 year 30 year
1m 57.8 63.9 55.8 48.1 43.0 36.0 30.8 25.9 23.7 22.3
3m 66.6 64.8 55.2 47.7 42.4 35.8 30.6 26.0 23.8 22.5
6m 73.9 64.5 53.9 46.8 41.8 35.5 30.6 26.0 24.0 22.7
1 year 71.1 58.6 49.6 43.8 39.7 34.2 30.0 25.8 23.9 22.9
18m 61.2 51.1 44.7 40.3 37.0 32.6 29.0 25.3 23.7 22.9
2 year 52.2 45.1 40.6 37.2 34.5 31.1 27.9 24.7 23.3 22.7
3 year 40.5 37.4 34.7 32.2 30.5 28.4 26.0 23.5 22.5 22.3
4 year 36.5 33.3 30.6 29.1 28.1 26.5 24.4 22.6 21.9 21.9
5 year 30.9 28.7 27.7 27.1 26.4 25.0 23.2 21.9 21.4 21.5
7 year 26.7 26.1 25.4 24.6 23.9 22.6 21.5 20.8 20.7 21.1
10 year 22.6 21.8 21.2 20.8 20.4 20.1 19.8 19.9 20.2 20.7
Luc_Faucheux_2020
56
Historical Realized Lognormal Volatility (360days).
YIELD VOLATILITIES (%/year)
20030828 1 year 2 year 3 year 4 year 5 year 7 year 10 year 15 year 20 year 30 year
1m 48.9 50.5 43.4 37.8 34.2 29.2 25.1 21.2 19.3 17.8
3m 55.7 50.7 43.1 37.7 33.9 29.0 25.1 21.3 19.4 17.9
6m 59.9 50.0 42.1 37.0 33.4 28.7 25.0 21.3 19.4 18.0
1 year 54.4 44.4 38.3 34.3 31.4 27.5 24.3 20.9 19.2 18.0
18m 45.5 38.6 34.4 31.5 29.2 26.1 23.4 20.4 18.9 17.9
2 year 38.6 34.2 31.5 29.2 27.3 24.9 22.5 19.8 18.5 17.7
3 year 31.2 29.4 27.5 25.8 24.6 23.0 21.0 18.8 17.8 17.3
4 year 29.2 26.8 24.9 23.8 23.0 21.7 19.8 18.1 17.3 17.0
5 year 25.2 23.7 22.8 22.2 21.6 20.4 18.8 17.4 16.8 16.7
7 year 21.8 21.3 20.8 20.1 19.4 18.2 17.1 16.3 16.0 16.3
10 year 18.8 18.1 17.3 16.8 16.4 15.9 15.5 15.2 15.4 16.0
Luc_Faucheux_2020
57
Trading options is trading Correlation.
CORRELATION BETWEEN FORWARDS AND NORMAL VOLATILITY (360 days).
20030828 1 year 2 year 3 year 4 year 5 year 7 year 10 year 15 year 20 year 30 year
1m 0.6 0.5 0.4 0.2 0.1 0.1 0.1 0.2 0.1 0.1
3m 0.7 0.6 0.4 0.3 0.1 0.1 0.1 0.1 0.1 0.1
6m 0.7 0.5 0.4 0.2 (0.0) 0.0 0.1 0.2 0.1 0.0
1 year 0.4 0.2 0.0 (0.1) (0.2) (0.2) (0.0) 0.0 0.1 (0.1)
18m 0.2 (0.0) (0.1) (0.2) (0.3) (0.2) (0.0) 0.0 0.1 (0.1)
2 year (0.2) (0.2) (0.2) (0.2) (0.3) (0.2) (0.0) 0.1 0.1 (0.1)
3 year (0.1) (0.1) (0.1) (0.1) (0.2) (0.1) 0.1 0.1 0.1 (0.1)
4 year (0.0) (0.0) (0.1) (0.1) (0.1) (0.0) 0.2 0.2 0.1 (0.1)
5 year 0.0 0.0 (0.0) (0.1) (0.1) 0.0 0.2 0.2 0.1 (0.1)
7 year 0.0 0.0 (0.0) (0.0) 0.0 0.1 0.2 0.2 0.1 (0.1)
10 year 0.2 0.2 0.1 0.1 0.1 0.1 0.2 0.1 0.1 (0.2)
• A non zero correlation between the level of rates and the
volatility is what people refers to as “skew”. It also shows
clearly that our assumption of constant volatility with the
level of the underlier was incorrect
Luc_Faucheux_2020
58
Trading options is trading Correlation.
CORRELATION BETWEEN FORWARDS AND LOGNORMAL VOLATILITY (360 days).
20030828 1 year 2 year 3 year 4 year 5 year 7 year 10 year 15 year 20 year 30 year
1m (0.5) (0.8) (0.8) (0.8) (0.8) (0.7) (0.6) (0.5) (0.4) (0.4)
3m (0.6) (0.8) (0.9) (0.9) (0.9) (0.8) (0.7) (0.7) (0.6) (0.6)
6m (0.7) (0.9) (0.9) (0.9) (0.9) (0.9) (0.8) (0.8) (0.7) (0.7)
1 year (0.9) (1.0) (1.0) (1.0) (1.0) (0.9) (0.9) (0.9) (0.8) (0.8)
18m (0.9) (1.0) (1.0) (1.0) (1.0) (0.9) (0.9) (0.9) (0.8) (0.8)
2 year (1.0) (1.0) (1.0) (1.0) (1.0) (0.9) (0.9) (0.8) (0.8) (0.8)
3 year (1.0) (0.9) (0.9) (0.9) (0.9) (0.9) (0.9) (0.8) (0.8) (0.8)
4 year (0.9) (0.9) (0.9) (0.9) (0.9) (0.9) (0.8) (0.7) (0.7) (0.8)
5 year (0.9) (0.9) (0.9) (0.9) (0.9) (0.9) (0.8) (0.7) (0.7) (0.8)
7 year (0.8) (0.8) (0.8) (0.8) (0.8) (0.8) (0.6) (0.6) (0.6) (0.8)
10 year (0.6) (0.6) (0.6) (0.6) (0.6) (0.5) (0.4) (0.5) (0.6) (0.7)
• The correlation is much stronger between rates and
lognormal volatility than between rates and normal
volatility. People tend to say that “rates behave normally”,
not “lognormally”
Luc_Faucheux_2020
59
Trading options is risky: Risk Parameters.
F
C
¶
¶
=D
2
2
F
C
¶
¶
=g
T
C
¶
¶
=Q
s¶
¶
=
C
Vega
Greeks Definition
Delta ($/bp)
Gamma
($/bp/bp)
Theta
($/day)
Vega ($/%)
Luc_Faucheux_2020
60
Why am I doing all this work?
¨ Pricing swaps and bonds was so much easier, I just needed a yield curve, et voila !
¨ Swap traders don’t care about Volatility?
¨ Why not?
Luc_Faucheux_2020
61
BREAK !!
¨ See you all in 10 minutes
Luc_Faucheux_2020
62
Why are options different from Swaps and Bonds.
¨ Arbitrage-free.
– Risk-free rate of return.
– Risk-Neutral assumption.
¨ Convexity.
¨ Let’s look at the convexity first, that’s the easy one
Luc_Faucheux_2020
63
What is Convexity?
¨ Change in Duration.
¨ Curvature.
¨ Second derivative.
¨ Deviation from straight line.
¨ Departure from linearity.
Luc_Faucheux_2020
64
What is convex?
¨ Bond price as a function of yield?
¨ Eurodollar future price as a function of forward rate?
¨ Ln(x) as a function of x?
¨ (1-2x) as a function of x?
¨ Bond price as a function of coupon?
¨ Bond price as a function of face amount?
¨ (1/x) as a function of x?
Luc_Faucheux_2020
65
Answers.
¨ Bond price as a function of yield? YES (+)
¨ Eurodollar future price as a function of forward rate? NO
¨ Ln(x) as a function of x? YES (-)
¨ (1-2x) as a function of x? NO
¨ Bond price as a function of coupon? NO
¨ Bond price as a function of face amount? NO
¨ (1/x) as a function of x? YES (+)
Luc_Faucheux_2020
66
If it’s linear, forget about Volatility.
x
f(x)
Luc_Faucheux_2020
67
If it’s linear, forget about Volatility.
x
f(x)
<x>
f(<x>)
Luc_Faucheux_2020
68
If it’s linear, forget about Volatility.
x
f(x)
x
f(x)
xMAXxMin <x>
f(<x>)
Luc_Faucheux_2020
69
If it’s linear, forget about Volatility.
x
f(x)
x
f(x)
x
f(x)
x
f(x)
xMAXxMin
f(<x>)
<x>
Luc_Faucheux_2020
70
If it’s linear, forget about Volatility.
¨ Average of f(x) = f(Average of x).
¨ <f(x)> = f(<x>).
¨ A linear transformation is a simple scaling (inches to centimeters, Celsius to Farenheit,…).
Luc_Faucheux_2020
71
If it’s convex, mind the Volatility.
x
f(x)
Luc_Faucheux_2020
72
If it’s convex, mind the Volatility.
xMAXxMin
x
f(x)
x
f(x)
<x>
Luc_Faucheux_2020
73
If it’s convex, mind the Volatility.
xMAXxMin
x
f(x)
x
f(x)
<x>
Luc_Faucheux_2020
74
If it’s convex, mind the Volatility.
xMAXxMin
x
f(x)
x
f(x)
<x>
Luc_Faucheux_2020
75
If it’s convex, mind the Volatility.
xMAXxMin
x
f(x)
x
f(x)
f(<x>)
<f(x)>
<x>
Luc_Faucheux_2020
76
Positively and negatively convex.
¨ If the function f is positively convex… the average of f(x) is greater than f(<x>).
¨ If the function f is negatively convex… the average of f(x) is smaller than f(<x>).
Luc_Faucheux_2020
77
If it’s convex, mind the Volatility.
xMAXxMin
x
f(x)
x
f(x)
Average x
f (average of x)
average of f (x)
Luc_Faucheux_2020
78
Positively and negatively convex, an option payoff.
¨ If the payout of an option is positively convex…
– the average of all possible option payouts is greater than the value of the payout at the
average of the underlying
¨ If the payout of an option is negatively convex…
– the average of all possible option payouts is smaller than the value of the payout at the
average of the underlying
¨ Extreme case…
– Consider an option expiring in 2 minutes that is at-the-money. The position is convex, so
the average of all possible payouts is positive, although the payout at the average of the
underlying = 0 (since the option is at-the-money)
Luc_Faucheux_2020
79
For the mathematically inclined.
¨ Taylor expansion (Brooke Taylor, 1715).
)().(
2
1
).()()( 32
2
2
dxdx
dx
fd
dx
dx
df
xfdxxf O+++=+
Luc_Faucheux_2020
80
Math 101, part deux.
)().(
2
1
).()()(
)().(
2
1
).()()(
32
2
2
32
2
2
dxdx
dx
fd
dx
dx
df
xfdxxf
dxdx
dx
fd
dx
dx
df
xfdxxf
O++-+=-
O+++=+
Luc_Faucheux_2020
81
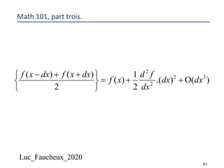
Math 101, part trois.
)().(
2
1
)(
2
)()( 32
2
2
dxdx
dx
fd
xf
dxxfdxxf
O++=
þ
ý
ü
î
í
ì ++-
Luc_Faucheux_2020
82
Math 101, part quatre (sometimes called Jensen inequality)
)().(
2
1
2
)()(
2
)()( 32
2
2
dxdx
dx
fddxxdxx
f
dxxfdxxf
O++
þ
ý
ü
î
í
ì ++-
=
þ
ý
ü
î
í
ì ++-
ConvexityxofAveragefxfofAverage
dx
dx
fd
xofAveragefxfofAverage
+=
+=
)()(
).(
2
1
)()( 2
2
2
Convexity adjustments and such only work if the function is “well behaved”.
Convexity adjustments would not work on a portfolio of Digital bets for example
Luc_Faucheux_2020
83
Math 101, the fin.
¨ If the function f is positively convex… the average of f(x) is greater than f(<x>).
¨ If the function f is negatively convex… the average of f(x) is smaller than f(<x>).
¨ Convexity =
¨ Volatility =
2
2
dx
fd
2
)(dx
Luc_Faucheux_2020
84
A call payoff is positively convex.
F
K
$
Luc_Faucheux_2020
85
Call premium.
¨ Call = Max(F-K,0).
¨ Intrinsic Value: Payoff of the average.
¨ Call Premium : Average of the payoff.
Luc_Faucheux_2020
86
Call premium.
¨ Intrinsic Value: Payoff of the average.
¨ Call Premium : Average of the payoff.
¨ Intrinsic Value: Max(<F> - K, 0)
¨ Call Premium: <Max(F - K, 0)>
¨ Call premium: convexity adjusted value of the terminal payoff…. Has to depend on the
volatility…
Luc_Faucheux_2020
87
Time value of a call.
¨ A call premium is positively convex à always greater than the intrinsic value.
¨ (Premium – Intrinsic) = Time Value.
¨ The greater the Volatility, the greater the Time Value.
¨ The greater the convexity, the greater the Time Value.
Luc_Faucheux_2020
88
Call Premium.
¨ Convexity is greatest at the strike.
¨ Deep in-the-money and far out-of-the-money,
Convexity is small.
Time Value is small.
Call premium slightly greater than terminal payoff.
¨ At-the-money,
Convexity is maximum.
Time Value is maximum.
Call premium furthest away from terminal payoff.
Luc_Faucheux_2020
89
Call Premium.
F
K
$
"At the Money"
"Out of the Money" "In the Money"
Intrinsic Value.
Luc_Faucheux_2020
90
Call Premium.
$
Intrinsic Value.
"At the Money"
"Out of the Money" "In the Money"
F
K
Call Premium
Time Value
Luc_Faucheux_2020
91
Convexity smoothes out the terminal payoff.
¨ If positive convexity, <Payoff(F)> greater than Payoff(<F>).
F
K
$ Option
Luc_Faucheux_2020
92
Convexity smoothes out the terminal payoff.
¨ If negative convexity, <Payoff(F)> smaller than Payoff(<F>).
F
K
$
Option
Luc_Faucheux_2020
93
Convexity smoothes out the terminal payoff.
¨ The greater the payoff convexity,
¨ The greater the volatility
¨ The greater the time value,
¨ The further away will the option price be from the intrinsic value.
Luc_Faucheux_2020
94
Convexity smoothes out the terminal payoff.
¨ “Diffusion” of terminal payoff.
¨ The greater the volatility, the smoother the option price.
F
K
$
Luc_Faucheux_2020
95
Zero Volatility.
PVs ($)
-200,000
0
200,000
400,000
600,000
800,000
1,000,000
-100 -90 -80 -70 -60 -50 -40 -30 -20 -10 0 10 20 30 40 50 60 70 80 90 100
Rate shifts (basis points)
Luc_Faucheux_2020
96
Low Volatility.
PVs ($)
0
100,000
200,000
300,000
400,000
500,000
600,000
700,000
800,000
900,000
1,000,000
-100 -90 -80 -70 -60 -50 -40 -30 -20 -10 0 10 20 30 40 50 60 70 80 90 100
Rate shifts (basis points)
Luc_Faucheux_2020
97
Medium Volatility.
PVs ($)
-200,000
0
200,000
400,000
600,000
800,000
1,000,000
-100 -90 -80 -70 -60 -50 -40 -30 -20 -10 0 10 20 30 40 50 60 70 80 90 100
Rate shifts (basis points)
Luc_Faucheux_2020
98
High Volatility.
PVs ($)
-200,000
0
200,000
400,000
600,000
800,000
1,000,000
-100 -90 -80 -70 -60 -50 -40 -30 -20 -10 0 10 20 30 40 50 60 70 80 90 100
Rate shifts (basis points)
Luc_Faucheux_2020
99
Calls are risky.
Greeks Definition
Delta
F
C
¶
¶
=D
Gamma
2
2
F
C
¶
¶
=g
Theta
T
C
¶
¶
=Q
Vega
s¶
¶
=
C
Vega
Luc_Faucheux_2020
100
Profits (and Losses).
Greeks Definition Units Profits/Losses
Delta
F
C
¶
¶
=D ($/bp) )( FdD
Gamma
2
2
F
C
¶
¶
=g ($/bp/bp)
2
)(
2
1
Fdg
Theta
T
C
¶
¶
=Q ($/day) )( TdQ
Vega
s¶
¶
=
C
Vega ($/%) )(dsVega
Luc_Faucheux_2020
P&L as a Taylor expansion of the option with parameters
¨ 𝛿𝐶 =
!"
!#
. 𝛿𝑡 +
!"
!$
. 𝛿𝐹 +
!"
!%
. 𝛿𝜎 +
&
'
.
!!"
!$! . (𝛿𝐹)'
¨ 𝛿𝐶 = 𝑇ℎ𝑒𝑡𝑎 . 𝛿𝑡 + 𝐷𝑒𝑙𝑡𝑎 . 𝛿𝐹 + 𝑉𝑒𝑔𝑎 . 𝛿𝜎 +
&
'
. 𝐺𝑎𝑚𝑚𝑎 . (𝛿𝐹)'
¨ 𝛿𝐶 = Θ. 𝛿𝑡 + ∆. 𝛿𝐹 + 𝑉𝑒𝑔𝑎. 𝛿𝜎 +
&
'
. 𝛾. (𝛿𝐹)'
101
Luc_Faucheux_2020
102
Profits and Losses.
If DELTA is:
POSITIVE
NEGATIVE
If GAMMA is:
POSITIVE
NEGATIVE
If THETA is: Passage of time will
POSITIVE
NEGATIVE
Increase / Decrease option value
If VEGA is: You want volatility to
POSITIVE
NEGATIVE
Fall / Rise
Fall / Rise
You want the underlying to
Rise / Fall
Rise / Fall
You want the underlying to
Sit still / Make a big move
Sit still / Make a big move
Increase / Decrease option value
Luc_Faucheux_2020
103
Profits and Losses.
If DELTA is:
POSITIVE
NEGATIVE
If GAMMA is:
POSITIVE
NEGATIVE
If THETA is: Passage of time will
POSITIVE
NEGATIVE
If VEGA is: You want volatility to
POSITIVE
NEGATIVE
Fall / Rise
Fall / Rise
You want the underlying to
Rise / Fall
Rise / Fall
You want the underlying to
Sit still / Make a big move
Sit still / Make a big move
Increase / Decrease option value
Increase / Decrease option value
Luc_Faucheux_2020
104
Call premium, PV.
PVs ($)
0
200,000
400,000
600,000
800,000
1,000,000
1,200,000
1,400,000
1,600,000
1,800,000
2,000,000
-100 -90 -80 -70 -60 -50 -40 -30 -20 -10 0 10 20 30 40 50 60 70 80 90 100
Rate shifts (basis points)
Luc_Faucheux_2020
105
Delta, Duration, DV01,..
Delta ($/bp)
0
2,000
4,000
6,000
8,000
10,000
12,000
14,000
16,000
18,000
20,000
-95 -85 -75 -65 -55 -45 -35 -25 -15 -5 5 15 25 35 45 55 65 75 85 95
Rate shifts (basis points)
Luc_Faucheux_2020
106
Delta, Duration, DV01,..
¨ Delta is the slope of the call PV.
¨ Far out-of-the-money Delta is close to 0.
(Call has no value, and an increase in rates still brings no value).
¨ Deep in-the-money Delta is close to 1.
(Rates are so high compared to the strike that the probability of going back under the strike and
getting a zero payoff are negligible).
Luc_Faucheux_2020
107
Gamma, Convexity, DV02.
Gamma ($/bp/bp)
-50
0
50
100
150
200
250
-90 -80 -70 -60 -50 -40 -30 -20 -10 0 10 20 30 40 50 60 70 80 90
Rate shifts (basis points)
Luc_Faucheux_2020
108
Gamma, Convexity, DV02.
¨ Gamma is the slope of the Delta.
¨ Gamma is the convexity (change in Duration).
¨ Gamma is negligible on the wings, maximum at-the-money.
Luc_Faucheux_2020
109
Vega.
Vega ($/%)
0
2,000
4,000
6,000
8,000
10,000
12,000
14,000
16,000
18,000
20,000
-100 -90 -80 -70 -60 -50 -40 -30 -20 -10 0 10 20 30 40 50 60 70 80 90 100
Rate shifts (basis points)
Luc_Faucheux_2020
110
Vega.
¨ Vega maximum at-the-money, negligible on the wings.
¨ Options far away from the money are not options anymore.. They have no Gamma, no
Vega, no time value left.
Luc_Faucheux_2020
Vega
¨ Vega
– Sensitivity of an option’s price to changes in the underlying’s volatility
– As vol moves higher, the underlying is more likely to move away from the strike in a given amount of time
K
Linear
Call
V
K
VDigital
Call
K
V
Call Price Increases as Volatility Increases
σ
(Option)
Vega
¶
¶
=
111
Luc_Faucheux_2020
112
How does the Vega change?
¨ When Volatility changes: Volga.
– Smile.
– Volatility of volatility.
¨ When Rates change: Vanna.
– Skew.
– Correlation between rates and volatility.
÷
ø
ö
ç
è
æ
¶
¶
F
Vega
÷
ø
ö
ç
è
æ
¶
¶
s
Vega
Luc_Faucheux_2020
113
Volga, Smile, Stochastic Volatility exposure.
Volga ($/%/%)
-200
0
200
400
600
800
1,000
1,200
-100 -90 -80 -70 -60 -50 -40 -30 -20 -10 0 10 20 30 40 50 60 70 80 90 100
Rate shifts (basis points)
Luc_Faucheux_2020
114
Volga, Smile, Stochastic Volatility exposure.
¨ Volga is negligible for at-the-money options, the Vega of an at-the-money option does not
depend on the level of Volatility.
¨ Volga is positive for both low strike and high strike options.
¨ Low strike and high strike options will have similar exposure to the smile.
Luc_Faucheux_2020
115
Smile premium for out-of-the money options.
¨ When being long an Out-of-the-Money option, we will :
– Get longer Vega when s increases.
– Get shorter Vega when s decreases.
¨ When Vega hedging this Out-of-The-Money option, we will :
– Sell Volatility when s increases.
– Buy Volatility when s decreases.
“BUY LOW, SELL HIGH”
115
Luc_Faucheux_2020
Smile Premium
116
• If we are long Volga:
Volatility Vega Hedge P/L ?
Sell
Buy
Luc_Faucheux_2020
117
Smile premium
¨ A trader will be willing to pay up for an OTM option
¨ Vega hedging allows the trader to capture the smile premium.
¨ Note : this is almost identical to the regular option premium :
– An option exhibits positive Gamma everywhere : being long an option, we will get longer the
market as it rallies, shorter as it sells off.
– Delta hedging allows the trader to capture the option premium over time.
– Option premium is maximum for ATM options (maximum Gamma).
Luc_Faucheux_2020
Skew Exposure: How the Vega Changes with Rates
118
Vega ($/%)
0
2,000
4,000
6,000
8,000
10,000
12,000
14,000
16,000
18,000
20,000
-100 -90 -80 -70 -60 -50 -40 -30 -20 -10 0 10 20 30 40 50 60 70 80 90 100
Rate shifts (basis points)
Luc_Faucheux_2020
Skew Exposure: Vanna
119
• The Vanna is the slope of Vega, positive below the strike,
negative above the strike
• If rates increase, we get closer to the strike for high strike
options, the Vega increases (positive Vanna)
• If rates increase, we get further away from the strike for low
strike options, the Vega decreases (negative Vanna)
• High strike options and low strike options have opposite
exposure to the skew
Luc_Faucheux_2020
120
Vanna, Skew, Correlation exposure.
Vanna ($/%/bp)
-300
-200
-100
0
100
200
300
400
-95 -85 -75 -65 -55 -45 -35 -25 -15 -5 5 15 25 35 45 55 65 75 85 95
Rate shifts (basis points)
Luc_Faucheux_2020
121
Vanna.
¨ The Vanna is the slope of Vega, positive below the strike, negative above the strike.
¨ High strike options and low strike options have opposite exposure to the skew.
Luc_Faucheux_2020
122
Vanna.
( )
( )Delta
F
C
F
C
Vanna
F
CC
F
Vega
F
Vanna
sss
ss
¶
¶
=÷
ø
ö
ç
è
æ
¶
¶
¶
¶
=
¶¶
¶
=
¶¶
¶
=÷
ø
ö
ç
è
æ
¶
¶
¶
¶
=
¶
¶
=
2
2
•Vanna
= Change in Vega when rates change.
= Change in Delta when Volatility changes.
Luc_Faucheux_2020
123
Skew premium and correlation.
1) How does the Vega change with the underlying ?
2) How does the volatility s change with the underlying ?
- Historical
- Implied
Luc_Faucheux_2020
124
Changes in rates and volatility.
From the model:
Vega is maximum for At-The-Money options.
– Vanna is positive below the strike.
– Vanna is negative above the strike.
From the market:
Suppose that rates and volatility are negatively correlated.
– When rates increase, yield vol decreases.
– When rates decrease, yield vol increases.
Luc_Faucheux_2020
125
1year-1year swaption : yield vol vs. ATM rates
1y1y swaption
Correlation ~ -0.9
0
10
20
30
40
50
60
70
2 3 4 5 6 7 8
ATM forward (%)
yieldvol(%)
Luc_Faucheux_2020
126
5year-5year swaption : yield vol vs. ATM rates
5y5y swaption
Correlation ~ -0.5
10
15
20
25
30
5 5.5 6 6.5 7 7.5 8
ATM forward (%)
yieldvol(%)
Luc_Faucheux_2020
127
A normal world?
Corelation between forward rates and implied normal volatility (past 360 days).
1 2 3 4 5 7 10 15 20 30
1y 2y 3y 4y 5y 7y 10y 15y 20y 30y
1m 0.64 0.49 0.35 0.23 0.07 0.09 0.15 0.16 0.13 0.11
3m 0.72 0.56 0.42 0.28 0.06 0.08 0.15 0.14 0.11 0.09
6m 0.68 0.47 0.35 0.20 0.00 0.01 0.11 0.15 0.08 0.00
1y 0.41 0.22 0.03 -0.08 -0.22 -0.16 -0.03 0.01 0.07 -0.07
18m 0.18 -0.02 -0.13 -0.20 -0.28 -0.20 -0.03 0.05 0.09 -0.08
2y -0.18 -0.19 -0.22 -0.25 -0.29 -0.21 0.00 0.11 0.12 -0.08
3y -0.13 -0.13 -0.13 -0.12 -0.18 -0.09 0.12 0.13 0.10 -0.09
4y -0.04 -0.05 -0.06 -0.09 -0.12 -0.02 0.18 0.18 0.12 -0.09
5y 0.05 0.02 -0.02 -0.05 -0.08 0.03 0.22 0.17 0.07 -0.09
7y 0.04 0.01 -0.02 -0.01 0.00 0.09 0.22 0.19 0.05 -0.11
10y 0.15 0.17 0.14 0.14 0.11 0.14 0.23 0.08 0.06 -0.21
Luc_Faucheux_2020
128
A normal world?
Corelation between forward rates and implied lognormal volatility (past 360 days).
1 2 3 4 5 7 10 15 20 30
1y 2y 3y 4y 5y 7y 10y 15y 20y 30y
1m -0.46 -0.77 -0.81 -0.82 -0.81 -0.73 -0.60 -0.51 -0.44 -0.45
3m -0.57 -0.83 -0.87 -0.89 -0.90 -0.84 -0.74 -0.67 -0.60 -0.61
6m -0.74 -0.90 -0.92 -0.93 -0.93 -0.90 -0.83 -0.79 -0.73 -0.74
1y -0.90 -0.96 -0.96 -0.96 -0.97 -0.95 -0.92 -0.87 -0.81 -0.84
18m -0.94 -0.97 -0.97 -0.96 -0.97 -0.95 -0.92 -0.87 -0.81 -0.84
2y -0.98 -0.97 -0.97 -0.96 -0.96 -0.95 -0.91 -0.85 -0.80 -0.83
3y -0.96 -0.95 -0.94 -0.95 -0.94 -0.92 -0.87 -0.79 -0.75 -0.81
4y -0.93 -0.92 -0.92 -0.92 -0.93 -0.90 -0.82 -0.72 -0.69 -0.79
5y -0.90 -0.90 -0.91 -0.91 -0.91 -0.87 -0.77 -0.67 -0.67 -0.77
7y -0.83 -0.83 -0.82 -0.81 -0.82 -0.76 -0.64 -0.59 -0.64 -0.75
10y -0.58 -0.58 -0.58 -0.58 -0.60 -0.53 -0.44 -0.51 -0.58 -0.75
Luc_Faucheux_2020
129
A lognormal world?
Corelation between forward rates and implied normal volatility (past 20 days).
1 2 3 4 5 7 10 15 20 30
1y 2y 3y 4y 5y 7y 10y 15y 20y 30y
1m -0.46 -0.77 -0.81 -0.82 -0.81 -0.73 -0.60 -0.51 -0.44 -0.45
3m -0.57 -0.83 -0.87 -0.89 -0.90 -0.84 -0.74 -0.67 -0.60 -0.61
6m -0.74 -0.90 -0.92 -0.93 -0.93 -0.90 -0.83 -0.79 -0.73 -0.74
1y -0.90 -0.96 -0.96 -0.96 -0.97 -0.95 -0.92 -0.87 -0.81 -0.84
18m -0.94 -0.97 -0.97 -0.96 -0.97 -0.95 -0.92 -0.87 -0.81 -0.84
2y -0.98 -0.97 -0.97 -0.96 -0.96 -0.95 -0.91 -0.85 -0.80 -0.83
3y -0.96 -0.95 -0.94 -0.95 -0.94 -0.92 -0.87 -0.79 -0.75 -0.81
4y -0.93 -0.92 -0.92 -0.92 -0.93 -0.90 -0.82 -0.72 -0.69 -0.79
5y -0.90 -0.90 -0.91 -0.91 -0.91 -0.87 -0.77 -0.67 -0.67 -0.77
7y -0.83 -0.83 -0.82 -0.81 -0.82 -0.76 -0.64 -0.59 -0.64 -0.75
10y -0.58 -0.58 -0.58 -0.58 -0.60 -0.53 -0.44 -0.51 -0.58 -0.75
Luc_Faucheux_2020
130
A lognormal world?
Corelation between forward rates and implied lognormal volatility (past 20 days).
1y 2y 3y 4y 5y 7y 10y 15y 20y 30y
1m 0.49 0.58 0.54 0.47 0.43 0.53 0.63 0.69 0.75 0.45
3m 0.40 0.54 0.56 0.53 0.48 0.64 0.72 0.75 0.75 0.18
6m 0.54 0.43 0.33 0.27 0.13 0.38 0.47 0.63 0.63 -0.01
1y 0.53 0.30 -0.13 -0.26 -0.41 -0.22 -0.07 0.17 0.37 0.49
18m 0.14 0.02 -0.25 -0.37 -0.44 -0.29 -0.05 0.27 0.42 0.51
2y -0.36 -0.28 -0.27 -0.32 -0.37 -0.23 0.03 0.41 0.54 0.58
3y -0.38 -0.24 -0.18 -0.14 -0.17 -0.06 0.03 0.25 0.37 0.42
4y -0.21 -0.13 -0.04 -0.07 -0.17 -0.16 0.06 0.07 0.27 0.28
5y -0.31 -0.18 -0.26 -0.25 -0.28 -0.17 -0.09 0.09 0.18 0.17
7y -0.27 -0.12 -0.17 -0.18 -0.17 -0.11 -0.04 -0.10 0.06 0.16
10y 0.00 0.10 0.08 0.21 0.31 0.19 0.16 -0.04 0.18 0.12
Luc_Faucheux_2020
131
High strike option : negative skew
¨ Suppose that we are long a high strike option:
¨ When rates increase : - Vega increases.
- Yield volatility decreases. We get
longer Vega when s decreases.
¨ When rates decrease : - Vega decreases.
- Yield volatility increases. We get
shorter Vega when s increases.
“SELL LOW, BUY HIGH”
Luc_Faucheux_2020
132
Low strike option : positive skew
¨ Suppose that we are long a low strike option:
¨ When rates increase : - Vega decreases.
- Yield volatility decreases. We
get shorter Vega when s decreases.
¨ When rates decrease : - Vega increases.
- Yield volatility increases. We get
longer Vega when s increases.
“BUY LOW, SELL HIGH”
Luc_Faucheux_2020
Skew premium
133
Position Rates Vega Volatility Hedge P/L ?
Sell
Long Vanna
(long high strike)
Buy
Buy
Short Vanna
(long low strike) Sell
¨ If rates and volatility are negatively correlated:
Luc_Faucheux_2020
134
It pays to be long low strike, short high strike.
• High strike options have positive Vanna.
• Low strike options have negative Vanna.
• When rates and yield vol are negatively correlated, it pays
to be long options with negative Vanna (buy low strikes, sell
high strikes).
Luc_Faucheux_2020
135
Skew and smile.
¨ Skew / Vanna / Correlation.
¨ Smile / Volga / Stochastic volatility.
÷
ø
ö
ç
è
æ
¶
¶
F
Vega
÷
ø
ö
ç
è
æ
¶
¶
s
Vega
Luc_Faucheux_2020
136
Higher order derivatives.
¨ It’s all Taylor expansion….
¨ Check out N. Taleb “Dynamic Hedging”.
¨ Spreading options will cause the emergence of higher order effects in the portfolio….
Luc_Faucheux_2020
137
Bonds and Swaps, reloaded.
¨ Wait a minute! Bond prices are convex!
¨ Discount factors are convex too!
¨ So… why can I neglect the convexity (volatility) when pricing a swap?
¨ I am still confused…..
Luc_Faucheux_2020
138
Bonds and Swaps, reloaded.
¨ Wait a minute! Bond prices are convex!
¨ Discount factors are convex too!
¨ So… why can I neglect the convexity (volatility) when pricing a swap?
¨ I am still confused…..
ARBITRAGE !
Luc_Faucheux_2020
139
Arbitrage is related to Hedging.
¨ If you can hedge a complicated structure with simpler instruments, then the price of the
structure has to be equal to the total price of the simpler market instruments.
¨ If not, there is an arbitrage.
¨ Structure = Linear sum of market instruments.
Luc_Faucheux_2020
140
Hedging.
¨ Static Hedge vs. Dynamic Hedge.
¨ Complete Hedge vs. Partial Hedge.
– Delta Hedge.
– Vega Hedge.
– ….
Luc_Faucheux_2020
141
Risk and Arbitrage.
¨ If markets willing to always arbitrage market instruments against one another….
¨ All related instruments are equally risky, there is no arbitrage possible.
¨ Risk-free world, Risk-free measure, Risk-neutral probabilities.
¨ Arbitrage-free model.
Luc_Faucheux_2020
142
The convexity changes the Hedge.
¨ If the structure is convex with respect to the simpler market instruments..
¨ The weights will change.
¨ There is no static hedge, there is no complete hedge.
¨ The price of S will depend on the volatility!
Luc_Faucheux_2020
143
Convexity is relative, only Arbitrage is absolute.
¨ (1/x) is convex with respect to (x).
¨ (x) is convex with respect to (1/x).
¨ Bond prices are convex with respect to Bond yields.
¨ Bond yields are convex with respect to Bond prices.
¨ (the two-envelopes question)….
¨ We have to choose a baseline, an absolute reference point.
Luc_Faucheux_2020
144
Ab$olute reference.
¨ Ca$h.
¨ $1 in the Bank.
¨ Rolling numeraire.
¨ Di$count curve.
Luc_Faucheux_2020
145
The secret recipe: always follow the money.
¨ $1 in the Bank, and growing….
¨ Expected Future Value of $1 deposited in the Bank.
¨ The only thing you can trust: the discount curve! (time value of money).
¨ You can only arbitrage actual cash-flows.
¨ Only the discount curve is arbitrage-free.
Luc_Faucheux_2020
146
A Bond is a sum of Fixed cash flows.
¨ Remember? That’s why it’s called Fixed-Income.
¨ A Bond has zero convexity as a function of the discount factors.
¨ When pricing a Bond from the discount curve, there is no convexity adjustment, so you
don’t care about the volatility of the underlying.
¨ Bonds are easy to price!
Luc_Faucheux_2020
147
A swap is a linear sum of discount factors.
¨ A little harder to show.
¨ A swap has zero convexity as a function of the discount factors.
¨ When pricing a swap from the discount curve, there is no convexity adjustment, so you
don’t care about the volatility of the underlying.
¨ Swaps are easy to price!
Luc_Faucheux_2020
148
A forward rate has convexity?
¨ A forward rate is a convex function of the discount factor.
¨ The expected value of a forward rate is convexity adjusted.
¨ By the way, a FRAs (Forward Rate Agreement) has no convexity. (see below when pricing the
floating period of a swap)
Luc_Faucheux_2020
149
A future has convexity?
¨ Well,….Future Price = (100 – Forward Rate).
¨ If the forward rate is convex with respect to the discount factor, so is the Future Price.
¨ Future prices are tough to price!
¨ But easy to trade
Luc_Faucheux_2020
150
Bond price and Bond yields.
¨ Bond prices are convex with respect to bond yields.
¨ When pricing a Bond from the yield, there IS convexity, we need to take the yield volatility
into account.
¨ Again, when pricing a bond from the discounts, there is NO convexity.
Luc_Faucheux_2020
151
Options have convexity?
¨ Yes they do….
¨ So will callable bonds, callable swaps, mortgages, options on mortgages, credit options,
year-end bonuses,…
Luc_Faucheux_2020
A swap is a weighted basket of forwards: AT-THE-MONEY
¨ Consider a swap with swap rate R (at-the-money swap rate)
– Nfloat periods on the Float side with forecasted forward f(i)
– indexed by i, with
– daycount fraction DCF(i),
– discount D(i)
– Notional N(i)
– Nfixed periods on the Fixed side,
– indexed by j, with
– daycount fraction DCF(j),
– discount D(j)
– Notional N(j)
𝑃𝑉 𝐹𝐿𝑂𝐴𝑇 = )
"
𝐷𝐶𝐹 𝑖 . 𝐷 𝑖 . 𝑁 𝑖 . 𝑓 𝑖 = )
#
𝐷𝐶𝐹 𝑗 . 𝐷 𝑗 . 𝑁 𝑗 . 𝑅 = 𝑃𝑉(𝐹𝐼𝑋𝐸𝐷)
152
Luc_Faucheux_2020
Standard Swap periods
¨ On the fixed side, coupon payment at the end of the period
– Period start date (psj)
– Adjusted period start date (psj_adj)
– Period end date (pej)
– Adjusted period end date (pej_adj)
– Payment date (pmj)
– PV of a period 𝑃𝑉 𝑗 = 𝐷𝐶𝐹 𝑗 . 𝐷 𝑗 . 𝑁 𝑗 . 𝑅 = 𝐷𝐶𝐹 𝑝𝑠𝑗$%#, 𝑝𝑒𝑗_𝑎𝑑𝑗 . 𝐷 𝑝𝑚# . 𝑁 𝑗 . 𝑅
¨ On the float side, floating rate sets at the beginning of the period, and pays at the end (Libor in advance or
standard Libor swap, as opposed to Libor in arrears)
– PV of a period (swaplet) 𝑃𝑉 𝑖 = 𝐷𝐶𝐹 𝑖 . 𝐷 𝑖 . 𝑁 𝑖 . 𝑓 𝑖
– 𝐷𝐶𝐹 𝑖 = 𝐷𝐶𝐹 𝑝𝑠𝑖$%#, 𝑝𝑒𝑖$%# and 𝐷 𝑖 = 𝐷(𝑝𝑚𝑖)
– 𝐷 𝑝𝑒𝑖 = 𝐷 𝑝𝑠𝑖 ∗
&
&'()* +,",+." .0(")
or
– 𝐷𝐶𝐹 𝑝𝑒𝑖, 𝑝𝑠𝑖 . 𝑓 𝑖 = [1 −
( +."
( +,"
]
153
Luc_Faucheux_2020
Zero coupon bonds on today’s curve with zero volatility
¨ Zero-coupon bonds 𝑃 𝑡&, 𝑡3 = 𝐷 𝑡&, 𝑡3 = ⁄𝐷(𝑡3) 𝐷(𝑡&)
¨ “𝑃 𝑡&, 𝑡3 is the price at time 𝑡&of a zero-coupon bond maturing at time 𝑡3”
¨ “𝑃 𝑡&, 𝑡3 is the price at time 𝑡&of a risk-free zero-coupon bond with principal $1 maturing at time 𝑡3”
¨ IT SHOULD REALLY SAY : “Using today’s discount curve at time 𝑡4, 𝑃 𝑡&, 𝑡3 is the price of a risk-free zero-
coupon bond with principal $1 maturing at time 𝑡3, and the value of that price has been forward
discounted to time 𝑡&, again using today’s discount curve”
¨ People love the zero coupon bonds, in many cases they make those the stochastic drivers of the rates
model (HJM for example)
154
Luc_Faucheux_2020
Expected Values in a non deterministic world
¨ Simply compounded spot interest rate: 𝐿(𝑡&, 𝑡3)
¨ 𝐿 𝑡&, 𝑡3 =
&56(7!,7")
%80 7!,7" .6(7!,7")
or more simply 𝑃 𝑡&, 𝑡3 =
&
&'%80 7!,7" .9(7!,7")
¨ Related to how to roll the curve forward at zero volatility,
¨ Method 2
– Compute the discount factors curve
– Divide all discount factors by the overnight d(t0,t1)=d(t1)
– Use new discount factor curve starting at t1
¨ So at zero volatility, when t goes from t0 to t1, the price of a zero discount bonds 𝑃 𝑡&, 𝑡3 is unchanged:
𝑃 𝑡8, 𝑡&, 𝑡3 = 𝑃 0, 𝑡&, 𝑡3 where 𝑡8 is the “curve” time in the future.
¨ NOW, if the volatility is non zero, 𝑃 1, 𝑡&, 𝑡3 ≠ 𝑃 0, 𝑡&, 𝑡3
¨ It is only true ON AVERAGE < 𝑃 1, 𝑡&, 𝑡3 >= 𝑃 0, 𝑡&, 𝑡3 or EXP 𝑃 1, 𝑡&, 𝑡3 = 𝑃 0, 𝑡&, 𝑡3 where EXP is
the Expected value (average).
¨ This is called the rolling numeraire or “bank account” numeraire: if you deposit 𝑃 0,0, 𝑡3 today to get $1
at time t2, ON AVERAGE you should also be able to invest 𝑃 0,0, 𝑡3 until time t1, then deposit it until
time t2 and still get $1
155
Luc_Faucheux_2020
Fixed Leg of a swap
¨ A fixed leg of a swap is a series of fixed cash flows.
¨ Now matter how the curve moves, ON AVERAGE the price of zero coupon bonds is conserved
¨ < 𝑃 𝑡8, 𝑡&, 𝑡3 > = 𝑃 0, 𝑡&, 𝑡3 and 𝑃 𝑡8, 𝑡&, 𝑡3 =
((7#,7")
((7#,7!)
¨ In particular when t2=t1+1, 𝑃 𝑡8, 𝑡&, 𝑡& + 1 =
((7#,7!'&)
((7#,7!)
= 𝑑(𝑡8, 𝑡&)
¨ So < 𝑃 𝑡8, 𝑡&, 𝑡& + 1 > = <
( 7#,7!'&
( 7#,7!
> = < 𝑑(𝑡8, 𝑡&)> = 𝑃 0, 𝑡&, 𝑡& + 1 = 𝑑(0, 𝑡&)
¨ Also by recurrence < 𝐷 1, 𝑡& > ∗ 𝑑 0,1 = 𝐷(0, 𝑡&) at time t=0
¨ At time t=1, 𝑑 1,2 is fixed and has zero volatility (will drop when t goes from 1 to 2)
¨ So < 𝐷 2, 𝑡& > ∗ 𝑑 1,2 = 𝐷(1, 𝑡&) at time t=1
¨ So at every point in the future, if you invest then a unit of currency and ”roll” it forward (bank
numeraire), the expected gain is today’s gain if you had entered into the same contract.
¨ Still another way to say, if you invest one unit of currency for a given length of time t, it is equivalent to
investing overnight and rolling the proceeds everyday (the arbitrage free framework does not take credit
into consideration)
156
Luc_Faucheux_2020
Floating leg of a swap
¨ A floating swaplet pays 𝐷𝐶𝐹 𝑖 . 𝑁 𝑖 . 𝑓 𝑖 and its PV is 𝑃𝑉 𝑖 = 𝐷𝐶𝐹 𝑖 . 𝐷 𝑖 . 𝑁 𝑖 . 𝑓 𝑖
¨ Where 𝐷𝐶𝐹 𝑝𝑒𝑖, 𝑝𝑠𝑖 . 𝑓 𝑖 = [1 −
( +."
( +,"
]
¨ We know from the fixed rate leg that < 𝐷 𝑖 >= 𝐷 𝑖 , but what about < 𝐷 𝑖 . 𝑓 𝑖 > ?
¨ Note, to be exact < 𝐷 𝑖 >= 𝐷 𝑖 should really read ∏7#:;7$
𝐸𝑋𝑃{𝑡8, 𝑑(𝑡8, 𝑡8 + 1)}, where
𝐸𝑋𝑃 𝑡8, 𝑑 𝑡8, 𝑡8 + 1 is the expected value of the overnight discount between the time (tc) and (tc+1),
observed up until time tc (because it drops off the curve after tc, and before tc, no matter where you
observe it, its expected value is equal to today’s value)
¨ 𝐸𝑋𝑃 𝑡8, 𝑑 𝑡8, 𝑡8 + 1 = 𝐸𝑋𝑃 𝑡 < 𝑡8, 𝑑 𝑡8, 𝑡8 + 1 = 𝑑(𝑡8 + 1)
¨ Back to < 𝐷 𝑖 . 𝑓 𝑖 > , there is a little trick
157
Luc_Faucheux_2020
Floating leg of a swap
¨ Because the forward f(i) sets at the beginning of the period, once we reach the period start, everything
is known about the payment, and it becomes a fixed cashflow.
¨ 𝑃𝑉 𝑖 = 𝐷𝐶𝐹 𝑖 . 𝐷 𝑖 . 𝑁 𝑖 . 𝑓 𝑖 = 𝐷𝐶𝐹 𝑖 . 𝑁 𝑖 . 𝐸𝑋𝑃 𝑝𝑠𝑖, 𝐷 𝑝𝑠𝑖 . 𝐸𝑋𝑃{𝑝𝑠𝑖, 𝐷 𝑝𝑠𝑖, 𝑝𝑒𝑖 . 𝑓 𝑖 }
¨ 𝐸𝑋𝑃 𝑝𝑠𝑖, 𝐷 𝑝𝑠𝑖 = 𝐷(𝑝𝑠𝑖)
¨ 𝐷𝐶𝐹 𝑖 . 𝐸𝑋𝑃 𝑝𝑠𝑖, 𝐷 𝑝𝑠𝑖, 𝑝𝑒𝑖 . 𝑓 𝑖 = 𝐸𝑋𝑃{𝑝𝑠𝑖,
()*(")
&'()* " .0(")
. 𝑓 𝑖 }
¨ Now, magic trick,
<
&'<
=
<'&5&
&'<
=
&'<5&
&'<
= 1 −
&
&'<
¨ So, 𝐸𝑋𝑃 𝑝𝑠𝑖,
()* "
&'()* " .0 "
. 𝑓 𝑖 = 𝐸𝑋𝑃 𝑝𝑠𝑖, 1 −
&
&'()* " .0 "
= 𝐸𝑋𝑃 𝑝𝑠𝑖, 1 − 𝑃 𝑝𝑠𝑖, 𝑝𝑠𝑖, 𝑝𝑒𝑖
¨ And because the price of zero coupon bond is respected:
¨ 𝐸𝑋𝑃 𝑝𝑠𝑖,
()* "
&'()* " .0 "
. 𝑓 𝑖 = 1 − 𝑃 0, 𝑝𝑠𝑖, 𝑝𝑒𝑖 = 1 −
&
&'()* " .0 "
=
()* "
&'()* " .0 "
. 𝑓 𝑖
158
Luc_Faucheux_2020
Quick summary
¨ In the rolling numeraire measure,
– PV of fixed cashflows are conserved (Expected value of a fixed cashflow as the curve evolves in a stochastic manner
over time will converge to the fixed amount at the payment date)
– Price of zero coupon bonds are conserved
– Price of bonds are conserved (the price of a bond will change over time, but ON AVERAGE the price you should be
willing to pay for this bond is the price you can compute today using today’s curve, because the price of a bond
exhibits no convexity with respect to the discount curve changing, AS LONG as the discount curve changes in a manner
that respect the Arbitrage free condition, that is that a contract where you invest X today to get Y at time T, is the same
(equivalent, on average), as any contract where you invest X today, get the proceeds at some point in time in the
future, then reinvest them until T.)
– This is either painfully obvious or really deep.
– The arbitrage free assumption does NOT know about credit
– The arbitrage free assumption does NOT know about individual utility function (also called time-indifferent, it assumes
that market participants are indifferent about receiving X today versus Y at time T, where the ratio Y/X is the price of
today zero coupon bond maturing at time T, and that price will be conserved over time)
– The Floating leg of a swap ALSO exhibit zero convexity against the discount factor curve, because it can be expressed as
a linear function of discount factors, thanks to the amazing trick x=x+1-1
¨ Other markets (equity, commodities,..) do NOT have such a strong underlying constraint that needs to be
respected.. In HJM for example, we will show that respecting the arbitrage enforces zero possible choice
for the drift, once the volatility is known, everything else is.
159
Luc_Faucheux_2020
Outstanding questions
¨ How do you incorporate credit and utility function? Do you do it after the fact? Do you keep the
arbitrage free framework?
¨ It was almost by chance that a regular swap PV can be expressed as a linear sum of discount factor.
What happens say if the rate for each period does not set at the beginning? Or does not line up with the
period dates? Will there be convexity then? Meaning that the PV of a swap will not be a linear function
of the discount factors, and when those will evolve over time, the expected value of the PV will not the
one computed on today’s curve. Note, again at the risk of sounding obvious that in that case today yield
curve is NOT sufficient in order to be able to price such a swap, in particular you will need information
about the future dynamics of rates (volatility, correlation if include in the model, skew,…)
¨ Do you really believe in an arbitrage free world in the first place?
¨ Do you view the arbitrage free framework as the first order solution in a more complicated expansion?
How stable is that first order?
¨ Your turn
160
Luc_Faucheux_2020
161
Can we hedge an option?
¨ Black-Scholes (1973)… Finally!
¨ A call can be continuously dynamically Delta hedged (*) with:
- a cash position.
- a position in the underlying.
¨ The portfolio (option + hedge) on average will return the risk-free rate.
¨ See the homework tonight.
(*) within the Black-Scholes world.
Luc_Faucheux_2020
Understanding Delta Hedging
$100
$90 with 50% probability
$110 with 50% probability
¨ Let’s use the example of a stock...
Luc_Faucheux_2020
How Much Should you Pay for the Call ?
¨ Call struck at $100 expiring tomorrow
Call = ?
$0 with 50% probability
$10 with 50% probability
Luc_Faucheux_2020
How Much do you Want to Pay for the Call ?
¨ Call = (1/2)*($10) + (1/2)*($0) = $5
Luc_Faucheux_2020
Call PL Without Delta Hedging
$5
$0 with 50% chance à (-$5)
$10 with 50% chance à (+$5)
Luc_Faucheux_2020
Can we Delta Hedge?
¨ If we are short one unit of stock we will make $10 if the market goes down, and lose $10 if
the market rallies
¨ We need to Delta hedge with half a unit of the stock
¨ Delta = 50%
Luc_Faucheux_2020
Understanding Risk Neutral Valuation
$100
$60 with 50% probability
$110 with 50% probability
¨ Let’s change the game…
Luc_Faucheux_2020
So How Much for this Call?
¨ Still $5? Well… the market has more of a chance of a bigger move, so the option should be
more valuable…
Luc_Faucheux_2020
The Beauty of Delta Hedging
P=C–D.S
P(down) = 0 – D.(-40)
P(up) = 10 – D.10
Luc_Faucheux_2020
Delta Hedging is Removing the Risk
P(up) = P(down)
10–D.10 = 0 – D.(-40)
D = (10/50) = 0.2
Luc_Faucheux_2020
Once we Know the Delta we Know the Option Price
P(up) = 10 – (0.2) x 10 = $8
P(down) = – (0.2) x (-40) = $8
The call is worth $8!
Luc_Faucheux_2020
A Few Remarks
¨ Delta hedging eliminates the exposure to the market
¨ Delta hedging reduces the variance of the PL, not the expected PL
¨ Once we know the Delta, we can calculate the option price (this is what Black and Scholes
did in 1973)
¨ Delta hedging generates positive PL when being long Gamma
Luc_Faucheux_2020
Risk Neutral World…
¨ Delta hedging brings us into a risk-neutral world
¨ If the call is worth $8, then the probabilities have to be 80% and 20%…
$100
$60 with 20% probability
$110 with 80% probability
Luc_Faucheux_2020
Risk Neutral Probabilities…
¨ These are the probabilities that make the expected value of the stock price $100 (risk-free
rate return)
¨ In a risk-neutral world, all assets return the risk-free rate
¨ Black-Scholes showed that Delta hedging implies that we have no choice for the option
price: we have to price the option using the risk-neutral probabilities (we have to place
ourselves in a risk-neutral world)
¨ Black-Sholes simultaneously solves for the delta and for the call price
¨ In that case the portfolio of the call and the Delta hedge will also return the risk-free rate…
(ONLY on average!)
Luc_Faucheux_2020
We Understood a lot!
¨ Portfolio replication
¨ Delta hedging
¨ Risk-neutral valuation
¨ Black-Scholes
Luc_Faucheux_2020
Delta Hedging is Good…
¨ It allows us to price an option (Black-Scholes)
¨ It reduces the PL variance
¨ It allows us to capture the Time Value of the option (lock-in the value of the option)
Luc_Faucheux_2020
Delta Hedging and Delta Re-Hedging
¨ Being long an option is being long convexity
¨ Being long an option is being long Gamma
¨ We will get longer the market when it rallies
¨ We will get shorter the market when it sells off
¨ When re-hedging…
¨ We will sell the market when it rallies (SELL HIGH)
¨ We will buy the market when it sells off (BUY LOW)
Luc_Faucheux_2020
Delta Hedging
¨ By re-hedging the option over time, we accumulate positive PL on the hedge…
¨ We also lose money from time decay
¨ Delta hedging allows us to realize the Time Value of the option
Luc_Faucheux_2020
Delta Hedging
¨ If the market moves more than the implied volatility at which we bought it, we will realize
more money in the Delta hedging than we will lose in time decay
¨ If the market moves less than the implied volatility at which we bought it, we will realize less
money in the Delta hedging than we will lose in time decay
(move more or less in the regions of high convexity)
Luc_Faucheux_2020
180
Quick summary (when do you have to come talk to your
favorite option trader and not to your swap trader).
¨ A bond is a linear sum of discount factors à Swaps.
¨ A FRA is a linear function of discount factors à Swaps.
¨ A future is a convex function of discount factors à Option (?!).
¨ A swap is a linear function of discount factors à Swaps.
¨ A swap resetting in arrears is convex à Option.
¨ A swap on a CMS index is convex à Option.
¨ FINALLY… an option is a convex payoff à Option (duh!).
¨ A swap denominated in USD dollars whose CSA (Credit Support Annex) states that the collateral is Euro cash,
with a zero floor embedded in the CSA
¨ A swap that is not at-the-money facing a risky counterparty
¨ A swap that is at-the-money facing a risky counterparty
Luc_Faucheux_2020
Black-Sholes revisited
¨ Ito lemma and Ito calculus
¨ Black Sholes derivation
¨ Issues around Black-Sholes
181
Luc_Faucheux_2020
Why this whole thing about Ito calculus?
¨ Hull – White chapters 13, 14 and 15
¨ People got excited about stock prices trading as a percentage (people expect a “return”),
p.306, and so what mattered was the return of the stock 𝑆, or ⁄∆𝑆 𝑆
¨ So then they started writing things like : 𝑑𝑆 = 𝜇. 𝑆. 𝑑𝑡 + 𝜎. 𝑆. 𝑑𝑧, (p.307)
¨ And then they got stuck, because 𝑑𝑥 = 𝑎 𝑥, 𝑡 . 𝑑𝑡 + 𝑏 𝑥, 𝑡 . 𝑑𝑧, where 𝑏 𝑥, 𝑡 is a function
of the stochastic variable 𝑥, is not something we know how to deal with (p.306, and no, it is
NOT a “small approximation” as they claim)
¨ So you need to use a ”guess” on how to deal with 𝑏 𝑥, 𝑡 , which is why it is called a “lemma”
¨ Ito (1951) guessed that you can write 𝑑𝑥 = 𝑎 𝑥, 𝑡 . 𝑑𝑡 + 𝑏 𝑥, 𝑡 . 𝑑𝑧
as ∆𝑥 = 𝑎 𝑥, 𝑡 . ∆𝑡 + 𝑏 𝑥, 𝑡 . ∆𝑧
or δ𝑥 = 𝑎 𝑥, 𝑡 . 𝛿𝑡 + 𝑏 𝑥, 𝑡 . 𝛿𝑧
¨ That seems like a good guess but then the rules of calculus are no longer applicable, you can
barely derive without making a mistake, and forget about trying to integrate (p. 311)
¨ Now you get this weird thing where 𝑑 𝑙𝑛𝑆 = ( ⁄𝑑𝑆 𝑆) − ( ⁄𝜎' 2). 𝑑𝑡, (p.312)
18
2
Luc_Faucheux_2020
Hull p.306, 10th edition
¨ Ito process
¨ A further type of stochastic process, known as an Ito process, can be defined. This is a
generalized Wiener process in which the parameters 𝑎 and 𝑏 are functions of the value of
the underlying variable 𝑥 and time 𝑡. An Ito process can therefore be written as:
𝑑𝑥 = 𝑎 𝑥, 𝑡 . 𝑑𝑡 + 𝑏 𝑥, 𝑡 . 𝑑𝑧
¨ Both the expected drift rate and variance rate of an Ito process are liable to change over
time. They are function of the current value of 𝑥 and the current time 𝑡. In a small time
interval between 𝑡 and 𝑡 + ∆𝑡 , the variable change from 𝑥 to (𝑥 + ∆𝑥), where:
∆𝑥 = 𝑎 𝑥, 𝑡 . ∆𝑡 + 𝑏 𝑥, 𝑡 . ∆𝑧
¨ This equation involves a small approximation. It assumes that the drift and variance rate of
x remains constant, equal to their values a time 𝑡, in the time interval between 𝑡 and
𝑡 + ∆𝑡 , even though during that time interval the variable 𝑥 has ”jumped” by ∆𝑥
¨ There is somewhat of a recursion in the above argument (Zeno’s arrow paradox)
¨ There is also the fact that the discrete version is NOT and approximation, it is a choice (Ito)
as opposed to an equally valid other choice (Stratonovitch for example)
183
Luc_Faucheux_2020
Hull p.329
¨ 𝑑𝑆 = 𝜇. 𝑆. 𝑑𝑡 + 𝜎. 𝑆. 𝑑𝑧
¨ We note 𝑓 the price of a derivative contingent on 𝑆, like the price of a call option.
¨ Applying Ito lemma within Ito calculus,
¨ 𝑑𝑓 𝑆, 𝑡 =
!(
!)
. 𝑑𝑆 +
!(
!#
𝑑𝑡 +
&
'
!!(
!)! . (𝑑𝑆)'+
&
'
!!(
!#! . (𝑑𝑡)'+
!!(
!#!)
. (𝑑𝑡. 𝑑𝑆) + 𝒪 …
¨ Expressing this in terms of the variables 𝑑𝑡 and 𝑑𝑧
¨ 𝑑𝑓 𝑆, 𝑡 =
!(
!)
. 𝜇. 𝑆. 𝑑𝑡 +
!(
!#
𝑑𝑡 +
&
'
!!(
!)! . 𝜎'. 𝑆'. 𝑑𝑡 +
!(
!)
. 𝜎. 𝑆. 𝑑𝑧
¨ 𝑑𝑓 𝑆, 𝑡 =
!(
!)
. 𝜇. 𝑆 +
!(
!#
+
&
'
!!(
!)! . 𝜎'. 𝑆' . 𝑑𝑡 +
!(
!)
. 𝜎. 𝑆. 𝑑𝑧
184
Luc_Faucheux_2020
Hull p.330
¨ 𝑑𝑓 𝑆, 𝑡 =
!(
!)
. 𝜇. 𝑆 +
!(
!#
+
&
'
!!(
!)! . 𝜎'. 𝑆' . 𝑑𝑡 +
!(
!)
. 𝜎. 𝑆. 𝑑𝑧
¨ This is the SDE that 𝑓 𝑆, 𝑡 follows
¨ The term in front of the stochastic driver is quite complicated:
!(
!)
. 𝜎. 𝑆
¨ What if we were to create a portfolio composed of this contingent claim 𝑓 𝑆, 𝑡 and some
units of the underlying stock 𝑆?
¨ More precisely let’s construct a portfolio Π = 𝑓 − (𝐷𝑒𝑙𝑡𝑎). 𝑆
¨ Π = 𝑓 − (𝐷𝑒𝑙𝑡𝑎). 𝑆
¨ 𝑑Π = 𝑑𝑓 − (𝐷𝑒𝑙𝑡𝑎). 𝑑𝑆 and 𝑑𝑆 = 𝜇. 𝑆. 𝑑𝑡 + 𝜎. 𝑆. 𝑑𝑧
¨ 𝑑Π =
!(
!)
. 𝜇. 𝑆 +
!(
!#
+
&
'
!!(
!)! . 𝜎'. 𝑆' − 𝐷𝑒𝑙𝑡𝑎 . 𝜇. 𝑆 . 𝑑𝑡 + (
!(
!)
. 𝜎. 𝑆 − 𝐷𝑒𝑙𝑡𝑎 . 𝜎. 𝑆). 𝑑𝑧
185
Luc_Faucheux_2020
The beauty of Delta hedging: from SDE to PDE
¨ 𝑑Π =
!(
!)
. 𝜇. 𝑆 +
!(
!#
+
&
'
!!(
!)! . 𝜎'. 𝑆' − 𝐷𝑒𝑙𝑡𝑎 . 𝜇. 𝑆 . 𝑑𝑡 + (
!(
!)
. 𝜎. 𝑆 − 𝐷𝑒𝑙𝑡𝑎 . 𝜎. 𝑆). 𝑑𝑧
¨ If we fix 𝐷𝑒𝑙𝑡𝑎 =
!(
!)
, we then obtain
¨ 𝑑Π =
!(
!#
+
&
'
!!(
!)! . 𝜎'. 𝑆' . 𝑑𝑡
¨ This is NOT and SDE anymore !! Does not depend on 𝑑𝑧. Does not depend on 𝜇
¨ This is wonderful, we do not have to worry about Ito, Stratonovitch, and all that stochastic
calculus that no one understands (well we still do because as soon as we change the
function we will still have to deal with Ito lemma)
¨ The portfolio is “riskless”, the change in the value of the portfolio does not depends on the
risk driver 𝑑𝑧
¨ Because the portfolio is “riskless”, it should return the same rate as the risk-free rate 𝑟
¨ 𝑑Π = 𝑟. Π . 𝑑𝑡
186
Luc_Faucheux_2020
The final diffusion equation
¨ 𝑑Π =
!(
!#
+
&
'
!!(
!)! . 𝜎'. 𝑆' . 𝑑𝑡
¨ 𝑑Π = 𝑟. Π . 𝑑𝑡
¨ Π = 𝑓 − 𝐷𝑒𝑙𝑡𝑎 . 𝑆 = 𝑓 −
!(
!)
. 𝑆
¨
!(
!#
+
&
'
!!(
!)! . 𝜎'. 𝑆' = 𝑟. (𝑓 −
!(
!)
. 𝑆)
¨
!(
!#
+ 𝑟. 𝑆.
!(
!)
+
&
'
!!(
!)! . 𝜎'. 𝑆' = 𝑟. 𝑓
¨ This is the Black-Sholes-Merton equation.
¨ It is a diffusion equation, subject to the proper boundary conditions
¨ for a call, at maturity 𝑡 = 𝑇, 𝑓 𝑆, 𝑇 = 𝑀𝐴𝑋(𝑆 − 𝐾, 0)
187
Luc_Faucheux_2020
An example of going back and checking our assumptions
¨ Hold on a second, 𝐷𝑒𝑙𝑡𝑎 =
!(
!)
, and so is ALSO a function of 𝑆 and 𝑡
¨ Π = 𝑓 − (
!(
!)
). 𝑆
¨ 𝑑Π = 𝑑𝑓 −
!(
!)
. 𝑑𝑆 − 𝑆. 𝑑(
!(
!)
(𝑆, 𝑡))
¨ 𝑑Π = 𝑑𝑓 −
!(
!)
. 𝑑𝑆 − 𝑆. {
!!(
!)! . 𝑑𝑆 +
!!(
!)!#
. 𝑑𝑆. 𝑑𝑡 +
&
'
.
!=(
!)= . 𝑑𝑆. 𝑑𝑆}
¨ 𝑑Π =
!(
!)
. 𝜇. 𝑆 +
!(
!#
+
&
'
!!(
!)! . 𝜎'. 𝑆' . 𝑑𝑡 +
!(
!)
. 𝜎. 𝑆. 𝑑𝑧 −
!(
!)
. 𝑑𝑆 − 𝑆. {
!!(
!)! . 𝑑𝑆 +
!!(
!)!#
. 𝑑𝑆. 𝑑𝑡 +
&
'
.
!=(
!)= . 𝑑𝑆. 𝑑𝑆}
¨ 𝑑Π =
!(
!)
. 𝜇. 𝑆 +
!(
!#
+
&
'
!!(
!)! . 𝜎'. 𝑆' . 𝑑𝑡 +
!(
!)
. 𝜎. 𝑆. 𝑑𝑧 −
!(
!)
. (𝜇. 𝑆. 𝑑𝑡 + 𝜎. 𝑆. 𝑑𝑧) −
𝑆. {
!!(
!)! . (𝜇. 𝑆. 𝑑𝑡 + 𝜎. 𝑆. 𝑑𝑧) +
&
'
.
!=(
!)= . 𝜎'. 𝑆'. 𝑑𝑡}
188
Luc_Faucheux_2020
We just made things worse
¨ 𝑑Π =
!(
!#
+
&
'
!!(
!)! . 𝜎'. 𝑆' . 𝑑𝑡 − 𝑆. {
!!(
!)! . (𝜇. 𝑆. 𝑑𝑡 + 𝜎. 𝑆. 𝑑𝑧) +
&
'
.
!=(
!)= . 𝜎'. 𝑆'. 𝑑𝑡}
¨ Argghh !!!! It is still and SDE with now higher order terms.
¨ In particular
!!(
!)! . (𝜎. 𝑆. 𝑆). 𝑑𝑧, and now also a
!=(
!)= ???
¨ So this is really not working as we hoped
189
Luc_Faucheux_2020
So what is wrong ?
¨ Footnote in Hull p.330
¨ This derivation in equation (15.16) is not completely rigorous. We need to justify ignoring
the changes in
!(
!)
(𝑆, 𝑡) in the time interval between 𝑡 and 𝑡 + ∆𝑡 in equation (15.13). A
more rigorous derivation involves setting up a self-financing portfolio (i.e. a portfolio that
requires no infusion or withdrawal of money)
¨ The bottom line is : 𝑓 𝑆, 𝑡 is “truly” stochastic and the full Ito lemma applies
¨ 𝐷𝑒𝑙𝑡𝑎 =
!(
!)
(𝑆, 𝑡) is not truly stochastic because in practice, it is discrete, it is the amount
of hedge we put in the portfolio at a given point in time, and gets “re-balanced” to the new
value of
!(
!)
(𝑆 + ∆𝑆, 𝑡 + ∆𝑡) , it does not move the way the underlier 𝑆 or the contingent
claim 𝑓(𝑆, 𝑡) evolves
¨ It is still less than satisfying as a rigorous answer
190
Luc_Faucheux_2020
Hull p.329
¨ The stock price follows the process 𝑑𝑆 = 𝜇. 𝑆. 𝑑𝑡 + 𝜎. 𝑆. 𝑑𝑧
¨ The short selling of securities with full use of proceeds is permitted
¨ There are no transaction costs or taxes. All securities are perfectly divisible
¨ There are no dividends during the life of the derivative
¨ There are no riskless arbitrage opportunities
¨ Security trading is continuous and delta hedging is continuous
¨ The risk free rate of interest is constant and the same for all maturities
191
Luc_Faucheux_2020
Assumption I
¨ The stock price follows the process 𝑑𝑆 = 𝜇. 𝑆. 𝑑𝑡 + 𝜎. 𝑆. 𝑑𝑧
192
Luc_Faucheux_2020
Assumption II
¨ The short selling of securities with full use of proceeds is permitted
193
Luc_Faucheux_2020
Assumption III
¨ There are no transaction costs or taxes. All securities are perfectly divisible
194
Luc_Faucheux_2020
Assumption IV
¨ There are no dividends during the life of the derivative
¨ That could be incorporated using some simplifying assumptions.
¨ Usual assumption is that the asset (stock) receives a continuous and constant dividend yield
(𝐷𝑌)
¨ This means that over a time period (𝑑𝑡) the holder of the asset 𝑆 receives an amount
𝐷𝑌 . 𝑆. 𝑑𝑡
¨ let’s construct a portfolio Π = 𝑓 − (𝐷𝑒𝑙𝑡𝑎). 𝑆
¨ 𝑑Π =
!(
!)
. 𝑑𝑆 +
!(
!#
. 𝑑𝑡 +
&
'
!!(
!)! . 𝜎'. 𝑆'. 𝑑𝑡 − 𝐷𝑒𝑙𝑡𝑎 . 𝑑𝑆− 𝐷𝑒𝑙𝑡𝑎 .(DY).S.dt
¨ Compared to the previous : 𝑑Π =
!(
!)
. 𝑑𝑆 +
!(
!#
. 𝑑𝑡 +
&
'
!!(
!)! . 𝜎'. 𝑆'. 𝑑𝑡 − 𝐷𝑒𝑙𝑡𝑎 . 𝑑𝑆
195
Luc_Faucheux_2020
Assumption IV - b
¨ 𝑑Π =
!(
!)
. 𝜇. 𝑆 +
!(
!#
+
&
'
!!(
!)! . 𝜎'. 𝑆' − 𝐷𝑒𝑙𝑡𝑎 . 𝜇. 𝑆 . 𝑑𝑡 + (
!(
!)
. 𝜎. 𝑆 − 𝐷𝑒𝑙𝑡𝑎 . 𝜎. 𝑆). 𝑑𝑧
¨ Becomes
¨ 𝑑Π =
!(
!)
. 𝜇. 𝑆 +
!(
!#
+
&
'
!!(
!)! . 𝜎'. 𝑆' − 𝐷𝑒𝑙𝑡𝑎 . 𝜇. 𝑆 − 𝐷𝑒𝑙𝑡𝑎 . 𝐷𝑌 . 𝑆 . 𝑑𝑡 + (
!(
!)
. 𝜎. 𝑆 −
𝐷𝑒𝑙𝑡𝑎 . 𝜎. 𝑆). 𝑑𝑧
¨ If we fix 𝐷𝑒𝑙𝑡𝑎 =
!(
!)
, we then obtain
¨ 𝑑Π =.
!(
!#
+
&
'
!!(
!)! . 𝜎'. 𝑆' −
!(
!)
. 𝐷𝑌 . 𝑆 𝑑𝑡 = 𝑟. Π. 𝑑𝑡 = 𝑟(𝑓 −
!(
!#
. 𝑆). 𝑑𝑡
¨
!(
!#
+ 𝑟. 𝑆.
!(
!)
+
&
'
!!(
!)! . 𝜎'. 𝑆' = 𝑟. 𝑓 becomes
!(
!#
+ [𝑟 − 𝐷𝑌 ]. 𝑆.
!(
!)
+
&
'
!!(
!)! . 𝜎'. 𝑆' = 𝑟. 𝑓
196
Luc_Faucheux_2020
Assumption IV - c
¨ A constant dividend yield is akin to changing the risk-free rate 𝑟 to [𝑟 − 𝐷𝑌 ] but NOT
everywhere, only in the part of the equation that relates to the Delta hedging
¨ So essentially 𝑑𝑆 = 𝜇. 𝑆. 𝑑𝑡 + 𝜎. 𝑆. 𝑑𝑧 becomes 𝑑𝑆 = (𝜇 − 𝐷𝑌 ). 𝑆. 𝑑𝑡 + 𝜎. 𝑆. 𝑑𝑧
¨ Or in the risk neutral valuation that was possible from Delta hedging
¨ 𝑑𝑆 = 𝑟. 𝑆. 𝑑𝑡 + 𝜎. 𝑆. 𝑑𝑧 becomes 𝑑𝑆 = (𝑟 − 𝐷𝑌 ). 𝑆. 𝑑𝑡 + 𝜎. 𝑆. 𝑑𝑧
¨ BUT this is only an adjustment to the stock price process (the portfolio as other riskless
securities will still return the risk-free 𝑟)
197
Luc_Faucheux_2020
Assumption V
¨ There are no riskless arbitrage opportunities
198
Luc_Faucheux_2020
Assumption VI
¨ Security trading is continuous and delta hedging is continuous
¨ It is not clear what “continuous” actually means even though is it being used quite a lot in
textbooks.
¨ We know for a fact that we need to write something like 𝐷𝑒𝑙𝑡𝑎 =
!(
!)
¨ But also we treat 𝐷𝑒𝑙𝑡𝑎 as a ”constant” over the stochastic jump
¨ So we mathematically did NOT treat 𝐷𝑒𝑙𝑡𝑎 as a full stochastic variable, or a continuous
Brownian process even though we are using Ito lemma on 𝑓 𝑆, 𝑡
199
Luc_Faucheux_2020
Assumption VII
¨ The risk free rate of interest is constant and the same for all maturities
200
Luc_Faucheux_2020
Risk-Neutral probabilities
¨ If we fix 𝐷𝑒𝑙𝑡𝑎 =
!(
!)
, we then obtain 𝑑Π =
!(
!#
+
&
'
!!(
!)! . 𝜎'. 𝑆' . 𝑑𝑡 = 𝑟. Π . 𝑑𝑡
¨ This is NOT and SDE anymore !! Does not depend on 𝑑𝑧. Does not depend on 𝜇
¨ So the option price follows an equation that does NOT depend on the drift 𝜇 anymore
¨ It will depend on the risk-free rate 𝑟
¨ In a way different people could have different estimate for the drift of the stock, they will
still agree on the same option price, and will have to use the risk-free drift (risk neutral
probabilities) to value the option.
¨ This is seen again in the currency options, where traders in each of their native currencies
(numeraire) will obviously have different local risk free rates, yet will agree on the option
price on the currency pair (“2-countries paradox”)
201
Luc_Faucheux_2020
Delta hedging
¨ Delta hedging does not change the expected profit, it changes the distribution of tose
expected profit
¨ Delta hedging brings the option price into the risk-neutral world (does not depend on the
drift (𝜇. 𝑆) anymore
¨ The Delta hedging argument assumes that “rebalancing” is possible at no cost
202
Luc_Faucheux_2020
Changing the variables in order to simplify the problem
𝜕𝑓
𝜕𝑡
+ 𝑟. 𝑆.
𝜕𝑓
𝜕𝑆
+
1
2
𝜕' 𝑓
𝜕𝑆' . 𝜎'. 𝑆' = 𝑟. 𝑓
¨ Because we are receiving the payoff at time 𝑡 = 𝑇, it seems natural to write
¨ 𝑓 𝑆, 𝑡 = 𝑔(𝑆, 𝑡)𝑒*+(-*#)
¨ This only changes the derivatives with respect to time
¨
!(
!#
=
!/
!#
. 𝑒*+(-*#) + 𝑟. 𝑓 𝑆, 𝑡
¨
!(
!)
=
!/
!)
. 𝑒*+(-*#)
¨
!!(
!)! =
!!/
!)! . 𝑒*+(-*#)
¨
!/
!#
. 𝑒*+(-*#) + 𝑟. 𝑓 𝑆, 𝑡 + 𝑟. 𝑆.
!/
!)
. 𝑒*+(-*#) +
&
'
!!/
!)! . 𝑒*+(-*#). 𝜎'. 𝑆' = 𝑟. 𝑓
203
Luc_Faucheux_2020
Simplifying the Black Sholes equation II
¨
!/
!#
. 𝑒*+(-*#) + 𝑟. 𝑓 𝑆, 𝑡 + 𝑟. 𝑆.
!/
!)
. 𝑒*+(-*#) +
&
'
!!/
!)! . 𝑒*+(-*#). 𝜎'. 𝑆' = 𝑟. 𝑓
¨
!/
!#
+ 𝑟. 𝑆.
!/
!)
+
&
'
!!/
!)! . 𝜎'. 𝑆' = 0
¨ Looks nicer
¨ Because we are looking at something that is going to diffuse “backward” from the payoff at
expiry, again it seems natural to put ourselves in the time frame 𝜏 = 𝑇 − 𝑡
¨
!/
!#
+ 𝑟. 𝑆.
!/
!)
+
&
'
!!/
!)! . 𝜎'. 𝑆' = 0
¨
!/
!0
= 𝑟. 𝑆.
!/
!)
+
&
'
!!/
!)! . 𝜎'. 𝑆'
¨ Starting to look like a diffusion equation except for a first order term (drift)
204
Luc_Faucheux_2020
Simplifying the Black Sholes equation III
𝜕𝑔
𝜕𝜏
= 𝑟. 𝑆.
𝜕𝑔
𝜕𝑆
+
1
2
𝜕' 𝑔
𝜕𝑆' . 𝜎'. 𝑆'
¨ The diffusion coefficient scales as the square of the asset
¨ So clearly we would like to simplify that and have something like
!!/
!)! . 𝑆'~𝑐𝑡𝑒
¨ So
!!/
!)! ~𝑆*', which reminds us of
!/
!)
~𝑆*&, and 𝑔~𝐿𝑛(𝑆)
¨ So let’s have a new variable 𝜉 = 𝐿𝑛(𝑆)
¨
!/
!)
=
!/
!1
.
&
)
=
!/
!1
. 𝑒*1
¨
!!/
!)! =
!
!)
.
!/
!)
=
!
!)
.
!/
!1
.
&
)
=
*&
)! .
!/
!1
+
&
)
.
!
!)
.
!/
!1
=
*&
)! .
!/
!1
+
&
)
.
!!/
!1! .
&
)
¨
!!/
!)! = −
!/
!1
. 𝑒*'1 +
!!/
!1! . 𝑒*'1
205
Luc_Faucheux_2020
Simplifying the Black Sholes equation IV
¨
!/
!0
= 𝑟. 𝑆.
!/
!)
+
&
'
!!/
!)! . 𝜎'. 𝑆' with 𝜉 = 𝐿𝑛(𝑆)
¨
!/
!)
=
!/
!1
.
&
)
=
!/
!1
. 𝑒*1
¨
!!/
!)! = −
!/
!1
. 𝑒*'1 +
!!/
!1! . 𝑒*'1
¨
!/
!0
= (𝑟 −
&
'
. 𝜎').
!/
!1
+
&
'
!!/
!1! . 𝜎'
¨ Note that this is a little more nicely symmetrical around 0 as if 𝑆 ∈ [0, +∞] we now have
ξ ∈ [−∞, +∞]
¨ Note also that now the coefficients of this equation are NOT function of the variable ξ
¨ We are certainly getting somewhere
206
Luc_Faucheux_2020
Simplifying the Black Sholes equation V
𝜕𝑔
𝜕𝜏
= (𝑟 −
1
2
. 𝜎').
𝜕𝑔
𝜕𝜉
+
1
2
𝜕' 𝑔
𝜕𝜉' . 𝜎'
¨ We would like to get rid of the first term (first order or also drift)
¨ If there was no second term (diffusive term), the equation would just read
¨
!/
!0
= (𝑟 −
&
'
. 𝜎').
!/
!1
, which if we note 𝑅2 = (𝑟 −
&
'
. 𝜎'), indicates that we should look for
something like 𝑥 = 𝜉 + 𝑅2. τ for a function ℎ(𝜏, 𝑥)
¨ More formally we want to got from 𝑔(𝜏, 𝜉) to ℎ(𝜏3, 𝑥) where:
¨ d
𝜏3 = 𝜏
𝑥 = 𝜉 + 𝑅2. τ
207
Luc_Faucheux_2020
Simplifying the Black Sholes equation VI
𝜕𝑔
𝜕𝜏
= (𝑟 −
1
2
. 𝜎').
𝜕𝑔
𝜕𝜉
+
1
2
𝜕' 𝑔
𝜕𝜉' . 𝜎'
¨ 𝑔 𝜏, 𝜉 = ℎ(𝜏3, 𝑥)
¨ 𝜏3 = 𝜏
!03
!0
= 1
!03
!1
= 0
¨ 𝑥 = 𝜉 + 𝑅2. τ
!4
!0
= 𝑅2
!4
!1
= 1
¨
!/
!0
=
!5
!03
.
!03
!0
+
!5
!4
.
!4
!0
=
!5
!03
+ 𝑅2.
!5
!4
¨
!/
!1
=
!5
!03
.
!03
!1
+
!5
!4
.
!4
!1
=
!5
!4
¨
!!/
!1! =
!
!1
.
!/
!1
=
!
!1
.
!5
!4
=
!
!0>
!5
!4
.
!03
!1
+
!
!4
!5
!4
.
!4
!1
=
!
!4
!5
!4
=
!!5
!4!
208
Luc_Faucheux_2020
Simplifying the Black Sholes equation VII
𝜕𝑔
𝜕𝜏
= (𝑟 −
1
2
. 𝜎').
𝜕𝑔
𝜕𝜉
+
1
2
𝜕' 𝑔
𝜕𝜉' . 𝜎'
¨ 𝑔 𝜏, 𝜉 = ℎ(𝜏3, 𝑥)
¨
!5
!03
+ 𝑅2.
!5
!4
= 𝑅2.
!5
!4
+
&
'
!!5
!4! . 𝜎'
𝜕ℎ
𝜕𝜏′
=
1
2
𝜕'ℎ
𝜕𝑥' . 𝜎'
¨ That is a nice looking diffusion equation with constant diffusion coefficients, we know how
to deal with it, we know a solution (Gaussian distribution), we can also use linearity
arguments (A linear combination of solutions is also a solution)
209
Luc_Faucheux_2020
Simplifying the Black Sholes equation VIII
𝜕𝑓
𝜕𝑡
+ 𝑟. 𝑆.
𝜕𝑓
𝜕𝑆
+
1
2
𝜕' 𝑓
𝜕𝑆' . 𝜎'. 𝑆' = 𝑟. 𝑓
¨ 𝑓 𝑆, 𝑡 = ℎ 𝜏3, 𝑥 . 𝑒*+(-*#)
¨ 𝜏′ = 𝑇 − 𝑡
¨ 𝑥 = 𝐿𝑛 𝑆 + (𝑟 −
&
'
. 𝜎')(𝑇 − 𝑡)
𝜕ℎ
𝜕𝜏′
=
1
2
𝜕'ℎ
𝜕𝑥' . 𝜎'
210
Luc_Faucheux_2020
Solution of the diffusion equation I
¨ We could use what we know about the diffusion equation and use the Gaussian function as
a solution.
¨ We can also keep changing the variables in order to check one more time that our math is
right
¨
!5
!0
=
&
'
!!5
!4! . 𝜎'
¨ We know that the Gaussian is only a function of a single variable that is itself a function of
the time and space (𝜏 and 𝑥), so we kind of cheat and look for something like :
¨ ℎ 𝜏, 𝑥 = 𝜏6. 𝜑((𝑥 − 𝑥7)/𝜏8)
¨ Where 𝛼, 𝛽and 𝑥7are constant, and we are dealing with a single variable function 𝜑
¨ In that case we hope to be dealing with an ODE (Ordinary Differential Equation) as opposed
to a PDE (Partial Differential Equation)
¨ Note that for sake of simplicity we dropped the ‘ and just use 𝜏 instead of 𝜏′
211
Luc_Faucheux_2020
Solution of the diffusion equation II
212
¨
!5
!0
=
&
'
𝜎' !!5
!4!
¨ ℎ 𝜏, 𝑥 = 𝜏6. 𝜑((𝑥 − 𝑥7)/𝜏8)
¨
!5
!0
= 𝛼. 𝜏6*&. 𝜑
4*4?
0@ − 𝜏6.
!
!0
(
4*4?
0@ ). 𝜑′
4*4?
0@
¨
!5
!0
= 𝛼. 𝜏6*&. 𝜑
4*4?
0@ − 𝜏6. 𝛽.
4*4?
0@AB . 𝜑′
4*4?
0@
¨
!5
!4
= 𝜏6. 𝜏*8. 𝜑′
4*4?
0@
¨
!!5
!4! = 𝜏6. 𝜏*8. 𝜏*8. 𝜑′′
4*4?
0@
¨ 𝛼. 𝜏6*&. 𝜑
4*4?
0@ − 𝜏6. 𝛽.
4*4?
0@AB . 𝜑′
4*4?
0@ =
&
'
𝜎'. 𝜏6. 𝜏*8. 𝜏*8. 𝜑′′
4*4?
0@
Luc_Faucheux_2020
Solution of the diffusion equation III
213
¨ Regrouping the terms we get:
¨ 𝛼. 𝜏6*&. 𝜑
4*4?
0@ − 𝜏6. 𝛽.
4*4?
0@AB . 𝜑′
4*4?
0@ =
&
'
𝜎'. 𝜏6. 𝜏*8. 𝜏*8. 𝜑′′
4*4?
0@
¨ 𝜏6*&. 𝛼. 𝜑
4*4?
0@ − 𝜏6*&. 𝛽.
4*4?
0@ . 𝜑′
4*4?
0@ =
&
'
𝜎'. 𝜏6. 𝜏*8. 𝜏*8. 𝜑′′
4*4?
0@
¨ 𝜏6*&{𝛼. 𝜑
4*4?
0@ − 𝛽.
4*4?
0@ . 𝜑′
4*4?
0@ } = 𝜏6*'8{
&
'
𝜎'. 𝜑′′
4*4?
0@ }
¨ So we would like to remove the terms that are powers of 𝜏, this would make things easier
¨ So if 𝛼 − 1 = 𝛼 − 2. 𝛽, or 𝛽 = 1/2, the equations simplifies to
¨ 𝛼. 𝜑
4*4?
0@ − 𝛽.
4*4?
0@ . 𝜑′
4*4?
0@ =
&
'
𝜎'. 𝜑′′
4*4?
0@
Luc_Faucheux_2020
Solution of the diffusion equation IV
214
¨ We also know from the diffusion part, that we are going to end up with something that is a
probability density function most likely, and so we would like the integral of this over space
for any given time to be a constant (=1), and be conserved.
¨ So this is clearly another constraint that we are at a liberty to enforce
¨ So C = ∫*9
:9
𝜏6. 𝜑
4*4?
0@ . 𝑑𝑥 should be a constant, and should not depend on time
¨ Doing (yet) another change of variable µ =
4*4?
0@
¨ 𝜑
4*4?
0@ . 𝑑𝑥 = 𝜑 𝜇 . 𝑑𝜇.
;4
;<
= 𝜑 𝜇 . 𝑑𝜇. 𝜏8
¨ C = ∫*9
:9
𝜏6. 𝜑
4*4?
0@ . 𝑑𝑥 = ∫*9
:9
𝜏6:8. 𝜑 𝜇 . 𝑑𝜇 = 𝜏6:8 . ∫*9
:9
. 𝜑 𝜇 . 𝑑𝜇
Luc_Faucheux_2020
Solution of the diffusion equation V
215
¨ And so
¨ C = ∫*9
:9
𝜏6. 𝜑
4*4?
0@ . 𝑑𝑥 = ∫*9
:9
𝜏6:8. 𝜑 𝜇 . 𝑑𝜇 = 𝜏6:8 . ∫*9
:9
. 𝜑 𝜇 . 𝑑𝜇
¨ We want to enforce the fact that C is a constant (the solution of the diffusion equation is
such that the density probability is conserved, i.e. we are not losing any particles, which can
happen in systems where for example there are what is called “absorbing boundaries”, or in
other systems like radioactive decays where the number of particles will actually change
with time)
¨ One way to achieve this is to set 𝛼 + 𝛽 = 0
¨ So we now have 𝛽 = 1/2 and α = −1/2
¨ 𝛼. 𝜑
4*4?
0@ − 𝛽.
4*4?
0@ . 𝜑′
4*4?
0@ =
&
'
𝜎'. 𝜑′′
4*4?
0@ can be now written as
¨ −𝜑
4*4?
0@ −
4*4?
0@ . 𝜑′
4*4?
0@ = 𝜎'. 𝜑′′
4*4?
0@
Luc_Faucheux_2020
Solution of the diffusion equation VI
216
¨ We have:
¨ −𝜑
4*4?
0@ −
4*4?
0@ . 𝜑′
4*4?
0@ = 𝜎'. 𝜑′′
4*4?
0@
¨ Using µ =
4*4?
0@ , it is easier to write as
¨ −𝜑 𝜇 − 𝜇. 𝜑′ 𝜇 = 𝜎'. 𝜑′′ 𝜇 , or using the usual notation for ordinary derivatives
¨ −𝜑 𝜇 − 𝜇.
;
;<
𝜑 𝜇 = 𝜎'.
;!
;<! 𝜑 𝜇
¨ −
;
;<
{𝜇. 𝜑 𝜇 } = 𝜎'.
;!
;<! 𝜑 𝜇
¨ 𝜎'.
;!
;<! 𝜑 𝜇 +
;
;<
𝜇. 𝜑 𝜇 = 0
Luc_Faucheux_2020
Solution of the diffusion equation VII
217
¨ We have:
¨ 𝜎'.
;!
;<! 𝜑 𝜇 +
;
;<
𝜇. 𝜑 𝜇 = 0
¨
;
;<
𝜎'.
;
;<
𝜑 𝜇 + 𝜇. 𝜑 𝜇 = 0
¨ 𝜎'.
;
;<
𝜑 𝜇 + 𝜇. 𝜑 𝜇 = 𝑐𝑡𝑒
¨ Let’s make our life easier and set the constant to 0
¨ 𝜎'.
;
;<
𝜑 𝜇 + 𝜇. 𝜑 𝜇 = 0
Luc_Faucheux_2020
Solution of the diffusion equation IX
218
¨ We have:
¨ 𝜎'.
;
;<
𝜑 𝜇 + 𝜇. 𝜑 𝜇 = 0
¨
;
;<
𝜑 𝜇 = −𝜎*'. 𝜇. 𝜑 𝜇 = 0
¨ 𝜑 𝜇 = A. exp
*<!
'%! + 𝐵 is a solution of this ODE
¨ Again to make our life easier we choose B=0
¨ 𝜑 𝜇 = A. exp
*<!
'%!
¨ We now choose A so that ∫*9
:9
𝜑 𝜇 . 𝑑𝜇 = 1
¨ ∫*9
:9
exp −𝜇' . 𝑑𝜇 = 2𝜋
Luc_Faucheux_2020
Solution of the diffusion equation X
219
¨ We have:
¨ ∫*9
:9
exp −𝜇' . 𝑑𝜇 = 2𝜋
¨ So 𝜑 𝜇 =
&
'=%!
. exp
*<!
'%! and µ =
4*4?
0@ with 𝛽 = 1/2
¨ 𝜑 𝑥, 𝑥2, 𝜏 =
&
'=%!
. exp
*(4*4C)!
'%!0
¨ ℎ 𝜏, 𝑥 = 𝜏6. 𝜑((𝑥 − 𝑥7)/𝜏8) with 𝛽 = 1/2 and α = −1/2
¨ ℎ 𝑥, 𝑥2, 𝜏 =
&
'=%!0
. exp
*(4*4C)!
'%!0
!5
!0
=
&
'
𝜎' !!5
!4!
¨ ℎ 𝑥, 𝑥′, 𝑡 =
&
>=?#
. 𝑒𝑥𝑝(−
(4*4>)!
>?#
) with 𝐷 = 𝜎'/2
!5
!#
= 𝐷' !!5
!4!
Luc_Faucheux_2020
Linearity and propagators I : the Dirac peak
220
¨ We have:
¨ ℎ 𝑥, 𝑥2, 𝜏 =
&
'=%!0
. exp
*(4*4C)!
'%!0
!5
!0
=
&
'
𝜎' !!5
!4!
¨ Limiting case of 𝜏 → 0
¨ Again as we saw when looking at the diffusion equation, saying that something “goes to 0” is
sometimes not enough, remember for a diffusive process we need to have to avoid
unbounded behaviors to have the space variable scale as the root square of the time
variable when going to the continuous limit of a discrete process (when the time step and
the jump both go to 0)
¨ BUT here we do not have such issues, because we are in the regular deterministic calculus
framework, we are looking at the solution of a PDE, and a regular function
¨ NEVERTHELESS, when 𝜏 → 0,
&
'=%!0
→ ∞, but exp
*(4*4C)!
'%!0
→ 0 faster than √𝜏 for any
𝑥 ≠ 𝑥2
Luc_Faucheux_2020
Linearity and propagators II : the Dirac peak
221
¨ We have:
¨ ℎ 𝑥, 𝑥2, 𝜏 =
&
'=%!0
. exp
*(4*4C)!
'%!0
→ δ(𝑥 − 𝑥2) when 𝜏 → 0
¨ The δ(𝑥 − 𝑥2) is called the Dirac function.
¨ It is 0 everywhere except at 𝑥 = 𝑥2
¨ Its integral over 𝑥 is still equal to 1
¨ ∫*9
:9
δ 𝑥 − 𝑥2 . 𝑑𝑥 = 1
¨ The value of δ(𝑥 − 𝑥2) at (𝑥 = 𝑥2) is “infinite” (it is the limit of
&
'=%!0
when 𝜏 → 0 so it
should be viewed as a limit of functions indexed by 𝜏)
¨ It is usually viewed as the “starting value” for the probability density function of a Brownian
process starting at 𝑥 = 𝑥2 at time 𝜏 = 0, which will diffuse into being at time
Luc_Faucheux_2020
Linearity and propagators III : the Dirac peak
222
¨ A useful property of the Dirac function is that
¨ ∫*9
:9
δ 𝑥 − 𝑥2 . 𝑑𝑥 = 1
¨ And so for any function Payoff(𝑥) we also have
¨ ∫*9
:9
δ 𝑥 − 𝑥2 . Payoff 𝑥 . 𝑑𝑥 = Payoff(𝑥2)
¨ Or presented in terms of limit
¨ lim
0→2
{∫*9
:9 &
'=%!0
. exp
*(4*4C)!
'%!0
. Payoff 𝑥 . 𝑑𝑥} = Payoff(𝑥2)
¨ lim
0→2
{∫*9
:9
ℎ(𝑥, 𝑥2, 𝜏). Payoff 𝑥 . 𝑑𝑥} = Payoff(𝑥2) with
!5
!0
=
&
'
𝜎' !!5
!4!
¨ In particular, the function {ℎ 𝑥, 𝑥2, 𝜏 . Payoff(𝑥2)} is a solution of the diffusion equation
since Payoff 𝑥2 is a constant
Luc_Faucheux_2020
Linearity and propagators IV : Re-casting the variables
223
¨ We have:
¨ lim
0→2
{∫*9
:9
ℎ(𝑥, 𝑥2, 𝜏). Payoff 𝑥 . 𝑑𝑥} = Payoff(𝑥2) with
!5
!0
=
&
'
𝜎' !!5
!4!
¨ 𝑓 𝑆, 𝑡 = ℎ 𝜏3, 𝑥 . 𝑒*+(-*#)
¨ 𝜏′ = 𝑇 − 𝑡
¨ 𝑥 = 𝐿𝑛 𝑆 + (𝑟 −
&
'
. 𝜎')(𝑇 − 𝑡)
¨
!(
!#
+ 𝑟. 𝑆.
!(
!)
+
&
'
!!(
!)! . 𝜎'. 𝑆' = 𝑟. 𝑓
¨ The boundary conditions were expressed as 𝑓 𝑆, 𝑇 = Payoff(𝑆)
¨ For example for a call struck at strike 𝐾, Payoff 𝑆 = 𝑀𝐴𝑋(𝑆 − 𝐾, 0)
Luc_Faucheux_2020
Linearity and propagators V : Re-casting the variables
224
¨ We have:
¨ lim
0→2
{∫*9
:9
ℎ(𝑥, 𝑥2, 𝜏). Payoff 𝑥 . 𝑑𝑥} = Payoff(𝑥2)
¨ ℎ 𝑥, 𝑥2, 𝜏 =
&
'=%!0
. exp
*(4*4C)!
'%!0
which is our special solution to the diffusion equation
¨ ℎ(𝑥, 𝜏) = ∫*9
:9
ℎ 𝑥, 𝑥2, 𝜏 . Payoff 𝑥2 . 𝑑𝑥2 is the general solution
¨ 𝑓 𝑆, 𝑡 = ℎ 𝜏3, 𝑥 . 𝑒*+(-*#)
¨ 𝜏′ = 𝑇 − 𝑡
¨ 𝑥 = 𝐿𝑛 𝑆 + (𝑟 −
&
'
. 𝜎')(𝑇 − 𝑡)
¨
!(
!#
+ 𝑟. 𝑆.
!(
!)
+
&
'
!!(
!)! . 𝜎'. 𝑆' = 𝑟. 𝑓 with 𝑓 𝑆, 𝑇 = Payoff(𝑆)
Luc_Faucheux_2020
Linearity and propagators VI : Re-casting the variables
225
¨ Note that Payoff 𝑥2 = Payoff 𝑥2, 𝑇 = 𝑡 = Payoff(𝑥2, 𝜏 = 0)
¨ ℎ(𝑥, 𝜏) = ∫*9
:9
ℎ 𝑥, 𝑥2, 𝜏 . Payoff 𝑥2, 𝜏 = 0 . 𝑑𝑥2 is the general solution
¨ 𝑓 𝑆, 𝑡 = ℎ 𝜏3, 𝑥 . 𝑒*+(-*#)
¨ 𝜏′ = 𝑇 − 𝑡
¨ 𝑥 = 𝐿𝑛 𝑆 + (𝑟 −
&
'
. 𝜎')(𝑇 − 𝑡), 𝑥2 = 𝐿𝑛 𝑆2
¨ 𝑓 𝑆, 𝑡 = 𝑒*+(-*#). ∫*9
:9
ℎ 𝑥, 𝑥2, 𝜏 . Payoff 𝑥2, 𝜏 = 0 . 𝑑𝑥2
¨ 𝑓 𝑆, 𝑡 = 𝑒*+(-*#). ∫*9
:9
ℎ 𝑥, 𝑥2, 𝜏 . Payoff 𝑆2, 𝜏 = 0 . 𝑑(𝐿𝑛(𝑆2))
¨ Note that it is natural to have the Payoff function expressed in term of the stock 𝑆2 rather
than the variable 𝑥2 = 𝐿𝑛 𝑆2
Luc_Faucheux_2020
Linearity and propagators VII : Re-casting the variables
226
¨ 𝑓 𝑆, 𝑡 = 𝑒*+(-*#). ∫*9
:9
ℎ 𝑥, 𝑥2, 𝜏 . Payoff 𝑆2, 𝜏 = 0 . 𝑑(𝐿𝑛(𝑆2))
¨ 𝑓 𝑆, 𝑡 = 𝑒*+(-*#). ∫*9
:9
ℎ 𝑥, 𝑥2, 𝜏 . Payoff 𝑆2 .
;)C
)C
¨ 𝑓 𝑆, 𝑡 = 𝑒*+(-*#). ∫*9
:9 &
'=%!0
. exp
*(4*4C)!
'%!0
. Payoff 𝑆2 .
;)C
)C
¨ 𝑓 𝑆, 𝑡 = 𝑒*+(-*#). ∫*9
:9 &
'=%!(-*#)
. exp
*(AB ) : +*
B
!
.%! -*# *AD )C )!
'%!(-*#)
. Payoff 𝑆2 .
;)C
)C
¨ 𝑓 𝑆, 𝑡 = 𝑒*+(-*#). ∫*9
:9 &
'=%!(-*#)
. exp
*(AB( ED
DC
): +*
B
!
.%! -*# *AD )C )!
'%!(-*#)
. Payoff 𝑆2 .
;)C
)C
Luc_Faucheux_2020
Linearity and propagators VII : Re-casting the variables
227
¨ 𝑓 𝑆, 𝑡 = 𝑒*+(-*#). ∫*9
:9
ℎ 𝑥, 𝑥2, 𝜏 . Payoff 𝑆2, 𝜏 = 0 . 𝑑(𝐿𝑛(𝑆2))
¨ 𝑓 𝑆, 𝑡 = 𝑒*+(-*#). ∫*9
:9
ℎ 𝑥, 𝑥2, 𝜏 . Payoff 𝑆2 .
;)C
)C
¨ 𝑓 𝑆, 𝑡 = 𝑒*+(-*#). ∫*9
:9 &
'=%!0
. exp
*(4*4C)!
'%!0
. Payoff 𝑆2 .
;)C
)C
¨ 𝑓 𝑆, 𝑡 = 𝑒*+(-*#). ∫*9
:9 &
'=%!(-*#)
. exp
*(AB ) : +*
B
!
.%! -*# *AD )C )!
'%!(-*#)
. Payoff 𝑆2 .
;)C
)C
¨ 𝑓 𝑆, 𝑡 = 𝑒*+(-*#). ∫*9
:9 &
'=%!(-*#)
. exp
*(AB( ED
DC
): +*
B
!
.%! -*# *AD )C )!
'%!(-*#)
. Payoff 𝑆2 .
;)C
)C
Luc_Faucheux_2020
Linearity and propagators IX :
228
¨ 𝑓 𝑆, 𝑡 = 𝑒*+(-*#). ∫*9
:9 &
'=%!(-*#)
. exp
*(AB( ED
DC
): +*
B
!
.%! -*# *AD )C )!
'%!(-*#)
. Payoff 𝑆2 .
;)C
)C
¨ This is the general version of the Black-Sholes equation
¨ Depending on the functional form of Payoff 𝑆2 , the integration can be done easily in closed
form, but sometimes not
¨ This demonstrates the diffusion “backward” of the terminal payoff function, or boundary
condition
¨ If the stock diffuses “forward”, the equivalent problem is the payoff diffusing backward
¨ Note: this is for the canonical Black-Sholes assuming lognormal distribution for the stock
¨ Similar derivation for a normal process (actually easier)
¨ Similar derivation for a jump process (Poisson instead of Gaussian)
Luc_Faucheux_2020
Black-Sholes in the Normal world
¨ For the sake of simplicity we will keep the same notation
¨ 𝑑𝑆 = 𝜇𝑆. 𝑑𝑡 + 𝜎DFGH. 𝑑𝑧
¨ BEAR in mind that the variables 𝜇 and 𝜎 have a very different meaning
¨ For example the units are different
¨ In a Lognormal model, 𝜎AFI is in (%/year) for an annualized volatility
¨ In a Normal model, 𝜎DFGH is in (UNIT(S)/year) for an annualized volatility
¨ For a stock denominated in $, 𝜎DFGH is in ($/year) for an annualized volatility
¨ For a rate denominated in basis points, 𝜎DFGH is in (bp/year) for an annualized volatility
¨ In practice, ALWAYS ask for the units of volatility
229
Luc_Faucheux_2020
Normal Black-Sholes II
¨ 𝑑𝑆 = 𝜇𝑆. 𝑑𝑡 + 𝜎D. 𝑑𝑧
¨ We note 𝑓 the price of a derivative contingent on 𝑆, like the price of a call option.
¨ Applying Ito lemma within Ito calculus,
¨ 𝑑𝑓 𝑆, 𝑡 =
!(
!)
. 𝑑𝑆 +
!(
!#
𝑑𝑡 +
&
'
!!(
!)! . (𝑑𝑆)'+
&
'
!!(
!#! . (𝑑𝑡)'+
!!(
!#!)
. (𝑑𝑡. 𝑑𝑆) + 𝒪 …
¨ Expressing this in terms of the variables 𝑑𝑡 and 𝑑𝑧
¨ 𝑑𝑓 𝑆, 𝑡 =
!(
!)
. 𝜇𝑆. 𝑑𝑡 +
!(
!#
𝑑𝑡 +
&
'
!!(
!)! . 𝜎D
'. 𝑑𝑡 +
!(
!)
. 𝜎D. 𝑑𝑧
¨ 𝑑𝑓 𝑆, 𝑡 =
!(
!)
. 𝜇𝑆 +
!(
!#
+
&
'
!!(
!)! . 𝜎D
' . 𝑑𝑡 +
!(
!)
. 𝜎D. 𝑑𝑧
230
Luc_Faucheux_2020
Normal Black-Sholes III
¨ 𝑑𝑓 𝑆, 𝑡 =
!(
!)
. 𝜇𝑆 +
!(
!#
+
&
'
!!(
!)! . 𝜎D
' . 𝑑𝑡 +
!(
!)
. 𝜎D. 𝑑𝑧
¨ This is the SDE that 𝑓 𝑆, 𝑡 follows
¨ The term in front of the stochastic driver is quite complicated:
!(
!)
. 𝜎D
¨ What if we were to create a portfolio composed of this contingent claim 𝑓 𝑆, 𝑡 and some
units of the underlying stock 𝑆?
¨ More precisely let’s construct a portfolio Π = 𝑓 − (𝐷𝑒𝑙𝑡𝑎). 𝑆
¨ Π = 𝑓 − (𝐷𝑒𝑙𝑡𝑎). 𝑆
¨ 𝑑Π = 𝑑𝑓 − (𝐷𝑒𝑙𝑡𝑎). 𝑑𝑆 and 𝑑𝑆 = 𝜇𝑆. 𝑑𝑡 + 𝜎D. 𝑑𝑧
¨ 𝑑Π =
!(
!)
. 𝜇𝑆 +
!(
!#
+
&
'
!!(
!)! . 𝜎D
' − 𝐷𝑒𝑙𝑡𝑎 . 𝜇𝑆 . 𝑑𝑡 + (
!(
!)
. 𝜎D − 𝐷𝑒𝑙𝑡𝑎 . 𝜎D). 𝑑𝑧
231
Luc_Faucheux_2020
Normal Black-Sholes IV
¨ 𝑑Π =
!(
!)
. 𝜇𝑆 +
!(
!#
+
&
'
!!(
!)! . 𝜎D
' − 𝐷𝑒𝑙𝑡𝑎 . 𝜇𝑆 . 𝑑𝑡 + (
!(
!)
. 𝜎D − 𝐷𝑒𝑙𝑡𝑎 . 𝜎D). 𝑑𝑧
¨ If we fix 𝐷𝑒𝑙𝑡𝑎 =
!(
!)
, we then obtain
¨ 𝑑Π =
!(
!#
+
&
'
!!(
!)! . 𝜎D
' . 𝑑𝑡
¨ This is NOT and SDE anymore !! Does not depend on 𝑑𝑧. Does not depend on 𝜇
¨ This is wonderful, we do not have to worry about Ito, Stratonovitch, and all that stochastic
calculus that no one understands (well we still do because as soon as we change the
function we will still have to deal with Ito lemma)
¨ The portfolio is “riskless”, the change in the value of the portfolio does not depends on the
risk driver 𝑑𝑧
¨ Because the portfolio is “riskless”, it should return the same rate as the risk-free rate 𝑟
¨ 𝑑Π = 𝑟. Π . 𝑑𝑡
232
Luc_Faucheux_2020
Normal Black-Sholes V
¨ 𝑑Π =
!(
!#
+
&
'
!!(
!)! . 𝜎D
' . 𝑑𝑡
¨ 𝑑Π = 𝑟. Π . 𝑑𝑡
¨ Π = 𝑓 − 𝐷𝑒𝑙𝑡𝑎 . 𝑆 = 𝑓 −
!(
!)
. 𝑆
¨
!(
!#
+
&
'
!!(
!)! . 𝜎D
' = 𝑟. (𝑓 −
!(
!)
. 𝑆)
¨
!(
!#
+ 𝑟. 𝑆.
!(
!)
+
&
'
!!(
!)! . 𝜎D
' = 𝑟. 𝑓
¨ This is the Black-Sholes-Merton equation in the NORMAL world
¨ It is a diffusion equation, subject to the proper boundary conditions
¨ for a call, at maturity 𝑡 = 𝑇, 𝑓 𝑆, 𝑇 = 𝑀𝐴𝑋(𝑆 − 𝐾, 0)
¨ We can derive the solution (will do that in the Black-Sholes deck)
233
Luc_Faucheux_2020
234
Some Equations (Lognormal Black-Scholes)
ò¥-
-
=
-=
+=
-=
x
dexN
Tdd
T
T
KFLn
d
dNKdNFTKFC
x
p
s
s
s
s
x
..
2
1
)(
2
1)(
)(.)(.),,,(
)
2
1
(
12
1
21
2
Luc_Faucheux_2020
235
Greeks and Scaling in the Lognormal Model
Greeks Definition Black formula Units Incremental P/L Vega scaling
Delta
F
C
¶
¶
=D )( 1dN ($/bp) )( FdD
Gamma
2
2
F
C
¶
¶
=g )('
1
1dN
TFs
($/bp/bp) 2
)(
2
1
Fdg
TF s2
1
Theta
T
C
¶
¶
=Q )('
2
2dN
T
TKs ($/day) )( TdQ
T2
s
Vega
s¶
¶
=
C
Vega )(' 2dNTK ($/%) )(dsVega 1
Vanna
s¶¶
¶
=
F
C
Vanna
2
)('' 2dN
F
K
s
($/%/bp) ))(( dsdFVanna
TF
d
s
2-
Volga
2
2
s¶
¶
=
C
Volga )('' 2
1
dNTK
d
s
-
($/%/%) 2
)(
2
1
dsVolga
s
21dd
Luc_Faucheux_2020
236
Normal Model
{ }
T
KF
d
dNddNTTKFC
N
NN
s
ss
)(
)(.)('),,,(
-
=
+=
Luc_Faucheux_2020
237
Greeks and Scaling in the Normal Model
Greeks Definition Black formula Units Incremental P/L Vega scaling
Delta
F
C
¶
¶
=D )(dN ($/bp) )( FdD
Gamma
2
2
F
C
¶
¶
=g )('
1
dN
TNs
($/bp/bp) 2
)(
2
1
Fdg
TNs
1
Theta
T
C
¶
¶
=Q )('
2
dN
T
TNs ($/day) )( TdQ
T
N
2
s
Vega
N
C
Vega
s¶
¶
= )(' dNT ($/%) )( NVega ds 1
Vanna
NF
C
Vanna
s¶¶
¶
=
2
)(''
1
dN
Ns
($/%/bp) ))(( NFVanna dsd
T
d
Ns
-
Volga
2
2
N
C
Volga
s¶
¶
= )('' dNT
d
Ns
-
($/%/%) 2
)(
2
1
NVolga ds
N
d
s
2
Luc_Faucheux_2020
Shifted Lognormal Model
¨ Shifted Lognormal model with shift 𝛽:
¨ 𝐶 𝐹, 𝐾, 𝑇, 𝜎) = (𝐹 + 𝛽). 𝑁 𝑑& − (𝐾 + 𝛽). 𝑁(𝑑')
¨ 𝑑& =
&
%D -
𝐿𝑛(
$:8
J:8
) +
&
'
𝜎) 𝑇
¨ 𝑑' = 𝑑& − 𝜎) 𝑇
¨ If 𝐶K) 𝐹, 𝐾, 𝑇, 𝜎) is the usual lognormal Black-Sholes formula
¨ And 𝐶)A 𝐹, 𝐾, 𝑇, 𝜎) the shifted lognormal one
¨ 𝐶)A 𝐹, 𝐾, 𝑇, 𝜎) = 𝐶K) 𝐹 + 𝛽, 𝐾 + 𝛽, 𝑇, 𝜎)
238
Luc_Faucheux_2020
Greeks and Scaling in the shifted Lognormal Model
239
Greeks Definition Black formula Units Incremental P/L Vega scaling
Delta ($/bp)
Gamma ($/bp/bp)
Theta ($/day)
Vega ($/%) 1
Vanna ($/%/bp)
Volga ($/%/%)
F
C
¶
¶
=D )( 1dN )( FdD
2
2
F
C
¶
¶
=g
TF
dN
Ssb )(
)(' 1
+
2
)(
2
1
Fdg 2
)(
11
bs +FTS
T
C
¶
¶
=Q )('
2
)(
2dN
T
TK Ssb+
)( TdQ
T
S
2
s
S
C
Vega
s¶
¶
= )(')( 2dNTK b+ )( SVega ds
SF
C
Vanna
s¶¶
¶
=
2
)(''
1
)(
)(
2dN
F
K
Ssb
b
+
+
))(( SFVanna dsd
TF
d
Ssb
1
)(
2
+
-
2
2
S
C
Volga
s¶
¶
= )('')( 2
1
dNTK
d
S
b
s
+
- 2
)(
2
1
SVolga ds
S
dd
s
21

Lf 2020 options

  • 1.
  • 2.
    Luc_Faucheux_2020 2 Summary and contents. ¨This is not a formal option class. à if any question, PLEASE interrupt. ¨ This is by no means exhaustive. à read the textbooks out there. ¨ This is meant to be an exposure to the concepts and some of the issues encountered when dealing with options.
  • 3.
    Luc_Faucheux_2020 3 Books and references. ¨“Paul Wilmott on Quantitative Finance”, Paul Wilmott. ¨ “Options, Futures, and Other Derivatives”, John C. Hull. ¨ “Dynamic Hedging: Managing Vanilla and Exotic Options”, Nassim N. Taleb. ¨ “When Genius failed: The Rise and Fall of LTCM”, Roger Lowenstein. ¨ “Market Wizards”, Jack D. Schwager. ¨ “Reminiscence of a Stock Operator”, Edwin Lefevre. ¨ “The Education of a Speculator”, Victor Niederhoffer. ¨ Options: Perception and Deception. Position Disection, Risk Analysis and Defensive Trading Strategies Hardcover – June 1, 1996 by Charles Cottle ¨ Fractals, Chaos, Power Laws by Manfred Schroeder ¨ Interest Rate Models - Theory and Practice: With Smile, Inflation and Credit (Springer Finance) 2nd Edition by Damiano Brigo
  • 4.
    Luc_Faucheux_2020 4 The top 5words. ¨ Convexity. ¨ Arbitrage. ¨ Hedging. ¨ Volatility. ¨ Correlation. ¨ Also very popular in options world: – Skew, Smile. – Delta, Gamma, Vega, Risk. – Risk Neutral
  • 5.
    Luc_Faucheux_2020 5 Summary ¨ Options definitions,put-call parity. ¨ Volatility and option pricing. ¨ Volatility and option trading. ¨ Convexity. ¨ Option value and Greeks. ¨ Arbitrage, Risk-neutrality and Convexity. ¨ A few products. ¨ Skew and Smile
  • 6.
    Luc_Faucheux_2020 6 What are options? ¨Options are everywhere : lottery tickets, year-end bonuses, medical plans, crop insurance, test at the end of this course, NBA draft,… ¨ Options have been around for a while: the snake in the Garden of Eden was the first option seller. ¨ You need three things for an option: IF………SHOULD……….THEN….
  • 7.
    Luc_Faucheux_2020 7 How to definean interest-rate option? ¨ Time to expiry: T – European – American – Bermuda ¨ Underlying: F – Single index: LIBOR, CMS, CMT, FedFunds,…. – Spread: (CMS10-CMS2),… – Basket: – Time average ¨ Payoff
  • 8.
    Luc_Faucheux_2020 8 Payoffs. ¨ Any functionof the underlying. ¨ Vanilla payoffs: – caps, floors – any linear combination of the above: straddle, strangle, digitals, vertical spread, horizontal spread, butterfly, condor, Christmas tree, squash,……. ¨ Exotic payoffs: – Path dependent: Asian options, cliquet, ratchet, one-touch, two-touch, knock-out,…..
  • 9.
    Luc_Faucheux_2020 9 The confirm! ¨ Legallybinding, defines the option contract. – Expiry time. – Notification period. – Notification procedure. – Option settlement procedure (physical, cash,..). – Delivery procedure. – Fallback procedure. – Underlying convention and resets. – Payoff convention, daycount, rolls, holidays.. – THE CSA ! (Credit Support Annex), collateral management.
  • 10.
    Luc_Faucheux_2020 10 The exchange-traded options. ¨No confirm. ¨ Daily settlement. ¨ NO counterparty exposure. ¨ Uniform rules.
  • 11.
    Luc_Faucheux_2020 11 The simplest option:European Call! ¨ Time to expiry: T ¨ Underlying: F ¨ Strike: K ¨ Payoff: Max(F-K,0) $ F K
  • 12.
    Luc_Faucheux_2020 12 The simplest option:European call? ¨ How to price this option? ¨ Time to expiry T is known. ¨ Strike K and payoff are known. ¨ What about the underlying F, can I price a forward? ¨ Discount curve: D(T), D(T + 3 months), … ¨ à I can price bonds, swaps, FRAs, zero-coupons, …. ¨ à I know F.
  • 13.
    Luc_Faucheux_2020 13 Something cute: Put-Callparity. ¨ Call Payoff: Max(F-K,0) ¨ Put Payoff: Max(K-F,0) F K $
  • 14.
    Luc_Faucheux_2020 14 Put-Call parity. ¨ Let’sbuy a call, sell a put. ¨ Expected payoff: Max(F-K,0) – Max(K-F,0) = F-K F K $
  • 15.
    Luc_Faucheux_2020 15 Put-Call parity. ¨ Beinglong a call, short a put is equivalent to paying K and receiving Floating on a 1-period swap (that is something we should all know how to price by now). ¨ Even though I still cannot price a Call or a Put, I can price the portfolio: (Call-Put). ¨ That is cute indeed, but I still don’t know how to price a Call.
  • 16.
    Luc_Faucheux_2020 16 Pricing a Call. ¨T is known, K is known, F is known, so… Call = Max(F-K,0) discounted back to today.
  • 17.
    Luc_Faucheux_2020 17 Pricing a Call. ¨T is known, K is known, F is known, so… Call = Max(F-K,0) discounted back to today. ¨ What’s wrong with that picture…. VOLATILITY
  • 18.
    Luc_Faucheux_2020 18 Pricing a Call. ¨At-the-money Call = Max(F-K,0) = 0. F=K F<K Call=0 F>K Call=(F-K)
  • 19.
    Luc_Faucheux_2020 19 Pricing a call. ¨The more volatile the rate, the greater the probability of a large move upwards in rates, the more valuable the call. ¨ At zero volatility (no moves in rates), the call is equal to the terminal payoff Max(F-K,0). ¨ More exactly, from the discount curve we know the expected value of F, sometimes noted <F> or E(F). If we assume rates F to be volatile, this is the average of F.
  • 20.
    Luc_Faucheux_2020 20 The rate… itmooooves…. Typical Option Trader
  • 21.
    Luc_Faucheux_2020 21 Did you sayvolatility? 2.0 2.5 3.0 3.5 07/23/03 07/28/03 08/02/03 08/07/03 08/12/03 08/17/03 08/22/03 08/27/03 date O1y_S1y 7/28/2003 2.388 7/29/2003 2.539 7/30/2003 2.507 7/31/2003 2.811 8/1/2003 2.973 8/4/2003 2.818 8/5/2003 2.918 8/6/2003 2.740 8/7/2003 2.642 8/8/2003 2.615 8/11/2003 2.769 8/12/2003 2.652 8/13/2003 2.891 8/14/2003 2.989 8/15/2003 2.899 8/18/2003 2.877 8/19/2003 2.762 8/20/2003 2.840 8/21/2003 3.099 8/22/2003 3.033
  • 22.
    Luc_Faucheux_2020 22 Sometimes rates movea little,.. 1y1y (%) 0.0 1.0 2.0 3.0 4.0 5.0 6.0 7.0 8.0 9.0 2/1/1998 3/1/1998 4/1/1998 5/1/1998 6/1/1998 7/1/1998 8/1/1998
  • 23.
    Luc_Faucheux_2020 23 Sometimes a lot… 1y1y(%) 0.0 1.0 2.0 3.0 4.0 5.0 6.0 7.0 8.0 9.0 12/1/1997 6/1/199812/1/1998 6/1/199912/1/1999 6/1/200012/1/2000 6/1/200112/1/2001 6/1/200212/1/2002 6/1/2003
  • 24.
    Luc_Faucheux_2020 24 Different forwards movedifferently? Yields (%) 2 4 6 8 10 12/1/19976/1/199812/1/19986/1/199912/1/19996/1/200012/1/20006/1/200112/1/20016/1/200212/1/20026/1/2003 2y1y 5y1y 10y1y
  • 25.
    Luc_Faucheux_2020 25 Does history repeatsitself? ¨ Does the future volatility depends on…. – Historical volatility. – Particular forwards. – Level of rates. – Level of volatility. – Strike. – Time to expiry T. – Are you a good trader?
  • 26.
    Luc_Faucheux_2020 26 Does history repeatsitself? (again?) ¨ Does the future volatility depends on…. – Historical volatility. Implied vs. Realised. – Particular forwards. Term structure models. – Level of rates. Correlation, Skew, Mean Reversion. Normal vs. Lognormal. – Level of volatility. Heteroskedasticity, Smile. – Strike. Local volatility models. – Time to expiry T. Short-dated vs. long-dated. – Are you a good trader? Hedging strategies, sampling,..
  • 27.
    Luc_Faucheux_2020 27 What volatility arewe talking about anyways? ¨ Normal Volatility (basis points per day). – You care about your margin account (absolute return). ¨ Lognormal Volatility (% per year). – You care about your annualized returns (relative return). Also, are you looking the volatility of the Price or the Yield (example of Eurodollar futures and Bond)?
  • 28.
    Luc_Faucheux_2020 28 Normal Volatility. date O1y_S1yAbsolute 7/28/2003 2.388 COD(bps) COD(bps) 7/29/2003 2.539 15.07 15.07 7/30/2003 2.507 -3.2 3.2 7/31/2003 2.811 30.41 30.41 8/1/2003 2.973 16.2 16.2 8/4/2003 2.818 -15.5 15.5 8/5/2003 2.918 10.05 10.05 8/6/2003 2.740 -17.86 17.86 8/7/2003 2.642 -9.73 9.73 8/8/2003 2.615 -2.73 2.73 8/11/2003 2.769 15.36 15.36 8/12/2003 2.652 -11.68 11.68 8/13/2003 2.891 23.89 23.89 8/14/2003 2.989 9.78 9.78 8/15/2003 2.899 -8.93 8.93 8/18/2003 2.877 -2.25 2.25 8/19/2003 2.762 -11.5 11.5 8/20/2003 2.840 7.8 7.8 8/21/2003 3.099 25.94 25.94 8/22/2003 3.033 -6.58 6.58 12.87 (bps/day)
  • 29.
    Luc_Faucheux_2020 29 Normal Volatility. ¨ 13~ 13 bps/day. ¨ 13 * SQRT(7) ~ 34 bps/week. ¨ 13 * SQRT(30) ~ 71 bps/month. ¨ 13 * SQRT(90) ~ 123 bps/quarter. ¨ 13 * SQRT(360) ~ 247 bps/year.
  • 30.
    Luc_Faucheux_2020 30 Normal Volatility. ¨ Whatabout weekends and holiday? – This is DRW, remember…not a charity. Also weekends have had lately political risk ¨ What about the Square Root? Diffusion vs. Propagation. Normal Volatility (bps) 0 50 100 150 200 250 300 0 50 100 150 200 250 300 350 400 days
  • 31.
    Luc_Faucheux_2020 31 Lognormal Volatility. date O1y_S1y 7/28/20032.388 Ln(Fi/Fi-1) 7/29/2003 2.539 0.06 7/30/2003 2.507 -0.01 1) Calculate Standard Deviation. 7/31/2003 2.811 0.11 0.05 8/1/2003 2.973 0.06 8/4/2003 2.818 -0.05 2) Divide by SQRT(1/365). 8/5/2003 2.918 0.04 103 (% / year) 8/6/2003 2.740 -0.06 8/7/2003 2.642 -0.04 8/8/2003 2.615 -0.01 8/11/2003 2.769 0.06 8/12/2003 2.652 -0.04 8/13/2003 2.891 0.09 8/14/2003 2.989 0.03 8/15/2003 2.899 -0.03 8/18/2003 2.877 -0.01 8/19/2003 2.762 -0.04 8/20/2003 2.840 0.03 8/21/2003 3.099 0.09 8/22/2003 3.033 -0.02
  • 32.
    Luc_Faucheux_2020 32 From Lognormal toNormal. ¨ Lognormal Volatility ~ 103 % / year. ¨ Rate Level ~ 2.4 %. ¨ 103 * 2.4 / SQRT(365) ~ 12.93 bps/day. ¨ OK, that was really 12.87 not 12.93. ¨ We will learn how to exactly equate normal volatility to lognormal volatility (i.e. so that the price of an at-the-money option is the same in both models)
  • 33.
    Luc_Faucheux_2020 33 Still trying toprice the simplest option! ¨ Normal model (Louis Bachelier, 1900 Ph.D. thesis). ¨ F is normally distributed. ¨ Everyday, F goes up or down by 10bps. F 2.2 2.72.1 2.42.3 2.5 2.82.6 3.0 3.12.9
  • 34.
    Luc_Faucheux_2020 34 Normal model. ¨ Diffusion. ¨Heat equation. ¨ Parabolic equation. (Remember the square root?) ¨ Random walk. ¨ Binomial distribution. ¨ Brownian motion. (Robert Brown, 1827). ¨ Monte-Carlo simulation. ¨ Random number generator.
  • 35.
    Luc_Faucheux_2020 35 Modeling the market,one path at a time. 2.0 2.5 3.0 3.5 07/23/03 07/28/03 08/02/03 08/07/03 08/12/03 08/17/03 08/22/03 08/27/03 date O1y_S1y 7/28/2003 2.400 7/29/2003 2.300 7/30/2003 2.400 7/31/2003 2.500 8/1/2003 2.400 8/4/2003 2.300 8/5/2003 2.400 8/6/2003 2.300 8/7/2003 2.200 8/8/2003 2.300 8/11/2003 2.400 8/12/2003 2.500 8/13/2003 2.600 8/14/2003 2.700 8/15/2003 2.600 8/18/2003 2.500 8/19/2003 2.600 8/20/2003 2.700 8/21/2003 2.800 8/22/2003 2.900
  • 36.
    Luc_Faucheux_2020 36 Simulating many paths,after 90 days. ¨ T=1year, K=2.4%, F=2.4%, Payoff=Max(F-K,0). ¨ Normal Volatility s=10 bps/day. Forward F (%) 1 2 3 4 5 0 10 20 30 40 50 60 70 80 90 days
  • 37.
    Luc_Faucheux_2020 37 Simulating many paths,after 180 days. Forward F (%) -3 -1 1 3 5 7 9 0 20 40 60 80 100 120 140 160 180 days
  • 38.
    Luc_Faucheux_2020 38 Simulating many paths,after 360 days. Forward F (%) -3 -1 1 3 5 7 9 0 50 100 150 200 250 300 350 days
  • 39.
    Luc_Faucheux_2020 39 Binomial distribution. ¨ Atoption expiry, where does the forward F end up and with which probability? Simulation Forward Payoff # 1 3.8 1.4 # 2 2.6 0.2 # 3 -0.8 0 # 4 4.4 2 # 5 4.6 2.2 # 6 5 2.6 # 7 1.4 0 # 8 5.6 3.2 # 9 -1.4 0 # 10 3.4 1 # 11 2.4 0 # 12 5.4 3 AVERAGE 3.03 1.30 STDEV 2.31 1.26
  • 40.
    Luc_Faucheux_2020 40 Call Price (atlast!) ¨ As we keep increasing the number of simulated paths, our estimate of the option price becomes more precise. #paths Forward Option Price 12 3.03 (+/- 2.3) 1.30 (+/- 1.3) 100 2.45 (+/- 1.8) 0.764 (+/- 0.99) 1000 2.41 (+/- 1.8) 0.749 (+/- 0.99) 10000 2.40 (+/- 1.8) 0.760 (+/- 1.12) : : : : : : : : : : : : Theory 2.4 0.762
  • 41.
    Luc_Faucheux_2020 41 What did weachieve? ¨ We priced the simplest option……..yeah us! ¨ I thought this was supposed to be FIXED-Income? ¨ Expiry T ¨ Strike K ¨ Forward F ¨ Volatility s }Þ C (T,K,F,s)
  • 42.
    Luc_Faucheux_2020 42 Simple options rules. ¨Option Call C(T,K,F,s). ¨ C increases when T increases. ¨ C decreases when K increases. ¨ C increases when F increases. ¨ C increases when s increases.
  • 43.
    Luc_Faucheux_2020 43 Simple options rules. ¨Option Call C(T,K,F,s) ¨ C increases when T increases. Negative time-decay (Theta). ¨ C decreases when K increases. Negative Bet. ¨ C increases when F increases. Positive Delta. ¨ C increases when s increases. Positive Vega.
  • 44.
    Luc_Faucheux_2020 44 Can we improveon our model? ¨ Forward F can go negative. ¨ Constant volatility in time ¨ Constant volatility with level of forward ¨ ALSO – We can replace our simulation with an exact analytical form (smoother risk, faster computation time), we lose however the flexibility of adding to our model – We have also assumed that the expected value of the forward is the current value. How justified is that? In essence we ”fixed” the up and down probability of a jump to be 50%. Are those the real world probabilities? The Risk Neutral probabilities?
  • 45.
    Luc_Faucheux_2020 45 Avoiding negative forwards. ¨Instead of choosing F to be normally distributed, we can choose Ln(F) to be normally distributed. ¨ Ln(F) is Normally distributed. ¨ F is LogNormally distributed. ¨ Lognormal model. ¨ Case Sprenkle (1961).
  • 46.
    Luc_Faucheux_2020 46 Avoiding Arbitrage? Fixingthe probabilities. ¨ Fisher Black - Myron Scholes (1973). ¨ We’ll have to come back to that one later. That one is really tough (they don’t give away Nobel prizes for nothing you know?).
  • 47.
    Luc_Faucheux_2020 47 Why is Black-Sholesso important ? ¨ Simple version : you and I might not agree on where the market (underlying) is going, we will still agree on the option price. ¨ Textbook version : market participants must use risk-neutral probabilities when pricing options.
  • 48.
    Luc_Faucheux_2020 48 Implementing a variablevolatility. ¨ Volatility could be function of: – Time: Absolute time, time to expiry. – Level of rates: Correlation, skew. – Level of vols: Smile. – Economic release: Calendar/Business, Time Warp.
  • 49.
    Luc_Faucheux_2020 49 Other possible distributions. ¨Mixture of Lognormal. ¨ Mixture of Normal/Lognormal. ¨ Shifted Lognormal. ¨ Jump processes. ¨ Constant Elasticity models.
  • 50.
    Luc_Faucheux_2020 50 Calibrating to market. ¨Expiry T ¨ Strike K ¨ Forward F ¨ Volatility s CMODEL (T,K,F,s) } CMARKET (T,K,F) ?¹ Market Implied Volatility s
  • 51.
    Luc_Faucheux_2020 51 Trading options istrading volatility. ¨ Model Implied Volatility. ¨ Historical Realized Volatility. ¨ Market Implied Volatility (Future Realized Volatility). ¨ Spreading Volatility on different forwards.
  • 52.
    Luc_Faucheux_2020 52 Term Structure. FORWARD RATES(%) 20030828 1 year 2 year 3 year 4 year 5 year 7 year 10 year 15 year 20 year 30 year 1m 1.51 2.32 3.02 3.55 3.96 4.51 4.98 5.41 5.59 5.66 3m 1.70 2.56 3.24 3.74 4.12 4.63 5.08 5.48 5.65 5.71 6m 2.08 2.93 3.55 4.02 4.36 4.82 5.23 5.60 5.75 5.79 1 year 3.00 3.70 4.20 4.56 4.83 5.19 5.52 5.82 5.93 5.93 18m 3.81 4.33 4.72 5.00 5.20 5.49 5.75 6.00 6.08 6.05 2 year 4.42 4.82 5.13 5.34 5.50 5.72 5.94 6.14 6.19 6.14 3 year 5.25 5.51 5.68 5.81 5.91 6.06 6.22 6.34 6.35 6.27 4 year 5.79 5.92 6.02 6.09 6.16 6.27 6.39 6.47 6.45 6.33 5 year 6.06 6.14 6.21 6.27 6.32 6.41 6.51 6.54 6.50 6.36 7 year 6.36 6.42 6.47 6.51 6.55 6.61 6.65 6.62 6.53 6.37 10 year 6.66 6.70 6.73 6.75 6.76 6.76 6.72 6.60 6.48 6.29 20 year 6.42 6.36 6.31 6.27 6.23 6.14 6.04 5.90 5.79 5.63
  • 53.
    Luc_Faucheux_2020 53 Implied Market NormalVolatility. BP VOLATILITIES (bps/day) 20030828 1 year 2 year 3 year 4 year 5 year 7 year 10 year 15 year 20 year 30 year 1m 4.5 9.0 9.8 10.0 10.3 10.1 9.7 9.0 8.5 8.1 3m 4.7 8.7 9.6 9.8 9.9 9.7 9.3 8.7 8.2 7.4 6m 6.1 9.1 9.4 9.6 9.6 9.4 9.1 8.3 7.7 6.9 1 year 9.1 9.4 9.4 9.3 9.3 9.0 8.7 8.0 7.5 6.8 18m 9.5 9.6 9.4 9.3 9.1 8.9 8.5 7.8 7.3 6.6 2 year 9.9 9.7 9.4 9.2 9.0 8.7 8.3 7.6 7.1 6.5 3 year 9.5 9.2 9.0 8.7 8.6 8.3 7.9 7.2 6.6 6.0 4 year 8.9 8.6 8.5 8.3 8.1 7.8 7.4 6.7 6.2 5.6 5 year 8.4 8.1 8.0 7.8 7.7 7.4 7.0 6.3 5.8 5.2 7 year 7.6 7.5 7.3 7.1 7.0 6.7 6.3 5.7 5.2 4.7 10 year 6.6 6.5 6.3 6.2 6.0 5.7 5.3 4.7 4.4 4.0 20 year 4.8 4.5 4.4 4.2 4.1 4.0 3.8 3.4 3.1 2.9 • This is the canonical “Swaption Grid”. Each forward rate is assumed to be its own independent variable, and the implied volatility is the number that you need to plug in the option model to recover the price of at-the-money swaptions observed in the market
  • 54.
    Luc_Faucheux_2020 54 Implied Market LognormalVolatility. YIELD VOLATILITIES (%/year) 20030828 1 year 2 year 3 year 4 year 5 year 7 year 10 year 15 year 20 year 30 year 1m 47.5 61.3 51.3 44.7 41.2 35.4 30.9 26.3 24.1 22.8 3m 43.4 53.8 47.0 41.5 38.0 33.2 29.2 25.1 22.9 20.5 6m 46.2 49.1 42.1 37.8 35.0 30.8 27.6 23.5 21.3 18.8 1 year 47.9 40.4 35.5 32.5 30.6 27.6 25.1 21.8 20.0 18.3 18m 39.6 35.1 31.6 29.4 27.8 25.6 23.5 20.7 19.0 17.4 2 year 35.6 31.9 29.2 27.3 25.9 24.1 22.2 19.7 18.1 16.7 3 year 28.6 26.6 25.1 23.9 23.0 21.7 20.2 18.0 16.6 15.3 4 year 24.3 23.2 22.3 21.5 20.8 19.8 18.5 16.5 15.3 14.1 5 year 21.9 21.0 20.4 19.8 19.2 18.3 17.1 15.4 14.2 13.0 7 year 19.1 18.5 18.0 17.4 16.9 16.1 15.0 13.6 12.6 11.7 10 year 15.7 15.3 15.0 14.5 14.1 13.4 12.5 11.4 10.8 10.1 20 year 11.8 11.2 11.0 10.7 10.5 10.2 10.0 9.1 8.6 8.1
  • 55.
    Luc_Faucheux_2020 55 Historical Realized LognormalVolatility (90days). YIELD VOLATILITIES (%/year) 20030828 1 year 2 year 3 year 4 year 5 year 7 year 10 year 15 year 20 year 30 year 1m 57.8 63.9 55.8 48.1 43.0 36.0 30.8 25.9 23.7 22.3 3m 66.6 64.8 55.2 47.7 42.4 35.8 30.6 26.0 23.8 22.5 6m 73.9 64.5 53.9 46.8 41.8 35.5 30.6 26.0 24.0 22.7 1 year 71.1 58.6 49.6 43.8 39.7 34.2 30.0 25.8 23.9 22.9 18m 61.2 51.1 44.7 40.3 37.0 32.6 29.0 25.3 23.7 22.9 2 year 52.2 45.1 40.6 37.2 34.5 31.1 27.9 24.7 23.3 22.7 3 year 40.5 37.4 34.7 32.2 30.5 28.4 26.0 23.5 22.5 22.3 4 year 36.5 33.3 30.6 29.1 28.1 26.5 24.4 22.6 21.9 21.9 5 year 30.9 28.7 27.7 27.1 26.4 25.0 23.2 21.9 21.4 21.5 7 year 26.7 26.1 25.4 24.6 23.9 22.6 21.5 20.8 20.7 21.1 10 year 22.6 21.8 21.2 20.8 20.4 20.1 19.8 19.9 20.2 20.7
  • 56.
    Luc_Faucheux_2020 56 Historical Realized LognormalVolatility (360days). YIELD VOLATILITIES (%/year) 20030828 1 year 2 year 3 year 4 year 5 year 7 year 10 year 15 year 20 year 30 year 1m 48.9 50.5 43.4 37.8 34.2 29.2 25.1 21.2 19.3 17.8 3m 55.7 50.7 43.1 37.7 33.9 29.0 25.1 21.3 19.4 17.9 6m 59.9 50.0 42.1 37.0 33.4 28.7 25.0 21.3 19.4 18.0 1 year 54.4 44.4 38.3 34.3 31.4 27.5 24.3 20.9 19.2 18.0 18m 45.5 38.6 34.4 31.5 29.2 26.1 23.4 20.4 18.9 17.9 2 year 38.6 34.2 31.5 29.2 27.3 24.9 22.5 19.8 18.5 17.7 3 year 31.2 29.4 27.5 25.8 24.6 23.0 21.0 18.8 17.8 17.3 4 year 29.2 26.8 24.9 23.8 23.0 21.7 19.8 18.1 17.3 17.0 5 year 25.2 23.7 22.8 22.2 21.6 20.4 18.8 17.4 16.8 16.7 7 year 21.8 21.3 20.8 20.1 19.4 18.2 17.1 16.3 16.0 16.3 10 year 18.8 18.1 17.3 16.8 16.4 15.9 15.5 15.2 15.4 16.0
  • 57.
    Luc_Faucheux_2020 57 Trading options istrading Correlation. CORRELATION BETWEEN FORWARDS AND NORMAL VOLATILITY (360 days). 20030828 1 year 2 year 3 year 4 year 5 year 7 year 10 year 15 year 20 year 30 year 1m 0.6 0.5 0.4 0.2 0.1 0.1 0.1 0.2 0.1 0.1 3m 0.7 0.6 0.4 0.3 0.1 0.1 0.1 0.1 0.1 0.1 6m 0.7 0.5 0.4 0.2 (0.0) 0.0 0.1 0.2 0.1 0.0 1 year 0.4 0.2 0.0 (0.1) (0.2) (0.2) (0.0) 0.0 0.1 (0.1) 18m 0.2 (0.0) (0.1) (0.2) (0.3) (0.2) (0.0) 0.0 0.1 (0.1) 2 year (0.2) (0.2) (0.2) (0.2) (0.3) (0.2) (0.0) 0.1 0.1 (0.1) 3 year (0.1) (0.1) (0.1) (0.1) (0.2) (0.1) 0.1 0.1 0.1 (0.1) 4 year (0.0) (0.0) (0.1) (0.1) (0.1) (0.0) 0.2 0.2 0.1 (0.1) 5 year 0.0 0.0 (0.0) (0.1) (0.1) 0.0 0.2 0.2 0.1 (0.1) 7 year 0.0 0.0 (0.0) (0.0) 0.0 0.1 0.2 0.2 0.1 (0.1) 10 year 0.2 0.2 0.1 0.1 0.1 0.1 0.2 0.1 0.1 (0.2) • A non zero correlation between the level of rates and the volatility is what people refers to as “skew”. It also shows clearly that our assumption of constant volatility with the level of the underlier was incorrect
  • 58.
    Luc_Faucheux_2020 58 Trading options istrading Correlation. CORRELATION BETWEEN FORWARDS AND LOGNORMAL VOLATILITY (360 days). 20030828 1 year 2 year 3 year 4 year 5 year 7 year 10 year 15 year 20 year 30 year 1m (0.5) (0.8) (0.8) (0.8) (0.8) (0.7) (0.6) (0.5) (0.4) (0.4) 3m (0.6) (0.8) (0.9) (0.9) (0.9) (0.8) (0.7) (0.7) (0.6) (0.6) 6m (0.7) (0.9) (0.9) (0.9) (0.9) (0.9) (0.8) (0.8) (0.7) (0.7) 1 year (0.9) (1.0) (1.0) (1.0) (1.0) (0.9) (0.9) (0.9) (0.8) (0.8) 18m (0.9) (1.0) (1.0) (1.0) (1.0) (0.9) (0.9) (0.9) (0.8) (0.8) 2 year (1.0) (1.0) (1.0) (1.0) (1.0) (0.9) (0.9) (0.8) (0.8) (0.8) 3 year (1.0) (0.9) (0.9) (0.9) (0.9) (0.9) (0.9) (0.8) (0.8) (0.8) 4 year (0.9) (0.9) (0.9) (0.9) (0.9) (0.9) (0.8) (0.7) (0.7) (0.8) 5 year (0.9) (0.9) (0.9) (0.9) (0.9) (0.9) (0.8) (0.7) (0.7) (0.8) 7 year (0.8) (0.8) (0.8) (0.8) (0.8) (0.8) (0.6) (0.6) (0.6) (0.8) 10 year (0.6) (0.6) (0.6) (0.6) (0.6) (0.5) (0.4) (0.5) (0.6) (0.7) • The correlation is much stronger between rates and lognormal volatility than between rates and normal volatility. People tend to say that “rates behave normally”, not “lognormally”
  • 59.
    Luc_Faucheux_2020 59 Trading options isrisky: Risk Parameters. F C ¶ ¶ =D 2 2 F C ¶ ¶ =g T C ¶ ¶ =Q s¶ ¶ = C Vega Greeks Definition Delta ($/bp) Gamma ($/bp/bp) Theta ($/day) Vega ($/%)
  • 60.
    Luc_Faucheux_2020 60 Why am Idoing all this work? ¨ Pricing swaps and bonds was so much easier, I just needed a yield curve, et voila ! ¨ Swap traders don’t care about Volatility? ¨ Why not?
  • 61.
  • 62.
    Luc_Faucheux_2020 62 Why are optionsdifferent from Swaps and Bonds. ¨ Arbitrage-free. – Risk-free rate of return. – Risk-Neutral assumption. ¨ Convexity. ¨ Let’s look at the convexity first, that’s the easy one
  • 63.
    Luc_Faucheux_2020 63 What is Convexity? ¨Change in Duration. ¨ Curvature. ¨ Second derivative. ¨ Deviation from straight line. ¨ Departure from linearity.
  • 64.
    Luc_Faucheux_2020 64 What is convex? ¨Bond price as a function of yield? ¨ Eurodollar future price as a function of forward rate? ¨ Ln(x) as a function of x? ¨ (1-2x) as a function of x? ¨ Bond price as a function of coupon? ¨ Bond price as a function of face amount? ¨ (1/x) as a function of x?
  • 65.
    Luc_Faucheux_2020 65 Answers. ¨ Bond priceas a function of yield? YES (+) ¨ Eurodollar future price as a function of forward rate? NO ¨ Ln(x) as a function of x? YES (-) ¨ (1-2x) as a function of x? NO ¨ Bond price as a function of coupon? NO ¨ Bond price as a function of face amount? NO ¨ (1/x) as a function of x? YES (+)
  • 66.
    Luc_Faucheux_2020 66 If it’s linear,forget about Volatility. x f(x)
  • 67.
    Luc_Faucheux_2020 67 If it’s linear,forget about Volatility. x f(x) <x> f(<x>)
  • 68.
    Luc_Faucheux_2020 68 If it’s linear,forget about Volatility. x f(x) x f(x) xMAXxMin <x> f(<x>)
  • 69.
    Luc_Faucheux_2020 69 If it’s linear,forget about Volatility. x f(x) x f(x) x f(x) x f(x) xMAXxMin f(<x>) <x>
  • 70.
    Luc_Faucheux_2020 70 If it’s linear,forget about Volatility. ¨ Average of f(x) = f(Average of x). ¨ <f(x)> = f(<x>). ¨ A linear transformation is a simple scaling (inches to centimeters, Celsius to Farenheit,…).
  • 71.
    Luc_Faucheux_2020 71 If it’s convex,mind the Volatility. x f(x)
  • 72.
    Luc_Faucheux_2020 72 If it’s convex,mind the Volatility. xMAXxMin x f(x) x f(x) <x>
  • 73.
    Luc_Faucheux_2020 73 If it’s convex,mind the Volatility. xMAXxMin x f(x) x f(x) <x>
  • 74.
    Luc_Faucheux_2020 74 If it’s convex,mind the Volatility. xMAXxMin x f(x) x f(x) <x>
  • 75.
    Luc_Faucheux_2020 75 If it’s convex,mind the Volatility. xMAXxMin x f(x) x f(x) f(<x>) <f(x)> <x>
  • 76.
    Luc_Faucheux_2020 76 Positively and negativelyconvex. ¨ If the function f is positively convex… the average of f(x) is greater than f(<x>). ¨ If the function f is negatively convex… the average of f(x) is smaller than f(<x>).
  • 77.
    Luc_Faucheux_2020 77 If it’s convex,mind the Volatility. xMAXxMin x f(x) x f(x) Average x f (average of x) average of f (x)
  • 78.
    Luc_Faucheux_2020 78 Positively and negativelyconvex, an option payoff. ¨ If the payout of an option is positively convex… – the average of all possible option payouts is greater than the value of the payout at the average of the underlying ¨ If the payout of an option is negatively convex… – the average of all possible option payouts is smaller than the value of the payout at the average of the underlying ¨ Extreme case… – Consider an option expiring in 2 minutes that is at-the-money. The position is convex, so the average of all possible payouts is positive, although the payout at the average of the underlying = 0 (since the option is at-the-money)
  • 79.
    Luc_Faucheux_2020 79 For the mathematicallyinclined. ¨ Taylor expansion (Brooke Taylor, 1715). )().( 2 1 ).()()( 32 2 2 dxdx dx fd dx dx df xfdxxf O+++=+
  • 80.
    Luc_Faucheux_2020 80 Math 101, partdeux. )().( 2 1 ).()()( )().( 2 1 ).()()( 32 2 2 32 2 2 dxdx dx fd dx dx df xfdxxf dxdx dx fd dx dx df xfdxxf O++-+=- O+++=+
  • 81.
    Luc_Faucheux_2020 81 Math 101, parttrois. )().( 2 1 )( 2 )()( 32 2 2 dxdx dx fd xf dxxfdxxf O++= þ ý ü î í ì ++-
  • 82.
    Luc_Faucheux_2020 82 Math 101, partquatre (sometimes called Jensen inequality) )().( 2 1 2 )()( 2 )()( 32 2 2 dxdx dx fddxxdxx f dxxfdxxf O++ þ ý ü î í ì ++- = þ ý ü î í ì ++- ConvexityxofAveragefxfofAverage dx dx fd xofAveragefxfofAverage += += )()( ).( 2 1 )()( 2 2 2 Convexity adjustments and such only work if the function is “well behaved”. Convexity adjustments would not work on a portfolio of Digital bets for example
  • 83.
    Luc_Faucheux_2020 83 Math 101, thefin. ¨ If the function f is positively convex… the average of f(x) is greater than f(<x>). ¨ If the function f is negatively convex… the average of f(x) is smaller than f(<x>). ¨ Convexity = ¨ Volatility = 2 2 dx fd 2 )(dx
  • 84.
    Luc_Faucheux_2020 84 A call payoffis positively convex. F K $
  • 85.
    Luc_Faucheux_2020 85 Call premium. ¨ Call= Max(F-K,0). ¨ Intrinsic Value: Payoff of the average. ¨ Call Premium : Average of the payoff.
  • 86.
    Luc_Faucheux_2020 86 Call premium. ¨ IntrinsicValue: Payoff of the average. ¨ Call Premium : Average of the payoff. ¨ Intrinsic Value: Max(<F> - K, 0) ¨ Call Premium: <Max(F - K, 0)> ¨ Call premium: convexity adjusted value of the terminal payoff…. Has to depend on the volatility…
  • 87.
    Luc_Faucheux_2020 87 Time value ofa call. ¨ A call premium is positively convex à always greater than the intrinsic value. ¨ (Premium – Intrinsic) = Time Value. ¨ The greater the Volatility, the greater the Time Value. ¨ The greater the convexity, the greater the Time Value.
  • 88.
    Luc_Faucheux_2020 88 Call Premium. ¨ Convexityis greatest at the strike. ¨ Deep in-the-money and far out-of-the-money, Convexity is small. Time Value is small. Call premium slightly greater than terminal payoff. ¨ At-the-money, Convexity is maximum. Time Value is maximum. Call premium furthest away from terminal payoff.
  • 89.
    Luc_Faucheux_2020 89 Call Premium. F K $ "At theMoney" "Out of the Money" "In the Money" Intrinsic Value.
  • 90.
    Luc_Faucheux_2020 90 Call Premium. $ Intrinsic Value. "Atthe Money" "Out of the Money" "In the Money" F K Call Premium Time Value
  • 91.
    Luc_Faucheux_2020 91 Convexity smoothes outthe terminal payoff. ¨ If positive convexity, <Payoff(F)> greater than Payoff(<F>). F K $ Option
  • 92.
    Luc_Faucheux_2020 92 Convexity smoothes outthe terminal payoff. ¨ If negative convexity, <Payoff(F)> smaller than Payoff(<F>). F K $ Option
  • 93.
    Luc_Faucheux_2020 93 Convexity smoothes outthe terminal payoff. ¨ The greater the payoff convexity, ¨ The greater the volatility ¨ The greater the time value, ¨ The further away will the option price be from the intrinsic value.
  • 94.
    Luc_Faucheux_2020 94 Convexity smoothes outthe terminal payoff. ¨ “Diffusion” of terminal payoff. ¨ The greater the volatility, the smoother the option price. F K $
  • 95.
    Luc_Faucheux_2020 95 Zero Volatility. PVs ($) -200,000 0 200,000 400,000 600,000 800,000 1,000,000 -100-90 -80 -70 -60 -50 -40 -30 -20 -10 0 10 20 30 40 50 60 70 80 90 100 Rate shifts (basis points)
  • 96.
    Luc_Faucheux_2020 96 Low Volatility. PVs ($) 0 100,000 200,000 300,000 400,000 500,000 600,000 700,000 800,000 900,000 1,000,000 -100-90 -80 -70 -60 -50 -40 -30 -20 -10 0 10 20 30 40 50 60 70 80 90 100 Rate shifts (basis points)
  • 97.
    Luc_Faucheux_2020 97 Medium Volatility. PVs ($) -200,000 0 200,000 400,000 600,000 800,000 1,000,000 -100-90 -80 -70 -60 -50 -40 -30 -20 -10 0 10 20 30 40 50 60 70 80 90 100 Rate shifts (basis points)
  • 98.
    Luc_Faucheux_2020 98 High Volatility. PVs ($) -200,000 0 200,000 400,000 600,000 800,000 1,000,000 -100-90 -80 -70 -60 -50 -40 -30 -20 -10 0 10 20 30 40 50 60 70 80 90 100 Rate shifts (basis points)
  • 99.
    Luc_Faucheux_2020 99 Calls are risky. GreeksDefinition Delta F C ¶ ¶ =D Gamma 2 2 F C ¶ ¶ =g Theta T C ¶ ¶ =Q Vega s¶ ¶ = C Vega
  • 100.
    Luc_Faucheux_2020 100 Profits (and Losses). GreeksDefinition Units Profits/Losses Delta F C ¶ ¶ =D ($/bp) )( FdD Gamma 2 2 F C ¶ ¶ =g ($/bp/bp) 2 )( 2 1 Fdg Theta T C ¶ ¶ =Q ($/day) )( TdQ Vega s¶ ¶ = C Vega ($/%) )(dsVega
  • 101.
    Luc_Faucheux_2020 P&L as aTaylor expansion of the option with parameters ¨ 𝛿𝐶 = !" !# . 𝛿𝑡 + !" !$ . 𝛿𝐹 + !" !% . 𝛿𝜎 + & ' . !!" !$! . (𝛿𝐹)' ¨ 𝛿𝐶 = 𝑇ℎ𝑒𝑡𝑎 . 𝛿𝑡 + 𝐷𝑒𝑙𝑡𝑎 . 𝛿𝐹 + 𝑉𝑒𝑔𝑎 . 𝛿𝜎 + & ' . 𝐺𝑎𝑚𝑚𝑎 . (𝛿𝐹)' ¨ 𝛿𝐶 = Θ. 𝛿𝑡 + ∆. 𝛿𝐹 + 𝑉𝑒𝑔𝑎. 𝛿𝜎 + & ' . 𝛾. (𝛿𝐹)' 101
  • 102.
    Luc_Faucheux_2020 102 Profits and Losses. IfDELTA is: POSITIVE NEGATIVE If GAMMA is: POSITIVE NEGATIVE If THETA is: Passage of time will POSITIVE NEGATIVE Increase / Decrease option value If VEGA is: You want volatility to POSITIVE NEGATIVE Fall / Rise Fall / Rise You want the underlying to Rise / Fall Rise / Fall You want the underlying to Sit still / Make a big move Sit still / Make a big move Increase / Decrease option value
  • 103.
    Luc_Faucheux_2020 103 Profits and Losses. IfDELTA is: POSITIVE NEGATIVE If GAMMA is: POSITIVE NEGATIVE If THETA is: Passage of time will POSITIVE NEGATIVE If VEGA is: You want volatility to POSITIVE NEGATIVE Fall / Rise Fall / Rise You want the underlying to Rise / Fall Rise / Fall You want the underlying to Sit still / Make a big move Sit still / Make a big move Increase / Decrease option value Increase / Decrease option value
  • 104.
    Luc_Faucheux_2020 104 Call premium, PV. PVs($) 0 200,000 400,000 600,000 800,000 1,000,000 1,200,000 1,400,000 1,600,000 1,800,000 2,000,000 -100 -90 -80 -70 -60 -50 -40 -30 -20 -10 0 10 20 30 40 50 60 70 80 90 100 Rate shifts (basis points)
  • 105.
    Luc_Faucheux_2020 105 Delta, Duration, DV01,.. Delta($/bp) 0 2,000 4,000 6,000 8,000 10,000 12,000 14,000 16,000 18,000 20,000 -95 -85 -75 -65 -55 -45 -35 -25 -15 -5 5 15 25 35 45 55 65 75 85 95 Rate shifts (basis points)
  • 106.
    Luc_Faucheux_2020 106 Delta, Duration, DV01,.. ¨Delta is the slope of the call PV. ¨ Far out-of-the-money Delta is close to 0. (Call has no value, and an increase in rates still brings no value). ¨ Deep in-the-money Delta is close to 1. (Rates are so high compared to the strike that the probability of going back under the strike and getting a zero payoff are negligible).
  • 107.
    Luc_Faucheux_2020 107 Gamma, Convexity, DV02. Gamma($/bp/bp) -50 0 50 100 150 200 250 -90 -80 -70 -60 -50 -40 -30 -20 -10 0 10 20 30 40 50 60 70 80 90 Rate shifts (basis points)
  • 108.
    Luc_Faucheux_2020 108 Gamma, Convexity, DV02. ¨Gamma is the slope of the Delta. ¨ Gamma is the convexity (change in Duration). ¨ Gamma is negligible on the wings, maximum at-the-money.
  • 109.
    Luc_Faucheux_2020 109 Vega. Vega ($/%) 0 2,000 4,000 6,000 8,000 10,000 12,000 14,000 16,000 18,000 20,000 -100 -90-80 -70 -60 -50 -40 -30 -20 -10 0 10 20 30 40 50 60 70 80 90 100 Rate shifts (basis points)
  • 110.
    Luc_Faucheux_2020 110 Vega. ¨ Vega maximumat-the-money, negligible on the wings. ¨ Options far away from the money are not options anymore.. They have no Gamma, no Vega, no time value left.
  • 111.
    Luc_Faucheux_2020 Vega ¨ Vega – Sensitivityof an option’s price to changes in the underlying’s volatility – As vol moves higher, the underlying is more likely to move away from the strike in a given amount of time K Linear Call V K VDigital Call K V Call Price Increases as Volatility Increases σ (Option) Vega ¶ ¶ = 111
  • 112.
    Luc_Faucheux_2020 112 How does theVega change? ¨ When Volatility changes: Volga. – Smile. – Volatility of volatility. ¨ When Rates change: Vanna. – Skew. – Correlation between rates and volatility. ÷ ø ö ç è æ ¶ ¶ F Vega ÷ ø ö ç è æ ¶ ¶ s Vega
  • 113.
    Luc_Faucheux_2020 113 Volga, Smile, StochasticVolatility exposure. Volga ($/%/%) -200 0 200 400 600 800 1,000 1,200 -100 -90 -80 -70 -60 -50 -40 -30 -20 -10 0 10 20 30 40 50 60 70 80 90 100 Rate shifts (basis points)
  • 114.
    Luc_Faucheux_2020 114 Volga, Smile, StochasticVolatility exposure. ¨ Volga is negligible for at-the-money options, the Vega of an at-the-money option does not depend on the level of Volatility. ¨ Volga is positive for both low strike and high strike options. ¨ Low strike and high strike options will have similar exposure to the smile.
  • 115.
    Luc_Faucheux_2020 115 Smile premium forout-of-the money options. ¨ When being long an Out-of-the-Money option, we will : – Get longer Vega when s increases. – Get shorter Vega when s decreases. ¨ When Vega hedging this Out-of-The-Money option, we will : – Sell Volatility when s increases. – Buy Volatility when s decreases. “BUY LOW, SELL HIGH” 115
  • 116.
    Luc_Faucheux_2020 Smile Premium 116 • Ifwe are long Volga: Volatility Vega Hedge P/L ? Sell Buy
  • 117.
    Luc_Faucheux_2020 117 Smile premium ¨ Atrader will be willing to pay up for an OTM option ¨ Vega hedging allows the trader to capture the smile premium. ¨ Note : this is almost identical to the regular option premium : – An option exhibits positive Gamma everywhere : being long an option, we will get longer the market as it rallies, shorter as it sells off. – Delta hedging allows the trader to capture the option premium over time. – Option premium is maximum for ATM options (maximum Gamma).
  • 118.
    Luc_Faucheux_2020 Skew Exposure: Howthe Vega Changes with Rates 118 Vega ($/%) 0 2,000 4,000 6,000 8,000 10,000 12,000 14,000 16,000 18,000 20,000 -100 -90 -80 -70 -60 -50 -40 -30 -20 -10 0 10 20 30 40 50 60 70 80 90 100 Rate shifts (basis points)
  • 119.
    Luc_Faucheux_2020 Skew Exposure: Vanna 119 •The Vanna is the slope of Vega, positive below the strike, negative above the strike • If rates increase, we get closer to the strike for high strike options, the Vega increases (positive Vanna) • If rates increase, we get further away from the strike for low strike options, the Vega decreases (negative Vanna) • High strike options and low strike options have opposite exposure to the skew
  • 120.
    Luc_Faucheux_2020 120 Vanna, Skew, Correlationexposure. Vanna ($/%/bp) -300 -200 -100 0 100 200 300 400 -95 -85 -75 -65 -55 -45 -35 -25 -15 -5 5 15 25 35 45 55 65 75 85 95 Rate shifts (basis points)
  • 121.
    Luc_Faucheux_2020 121 Vanna. ¨ The Vannais the slope of Vega, positive below the strike, negative above the strike. ¨ High strike options and low strike options have opposite exposure to the skew.
  • 122.
  • 123.
    Luc_Faucheux_2020 123 Skew premium andcorrelation. 1) How does the Vega change with the underlying ? 2) How does the volatility s change with the underlying ? - Historical - Implied
  • 124.
    Luc_Faucheux_2020 124 Changes in ratesand volatility. From the model: Vega is maximum for At-The-Money options. – Vanna is positive below the strike. – Vanna is negative above the strike. From the market: Suppose that rates and volatility are negatively correlated. – When rates increase, yield vol decreases. – When rates decrease, yield vol increases.
  • 125.
    Luc_Faucheux_2020 125 1year-1year swaption :yield vol vs. ATM rates 1y1y swaption Correlation ~ -0.9 0 10 20 30 40 50 60 70 2 3 4 5 6 7 8 ATM forward (%) yieldvol(%)
  • 126.
    Luc_Faucheux_2020 126 5year-5year swaption :yield vol vs. ATM rates 5y5y swaption Correlation ~ -0.5 10 15 20 25 30 5 5.5 6 6.5 7 7.5 8 ATM forward (%) yieldvol(%)
  • 127.
    Luc_Faucheux_2020 127 A normal world? Corelationbetween forward rates and implied normal volatility (past 360 days). 1 2 3 4 5 7 10 15 20 30 1y 2y 3y 4y 5y 7y 10y 15y 20y 30y 1m 0.64 0.49 0.35 0.23 0.07 0.09 0.15 0.16 0.13 0.11 3m 0.72 0.56 0.42 0.28 0.06 0.08 0.15 0.14 0.11 0.09 6m 0.68 0.47 0.35 0.20 0.00 0.01 0.11 0.15 0.08 0.00 1y 0.41 0.22 0.03 -0.08 -0.22 -0.16 -0.03 0.01 0.07 -0.07 18m 0.18 -0.02 -0.13 -0.20 -0.28 -0.20 -0.03 0.05 0.09 -0.08 2y -0.18 -0.19 -0.22 -0.25 -0.29 -0.21 0.00 0.11 0.12 -0.08 3y -0.13 -0.13 -0.13 -0.12 -0.18 -0.09 0.12 0.13 0.10 -0.09 4y -0.04 -0.05 -0.06 -0.09 -0.12 -0.02 0.18 0.18 0.12 -0.09 5y 0.05 0.02 -0.02 -0.05 -0.08 0.03 0.22 0.17 0.07 -0.09 7y 0.04 0.01 -0.02 -0.01 0.00 0.09 0.22 0.19 0.05 -0.11 10y 0.15 0.17 0.14 0.14 0.11 0.14 0.23 0.08 0.06 -0.21
  • 128.
    Luc_Faucheux_2020 128 A normal world? Corelationbetween forward rates and implied lognormal volatility (past 360 days). 1 2 3 4 5 7 10 15 20 30 1y 2y 3y 4y 5y 7y 10y 15y 20y 30y 1m -0.46 -0.77 -0.81 -0.82 -0.81 -0.73 -0.60 -0.51 -0.44 -0.45 3m -0.57 -0.83 -0.87 -0.89 -0.90 -0.84 -0.74 -0.67 -0.60 -0.61 6m -0.74 -0.90 -0.92 -0.93 -0.93 -0.90 -0.83 -0.79 -0.73 -0.74 1y -0.90 -0.96 -0.96 -0.96 -0.97 -0.95 -0.92 -0.87 -0.81 -0.84 18m -0.94 -0.97 -0.97 -0.96 -0.97 -0.95 -0.92 -0.87 -0.81 -0.84 2y -0.98 -0.97 -0.97 -0.96 -0.96 -0.95 -0.91 -0.85 -0.80 -0.83 3y -0.96 -0.95 -0.94 -0.95 -0.94 -0.92 -0.87 -0.79 -0.75 -0.81 4y -0.93 -0.92 -0.92 -0.92 -0.93 -0.90 -0.82 -0.72 -0.69 -0.79 5y -0.90 -0.90 -0.91 -0.91 -0.91 -0.87 -0.77 -0.67 -0.67 -0.77 7y -0.83 -0.83 -0.82 -0.81 -0.82 -0.76 -0.64 -0.59 -0.64 -0.75 10y -0.58 -0.58 -0.58 -0.58 -0.60 -0.53 -0.44 -0.51 -0.58 -0.75
  • 129.
    Luc_Faucheux_2020 129 A lognormal world? Corelationbetween forward rates and implied normal volatility (past 20 days). 1 2 3 4 5 7 10 15 20 30 1y 2y 3y 4y 5y 7y 10y 15y 20y 30y 1m -0.46 -0.77 -0.81 -0.82 -0.81 -0.73 -0.60 -0.51 -0.44 -0.45 3m -0.57 -0.83 -0.87 -0.89 -0.90 -0.84 -0.74 -0.67 -0.60 -0.61 6m -0.74 -0.90 -0.92 -0.93 -0.93 -0.90 -0.83 -0.79 -0.73 -0.74 1y -0.90 -0.96 -0.96 -0.96 -0.97 -0.95 -0.92 -0.87 -0.81 -0.84 18m -0.94 -0.97 -0.97 -0.96 -0.97 -0.95 -0.92 -0.87 -0.81 -0.84 2y -0.98 -0.97 -0.97 -0.96 -0.96 -0.95 -0.91 -0.85 -0.80 -0.83 3y -0.96 -0.95 -0.94 -0.95 -0.94 -0.92 -0.87 -0.79 -0.75 -0.81 4y -0.93 -0.92 -0.92 -0.92 -0.93 -0.90 -0.82 -0.72 -0.69 -0.79 5y -0.90 -0.90 -0.91 -0.91 -0.91 -0.87 -0.77 -0.67 -0.67 -0.77 7y -0.83 -0.83 -0.82 -0.81 -0.82 -0.76 -0.64 -0.59 -0.64 -0.75 10y -0.58 -0.58 -0.58 -0.58 -0.60 -0.53 -0.44 -0.51 -0.58 -0.75
  • 130.
    Luc_Faucheux_2020 130 A lognormal world? Corelationbetween forward rates and implied lognormal volatility (past 20 days). 1y 2y 3y 4y 5y 7y 10y 15y 20y 30y 1m 0.49 0.58 0.54 0.47 0.43 0.53 0.63 0.69 0.75 0.45 3m 0.40 0.54 0.56 0.53 0.48 0.64 0.72 0.75 0.75 0.18 6m 0.54 0.43 0.33 0.27 0.13 0.38 0.47 0.63 0.63 -0.01 1y 0.53 0.30 -0.13 -0.26 -0.41 -0.22 -0.07 0.17 0.37 0.49 18m 0.14 0.02 -0.25 -0.37 -0.44 -0.29 -0.05 0.27 0.42 0.51 2y -0.36 -0.28 -0.27 -0.32 -0.37 -0.23 0.03 0.41 0.54 0.58 3y -0.38 -0.24 -0.18 -0.14 -0.17 -0.06 0.03 0.25 0.37 0.42 4y -0.21 -0.13 -0.04 -0.07 -0.17 -0.16 0.06 0.07 0.27 0.28 5y -0.31 -0.18 -0.26 -0.25 -0.28 -0.17 -0.09 0.09 0.18 0.17 7y -0.27 -0.12 -0.17 -0.18 -0.17 -0.11 -0.04 -0.10 0.06 0.16 10y 0.00 0.10 0.08 0.21 0.31 0.19 0.16 -0.04 0.18 0.12
  • 131.
    Luc_Faucheux_2020 131 High strike option: negative skew ¨ Suppose that we are long a high strike option: ¨ When rates increase : - Vega increases. - Yield volatility decreases. We get longer Vega when s decreases. ¨ When rates decrease : - Vega decreases. - Yield volatility increases. We get shorter Vega when s increases. “SELL LOW, BUY HIGH”
  • 132.
    Luc_Faucheux_2020 132 Low strike option: positive skew ¨ Suppose that we are long a low strike option: ¨ When rates increase : - Vega decreases. - Yield volatility decreases. We get shorter Vega when s decreases. ¨ When rates decrease : - Vega increases. - Yield volatility increases. We get longer Vega when s increases. “BUY LOW, SELL HIGH”
  • 133.
    Luc_Faucheux_2020 Skew premium 133 Position RatesVega Volatility Hedge P/L ? Sell Long Vanna (long high strike) Buy Buy Short Vanna (long low strike) Sell ¨ If rates and volatility are negatively correlated:
  • 134.
    Luc_Faucheux_2020 134 It pays tobe long low strike, short high strike. • High strike options have positive Vanna. • Low strike options have negative Vanna. • When rates and yield vol are negatively correlated, it pays to be long options with negative Vanna (buy low strikes, sell high strikes).
  • 135.
    Luc_Faucheux_2020 135 Skew and smile. ¨Skew / Vanna / Correlation. ¨ Smile / Volga / Stochastic volatility. ÷ ø ö ç è æ ¶ ¶ F Vega ÷ ø ö ç è æ ¶ ¶ s Vega
  • 136.
    Luc_Faucheux_2020 136 Higher order derivatives. ¨It’s all Taylor expansion…. ¨ Check out N. Taleb “Dynamic Hedging”. ¨ Spreading options will cause the emergence of higher order effects in the portfolio….
  • 137.
    Luc_Faucheux_2020 137 Bonds and Swaps,reloaded. ¨ Wait a minute! Bond prices are convex! ¨ Discount factors are convex too! ¨ So… why can I neglect the convexity (volatility) when pricing a swap? ¨ I am still confused…..
  • 138.
    Luc_Faucheux_2020 138 Bonds and Swaps,reloaded. ¨ Wait a minute! Bond prices are convex! ¨ Discount factors are convex too! ¨ So… why can I neglect the convexity (volatility) when pricing a swap? ¨ I am still confused….. ARBITRAGE !
  • 139.
    Luc_Faucheux_2020 139 Arbitrage is relatedto Hedging. ¨ If you can hedge a complicated structure with simpler instruments, then the price of the structure has to be equal to the total price of the simpler market instruments. ¨ If not, there is an arbitrage. ¨ Structure = Linear sum of market instruments.
  • 140.
    Luc_Faucheux_2020 140 Hedging. ¨ Static Hedgevs. Dynamic Hedge. ¨ Complete Hedge vs. Partial Hedge. – Delta Hedge. – Vega Hedge. – ….
  • 141.
    Luc_Faucheux_2020 141 Risk and Arbitrage. ¨If markets willing to always arbitrage market instruments against one another…. ¨ All related instruments are equally risky, there is no arbitrage possible. ¨ Risk-free world, Risk-free measure, Risk-neutral probabilities. ¨ Arbitrage-free model.
  • 142.
    Luc_Faucheux_2020 142 The convexity changesthe Hedge. ¨ If the structure is convex with respect to the simpler market instruments.. ¨ The weights will change. ¨ There is no static hedge, there is no complete hedge. ¨ The price of S will depend on the volatility!
  • 143.
    Luc_Faucheux_2020 143 Convexity is relative,only Arbitrage is absolute. ¨ (1/x) is convex with respect to (x). ¨ (x) is convex with respect to (1/x). ¨ Bond prices are convex with respect to Bond yields. ¨ Bond yields are convex with respect to Bond prices. ¨ (the two-envelopes question)…. ¨ We have to choose a baseline, an absolute reference point.
  • 144.
    Luc_Faucheux_2020 144 Ab$olute reference. ¨ Ca$h. ¨$1 in the Bank. ¨ Rolling numeraire. ¨ Di$count curve.
  • 145.
    Luc_Faucheux_2020 145 The secret recipe:always follow the money. ¨ $1 in the Bank, and growing…. ¨ Expected Future Value of $1 deposited in the Bank. ¨ The only thing you can trust: the discount curve! (time value of money). ¨ You can only arbitrage actual cash-flows. ¨ Only the discount curve is arbitrage-free.
  • 146.
    Luc_Faucheux_2020 146 A Bond isa sum of Fixed cash flows. ¨ Remember? That’s why it’s called Fixed-Income. ¨ A Bond has zero convexity as a function of the discount factors. ¨ When pricing a Bond from the discount curve, there is no convexity adjustment, so you don’t care about the volatility of the underlying. ¨ Bonds are easy to price!
  • 147.
    Luc_Faucheux_2020 147 A swap isa linear sum of discount factors. ¨ A little harder to show. ¨ A swap has zero convexity as a function of the discount factors. ¨ When pricing a swap from the discount curve, there is no convexity adjustment, so you don’t care about the volatility of the underlying. ¨ Swaps are easy to price!
  • 148.
    Luc_Faucheux_2020 148 A forward ratehas convexity? ¨ A forward rate is a convex function of the discount factor. ¨ The expected value of a forward rate is convexity adjusted. ¨ By the way, a FRAs (Forward Rate Agreement) has no convexity. (see below when pricing the floating period of a swap)
  • 149.
    Luc_Faucheux_2020 149 A future hasconvexity? ¨ Well,….Future Price = (100 – Forward Rate). ¨ If the forward rate is convex with respect to the discount factor, so is the Future Price. ¨ Future prices are tough to price! ¨ But easy to trade
  • 150.
    Luc_Faucheux_2020 150 Bond price andBond yields. ¨ Bond prices are convex with respect to bond yields. ¨ When pricing a Bond from the yield, there IS convexity, we need to take the yield volatility into account. ¨ Again, when pricing a bond from the discounts, there is NO convexity.
  • 151.
    Luc_Faucheux_2020 151 Options have convexity? ¨Yes they do…. ¨ So will callable bonds, callable swaps, mortgages, options on mortgages, credit options, year-end bonuses,…
  • 152.
    Luc_Faucheux_2020 A swap isa weighted basket of forwards: AT-THE-MONEY ¨ Consider a swap with swap rate R (at-the-money swap rate) – Nfloat periods on the Float side with forecasted forward f(i) – indexed by i, with – daycount fraction DCF(i), – discount D(i) – Notional N(i) – Nfixed periods on the Fixed side, – indexed by j, with – daycount fraction DCF(j), – discount D(j) – Notional N(j) 𝑃𝑉 𝐹𝐿𝑂𝐴𝑇 = ) " 𝐷𝐶𝐹 𝑖 . 𝐷 𝑖 . 𝑁 𝑖 . 𝑓 𝑖 = ) # 𝐷𝐶𝐹 𝑗 . 𝐷 𝑗 . 𝑁 𝑗 . 𝑅 = 𝑃𝑉(𝐹𝐼𝑋𝐸𝐷) 152
  • 153.
    Luc_Faucheux_2020 Standard Swap periods ¨On the fixed side, coupon payment at the end of the period – Period start date (psj) – Adjusted period start date (psj_adj) – Period end date (pej) – Adjusted period end date (pej_adj) – Payment date (pmj) – PV of a period 𝑃𝑉 𝑗 = 𝐷𝐶𝐹 𝑗 . 𝐷 𝑗 . 𝑁 𝑗 . 𝑅 = 𝐷𝐶𝐹 𝑝𝑠𝑗$%#, 𝑝𝑒𝑗_𝑎𝑑𝑗 . 𝐷 𝑝𝑚# . 𝑁 𝑗 . 𝑅 ¨ On the float side, floating rate sets at the beginning of the period, and pays at the end (Libor in advance or standard Libor swap, as opposed to Libor in arrears) – PV of a period (swaplet) 𝑃𝑉 𝑖 = 𝐷𝐶𝐹 𝑖 . 𝐷 𝑖 . 𝑁 𝑖 . 𝑓 𝑖 – 𝐷𝐶𝐹 𝑖 = 𝐷𝐶𝐹 𝑝𝑠𝑖$%#, 𝑝𝑒𝑖$%# and 𝐷 𝑖 = 𝐷(𝑝𝑚𝑖) – 𝐷 𝑝𝑒𝑖 = 𝐷 𝑝𝑠𝑖 ∗ & &'()* +,",+." .0(") or – 𝐷𝐶𝐹 𝑝𝑒𝑖, 𝑝𝑠𝑖 . 𝑓 𝑖 = [1 − ( +." ( +," ] 153
  • 154.
    Luc_Faucheux_2020 Zero coupon bondson today’s curve with zero volatility ¨ Zero-coupon bonds 𝑃 𝑡&, 𝑡3 = 𝐷 𝑡&, 𝑡3 = ⁄𝐷(𝑡3) 𝐷(𝑡&) ¨ “𝑃 𝑡&, 𝑡3 is the price at time 𝑡&of a zero-coupon bond maturing at time 𝑡3” ¨ “𝑃 𝑡&, 𝑡3 is the price at time 𝑡&of a risk-free zero-coupon bond with principal $1 maturing at time 𝑡3” ¨ IT SHOULD REALLY SAY : “Using today’s discount curve at time 𝑡4, 𝑃 𝑡&, 𝑡3 is the price of a risk-free zero- coupon bond with principal $1 maturing at time 𝑡3, and the value of that price has been forward discounted to time 𝑡&, again using today’s discount curve” ¨ People love the zero coupon bonds, in many cases they make those the stochastic drivers of the rates model (HJM for example) 154
  • 155.
    Luc_Faucheux_2020 Expected Values ina non deterministic world ¨ Simply compounded spot interest rate: 𝐿(𝑡&, 𝑡3) ¨ 𝐿 𝑡&, 𝑡3 = &56(7!,7") %80 7!,7" .6(7!,7") or more simply 𝑃 𝑡&, 𝑡3 = & &'%80 7!,7" .9(7!,7") ¨ Related to how to roll the curve forward at zero volatility, ¨ Method 2 – Compute the discount factors curve – Divide all discount factors by the overnight d(t0,t1)=d(t1) – Use new discount factor curve starting at t1 ¨ So at zero volatility, when t goes from t0 to t1, the price of a zero discount bonds 𝑃 𝑡&, 𝑡3 is unchanged: 𝑃 𝑡8, 𝑡&, 𝑡3 = 𝑃 0, 𝑡&, 𝑡3 where 𝑡8 is the “curve” time in the future. ¨ NOW, if the volatility is non zero, 𝑃 1, 𝑡&, 𝑡3 ≠ 𝑃 0, 𝑡&, 𝑡3 ¨ It is only true ON AVERAGE < 𝑃 1, 𝑡&, 𝑡3 >= 𝑃 0, 𝑡&, 𝑡3 or EXP 𝑃 1, 𝑡&, 𝑡3 = 𝑃 0, 𝑡&, 𝑡3 where EXP is the Expected value (average). ¨ This is called the rolling numeraire or “bank account” numeraire: if you deposit 𝑃 0,0, 𝑡3 today to get $1 at time t2, ON AVERAGE you should also be able to invest 𝑃 0,0, 𝑡3 until time t1, then deposit it until time t2 and still get $1 155
  • 156.
    Luc_Faucheux_2020 Fixed Leg ofa swap ¨ A fixed leg of a swap is a series of fixed cash flows. ¨ Now matter how the curve moves, ON AVERAGE the price of zero coupon bonds is conserved ¨ < 𝑃 𝑡8, 𝑡&, 𝑡3 > = 𝑃 0, 𝑡&, 𝑡3 and 𝑃 𝑡8, 𝑡&, 𝑡3 = ((7#,7") ((7#,7!) ¨ In particular when t2=t1+1, 𝑃 𝑡8, 𝑡&, 𝑡& + 1 = ((7#,7!'&) ((7#,7!) = 𝑑(𝑡8, 𝑡&) ¨ So < 𝑃 𝑡8, 𝑡&, 𝑡& + 1 > = < ( 7#,7!'& ( 7#,7! > = < 𝑑(𝑡8, 𝑡&)> = 𝑃 0, 𝑡&, 𝑡& + 1 = 𝑑(0, 𝑡&) ¨ Also by recurrence < 𝐷 1, 𝑡& > ∗ 𝑑 0,1 = 𝐷(0, 𝑡&) at time t=0 ¨ At time t=1, 𝑑 1,2 is fixed and has zero volatility (will drop when t goes from 1 to 2) ¨ So < 𝐷 2, 𝑡& > ∗ 𝑑 1,2 = 𝐷(1, 𝑡&) at time t=1 ¨ So at every point in the future, if you invest then a unit of currency and ”roll” it forward (bank numeraire), the expected gain is today’s gain if you had entered into the same contract. ¨ Still another way to say, if you invest one unit of currency for a given length of time t, it is equivalent to investing overnight and rolling the proceeds everyday (the arbitrage free framework does not take credit into consideration) 156
  • 157.
    Luc_Faucheux_2020 Floating leg ofa swap ¨ A floating swaplet pays 𝐷𝐶𝐹 𝑖 . 𝑁 𝑖 . 𝑓 𝑖 and its PV is 𝑃𝑉 𝑖 = 𝐷𝐶𝐹 𝑖 . 𝐷 𝑖 . 𝑁 𝑖 . 𝑓 𝑖 ¨ Where 𝐷𝐶𝐹 𝑝𝑒𝑖, 𝑝𝑠𝑖 . 𝑓 𝑖 = [1 − ( +." ( +," ] ¨ We know from the fixed rate leg that < 𝐷 𝑖 >= 𝐷 𝑖 , but what about < 𝐷 𝑖 . 𝑓 𝑖 > ? ¨ Note, to be exact < 𝐷 𝑖 >= 𝐷 𝑖 should really read ∏7#:;7$ 𝐸𝑋𝑃{𝑡8, 𝑑(𝑡8, 𝑡8 + 1)}, where 𝐸𝑋𝑃 𝑡8, 𝑑 𝑡8, 𝑡8 + 1 is the expected value of the overnight discount between the time (tc) and (tc+1), observed up until time tc (because it drops off the curve after tc, and before tc, no matter where you observe it, its expected value is equal to today’s value) ¨ 𝐸𝑋𝑃 𝑡8, 𝑑 𝑡8, 𝑡8 + 1 = 𝐸𝑋𝑃 𝑡 < 𝑡8, 𝑑 𝑡8, 𝑡8 + 1 = 𝑑(𝑡8 + 1) ¨ Back to < 𝐷 𝑖 . 𝑓 𝑖 > , there is a little trick 157
  • 158.
    Luc_Faucheux_2020 Floating leg ofa swap ¨ Because the forward f(i) sets at the beginning of the period, once we reach the period start, everything is known about the payment, and it becomes a fixed cashflow. ¨ 𝑃𝑉 𝑖 = 𝐷𝐶𝐹 𝑖 . 𝐷 𝑖 . 𝑁 𝑖 . 𝑓 𝑖 = 𝐷𝐶𝐹 𝑖 . 𝑁 𝑖 . 𝐸𝑋𝑃 𝑝𝑠𝑖, 𝐷 𝑝𝑠𝑖 . 𝐸𝑋𝑃{𝑝𝑠𝑖, 𝐷 𝑝𝑠𝑖, 𝑝𝑒𝑖 . 𝑓 𝑖 } ¨ 𝐸𝑋𝑃 𝑝𝑠𝑖, 𝐷 𝑝𝑠𝑖 = 𝐷(𝑝𝑠𝑖) ¨ 𝐷𝐶𝐹 𝑖 . 𝐸𝑋𝑃 𝑝𝑠𝑖, 𝐷 𝑝𝑠𝑖, 𝑝𝑒𝑖 . 𝑓 𝑖 = 𝐸𝑋𝑃{𝑝𝑠𝑖, ()*(") &'()* " .0(") . 𝑓 𝑖 } ¨ Now, magic trick, < &'< = <'&5& &'< = &'<5& &'< = 1 − & &'< ¨ So, 𝐸𝑋𝑃 𝑝𝑠𝑖, ()* " &'()* " .0 " . 𝑓 𝑖 = 𝐸𝑋𝑃 𝑝𝑠𝑖, 1 − & &'()* " .0 " = 𝐸𝑋𝑃 𝑝𝑠𝑖, 1 − 𝑃 𝑝𝑠𝑖, 𝑝𝑠𝑖, 𝑝𝑒𝑖 ¨ And because the price of zero coupon bond is respected: ¨ 𝐸𝑋𝑃 𝑝𝑠𝑖, ()* " &'()* " .0 " . 𝑓 𝑖 = 1 − 𝑃 0, 𝑝𝑠𝑖, 𝑝𝑒𝑖 = 1 − & &'()* " .0 " = ()* " &'()* " .0 " . 𝑓 𝑖 158
  • 159.
    Luc_Faucheux_2020 Quick summary ¨ Inthe rolling numeraire measure, – PV of fixed cashflows are conserved (Expected value of a fixed cashflow as the curve evolves in a stochastic manner over time will converge to the fixed amount at the payment date) – Price of zero coupon bonds are conserved – Price of bonds are conserved (the price of a bond will change over time, but ON AVERAGE the price you should be willing to pay for this bond is the price you can compute today using today’s curve, because the price of a bond exhibits no convexity with respect to the discount curve changing, AS LONG as the discount curve changes in a manner that respect the Arbitrage free condition, that is that a contract where you invest X today to get Y at time T, is the same (equivalent, on average), as any contract where you invest X today, get the proceeds at some point in time in the future, then reinvest them until T.) – This is either painfully obvious or really deep. – The arbitrage free assumption does NOT know about credit – The arbitrage free assumption does NOT know about individual utility function (also called time-indifferent, it assumes that market participants are indifferent about receiving X today versus Y at time T, where the ratio Y/X is the price of today zero coupon bond maturing at time T, and that price will be conserved over time) – The Floating leg of a swap ALSO exhibit zero convexity against the discount factor curve, because it can be expressed as a linear function of discount factors, thanks to the amazing trick x=x+1-1 ¨ Other markets (equity, commodities,..) do NOT have such a strong underlying constraint that needs to be respected.. In HJM for example, we will show that respecting the arbitrage enforces zero possible choice for the drift, once the volatility is known, everything else is. 159
  • 160.
    Luc_Faucheux_2020 Outstanding questions ¨ Howdo you incorporate credit and utility function? Do you do it after the fact? Do you keep the arbitrage free framework? ¨ It was almost by chance that a regular swap PV can be expressed as a linear sum of discount factor. What happens say if the rate for each period does not set at the beginning? Or does not line up with the period dates? Will there be convexity then? Meaning that the PV of a swap will not be a linear function of the discount factors, and when those will evolve over time, the expected value of the PV will not the one computed on today’s curve. Note, again at the risk of sounding obvious that in that case today yield curve is NOT sufficient in order to be able to price such a swap, in particular you will need information about the future dynamics of rates (volatility, correlation if include in the model, skew,…) ¨ Do you really believe in an arbitrage free world in the first place? ¨ Do you view the arbitrage free framework as the first order solution in a more complicated expansion? How stable is that first order? ¨ Your turn 160
  • 161.
    Luc_Faucheux_2020 161 Can we hedgean option? ¨ Black-Scholes (1973)… Finally! ¨ A call can be continuously dynamically Delta hedged (*) with: - a cash position. - a position in the underlying. ¨ The portfolio (option + hedge) on average will return the risk-free rate. ¨ See the homework tonight. (*) within the Black-Scholes world.
  • 162.
    Luc_Faucheux_2020 Understanding Delta Hedging $100 $90with 50% probability $110 with 50% probability ¨ Let’s use the example of a stock...
  • 163.
    Luc_Faucheux_2020 How Much Shouldyou Pay for the Call ? ¨ Call struck at $100 expiring tomorrow Call = ? $0 with 50% probability $10 with 50% probability
  • 164.
    Luc_Faucheux_2020 How Much doyou Want to Pay for the Call ? ¨ Call = (1/2)*($10) + (1/2)*($0) = $5
  • 165.
    Luc_Faucheux_2020 Call PL WithoutDelta Hedging $5 $0 with 50% chance à (-$5) $10 with 50% chance à (+$5)
  • 166.
    Luc_Faucheux_2020 Can we DeltaHedge? ¨ If we are short one unit of stock we will make $10 if the market goes down, and lose $10 if the market rallies ¨ We need to Delta hedge with half a unit of the stock ¨ Delta = 50%
  • 167.
    Luc_Faucheux_2020 Understanding Risk NeutralValuation $100 $60 with 50% probability $110 with 50% probability ¨ Let’s change the game…
  • 168.
    Luc_Faucheux_2020 So How Muchfor this Call? ¨ Still $5? Well… the market has more of a chance of a bigger move, so the option should be more valuable…
  • 169.
    Luc_Faucheux_2020 The Beauty ofDelta Hedging P=C–D.S P(down) = 0 – D.(-40) P(up) = 10 – D.10
  • 170.
    Luc_Faucheux_2020 Delta Hedging isRemoving the Risk P(up) = P(down) 10–D.10 = 0 – D.(-40) D = (10/50) = 0.2
  • 171.
    Luc_Faucheux_2020 Once we Knowthe Delta we Know the Option Price P(up) = 10 – (0.2) x 10 = $8 P(down) = – (0.2) x (-40) = $8 The call is worth $8!
  • 172.
    Luc_Faucheux_2020 A Few Remarks ¨Delta hedging eliminates the exposure to the market ¨ Delta hedging reduces the variance of the PL, not the expected PL ¨ Once we know the Delta, we can calculate the option price (this is what Black and Scholes did in 1973) ¨ Delta hedging generates positive PL when being long Gamma
  • 173.
    Luc_Faucheux_2020 Risk Neutral World… ¨Delta hedging brings us into a risk-neutral world ¨ If the call is worth $8, then the probabilities have to be 80% and 20%… $100 $60 with 20% probability $110 with 80% probability
  • 174.
    Luc_Faucheux_2020 Risk Neutral Probabilities… ¨These are the probabilities that make the expected value of the stock price $100 (risk-free rate return) ¨ In a risk-neutral world, all assets return the risk-free rate ¨ Black-Scholes showed that Delta hedging implies that we have no choice for the option price: we have to price the option using the risk-neutral probabilities (we have to place ourselves in a risk-neutral world) ¨ Black-Sholes simultaneously solves for the delta and for the call price ¨ In that case the portfolio of the call and the Delta hedge will also return the risk-free rate… (ONLY on average!)
  • 175.
    Luc_Faucheux_2020 We Understood alot! ¨ Portfolio replication ¨ Delta hedging ¨ Risk-neutral valuation ¨ Black-Scholes
  • 176.
    Luc_Faucheux_2020 Delta Hedging isGood… ¨ It allows us to price an option (Black-Scholes) ¨ It reduces the PL variance ¨ It allows us to capture the Time Value of the option (lock-in the value of the option)
  • 177.
    Luc_Faucheux_2020 Delta Hedging andDelta Re-Hedging ¨ Being long an option is being long convexity ¨ Being long an option is being long Gamma ¨ We will get longer the market when it rallies ¨ We will get shorter the market when it sells off ¨ When re-hedging… ¨ We will sell the market when it rallies (SELL HIGH) ¨ We will buy the market when it sells off (BUY LOW)
  • 178.
    Luc_Faucheux_2020 Delta Hedging ¨ Byre-hedging the option over time, we accumulate positive PL on the hedge… ¨ We also lose money from time decay ¨ Delta hedging allows us to realize the Time Value of the option
  • 179.
    Luc_Faucheux_2020 Delta Hedging ¨ Ifthe market moves more than the implied volatility at which we bought it, we will realize more money in the Delta hedging than we will lose in time decay ¨ If the market moves less than the implied volatility at which we bought it, we will realize less money in the Delta hedging than we will lose in time decay (move more or less in the regions of high convexity)
  • 180.
    Luc_Faucheux_2020 180 Quick summary (whendo you have to come talk to your favorite option trader and not to your swap trader). ¨ A bond is a linear sum of discount factors à Swaps. ¨ A FRA is a linear function of discount factors à Swaps. ¨ A future is a convex function of discount factors à Option (?!). ¨ A swap is a linear function of discount factors à Swaps. ¨ A swap resetting in arrears is convex à Option. ¨ A swap on a CMS index is convex à Option. ¨ FINALLY… an option is a convex payoff à Option (duh!). ¨ A swap denominated in USD dollars whose CSA (Credit Support Annex) states that the collateral is Euro cash, with a zero floor embedded in the CSA ¨ A swap that is not at-the-money facing a risky counterparty ¨ A swap that is at-the-money facing a risky counterparty
  • 181.
    Luc_Faucheux_2020 Black-Sholes revisited ¨ Itolemma and Ito calculus ¨ Black Sholes derivation ¨ Issues around Black-Sholes 181
  • 182.
    Luc_Faucheux_2020 Why this wholething about Ito calculus? ¨ Hull – White chapters 13, 14 and 15 ¨ People got excited about stock prices trading as a percentage (people expect a “return”), p.306, and so what mattered was the return of the stock 𝑆, or ⁄∆𝑆 𝑆 ¨ So then they started writing things like : 𝑑𝑆 = 𝜇. 𝑆. 𝑑𝑡 + 𝜎. 𝑆. 𝑑𝑧, (p.307) ¨ And then they got stuck, because 𝑑𝑥 = 𝑎 𝑥, 𝑡 . 𝑑𝑡 + 𝑏 𝑥, 𝑡 . 𝑑𝑧, where 𝑏 𝑥, 𝑡 is a function of the stochastic variable 𝑥, is not something we know how to deal with (p.306, and no, it is NOT a “small approximation” as they claim) ¨ So you need to use a ”guess” on how to deal with 𝑏 𝑥, 𝑡 , which is why it is called a “lemma” ¨ Ito (1951) guessed that you can write 𝑑𝑥 = 𝑎 𝑥, 𝑡 . 𝑑𝑡 + 𝑏 𝑥, 𝑡 . 𝑑𝑧 as ∆𝑥 = 𝑎 𝑥, 𝑡 . ∆𝑡 + 𝑏 𝑥, 𝑡 . ∆𝑧 or δ𝑥 = 𝑎 𝑥, 𝑡 . 𝛿𝑡 + 𝑏 𝑥, 𝑡 . 𝛿𝑧 ¨ That seems like a good guess but then the rules of calculus are no longer applicable, you can barely derive without making a mistake, and forget about trying to integrate (p. 311) ¨ Now you get this weird thing where 𝑑 𝑙𝑛𝑆 = ( ⁄𝑑𝑆 𝑆) − ( ⁄𝜎' 2). 𝑑𝑡, (p.312) 18 2
  • 183.
    Luc_Faucheux_2020 Hull p.306, 10thedition ¨ Ito process ¨ A further type of stochastic process, known as an Ito process, can be defined. This is a generalized Wiener process in which the parameters 𝑎 and 𝑏 are functions of the value of the underlying variable 𝑥 and time 𝑡. An Ito process can therefore be written as: 𝑑𝑥 = 𝑎 𝑥, 𝑡 . 𝑑𝑡 + 𝑏 𝑥, 𝑡 . 𝑑𝑧 ¨ Both the expected drift rate and variance rate of an Ito process are liable to change over time. They are function of the current value of 𝑥 and the current time 𝑡. In a small time interval between 𝑡 and 𝑡 + ∆𝑡 , the variable change from 𝑥 to (𝑥 + ∆𝑥), where: ∆𝑥 = 𝑎 𝑥, 𝑡 . ∆𝑡 + 𝑏 𝑥, 𝑡 . ∆𝑧 ¨ This equation involves a small approximation. It assumes that the drift and variance rate of x remains constant, equal to their values a time 𝑡, in the time interval between 𝑡 and 𝑡 + ∆𝑡 , even though during that time interval the variable 𝑥 has ”jumped” by ∆𝑥 ¨ There is somewhat of a recursion in the above argument (Zeno’s arrow paradox) ¨ There is also the fact that the discrete version is NOT and approximation, it is a choice (Ito) as opposed to an equally valid other choice (Stratonovitch for example) 183
  • 184.
    Luc_Faucheux_2020 Hull p.329 ¨ 𝑑𝑆= 𝜇. 𝑆. 𝑑𝑡 + 𝜎. 𝑆. 𝑑𝑧 ¨ We note 𝑓 the price of a derivative contingent on 𝑆, like the price of a call option. ¨ Applying Ito lemma within Ito calculus, ¨ 𝑑𝑓 𝑆, 𝑡 = !( !) . 𝑑𝑆 + !( !# 𝑑𝑡 + & ' !!( !)! . (𝑑𝑆)'+ & ' !!( !#! . (𝑑𝑡)'+ !!( !#!) . (𝑑𝑡. 𝑑𝑆) + 𝒪 … ¨ Expressing this in terms of the variables 𝑑𝑡 and 𝑑𝑧 ¨ 𝑑𝑓 𝑆, 𝑡 = !( !) . 𝜇. 𝑆. 𝑑𝑡 + !( !# 𝑑𝑡 + & ' !!( !)! . 𝜎'. 𝑆'. 𝑑𝑡 + !( !) . 𝜎. 𝑆. 𝑑𝑧 ¨ 𝑑𝑓 𝑆, 𝑡 = !( !) . 𝜇. 𝑆 + !( !# + & ' !!( !)! . 𝜎'. 𝑆' . 𝑑𝑡 + !( !) . 𝜎. 𝑆. 𝑑𝑧 184
  • 185.
    Luc_Faucheux_2020 Hull p.330 ¨ 𝑑𝑓𝑆, 𝑡 = !( !) . 𝜇. 𝑆 + !( !# + & ' !!( !)! . 𝜎'. 𝑆' . 𝑑𝑡 + !( !) . 𝜎. 𝑆. 𝑑𝑧 ¨ This is the SDE that 𝑓 𝑆, 𝑡 follows ¨ The term in front of the stochastic driver is quite complicated: !( !) . 𝜎. 𝑆 ¨ What if we were to create a portfolio composed of this contingent claim 𝑓 𝑆, 𝑡 and some units of the underlying stock 𝑆? ¨ More precisely let’s construct a portfolio Π = 𝑓 − (𝐷𝑒𝑙𝑡𝑎). 𝑆 ¨ Π = 𝑓 − (𝐷𝑒𝑙𝑡𝑎). 𝑆 ¨ 𝑑Π = 𝑑𝑓 − (𝐷𝑒𝑙𝑡𝑎). 𝑑𝑆 and 𝑑𝑆 = 𝜇. 𝑆. 𝑑𝑡 + 𝜎. 𝑆. 𝑑𝑧 ¨ 𝑑Π = !( !) . 𝜇. 𝑆 + !( !# + & ' !!( !)! . 𝜎'. 𝑆' − 𝐷𝑒𝑙𝑡𝑎 . 𝜇. 𝑆 . 𝑑𝑡 + ( !( !) . 𝜎. 𝑆 − 𝐷𝑒𝑙𝑡𝑎 . 𝜎. 𝑆). 𝑑𝑧 185
  • 186.
    Luc_Faucheux_2020 The beauty ofDelta hedging: from SDE to PDE ¨ 𝑑Π = !( !) . 𝜇. 𝑆 + !( !# + & ' !!( !)! . 𝜎'. 𝑆' − 𝐷𝑒𝑙𝑡𝑎 . 𝜇. 𝑆 . 𝑑𝑡 + ( !( !) . 𝜎. 𝑆 − 𝐷𝑒𝑙𝑡𝑎 . 𝜎. 𝑆). 𝑑𝑧 ¨ If we fix 𝐷𝑒𝑙𝑡𝑎 = !( !) , we then obtain ¨ 𝑑Π = !( !# + & ' !!( !)! . 𝜎'. 𝑆' . 𝑑𝑡 ¨ This is NOT and SDE anymore !! Does not depend on 𝑑𝑧. Does not depend on 𝜇 ¨ This is wonderful, we do not have to worry about Ito, Stratonovitch, and all that stochastic calculus that no one understands (well we still do because as soon as we change the function we will still have to deal with Ito lemma) ¨ The portfolio is “riskless”, the change in the value of the portfolio does not depends on the risk driver 𝑑𝑧 ¨ Because the portfolio is “riskless”, it should return the same rate as the risk-free rate 𝑟 ¨ 𝑑Π = 𝑟. Π . 𝑑𝑡 186
  • 187.
    Luc_Faucheux_2020 The final diffusionequation ¨ 𝑑Π = !( !# + & ' !!( !)! . 𝜎'. 𝑆' . 𝑑𝑡 ¨ 𝑑Π = 𝑟. Π . 𝑑𝑡 ¨ Π = 𝑓 − 𝐷𝑒𝑙𝑡𝑎 . 𝑆 = 𝑓 − !( !) . 𝑆 ¨ !( !# + & ' !!( !)! . 𝜎'. 𝑆' = 𝑟. (𝑓 − !( !) . 𝑆) ¨ !( !# + 𝑟. 𝑆. !( !) + & ' !!( !)! . 𝜎'. 𝑆' = 𝑟. 𝑓 ¨ This is the Black-Sholes-Merton equation. ¨ It is a diffusion equation, subject to the proper boundary conditions ¨ for a call, at maturity 𝑡 = 𝑇, 𝑓 𝑆, 𝑇 = 𝑀𝐴𝑋(𝑆 − 𝐾, 0) 187
  • 188.
    Luc_Faucheux_2020 An example ofgoing back and checking our assumptions ¨ Hold on a second, 𝐷𝑒𝑙𝑡𝑎 = !( !) , and so is ALSO a function of 𝑆 and 𝑡 ¨ Π = 𝑓 − ( !( !) ). 𝑆 ¨ 𝑑Π = 𝑑𝑓 − !( !) . 𝑑𝑆 − 𝑆. 𝑑( !( !) (𝑆, 𝑡)) ¨ 𝑑Π = 𝑑𝑓 − !( !) . 𝑑𝑆 − 𝑆. { !!( !)! . 𝑑𝑆 + !!( !)!# . 𝑑𝑆. 𝑑𝑡 + & ' . !=( !)= . 𝑑𝑆. 𝑑𝑆} ¨ 𝑑Π = !( !) . 𝜇. 𝑆 + !( !# + & ' !!( !)! . 𝜎'. 𝑆' . 𝑑𝑡 + !( !) . 𝜎. 𝑆. 𝑑𝑧 − !( !) . 𝑑𝑆 − 𝑆. { !!( !)! . 𝑑𝑆 + !!( !)!# . 𝑑𝑆. 𝑑𝑡 + & ' . !=( !)= . 𝑑𝑆. 𝑑𝑆} ¨ 𝑑Π = !( !) . 𝜇. 𝑆 + !( !# + & ' !!( !)! . 𝜎'. 𝑆' . 𝑑𝑡 + !( !) . 𝜎. 𝑆. 𝑑𝑧 − !( !) . (𝜇. 𝑆. 𝑑𝑡 + 𝜎. 𝑆. 𝑑𝑧) − 𝑆. { !!( !)! . (𝜇. 𝑆. 𝑑𝑡 + 𝜎. 𝑆. 𝑑𝑧) + & ' . !=( !)= . 𝜎'. 𝑆'. 𝑑𝑡} 188
  • 189.
    Luc_Faucheux_2020 We just madethings worse ¨ 𝑑Π = !( !# + & ' !!( !)! . 𝜎'. 𝑆' . 𝑑𝑡 − 𝑆. { !!( !)! . (𝜇. 𝑆. 𝑑𝑡 + 𝜎. 𝑆. 𝑑𝑧) + & ' . !=( !)= . 𝜎'. 𝑆'. 𝑑𝑡} ¨ Argghh !!!! It is still and SDE with now higher order terms. ¨ In particular !!( !)! . (𝜎. 𝑆. 𝑆). 𝑑𝑧, and now also a !=( !)= ??? ¨ So this is really not working as we hoped 189
  • 190.
    Luc_Faucheux_2020 So what iswrong ? ¨ Footnote in Hull p.330 ¨ This derivation in equation (15.16) is not completely rigorous. We need to justify ignoring the changes in !( !) (𝑆, 𝑡) in the time interval between 𝑡 and 𝑡 + ∆𝑡 in equation (15.13). A more rigorous derivation involves setting up a self-financing portfolio (i.e. a portfolio that requires no infusion or withdrawal of money) ¨ The bottom line is : 𝑓 𝑆, 𝑡 is “truly” stochastic and the full Ito lemma applies ¨ 𝐷𝑒𝑙𝑡𝑎 = !( !) (𝑆, 𝑡) is not truly stochastic because in practice, it is discrete, it is the amount of hedge we put in the portfolio at a given point in time, and gets “re-balanced” to the new value of !( !) (𝑆 + ∆𝑆, 𝑡 + ∆𝑡) , it does not move the way the underlier 𝑆 or the contingent claim 𝑓(𝑆, 𝑡) evolves ¨ It is still less than satisfying as a rigorous answer 190
  • 191.
    Luc_Faucheux_2020 Hull p.329 ¨ Thestock price follows the process 𝑑𝑆 = 𝜇. 𝑆. 𝑑𝑡 + 𝜎. 𝑆. 𝑑𝑧 ¨ The short selling of securities with full use of proceeds is permitted ¨ There are no transaction costs or taxes. All securities are perfectly divisible ¨ There are no dividends during the life of the derivative ¨ There are no riskless arbitrage opportunities ¨ Security trading is continuous and delta hedging is continuous ¨ The risk free rate of interest is constant and the same for all maturities 191
  • 192.
    Luc_Faucheux_2020 Assumption I ¨ Thestock price follows the process 𝑑𝑆 = 𝜇. 𝑆. 𝑑𝑡 + 𝜎. 𝑆. 𝑑𝑧 192
  • 193.
    Luc_Faucheux_2020 Assumption II ¨ Theshort selling of securities with full use of proceeds is permitted 193
  • 194.
    Luc_Faucheux_2020 Assumption III ¨ Thereare no transaction costs or taxes. All securities are perfectly divisible 194
  • 195.
    Luc_Faucheux_2020 Assumption IV ¨ Thereare no dividends during the life of the derivative ¨ That could be incorporated using some simplifying assumptions. ¨ Usual assumption is that the asset (stock) receives a continuous and constant dividend yield (𝐷𝑌) ¨ This means that over a time period (𝑑𝑡) the holder of the asset 𝑆 receives an amount 𝐷𝑌 . 𝑆. 𝑑𝑡 ¨ let’s construct a portfolio Π = 𝑓 − (𝐷𝑒𝑙𝑡𝑎). 𝑆 ¨ 𝑑Π = !( !) . 𝑑𝑆 + !( !# . 𝑑𝑡 + & ' !!( !)! . 𝜎'. 𝑆'. 𝑑𝑡 − 𝐷𝑒𝑙𝑡𝑎 . 𝑑𝑆− 𝐷𝑒𝑙𝑡𝑎 .(DY).S.dt ¨ Compared to the previous : 𝑑Π = !( !) . 𝑑𝑆 + !( !# . 𝑑𝑡 + & ' !!( !)! . 𝜎'. 𝑆'. 𝑑𝑡 − 𝐷𝑒𝑙𝑡𝑎 . 𝑑𝑆 195
  • 196.
    Luc_Faucheux_2020 Assumption IV -b ¨ 𝑑Π = !( !) . 𝜇. 𝑆 + !( !# + & ' !!( !)! . 𝜎'. 𝑆' − 𝐷𝑒𝑙𝑡𝑎 . 𝜇. 𝑆 . 𝑑𝑡 + ( !( !) . 𝜎. 𝑆 − 𝐷𝑒𝑙𝑡𝑎 . 𝜎. 𝑆). 𝑑𝑧 ¨ Becomes ¨ 𝑑Π = !( !) . 𝜇. 𝑆 + !( !# + & ' !!( !)! . 𝜎'. 𝑆' − 𝐷𝑒𝑙𝑡𝑎 . 𝜇. 𝑆 − 𝐷𝑒𝑙𝑡𝑎 . 𝐷𝑌 . 𝑆 . 𝑑𝑡 + ( !( !) . 𝜎. 𝑆 − 𝐷𝑒𝑙𝑡𝑎 . 𝜎. 𝑆). 𝑑𝑧 ¨ If we fix 𝐷𝑒𝑙𝑡𝑎 = !( !) , we then obtain ¨ 𝑑Π =. !( !# + & ' !!( !)! . 𝜎'. 𝑆' − !( !) . 𝐷𝑌 . 𝑆 𝑑𝑡 = 𝑟. Π. 𝑑𝑡 = 𝑟(𝑓 − !( !# . 𝑆). 𝑑𝑡 ¨ !( !# + 𝑟. 𝑆. !( !) + & ' !!( !)! . 𝜎'. 𝑆' = 𝑟. 𝑓 becomes !( !# + [𝑟 − 𝐷𝑌 ]. 𝑆. !( !) + & ' !!( !)! . 𝜎'. 𝑆' = 𝑟. 𝑓 196
  • 197.
    Luc_Faucheux_2020 Assumption IV -c ¨ A constant dividend yield is akin to changing the risk-free rate 𝑟 to [𝑟 − 𝐷𝑌 ] but NOT everywhere, only in the part of the equation that relates to the Delta hedging ¨ So essentially 𝑑𝑆 = 𝜇. 𝑆. 𝑑𝑡 + 𝜎. 𝑆. 𝑑𝑧 becomes 𝑑𝑆 = (𝜇 − 𝐷𝑌 ). 𝑆. 𝑑𝑡 + 𝜎. 𝑆. 𝑑𝑧 ¨ Or in the risk neutral valuation that was possible from Delta hedging ¨ 𝑑𝑆 = 𝑟. 𝑆. 𝑑𝑡 + 𝜎. 𝑆. 𝑑𝑧 becomes 𝑑𝑆 = (𝑟 − 𝐷𝑌 ). 𝑆. 𝑑𝑡 + 𝜎. 𝑆. 𝑑𝑧 ¨ BUT this is only an adjustment to the stock price process (the portfolio as other riskless securities will still return the risk-free 𝑟) 197
  • 198.
    Luc_Faucheux_2020 Assumption V ¨ Thereare no riskless arbitrage opportunities 198
  • 199.
    Luc_Faucheux_2020 Assumption VI ¨ Securitytrading is continuous and delta hedging is continuous ¨ It is not clear what “continuous” actually means even though is it being used quite a lot in textbooks. ¨ We know for a fact that we need to write something like 𝐷𝑒𝑙𝑡𝑎 = !( !) ¨ But also we treat 𝐷𝑒𝑙𝑡𝑎 as a ”constant” over the stochastic jump ¨ So we mathematically did NOT treat 𝐷𝑒𝑙𝑡𝑎 as a full stochastic variable, or a continuous Brownian process even though we are using Ito lemma on 𝑓 𝑆, 𝑡 199
  • 200.
    Luc_Faucheux_2020 Assumption VII ¨ Therisk free rate of interest is constant and the same for all maturities 200
  • 201.
    Luc_Faucheux_2020 Risk-Neutral probabilities ¨ Ifwe fix 𝐷𝑒𝑙𝑡𝑎 = !( !) , we then obtain 𝑑Π = !( !# + & ' !!( !)! . 𝜎'. 𝑆' . 𝑑𝑡 = 𝑟. Π . 𝑑𝑡 ¨ This is NOT and SDE anymore !! Does not depend on 𝑑𝑧. Does not depend on 𝜇 ¨ So the option price follows an equation that does NOT depend on the drift 𝜇 anymore ¨ It will depend on the risk-free rate 𝑟 ¨ In a way different people could have different estimate for the drift of the stock, they will still agree on the same option price, and will have to use the risk-free drift (risk neutral probabilities) to value the option. ¨ This is seen again in the currency options, where traders in each of their native currencies (numeraire) will obviously have different local risk free rates, yet will agree on the option price on the currency pair (“2-countries paradox”) 201
  • 202.
    Luc_Faucheux_2020 Delta hedging ¨ Deltahedging does not change the expected profit, it changes the distribution of tose expected profit ¨ Delta hedging brings the option price into the risk-neutral world (does not depend on the drift (𝜇. 𝑆) anymore ¨ The Delta hedging argument assumes that “rebalancing” is possible at no cost 202
  • 203.
    Luc_Faucheux_2020 Changing the variablesin order to simplify the problem 𝜕𝑓 𝜕𝑡 + 𝑟. 𝑆. 𝜕𝑓 𝜕𝑆 + 1 2 𝜕' 𝑓 𝜕𝑆' . 𝜎'. 𝑆' = 𝑟. 𝑓 ¨ Because we are receiving the payoff at time 𝑡 = 𝑇, it seems natural to write ¨ 𝑓 𝑆, 𝑡 = 𝑔(𝑆, 𝑡)𝑒*+(-*#) ¨ This only changes the derivatives with respect to time ¨ !( !# = !/ !# . 𝑒*+(-*#) + 𝑟. 𝑓 𝑆, 𝑡 ¨ !( !) = !/ !) . 𝑒*+(-*#) ¨ !!( !)! = !!/ !)! . 𝑒*+(-*#) ¨ !/ !# . 𝑒*+(-*#) + 𝑟. 𝑓 𝑆, 𝑡 + 𝑟. 𝑆. !/ !) . 𝑒*+(-*#) + & ' !!/ !)! . 𝑒*+(-*#). 𝜎'. 𝑆' = 𝑟. 𝑓 203
  • 204.
    Luc_Faucheux_2020 Simplifying the BlackSholes equation II ¨ !/ !# . 𝑒*+(-*#) + 𝑟. 𝑓 𝑆, 𝑡 + 𝑟. 𝑆. !/ !) . 𝑒*+(-*#) + & ' !!/ !)! . 𝑒*+(-*#). 𝜎'. 𝑆' = 𝑟. 𝑓 ¨ !/ !# + 𝑟. 𝑆. !/ !) + & ' !!/ !)! . 𝜎'. 𝑆' = 0 ¨ Looks nicer ¨ Because we are looking at something that is going to diffuse “backward” from the payoff at expiry, again it seems natural to put ourselves in the time frame 𝜏 = 𝑇 − 𝑡 ¨ !/ !# + 𝑟. 𝑆. !/ !) + & ' !!/ !)! . 𝜎'. 𝑆' = 0 ¨ !/ !0 = 𝑟. 𝑆. !/ !) + & ' !!/ !)! . 𝜎'. 𝑆' ¨ Starting to look like a diffusion equation except for a first order term (drift) 204
  • 205.
    Luc_Faucheux_2020 Simplifying the BlackSholes equation III 𝜕𝑔 𝜕𝜏 = 𝑟. 𝑆. 𝜕𝑔 𝜕𝑆 + 1 2 𝜕' 𝑔 𝜕𝑆' . 𝜎'. 𝑆' ¨ The diffusion coefficient scales as the square of the asset ¨ So clearly we would like to simplify that and have something like !!/ !)! . 𝑆'~𝑐𝑡𝑒 ¨ So !!/ !)! ~𝑆*', which reminds us of !/ !) ~𝑆*&, and 𝑔~𝐿𝑛(𝑆) ¨ So let’s have a new variable 𝜉 = 𝐿𝑛(𝑆) ¨ !/ !) = !/ !1 . & ) = !/ !1 . 𝑒*1 ¨ !!/ !)! = ! !) . !/ !) = ! !) . !/ !1 . & ) = *& )! . !/ !1 + & ) . ! !) . !/ !1 = *& )! . !/ !1 + & ) . !!/ !1! . & ) ¨ !!/ !)! = − !/ !1 . 𝑒*'1 + !!/ !1! . 𝑒*'1 205
  • 206.
    Luc_Faucheux_2020 Simplifying the BlackSholes equation IV ¨ !/ !0 = 𝑟. 𝑆. !/ !) + & ' !!/ !)! . 𝜎'. 𝑆' with 𝜉 = 𝐿𝑛(𝑆) ¨ !/ !) = !/ !1 . & ) = !/ !1 . 𝑒*1 ¨ !!/ !)! = − !/ !1 . 𝑒*'1 + !!/ !1! . 𝑒*'1 ¨ !/ !0 = (𝑟 − & ' . 𝜎'). !/ !1 + & ' !!/ !1! . 𝜎' ¨ Note that this is a little more nicely symmetrical around 0 as if 𝑆 ∈ [0, +∞] we now have ξ ∈ [−∞, +∞] ¨ Note also that now the coefficients of this equation are NOT function of the variable ξ ¨ We are certainly getting somewhere 206
  • 207.
    Luc_Faucheux_2020 Simplifying the BlackSholes equation V 𝜕𝑔 𝜕𝜏 = (𝑟 − 1 2 . 𝜎'). 𝜕𝑔 𝜕𝜉 + 1 2 𝜕' 𝑔 𝜕𝜉' . 𝜎' ¨ We would like to get rid of the first term (first order or also drift) ¨ If there was no second term (diffusive term), the equation would just read ¨ !/ !0 = (𝑟 − & ' . 𝜎'). !/ !1 , which if we note 𝑅2 = (𝑟 − & ' . 𝜎'), indicates that we should look for something like 𝑥 = 𝜉 + 𝑅2. τ for a function ℎ(𝜏, 𝑥) ¨ More formally we want to got from 𝑔(𝜏, 𝜉) to ℎ(𝜏3, 𝑥) where: ¨ d 𝜏3 = 𝜏 𝑥 = 𝜉 + 𝑅2. τ 207
  • 208.
    Luc_Faucheux_2020 Simplifying the BlackSholes equation VI 𝜕𝑔 𝜕𝜏 = (𝑟 − 1 2 . 𝜎'). 𝜕𝑔 𝜕𝜉 + 1 2 𝜕' 𝑔 𝜕𝜉' . 𝜎' ¨ 𝑔 𝜏, 𝜉 = ℎ(𝜏3, 𝑥) ¨ 𝜏3 = 𝜏 !03 !0 = 1 !03 !1 = 0 ¨ 𝑥 = 𝜉 + 𝑅2. τ !4 !0 = 𝑅2 !4 !1 = 1 ¨ !/ !0 = !5 !03 . !03 !0 + !5 !4 . !4 !0 = !5 !03 + 𝑅2. !5 !4 ¨ !/ !1 = !5 !03 . !03 !1 + !5 !4 . !4 !1 = !5 !4 ¨ !!/ !1! = ! !1 . !/ !1 = ! !1 . !5 !4 = ! !0> !5 !4 . !03 !1 + ! !4 !5 !4 . !4 !1 = ! !4 !5 !4 = !!5 !4! 208
  • 209.
    Luc_Faucheux_2020 Simplifying the BlackSholes equation VII 𝜕𝑔 𝜕𝜏 = (𝑟 − 1 2 . 𝜎'). 𝜕𝑔 𝜕𝜉 + 1 2 𝜕' 𝑔 𝜕𝜉' . 𝜎' ¨ 𝑔 𝜏, 𝜉 = ℎ(𝜏3, 𝑥) ¨ !5 !03 + 𝑅2. !5 !4 = 𝑅2. !5 !4 + & ' !!5 !4! . 𝜎' 𝜕ℎ 𝜕𝜏′ = 1 2 𝜕'ℎ 𝜕𝑥' . 𝜎' ¨ That is a nice looking diffusion equation with constant diffusion coefficients, we know how to deal with it, we know a solution (Gaussian distribution), we can also use linearity arguments (A linear combination of solutions is also a solution) 209
  • 210.
    Luc_Faucheux_2020 Simplifying the BlackSholes equation VIII 𝜕𝑓 𝜕𝑡 + 𝑟. 𝑆. 𝜕𝑓 𝜕𝑆 + 1 2 𝜕' 𝑓 𝜕𝑆' . 𝜎'. 𝑆' = 𝑟. 𝑓 ¨ 𝑓 𝑆, 𝑡 = ℎ 𝜏3, 𝑥 . 𝑒*+(-*#) ¨ 𝜏′ = 𝑇 − 𝑡 ¨ 𝑥 = 𝐿𝑛 𝑆 + (𝑟 − & ' . 𝜎')(𝑇 − 𝑡) 𝜕ℎ 𝜕𝜏′ = 1 2 𝜕'ℎ 𝜕𝑥' . 𝜎' 210
  • 211.
    Luc_Faucheux_2020 Solution of thediffusion equation I ¨ We could use what we know about the diffusion equation and use the Gaussian function as a solution. ¨ We can also keep changing the variables in order to check one more time that our math is right ¨ !5 !0 = & ' !!5 !4! . 𝜎' ¨ We know that the Gaussian is only a function of a single variable that is itself a function of the time and space (𝜏 and 𝑥), so we kind of cheat and look for something like : ¨ ℎ 𝜏, 𝑥 = 𝜏6. 𝜑((𝑥 − 𝑥7)/𝜏8) ¨ Where 𝛼, 𝛽and 𝑥7are constant, and we are dealing with a single variable function 𝜑 ¨ In that case we hope to be dealing with an ODE (Ordinary Differential Equation) as opposed to a PDE (Partial Differential Equation) ¨ Note that for sake of simplicity we dropped the ‘ and just use 𝜏 instead of 𝜏′ 211
  • 212.
    Luc_Faucheux_2020 Solution of thediffusion equation II 212 ¨ !5 !0 = & ' 𝜎' !!5 !4! ¨ ℎ 𝜏, 𝑥 = 𝜏6. 𝜑((𝑥 − 𝑥7)/𝜏8) ¨ !5 !0 = 𝛼. 𝜏6*&. 𝜑 4*4? 0@ − 𝜏6. ! !0 ( 4*4? 0@ ). 𝜑′ 4*4? 0@ ¨ !5 !0 = 𝛼. 𝜏6*&. 𝜑 4*4? 0@ − 𝜏6. 𝛽. 4*4? 0@AB . 𝜑′ 4*4? 0@ ¨ !5 !4 = 𝜏6. 𝜏*8. 𝜑′ 4*4? 0@ ¨ !!5 !4! = 𝜏6. 𝜏*8. 𝜏*8. 𝜑′′ 4*4? 0@ ¨ 𝛼. 𝜏6*&. 𝜑 4*4? 0@ − 𝜏6. 𝛽. 4*4? 0@AB . 𝜑′ 4*4? 0@ = & ' 𝜎'. 𝜏6. 𝜏*8. 𝜏*8. 𝜑′′ 4*4? 0@
  • 213.
    Luc_Faucheux_2020 Solution of thediffusion equation III 213 ¨ Regrouping the terms we get: ¨ 𝛼. 𝜏6*&. 𝜑 4*4? 0@ − 𝜏6. 𝛽. 4*4? 0@AB . 𝜑′ 4*4? 0@ = & ' 𝜎'. 𝜏6. 𝜏*8. 𝜏*8. 𝜑′′ 4*4? 0@ ¨ 𝜏6*&. 𝛼. 𝜑 4*4? 0@ − 𝜏6*&. 𝛽. 4*4? 0@ . 𝜑′ 4*4? 0@ = & ' 𝜎'. 𝜏6. 𝜏*8. 𝜏*8. 𝜑′′ 4*4? 0@ ¨ 𝜏6*&{𝛼. 𝜑 4*4? 0@ − 𝛽. 4*4? 0@ . 𝜑′ 4*4? 0@ } = 𝜏6*'8{ & ' 𝜎'. 𝜑′′ 4*4? 0@ } ¨ So we would like to remove the terms that are powers of 𝜏, this would make things easier ¨ So if 𝛼 − 1 = 𝛼 − 2. 𝛽, or 𝛽 = 1/2, the equations simplifies to ¨ 𝛼. 𝜑 4*4? 0@ − 𝛽. 4*4? 0@ . 𝜑′ 4*4? 0@ = & ' 𝜎'. 𝜑′′ 4*4? 0@
  • 214.
    Luc_Faucheux_2020 Solution of thediffusion equation IV 214 ¨ We also know from the diffusion part, that we are going to end up with something that is a probability density function most likely, and so we would like the integral of this over space for any given time to be a constant (=1), and be conserved. ¨ So this is clearly another constraint that we are at a liberty to enforce ¨ So C = ∫*9 :9 𝜏6. 𝜑 4*4? 0@ . 𝑑𝑥 should be a constant, and should not depend on time ¨ Doing (yet) another change of variable µ = 4*4? 0@ ¨ 𝜑 4*4? 0@ . 𝑑𝑥 = 𝜑 𝜇 . 𝑑𝜇. ;4 ;< = 𝜑 𝜇 . 𝑑𝜇. 𝜏8 ¨ C = ∫*9 :9 𝜏6. 𝜑 4*4? 0@ . 𝑑𝑥 = ∫*9 :9 𝜏6:8. 𝜑 𝜇 . 𝑑𝜇 = 𝜏6:8 . ∫*9 :9 . 𝜑 𝜇 . 𝑑𝜇
  • 215.
    Luc_Faucheux_2020 Solution of thediffusion equation V 215 ¨ And so ¨ C = ∫*9 :9 𝜏6. 𝜑 4*4? 0@ . 𝑑𝑥 = ∫*9 :9 𝜏6:8. 𝜑 𝜇 . 𝑑𝜇 = 𝜏6:8 . ∫*9 :9 . 𝜑 𝜇 . 𝑑𝜇 ¨ We want to enforce the fact that C is a constant (the solution of the diffusion equation is such that the density probability is conserved, i.e. we are not losing any particles, which can happen in systems where for example there are what is called “absorbing boundaries”, or in other systems like radioactive decays where the number of particles will actually change with time) ¨ One way to achieve this is to set 𝛼 + 𝛽 = 0 ¨ So we now have 𝛽 = 1/2 and α = −1/2 ¨ 𝛼. 𝜑 4*4? 0@ − 𝛽. 4*4? 0@ . 𝜑′ 4*4? 0@ = & ' 𝜎'. 𝜑′′ 4*4? 0@ can be now written as ¨ −𝜑 4*4? 0@ − 4*4? 0@ . 𝜑′ 4*4? 0@ = 𝜎'. 𝜑′′ 4*4? 0@
  • 216.
    Luc_Faucheux_2020 Solution of thediffusion equation VI 216 ¨ We have: ¨ −𝜑 4*4? 0@ − 4*4? 0@ . 𝜑′ 4*4? 0@ = 𝜎'. 𝜑′′ 4*4? 0@ ¨ Using µ = 4*4? 0@ , it is easier to write as ¨ −𝜑 𝜇 − 𝜇. 𝜑′ 𝜇 = 𝜎'. 𝜑′′ 𝜇 , or using the usual notation for ordinary derivatives ¨ −𝜑 𝜇 − 𝜇. ; ;< 𝜑 𝜇 = 𝜎'. ;! ;<! 𝜑 𝜇 ¨ − ; ;< {𝜇. 𝜑 𝜇 } = 𝜎'. ;! ;<! 𝜑 𝜇 ¨ 𝜎'. ;! ;<! 𝜑 𝜇 + ; ;< 𝜇. 𝜑 𝜇 = 0
  • 217.
    Luc_Faucheux_2020 Solution of thediffusion equation VII 217 ¨ We have: ¨ 𝜎'. ;! ;<! 𝜑 𝜇 + ; ;< 𝜇. 𝜑 𝜇 = 0 ¨ ; ;< 𝜎'. ; ;< 𝜑 𝜇 + 𝜇. 𝜑 𝜇 = 0 ¨ 𝜎'. ; ;< 𝜑 𝜇 + 𝜇. 𝜑 𝜇 = 𝑐𝑡𝑒 ¨ Let’s make our life easier and set the constant to 0 ¨ 𝜎'. ; ;< 𝜑 𝜇 + 𝜇. 𝜑 𝜇 = 0
  • 218.
    Luc_Faucheux_2020 Solution of thediffusion equation IX 218 ¨ We have: ¨ 𝜎'. ; ;< 𝜑 𝜇 + 𝜇. 𝜑 𝜇 = 0 ¨ ; ;< 𝜑 𝜇 = −𝜎*'. 𝜇. 𝜑 𝜇 = 0 ¨ 𝜑 𝜇 = A. exp *<! '%! + 𝐵 is a solution of this ODE ¨ Again to make our life easier we choose B=0 ¨ 𝜑 𝜇 = A. exp *<! '%! ¨ We now choose A so that ∫*9 :9 𝜑 𝜇 . 𝑑𝜇 = 1 ¨ ∫*9 :9 exp −𝜇' . 𝑑𝜇 = 2𝜋
  • 219.
    Luc_Faucheux_2020 Solution of thediffusion equation X 219 ¨ We have: ¨ ∫*9 :9 exp −𝜇' . 𝑑𝜇 = 2𝜋 ¨ So 𝜑 𝜇 = & '=%! . exp *<! '%! and µ = 4*4? 0@ with 𝛽 = 1/2 ¨ 𝜑 𝑥, 𝑥2, 𝜏 = & '=%! . exp *(4*4C)! '%!0 ¨ ℎ 𝜏, 𝑥 = 𝜏6. 𝜑((𝑥 − 𝑥7)/𝜏8) with 𝛽 = 1/2 and α = −1/2 ¨ ℎ 𝑥, 𝑥2, 𝜏 = & '=%!0 . exp *(4*4C)! '%!0 !5 !0 = & ' 𝜎' !!5 !4! ¨ ℎ 𝑥, 𝑥′, 𝑡 = & >=?# . 𝑒𝑥𝑝(− (4*4>)! >?# ) with 𝐷 = 𝜎'/2 !5 !# = 𝐷' !!5 !4!
  • 220.
    Luc_Faucheux_2020 Linearity and propagatorsI : the Dirac peak 220 ¨ We have: ¨ ℎ 𝑥, 𝑥2, 𝜏 = & '=%!0 . exp *(4*4C)! '%!0 !5 !0 = & ' 𝜎' !!5 !4! ¨ Limiting case of 𝜏 → 0 ¨ Again as we saw when looking at the diffusion equation, saying that something “goes to 0” is sometimes not enough, remember for a diffusive process we need to have to avoid unbounded behaviors to have the space variable scale as the root square of the time variable when going to the continuous limit of a discrete process (when the time step and the jump both go to 0) ¨ BUT here we do not have such issues, because we are in the regular deterministic calculus framework, we are looking at the solution of a PDE, and a regular function ¨ NEVERTHELESS, when 𝜏 → 0, & '=%!0 → ∞, but exp *(4*4C)! '%!0 → 0 faster than √𝜏 for any 𝑥 ≠ 𝑥2
  • 221.
    Luc_Faucheux_2020 Linearity and propagatorsII : the Dirac peak 221 ¨ We have: ¨ ℎ 𝑥, 𝑥2, 𝜏 = & '=%!0 . exp *(4*4C)! '%!0 → δ(𝑥 − 𝑥2) when 𝜏 → 0 ¨ The δ(𝑥 − 𝑥2) is called the Dirac function. ¨ It is 0 everywhere except at 𝑥 = 𝑥2 ¨ Its integral over 𝑥 is still equal to 1 ¨ ∫*9 :9 δ 𝑥 − 𝑥2 . 𝑑𝑥 = 1 ¨ The value of δ(𝑥 − 𝑥2) at (𝑥 = 𝑥2) is “infinite” (it is the limit of & '=%!0 when 𝜏 → 0 so it should be viewed as a limit of functions indexed by 𝜏) ¨ It is usually viewed as the “starting value” for the probability density function of a Brownian process starting at 𝑥 = 𝑥2 at time 𝜏 = 0, which will diffuse into being at time
  • 222.
    Luc_Faucheux_2020 Linearity and propagatorsIII : the Dirac peak 222 ¨ A useful property of the Dirac function is that ¨ ∫*9 :9 δ 𝑥 − 𝑥2 . 𝑑𝑥 = 1 ¨ And so for any function Payoff(𝑥) we also have ¨ ∫*9 :9 δ 𝑥 − 𝑥2 . Payoff 𝑥 . 𝑑𝑥 = Payoff(𝑥2) ¨ Or presented in terms of limit ¨ lim 0→2 {∫*9 :9 & '=%!0 . exp *(4*4C)! '%!0 . Payoff 𝑥 . 𝑑𝑥} = Payoff(𝑥2) ¨ lim 0→2 {∫*9 :9 ℎ(𝑥, 𝑥2, 𝜏). Payoff 𝑥 . 𝑑𝑥} = Payoff(𝑥2) with !5 !0 = & ' 𝜎' !!5 !4! ¨ In particular, the function {ℎ 𝑥, 𝑥2, 𝜏 . Payoff(𝑥2)} is a solution of the diffusion equation since Payoff 𝑥2 is a constant
  • 223.
    Luc_Faucheux_2020 Linearity and propagatorsIV : Re-casting the variables 223 ¨ We have: ¨ lim 0→2 {∫*9 :9 ℎ(𝑥, 𝑥2, 𝜏). Payoff 𝑥 . 𝑑𝑥} = Payoff(𝑥2) with !5 !0 = & ' 𝜎' !!5 !4! ¨ 𝑓 𝑆, 𝑡 = ℎ 𝜏3, 𝑥 . 𝑒*+(-*#) ¨ 𝜏′ = 𝑇 − 𝑡 ¨ 𝑥 = 𝐿𝑛 𝑆 + (𝑟 − & ' . 𝜎')(𝑇 − 𝑡) ¨ !( !# + 𝑟. 𝑆. !( !) + & ' !!( !)! . 𝜎'. 𝑆' = 𝑟. 𝑓 ¨ The boundary conditions were expressed as 𝑓 𝑆, 𝑇 = Payoff(𝑆) ¨ For example for a call struck at strike 𝐾, Payoff 𝑆 = 𝑀𝐴𝑋(𝑆 − 𝐾, 0)
  • 224.
    Luc_Faucheux_2020 Linearity and propagatorsV : Re-casting the variables 224 ¨ We have: ¨ lim 0→2 {∫*9 :9 ℎ(𝑥, 𝑥2, 𝜏). Payoff 𝑥 . 𝑑𝑥} = Payoff(𝑥2) ¨ ℎ 𝑥, 𝑥2, 𝜏 = & '=%!0 . exp *(4*4C)! '%!0 which is our special solution to the diffusion equation ¨ ℎ(𝑥, 𝜏) = ∫*9 :9 ℎ 𝑥, 𝑥2, 𝜏 . Payoff 𝑥2 . 𝑑𝑥2 is the general solution ¨ 𝑓 𝑆, 𝑡 = ℎ 𝜏3, 𝑥 . 𝑒*+(-*#) ¨ 𝜏′ = 𝑇 − 𝑡 ¨ 𝑥 = 𝐿𝑛 𝑆 + (𝑟 − & ' . 𝜎')(𝑇 − 𝑡) ¨ !( !# + 𝑟. 𝑆. !( !) + & ' !!( !)! . 𝜎'. 𝑆' = 𝑟. 𝑓 with 𝑓 𝑆, 𝑇 = Payoff(𝑆)
  • 225.
    Luc_Faucheux_2020 Linearity and propagatorsVI : Re-casting the variables 225 ¨ Note that Payoff 𝑥2 = Payoff 𝑥2, 𝑇 = 𝑡 = Payoff(𝑥2, 𝜏 = 0) ¨ ℎ(𝑥, 𝜏) = ∫*9 :9 ℎ 𝑥, 𝑥2, 𝜏 . Payoff 𝑥2, 𝜏 = 0 . 𝑑𝑥2 is the general solution ¨ 𝑓 𝑆, 𝑡 = ℎ 𝜏3, 𝑥 . 𝑒*+(-*#) ¨ 𝜏′ = 𝑇 − 𝑡 ¨ 𝑥 = 𝐿𝑛 𝑆 + (𝑟 − & ' . 𝜎')(𝑇 − 𝑡), 𝑥2 = 𝐿𝑛 𝑆2 ¨ 𝑓 𝑆, 𝑡 = 𝑒*+(-*#). ∫*9 :9 ℎ 𝑥, 𝑥2, 𝜏 . Payoff 𝑥2, 𝜏 = 0 . 𝑑𝑥2 ¨ 𝑓 𝑆, 𝑡 = 𝑒*+(-*#). ∫*9 :9 ℎ 𝑥, 𝑥2, 𝜏 . Payoff 𝑆2, 𝜏 = 0 . 𝑑(𝐿𝑛(𝑆2)) ¨ Note that it is natural to have the Payoff function expressed in term of the stock 𝑆2 rather than the variable 𝑥2 = 𝐿𝑛 𝑆2
  • 226.
    Luc_Faucheux_2020 Linearity and propagatorsVII : Re-casting the variables 226 ¨ 𝑓 𝑆, 𝑡 = 𝑒*+(-*#). ∫*9 :9 ℎ 𝑥, 𝑥2, 𝜏 . Payoff 𝑆2, 𝜏 = 0 . 𝑑(𝐿𝑛(𝑆2)) ¨ 𝑓 𝑆, 𝑡 = 𝑒*+(-*#). ∫*9 :9 ℎ 𝑥, 𝑥2, 𝜏 . Payoff 𝑆2 . ;)C )C ¨ 𝑓 𝑆, 𝑡 = 𝑒*+(-*#). ∫*9 :9 & '=%!0 . exp *(4*4C)! '%!0 . Payoff 𝑆2 . ;)C )C ¨ 𝑓 𝑆, 𝑡 = 𝑒*+(-*#). ∫*9 :9 & '=%!(-*#) . exp *(AB ) : +* B ! .%! -*# *AD )C )! '%!(-*#) . Payoff 𝑆2 . ;)C )C ¨ 𝑓 𝑆, 𝑡 = 𝑒*+(-*#). ∫*9 :9 & '=%!(-*#) . exp *(AB( ED DC ): +* B ! .%! -*# *AD )C )! '%!(-*#) . Payoff 𝑆2 . ;)C )C
  • 227.
    Luc_Faucheux_2020 Linearity and propagatorsVII : Re-casting the variables 227 ¨ 𝑓 𝑆, 𝑡 = 𝑒*+(-*#). ∫*9 :9 ℎ 𝑥, 𝑥2, 𝜏 . Payoff 𝑆2, 𝜏 = 0 . 𝑑(𝐿𝑛(𝑆2)) ¨ 𝑓 𝑆, 𝑡 = 𝑒*+(-*#). ∫*9 :9 ℎ 𝑥, 𝑥2, 𝜏 . Payoff 𝑆2 . ;)C )C ¨ 𝑓 𝑆, 𝑡 = 𝑒*+(-*#). ∫*9 :9 & '=%!0 . exp *(4*4C)! '%!0 . Payoff 𝑆2 . ;)C )C ¨ 𝑓 𝑆, 𝑡 = 𝑒*+(-*#). ∫*9 :9 & '=%!(-*#) . exp *(AB ) : +* B ! .%! -*# *AD )C )! '%!(-*#) . Payoff 𝑆2 . ;)C )C ¨ 𝑓 𝑆, 𝑡 = 𝑒*+(-*#). ∫*9 :9 & '=%!(-*#) . exp *(AB( ED DC ): +* B ! .%! -*# *AD )C )! '%!(-*#) . Payoff 𝑆2 . ;)C )C
  • 228.
    Luc_Faucheux_2020 Linearity and propagatorsIX : 228 ¨ 𝑓 𝑆, 𝑡 = 𝑒*+(-*#). ∫*9 :9 & '=%!(-*#) . exp *(AB( ED DC ): +* B ! .%! -*# *AD )C )! '%!(-*#) . Payoff 𝑆2 . ;)C )C ¨ This is the general version of the Black-Sholes equation ¨ Depending on the functional form of Payoff 𝑆2 , the integration can be done easily in closed form, but sometimes not ¨ This demonstrates the diffusion “backward” of the terminal payoff function, or boundary condition ¨ If the stock diffuses “forward”, the equivalent problem is the payoff diffusing backward ¨ Note: this is for the canonical Black-Sholes assuming lognormal distribution for the stock ¨ Similar derivation for a normal process (actually easier) ¨ Similar derivation for a jump process (Poisson instead of Gaussian)
  • 229.
    Luc_Faucheux_2020 Black-Sholes in theNormal world ¨ For the sake of simplicity we will keep the same notation ¨ 𝑑𝑆 = 𝜇𝑆. 𝑑𝑡 + 𝜎DFGH. 𝑑𝑧 ¨ BEAR in mind that the variables 𝜇 and 𝜎 have a very different meaning ¨ For example the units are different ¨ In a Lognormal model, 𝜎AFI is in (%/year) for an annualized volatility ¨ In a Normal model, 𝜎DFGH is in (UNIT(S)/year) for an annualized volatility ¨ For a stock denominated in $, 𝜎DFGH is in ($/year) for an annualized volatility ¨ For a rate denominated in basis points, 𝜎DFGH is in (bp/year) for an annualized volatility ¨ In practice, ALWAYS ask for the units of volatility 229
  • 230.
    Luc_Faucheux_2020 Normal Black-Sholes II ¨𝑑𝑆 = 𝜇𝑆. 𝑑𝑡 + 𝜎D. 𝑑𝑧 ¨ We note 𝑓 the price of a derivative contingent on 𝑆, like the price of a call option. ¨ Applying Ito lemma within Ito calculus, ¨ 𝑑𝑓 𝑆, 𝑡 = !( !) . 𝑑𝑆 + !( !# 𝑑𝑡 + & ' !!( !)! . (𝑑𝑆)'+ & ' !!( !#! . (𝑑𝑡)'+ !!( !#!) . (𝑑𝑡. 𝑑𝑆) + 𝒪 … ¨ Expressing this in terms of the variables 𝑑𝑡 and 𝑑𝑧 ¨ 𝑑𝑓 𝑆, 𝑡 = !( !) . 𝜇𝑆. 𝑑𝑡 + !( !# 𝑑𝑡 + & ' !!( !)! . 𝜎D '. 𝑑𝑡 + !( !) . 𝜎D. 𝑑𝑧 ¨ 𝑑𝑓 𝑆, 𝑡 = !( !) . 𝜇𝑆 + !( !# + & ' !!( !)! . 𝜎D ' . 𝑑𝑡 + !( !) . 𝜎D. 𝑑𝑧 230
  • 231.
    Luc_Faucheux_2020 Normal Black-Sholes III ¨𝑑𝑓 𝑆, 𝑡 = !( !) . 𝜇𝑆 + !( !# + & ' !!( !)! . 𝜎D ' . 𝑑𝑡 + !( !) . 𝜎D. 𝑑𝑧 ¨ This is the SDE that 𝑓 𝑆, 𝑡 follows ¨ The term in front of the stochastic driver is quite complicated: !( !) . 𝜎D ¨ What if we were to create a portfolio composed of this contingent claim 𝑓 𝑆, 𝑡 and some units of the underlying stock 𝑆? ¨ More precisely let’s construct a portfolio Π = 𝑓 − (𝐷𝑒𝑙𝑡𝑎). 𝑆 ¨ Π = 𝑓 − (𝐷𝑒𝑙𝑡𝑎). 𝑆 ¨ 𝑑Π = 𝑑𝑓 − (𝐷𝑒𝑙𝑡𝑎). 𝑑𝑆 and 𝑑𝑆 = 𝜇𝑆. 𝑑𝑡 + 𝜎D. 𝑑𝑧 ¨ 𝑑Π = !( !) . 𝜇𝑆 + !( !# + & ' !!( !)! . 𝜎D ' − 𝐷𝑒𝑙𝑡𝑎 . 𝜇𝑆 . 𝑑𝑡 + ( !( !) . 𝜎D − 𝐷𝑒𝑙𝑡𝑎 . 𝜎D). 𝑑𝑧 231
  • 232.
    Luc_Faucheux_2020 Normal Black-Sholes IV ¨𝑑Π = !( !) . 𝜇𝑆 + !( !# + & ' !!( !)! . 𝜎D ' − 𝐷𝑒𝑙𝑡𝑎 . 𝜇𝑆 . 𝑑𝑡 + ( !( !) . 𝜎D − 𝐷𝑒𝑙𝑡𝑎 . 𝜎D). 𝑑𝑧 ¨ If we fix 𝐷𝑒𝑙𝑡𝑎 = !( !) , we then obtain ¨ 𝑑Π = !( !# + & ' !!( !)! . 𝜎D ' . 𝑑𝑡 ¨ This is NOT and SDE anymore !! Does not depend on 𝑑𝑧. Does not depend on 𝜇 ¨ This is wonderful, we do not have to worry about Ito, Stratonovitch, and all that stochastic calculus that no one understands (well we still do because as soon as we change the function we will still have to deal with Ito lemma) ¨ The portfolio is “riskless”, the change in the value of the portfolio does not depends on the risk driver 𝑑𝑧 ¨ Because the portfolio is “riskless”, it should return the same rate as the risk-free rate 𝑟 ¨ 𝑑Π = 𝑟. Π . 𝑑𝑡 232
  • 233.
    Luc_Faucheux_2020 Normal Black-Sholes V ¨𝑑Π = !( !# + & ' !!( !)! . 𝜎D ' . 𝑑𝑡 ¨ 𝑑Π = 𝑟. Π . 𝑑𝑡 ¨ Π = 𝑓 − 𝐷𝑒𝑙𝑡𝑎 . 𝑆 = 𝑓 − !( !) . 𝑆 ¨ !( !# + & ' !!( !)! . 𝜎D ' = 𝑟. (𝑓 − !( !) . 𝑆) ¨ !( !# + 𝑟. 𝑆. !( !) + & ' !!( !)! . 𝜎D ' = 𝑟. 𝑓 ¨ This is the Black-Sholes-Merton equation in the NORMAL world ¨ It is a diffusion equation, subject to the proper boundary conditions ¨ for a call, at maturity 𝑡 = 𝑇, 𝑓 𝑆, 𝑇 = 𝑀𝐴𝑋(𝑆 − 𝐾, 0) ¨ We can derive the solution (will do that in the Black-Sholes deck) 233
  • 234.
    Luc_Faucheux_2020 234 Some Equations (LognormalBlack-Scholes) ò¥- - = -= += -= x dexN Tdd T T KFLn d dNKdNFTKFC x p s s s s x .. 2 1 )( 2 1)( )(.)(.),,,( ) 2 1 ( 12 1 21 2
  • 235.
    Luc_Faucheux_2020 235 Greeks and Scalingin the Lognormal Model Greeks Definition Black formula Units Incremental P/L Vega scaling Delta F C ¶ ¶ =D )( 1dN ($/bp) )( FdD Gamma 2 2 F C ¶ ¶ =g )(' 1 1dN TFs ($/bp/bp) 2 )( 2 1 Fdg TF s2 1 Theta T C ¶ ¶ =Q )(' 2 2dN T TKs ($/day) )( TdQ T2 s Vega s¶ ¶ = C Vega )(' 2dNTK ($/%) )(dsVega 1 Vanna s¶¶ ¶ = F C Vanna 2 )('' 2dN F K s ($/%/bp) ))(( dsdFVanna TF d s 2- Volga 2 2 s¶ ¶ = C Volga )('' 2 1 dNTK d s - ($/%/%) 2 )( 2 1 dsVolga s 21dd
  • 236.
  • 237.
    Luc_Faucheux_2020 237 Greeks and Scalingin the Normal Model Greeks Definition Black formula Units Incremental P/L Vega scaling Delta F C ¶ ¶ =D )(dN ($/bp) )( FdD Gamma 2 2 F C ¶ ¶ =g )(' 1 dN TNs ($/bp/bp) 2 )( 2 1 Fdg TNs 1 Theta T C ¶ ¶ =Q )(' 2 dN T TNs ($/day) )( TdQ T N 2 s Vega N C Vega s¶ ¶ = )(' dNT ($/%) )( NVega ds 1 Vanna NF C Vanna s¶¶ ¶ = 2 )('' 1 dN Ns ($/%/bp) ))(( NFVanna dsd T d Ns - Volga 2 2 N C Volga s¶ ¶ = )('' dNT d Ns - ($/%/%) 2 )( 2 1 NVolga ds N d s 2
  • 238.
    Luc_Faucheux_2020 Shifted Lognormal Model ¨Shifted Lognormal model with shift 𝛽: ¨ 𝐶 𝐹, 𝐾, 𝑇, 𝜎) = (𝐹 + 𝛽). 𝑁 𝑑& − (𝐾 + 𝛽). 𝑁(𝑑') ¨ 𝑑& = & %D - 𝐿𝑛( $:8 J:8 ) + & ' 𝜎) 𝑇 ¨ 𝑑' = 𝑑& − 𝜎) 𝑇 ¨ If 𝐶K) 𝐹, 𝐾, 𝑇, 𝜎) is the usual lognormal Black-Sholes formula ¨ And 𝐶)A 𝐹, 𝐾, 𝑇, 𝜎) the shifted lognormal one ¨ 𝐶)A 𝐹, 𝐾, 𝑇, 𝜎) = 𝐶K) 𝐹 + 𝛽, 𝐾 + 𝛽, 𝑇, 𝜎) 238
  • 239.
    Luc_Faucheux_2020 Greeks and Scalingin the shifted Lognormal Model 239 Greeks Definition Black formula Units Incremental P/L Vega scaling Delta ($/bp) Gamma ($/bp/bp) Theta ($/day) Vega ($/%) 1 Vanna ($/%/bp) Volga ($/%/%) F C ¶ ¶ =D )( 1dN )( FdD 2 2 F C ¶ ¶ =g TF dN Ssb )( )(' 1 + 2 )( 2 1 Fdg 2 )( 11 bs +FTS T C ¶ ¶ =Q )(' 2 )( 2dN T TK Ssb+ )( TdQ T S 2 s S C Vega s¶ ¶ = )(')( 2dNTK b+ )( SVega ds SF C Vanna s¶¶ ¶ = 2 )('' 1 )( )( 2dN F K Ssb b + + ))(( SFVanna dsd TF d Ssb 1 )( 2 + - 2 2 S C Volga s¶ ¶ = )('')( 2 1 dNTK d S b s + - 2 )( 2 1 SVolga ds S dd s 21