Embed presentation
Download to read offline



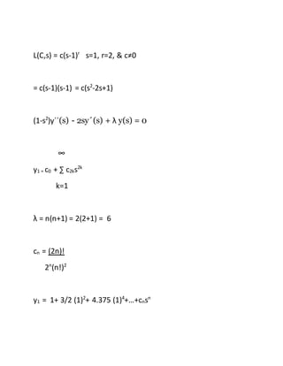
The document discusses the Legendre polynomial and the Birch and Swinnerton-Dyer conjecture. It provides equations for the Riemann zeta function L(C,s) and a second order linear differential equation related to Legendre polynomials. It also gives expressions for the eigenvalues λ and coefficients cn of the Legendre polynomial series expansion.

