Mohd Fahmi Haikal Bin Asha’ari


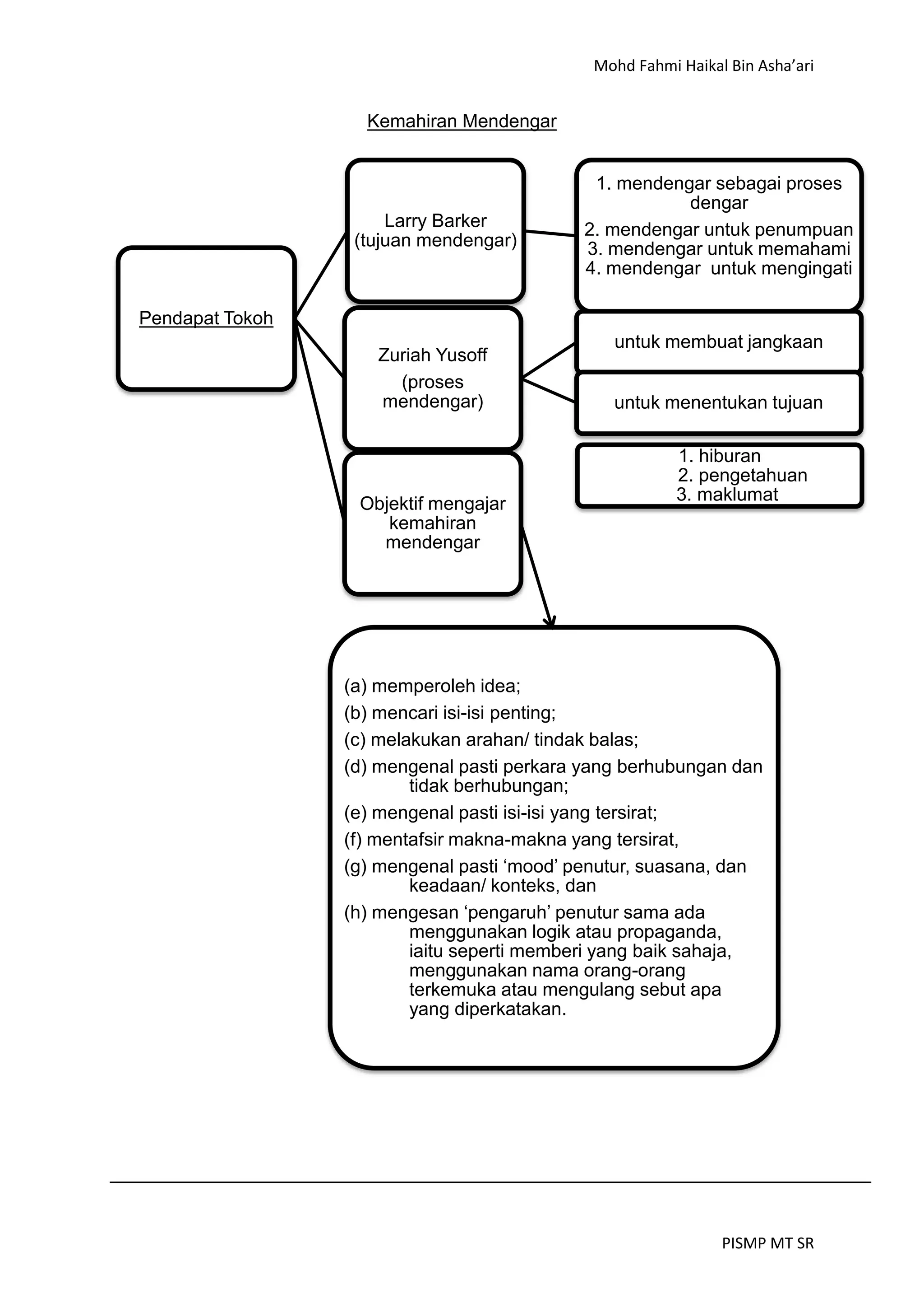
                   Kemahiran Mendengar


                                            1. mendengar sebagai proses
                                                      dengar
                      Larry Barker         2. mendengar untuk penumpuan
                  (tujuan mendengar)       3. mendengar untuk memahami
                                           4. mendengar untuk mengingati

Pendapat Tokoh
                                               untuk membuat jangkaan
                    Zuriah Yusoff
                      (proses
                    mendengar)                 untuk menentukan tujuan

                                                        1. hiburan
                                                        2. pengetahuan
                  Objektif mengajar                     3. maklumat
                     kemahiran
                    mendengar




                 (a) memperoleh idea;
                 (b) mencari isi-isi penting;
                 (c) melakukan arahan/ tindak balas;
                 (d) mengenal pasti perkara yang berhubungan dan
                         tidak berhubungan;
                 (e) mengenal pasti isi-isi yang tersirat;
                 (f) mentafsir makna-makna yang tersirat,
                 (g) mengenal pasti ‘mood’ penutur, suasana, dan
                         keadaan/ konteks, dan
                 (h) mengesan ‘pengaruh’ penutur sama ada
                         menggunakan logik atau propaganda,
                         iaitu seperti memberi yang baik sahaja,
                         menggunakan nama orang-orang
                         terkemuka atau mengulang sebut apa
                         yang diperkatakan.




                                                              PISMP MT SR
Mohd Fahmi Haikal Bin Asha’ari




                 PISMP MT SR
Mohd Fahmi Haikal Bin Asha’ari




                                Zuriah Yusoff
                            (proses mendengar)




                   peringkat proses
                     mendengar



                      penghasilan            penerimaan
                        mesej                  mesej




           • mendengar deretan bunyi-bunyi bahasa
pertama


           • memahami bunyi-bunyi bahasa tersebut
kedua


           • menilai bunyi-bunyi yang diperdengarkan
ketiga


           • bertindak balas terhadap bunyi-bunyi tersebut.
terakhir




                                                                           PISMP MT SR
Mohd Fahmi Haikal Bin Asha’ari


Apakah bentuk kemahiran mendengar itu?

Bentuk kemahiran          penerangan
Secara Aktif                   Pendengar terlibat secara aktif
                               bertanggungjawab secara giat dan aktif untuk memahami
                               isi kandungan dan perasaan
                               suasana komunikasi terbuka
Secara Pasif                   Tahap paling rendah
                               tidak dapat menangkap makna keseluruhan ujaran
                               jarang faham atau ingat
Secara Bertelau-Telau          pelajar bahasa kedua
                               kurang mapu dengar atau tangkap bahagian ujaran
                               dalam pertuturan
Tanpa Tindak Balas             tidak peka terhadap kata – kata yang diucap
                                tidak faham sepenuhnya
Secara   Membuak      –        Pelajar bahasa pertama
Buak                           kemahiran mendengar rendah
                               pelajar hanya ambil sebahgian
Dengan Beremosi                berkemahiran dalam mendengar
                               dengar sehingga rangsang emosi
Secara Berhati-Hati            dengar dengan teliti atau bersungguh – sunguh
                               butir yang ditutur dapat difahami dengan tepat dan betul
Secara Kritikal                kuasai bahasa denbgan baik
                               tahap tinggi
                               tentukan kesahihan sesuatu fakta
Secara Pengamatan              mula berfikir secara kritikal
                               berdasarkan pengalaman
                               lebih faham jika ujaran ada kaitan dengan pengalaman
Dengan Daya Kreatif            paling tinggi
                               matlamat pengajaran
                               guna kreativiti untuk cipta sesuatu
                               mampu menginterpretasi, kritik dan buat ulasan atau
                               komen yang bernas dan jitu


                                                                                PISMP MT SR
Mohd Fahmi Haikal Bin Asha’ari




                 PISMP MT SR

Kemahiran mendengar fahmi

  • 1.
    Mohd Fahmi HaikalBin Asha’ari Kemahiran Mendengar 1. mendengar sebagai proses dengar Larry Barker 2. mendengar untuk penumpuan (tujuan mendengar) 3. mendengar untuk memahami 4. mendengar untuk mengingati Pendapat Tokoh untuk membuat jangkaan Zuriah Yusoff (proses mendengar) untuk menentukan tujuan 1. hiburan 2. pengetahuan Objektif mengajar 3. maklumat kemahiran mendengar (a) memperoleh idea; (b) mencari isi-isi penting; (c) melakukan arahan/ tindak balas; (d) mengenal pasti perkara yang berhubungan dan tidak berhubungan; (e) mengenal pasti isi-isi yang tersirat; (f) mentafsir makna-makna yang tersirat, (g) mengenal pasti ‘mood’ penutur, suasana, dan keadaan/ konteks, dan (h) mengesan ‘pengaruh’ penutur sama ada menggunakan logik atau propaganda, iaitu seperti memberi yang baik sahaja, menggunakan nama orang-orang terkemuka atau mengulang sebut apa yang diperkatakan. PISMP MT SR
  • 2.
    Mohd Fahmi HaikalBin Asha’ari PISMP MT SR
  • 3.
    Mohd Fahmi HaikalBin Asha’ari Zuriah Yusoff (proses mendengar) peringkat proses mendengar penghasilan penerimaan mesej mesej • mendengar deretan bunyi-bunyi bahasa pertama • memahami bunyi-bunyi bahasa tersebut kedua • menilai bunyi-bunyi yang diperdengarkan ketiga • bertindak balas terhadap bunyi-bunyi tersebut. terakhir PISMP MT SR
  • 4.
    Mohd Fahmi HaikalBin Asha’ari Apakah bentuk kemahiran mendengar itu? Bentuk kemahiran penerangan Secara Aktif Pendengar terlibat secara aktif bertanggungjawab secara giat dan aktif untuk memahami isi kandungan dan perasaan suasana komunikasi terbuka Secara Pasif Tahap paling rendah tidak dapat menangkap makna keseluruhan ujaran jarang faham atau ingat Secara Bertelau-Telau pelajar bahasa kedua kurang mapu dengar atau tangkap bahagian ujaran dalam pertuturan Tanpa Tindak Balas tidak peka terhadap kata – kata yang diucap tidak faham sepenuhnya Secara Membuak – Pelajar bahasa pertama Buak kemahiran mendengar rendah pelajar hanya ambil sebahgian Dengan Beremosi berkemahiran dalam mendengar dengar sehingga rangsang emosi Secara Berhati-Hati dengar dengan teliti atau bersungguh – sunguh butir yang ditutur dapat difahami dengan tepat dan betul Secara Kritikal kuasai bahasa denbgan baik tahap tinggi tentukan kesahihan sesuatu fakta Secara Pengamatan mula berfikir secara kritikal berdasarkan pengalaman lebih faham jika ujaran ada kaitan dengan pengalaman Dengan Daya Kreatif paling tinggi matlamat pengajaran guna kreativiti untuk cipta sesuatu mampu menginterpretasi, kritik dan buat ulasan atau komen yang bernas dan jitu PISMP MT SR
  • 5.
    Mohd Fahmi HaikalBin Asha’ari PISMP MT SR