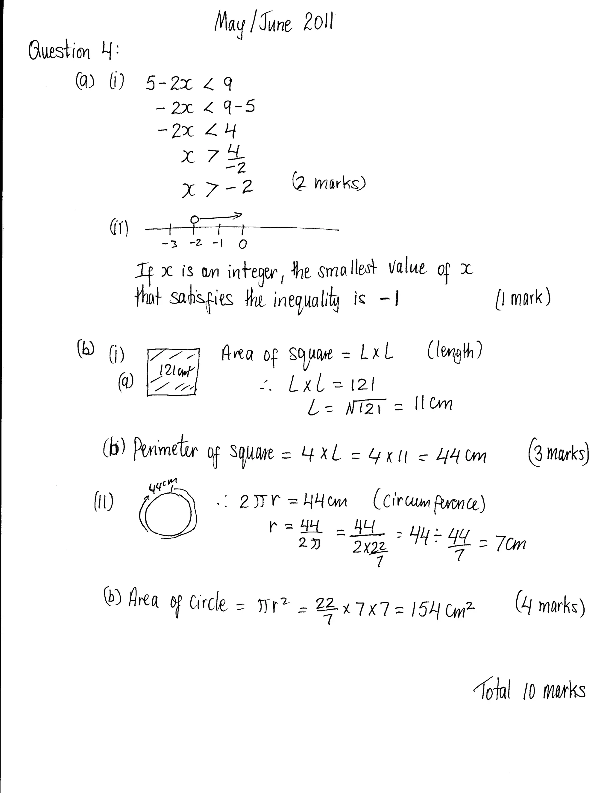
lfro1   l{une }otl
guestion   l-{   :




      [q; il)              5- 2x
                            -Zrc
                             -2x 14
                                 X 7L      a
                                           L
                                                      (?
                                 x 7-7                     vnork")

             (i)
                              -3 -Z   -r o
                          If * is 0M inleger , h, srna llesl ttqlwY ,f L
                          l4tl,t sntrs6irs     lw   ineXunhfu   is - I                   [l nrnrk)

      (D     ti)                       ft,tq of syw = LxL (leAlh)
                     a)                         :.
                                                LxL = et
                                                        /-= Nd = IIW
           (b) fun'*,fun              rC   svarc=4xL=exr(=44crn                              Qrrrarr,!

           trrl /                     .: zTf = H4c'tu (c;rumpnncr)
                          V                         ,=H =ft=Ll+
                                                                     7
                                                                                  ry=7cn
            0) il'eq                            TTt' =     zlxT                             (4
                               ff cirs[B =                           x1 =   ti4   gnnz           nnark.;




                                                                                     llat    lo rwrk
l,lloV   lfn*        20tt
&t,tesl $n    5:
     Q)       0)     K,Vhv     scn   le f nctur =       t-= 9=/
                                                        NIA 8                          (mark)
                           N

             [ii)                                  fiigH- aqgted ln't,tpqle,       ,

                                                                                         und    nwt      lhe

                                                   l*U{fi of +ti lh;,[ sdz {/P Pvfhtgu^ftr**
                    lonyal 3id0'       = Swrrt      op sqynn      of   Wu   oW ]ws sr'des
                      0lA^ = 6"+8=
                           = s( +6Ll
                               =     100

                    ': 0/'A = ltT00 : l0              C'rn             Lmar*)

        0rr) -tcale
                           Pffi, tr Z
                                                                  = 2o cxn             Q- marltg)


      0)                                                          Use Sirre
                                                   0pfuslle                        Sin    rso   =   9-
                                                                                                    H
                                                                               Srrr 15 =$
                u.*'             Q?, ahypouls'*                           &S =   D.6 x Sin 15 : 3'26^
                                                                       (3   srgnipcnad
                       s                       R                                          figuar)          @,rro,rk$


                    {/Se Cosine            Cos O=9
                                                           n

                                       -: CoS d=W
                                                      8,4
                                               Q=cos-'(#)               =   67o Pmatkt;
             (tto {tw arca, o(                                          = 67,2o
                                           ApeR
                                                                        (zsEn,pu^t
                                                                                            6rpung
                                                   P,T,O
,8rqhS'*r5



Hrea ,S hiorXlu = 12,6 x K'4       r Sin (ts+[t)        onqle   W)" W [u,
                          2
                               Ll r Siyr
              = 12-6 XS                  t4?,L
                     z
                     u'   la


              =   32,5S- rn-                     [3 rnarks)
                    ut.
              =   32,6' G s;gnrp*+
                          FJ** )                          4olat   12 rnorks
illoy I   fune   zott

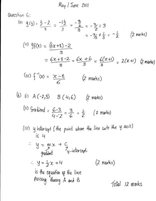
Oueshon 6:
    (at   g(, = tz:L = _g
                       -3                    =
                                               _?z
                                                   = -e7 :3-r
                  3                            -{      '2'
                                                     =-zbxt=         -i      @narks)
      (,1 3tO,t = 6r*s) -Z


                       =6t+F-z-6*
                          z32                              =@         =   Zft+t)   Qmwkr)

       (rrr)f-'Cro=              rg+                Qrnark)
                                  (:>




   b ol A(-z,g B(u,O                                   gmorks)


      0rl gmdrsd             .
                                 Fr=+?h                    (zmwks)

                                                                  Ll aris)
      [rrr)     tlirfunua+       Uh(, point uth,wu W l;rte utk ke
                 is4
          ,'-
                 uvl
                 t1
                           ,./
                  gnd'*t                'u-ifuuat'
             .'. V=                                        A mnrks)
                    Ix+tl
                rs    fu
                      ?4mliu ry |,ru line
                PqssrnJ l{,uruirg A a^$ B
                                                                 {of/ 12 rrtnrks
illoU f {une 2otl
0uerbo' 7

    0)


                 zflass Ckal             Nn. oc    Dnrknoo.<   ]mtt Inli,,p   {rp n   u!'rr,
                    -to                       I2         v
                                                                      t2
                  tt -20                     2.9                     10
                 2t -30                      30                      70
                3t-40                        22                      q2
                4t *so                        g                     t00


  (c:    (r) medl,an
                          fioss ol   ll,ft yacknyes ? zs
         (lr)     8O   p,.:     rlhe lpu Vru,o    snk1 ft*. l.lu g*ph

                ". prolnbil,fu =
                                     ffi= z
{Ta b* ettachqd in the boakl€t wlth your oth*r sn$wers}

    Sandid*la R*gislrati*n Nurnbcr:                                       0uestion Number:   7b




%
E
s


q
o
€




                                                          ,1,tss
TEST CODE OI234O2O
           FORM TP 2011092            %.
                         CARIBBEAN EXAMINATIONI-
                                                                                             MAY/JUNE 2O1I

                                                                                    COUNCIL
                                SECONDARY EDUCATION CERI IFICA'ilE
                                                    EXAMINATION
                                                    MATHEMATICS
                                             Paper 02   -   General proficiency
           Answer Sheet for Question 8                                          Candidate Number

           (a)




       /           /


G*)        (b)    (i)    __rtG                 =   24 S.lrcks                                  (t mqrk)
                 (ii)         '/ x7 - 6 = 22                                 t lncVs           ( Iynork

           (c)

                                 No. of Sticks              Rule Connecting       No. of Thumb Tacks
                                         s                           tands                 t

                                         4
                                                                 '.(+      "t             4



                                         8                       r"(f "a)                 7




                                         t2                   r*(f "r)                    l0


                  (i)                 52                     r   +   (tr   xsa)
                                                                                         1o            (2 nr,,ktl
  5S -l = 5t{
 5q +h           (ii)                12                      t+&!?
           =lZ                                                                            55
                                                                                                          Qnorks)

           (d)             t= I+(ztoxs) -                                                              CwrlA
                        ATTA.H THrs ANswER                           To youR ANswER     B''KLET fimt n M$k
                                                     'HEET
frrne 2oll
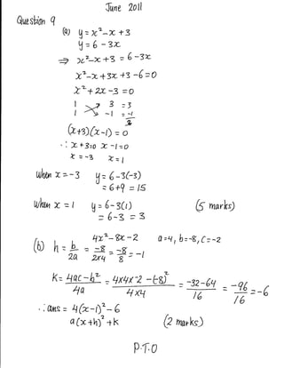
Queshoy' q
              tq,)
                         U   =   lc'^x     +3
                         Y= 6         -3n
                         )cz_x+3 = 6 -sz-
                         X'-N+1L+3 - 6 =O
                         I-+ 2-x -3 =e
                         lx i                 ==:,


                  (z+z)(x-l)
              . : 7+3=o :c - l=o
                                          =   ?
                     t =_3 Z=l
     Whxt^   x = -3               V     6 -sGs)
                                  u=
                                   = 6+Q     = 15
    WhIk     x:      I
                                 V=
                                      6- 3(t)                          5 rnarks)
                                  =6-z =3
                                 4x^- 8r - 2                 0=4,b=8,C=^Z
    [u h=         L?             -g =2^-t
                                      -v
                  2a,            2xlt  g-             I




           K= 4ac - h-
                                      =   4xLr-2          -Ld    =   12-61{.
               4a                              /t    x               /6     =
                                                                                 /6
     ',W= 4(2--l)t-6
                     a(x+h)'+k                                Q naxks)

                                                     P T,O
0rt IIu, mtfurwm vuW is           -6         Q wrark;

 Qrr;   4u   Vulru 0d   I   W ,th,'f^ [,e)   fs   a, wftu'(wm   rs   1 ( ruarl)

Gs ti) X      = lL + 0'6 = 2o gConls Q                          [rarks)


   0it Sni,/*L is o
                                                                      (2nark')
                spr/ u6 1fu ur^ 6* +l'' slape is t,*shn;
                                                          "
           4lv,

   [rii)       6o   -ZE = 35
               try
                z           = uoM                      d mnrk')
                                                                  ftnt    l5   lwwuts
Tutvg 2ott
           l0'
Queslidn
                 @)   tit xi z :     ts - 64 = tt (oo
                                         ,




                           Ill?Ilb angles in a ctdic-quailn'1.nltrnl
                               tl
                            qdil uP     u
                                        Iso'          (z vyrqrkt

                      0i) Y?z: 2g int..nrr opposile lu
                                             ailgb wW Inrngub A,,wtu)
                      (ili) x6z:6qxz=t2go
                             t8o-l2g=52
                        ,:0f,2=+=260                              ftmarlt)

                 6) 0) sb + ut = tr,tt
                         ,'.X=lg0^lN:76o                          Q rnarks)

                      0ir RP' = zlt + 3O& -2x220 x s6o x cos sL
                                 = $IIp3.sq
                         'iRP=^ffi
                          6t        z4q Kilornelhls    b nwk")
                                                     Qin   knnnq of      ( Fnl"t     P

                                                           rae"   i   u1EiLL   RP0

                                                       Sin   & - Sirrs6
                                                       36o
                                                       ---
                                                                       2qq
                                                      sino, ?         W
                                                                      2gq
                                                                                {.360

                            ,, '& = Sin"(Wlx 360) = sL,so
                  .: Bearcrg op ( nm,r P=lg2+66's = 218,5o G rnarkd
                                                        IML B TUilKKS
Tutvg 2ott
Queslidn   l0'
                 Q)     (it xi z       = tt. - 64 =           u (o,
                               1ll9l$ cngles in a c.udtc-quahn]n]tra,l
                               qdil uP 1'o I8o' v ( z
                                                             rnqrks)
                                z1.o
                       0r)    Yiz:23              in&.nr opposile tu
                                                 Myb t"W lwgwb (t,wtu)
                                                                      v

                       tili) x6z:      xz = I2Ko
                                         64
                                t8o-l2g=52
                          ,: otz = s4 =               260                    (3mark)
                                   ?
             6) o) s6 + qs = t',lt
                             ,,,X=lg0^lH:76o                                 A rnarks)
                       0h RP' = zui + 3O& -zx22o x s6o x Cos sL
                                   = $It{pT.gq
                            'iRP   =tW,rq
                              #. ;     zqq      Kilo mefies       b mwks)
                                                               QiDknyt;nqrf            ( F,rrup   =
                                                                      rrz'   i   q11;Lt-,
                                                                                            RpQ

                                                                  w
                                                                  36o
                                                                             _ Siyrs6
                                                                                 ---
                                                                                  2qq
                                                                sin c-       =W$60
                                                                              2gq
                                                                             = 56' so
                 .:   Benn;ng ooc R f|.vr4 p                                                C3 mqrks)
                                               = lLZf E6,s = 218,5'
                                                                                  'r7TnL      B rvtftKks
{une          2oll
0rcsbion   II'
                  0.r    Dt,h/nni ,,nnt,       = 3x4- sxz
                                                     I2-10=Z
                         AJ,iorhf    Wlix = (4 -s
                                                     t2 3) l
                 ,'. +lu" inwrse
                                          nral.n,r   rs                     A
                                                        , (1, f)                wurks)

             )(i1
                          (t ,(I)=ei,;ii): (1i)
                         l/w    R'=        (Z)
                         ,'. 2A=/ 2 Q=(
                             tb =-J e b=-l                                e na,rht)
                 (r'il   lr                    is a
                               (:, I )                frohq.h'wt 0t-
                                                27oo abowf
                                                                 I
                                                                             (3 markul
                                                              lln0n)Xin
                                                              u

       G) d)6r WY=
                                     -b+a ov- a-b
                    6l    ffs   :     /zb- b)
                                    -.€
                   crl*             SYl/   +   M/X

                                    -V^(o-b) +            q

                                         Qab+a
                                          33              = A-L *b
                                                              33
                                 2a +          L
                                               3
                                     3

                                 lr(2q +b)                                  (5 na,k)

                                                                                PTO
c 0tt          Fon R, S a,nil X      t, Lx fullinean ( p^fting a      [he same lthe)
             6             ix must be wutllipler,
                                                       I


                   ahd,

            Ks= *b + U(a_b)
                  : bnL-b- =b-b*L
                    23?233
                 = b +a"
                   63
                = Ys(-ro) ar                    *)
                              '40r
        -+
        Rx
                    Ir
                    /2   bt      q

                 :q      + b/,
        -
        Ks      t& +bb)              anil Fx   hrbrr)
        bo{l     hrw       arf;      .b W    uxp. Collinu,
                                                                     6 u*hr)

                                                             70Tfr1 ts lytt+'iKs

June 2011 solution

  • 1.
    lfro1 l{une }otl guestion l-{ : [q; il) 5- 2x -Zrc -2x 14 X 7L a L (? x 7-7 vnork") (i) -3 -Z -r o If * is 0M inleger , h, srna llesl ttqlwY ,f L l4tl,t sntrs6irs lw ineXunhfu is - I [l nrnrk) (D ti) ft,tq of syw = LxL (leAlh) a) :. LxL = et /-= Nd = IIW (b) fun'*,fun rC svarc=4xL=exr(=44crn Qrrrarr,! trrl / .: zTf = H4c'tu (c;rumpnncr) V ,=H =ft=Ll+ 7 ry=7cn 0) il'eq TTt' = zlxT (4 ff cirs[B = x1 = ti4 gnnz nnark.; llat lo rwrk
  • 2.
    l,lloV lfn* 20tt &t,tesl $n 5: Q) 0) K,Vhv scn le f nctur = t-= 9=/ NIA 8 (mark) N [ii) fiigH- aqgted ln't,tpqle, , und nwt lhe l*U{fi of +ti lh;,[ sdz {/P Pvfhtgu^ftr** lonyal 3id0' = Swrrt op sqynn of Wu oW ]ws sr'des 0lA^ = 6"+8= = s( +6Ll = 100 ': 0/'A = ltT00 : l0 C'rn Lmar*) 0rr) -tcale Pffi, tr Z = 2o cxn Q- marltg) 0) Use Sirre 0pfuslle Sin rso = 9- H Srrr 15 =$ u.*' Q?, ahypouls'* &S = D.6 x Sin 15 : 3'26^ (3 srgnipcnad s R figuar) @,rro,rk$ {/Se Cosine Cos O=9 n -: CoS d=W 8,4 Q=cos-'(#) = 67o Pmatkt; (tto {tw arca, o( = 67,2o ApeR (zsEn,pu^t 6rpung P,T,O
  • 3.
    ,8rqhS'*r5 Hrea ,S hiorXlu= 12,6 x K'4 r Sin (ts+[t) onqle W)" W [u, 2 Ll r Siyr = 12-6 XS t4?,L z u' la = 32,5S- rn- [3 rnarks) ut. = 32,6' G s;gnrp*+ FJ** ) 4olat 12 rnorks
  • 4.
    illoy I fune zott Oueshon 6: (at g(, = tz:L = _g -3 = _?z = -e7 :3-r 3 -{ '2' =-zbxt= -i @narks) (,1 3tO,t = 6r*s) -Z =6t+F-z-6* z32 =@ = Zft+t) Qmwkr) (rrr)f-'Cro= rg+ Qrnark) (:> b ol A(-z,g B(u,O gmorks) 0rl gmdrsd . Fr=+?h (zmwks) Ll aris) [rrr) tlirfunua+ Uh(, point uth,wu W l;rte utk ke is4 ,'- uvl t1 ,./ gnd'*t 'u-ifuuat' .'. V= A mnrks) Ix+tl rs fu ?4mliu ry |,ru line PqssrnJ l{,uruirg A a^$ B {of/ 12 rrtnrks
  • 5.
    illoU f {une2otl 0uerbo' 7 0) zflass Ckal Nn. oc Dnrknoo.< ]mtt Inli,,p {rp n u!'rr, -to I2 v t2 tt -20 2.9 10 2t -30 30 70 3t-40 22 q2 4t *so g t00 (c: (r) medl,an fioss ol ll,ft yacknyes ? zs (lr) 8O p,.: rlhe lpu Vru,o snk1 ft*. l.lu g*ph ". prolnbil,fu = ffi= z
  • 6.
    {Ta b* ettachqdin the boakl€t wlth your oth*r sn$wers} Sandid*la R*gislrati*n Nurnbcr: 0uestion Number: 7b % E s q o € ,1,tss
  • 7.
    TEST CODE OI234O2O FORM TP 2011092 %. CARIBBEAN EXAMINATIONI- MAY/JUNE 2O1I COUNCIL SECONDARY EDUCATION CERI IFICA'ilE EXAMINATION MATHEMATICS Paper 02 - General proficiency Answer Sheet for Question 8 Candidate Number (a) / / G*) (b) (i) __rtG = 24 S.lrcks (t mqrk) (ii) '/ x7 - 6 = 22 t lncVs ( Iynork (c) No. of Sticks Rule Connecting No. of Thumb Tacks s tands t 4 '.(+ "t 4 8 r"(f "a) 7 t2 r*(f "r) l0 (i) 52 r + (tr xsa) 1o (2 nr,,ktl 5S -l = 5t{ 5q +h (ii) 12 t+&!? =lZ 55 Qnorks) (d) t= I+(ztoxs) - CwrlA ATTA.H THrs ANswER To youR ANswER B''KLET fimt n M$k 'HEET
  • 8.
    frrne 2oll Queshoy' q tq,) U = lc'^x +3 Y= 6 -3n )cz_x+3 = 6 -sz- X'-N+1L+3 - 6 =O I-+ 2-x -3 =e lx i ==:, (z+z)(x-l) . : 7+3=o :c - l=o = ? t =_3 Z=l Whxt^ x = -3 V 6 -sGs) u= = 6+Q = 15 WhIk x: I V= 6- 3(t) 5 rnarks) =6-z =3 4x^- 8r - 2 0=4,b=8,C=^Z [u h= L? -g =2^-t -v 2a, 2xlt g- I K= 4ac - h- = 4xLr-2 -Ld = 12-61{. 4a /t x /6 = /6 ',W= 4(2--l)t-6 a(x+h)'+k Q naxks) P T,O
  • 9.
    0rt IIu, mtfurwmvuW is -6 Q wrark; Qrr; 4u Vulru 0d I W ,th,'f^ [,e) fs a, wftu'(wm rs 1 ( ruarl) Gs ti) X = lL + 0'6 = 2o gConls Q [rarks) 0it Sni,/*L is o (2nark') spr/ u6 1fu ur^ 6* +l'' slape is t,*shn; " 4lv, [rii) 6o -ZE = 35 try z = uoM d mnrk') ftnt l5 lwwuts
  • 10.
    Tutvg 2ott l0' Queslidn @) tit xi z : ts - 64 = tt (oo , Ill?Ilb angles in a ctdic-quailn'1.nltrnl tl qdil uP u Iso' (z vyrqrkt 0i) Y?z: 2g int..nrr opposile lu ailgb wW Inrngub A,,wtu) (ili) x6z:6qxz=t2go t8o-l2g=52 ,:0f,2=+=260 ftmarlt) 6) 0) sb + ut = tr,tt ,'.X=lg0^lN:76o Q rnarks) 0ir RP' = zlt + 3O& -2x220 x s6o x cos sL = $IIp3.sq 'iRP=^ffi 6t z4q Kilornelhls b nwk") Qin knnnq of ( Fnl"t P rae" i u1EiLL RP0 Sin & - Sirrs6 36o --- 2qq sino, ? W 2gq {.360 ,, '& = Sin"(Wlx 360) = sL,so .: Bearcrg op ( nm,r P=lg2+66's = 218,5o G rnarkd IML B TUilKKS
  • 11.
    Tutvg 2ott Queslidn l0' Q) (it xi z = tt. - 64 = u (o, 1ll9l$ cngles in a c.udtc-quahn]n]tra,l qdil uP 1'o I8o' v ( z rnqrks) z1.o 0r) Yiz:23 in&.nr opposile tu Myb t"W lwgwb (t,wtu) v tili) x6z: xz = I2Ko 64 t8o-l2g=52 ,: otz = s4 = 260 (3mark) ? 6) o) s6 + qs = t',lt ,,,X=lg0^lH:76o A rnarks) 0h RP' = zui + 3O& -zx22o x s6o x Cos sL = $It{pT.gq 'iRP =tW,rq #. ; zqq Kilo mefies b mwks) QiDknyt;nqrf ( F,rrup = rrz' i q11;Lt-, RpQ w 36o _ Siyrs6 --- 2qq sin c- =W$60 2gq = 56' so .: Benn;ng ooc R f|.vr4 p C3 mqrks) = lLZf E6,s = 218,5' 'r7TnL B rvtftKks
  • 12.
    {une 2oll 0rcsbion II' 0.r Dt,h/nni ,,nnt, = 3x4- sxz I2-10=Z AJ,iorhf Wlix = (4 -s t2 3) l ,'. +lu" inwrse nral.n,r rs A , (1, f) wurks) )(i1 (t ,(I)=ei,;ii): (1i) l/w R'= (Z) ,'. 2A=/ 2 Q=( tb =-J e b=-l e na,rht) (r'il lr is a (:, I ) frohq.h'wt 0t- 27oo abowf I (3 markul lln0n)Xin u G) d)6r WY= -b+a ov- a-b 6l ffs : /zb- b) -.€ crl* SYl/ + M/X -V^(o-b) + q Qab+a 33 = A-L *b 33 2a + L 3 3 lr(2q +b) (5 na,k) PTO
  • 13.
    c 0tt Fon R, S a,nil X t, Lx fullinean ( p^fting a [he same lthe) 6 ix must be wutllipler, I ahd, Ks= *b + U(a_b) : bnL-b- =b-b*L 23?233 = b +a" 63 = Ys(-ro) ar *) '40r -+ Rx Ir /2 bt q :q + b/, - Ks t& +bb) anil Fx hrbrr) bo{l hrw arf; .b W uxp. Collinu, 6 u*hr) 70Tfr1 ts lytt+'iKs