Embed presentation
Downloaded 98 times



























































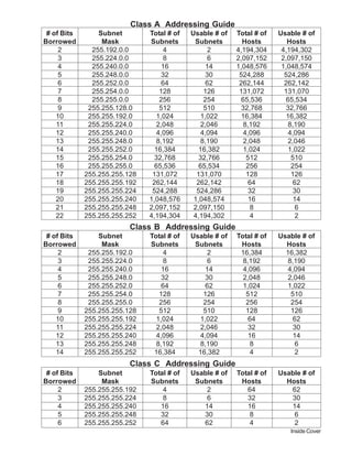
The default subnet mask for a Class A address is 255.0.0.0. The default subnet mask for a Class B address is 255.255.0.0. The default subnet mask for a Class C address is 255.255.255.0. 209.240.80.78 255 . 255 . 255 . 0 _____________________________ 199.155.77.56 255 . 255 . 0 . 0 _____________________________ 117.89.56.45 255 . 255 . 255 . 0 _____________________________ 215.45.45.0 255 . 255 . 255 . 0 _____________________________ 192.200.


























































