1
Introduction to communication
system
Chapter 1
Introduction
 Communication is state of exchanging information between entities.
 Some of the communication systems and communicating media in which
exchange of information take place includes:
1. Telephone
2. Radio
3. Television and internet are some of it
1.1 Elements of an electrical communication system
 Electrical communication systems are designed to send messages or
information from a source that generates the messages to one or more
destinations.
Figure 1.1 Functional block diagram of a communication system
Output signal
Information
source and
input transducer
Transmitter
Output
transducer
Receiver
Channel
2
3
1. Source: generates the information.
 A source of information is basically a signal (single valued function of
time) which carries the information.
2. Transmitter: converts electrical signal into a form that is suitable for
transmission through the physical channel or transmission media
 Translate the information signal to be transmitted into the appropriate
frequency range that much the frequency allocation assigned to the
transmitter.
3. Channel: is the physical medium that is used to send the signal form
transmitter to the receiver.
 Depending on the mode of transmission communication channels are
classified into two categories
I. Channel based on guided propagation (telephone channels, coaxial
cable, optical fiber)
II. Channels based on free propagation (wireless broadcast channels,
satellite channels, mobile radio channels)
4
3. Receiver: recovering the message signal contained in the received signal.
 There are 2 means of communication
 Broadcasting: which involves the use of a single powerful transmitter and
numerous receivers that are relatively inexpensive to build.
 In this class of communication systems, information-bearing signals flow
only in one direction, from the transmitter to each of the receivers out there
in the field.
 Point-to-point communications: in which the communication process
takes place over a link between a single transmitter and a single receiver.
 In this second class of communication systems, there is usually a
bidirectional flow of information-bearing signals, which, in effect, requires
the use of a transmitter and receiver (i.e., transceiver)at each end of the link.
5
1.2 Elements of Analog communication system
 Analog communication is the type of communication in which the message
or information signal to be transmitted is analog in nature.
 This means that in analog communication the modulating signal i.e baseband
signal is an an analog signal.
 An analog message is a physical quantity that varies with time, usually in a
smooth and continuous fashion.
 examples of analog sources of information are Speech, image, and video in a
form of TV and Radio.
 In analog communication, the analog message signal modulates some high
carrier frequency inside the transmission to produce modulated signal.
 This modulated signal is then transmitted with the help of a transmitting
antenna to travel through the transmission channel.
 At the receiver this modulated signal is received and processed to recover the
original message signal.
6
Modulator
Demodulator
Transmission
Channel
Input
transducer
Transmitter
Receiver
Output
transducer
Carrier
EM waves (modulated
signal)
Baseband signal
(electrical signal)
Baseband signal
(electrical signal)
Basic analog communications system
7
1.3 Frequency Domain Analysis Of Deterministic Signals and
Systems
 In particular signals are used to transmit the information over a communication
channel.
 Such signals are usually called information-bearing signals.
 In the transmission of an information-bearing signal over a communication
channel, the shape of the signal is changed, or distorted, by the channel.
 In other words, the output of the communication channel, which is called the
received signal, is not an exact replica of the channel input due to the channel
distortion.
1.3.1 FOURIER SERIES
 The analysis of signals and linear systems in the frequency domain is based on
representation of signals in terms of the frequency variable and this is done
through employing:
1. Fourier series
2. Fourier transforms.
8
1. Fourier series
 Let the signal x(t) be a periodic signal with period T0. If the following
conditions are satisfied.
1. x(t) is absolutely integrable over its period; i.e.
2. The number of maxima and minima of x(t) in each period is finite,
3. The number of discontinuities of x(t) in each period is finite, then x(t) can be
expanded in terms of the complex exponential signals
=
xn = 1∕ dt
 The coefficients xn are called the fourier series coefficients of the signal
 is equal to = 0 and =∕ 2
 Where f0=1∕ is the fundamental frequency of the signal
9
 The fourier series expansion can be expressed in terms of the angular
frequency ω0 = 2π f0, Therefore = 2π ∕ ω0
xn = ω0∕ 2π
And
x(t) =
10
11
12
Here T0 = 2 and it is convenient to choose α = −1/2
13
2. Fourier transform
 If the signal x(t) satisfies certain conditions, namely
1. x(t) is absolutely integrable on the real line; i.e.,
2. The number of maxima and minima of x(t) in any finite interval on the real
line is finite,
3. The number of discontinuities of x(t) in any finite interval on the real line is
finite, then, the Fourier transform (or Fourier integral) of x(t), defined by
14
Example 1
15
Example 2
16
1.4 Signal transmission in Baseband
 Communication systems can be classified into two groups depending on the
range of frequencies they used to transmit information.
 These communication systems are classified into BASEBAND or
PASSBAND system.
 Baseband is to designate the band of frequency representing the original
signal as determined by a source of information.
 This baseband signal can be a combination of two or more message signals.
 If baseband signal is transmitted directly, then it is known as baseband
transmission.
 The baseband signal may be analog as well as digital
 Analog baseband signals varies continuously with time and has continuous
amplitude. The digital signal is discrete in both time and amplitude.
 Baseband transmission is preferred at low frequencies and for short
distance. However, inter symbol interference (ISI) is the major problem
associated with this transmission.
17
 The source of information, for example, could be a computer that produces
a stream of binary data made up of the symbols 0 and 1.
 The task of a digital communication system is to transport the data stream
from the source to its destination over a channel in a reliable manner.
 To accomplish this task, we need to use a modulation technique that
involves varying the amplitude, phase or frequency of transmitted pulses in
accordance with the raw data in some discrete manner.
18
1.4.1 SIGNAL DISTORTION IN TRANSMISSION
 Distortion is any change in the shape of a signal's waveform.
 Transmission systems always produce some amount of signal distortion.
For the purpose of studying distortion effects on various signals, we'll
define two major types of distortion:
1. Linear distortion
2. Nonlinear distortion
19
1. Linear Distortion
 Linear distortion includes any amplitude or delay distortion associated with
a linear transmission system.
1.1 Amplitude distortion: is easily described in the frequency domain; it
means simply that the output frequency
components are not in correct proportion.
 Since this is caused by H(f) not being constant with frequency.
 Amplitude distortion is sometimes called frequency distortion.
 The most common forms of amplitude distortion are excess attenuation or
enhancement of extreme high or low frequencies in the signal spectrum.
 If the low-frequency or high-frequency component is attenuated by one-
half, the resulting outputs are as shown in Fig. 3.2-4. As expected, loss of
the high-frequency term reduces the "sharpness" of the waveform.
20
21
1.2 Phase or Delay distortion
 The phase shift is not linear, the various frequency components suffer
different amounts of time delay, and the resulting distortion is termed phase
or delay distortion.
 For an arbitrary phase shift, the time delay is a function of frequency and
can be found by writing arg with all angles expressed in
radians. Thus
which is independent of frequency only if arg H(f) is linear with frequency.
22
23
24
 In order to recover the original signals Xl and X2, the group delay
must be constant. Therefore, from Eq. (4) this implies that tg can be
found directly from the derivative of arg H(f) = Ѳ(f) as
 Note that this condition on arg H(f) is less restrictive than in the
general case presented earlier. If then the general conditions of
distortionless transmission are met and td = tg
25
Equalization
 Linear distortion-both amplitude and delay is theoretically curable through
the use of equalization networks.
 Figure 3.2-6 shows an equalizer Heq(f) in cascade with adistorting
transmission channel Hc(f).
 Since the overall transfer function is H(f) = Hc(f)Heq(f) the final output
will be distortionless
 if Hc(J)Heq(f) = where K and td are more or less arbitrary
constants. Therefore, we require that
26
 The tapped-delay-line equalizer, or transversal filter, has emerged as a
convenient and flexible device.
 To illustrate the principle, Fig. 3.2-8 shows a delay line with total time
delay 2 having taps at each end and the middle. The tap outputs are passed
through adjustable gains, C-l, Co and Cl summed to form the final output.
Thus
27
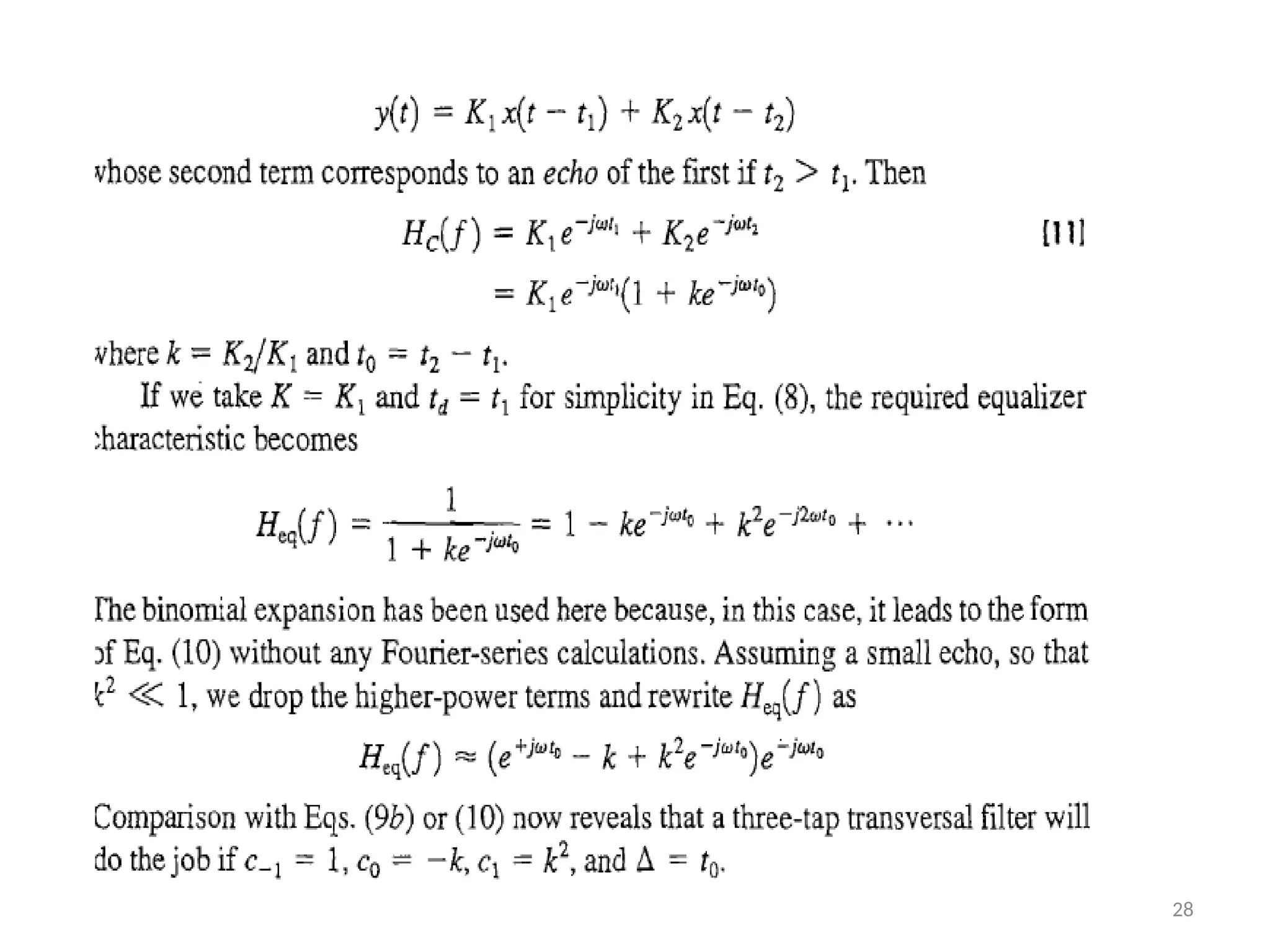
Example
Radio systems suffer from multipath distortion caused by two (or more)
propagation paths between transmitter and receiver. Reflections due to
mismatched impedance on a cable system produce the same effect. suppose the
channel output is
28
29
2. Nonlinear Distortion and Companding
 sine wave components of the signal are bent (sharply curved or an angle )
that the distortion is called nonlinear distortion.
 The instantaneous values of input and output are related by a curve or
function y(t) = T[x(t)], commonly called the transfer characteristic.
30
31
Companding
 The joint use of compressing and expanding is called companding.
 High amplitude analog signals are compressed prior to transmission and
then expanded in the receiver.
 A compressor has greater amplification at low signal levels than at high
signal levels, similar to Fig. 3.2-9, and thereby compresses the range of the
input signal. If the compressed signal falls within the linear range of the
channel, the signal at the channel output is proportional to Tcomp[x(t)]
which is distorted by the compressor but not the channel. Ideally, then, the
expander has a characteristic that perfectly complements the compressor so
the expanded output is proportional to Texp{Tcomp[x(t)]} = x(t), as
desired.
32
 Besides reducing nonlinear distortion, companding tends to compensate for
the signal-level difference between loud and soft talkers.
 The key advantage of companding compared to the simpler technique of
linearly attenuating the signal at the input (to keep it in the linear range of
the channel) and linearly amplifying it at the output.

Introduction to communication system chapter 1.pptx

  • 1.
  • 2.
    Introduction  Communication isstate of exchanging information between entities.  Some of the communication systems and communicating media in which exchange of information take place includes: 1. Telephone 2. Radio 3. Television and internet are some of it 1.1 Elements of an electrical communication system  Electrical communication systems are designed to send messages or information from a source that generates the messages to one or more destinations. Figure 1.1 Functional block diagram of a communication system Output signal Information source and input transducer Transmitter Output transducer Receiver Channel 2
  • 3.
    3 1. Source: generatesthe information.  A source of information is basically a signal (single valued function of time) which carries the information. 2. Transmitter: converts electrical signal into a form that is suitable for transmission through the physical channel or transmission media  Translate the information signal to be transmitted into the appropriate frequency range that much the frequency allocation assigned to the transmitter. 3. Channel: is the physical medium that is used to send the signal form transmitter to the receiver.  Depending on the mode of transmission communication channels are classified into two categories I. Channel based on guided propagation (telephone channels, coaxial cable, optical fiber) II. Channels based on free propagation (wireless broadcast channels, satellite channels, mobile radio channels)
  • 4.
    4 3. Receiver: recoveringthe message signal contained in the received signal.  There are 2 means of communication  Broadcasting: which involves the use of a single powerful transmitter and numerous receivers that are relatively inexpensive to build.  In this class of communication systems, information-bearing signals flow only in one direction, from the transmitter to each of the receivers out there in the field.  Point-to-point communications: in which the communication process takes place over a link between a single transmitter and a single receiver.  In this second class of communication systems, there is usually a bidirectional flow of information-bearing signals, which, in effect, requires the use of a transmitter and receiver (i.e., transceiver)at each end of the link.
  • 5.
    5 1.2 Elements ofAnalog communication system  Analog communication is the type of communication in which the message or information signal to be transmitted is analog in nature.  This means that in analog communication the modulating signal i.e baseband signal is an an analog signal.  An analog message is a physical quantity that varies with time, usually in a smooth and continuous fashion.  examples of analog sources of information are Speech, image, and video in a form of TV and Radio.  In analog communication, the analog message signal modulates some high carrier frequency inside the transmission to produce modulated signal.  This modulated signal is then transmitted with the help of a transmitting antenna to travel through the transmission channel.  At the receiver this modulated signal is received and processed to recover the original message signal.
  • 6.
    6 Modulator Demodulator Transmission Channel Input transducer Transmitter Receiver Output transducer Carrier EM waves (modulated signal) Basebandsignal (electrical signal) Baseband signal (electrical signal) Basic analog communications system
  • 7.
    7 1.3 Frequency DomainAnalysis Of Deterministic Signals and Systems  In particular signals are used to transmit the information over a communication channel.  Such signals are usually called information-bearing signals.  In the transmission of an information-bearing signal over a communication channel, the shape of the signal is changed, or distorted, by the channel.  In other words, the output of the communication channel, which is called the received signal, is not an exact replica of the channel input due to the channel distortion. 1.3.1 FOURIER SERIES  The analysis of signals and linear systems in the frequency domain is based on representation of signals in terms of the frequency variable and this is done through employing: 1. Fourier series 2. Fourier transforms.
  • 8.
    8 1. Fourier series Let the signal x(t) be a periodic signal with period T0. If the following conditions are satisfied. 1. x(t) is absolutely integrable over its period; i.e. 2. The number of maxima and minima of x(t) in each period is finite, 3. The number of discontinuities of x(t) in each period is finite, then x(t) can be expanded in terms of the complex exponential signals = xn = 1∕ dt  The coefficients xn are called the fourier series coefficients of the signal  is equal to = 0 and =∕ 2  Where f0=1∕ is the fundamental frequency of the signal
  • 9.
    9  The fourierseries expansion can be expressed in terms of the angular frequency ω0 = 2π f0, Therefore = 2π ∕ ω0 xn = ω0∕ 2π And x(t) =
  • 10.
  • 11.
  • 12.
    12 Here T0 =2 and it is convenient to choose α = −1/2
  • 13.
    13 2. Fourier transform If the signal x(t) satisfies certain conditions, namely 1. x(t) is absolutely integrable on the real line; i.e., 2. The number of maxima and minima of x(t) in any finite interval on the real line is finite, 3. The number of discontinuities of x(t) in any finite interval on the real line is finite, then, the Fourier transform (or Fourier integral) of x(t), defined by
  • 14.
  • 15.
  • 16.
    16 1.4 Signal transmissionin Baseband  Communication systems can be classified into two groups depending on the range of frequencies they used to transmit information.  These communication systems are classified into BASEBAND or PASSBAND system.  Baseband is to designate the band of frequency representing the original signal as determined by a source of information.  This baseband signal can be a combination of two or more message signals.  If baseband signal is transmitted directly, then it is known as baseband transmission.  The baseband signal may be analog as well as digital  Analog baseband signals varies continuously with time and has continuous amplitude. The digital signal is discrete in both time and amplitude.  Baseband transmission is preferred at low frequencies and for short distance. However, inter symbol interference (ISI) is the major problem associated with this transmission.
  • 17.
    17  The sourceof information, for example, could be a computer that produces a stream of binary data made up of the symbols 0 and 1.  The task of a digital communication system is to transport the data stream from the source to its destination over a channel in a reliable manner.  To accomplish this task, we need to use a modulation technique that involves varying the amplitude, phase or frequency of transmitted pulses in accordance with the raw data in some discrete manner.
  • 18.
    18 1.4.1 SIGNAL DISTORTIONIN TRANSMISSION  Distortion is any change in the shape of a signal's waveform.  Transmission systems always produce some amount of signal distortion. For the purpose of studying distortion effects on various signals, we'll define two major types of distortion: 1. Linear distortion 2. Nonlinear distortion
  • 19.
    19 1. Linear Distortion Linear distortion includes any amplitude or delay distortion associated with a linear transmission system. 1.1 Amplitude distortion: is easily described in the frequency domain; it means simply that the output frequency components are not in correct proportion.  Since this is caused by H(f) not being constant with frequency.  Amplitude distortion is sometimes called frequency distortion.  The most common forms of amplitude distortion are excess attenuation or enhancement of extreme high or low frequencies in the signal spectrum.  If the low-frequency or high-frequency component is attenuated by one- half, the resulting outputs are as shown in Fig. 3.2-4. As expected, loss of the high-frequency term reduces the "sharpness" of the waveform.
  • 20.
  • 21.
    21 1.2 Phase orDelay distortion  The phase shift is not linear, the various frequency components suffer different amounts of time delay, and the resulting distortion is termed phase or delay distortion.  For an arbitrary phase shift, the time delay is a function of frequency and can be found by writing arg with all angles expressed in radians. Thus which is independent of frequency only if arg H(f) is linear with frequency.
  • 22.
  • 23.
  • 24.
    24  In orderto recover the original signals Xl and X2, the group delay must be constant. Therefore, from Eq. (4) this implies that tg can be found directly from the derivative of arg H(f) = Ѳ(f) as  Note that this condition on arg H(f) is less restrictive than in the general case presented earlier. If then the general conditions of distortionless transmission are met and td = tg
  • 25.
    25 Equalization  Linear distortion-bothamplitude and delay is theoretically curable through the use of equalization networks.  Figure 3.2-6 shows an equalizer Heq(f) in cascade with adistorting transmission channel Hc(f).  Since the overall transfer function is H(f) = Hc(f)Heq(f) the final output will be distortionless  if Hc(J)Heq(f) = where K and td are more or less arbitrary constants. Therefore, we require that
  • 26.
    26  The tapped-delay-lineequalizer, or transversal filter, has emerged as a convenient and flexible device.  To illustrate the principle, Fig. 3.2-8 shows a delay line with total time delay 2 having taps at each end and the middle. The tap outputs are passed through adjustable gains, C-l, Co and Cl summed to form the final output. Thus
  • 27.
    27 Example Radio systems sufferfrom multipath distortion caused by two (or more) propagation paths between transmitter and receiver. Reflections due to mismatched impedance on a cable system produce the same effect. suppose the channel output is
  • 28.
  • 29.
    29 2. Nonlinear Distortionand Companding  sine wave components of the signal are bent (sharply curved or an angle ) that the distortion is called nonlinear distortion.  The instantaneous values of input and output are related by a curve or function y(t) = T[x(t)], commonly called the transfer characteristic.
  • 30.
  • 31.
    31 Companding  The jointuse of compressing and expanding is called companding.  High amplitude analog signals are compressed prior to transmission and then expanded in the receiver.  A compressor has greater amplification at low signal levels than at high signal levels, similar to Fig. 3.2-9, and thereby compresses the range of the input signal. If the compressed signal falls within the linear range of the channel, the signal at the channel output is proportional to Tcomp[x(t)] which is distorted by the compressor but not the channel. Ideally, then, the expander has a characteristic that perfectly complements the compressor so the expanded output is proportional to Texp{Tcomp[x(t)]} = x(t), as desired.
  • 32.
    32  Besides reducingnonlinear distortion, companding tends to compensate for the signal-level difference between loud and soft talkers.  The key advantage of companding compared to the simpler technique of linearly attenuating the signal at the input (to keep it in the linear range of the channel) and linearly amplifying it at the output.