Embed presentation
Download to read offline





















































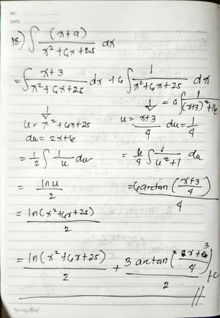
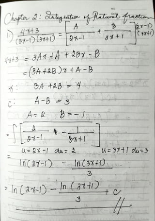
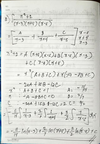
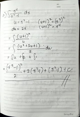
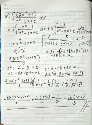
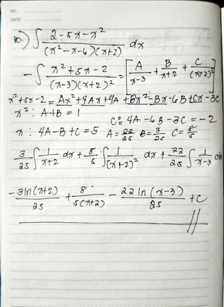
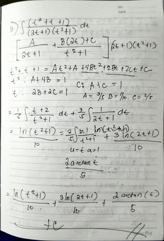
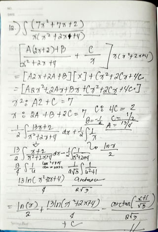
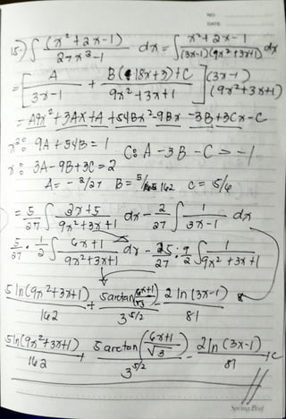
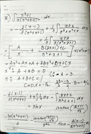
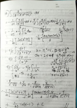
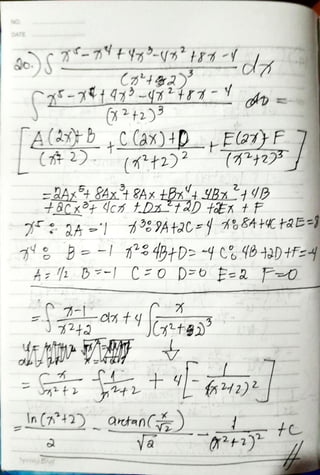
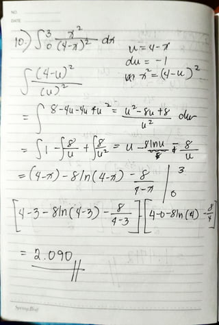
Integral Calculus for beginners and experts If you want to help or donate please donate at my paypal: dyokimura@gmail.com https://www.paypal.me/yokimuraDimaunahan GCASH: 09955158438 https://www.buymeacoffee.com/dyokimura6



















































