Instalaț ia de aer comprimat
      Instalaț ia de aer comprimat este destinată producerii, stocării ș i furnizării aerului
comprimat, incluzând aer pentru pornirea/controlul motorului diesel.

   Instalaț ia cuprinde următoarele componente
   - Sistemul de tubulaturi ș i al buteliilor de aer;
   - Compresorul 1, în două trepte, acț ionat electric, cu apă de răcire ș i răcitor de aer,
       refulând aer la o presiunde de 30bar către cele 2 butelii principale;
   - Compresorul 2, în două trepte, acț ionat electric, cu apă de răcire ș i răcitor de aer,
       refulând aer la o presiunde de 30bar către cele 2 butelii principale;
   - Compresorul în caz de urgenț ă, refulează aerul către butelia auxiliară de aer,
       destinată pentru pornirea diesel generatoarelor în timpul repunerii în funcț iune;
   - Buteliile principale de aer 1 ș i 2. Buteliile sunt utilizate pentru pornirea motoarelor,
       principalului si celor auxiliare (fară redactor de presiune), deasemenea pentru
       controlul instalaț iei (prin intermediul reductoarelor care scad presiunea la
       aproximativ 7bar), si de serviciu-prin reductorul de presiune;
   - Automatizarea sistemului porneș te compresorul 1, când presiunea în buteliile
       principale scade la 22 bar ș i opreș te compresorul la 30bar (din punct de vedere al
       procedurii acest system nu este prevăzut ș i pentru compresorul 2);
   - Pe langă buteliile principale sunt prevăzute oale pentru purjarea condensului acumulat
       prin destinderea aerului comprimat în oala (prin modificarea temperaturii si a
       presiunii);

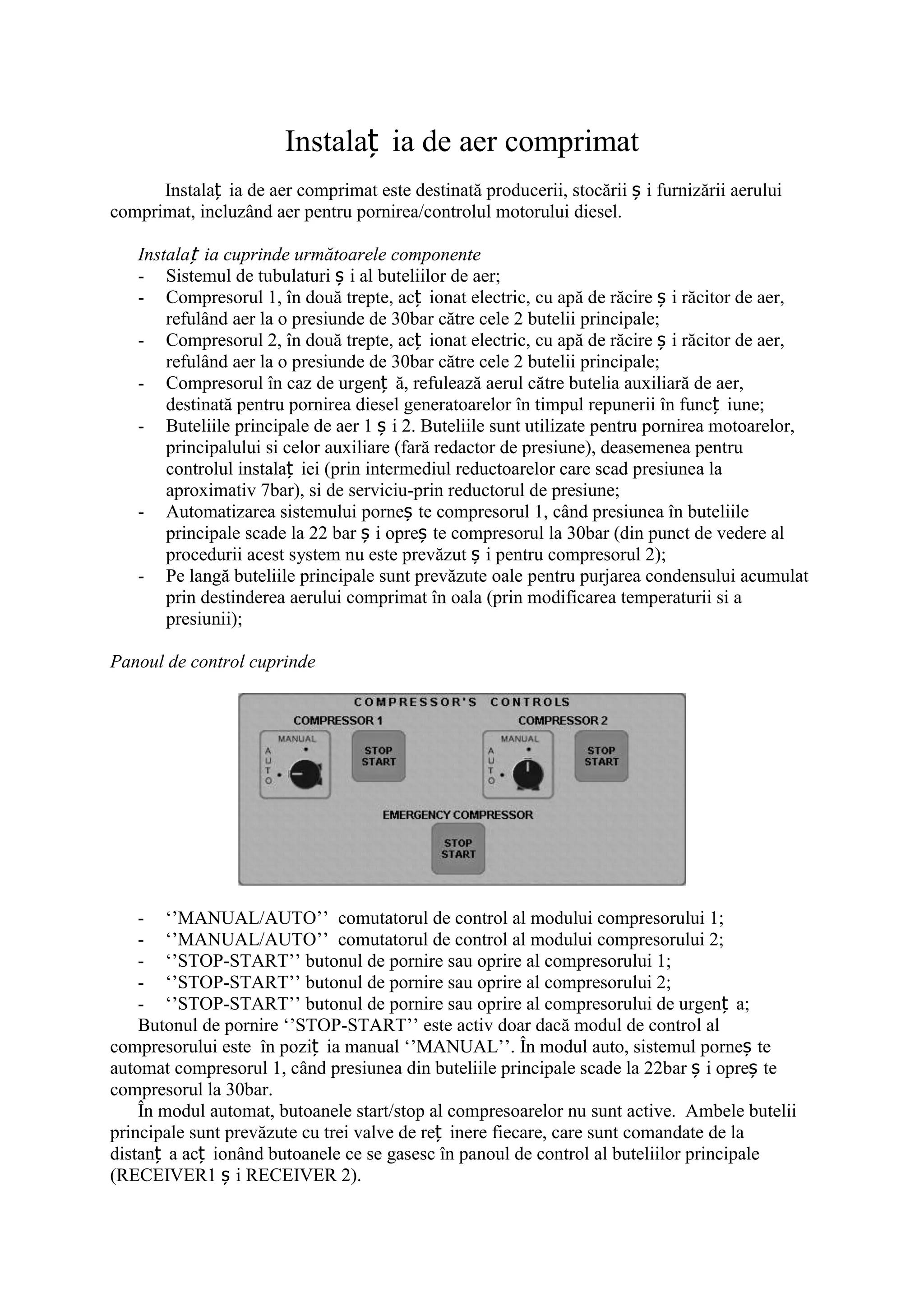
Panoul de control cuprinde




    - ‘’MANUAL/AUTO’’ comutatorul de control al modului compresorului 1;
    - ‘’MANUAL/AUTO’’ comutatorul de control al modului compresorului 2;
    - ‘’STOP-START’’ butonul de pornire sau oprire al compresorului 1;
    - ‘’STOP-START’’ butonul de pornire sau oprire al compresorului 2;
    - ‘’STOP-START’’ butonul de pornire sau oprire al compresorului de urgenț a;
    Butonul de pornire ‘’STOP-START’’ este activ doar dacă modul de control al
compresorului este în poziț ia manual ‘’MANUAL’’. În modul auto, sistemul porneș te
automat compresorul 1, când presiunea din buteliile principale scade la 22bar ș i opreș te
compresorul la 30bar.
    În modul automat, butoanele start/stop al compresoarelor nu sunt active. Ambele butelii
principale sunt prevăzute cu trei valve de reț inere fiecare, care sunt comandate de la
distanț a acț ionând butoanele ce se gasesc în panoul de control al buteliilor principale
(RECEIVER1 ș i RECEIVER 2).
-    START AIR – valvă de reț inere pentru furnizarea aerului pentru pornirea motorului
        principal si a motoarelor auxiliare fara reducere a aerului;
     - CNTRL AIR – valvă de reț inere pentru furnizarea aerului sistemului de control prin
        intermediul staț iei de reducere a presiunii (reductor de presiune), unde presiunea
        aerului scade pana la 7bar;
     - FROM COMPR. – o valvă ce face legătura între buteliile principale si compresoarele
        de aer.
     După compresoare, este o purjare manuală a separatorului apă/ulei către puț ul de santină
utilizând butonul ‚’SEPARATOR’’, ș i valvele de purjare a buteliilor principale 1 ș i 2,
pentru a înlătura acumularea condensului, ce sunt acț ionate de butoanele ’’RECEIV 1’’ ș i ’’
RECEIV 2’’ (meniul BLOW DOWN).




        Partea superioară a casuț elor panoului de control sunt manometrele, ce indică
presiunea aerului în cele două butelii principale, AIR RECEIVER 1 ș i AER RECEIVER 2,în
butelia în caz de urgenț ă EMERGENCY RECEIVER, ș i după staț ia de reducere a
presiunii (reductorul de presiune) CONTROL AIR




                  .

Pregătirea instalaț iei ș i punerea în funcț iune
   1. Purjarea buteliilor de aer, RECEIVER 1, RECEIVER 2.
   2. Se deschide valva buteliei 1, butonul FROM COMPR.
   3. Se deschide valva buteliei 2, butonul FROM COMPR.
   4. Se asigură că răcirea componentelor din instalaț ia de răcire cu apă de mare este
       pornită;
   5. Se porneș te compresorul (butonul STOP-START pentru COMPRESSOR 1 ș i
       COMPRESSOR 2 în modul manual), se umple buteliile până la 30bar;
   6. Se trece controlul compresoarelor pe modul automat AUTO;
   7. Se deschide valva buteliei 1 (RECEIVER 1)- butoanele ‚’START AIR’’,’’ CNTRL
       AIR’’;
   8. Se verifică ca în sistem nu este nici o alarmă.
Supravegherea instalaț iei
   1. Verificarea ș i menț inerea presiunii cerespunzătoare în butelia 1;
   2. În situaț ie de urgenț ă, dacă livrarea aerului comprimat este mică se deschide valva
      buteliei 2 (RECEIVER 2), butoanele ’’START AIR’’,’’CNTRL AIR’’
   3. Regulat se purjează buteliile RECEIV. 1, RECEIV. 2;
   4. Când se porneș te compresorul, se verifică operarea valvei destinată purjării automate
      a separatorului.
   5. Controlul asupra staț iei de reducere a presiunii prin controlul manometrului
      CONTROL AIR;
   6. Se verifică că nu este nici o alarma în sistem.

Instalația de aer comprimat

  • 1.
    Instalaț ia deaer comprimat Instalaț ia de aer comprimat este destinată producerii, stocării ș i furnizării aerului comprimat, incluzând aer pentru pornirea/controlul motorului diesel. Instalaț ia cuprinde următoarele componente - Sistemul de tubulaturi ș i al buteliilor de aer; - Compresorul 1, în două trepte, acț ionat electric, cu apă de răcire ș i răcitor de aer, refulând aer la o presiunde de 30bar către cele 2 butelii principale; - Compresorul 2, în două trepte, acț ionat electric, cu apă de răcire ș i răcitor de aer, refulând aer la o presiunde de 30bar către cele 2 butelii principale; - Compresorul în caz de urgenț ă, refulează aerul către butelia auxiliară de aer, destinată pentru pornirea diesel generatoarelor în timpul repunerii în funcț iune; - Buteliile principale de aer 1 ș i 2. Buteliile sunt utilizate pentru pornirea motoarelor, principalului si celor auxiliare (fară redactor de presiune), deasemenea pentru controlul instalaț iei (prin intermediul reductoarelor care scad presiunea la aproximativ 7bar), si de serviciu-prin reductorul de presiune; - Automatizarea sistemului porneș te compresorul 1, când presiunea în buteliile principale scade la 22 bar ș i opreș te compresorul la 30bar (din punct de vedere al procedurii acest system nu este prevăzut ș i pentru compresorul 2); - Pe langă buteliile principale sunt prevăzute oale pentru purjarea condensului acumulat prin destinderea aerului comprimat în oala (prin modificarea temperaturii si a presiunii); Panoul de control cuprinde - ‘’MANUAL/AUTO’’ comutatorul de control al modului compresorului 1; - ‘’MANUAL/AUTO’’ comutatorul de control al modului compresorului 2; - ‘’STOP-START’’ butonul de pornire sau oprire al compresorului 1; - ‘’STOP-START’’ butonul de pornire sau oprire al compresorului 2; - ‘’STOP-START’’ butonul de pornire sau oprire al compresorului de urgenț a; Butonul de pornire ‘’STOP-START’’ este activ doar dacă modul de control al compresorului este în poziț ia manual ‘’MANUAL’’. În modul auto, sistemul porneș te automat compresorul 1, când presiunea din buteliile principale scade la 22bar ș i opreș te compresorul la 30bar. În modul automat, butoanele start/stop al compresoarelor nu sunt active. Ambele butelii principale sunt prevăzute cu trei valve de reț inere fiecare, care sunt comandate de la distanț a acț ionând butoanele ce se gasesc în panoul de control al buteliilor principale (RECEIVER1 ș i RECEIVER 2).
  • 2.
    - START AIR – valvă de reț inere pentru furnizarea aerului pentru pornirea motorului principal si a motoarelor auxiliare fara reducere a aerului; - CNTRL AIR – valvă de reț inere pentru furnizarea aerului sistemului de control prin intermediul staț iei de reducere a presiunii (reductor de presiune), unde presiunea aerului scade pana la 7bar; - FROM COMPR. – o valvă ce face legătura între buteliile principale si compresoarele de aer. După compresoare, este o purjare manuală a separatorului apă/ulei către puț ul de santină utilizând butonul ‚’SEPARATOR’’, ș i valvele de purjare a buteliilor principale 1 ș i 2, pentru a înlătura acumularea condensului, ce sunt acț ionate de butoanele ’’RECEIV 1’’ ș i ’’ RECEIV 2’’ (meniul BLOW DOWN). Partea superioară a casuț elor panoului de control sunt manometrele, ce indică presiunea aerului în cele două butelii principale, AIR RECEIVER 1 ș i AER RECEIVER 2,în butelia în caz de urgenț ă EMERGENCY RECEIVER, ș i după staț ia de reducere a presiunii (reductorul de presiune) CONTROL AIR . Pregătirea instalaț iei ș i punerea în funcț iune 1. Purjarea buteliilor de aer, RECEIVER 1, RECEIVER 2. 2. Se deschide valva buteliei 1, butonul FROM COMPR. 3. Se deschide valva buteliei 2, butonul FROM COMPR. 4. Se asigură că răcirea componentelor din instalaț ia de răcire cu apă de mare este pornită; 5. Se porneș te compresorul (butonul STOP-START pentru COMPRESSOR 1 ș i COMPRESSOR 2 în modul manual), se umple buteliile până la 30bar; 6. Se trece controlul compresoarelor pe modul automat AUTO; 7. Se deschide valva buteliei 1 (RECEIVER 1)- butoanele ‚’START AIR’’,’’ CNTRL AIR’’; 8. Se verifică ca în sistem nu este nici o alarmă.
  • 3.
    Supravegherea instalaț iei 1. Verificarea ș i menț inerea presiunii cerespunzătoare în butelia 1; 2. În situaț ie de urgenț ă, dacă livrarea aerului comprimat este mică se deschide valva buteliei 2 (RECEIVER 2), butoanele ’’START AIR’’,’’CNTRL AIR’’ 3. Regulat se purjează buteliile RECEIV. 1, RECEIV. 2; 4. Când se porneș te compresorul, se verifică operarea valvei destinată purjării automate a separatorului. 5. Controlul asupra staț iei de reducere a presiunii prin controlul manometrului CONTROL AIR; 6. Se verifică că nu este nici o alarma în sistem.