Implementing the
Verifiable Claims Data Model
David Hyland-Wood

david@hyland-wood.org

@prototypo

3 April 2017
Today’s Data Systems
Lack of Context
Required Context
Organisation Charts
Organisation Charts
redux
A
B C
E
A B C
B F
C D E
D
E
Node
1st
Adjacent
2nd
Adjacent
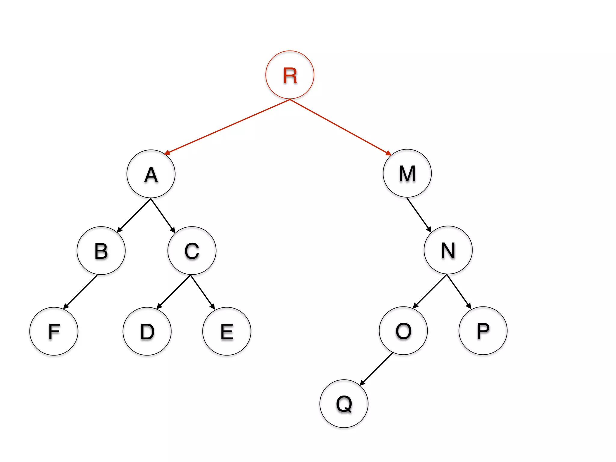
Tree Table
DF
A
B C
D E
M
N
O P
Q
F
A
B C
D E
M
N
O P
Q
R
F
A
B C
D E
M
N
P
R
EF
A
B C
D E
M
N
P
R
F
A
B C
D E
M
N
P
R
F
The Web makes graphs
out of trees
40% annual growth in data produced
5% annual growth in IT spending
1.8 ZB
35 ZB
2012 2020
Digital Information Produced
294B
1 Trillion
2 Trillion
3 Trillion
4 Trillion
5 Trillion
Online Ad
Impressions
Emails Tweets
Daily (2013)
230M
4.8T
RDF
Thing 1 Thing 2
Relationship
Thing 1 Thing 2
Relationship
Thing 1
(the “subject”)
Thing 2
(the “object”)
Relationship
(the “predicate”)
https://about.me/
david_wood
https://about.me/
damien_fitzpatrick
http://xmlns.com/foaf/0.1/knows
aboutme:
david_wood
about.me:
damien_fitzpatrick
foaf:knows
aboutme: https://about.me/
foaf: http://xmlns.com/foaf/0.1/
aboutme:
david_wood
about.me:
damien_fitzpatrick
foaf:knows
aboutme: https://about.me/
foaf: http://xmlns.com/foaf/0.1/
xsd: http://www.w3.org/2001/XMLSchema#
David
Hyland-Wood
foaf:givenName
foaf:surname
1963-08-28
foaf:birthday
xsd:date
xsd:string
xsd:string
Lack of Context
Linked Data on the Web
my data
collector
collected by
measurement
Michael
first name
Hausenblaslast name
Person
a
a measurement
2011-01-01
date
0
value
units of measure
degrees
Centigrade
...
Galway Airport
collected at
or
08 Oct 2007
07 Nov 2007
10 Nov 2007
28 Feb 2008
31 Mar 2008
18 Sep 2008
05 Mar 2009
27 Mar 2009
14 Jul 2009
Sep 2010
Sep 2011
Sep 2011
Crawlable Linked Datasets as of February 2016
M A N N I N G
David Wood
Marsha Zaidman
Luke Ruth
WITH Michael Hausenblas
FOREWORD BY Tim Berners-Lee
Structured data on the Web
Implementing the
Verifiable Claims Data Model
David Hyland-Wood

david@hyland-wood.org

@prototypo

3 April 2017
Acknowledgements
Bouncer photo by Hans-Petter Fjeld (CC BY-SA 2.5)
Oak tree photo by pixabay.com user klausPeter (CC0)
Linking Open Data cloud diagram 2017, by Andrejs Abele, John P. McCrae,
Paul Buitelaar, Anja Jentzsch and Richard Cyganiak. http://lod-cloud.net/
Linked Data: Structured Data on the Web book cover © 2014 Manning
Publications Inc.

Implementing the Verifiable Claims data model