PERAMALAN

Materi :
   1. Metode sederhana
   2. Metode rata-rata
   3. Metode pemulusan eksponensial
   4. Teknik regresi sederhana dan berganda
   5. Analisis runtun waktu : AR, MA, ARMA, ARIMA, SARIMA dll

Prediksi jarang tepat oleh karena itu hanya digunakan untuk memperkecil kesalahan yang ada.
Peramalan  model matematika + pertimbangan-pertimbangan (judgement yang masuk akal)
Peramalan dibutuhkan dalam bidang : Keuangan, Pemasaran, SDM, Produksi

Tiga unsur pokok yang terkait dengan masalah peramalan :
   1. Waktu  masa depan
   2. Ketidakpastian
   3. Analisis Statistika

Peramalan  salah satu aspek dari perencanaan

Macam-macam peramalan
  1. Jangka panjang dan pendek
  2. Mikro dan Makro
  3. Kuantitatif dan Kualitatif (judgement)

DATA
       1. Jenis : Kualitatif (nominal dan ordinal) dan Kuantitatif (interval dan rasio)
               Nominal  persetujuan : ya  1 atau tidak  0
                          warna kesukaan : merah (0), kuning (1), hijau (2)
                          pengkodean boleh ditukar-tukar

              Ordinal  jenjang pendidikan : SD (0), SMP (1), SMA (2) , PT (3)
                       pengkodean tidak boleh ditukar-tukar

              Interval  suhu udara
                        dapat digunakan operasi ”+” dan ”−”

              Rasio  jarak, berat
                     dapat digunakan operasi ”+”, ”−” , ”×” dan ”/”

       2. Sifat : diskrit (bilangan bulat) dan kontinu (bilangan riil)

       3. Sumber : Intern dan Extern (Primer dan Sekunder(: pribadi dan umum))

Teknik Peramalan
   1. Kualitatif : Judgement dan intuisi
   2. Kuantitatif : deterministik dan probalistik




                                                                                              1
DATA RUNTUN WAKTU
 dikatakan Stasioner jika memiliki rata-rata (mean) dan varians yang konstan sepanjang waktu.
            Metode :
                       1. Model sederhana
                       2. metode rata-rata sederhana
                       3. rata-rata bergerak
                       4. pemulusan eksponensial sederhana
                       5. metode Box-Jenkins
 Trend  data yang menunjukkan pertumbuhan (penurunan) dalam periode waktu yang panjang.
          Metode :
                       1. Rata-rata bergerak linier
                       2. pemulusan eksponensial linier dari Brown
                       3. pemulusan eksponensial linier dari Holt
                       4. pemulusan eksponensial kuadrat dari Brown
                       5. Regresi liner sederhana
                       6. Model Gompertz
                       7. Kurva pertumbuhan
                       8. Model-model eksponensial
 Musiman  data yang mempunyai pola perubahan yangg berulang secara tahunan (periodik).
           Metode :
                       1. dekomposisi klasik
                       2. Cencus II
                       3. pemulusan eksponensial dari Winter
                       4. regresi linier berganda runtun waktu
                       5. metode Box-Jenkins
 Siklis  data yang berfluktuasi seperti gelombang di sekitar garis trend
         Metode :
                1. dekomposisi klasik
                2. model-model ekonometrik
                3. regresi linier berganda
                4. metode Box-Jenkins

 PENGUKURAN KESALAHAN PERAMALAN
 Yt : nilai data runtun waktu pada periode t
  ˆ
 Yt : nilai peramalan dari Yt
            ˆ
 e = Y − Y : residual atau error atau kesalahan peramalan
     t     t   t
                                                               n                                     n

1.       Mean absolute deviation (MAD) :                  ∑Y             t
                                                                                ˆ
                                                                             − Yt                ∑e          t
                                           MAD =              t =1
                                                                                         =       t =1
                                                                         n                               n

                                              ∑ (Y                   ) ∑e
                                               n                                     n
                                                                         2
                                                             ˆ
                                                          − Yt
                                                                                                 2
                                                      t                                      t
2.       Mean squared error (MSE) :
                                      MSE =   t =1
                                                                             =   t =1
                                                          n                              n
                                                                                         n             ˆ
                                                                                                 Yt − Yt                  n
                                                                                                                                et
3.       Mean absolute percentage error (MAPE) :                                     ∑
                                                                                     t =1   Yt
                                                                                                                         ∑Y
                                                                                                                         t =1
                                                          MAPE =                                                     =            t
                                                                                           n                                  n
                                                      n           ˆ
                                                           Yt − Yt                     n
                                                                                            e                   
4.       Mean percentage error (MPE) :               ∑ Y 
                                                     t =1 
                                                                                 
                                                                                      ∑  Yt
                                                                                                                
                                                                                                                 
                                         MPE =
                                                                t                   =
                                                                                       t =1  t                  
                                                                     n                       n


                                                                                                                                      2
Ramalan                                                             | e t | / Yt       e t / Yt
 t             Yt                    ˆ              et            | et |          et2
                                  ( Yt =Yt-1)                                                            (%)              (%)
1              Y1
2              Y2                     Y1         Y2 − Y 1
3              Y3                     Y2
4              Y4                     Y3
5              Y5                     Y4
6              Y6                     Y5
7              Y7                     Y6
8              Y8                     Y7
9              Y9                     Y8
                      ne =

MAD = …..                                                           MAPE = …..
MSE = …..                                                           MPE = …..




     jlh mobil yg                                                                       | et | / Yt
 t                    Ramalan (Yt)          et           | et |            e t2                            et / Yt (%)
     diservis (Yt)                                                                         (%)
 1        58
 2        54                 58             -4             4               16            7.4%                -7.4%
 3        60                 54              6             6               36           10.0%                10.0%
 4        55                 60
 5        62                 55
 6        62                 62
 7        65                 62
 8        63                 65
 9        70                 63
               ne =          8

     MAD =                                                          MAPE =
     MSE =                                                          MPE =




                                                                                                                                    3
LANGKAH PERAMALAN
                                   Anda di sini
Data masa lalu                          t                    Periode yang diramalkan
--o----------o-----------o-------------o-------------o-----------o-----------o---
  Yt-3     Yt-2      Yt-1         Yt                Yt+1      Yt+2      Yt+3

                             Data yang terbaru
1. Metode Sederhana (naïve model)
        ˆ
    a) Yt +1 = Yt            ˆ
                     dengan Yt +1 : ramalan yang dibuat pada waktu t untuk memperkirakan
       (meramalkan) nilai Y pada saat t+1
           t      Yt      Yˆ           et          et2    |et| |et|/Yt  et/Yt
                                t +1
           1        Y1
           2        Y2          Y1                 ˆ
                                             Y2 - Y2 = Y2 - Y1
           3        Y3          Y2



                                                                          MSE        MAD          MAPE            MPE
    b)    ˆ
         Yt +1 = Yt + (Yt − Yt −1 ) untuk data trend
            t         Yt         Yt-1       Yt-Yt-1           ˆ
                                                             Yt +1         et        et2          |et|         |et|/Yt       et/Yt

           1          Y1
           2          Y2         Y1        Y2 - Y1



                                                                                     MSE          MAD          MAPE          MPE

        ˆ          Y 
    c) Yt +1 = Yt  t 
                  Y 
                   t −1 
           t         Yt         Yt-1       Yt /Yt-1           ˆ
                                                             Yt +1              et     et2          |et|          |et|/Yt        et/Yt
           1         Y1
           2         Y2



                                                                                      MSE          MAD            MAPE          MPE
        ˆ
    d) Yt +1 = Yt −3 untuk data musiman

           t         Y   t  Y        Yˆ
                                     t-3                             et     e t2           |et|      |et|/Yt         et/Yt
                                                      t +1
           1         Y1
           2         Y2



                                                                          MSE          MAD          MAPE             MPE


         Secara umum untuk periode musiman = m periode
         Maka rumus untuk point d) berubah menjadi                         ˆ
                                                                          Yt +1 = Yt −m+1




                                                                                                                                         4
e)       ˆ             ( Y − Yt −1 ) + ( Yt −1 − Yt −2 ) + ... + ( Yt −3 − Yt −4 ) untuk data musiman dan trend
                  Yt +1 = Yt −3 + t
                                                            4
                                                                                                            Jlhan/      ˆ
t   Yt         Yt-1   Yt-2   Yt-3     Yt-4   Yt-Yt-1   Yt-1-Yt-2   Yt-2-Yt-3   Yt-3-Yt-4     Jlhan
                                                                                                               4       Yt +1     et     et2       |et|         |et|/Yt   et/Yt
1    Y1
2    Y2        Y1
3    Y3        Y2     Y1
4    Y4        Y3     Y2     Y1
5    Y5        Y4     Y3     Y2       Y1



               Catatan : poin d) dan e) digunakan untuk 4 periode                                                                      MSE       MAD           MAPE      MPE


    Secara umum untuk periode musiman = m periode
    maka rumus untuk point e) berubah menjadi
                                     ˆ                 ( Y − Y ) + ( Yt −1 − Yt − 2 ) + ... + ( Yt − m +1 − Yt − m )
                                    Yt +1 = Yt − m +1 + t t −1
                                                                                 m


    Penjualan Toko sepatu KASIGI
                           jlh penjualan
     Tahun Kuartal t
                             sepatu (Yt)
      1987      1      1        500
                2      2        350
                3      3        250
                4      4        400
      1988      1      5        450                                                                              Penjualan Toko Sepatu Kasigi
                2      6        350
                3      7        200
                4      8        300
      1989      1
                2
                       9
                      10
                                350
                                200
                                                                                                   1000
                3
                4
                      11
                      12
                                150
                                400
                                                                                                    800
      1990      1     13        550
                2     14        350                                                                 600
                3     15        250                                                                                                             penjualan sepatu
                4     16        550                                                                 400
      1991      1     17        550
                                                                                                    200
                                                                                       jlh penjualan




                2     18        400
                3     19        350
                4     20        600                                                                   0
      1992      1     21        750
                2     22        500                                                                       1 3 5 7 9 111315 1719 21 23 2527
                3     23        400
                4     24        650
      1993      1     25        850                                                                                     time
                2     26        600
                3     27        450
                4     28        700




                                                                                                                                                                         5
2. Metode rata-rata sederhana  data stasioner
                                        t

                                      ∑Y        i
                   ˆ
                  Yt +1 = Y =          i =1
                                            t

       example : (data Kasigi)
       untuk t=1 (kuartal pertama tahun 1987)
                                                     1

                                                    ∑Y       i                                 ˆ
                                                                                dan e2 = Y2 − Y2 = 350 − 500 = −150
                         ˆ      ˆ
                        Y1+1 = Y2 =                 i =1
                                                                 = Y1 = 500
                                                         1
                                                     2

       untuk t=2  ˆ                                ∑Y       i
                                                                      500 + 350 850       dan
                           ˆ
                   Y2+1 = Y3 =                      i =1
                                                                  =            =    = 425
                                  2                                       2      2
                  ˆ
       e3 = Y3 − Y3 = 250 − 425 = −175
       dan seterusnya
       Ramalan untuk kuartal pertama 1993
                        24

                        ∑Y        i
                                            9.800                           ˆ
                                                           dan e25 = Y25 − Y25 = ... ?
        ˆ       ˆ
       Y24+1 = Y25 =    i =1
                                      =           = 408,33
                         24                   24
        ˆ
       Y25+1      ˆ
               = Y26 = ... ?

          t        Yt     Jumlah kumulatif                                  ˆ
                                                                 Ramalan ( Yt +1 )   et      et2     |et|   |et|/Yt   et/Yt
         1         Y1                   = Y1
         2         Y2                 = Y1+Y2
         3         Y3
         4         Y4
         5         Y5



                                                                                            MSE     MAD     MAPE      MPE


3. Metode rata-rata bergerak  data stasioner
                                Sering digunakan untuk data kuartalan atau bulanan
                     ˆ      Yt + Yt −1 + ... + Yt −n+1
              M t = Yt +1 =
                                        n
                   n : banyaknya data dalam rata-rata bergerak  ditentukan dengan cara
                         melihat grafik datanya
                    Yt : nilai aktual pada periode t
                     ˆ
                    Y : nilai ramalan periode berikutnya
                           t +1

                    M t : rata-rata bergerak pada periode t
       example : (data Kasigi)  merupakan data kuartalan sehingga n = 4
       untuk t=1
       untuk t=2     tidak dapat dihitung sehingga untuk t=1,2 dan 3 tidak masuk hitungan
       untuk t=3
                           ˆ      Y + Y + Y2 + Y1 400 + 250 + 350 + 500 1500
       untuk t=4  M 4 = Y4+1 = 4 3               =                      =      = 375
                                         4                    4             4
                                           ˆ
                            dan e5 = Y5 − Y5 = 450 − 375 = 75
                           ˆ     Y + Y4 + Y3 + Y2 450 + 400 + 250 + 350 1450
       untuk t=5  M 5 = Y5+1 = 5                 =                      =      = 362.5
                                         4                    4              4


                                                                                                                              6
ˆ
                       dan e5 = Y5 − Y5 = 350 − 362.5 = -12.5
    dengan cara yang sama dapat dilakukan untuk data seterusnya
t    Yt     Yt-1    Yt-2    Y t-3
                                    Jumlah       ˆ
                                                Yt +1    te     e   t
                                                                        2
                                                                            |et|   |et|/Yt   et/Yt
                                  4-kuartalan
1    Y1
2    Y2     Y1
3    Y3     Y2       Y1
4    Y4     Y3       Y2      Y1
5    Y5     Y4       Y3      Y2
6    Y6     Y5       Y4      Y3


                                                              MSE           MAD    MAPE      MPE
           Tergantung persoalan Jika 3-mg-an ???




                                                                                                7
4. Metode rata-rata bergerak Ganda  data Trend Linier
                  ˆ      Y + Yt −1 + ... + Yt −n+1
           M t = Yt +1 = t                             at = 2 M t − M t′ 
                                     n                                     ˆ
                                                           2                Y = at + (bt × p )
                  M t + M t −1 + ... + M t −n+1       bt = ( M t − M t′ )  t + p
                                                                          
           M t′ =                                          n              
                               n
                     p : banyaknya periode ke depan yang akan diramalkan
                     n : banyaknya periode dalam rata-rata bergerak

     untuk n =3
     t = 1  M1 =( Y1 + Y1-1 + Y1-2 ) =( Y1 + Y0 + Y-1 )  tidak mungkin
     t = 2  M2 =( Y2 + Y2-1 + Y2-2 ) =( Y2 + Y1 + Y0 )  tidak mungkin
     t = 3  M3 =( Y3 + Y3-1 + Y3-2 ) =( Y3 + Y2 + Y1 )
     t = 4  M4 =( Y4 + Y3 + Y2 )

                                                                                                  Ramalan
            Jumlah Yt             Jumlah Mt
t    Yt                     Mt                   Mt'     at                          bt        (Yt+p=at +p* bt)        et      e t2   |et|   |et|/Yt   et/Yt
           3-mingguan            3-mingguan
                                                                                                   --> p=2
1    654
2    658
3    665     1977       659
4    672     1995       665
5    673     2010       670          1994       664.7   675.3                       3.56
6    671     2016       672          2007       669.0    675                        2.00
7    693     2037       679          2021       673.7   684.3                       3.56            682.44            10.56   111.4   10.6   0.02      0.02
8    694     2058       686          2037       679.0    693                        4.67            679.00            15.00    225     15    0.02      0.02
9    701
10   703
11   702
12   710
13   712
14   711
15   728


                                                                                                                              MSE     MAD    MAPE      MPE


             Data penyewaan mingguan di Palwa Video Tara
                                 jlh video yg
                        t
                                  disewa(Yt)
                        1             654                                                               Penyew aan m ingguan di Palw a Video Tara
                        2           658
                        3           665                                             740
                        4           672
                                                              Jlh video yg disewa




                                                                                    720
                        5           673                                             700
                        6           671                                             680                                                                persew aan video
                        7           693                                             660
                        8           694                                             640
                        9           701                                             620
                        10          703                                             600
                        11          702                                                    1    2   3   4    5    6   7 8 9 10 11 12 13 14 15
                        12          710                                                                                time
                        13          712
                        14          711
                        15          728




     5. Metode Pemulusan Eksponensial Tunggal (Exponential Smoothing)  Data Stasioner

                                                                                                                                                          8
Untuk 0 < α < 1  ( Ramalan baru ) = α ( data baru ) + (1 − α )( ramalan yang lama )
                          ˆ                   ˆ           ˆ      ˆ
                    atau Y = αY + (1 − α )Y atau Y = Y + α (Y − Y ) = Y + α eˆ    ˆ
                                        t +1   t                   t           t +1           t    t         t         t         t

  Catatan :
   1. Nilai α (konstanta pemulusan) diestimasi degan menggunakan prosedur iterasi yang
       meminimkan mean square error (MSE)
                  ˆ       ˆ
   2. Nilai awal Y1  a. Y1 = Y1
                                                    n

                               b. ˆ           ∑Y           t
                                                                Rata-rata n data pertama (diambil data ke-1 s.d. ke-n
                                   Y1 = Y =        t =1
                                                        n
                                                                kemudian dihitung nilai rata-rata-nya)
               Periode                    α = 0.1                                          α = 0.6
               Waktu            Penghitungan                      Bobot        Penghitungan          Bobot
                  t                                               0.100                               0.600
                 t-1                0.9×0.1                       0.090            0.4×0.6             0.24
                 t-2             0.9×0.9×0.1                      0.081         0.4×0.4×0.6           0.096
                 t-3              (0.9)3 ×0.1                     0.073          (0.4) ×0.6
                                                                                      3
                                                                                                      0.038
                 t-4              (0.9)4 ×0.1                     0.066          (0.4) ×0.6
                                                                                      4
                                                                                                      0.015
              lainnya                                             0.590                               0.011
                                                                    1                                    1
Example : (data Kasigi)
                                                   ˆ
Pilih konstanta pemulusan α = 0.1 sedangkan untuk Y1 = Y1 = 500
        ˆ                  ˆ                                          ˆ
t=1  Y2 = 0.1Y1+ (1-0.1) Y1 = (0.1)(500)+(0.9)(500) = 500  e2= Y2− Y2 =350−500=−150
        ˆ                  ˆ                                          ˆ
t=2  Y = 0.1Y2+ (1-0.1) Y = (0.1)(350)+(0.9)(500) = 485  e3= Y3− Y =250−485=−235
          3                         2                                                                        3

       ˆ                   ˆ                                          ˆ
t=3  Y4 = 0.1Y3+ (1-0.1) Y3 = (0.1)(250)+(0.9)(485) = 462  e4= Y4− Y4 =400−462=−62
  t      Y    αY
              t       (1−α) Y
                          t
                             ˆ      ˆ
                                    Y (α=0.34)   e       e       |e |    t|e |/Y e /Y t
                                                                                          2
                                                                                                       t           t        t         t   t
                                         t          t
  initial value                                           500
  1       500        50          450.0
  2       350        35          450.0                  500.0          150.0   22500.0            22500.0          64.3                       0.4
  3       250        25          436.5                  485.0          235.0   55225.0            55225.0         220.9                       0.9
  4       400        40          415.4                  461.5          61.5    3782.3              3782.3                  9.5                0.2
  5       450        45          409.8                  455.4           5.4      28.6                      28.6            0.1                0.0
  6       350        35          409.3                  454.8          104.8   10986.2            10986.2          31.4                       0.3
  7       200        20          399.9                  444.3          244.3   59698.9            59698.9         298.5                       1.2
  8       300        30          377.9                  419.9          119.9   14376.0            14376.0          47.9                       0.4
  9       350
 10       200
 11       150
 12       400
 13       550
 14       350
 15       250
 16       550
 17       550
 18       400
 19       350
 20       600



                                                                                MSE               MAD             MAPE               MPE
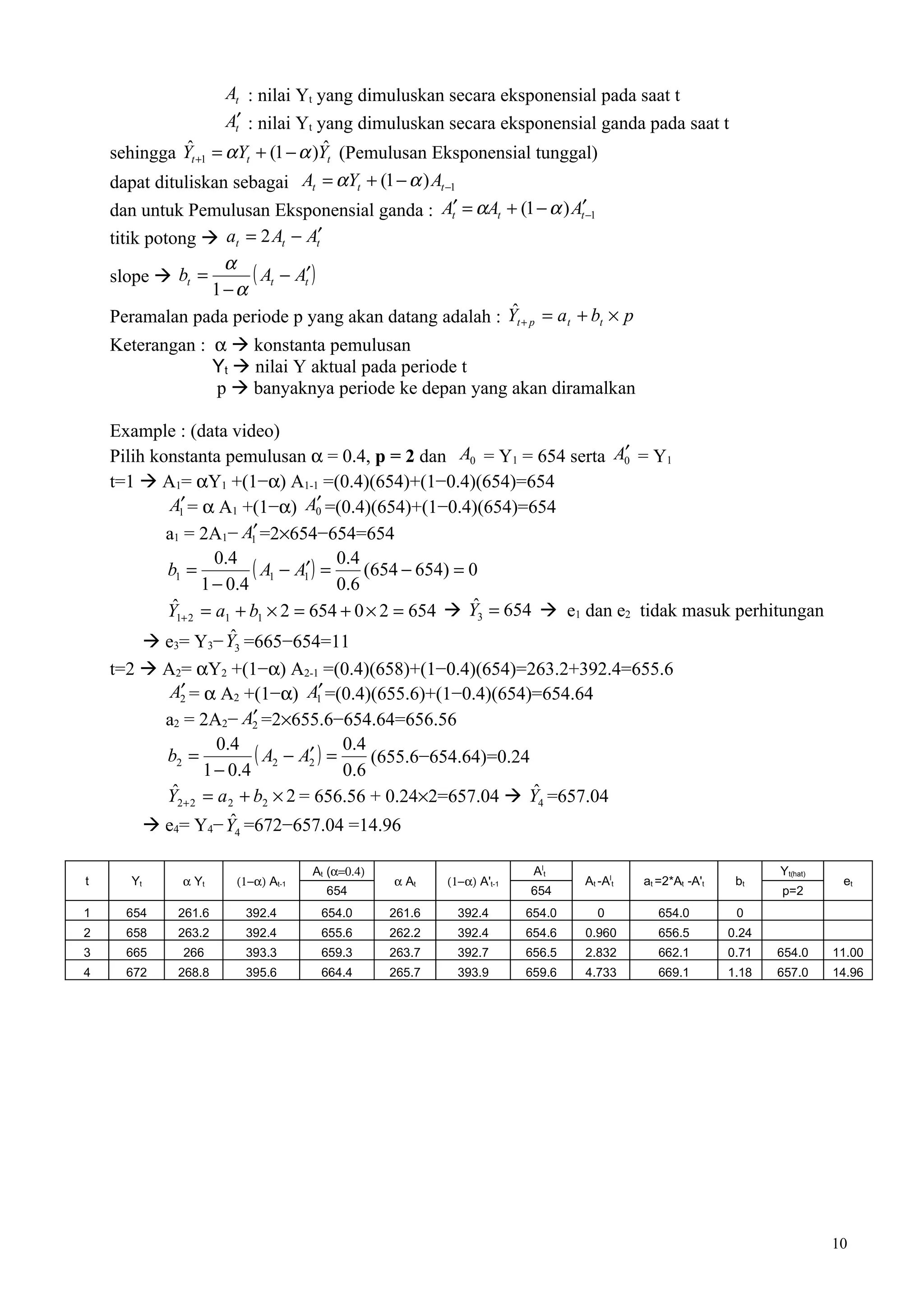
6. Metode Pemulusan Eksponensial Ganda (Double Exponential Smoothing)  Data Trend linier
                                                                   Metode Brown
                                                                                                                                                    9
At : nilai Yt yang dimuluskan secara eksponensial pada saat t
                     At′ : nilai Yt yang dimuluskan secara eksponensial ganda pada saat t
               ˆ                     ˆ
    sehingga Yt +1 = αYt + (1 − α )Yt (Pemulusan Eksponensial tunggal)
    dapat dituliskan sebagai At = αYt + (1 − α ) At −1
    dan untuk Pemulusan Eksponensial ganda : At′ = αAt + (1 − α ) At′−1
    titik potong  at = 2 At − At′
                  α
    slope  bt =      ( At − At′ )
                 1−α
                                                        ˆ
    Peramalan pada periode p yang akan datang adalah : Yt + p = at + bt × p
    Keterangan : α  konstanta pemulusan
                 Yt  nilai Y aktual pada periode t
                 p  banyaknya periode ke depan yang akan diramalkan

    Example : (data video)
                                                                         ′
    Pilih konstanta pemulusan α = 0.4, p = 2 dan A0 = Y1 = 654 serta A0 = Y1
    t=1  A1= αY1 +(1−α) A1-1 =(0.4)(654)+(1−0.4)(654)=654
                                      ′
            A1′ = α A1 +(1−α) A0 =(0.4)(654)+(1−0.4)(654)=654
            a1 = 2A1− A1′ =2×654−654=654
                    0.4
            b1 =          ( A1 − A1′ ) = 0.4 (654 − 654) = 0
                  1 − 0.4                0.6
             ˆ                                              ˆ
            Y1+ 2 = a1 + b1 × 2 = 654 + 0 × 2 = 654  Y3 = 654  e1 dan e2 tidak masuk perhitungan
                      ˆ
          e3= Y3− Y =665−654=11
                     3

    t=2  A2= αY2 +(1−α) A2-1 =(0.4)(658)+(1−0.4)(654)=263.2+392.4=655.6
           A2 = α A2 +(1−α) A1′ =(0.4)(655.6)+(1−0.4)(654)=654.64
             ′
                        ′
          a2 = 2A2− A2 =2×655.6−654.64=656.56
                  0.4
          b2 =          ( A2 − A2 ) = 0.4 (655.6−654.64)=0.24
                                ′
                1 − 0.4               0.6
           ˆ                                                  ˆ
          Y2+ 2 = a 2 + b2 × 2 = 656.56 + 0.24×2=657.04  Y4 =657.04
                    ˆ
         e4= Y4− Y =672−657.04 =14.96
                     4


                                  At (α=0.4)                          Alt                                     Yt(hat)
t     Yt      α Yt   (1−α) At-1                α At    (1−α) A't-1           At -Alt   at =2*At -A't    bt               et
                                    654                              654                                      p=2
1     654    261.6       392.4     654.0       261.6     392.4       654.0      0         654.0         0
2     658    263.2       392.4     655.6       262.2     392.4       654.6   0.960        656.5        0.24
3     665     266        393.3     659.3       263.7     392.7       656.5   2.832        662.1        0.71   654.0     11.00
4     672    268.8       395.6     664.4       265.7     393.9       659.6   4.733        669.1        1.18   657.0     14.96




                                                                                                                        10
Untuk menentukan nilai awal slope trend b0 dan titik potong a0 dengan menggunakan metode
     kuadrat terkecil (least square methods)
     untuk data video  a0 = 650.3 dan b0 = 4.9
     sehingga
                               1−α
                     A0 = a0 −       b0 .............1)
                                 α
                                   1−α
                       ′
                     A0 = a0 − 2 ×      b0 .............2)
                                    α

                           1 − 0.4
     1
      )  A0 = 650.3 −              × 4.9 = 642.9
                             0.4
                               1 − 0.4
     2      ′
       )  A0 = 650.3 − 2 ×             × 4.9 = 635.6
                                 0..4
     dan
            A1= αY1 +(1−α) A0 =(0.4)(654)+(1−0.4)(642.9)=647.3
                                      ′
            A1′ = α A1 +(1−α) A0 =(0.4)(647.3)+(1−0.4)( 635.6)=640.3
            a1 = 2A1− A1′ =2×647.3−640.3=654.3
                    0.4
            b1 =          ( A1 − A1′ ) = 0.4 (647.3 − 640.3) =4.7
                  1 − 0.4                0.6
                      ˆ
            p=1  Y1+1 = a1 − b1 × 1 = 654.3 − 4.7 × 1 = 659


                               At                      Alt                              Yt(hat)
                     (1−α)   (α=0.4)          (1−α)                      at =
t        Yt   α Yt                     α At                  At -Alt   2*At -A't
                                                                                   bt             et   et2   |et|   |et|/Yt    et/Yt
                      At-1                     A't-1   ….                               p=2
                             ……..
     65
1     4
     65
2     8
     66
3     5
     67
4     2
     67
5     3
     67
6     1
     69
7     3
     69
8     4
     70
9     1
     70
10    3
     70
11    2
     71
12    0
     71
13    2
     71
14    1
     72
15    8




                                                                                                       MSE   MAD    MAPE      MPE




                                                                                                                              11
7. Metode Pemulusan Eksponensial untuk data Trend  Metode dua parameter Holt
         a) Rangkaian pemulusan secara eksponensial  At = α Yt + (1 − α )( At −1 + Tt −1 )
         b) Estimasi trend  Tt = β ( At − At −1 ) + (1 − β ) Tt −1
         c) Ramalan pada periode p  Y    ˆ = A +T × p
                                                               t+ p       t     t

              dengan :
              At : nilai baru yang telah dimuluskan                                               Tt : estimasi trend
              α : konstanta pemulusan (0 <α< 1)                                                   p : periode yang diramalkan
              Yt : data aktual pada periode t                                                      ˆ
                                                                                                  Yt + p : nilai ramalan pada periode p
              β : konstanta pemulusan untuk estimasi trend
                  (0 <β< 1)
     Example : (data kasigi)
     α =0.3 dan β=0.1 ; A1 = Y1 ; T1 = 0 ; p = 3
     t=1
       A1 = 500
       T1 = 0
         ˆ
        Y1+3 = A1 + T1 × 3 = 500 + 0 × 3 = 500
                   ˆ
       e4 = Y − Y =400 – 500= –100
                  4          4
     t=2
       A2 = α Y2 + (1 − α )( A2−1 + T2−1 ) =0.3×350+(1-0.3) ×(500+0) =105+350=455
       T2 = β ( A2 − A2−1 ) + (1 − β ) T2−1 = 0.1×(455-500)+(1-0.1)×0= – 4.5
        ˆ
       Y = A + T × 3 = 455 + (–4.5) × 3 = 441.5
            2+3          2        2
                  ˆ
       e5 = Y5 − Y5 = 450 – 441.5 = 8.5

                                                  (1-α)
                                                                   At                                                   Tt       ˆ
                                                                                                                                Yt
t      Yt         α Yt           At-1 + Tt-1                    (α=0.3)       At - At-1   β(At - At-1)   (1−β)Tt-1   (β=0.1)              et
                                               [At-1 + Tt-1]      0.3                                                  0.1      p=3
1     500                                                         500                                                  0
2     350         105             500.00          350.0         455.00         -45.00        -4.50         0.00      -4.50
3     250         75              450.50          315.4         390.35         -64.65        -6.47         -4.05     -10.52
4     400         120             379.84          265.9         385.88         -4.47         -0.45         -9.46     -9.91     500.00   -100.00
5     450         135             375.97          263.2         398.18         12.30         1.23          -8.92     -7.69     441.50    8.50
6     350         105             390.49          273.3         378.34         -19.84        -1.98         -6.92     -8.90     358.81    -8.80
7     200         60              369.44          258.6         318.61         -59.74        -5.97         -8.01     -13.99    356.15   -156.15
8     300         90              304.62          213.2         303.23         -15.37        -1.54        -12.59     -14.13    375.11   -75.11
9     350         105             289.11          202.4         307.38          4.14         0.41         -12.71     -12.30    351.63    -1.63
10    200         60              295.08          206.6         266.55         -40.82        -4.08        -11.07     -15.15    276.65   -76.65
11    150
12    400
13    550
14    350
15    250
16    550
17    550
18    400
19    350
20    600
21    750
22    500
23    400
24    650




                                                                                                                                         12
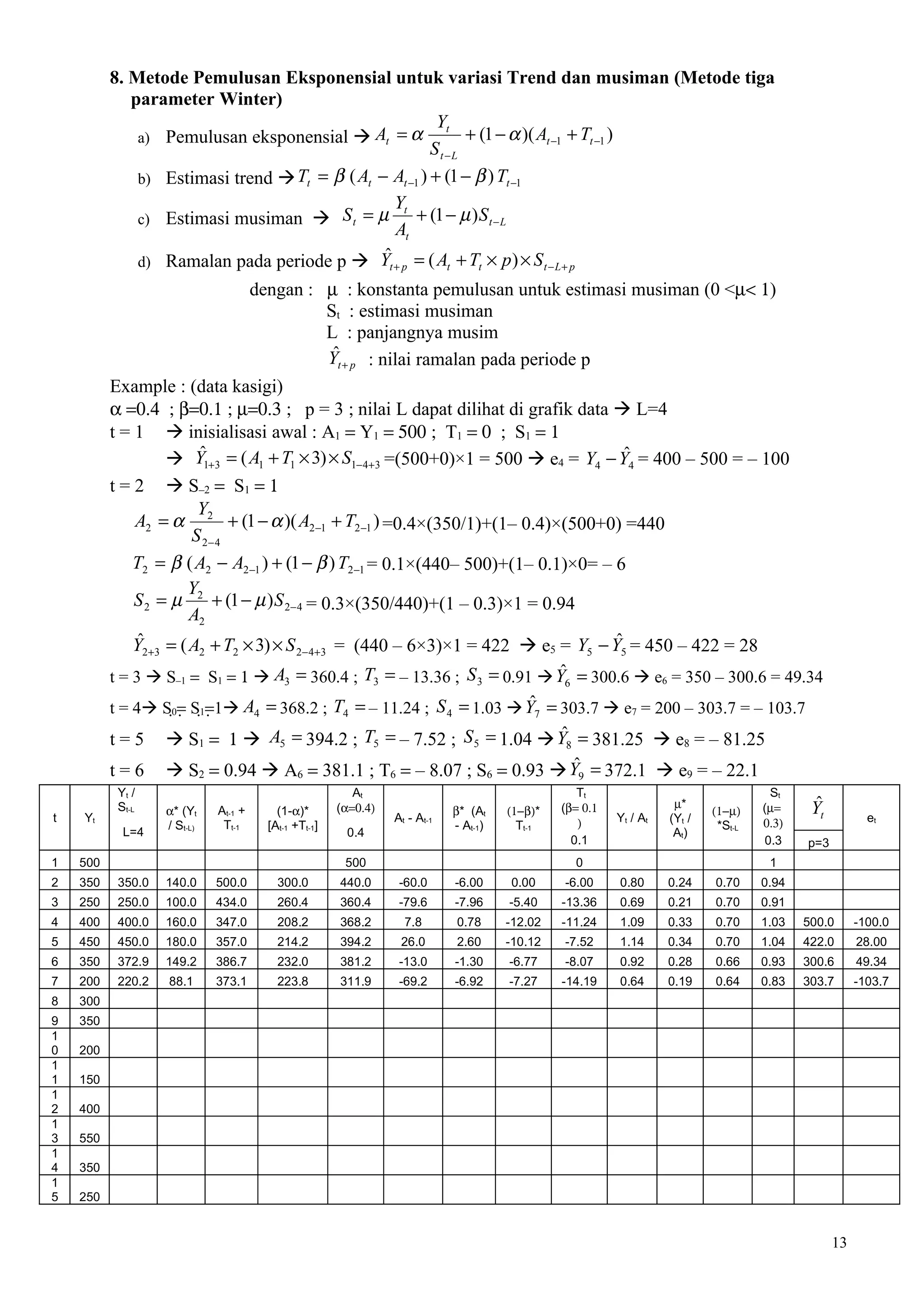
8. Metode Pemulusan Eksponensial untuk variasi Trend dan musiman (Metode tiga
             parameter Winter)
                                                         Yt
              a) Pemulusan eksponensial  At = α              + (1 − α )( At −1 + Tt −1 )
                                                        St −L
              b) Estimasi trend  Tt = β ( At − At −1 ) + (1 − β ) Tt −1
                                                Yt
              c) Estimasi musiman  S t = µ          + (1 − µ ) S t − L
                                                At
              d) Ramalan pada periode p  Y    ˆ = ( A + T × p) × S
                                                                           t+ p         t        t             t − L+ p

                                                dengan : µ : konstanta pemulusan untuk estimasi musiman (0 <µ< 1)
                                                         St : estimasi musiman
                                                         L : panjangnya musim
                                                          ˆ
                                                         Yt + p : nilai ramalan pada periode p
          Example : (data kasigi)
          α =0.4 ; β=0.1 ; µ=0.3 ; p = 3 ; nilai L dapat dilihat di grafik data  L=4
          t = 1  inisialisasi awal : A1 = Y1 = 500 ; T1 = 0 ; S1 = 1
                       ˆ                                                           ˆ
                    Y1+3 = ( A1 + T1 × 3) × S1−4+3 =(500+0)×1 = 500  e4 = Y4 − Y4 = 400 – 500 = – 100
          t = 2  S–2 = S1 = 1
                       Y
              A2 = α 2 + (1 − α )( A2−1 + T2 −1 ) =0.4×(350/1)+(1– 0.4)×(500+0) =440
                      S 2− 4
             T2 = β ( A2 − A2−1 ) + (1 − β ) T2−1 = 0.1×(440– 500)+(1– 0.1)×0= – 6
                     Y
              S 2 = µ 2 + (1 − µ ) S 2−4 = 0.3×(350/440)+(1 – 0.3)×1 = 0.94
                     A2
              ˆ
             Y = ( A + T × 3) × S                                                ˆ
                                             = (440 – 6×3)×1 = 422  e5 = Y − Y = 450 – 422 = 28
                  2 +3             2      2             2− 4+3                                                                5   5
                                                                           ˆ
          t = 3  S–1 = S1 = 1  A3 = 360.4 ; T3 = – 13.36 ; S 3 = 0.91  Y6 = 300.6  e6 = 350 – 300.6 = 49.34
                                                                         ˆ
          t = 4 S0= S1=1 A4 = 368.2 ; T4 = – 11.24 ; S 4 = 1.03  Y7 = 303.7  e7 = 200 – 303.7 = – 103.7
          t=5                                                                ˆ
                          S1 = 1  A5 = 394.2 ; T5 = – 7.52 ; S 5 = 1.04  Y8 = 381.25  e8 = – 81.25
          t=6                                                                  ˆ
                          S2 = 0.94  A6 = 381.1 ; T6 = – 8.07 ; S6 = 0.93  Y9 = 372.1  e9 = – 22.1
           Yt /                                                     At                                                Tt                                      St
           St-L          α* (Yt        At-1 +       (1-α)*       (α=0.4)                    β* (At    (1−β)*       (β= 0.1                   µ*
                                                                                                                                                    (1−µ)    (µ=      ˆ
                                                                                                                                                                     Yt
t   Yt                                                                      At - At-1                                 )           Yt / At   (Yt /            0.3)                et
                         / St-L)        Tt-1      [At-1 +Tt-1]                              - At-1)     Tt-1                                         *St-L
            L=4                                                   0.4                                                                        At)
                                                                                                                     0.1                                     0.3    p=3
1   500                                                           500                                                     0                                   1
2   350    350.0         140.0         500.0        300.0        440.0       -60.0          -6.00     0.00          -6.00         0.80      0.24    0.70     0.94
3   250    250.0         100.0         434.0        260.4        360.4       -79.6          -7.96     -5.40        -13.36         0.69      0.21    0.70     0.91
4   400    400.0         160.0         347.0        208.2        368.2        7.8           0.78      -12.02       -11.24         1.09      0.33    0.70     1.03   500.0      -100.0
5   450    450.0         180.0         357.0        214.2        394.2       26.0           2.60      -10.12        -7.52         1.14      0.34    0.70     1.04   422.0      28.00
6   350    372.9         149.2         386.7        232.0        381.2       -13.0          -1.30     -6.77         -8.07         0.92      0.28    0.66     0.93   300.6      49.34
7   200    220.2         88.1          373.1        223.8        311.9       -69.2          -6.92     -7.27        -14.19         0.64      0.19    0.64     0.83   303.7      -103.7
8   300
9   350
1
0   200
1
1   150
1
2   400
1
3   550
1
4   350
1
5   250


                                                                                                                                                                          13
Yt /                                            At                                              Tt                                                        St
           St-L   α* (Yt    At-1 +         (1-α)*       (α=0.4)                   β* (At     (1−β)*     (β= 0.1                              µ*
                                                                                                                                                       (1−µ)        (µ=     ˆ
                                                                                                                                                                           Yt
t   Yt                                                                At - At-1                            )                  Yt / At       (Yt /                   0.3)              et
                  / St-L)    Tt-1        [At-1 +Tt-1]                             - At-1)      Tt-1                                                     *St-L
            L=4                                          0.4                                                                                 At)
                                                                                                          0.1                                                       0.3    p=3
1   500                                                  500                                                0                                                        1
1
6   550
1
7   550
          ANALISIS KORELASI
              Hubungan antara dua peubah acak X dan Y biasanya dinamakan korelasi dan nilai
          korelasinya ditunjukkan dengan koefisien korelasi yang dinotasikan dengan ρ dan nilai yang
          mungkin dari koefisien korelasi terletak antara [-1,1]. Jika ρ > 0 berarti hubungan yang ada
          merupakan hubungan positive dan untuk ρ < 0 mempunyai arti hubungannya negative dan ρ = 0
          menunjukkan tidak adanya hubungan atau independensi antara peubah X dan Y.

          Koefisien korelasi Pearson (koefisien korelasi sederhana)
                 Misalkan diberikan sampel acak dari n pengamatan (xi,yi), i=1,...,n untuk peubah acak X
          dan Y. Sampel pengamatan tersebut digunakan untuk menentukan estimator unbiased dari
          parameter µx, µy, σxy, σx dan σy yaitu x , y , Sxy, Sx dan Sy.
                    σ xy                                                                                             ∑(X
                                                                                                                        n
                                                                                                                                                )(
                                                                                                                                        − X Yi − Y         )
            ρ xy =                           dan diduga oleh
                                                                                       rxy =
                                                                                               S xy                    i =1
                                                                                                                                    i

                   σ xσ y                                                                              =
                                                                                                                ∑(X                        ) ∑ (Y − Y )
                                                                                               SxS y             n
                                                                                                                                            2
                                                                                                                                                 n
                                                                                                                                                                2
                                                                                                                                i   −X                 i
                                                                                                                i =1                            i =1

          digunakan untuk mengukur hubungan linier antara dua peubah acak kuantitative X dan Y.
                Untuk menguji koefisien korelasinya digunakan hypothesis berikut
                                  Ho : ρ = 0
                                  H1 : ρ ≠ 0                                          r
          dalam pengujian hypothesis tersebut diperlukan penghitungan statistik :  t=
           untuk r : koefisien korelasi Pearson
                                                                                      Sr
                  Sr : standar deviasi dari estimator r yang didefinisikan sebagai       1 − r2
                                                                                                                                                Sr =
                                                                                                                                                               n−2
          Dibawah H0 , statistik t berdistribusi student dengan derajat kebebasan                                                                                          n-2.
          Keputusan H0 akan ditolak jika t ≥ t(α/2),(n-2).
                                                                                                                                [Y-mean(Y)]*
            No.     Y         X          Y-mean(Y)        X-mean(X)           (Y-mean(Y))2      (X-mean(X))2
                                                                                                                                 [X-mean(X)]
             1    1.30       10              -0.18             -0.22              0.032                 0.05                             0.040
             2    2.00        6               0.52             -4.22              0.273                17.83                            -2.205
             3    1.70        5               0.22             -5.22              0.049                27.27                            -1.160
             4    1.50       12               0.02              1.78              0.000                 3.16                             0.040
             5    1.60       10               0.12             -0.22              0.015                 0.05                            -0.027
             6    1.20       15              -0.28              4.78              0.077                22.83                            -1.327
             7    1.60        5               0.12             -5.22              0.015                27.27                            -0.638
             8    1.40       12              -0.08              1.78              0.006                 3.16                            -0.138
             9    1.00       17              -0.48              6.78              0.228                45.94                            -3.238
                  13.3       92                                                   0.696               147.56                            -8.656
          mean    1.48      10.22                              sqrt               0.83                 12.15                  r=           -0.854


                                                                                                                                            [Y-mean(Y)]*
            No.       Y              X           Y-mean(Y)        X-mean(X)           (Y-mean(Y))2         (X-mean(X))2
                                                                                                                                             [X-mean(X)]
             1       10           1.30
             2        6           2.00
             3        5           1.70
             4       12           1.50
             5       10           1.60
             6       15           1.20


                                                                                                                                                                                 14
7              5               1.60
  8             12               1.40
  9             17               1.00
  10            20               1.10

                                                           sqrt                                  r=
ANALISIS REGRESI
       Analisis regresi adalah suatu metode yang menggunakan metode kuadrat terkecil untuk
menguji data dan menggambarkan kesimpulan yang penuh arti tentang hubungan dependensi yang
ada antara peubah tak bebas (peubah respon, Y) dan peubah bebas (peubah prediktor, X) atau
peubah yang menerangkan variasi Y. Persamaan regresi adalah suatu persamaan yang menyatakan
hubungan antara Y dan X yang di dalam tulisan ini hanya akan dibahas untuk Y saja yang acak
sedangkan untuk X dianggap tetap atau tidak acak.

Regresi Linier Sederhana dan Berganda
         Regresi linier sederhana mencakup dua peubah yaitu Y dan X sedangkan regresi linier
berganda melibatkan lebih dari dua peubah yaitu Y dan (X1, ..., Xp). Dalam model regresi linier
sederhana dan berganda diberikan beberapa asumsi yang memungkinkan model tersebut dapat
digunakan. Sehingga untuk menggunakannya asumsi yang diajukan harus dipenuhi atau dengan
kata lain harus diuji keberadaannya. Sayangnya banyak peneliti yang kadang-kadang menganggap
asumsi tersebut sudah benar dan akibatnya tidak perlu lagi diadakan pengujian. Padahal, jika
pengujian asumsi tidak dilakukan maka koefisien regresi (estimator parameter) yang diperoleh
akan tidak layak untuk dipakai, hal ini karena dengan tidak diujinya asumsi yang ada akan
menyebabkan penghitungan rumus-rumus yang digunakan untuk mendapatkan koefisien regresi
tersebut tidak bisa dipertanggung-jawabkan secara matematis.
1. Regresi Linier Sederhana
         Suatu analisis regresi yang peubah tak bebas Y bergantung secara linier pada satu peubah
bebas X disebut regresi linier sederhana. Bentuk modelnya adalah Y = β0 + β1 X + ε
     untuk Y adalah peubah tak bebas,                        ε ialah residu dan
              X merupakan peubah bebas,                 β0 , β1 adalah parameter.
Jika diberikan n pasang pengamatan (x1,y1),..., (xn,yn) untuk yi bergantung secara linier pada xi
maka dapat diperoleh :              yi = β0 + β1 xi + εi , i=1,...,n.
dengan asumsi-asumsi berikut :
         (i) xi tetap (fixed).                             (iv) εi berdistribusi normal.
        (ii) E(εiεj) = 0 untuk i≠j.                         (v) parameter β0 dan β1 berupa konstanta.
       (iii) E(εi) = 0 dan V(εi) = σ2 untuk i=1,...,n.
Masalahnya adalah mengestimasi parameter β0 , β1 dan memilih nilai β0 , β1 sedemikian sehingga
jarak antara yi dan β0 + β1 xi mínimum. Akan digunakan metode kuadrat terkecil (least squares
method) dengan prinsip meminimkan jumlah kuadrat residu, dan menghasilkan estimator berikut
         n

        ∑( x        i   − x )( yi − y )
ˆ
β1 =    i =1                                     ˆ         ˆ                                            ˆ     ˆ
                                             dan β 0 = y − β1 x sehingga nilai y i untuk nilai xi y i = β 0 + β1 xi
                                                                               ˆ                  ˆ
                n

               ∑( x           − x)
                                     2
                          i
               i =1
Data 1
                                                                   [Y-mean(Y)]*
  No.            Y              X         Y-mean(Y)   X-mean(X)                   [X-mean(X)]2   Y topi      ei         (ei)2
                                                                    [X-mean(X)]

   1           1.30             10          -0.18       -0.22         0.040          0.049       1.491     -0.191      0.03641
   2           2.00             6           0.52        -4.22         -2.205        17.827       1.725     0.275      0.075377
   3           1.70             5           0.22        -5.22         -1.160        27.272       1.784     -0.084     0.007075
   4           1.50             12          0.02        1.78          0.040          3.160       1.373     0.127      0.016004
   5           1.60             10          0.12        -0.22         -0.027         0.049       1.491     0.109      0.011922
   6           1.20             15          -0.28       4.78          -1.327        22.827       1.198     0.002      6.17E-06
   7           1.60             5           0.12        -5.22         -0.638        27.272       1.784     -0.184     0.033897
   8           1.40             12          -0.08       1.78          -0.138         3.160       1.373     0.027      0.000703


                                                                                                                           15
9        1.00      17         -0.48          6.78                           -3.238             45.938            1.080           -0.080     0.006431
            13.3      92                                                       -8.656             147.556                          -6.66E-16   0.187824
 Mean       1.48     10.22
                                                                                   beta 1 =       -0.059
                                                                                   beta 0 =        2.077
Data 2
                                                                              [Y-mean(Y)]*
  No.           Y      X      Y-mean(Y)        X-mean(X)                                         [X-mean(X)]2        Y topi             ei        (ei)2
                                                                               [X-mean(X)]

   1            10    1.30
   2            6     2.00
   3            5     1.70
   4            12    1.50
   5            10    1.60
   6            15    1.20
   7            5     1.60
   8            12    1.40
   9            17    1.00
  10            20    1.10


 mean
                                                                                    beta 1 =
                                                                                    beta 0 =
Untuk mengetahui goodness of fit dari model yang diperoleh dapat dilihat dari nilai koefisien
determinasinya, dinotasikan R2 dan bernilai didalam interval [0,1] dan pada umumnya model
dikatakan baik jika R2 mendekati satu. Koefisien determinasi ini didefinisikan
                                                        n                      2


                                     JKReg           ∑( y
                                                        ˆ         i   − y)
                              R =2
                                               =       i =1
                                                         n
                                         JKT
                                                     ∑( y             − y)
                                                                               2
                                                                  i
                                                       i =1
Setelah diketahui goodness of fit model selanjutnya dilakukan uji terhadap asumsi-asumsi yang
diberikan, dalam pengujian ini dapat dibagi menjadi dua : Pertama, uji terhadap parameter dan
kedua pengujian terhadap residu.

a. Uji Parameter.
        Pengujian parameter dapat dilakukan dengan bantuan tabel analisis variansi berikut ini :
                             db                               JK                                 RK                         nilai F
                                                 n                        2
                                                                                                JKReg                        RK reg
   regresi                   1                  ∑ ( yi − y )
                                                i =1
                                                    ˆ
                                                                                                  1                           RK res
                                                                          2
                                                   n
                                                                                              JKRes
       residu                n-2                ∑( y − y )
                                                i =1
                                                       ˆ      i       i
                                                                                              n−2
                                                                                                    = S2
                                                   n                      2

        total                n-1                ∑( y
                                                 i =1
                                                              i   − y)

dengan JK adalah jumlah kuadrat
       RK ialah rata-rata kuadrat
       S2 merupakan estimator dari σ2

hypothesis                   H0 : β0 = β1 = 0                                       statistiknya :
                             H1 : β0 ≠ 0 atau β1 ≠ 0                                                                RK reg         JKReg
                                                                                                           Fhit =              =
                                                                                                                    RK res           S2



                                                                                                                                                   16
keputusan untuk menolak H0 adalah jika Fhit > Fα,1,(n-2) dengan Fα,1,(n-2) adalah nilai tabel dari
distribusi F berderajat kebebasan 1 dan n-2 untuk tingkat kepercayaan α. Berikutnya jika
diinginkan maka dapat dilakukan penghitungan daerah kepercayaan 100(1-α)% dari (β0, β1)
        Untuk memastikan bahwa β0 dan β1 merupakan konstanta dapat dilakukan uji individual
terhadap parameter tersebut masing-masing ujinya adalah sebagai berikut :

Uji untuk β0
hypothesis                   statistiknya :                                                                   Keputusan :
    H0 : β0=0                                                                n                                tolak H0
                                ˆ                                  S 2 ∑ xi2
    H1 : β0≠ 0                 β
                             t= 0        dengan    Sβ 0 =          n
                                                                            i =1
                                                                                                                   jika t > tα/2,(n-2)
                               S β0
                                                            n∑ ( xi − x )
                                                                                        2

                                                                 i =1

Uji untuk β1.
hypothesis                   statistiknya :                                                                   Keputusan :
   H0 : β1= 0                                                           S   2                                 tolak H0
                                   ˆ
                                  β1               S β1 =
  H1 : β1≠ 0                 t=          dengan              n

                                                            ∑( x − x)              2
                                  S β1                                  i                                          jika t > tα/2,(n-2)
                                                            i =1

Apabila diperlukan maka dapat dilakukan penghitungan interval kepercayaan 100(1-α)% dari
masing-masing parameter β0, β1.

b. Uji Residu.
          Cakupan uji residu meliputi : Pertama, uji tidak adanya autokorelasi di dalam residu
(e1,...,en) atau E(ei ej) = 0 untuk i ≠ j dengan kata lain uji independensi (e1,...,en). Untuk menguji
ada dan tidaknya autokorelasi tersebut dapat digunakan uji Durbin-Watson. Jika didefinisikan
                        εi = ρ εi-1 + υi , υi  < 1 dan i=1,...,n
untuk υi IID dengan E(υi) = 0 dan V(υi) = σ2 dan ρ diestimasi dengan
       n                                                                            n

      ∑e e     i i −1                                                              ∑ (e − e  i         i −1   )2
 r=   i=2
         n              statistik dari uji Durbin-Watson adalah d =                i=2
                                                                                             n                       untuk      ei = yi − yi
                                                                                                                                          ˆ
       ∑e
        i =1
                 2
                 i                                                                          ∑e
                                                                                            i =1
                                                                                                   2
                                                                                                   i


hypothesis untuk uji ini adalah :
               H0 : tidak ada autokorelasi di dalam residu (e1,...,en)
               H1 : ada autokorelasi di dalam residu (e1,...,en)
keputusan yang dapat diambil menggunakan aturan berikut ini :
untuk ρ > 0, tolak H0 jika d < dL dan terima H0 jika d > dU sedangkan untuk ρ < 0, tolak H0 jika d >
4 - dL dan terima H0 jika d < 4 - dU . Jika 4 - dU < d < 4 - dL maka tidak dapat diambil
kesimpulannya. Untuk dL dan dU adalah nilai kritis dalam tabel statistik Durbin-Watson.
Selanjutnya jika diketahui adanya autokorelasi dan diinginkan untuk memperoleh model dari data
yang telah dipunyai, maka dapat digunakan metode Prais-Winsten dengan menggunakan suatu
transformasi untuk menghilangkan autokorelasinya.
Kedua, uji kenormalan residu (e1,...,en) dan untuk mengujinya dapat digunakan uji Kolmogorov-
Smirnov atau uji dengan plot : plot P-P atau plot Q-Q. Ketiga, uji kekonstanan variansi residu atau
uji homoscedastisitas dalam residu. Dalam hal ini, plot antara ei dan yi dapat digunakan untuk
menguji homoscedastisitas tersebut.


2. Regresi Linier Berganda




                                                                                                                                               17
Analisis regresi yang peubah tak bebasnya Y bergantung secara linier pada beberapa
peubah bebas X1,...,Xk disebut regresi linier berganda yang persamaannya diberikan dalam bentuk
berikut : Y = f(X1,...,Xk) dengan f(X1,...,Xk) adalah suatu fungsi linier dari X1,...,Xk.
Secara umum model regresi linier berganda dengan (p-1) peubah bebas dinyatakan sebagai :
                                             p −1
                                  yi = β 0 + ∑ β j x ji + ε i , i=1,...,n
                                             j =1

atau dapat dinotasikan secara matriks berikut : Y = Xβ + ε
dengan Y adalah vektor n×1 pengamatan untuk peubah tak bebas
        X merupakan matriks n×p yang kolom-kolomnya terdiri dari vektor 1n×1 dari
           peubah-peubah bebas
        β ialah vektor parameter berukuiran p×1
         ε menyatakan vektor residu n×1
dengan asumsi-asumsi berikut :
         (i) xij tetap (fixed) untuk i=1,...,n dan j=1,...,p-1
        (ii) E(εiεj) = 0 untuk i≠j
       (iii) E(εi) = 0 dan V(εi) = σ2 atau E(ε'ε) = σ2 I untuk i=1,...,n
       (iv) εi berdistribusi normal untuk i=1,...,n
        (v) parameter β0, β1,…, βp-1 berupa konstanta
estimator parameter menggunakan metode kuadrat terkecil : β = ( X ' X ) X 'Y
                                                                         −1
                                                               ˆ
Untuk mendapatkan model terbaik dalam regresi linier berganda, terdapat beberapa cara yang
dapat digunakan : Pertama, pemilihan peubah bebas yang akan dipakai dapat dilakukan dengan
menggunakan metode stepwise, metode eliminasi backward dan metode forward. Untuk
memperoleh peubah bebas yang optimal diperlukan pemakaian ketiga metode tersebut karena satu
dan lainnya mempunyai kelebihan dan kekurangan tersendiri. Kedua, koefisien determinasi R2
                                             ˆ
                                   JKReg β ' X 'Y − nY 2
yang didefinisikan dengan R 2 =           =                dapat digunakan untuk melihat goodness
                                    JKT       Y 'Y − nY 2
of fit model (kriteria koefisien determinasi R2). Ketiga, dengan kriteria R2 adjusted dan rata-rata
kuadrat kesalahan (Mean Square error) bisa digunakan pula untuk goodness of fit model. Berbeda
dengan koefisien determinasi, penambahan peubah ke dalam model belum tentu menyebabkan
naiknya nilai R2 adjusted. Dengan maximumnya kriteria R2 adjusted berarti minimumnya kriteria
rata-rata kuadrat kesalahan. Keempat, menguji adanya multikolinieritas yaitu adanya hubungan
linier antar peubah-peubah bebas. Jika ada multikolinieritas maka matriks X'X merupakan matriks
singular atau mendekati singular. Untuk mendeteksi multikolinieritas yang paling sederhana
adalah menggunakan matriks korelasi peubah-peubah bebas (dinotasikan R), bisa juga dilakukan
dengan menggunakan nilai eigen dari matriks korelasi R karena nilai rank R ditentukan oleh nilai
eigennya yang tidak sama dengan nol atau dengan menghitung perbandingan antara nilai eigen
terbesar dengan nilai eigen terkecil, jika perbandingan tersebut melebihi 1000 maka ada
multikolinieritas dan jika kurang dari 100 berarti tidak ada multikolinieritas.
        Seperti halnya dalam regresi linier sederhana, setelah langkah goodness of fit model akan
dilakukan uji terhadap asumsi-asumsi yang diberikan.
a. Uji Parameter.
        Dengan tabel analisis variansi di bawah ini
                      db                    JK                        RK       nilai F
                                                                     JKReg     JKReg
   regresi            p-1             ˆ
                                      β ' X 'Y − nY 2
                                                                    p −1       JKRes
                                                                  JKRes
    residu            n-p                     ˆ
                                       Y 'Y − β 'Y 'Y                   = S2
                                                                  n− p
    total          n-1                  Y 'Y − nY 2
dengan JK adalah jumlah kuadrat
                                                                                                18
RK ialah rata-rata kuadrat
          S2 merupakan estimator dari σ2
uji terhadap parameter β0, β1,…, βp-1 dapat dilakukan sebagai berikut :
hypothesis                              statistiknya :              Keputusan :
 H0 : βj=0 untuk j=1,...,p-1                     JKReg JKReg        tolak H0
                                           F=          =
 H1 : paling sedikit ada satu βj ≠ 0             JKRes    S2            jika F > Fα,p-1,n-p
        Langkah berikutnya adalah menghitung ellipsoid kepercayaan 100(1-α)% dari β yang
berupa vektor β0, β1,…, βp-1). Sedangkan untuk uji individual terhadap parameter (koefisien
regresi) β0, β1,…, βp-1 dapat dilakukan sebagai berikut :
Hypothesis :                              ˆ
                                         βj                               Keputusan :
  H0 : βj=0        statistiknya :   t=                  c 2 adalah elemen tolak H0
                                                 dengan jj
                                         S 2c 2
  H1 : βj≠ 0                                  jj                           jika t > tα/2,(n-p)
                   diagonal ke-j dari matriks C 2 = X ' X
                                                           −1
                                                                       (       )
Selanjutnya dapat ditentukan interval kepercayaan 100(1-α)% dari masing-masing parameter.

b. Uji Residu.
        Pengujian residu di dalam regresi linier berganda pada prinsipnya sama seperti pada
pengujian yang dilakukan pada regresi linier sederhana.

OTOKORELASI
Peubah acak e (error) yang dipecah menjadi et dan et-1 untuk t = 2,3,4,…n dan korelasi antara et
dan et-1 disebut otokorelasi.

                                                                                ∑ (e                   )(           )
                                                                                   n


           ∑ (e                 )(           )
            n
                                                                                                 − e et −k − e
                    t     − e et −1 − e                                                     t
                                                                       rk =    t = k +1
 r1 =      t =2

                                                                                          ∑ (e              )
                                                                                           n
                                                                                                                2

                  ∑ (e               )
                    n
                                         2       dan secara umum                                       −e               untuk : k = 2,3,4, ...
                            t   −e                                                        t =1
                                                                                                   t

                   t =1

dan
      r1          : koefisien otokorelasi tingkat pertama                  et : observasi pada waktu t
                                                    n
                                                                           et-1 : observasi pada satu periode sebelumnya
      e         : nilai rata-rata data =          ∑e
                                                   t =1
                                                          t


                                   n
Uji koefisien otokorelasi (secara simultan)
Hipotesis :     H 0 : ρ k = 0 untuk k=1,2,3,....
                H1 : ρ k ≠ 0
Keputusan :
                                1                        1
1. tolak H0 jika rk < − z1−α ×       atau rk > z1−α ×       . Nilai rk (otokorelasi et) terletak di daerah
                            2    n                 2      n
   penolakan H0 sehingga metode peramalan yang dipakai kurang cocok/ sesuai karena rk ≠ 0 atau
   tidak random (acak) artinya perlu dilakukan penggantian dengan metode peramalan yang lain.
                              1                 1
2. Terima H0 jika − z1−α ×       < rk < z α ×        . Nilai rk terletak pada interval yang diinginkan
                          2    n         1−
                                            2    n
   (daerah penerimaan H0) sehingga metode peramalan yang dipakai sudah cocok/ sesuai karena rk
   = 0 yang berarti error-nya random
                                        z = z 0, 05 = z 0,975
Catatan : untuk α = 0,05 = 5 % nilai 1−α       1−              = 1,96
                                                              2    2


Uji otokorelasi dengan uji Durbin-Watson

                                                                                                                                                 19
Hypothesis :                       statistiknya Durbin-Watson :          Keputusan :
H 0 : ρ k = 0 untuk k=1,2,3,....              n                          terima H jika dw ≈ 2
                                             ∑ (e        − et −1 )
                                                                     2
H1 : ρ k ≠ 0                                         t                   artinya tidak ada
                                      dw =   t =2                        otokorelasi dalam error
                                                     n
                                                                         (residu) atau e random.
                                                    ∑e
                                                    t =1
                                                           2
                                                           t




                                                                                                   20

Ho peramalan oktober 2009 new 10

  • 1.
    PERAMALAN Materi : 1. Metode sederhana 2. Metode rata-rata 3. Metode pemulusan eksponensial 4. Teknik regresi sederhana dan berganda 5. Analisis runtun waktu : AR, MA, ARMA, ARIMA, SARIMA dll Prediksi jarang tepat oleh karena itu hanya digunakan untuk memperkecil kesalahan yang ada. Peramalan  model matematika + pertimbangan-pertimbangan (judgement yang masuk akal) Peramalan dibutuhkan dalam bidang : Keuangan, Pemasaran, SDM, Produksi Tiga unsur pokok yang terkait dengan masalah peramalan : 1. Waktu  masa depan 2. Ketidakpastian 3. Analisis Statistika Peramalan  salah satu aspek dari perencanaan Macam-macam peramalan 1. Jangka panjang dan pendek 2. Mikro dan Makro 3. Kuantitatif dan Kualitatif (judgement) DATA 1. Jenis : Kualitatif (nominal dan ordinal) dan Kuantitatif (interval dan rasio) Nominal  persetujuan : ya  1 atau tidak  0  warna kesukaan : merah (0), kuning (1), hijau (2)  pengkodean boleh ditukar-tukar Ordinal  jenjang pendidikan : SD (0), SMP (1), SMA (2) , PT (3)  pengkodean tidak boleh ditukar-tukar Interval  suhu udara  dapat digunakan operasi ”+” dan ”−” Rasio  jarak, berat  dapat digunakan operasi ”+”, ”−” , ”×” dan ”/” 2. Sifat : diskrit (bilangan bulat) dan kontinu (bilangan riil) 3. Sumber : Intern dan Extern (Primer dan Sekunder(: pribadi dan umum)) Teknik Peramalan 1. Kualitatif : Judgement dan intuisi 2. Kuantitatif : deterministik dan probalistik 1
  • 2.
    DATA RUNTUN WAKTU dikatakan Stasioner jika memiliki rata-rata (mean) dan varians yang konstan sepanjang waktu.  Metode : 1. Model sederhana 2. metode rata-rata sederhana 3. rata-rata bergerak 4. pemulusan eksponensial sederhana 5. metode Box-Jenkins Trend  data yang menunjukkan pertumbuhan (penurunan) dalam periode waktu yang panjang.  Metode : 1. Rata-rata bergerak linier 2. pemulusan eksponensial linier dari Brown 3. pemulusan eksponensial linier dari Holt 4. pemulusan eksponensial kuadrat dari Brown 5. Regresi liner sederhana 6. Model Gompertz 7. Kurva pertumbuhan 8. Model-model eksponensial Musiman  data yang mempunyai pola perubahan yangg berulang secara tahunan (periodik).  Metode : 1. dekomposisi klasik 2. Cencus II 3. pemulusan eksponensial dari Winter 4. regresi linier berganda runtun waktu 5. metode Box-Jenkins Siklis  data yang berfluktuasi seperti gelombang di sekitar garis trend  Metode : 1. dekomposisi klasik 2. model-model ekonometrik 3. regresi linier berganda 4. metode Box-Jenkins PENGUKURAN KESALAHAN PERAMALAN Yt : nilai data runtun waktu pada periode t ˆ Yt : nilai peramalan dari Yt ˆ e = Y − Y : residual atau error atau kesalahan peramalan t t t n n 1. Mean absolute deviation (MAD) : ∑Y t ˆ − Yt ∑e t MAD = t =1 = t =1 n n ∑ (Y ) ∑e n n 2 ˆ − Yt 2 t t 2. Mean squared error (MSE) : MSE = t =1 = t =1 n n n ˆ Yt − Yt n et 3. Mean absolute percentage error (MAPE) : ∑ t =1 Yt ∑Y t =1 MAPE = = t n n n ˆ  Yt − Yt  n e  4. Mean percentage error (MPE) : ∑ Y  t =1    ∑  Yt    MPE = t  = t =1  t  n n 2
  • 3.
    Ramalan | e t | / Yt e t / Yt t Yt ˆ et | et | et2 ( Yt =Yt-1) (%) (%) 1 Y1 2 Y2 Y1 Y2 − Y 1 3 Y3 Y2 4 Y4 Y3 5 Y5 Y4 6 Y6 Y5 7 Y7 Y6 8 Y8 Y7 9 Y9 Y8 ne = MAD = ….. MAPE = ….. MSE = ….. MPE = ….. jlh mobil yg | et | / Yt t Ramalan (Yt) et | et | e t2 et / Yt (%) diservis (Yt) (%) 1 58 2 54 58 -4 4 16 7.4% -7.4% 3 60 54 6 6 36 10.0% 10.0% 4 55 60 5 62 55 6 62 62 7 65 62 8 63 65 9 70 63 ne = 8 MAD = MAPE = MSE = MPE = 3
  • 4.
    LANGKAH PERAMALAN Anda di sini Data masa lalu t Periode yang diramalkan --o----------o-----------o-------------o-------------o-----------o-----------o--- Yt-3 Yt-2 Yt-1 Yt Yt+1 Yt+2 Yt+3 Data yang terbaru 1. Metode Sederhana (naïve model) ˆ a) Yt +1 = Yt ˆ dengan Yt +1 : ramalan yang dibuat pada waktu t untuk memperkirakan (meramalkan) nilai Y pada saat t+1 t Yt Yˆ et et2 |et| |et|/Yt et/Yt t +1 1 Y1 2 Y2 Y1 ˆ Y2 - Y2 = Y2 - Y1 3 Y3 Y2 MSE MAD MAPE MPE b) ˆ Yt +1 = Yt + (Yt − Yt −1 ) untuk data trend t Yt Yt-1 Yt-Yt-1 ˆ Yt +1 et et2 |et| |et|/Yt et/Yt 1 Y1 2 Y2 Y1 Y2 - Y1 MSE MAD MAPE MPE ˆ  Y  c) Yt +1 = Yt  t  Y   t −1  t Yt Yt-1 Yt /Yt-1 ˆ Yt +1 et et2 |et| |et|/Yt et/Yt 1 Y1 2 Y2 MSE MAD MAPE MPE ˆ d) Yt +1 = Yt −3 untuk data musiman t Y t Y Yˆ t-3 et e t2 |et| |et|/Yt et/Yt t +1 1 Y1 2 Y2 MSE MAD MAPE MPE Secara umum untuk periode musiman = m periode Maka rumus untuk point d) berubah menjadi ˆ Yt +1 = Yt −m+1 4
  • 5.
    e) ˆ ( Y − Yt −1 ) + ( Yt −1 − Yt −2 ) + ... + ( Yt −3 − Yt −4 ) untuk data musiman dan trend Yt +1 = Yt −3 + t 4 Jlhan/ ˆ t Yt Yt-1 Yt-2 Yt-3 Yt-4 Yt-Yt-1 Yt-1-Yt-2 Yt-2-Yt-3 Yt-3-Yt-4 Jlhan 4 Yt +1 et et2 |et| |et|/Yt et/Yt 1 Y1 2 Y2 Y1 3 Y3 Y2 Y1 4 Y4 Y3 Y2 Y1 5 Y5 Y4 Y3 Y2 Y1 Catatan : poin d) dan e) digunakan untuk 4 periode MSE MAD MAPE MPE Secara umum untuk periode musiman = m periode maka rumus untuk point e) berubah menjadi ˆ ( Y − Y ) + ( Yt −1 − Yt − 2 ) + ... + ( Yt − m +1 − Yt − m ) Yt +1 = Yt − m +1 + t t −1 m Penjualan Toko sepatu KASIGI jlh penjualan Tahun Kuartal t sepatu (Yt) 1987 1 1 500 2 2 350 3 3 250 4 4 400 1988 1 5 450 Penjualan Toko Sepatu Kasigi 2 6 350 3 7 200 4 8 300 1989 1 2 9 10 350 200 1000 3 4 11 12 150 400 800 1990 1 13 550 2 14 350 600 3 15 250 penjualan sepatu 4 16 550 400 1991 1 17 550 200 jlh penjualan 2 18 400 3 19 350 4 20 600 0 1992 1 21 750 2 22 500 1 3 5 7 9 111315 1719 21 23 2527 3 23 400 4 24 650 1993 1 25 850 time 2 26 600 3 27 450 4 28 700 5
  • 6.
    2. Metode rata-ratasederhana  data stasioner t ∑Y i ˆ Yt +1 = Y = i =1 t example : (data Kasigi) untuk t=1 (kuartal pertama tahun 1987) 1 ∑Y i ˆ dan e2 = Y2 − Y2 = 350 − 500 = −150 ˆ ˆ Y1+1 = Y2 = i =1 = Y1 = 500 1 2 untuk t=2  ˆ ∑Y i 500 + 350 850 dan ˆ Y2+1 = Y3 = i =1 = = = 425 2 2 2 ˆ e3 = Y3 − Y3 = 250 − 425 = −175 dan seterusnya Ramalan untuk kuartal pertama 1993 24 ∑Y i 9.800 ˆ dan e25 = Y25 − Y25 = ... ? ˆ ˆ Y24+1 = Y25 = i =1 = = 408,33 24 24 ˆ Y25+1 ˆ = Y26 = ... ? t Yt Jumlah kumulatif ˆ Ramalan ( Yt +1 ) et et2 |et| |et|/Yt et/Yt 1 Y1 = Y1 2 Y2 = Y1+Y2 3 Y3 4 Y4 5 Y5 MSE MAD MAPE MPE 3. Metode rata-rata bergerak  data stasioner  Sering digunakan untuk data kuartalan atau bulanan ˆ Yt + Yt −1 + ... + Yt −n+1 M t = Yt +1 = n n : banyaknya data dalam rata-rata bergerak  ditentukan dengan cara melihat grafik datanya Yt : nilai aktual pada periode t ˆ Y : nilai ramalan periode berikutnya t +1 M t : rata-rata bergerak pada periode t example : (data Kasigi)  merupakan data kuartalan sehingga n = 4 untuk t=1 untuk t=2 tidak dapat dihitung sehingga untuk t=1,2 dan 3 tidak masuk hitungan untuk t=3 ˆ Y + Y + Y2 + Y1 400 + 250 + 350 + 500 1500 untuk t=4  M 4 = Y4+1 = 4 3 = = = 375 4 4 4 ˆ dan e5 = Y5 − Y5 = 450 − 375 = 75 ˆ Y + Y4 + Y3 + Y2 450 + 400 + 250 + 350 1450 untuk t=5  M 5 = Y5+1 = 5 = = = 362.5 4 4 4 6
  • 7.
    ˆ dan e5 = Y5 − Y5 = 350 − 362.5 = -12.5 dengan cara yang sama dapat dilakukan untuk data seterusnya t Yt Yt-1 Yt-2 Y t-3 Jumlah ˆ Yt +1 te e t 2 |et| |et|/Yt et/Yt 4-kuartalan 1 Y1 2 Y2 Y1 3 Y3 Y2 Y1 4 Y4 Y3 Y2 Y1 5 Y5 Y4 Y3 Y2 6 Y6 Y5 Y4 Y3 MSE MAD MAPE MPE Tergantung persoalan Jika 3-mg-an ??? 7
  • 8.
    4. Metode rata-ratabergerak Ganda  data Trend Linier ˆ Y + Yt −1 + ... + Yt −n+1 M t = Yt +1 = t at = 2 M t − M t′  n  ˆ 2 Y = at + (bt × p ) M t + M t −1 + ... + M t −n+1 bt = ( M t − M t′ )  t + p  M t′ = n  n p : banyaknya periode ke depan yang akan diramalkan n : banyaknya periode dalam rata-rata bergerak untuk n =3 t = 1  M1 =( Y1 + Y1-1 + Y1-2 ) =( Y1 + Y0 + Y-1 )  tidak mungkin t = 2  M2 =( Y2 + Y2-1 + Y2-2 ) =( Y2 + Y1 + Y0 )  tidak mungkin t = 3  M3 =( Y3 + Y3-1 + Y3-2 ) =( Y3 + Y2 + Y1 ) t = 4  M4 =( Y4 + Y3 + Y2 ) Ramalan Jumlah Yt Jumlah Mt t Yt Mt Mt' at bt (Yt+p=at +p* bt) et e t2 |et| |et|/Yt et/Yt 3-mingguan 3-mingguan --> p=2 1 654 2 658 3 665 1977 659 4 672 1995 665 5 673 2010 670 1994 664.7 675.3 3.56 6 671 2016 672 2007 669.0 675 2.00 7 693 2037 679 2021 673.7 684.3 3.56 682.44 10.56 111.4 10.6 0.02 0.02 8 694 2058 686 2037 679.0 693 4.67 679.00 15.00 225 15 0.02 0.02 9 701 10 703 11 702 12 710 13 712 14 711 15 728 MSE MAD MAPE MPE Data penyewaan mingguan di Palwa Video Tara jlh video yg t disewa(Yt) 1 654 Penyew aan m ingguan di Palw a Video Tara 2 658 3 665 740 4 672 Jlh video yg disewa 720 5 673 700 6 671 680 persew aan video 7 693 660 8 694 640 9 701 620 10 703 600 11 702 1 2 3 4 5 6 7 8 9 10 11 12 13 14 15 12 710 time 13 712 14 711 15 728 5. Metode Pemulusan Eksponensial Tunggal (Exponential Smoothing)  Data Stasioner 8
  • 9.
    Untuk 0 <α < 1  ( Ramalan baru ) = α ( data baru ) + (1 − α )( ramalan yang lama ) ˆ ˆ ˆ ˆ atau Y = αY + (1 − α )Y atau Y = Y + α (Y − Y ) = Y + α eˆ ˆ t +1 t t t +1 t t t t t Catatan : 1. Nilai α (konstanta pemulusan) diestimasi degan menggunakan prosedur iterasi yang meminimkan mean square error (MSE) ˆ ˆ 2. Nilai awal Y1  a. Y1 = Y1 n  b. ˆ ∑Y t Rata-rata n data pertama (diambil data ke-1 s.d. ke-n Y1 = Y = t =1 n kemudian dihitung nilai rata-rata-nya) Periode α = 0.1 α = 0.6 Waktu Penghitungan Bobot Penghitungan Bobot t 0.100 0.600 t-1 0.9×0.1 0.090 0.4×0.6 0.24 t-2 0.9×0.9×0.1 0.081 0.4×0.4×0.6 0.096 t-3 (0.9)3 ×0.1 0.073 (0.4) ×0.6 3 0.038 t-4 (0.9)4 ×0.1 0.066 (0.4) ×0.6 4 0.015 lainnya 0.590 0.011 1 1 Example : (data Kasigi) ˆ Pilih konstanta pemulusan α = 0.1 sedangkan untuk Y1 = Y1 = 500 ˆ ˆ ˆ t=1  Y2 = 0.1Y1+ (1-0.1) Y1 = (0.1)(500)+(0.9)(500) = 500  e2= Y2− Y2 =350−500=−150 ˆ ˆ ˆ t=2  Y = 0.1Y2+ (1-0.1) Y = (0.1)(350)+(0.9)(500) = 485  e3= Y3− Y =250−485=−235 3 2 3 ˆ ˆ ˆ t=3  Y4 = 0.1Y3+ (1-0.1) Y3 = (0.1)(250)+(0.9)(485) = 462  e4= Y4− Y4 =400−462=−62 t Y αY t (1−α) Y t ˆ ˆ Y (α=0.34) e e |e | t|e |/Y e /Y t 2 t t t t t t t initial value 500 1 500 50 450.0 2 350 35 450.0 500.0 150.0 22500.0 22500.0 64.3 0.4 3 250 25 436.5 485.0 235.0 55225.0 55225.0 220.9 0.9 4 400 40 415.4 461.5 61.5 3782.3 3782.3 9.5 0.2 5 450 45 409.8 455.4 5.4 28.6 28.6 0.1 0.0 6 350 35 409.3 454.8 104.8 10986.2 10986.2 31.4 0.3 7 200 20 399.9 444.3 244.3 59698.9 59698.9 298.5 1.2 8 300 30 377.9 419.9 119.9 14376.0 14376.0 47.9 0.4 9 350 10 200 11 150 12 400 13 550 14 350 15 250 16 550 17 550 18 400 19 350 20 600 MSE MAD MAPE MPE 6. Metode Pemulusan Eksponensial Ganda (Double Exponential Smoothing)  Data Trend linier  Metode Brown 9
  • 10.
    At : nilaiYt yang dimuluskan secara eksponensial pada saat t At′ : nilai Yt yang dimuluskan secara eksponensial ganda pada saat t ˆ ˆ sehingga Yt +1 = αYt + (1 − α )Yt (Pemulusan Eksponensial tunggal) dapat dituliskan sebagai At = αYt + (1 − α ) At −1 dan untuk Pemulusan Eksponensial ganda : At′ = αAt + (1 − α ) At′−1 titik potong  at = 2 At − At′ α slope  bt = ( At − At′ ) 1−α ˆ Peramalan pada periode p yang akan datang adalah : Yt + p = at + bt × p Keterangan : α  konstanta pemulusan Yt  nilai Y aktual pada periode t p  banyaknya periode ke depan yang akan diramalkan Example : (data video) ′ Pilih konstanta pemulusan α = 0.4, p = 2 dan A0 = Y1 = 654 serta A0 = Y1 t=1  A1= αY1 +(1−α) A1-1 =(0.4)(654)+(1−0.4)(654)=654 ′ A1′ = α A1 +(1−α) A0 =(0.4)(654)+(1−0.4)(654)=654 a1 = 2A1− A1′ =2×654−654=654 0.4 b1 = ( A1 − A1′ ) = 0.4 (654 − 654) = 0 1 − 0.4 0.6 ˆ ˆ Y1+ 2 = a1 + b1 × 2 = 654 + 0 × 2 = 654  Y3 = 654  e1 dan e2 tidak masuk perhitungan ˆ  e3= Y3− Y =665−654=11 3 t=2  A2= αY2 +(1−α) A2-1 =(0.4)(658)+(1−0.4)(654)=263.2+392.4=655.6 A2 = α A2 +(1−α) A1′ =(0.4)(655.6)+(1−0.4)(654)=654.64 ′ ′ a2 = 2A2− A2 =2×655.6−654.64=656.56 0.4 b2 = ( A2 − A2 ) = 0.4 (655.6−654.64)=0.24 ′ 1 − 0.4 0.6 ˆ ˆ Y2+ 2 = a 2 + b2 × 2 = 656.56 + 0.24×2=657.04  Y4 =657.04 ˆ  e4= Y4− Y =672−657.04 =14.96 4 At (α=0.4) Alt Yt(hat) t Yt α Yt (1−α) At-1 α At (1−α) A't-1 At -Alt at =2*At -A't bt et 654 654 p=2 1 654 261.6 392.4 654.0 261.6 392.4 654.0 0 654.0 0 2 658 263.2 392.4 655.6 262.2 392.4 654.6 0.960 656.5 0.24 3 665 266 393.3 659.3 263.7 392.7 656.5 2.832 662.1 0.71 654.0 11.00 4 672 268.8 395.6 664.4 265.7 393.9 659.6 4.733 669.1 1.18 657.0 14.96 10
  • 11.
    Untuk menentukan nilaiawal slope trend b0 dan titik potong a0 dengan menggunakan metode kuadrat terkecil (least square methods) untuk data video  a0 = 650.3 dan b0 = 4.9 sehingga 1−α A0 = a0 − b0 .............1) α 1−α ′ A0 = a0 − 2 × b0 .............2) α 1 − 0.4 1 )  A0 = 650.3 − × 4.9 = 642.9 0.4 1 − 0.4 2 ′ )  A0 = 650.3 − 2 × × 4.9 = 635.6 0..4 dan A1= αY1 +(1−α) A0 =(0.4)(654)+(1−0.4)(642.9)=647.3 ′ A1′ = α A1 +(1−α) A0 =(0.4)(647.3)+(1−0.4)( 635.6)=640.3 a1 = 2A1− A1′ =2×647.3−640.3=654.3 0.4 b1 = ( A1 − A1′ ) = 0.4 (647.3 − 640.3) =4.7 1 − 0.4 0.6 ˆ p=1  Y1+1 = a1 − b1 × 1 = 654.3 − 4.7 × 1 = 659 At Alt Yt(hat) (1−α) (α=0.4) (1−α) at = t Yt α Yt α At At -Alt 2*At -A't bt et et2 |et| |et|/Yt et/Yt At-1 A't-1 …. p=2 …….. 65 1 4 65 2 8 66 3 5 67 4 2 67 5 3 67 6 1 69 7 3 69 8 4 70 9 1 70 10 3 70 11 2 71 12 0 71 13 2 71 14 1 72 15 8 MSE MAD MAPE MPE 11
  • 12.
    7. Metode PemulusanEksponensial untuk data Trend  Metode dua parameter Holt a) Rangkaian pemulusan secara eksponensial  At = α Yt + (1 − α )( At −1 + Tt −1 ) b) Estimasi trend  Tt = β ( At − At −1 ) + (1 − β ) Tt −1 c) Ramalan pada periode p  Y ˆ = A +T × p t+ p t t dengan : At : nilai baru yang telah dimuluskan Tt : estimasi trend α : konstanta pemulusan (0 <α< 1) p : periode yang diramalkan Yt : data aktual pada periode t ˆ Yt + p : nilai ramalan pada periode p β : konstanta pemulusan untuk estimasi trend (0 <β< 1) Example : (data kasigi) α =0.3 dan β=0.1 ; A1 = Y1 ; T1 = 0 ; p = 3 t=1 A1 = 500 T1 = 0 ˆ Y1+3 = A1 + T1 × 3 = 500 + 0 × 3 = 500 ˆ e4 = Y − Y =400 – 500= –100 4 4 t=2 A2 = α Y2 + (1 − α )( A2−1 + T2−1 ) =0.3×350+(1-0.3) ×(500+0) =105+350=455 T2 = β ( A2 − A2−1 ) + (1 − β ) T2−1 = 0.1×(455-500)+(1-0.1)×0= – 4.5 ˆ Y = A + T × 3 = 455 + (–4.5) × 3 = 441.5 2+3 2 2 ˆ e5 = Y5 − Y5 = 450 – 441.5 = 8.5 (1-α) At Tt ˆ Yt t Yt α Yt At-1 + Tt-1 (α=0.3) At - At-1 β(At - At-1) (1−β)Tt-1 (β=0.1) et [At-1 + Tt-1] 0.3 0.1 p=3 1 500 500 0 2 350 105 500.00 350.0 455.00 -45.00 -4.50 0.00 -4.50 3 250 75 450.50 315.4 390.35 -64.65 -6.47 -4.05 -10.52 4 400 120 379.84 265.9 385.88 -4.47 -0.45 -9.46 -9.91 500.00 -100.00 5 450 135 375.97 263.2 398.18 12.30 1.23 -8.92 -7.69 441.50 8.50 6 350 105 390.49 273.3 378.34 -19.84 -1.98 -6.92 -8.90 358.81 -8.80 7 200 60 369.44 258.6 318.61 -59.74 -5.97 -8.01 -13.99 356.15 -156.15 8 300 90 304.62 213.2 303.23 -15.37 -1.54 -12.59 -14.13 375.11 -75.11 9 350 105 289.11 202.4 307.38 4.14 0.41 -12.71 -12.30 351.63 -1.63 10 200 60 295.08 206.6 266.55 -40.82 -4.08 -11.07 -15.15 276.65 -76.65 11 150 12 400 13 550 14 350 15 250 16 550 17 550 18 400 19 350 20 600 21 750 22 500 23 400 24 650 12
  • 13.
    8. Metode PemulusanEksponensial untuk variasi Trend dan musiman (Metode tiga parameter Winter) Yt a) Pemulusan eksponensial  At = α + (1 − α )( At −1 + Tt −1 ) St −L b) Estimasi trend  Tt = β ( At − At −1 ) + (1 − β ) Tt −1 Yt c) Estimasi musiman  S t = µ + (1 − µ ) S t − L At d) Ramalan pada periode p  Y ˆ = ( A + T × p) × S t+ p t t t − L+ p dengan : µ : konstanta pemulusan untuk estimasi musiman (0 <µ< 1) St : estimasi musiman L : panjangnya musim ˆ Yt + p : nilai ramalan pada periode p Example : (data kasigi) α =0.4 ; β=0.1 ; µ=0.3 ; p = 3 ; nilai L dapat dilihat di grafik data  L=4 t = 1  inisialisasi awal : A1 = Y1 = 500 ; T1 = 0 ; S1 = 1 ˆ ˆ  Y1+3 = ( A1 + T1 × 3) × S1−4+3 =(500+0)×1 = 500  e4 = Y4 − Y4 = 400 – 500 = – 100 t = 2  S–2 = S1 = 1 Y A2 = α 2 + (1 − α )( A2−1 + T2 −1 ) =0.4×(350/1)+(1– 0.4)×(500+0) =440 S 2− 4 T2 = β ( A2 − A2−1 ) + (1 − β ) T2−1 = 0.1×(440– 500)+(1– 0.1)×0= – 6 Y S 2 = µ 2 + (1 − µ ) S 2−4 = 0.3×(350/440)+(1 – 0.3)×1 = 0.94 A2 ˆ Y = ( A + T × 3) × S ˆ = (440 – 6×3)×1 = 422  e5 = Y − Y = 450 – 422 = 28 2 +3 2 2 2− 4+3 5 5 ˆ t = 3  S–1 = S1 = 1  A3 = 360.4 ; T3 = – 13.36 ; S 3 = 0.91  Y6 = 300.6  e6 = 350 – 300.6 = 49.34 ˆ t = 4 S0= S1=1 A4 = 368.2 ; T4 = – 11.24 ; S 4 = 1.03  Y7 = 303.7  e7 = 200 – 303.7 = – 103.7 t=5 ˆ  S1 = 1  A5 = 394.2 ; T5 = – 7.52 ; S 5 = 1.04  Y8 = 381.25  e8 = – 81.25 t=6 ˆ  S2 = 0.94  A6 = 381.1 ; T6 = – 8.07 ; S6 = 0.93  Y9 = 372.1  e9 = – 22.1 Yt / At Tt St St-L α* (Yt At-1 + (1-α)* (α=0.4) β* (At (1−β)* (β= 0.1 µ* (1−µ) (µ= ˆ Yt t Yt At - At-1 ) Yt / At (Yt / 0.3) et / St-L) Tt-1 [At-1 +Tt-1] - At-1) Tt-1 *St-L L=4 0.4 At) 0.1 0.3 p=3 1 500 500 0 1 2 350 350.0 140.0 500.0 300.0 440.0 -60.0 -6.00 0.00 -6.00 0.80 0.24 0.70 0.94 3 250 250.0 100.0 434.0 260.4 360.4 -79.6 -7.96 -5.40 -13.36 0.69 0.21 0.70 0.91 4 400 400.0 160.0 347.0 208.2 368.2 7.8 0.78 -12.02 -11.24 1.09 0.33 0.70 1.03 500.0 -100.0 5 450 450.0 180.0 357.0 214.2 394.2 26.0 2.60 -10.12 -7.52 1.14 0.34 0.70 1.04 422.0 28.00 6 350 372.9 149.2 386.7 232.0 381.2 -13.0 -1.30 -6.77 -8.07 0.92 0.28 0.66 0.93 300.6 49.34 7 200 220.2 88.1 373.1 223.8 311.9 -69.2 -6.92 -7.27 -14.19 0.64 0.19 0.64 0.83 303.7 -103.7 8 300 9 350 1 0 200 1 1 150 1 2 400 1 3 550 1 4 350 1 5 250 13
  • 14.
    Yt / At Tt St St-L α* (Yt At-1 + (1-α)* (α=0.4) β* (At (1−β)* (β= 0.1 µ* (1−µ) (µ= ˆ Yt t Yt At - At-1 ) Yt / At (Yt / 0.3) et / St-L) Tt-1 [At-1 +Tt-1] - At-1) Tt-1 *St-L L=4 0.4 At) 0.1 0.3 p=3 1 500 500 0 1 1 6 550 1 7 550 ANALISIS KORELASI Hubungan antara dua peubah acak X dan Y biasanya dinamakan korelasi dan nilai korelasinya ditunjukkan dengan koefisien korelasi yang dinotasikan dengan ρ dan nilai yang mungkin dari koefisien korelasi terletak antara [-1,1]. Jika ρ > 0 berarti hubungan yang ada merupakan hubungan positive dan untuk ρ < 0 mempunyai arti hubungannya negative dan ρ = 0 menunjukkan tidak adanya hubungan atau independensi antara peubah X dan Y. Koefisien korelasi Pearson (koefisien korelasi sederhana) Misalkan diberikan sampel acak dari n pengamatan (xi,yi), i=1,...,n untuk peubah acak X dan Y. Sampel pengamatan tersebut digunakan untuk menentukan estimator unbiased dari parameter µx, µy, σxy, σx dan σy yaitu x , y , Sxy, Sx dan Sy. σ xy ∑(X n )( − X Yi − Y ) ρ xy = dan diduga oleh rxy = S xy i =1 i σ xσ y = ∑(X ) ∑ (Y − Y ) SxS y n 2 n 2 i −X i i =1 i =1 digunakan untuk mengukur hubungan linier antara dua peubah acak kuantitative X dan Y. Untuk menguji koefisien korelasinya digunakan hypothesis berikut Ho : ρ = 0 H1 : ρ ≠ 0 r dalam pengujian hypothesis tersebut diperlukan penghitungan statistik : t= untuk r : koefisien korelasi Pearson Sr Sr : standar deviasi dari estimator r yang didefinisikan sebagai 1 − r2 Sr = n−2 Dibawah H0 , statistik t berdistribusi student dengan derajat kebebasan n-2. Keputusan H0 akan ditolak jika t ≥ t(α/2),(n-2). [Y-mean(Y)]* No. Y X Y-mean(Y) X-mean(X) (Y-mean(Y))2 (X-mean(X))2 [X-mean(X)] 1 1.30 10 -0.18 -0.22 0.032 0.05 0.040 2 2.00 6 0.52 -4.22 0.273 17.83 -2.205 3 1.70 5 0.22 -5.22 0.049 27.27 -1.160 4 1.50 12 0.02 1.78 0.000 3.16 0.040 5 1.60 10 0.12 -0.22 0.015 0.05 -0.027 6 1.20 15 -0.28 4.78 0.077 22.83 -1.327 7 1.60 5 0.12 -5.22 0.015 27.27 -0.638 8 1.40 12 -0.08 1.78 0.006 3.16 -0.138 9 1.00 17 -0.48 6.78 0.228 45.94 -3.238 13.3 92 0.696 147.56 -8.656 mean 1.48 10.22 sqrt 0.83 12.15 r= -0.854 [Y-mean(Y)]* No. Y X Y-mean(Y) X-mean(X) (Y-mean(Y))2 (X-mean(X))2 [X-mean(X)] 1 10 1.30 2 6 2.00 3 5 1.70 4 12 1.50 5 10 1.60 6 15 1.20 14
  • 15.
    7 5 1.60 8 12 1.40 9 17 1.00 10 20 1.10 sqrt r= ANALISIS REGRESI Analisis regresi adalah suatu metode yang menggunakan metode kuadrat terkecil untuk menguji data dan menggambarkan kesimpulan yang penuh arti tentang hubungan dependensi yang ada antara peubah tak bebas (peubah respon, Y) dan peubah bebas (peubah prediktor, X) atau peubah yang menerangkan variasi Y. Persamaan regresi adalah suatu persamaan yang menyatakan hubungan antara Y dan X yang di dalam tulisan ini hanya akan dibahas untuk Y saja yang acak sedangkan untuk X dianggap tetap atau tidak acak. Regresi Linier Sederhana dan Berganda Regresi linier sederhana mencakup dua peubah yaitu Y dan X sedangkan regresi linier berganda melibatkan lebih dari dua peubah yaitu Y dan (X1, ..., Xp). Dalam model regresi linier sederhana dan berganda diberikan beberapa asumsi yang memungkinkan model tersebut dapat digunakan. Sehingga untuk menggunakannya asumsi yang diajukan harus dipenuhi atau dengan kata lain harus diuji keberadaannya. Sayangnya banyak peneliti yang kadang-kadang menganggap asumsi tersebut sudah benar dan akibatnya tidak perlu lagi diadakan pengujian. Padahal, jika pengujian asumsi tidak dilakukan maka koefisien regresi (estimator parameter) yang diperoleh akan tidak layak untuk dipakai, hal ini karena dengan tidak diujinya asumsi yang ada akan menyebabkan penghitungan rumus-rumus yang digunakan untuk mendapatkan koefisien regresi tersebut tidak bisa dipertanggung-jawabkan secara matematis. 1. Regresi Linier Sederhana Suatu analisis regresi yang peubah tak bebas Y bergantung secara linier pada satu peubah bebas X disebut regresi linier sederhana. Bentuk modelnya adalah Y = β0 + β1 X + ε untuk Y adalah peubah tak bebas, ε ialah residu dan X merupakan peubah bebas, β0 , β1 adalah parameter. Jika diberikan n pasang pengamatan (x1,y1),..., (xn,yn) untuk yi bergantung secara linier pada xi maka dapat diperoleh : yi = β0 + β1 xi + εi , i=1,...,n. dengan asumsi-asumsi berikut : (i) xi tetap (fixed). (iv) εi berdistribusi normal. (ii) E(εiεj) = 0 untuk i≠j. (v) parameter β0 dan β1 berupa konstanta. (iii) E(εi) = 0 dan V(εi) = σ2 untuk i=1,...,n. Masalahnya adalah mengestimasi parameter β0 , β1 dan memilih nilai β0 , β1 sedemikian sehingga jarak antara yi dan β0 + β1 xi mínimum. Akan digunakan metode kuadrat terkecil (least squares method) dengan prinsip meminimkan jumlah kuadrat residu, dan menghasilkan estimator berikut n ∑( x i − x )( yi − y ) ˆ β1 = i =1 ˆ ˆ ˆ ˆ dan β 0 = y − β1 x sehingga nilai y i untuk nilai xi y i = β 0 + β1 xi ˆ ˆ n ∑( x − x) 2 i i =1 Data 1 [Y-mean(Y)]* No. Y X Y-mean(Y) X-mean(X) [X-mean(X)]2 Y topi ei (ei)2 [X-mean(X)] 1 1.30 10 -0.18 -0.22 0.040 0.049 1.491 -0.191 0.03641 2 2.00 6 0.52 -4.22 -2.205 17.827 1.725 0.275 0.075377 3 1.70 5 0.22 -5.22 -1.160 27.272 1.784 -0.084 0.007075 4 1.50 12 0.02 1.78 0.040 3.160 1.373 0.127 0.016004 5 1.60 10 0.12 -0.22 -0.027 0.049 1.491 0.109 0.011922 6 1.20 15 -0.28 4.78 -1.327 22.827 1.198 0.002 6.17E-06 7 1.60 5 0.12 -5.22 -0.638 27.272 1.784 -0.184 0.033897 8 1.40 12 -0.08 1.78 -0.138 3.160 1.373 0.027 0.000703 15
  • 16.
    9 1.00 17 -0.48 6.78 -3.238 45.938 1.080 -0.080 0.006431 13.3 92 -8.656 147.556 -6.66E-16 0.187824 Mean 1.48 10.22 beta 1 = -0.059 beta 0 = 2.077 Data 2 [Y-mean(Y)]* No. Y X Y-mean(Y) X-mean(X) [X-mean(X)]2 Y topi ei (ei)2 [X-mean(X)] 1 10 1.30 2 6 2.00 3 5 1.70 4 12 1.50 5 10 1.60 6 15 1.20 7 5 1.60 8 12 1.40 9 17 1.00 10 20 1.10 mean beta 1 = beta 0 = Untuk mengetahui goodness of fit dari model yang diperoleh dapat dilihat dari nilai koefisien determinasinya, dinotasikan R2 dan bernilai didalam interval [0,1] dan pada umumnya model dikatakan baik jika R2 mendekati satu. Koefisien determinasi ini didefinisikan n 2 JKReg ∑( y ˆ i − y) R =2 = i =1 n JKT ∑( y − y) 2 i i =1 Setelah diketahui goodness of fit model selanjutnya dilakukan uji terhadap asumsi-asumsi yang diberikan, dalam pengujian ini dapat dibagi menjadi dua : Pertama, uji terhadap parameter dan kedua pengujian terhadap residu. a. Uji Parameter. Pengujian parameter dapat dilakukan dengan bantuan tabel analisis variansi berikut ini : db JK RK nilai F n 2 JKReg RK reg regresi 1 ∑ ( yi − y ) i =1 ˆ 1 RK res 2 n JKRes residu n-2 ∑( y − y ) i =1 ˆ i i n−2 = S2 n 2 total n-1 ∑( y i =1 i − y) dengan JK adalah jumlah kuadrat RK ialah rata-rata kuadrat S2 merupakan estimator dari σ2 hypothesis H0 : β0 = β1 = 0 statistiknya : H1 : β0 ≠ 0 atau β1 ≠ 0 RK reg JKReg Fhit = = RK res S2 16
  • 17.
    keputusan untuk menolakH0 adalah jika Fhit > Fα,1,(n-2) dengan Fα,1,(n-2) adalah nilai tabel dari distribusi F berderajat kebebasan 1 dan n-2 untuk tingkat kepercayaan α. Berikutnya jika diinginkan maka dapat dilakukan penghitungan daerah kepercayaan 100(1-α)% dari (β0, β1) Untuk memastikan bahwa β0 dan β1 merupakan konstanta dapat dilakukan uji individual terhadap parameter tersebut masing-masing ujinya adalah sebagai berikut : Uji untuk β0 hypothesis statistiknya : Keputusan : H0 : β0=0 n tolak H0 ˆ S 2 ∑ xi2 H1 : β0≠ 0 β t= 0 dengan Sβ 0 = n i =1 jika t > tα/2,(n-2) S β0 n∑ ( xi − x ) 2 i =1 Uji untuk β1. hypothesis statistiknya : Keputusan : H0 : β1= 0 S 2 tolak H0 ˆ β1 S β1 = H1 : β1≠ 0 t= dengan n ∑( x − x) 2 S β1 i jika t > tα/2,(n-2) i =1 Apabila diperlukan maka dapat dilakukan penghitungan interval kepercayaan 100(1-α)% dari masing-masing parameter β0, β1. b. Uji Residu. Cakupan uji residu meliputi : Pertama, uji tidak adanya autokorelasi di dalam residu (e1,...,en) atau E(ei ej) = 0 untuk i ≠ j dengan kata lain uji independensi (e1,...,en). Untuk menguji ada dan tidaknya autokorelasi tersebut dapat digunakan uji Durbin-Watson. Jika didefinisikan εi = ρ εi-1 + υi , υi  < 1 dan i=1,...,n untuk υi IID dengan E(υi) = 0 dan V(υi) = σ2 dan ρ diestimasi dengan n n ∑e e i i −1 ∑ (e − e i i −1 )2 r= i=2 n statistik dari uji Durbin-Watson adalah d = i=2 n untuk ei = yi − yi ˆ ∑e i =1 2 i ∑e i =1 2 i hypothesis untuk uji ini adalah : H0 : tidak ada autokorelasi di dalam residu (e1,...,en) H1 : ada autokorelasi di dalam residu (e1,...,en) keputusan yang dapat diambil menggunakan aturan berikut ini : untuk ρ > 0, tolak H0 jika d < dL dan terima H0 jika d > dU sedangkan untuk ρ < 0, tolak H0 jika d > 4 - dL dan terima H0 jika d < 4 - dU . Jika 4 - dU < d < 4 - dL maka tidak dapat diambil kesimpulannya. Untuk dL dan dU adalah nilai kritis dalam tabel statistik Durbin-Watson. Selanjutnya jika diketahui adanya autokorelasi dan diinginkan untuk memperoleh model dari data yang telah dipunyai, maka dapat digunakan metode Prais-Winsten dengan menggunakan suatu transformasi untuk menghilangkan autokorelasinya. Kedua, uji kenormalan residu (e1,...,en) dan untuk mengujinya dapat digunakan uji Kolmogorov- Smirnov atau uji dengan plot : plot P-P atau plot Q-Q. Ketiga, uji kekonstanan variansi residu atau uji homoscedastisitas dalam residu. Dalam hal ini, plot antara ei dan yi dapat digunakan untuk menguji homoscedastisitas tersebut. 2. Regresi Linier Berganda 17
  • 18.
    Analisis regresi yangpeubah tak bebasnya Y bergantung secara linier pada beberapa peubah bebas X1,...,Xk disebut regresi linier berganda yang persamaannya diberikan dalam bentuk berikut : Y = f(X1,...,Xk) dengan f(X1,...,Xk) adalah suatu fungsi linier dari X1,...,Xk. Secara umum model regresi linier berganda dengan (p-1) peubah bebas dinyatakan sebagai : p −1 yi = β 0 + ∑ β j x ji + ε i , i=1,...,n j =1 atau dapat dinotasikan secara matriks berikut : Y = Xβ + ε dengan Y adalah vektor n×1 pengamatan untuk peubah tak bebas X merupakan matriks n×p yang kolom-kolomnya terdiri dari vektor 1n×1 dari peubah-peubah bebas β ialah vektor parameter berukuiran p×1 ε menyatakan vektor residu n×1 dengan asumsi-asumsi berikut : (i) xij tetap (fixed) untuk i=1,...,n dan j=1,...,p-1 (ii) E(εiεj) = 0 untuk i≠j (iii) E(εi) = 0 dan V(εi) = σ2 atau E(ε'ε) = σ2 I untuk i=1,...,n (iv) εi berdistribusi normal untuk i=1,...,n (v) parameter β0, β1,…, βp-1 berupa konstanta estimator parameter menggunakan metode kuadrat terkecil : β = ( X ' X ) X 'Y −1 ˆ Untuk mendapatkan model terbaik dalam regresi linier berganda, terdapat beberapa cara yang dapat digunakan : Pertama, pemilihan peubah bebas yang akan dipakai dapat dilakukan dengan menggunakan metode stepwise, metode eliminasi backward dan metode forward. Untuk memperoleh peubah bebas yang optimal diperlukan pemakaian ketiga metode tersebut karena satu dan lainnya mempunyai kelebihan dan kekurangan tersendiri. Kedua, koefisien determinasi R2 ˆ JKReg β ' X 'Y − nY 2 yang didefinisikan dengan R 2 = = dapat digunakan untuk melihat goodness JKT Y 'Y − nY 2 of fit model (kriteria koefisien determinasi R2). Ketiga, dengan kriteria R2 adjusted dan rata-rata kuadrat kesalahan (Mean Square error) bisa digunakan pula untuk goodness of fit model. Berbeda dengan koefisien determinasi, penambahan peubah ke dalam model belum tentu menyebabkan naiknya nilai R2 adjusted. Dengan maximumnya kriteria R2 adjusted berarti minimumnya kriteria rata-rata kuadrat kesalahan. Keempat, menguji adanya multikolinieritas yaitu adanya hubungan linier antar peubah-peubah bebas. Jika ada multikolinieritas maka matriks X'X merupakan matriks singular atau mendekati singular. Untuk mendeteksi multikolinieritas yang paling sederhana adalah menggunakan matriks korelasi peubah-peubah bebas (dinotasikan R), bisa juga dilakukan dengan menggunakan nilai eigen dari matriks korelasi R karena nilai rank R ditentukan oleh nilai eigennya yang tidak sama dengan nol atau dengan menghitung perbandingan antara nilai eigen terbesar dengan nilai eigen terkecil, jika perbandingan tersebut melebihi 1000 maka ada multikolinieritas dan jika kurang dari 100 berarti tidak ada multikolinieritas. Seperti halnya dalam regresi linier sederhana, setelah langkah goodness of fit model akan dilakukan uji terhadap asumsi-asumsi yang diberikan. a. Uji Parameter. Dengan tabel analisis variansi di bawah ini db JK RK nilai F JKReg JKReg regresi p-1 ˆ β ' X 'Y − nY 2 p −1 JKRes JKRes residu n-p ˆ Y 'Y − β 'Y 'Y = S2 n− p total n-1 Y 'Y − nY 2 dengan JK adalah jumlah kuadrat 18
  • 19.
    RK ialah rata-ratakuadrat S2 merupakan estimator dari σ2 uji terhadap parameter β0, β1,…, βp-1 dapat dilakukan sebagai berikut : hypothesis statistiknya : Keputusan : H0 : βj=0 untuk j=1,...,p-1 JKReg JKReg tolak H0 F= = H1 : paling sedikit ada satu βj ≠ 0 JKRes S2 jika F > Fα,p-1,n-p Langkah berikutnya adalah menghitung ellipsoid kepercayaan 100(1-α)% dari β yang berupa vektor β0, β1,…, βp-1). Sedangkan untuk uji individual terhadap parameter (koefisien regresi) β0, β1,…, βp-1 dapat dilakukan sebagai berikut : Hypothesis : ˆ βj Keputusan : H0 : βj=0 statistiknya : t= c 2 adalah elemen tolak H0 dengan jj S 2c 2 H1 : βj≠ 0 jj jika t > tα/2,(n-p) diagonal ke-j dari matriks C 2 = X ' X −1 ( ) Selanjutnya dapat ditentukan interval kepercayaan 100(1-α)% dari masing-masing parameter. b. Uji Residu. Pengujian residu di dalam regresi linier berganda pada prinsipnya sama seperti pada pengujian yang dilakukan pada regresi linier sederhana. OTOKORELASI Peubah acak e (error) yang dipecah menjadi et dan et-1 untuk t = 2,3,4,…n dan korelasi antara et dan et-1 disebut otokorelasi. ∑ (e )( ) n ∑ (e )( ) n − e et −k − e t − e et −1 − e t rk = t = k +1 r1 = t =2 ∑ (e ) n 2 ∑ (e ) n 2 dan secara umum −e untuk : k = 2,3,4, ... t −e t =1 t t =1 dan r1 : koefisien otokorelasi tingkat pertama et : observasi pada waktu t n et-1 : observasi pada satu periode sebelumnya e : nilai rata-rata data = ∑e t =1 t n Uji koefisien otokorelasi (secara simultan) Hipotesis : H 0 : ρ k = 0 untuk k=1,2,3,.... H1 : ρ k ≠ 0 Keputusan : 1 1 1. tolak H0 jika rk < − z1−α × atau rk > z1−α × . Nilai rk (otokorelasi et) terletak di daerah 2 n 2 n penolakan H0 sehingga metode peramalan yang dipakai kurang cocok/ sesuai karena rk ≠ 0 atau tidak random (acak) artinya perlu dilakukan penggantian dengan metode peramalan yang lain. 1 1 2. Terima H0 jika − z1−α × < rk < z α × . Nilai rk terletak pada interval yang diinginkan 2 n 1− 2 n (daerah penerimaan H0) sehingga metode peramalan yang dipakai sudah cocok/ sesuai karena rk = 0 yang berarti error-nya random z = z 0, 05 = z 0,975 Catatan : untuk α = 0,05 = 5 % nilai 1−α 1− = 1,96 2 2 Uji otokorelasi dengan uji Durbin-Watson 19
  • 20.
    Hypothesis : statistiknya Durbin-Watson : Keputusan : H 0 : ρ k = 0 untuk k=1,2,3,.... n terima H jika dw ≈ 2 ∑ (e − et −1 ) 2 H1 : ρ k ≠ 0 t artinya tidak ada dw = t =2 otokorelasi dalam error n (residu) atau e random. ∑e t =1 2 t 20