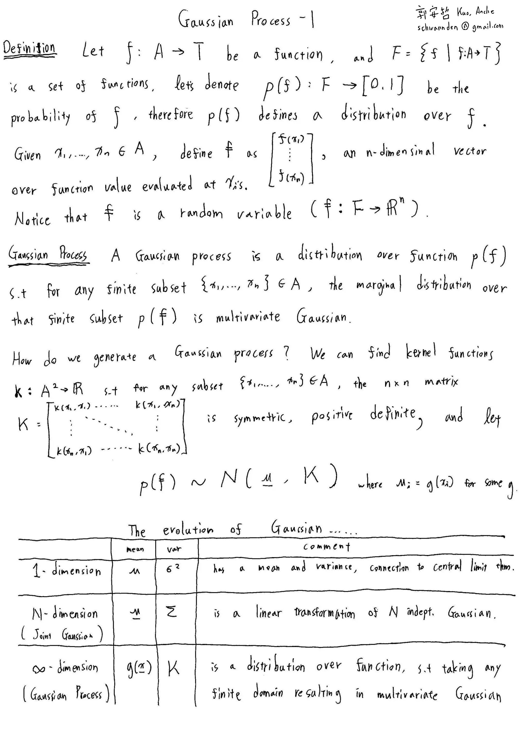
A statistical introduction to Gaussian process. Gaussian process is hard to make precise, but the the reward is you understand more about the limitation and abstract framework of this method.