Download free for 30 days
Sign in
Upload
Language (EN)
Support
Business
Mobile
Social Media
Marketing
Technology
Art & Photos
Career
Design
Education
Presentations & Public Speaking
Government & Nonprofit
Healthcare
Internet
Law
Leadership & Management
Automotive
Engineering
Software
Recruiting & HR
Retail
Sales
Services
Science
Small Business & Entrepreneurship
Food
Environment
Economy & Finance
Data & Analytics
Investor Relations
Sports
Spiritual
News & Politics
Travel
Self Improvement
Real Estate
Entertainment & Humor
Health & Medicine
Devices & Hardware
Lifestyle
Change Language
Language
English
Español
Português
Français
Deutsche
Cancel
Save
Submit search
EN
Uploaded by
Schwannden Kuo
553 views
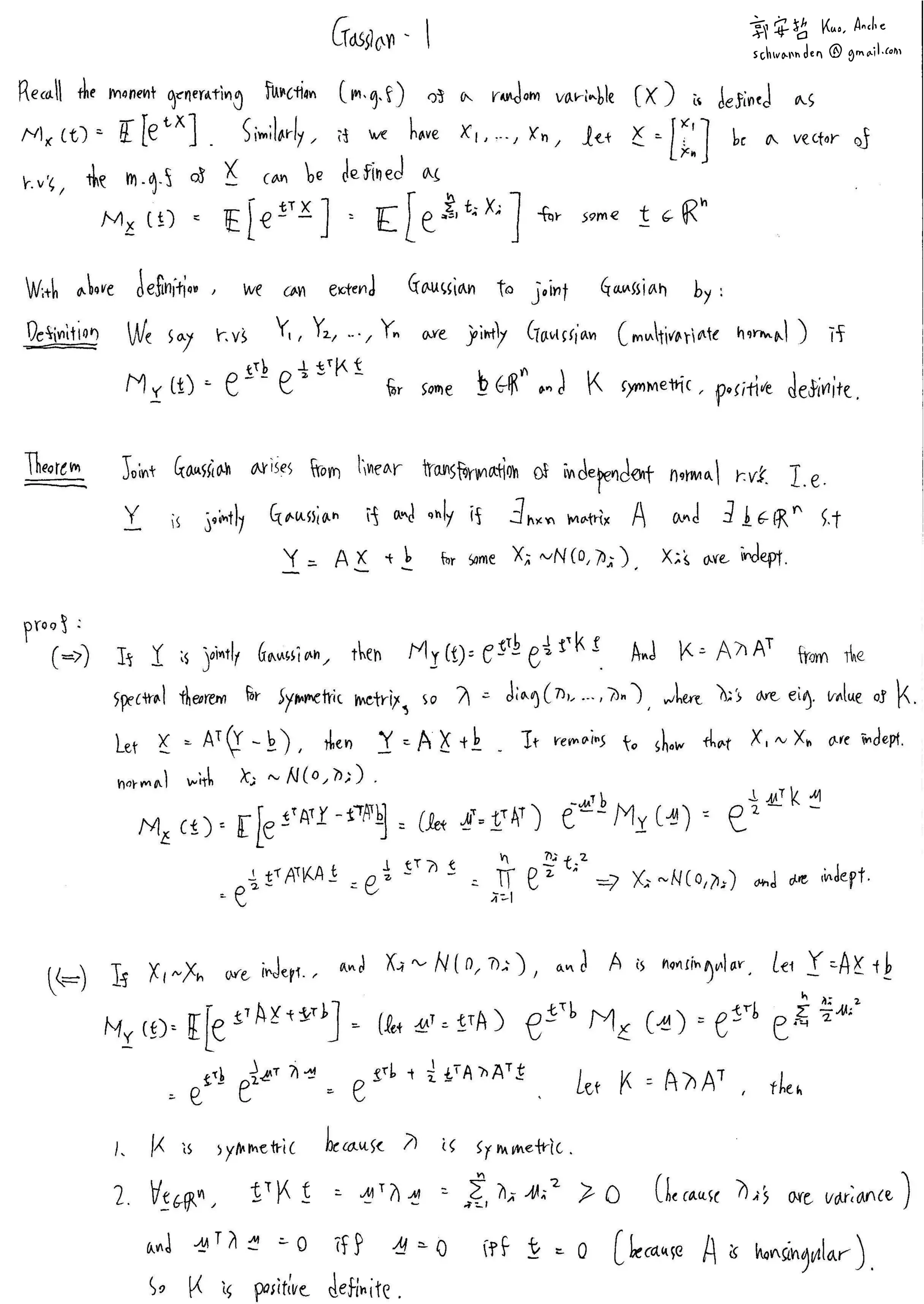
Gaussian
Introducing Joint Gaussian (Multivariate Distribution)
Science
◦
Related topics:
Linear Algebra Concepts
•
Read more
0
Save
Share
Embed
Embed presentation
Download
Download to read offline
1
/ 6
2
/ 6
3
/ 6
4
/ 6
5
/ 6
6
/ 6
More Related Content
DOC
Introduction to algorithms
by
pikon1982
PDF
Programatically getting stock data with R
by
Schwannden Kuo
PDF
Gaussian Process
by
Schwannden Kuo
PDF
Basic Linear Algebra
by
Schwannden Kuo
PDF
Regression
by
Schwannden Kuo
PDF
PL Lecture 04 - Expression and Statement
by
Schwannden Kuo
PDF
PL Lecture 03 - Types
by
Schwannden Kuo
PDF
PL Lecture 02 - Binding and Scope
by
Schwannden Kuo
Introduction to algorithms
by
pikon1982
Programatically getting stock data with R
by
Schwannden Kuo
Gaussian Process
by
Schwannden Kuo
Basic Linear Algebra
by
Schwannden Kuo
Regression
by
Schwannden Kuo
PL Lecture 04 - Expression and Statement
by
Schwannden Kuo
PL Lecture 03 - Types
by
Schwannden Kuo
PL Lecture 02 - Binding and Scope
by
Schwannden Kuo
More from Schwannden Kuo
PDF
PL Lecture 01 - preliminaries
by
Schwannden Kuo
PDF
尋找專題研究合作
by
Schwannden Kuo
PDF
Ndn on Galileo
by
Schwannden Kuo
PDF
LTE: X2 interface
by
Schwannden Kuo
PDF
Metric Of Language
by
Schwannden Kuo
PDF
Toefl preparation guide
by
Schwannden Kuo
PPTX
數字的故事
by
Schwannden Kuo
PDF
4G Introduction
by
Schwannden Kuo
PL Lecture 01 - preliminaries
by
Schwannden Kuo
尋找專題研究合作
by
Schwannden Kuo
Ndn on Galileo
by
Schwannden Kuo
LTE: X2 interface
by
Schwannden Kuo
Metric Of Language
by
Schwannden Kuo
Toefl preparation guide
by
Schwannden Kuo
數字的故事
by
Schwannden Kuo
4G Introduction
by
Schwannden Kuo
Recently uploaded
PDF
The use of urban green areas in Helsinki, Finland – perspectives from big dat...
by
tatuleppamaki
PDF
SkyMemory: A LEO Edge Cache for Transformer Inference Optimization and Scale Out
by
hpgloe
PDF
Muscular System ( Locomotion and Movement ) @irfanullah_mehar.pdf Irfanullah ...
by
World of Wisdom
PDF
Ice Ages, Hurricanes, and Corals: A Scientific Evaluation of the Department o...
by
schmittnerandreas
PPTX
DNA_abressions. HOW DNA IS REPAIRED.pptx
by
pandeysmriti129
PDF
Form Two Mathematics Textbook Simplified
by
bekapriscille132
PDF
Behavioral Modification, Functional Approach, Psychosocial Approach
by
Reverse Polarity
PPTX
Research methodology and biostatistics - Sample size
by
shrutipandit17
PPTX
(TPN) Total Parenteral Nutrition Dr I V R Raghunath.pptx
by
sasithayerra
PDF
High-speed fragmentation of porous metal rings
by
Javier García Molleja
PDF
Class 12_Complete Physics formulas in One Shot_Rakshak Sir.pdf
by
syamadeepan
PPT
Patent_Office_Procedures for patent filing .ppt
by
tessgeorgegeorge
PPTX
GRANULOCYTES: NEUTROPHILS, EOSINOPHIL AND BASOPHIL
by
BIOSPHERE OF KNOWLEDGE
PDF
Unit-1-Nucleic-Acids-Carriers-of-Genetic-Information.pdf
by
payalpanna8434
PDF
Climate Change.pdf Climate Change.pdfClimate Change.pdf
by
25mba174
PPTX
20260108 Overview of Density Functional Theoryv2.pptx
by
devyesh2
PDF
ANALYTICAL METHOD DEVELOPMENT & VALIDATION OF TIZANIDINE HYDROCHLORIDE BY UV ...
by
Vaishnavipagar2
PDF
Human Reproduction [ Reproductive System ] Notes @irfanullah_mehar Irfanullah...
by
World of Wisdom
PDF
The Pandora SmallSat: A Low-Cost, High Impact Mission to Study Exoplanets and...
by
Sérgio Sacani
PDF
From SETOL to Muon: Muon is RG Gauge Fixing
by
Charles Martin
The use of urban green areas in Helsinki, Finland – perspectives from big dat...
by
tatuleppamaki
SkyMemory: A LEO Edge Cache for Transformer Inference Optimization and Scale Out
by
hpgloe
Muscular System ( Locomotion and Movement ) @irfanullah_mehar.pdf Irfanullah ...
by
World of Wisdom
Ice Ages, Hurricanes, and Corals: A Scientific Evaluation of the Department o...
by
schmittnerandreas
DNA_abressions. HOW DNA IS REPAIRED.pptx
by
pandeysmriti129
Form Two Mathematics Textbook Simplified
by
bekapriscille132
Behavioral Modification, Functional Approach, Psychosocial Approach
by
Reverse Polarity
Research methodology and biostatistics - Sample size
by
shrutipandit17
(TPN) Total Parenteral Nutrition Dr I V R Raghunath.pptx
by
sasithayerra
High-speed fragmentation of porous metal rings
by
Javier García Molleja
Class 12_Complete Physics formulas in One Shot_Rakshak Sir.pdf
by
syamadeepan
Patent_Office_Procedures for patent filing .ppt
by
tessgeorgegeorge
GRANULOCYTES: NEUTROPHILS, EOSINOPHIL AND BASOPHIL
by
BIOSPHERE OF KNOWLEDGE
Unit-1-Nucleic-Acids-Carriers-of-Genetic-Information.pdf
by
payalpanna8434
Climate Change.pdf Climate Change.pdfClimate Change.pdf
by
25mba174
20260108 Overview of Density Functional Theoryv2.pptx
by
devyesh2
ANALYTICAL METHOD DEVELOPMENT & VALIDATION OF TIZANIDINE HYDROCHLORIDE BY UV ...
by
Vaishnavipagar2
Human Reproduction [ Reproductive System ] Notes @irfanullah_mehar Irfanullah...
by
World of Wisdom
The Pandora SmallSat: A Low-Cost, High Impact Mission to Study Exoplanets and...
by
Sérgio Sacani
From SETOL to Muon: Muon is RG Gauge Fixing
by
Charles Martin
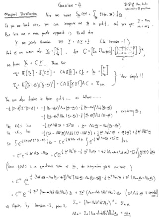
Gaussian
2.
T A (y-b) T
3.
s
4.
T ba ba
5.
-2.5 a
6.
|x |x )
Download