Download free for 30 days
Sign in
Upload
Language (EN)
Support
Business
Mobile
Social Media
Marketing
Technology
Art & Photos
Career
Design
Education
Presentations & Public Speaking
Government & Nonprofit
Healthcare
Internet
Law
Leadership & Management
Automotive
Engineering
Software
Recruiting & HR
Retail
Sales
Services
Science
Small Business & Entrepreneurship
Food
Environment
Economy & Finance
Data & Analytics
Investor Relations
Sports
Spiritual
News & Politics
Travel
Self Improvement
Real Estate
Entertainment & Humor
Health & Medicine
Devices & Hardware
Lifestyle
Change Language
Language
English
Español
Português
Français
Deutsche
Cancel
Save
Submit search
EN
Uploaded by
PrashantMishra441464
PPTX, PDF
12 views
Filter 2 environmental microbiology.pptx
environmental microbiology
Engineering
◦
Read more
0
Save
Share
Embed
Embed presentation
Download
Download to read offline
1
/ 32
2
/ 32
3
/ 32
4
/ 32
5
/ 32
6
/ 32
7
/ 32
8
/ 32
9
/ 32
10
/ 32
11
/ 32
12
/ 32
13
/ 32
14
/ 32
15
/ 32
16
/ 32
17
/ 32
18
/ 32
19
/ 32
20
/ 32
21
/ 32
22
/ 32
23
/ 32
24
/ 32
25
/ 32
26
/ 32
27
/ 32
28
/ 32
29
/ 32
30
/ 32
31
/ 32
32
/ 32
More Related Content
PDF
Basics of Water Treatment 02 Filtration April 25 2012.pdf
by
mojarvinod
PDF
Filtration Water purification process.pdf
by
HoorainZaidi
PDF
Deep bed filter for water filtration in india
by
asconindia
PPT
Filtration of Water in Water Treatment.ppt
by
Vishal Chaudhari
PDF
Deep Bed Filters, State-of-the-Art and Lessons Learned [Stantec Consulting Se...
by
Midoremi1
PDF
Unit 3
by
jagadish108
PPTX
Troubules in rapid sand filters
by
Dr. M Prasad
PPTX
Water Filtration by sand filtration
by
Mir Zafarullah
Basics of Water Treatment 02 Filtration April 25 2012.pdf
by
mojarvinod
Filtration Water purification process.pdf
by
HoorainZaidi
Deep bed filter for water filtration in india
by
asconindia
Filtration of Water in Water Treatment.ppt
by
Vishal Chaudhari
Deep Bed Filters, State-of-the-Art and Lessons Learned [Stantec Consulting Se...
by
Midoremi1
Unit 3
by
jagadish108
Troubules in rapid sand filters
by
Dr. M Prasad
Water Filtration by sand filtration
by
Mir Zafarullah
Similar to Filter 2 environmental microbiology.pptx
PPTX
C-5_Filtration process of water treatment
by
TesfayTsegay3
PPTX
Filter study by vivek dwivedi
by
vivek dwivedi
PDF
Filtration unit of bachelor of pharmacy .pdf
by
Suraj803123
PPTX
Filtration ppt By Mayank Oza
by
Mayank Oza
PPTX
Designing of mechanical process such as separation process of filtration.pptx
by
salehin1907047
PPTX
486163156-Filtration-Textile-pptx.pptxnnnnnn
by
krramnathiitd
PPTX
Filtration
by
Usama Ismail
PDF
Design of a Filtration System for a Small Scale Water Treatment Plant for a R...
by
inventionjournals
PDF
Design of a Filtration System for a Small Scale Water Treatment Plant for a R...
by
inventionjournals
PPTX
#Filters
by
Nisar Arain
PPTX
FILTRATION , FILTRATION PROCESS ,
by
Bindu Kundu
PDF
Filtration
by
Dr K SUDHEER KUMAR KANDIBANDA
C-5_Filtration process of water treatment
by
TesfayTsegay3
Filter study by vivek dwivedi
by
vivek dwivedi
Filtration unit of bachelor of pharmacy .pdf
by
Suraj803123
Filtration ppt By Mayank Oza
by
Mayank Oza
Designing of mechanical process such as separation process of filtration.pptx
by
salehin1907047
486163156-Filtration-Textile-pptx.pptxnnnnnn
by
krramnathiitd
Filtration
by
Usama Ismail
Design of a Filtration System for a Small Scale Water Treatment Plant for a R...
by
inventionjournals
Design of a Filtration System for a Small Scale Water Treatment Plant for a R...
by
inventionjournals
#Filters
by
Nisar Arain
FILTRATION , FILTRATION PROCESS ,
by
Bindu Kundu
Filtration
by
Dr K SUDHEER KUMAR KANDIBANDA
More from PrashantMishra441464
PPTX
Chloride determination environmental microbiology.pptx
by
PrashantMishra441464
PPTX
fungi microbiology environmental eng.pptx
by
PrashantMishra441464
PPTX
Adsorption environmental microbiology.pptx
by
PrashantMishra441464
PPTX
prashnt environmental microbiology.pptx
by
PrashantMishra441464
PPTX
Population Dynamics microbiology env.pptx
by
PrashantMishra441464
PPTX
virus environmental bvmicrobiology.pptx
by
PrashantMishra441464
PPTX
coagulation environmental microbiology.pptx
by
PrashantMishra441464
PPTX
filter environmental microbiology .pptx
by
PrashantMishra441464
Chloride determination environmental microbiology.pptx
by
PrashantMishra441464
fungi microbiology environmental eng.pptx
by
PrashantMishra441464
Adsorption environmental microbiology.pptx
by
PrashantMishra441464
prashnt environmental microbiology.pptx
by
PrashantMishra441464
Population Dynamics microbiology env.pptx
by
PrashantMishra441464
virus environmental bvmicrobiology.pptx
by
PrashantMishra441464
coagulation environmental microbiology.pptx
by
PrashantMishra441464
filter environmental microbiology .pptx
by
PrashantMishra441464
Recently uploaded
PDF
Software Engineering : Process Model
by
GunjalSanjay
PPTX
Web Technology Overview with list of assignments along with the technology
by
YogeshDeshmukh85
PDF
Software Engineering : Process Models.
by
GunjalSanjay
PDF
1.39 inch Flexible Round AMOLED Display for Smartwatch
by
Syluxdisplay
PDF
E120A390QSR 1.2″ Round OLED Display Module 390×390 AMOLED
by
Syluxdisplay
PDF
Performance Benchmarking Strategies for AI/HPC/EdgeAI
by
Danny Jiang
PDF
Seminar topic on scaffolding and its types.pdf
by
MOTOSIFSHAIKH
PDF
22PEOIT4C_Artificial_Intelligence_UNIT_III_Notes_Final
by
Guru Nanak Technical Institutions
PDF
TU/e - 2025-2026 - Lecture Geotechnics 3 - Arkesteijn
by
Ruud Arkesteijn
PPTX
An Early Production Facility (EPF) is a modular, temporary system for rapidly...
by
DrAdelSalem1
PDF
Operating system Introduction to System Call
by
Sanjay Gunjal
PPTX
RTOS_Automatic_Room_Light_Controller_ Exp.no.1.pptx
by
Sanjivani College of Engineering, Kopargaon, Ahmednagar, Maharashtra, India
PDF
Introduction : Operating-System Services
by
Sanjay Gunjal
PPTX
uCOS_II_LED_Multitasking_Exp.no.2.pptx uCOS_II_LED_Multitasking_Exp.no.2.pptx
by
Sanjivani College of Engineering, Kopargaon, Ahmednagar, Maharashtra, India
PDF
22PEOIT4C Artificial Intelligence Unit 2 QB Final.pdf
by
Guru Nanak Technical Institutions
PPTX
1.1 Structure of Materials_Material science.pptx
by
Dr. Sandip Thorat
PDF
22PEOIT4C Artificial Intelligence Unit II notes Final.pdf
by
Guru Nanak Technical Institutions
PPTX
TEST presentation to see if I can share it with notes.
by
Fernando Benavides
PPTX
Ion exchange or demineralization to soften water.pptx
by
Chemical Engineering Dept. NIT Rourkela-769008, Odisha, India
PPTX
Diagram of Control Valves used in Industrial Fluid Power.pptx
by
SBM Polytechnic
Software Engineering : Process Model
by
GunjalSanjay
Web Technology Overview with list of assignments along with the technology
by
YogeshDeshmukh85
Software Engineering : Process Models.
by
GunjalSanjay
1.39 inch Flexible Round AMOLED Display for Smartwatch
by
Syluxdisplay
E120A390QSR 1.2″ Round OLED Display Module 390×390 AMOLED
by
Syluxdisplay
Performance Benchmarking Strategies for AI/HPC/EdgeAI
by
Danny Jiang
Seminar topic on scaffolding and its types.pdf
by
MOTOSIFSHAIKH
22PEOIT4C_Artificial_Intelligence_UNIT_III_Notes_Final
by
Guru Nanak Technical Institutions
TU/e - 2025-2026 - Lecture Geotechnics 3 - Arkesteijn
by
Ruud Arkesteijn
An Early Production Facility (EPF) is a modular, temporary system for rapidly...
by
DrAdelSalem1
Operating system Introduction to System Call
by
Sanjay Gunjal
RTOS_Automatic_Room_Light_Controller_ Exp.no.1.pptx
by
Sanjivani College of Engineering, Kopargaon, Ahmednagar, Maharashtra, India
Introduction : Operating-System Services
by
Sanjay Gunjal
uCOS_II_LED_Multitasking_Exp.no.2.pptx uCOS_II_LED_Multitasking_Exp.no.2.pptx
by
Sanjivani College of Engineering, Kopargaon, Ahmednagar, Maharashtra, India
22PEOIT4C Artificial Intelligence Unit 2 QB Final.pdf
by
Guru Nanak Technical Institutions
1.1 Structure of Materials_Material science.pptx
by
Dr. Sandip Thorat
22PEOIT4C Artificial Intelligence Unit II notes Final.pdf
by
Guru Nanak Technical Institutions
TEST presentation to see if I can share it with notes.
by
Fernando Benavides
Ion exchange or demineralization to soften water.pptx
by
Chemical Engineering Dept. NIT Rourkela-769008, Odisha, India
Diagram of Control Valves used in Industrial Fluid Power.pptx
by
SBM Polytechnic
Filter 2 environmental microbiology.pptx
1.
1
2.
2
3.
3
4.
4
5.
5
6.
TYPES OF FILTER ON
THE BASIS OF FLOW ON THE BASIS OF FILTER MEDIA PRESURE FILTER GRAVITY FILTER Single-media Filter Dual-media Filter Multi-media Filter Slow sand filter Rapid sand filter
7.
Single-media Filter These have
one type of media, usually sand or crushed anthracite coal.
8.
Dual-media filter These have
two types of media, usually crushed anthracite coal and sand.
9.
Mixed-media filter These have
three or more than three types of media, usually crushed anthracite coal, sand, and garnet
10.
SLOW SAND FILTER
11.
RAPID SAND FILTER
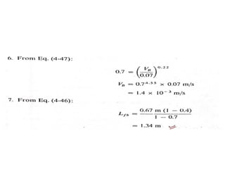
13.
S
14.
FRICTION LOSS ACROSS
A BED OF UNIFORM SIZED PARTICLES
15.
The shape factor
φ ranges from 0.75 to 0.85 for most of the filter materials.
16.
Friction loss through
bed of non-uniform, stratified particles
22.
Fluidized bed depth
32.
Brain eating organism Naegleria
fowleri
Download