Fast calibration of two-factor
models for energy options pricing
EmanueleFabbiani
Andrea Marziali
Giuseppe De Nicolao
A motivating example:
Virtual Power Plant2
Virtual Power Plant price
Calibrated models for the underlyings
Monte Carlo simulations
A motivating example:
Virtual Power Plant3
Virtual Power Plant price
Calibrated models for the underlyings
Monte Carlo simulations
A motivating example:
Virtual Power Plant4
Two issues:
➢ Model choice
➢ Model calibration
Outline
➢ Pricing options: Black formulae
➢ Models for Energy commodities
➢ Deriving the variance of linear stochastic systems
➢ Market calibration
➢ Test cases: EEX and TTF
5
The Black formulae
Suppose the underlying future behaves like a martingale – a zero-drift GBM.
6
The Black formulae
Suppose the underlying future behaves like a martingale – a zero-drift GBM. The
values of call and put European options are:
7
Mean Reversion8
Mean-reverting models
ORNSTEIN-UHLENBECK TWO-FACTOR MODEL
9
The Black formulae
Choose a different model. Let p(t) be the variance of the underlying.
10
The Lyapunov equation
Given a linear stochastic system
11
The variance of the state x is the matrix P such that:
12
From
Lyapunov to
Black
NUMERICAL SOLUTION ANALYTICAL SOLUTION
13
Numerical
and analytical
solutions
Numerical Solution Analytical Solution
Numerical vs Analytical
solutions
COMPUTATION TIME – Linear Scale COMPUTATION TIME – Log Scale
14
15
Model
calibration
Kalman filter
TWO-FACTOR MODEL
Historical Calibration Market Calibration
16
Model
evaluation
Two-factor model
57 trading days
German Electricity market (EEX) and Dutch gas market (TTF)
European options on futures
Ornstein-UhlenbeckGeometric Brownian Motion
Calibration
(~70% of listed options)
Test
(~30% of listed options)
Mean Absolute Error
17
EEX: MAE
over time
18
EEX: MAE
distribution
19
TTF: MAE
over time
20
TTF: MAE
distribution
21
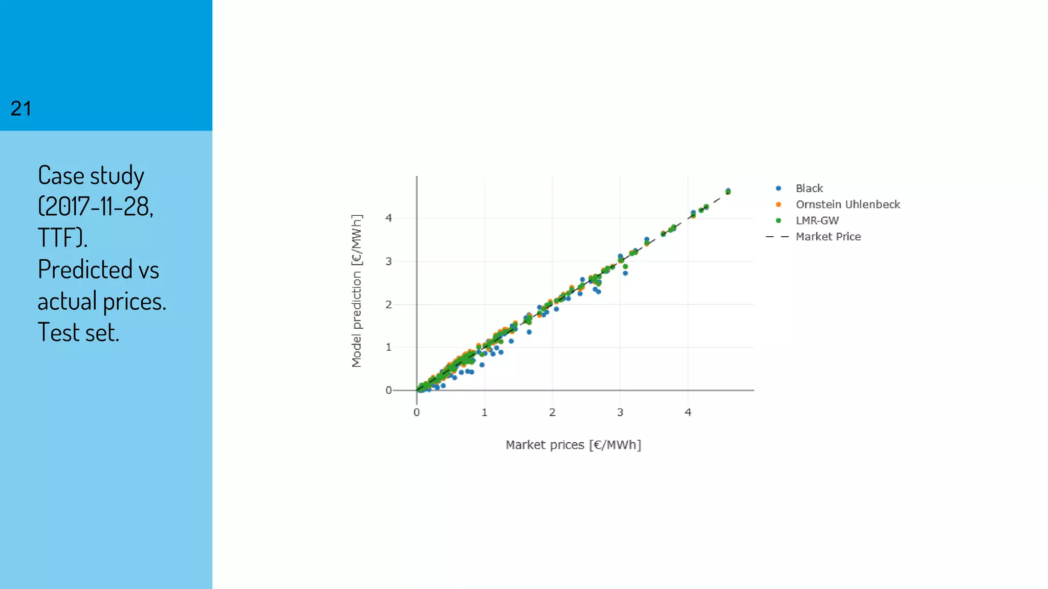
Case study
(2017-11-28,
TTF).
Predicted vs
actual prices.
Test set.
22
Case study:
predicted vs
actual
implied
volatility
23
Case study:
volatility
against
maturity
24
Case study:
Black implied
volatility
25
Case study:
Ornstein-
Uhlenback
implied
volatility
26
Case study:
LMR-GW
two-factor
model
implied
volatility
Achievements
➢ By applying Lyapunov equation, provided a computationally efficient
procedure to derive the variance of several models
➢ Compared computational efficiency of numerical and analytical solutions
of the Lyapunov equation
➢ Assessed the performances of different models in pricing listed vanilla
options
27
Future developments
➢ Test different models
➢ Include stochastic volatility
➢ Calibrate model parameters directly against market volatility
28
”
Thank you!
29

Fast calibration of two-factor models for energy option pricing