FACEBOOK
Date/Time
Post
Type Organic Reach
Reach: Fans/
Non-Fans
Post Clicks
Likes Comments Shares Link Clicks Total Engagement Engagement Rate
1/2/2015
1:16 pm
Need help with your
#NewYearsResolutions? We have a few
suggestions! Resolve to be ACTIVE. 
Status 110 90/20 1 1 0 0 0 2 2%
1/5/2015
2:46 pm
Thank you to our LCDOT snow crew,
working long hours to keep us safe!
Photo 159 128/31 6 14 1 0 0 21 14%
1/6/2015
9:01 am
Take a few minutes to pack the car
before you leave. Winter weather
safety tips:
Photo 99 75/24 5 3 0 0 0 8 6%
1/6/2015
10:29 am
"The happiest dogs are those that are
taken out frequently for walks and
exercise, but are kept inside the rest
of the time."
Photo 112 85/27 5 4 0 0 1 10 5%
1/8/2015
9:05 am
This video was called the "movie of the
winter season" by the Lake County
News-Sun. Let us take you on a
"three-minute and 14-second thrill
ride."
Link 569 163/406 28 14 2 4 20 68 6%
1/9/2015
4:20 pm
What is the one thing you always do
when WINTER WEATHER is in the
forecast? What would you add to this
list?
Photo 107 70/37 2 2 0 0 0 4 4%
1/12/2015
9:46 am
Manufacturing Job Fair, Jan. 14!
Photo 125 86/39 6 3 0 0 0 9 5%
1/12/2015
9:50 am
Take these 5 steps to prepare for your
next job! Attend this workshop series
to learn all abou the job search - laid
out for you in 5 easy steps
Link 97 63/34 7 1 0 1 0 9 3%
1/13/2015
4:55 pm
PROJECT UPDATE: Rollins Road
temporary bridge removal scheduled
for overnight Thursday, January 15.
Link 243 206/37 7 4 0 4 7 22 7%
1/15/2015
8:48 am
Happening now: 2nd annual Lake
County Leaders Summit! Leaders from
across the county are gathered this
morning to look for opportunities to
work together. Rolling out a brand new
initiative in a few minutes....
Photo 403 178/225 60 28 1 2 0 91 16%
1/15/2015
9:05 am
Behind the scenes: Just launched!
Lake County Life... We just previewed
a new video and website that
showcases what makes Lake County
special! Stay tuned…
Staus 179 135/44 35 7 0 0 0 42 15%
1/15/2015
12:29 pm
Introducing #LakeCountyLIfe. What is
Lake County Life? Well, it’s all of the
things that make Lake County, Illinois
special. It’s our natural beauty, our
schools and businesses, the active and
healthy people who live, work, and
play here, and so much more. 
http://youtu.be/TRulL_0onDM
Link 1624 464/7,032 154 129 10 21 77 391 4%
1/15/2015
1:28 pm
What makes Lake County, IL special?
Learn more about #LakeCountyLife
at http://lakecountylife.org/
Photo 118 83/35 43 15 1 11 3 73 10%
1/16/2015
3:26 pm
Pictures from the 2nd annual Lake
County Leaders Summit! Leaders from
across the county collaborated
yesterday to look for opportunities to
work together.
Photo 7 14/3 483 15 3 2 0 503 429%
1/16/2015
3:31 pm
2015 Lake County Leaders Summit
Photo 182 181/1 194 1 0 0 0 195 46%
1/16/2015
4:30 pm
2015 Lake County Leaders Summit
Photo 142 110/32 49 12 0 0 0 61 23%
1
1/19/2015
9:47 am
Lake County businesses - This is an
event you don't want to miss!
Link 130 108/22 18 5 0 4 8 35 11%
1/19/2015
1:23 pm
Dr. Martin Luther King Jr. said, “Life’s
most persistent and urgent question is:
What are you doing for others?” You
can serve your community this MLK
Day and everyday! Find volunteer
opportunities with Lake County
government. #MLKDay
Link 140 116/24 4 13 1 2 3 23 9%
1/20/2015
9:19 am
In this next installment of
our #LCTV series, Lake County Dirty
Jobs, get a behind the scenes look at
our sewer plant. Chairman Aaron
Lawlor gives our public works crew a
hand cleaning a tank full of sludge and
muck.
Link 1058 179/879 65 23 2 6 18 114 5%
1/21/2015
10:47 am
Congratulations to Lcdot - Lake
County, IL Division of Transportation!
Status 168 142/26 54 9 0 0 0 63 24%
1/21/2015
4:24 pm
Location. Location. Location. Learn
why Lake County’s location makes it
special
at www.lakecountylife.org. #LakeCoun
tyLife
Link 495 104/391 36 15 0 3 25 79 7%
1/22/2015
11:42 am
There are a ton of fun things to do in
Lake County! Here are just a few.
What are some fun things you like to
do in Lake County? #LakeCountyLife
Photo 221 79/142 44 9 0 2 0 55 8%
1/23/2015
4:13 pm
A Strong Economy, Excellent Schools
and Educated Workforce are just one
of the many things that make Lake
County special. Learn more by
watching this video and
visiting http://
www.lakecountylife.org/.#LakeCounty
Life
Link 837 86/751 25 23 4 6 21 79 6%
1/26/2015
12:51 pm
Have you checked out LCTV’s video
portal? View our complete video
archive, TV schedule, live feed and
more! http://lctv.swagit.com/
Link 66 54/12 11 5 0 0 1 17 9%
1/27/2015
8:25 am
Snow plows were out last night to
clean up the snow and ice on the
roads. Remember: Don't Crowd the
Plow! Learn why it’s important to stay
50 feet behind snow plows by watching
this video!
Link 189 69/120 7 4 0 3 6 20 7%
1/27/2015
1:03 pm
In another example of advancing
regional cooperation, Chairman Aaron
Lawlor joined elected leaders from
Cook and the collar counties, along
with the City of Chicago, to explore
ways to foster economic growth across
the region. Some strategies include
increasing exports and streamlining
truck permitting in the region. Stay
tuned for more on this topic. Lake
County is hosting the next forum later
this year.
Status 767 183/584 152 20 3 3 0 178 17%
2
1/28/2015
12:16 pm
The Lake County Sheriff’s Office
School Safety Team invited local
middle school students to participate
in a “Rookie K-9 Naming Contest”.
Contest rules require the following:
• Participating students be enrolled in
a Lake County, IL Middle School
• K-9 names must be one or two-
syllable  
• Entries must be received no later
than March 4, 2015
Winning names will be announced two
weeks following entry deadline. Photo 83 64/19 21 5 0 0 0 26 5%
1/29/2015
3:47 pm
Volunteers set out overnight to find,
count and offer shelter to the
unsheltered homeless population in
Lake County last night. A Point-In-Time
Count is conducted annually to find
out how many people are homeless in
Lake County and to learn more about
the homeless population. The County
is also assessing all sheltered homeless
people in Lake County, with an effort
to end chronic and veterans
homelessness as part of the Zero 2016
campaign. Contact our Community
Development Division for more
information about the Point-In-Time
Count and homelessness assistance.
Status 322 186/136 85 19 3 1 0 108 25%
1/30/2015
1:16 pm
Super Bowl weekend is almost here!
Have a plan to get home safely! The
Lake County IL Sheriff's Office will
conduct special patrols this weekend
focusing on drunk drivers and seat belt
violators. Full Press Release: http://
ow.ly/IeFjw
Photo 95 76/19 13 9 0 0 0 22 13%
TOTAL 8,847 2,328
2/1/2015
7:59 am
Lcdot - Lake County, IL Division of
Transportation reports that all 25 plow
trucks were out since 8 p.m. last night
clearing Lake County roads, and they
will be out all day today. The biggest
challenge is the strong wind causing
blowing snow. Remember, don't crowd
the plow! But today, it's best to just
stay home! http://youtu.be/
zKDNs_Aa3k0
Link 8584 220/8,364 679 118 34 46 249 1126 9%
2/1/2015
8:21 am
Good tip from IDOT!
Photo 102 83/19 14 1 0 0 0 15 14%
2/1/2015
12:49 pm
Thank you to the LCDOT snow plow
drivers who are working around the
clock to keep the roads safe. Here is a
view from the plow!
Status 260 177/83 84 19 0 0 0 103 25%
2/2/2015
6:40 am
Before heading out this morning,
check local road conditions at
www.LakeCountyPassage.com.  You
can also view actual pictures by
checking the snapshots in the Legend.
The Lcdot - Lake County, IL Division of
Transportation Transportation
Management Center reports no major
problems but traffic is moving slowly.
Link 1154 193/961 89 19 3 13 74 198 9%
3
2/2/2015
9:17 am
Thanks Lcdot - Lake County, IL Division
of Transportation!
Status 120 97/23 7 6 0 0 0 13 13%
2/2/2015
9:18 am Link 74 64/10 1 2 0 0 1 4 4%
2/2/2015
12:38 pm
Good job Lake County Sheriff's Office!
Status 220 179/41 32 12 0 0 0 44 22%
2/3/2015
2:57 pm
Lake County senior citizens may defer
part or all of their property taxes on
their personal residence if they qualify
for the Senior Citizens Tax Deferral
program. Applications are available at
the Lake County Treasurer’s Office,
and must be submitted to the
Treasurer’s Office by Feb. 27. For more
information about the program please
contact the Treasurer’s Office at
847.377.2323 or by visiting their
website. http://ow.ly/Irl1R
Status 267 136/131 37 4 0 5 4 50 10%
2/4/2015
8:59 am
Learn more about the Lake County
Summer Youth Program! Watch the
video below and apply now
at www.lakecountyjobcenter.com!
Link 79 62/17 14 8 2 3 1 28 13%
2/4/2015
2:53 pm
The Lake County Health Department is
working to identify and seal
abandoned water wells in Lake County.
Learn why in the latest Healthy Lake
County episode.
Link 100 82/18 2 4 1 0 0 7 7%
2/5/2015
3:51 pm
New Job Posting! Lake County is now
hiring a Part-Time Communications
Specialist to work in the County
Administrator's Office and will work
closely with the Communications team
as seen below! Apply now!http://
ow.ly/IzBeM
Photo 3234 230/3,004 540 48 14 24 103 729 13%
2/6/2015
4:04 pm
Are you interested in a career in
manufacturing? Get the skills you
need! Receive training for welding,
CNC operation and other skills for jobs
currently available with area
manufacturers. Attend an information
session on Wednesday, Feb. 11 at 1
p.m. at the Job Center of Lake County.
Photo 796 108/688 57 11 3 8 0 79 6%
2/9/2015
3:01 pm Photo 75 56/19 3 3 0 0 0 6 7%
2/10/2015
9:04 am
The Lake County Board Meeting is now
underway! Tune in live athttp://
lakecounty.tv/
Link 95 74/21 4 2 0 0 3 9 4%
2/10/2015
2:16 pm
Today the Lake County Board
recognized four Deerfield Police
Officers who were the among the very
first responders to administer the life-
saving drug Naloxone in Lake County,
saving the life of a resident who
overdosed on heroin. Chairman Lawlor
presented Deerfield Police Sergeant
Juan Mazariegos, Officers Quentin
Davie, Kasey Kuhlers, and Barry
Schwartz with proclamations for their
outstanding public service, and “A Life
Is Saved Award” on behalf of the
Executive Justice Council of Lake
County.
Photo 2309 254/2,055 225 120 3 4 0 352 14%
4
2/11/2015
12:47 pm
Our first two episodes of the Lake
County's Dirty Jobs series are
considered "Oscar Contenders" by
the Lake County News-Sun. Check out
the latest episode, as Chairman Aaron
Lawlor gives our public works crew a
hand cleaning a tank full of sludge and
muck at our sewer plant! http://
www.chicagotribune.com/…/ct-lns-
moran-lake-film-st-0…
Link 110 82/28 10 8 1 0 1 20 7%
2/12/2015
2:29 pm
Vehicles that have ZERO emissions and
use ZERO fuel! Lake County purchased
three electric vehicles for employee
use as part of the Electric Vehicle Pilot
Program.
Link 533 207/326 35 14 4 2 14 69 7% `
2/13/2015
11:06 am
The Lake County Board is meeting to
review its strategic plan which guides
the future of the county. We'll let you
know the final results in a few months!
Photo 183 152/31 51 16 1 0 0 68 19%
2/16/2015
12:50 pm
The Lake County Board recently
approved an economic incentive
package to bring Akhan Semiconductor,
Inc, a new technology company, to
Gurnee. In this video, Chairman Aaron
Lawlor interviews founder and CEO
Adam Khan, who is originally from
Gurnee. Akhan is a global leader in
diamond semiconductor technology
that aims to serve faster computers,
advanced aviation and satellite
technology, and next-generation
telecommunication needs.
Link 166 138/28 21 9 1 0 6 37 12%
2/17/2015
1:00 pm
Lake County Recorder Mary Ellen
Vanderventer announced today that
the office has implemented an
additional service for homeowners to
use to fight against identity theft and
mortgage fraud. This new 24/7 service
allows residents to sign up on the
Recorder’s website to receive an email
or text, alerting them when certain
documents have been recorded against
their name or property. Full Press
Release:
Link 1089 176/913 45 9 0 13 31 98 6%
2/18/2015
1:41 pm
Lake County Deputy Sheriff’s Officer
Amanda Fosco was recently called to a
Lake County home where she saved
the life of a resident who overdosed on
heroin. In this video, Officer Fosco
tells the story of how she used the
life-saving drug Naloxone. Over the
past several months, two lives were
saved from overdoses as a result of
this drug being in the hands of officers
in the field, along with training
provided by the Health Department.
Link 252 228/24 54 10 0 0 4 68 18%
5
2/19/2015
3:58 pm
Reminder! Lake County senior citizens
may defer part or all of their property
taxes on their personal residence if
they qualify for the Senior Citizens Tax
Deferral program. Applications are
available at the Lake County
Treasurer’s Office, and must be
submitted to the Treasurer’s Office by
Feb. 27. For more information about
the program please contact the
Treasurer’s Office at 847.377.2323 or
by visiting their website. http://ow.ly/
Irl1R
Status 195 114/81 6 5 0 2 1 14 3%
2/20/2015
12:52 pm Photo 105 80/25 15 5 0 0 1 21 10%
2/23/2015
8:48 am
On this cold day, this should cheer you
up – Only 24 days until spring, so start
planning now. Lake County has lots of
places to be active and healthy. Did
you know we rank #4 in the state for
that? www.lakecountylife.org
Link 303 160/143 5 9 0 3 5 22 13%
2/25/2015
3:17 pm
Progress has been made on Lake
County’s Strategic Plan! The plan
identifies five strategic goals related
to transportation, sustainability,
healthy communities, economic
opportunities and public safety.
Residents helped shape the plan and
wanted to stay informed on progress
being made toward these goals. In an
effort to be more accountable,
accessible and transparent, we’ve
posted our progress here. http://
www.lakecountyil.gov/StrategicPlan/
Pages/default.aspx
Link 153 120/33 6 11 0 1 6 24 4%
2/26/2015
8:20 am Photo 164 139/25 1 9 0 0 1 11 9%
2/26/2015
10:20 am
How cool is this? Behind-the-scenes
video from basic training at Naval
Station Great Lakes. This Navy base is
just one of the many places that make
Lake County special. Learn more about
all of our great attributes at
www.lakecountylife.org
Link 482 422/60 31 10 0 0 0 41 13%
2/27/2015
11:31 am
Friday Fun Fact! Did you know Lake
County has 4 Metra commuter rail lines
and 32 train stations? Learn more
about all Lake County has to offer at
www.lakecountylife.org.
#LakeCountyLife
Photo 109 84/25 10 5 0 0 1 16 9%
TOTAL 21,313 3,272
3/2/2015
10:29 am
Lake County businesses - Only two
days away! This is an event you don't
want to miss!
Link 137 112/25 7 3 0 1 7 18 9%
3/2/2015
2:42 pm
Behind the Scenes from our next Dirty
Jobs video!
Photo 211 173/38 16 17 0 0 0 33 13%
3/3/2015
8:02 am
Lcdot - Lake County, IL Division of
Transportation
www.lakecountypassage.com is
reporting a few incidents out there
this morning as snow and sleet make
the morning commute a slow one.
Chairman Aaron Lawlor is driving in a
snow plow right now for our next LCTV
Dirty Jobs show.
Photo 422 106/316 14 8 0 3 0 25 6%
3/3/2015
8:56 am
Lcdot - Lake County, IL Division of
Transportation gives a good snapshot
of what has occurred over the last 6
hours.
Photo 175 134/41 29 6 1 0 0 36 15%
6
3/4/2015
9:17 am
Happening Now: Board Chairman Aaron
Lawlor gives a County Leadership
Update to a group of 500+ business
representatives at the Big Event
hosted by Lake County Partners.
Photo 465 130/335 23 15 3 3 0 44 7%
3/5/2015
10:13 am
Join Lake County and other community
partners in addressing the issue of
child abuse and promoting positive
parenting in Lake County at the Blue
Kids Lake County Community Kick-off
Event on March 10! Hear from guest
speakers about the importance of
raising awareness of child abuse
prevention in your community, and
learn more about cyber bullying from
the Lake County State’s Attorney’s
Office Cyber Crime Division.
Photo 153 88/65 23 12 1 1 0 37 9%
3/5/2015
3:17 pm
News Release: Lake County Board
Chairman Outlines Millions of Dollars in
Savings for Governor’s Task Force to
Consider
As Governor Bruce Rauner forms a
special task force to examine
unfunded mandates imposed on local
governments, Lake County Board
Chairman Aaron Lawlor sent a list of
more than a dozen specific items for
the group to consider that would save
Lake County taxpayers millions. The
list is a result of a comprehensive
analysis of the hundreds of state
mandates imposed on county
governments. Read Full Press Release:
http://ow.ly/JZg3S
Status 772 358/414 81 22 4 7 39 153 12%
3/6/2015
1:48 pm
Behind the Scenes! Today a few Lake
County Board Members took a class to
get recertified in CPR.
Status 180 137/43 18 10 2 0 0 30 15%
3/9/2015
12:11 pm
Lake County Board Chairman Aaron
Lawlor is meeting with State of Illinois
Lieutenant Governor Evelyn
Sanguinetti to discuss his
recommendations for Governor
Rauner's special task force to examine
unfunded mandates imposed on local
governments. During the visit,
Chairman Lawlor had the opportunity
to showcase Lake County PASSAGE and
the Traffic Management Center at
LCDOT.
http://content.govdelivery.com/
acco…/ILLAKE/bulletins/f5bc85
Status 1,287 262/1,025 172 46 2 2 3 225 17%
3/9/2015
3:25 pm
Only one week left to apply for the ISA
Scholarship! Students must complete
this application and return it to the
Lake County Sheriff’s Office by March
15. http://ow.ly/K7B90
Photo 88 59/29 3 1 0 0 0 4 5%
3/10/2015
9:05 am
The Lake County Board Meeting is now
underway! Tune in live at http://
lakecounty.tv/
Link 146 107/39 5 6 0 0 4 15 8%
7
3/10/2015
11:47 am
Answer this question correctly and you
could win 2 tickets to the Volo Auto
Museum! An antique car from the Volo
Auto Museum appears in our Lake
County Life video – what’s the year
and model? Submit your answer by 12
p.m. on March 11 by messaging Lake
County, IL Government on Facebook.
This is just one of many places for
family fun in Lake County. What else
makes Lake County special?
www.lakecountylife.org.
**Only one entry per person
** Entrants must be 18 or older
** A raffle will determine the winner if
more than one person answers the
question correctly
** This promotion does not have a
connection with Facebook in any way
and is not sponsored, supported or
organized by Facebook.
Video 642 267/1,569 87 16 5 6 4 118 5%
3/11/2015
3:08 pm
Low-cost pet vaccination clinic season
kicks-off Saturday! Help yourself and
your pet by attending a low-cost
clinic.
Link 108 73/35 0 5 1 3 0 9 8%
3/11/2015
7:30 pm
We would like to thank all of you that
participated in our contest earlier. The
question was: An antique car from the
Volo Auto Museum appears in our Lake
County Life video - what's the year and
model? The correct answer was a 1933
Duesenberg. We have contacted the
winner.
This is just one of the many places for
family fun in Lake County. What else
makes Lake County special?
www.lakecountylife.org
Photo 144 104/40 13 4 0 0 0 17 10%
3/12/2015
11:50 am
At a recent economic meeting
attended by more than 500 business
and government leaders, expert
economists said Lake County has a
very positive economic outlook and
we’re positioned for continued
economic success. Watch this video of
the full presentation from the
#LCPBigEvent.
Link 423 123/300 5 7 0 1 5 18 3%
3/12/2015
4:17 pm
The IL Route 53/120 Project Finance
Committee approved
recommendations to fund the
extension of Illinois Route 53 north
into Lake County and to support
Tollway-led work to keep the project
moving forward. The committee’s
recommended financing package
includes a variety of local sources and
innovative revenue streams. The
funding recommendations will be
presented to the Illinois Tollway Board
of Directors for consideration. Read
news release. http://ow.ly/KgrV0
Status 1,827 217/1,610 222 30 10 14 48 324 12%
3/13/2015
11:40 am
Friday Fun Fact! Lake County is home
to Naval Station Great Lakes – The
Navy’s largest training facility. Learn
more about all Lake County has to
offer at www.lakecountylife.org.
Photo 111 78/33 14 3 3 0 0 20 11%
8
3/16/2015
12:05 pm
Hear the stories of military veterans
who came to terms with the
devastating effects of alcohol and
substance abuse and successfully
overcame their addictions.The free
presentation is organized by the Lake-
McHenry Veterans and Family Services
program at the Lake County Health
Department / Community Health
Center. Learn More: http://ow.ly/
KoLc6
Tonight from 6-8 p.m.
Warren-Newport Public Library, 224 N.
O'Plaine Road, Gurnee
Photo 125 88/37 7 6 0 0 0 13 9%
3/16/2015
4:10 pm
Are you traveling this spring? Make
sure your passport is up to date!
Renew your passport by sending it in
the mail to the Lake County Circuit
Clerk’s Office. http://ow.ly/KpAKu
Status 598 147/451 9 14 2 4 4 33 6%
3/17/2015
11:13 am
Watch Lake County Partners new video
on the Lake County Promise, which
debuted at the #LCPBigEvent.
Link 124 90/34 2 4 0 0 2 8 6%
3/17/2015
1:35 pm
REMINDER: Fremont Center Road
Project Open House, March 18, 5 -7
p.m.
Photo 98 60/38 2 3 0 0 0 5 7%
3/18/2015
9:59 am
New Video! In this installment of Lake
County’s dirty jobs - which takes you
behind the scenes of some of Lake
County government’s dirty and
difficult jobs - we head to Lcdot - Lake
County, IL Division of Transportation's
Heavy Duty shop where Chairman
Aaron Lawlor does some maintenance
work on a snow plow truck. Watch
now!
Link 497 153/344 35 10 1 2 28 76 9%
3/19/2015
10:48 am
Win a cool Lake County mug by telling
us how many times the word “Lake” is
said in our Lake County Life video.
Submit your answer by 11 a.m. on
March 20, 2015 by commenting on this
post. Learn about all of the things that
make Lake County special at
www.lakecountylife.org .
**Only one entry per person
** Entrants must be 18 or older
** A raffle will determine the winner if
more than one person answers the
question correctly
** This promotion does not have a
connection with Facebook in any way
and is not sponsored, supported or
organized by Facebook.
Video 492 238/986 32 9 12 3 0 56 4%
3/20/2015
11:59 am
Lake County recently submitted its
ideas to the State task force charged
with streamlining local governments,
which included a list of costly
mandates that could save Lake County
more than $2 Million annually, and
millions more in ongoing savings. Now,
residents can submit their ideas on
ways to consolidate, streamline or
eliminate duplicative governmental
bodies, school districts and taxing
authorities, and ideas on ways to
replace, revise, or repeal unfunded
mandates placed on local governments
and school districts. Submit your
comments on this website.
Link 191 159/32 29 21 0 22 16 88 13%
9
3/20/2015
2:17 pm
Chairman Aaron Lawlor and State’s
Attorney Mike Nerheim competed in
the “Race for Hunger” hosted by the
Lake County Farm Bureau today. They
collected non-perishable items that
were donated to local food pantries.
Lawlor delivered $1,349 worth of
groceries to the Libertyville Township
Food Pantry.
Photo 168 123/45 9 15 1 0 0 25 10%
3/23/2015
11:32 am
Full-time, paid summer internships will
be available within the Lake County
Circuit Clerk’s Office. The program
provides an opportunity for students to
experience working in public service
and government while learning about
the services the Circuit Clerk’s Office
provides to the community. Learn
More: http://ow.ly/KGQtL
Status 2,248 162/2,086 81 71 0 37 40 229 6%
3/24/2015
12:47 pm
See some of the recent upgrades to
the Lake County - Illinois Recorder of
Deeds Office in this virtual tour of
their newly remodeled space. Watch
Now!
Link 101 80/21 1 4 0 0 1 6 7%
3/25/2015
4:08 pm
Join Lake County in addressing the
issue of child abuse and promoting
positive parenting in Lake County at
this Blue Kids Lake County Community
Kick-off Event!
Monday, March 30, 12-1 p.m.
Lake County Courthouse, 18 N. County
Street, Waukegan.
Photo 158 87/71 4 9 0 1 0 14 8%
3/26/2015
9:05 am
It Could Happen Here: Illinois has “Hot
Spots” for Earthquakes.
McHenry County recently experienced
an earthquake with a magnitude of 2.9
that residents described as a loud bang
or rumbling that lasted a few seconds.
Know what to do during an
earthquake: Drop (to the floor); take
cover, and hold on (to the piece
furniture, like a table). http://ow.ly/
KPCMM
Photo 481 148/333 33 12 3 8 1 57 9%
3/26/2015
2:11 pm
Lake County's 2015 Construction
Program
Link 250 223/27 23 7 0 1 12 43 8%
3/27/2015
8:31 am
In Lake County, we appreciate the
dedication and commitment of the
men and women who have served in
the United States Military. In honor of
your service, we have numerous local
resources to help support you and your
families. No matter what your area of
need, you can connect with services
and programs offered at no cost.
http://ow.ly/KSyja
Link 88 78/10 0 7 0 2 0 9 11%
3/27/2015
11:56 am
Friday Fun Fact: The 3 countywide
government agencies (Lake County,
Lake County Forest Preserves, and
College of Lake County) have “Triple
A” bond rating - The HIGHEST possible.
Learn more about how we are
managing and investing wisely.
www.lakecountylife.org
Link 252 87/165 5 7 1 2 5 20 5%
10
3/30/2015
9:05 am
After serving nearly 20 years on the
county board, David Stolman was
elected to Treasurer last November. In
this edition of County Update, learn
more about the Treasurer’s Office and
Treasurer Stolman’s priorities.
Link 123 104/19 0 7 0 0 0 7 4%
3/30/2015
3:16 pm
Vote for your local library, school, park
district and municipal candidates in
the upcoming April 7 election. View a
complete list of all the candidates and
voting locations for the April 7
Consolidated Election by checking out
this Voter Information Guide. http://
ow.ly/KZU2w
Status 212 114/98 1 9 0 3 1 14 5%
3/31/2015
12:34 pm
The Chief County Assessment Office
and the Lake County Township
Assessors Association are holding
several public outreach sessions to
assist residents in completing the 2015
Senior Citizen Assessment Freeze
Application for taxes payable in 2016.
Here is a list of the outreach locations.
http://ow.ly/L2zp5
Status 152 139/13 4 3 0 0 3 10 6%
3/31/2015
3:27 pm
As the weather begins to warm up and
flowers begin to bloom, come see all
the outdoor fun that Lake County
communities have to offer. Discover a
farmer’s market, a trail to go hiking or
biking or a new event to bring the
family. Learn more about family fun
and things to do this spring in Lake
County by checking out
www.lakecountylife.org.
Status 152 105/47 18 5 0 2 2 27 11%
0
TOTAL 13,801 1,866
0
4/1/2015
10:16 am
Lake County Public Works is beginning
spring hydrant flushing. Public Works
customers may notice a slight
discoloration of the water after
flushing during the month of April. This
is not harmful and will dissipate after
a short time. It is recommended that
residents don't do laundry on the day
that hydrant flushing takes place in
their area. View the 2015 Spring
Flushing Schedule: http://ow.ly/L5dOp
Status 221 6 4 0 2 5 17
4/2/2015
11:55 am
In honor of National Child Abuse
Prevention Month, The Children's
Advocacy Center - a division of the
Lake County State's Attorney's Office -
and the 19th Judicial Circuit's Family
Violence Coordinating Council, co-
hosted the Blue Kids Lake County
Community Kick-Off event. Blue Kids
Lake County is a community
partnership focused on awareness and
prevention of child abuse.
Link 156 0 7 1 1 0 9
4/2/2015
3:06 pm
Vote for your favorite "I Love Lake
County" Song! Cool idea from Visit
Lake County, Illinois!
Photo 102 1 5 1 0 1 8
11
4/2/2015
8:04 am
Chairman Aaron Lawlor talks with Lt.
Gov. Evelyn Sanguinetti after he
presented to the State task force
charged with streamlining local
governments. Lawlor shared a list of
costly mandates that could save Lake
County more than $2 Million annually.
You can submit your ideas to the task
force here: http://www.illinois.gov/
…/localgovernmen…/Pages/
default.aspx.
Photo 222 9 10 1 0 0 20
4/3/2015
1:37 pm
Friday Fun Fact: Lake County is less
than 15 miles from O’Hare
International Airport and 40 miles from
General Mitchell International. Learn
more about what makes Lake County
special at www.lakecountylife.org.
Link 154 0 7 0 1 0 8
4/6/2015
10:36 am
Answer this question correctly and you
could win two Marriott Theatre Tickets
for any show of the 2015 Season
(excludes Wed & Sunday matinee).
Watch the Lake County Life video and
tell us the name of the musical
performance (presented at The
Marriott Theatre) with dancing sailors.
Submit your answer by 12 p.m. by April
7, 2015 by messaging Lake County, IL
Government on Facebook. This is just
one of the many places that make
Lake County special. Find out more at
www.lakecountylife.org
**Only one entry per person
** Entrants must be 18 or older
** A raffle will determine the winner if
more than one person answers the
question correctly
** This promotion does not have a
connection with Facebook in any way
and is not sponsored, supported or
organized by Facebook.
Video 2,105 249 17 12 10 9 297
0
0
0
0
0
0
0
0
0
0
0
0
0
0
0
0
0
0
0
0
0
0
0
0
0
0
12
0
0
0
0
0
0
0
0
0
0
0
0
0
0
0
0
0
0
0
0
0
0
0
0
0
0
0
0
0
0
0
0
0
0
0
0
0
0
0
0
0
0
0
0
0
0
0
0
0
0
0
0
0
0
0
0
0
0
0
0
0
0
0
0
13
0
0
0
0
0
0
0
0
0
0
0
0
0
0
0
0
0
0
0
0
0
0
0
0
0
0
0
0
0
0
0
0
0
0
0
0
0
0
0
0
0
0
0
0
0
0
0
0
0
0
0
0
0
0
0
0
0
0
0
0
0
0
0
0
14
0
0
0
0
0
0
0
0
0
0
0
0
0
0
0
0
0
0
0
0
0
0
0
0
0
0
0
0
0
0
0
0
0
0
0
0
0
0
0
0
0
0
0
0
0
0
0
0
0
0
0
0
0
0
0
0
0
0
0
0
0
0
0
0
15
0
0
0
0
0
0
0
0
0
0
0
0
0
0
0
0
0
0
0
0
0
0
0
0
0
0
0
0
0
0
0
0
0
0
0
0
0
0
0
0
0
0
0
0
0
0
0
0
0
0
0
0
0
0
0
0
0
0
0
0
0
0
0
0
16
0
0
0
0
0
0
0
0
0
0
0
0
0
0
0
0
0
0
0
0
0
0
0
0
0
0
0
0
0
0
0
0
0
0
0
0
0
0
0
0
0
0
0
0
0
0
0
0
0
0
0
0
0
0
0
0
0
0
0
0
0
0
0
0
17
0
0
0
0
0
0
0
0
0
0
0
0
0
0
0
0
0
0
0
0
0
0
0
0
0
0
0
0
0
0
0
0
0
0
0
0
0
0
0
0
0
0
0
0
0
0
0
0
0
0
0
0
0
0
0
0
0
0
0
0
0
0
0
0
18
0
0
0
0
0
0
0
0
0
0
0
0
0
0
0
0
0
0
0
0
0
0
0
0
0
0
0
0
0
0
0
0
0
0
0
0
0
0
0
0
0
0
0
0
0
0
0
0
0
0
0
0
0
0
0
0
0
0
0
0
0
0
0
0
19
0
0
0
0
0
0
0
0
0
0
0
0
0
0
0
0
0
0
0
0
0
0
0
0
0
0
0
0
0
0
0
0
0
0
0
0
0
0
0
0
0
0
0
0
0
0
0
0
0
0
0
0
0
0
0
0
0
0
0
0
0
0
0
0
20
0
0
0
0
0
0
0
0
0
0
0
0
0
0
0
0
0
0
0
0
0
0
0
0
0
0
0
0
0
0
0
0
0
0
0
0
0
0
0
0
0
0
0
0
0
0
0
0
0
0
0
0
0
0
0
0
0
0
0
0
0
0
0
0
21
0
0
0
0
0
0
0
0
0
0
0
0
0
0
0
0
0
0
0
0
0
0
0
0
0
0
0
0
0
0
0
0
0
0
0
0
0
0
0
0
0
0
0
0
0
0
0
0
0
0
0
0
0
0
0
0
0
0
0
0
0
0
0
0
22
0
0
0
0
0
0
0
0
0
0
0
0
0
0
0
0
0
0
0
0
0
0
0
0
0
0
0
0
0
0
0
0
0
0
0
0
0
0
0
0
0
0
23
Date/Time Reach: Organic Reach: Paid Sunday
Friday
1/2/2015
1:16 pm 110 8584
Monday
1/5/2015
2:46 pm 159 102
Tuesday
1/6/2015
9:01 am 99 260
Tuesday
1/6/2015
10:29 am 112
Thursday
1/8/2015
9:05 am 569
Friday
1/9/2015
4:20 pm 107
Monday
1/12/2015
9:46 am 125
Monday
1/12/2015
9:50 am 97
Tuesday
1/13/2015
4:55 pm 243
Thursday
1/15/2015
8:48 am 403
Thursday
1/15/2015
9:05 am 179
Thursday
1/15/2015
12:29 pm 1624 5872
Thursday
1/15/2015
1:28 pm 118
Friday
1/16/2015
3:26 pm 7
Friday
1/16/2015
3:31 pm 182
Friday
1/16/2015
4:30 pm 142
Monday
1/19/2015
9:47 am 130
Monday
1/19/2015
1:23 pm 140 8946
Tuesday
1/20/2015
9:19 am 1058
Wednesday
1/21/2015
10:47 am 168
Wednesday
1/21/2015
4:24 pm 495
Thursday
1/22/2015
11:42 pm 221
1
Friday
1/23/2015
4:13 pm 837
Monday
1/26/2015
12:51 pm 66
Tuesday
1/27/2015
8:25 am 189
Tuesday
1/27/2015
1:03 pm 767
Wednesday
1/28/2015
12:16 pm 83
Thursday
1/29/2015
3:47 pm 322
Friday
1/30/2015
1:16 pm 95
Sunday
2/1/2015
7:59 am 8584
Sunday
2/1/2015
8:21 am 102
Sunday
2/1/2015
12:49 pm 260
Monday
2/2/2015
6:40 am 1154
Monday
2/2/2015
9:17 am 120
Monday
2/2/2015
9:18 am 74
Monday
2/2/2015
12:38 pm 220
Tuesday
2/3/2015
2:57 pm 267
Wednesday
2/4/2015
8:59 am 79
Wednesday
2/4/2015
2:53 pm 100
Thursday
2/5/2015
3:51 pm 3234
Friday
2/6/2015
4:04 pm 796
Monday
2/9/2015
3:01 pm 75
Tuesday
2/10/2015
9:04 am 95
Tuesday
2/10/2015
2:16 pm 2309
2
Wednesday
2/11/2015
12:47 pm 110
Thursday
2/12/2015
2:29 pm 533
Friday
2/13/2015
11:06 am 183
Monday
2/16/2015
12:50 pm 166
Tuesday
2/17/2015
1:00 pm 1089
Wednesday
2/18/2015
1:41 pm 252
Thursday
2/19/2015
3:58 pm 195
Friday
2/20/2015
12:52 pm 105
Monday
2/23/2015
8:48 am 303
Wednesday
2/25/2015
3:17 pm 153
Thursday
2/26/2015
8:20 am 164
Thursday
2/26/2015
10:20 am 482
Friday
2/27/2015
11:31 am 109
Monday
3/2/2015
10:29 am 126
Monday
3/2/2015
2:42 pm 200
Tuesday
3/3/2015
8:02 am 388
Tuesday
3/3/2015
8:56 am 161
Wednesday
3/4/2015
9:17 am 442
Thursday
3/5/2015
10:13 am 123
Thursday
3/5/2015
3:17 pm 690
Friday
3/6/2015
1:48 pm 149
Monday
3/9/2015
12:11 pm 923
3
Monday
3/9/2015
3:25 pm 55
Tuesday
3/10/2015
9:05 am 107
Tuesday
3/10/2015
11:47 am 642 1194
4
Monday Tuesday Wednesday Thursday Friday
159 99 168 569 107
125 112 495 403 7
97 243 83 179 182
130 1058 79 1624 142
140 189 100 118 837
66 767 110 221 95
120 267 252 322 796
74 95 153 3234 183
220 2309 442 533 105
75 1089 195 109
166 161 164 149
303 107 482
126 642 123
200 690
923
55
2979 7138 1882 8857 2712
Reach vs. D
Thursday
27%
Wednesday
6%
5
6
7
8
Reach vs. Day of the Week
Friday
8%
Wednesday
6%
Tuesday
22%
Monday
9%
Sunday
28%
Sunday
Monday
Tuesday
Wednesday
Thursday
Friday
9
10
11
12
Monday Tuesday Wednesday Thursday Friday
137 422 465 153 180
211 175 108 772 111
1,287 146 144 423 191
88 642 497 1,827 168
125 124 158 492 88
598 98 481 252
2,248 101 250
123 152
212 152
5,029 2,012 1,372 4,398 990
March
13
14
15
16
6 am - 9 am 9 am - 12 pm
SUNDAY Sunday 7:59 AM 8584
Sunday 8:21 AM 102
8686
MONDAY Monday 6:40 AM 1154 Monday 9:46 AM 125
Monday 8:48 PM 303 Monday 9:47 AM 130
1457 Monday 9:17 AM 120
Monday 9:18 AM 74
Monday 10:29 AM 126
Monday 9:50 AM 97
672
TUESDAY Tuesday 9:01 AM 99 Tuesday 10:29 AM 112
Tuesday 8:02 AM 388 Tuesday 9:19 AM 1058
Tuesday 8:56 AM 161 Tuesday 9:04 AM 95
Tuesday 8:25 AM 189 Tuesday 9:05 AM 107
837 Tuesday 11:47 AM 642
2014
WEDNESDAY Wednesday 8:59 AM 79 Wednesday 10:47 AM 168
Wednesday 9:17 AM 442
610
THURSDAY Thursday 8:48 AM 403 Thursday 9:05 AM 569
Thursday 8:20 AM 164 Thursday 9:05 AM 179
567 Thursday 11:42 AM 221
Thursday 10:20 AM 482
Thursday 10:13 AM 123
1574
FRIDAY Friday 11:06 AM 183
Friday 11:31 AM 109
292
Friday 0 Friday 292
Thursday 567 Thursday 1574
Wednesday 79 Wednesday 610
Tuesday 837 Tuesday 2014
Monday 1457 Monday 672
Sunday 8686 Sunday 0
1
2
12 pm - 3 pm 3 pm - 6 pm
Sunday 12:49 PM 260
Monday 2:46 PM 159 Monday 3:25 PM 55
Monday 1:23 PM 140
Monday 12:51 PM 66
Monday 12:38 PM 220
Monday 3:01 PM 75
Monday 12:50 PM 166
Monday 2:42 PM 200
Monday 12:11 PM 923
1949
Tuesday 1:03 PM 767 Tuesday 4:55 PM 243
Tuesday 2:57 PM 267
Tuesday 2:16 PM 2309
Tuesday 1:00 PM 1089
4432
Wednesday 12:16 PM 83 Wednesday 4:24 PM 495
Wednesday 2:53 PM 100 Wednesday 3:17 PM 153
Wednesday 12:47 PM 110 648
Wednesday 1:41 PM 252
545
Thursday 12:29 PM 1624 Thursday 3:47 PM 322
Thursday 1:28 PM 118 Thursday 3:51 PM 3234
Thursday 2:29 PM 533 Thursday 3:58 PM 195
2275 Thursday 3:17 PM 690
4441
Friday 1:16 PM 110 Friday 3 pm - 6 pm 107
Friday 1:16 PM 95 Friday 3 pm - 6 pm 7
Friday 12:52 PM 105 Friday 3 pm - 6 pm 182
Friday 1:48 PM 149 Friday 3 pm - 6 pm 142
459 Friday 3 pm - 6 pm 837
Friday 3 pm - 6 pm 796
2071
Friday 459
Thursday 2275
Wednesday 545 Friday 2071
Tuesday 4432 Thursday 4441
Monday 1949 Wednesday 648
Sunday 260 Tuesday 243
Monday 55
3
Sunday 0
4
Reach vs. Day of Week and Time of
Sunday
Monday
Tuesday
Wednesday
Thursday
Friday
0 2250 4500
2071
4441
648
243
55
0
459
2275
545
4432
1949
260
292
1574
610
2014
672
0
0
567
79
837
1457
5
6
and Time of Day
6750 9000
8686
6 am - 9 am
9 am - 12 pm
12 pm - 3 pm
3 pm - 6 pm
7
8
Amount of Likes, Shares, and Comm
TypeofPost
Video
Status
Photo
Link
0 125 250
65
32
11
5
136
60
17
6
180
16
Likes Shares
Amount of Likes, Shares, and Commen
0
125
250
375
500
Post Type
Link Photo Status
32
65
17
60
136
180
349
478
Likes Shares
1
Likes
Link 478
Photo 349
Status 180
Video 16
s, and Comments
375 500
478
349
Comments
and Comments
Video
511 616
Comments
2
Comments Shares Likes CommentsShares
65 136 Link 478 65 136
32 60 Photo 349 32 60
11 17 Status 180 11 17
5 6 Video 16 5 6
Shares Comments Likes
Link 136 65 478
Photo 60 32 349
Status 17 11 180
Video 6 5 16
3
Photo Status
211 772
422 180
175 1,287
465 1,827
153 598
88 2,248
144 212
111 152
125 152
98
168
158
481
2,799 7,428
March
Post Type vs. Reach
2%
13%
30%
55%
Link
Photo
Status
Video
1
2
Post Type Reach
Link 18,855
Photo 10,299
Status 4,370
Video 642
Video Link
642 146
492 108
423
124
497
191
101
250
88
252
123
137
1,134 2,440
Link
Photo
Status
Video
3
4
January February
Total Reach (in thousands) 8.8 Total Reach (in thousands) 21.3
Engagement (in thousands) 2.3 Engagement (in thousands) 3.2
Page Likes 66 Page Likes 70
Total Posts 29 Total Posts 28
1
March
Total Reach (in thousands) 13.8
Engagement (in thousands) 1.9
Page Likes 28
Total Posts 36
March
Total Reach 13,801
Engagement 1,866
Page Likes 28
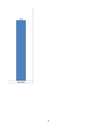
Total Posts 36
2
January
Total Reach (in thousands) Engagement (in thousands) Page Likes
66.0
2.3
8.8
1
Total Posts
29.0
2
February
Total Reach (in thousands) Engagement (in thousands) Page Likes
70.0
3.2
21.3
1
Total Posts
28.0
2
March
Total Reach (in thousands) Engagement (in thousands) Page Likes
28.0
1.9
13.8
1
Total Posts
36.0
2

Facebook Analytics

  • 1.
    FACEBOOK Date/Time Post Type Organic Reach Reach:Fans/ Non-Fans Post Clicks Likes Comments Shares Link Clicks Total Engagement Engagement Rate 1/2/2015 1:16 pm Need help with your #NewYearsResolutions? We have a few suggestions! Resolve to be ACTIVE.  Status 110 90/20 1 1 0 0 0 2 2% 1/5/2015 2:46 pm Thank you to our LCDOT snow crew, working long hours to keep us safe! Photo 159 128/31 6 14 1 0 0 21 14% 1/6/2015 9:01 am Take a few minutes to pack the car before you leave. Winter weather safety tips: Photo 99 75/24 5 3 0 0 0 8 6% 1/6/2015 10:29 am "The happiest dogs are those that are taken out frequently for walks and exercise, but are kept inside the rest of the time." Photo 112 85/27 5 4 0 0 1 10 5% 1/8/2015 9:05 am This video was called the "movie of the winter season" by the Lake County News-Sun. Let us take you on a "three-minute and 14-second thrill ride." Link 569 163/406 28 14 2 4 20 68 6% 1/9/2015 4:20 pm What is the one thing you always do when WINTER WEATHER is in the forecast? What would you add to this list? Photo 107 70/37 2 2 0 0 0 4 4% 1/12/2015 9:46 am Manufacturing Job Fair, Jan. 14! Photo 125 86/39 6 3 0 0 0 9 5% 1/12/2015 9:50 am Take these 5 steps to prepare for your next job! Attend this workshop series to learn all abou the job search - laid out for you in 5 easy steps Link 97 63/34 7 1 0 1 0 9 3% 1/13/2015 4:55 pm PROJECT UPDATE: Rollins Road temporary bridge removal scheduled for overnight Thursday, January 15. Link 243 206/37 7 4 0 4 7 22 7% 1/15/2015 8:48 am Happening now: 2nd annual Lake County Leaders Summit! Leaders from across the county are gathered this morning to look for opportunities to work together. Rolling out a brand new initiative in a few minutes.... Photo 403 178/225 60 28 1 2 0 91 16% 1/15/2015 9:05 am Behind the scenes: Just launched! Lake County Life... We just previewed a new video and website that showcases what makes Lake County special! Stay tuned… Staus 179 135/44 35 7 0 0 0 42 15% 1/15/2015 12:29 pm Introducing #LakeCountyLIfe. What is Lake County Life? Well, it’s all of the things that make Lake County, Illinois special. It’s our natural beauty, our schools and businesses, the active and healthy people who live, work, and play here, and so much more.  http://youtu.be/TRulL_0onDM Link 1624 464/7,032 154 129 10 21 77 391 4% 1/15/2015 1:28 pm What makes Lake County, IL special? Learn more about #LakeCountyLife at http://lakecountylife.org/ Photo 118 83/35 43 15 1 11 3 73 10% 1/16/2015 3:26 pm Pictures from the 2nd annual Lake County Leaders Summit! Leaders from across the county collaborated yesterday to look for opportunities to work together. Photo 7 14/3 483 15 3 2 0 503 429% 1/16/2015 3:31 pm 2015 Lake County Leaders Summit Photo 182 181/1 194 1 0 0 0 195 46% 1/16/2015 4:30 pm 2015 Lake County Leaders Summit Photo 142 110/32 49 12 0 0 0 61 23% 1
  • 2.
    1/19/2015 9:47 am Lake Countybusinesses - This is an event you don't want to miss! Link 130 108/22 18 5 0 4 8 35 11% 1/19/2015 1:23 pm Dr. Martin Luther King Jr. said, “Life’s most persistent and urgent question is: What are you doing for others?” You can serve your community this MLK Day and everyday! Find volunteer opportunities with Lake County government. #MLKDay Link 140 116/24 4 13 1 2 3 23 9% 1/20/2015 9:19 am In this next installment of our #LCTV series, Lake County Dirty Jobs, get a behind the scenes look at our sewer plant. Chairman Aaron Lawlor gives our public works crew a hand cleaning a tank full of sludge and muck. Link 1058 179/879 65 23 2 6 18 114 5% 1/21/2015 10:47 am Congratulations to Lcdot - Lake County, IL Division of Transportation! Status 168 142/26 54 9 0 0 0 63 24% 1/21/2015 4:24 pm Location. Location. Location. Learn why Lake County’s location makes it special at www.lakecountylife.org. #LakeCoun tyLife Link 495 104/391 36 15 0 3 25 79 7% 1/22/2015 11:42 am There are a ton of fun things to do in Lake County! Here are just a few. What are some fun things you like to do in Lake County? #LakeCountyLife Photo 221 79/142 44 9 0 2 0 55 8% 1/23/2015 4:13 pm A Strong Economy, Excellent Schools and Educated Workforce are just one of the many things that make Lake County special. Learn more by watching this video and visiting http:// www.lakecountylife.org/.#LakeCounty Life Link 837 86/751 25 23 4 6 21 79 6% 1/26/2015 12:51 pm Have you checked out LCTV’s video portal? View our complete video archive, TV schedule, live feed and more! http://lctv.swagit.com/ Link 66 54/12 11 5 0 0 1 17 9% 1/27/2015 8:25 am Snow plows were out last night to clean up the snow and ice on the roads. Remember: Don't Crowd the Plow! Learn why it’s important to stay 50 feet behind snow plows by watching this video! Link 189 69/120 7 4 0 3 6 20 7% 1/27/2015 1:03 pm In another example of advancing regional cooperation, Chairman Aaron Lawlor joined elected leaders from Cook and the collar counties, along with the City of Chicago, to explore ways to foster economic growth across the region. Some strategies include increasing exports and streamlining truck permitting in the region. Stay tuned for more on this topic. Lake County is hosting the next forum later this year. Status 767 183/584 152 20 3 3 0 178 17% 2
  • 3.
    1/28/2015 12:16 pm The LakeCounty Sheriff’s Office School Safety Team invited local middle school students to participate in a “Rookie K-9 Naming Contest”. Contest rules require the following: • Participating students be enrolled in a Lake County, IL Middle School • K-9 names must be one or two- syllable   • Entries must be received no later than March 4, 2015 Winning names will be announced two weeks following entry deadline. Photo 83 64/19 21 5 0 0 0 26 5% 1/29/2015 3:47 pm Volunteers set out overnight to find, count and offer shelter to the unsheltered homeless population in Lake County last night. A Point-In-Time Count is conducted annually to find out how many people are homeless in Lake County and to learn more about the homeless population. The County is also assessing all sheltered homeless people in Lake County, with an effort to end chronic and veterans homelessness as part of the Zero 2016 campaign. Contact our Community Development Division for more information about the Point-In-Time Count and homelessness assistance. Status 322 186/136 85 19 3 1 0 108 25% 1/30/2015 1:16 pm Super Bowl weekend is almost here! Have a plan to get home safely! The Lake County IL Sheriff's Office will conduct special patrols this weekend focusing on drunk drivers and seat belt violators. Full Press Release: http:// ow.ly/IeFjw Photo 95 76/19 13 9 0 0 0 22 13% TOTAL 8,847 2,328 2/1/2015 7:59 am Lcdot - Lake County, IL Division of Transportation reports that all 25 plow trucks were out since 8 p.m. last night clearing Lake County roads, and they will be out all day today. The biggest challenge is the strong wind causing blowing snow. Remember, don't crowd the plow! But today, it's best to just stay home! http://youtu.be/ zKDNs_Aa3k0 Link 8584 220/8,364 679 118 34 46 249 1126 9% 2/1/2015 8:21 am Good tip from IDOT! Photo 102 83/19 14 1 0 0 0 15 14% 2/1/2015 12:49 pm Thank you to the LCDOT snow plow drivers who are working around the clock to keep the roads safe. Here is a view from the plow! Status 260 177/83 84 19 0 0 0 103 25% 2/2/2015 6:40 am Before heading out this morning, check local road conditions at www.LakeCountyPassage.com.  You can also view actual pictures by checking the snapshots in the Legend. The Lcdot - Lake County, IL Division of Transportation Transportation Management Center reports no major problems but traffic is moving slowly. Link 1154 193/961 89 19 3 13 74 198 9% 3
  • 4.
    2/2/2015 9:17 am Thanks Lcdot- Lake County, IL Division of Transportation! Status 120 97/23 7 6 0 0 0 13 13% 2/2/2015 9:18 am Link 74 64/10 1 2 0 0 1 4 4% 2/2/2015 12:38 pm Good job Lake County Sheriff's Office! Status 220 179/41 32 12 0 0 0 44 22% 2/3/2015 2:57 pm Lake County senior citizens may defer part or all of their property taxes on their personal residence if they qualify for the Senior Citizens Tax Deferral program. Applications are available at the Lake County Treasurer’s Office, and must be submitted to the Treasurer’s Office by Feb. 27. For more information about the program please contact the Treasurer’s Office at 847.377.2323 or by visiting their website. http://ow.ly/Irl1R Status 267 136/131 37 4 0 5 4 50 10% 2/4/2015 8:59 am Learn more about the Lake County Summer Youth Program! Watch the video below and apply now at www.lakecountyjobcenter.com! Link 79 62/17 14 8 2 3 1 28 13% 2/4/2015 2:53 pm The Lake County Health Department is working to identify and seal abandoned water wells in Lake County. Learn why in the latest Healthy Lake County episode. Link 100 82/18 2 4 1 0 0 7 7% 2/5/2015 3:51 pm New Job Posting! Lake County is now hiring a Part-Time Communications Specialist to work in the County Administrator's Office and will work closely with the Communications team as seen below! Apply now!http:// ow.ly/IzBeM Photo 3234 230/3,004 540 48 14 24 103 729 13% 2/6/2015 4:04 pm Are you interested in a career in manufacturing? Get the skills you need! Receive training for welding, CNC operation and other skills for jobs currently available with area manufacturers. Attend an information session on Wednesday, Feb. 11 at 1 p.m. at the Job Center of Lake County. Photo 796 108/688 57 11 3 8 0 79 6% 2/9/2015 3:01 pm Photo 75 56/19 3 3 0 0 0 6 7% 2/10/2015 9:04 am The Lake County Board Meeting is now underway! Tune in live athttp:// lakecounty.tv/ Link 95 74/21 4 2 0 0 3 9 4% 2/10/2015 2:16 pm Today the Lake County Board recognized four Deerfield Police Officers who were the among the very first responders to administer the life- saving drug Naloxone in Lake County, saving the life of a resident who overdosed on heroin. Chairman Lawlor presented Deerfield Police Sergeant Juan Mazariegos, Officers Quentin Davie, Kasey Kuhlers, and Barry Schwartz with proclamations for their outstanding public service, and “A Life Is Saved Award” on behalf of the Executive Justice Council of Lake County. Photo 2309 254/2,055 225 120 3 4 0 352 14% 4
  • 5.
    2/11/2015 12:47 pm Our firsttwo episodes of the Lake County's Dirty Jobs series are considered "Oscar Contenders" by the Lake County News-Sun. Check out the latest episode, as Chairman Aaron Lawlor gives our public works crew a hand cleaning a tank full of sludge and muck at our sewer plant! http:// www.chicagotribune.com/…/ct-lns- moran-lake-film-st-0… Link 110 82/28 10 8 1 0 1 20 7% 2/12/2015 2:29 pm Vehicles that have ZERO emissions and use ZERO fuel! Lake County purchased three electric vehicles for employee use as part of the Electric Vehicle Pilot Program. Link 533 207/326 35 14 4 2 14 69 7% ` 2/13/2015 11:06 am The Lake County Board is meeting to review its strategic plan which guides the future of the county. We'll let you know the final results in a few months! Photo 183 152/31 51 16 1 0 0 68 19% 2/16/2015 12:50 pm The Lake County Board recently approved an economic incentive package to bring Akhan Semiconductor, Inc, a new technology company, to Gurnee. In this video, Chairman Aaron Lawlor interviews founder and CEO Adam Khan, who is originally from Gurnee. Akhan is a global leader in diamond semiconductor technology that aims to serve faster computers, advanced aviation and satellite technology, and next-generation telecommunication needs. Link 166 138/28 21 9 1 0 6 37 12% 2/17/2015 1:00 pm Lake County Recorder Mary Ellen Vanderventer announced today that the office has implemented an additional service for homeowners to use to fight against identity theft and mortgage fraud. This new 24/7 service allows residents to sign up on the Recorder’s website to receive an email or text, alerting them when certain documents have been recorded against their name or property. Full Press Release: Link 1089 176/913 45 9 0 13 31 98 6% 2/18/2015 1:41 pm Lake County Deputy Sheriff’s Officer Amanda Fosco was recently called to a Lake County home where she saved the life of a resident who overdosed on heroin. In this video, Officer Fosco tells the story of how she used the life-saving drug Naloxone. Over the past several months, two lives were saved from overdoses as a result of this drug being in the hands of officers in the field, along with training provided by the Health Department. Link 252 228/24 54 10 0 0 4 68 18% 5
  • 6.
    2/19/2015 3:58 pm Reminder! LakeCounty senior citizens may defer part or all of their property taxes on their personal residence if they qualify for the Senior Citizens Tax Deferral program. Applications are available at the Lake County Treasurer’s Office, and must be submitted to the Treasurer’s Office by Feb. 27. For more information about the program please contact the Treasurer’s Office at 847.377.2323 or by visiting their website. http://ow.ly/ Irl1R Status 195 114/81 6 5 0 2 1 14 3% 2/20/2015 12:52 pm Photo 105 80/25 15 5 0 0 1 21 10% 2/23/2015 8:48 am On this cold day, this should cheer you up – Only 24 days until spring, so start planning now. Lake County has lots of places to be active and healthy. Did you know we rank #4 in the state for that? www.lakecountylife.org Link 303 160/143 5 9 0 3 5 22 13% 2/25/2015 3:17 pm Progress has been made on Lake County’s Strategic Plan! The plan identifies five strategic goals related to transportation, sustainability, healthy communities, economic opportunities and public safety. Residents helped shape the plan and wanted to stay informed on progress being made toward these goals. In an effort to be more accountable, accessible and transparent, we’ve posted our progress here. http:// www.lakecountyil.gov/StrategicPlan/ Pages/default.aspx Link 153 120/33 6 11 0 1 6 24 4% 2/26/2015 8:20 am Photo 164 139/25 1 9 0 0 1 11 9% 2/26/2015 10:20 am How cool is this? Behind-the-scenes video from basic training at Naval Station Great Lakes. This Navy base is just one of the many places that make Lake County special. Learn more about all of our great attributes at www.lakecountylife.org Link 482 422/60 31 10 0 0 0 41 13% 2/27/2015 11:31 am Friday Fun Fact! Did you know Lake County has 4 Metra commuter rail lines and 32 train stations? Learn more about all Lake County has to offer at www.lakecountylife.org. #LakeCountyLife Photo 109 84/25 10 5 0 0 1 16 9% TOTAL 21,313 3,272 3/2/2015 10:29 am Lake County businesses - Only two days away! This is an event you don't want to miss! Link 137 112/25 7 3 0 1 7 18 9% 3/2/2015 2:42 pm Behind the Scenes from our next Dirty Jobs video! Photo 211 173/38 16 17 0 0 0 33 13% 3/3/2015 8:02 am Lcdot - Lake County, IL Division of Transportation www.lakecountypassage.com is reporting a few incidents out there this morning as snow and sleet make the morning commute a slow one. Chairman Aaron Lawlor is driving in a snow plow right now for our next LCTV Dirty Jobs show. Photo 422 106/316 14 8 0 3 0 25 6% 3/3/2015 8:56 am Lcdot - Lake County, IL Division of Transportation gives a good snapshot of what has occurred over the last 6 hours. Photo 175 134/41 29 6 1 0 0 36 15% 6
  • 7.
    3/4/2015 9:17 am Happening Now:Board Chairman Aaron Lawlor gives a County Leadership Update to a group of 500+ business representatives at the Big Event hosted by Lake County Partners. Photo 465 130/335 23 15 3 3 0 44 7% 3/5/2015 10:13 am Join Lake County and other community partners in addressing the issue of child abuse and promoting positive parenting in Lake County at the Blue Kids Lake County Community Kick-off Event on March 10! Hear from guest speakers about the importance of raising awareness of child abuse prevention in your community, and learn more about cyber bullying from the Lake County State’s Attorney’s Office Cyber Crime Division. Photo 153 88/65 23 12 1 1 0 37 9% 3/5/2015 3:17 pm News Release: Lake County Board Chairman Outlines Millions of Dollars in Savings for Governor’s Task Force to Consider As Governor Bruce Rauner forms a special task force to examine unfunded mandates imposed on local governments, Lake County Board Chairman Aaron Lawlor sent a list of more than a dozen specific items for the group to consider that would save Lake County taxpayers millions. The list is a result of a comprehensive analysis of the hundreds of state mandates imposed on county governments. Read Full Press Release: http://ow.ly/JZg3S Status 772 358/414 81 22 4 7 39 153 12% 3/6/2015 1:48 pm Behind the Scenes! Today a few Lake County Board Members took a class to get recertified in CPR. Status 180 137/43 18 10 2 0 0 30 15% 3/9/2015 12:11 pm Lake County Board Chairman Aaron Lawlor is meeting with State of Illinois Lieutenant Governor Evelyn Sanguinetti to discuss his recommendations for Governor Rauner's special task force to examine unfunded mandates imposed on local governments. During the visit, Chairman Lawlor had the opportunity to showcase Lake County PASSAGE and the Traffic Management Center at LCDOT. http://content.govdelivery.com/ acco…/ILLAKE/bulletins/f5bc85 Status 1,287 262/1,025 172 46 2 2 3 225 17% 3/9/2015 3:25 pm Only one week left to apply for the ISA Scholarship! Students must complete this application and return it to the Lake County Sheriff’s Office by March 15. http://ow.ly/K7B90 Photo 88 59/29 3 1 0 0 0 4 5% 3/10/2015 9:05 am The Lake County Board Meeting is now underway! Tune in live at http:// lakecounty.tv/ Link 146 107/39 5 6 0 0 4 15 8% 7
  • 8.
    3/10/2015 11:47 am Answer thisquestion correctly and you could win 2 tickets to the Volo Auto Museum! An antique car from the Volo Auto Museum appears in our Lake County Life video – what’s the year and model? Submit your answer by 12 p.m. on March 11 by messaging Lake County, IL Government on Facebook. This is just one of many places for family fun in Lake County. What else makes Lake County special? www.lakecountylife.org. **Only one entry per person ** Entrants must be 18 or older ** A raffle will determine the winner if more than one person answers the question correctly ** This promotion does not have a connection with Facebook in any way and is not sponsored, supported or organized by Facebook. Video 642 267/1,569 87 16 5 6 4 118 5% 3/11/2015 3:08 pm Low-cost pet vaccination clinic season kicks-off Saturday! Help yourself and your pet by attending a low-cost clinic. Link 108 73/35 0 5 1 3 0 9 8% 3/11/2015 7:30 pm We would like to thank all of you that participated in our contest earlier. The question was: An antique car from the Volo Auto Museum appears in our Lake County Life video - what's the year and model? The correct answer was a 1933 Duesenberg. We have contacted the winner. This is just one of the many places for family fun in Lake County. What else makes Lake County special? www.lakecountylife.org Photo 144 104/40 13 4 0 0 0 17 10% 3/12/2015 11:50 am At a recent economic meeting attended by more than 500 business and government leaders, expert economists said Lake County has a very positive economic outlook and we’re positioned for continued economic success. Watch this video of the full presentation from the #LCPBigEvent. Link 423 123/300 5 7 0 1 5 18 3% 3/12/2015 4:17 pm The IL Route 53/120 Project Finance Committee approved recommendations to fund the extension of Illinois Route 53 north into Lake County and to support Tollway-led work to keep the project moving forward. The committee’s recommended financing package includes a variety of local sources and innovative revenue streams. The funding recommendations will be presented to the Illinois Tollway Board of Directors for consideration. Read news release. http://ow.ly/KgrV0 Status 1,827 217/1,610 222 30 10 14 48 324 12% 3/13/2015 11:40 am Friday Fun Fact! Lake County is home to Naval Station Great Lakes – The Navy’s largest training facility. Learn more about all Lake County has to offer at www.lakecountylife.org. Photo 111 78/33 14 3 3 0 0 20 11% 8
  • 9.
    3/16/2015 12:05 pm Hear thestories of military veterans who came to terms with the devastating effects of alcohol and substance abuse and successfully overcame their addictions.The free presentation is organized by the Lake- McHenry Veterans and Family Services program at the Lake County Health Department / Community Health Center. Learn More: http://ow.ly/ KoLc6 Tonight from 6-8 p.m. Warren-Newport Public Library, 224 N. O'Plaine Road, Gurnee Photo 125 88/37 7 6 0 0 0 13 9% 3/16/2015 4:10 pm Are you traveling this spring? Make sure your passport is up to date! Renew your passport by sending it in the mail to the Lake County Circuit Clerk’s Office. http://ow.ly/KpAKu Status 598 147/451 9 14 2 4 4 33 6% 3/17/2015 11:13 am Watch Lake County Partners new video on the Lake County Promise, which debuted at the #LCPBigEvent. Link 124 90/34 2 4 0 0 2 8 6% 3/17/2015 1:35 pm REMINDER: Fremont Center Road Project Open House, March 18, 5 -7 p.m. Photo 98 60/38 2 3 0 0 0 5 7% 3/18/2015 9:59 am New Video! In this installment of Lake County’s dirty jobs - which takes you behind the scenes of some of Lake County government’s dirty and difficult jobs - we head to Lcdot - Lake County, IL Division of Transportation's Heavy Duty shop where Chairman Aaron Lawlor does some maintenance work on a snow plow truck. Watch now! Link 497 153/344 35 10 1 2 28 76 9% 3/19/2015 10:48 am Win a cool Lake County mug by telling us how many times the word “Lake” is said in our Lake County Life video. Submit your answer by 11 a.m. on March 20, 2015 by commenting on this post. Learn about all of the things that make Lake County special at www.lakecountylife.org . **Only one entry per person ** Entrants must be 18 or older ** A raffle will determine the winner if more than one person answers the question correctly ** This promotion does not have a connection with Facebook in any way and is not sponsored, supported or organized by Facebook. Video 492 238/986 32 9 12 3 0 56 4% 3/20/2015 11:59 am Lake County recently submitted its ideas to the State task force charged with streamlining local governments, which included a list of costly mandates that could save Lake County more than $2 Million annually, and millions more in ongoing savings. Now, residents can submit their ideas on ways to consolidate, streamline or eliminate duplicative governmental bodies, school districts and taxing authorities, and ideas on ways to replace, revise, or repeal unfunded mandates placed on local governments and school districts. Submit your comments on this website. Link 191 159/32 29 21 0 22 16 88 13% 9
  • 10.
    3/20/2015 2:17 pm Chairman AaronLawlor and State’s Attorney Mike Nerheim competed in the “Race for Hunger” hosted by the Lake County Farm Bureau today. They collected non-perishable items that were donated to local food pantries. Lawlor delivered $1,349 worth of groceries to the Libertyville Township Food Pantry. Photo 168 123/45 9 15 1 0 0 25 10% 3/23/2015 11:32 am Full-time, paid summer internships will be available within the Lake County Circuit Clerk’s Office. The program provides an opportunity for students to experience working in public service and government while learning about the services the Circuit Clerk’s Office provides to the community. Learn More: http://ow.ly/KGQtL Status 2,248 162/2,086 81 71 0 37 40 229 6% 3/24/2015 12:47 pm See some of the recent upgrades to the Lake County - Illinois Recorder of Deeds Office in this virtual tour of their newly remodeled space. Watch Now! Link 101 80/21 1 4 0 0 1 6 7% 3/25/2015 4:08 pm Join Lake County in addressing the issue of child abuse and promoting positive parenting in Lake County at this Blue Kids Lake County Community Kick-off Event! Monday, March 30, 12-1 p.m. Lake County Courthouse, 18 N. County Street, Waukegan. Photo 158 87/71 4 9 0 1 0 14 8% 3/26/2015 9:05 am It Could Happen Here: Illinois has “Hot Spots” for Earthquakes. McHenry County recently experienced an earthquake with a magnitude of 2.9 that residents described as a loud bang or rumbling that lasted a few seconds. Know what to do during an earthquake: Drop (to the floor); take cover, and hold on (to the piece furniture, like a table). http://ow.ly/ KPCMM Photo 481 148/333 33 12 3 8 1 57 9% 3/26/2015 2:11 pm Lake County's 2015 Construction Program Link 250 223/27 23 7 0 1 12 43 8% 3/27/2015 8:31 am In Lake County, we appreciate the dedication and commitment of the men and women who have served in the United States Military. In honor of your service, we have numerous local resources to help support you and your families. No matter what your area of need, you can connect with services and programs offered at no cost. http://ow.ly/KSyja Link 88 78/10 0 7 0 2 0 9 11% 3/27/2015 11:56 am Friday Fun Fact: The 3 countywide government agencies (Lake County, Lake County Forest Preserves, and College of Lake County) have “Triple A” bond rating - The HIGHEST possible. Learn more about how we are managing and investing wisely. www.lakecountylife.org Link 252 87/165 5 7 1 2 5 20 5% 10
  • 11.
    3/30/2015 9:05 am After servingnearly 20 years on the county board, David Stolman was elected to Treasurer last November. In this edition of County Update, learn more about the Treasurer’s Office and Treasurer Stolman’s priorities. Link 123 104/19 0 7 0 0 0 7 4% 3/30/2015 3:16 pm Vote for your local library, school, park district and municipal candidates in the upcoming April 7 election. View a complete list of all the candidates and voting locations for the April 7 Consolidated Election by checking out this Voter Information Guide. http:// ow.ly/KZU2w Status 212 114/98 1 9 0 3 1 14 5% 3/31/2015 12:34 pm The Chief County Assessment Office and the Lake County Township Assessors Association are holding several public outreach sessions to assist residents in completing the 2015 Senior Citizen Assessment Freeze Application for taxes payable in 2016. Here is a list of the outreach locations. http://ow.ly/L2zp5 Status 152 139/13 4 3 0 0 3 10 6% 3/31/2015 3:27 pm As the weather begins to warm up and flowers begin to bloom, come see all the outdoor fun that Lake County communities have to offer. Discover a farmer’s market, a trail to go hiking or biking or a new event to bring the family. Learn more about family fun and things to do this spring in Lake County by checking out www.lakecountylife.org. Status 152 105/47 18 5 0 2 2 27 11% 0 TOTAL 13,801 1,866 0 4/1/2015 10:16 am Lake County Public Works is beginning spring hydrant flushing. Public Works customers may notice a slight discoloration of the water after flushing during the month of April. This is not harmful and will dissipate after a short time. It is recommended that residents don't do laundry on the day that hydrant flushing takes place in their area. View the 2015 Spring Flushing Schedule: http://ow.ly/L5dOp Status 221 6 4 0 2 5 17 4/2/2015 11:55 am In honor of National Child Abuse Prevention Month, The Children's Advocacy Center - a division of the Lake County State's Attorney's Office - and the 19th Judicial Circuit's Family Violence Coordinating Council, co- hosted the Blue Kids Lake County Community Kick-Off event. Blue Kids Lake County is a community partnership focused on awareness and prevention of child abuse. Link 156 0 7 1 1 0 9 4/2/2015 3:06 pm Vote for your favorite "I Love Lake County" Song! Cool idea from Visit Lake County, Illinois! Photo 102 1 5 1 0 1 8 11
  • 12.
    4/2/2015 8:04 am Chairman AaronLawlor talks with Lt. Gov. Evelyn Sanguinetti after he presented to the State task force charged with streamlining local governments. Lawlor shared a list of costly mandates that could save Lake County more than $2 Million annually. You can submit your ideas to the task force here: http://www.illinois.gov/ …/localgovernmen…/Pages/ default.aspx. Photo 222 9 10 1 0 0 20 4/3/2015 1:37 pm Friday Fun Fact: Lake County is less than 15 miles from O’Hare International Airport and 40 miles from General Mitchell International. Learn more about what makes Lake County special at www.lakecountylife.org. Link 154 0 7 0 1 0 8 4/6/2015 10:36 am Answer this question correctly and you could win two Marriott Theatre Tickets for any show of the 2015 Season (excludes Wed & Sunday matinee). Watch the Lake County Life video and tell us the name of the musical performance (presented at The Marriott Theatre) with dancing sailors. Submit your answer by 12 p.m. by April 7, 2015 by messaging Lake County, IL Government on Facebook. This is just one of the many places that make Lake County special. Find out more at www.lakecountylife.org **Only one entry per person ** Entrants must be 18 or older ** A raffle will determine the winner if more than one person answers the question correctly ** This promotion does not have a connection with Facebook in any way and is not sponsored, supported or organized by Facebook. Video 2,105 249 17 12 10 9 297 0 0 0 0 0 0 0 0 0 0 0 0 0 0 0 0 0 0 0 0 0 0 0 0 0 0 12
  • 13.
  • 14.
  • 15.
  • 16.
  • 17.
  • 18.
  • 19.
  • 20.
  • 21.
  • 22.
  • 23.
  • 24.
    Date/Time Reach: OrganicReach: Paid Sunday Friday 1/2/2015 1:16 pm 110 8584 Monday 1/5/2015 2:46 pm 159 102 Tuesday 1/6/2015 9:01 am 99 260 Tuesday 1/6/2015 10:29 am 112 Thursday 1/8/2015 9:05 am 569 Friday 1/9/2015 4:20 pm 107 Monday 1/12/2015 9:46 am 125 Monday 1/12/2015 9:50 am 97 Tuesday 1/13/2015 4:55 pm 243 Thursday 1/15/2015 8:48 am 403 Thursday 1/15/2015 9:05 am 179 Thursday 1/15/2015 12:29 pm 1624 5872 Thursday 1/15/2015 1:28 pm 118 Friday 1/16/2015 3:26 pm 7 Friday 1/16/2015 3:31 pm 182 Friday 1/16/2015 4:30 pm 142 Monday 1/19/2015 9:47 am 130 Monday 1/19/2015 1:23 pm 140 8946 Tuesday 1/20/2015 9:19 am 1058 Wednesday 1/21/2015 10:47 am 168 Wednesday 1/21/2015 4:24 pm 495 Thursday 1/22/2015 11:42 pm 221 1
  • 25.
    Friday 1/23/2015 4:13 pm 837 Monday 1/26/2015 12:51pm 66 Tuesday 1/27/2015 8:25 am 189 Tuesday 1/27/2015 1:03 pm 767 Wednesday 1/28/2015 12:16 pm 83 Thursday 1/29/2015 3:47 pm 322 Friday 1/30/2015 1:16 pm 95 Sunday 2/1/2015 7:59 am 8584 Sunday 2/1/2015 8:21 am 102 Sunday 2/1/2015 12:49 pm 260 Monday 2/2/2015 6:40 am 1154 Monday 2/2/2015 9:17 am 120 Monday 2/2/2015 9:18 am 74 Monday 2/2/2015 12:38 pm 220 Tuesday 2/3/2015 2:57 pm 267 Wednesday 2/4/2015 8:59 am 79 Wednesday 2/4/2015 2:53 pm 100 Thursday 2/5/2015 3:51 pm 3234 Friday 2/6/2015 4:04 pm 796 Monday 2/9/2015 3:01 pm 75 Tuesday 2/10/2015 9:04 am 95 Tuesday 2/10/2015 2:16 pm 2309 2
  • 26.
    Wednesday 2/11/2015 12:47 pm 110 Thursday 2/12/2015 2:29pm 533 Friday 2/13/2015 11:06 am 183 Monday 2/16/2015 12:50 pm 166 Tuesday 2/17/2015 1:00 pm 1089 Wednesday 2/18/2015 1:41 pm 252 Thursday 2/19/2015 3:58 pm 195 Friday 2/20/2015 12:52 pm 105 Monday 2/23/2015 8:48 am 303 Wednesday 2/25/2015 3:17 pm 153 Thursday 2/26/2015 8:20 am 164 Thursday 2/26/2015 10:20 am 482 Friday 2/27/2015 11:31 am 109 Monday 3/2/2015 10:29 am 126 Monday 3/2/2015 2:42 pm 200 Tuesday 3/3/2015 8:02 am 388 Tuesday 3/3/2015 8:56 am 161 Wednesday 3/4/2015 9:17 am 442 Thursday 3/5/2015 10:13 am 123 Thursday 3/5/2015 3:17 pm 690 Friday 3/6/2015 1:48 pm 149 Monday 3/9/2015 12:11 pm 923 3
  • 27.
    Monday 3/9/2015 3:25 pm 55 Tuesday 3/10/2015 9:05am 107 Tuesday 3/10/2015 11:47 am 642 1194 4
  • 28.
    Monday Tuesday WednesdayThursday Friday 159 99 168 569 107 125 112 495 403 7 97 243 83 179 182 130 1058 79 1624 142 140 189 100 118 837 66 767 110 221 95 120 267 252 322 796 74 95 153 3234 183 220 2309 442 533 105 75 1089 195 109 166 161 164 149 303 107 482 126 642 123 200 690 923 55 2979 7138 1882 8857 2712 Reach vs. D Thursday 27% Wednesday 6% 5
  • 29.
  • 30.
  • 31.
  • 32.
    Reach vs. Dayof the Week Friday 8% Wednesday 6% Tuesday 22% Monday 9% Sunday 28% Sunday Monday Tuesday Wednesday Thursday Friday 9
  • 33.
  • 34.
  • 35.
  • 36.
    Monday Tuesday WednesdayThursday Friday 137 422 465 153 180 211 175 108 772 111 1,287 146 144 423 191 88 642 497 1,827 168 125 124 158 492 88 598 98 481 252 2,248 101 250 123 152 212 152 5,029 2,012 1,372 4,398 990 March 13
  • 37.
  • 38.
  • 39.
  • 40.
    6 am -9 am 9 am - 12 pm SUNDAY Sunday 7:59 AM 8584 Sunday 8:21 AM 102 8686 MONDAY Monday 6:40 AM 1154 Monday 9:46 AM 125 Monday 8:48 PM 303 Monday 9:47 AM 130 1457 Monday 9:17 AM 120 Monday 9:18 AM 74 Monday 10:29 AM 126 Monday 9:50 AM 97 672 TUESDAY Tuesday 9:01 AM 99 Tuesday 10:29 AM 112 Tuesday 8:02 AM 388 Tuesday 9:19 AM 1058 Tuesday 8:56 AM 161 Tuesday 9:04 AM 95 Tuesday 8:25 AM 189 Tuesday 9:05 AM 107 837 Tuesday 11:47 AM 642 2014 WEDNESDAY Wednesday 8:59 AM 79 Wednesday 10:47 AM 168 Wednesday 9:17 AM 442 610 THURSDAY Thursday 8:48 AM 403 Thursday 9:05 AM 569 Thursday 8:20 AM 164 Thursday 9:05 AM 179 567 Thursday 11:42 AM 221 Thursday 10:20 AM 482 Thursday 10:13 AM 123 1574 FRIDAY Friday 11:06 AM 183 Friday 11:31 AM 109 292 Friday 0 Friday 292 Thursday 567 Thursday 1574 Wednesday 79 Wednesday 610 Tuesday 837 Tuesday 2014 Monday 1457 Monday 672 Sunday 8686 Sunday 0 1
  • 41.
  • 42.
    12 pm -3 pm 3 pm - 6 pm Sunday 12:49 PM 260 Monday 2:46 PM 159 Monday 3:25 PM 55 Monday 1:23 PM 140 Monday 12:51 PM 66 Monday 12:38 PM 220 Monday 3:01 PM 75 Monday 12:50 PM 166 Monday 2:42 PM 200 Monday 12:11 PM 923 1949 Tuesday 1:03 PM 767 Tuesday 4:55 PM 243 Tuesday 2:57 PM 267 Tuesday 2:16 PM 2309 Tuesday 1:00 PM 1089 4432 Wednesday 12:16 PM 83 Wednesday 4:24 PM 495 Wednesday 2:53 PM 100 Wednesday 3:17 PM 153 Wednesday 12:47 PM 110 648 Wednesday 1:41 PM 252 545 Thursday 12:29 PM 1624 Thursday 3:47 PM 322 Thursday 1:28 PM 118 Thursday 3:51 PM 3234 Thursday 2:29 PM 533 Thursday 3:58 PM 195 2275 Thursday 3:17 PM 690 4441 Friday 1:16 PM 110 Friday 3 pm - 6 pm 107 Friday 1:16 PM 95 Friday 3 pm - 6 pm 7 Friday 12:52 PM 105 Friday 3 pm - 6 pm 182 Friday 1:48 PM 149 Friday 3 pm - 6 pm 142 459 Friday 3 pm - 6 pm 837 Friday 3 pm - 6 pm 796 2071 Friday 459 Thursday 2275 Wednesday 545 Friday 2071 Tuesday 4432 Thursday 4441 Monday 1949 Wednesday 648 Sunday 260 Tuesday 243 Monday 55 3
  • 43.
  • 44.
    Reach vs. Dayof Week and Time of Sunday Monday Tuesday Wednesday Thursday Friday 0 2250 4500 2071 4441 648 243 55 0 459 2275 545 4432 1949 260 292 1574 610 2014 672 0 0 567 79 837 1457 5
  • 45.
  • 46.
    and Time ofDay 6750 9000 8686 6 am - 9 am 9 am - 12 pm 12 pm - 3 pm 3 pm - 6 pm 7
  • 47.
  • 48.
    Amount of Likes,Shares, and Comm TypeofPost Video Status Photo Link 0 125 250 65 32 11 5 136 60 17 6 180 16 Likes Shares Amount of Likes, Shares, and Commen 0 125 250 375 500 Post Type Link Photo Status 32 65 17 60 136 180 349 478 Likes Shares 1
  • 49.
    Likes Link 478 Photo 349 Status180 Video 16 s, and Comments 375 500 478 349 Comments and Comments Video 511 616 Comments 2
  • 50.
    Comments Shares LikesCommentsShares 65 136 Link 478 65 136 32 60 Photo 349 32 60 11 17 Status 180 11 17 5 6 Video 16 5 6 Shares Comments Likes Link 136 65 478 Photo 60 32 349 Status 17 11 180 Video 6 5 16 3
  • 51.
    Photo Status 211 772 422180 175 1,287 465 1,827 153 598 88 2,248 144 212 111 152 125 152 98 168 158 481 2,799 7,428 March Post Type vs. Reach 2% 13% 30% 55% Link Photo Status Video 1
  • 52.
  • 53.
    Post Type Reach Link18,855 Photo 10,299 Status 4,370 Video 642 Video Link 642 146 492 108 423 124 497 191 101 250 88 252 123 137 1,134 2,440 Link Photo Status Video 3
  • 54.
  • 55.
    January February Total Reach(in thousands) 8.8 Total Reach (in thousands) 21.3 Engagement (in thousands) 2.3 Engagement (in thousands) 3.2 Page Likes 66 Page Likes 70 Total Posts 29 Total Posts 28 1
  • 56.
    March Total Reach (inthousands) 13.8 Engagement (in thousands) 1.9 Page Likes 28 Total Posts 36 March Total Reach 13,801 Engagement 1,866 Page Likes 28 Total Posts 36 2
  • 57.
    January Total Reach (inthousands) Engagement (in thousands) Page Likes 66.0 2.3 8.8 1
  • 58.
  • 59.
    February Total Reach (inthousands) Engagement (in thousands) Page Likes 70.0 3.2 21.3 1
  • 60.
  • 61.
    March Total Reach (inthousands) Engagement (in thousands) Page Likes 28.0 1.9 13.8 1
  • 62.