Embed presentation
Download to read offline





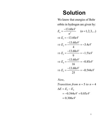
The electron can make transitions from the n=5 state to the n=3, n=2, n=1, and n=0 states in hydrogen. The energies of the radiations emitted from these transitions are 0.306 eV, 0.966 eV, 2.856 eV, and 3.56 eV, respectively. These values are calculated from the energy levels of the Bohr model for hydrogen.



