Embed presentation
Download as DOC, PPTX



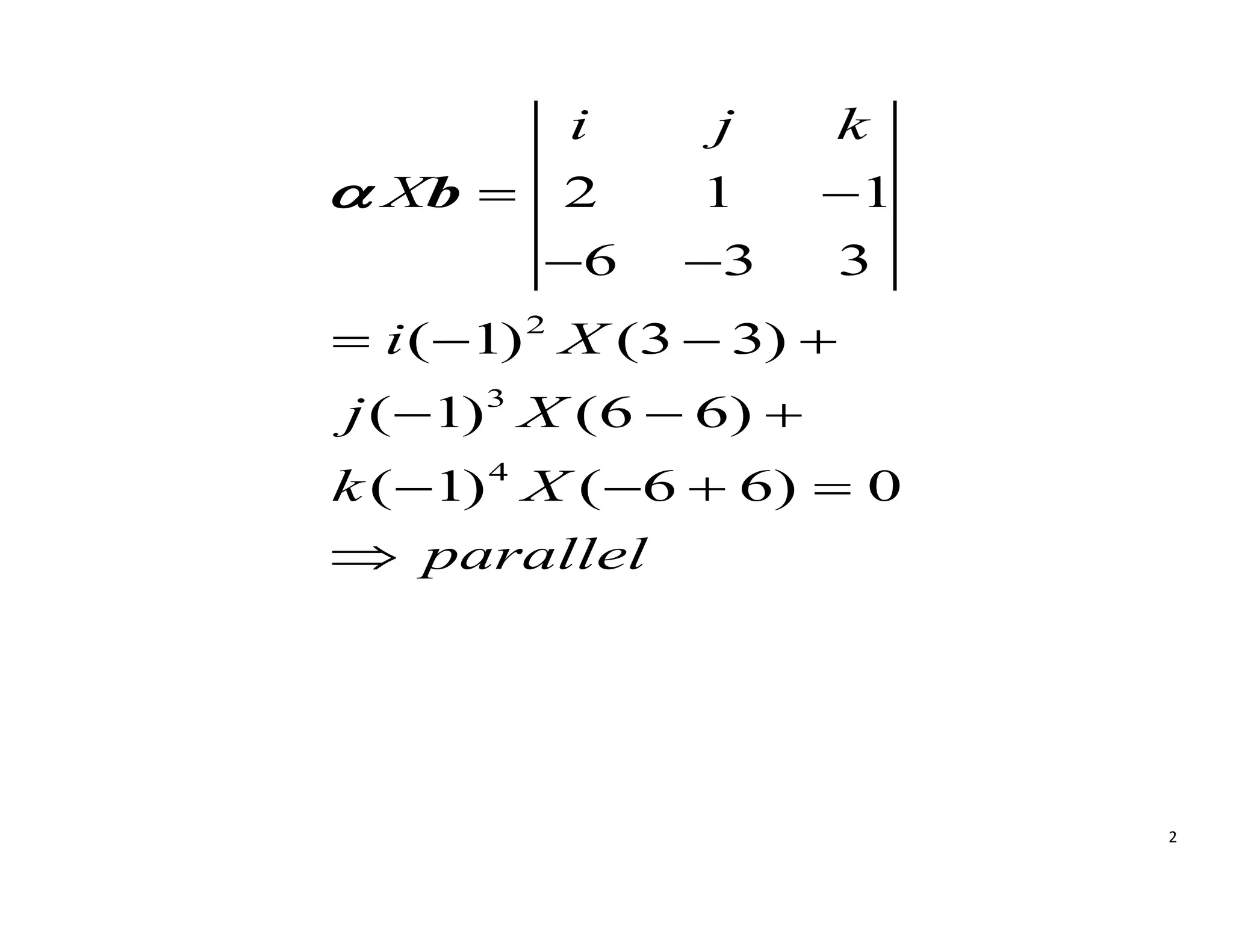
This document provides the solution to a math problem involving vectors. It shows that the vectors (1,3,3), (1,6,6), and (1,-6,-6) are parallel to each other and equal to zero when their dot products are calculated. This means the vectors are linearly dependent and span a line through the origin in three-dimensional space rather than filling out the full three-dimensional space.

