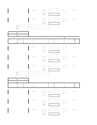
Resuelve el sistema de ecuaciones por el método de determinantes
              9                 4        X                 -                     3     Y     =
              7                 2        X                +                      3     Y     =


                        4                -3               4                3           -     2
                        2                3                                12           +     6
                                                                                      18


        x               15               -3               15               3           -     39
                        39               3                                45           +     117
                                                                           x=         162


        y               4                15               4               39           -     2
                        2                39                               156          -     30
                                                                           y=         126
                              x=              162          /       18
                              y=              126          /       18


                              x=         9
                              y=         7
              4                 8        X                +                      11    Y     =
              1               10         X                 -                     4     Y     =


                        8                11               8                -4          -     10
                        10               -4                               -32          -     110
                                                                                      -142


        x               43               11               43               -4          -     36
                        36               -4                               -172         -     396
                                                                           x=         -568


        y               8                43               8               36           -     10
                        10               36                               288          -     430
                                                                           y=         -142
                              x=              -568         /       -142
                              y=              -142         /       -142


                              x=         4
                              y=         1
              1               11         X                 -                     11    Y     =
             11                 8        X                +                      9     Y     =


                        11              -11               11               9           -     8
                        8                9                                99           +     88
                                                                                      187
x              -110             -11              -110             9           -     107
                       107               9                               -990         +     1177
                                                                          x=         187


        y               11              -110              11             107          -      8
                        8               107                              1177         +     880
                                                                          y=         2057
                              x=               187         /       187
                              y=               2057        /       187


                              x=         1
                              y=         11
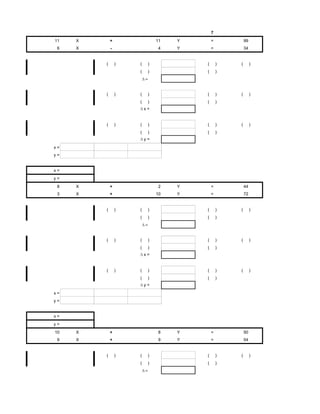
Resuelve el sistema de ecuaciones por el método de determinantes
             11               11         X                 -                    7     Y      =
              7                 9        X                 -                    11    Y      =


                        11               -7               11             -11          -      9
                        9               -11                              -121         +     63
                                                                                     -58


        x               72               -7               72             -11          -     22
                        22              -11                              -792         +     154
                                                                          x=         -638


        y               11               72               11             22           -      9
                        9                22                              242          -     648
                                                                          y=         -406
                              x=               -638        /       -58
                              y=               -406        /       -58


                              x=         11
                              y=         7
             10                 8        X                 -                    10    Y      =
              7                 6        X                 -                    2     Y      =


                        8               -10               8               -2          -      6
                        6                -2                              -16          +     60
                                                                                     44


        x               10              -10               10              -2          -     46
                        46               -2                              -20          +     460
                                                                          x=         440


        y               8                10               8              46           -      6
                        6                46                              368          -     60
                                                                          y=         308
x=              440          /       44
                              y=              308          /       44


                              x=         10
                              y=         7
              1                 3        X                +                     8     Y     =
              7                 8        X                 -                    5     Y     =


                        3                8                3               -5          -     8
                        8                -5                              -15          -     64
                                                                                     -79


        x               59               8                59              -5          -     -27
                       -27               -5                              -295         +     216
                                                                          x=         -79


        y               3                59               3              -27          -     8
                        8               -27                              -81          -     472
                                                                          y=         -553
                              x=               -79         /       -79
                              y=              -553         /       -79


                              x=         1
                              y=         7
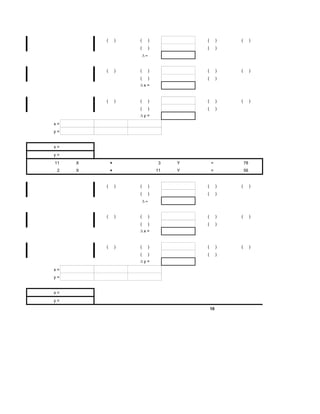
Resuelve el sistema de ecuaciones por el método de determinantes
              2                 4        X                 -                    8     Y     =
             10                 3        X                +                     2     Y     =


                        4                -8               4               2           -     3
                        3                2                                8           +     24
                                                                                     32


        x              -72               -8              -72              2           -     26
                        26               2                               -144         +     208
                                                                          x=         64


        y               4               -72               4              26           -     3
                        3                26                              104          +     216
                                                                          y=         320
                              x=               64          /       32
                              y=              320          /       32


                              x=         2
                              y=         10
              6                 4        X                +                     10    Y     =
              6               10         X                 -                    6     Y     =
4                10               4                -6         -     10
                        10               -6                               -24         -     100
                                                                                     -124


        x               84               10               84               -6         -     24
                        24               -6                               -504        -     240
                                                                           x=        -744


        y               4                84               4               24          -     10
                        10               24                               96          -     840
                                                                           y=        -744
                              x=              -744         /       -124
                              y=              -744         /       -124


                              x=         6
                              y=         6
              6                 8        X                 -                     4    Y     =
              2                 6        X                +                      2    Y     =


                        8                -4               8                2          -     6
                        6                2                                16          +     24
                                                                                     40


        x               40               -4               40               2          -     40
                        40               2                                80          +     160
                                                                           x=        240


        y               8                40               8               40          -     6
                        6                40                               320         -     240
                                                                           y=        80
                              x=              240          /       40
                              y=               80          /       40


                              x=         6
                              y=         2
Resuelve el sistema de ecuaciones por el método de determinantes
15         7        11   X           +                  11
39         2         6   X           -                  4


 -3            11        11          11           -4
               6         -4                      -44




 -3    x       99        11          99           -4
               34        -4                      -396
                                                  x=


15     y       11        99          11          34
               6         34                      374
                                                  y=
                    x=        -770   /    -110
                    y=        -220   /    -110


                    x=   7
                    y=   2
43         4         8   X           +                  2
36         6         3   X           +                  10


11             8         2           8           10
               3         10                      80




11     x       44        2           44          10
               72        10                      440
                                                  x=


43     y       8         44          8           72
               3         72                      576
                                                  y=
                    x=        296    /    74
                    y=        444    /    74


                    x=   4
                    y=   6
-110       1        10   X           +                  8
107        5         9   X           +                  9


-11            10        8           10           9
               9         9                       90
-11    x        50         8             50            9
                54         9                          450
                                                       x=


-110   y        10         50            10           54
                9          54                         540
                                                       y=
                      x=           18     /    18
                      y=           90     /    18


                      x=   1
                      y=   5


72         6           8   X             +                   7
22         11         10   X              -                  6


 -7             8          7             8             -6
                10         -6                         -48




 -7    x        125        7             125           -6
                -6         -6                         -750
                                                       x=


72     y        8          125           8             -6
                10         -6                         -48
                                                       y=
                      x=          -708    /    -118
                      y=         -1298    /    -118


                      x=   6
                      y=   11
10         5          10   X              -                  6
46         5           8   X             +                   5


-10             10         -6            10            5
                8          5                          50




-10    x        20         -6            20            5
                65         5                          100
                                                       x=


10     y        10         20            10           65
                8          65                         650
                                                       y=
x=         490     /    98
                     y=         490     /    98


                     x=   5
                     y=   5
59        11         11   X             -                 2
-27       2           5   X            +                  9


8              11         -2           11           9
               5          9                        99




8     x        117        -2           117          9
               73         9                        1053
                                                    x=


59    y        11         117          11          73
               5          73                       803
                                                    y=
                     x=         1199    /    109
                     y=         218     /    109


                     x=   11
                     y=   2


-72       3           5   X            +                  2
26        1           5   X            +                  5


-8             5          2            5            5
               5          5                        25




-8    x        17         2            17           5
               20         5                        85
                                                    x=


-72   y        5          17           5           20
               5          20                       100
                                                    y=
                     x=          45     /    15
                     y=          15     /    15


                     x=   3
                     y=   1
84        4          11   X            +                  9
24        4           5   X             -                 7
10           11        9           11           -7
             5         -7                      -77




10   x       80        9           80           -7
             -8        -7                      -560
                                                x=


84   y       11        80          11           -8
             5         -8                      -88
                                                y=
                  x=        -488   /    -122
                  y=        -488   /    -122


                  x=   4
                  y=   4
40       6        11   X           +                  3
40       4         2   X           +                  11


-4           11        3           11          11
             2         11                      121




-4   x       78        3           78          11
             56        11                      858
                                                x=


40   y       11        78          11          56
             2         56                      616
                                                y=
                  x=        690    /    115
                  y=        460    /    115


                  x=   6
                  y=   4
7          Resuelve el sistema de ecuaciones por el método de determinantes
 Y     =     99                 1                 4        X
 Y     =     34                 3                 2        X


 -     6     11
 -     66
-110


 -     34    11           x
 -     374
-770


 -     6     99           y
 -     594
-220
                                                x=
                                                y=


                                                x=
                                                y=
 Y     =     44                 1                 8        X
 Y     =     72                 1               10         X


 -     3     2
 -     6
74


 -     72    2            x
 -     144
296


 -     3     44           y
 -     132
444
                                                x=
                                                y=


                                                x=
                                                y=
 Y     =     50                 8               11         X
 Y     =     54                10                 8        X


 -     9     8
 -     72
18
-     54     8             x
  -     432
 18


  -      9     50            y
  -     450
 90
                                                   x=
                                                   y=


                                                   x=
                                                   y=
         8           Resuelve el sistema de ecuaciones por el método de determinantes
 Y       =     125                 7               11         X
 Y       =     -6                  2                 9        X


  -     10     7
  -     70
-118


  -      -6    7             x
 +      42
-708


  -     10     125           y
  -     1250
-1298
                                                   x=
                                                   y=


                                                   x=
                                                   y=
 Y       =     20                  8                 8        X
 Y       =     65                  2                 6        X


  -      8     -6
 +      48
 98


  -     65     -6            x
 +      390
490


  -      8     20            y
  -     160
490
x=
                                                 y=


                                                 x=
                                                 y=
 Y     =     117                11                 3        X
 Y     =     73                 11                 8        X


 -     5     -2
 +     10
109


 -     73    -2            x
 +     146
1199


 -     5     117           y
 -     585
218
                                                 x=
                                                 y=


                                                 x=
                                                 y=
       9           Resuelve el sistema de ecuaciones por el método de determinantes
 Y     =     17                  5                 4        X
 Y     =     20                  8                 3        X


 -     5     2
 -     10
15


 -     20    2             x
 -     40
45


 -     5     17            y
 -     85
15
                                                 x=
                                                 y=


                                                 x=
                                                 y=
 Y     =     80                  8                 4        X
 Y     =     -8                  6               10         X
-     5     9
 -     45
-122


 -     -8    9            x
 +     72
-488


 -     5     80           y
 -     400
-488
                                                x=
                                                y=


                                                x=
                                                y=
 Y     =     78                10                 8        X
 Y     =     56                 8                 6        X


 -     2     3
 -     6
115


 -     56    3            x
 -     168
690


 -     2     78           y
 -     156
460
                                                x=
                                                y=


                                                x=
                                                y=
       10         Resuelve el sistema de ecuaciones por el método de determinantes
el método de determinantes
                       -                3    Y       =           15           8
                       +                3    Y       =           39           10


                   (       )   (    )            (       )   (        )
                               (    )            (       )




                   (       )   (    )            (       )   (        )   x
                               (    )            (       )
                                   x=


                   (       )   (    )            (       )   (        )   y
                               (    )            (       )
                                   y=




                       +                11   Y       =           43           3
                       -                4    Y       =           36           3


                   (       )   (    )            (       )   (        )
                               (    )            (       )




                   (       )   (    )            (       )   (        )   x
                               (    )            (       )
                                   x=


                   (       )   (    )            (       )   (        )   y
                               (    )            (       )
                                   y=




                       -                11   Y       =       -110             10
                       +                9    Y       =       107              8


                   (       )   (    )            (       )   (        )
                               (    )            (       )
(       )   (    )            (       )   (        )   x
                               (    )            (       )
                                   x=


                   (       )   (    )            (       )   (        )   y
                               (    )            (       )
                                   y=




el método de determinantes
                       -                7    Y       =           72           1
                       -                11   Y       =           22           9


                   (       )   (    )            (       )   (        )
                               (    )            (       )




                   (       )   (    )            (       )   (        )   x
                               (    )            (       )
                                   x=


                   (       )   (    )            (       )   (        )   y
                               (    )            (       )
                                   y=




                       -                10   Y       =           10           10
                       -                2    Y       =           46           9


                   (       )   (    )            (       )   (        )
                               (    )            (       )




                   (       )   (    )            (       )   (        )   x
                               (    )            (       )
                                   x=


                   (       )   (    )            (       )   (        )   y
                               (    )            (       )
                                   y=
+                8    Y       =           59           4
                       -                5    Y       =       -27              1


                   (       )   (    )            (       )   (        )
                               (    )            (       )




                   (       )   (    )            (       )   (        )   x
                               (    )            (       )
                                   x=


                   (       )   (    )            (       )   (        )   y
                               (    )            (       )
                                   y=




el método de determinantes
                       -                8    Y       =       -72              11
                       +                2    Y       =           26           4


                   (       )   (    )            (       )   (        )
                               (    )            (       )




                   (       )   (    )            (       )   (        )   x
                               (    )            (       )
                                   x=


                   (       )   (    )            (       )   (        )   y
                               (    )            (       )
                                   y=




                       +                10   Y       =           84           10
                       -                6    Y       =           24           8
(       )   (    )           (       )   (        )
                               (    )           (       )




                   (       )   (    )           (       )   (        )   x
                               (    )           (       )
                                   x=


                   (       )   (    )           (       )   (        )   y
                               (    )           (       )
                                   y=




                       -                4   Y       =           40           3
                       +                2   Y       =           40           11


                   (       )   (    )           (       )   (        )
                               (    )           (       )




                   (       )   (    )           (       )   (        )   x
                               (    )           (       )
                                   x=


                   (       )   (    )           (       )   (        )   y
                               (    )           (       )
                                   y=




el método de determinantes
7
11   X       +                11   Y       =           99
 6   X       -                4    Y       =           34


         (       )   (    )            (       )   (        )
                     (    )            (       )




         (       )   (    )            (       )   (        )
                     (    )            (       )
                         x=


         (       )   (    )            (       )   (        )
                     (    )            (       )
                         y=
x=
y=


x=
y=
 8   X       +                2    Y       =           44
 3   X       +                10   Y       =           72


         (       )   (    )            (       )   (        )
                     (    )            (       )




         (       )   (    )            (       )   (        )
                     (    )            (       )
                         x=


         (       )   (    )            (       )   (        )
                     (    )            (       )
                         y=
x=
y=


x=
y=
10   X       +                8    Y       =           50
 9   X       +                9    Y       =           54


         (       )   (    )            (       )   (        )
                     (    )            (       )
(       )   (    )           (       )   (        )
                     (    )           (       )
                         x=


         (       )   (    )           (       )   (        )
                     (    )           (       )
                         y=
x=
y=


x=
y=
                                          8
 8   X       +                7   Y       =       125
10   X       -                6   Y       =           -6


         (       )   (    )           (       )   (        )
                     (    )           (       )




         (       )   (    )           (       )   (        )
                     (    )           (       )
                         x=


         (       )   (    )           (       )   (        )
                     (    )           (       )
                         y=
x=
y=


x=
y=
10   X       -                6   Y       =           20
 8   X       +                5   Y       =           65


         (       )   (    )           (       )   (        )
                     (    )           (       )




         (       )   (    )           (       )   (        )
                     (    )           (       )
                         x=


         (       )   (    )           (       )   (        )
                     (    )           (       )
                         y=
x=
y=


x=
y=
11   X       -                2   Y       =       117
 5   X       +                9   Y       =           73


         (       )   (    )           (       )   (        )
                     (    )           (       )




         (       )   (    )           (       )   (        )
                     (    )           (       )
                         x=


         (       )   (    )           (       )   (        )
                     (    )           (       )
                         y=
x=
y=


x=
y=
                                          9
 5   X       +                2   Y       =           17
 5   X       +                5   Y       =           20


         (       )   (    )           (       )   (        )
                     (    )           (       )




         (       )   (    )           (       )   (        )
                     (    )           (       )
                         x=


         (       )   (    )           (       )   (        )
                     (    )           (       )
                         y=
x=
y=


x=
y=
11   X       +                9   Y       =           80
 5   X       -                7   Y       =           -8
(       )   (    )            (        )   (        )
                     (    )            (        )




         (       )   (    )            (        )   (        )
                     (    )            (        )
                         x=


         (       )   (    )            (        )   (        )
                     (    )            (        )
                         y=
x=
y=


x=
y=
11   X       +                3    Y       =            78
 2   X       +                11   Y       =            56


         (       )   (    )            (        )   (        )
                     (    )            (        )




         (       )   (    )            (        )   (        )
                     (    )            (        )
                         x=


         (       )   (    )            (        )   (        )
                     (    )            (        )
                         y=
x=
y=


x=
y=
                                           10
Ejercicios diego
Ejercicios diego
Ejercicios diego
Ejercicios diego

Ejercicios diego

  • 1.
    Resuelve el sistemade ecuaciones por el método de determinantes 9 4 X - 3 Y = 7 2 X + 3 Y = 4 -3 4 3 - 2 2 3 12 + 6 18 x 15 -3 15 3 - 39 39 3 45 + 117 x= 162 y 4 15 4 39 - 2 2 39 156 - 30 y= 126 x= 162 / 18 y= 126 / 18 x= 9 y= 7 4 8 X + 11 Y = 1 10 X - 4 Y = 8 11 8 -4 - 10 10 -4 -32 - 110 -142 x 43 11 43 -4 - 36 36 -4 -172 - 396 x= -568 y 8 43 8 36 - 10 10 36 288 - 430 y= -142 x= -568 / -142 y= -142 / -142 x= 4 y= 1 1 11 X - 11 Y = 11 8 X + 9 Y = 11 -11 11 9 - 8 8 9 99 + 88 187
  • 2.
    x -110 -11 -110 9 - 107 107 9 -990 + 1177 x= 187 y 11 -110 11 107 - 8 8 107 1177 + 880 y= 2057 x= 187 / 187 y= 2057 / 187 x= 1 y= 11 Resuelve el sistema de ecuaciones por el método de determinantes 11 11 X - 7 Y = 7 9 X - 11 Y = 11 -7 11 -11 - 9 9 -11 -121 + 63 -58 x 72 -7 72 -11 - 22 22 -11 -792 + 154 x= -638 y 11 72 11 22 - 9 9 22 242 - 648 y= -406 x= -638 / -58 y= -406 / -58 x= 11 y= 7 10 8 X - 10 Y = 7 6 X - 2 Y = 8 -10 8 -2 - 6 6 -2 -16 + 60 44 x 10 -10 10 -2 - 46 46 -2 -20 + 460 x= 440 y 8 10 8 46 - 6 6 46 368 - 60 y= 308
  • 3.
    x= 440 / 44 y= 308 / 44 x= 10 y= 7 1 3 X + 8 Y = 7 8 X - 5 Y = 3 8 3 -5 - 8 8 -5 -15 - 64 -79 x 59 8 59 -5 - -27 -27 -5 -295 + 216 x= -79 y 3 59 3 -27 - 8 8 -27 -81 - 472 y= -553 x= -79 / -79 y= -553 / -79 x= 1 y= 7 Resuelve el sistema de ecuaciones por el método de determinantes 2 4 X - 8 Y = 10 3 X + 2 Y = 4 -8 4 2 - 3 3 2 8 + 24 32 x -72 -8 -72 2 - 26 26 2 -144 + 208 x= 64 y 4 -72 4 26 - 3 3 26 104 + 216 y= 320 x= 64 / 32 y= 320 / 32 x= 2 y= 10 6 4 X + 10 Y = 6 10 X - 6 Y =
  • 4.
    4 10 4 -6 - 10 10 -6 -24 - 100 -124 x 84 10 84 -6 - 24 24 -6 -504 - 240 x= -744 y 4 84 4 24 - 10 10 24 96 - 840 y= -744 x= -744 / -124 y= -744 / -124 x= 6 y= 6 6 8 X - 4 Y = 2 6 X + 2 Y = 8 -4 8 2 - 6 6 2 16 + 24 40 x 40 -4 40 2 - 40 40 2 80 + 160 x= 240 y 8 40 8 40 - 6 6 40 320 - 240 y= 80 x= 240 / 40 y= 80 / 40 x= 6 y= 2 Resuelve el sistema de ecuaciones por el método de determinantes
  • 5.
    15 7 11 X + 11 39 2 6 X - 4 -3 11 11 11 -4 6 -4 -44 -3 x 99 11 99 -4 34 -4 -396 x= 15 y 11 99 11 34 6 34 374 y= x= -770 / -110 y= -220 / -110 x= 7 y= 2 43 4 8 X + 2 36 6 3 X + 10 11 8 2 8 10 3 10 80 11 x 44 2 44 10 72 10 440 x= 43 y 8 44 8 72 3 72 576 y= x= 296 / 74 y= 444 / 74 x= 4 y= 6 -110 1 10 X + 8 107 5 9 X + 9 -11 10 8 10 9 9 9 90
  • 6.
    -11 x 50 8 50 9 54 9 450 x= -110 y 10 50 10 54 9 54 540 y= x= 18 / 18 y= 90 / 18 x= 1 y= 5 72 6 8 X + 7 22 11 10 X - 6 -7 8 7 8 -6 10 -6 -48 -7 x 125 7 125 -6 -6 -6 -750 x= 72 y 8 125 8 -6 10 -6 -48 y= x= -708 / -118 y= -1298 / -118 x= 6 y= 11 10 5 10 X - 6 46 5 8 X + 5 -10 10 -6 10 5 8 5 50 -10 x 20 -6 20 5 65 5 100 x= 10 y 10 20 10 65 8 65 650 y=
  • 7.
    x= 490 / 98 y= 490 / 98 x= 5 y= 5 59 11 11 X - 2 -27 2 5 X + 9 8 11 -2 11 9 5 9 99 8 x 117 -2 117 9 73 9 1053 x= 59 y 11 117 11 73 5 73 803 y= x= 1199 / 109 y= 218 / 109 x= 11 y= 2 -72 3 5 X + 2 26 1 5 X + 5 -8 5 2 5 5 5 5 25 -8 x 17 2 17 5 20 5 85 x= -72 y 5 17 5 20 5 20 100 y= x= 45 / 15 y= 15 / 15 x= 3 y= 1 84 4 11 X + 9 24 4 5 X - 7
  • 8.
    10 11 9 11 -7 5 -7 -77 10 x 80 9 80 -7 -8 -7 -560 x= 84 y 11 80 11 -8 5 -8 -88 y= x= -488 / -122 y= -488 / -122 x= 4 y= 4 40 6 11 X + 3 40 4 2 X + 11 -4 11 3 11 11 2 11 121 -4 x 78 3 78 11 56 11 858 x= 40 y 11 78 11 56 2 56 616 y= x= 690 / 115 y= 460 / 115 x= 6 y= 4
  • 9.
    7 Resuelve el sistema de ecuaciones por el método de determinantes Y = 99 1 4 X Y = 34 3 2 X - 6 11 - 66 -110 - 34 11 x - 374 -770 - 6 99 y - 594 -220 x= y= x= y= Y = 44 1 8 X Y = 72 1 10 X - 3 2 - 6 74 - 72 2 x - 144 296 - 3 44 y - 132 444 x= y= x= y= Y = 50 8 11 X Y = 54 10 8 X - 9 8 - 72 18
  • 10.
    - 54 8 x - 432 18 - 9 50 y - 450 90 x= y= x= y= 8 Resuelve el sistema de ecuaciones por el método de determinantes Y = 125 7 11 X Y = -6 2 9 X - 10 7 - 70 -118 - -6 7 x + 42 -708 - 10 125 y - 1250 -1298 x= y= x= y= Y = 20 8 8 X Y = 65 2 6 X - 8 -6 + 48 98 - 65 -6 x + 390 490 - 8 20 y - 160 490
  • 11.
    x= y= x= y= Y = 117 11 3 X Y = 73 11 8 X - 5 -2 + 10 109 - 73 -2 x + 146 1199 - 5 117 y - 585 218 x= y= x= y= 9 Resuelve el sistema de ecuaciones por el método de determinantes Y = 17 5 4 X Y = 20 8 3 X - 5 2 - 10 15 - 20 2 x - 40 45 - 5 17 y - 85 15 x= y= x= y= Y = 80 8 4 X Y = -8 6 10 X
  • 12.
    - 5 9 - 45 -122 - -8 9 x + 72 -488 - 5 80 y - 400 -488 x= y= x= y= Y = 78 10 8 X Y = 56 8 6 X - 2 3 - 6 115 - 56 3 x - 168 690 - 2 78 y - 156 460 x= y= x= y= 10 Resuelve el sistema de ecuaciones por el método de determinantes
  • 13.
    el método dedeterminantes - 3 Y = 15 8 + 3 Y = 39 10 ( ) ( ) ( ) ( ) ( ) ( ) ( ) ( ) ( ) ( ) x ( ) ( ) x= ( ) ( ) ( ) ( ) y ( ) ( ) y= + 11 Y = 43 3 - 4 Y = 36 3 ( ) ( ) ( ) ( ) ( ) ( ) ( ) ( ) ( ) ( ) x ( ) ( ) x= ( ) ( ) ( ) ( ) y ( ) ( ) y= - 11 Y = -110 10 + 9 Y = 107 8 ( ) ( ) ( ) ( ) ( ) ( )
  • 14.
    ( ) ( ) ( ) ( ) x ( ) ( ) x= ( ) ( ) ( ) ( ) y ( ) ( ) y= el método de determinantes - 7 Y = 72 1 - 11 Y = 22 9 ( ) ( ) ( ) ( ) ( ) ( ) ( ) ( ) ( ) ( ) x ( ) ( ) x= ( ) ( ) ( ) ( ) y ( ) ( ) y= - 10 Y = 10 10 - 2 Y = 46 9 ( ) ( ) ( ) ( ) ( ) ( ) ( ) ( ) ( ) ( ) x ( ) ( ) x= ( ) ( ) ( ) ( ) y ( ) ( ) y=
  • 15.
    + 8 Y = 59 4 - 5 Y = -27 1 ( ) ( ) ( ) ( ) ( ) ( ) ( ) ( ) ( ) ( ) x ( ) ( ) x= ( ) ( ) ( ) ( ) y ( ) ( ) y= el método de determinantes - 8 Y = -72 11 + 2 Y = 26 4 ( ) ( ) ( ) ( ) ( ) ( ) ( ) ( ) ( ) ( ) x ( ) ( ) x= ( ) ( ) ( ) ( ) y ( ) ( ) y= + 10 Y = 84 10 - 6 Y = 24 8
  • 16.
    ( ) ( ) ( ) ( ) ( ) ( ) ( ) ( ) ( ) ( ) x ( ) ( ) x= ( ) ( ) ( ) ( ) y ( ) ( ) y= - 4 Y = 40 3 + 2 Y = 40 11 ( ) ( ) ( ) ( ) ( ) ( ) ( ) ( ) ( ) ( ) x ( ) ( ) x= ( ) ( ) ( ) ( ) y ( ) ( ) y= el método de determinantes
  • 17.
    7 11 X + 11 Y = 99 6 X - 4 Y = 34 ( ) ( ) ( ) ( ) ( ) ( ) ( ) ( ) ( ) ( ) ( ) ( ) x= ( ) ( ) ( ) ( ) ( ) ( ) y= x= y= x= y= 8 X + 2 Y = 44 3 X + 10 Y = 72 ( ) ( ) ( ) ( ) ( ) ( ) ( ) ( ) ( ) ( ) ( ) ( ) x= ( ) ( ) ( ) ( ) ( ) ( ) y= x= y= x= y= 10 X + 8 Y = 50 9 X + 9 Y = 54 ( ) ( ) ( ) ( ) ( ) ( )
  • 18.
    ( ) ( ) ( ) ( ) ( ) ( ) x= ( ) ( ) ( ) ( ) ( ) ( ) y= x= y= x= y= 8 8 X + 7 Y = 125 10 X - 6 Y = -6 ( ) ( ) ( ) ( ) ( ) ( ) ( ) ( ) ( ) ( ) ( ) ( ) x= ( ) ( ) ( ) ( ) ( ) ( ) y= x= y= x= y= 10 X - 6 Y = 20 8 X + 5 Y = 65 ( ) ( ) ( ) ( ) ( ) ( ) ( ) ( ) ( ) ( ) ( ) ( ) x= ( ) ( ) ( ) ( ) ( ) ( ) y=
  • 19.
    x= y= x= y= 11 X - 2 Y = 117 5 X + 9 Y = 73 ( ) ( ) ( ) ( ) ( ) ( ) ( ) ( ) ( ) ( ) ( ) ( ) x= ( ) ( ) ( ) ( ) ( ) ( ) y= x= y= x= y= 9 5 X + 2 Y = 17 5 X + 5 Y = 20 ( ) ( ) ( ) ( ) ( ) ( ) ( ) ( ) ( ) ( ) ( ) ( ) x= ( ) ( ) ( ) ( ) ( ) ( ) y= x= y= x= y= 11 X + 9 Y = 80 5 X - 7 Y = -8
  • 20.
    ( ) ( ) ( ) ( ) ( ) ( ) ( ) ( ) ( ) ( ) ( ) ( ) x= ( ) ( ) ( ) ( ) ( ) ( ) y= x= y= x= y= 11 X + 3 Y = 78 2 X + 11 Y = 56 ( ) ( ) ( ) ( ) ( ) ( ) ( ) ( ) ( ) ( ) ( ) ( ) x= ( ) ( ) ( ) ( ) ( ) ( ) y= x= y= x= y= 10