GOVERNMENT OF KHYBER PAKHTUNKHWA
PAKHTUNKHWA HIGHWAYS AUTHORITY
PESHAWAR
UPGRADATION / REHABILITATION OF ROAD
FROM SHARIFABAD TO KANJU
S.H: UPGRADATION / REHABILITATION OF 1.0 km
ADDITIONAL LENGTH
EMERGENCY ROADS RECOVERY PROJECT (ERRP)
FOR KHYBER PAKHTUNKHWA
ADDENDUM TO
ENVIRONMENTAL IMPACT
ASSESSMENT (EIA) REPORT
DECEMBER 2012
2
TABLE OF CONTENTS
1.0 Introduction .................................................................................................................... 7
1.1 Project Overview ...................................................................................................... 7
1.2 Implementation......................................................................................................... 8
1.3 Project Classification ................................................................................................ 8
1.4 Overview of the EIA.................................................................................................. 8
2.0 Policy, Law and Protocols ............................................................................................ 11
3.0 Description of the Project ............................................................................................. 12
3.1 Location.................................................................................................................. 12
3.2 Road Length........................................................................................................... 12
3.3 Existing Road Dimensions...................................................................................... 12
3.4 Drainage Structures................................................................................................ 12
3.5 Link Roads ............................................................................................................. 12
3.6 Scope of Work........................................................................................................ 13
3.7 Length–wise Description of the Project................................................................... 13
3.8 Existing Road Condition ......................................................................................... 13
3.9 Design Criteria........................................................................................................ 14
3.10 Work and Material .................................................................................................. 14
3.10.1 Estimated Work / Major Work Items............................................................... 14
3.10.2 Materials Requirement................................................................................... 15
3.11 Raw Material Availability......................................................................................... 18
3.12 Machinery to be used ............................................................................................. 18
3.13 Equipment and Installations.................................................................................... 19
3.14 Construction Schedule............................................................................................ 19
3.15 Construction Logistics ............................................................................................ 19
3.15.1 Work Base ..................................................................................................... 19
3.15.2 Labor Supply.................................................................................................. 20
3.15.3 Labor Camps ................................................................................................. 20
3.15.4 Machinery Maintenance and Equipment Yards.............................................. 20
3.15.5 Material Depots.............................................................................................. 20
3.15.6 Machinery Repair Workshops ........................................................................ 20
3.15.7 Approach to Work Bases ............................................................................... 20
3.15.8 Petrol Pump and CNG Pump......................................................................... 21
3.15.9 Camp Offices................................................................................................. 21
3.15.10 Security Arrangements .................................................................................. 21
3.15.11 Healthcare ..................................................................................................... 21
3.15.12 Labor Reporting Office................................................................................... 21
3.15.13 Labor Transport ............................................................................................. 21
3.15.14 Work Uniform and Health Safety Equipment.................................................. 21
3.15.15 Signage ......................................................................................................... 22
3.15.16 Lighting and Illumination ................................................................................ 22
3.16 Safe Design Criteria ............................................................................................... 22
3.17 Estimated Project Cost ........................................................................................... 22
4.0 Baseline Study of Project Area..................................................................................... 23
5.0 Environmental Impact Assessment and Mitigation Measures ....................................... 24
5.1 Explanation of Impact Assessment......................................................................... 24
5.1.1 Site for Disposal of Waste Construction Material ........................................... 24
3
5.1.2 Location of Labor Camps, Material Depots, Equipment Yards and Approach
Roads ...................................................................................................................... 24
5.1.3 Contamination from Diesel and Other Oil Spills from Construction Machinery 24
5.1.4 Damage to Roads, Cross Drainages.............................................................. 25
5.1.5 Release of Construction Water and Dumping of Soil...................................... 25
5.1.6 Impact of Borrowing Material from Earth Borrow Sites ................................... 25
5.1.7 Impact on Roads/Infrastructure used for Transport of construction Materials..25
5.1.8 Impact of Stone Quarrying ............................................................................. 26
5.1.9 Impacts on Surface Water.............................................................................. 26
5.1.10 Source of Drinking Water............................................................................... 26
5.1.11 Protection of Construction Work from Floods................................................. 26
5.1.12 Effect on Surface Flow Conditions ................................................................. 27
5.1.13 Dust and gaseous Emissions from Construction Machinery or Asphalt Plants 27
5.1.14 Noise ............................................................................................................. 27
5.1.15 Impact on any Stream or Water Body ............................................................ 27
5.1.16 Damage to Fish and Fisheries ....................................................................... 28
5.1.17 Loss of Structures.......................................................................................... 28
5.1.18 Removal of Trees........................................................................................... 28
5.1.19 Temporary Land Acquisition .......................................................................... 28
5.1.20 Infrastructure within RoW............................................................................... 29
6.0 Environmental and Social Monitoring Plan (ESMP)...................................................... 30
6.1 Institutional Arrangements...................................................................................... 30
6.2 Mitigation Plans ...................................................................................................... 31
6.3 Environmental Monitoring....................................................................................... 47
4
LIST OF FIGURES
Figure ‎1.1: Project Area Location 9
Figure ‎1.2: Project Location 10
Figure ‎3.1: Pictorial View of Project Road 14
Figure ‎3.2: Typical Cross Section of Road in Built-up Area 16
Figure ‎3.3: Typical Cross Section of Road In Rural Area 17
Figure ‎6.1: organogram for implementation of EMP 31
LIST OF TABLES
Table ‎3.1: Key Project Features / Structures 12
Table ‎3.2: Main Features along the Alignment 13
Table ‎3.3: Design Criteria 14
Table ‎3.4: Estimated Work 15
Table ‎3.5: Construction Material Requirement 15
Table ‎3.6: Raw Material Availability 18
Table ‎3.7: Machinery Requirement 19
Table ‎3.8: Equipment and Installation 19
Table ‎3.9: Illustrative Distribution of Labor 20
Table ‎6.1: Environmental Impacts during Construction Phase 31
Table ‎6.2: Social Impacts 40
Table ‎6.3: Operational Phase 46
Table ‎6.4: Cost Estimates for Environmental Management 47
5
LIST OF ACRONYMS
AASHTO American Association of State Highway and Transportation Officials
ACE Associated Consulting Engineers
ACI American Concrete Institute
ADB Asian Development Bank
AIDS Acquired immune deficiency syndrome
ASTM American Society for Testing and Material
BHU Basic Health Unit
BOD Biochemical Oxygen Demand
BOQ Bill of Quantities
COD Chemical Oxygen Demand
COI Corridor of Impact
DDE Deputy Director Environment
DEMM Donors Environmental Monitoring Mission
EA Environmental Assessment
EIA Environmental Impact Assessment
EIRR Economic Internal Rate of Return
EMMP Environment Mitigation and Monitoring Plan
EMP Environment Management Plan
EPC Environmental Protection Council
ESC Environmental Supervision Consultant
FHA Frontier Highways Authority
FIDIC Fédération Internationale Des Ingénieurs-Conseils
(International Federation of Consulting Engineers)
GoKP Government of Khyber Pakhtunkhwa
GoP Government of Pakistan
HIV Human Immunodeficiency Virus
HSE Health Safety Equipment
IEE Initial Environmental Examination
IEM Independent Environmental Monitor
ISMZ Indus Suture Melange Zone
JUI Jamiat–i–Ulmai–Islam
KP Khyber Pakhtunkhwa
M&E Monitoring and Evaluation
MBT Main Boundary Thrust
MDTF Multi Donor Trust Fund
MMT Main Mantle Thrust
NCS National Conservation Strategy
NDIR Non Dispersive Infra Red
NEQs National Environment Quality Standards
NGOs Non–Government Organizations
NHA National Highway Authority
NOC No Objection Certificate
NWFP North West Frontier Province
O&M Operation and Maintenance
6
OP Operational Policy
Pak–EPA Pakistan Environment Protection Agency
PCO Public Call Office
PEPA Pakistan Environmental Protection Agency
PEPC Pakistan Environment Protection Council
PHED Public Health Engineering Department
PKR Pak Rupees
PkHA Pakhtunkhwa Highways Authority
PM Project Manager
PMC Project Management
PMAP Pakhtunkhwa Milli Awami Party
PML Pakistan Muslim League
PPC Pakistan Penal Code
PPE Personal Protective Equipment
PPP Pakistan People’s Party
PR Public Relations
PSDP Public Sector Development Project
PSQCA Pakistan Standards Quality Control Authority
PTCL Pakistan Telecommunication Limited
PTV Pakistan Television
RE Resident Engineer
RoW Right of Way
SFA Social Framework Agreement
SPM Suspended Particulate Matter
UBC Uniform Building Code
VOC Vehicle Operating Cost
WAPDA Water and Power Development Authority
WB World Bank
WHO World Health Organization
XEN Executive Engineer
7
1.0 Introduction
This document presents the Environmental Impact Assessment of the additional 1.0 km
long segment of Janwarn (Dadahara) - Dadahara Road, which runs almost parallel to
River Swat on its right bank, in Swat District of Khyber Pakhtunkhwa (KP) province of
Pakistan.
The EIA for the 10.5 km long Sharif Abad to Kanju Road of the Chakdara - Kanju Road
has already been approved by the EPA and an NOC has been issued on July 26, 2011
in this regard. Similarly NOC of the first addendum for an additional 3.00 km long
Dadahara to Sharifabad has also been issued on October 10, 2012.
Hence this document may be treated as a second addendum to the existing EIA
approved by EPA.
1.1 Project Overview
Road from Chakdara to Madyan was completely destroyed over a length of 95 km due
to activities of insurgents and counter action by Pakistan Army. Of that the World Bank
agreed to finance the upgradation and rehabilitation of a section from km-30+424 to km-
40+924, a length of 10.5 km from Sharifabad to Kanju. The design, execution and
supervision of this road have been entrusted to Pakhtunkhwa Highways Authority
(PkHA) at a cost of Rs. 680.33 Million. The 10.5 km section (from Sharif Abad to Kanju)
of the Chakdara - Kanju Road is already under up gradation and rehabilitation and 60%
of the project has been completed.
During the original survey for resettlement it was found that around 200 houses, shops,
and boundary walls etc. mostly in the towns of Kabal, Aligrama and Kanju had to be
partially/mostly damaged or demolished. However, due to non-availability of space for
relocation of houses and businesses around the mentioned towns, the rehabilitation
works have now been restricted to the construction corridor instead of the ROW as
originally planned within the urban areas so as to have minimum negative impacts on
public/private buildings and valuable assets. This decision helped in minimizing negative
impacts of road construction on one hand and savings on the other. Extensive savings
resulted in the amount earmarked for land acquisition, resettlement, allowances to the
APs and utilities shifting.
Similarly, substantial savings in the amount reserved for civil works has been achieved.
The above savings is being utilized in the upgradation and rehabilitation of additional
3.00 km length of the road and 60% of the 13.50 km long stretch has been completed.
Due to further savings in the total project cost, an additional 1.00 km long section has
been proposed for upgradation and rehabilitation which has been approved by the World
Bank.
(see location maps in Figures – 1.1 and 1.2).
8
1.2 Implementation
Sharifabad – Kanju Section of Chakdara – Madyan Road is sponsored by Government
of KP (GoKP) with the financial assistance of the World Bank (WB) through Multi Donor
Trust Fund (MDTF) and the work is in full swing.
The additional one km segment of the road from Janwarn (Dadahara) to Dadahara will
be upgraded and rehabilitated with further savings achieved in the amounts earmarked
for resettlement and civil works for Sharifabad - Kanju Road and no additional funds will
be required for up gradation and rehabilitation of this one km.
For further details, please refer to the main EIA report of Sharifabad - Kanju Road and
Addendum to the EIA for 3.00 km.
1.3 Project Classification
The project only involves up gradation and rehabilitation of an existing road along an
existing route of 1.00 km with no major changes in the Right of Way (RoW) of road in an
area with little environmental and/or social sensitivity. Therefore, the project falls in
Category “B” according to the World Bank’s Operational Policies.
1.4 Overview of the EIA
As stated earlier, the EIA for the main project of Sharif Abad to Kanju Road has already
been approved by the EPA with an NOC issued on July 26, 2011. Similarly NOC for an
additional 3.00 km long Dadahara to Sharif Abad has also been issued on October 10,
2012.
For the preparation of the mentioned documents, data was collected through field
surveys, public consultation and literature research. Consultations were also carried out
with the stakeholders. Prior to preparation of the Environment Management Plan (EMP),
Screening and scoping of the study was carried out. Women consultations were carried
out to create a gender balance.
All related regulations and protocols were also discussed in that study.
A comprehensive EMP prepared for the main project accompanied by an effective
Environment Management Monitoring Plan (EMMP) and supported by an institutional
arrangement will be used for this 1.00 km long stretch also.
The total cost of managing the environmental aspects was worked out to be Pak Rs.
0.21 Million.
The EIA and both the addendums at the end showed that potentially negative impacts
associated with the proposed project were mostly moderate and reversible in nature,
easily addressed with the help of appropriately designed and effectively implemented
mitigation measures proposed in the report.
9
Figure 1.1: Project Area Location
Figure 1.2: Project Location
MADYAN
CHAKDARA
KANJU
SHARIFABAD
MDTF Sponsored
Section
Length: 10.5 Km.
JANWARN
(DADAHAR)
A
Additional
Length: 3.0 km.Additional
Length: 1.0 km.
DADAHARA
2.0 Policy, Law and Protocols
The policy framework, national legislation and international protocols applicable to the
Sharifabad - Kanju Road are also applicable to this project. The project is expected to
comply with the national legislation relating to environment in Pakistan and to obtain all
regulatory clearances required. The project at the same time has to conform to the
operational manuals of the donor and the environmental safeguards provided therein.
OP Description Actions
(OP 4.01) Environmental Assessment None of the potential impacts of the
project are likely to be large scale,
unprecedented and/or irreversible,
the project has been classified as
Category B
An EMP has been developed for the
mitigation of negative impacts
(OP 4.12) Involuntary Resettlement The resettlement impacts of the
project will be managed in
accordance with this OP and
addendum to Resettlement Action
Plan is under preparation.
(OP 4.36) Forestry None as OP 4.36 is not triggered
(OP 4.09) Pest Management None as OP 4.09 is not relevant
(OP 4.37) Safety of Dams None as OP 4.37 is not relevant
(OP 7.50) Projects on International
Waterways
None as OP 7.50 is not relevant
(OP 4.11) Cultural Property None as OP 7.50 is not unlikely
(OP 4.10) Indigenous People None as OP 4.10 is not triggered
(OP 7.60) Projects in Disputed Areas None as OP 7.60 is not relevant
12
3.0 Description of the Project
3.1 Location
The road is located on the right bank of the River Swat in the Swat district of KP
province of Pakistan (see maps in Figures – 1.1 and 1.2).
3.2 Road Length
The 10.5 km long Sharifabad to Kanju section of road is financed by the World Bank.
The additional one km long segment will be upgraded and rehabilitated with the
assistance of savings in the main project.
3.3 Existing Road Dimensions
The existing RoW of the road is about 4.5 – 5.0 m wide. In consideration of proposed
widening of the road and envisaged protection works both for hillside and valley side
slopes, the RoW has been proposed to extend up to 12 m. However, to avoid the
resettlement issues, proposed RoW will be reduced up to the available space and even
at ribbon development areas, RoW may confined up to the existing RoW and broad
cross section will be accommodated within the available space. (Source: Inception Report for
Upgradation / Rehabilitation of Road from Chakdara to Madyan on Right Bank of Swat River).
3.4 Drainage Structures
Key structures included in the project are given in Table 3.1.
Table 3.1: Key Project Features / Structures
Feature / Structure No / Description
Culverts 5
Covered Side Drain On both sides of road in built up area
Foot Path
Covered side drain will be used as foot
path
3.5 Link Roads
No link road join the project road.
13
3.6 Scope of Work
The scope of work and proposed improvements of the selected reach under the
Rehabilitation / Upgradation of Chakdara – Madyan Road is described below:
 Provision of culverts at suitable locations has been made in the design to carry
the load of the surrounding areas.
 A retaining wall will be provided where necessary to check the erosion of
embankment by the rains or failure of the slopes due to scouring or otherwise.
 A guard rail will be provided for embankment heights greater than 3.00 m.
 No particular public facilities have been proposed except road furniture and
signage.
 Intersection of earthen/paved tracks will be improved.
3.7 Length–wise Description of the Project
Length wise description of features along the alignment is given in Table 3.2:
Table 3.2: Main Features along the Alignment
Chainage Description
1. km 26+424 - km 27+424
The terrain of area is generally flat. The
surrounding open land is used for
agriculture.
3.8 Existing Road Condition
The existing road passes through cultivated lands in plain area on the Right Bank of
River Swat. The existing road is narrow and in poor condition. This section is about 1.00
Km in length and carries a little passenger and freight traffic. Overall condition of the
road is very poor to fair. Major distress includes: Raveling, Cracking and Patching. Width
of road is about 3.5 m at most location. This section from km 26+424 to km 27+424 is
single lane and in poor condition. The pictorial view of project section is given in Figure
3.1.
14
Figure 3.1: Pictorial View of Project Road
Winding road between fields Narrow road with fields on both sides
3.9 Design Criteria
Design Criteria for horizontal and vertical alignment of project is given in Table 3.3.
Table 3.3: Design Criteria
Element / Design Parameter Unit
For Plain &
Rolling
Terrain
For Hilly
Terrain
For
Mountainous
Terrain
Design Speed km/h 80 55 40
Width of Travel Way m 7.3 7.3 7.3
Out Shoulder Width m 2.0 2.0 2.0
Inner Shoulder Width m 2.0 2.0 2.0
Cross–slope Carriageway % 2 2 2
Cross–slope Shoulders % 4 4 4
Maximum Gradient % 4 7 9
Super-elevation Run–off m 43 33 30
Source: PC-I for Upgradation / Rehabilitation of Road from Chakdara to Madyan on Right Bank of Swat
River
The typical cross sections of project road for built up area and rural area are
given in Figures 3.2 and 3.3.
3.10 Work and Material
3.10.1Estimated Work / Major Work Items
Estimated quantum of work involved in project is given in Table 3.4.
15
Table 3.4: Estimated Work
Works Quantity / Value
Road Length 1.0 km
Average Embankment Height 1.0 m
Culverts 5
3.10.2Materials Requirement
An estimate of quantities of different materials required for construction of project road is
given in Table 3.5.
Table 3.5: Construction Material Requirement
Material / Item Unit Quantity
Earth Work Excavation for Road and Structure
Works
cubic meters 9650
Formation of Embankment from Roadway
Excavation and Borrow Material
cubic meters 8764
Granular and Common Backfill for structures cubic meters 50
Granular Sub Base Course cubic meters 2000
Aggregate Base Course cubic meters 2200
Asphaltic Base course Plant Mix (Class–A) cubic meters 350
Asphaltic Concrete for Wearing Course (Class–B) cubic meters 690
Concrete cubic meters 850
Reinforcement Steel Ton 10
Figure 3.2: Typical Cross Section of Road in Built-up Area
Source: Design Drawings for Package-I, Phase-I, Sharifabad – Kanju Section of Chakdara to Madyan on Right Bank of Swat River
17
Figure 3.3: Typical Cross Section of Road In Rural Area
Source: Design Drawings for Package-I, Phase-I, Sharifabad – Kanju Section of Chakdara to Madyan on Right Bank of Swat River
3.11 Raw Material Availability
Sources of different raw materials required for construction are given in Table 3.6.
Table 3.6: Raw Material Availability
Raw Material Availability
Borrow material Along the Road
Stones for retaining walls
and rip rap.
km 29+000, km 36+500
Stone for sub-base,
aggregate base course,
asphalt courses
River Pit Run Gravel for sub-base, Dayar Shah
Crushing plant located near km 27+000, &
36+000 for aggregate base courses and
asphalt courses
Bitumen Refineries in Karachi or Rawalpindi
Asphalt Refineries in Karachi or Rawalpindi
Brick Mardan
Sand Sand of River Swat flood plain at km 24+500
Clean water for specific
uses.
Swat River Water
Other water for compaction
and sprinkling.
Seasonal nullahs crossing the road
Reinforcement Steel Nearby Market
G.I. Pipes Nearby Market
Cement Nearby factories
3.12 Machinery to be used
The machinery like graders, batching plants, asphalt mixing plants and others already
working on the project will be utilized as given in Table 3.7:
19
Table 3.7: Machinery Requirement
Machinery Quantity
Graders 1
Tractors 2
Vibratory Rollers 01
Asphalt Mixing Plants 1
Stone Crushers 1
Batching Plants 1
Water Bowsers/Sprinklers 2
Oil Tankers 1
Haulage Trucks 3
Excavators / Loaders 2
Small Vehicles 2
Dozer – D–9, D–10 2
Shift Roller 3
Asphalt Machine 1
3.13 Equipment and Installations
The equipment and installation already available on the project will be utilized as given
in Table 3.8:
Table 3.8: Equipment and Installation
Equipment / Installation Quantity
Fire Extinguishing Equipment 2
Electricity Generator 2
Water Pumping Equipment 2
Communication System 4
3.14 Construction Schedule
The construction / upgradation / rehabilitation of Sharifabad – Kanju road has
commenced in September 2011 and the work is due for completion by October 2013
with a completion time of two years. The additional length of 3+1 km will also be
completed within the completion time of the main project.
3.15 Construction Logistics
3.15.1Work Base
The work base has been setup almost in the middle.
20
3.15.2 Labor Supply
The contractor is contractually bound to employ maximum local people except for jobs
the local expertise is not available. The Table 3.9 gives an illustrative picture of the labor
employment.
Table 3.9: Illustrative Distribution of Labor
Type of Labor Local Non–local Total
Skilled 40 60 100%
Semiskilled 50 50 100%
Unskilled 100 0 100%
By and large the daily wage rates fixed by the local commissioner will be used.
3.15.3 Labor Camps
Labor camp is located in Kabal Township on Sharifabad – Kanju Road. Although a
majority of the labor force come from local sources, they get picked up and dropped by
contractor transport. Some unskilled, most semiskilled and skilled workers may have to
be brought in by contractor from far off towns who lives in camps. Due to its location
near the work base, the camp makes the work access easy to the camp dwellers.
3.15.4 Machinery Maintenance and Equipment Yards
The machinery and equipment has been accommodated in the open yard available near
a petrol pump in km 33+000. The yard has enough storage and haulage space with
ample moving and working space. The yard is walled provided with ample security staff.
3.15.5 Material Depots
Near the work base, material depots for storing construction material with ample open
space for storing stones shingles and bricks have been established. Store keepers to
keep account of incoming and outgoing material have been deputed on these sites.
3.15.6 Machinery Repair Workshops
The contactor has established his own workshop for repair of vehicles and other similar
machinery at the Maintenance and Equipment Yards.
3.15.7 Approach to Work Bases
Since, the work base has been established close to the road under construction, so
already existing road provide easy access to the work base. Ample government land is
available on either side for the project road which is used for making supplementary
access road and paths to the work base.
21
3.15.8 Petrol Pump and CNG Pump
The machinery and equipment has been accommodated in the open yard available near
a petrol pump in km 33+000 which also helps in avoiding any delay in construction work
due to non-availability of diesel for his construction Machinery.
3.15.9 Camp Offices
Adjacent to labor camp and adjacent to work base, the contractor has located camp
offices in Kabal Township on Sharifabad – Kanju Road.
3.15.10 Security Arrangements
Given the prevailing condition in the area where project is to be implemented, necessary
security staff is essential. Enough security is provided at Work Base, Labor Camp,
Material Store, Equipment Yards and location of the work in progress on the work site.
Coordination with nearby Police, Army and Levy Units has also been ensured.
3.15.11 Healthcare
With a large number of labor and employees working in the project of road construction,
small accidents are expected to take place on all construction sites. Healthcare
arrangements at site have been established by the contractor.
3.15.12 Labor Reporting Office
Along the road and in work bases special areas have been marked where the labor can
gather at the time of pick and drop, emergency or briefing and places have been clearly
marked and kept open and clean and as per requirement equipped with public address
system.
3.15.13 Labor Transport
Arrangements have been made to pick and drop local labor every day. It helps them to
spend nights of their households and render some services at home. This also keeps
the camps less pressurized and manageable.
3.15.14 Work Uniform and Health Safety Equipment
Road construction is a special job and the labor working on such work requires special
protective uniforms and special HSE measures. It has been ensured that the labor
engaged in breaking of stones, handling bricks, mixing concrete or mixing and laying
asphalt have long boots overall dresses, goggles and safety hats. As an overall HSE
measure anyone going into the construction area also wears safety hat.
22
3.15.15 Signage
During construction on construction site in particular and on the entire road length in
general, suitable signboards and traffic signs have been displayed at all along the length
of the project road. This helps in forestalling any possible accidents.
3.15.16 Lighting and Illumination
Suitable lighting arrangement have been made by the contractor over all work basis,
work sites, camp sites machinery yard and material depots. This can help the contractor
for extended working hours as well as security. If WAPDA electric supply is not
available, electricity generators have been to be arranged on all spots where lighting is
required.
3.16 Safe Design Criteria
To meet international standards envisaged by the World Bank, the following design
criteria have been adopted in the project:
 Geometric Design : AASHTO
 Material Testing : ASTM
 Structure : ACI
 Structure Loads : Class A – AA as per FHA approval
 Seismic Design : UBC 97 and SIS Building Code based
on Seismic Study Zone Maps
 Curve Widening : 0.6 to 1.6 depending upon length
3.17 Estimated Project Cost
Final design and drawings of the additional 1.00 km section have been finalized: This
1.00 km will be upgraded/rehabilitated within the financial assistance of Friends of
Pakistan through the World Bank to the tune of US$ 8.0 million which is equivalent to
about PKR. 680 million and no additional funds will be required.
23
4.0 Baseline Study of Project Area
The road section under the proposed project passes through comparatively flat valley.
The corridor is located in the watershed of Swat river which itself flows into the Kabul
river. Climatically the area has cold winter and relatively mild summers. Rainfall is mainly
received during monsoons and spring. The river Swat receives flash floods periodically.
Extremely cold winds blow during winters. Ambient air is generally clean.
No endangered species are reported in the selected reach of the section. No game
reserves and wildlife sanctuaries exist in the vicinity of Project Area. Common mammals
found in the area include Jackal, Fox, Porcupine, Jungle Cat, Hare, Rats, mice and other
rodent mammals. Domestic animals include goats, sheep, buffaloes and cows. Also
found on the higher snowy peaks are the wild mountain sheep (markhor, the national
animal of Pakistan), black and brown bear, panther and musk deer. Common reptiles in
the area include snakes, krait, frog, lizards. Scorpions and spider are other poisonous
creatures of the area.
No wetland lies within close vicinity of the Project corridor except Swat River which flows
all along the Project route. But it is not functioning as wet land due to high velocity and
absence of pounding actions.
Vegetation of the project area falls under humid–temperate latifoliate forest. Dominate
tree species consists of Chir. Shisham, Mulberry, Bakain, Eucalyptus, Rubinea and Kao
are the other varieties found in the project area. Fruit trees in Project Area include Apple,
Pear, Peaches, Walnut and Guava. Grasses consist of Nari, Lavindar, Deela, Trakla.
Rich ground flora of many herbs including vibrunum, lonicera. A number of medicinal
plants are found in the area including Tarkha (Artemizia species), Unab (Zizyphus
Sativa), Althea (Althaca Officinalis), Banafsha (Viola serpens), Mushki Bala (Valeriana
species) and Sufed (Asparagus species). No endangered floral species were reported in
the Project Area.
Swat River is endowed with Brown Trout Fish which is allowed to be caught by angling
under license from Fisheries Department.
There are no protected areas or endangered species in the area.
There is no industry in the area. Agriculture is restricted to comparatively flat areas or
terraces. Jirga system is still the most dependable social unit. Almost 100 percent
population is Muslims. Women form a less favored section of the society. Child labor is
common.
Further details of the baseline conditions are presented in the main EIA report.
24
5.0 Environmental Impact Assessment and
Mitigation Measures
5.1 Explanation of Impact Assessment
This section provides a brief explanation of key potential impacts suggesting mitigation
measures for the adverse impacts.
5.1.1 Site for Disposal of Waste Construction Material
Due to some cutting involved, there may be surplus earth or waste construction material
which needs disposal.
Mitigation
The construction waste material will be disposed off in allowed/approved selected barren
spots. No waste material will be thrown into the river or water bodies.
5.1.2 Location of Labor Camps, Material Depots, Equipment Yards and Approach
Roads
The labor camps, material depot, equipment yard and approach roads has been located
on either side of the road at suitable locations.
Mitigation
The contractor, in consultation with RE, selected the location of all these facilities at
suitable locations.
5.1.3 Contamination from Diesel and Other Oil Spills from Construction Machinery
Any leakage or spillage of diesel, oil or any other chemical will contaminate the soil
which may in turn impact the water sources, nearby community and/or productive land.
Mitigation
Contractor apply strict rules on his workers and labor to ensure that no spill or leakages
are caused. All fuels, oils and bitumen are stored appropriately, to check containment in
case of leakage. If the spills or leakages do take place, it is followed by the treatment
prescribed in the EIA report.
25
5.1.4 Damage to Roads, Cross Drainages
Damage to roads, cross drainages can arise through carelessness of the heavy
machinery drivers or operators if the drivers/operators are not made aware, trained and
bound to be careful.
Mitigation
Contractor will impose strict control over operators and drivers of all types of vehicles to
minimize any damage to roads or structures. Should any damage take place, the
contractor will carry out repairs immediately.
5.1.5 Release of Construction Water and Dumping of Soil
Uncontrolled release of construction water or dumping of excess soil/rubbles can
destroy/damage the nearby structures, slopes, and private property, potentially leading
to significant damage.
Mitigation
The contractor will make arrangements to avoid such leakages, uncontrolled releases,
and dumping of soil/rubbles. Should such leakage develop, the contractor must remain
fully prepared to immediately control the discharge.
5.1.6 Impact of Borrowing Material from Earth Borrow Sites
A large quantity of earth will be removed from borrow pits located within the state land
on either side of the road. This can potentially cause slope instability, loss of soil/land
productivity, uneven terrain, and altered drainage.
Mitigation
The borrow areas will be selected after obtaining approval from the RE. The contractor
will ensure that the borrowing does not cause slope instability, loss of soil/land
productivity, uneven terrain, and altered drainage.
5.1.7 Impact on Roads/Infrastructure used for Transport of construction Materials
including Asphalt, Bitumen
Transport of construction machinery, construction material and construction workers will
cause additional wear and tear of the roads/infrastructure and raise considerable dust.
Mitigation
The contractor will be responsible to repair any damage caused to the local
infrastructure by the construction activities. Water sprinkling will be carried out where
necessary to minimize dust emissions.
26
5.1.8 Impact of Stone Quarrying
Inappropriate quarrying practices can lead to unstable slopes, risk of landslides, loss of
top soil, and damage to the natural vegetation.
Mitigation
The government-approved quarry will be selected after obtaining approval from the RE.
It will be ensured that the quarrying does not significantly affect the slope stability, top
soil, and natural vegetation of the area.
5.1.9 Impacts on Surface Water
Inappropriate waste disposal can potentially contaminate the water bodies in turn
affecting the local communities and aquatic biodiversity.
Mitigation
No untreated effluents will be released to the environment. For the toilet waste, the
contractor will establish/install appropriate waste treatment system (such as septic tanks
and soaking pits) at the site facilities (offices, camps, others). The waste water from
kitchen and toilets can be released in soaking pits or used for plantation/water sprinkling.
Oily water must be passed through a settling tank.
5.1.10Source of Drinking Water
The construction activities can potentially damage/affect the drinking water sources of
the communities. The usage of unsafe water by the construction workers can cause
health problems.
Mitigation
It will be ensured that the drinking water sources of the communities are not affected.
The contractor will repair/replace/compensate for any damages caused by the
construction activities.
The contractor will make arrangements to supply safe drinking water to its staff and
workers.
5.1.11Protection of Construction Work from Floods
Floods and heavy rains can potentially affect the construction works.
Mitigation
A suitable flood warning system is required to alert the whole implementation unit to
adapt ways and means to adapt safeguards against flesh floods in the river or
27
ephemeral streams. The contractor will make fool proof arrangements in advance to
protect the ongoing construction works from floods.
5.1.12Effect on Surface Flow Conditions
The road can potentially affect and disrupt the drainage pattern of the area.
Mitigation
Design Engineer will ensure provision of appropriately sized side drains, to avoid
negative impacts on the local drainage pattern. Contractor will follow the design
specifications meticulously.
5.1.13Dust and gaseous Emissions from Construction Machinery or Asphalt Plants
The construction activities and operation of vehicles and machinery will release exhaust
emissions and also raise dust.
Mitigation
The contractor will ensure that its vehicles, machinery, and generators are properly
designed and maintained, and comply with the applicable NEQS. The asphalt plant will
not be operated without properly functioning dust control system such as wet scrubber.
Water will be sprinkled where necessary to control the dust emissions.
5.1.14Noise
The construction activities will generate noise, which can potentially affect the
communities, wildlife, and also the construction workers.
Mitigation
The contractor will strictly follow the NEQS for ambient noise.
5.1.15Impact on any Stream or Water Body
Some stream or water bodies may be affected or blocked by construction of the road.
Mitigation
No dumping will be allowed in a stream or a water body. All streams running across the
road will have culverts or causeways. All streams running parallel to road will be
embanked.
28
5.1.16Damage to Fish and Fisheries
Inappropriate waste disposal in the river water can affect the aquatic fauna.
Mitigation
No untreated waste, excess soil, or garbage will be dumped in the river. River and
streams will not be blocked by the construction activities. No hunting, trapping, or fishing
by the construction workers will be allowed.
5.1.17Loss of Structures
Although people have encroached the government land within the one km long stretch,
but due to availability of ample space for blacktopped road and the policy of
rehabilitation within the available corridor of construction, no structure will be affected.
5.1.18Removal of Trees
Total number of public/private fruit bearing / non fruit bearing trees falling within the
proposed RoW comes to about 88. The information in respect of number and ownership
of the trees by type will be submitted in the summarized form and details will be provided
in addendum to SIA report.
Compensation
A compensation will be paid to the owners in accordance with the procedures set out in
the addendum to SIA/Resettlement Action Plan (RAP).
Compensatory tree plantation will be carried out for Forest Department owned trees and
for each tree removed, five saplings will be planted. Depending upon the total number of
trees (as per SIA and RAP report), saplings will be planted by Forest Department for
which adequate provision will be made in the Budget. The Project will ensure
appropriate care and monitoring of this plantation.
5.1.19Temporary Land Acquisition
Land required for establishing contractor’s facilities including camp, workshop, plants,
borrowing earth material and dumping excess spoil will be acquired directly from private
landowners by the contractor. The provisions of the Land Acquisition Act, 1894 will not
be invoked under the proposed Project, as the acquisition of the land will be temporary
and will be covered by short–term lease agreements between the landowners and
contractors under the approval of the Project Engineer. Rental terms will have to be
negotiated to the satisfaction of the landowners concerned.
Compensation
29
The staff of the PKHA and supervisory Consultants will monitor the process of
restoration and ensure, through the terms of the construction contracts, that landowners
are compensated according to the terms of the lease agreements, and the restoration
actions agreed upon by the contractors are duly carried out. The photo–documentation
of the existing land prior to temporarily acquisition should be available, which will be
beneficial to resolve the restoration conflicts between the landowner and contractor.
Similarly, prior to the commencement of construction activities, the Contractor will carry
out base line survey for selecting the camp sites, dumping sites, public and
community/private owned utilities, in conformity with the requirements of SIA study. The
contractor will submit a development plan to the Engineer–in–charge, district
government and EPA (KP), for its scrutiny and approval.
Where the use of agricultural land is unavoidable for borrow of earth material, the top 30
cm of the plough layer will be stripped and stockpiled for redressing the land after the
required borrow material has been removed. In case deep ditching is carried out, the top
1 m layer of the ditching will stripped and stockpiled. The ditch will initial filled with scrap
material from construction then leveled with the stockpiled topsoil to make it even with
the rest of the area. It shall be ensured that the scrap does not contain any material that
may produce obnoxious material that would contaminate soil or water resources.
Barren lands or valley side slopes will be used for dumping the excavated spoil material.
Appropriate sites have to be located along the road for this activity.
These facilities will be regularly monitored and cleaning activities implemented during
operation phase to improve the cross drainage facilities of area.
5.1.20Infrastructure within RoW
No public infrastructures such as schools, hospitals or offices fall within RoW. However,
5 electric poles and 4 telephone poles falling within the RoW will be relocated through
their respective departments. Budgetary provisions for this activity have been made.
Mitigation
The survey has revealed that construction of project will affect 4 telephone and 5 electric
Poles. The per unit relocation cost of these utilities were arrived at after having
discussions with the officials of these departments and are provided as under.
 Electric Pole Rs. 35,000 per Unit
 Telephone Pole Rs. 15,000 per Unit
Total cost of relocating the utilities works out to be Rs.235,000 (Rs. 175,000 for electric
poles and Rs. 60,000 for shifting of telephone poles).
30
6.0 Environmental and Social Monitoring Plan
(ESMP)
Main instrument of recognition of the Environmental Impact is the Environment
Management Plan (EMP). Implementation of the EMP will be the contractual obligation
of the Contractor. For that he has engaged full time technical staff capable of a carrying
out the prescriptions of the EMP as contractual obligations under the contract document.
The Engineering Supervision Consultants have on their team a full time professional
level Environmental Expert to provide an overall professional cover to the environmental
monitoring process and the procedures and initiate required reports and point out any
gaps in the implementation of the mitigation measures or enforcement of the
prescriptions of the EMP. In KpHA there is an Environmentalist, who monitors and
evaluates (M&E) application of environmental measures at detailed design, bidding and
construction stages. The result of M&E activities will be included as routine element of
reports prepared by the Project Manager for KpHA.
The monitoring program will comprise site inspection designed to determine contractor’s
compliance or otherwise with EMP and applicable regulations and statutes.
To assessment and address the social aspects of the project, a separate social
assessment has been conducted, during which social impacts and their mitigation have
been identified in detail. In addition, social impacts will be managed through the Social
Framework Agreement through DD (Env.), as representative of the KpHA, RE, the
Contractor and the Communities living in the vicinity of the project area.
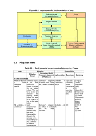
6.1 Institutional Arrangements
The existing organogram of the KpHA is already adequate (see Figure – 8.1) wherein a
Deputy Director Environment is already functioning. The Consultants have a
professional level Environmental Expert on their panel.
31
Figure 66.1: organogram for implementation of emp
6.2 Mitigation Plans
Table 66.1: Environmental Impacts during Construction Phase
Impact Mitigation Responsibility
Mitigation
Measure
Contract and Social
Framework Agreement
(SFA) Clauses
Implementation Supervision Monitoring
1. LAND RESOURCES
1.1 Site for disposal
of waste
construction
material
Controlled disposal
of the waste
construction
material on agreed
site per agreed
method. The area
to be leveled and
contoured after
disposing excess
material. No waste
will be thrown in the
river or other water
bodies.
Contractor’s obligation
as defined in the Tender
and Contract Documents
Contractor in
Collaboration
with RE
Supervision
Consultants
through
Environmental
ist of
supervision
consultant
(ESC)
(i) Deputy
Director
Environment
(DDE)
(ii)
Independent
Environmental
Monitor (IEM)
(iii) Donor’s
Environmental
Monitoring
Mission
(DEMM)
1.2 Landslides, or
unstable soil
Local
readjustments in
foundation
treatment or any
other small
changes will be
allowed to the
contractor by the
Resident Engineer
(RE). Contractor
will make all
arrangements to
Contractor’s obligation
as defined in contract
and the Tender
document
Contractor and
RE
ESC (i) DDE of
FHA
(ii) IEM
(iii) DEMM
Pakhtoonkhwa
Highways Authority
Donors Environmental
Monitoring Mission
(DEMM)
Contractor’s
Environmentalist
Contractor
Environmental
Supervision Consultant
(ESC)
Resident Engineer
(RE)
Project Director
Donor
Deputy Director
Environment (DDE)
Resident Engineer
(RE)
32
Impact Mitigation Responsibility
Mitigation
Measure
Contract and Social
Framework Agreement
(SFA) Clauses
Implementation Supervision Monitoring
avoid any land slide
caused by the
construction
activities; remedial
actions will be
undertaken in case
of any such slide.
1.3 Location of
camps, materials,
equipment and
special approach
routes and roads
The contractor in
consultation with
RE, selected the
location of all these
facilities. The
camp/other site
facilities have been
established on a flat
land without much
natural vegetation,
at least.
Contractor’s obligations
to locate these sites in
agreement with RE as
per contract and
community obligation as
per SFA
Contractor and
RE
ESC (i) DDE of
FHA
(ii) IEM
(iii) DEMM
1.4 Any natural
disasters such as
heavy rains, floods
and earthquakes
Contractor in
consultation with
RE and local
community will
resolve the issues,
in the best interest
of the PkHA.
Neither party will,
however, be held
responsible for any
force majeure.
Contactor’s obligation
defined in the Tender
and contract data and
SFA with community
Contractor and
RE
ESC (i) DDE of
FHA
(ii) IEM
(iii) DEMM
1.5 Rehabilitation of
project extraction
sites and storage
materials
The borrow areas
have been selected
after obtaining
approval from the
RE such that the
borrowing does not
cause slope
instability, loss of
soil/land
productivity, uneven
terrain, and altered
drainage.
Contactor’s obligation
defined in the Tender
and contract data
Contractor and
RE
ESC (i) DDE of
FHA
(ii) IEM
(iii) DEMM
1.6 Stabilization of
slopes on earth fill
works
Appropriate design
for protection and
minimizing effects
of cross flow of
streams.
Contractor to take
all necessary
measures for
stabilization of
slopes.
Preferably whole of
problem ought to be
mitigated through design
For any further
eventuality, it is
contractor’s obligation to
minimize the impact
Contractor and
RE
ESC (i) DDE of
FHA
(ii) IEM
(iii) DEMM
1.7 Agriculture land
destruction
Cuts, fills, digging
and borrow
operations to be
controlled. Disposal
of waste material to
be controlled.
any damage to the
agriculture land
Contractor’s obligations
refrain from entering into
unauthorized agricultural
land to be defined in the
contract document
clearly. Also clause in
SFA
Contractor and
RE
ESC (i) DDE of
FHA
(ii) IEM
(iii) DEMM
33
Impact Mitigation Responsibility
Mitigation
Measure
Contract and Social
Framework Agreement
(SFA) Clauses
Implementation Supervision Monitoring
and/or crops to be
compensated.
1.8 Contamination
from diesel and
other spills from
construction
machinery
Contractor will
apply strict rules on
his workers and
labor to ensure that
no spill or leakages
are caused. All
fuels, oils and
bitumen are stored
appropriately for
containment in case
of leakage.
The contractor
employs the
general criteria for
oil and leakage at
construction sites,
as per standards
set forth by “Guide
Lines for Oil Spill
Waste Minimization
and Management”
issued by
International
Petroleum Industry
Environmental
Conservation
Associate
Contractor’s obligation
defined in the Tender
and contract data
Contract and RE ESC (i) DDE of
FHA
(ii) IEM
(iii) DEMM
1.9 Damage to
Roads, Cross
Drainages
Contractor will
prepare standard
operating
procedures and
impose strict control
over operators and
drivers of all types
of vehicles to
minimize any
damage to roads or
structures. Should
any damage take
place, the
contractor will carry
out repairs
immediately. An
effective sinology
and a good traffic
plan can reinforce
the instructions to
drivers.
Contract document and
drawings to clearly spot
such points and contract
document may make it
contractor’s obligations
to make temporary
arrangements.
Contract and RE ESC (i) DDE of
FHA
(ii) IEM
(iii) DEMM
1.10 Earthen
embankment or
concrete work edge
scouring on the
Protection Bunds or
on main sill
structure
Edge scouring of
earthen
embankments or
concrete work have
been dealt at
design stage.
During the
construction phase
this aspect should
Contract document and
drawings to indicate
such spots and to make
it contractor’s obligation
to not to allow scouring.
Contract and RE ESC (i) DDE of
FHA
(ii) IEM
(iii) DEMM
34
Impact Mitigation Responsibility
Mitigation
Measure
Contract and Social
Framework Agreement
(SFA) Clauses
Implementation Supervision Monitoring
be addressed
through appropriate
construction
methodology and
employing
appropriate
techniques such as
protection walls and
rip rap. Contractor
will repair all
damages to the
earthen
embankments,
concrete works, or
pavement edges
caused by the
construction works.
1.11 Release of
Construction Water
and Dumping of
Soil
The contractor will
make adequate
arrangements to
avoid such
leakages,
uncontrolled
releases, and
dumping of
soil/rubbles. Should
such leakage
develop, the
contractor must
remain fully
prepared to
immediately control
the discharge. The
contractor will be
liable to pay for or
repair such
damages.
Provision in the Tender
and contract documents
and drawings
Contract and RE ESC (i) DDE of
FHA
(ii) IEM
(iii) DEMM
1.12 Any discharge
spill or dumping
onto any building or
house on the bank
of the road
It will be protected
by a wall, retaining
walls or rip–rap
works as the case
may be
Contract document and
drawing
Contract and RE ESC (i) DDE of
FHA
(ii) IEM
(iii) DEMM
1.13. Impact on
Roads/Infrastructur
e
The contractor will
be responsible to
repair any damage
caused to the local
infrastructure by the
construction
activities. Water
sprinkling will be
carried out where
necessary to
minimize dust
emissions.
Contract document and
drawing
Contract and RE ESC (i) DDE of
FHA
(ii) IEM
(iii) DEMM
1.14. Impacts of
stone quarrying
The government-
approved quarry
has been selected
after obtaining
approval from the
Contract document and
drawing
Contract and RE ESC (i) DDE of
FHA
(ii) IEM
(iii) DEMM
35
Impact Mitigation Responsibility
Mitigation
Measure
Contract and Social
Framework Agreement
(SFA) Clauses
Implementation Supervision Monitoring
RE. It will be
ensured that the
quarrying does not
significantly affect
the slope stability,
top soil, and natural
vegetation of the
area.
1.15. Soil
Compaction due to
Labor Camps and
Machinery Yards
The contractor will
restore the area
under its temporary
facilities.
Photographs taken
at the time of
establishment of
these facilities will
be used for this
purpose.
Contract document and
drawing
Contract and RE ESC (i) DDE of
FHA
(ii) IEM
(iii) DEMM
2. WATER RESOURCES
2.1 Impact of
Sourcing of
Construction Water
The contractor will
procure water from
a source approved
by the RE, and if
necessary, after
obtaining the
community consent.
It will be ensured
that this
procurement of
water does not
negatively affect the
communities or
other water users.
Contract Documents and
Contractor’s obligations
Contract and RE ESC (i) DDE of
FHA
(ii) IEM
(iii) DEMM
2.2 Diesel and
other fluids spilling
over to streams
water from
construction
machinery
The contractor will
make all necessary
arrangement to
avoid any leakages
or spills of fuels,
oils and chemicals.
In case of any
accidental
leakages, the
procedures
presented in
Section 7.2.5 of the
main EIA will be
applied
Contractor’s obligations
to be clearly defined in
contract document
Contract and RE ESC (i) DDE of
FHA
(ii) IEM
(iii) DEMM
2.3 Protection of
construction work
from flood river or
any ephemeral
streams
A suitable flood
warning system is
required to alert the
whole
implementation unit
to adapt ways and
means to adapt
safeguards against
flesh floods in the
river or ephemeral
streams. The
contractor will make
Contractor’s obligation
and drawings to keep
contractor alert equipped
against any such
eventuality. He must be
in touch with flood
information centre.
Contract and RE ESC (i) DDE of
FHA
(ii) IEM
(iii) DEMM
36
Impact Mitigation Responsibility
Mitigation
Measure
Contract and Social
Framework Agreement
(SFA) Clauses
Implementation Supervision Monitoring
fool proof
arrangements in
advance to protect
the ongoing
construction works
from floods, as per
information
received from the
meteorological
department or any
other type of flood
warning system.
2.4 Obstruction of
flow of water across
road
The road design will
include adequately
designed bridges
and culverts at the
appropriate
locations. The
contractor will
ensure that these
water bodies/water
courses are not
blocked during the
construction phase.
Contractor’s obligation
and coordination.
Provisions in SFA to
prepare communities.
Contract and RE
XEN of the area
ESC (i) DDE of
FHA
(ii) IEM
(iii) DEMM
1.5. Impacts
on Surface Water
No untreated
effluents will be
released to the
environment. For
the toilet waste, the
contractor will
establish/install
appropriate waste
treatment system
(such as septic
tanks and soaking
pits – appropriately
sized and located)
at the site facilities
(offices, camps,
others). The waste
water from kitchen
and toilets can be
released in soaking
pits or used for
plantation/water
sprinkling. Oily
water must be
passed through a
settling tank. The
contractor will
prepare a waste
management plan
and have it
approved by the
RE.
Contractor’s obligations
to be clearly defined in
contract document
Contract and RE ESC (i) DDE of
FHA
(ii) IEM
(iii) DEMM
1.6. Source of
Drinking Water
It will be ensured
that the drinking
water sources of
the communities
Contractor’s obligations
to be clearly defined in
contract document
Contract and RE ESC (i) DDE of
FHA
(ii) IEM
(iii) DEMM
37
Impact Mitigation Responsibility
Mitigation
Measure
Contract and Social
Framework Agreement
(SFA) Clauses
Implementation Supervision Monitoring
are not affected.
The contractor will
repair/replace/comp
ensate for any
damages caused
by the construction
activities.
1.7. Effect on
Surface Flow
Conditions
Design Engineer
will ensure
provision of
appropriately sized
side drains, to avoid
negative impacts on
the local drainage
pattern. Contractor
will follow the
design
specifications
meticulously.
During the
construction phase,
the contractor will
make temporary
drains and
embankments
where necessary to
channel the runoff
appropriately.
Contractor’s obligations
to be clearly defined in
contract document
Contract and RE ESC (i) DDE of
FHA
(ii) IEM
(iii) DEMM
3. AIR QUALITY AND NOISE POLLUTION
3.1 Dust and smoke
and other potential
pollutants from
construction
machinery
The contractor will
ensure that its
vehicles,
machinery, and
generators are
properly designed
and maintained,
and comply with the
applicable NEQS.
The asphalt plant
will not be operated
without properly
functioning dust
control system such
as wet scrubber.
Water will be
sprinkled where
necessary to
control the dust
emissions.
Contractor’s obligation
defined in the Tender
and contract documents
Contract and RE ESC (i) DDE of
FHA
(ii) IEM
(iii) DEMM
3.2 Dust or other
pollutants from
stored materials
and spoil heaps
The material being
transported or
stored at the
stockpiles will be
kept covered where
necessary to avoid
dust emissions.
Contractor’s obligation
defined in the Tender
and contract documents
Contract and RE ESC (i) DDE of
FHA
(ii) IEM
(iii) DEMM
3.3 Smoke from
burning of waste
materials or burning
The contractor use
clean and smoke
free fuel in the labor
Contractor’s obligation
defined in contract and
Tender documents to
Contract and RE ESC (i) DDE of
FHA
(ii) IEM
38
Impact Mitigation Responsibility
Mitigation
Measure
Contract and Social
Framework Agreement
(SFA) Clauses
Implementation Supervision Monitoring
of firewood in the
labor camp.
camp. Cutting and
burning trees /
shrubs for fuel is
prohibited. Instead
gas cylinders are
used in the labor
camp for cooking
purposes. Similarly
waste burning is not
allowed. The
contractor will
prepare waste
management plan
and have it
approved by the
RE.
refrain from burning
waste material and fuel
wood and to provide
substitute for fuel wood
e.g. gas cylinders
(iii) DEMM
3.4 Noise control
from use of old or
outdated machinery
The contractor will
strictly follow the
NEQS for ambient
noise. All necessary
measures such as
noise barriers will
be taken to reduce
the noise
particularly near the
communities. The
personal protective
equipment (PPE)
will be provided to
the construction
workers and its
usage will be made
mandatory.
Contractor’s obligation
defined in the Tender
and contract documents
Contract and RE ESC (i) DDE of
FHA
(ii) IEM
(iii) DEMM
3.5. Physical Loss
of Any Stream or
Water Body
No dumping will be
allowed in a stream
or a water body. All
streams running
across the road will
have culverts or
causeways. All
streams running
parallel to road will
be embanked.
Contractor’s obligation
defined in the Tender
and contract documents
Contract and RE ESC (i) DDE of
FHA
(ii) IEM
(iii) DEMM
4. Biological Resources
4.1 Damage to
Biological
resources during
construction
No clearance of
vegetation or killing,
hunting, or trapping
of wild animal is
allowed.
Compensation will
be paid for any tree
cutting on the
private land.
Compensatory tree
plantation will be
carried out and for
each tree removed,
five saplings will be
planted. The
Contractor’s obligation in
the contract to respect
wildlife, Forest and
Fisheries Laws.
A special clause
incorporated in the
contract documents to
respect and conserve
biodiversity and
conserve its terrestrial as
well as aquatic habitat.
To provide necessary
Sign Boards to make
labor, visitors and all
concerned aware of their
Contract and RE ESC (i) DDE of
FHA
(ii) IEM
(iii) DEMM
39
Impact Mitigation Responsibility
Mitigation
Measure
Contract and Social
Framework Agreement
(SFA) Clauses
Implementation Supervision Monitoring
Project will ensure
appropriate care
and monitoring of
this plantation.
Camps and other
temporary facilities
will be established
in a manner that
minimizes loss of
natural vegetation
including trees.
Borrow material will
be obtained without
causing any
damage to the
natural vegetation.
obligations towards
Biota.
4.2 Damage to
Biological
resources during
construction
Special checks
from time to time in
collaboration with
local communities
To facilitate inspections
by Wildlife, Forest and
Fisheries Officers to
ensure a proper
implementation of the
relevant laws.
To involve communities
through SFA
Contract and RE ESC (i) DDE of
FHA
(ii) IEM
(iii) DEMM
40
Table 6.2: Social Impacts
Social Risk Mitigation Responsibility
Construction
Stage
Temporary Land Acquisition
Land required for dumping excess
spoil will be acquired directly from
private landowners by the contractor.
The provisions of the Land
Acquisition Act, 1894 will not be
invoked, as the acquisition of the
land will be temporary and will be
covered by short–term lease
agreements between the landowners
and contractors under the approval
of the Project Engineer. Rental terms
will have to be negotiated to the
satisfaction of the landowners
concerned.
 The staff of the PkHA and
supervisory Consultants will
monitor the process of
restoration and ensure, through
the terms of the construction
contracts, that landowners are
compensated according to the
terms of the lease agreements,
and the restoration actions
agreed upon by the contractors
are duly carried out. The photo–
documentation of the existing
land prior to temporarily
acquisition should be available,
which will be beneficial to
resolve the restoration conflicts
between the landowner and
contractor.
Contractor, PE,
DD (Env) PkHA
Construction
 As far as possible, waste /
barren land i.e. areas not under
agricultural, residential or
forestation use, and natural
areas will be used for borrow
material (if required) and setting
up project facilities.
Contractor / PE Construction
 Where the use of agricultural
land is unavoidable for borrow
of earth material, the top 30 cm
of the plough layer will be
stripped and stockpiled for
redressing the land after the
required borrow material has
been removed. In case deep
ditching is carried out, the top 1
m layer of the ditching will
stripped and stockpiled. The
ditch will initial filled with scrap
material from construction then
leveled with the stockpiled
topsoil to make it even with the
rest of the area. It shall be
ensured that the scrap does not
contain any material that may
produce obnoxious material that
would contaminate soil or water
resources.
Contractor / PE Construction
 Barren lands or valley side
slopes will be used for dumping
the excavated spoil material.
Appropriate sites have to be
located along the road for this
activity.
Contractor / PE Construction
 These facilities will be regularly
monitored and cleaning
activities implemented during
operation phase to improve the
cross drainage facilities of area.
DD (Env),PkHA Operation
41
Social Risk Mitigation Responsibility
Construction
Stage
Increased risk of accidents caused by partial closure of road during construction
 During construction activities,
traffic flow will be disturbed. At
sections passing through
populated areas, there will be
limited scope for providing
diversion tracks for the mobility
of local and thorough traffic that
will increase the risk of
accidents.
 Proper site specific measures
will be carried out in
consultation with supervisory
consultants to ensure the safety
of population residing along and
around the project corridor. Site
specific Traffic Management
Plans (TMPs) will be prepared
and implemented by the
Contractor with the approval of
the Project Engineer.
Contractor / PE Construction
 Taking necessary measures to
ensure the safety of traffic
during construction, including
barricades (including signs,
pavement markings, flags, and
lights) erected as required by
the FHA and set up as per local
regulations.
Contractor / PE Construction
 Coordinating construction work
such that part of the
carriageway at a time is
upgraded leaving the other part
available to serve one way
traffic. Construction work will be
carried out in small stretches
instead of a long stretch.
Contractor / PE Construction
 As a result of road improvement
the traffic volume will increase
during operation stage, there
may be safety hazards for the
locals residing along the edge
of the road as well as vehicular
traffic.
 During operation stage PkHA
will make arrangements with
some organization / contractor
for proper maintenance and
operation of the road. Periodic
inspections will be made by
contracted firm to identify the
problem areas and their
remedial measures. For this
purpose the firm should be fully
equipped and there should be
contingency plan in case of any
emergency / natural disaster.
PkHA Operation
Problems to Health and Safety of Labor and Employees on Construction Work and Provision of Safety
Equipment to Workers on Site.
 Occurrence of accidents /
incidents during the
construction activities,
particularly from excavation
activities is common. The
workers and general public
residing along the project
corridor or near the work sites
will particularly be at risk.
 Complying with the safety
precautions for construction
workers as per International
Labour Organization (ILO)
Convention No. 62, as far as
applicable to the project
contract.
Contractor / PE Construction
 Training of workers in
construction safety procedures,
social awareness, equipping all
construction workers with safety
boots, helmets, gloves, and
protective masks, and
monitoring their proper and
sustained usage.
Contractor / PE Construction
42
Social Risk Mitigation Responsibility
Construction
Stage
 Contractor staff while on work
may get injuries.
 Contractor will ensure the
provision of medicines, first aid
kits, vehicle, etc. at the camp
site.
Contractor / PE Construction
Gender Issues
 According to the findings of the
socioeconomic survey, the rural
women normally use the open
field latrines and their privacy
may suffer due to the project
activities. Moreover, they
actively participate in other
outdoor socioeconomic
activities such as livestock
rearing, bringing of potable
water, etc which may also be
affected by the project activities.
 The Contractor will select the
specific timings for the
construction activities
particularly near the
settlements, so as to cause
least disturbance to the local
population particularly women.
Contractor / PE Construction
 The Contractor will carry out the
construction activities in such a
way that the open field latrine
usage timings by the local
community particularly women,
should not be affected. The
normal timings to use the toilet
facilities by the rural women are
early in the morning and at late
in the evening. So, the
Contractor will have to take care
of these timings.
Contractor / PE Construction
 The induction of outside labor
may create social and gender
issues due to the unawareness
of local customs and norms. It
may also cause hindrance to
the mobility of local women for
working in the field, herding
livestock, picking fuel wood, etc.
 Contractor will take due care of
the local community and
observe sanctity of local
customs and traditions by his
staff. Contractor will warn the
staff strictly not to involve in any
un–ethical activities and to obey
the local norms and cultural
restrictions particularly with
reference to women.
Contractor / PE Construction
 During construction activities, if
privacy of the nearby
households is affected, the
Contractor will inform the house
owner to make some
arrangements. Similarly,
Contractor will take care as
much as possible that the
construction activities should
not affect the privacy particularly
with reference to women.
Contractor / PE Construction
43
Social Risk Mitigation Responsibility
Construction
Stage
Social Conflicts and Employment of Locals on the Project
The presence of outside construction
workers may cause some degree of
social disruption and even active
disputes with the local community as
a result of social / cultural
differences. This particularly relates
to the disruption of the privacy of
women working in the fields or even
in the yards of their houses, should
the house lying at lower elevation
than the working sites. Likewise the
risk of theft of the community assets
by the Contractor workers and vice
versa may occur.
 Good relations with the local
communities will be promoted
by encouraging Contractors to
provide opportunities for skilled
and unskilled employment to the
locals, as well as on–the–job
training in construction for
young people. Contractor will
restrict his permanent staff to
mix with the locals to avoid any
social problems.
 The Contractor will warn the
workers not to involve in any
theft activities and if anyone
would involve in such type of
activities, he will have to pay
heavy penalty and would be
handed over to police. Similarly,
at the time of employing,
Contractor has to take care that
the workers should be of good
repute. The Contractor camp
will be properly fenced and main
gate will be locked at night with
a security guard to check the
theft issues from community
side.
Contractor / PE Construction
Rise in the Prices of Essential Commodities
Due to induction of outside labour for
project works, the demand for basic
items will increase thereby causing
an increase in the prices of essential
commodities
The project will exert no negative
impacts on the prices of essential
commodities. It is estimated that
project will employ skilled and un–
skilled staff. Most of the un–skilled
labour will be recruited from the local
areas. As such there will be no
extraordinary increase in the demand
for essential or other commodities.
The Contractor, will, however, be
required to maintain the field camps
supplies from the main Mingora
market.
Contractor Construction
Use of Local Water Supplies and Other Common Resources
 Local water supplies will be
required to meet campsite and
construction requirements,
bringing its use into competition
with the use by the local
communities.
 The contractor will explore the
alternative water resource so
that the existing community
water resources are not
impacted. No existing water
source under the use of
community will be exploited by
the Contractor for campsite
facilities as well as construction
purposes.
Contractor Construction
44
Social Risk Mitigation Responsibility
Construction
Stage
 Local water may be affected
due to implementation of project
both in quantity as well as
quality.
 Availability of water for campsite
facilities and construction
purposes will be ensured by the
Contractor prior to start of
construction activities. As per
Local Government Act, the
contractor will seek approval
from the local government for
exploitation of the water
resources.
Contractor / PE /
Local Govt.
 The Contractor will be required
to maintain close liaison with
local communities to ensure that
any potential conflicts related to
common resource utilization for
project purposes are resolved
quickly.
Contractor
 The contractor will prepare
guidelines for the workers for
minimizing the wastage of water
during construction activities
and at campsites.
Contractor
Possibility of Spread of HIV / AIDS
Amongst the Project labor and
Adjoining Population
 Contractor to arrange HIV /
AIDS awareness programs in
the field camps on regular basis
by a qualified expert / doctor.
 Contractor will provide
recreational facilities such as
playing volleyball of football
after the work hours.
 Similarly, he will provide indoor
recreation in terms of radio and
TV at the eating place.
 The Contractor will ensure
regular medical check–up of the
camp staff from a qualified
doctor on fortnightly basis. If
any person found affected with
any of the transmittal diseases
will be immediately shifted from
the camp to the hospital for
detailed check–up and
treatment. The cost will be
borne by the Contractor.
 Contractor will restrict his
permanent staff to mix with the
locals to avoid any social and
health problems.
Recreational Facilities for Public  The Contractor will ensure the
restoration and rehabilitation of
construction and camp sites on
completion of the project.
Contractor Post
Construction
45
Social Risk Mitigation Responsibility
Construction
Stage
 PkHA will develop parks
particularly for children and
ladies at appropriate sites along
the road to provide them better
recreational opportunities. This
will also attract the outside
tourists as well, thus increasing
the incomes of the local people
through increased socio–
economic activities.
PkHA Post
Construction
 FHA should carry out tree
plantation along the road.
Restricted Mobility
 During the construction phase
the general mobility of the local
residents and their livestock in
and around the project area is
likely to be hindered. Likewise
access to the natural resource
may be affected. This
particularly implies to the
women and children.
 The contractor will ensure that
the mobility of the local
communities and their livestock
is not hindered by the
construction activities. The
contractor will provide crossing
points at the road at appropriate
places to facilitate the people for
going across the road for their
daily works and having free
access to the natural resources.
Contractor / PE Construction
 Construction activities,
particularly excavation and
movement of haul truck and
machinery may disrupt the
existing tracks leading from the
main road to settlements. This
will limit the accessibility of the
local population to the main
road.
 Generally the contractor will
avoid using the village tracks for
hauling the construction
material. However, if it is
unavoidable, the existing ones
will be widened, overlaid with
shingle or surface treated to
accommodate local as well as
contractors traffic under the
approval of the Project
Engineer.
Contractor / PE Construction
46
Table 66.3: Operational Phase
1. Strict application
of prescribed
Monitoring &
Engineering plan
Resident Engineering
Executive
Engineering Duty
bound
Works done through
contractor to according to
strict specification and in
communication with
communities
Resident Engineer /
XEN In charge of
Highway
Officer(s), authorized
by FHA and
Government of
Khyber Pakhtunkhwa
2. Continuous
evaluation of
design efficiency
Resident Engineering
Executive
Engineering Duty
bound
Works done through
contractor to according
strict specification and in
communication with
communities
Resident Engineer /
XEN In charge of the
dual Highway
FHA or Government
of Khyber
Pakhtunkhwa
whosever is i/c of
Supervision
3. Understanding
and training of
operational manual
Resident Engineering
Executive
Engineering Duty
bound
Works done through
contractor to according to
strict specification and in
communication with
communities
Resident Engineer /
XEN In charge of the
dual Highway
FHA or Government
of Khyber
Pakhtunkhwa
whichever is i/c of the
road
4. Environmental
Annual Audit
Resident Engineering
Executive
Engineering Duty
bound
Works done through
maintenance contractor
to according to strict
specification and in
communication with
communities
Resident Engineer /
XEN In charge of the
dual Highway
FHA or Government
of Khyber
Pakhtunkhwa
whichever is i/c of the
road
5. Regular
Maintenance
Resident Engineering
/ Executive
Engineering Duty
bound
Works done through
maintenance contractor
to according to strict
specification and in
communication with
communities
Resident Engineer /
XEN In charge dual
Highway with the
assistance of
maintenance
FHA or Government
of Khyber
Pakhtunkhwa
whosever is i/c of the
road
6. Staff welfare Resident Engineering
Executive
Engineering Duty
bound
Works done through
contractor to according to
strict specification and in
communication with
communities
Resident Engineer /
XEN In charge with
the assistance of
contractor
FHA or Government
of Khyber
Pakhtunkhwa
whosever takes over
as i/c of the road
7. Continued Public
Consultant
Resident Engineer /
Executive
Engineering Duty
bound
Works done through
contractor to according to
strict specification and in
communication with
communities
Resident Engineer /
XEN In charge of the
Highway with the
assistance of
contractor
FHA or Government
of Khyber
Pakhtunkhwa
whosever is I/c of the
road
8. Continued
Gender issues and
women
Consultants
Resident Engineer /
Executive
Engineering Duty
bound
Works done through
contractor to according to
strict specification and in
communication with
communities. To have
gender-neutral policy
Resident Engineer /
XEN In charge of the
Highway with the
assistance of
contractor
FHA or Government
of Khyber
Pakhtunkhwa
whosever takes over
the management and
maintenance of the
road
9. Refresher
courses for the
operational staff
Resident Engineering
Executive
Engineering Duty
bound
Works done through
contractor to according to
strict specification and in
communication with
communities.
Resident Engineer /
XEN In charge
Highway assisted of
Consultant
FHA or Government
of Khyber
Pakhtunkhwa
whoever takes the
management and
maintenance of the
road
47
6.3 Environmental Monitoring
The environmental monitoring will be carried out with the help of checklists prepared on
the basis of the Mitigation Plans given in EIA for Sharifabad - Kanju Road. These
checklists will be filled by the contractor’s environment specialist on a regular basis, and
provided to the ESC. All non-compliances recorded in the filled checklists will be
followed up for remediation. The summary of filled checklists, non-compliances and
remedial actions will be included in the progress reports.
The total environmental management cost for the 1.00 km has been estimated to be
about Rs. 0.21 Million.
The social management cost will be reflected in the SIA & RAP report which is under
preparation.
Table 6.4: Cost Estimates for Environmental Management
Environmental Component Quantity
Amount
Pak Rs.
Details/Basis
Tree Plantation 350 210,000 Cost includes plantation and
maintenance up to three years
Total Environmental Management Cost = 210,000

Eia addendum 2 for 1.00 km

  • 1.
    GOVERNMENT OF KHYBERPAKHTUNKHWA PAKHTUNKHWA HIGHWAYS AUTHORITY PESHAWAR UPGRADATION / REHABILITATION OF ROAD FROM SHARIFABAD TO KANJU S.H: UPGRADATION / REHABILITATION OF 1.0 km ADDITIONAL LENGTH EMERGENCY ROADS RECOVERY PROJECT (ERRP) FOR KHYBER PAKHTUNKHWA ADDENDUM TO ENVIRONMENTAL IMPACT ASSESSMENT (EIA) REPORT DECEMBER 2012
  • 2.
    2 TABLE OF CONTENTS 1.0Introduction .................................................................................................................... 7 1.1 Project Overview ...................................................................................................... 7 1.2 Implementation......................................................................................................... 8 1.3 Project Classification ................................................................................................ 8 1.4 Overview of the EIA.................................................................................................. 8 2.0 Policy, Law and Protocols ............................................................................................ 11 3.0 Description of the Project ............................................................................................. 12 3.1 Location.................................................................................................................. 12 3.2 Road Length........................................................................................................... 12 3.3 Existing Road Dimensions...................................................................................... 12 3.4 Drainage Structures................................................................................................ 12 3.5 Link Roads ............................................................................................................. 12 3.6 Scope of Work........................................................................................................ 13 3.7 Length–wise Description of the Project................................................................... 13 3.8 Existing Road Condition ......................................................................................... 13 3.9 Design Criteria........................................................................................................ 14 3.10 Work and Material .................................................................................................. 14 3.10.1 Estimated Work / Major Work Items............................................................... 14 3.10.2 Materials Requirement................................................................................... 15 3.11 Raw Material Availability......................................................................................... 18 3.12 Machinery to be used ............................................................................................. 18 3.13 Equipment and Installations.................................................................................... 19 3.14 Construction Schedule............................................................................................ 19 3.15 Construction Logistics ............................................................................................ 19 3.15.1 Work Base ..................................................................................................... 19 3.15.2 Labor Supply.................................................................................................. 20 3.15.3 Labor Camps ................................................................................................. 20 3.15.4 Machinery Maintenance and Equipment Yards.............................................. 20 3.15.5 Material Depots.............................................................................................. 20 3.15.6 Machinery Repair Workshops ........................................................................ 20 3.15.7 Approach to Work Bases ............................................................................... 20 3.15.8 Petrol Pump and CNG Pump......................................................................... 21 3.15.9 Camp Offices................................................................................................. 21 3.15.10 Security Arrangements .................................................................................. 21 3.15.11 Healthcare ..................................................................................................... 21 3.15.12 Labor Reporting Office................................................................................... 21 3.15.13 Labor Transport ............................................................................................. 21 3.15.14 Work Uniform and Health Safety Equipment.................................................. 21 3.15.15 Signage ......................................................................................................... 22 3.15.16 Lighting and Illumination ................................................................................ 22 3.16 Safe Design Criteria ............................................................................................... 22 3.17 Estimated Project Cost ........................................................................................... 22 4.0 Baseline Study of Project Area..................................................................................... 23 5.0 Environmental Impact Assessment and Mitigation Measures ....................................... 24 5.1 Explanation of Impact Assessment......................................................................... 24 5.1.1 Site for Disposal of Waste Construction Material ........................................... 24
  • 3.
    3 5.1.2 Location ofLabor Camps, Material Depots, Equipment Yards and Approach Roads ...................................................................................................................... 24 5.1.3 Contamination from Diesel and Other Oil Spills from Construction Machinery 24 5.1.4 Damage to Roads, Cross Drainages.............................................................. 25 5.1.5 Release of Construction Water and Dumping of Soil...................................... 25 5.1.6 Impact of Borrowing Material from Earth Borrow Sites ................................... 25 5.1.7 Impact on Roads/Infrastructure used for Transport of construction Materials..25 5.1.8 Impact of Stone Quarrying ............................................................................. 26 5.1.9 Impacts on Surface Water.............................................................................. 26 5.1.10 Source of Drinking Water............................................................................... 26 5.1.11 Protection of Construction Work from Floods................................................. 26 5.1.12 Effect on Surface Flow Conditions ................................................................. 27 5.1.13 Dust and gaseous Emissions from Construction Machinery or Asphalt Plants 27 5.1.14 Noise ............................................................................................................. 27 5.1.15 Impact on any Stream or Water Body ............................................................ 27 5.1.16 Damage to Fish and Fisheries ....................................................................... 28 5.1.17 Loss of Structures.......................................................................................... 28 5.1.18 Removal of Trees........................................................................................... 28 5.1.19 Temporary Land Acquisition .......................................................................... 28 5.1.20 Infrastructure within RoW............................................................................... 29 6.0 Environmental and Social Monitoring Plan (ESMP)...................................................... 30 6.1 Institutional Arrangements...................................................................................... 30 6.2 Mitigation Plans ...................................................................................................... 31 6.3 Environmental Monitoring....................................................................................... 47
  • 4.
    4 LIST OF FIGURES Figure‎1.1: Project Area Location 9 Figure ‎1.2: Project Location 10 Figure ‎3.1: Pictorial View of Project Road 14 Figure ‎3.2: Typical Cross Section of Road in Built-up Area 16 Figure ‎3.3: Typical Cross Section of Road In Rural Area 17 Figure ‎6.1: organogram for implementation of EMP 31 LIST OF TABLES Table ‎3.1: Key Project Features / Structures 12 Table ‎3.2: Main Features along the Alignment 13 Table ‎3.3: Design Criteria 14 Table ‎3.4: Estimated Work 15 Table ‎3.5: Construction Material Requirement 15 Table ‎3.6: Raw Material Availability 18 Table ‎3.7: Machinery Requirement 19 Table ‎3.8: Equipment and Installation 19 Table ‎3.9: Illustrative Distribution of Labor 20 Table ‎6.1: Environmental Impacts during Construction Phase 31 Table ‎6.2: Social Impacts 40 Table ‎6.3: Operational Phase 46 Table ‎6.4: Cost Estimates for Environmental Management 47
  • 5.
    5 LIST OF ACRONYMS AASHTOAmerican Association of State Highway and Transportation Officials ACE Associated Consulting Engineers ACI American Concrete Institute ADB Asian Development Bank AIDS Acquired immune deficiency syndrome ASTM American Society for Testing and Material BHU Basic Health Unit BOD Biochemical Oxygen Demand BOQ Bill of Quantities COD Chemical Oxygen Demand COI Corridor of Impact DDE Deputy Director Environment DEMM Donors Environmental Monitoring Mission EA Environmental Assessment EIA Environmental Impact Assessment EIRR Economic Internal Rate of Return EMMP Environment Mitigation and Monitoring Plan EMP Environment Management Plan EPC Environmental Protection Council ESC Environmental Supervision Consultant FHA Frontier Highways Authority FIDIC Fédération Internationale Des Ingénieurs-Conseils (International Federation of Consulting Engineers) GoKP Government of Khyber Pakhtunkhwa GoP Government of Pakistan HIV Human Immunodeficiency Virus HSE Health Safety Equipment IEE Initial Environmental Examination IEM Independent Environmental Monitor ISMZ Indus Suture Melange Zone JUI Jamiat–i–Ulmai–Islam KP Khyber Pakhtunkhwa M&E Monitoring and Evaluation MBT Main Boundary Thrust MDTF Multi Donor Trust Fund MMT Main Mantle Thrust NCS National Conservation Strategy NDIR Non Dispersive Infra Red NEQs National Environment Quality Standards NGOs Non–Government Organizations NHA National Highway Authority NOC No Objection Certificate NWFP North West Frontier Province O&M Operation and Maintenance
  • 6.
    6 OP Operational Policy Pak–EPAPakistan Environment Protection Agency PCO Public Call Office PEPA Pakistan Environmental Protection Agency PEPC Pakistan Environment Protection Council PHED Public Health Engineering Department PKR Pak Rupees PkHA Pakhtunkhwa Highways Authority PM Project Manager PMC Project Management PMAP Pakhtunkhwa Milli Awami Party PML Pakistan Muslim League PPC Pakistan Penal Code PPE Personal Protective Equipment PPP Pakistan People’s Party PR Public Relations PSDP Public Sector Development Project PSQCA Pakistan Standards Quality Control Authority PTCL Pakistan Telecommunication Limited PTV Pakistan Television RE Resident Engineer RoW Right of Way SFA Social Framework Agreement SPM Suspended Particulate Matter UBC Uniform Building Code VOC Vehicle Operating Cost WAPDA Water and Power Development Authority WB World Bank WHO World Health Organization XEN Executive Engineer
  • 7.
    7 1.0 Introduction This documentpresents the Environmental Impact Assessment of the additional 1.0 km long segment of Janwarn (Dadahara) - Dadahara Road, which runs almost parallel to River Swat on its right bank, in Swat District of Khyber Pakhtunkhwa (KP) province of Pakistan. The EIA for the 10.5 km long Sharif Abad to Kanju Road of the Chakdara - Kanju Road has already been approved by the EPA and an NOC has been issued on July 26, 2011 in this regard. Similarly NOC of the first addendum for an additional 3.00 km long Dadahara to Sharifabad has also been issued on October 10, 2012. Hence this document may be treated as a second addendum to the existing EIA approved by EPA. 1.1 Project Overview Road from Chakdara to Madyan was completely destroyed over a length of 95 km due to activities of insurgents and counter action by Pakistan Army. Of that the World Bank agreed to finance the upgradation and rehabilitation of a section from km-30+424 to km- 40+924, a length of 10.5 km from Sharifabad to Kanju. The design, execution and supervision of this road have been entrusted to Pakhtunkhwa Highways Authority (PkHA) at a cost of Rs. 680.33 Million. The 10.5 km section (from Sharif Abad to Kanju) of the Chakdara - Kanju Road is already under up gradation and rehabilitation and 60% of the project has been completed. During the original survey for resettlement it was found that around 200 houses, shops, and boundary walls etc. mostly in the towns of Kabal, Aligrama and Kanju had to be partially/mostly damaged or demolished. However, due to non-availability of space for relocation of houses and businesses around the mentioned towns, the rehabilitation works have now been restricted to the construction corridor instead of the ROW as originally planned within the urban areas so as to have minimum negative impacts on public/private buildings and valuable assets. This decision helped in minimizing negative impacts of road construction on one hand and savings on the other. Extensive savings resulted in the amount earmarked for land acquisition, resettlement, allowances to the APs and utilities shifting. Similarly, substantial savings in the amount reserved for civil works has been achieved. The above savings is being utilized in the upgradation and rehabilitation of additional 3.00 km length of the road and 60% of the 13.50 km long stretch has been completed. Due to further savings in the total project cost, an additional 1.00 km long section has been proposed for upgradation and rehabilitation which has been approved by the World Bank. (see location maps in Figures – 1.1 and 1.2).
  • 8.
    8 1.2 Implementation Sharifabad –Kanju Section of Chakdara – Madyan Road is sponsored by Government of KP (GoKP) with the financial assistance of the World Bank (WB) through Multi Donor Trust Fund (MDTF) and the work is in full swing. The additional one km segment of the road from Janwarn (Dadahara) to Dadahara will be upgraded and rehabilitated with further savings achieved in the amounts earmarked for resettlement and civil works for Sharifabad - Kanju Road and no additional funds will be required for up gradation and rehabilitation of this one km. For further details, please refer to the main EIA report of Sharifabad - Kanju Road and Addendum to the EIA for 3.00 km. 1.3 Project Classification The project only involves up gradation and rehabilitation of an existing road along an existing route of 1.00 km with no major changes in the Right of Way (RoW) of road in an area with little environmental and/or social sensitivity. Therefore, the project falls in Category “B” according to the World Bank’s Operational Policies. 1.4 Overview of the EIA As stated earlier, the EIA for the main project of Sharif Abad to Kanju Road has already been approved by the EPA with an NOC issued on July 26, 2011. Similarly NOC for an additional 3.00 km long Dadahara to Sharif Abad has also been issued on October 10, 2012. For the preparation of the mentioned documents, data was collected through field surveys, public consultation and literature research. Consultations were also carried out with the stakeholders. Prior to preparation of the Environment Management Plan (EMP), Screening and scoping of the study was carried out. Women consultations were carried out to create a gender balance. All related regulations and protocols were also discussed in that study. A comprehensive EMP prepared for the main project accompanied by an effective Environment Management Monitoring Plan (EMMP) and supported by an institutional arrangement will be used for this 1.00 km long stretch also. The total cost of managing the environmental aspects was worked out to be Pak Rs. 0.21 Million. The EIA and both the addendums at the end showed that potentially negative impacts associated with the proposed project were mostly moderate and reversible in nature, easily addressed with the help of appropriately designed and effectively implemented mitigation measures proposed in the report.
  • 9.
    9 Figure 1.1: ProjectArea Location
  • 10.
    Figure 1.2: ProjectLocation MADYAN CHAKDARA KANJU SHARIFABAD MDTF Sponsored Section Length: 10.5 Km. JANWARN (DADAHAR) A Additional Length: 3.0 km.Additional Length: 1.0 km. DADAHARA
  • 11.
    2.0 Policy, Lawand Protocols The policy framework, national legislation and international protocols applicable to the Sharifabad - Kanju Road are also applicable to this project. The project is expected to comply with the national legislation relating to environment in Pakistan and to obtain all regulatory clearances required. The project at the same time has to conform to the operational manuals of the donor and the environmental safeguards provided therein. OP Description Actions (OP 4.01) Environmental Assessment None of the potential impacts of the project are likely to be large scale, unprecedented and/or irreversible, the project has been classified as Category B An EMP has been developed for the mitigation of negative impacts (OP 4.12) Involuntary Resettlement The resettlement impacts of the project will be managed in accordance with this OP and addendum to Resettlement Action Plan is under preparation. (OP 4.36) Forestry None as OP 4.36 is not triggered (OP 4.09) Pest Management None as OP 4.09 is not relevant (OP 4.37) Safety of Dams None as OP 4.37 is not relevant (OP 7.50) Projects on International Waterways None as OP 7.50 is not relevant (OP 4.11) Cultural Property None as OP 7.50 is not unlikely (OP 4.10) Indigenous People None as OP 4.10 is not triggered (OP 7.60) Projects in Disputed Areas None as OP 7.60 is not relevant
  • 12.
    12 3.0 Description ofthe Project 3.1 Location The road is located on the right bank of the River Swat in the Swat district of KP province of Pakistan (see maps in Figures – 1.1 and 1.2). 3.2 Road Length The 10.5 km long Sharifabad to Kanju section of road is financed by the World Bank. The additional one km long segment will be upgraded and rehabilitated with the assistance of savings in the main project. 3.3 Existing Road Dimensions The existing RoW of the road is about 4.5 – 5.0 m wide. In consideration of proposed widening of the road and envisaged protection works both for hillside and valley side slopes, the RoW has been proposed to extend up to 12 m. However, to avoid the resettlement issues, proposed RoW will be reduced up to the available space and even at ribbon development areas, RoW may confined up to the existing RoW and broad cross section will be accommodated within the available space. (Source: Inception Report for Upgradation / Rehabilitation of Road from Chakdara to Madyan on Right Bank of Swat River). 3.4 Drainage Structures Key structures included in the project are given in Table 3.1. Table 3.1: Key Project Features / Structures Feature / Structure No / Description Culverts 5 Covered Side Drain On both sides of road in built up area Foot Path Covered side drain will be used as foot path 3.5 Link Roads No link road join the project road.
  • 13.
    13 3.6 Scope ofWork The scope of work and proposed improvements of the selected reach under the Rehabilitation / Upgradation of Chakdara – Madyan Road is described below:  Provision of culverts at suitable locations has been made in the design to carry the load of the surrounding areas.  A retaining wall will be provided where necessary to check the erosion of embankment by the rains or failure of the slopes due to scouring or otherwise.  A guard rail will be provided for embankment heights greater than 3.00 m.  No particular public facilities have been proposed except road furniture and signage.  Intersection of earthen/paved tracks will be improved. 3.7 Length–wise Description of the Project Length wise description of features along the alignment is given in Table 3.2: Table 3.2: Main Features along the Alignment Chainage Description 1. km 26+424 - km 27+424 The terrain of area is generally flat. The surrounding open land is used for agriculture. 3.8 Existing Road Condition The existing road passes through cultivated lands in plain area on the Right Bank of River Swat. The existing road is narrow and in poor condition. This section is about 1.00 Km in length and carries a little passenger and freight traffic. Overall condition of the road is very poor to fair. Major distress includes: Raveling, Cracking and Patching. Width of road is about 3.5 m at most location. This section from km 26+424 to km 27+424 is single lane and in poor condition. The pictorial view of project section is given in Figure 3.1.
  • 14.
    14 Figure 3.1: PictorialView of Project Road Winding road between fields Narrow road with fields on both sides 3.9 Design Criteria Design Criteria for horizontal and vertical alignment of project is given in Table 3.3. Table 3.3: Design Criteria Element / Design Parameter Unit For Plain & Rolling Terrain For Hilly Terrain For Mountainous Terrain Design Speed km/h 80 55 40 Width of Travel Way m 7.3 7.3 7.3 Out Shoulder Width m 2.0 2.0 2.0 Inner Shoulder Width m 2.0 2.0 2.0 Cross–slope Carriageway % 2 2 2 Cross–slope Shoulders % 4 4 4 Maximum Gradient % 4 7 9 Super-elevation Run–off m 43 33 30 Source: PC-I for Upgradation / Rehabilitation of Road from Chakdara to Madyan on Right Bank of Swat River The typical cross sections of project road for built up area and rural area are given in Figures 3.2 and 3.3. 3.10 Work and Material 3.10.1Estimated Work / Major Work Items Estimated quantum of work involved in project is given in Table 3.4.
  • 15.
    15 Table 3.4: EstimatedWork Works Quantity / Value Road Length 1.0 km Average Embankment Height 1.0 m Culverts 5 3.10.2Materials Requirement An estimate of quantities of different materials required for construction of project road is given in Table 3.5. Table 3.5: Construction Material Requirement Material / Item Unit Quantity Earth Work Excavation for Road and Structure Works cubic meters 9650 Formation of Embankment from Roadway Excavation and Borrow Material cubic meters 8764 Granular and Common Backfill for structures cubic meters 50 Granular Sub Base Course cubic meters 2000 Aggregate Base Course cubic meters 2200 Asphaltic Base course Plant Mix (Class–A) cubic meters 350 Asphaltic Concrete for Wearing Course (Class–B) cubic meters 690 Concrete cubic meters 850 Reinforcement Steel Ton 10
  • 16.
    Figure 3.2: TypicalCross Section of Road in Built-up Area Source: Design Drawings for Package-I, Phase-I, Sharifabad – Kanju Section of Chakdara to Madyan on Right Bank of Swat River
  • 17.
    17 Figure 3.3: TypicalCross Section of Road In Rural Area Source: Design Drawings for Package-I, Phase-I, Sharifabad – Kanju Section of Chakdara to Madyan on Right Bank of Swat River
  • 18.
    3.11 Raw MaterialAvailability Sources of different raw materials required for construction are given in Table 3.6. Table 3.6: Raw Material Availability Raw Material Availability Borrow material Along the Road Stones for retaining walls and rip rap. km 29+000, km 36+500 Stone for sub-base, aggregate base course, asphalt courses River Pit Run Gravel for sub-base, Dayar Shah Crushing plant located near km 27+000, & 36+000 for aggregate base courses and asphalt courses Bitumen Refineries in Karachi or Rawalpindi Asphalt Refineries in Karachi or Rawalpindi Brick Mardan Sand Sand of River Swat flood plain at km 24+500 Clean water for specific uses. Swat River Water Other water for compaction and sprinkling. Seasonal nullahs crossing the road Reinforcement Steel Nearby Market G.I. Pipes Nearby Market Cement Nearby factories 3.12 Machinery to be used The machinery like graders, batching plants, asphalt mixing plants and others already working on the project will be utilized as given in Table 3.7:
  • 19.
    19 Table 3.7: MachineryRequirement Machinery Quantity Graders 1 Tractors 2 Vibratory Rollers 01 Asphalt Mixing Plants 1 Stone Crushers 1 Batching Plants 1 Water Bowsers/Sprinklers 2 Oil Tankers 1 Haulage Trucks 3 Excavators / Loaders 2 Small Vehicles 2 Dozer – D–9, D–10 2 Shift Roller 3 Asphalt Machine 1 3.13 Equipment and Installations The equipment and installation already available on the project will be utilized as given in Table 3.8: Table 3.8: Equipment and Installation Equipment / Installation Quantity Fire Extinguishing Equipment 2 Electricity Generator 2 Water Pumping Equipment 2 Communication System 4 3.14 Construction Schedule The construction / upgradation / rehabilitation of Sharifabad – Kanju road has commenced in September 2011 and the work is due for completion by October 2013 with a completion time of two years. The additional length of 3+1 km will also be completed within the completion time of the main project. 3.15 Construction Logistics 3.15.1Work Base The work base has been setup almost in the middle.
  • 20.
    20 3.15.2 Labor Supply Thecontractor is contractually bound to employ maximum local people except for jobs the local expertise is not available. The Table 3.9 gives an illustrative picture of the labor employment. Table 3.9: Illustrative Distribution of Labor Type of Labor Local Non–local Total Skilled 40 60 100% Semiskilled 50 50 100% Unskilled 100 0 100% By and large the daily wage rates fixed by the local commissioner will be used. 3.15.3 Labor Camps Labor camp is located in Kabal Township on Sharifabad – Kanju Road. Although a majority of the labor force come from local sources, they get picked up and dropped by contractor transport. Some unskilled, most semiskilled and skilled workers may have to be brought in by contractor from far off towns who lives in camps. Due to its location near the work base, the camp makes the work access easy to the camp dwellers. 3.15.4 Machinery Maintenance and Equipment Yards The machinery and equipment has been accommodated in the open yard available near a petrol pump in km 33+000. The yard has enough storage and haulage space with ample moving and working space. The yard is walled provided with ample security staff. 3.15.5 Material Depots Near the work base, material depots for storing construction material with ample open space for storing stones shingles and bricks have been established. Store keepers to keep account of incoming and outgoing material have been deputed on these sites. 3.15.6 Machinery Repair Workshops The contactor has established his own workshop for repair of vehicles and other similar machinery at the Maintenance and Equipment Yards. 3.15.7 Approach to Work Bases Since, the work base has been established close to the road under construction, so already existing road provide easy access to the work base. Ample government land is available on either side for the project road which is used for making supplementary access road and paths to the work base.
  • 21.
    21 3.15.8 Petrol Pumpand CNG Pump The machinery and equipment has been accommodated in the open yard available near a petrol pump in km 33+000 which also helps in avoiding any delay in construction work due to non-availability of diesel for his construction Machinery. 3.15.9 Camp Offices Adjacent to labor camp and adjacent to work base, the contractor has located camp offices in Kabal Township on Sharifabad – Kanju Road. 3.15.10 Security Arrangements Given the prevailing condition in the area where project is to be implemented, necessary security staff is essential. Enough security is provided at Work Base, Labor Camp, Material Store, Equipment Yards and location of the work in progress on the work site. Coordination with nearby Police, Army and Levy Units has also been ensured. 3.15.11 Healthcare With a large number of labor and employees working in the project of road construction, small accidents are expected to take place on all construction sites. Healthcare arrangements at site have been established by the contractor. 3.15.12 Labor Reporting Office Along the road and in work bases special areas have been marked where the labor can gather at the time of pick and drop, emergency or briefing and places have been clearly marked and kept open and clean and as per requirement equipped with public address system. 3.15.13 Labor Transport Arrangements have been made to pick and drop local labor every day. It helps them to spend nights of their households and render some services at home. This also keeps the camps less pressurized and manageable. 3.15.14 Work Uniform and Health Safety Equipment Road construction is a special job and the labor working on such work requires special protective uniforms and special HSE measures. It has been ensured that the labor engaged in breaking of stones, handling bricks, mixing concrete or mixing and laying asphalt have long boots overall dresses, goggles and safety hats. As an overall HSE measure anyone going into the construction area also wears safety hat.
  • 22.
    22 3.15.15 Signage During constructionon construction site in particular and on the entire road length in general, suitable signboards and traffic signs have been displayed at all along the length of the project road. This helps in forestalling any possible accidents. 3.15.16 Lighting and Illumination Suitable lighting arrangement have been made by the contractor over all work basis, work sites, camp sites machinery yard and material depots. This can help the contractor for extended working hours as well as security. If WAPDA electric supply is not available, electricity generators have been to be arranged on all spots where lighting is required. 3.16 Safe Design Criteria To meet international standards envisaged by the World Bank, the following design criteria have been adopted in the project:  Geometric Design : AASHTO  Material Testing : ASTM  Structure : ACI  Structure Loads : Class A – AA as per FHA approval  Seismic Design : UBC 97 and SIS Building Code based on Seismic Study Zone Maps  Curve Widening : 0.6 to 1.6 depending upon length 3.17 Estimated Project Cost Final design and drawings of the additional 1.00 km section have been finalized: This 1.00 km will be upgraded/rehabilitated within the financial assistance of Friends of Pakistan through the World Bank to the tune of US$ 8.0 million which is equivalent to about PKR. 680 million and no additional funds will be required.
  • 23.
    23 4.0 Baseline Studyof Project Area The road section under the proposed project passes through comparatively flat valley. The corridor is located in the watershed of Swat river which itself flows into the Kabul river. Climatically the area has cold winter and relatively mild summers. Rainfall is mainly received during monsoons and spring. The river Swat receives flash floods periodically. Extremely cold winds blow during winters. Ambient air is generally clean. No endangered species are reported in the selected reach of the section. No game reserves and wildlife sanctuaries exist in the vicinity of Project Area. Common mammals found in the area include Jackal, Fox, Porcupine, Jungle Cat, Hare, Rats, mice and other rodent mammals. Domestic animals include goats, sheep, buffaloes and cows. Also found on the higher snowy peaks are the wild mountain sheep (markhor, the national animal of Pakistan), black and brown bear, panther and musk deer. Common reptiles in the area include snakes, krait, frog, lizards. Scorpions and spider are other poisonous creatures of the area. No wetland lies within close vicinity of the Project corridor except Swat River which flows all along the Project route. But it is not functioning as wet land due to high velocity and absence of pounding actions. Vegetation of the project area falls under humid–temperate latifoliate forest. Dominate tree species consists of Chir. Shisham, Mulberry, Bakain, Eucalyptus, Rubinea and Kao are the other varieties found in the project area. Fruit trees in Project Area include Apple, Pear, Peaches, Walnut and Guava. Grasses consist of Nari, Lavindar, Deela, Trakla. Rich ground flora of many herbs including vibrunum, lonicera. A number of medicinal plants are found in the area including Tarkha (Artemizia species), Unab (Zizyphus Sativa), Althea (Althaca Officinalis), Banafsha (Viola serpens), Mushki Bala (Valeriana species) and Sufed (Asparagus species). No endangered floral species were reported in the Project Area. Swat River is endowed with Brown Trout Fish which is allowed to be caught by angling under license from Fisheries Department. There are no protected areas or endangered species in the area. There is no industry in the area. Agriculture is restricted to comparatively flat areas or terraces. Jirga system is still the most dependable social unit. Almost 100 percent population is Muslims. Women form a less favored section of the society. Child labor is common. Further details of the baseline conditions are presented in the main EIA report.
  • 24.
    24 5.0 Environmental ImpactAssessment and Mitigation Measures 5.1 Explanation of Impact Assessment This section provides a brief explanation of key potential impacts suggesting mitigation measures for the adverse impacts. 5.1.1 Site for Disposal of Waste Construction Material Due to some cutting involved, there may be surplus earth or waste construction material which needs disposal. Mitigation The construction waste material will be disposed off in allowed/approved selected barren spots. No waste material will be thrown into the river or water bodies. 5.1.2 Location of Labor Camps, Material Depots, Equipment Yards and Approach Roads The labor camps, material depot, equipment yard and approach roads has been located on either side of the road at suitable locations. Mitigation The contractor, in consultation with RE, selected the location of all these facilities at suitable locations. 5.1.3 Contamination from Diesel and Other Oil Spills from Construction Machinery Any leakage or spillage of diesel, oil or any other chemical will contaminate the soil which may in turn impact the water sources, nearby community and/or productive land. Mitigation Contractor apply strict rules on his workers and labor to ensure that no spill or leakages are caused. All fuels, oils and bitumen are stored appropriately, to check containment in case of leakage. If the spills or leakages do take place, it is followed by the treatment prescribed in the EIA report.
  • 25.
    25 5.1.4 Damage toRoads, Cross Drainages Damage to roads, cross drainages can arise through carelessness of the heavy machinery drivers or operators if the drivers/operators are not made aware, trained and bound to be careful. Mitigation Contractor will impose strict control over operators and drivers of all types of vehicles to minimize any damage to roads or structures. Should any damage take place, the contractor will carry out repairs immediately. 5.1.5 Release of Construction Water and Dumping of Soil Uncontrolled release of construction water or dumping of excess soil/rubbles can destroy/damage the nearby structures, slopes, and private property, potentially leading to significant damage. Mitigation The contractor will make arrangements to avoid such leakages, uncontrolled releases, and dumping of soil/rubbles. Should such leakage develop, the contractor must remain fully prepared to immediately control the discharge. 5.1.6 Impact of Borrowing Material from Earth Borrow Sites A large quantity of earth will be removed from borrow pits located within the state land on either side of the road. This can potentially cause slope instability, loss of soil/land productivity, uneven terrain, and altered drainage. Mitigation The borrow areas will be selected after obtaining approval from the RE. The contractor will ensure that the borrowing does not cause slope instability, loss of soil/land productivity, uneven terrain, and altered drainage. 5.1.7 Impact on Roads/Infrastructure used for Transport of construction Materials including Asphalt, Bitumen Transport of construction machinery, construction material and construction workers will cause additional wear and tear of the roads/infrastructure and raise considerable dust. Mitigation The contractor will be responsible to repair any damage caused to the local infrastructure by the construction activities. Water sprinkling will be carried out where necessary to minimize dust emissions.
  • 26.
    26 5.1.8 Impact ofStone Quarrying Inappropriate quarrying practices can lead to unstable slopes, risk of landslides, loss of top soil, and damage to the natural vegetation. Mitigation The government-approved quarry will be selected after obtaining approval from the RE. It will be ensured that the quarrying does not significantly affect the slope stability, top soil, and natural vegetation of the area. 5.1.9 Impacts on Surface Water Inappropriate waste disposal can potentially contaminate the water bodies in turn affecting the local communities and aquatic biodiversity. Mitigation No untreated effluents will be released to the environment. For the toilet waste, the contractor will establish/install appropriate waste treatment system (such as septic tanks and soaking pits) at the site facilities (offices, camps, others). The waste water from kitchen and toilets can be released in soaking pits or used for plantation/water sprinkling. Oily water must be passed through a settling tank. 5.1.10Source of Drinking Water The construction activities can potentially damage/affect the drinking water sources of the communities. The usage of unsafe water by the construction workers can cause health problems. Mitigation It will be ensured that the drinking water sources of the communities are not affected. The contractor will repair/replace/compensate for any damages caused by the construction activities. The contractor will make arrangements to supply safe drinking water to its staff and workers. 5.1.11Protection of Construction Work from Floods Floods and heavy rains can potentially affect the construction works. Mitigation A suitable flood warning system is required to alert the whole implementation unit to adapt ways and means to adapt safeguards against flesh floods in the river or
  • 27.
    27 ephemeral streams. Thecontractor will make fool proof arrangements in advance to protect the ongoing construction works from floods. 5.1.12Effect on Surface Flow Conditions The road can potentially affect and disrupt the drainage pattern of the area. Mitigation Design Engineer will ensure provision of appropriately sized side drains, to avoid negative impacts on the local drainage pattern. Contractor will follow the design specifications meticulously. 5.1.13Dust and gaseous Emissions from Construction Machinery or Asphalt Plants The construction activities and operation of vehicles and machinery will release exhaust emissions and also raise dust. Mitigation The contractor will ensure that its vehicles, machinery, and generators are properly designed and maintained, and comply with the applicable NEQS. The asphalt plant will not be operated without properly functioning dust control system such as wet scrubber. Water will be sprinkled where necessary to control the dust emissions. 5.1.14Noise The construction activities will generate noise, which can potentially affect the communities, wildlife, and also the construction workers. Mitigation The contractor will strictly follow the NEQS for ambient noise. 5.1.15Impact on any Stream or Water Body Some stream or water bodies may be affected or blocked by construction of the road. Mitigation No dumping will be allowed in a stream or a water body. All streams running across the road will have culverts or causeways. All streams running parallel to road will be embanked.
  • 28.
    28 5.1.16Damage to Fishand Fisheries Inappropriate waste disposal in the river water can affect the aquatic fauna. Mitigation No untreated waste, excess soil, or garbage will be dumped in the river. River and streams will not be blocked by the construction activities. No hunting, trapping, or fishing by the construction workers will be allowed. 5.1.17Loss of Structures Although people have encroached the government land within the one km long stretch, but due to availability of ample space for blacktopped road and the policy of rehabilitation within the available corridor of construction, no structure will be affected. 5.1.18Removal of Trees Total number of public/private fruit bearing / non fruit bearing trees falling within the proposed RoW comes to about 88. The information in respect of number and ownership of the trees by type will be submitted in the summarized form and details will be provided in addendum to SIA report. Compensation A compensation will be paid to the owners in accordance with the procedures set out in the addendum to SIA/Resettlement Action Plan (RAP). Compensatory tree plantation will be carried out for Forest Department owned trees and for each tree removed, five saplings will be planted. Depending upon the total number of trees (as per SIA and RAP report), saplings will be planted by Forest Department for which adequate provision will be made in the Budget. The Project will ensure appropriate care and monitoring of this plantation. 5.1.19Temporary Land Acquisition Land required for establishing contractor’s facilities including camp, workshop, plants, borrowing earth material and dumping excess spoil will be acquired directly from private landowners by the contractor. The provisions of the Land Acquisition Act, 1894 will not be invoked under the proposed Project, as the acquisition of the land will be temporary and will be covered by short–term lease agreements between the landowners and contractors under the approval of the Project Engineer. Rental terms will have to be negotiated to the satisfaction of the landowners concerned. Compensation
  • 29.
    29 The staff ofthe PKHA and supervisory Consultants will monitor the process of restoration and ensure, through the terms of the construction contracts, that landowners are compensated according to the terms of the lease agreements, and the restoration actions agreed upon by the contractors are duly carried out. The photo–documentation of the existing land prior to temporarily acquisition should be available, which will be beneficial to resolve the restoration conflicts between the landowner and contractor. Similarly, prior to the commencement of construction activities, the Contractor will carry out base line survey for selecting the camp sites, dumping sites, public and community/private owned utilities, in conformity with the requirements of SIA study. The contractor will submit a development plan to the Engineer–in–charge, district government and EPA (KP), for its scrutiny and approval. Where the use of agricultural land is unavoidable for borrow of earth material, the top 30 cm of the plough layer will be stripped and stockpiled for redressing the land after the required borrow material has been removed. In case deep ditching is carried out, the top 1 m layer of the ditching will stripped and stockpiled. The ditch will initial filled with scrap material from construction then leveled with the stockpiled topsoil to make it even with the rest of the area. It shall be ensured that the scrap does not contain any material that may produce obnoxious material that would contaminate soil or water resources. Barren lands or valley side slopes will be used for dumping the excavated spoil material. Appropriate sites have to be located along the road for this activity. These facilities will be regularly monitored and cleaning activities implemented during operation phase to improve the cross drainage facilities of area. 5.1.20Infrastructure within RoW No public infrastructures such as schools, hospitals or offices fall within RoW. However, 5 electric poles and 4 telephone poles falling within the RoW will be relocated through their respective departments. Budgetary provisions for this activity have been made. Mitigation The survey has revealed that construction of project will affect 4 telephone and 5 electric Poles. The per unit relocation cost of these utilities were arrived at after having discussions with the officials of these departments and are provided as under.  Electric Pole Rs. 35,000 per Unit  Telephone Pole Rs. 15,000 per Unit Total cost of relocating the utilities works out to be Rs.235,000 (Rs. 175,000 for electric poles and Rs. 60,000 for shifting of telephone poles).
  • 30.
    30 6.0 Environmental andSocial Monitoring Plan (ESMP) Main instrument of recognition of the Environmental Impact is the Environment Management Plan (EMP). Implementation of the EMP will be the contractual obligation of the Contractor. For that he has engaged full time technical staff capable of a carrying out the prescriptions of the EMP as contractual obligations under the contract document. The Engineering Supervision Consultants have on their team a full time professional level Environmental Expert to provide an overall professional cover to the environmental monitoring process and the procedures and initiate required reports and point out any gaps in the implementation of the mitigation measures or enforcement of the prescriptions of the EMP. In KpHA there is an Environmentalist, who monitors and evaluates (M&E) application of environmental measures at detailed design, bidding and construction stages. The result of M&E activities will be included as routine element of reports prepared by the Project Manager for KpHA. The monitoring program will comprise site inspection designed to determine contractor’s compliance or otherwise with EMP and applicable regulations and statutes. To assessment and address the social aspects of the project, a separate social assessment has been conducted, during which social impacts and their mitigation have been identified in detail. In addition, social impacts will be managed through the Social Framework Agreement through DD (Env.), as representative of the KpHA, RE, the Contractor and the Communities living in the vicinity of the project area. 6.1 Institutional Arrangements The existing organogram of the KpHA is already adequate (see Figure – 8.1) wherein a Deputy Director Environment is already functioning. The Consultants have a professional level Environmental Expert on their panel.
  • 31.
    31 Figure 66.1: organogramfor implementation of emp 6.2 Mitigation Plans Table 66.1: Environmental Impacts during Construction Phase Impact Mitigation Responsibility Mitigation Measure Contract and Social Framework Agreement (SFA) Clauses Implementation Supervision Monitoring 1. LAND RESOURCES 1.1 Site for disposal of waste construction material Controlled disposal of the waste construction material on agreed site per agreed method. The area to be leveled and contoured after disposing excess material. No waste will be thrown in the river or other water bodies. Contractor’s obligation as defined in the Tender and Contract Documents Contractor in Collaboration with RE Supervision Consultants through Environmental ist of supervision consultant (ESC) (i) Deputy Director Environment (DDE) (ii) Independent Environmental Monitor (IEM) (iii) Donor’s Environmental Monitoring Mission (DEMM) 1.2 Landslides, or unstable soil Local readjustments in foundation treatment or any other small changes will be allowed to the contractor by the Resident Engineer (RE). Contractor will make all arrangements to Contractor’s obligation as defined in contract and the Tender document Contractor and RE ESC (i) DDE of FHA (ii) IEM (iii) DEMM Pakhtoonkhwa Highways Authority Donors Environmental Monitoring Mission (DEMM) Contractor’s Environmentalist Contractor Environmental Supervision Consultant (ESC) Resident Engineer (RE) Project Director Donor Deputy Director Environment (DDE) Resident Engineer (RE)
  • 32.
    32 Impact Mitigation Responsibility Mitigation Measure Contractand Social Framework Agreement (SFA) Clauses Implementation Supervision Monitoring avoid any land slide caused by the construction activities; remedial actions will be undertaken in case of any such slide. 1.3 Location of camps, materials, equipment and special approach routes and roads The contractor in consultation with RE, selected the location of all these facilities. The camp/other site facilities have been established on a flat land without much natural vegetation, at least. Contractor’s obligations to locate these sites in agreement with RE as per contract and community obligation as per SFA Contractor and RE ESC (i) DDE of FHA (ii) IEM (iii) DEMM 1.4 Any natural disasters such as heavy rains, floods and earthquakes Contractor in consultation with RE and local community will resolve the issues, in the best interest of the PkHA. Neither party will, however, be held responsible for any force majeure. Contactor’s obligation defined in the Tender and contract data and SFA with community Contractor and RE ESC (i) DDE of FHA (ii) IEM (iii) DEMM 1.5 Rehabilitation of project extraction sites and storage materials The borrow areas have been selected after obtaining approval from the RE such that the borrowing does not cause slope instability, loss of soil/land productivity, uneven terrain, and altered drainage. Contactor’s obligation defined in the Tender and contract data Contractor and RE ESC (i) DDE of FHA (ii) IEM (iii) DEMM 1.6 Stabilization of slopes on earth fill works Appropriate design for protection and minimizing effects of cross flow of streams. Contractor to take all necessary measures for stabilization of slopes. Preferably whole of problem ought to be mitigated through design For any further eventuality, it is contractor’s obligation to minimize the impact Contractor and RE ESC (i) DDE of FHA (ii) IEM (iii) DEMM 1.7 Agriculture land destruction Cuts, fills, digging and borrow operations to be controlled. Disposal of waste material to be controlled. any damage to the agriculture land Contractor’s obligations refrain from entering into unauthorized agricultural land to be defined in the contract document clearly. Also clause in SFA Contractor and RE ESC (i) DDE of FHA (ii) IEM (iii) DEMM
  • 33.
    33 Impact Mitigation Responsibility Mitigation Measure Contractand Social Framework Agreement (SFA) Clauses Implementation Supervision Monitoring and/or crops to be compensated. 1.8 Contamination from diesel and other spills from construction machinery Contractor will apply strict rules on his workers and labor to ensure that no spill or leakages are caused. All fuels, oils and bitumen are stored appropriately for containment in case of leakage. The contractor employs the general criteria for oil and leakage at construction sites, as per standards set forth by “Guide Lines for Oil Spill Waste Minimization and Management” issued by International Petroleum Industry Environmental Conservation Associate Contractor’s obligation defined in the Tender and contract data Contract and RE ESC (i) DDE of FHA (ii) IEM (iii) DEMM 1.9 Damage to Roads, Cross Drainages Contractor will prepare standard operating procedures and impose strict control over operators and drivers of all types of vehicles to minimize any damage to roads or structures. Should any damage take place, the contractor will carry out repairs immediately. An effective sinology and a good traffic plan can reinforce the instructions to drivers. Contract document and drawings to clearly spot such points and contract document may make it contractor’s obligations to make temporary arrangements. Contract and RE ESC (i) DDE of FHA (ii) IEM (iii) DEMM 1.10 Earthen embankment or concrete work edge scouring on the Protection Bunds or on main sill structure Edge scouring of earthen embankments or concrete work have been dealt at design stage. During the construction phase this aspect should Contract document and drawings to indicate such spots and to make it contractor’s obligation to not to allow scouring. Contract and RE ESC (i) DDE of FHA (ii) IEM (iii) DEMM
  • 34.
    34 Impact Mitigation Responsibility Mitigation Measure Contractand Social Framework Agreement (SFA) Clauses Implementation Supervision Monitoring be addressed through appropriate construction methodology and employing appropriate techniques such as protection walls and rip rap. Contractor will repair all damages to the earthen embankments, concrete works, or pavement edges caused by the construction works. 1.11 Release of Construction Water and Dumping of Soil The contractor will make adequate arrangements to avoid such leakages, uncontrolled releases, and dumping of soil/rubbles. Should such leakage develop, the contractor must remain fully prepared to immediately control the discharge. The contractor will be liable to pay for or repair such damages. Provision in the Tender and contract documents and drawings Contract and RE ESC (i) DDE of FHA (ii) IEM (iii) DEMM 1.12 Any discharge spill or dumping onto any building or house on the bank of the road It will be protected by a wall, retaining walls or rip–rap works as the case may be Contract document and drawing Contract and RE ESC (i) DDE of FHA (ii) IEM (iii) DEMM 1.13. Impact on Roads/Infrastructur e The contractor will be responsible to repair any damage caused to the local infrastructure by the construction activities. Water sprinkling will be carried out where necessary to minimize dust emissions. Contract document and drawing Contract and RE ESC (i) DDE of FHA (ii) IEM (iii) DEMM 1.14. Impacts of stone quarrying The government- approved quarry has been selected after obtaining approval from the Contract document and drawing Contract and RE ESC (i) DDE of FHA (ii) IEM (iii) DEMM
  • 35.
    35 Impact Mitigation Responsibility Mitigation Measure Contractand Social Framework Agreement (SFA) Clauses Implementation Supervision Monitoring RE. It will be ensured that the quarrying does not significantly affect the slope stability, top soil, and natural vegetation of the area. 1.15. Soil Compaction due to Labor Camps and Machinery Yards The contractor will restore the area under its temporary facilities. Photographs taken at the time of establishment of these facilities will be used for this purpose. Contract document and drawing Contract and RE ESC (i) DDE of FHA (ii) IEM (iii) DEMM 2. WATER RESOURCES 2.1 Impact of Sourcing of Construction Water The contractor will procure water from a source approved by the RE, and if necessary, after obtaining the community consent. It will be ensured that this procurement of water does not negatively affect the communities or other water users. Contract Documents and Contractor’s obligations Contract and RE ESC (i) DDE of FHA (ii) IEM (iii) DEMM 2.2 Diesel and other fluids spilling over to streams water from construction machinery The contractor will make all necessary arrangement to avoid any leakages or spills of fuels, oils and chemicals. In case of any accidental leakages, the procedures presented in Section 7.2.5 of the main EIA will be applied Contractor’s obligations to be clearly defined in contract document Contract and RE ESC (i) DDE of FHA (ii) IEM (iii) DEMM 2.3 Protection of construction work from flood river or any ephemeral streams A suitable flood warning system is required to alert the whole implementation unit to adapt ways and means to adapt safeguards against flesh floods in the river or ephemeral streams. The contractor will make Contractor’s obligation and drawings to keep contractor alert equipped against any such eventuality. He must be in touch with flood information centre. Contract and RE ESC (i) DDE of FHA (ii) IEM (iii) DEMM
  • 36.
    36 Impact Mitigation Responsibility Mitigation Measure Contractand Social Framework Agreement (SFA) Clauses Implementation Supervision Monitoring fool proof arrangements in advance to protect the ongoing construction works from floods, as per information received from the meteorological department or any other type of flood warning system. 2.4 Obstruction of flow of water across road The road design will include adequately designed bridges and culverts at the appropriate locations. The contractor will ensure that these water bodies/water courses are not blocked during the construction phase. Contractor’s obligation and coordination. Provisions in SFA to prepare communities. Contract and RE XEN of the area ESC (i) DDE of FHA (ii) IEM (iii) DEMM 1.5. Impacts on Surface Water No untreated effluents will be released to the environment. For the toilet waste, the contractor will establish/install appropriate waste treatment system (such as septic tanks and soaking pits – appropriately sized and located) at the site facilities (offices, camps, others). The waste water from kitchen and toilets can be released in soaking pits or used for plantation/water sprinkling. Oily water must be passed through a settling tank. The contractor will prepare a waste management plan and have it approved by the RE. Contractor’s obligations to be clearly defined in contract document Contract and RE ESC (i) DDE of FHA (ii) IEM (iii) DEMM 1.6. Source of Drinking Water It will be ensured that the drinking water sources of the communities Contractor’s obligations to be clearly defined in contract document Contract and RE ESC (i) DDE of FHA (ii) IEM (iii) DEMM
  • 37.
    37 Impact Mitigation Responsibility Mitigation Measure Contractand Social Framework Agreement (SFA) Clauses Implementation Supervision Monitoring are not affected. The contractor will repair/replace/comp ensate for any damages caused by the construction activities. 1.7. Effect on Surface Flow Conditions Design Engineer will ensure provision of appropriately sized side drains, to avoid negative impacts on the local drainage pattern. Contractor will follow the design specifications meticulously. During the construction phase, the contractor will make temporary drains and embankments where necessary to channel the runoff appropriately. Contractor’s obligations to be clearly defined in contract document Contract and RE ESC (i) DDE of FHA (ii) IEM (iii) DEMM 3. AIR QUALITY AND NOISE POLLUTION 3.1 Dust and smoke and other potential pollutants from construction machinery The contractor will ensure that its vehicles, machinery, and generators are properly designed and maintained, and comply with the applicable NEQS. The asphalt plant will not be operated without properly functioning dust control system such as wet scrubber. Water will be sprinkled where necessary to control the dust emissions. Contractor’s obligation defined in the Tender and contract documents Contract and RE ESC (i) DDE of FHA (ii) IEM (iii) DEMM 3.2 Dust or other pollutants from stored materials and spoil heaps The material being transported or stored at the stockpiles will be kept covered where necessary to avoid dust emissions. Contractor’s obligation defined in the Tender and contract documents Contract and RE ESC (i) DDE of FHA (ii) IEM (iii) DEMM 3.3 Smoke from burning of waste materials or burning The contractor use clean and smoke free fuel in the labor Contractor’s obligation defined in contract and Tender documents to Contract and RE ESC (i) DDE of FHA (ii) IEM
  • 38.
    38 Impact Mitigation Responsibility Mitigation Measure Contractand Social Framework Agreement (SFA) Clauses Implementation Supervision Monitoring of firewood in the labor camp. camp. Cutting and burning trees / shrubs for fuel is prohibited. Instead gas cylinders are used in the labor camp for cooking purposes. Similarly waste burning is not allowed. The contractor will prepare waste management plan and have it approved by the RE. refrain from burning waste material and fuel wood and to provide substitute for fuel wood e.g. gas cylinders (iii) DEMM 3.4 Noise control from use of old or outdated machinery The contractor will strictly follow the NEQS for ambient noise. All necessary measures such as noise barriers will be taken to reduce the noise particularly near the communities. The personal protective equipment (PPE) will be provided to the construction workers and its usage will be made mandatory. Contractor’s obligation defined in the Tender and contract documents Contract and RE ESC (i) DDE of FHA (ii) IEM (iii) DEMM 3.5. Physical Loss of Any Stream or Water Body No dumping will be allowed in a stream or a water body. All streams running across the road will have culverts or causeways. All streams running parallel to road will be embanked. Contractor’s obligation defined in the Tender and contract documents Contract and RE ESC (i) DDE of FHA (ii) IEM (iii) DEMM 4. Biological Resources 4.1 Damage to Biological resources during construction No clearance of vegetation or killing, hunting, or trapping of wild animal is allowed. Compensation will be paid for any tree cutting on the private land. Compensatory tree plantation will be carried out and for each tree removed, five saplings will be planted. The Contractor’s obligation in the contract to respect wildlife, Forest and Fisheries Laws. A special clause incorporated in the contract documents to respect and conserve biodiversity and conserve its terrestrial as well as aquatic habitat. To provide necessary Sign Boards to make labor, visitors and all concerned aware of their Contract and RE ESC (i) DDE of FHA (ii) IEM (iii) DEMM
  • 39.
    39 Impact Mitigation Responsibility Mitigation Measure Contractand Social Framework Agreement (SFA) Clauses Implementation Supervision Monitoring Project will ensure appropriate care and monitoring of this plantation. Camps and other temporary facilities will be established in a manner that minimizes loss of natural vegetation including trees. Borrow material will be obtained without causing any damage to the natural vegetation. obligations towards Biota. 4.2 Damage to Biological resources during construction Special checks from time to time in collaboration with local communities To facilitate inspections by Wildlife, Forest and Fisheries Officers to ensure a proper implementation of the relevant laws. To involve communities through SFA Contract and RE ESC (i) DDE of FHA (ii) IEM (iii) DEMM
  • 40.
    40 Table 6.2: SocialImpacts Social Risk Mitigation Responsibility Construction Stage Temporary Land Acquisition Land required for dumping excess spoil will be acquired directly from private landowners by the contractor. The provisions of the Land Acquisition Act, 1894 will not be invoked, as the acquisition of the land will be temporary and will be covered by short–term lease agreements between the landowners and contractors under the approval of the Project Engineer. Rental terms will have to be negotiated to the satisfaction of the landowners concerned.  The staff of the PkHA and supervisory Consultants will monitor the process of restoration and ensure, through the terms of the construction contracts, that landowners are compensated according to the terms of the lease agreements, and the restoration actions agreed upon by the contractors are duly carried out. The photo– documentation of the existing land prior to temporarily acquisition should be available, which will be beneficial to resolve the restoration conflicts between the landowner and contractor. Contractor, PE, DD (Env) PkHA Construction  As far as possible, waste / barren land i.e. areas not under agricultural, residential or forestation use, and natural areas will be used for borrow material (if required) and setting up project facilities. Contractor / PE Construction  Where the use of agricultural land is unavoidable for borrow of earth material, the top 30 cm of the plough layer will be stripped and stockpiled for redressing the land after the required borrow material has been removed. In case deep ditching is carried out, the top 1 m layer of the ditching will stripped and stockpiled. The ditch will initial filled with scrap material from construction then leveled with the stockpiled topsoil to make it even with the rest of the area. It shall be ensured that the scrap does not contain any material that may produce obnoxious material that would contaminate soil or water resources. Contractor / PE Construction  Barren lands or valley side slopes will be used for dumping the excavated spoil material. Appropriate sites have to be located along the road for this activity. Contractor / PE Construction  These facilities will be regularly monitored and cleaning activities implemented during operation phase to improve the cross drainage facilities of area. DD (Env),PkHA Operation
  • 41.
    41 Social Risk MitigationResponsibility Construction Stage Increased risk of accidents caused by partial closure of road during construction  During construction activities, traffic flow will be disturbed. At sections passing through populated areas, there will be limited scope for providing diversion tracks for the mobility of local and thorough traffic that will increase the risk of accidents.  Proper site specific measures will be carried out in consultation with supervisory consultants to ensure the safety of population residing along and around the project corridor. Site specific Traffic Management Plans (TMPs) will be prepared and implemented by the Contractor with the approval of the Project Engineer. Contractor / PE Construction  Taking necessary measures to ensure the safety of traffic during construction, including barricades (including signs, pavement markings, flags, and lights) erected as required by the FHA and set up as per local regulations. Contractor / PE Construction  Coordinating construction work such that part of the carriageway at a time is upgraded leaving the other part available to serve one way traffic. Construction work will be carried out in small stretches instead of a long stretch. Contractor / PE Construction  As a result of road improvement the traffic volume will increase during operation stage, there may be safety hazards for the locals residing along the edge of the road as well as vehicular traffic.  During operation stage PkHA will make arrangements with some organization / contractor for proper maintenance and operation of the road. Periodic inspections will be made by contracted firm to identify the problem areas and their remedial measures. For this purpose the firm should be fully equipped and there should be contingency plan in case of any emergency / natural disaster. PkHA Operation Problems to Health and Safety of Labor and Employees on Construction Work and Provision of Safety Equipment to Workers on Site.  Occurrence of accidents / incidents during the construction activities, particularly from excavation activities is common. The workers and general public residing along the project corridor or near the work sites will particularly be at risk.  Complying with the safety precautions for construction workers as per International Labour Organization (ILO) Convention No. 62, as far as applicable to the project contract. Contractor / PE Construction  Training of workers in construction safety procedures, social awareness, equipping all construction workers with safety boots, helmets, gloves, and protective masks, and monitoring their proper and sustained usage. Contractor / PE Construction
  • 42.
    42 Social Risk MitigationResponsibility Construction Stage  Contractor staff while on work may get injuries.  Contractor will ensure the provision of medicines, first aid kits, vehicle, etc. at the camp site. Contractor / PE Construction Gender Issues  According to the findings of the socioeconomic survey, the rural women normally use the open field latrines and their privacy may suffer due to the project activities. Moreover, they actively participate in other outdoor socioeconomic activities such as livestock rearing, bringing of potable water, etc which may also be affected by the project activities.  The Contractor will select the specific timings for the construction activities particularly near the settlements, so as to cause least disturbance to the local population particularly women. Contractor / PE Construction  The Contractor will carry out the construction activities in such a way that the open field latrine usage timings by the local community particularly women, should not be affected. The normal timings to use the toilet facilities by the rural women are early in the morning and at late in the evening. So, the Contractor will have to take care of these timings. Contractor / PE Construction  The induction of outside labor may create social and gender issues due to the unawareness of local customs and norms. It may also cause hindrance to the mobility of local women for working in the field, herding livestock, picking fuel wood, etc.  Contractor will take due care of the local community and observe sanctity of local customs and traditions by his staff. Contractor will warn the staff strictly not to involve in any un–ethical activities and to obey the local norms and cultural restrictions particularly with reference to women. Contractor / PE Construction  During construction activities, if privacy of the nearby households is affected, the Contractor will inform the house owner to make some arrangements. Similarly, Contractor will take care as much as possible that the construction activities should not affect the privacy particularly with reference to women. Contractor / PE Construction
  • 43.
    43 Social Risk MitigationResponsibility Construction Stage Social Conflicts and Employment of Locals on the Project The presence of outside construction workers may cause some degree of social disruption and even active disputes with the local community as a result of social / cultural differences. This particularly relates to the disruption of the privacy of women working in the fields or even in the yards of their houses, should the house lying at lower elevation than the working sites. Likewise the risk of theft of the community assets by the Contractor workers and vice versa may occur.  Good relations with the local communities will be promoted by encouraging Contractors to provide opportunities for skilled and unskilled employment to the locals, as well as on–the–job training in construction for young people. Contractor will restrict his permanent staff to mix with the locals to avoid any social problems.  The Contractor will warn the workers not to involve in any theft activities and if anyone would involve in such type of activities, he will have to pay heavy penalty and would be handed over to police. Similarly, at the time of employing, Contractor has to take care that the workers should be of good repute. The Contractor camp will be properly fenced and main gate will be locked at night with a security guard to check the theft issues from community side. Contractor / PE Construction Rise in the Prices of Essential Commodities Due to induction of outside labour for project works, the demand for basic items will increase thereby causing an increase in the prices of essential commodities The project will exert no negative impacts on the prices of essential commodities. It is estimated that project will employ skilled and un– skilled staff. Most of the un–skilled labour will be recruited from the local areas. As such there will be no extraordinary increase in the demand for essential or other commodities. The Contractor, will, however, be required to maintain the field camps supplies from the main Mingora market. Contractor Construction Use of Local Water Supplies and Other Common Resources  Local water supplies will be required to meet campsite and construction requirements, bringing its use into competition with the use by the local communities.  The contractor will explore the alternative water resource so that the existing community water resources are not impacted. No existing water source under the use of community will be exploited by the Contractor for campsite facilities as well as construction purposes. Contractor Construction
  • 44.
    44 Social Risk MitigationResponsibility Construction Stage  Local water may be affected due to implementation of project both in quantity as well as quality.  Availability of water for campsite facilities and construction purposes will be ensured by the Contractor prior to start of construction activities. As per Local Government Act, the contractor will seek approval from the local government for exploitation of the water resources. Contractor / PE / Local Govt.  The Contractor will be required to maintain close liaison with local communities to ensure that any potential conflicts related to common resource utilization for project purposes are resolved quickly. Contractor  The contractor will prepare guidelines for the workers for minimizing the wastage of water during construction activities and at campsites. Contractor Possibility of Spread of HIV / AIDS Amongst the Project labor and Adjoining Population  Contractor to arrange HIV / AIDS awareness programs in the field camps on regular basis by a qualified expert / doctor.  Contractor will provide recreational facilities such as playing volleyball of football after the work hours.  Similarly, he will provide indoor recreation in terms of radio and TV at the eating place.  The Contractor will ensure regular medical check–up of the camp staff from a qualified doctor on fortnightly basis. If any person found affected with any of the transmittal diseases will be immediately shifted from the camp to the hospital for detailed check–up and treatment. The cost will be borne by the Contractor.  Contractor will restrict his permanent staff to mix with the locals to avoid any social and health problems. Recreational Facilities for Public  The Contractor will ensure the restoration and rehabilitation of construction and camp sites on completion of the project. Contractor Post Construction
  • 45.
    45 Social Risk MitigationResponsibility Construction Stage  PkHA will develop parks particularly for children and ladies at appropriate sites along the road to provide them better recreational opportunities. This will also attract the outside tourists as well, thus increasing the incomes of the local people through increased socio– economic activities. PkHA Post Construction  FHA should carry out tree plantation along the road. Restricted Mobility  During the construction phase the general mobility of the local residents and their livestock in and around the project area is likely to be hindered. Likewise access to the natural resource may be affected. This particularly implies to the women and children.  The contractor will ensure that the mobility of the local communities and their livestock is not hindered by the construction activities. The contractor will provide crossing points at the road at appropriate places to facilitate the people for going across the road for their daily works and having free access to the natural resources. Contractor / PE Construction  Construction activities, particularly excavation and movement of haul truck and machinery may disrupt the existing tracks leading from the main road to settlements. This will limit the accessibility of the local population to the main road.  Generally the contractor will avoid using the village tracks for hauling the construction material. However, if it is unavoidable, the existing ones will be widened, overlaid with shingle or surface treated to accommodate local as well as contractors traffic under the approval of the Project Engineer. Contractor / PE Construction
  • 46.
    46 Table 66.3: OperationalPhase 1. Strict application of prescribed Monitoring & Engineering plan Resident Engineering Executive Engineering Duty bound Works done through contractor to according to strict specification and in communication with communities Resident Engineer / XEN In charge of Highway Officer(s), authorized by FHA and Government of Khyber Pakhtunkhwa 2. Continuous evaluation of design efficiency Resident Engineering Executive Engineering Duty bound Works done through contractor to according strict specification and in communication with communities Resident Engineer / XEN In charge of the dual Highway FHA or Government of Khyber Pakhtunkhwa whosever is i/c of Supervision 3. Understanding and training of operational manual Resident Engineering Executive Engineering Duty bound Works done through contractor to according to strict specification and in communication with communities Resident Engineer / XEN In charge of the dual Highway FHA or Government of Khyber Pakhtunkhwa whichever is i/c of the road 4. Environmental Annual Audit Resident Engineering Executive Engineering Duty bound Works done through maintenance contractor to according to strict specification and in communication with communities Resident Engineer / XEN In charge of the dual Highway FHA or Government of Khyber Pakhtunkhwa whichever is i/c of the road 5. Regular Maintenance Resident Engineering / Executive Engineering Duty bound Works done through maintenance contractor to according to strict specification and in communication with communities Resident Engineer / XEN In charge dual Highway with the assistance of maintenance FHA or Government of Khyber Pakhtunkhwa whosever is i/c of the road 6. Staff welfare Resident Engineering Executive Engineering Duty bound Works done through contractor to according to strict specification and in communication with communities Resident Engineer / XEN In charge with the assistance of contractor FHA or Government of Khyber Pakhtunkhwa whosever takes over as i/c of the road 7. Continued Public Consultant Resident Engineer / Executive Engineering Duty bound Works done through contractor to according to strict specification and in communication with communities Resident Engineer / XEN In charge of the Highway with the assistance of contractor FHA or Government of Khyber Pakhtunkhwa whosever is I/c of the road 8. Continued Gender issues and women Consultants Resident Engineer / Executive Engineering Duty bound Works done through contractor to according to strict specification and in communication with communities. To have gender-neutral policy Resident Engineer / XEN In charge of the Highway with the assistance of contractor FHA or Government of Khyber Pakhtunkhwa whosever takes over the management and maintenance of the road 9. Refresher courses for the operational staff Resident Engineering Executive Engineering Duty bound Works done through contractor to according to strict specification and in communication with communities. Resident Engineer / XEN In charge Highway assisted of Consultant FHA or Government of Khyber Pakhtunkhwa whoever takes the management and maintenance of the road
  • 47.
    47 6.3 Environmental Monitoring Theenvironmental monitoring will be carried out with the help of checklists prepared on the basis of the Mitigation Plans given in EIA for Sharifabad - Kanju Road. These checklists will be filled by the contractor’s environment specialist on a regular basis, and provided to the ESC. All non-compliances recorded in the filled checklists will be followed up for remediation. The summary of filled checklists, non-compliances and remedial actions will be included in the progress reports. The total environmental management cost for the 1.00 km has been estimated to be about Rs. 0.21 Million. The social management cost will be reflected in the SIA & RAP report which is under preparation. Table 6.4: Cost Estimates for Environmental Management Environmental Component Quantity Amount Pak Rs. Details/Basis Tree Plantation 350 210,000 Cost includes plantation and maintenance up to three years Total Environmental Management Cost = 210,000