Embed presentation
Download as PDF, PPTX




















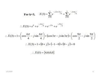
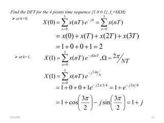
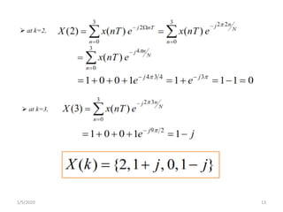
This document discusses the discrete Fourier transform and was prepared by Dr. Jami Venkata Suman of the ECE department at GMRIT. It defines the standard DFT pair and provides 20 pages of content about the discrete Fourier transform.



















