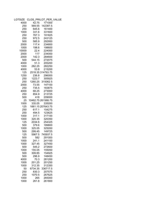
SYMBOL SPAN_PER_SHARE TOTAL_PER_SHARE EXPMGN_PERLOT SPAN_PER
                  EXPMGN_PER_SHARE  SPAN_PERLOT       TOTAL_PERLOT      EXP_PER TOTAL_PER
3IINFOTECH   8.44      2.14   10.58    33760     8560    42320   19.74         5   24.74
ABAN       125.18     28.48  153.66    31295     7120    38415   21.98         5   26.98
ABB         85.64     32.28  117.92    21410     8070    29480   13.27         5   18.27
ABGSHIP     48.19     17.31    65.5    48190    17310    65500   14.53      5.22   19.75
ABIRLANUVO 82.19      38.37  120.56 20547.5    9592.5    30140   10.71         5   15.71
ACC        104.75     48.63  153.38 26187.5 12157.5      38345   10.77         5   15.77
ADANIENT    76.59      29.3  105.89    38295    14650    52945   13.07         5   18.07
ADANIPOWER 12.59       5.87   18.46    25180    11740    36920   10.72         5   15.72
ALBK        25.56      9.93   35.49    25560     9930    35490   12.87         5   17.87
ALOKTEXT     4.72      1.12    5.84    47200    11200    58400   21.07         5   26.07
AMBUJACEM 12.59        5.85   18.44    25180    11700    36880   10.76         5   15.76
ANDHRABANK 16.51       7.12   23.63    33020    14240    47260     11.6        5    16.6
APIL        65.44     27.21   92.65    32720    13605    46325   12.03         5   17.03
APOLLOTYRE 9.55        2.57   12.12    38200    10280    48480   18.62         5   23.62
AREVAT&D    35.23     14.11   49.34    35230    14110    49340   12.48         5   17.48
ASHOKLEY     8.85      2.69   11.54    35400    10760    46160   16.45         5   21.45
ASIANPAINT 269.54    125.92  395.46 33692.5     15740 49432.5      10.7        5    15.7
AUROPHARMA 28.69      11.84   40.53 35862.5     14800 50662.5    12.12         5   17.12
AXISBANK   158.12     61.19  219.31    39530 15297.5 54827.5     12.92         5   17.92
BAJAJ-AUTO 134.87     63.01  197.88 33717.5 15752.5      49470     10.7        5    15.7
BAJAJHIND   14.27      3.68   17.95    28540     7360    35900     19.4        5    24.4
BAJAJHLDNG 79.17      36.78  115.95 19792.5      9195 28987.5    10.76         5   15.76
BALRAMCHIN 11.46       3.41   14.87    45840    13640    59480   16.79         5   21.79
BANKBARODA 92.06      42.75  134.81    23015 10687.5 33702.5     10.77         5   15.77
BANKINDIA   57.85      20.9   78.75    28925    10450    39375   13.84         5   18.84
BANKNIFTY 868.14     313.88 1182.02 21703.5      7847 29550.5       8.3        3    11.3
BATAINDIA    53.8     16.75   70.55    53800    16750    70550   16.06         5   21.06
BEL        177.79     83.06  260.85 22223.75 10382.5 32606.25      10.7        5    15.7
BEML       148.98     30.86  179.84    37245     7715    44960   24.14         5   29.14
BGRENERGY 105.71      24.73  130.44 26427.5    6182.5    32610   21.38         5   26.38
BHARATFORG 34.04      15.86    49.9    34040    15860    49900   10.73         5   15.73
BHARTIARTL 34.35      16.02   50.37    34350    16020    50370   10.72         5   15.72
BHEL       218.59    101.73  320.32 27323.75 12716.25    40040   10.74         5   15.74
BHUSANSTL 56.83       18.98   75.81    28415     9490    37905   14.97         5   19.97
BIOCON      34.95     16.25    51.2    34950    16250    51200   10.75         5   15.75
BOMDYEING 73.23       14.97    88.2    36615     7485    44100   24.45         5   29.45
BOSCHLTD 642.19      298.38  940.57 80273.75 37297.5 117571.25   10.76         5   15.76
BPCL        62.55      29.1   91.65    31275    14550    45825   10.75         5   15.75
BRFL        25.88     12.06   37.94    25880    12060    37940   10.73         5   15.73
CAIRN       35.05     16.37   51.42    35050    16370    51420     10.7        5    15.7
CANBK       80.98     27.26  108.24    40490    13630    54120   14.85         5   19.85
CENTRALBK 24.84        7.75   32.59    24840     7750    32590   16.02         5   21.02
CENTURYTEX 53.79      15.49   69.28    26895     7745    34640   17.36         5   22.36
CESC        44.66     14.85   59.51    22330     7425    29755   15.04         5   20.04
CHAMBLFERT 10.56       3.52   14.08    42240    14080    56320   15.02         5   20.02
CHENNPETRO 21.55      10.06   31.61    21550    10060    31610   10.71         5   15.71
CIPLA       33.44     15.62   49.06    33440    15620    49060   10.71         5   15.71
CNXIT      478.74    202.03  680.77    23937 10101.5 34038.5       7.11        3   10.11
COLPAL      88.94     41.52  130.46    22235    10380    32615   10.71         5   15.71
CONCOR     114.93     53.53  168.46 28732.5 13382.5      42115   10.74         5   15.74
COREPROTEC 56.18      13.25   69.43    56180    13250    69430     21.2        5    26.2
CROMPGREAV35.72       13.09   48.81    35720    13090    48810   13.64         5   18.64
CUMMINSIND     72    30.96   102.96   36000    15480   51480    11.63   5   16.63
DABUR        9.87     4.59    14.46   19740     9180   28920    10.75   5   15.75
DCB          7.84      2.1     9.94   31360     8400   39760    18.64   5   23.64
DCHL        17.08      4.2    21.28   34160     8400   42560    20.35   5   25.35
DENABANK    15.18     4.63    19.81   30360     9260   39620     16.4   5    21.4
DISHTV      10.66     3.14     13.8   42640    12560   55200    16.96   5   21.96
DIVISLAB    68.29    31.85   100.14   34145    15925   50070    10.72   5   15.72
DLF         34.81    12.21    47.02   34810    12210   47020    14.25   5   19.25
DRREDDY    160.77    74.84   235.61 40192.5    18710 58902.5    10.74   5   15.74
EDUCOMP     73.71    21.91    95.62   36855    10955   47810    16.82   5   21.82
EKC         16.08     3.68    19.76   32160     7360   39520    21.86   5   26.86
ESCORTS     22.61     5.38    27.99   22610     5380   27990    21.03   5   26.03
ESSAROIL     17.2     5.45    22.65   34400    10900   45300    15.79   5   20.79
EXIDEIND     17.2     6.12    23.32   34400    12240   46640    14.05   5   19.05
FEDERALBNK 44.5      18.47    62.97   44500    18470   62970    12.05   5   17.05
FINANTECH 109.97     38.32   148.29 27492.5     9580 37072.5    14.35   5   19.35
FORTIS      16.32     7.57    23.89   32640    15140   47780    10.79   5   15.79
FSL          3.82     0.87     4.69   30560     6960   37520    21.95   5   26.95
GAIL        47.95    22.34    70.29   23975    11170   35145    10.73   5   15.73
GESHIP      29.91    13.92    43.83   29910    13920   43830    10.75   5   15.75
GLAXO      239.52   111.92   351.44   29940    13990   43930     10.7   5    15.7
GMDCLTD      17.1     5.59    22.69   34200    11180   45380    15.29   5   20.29
GMRINFRA     9.74     1.89    11.63   38960     7560   46520    25.84   5   30.84
GODREJIND 22.74        8.4    31.14   22740     8400   31140    13.53   5   18.53
GRASIM     239.23    111.7   350.93 29903.75 13962.5 43866.25   10.71   5   15.71
GSPL        11.88     4.74    16.62   23760     9480   33240    12.54   5   17.54
GTL         44.62     20.8    65.42   22310    10400   32710    10.72   5   15.72
GTLINFRA     4.03     1.85     5.88   32240    14800   47040    10.88   5   15.88
GTOFFSHORE 39.33     12.89    52.22   39330    12890   52220    15.25   5   20.25
GVKPIL       6.33      1.4     7.73   50640    11200   61840    22.69   5   27.69
HAVELLS     46.47    15.22    61.69   23235     7610   30845    15.27   5   20.27
HCC          6.23     1.69     7.92   24920     6760   31680    18.43   5   23.43
HCLTECH     50.47    23.55    74.02   25235    11775   37010    10.72   5   15.72
HDFC         75.2    31.08   106.28   37600    15540   53140     12.1   5    17.1
HDFCBANK 221.09     103.31    324.4 27636.25 12913.75  40550     10.7   5    15.7
HDIL        33.05      6.9    39.95   33050     6900   39950    23.96   5   28.96
HEROHONDA 221.8      73.63   295.43   27725 9203.75 36928.75    15.06   5   20.06
HEXAWARE    17.39     5.08    22.47   69560    20320   89880    17.12   5   22.12
HINDALCO    30.58    10.61    41.19   61160    21220   82380    14.41   5   19.41
HINDOILEXP 30.76      8.45    39.21   30760     8450   39210     18.2   5    23.2
HINDPETRO 37.87       17.1    54.97   18935     8550   27485    11.07   5   16.07
HINDUNILVR 28.91     13.42    42.33   28910    13420   42330    10.77   5   15.77
HINDZINC   133.17    61.99   195.16 33292.5 15497.5    48790    10.74   5   15.74
HOTELEELA    5.13     1.86     6.99   20520     7440   27960    13.81   5   18.81
IBREALEST    19.2      5.7     24.9   38400    11400   49800    16.86   5   21.86
ICICIBANK  120.61    50.17   170.78 30152.5 12542.5    42695    12.02   5   17.02
IDBI        17.51     6.68    24.19   35020    13360   48380    13.11   5   18.11
IDEA         6.95     3.19    10.14   27800    12760   40560    10.91   5   15.91
IDFC        20.82     6.78     27.6   41640    13560   55200    15.35   5   20.35
IFCI         8.05     2.52    10.57   32200    10080   42280    15.97   5   20.97
IGL         33.04     15.4    48.44   33040    15400   48440    10.73   5   15.73
INDHOTEL    12.97     4.05    17.02   25940     8100   34040    16.02   5   21.02
INDIACEM    12.78     4.52     17.3   25560     9040   34600    14.15   5   19.15
INDIAINFO   12.37      3.5    15.87    24740     7000   31740   17.98   5.08   23.06
INDIANB     29.58     10.6    40.18    29580    10600   40180   13.95      5   18.95
INDUSINDBK 30.68     10.65    41.33    30680    10650   41330    14.4      5    19.4
INFOSYSTCH 326.15   152.41   478.56 40768.75 19051.25   59820    10.7      5    15.7
IOB          15.8     6.13    21.93    31600    12260   43860    12.9      5    17.9
IOC         33.85    15.75     49.6    16925     7875   24800   10.75      5   15.75
IRB         41.49     8.61     50.1    41490     8610   50100   24.11      5   29.11
ISPATIND     4.32     1.21     5.53    43200    12100   55300   19.29   5.38   24.67
ITC         16.72     7.77    24.49    33440    15540   48980   10.76      5   15.76
IVRCLINFRA 16.27      3.34    19.61    32540     6680   39220   24.36      5   29.36
JETAIRWAYS 91.76     22.92   114.68    45880    11460   57340   20.02      5   25.02
JINDALSAW   31.18     9.64    40.82    31180     9640   40820   16.17      5   21.17
JINDALSTEL 66.39     31.02    97.41    33195    15510   48705    10.7      5    15.7
JINDALSWHL 211.7     47.33   259.03 26462.5 5916.25 32378.75    22.36      5   27.36
JISLJALEQS 61.15     10.14    71.29 76437.5     12675 89112.5   30.17      5   35.17
JPASSOCIAT 18.69       4.1    22.79    37380     8200   45580   22.79      5   27.79
JPPOWER      7.74     1.98     9.72    30960     7920   38880   19.52      5   24.52
JSWSTEEL 174.16      43.13   217.29    43540 10782.5 54322.5    20.19      5   25.19
KFA         10.15     2.23    12.38    40600     8920   49520   23.97   5.26   29.23
KOTAKBANK 57.94      18.88    76.82    28970     9440   38410   15.34      5   20.34
KSOILS       7.74     1.99     9.73    61920    15920   77840   23.49   6.03   29.52
KTKBANK     19.91     5.97    25.88    39820    11940   51760   16.69      5   21.69
LICHSGFIN   31.36     8.78    40.14    39200    10975   50175   18.15   5.08   23.23
LITL        15.26     2.02    17.28    61040     8080   69120   37.87      5   42.87
LT          196.7    77.86   274.56 24587.5    9732.5   34320   12.63      5   17.63
LUPIN       58.05    20.51    78.56    58050    20510   78560   14.15      5   19.15
M&M         91.46    33.38   124.84    45730    16690   62420    13.7      5    18.7
MARUTI     126.92    59.13   186.05    31730 14782.5 46512.5    10.73      5   15.73
MAX         16.42     7.66    24.08    32840    15320   48160   10.73      5   15.73
MCDOWELL-N193.41     50.08   243.49 48352.5     12520 60872.5   19.31      5   24.31
MCLEODRUSS 25.47     10.41    35.88    25470    10410   35880   12.24      5   17.24
MINIFTY    377.58   159.52    537.1   7551.6   3190.4   10742     7.1      3    10.1
MLL          7.94     1.83     9.77    31760     7320   39080   21.75      5   26.75
MOSERBAER 8.04        2.02    10.06    32160     8080   40240   19.88      5   24.88
MPHASIS        69    32.19   101.19    34500    16095   50595   10.72      5   15.72
MRF         956.5    303.7   1260.2 119562.5 37962.5   157525   15.75      5   20.75
MRPL         8.85      3.1    11.95    35400    12400   47800   14.29      5   19.29
MTNL         6.24     2.13     8.37    24960     8520   33480   14.65      5   19.65
MUNDRAPORT 18.72      6.88     25.6    37440    13760   51200    13.6      5    18.6
NAGARCONST 18.6       4.91    23.51    37200     9820   47020   18.94      5   23.94
NAGARFERT    4.62     1.35     5.97    36960    10800   47760   17.11      5   22.11
NATIONALUM 42.2      19.23    61.43    21100     9615   30715   10.97      5   15.97
NEYVELILIG 14.89      5.03    19.92    29780    10060   39840   14.81      5   19.81
NFTYMCAP50 207.94   118.82   326.76 15595.5    8911.5   24507    8.75      5   13.75
NHPC         2.62     1.18      3.8    20960     9440   30400   11.08      5   16.08
NIFTY      377.58   159.52    537.1    18879     7976   26855     7.1      3    10.1
NMDC           28    13.07    41.07    28000    13070   41070   10.71      5   15.71
NTPC        19.04     8.86     27.9    19040     8860   27900   10.75      5   15.75
OFSS       223.01    103.9   326.91 27876.25 12987.5 40863.75   10.73      5   15.73
OIL        136.49    63.75   200.24 34122.5 15937.5     50060   10.71      5   15.71
ONGC        29.81    13.89     43.7    29810    13890   43700   10.73      5   15.73
ONMOBILE    57.35    11.15     68.5    57350    11150   68500   25.72      5   30.72
OPTOCIRCUI 37.72     12.43    50.15    37720    12430   50150   15.17      5   20.17
ORBITCORP 13.26       2.55    15.81     26520      5100     31620   26.03      5   31.03
ORCHIDCHEM 52.27     15.95    68.22    104540     31900    136440   18.16   5.54    23.7
ORIENTBANK 46.28     16.72       63     23140      8360     31500   13.84      5   18.84
PANTALOONR 54.66     12.44     67.1     27330      6220     33550   21.97      5   26.97
PATELENG    27.96     9.97    37.93     27960      9970     37930   14.03      5   19.03
PATNI       49.45    23.09    72.54     24725     11545     36270   10.71      5   15.71
PETRONET    12.99     6.03    19.02     25980     12060     38040   10.78      5   15.78
PFC         33.01    12.38    45.39     33010     12380     45390   13.33      5   18.33
PIRHEALTH   45.12    21.01    66.13     22560     10505     33065   10.74      5   15.74
PNB         111.1    51.66   162.76     27775     12915     40690   10.75      5   15.75
POLARIS     36.88     9.29    46.17     73760     18580     92340   19.85      5   24.85
POWERGRID 10.37       4.84    15.21     20740      9680     30420   10.71      5   15.71
PRAJIND     12.06     3.33    15.39     48240     13320     61560   18.14      5   23.14
PTC         16.99      4.4    21.39     33980      8800     42780    19.3      5    24.3
PUNJLLOYD 17.78       3.57    21.35     35560      7140     42700   24.88      5   29.88
RANBAXY     54.09    25.25    79.34     27045     12625     39670   10.71      5   15.71
RCOM         20.3     4.87    25.17     40600      9740     50340   20.85      5   25.85
RECLTD      37.91    11.88    49.79     37910     11880     49790   15.95      5   20.95
RELCAPITAL 91.44     21.53   112.97     45720     10765     56485   21.24      5   26.24
RELIANCE     97.9    45.71   143.61     24475   11427.5   35902.5   10.71      5   15.71
RELINFRA   183.75    30.86   214.61   45937.5      7715   53652.5   29.77      5   34.77
RELMEDIA    36.86      8.5    45.36     36860      8500     45360   26.02      6   32.02
RENUKA      13.48     4.23    17.71     53920     16920     70840   15.95      5   20.95
ROLTA       17.31     6.89     24.2     34620     13780     48400   12.57      5   17.57
RPOWER         18     5.76    23.76     36000     11520     47520   15.64      5   20.64
RUCHISOYA    18.4     6.47    24.87     36800     12940     49740   17.97   6.32   24.29
SAIL        19.63        8    27.63     19630      8000     27630   12.27      5   17.27
SBIN       294.16   129.38   423.54     36770   16172.5   52942.5   11.37      5   16.37
SCI         11.89     5.52    17.41     23780     11040     34820   10.77      5   15.77
SESAGOA     36.34    14.76     51.1     36340     14760     51100   12.31      5   17.31
SIEMENS    131.54    42.39   173.93     65770     21195     86965   15.52      5   20.52
SINTEX      27.05      8.1    35.15     54100     16200     70300   16.71      5   21.71
SKUMARSYNF 15.17      3.47    18.64     60680     13880     74560   24.08    5.5   29.58
SOBHA       47.03    11.25    58.28     47030     11250     58280    20.9      5    25.9
SREINFRA    11.45     2.24    13.69     41220      8064     49284   25.62      5   30.62
SRTRANSFIN 74.33     34.71   109.04     37165     17355     54520   10.71      5   15.71
STER        21.33     8.08    29.41     42660     16160     58820    13.2      5    18.2
STERLINBIO 10.78      5.02     15.8     21560     10040     31600   10.75      5   15.75
STRTECH     11.35     2.57    13.92     45400     10280     55680   22.08      5   27.08
SUNPHARMA 45.32      20.98     66.3     28325   13112.5   41437.5    10.8      5    15.8
SUNTV       69.38    20.87    90.25     34690     10435     45125   16.63      5   21.63
SUZLON       8.24      2.3    10.54     32960      9200     42160   17.91      5   22.91
SYNDIBANK    16.6     5.37    21.97     33200     10740     43940   15.46      5   20.46
TATACHEM    35.85    15.61    51.46     17925      7805     25730   11.48      5   16.48
TATACOMM    36.79     10.5    47.29     36790     10500     47290   17.52      5   22.52
TATAGLOBAL 11.07       4.6    15.67     22140      9200     31340   12.04      5   17.04
TATAMOTORS 184.65     57.2   241.85   46162.5     14300   60462.5   16.14      5   21.14
TATAMTRDVR 98.3      35.11   133.41     24575    8777.5   33352.5      14      5      19
TATAPOWER 128.84     59.75   188.59     32210   14937.5   47147.5   10.78      5   15.78
TATASTEEL   63.97    29.85    93.82     31985     14925     46910   10.72      5   15.72
TCS        117.04    54.58   171.62     29260     13645     42905   10.72      5   15.72
TECHM       91.83    28.66   120.49     45915     14330     60245   16.02      5   21.02
TITAN      438.66   156.52   595.18   54832.5     19565   74397.5   14.01      5   19.01
TRIVENI      13.78    4.17    17.95    27560     8340    35900    16.51     5   21.51
TTML          2.51    0.78     3.29    22590     7020    29610    16.19     5   21.19
TULIP        18.63    8.25    26.88    37260    16500    53760     11.3     5    16.3
TV-18        10.06    3.86    13.92    40240    15440    55680    13.03     5   18.03
TVSMOTOR     10.65    2.55     13.2    42600    10200    52800     20.9     5    25.9
UCOBANK      13.58    4.97    18.55    27160     9940    37100    13.68     5   18.68
ULTRACEMCO   98.41   45.98   144.39   24602.5   11495   36097.5    10.7     5    15.7
UNIONBANK    35.86   16.39    52.25    35860    16390    52250    10.94     5   15.94
UNIPHOS      20.22    6.78       27    40440    13560    54000    14.91     5   19.91
UNITECH       8.94    1.75    10.69    35760     7000    42760    25.54     5   30.54
VIDEOIND     21.15    9.71    30.86    21150     9710    30860    10.89     5   15.89
VIJAYABANK   11.57    4.03     15.6    46280    16120    62400    14.35     5   19.35
VOLTAS       22.24    8.54    30.78    22240     8540    30780    13.02     5   18.02
WELCORP      29.76    9.34     39.1    29760     9340    39100     17.2   5.4    22.6
WIPRO        45.12   21.06    66.18    22560    10530    33090    10.71     5   15.71
YESBANK      42.64   12.88    55.52    42640    12880    55520    16.56     5   21.56
ZEEL         14.49     5.7    20.19    28980    11400    40380     12.7     5    17.7
LOTSIZE CLOS_PRICELOT_PER_VALUE
    4000    42.75    171000
     250   569.55 142387.5
     250    645.6    161400
    1000    331.6    331600
     250    767.3    191825
     250    972.5    243125
     500    585.9    292950
    2000    117.4    234800
    1000    198.6    198600
   10000     22.4    224000
    2000      117    234000
    2000    142.3    284600
     500   544.15    272075
    4000     51.3    205200
    1000   282.25    282250
    4000     53.8    215200
     125 2518.35 314793.75
    1250    236.8    296000
     250   1223.7    305925
     250 1260.25 315062.5
    2000    73.55    147100
     250    735.5    183875
    4000    68.25    273000
     250    854.9    213725
     500      418    209000
      25 10462.75 261568.75
    1000   335.05    335050
     125 1661.15 207643.75
     250    617.1    154275
     250    494.5    123625
    1000    317.1    317100
    1000   320.35    320350
     125   2034.6    254325
     500    379.6    189800
    1000   325.05    325050
     500   299.45    149725
     125   5967.5 745937.5
     500      582    291000
    1000    241.1    241100
    1000   327.45    327450
     500    545.2    272600
    1000   155.05    155050
     500   309.85    154925
     500    296.9    148450
    4000     70.3    281200
    1000   201.25    201250
    1000   312.35    312350
      50 6734.35 336717.5
     250    830.3    207575
     250   1070.5    267625
    1000      265    265000
    1000    261.8    261800
500     619.2    309600
2000     91.85    183700
4000     42.05    168200
2000     83.95    167900
2000     92.55    185100
4000     62.85    251400
 500    636.95    318475
1000     244.2    244200
 250   1496.85 374212.5
 500    438.15    219075
2000     73.55    147100
1000     107.5    107500
2000     108.9    217800
2000    122.45    244900
1000     369.3    369300
 250     766.3    191575
2000     151.3    302600
8000      17.4    139200
 500    446.75    223375
1000     278.3    278300
 125    2238.3 279787.5
2000    111.85    223700
4000      37.7    150800
1000    168.05    168050
 125    2233.9 279237.5
2000     94.75    189500
 500    416.05    208025
8000     37.05    296400
1000    257.85    257850
8000      27.9    223200
 500     304.4    152200
4000      33.8    135200
 500    470.95    235475
 500     621.6    310800
 125   2066.15 258268.75
1000    137.95    137950
 125   1472.65 184081.25
4000     101.6    406400
2000     212.2    424400
1000       169    169000
 500    342.05    171025
1000     268.4    268400
 250    1239.8    309950
4000     37.15    148600
2000     113.9    227800
 250   1003.45 250862.5
2000     133.6    267200
4000      63.7    254800
2000     135.6    271200
4000      50.4    201600
1000    308.05    308050
2000     80.95    161900
2000      90.3    180600
2000      68.8    137600
 1000    212.05    212050
 1000       213    213000
  125    3048.1 381012.5
 2000     122.5    245000
  500       315    157500
 1000     172.1    172100
10000      22.4    224000
 2000    155.35    310700
 2000      66.8    133600
  500     458.4    229200
 1000     192.8    192800
  500     620.3    310150
  125    946.65 118331.25
 1250     202.7    253375
 2000        82    164000
 4000     39.65    158600
  250    862.55 215637.5
 4000     42.35    169400
  500    377.65    188825
 8000     32.95    263600
 2000     119.3    238600
 1250    172.75 215937.5
 4000      40.3    161200
  125    1557.1 194637.5
 1000    410.15    410150
  500     667.6    333800
  250   1182.65 295662.5
 2000     153.1    306200
  250    1001.6    250400
 1000     208.1    208100
   20    5317.2    106344
 4000      36.5    146000
 4000     40.45    161800
  500     643.7    321850
  125      6074    759250
 4000     61.95    247800
 4000      42.6    170400
 2000     137.6    275200
 2000      98.2    196400
 8000        27    216000
  500    384.55    192275
 2000    100.55    201100
   75   2376.45 178233.75
 8000     23.65    189200
   50   5317.45 265872.5
 1000     261.4    261400
 1000     177.1    177100
  125   2078.05 259756.25
  250   1274.95 318737.5
 1000     277.8    277800
 1000       223    223000
 1000     248.6    248600
2000     50.95    101900
2000    287.85    575700
 500     334.4    167200
 500    248.75    124375
1000    199.35    199350
 500     461.7    230850
2000     120.5    241000
1000    247.55    247550
 500    420.15    210075
 250   1033.15 258287.5
2000     185.8    371600
2000      96.8    193600
4000      66.5    266000
2000     88.05    176100
2000     71.45    142900
 500    504.95    252475
2000     97.35    194700
1000    237.65    237650
 500    430.55    215275
 250    914.15 228537.5
 250    617.25 154312.5
1000    141.65    141650
4000      84.5    338000
2000     137.7    275400
2000     115.1    230200
2000     102.4    204800
1000       160    160000
 125   2587.65 323456.25
2000    110.45    220900
1000    295.25    295250
 500     847.7    423850
2000     161.9    323800
4000        63    252000
1000    225.05    225050
3600      44.7    160920
 500    694.15    347075
2000    161.65    323300
2000     100.3    200600
4000      51.4    205600
 625    419.65 262281.25
 500     417.3    208650
4000        46    184000
2000     107.4    214800
 500    312.25    156125
1000       210    210000
2000     91.95    183900
 250      1144    286000
 250     702.2    175550
 250    1194.9    298725
 500     596.9    298450
 250    1091.5    272875
 500    573.25    286625
 125    3130.3 391287.5
2000    83.45   166900
9000     15.5   139500
2000    164.9   329800
4000     77.2   308800
4000    50.95   203800
2000     99.3   198600
 250    919.6   229900
1000    327.7   327700
2000   135.65   271300
4000       35   140000
1000    194.2   194200
4000     80.6   322400
1000    170.8   170800
1000   173.05   173050
 500    421.1   210550
1000    257.5   257500
2000   114.05   228100

Derivative margin report 15 feb

  • 1.
    SYMBOL SPAN_PER_SHARE TOTAL_PER_SHAREEXPMGN_PERLOT SPAN_PER EXPMGN_PER_SHARE SPAN_PERLOT TOTAL_PERLOT EXP_PER TOTAL_PER 3IINFOTECH 8.44 2.14 10.58 33760 8560 42320 19.74 5 24.74 ABAN 125.18 28.48 153.66 31295 7120 38415 21.98 5 26.98 ABB 85.64 32.28 117.92 21410 8070 29480 13.27 5 18.27 ABGSHIP 48.19 17.31 65.5 48190 17310 65500 14.53 5.22 19.75 ABIRLANUVO 82.19 38.37 120.56 20547.5 9592.5 30140 10.71 5 15.71 ACC 104.75 48.63 153.38 26187.5 12157.5 38345 10.77 5 15.77 ADANIENT 76.59 29.3 105.89 38295 14650 52945 13.07 5 18.07 ADANIPOWER 12.59 5.87 18.46 25180 11740 36920 10.72 5 15.72 ALBK 25.56 9.93 35.49 25560 9930 35490 12.87 5 17.87 ALOKTEXT 4.72 1.12 5.84 47200 11200 58400 21.07 5 26.07 AMBUJACEM 12.59 5.85 18.44 25180 11700 36880 10.76 5 15.76 ANDHRABANK 16.51 7.12 23.63 33020 14240 47260 11.6 5 16.6 APIL 65.44 27.21 92.65 32720 13605 46325 12.03 5 17.03 APOLLOTYRE 9.55 2.57 12.12 38200 10280 48480 18.62 5 23.62 AREVAT&D 35.23 14.11 49.34 35230 14110 49340 12.48 5 17.48 ASHOKLEY 8.85 2.69 11.54 35400 10760 46160 16.45 5 21.45 ASIANPAINT 269.54 125.92 395.46 33692.5 15740 49432.5 10.7 5 15.7 AUROPHARMA 28.69 11.84 40.53 35862.5 14800 50662.5 12.12 5 17.12 AXISBANK 158.12 61.19 219.31 39530 15297.5 54827.5 12.92 5 17.92 BAJAJ-AUTO 134.87 63.01 197.88 33717.5 15752.5 49470 10.7 5 15.7 BAJAJHIND 14.27 3.68 17.95 28540 7360 35900 19.4 5 24.4 BAJAJHLDNG 79.17 36.78 115.95 19792.5 9195 28987.5 10.76 5 15.76 BALRAMCHIN 11.46 3.41 14.87 45840 13640 59480 16.79 5 21.79 BANKBARODA 92.06 42.75 134.81 23015 10687.5 33702.5 10.77 5 15.77 BANKINDIA 57.85 20.9 78.75 28925 10450 39375 13.84 5 18.84 BANKNIFTY 868.14 313.88 1182.02 21703.5 7847 29550.5 8.3 3 11.3 BATAINDIA 53.8 16.75 70.55 53800 16750 70550 16.06 5 21.06 BEL 177.79 83.06 260.85 22223.75 10382.5 32606.25 10.7 5 15.7 BEML 148.98 30.86 179.84 37245 7715 44960 24.14 5 29.14 BGRENERGY 105.71 24.73 130.44 26427.5 6182.5 32610 21.38 5 26.38 BHARATFORG 34.04 15.86 49.9 34040 15860 49900 10.73 5 15.73 BHARTIARTL 34.35 16.02 50.37 34350 16020 50370 10.72 5 15.72 BHEL 218.59 101.73 320.32 27323.75 12716.25 40040 10.74 5 15.74 BHUSANSTL 56.83 18.98 75.81 28415 9490 37905 14.97 5 19.97 BIOCON 34.95 16.25 51.2 34950 16250 51200 10.75 5 15.75 BOMDYEING 73.23 14.97 88.2 36615 7485 44100 24.45 5 29.45 BOSCHLTD 642.19 298.38 940.57 80273.75 37297.5 117571.25 10.76 5 15.76 BPCL 62.55 29.1 91.65 31275 14550 45825 10.75 5 15.75 BRFL 25.88 12.06 37.94 25880 12060 37940 10.73 5 15.73 CAIRN 35.05 16.37 51.42 35050 16370 51420 10.7 5 15.7 CANBK 80.98 27.26 108.24 40490 13630 54120 14.85 5 19.85 CENTRALBK 24.84 7.75 32.59 24840 7750 32590 16.02 5 21.02 CENTURYTEX 53.79 15.49 69.28 26895 7745 34640 17.36 5 22.36 CESC 44.66 14.85 59.51 22330 7425 29755 15.04 5 20.04 CHAMBLFERT 10.56 3.52 14.08 42240 14080 56320 15.02 5 20.02 CHENNPETRO 21.55 10.06 31.61 21550 10060 31610 10.71 5 15.71 CIPLA 33.44 15.62 49.06 33440 15620 49060 10.71 5 15.71 CNXIT 478.74 202.03 680.77 23937 10101.5 34038.5 7.11 3 10.11 COLPAL 88.94 41.52 130.46 22235 10380 32615 10.71 5 15.71 CONCOR 114.93 53.53 168.46 28732.5 13382.5 42115 10.74 5 15.74 COREPROTEC 56.18 13.25 69.43 56180 13250 69430 21.2 5 26.2 CROMPGREAV35.72 13.09 48.81 35720 13090 48810 13.64 5 18.64
  • 2.
    CUMMINSIND 72 30.96 102.96 36000 15480 51480 11.63 5 16.63 DABUR 9.87 4.59 14.46 19740 9180 28920 10.75 5 15.75 DCB 7.84 2.1 9.94 31360 8400 39760 18.64 5 23.64 DCHL 17.08 4.2 21.28 34160 8400 42560 20.35 5 25.35 DENABANK 15.18 4.63 19.81 30360 9260 39620 16.4 5 21.4 DISHTV 10.66 3.14 13.8 42640 12560 55200 16.96 5 21.96 DIVISLAB 68.29 31.85 100.14 34145 15925 50070 10.72 5 15.72 DLF 34.81 12.21 47.02 34810 12210 47020 14.25 5 19.25 DRREDDY 160.77 74.84 235.61 40192.5 18710 58902.5 10.74 5 15.74 EDUCOMP 73.71 21.91 95.62 36855 10955 47810 16.82 5 21.82 EKC 16.08 3.68 19.76 32160 7360 39520 21.86 5 26.86 ESCORTS 22.61 5.38 27.99 22610 5380 27990 21.03 5 26.03 ESSAROIL 17.2 5.45 22.65 34400 10900 45300 15.79 5 20.79 EXIDEIND 17.2 6.12 23.32 34400 12240 46640 14.05 5 19.05 FEDERALBNK 44.5 18.47 62.97 44500 18470 62970 12.05 5 17.05 FINANTECH 109.97 38.32 148.29 27492.5 9580 37072.5 14.35 5 19.35 FORTIS 16.32 7.57 23.89 32640 15140 47780 10.79 5 15.79 FSL 3.82 0.87 4.69 30560 6960 37520 21.95 5 26.95 GAIL 47.95 22.34 70.29 23975 11170 35145 10.73 5 15.73 GESHIP 29.91 13.92 43.83 29910 13920 43830 10.75 5 15.75 GLAXO 239.52 111.92 351.44 29940 13990 43930 10.7 5 15.7 GMDCLTD 17.1 5.59 22.69 34200 11180 45380 15.29 5 20.29 GMRINFRA 9.74 1.89 11.63 38960 7560 46520 25.84 5 30.84 GODREJIND 22.74 8.4 31.14 22740 8400 31140 13.53 5 18.53 GRASIM 239.23 111.7 350.93 29903.75 13962.5 43866.25 10.71 5 15.71 GSPL 11.88 4.74 16.62 23760 9480 33240 12.54 5 17.54 GTL 44.62 20.8 65.42 22310 10400 32710 10.72 5 15.72 GTLINFRA 4.03 1.85 5.88 32240 14800 47040 10.88 5 15.88 GTOFFSHORE 39.33 12.89 52.22 39330 12890 52220 15.25 5 20.25 GVKPIL 6.33 1.4 7.73 50640 11200 61840 22.69 5 27.69 HAVELLS 46.47 15.22 61.69 23235 7610 30845 15.27 5 20.27 HCC 6.23 1.69 7.92 24920 6760 31680 18.43 5 23.43 HCLTECH 50.47 23.55 74.02 25235 11775 37010 10.72 5 15.72 HDFC 75.2 31.08 106.28 37600 15540 53140 12.1 5 17.1 HDFCBANK 221.09 103.31 324.4 27636.25 12913.75 40550 10.7 5 15.7 HDIL 33.05 6.9 39.95 33050 6900 39950 23.96 5 28.96 HEROHONDA 221.8 73.63 295.43 27725 9203.75 36928.75 15.06 5 20.06 HEXAWARE 17.39 5.08 22.47 69560 20320 89880 17.12 5 22.12 HINDALCO 30.58 10.61 41.19 61160 21220 82380 14.41 5 19.41 HINDOILEXP 30.76 8.45 39.21 30760 8450 39210 18.2 5 23.2 HINDPETRO 37.87 17.1 54.97 18935 8550 27485 11.07 5 16.07 HINDUNILVR 28.91 13.42 42.33 28910 13420 42330 10.77 5 15.77 HINDZINC 133.17 61.99 195.16 33292.5 15497.5 48790 10.74 5 15.74 HOTELEELA 5.13 1.86 6.99 20520 7440 27960 13.81 5 18.81 IBREALEST 19.2 5.7 24.9 38400 11400 49800 16.86 5 21.86 ICICIBANK 120.61 50.17 170.78 30152.5 12542.5 42695 12.02 5 17.02 IDBI 17.51 6.68 24.19 35020 13360 48380 13.11 5 18.11 IDEA 6.95 3.19 10.14 27800 12760 40560 10.91 5 15.91 IDFC 20.82 6.78 27.6 41640 13560 55200 15.35 5 20.35 IFCI 8.05 2.52 10.57 32200 10080 42280 15.97 5 20.97 IGL 33.04 15.4 48.44 33040 15400 48440 10.73 5 15.73 INDHOTEL 12.97 4.05 17.02 25940 8100 34040 16.02 5 21.02 INDIACEM 12.78 4.52 17.3 25560 9040 34600 14.15 5 19.15
  • 3.
    INDIAINFO 12.37 3.5 15.87 24740 7000 31740 17.98 5.08 23.06 INDIANB 29.58 10.6 40.18 29580 10600 40180 13.95 5 18.95 INDUSINDBK 30.68 10.65 41.33 30680 10650 41330 14.4 5 19.4 INFOSYSTCH 326.15 152.41 478.56 40768.75 19051.25 59820 10.7 5 15.7 IOB 15.8 6.13 21.93 31600 12260 43860 12.9 5 17.9 IOC 33.85 15.75 49.6 16925 7875 24800 10.75 5 15.75 IRB 41.49 8.61 50.1 41490 8610 50100 24.11 5 29.11 ISPATIND 4.32 1.21 5.53 43200 12100 55300 19.29 5.38 24.67 ITC 16.72 7.77 24.49 33440 15540 48980 10.76 5 15.76 IVRCLINFRA 16.27 3.34 19.61 32540 6680 39220 24.36 5 29.36 JETAIRWAYS 91.76 22.92 114.68 45880 11460 57340 20.02 5 25.02 JINDALSAW 31.18 9.64 40.82 31180 9640 40820 16.17 5 21.17 JINDALSTEL 66.39 31.02 97.41 33195 15510 48705 10.7 5 15.7 JINDALSWHL 211.7 47.33 259.03 26462.5 5916.25 32378.75 22.36 5 27.36 JISLJALEQS 61.15 10.14 71.29 76437.5 12675 89112.5 30.17 5 35.17 JPASSOCIAT 18.69 4.1 22.79 37380 8200 45580 22.79 5 27.79 JPPOWER 7.74 1.98 9.72 30960 7920 38880 19.52 5 24.52 JSWSTEEL 174.16 43.13 217.29 43540 10782.5 54322.5 20.19 5 25.19 KFA 10.15 2.23 12.38 40600 8920 49520 23.97 5.26 29.23 KOTAKBANK 57.94 18.88 76.82 28970 9440 38410 15.34 5 20.34 KSOILS 7.74 1.99 9.73 61920 15920 77840 23.49 6.03 29.52 KTKBANK 19.91 5.97 25.88 39820 11940 51760 16.69 5 21.69 LICHSGFIN 31.36 8.78 40.14 39200 10975 50175 18.15 5.08 23.23 LITL 15.26 2.02 17.28 61040 8080 69120 37.87 5 42.87 LT 196.7 77.86 274.56 24587.5 9732.5 34320 12.63 5 17.63 LUPIN 58.05 20.51 78.56 58050 20510 78560 14.15 5 19.15 M&M 91.46 33.38 124.84 45730 16690 62420 13.7 5 18.7 MARUTI 126.92 59.13 186.05 31730 14782.5 46512.5 10.73 5 15.73 MAX 16.42 7.66 24.08 32840 15320 48160 10.73 5 15.73 MCDOWELL-N193.41 50.08 243.49 48352.5 12520 60872.5 19.31 5 24.31 MCLEODRUSS 25.47 10.41 35.88 25470 10410 35880 12.24 5 17.24 MINIFTY 377.58 159.52 537.1 7551.6 3190.4 10742 7.1 3 10.1 MLL 7.94 1.83 9.77 31760 7320 39080 21.75 5 26.75 MOSERBAER 8.04 2.02 10.06 32160 8080 40240 19.88 5 24.88 MPHASIS 69 32.19 101.19 34500 16095 50595 10.72 5 15.72 MRF 956.5 303.7 1260.2 119562.5 37962.5 157525 15.75 5 20.75 MRPL 8.85 3.1 11.95 35400 12400 47800 14.29 5 19.29 MTNL 6.24 2.13 8.37 24960 8520 33480 14.65 5 19.65 MUNDRAPORT 18.72 6.88 25.6 37440 13760 51200 13.6 5 18.6 NAGARCONST 18.6 4.91 23.51 37200 9820 47020 18.94 5 23.94 NAGARFERT 4.62 1.35 5.97 36960 10800 47760 17.11 5 22.11 NATIONALUM 42.2 19.23 61.43 21100 9615 30715 10.97 5 15.97 NEYVELILIG 14.89 5.03 19.92 29780 10060 39840 14.81 5 19.81 NFTYMCAP50 207.94 118.82 326.76 15595.5 8911.5 24507 8.75 5 13.75 NHPC 2.62 1.18 3.8 20960 9440 30400 11.08 5 16.08 NIFTY 377.58 159.52 537.1 18879 7976 26855 7.1 3 10.1 NMDC 28 13.07 41.07 28000 13070 41070 10.71 5 15.71 NTPC 19.04 8.86 27.9 19040 8860 27900 10.75 5 15.75 OFSS 223.01 103.9 326.91 27876.25 12987.5 40863.75 10.73 5 15.73 OIL 136.49 63.75 200.24 34122.5 15937.5 50060 10.71 5 15.71 ONGC 29.81 13.89 43.7 29810 13890 43700 10.73 5 15.73 ONMOBILE 57.35 11.15 68.5 57350 11150 68500 25.72 5 30.72 OPTOCIRCUI 37.72 12.43 50.15 37720 12430 50150 15.17 5 20.17
  • 4.
    ORBITCORP 13.26 2.55 15.81 26520 5100 31620 26.03 5 31.03 ORCHIDCHEM 52.27 15.95 68.22 104540 31900 136440 18.16 5.54 23.7 ORIENTBANK 46.28 16.72 63 23140 8360 31500 13.84 5 18.84 PANTALOONR 54.66 12.44 67.1 27330 6220 33550 21.97 5 26.97 PATELENG 27.96 9.97 37.93 27960 9970 37930 14.03 5 19.03 PATNI 49.45 23.09 72.54 24725 11545 36270 10.71 5 15.71 PETRONET 12.99 6.03 19.02 25980 12060 38040 10.78 5 15.78 PFC 33.01 12.38 45.39 33010 12380 45390 13.33 5 18.33 PIRHEALTH 45.12 21.01 66.13 22560 10505 33065 10.74 5 15.74 PNB 111.1 51.66 162.76 27775 12915 40690 10.75 5 15.75 POLARIS 36.88 9.29 46.17 73760 18580 92340 19.85 5 24.85 POWERGRID 10.37 4.84 15.21 20740 9680 30420 10.71 5 15.71 PRAJIND 12.06 3.33 15.39 48240 13320 61560 18.14 5 23.14 PTC 16.99 4.4 21.39 33980 8800 42780 19.3 5 24.3 PUNJLLOYD 17.78 3.57 21.35 35560 7140 42700 24.88 5 29.88 RANBAXY 54.09 25.25 79.34 27045 12625 39670 10.71 5 15.71 RCOM 20.3 4.87 25.17 40600 9740 50340 20.85 5 25.85 RECLTD 37.91 11.88 49.79 37910 11880 49790 15.95 5 20.95 RELCAPITAL 91.44 21.53 112.97 45720 10765 56485 21.24 5 26.24 RELIANCE 97.9 45.71 143.61 24475 11427.5 35902.5 10.71 5 15.71 RELINFRA 183.75 30.86 214.61 45937.5 7715 53652.5 29.77 5 34.77 RELMEDIA 36.86 8.5 45.36 36860 8500 45360 26.02 6 32.02 RENUKA 13.48 4.23 17.71 53920 16920 70840 15.95 5 20.95 ROLTA 17.31 6.89 24.2 34620 13780 48400 12.57 5 17.57 RPOWER 18 5.76 23.76 36000 11520 47520 15.64 5 20.64 RUCHISOYA 18.4 6.47 24.87 36800 12940 49740 17.97 6.32 24.29 SAIL 19.63 8 27.63 19630 8000 27630 12.27 5 17.27 SBIN 294.16 129.38 423.54 36770 16172.5 52942.5 11.37 5 16.37 SCI 11.89 5.52 17.41 23780 11040 34820 10.77 5 15.77 SESAGOA 36.34 14.76 51.1 36340 14760 51100 12.31 5 17.31 SIEMENS 131.54 42.39 173.93 65770 21195 86965 15.52 5 20.52 SINTEX 27.05 8.1 35.15 54100 16200 70300 16.71 5 21.71 SKUMARSYNF 15.17 3.47 18.64 60680 13880 74560 24.08 5.5 29.58 SOBHA 47.03 11.25 58.28 47030 11250 58280 20.9 5 25.9 SREINFRA 11.45 2.24 13.69 41220 8064 49284 25.62 5 30.62 SRTRANSFIN 74.33 34.71 109.04 37165 17355 54520 10.71 5 15.71 STER 21.33 8.08 29.41 42660 16160 58820 13.2 5 18.2 STERLINBIO 10.78 5.02 15.8 21560 10040 31600 10.75 5 15.75 STRTECH 11.35 2.57 13.92 45400 10280 55680 22.08 5 27.08 SUNPHARMA 45.32 20.98 66.3 28325 13112.5 41437.5 10.8 5 15.8 SUNTV 69.38 20.87 90.25 34690 10435 45125 16.63 5 21.63 SUZLON 8.24 2.3 10.54 32960 9200 42160 17.91 5 22.91 SYNDIBANK 16.6 5.37 21.97 33200 10740 43940 15.46 5 20.46 TATACHEM 35.85 15.61 51.46 17925 7805 25730 11.48 5 16.48 TATACOMM 36.79 10.5 47.29 36790 10500 47290 17.52 5 22.52 TATAGLOBAL 11.07 4.6 15.67 22140 9200 31340 12.04 5 17.04 TATAMOTORS 184.65 57.2 241.85 46162.5 14300 60462.5 16.14 5 21.14 TATAMTRDVR 98.3 35.11 133.41 24575 8777.5 33352.5 14 5 19 TATAPOWER 128.84 59.75 188.59 32210 14937.5 47147.5 10.78 5 15.78 TATASTEEL 63.97 29.85 93.82 31985 14925 46910 10.72 5 15.72 TCS 117.04 54.58 171.62 29260 13645 42905 10.72 5 15.72 TECHM 91.83 28.66 120.49 45915 14330 60245 16.02 5 21.02 TITAN 438.66 156.52 595.18 54832.5 19565 74397.5 14.01 5 19.01
  • 5.
    TRIVENI 13.78 4.17 17.95 27560 8340 35900 16.51 5 21.51 TTML 2.51 0.78 3.29 22590 7020 29610 16.19 5 21.19 TULIP 18.63 8.25 26.88 37260 16500 53760 11.3 5 16.3 TV-18 10.06 3.86 13.92 40240 15440 55680 13.03 5 18.03 TVSMOTOR 10.65 2.55 13.2 42600 10200 52800 20.9 5 25.9 UCOBANK 13.58 4.97 18.55 27160 9940 37100 13.68 5 18.68 ULTRACEMCO 98.41 45.98 144.39 24602.5 11495 36097.5 10.7 5 15.7 UNIONBANK 35.86 16.39 52.25 35860 16390 52250 10.94 5 15.94 UNIPHOS 20.22 6.78 27 40440 13560 54000 14.91 5 19.91 UNITECH 8.94 1.75 10.69 35760 7000 42760 25.54 5 30.54 VIDEOIND 21.15 9.71 30.86 21150 9710 30860 10.89 5 15.89 VIJAYABANK 11.57 4.03 15.6 46280 16120 62400 14.35 5 19.35 VOLTAS 22.24 8.54 30.78 22240 8540 30780 13.02 5 18.02 WELCORP 29.76 9.34 39.1 29760 9340 39100 17.2 5.4 22.6 WIPRO 45.12 21.06 66.18 22560 10530 33090 10.71 5 15.71 YESBANK 42.64 12.88 55.52 42640 12880 55520 16.56 5 21.56 ZEEL 14.49 5.7 20.19 28980 11400 40380 12.7 5 17.7
  • 6.
    LOTSIZE CLOS_PRICELOT_PER_VALUE 4000 42.75 171000 250 569.55 142387.5 250 645.6 161400 1000 331.6 331600 250 767.3 191825 250 972.5 243125 500 585.9 292950 2000 117.4 234800 1000 198.6 198600 10000 22.4 224000 2000 117 234000 2000 142.3 284600 500 544.15 272075 4000 51.3 205200 1000 282.25 282250 4000 53.8 215200 125 2518.35 314793.75 1250 236.8 296000 250 1223.7 305925 250 1260.25 315062.5 2000 73.55 147100 250 735.5 183875 4000 68.25 273000 250 854.9 213725 500 418 209000 25 10462.75 261568.75 1000 335.05 335050 125 1661.15 207643.75 250 617.1 154275 250 494.5 123625 1000 317.1 317100 1000 320.35 320350 125 2034.6 254325 500 379.6 189800 1000 325.05 325050 500 299.45 149725 125 5967.5 745937.5 500 582 291000 1000 241.1 241100 1000 327.45 327450 500 545.2 272600 1000 155.05 155050 500 309.85 154925 500 296.9 148450 4000 70.3 281200 1000 201.25 201250 1000 312.35 312350 50 6734.35 336717.5 250 830.3 207575 250 1070.5 267625 1000 265 265000 1000 261.8 261800
  • 7.
    500 619.2 309600 2000 91.85 183700 4000 42.05 168200 2000 83.95 167900 2000 92.55 185100 4000 62.85 251400 500 636.95 318475 1000 244.2 244200 250 1496.85 374212.5 500 438.15 219075 2000 73.55 147100 1000 107.5 107500 2000 108.9 217800 2000 122.45 244900 1000 369.3 369300 250 766.3 191575 2000 151.3 302600 8000 17.4 139200 500 446.75 223375 1000 278.3 278300 125 2238.3 279787.5 2000 111.85 223700 4000 37.7 150800 1000 168.05 168050 125 2233.9 279237.5 2000 94.75 189500 500 416.05 208025 8000 37.05 296400 1000 257.85 257850 8000 27.9 223200 500 304.4 152200 4000 33.8 135200 500 470.95 235475 500 621.6 310800 125 2066.15 258268.75 1000 137.95 137950 125 1472.65 184081.25 4000 101.6 406400 2000 212.2 424400 1000 169 169000 500 342.05 171025 1000 268.4 268400 250 1239.8 309950 4000 37.15 148600 2000 113.9 227800 250 1003.45 250862.5 2000 133.6 267200 4000 63.7 254800 2000 135.6 271200 4000 50.4 201600 1000 308.05 308050 2000 80.95 161900 2000 90.3 180600
  • 8.
    2000 68.8 137600 1000 212.05 212050 1000 213 213000 125 3048.1 381012.5 2000 122.5 245000 500 315 157500 1000 172.1 172100 10000 22.4 224000 2000 155.35 310700 2000 66.8 133600 500 458.4 229200 1000 192.8 192800 500 620.3 310150 125 946.65 118331.25 1250 202.7 253375 2000 82 164000 4000 39.65 158600 250 862.55 215637.5 4000 42.35 169400 500 377.65 188825 8000 32.95 263600 2000 119.3 238600 1250 172.75 215937.5 4000 40.3 161200 125 1557.1 194637.5 1000 410.15 410150 500 667.6 333800 250 1182.65 295662.5 2000 153.1 306200 250 1001.6 250400 1000 208.1 208100 20 5317.2 106344 4000 36.5 146000 4000 40.45 161800 500 643.7 321850 125 6074 759250 4000 61.95 247800 4000 42.6 170400 2000 137.6 275200 2000 98.2 196400 8000 27 216000 500 384.55 192275 2000 100.55 201100 75 2376.45 178233.75 8000 23.65 189200 50 5317.45 265872.5 1000 261.4 261400 1000 177.1 177100 125 2078.05 259756.25 250 1274.95 318737.5 1000 277.8 277800 1000 223 223000 1000 248.6 248600
  • 9.
    2000 50.95 101900 2000 287.85 575700 500 334.4 167200 500 248.75 124375 1000 199.35 199350 500 461.7 230850 2000 120.5 241000 1000 247.55 247550 500 420.15 210075 250 1033.15 258287.5 2000 185.8 371600 2000 96.8 193600 4000 66.5 266000 2000 88.05 176100 2000 71.45 142900 500 504.95 252475 2000 97.35 194700 1000 237.65 237650 500 430.55 215275 250 914.15 228537.5 250 617.25 154312.5 1000 141.65 141650 4000 84.5 338000 2000 137.7 275400 2000 115.1 230200 2000 102.4 204800 1000 160 160000 125 2587.65 323456.25 2000 110.45 220900 1000 295.25 295250 500 847.7 423850 2000 161.9 323800 4000 63 252000 1000 225.05 225050 3600 44.7 160920 500 694.15 347075 2000 161.65 323300 2000 100.3 200600 4000 51.4 205600 625 419.65 262281.25 500 417.3 208650 4000 46 184000 2000 107.4 214800 500 312.25 156125 1000 210 210000 2000 91.95 183900 250 1144 286000 250 702.2 175550 250 1194.9 298725 500 596.9 298450 250 1091.5 272875 500 573.25 286625 125 3130.3 391287.5
  • 10.
    2000 83.45 166900 9000 15.5 139500 2000 164.9 329800 4000 77.2 308800 4000 50.95 203800 2000 99.3 198600 250 919.6 229900 1000 327.7 327700 2000 135.65 271300 4000 35 140000 1000 194.2 194200 4000 80.6 322400 1000 170.8 170800 1000 173.05 173050 500 421.1 210550 1000 257.5 257500 2000 114.05 228100